Introduction to Java Programming
Prof. K. ADISESHAProf. K. ADISESHAProf. K. ADISESHAProf. K. ADISESHA www.adisesha.9f.com | email: adisesha1@rediffmail.com 1
Introduction to Java Programming
Introduction to Computer Science using Java
Java is a simple and yet powerful object oriented programming language and it is in many respects similar to
C++. Java originated at Sun Microsystems, Inc. in 1991. It was conceived by James Gosling, Patrick Naughton,
Chris Warth, Ed Frank, and Mike Sheridan at Sun Microsystems, Inc. It was developed to provide a platform-
independent programming language. This site gives you an Introduction to Java Programming accompanied
with many java examples. Its a complete course in java programming for beginners to advanced java.
Platform independent
Unlike many other programming languages including C and C++ when Java is compiled, it is not compiled into
platform specific machine, rather into platform independent byte code. This byte code is distributed over the web
and interpreted by virtual Machine (JVM) on whichever platform it is being run.
Java Virtual Machine
Java was designed with a concept of ‘write once and run everywhere’. Java Virtual Machine plays the central role
in this concept. The JVM is the environment in which Java programs execute. It is a software that is implemented
on top of real hardware and operating system. When the source code (.java files) is compiled, it is translated into
byte codes and then placed into (.class) files. The JVM executes these bytecodes. So Java byte codes can be
thought of as the machine language of the JVM. A JVM can either interpret the bytecode one instruction at a time
or the bytecode can be compiled further for the real microprocessor using what is called a just-in-time compiler.
The JVM must be implemented on a particular platform before compiled programs can run on that platform.
Object Oriented Programming
Since Java is an object oriented programming language it has following features:
• Reusability of Code
• Emphasis on data rather than procedure
• Data is hidden and cannot be accessed by external functions
• Objects can communicate with each other through functions
• New data and functions can be easily added Java has powerful features. The following are some of
them:-
Simple
Reusable
Portable (Platform Independent)
Distributed
Robust
Secure
High Performance
Dynamic
Threaded
Interpreted
Introduction to Java Programming
Prof. K. ADISESHAProf. K. ADISESHAProf. K. ADISESHAProf. K. ADISESHA www.adisesha.9f.com | email: adisesha1@rediffmail.com 2
Object Oriented Programming is a method of implementation in which programs are organized as cooperative
collection of objects, each of which represents an instance of a class, and whose classes are all members of a
hierarchy of classes united via inheritance relationships.
OOP Concepts
Four principles of Object Oriented Programming are
Abstraction
Encapsulation
Inheritance
Polymorphism
Abstraction
Abstraction denotes the essential characteristics of an object that distinguish it from all other kinds of objects and
thus provide crisply defined conceptual boundaries, relative to the perspective of the viewer.
Encapsulation
Encapsulation is the process of compartmentalizing the elements of an abstraction that constitute its structure and
behavior ; encapsulation serves to separate the contractual interface of an abstraction and its implementation.
Encapsulation
* Hides the implementation details of a class.
* Forces the user to use an interface to access data
* Makes the code more maintainable.
Inheritance
Inheritance is the process by which one object acquires the properties of another object.
Polymorphism
Polymorphism is the existence of the classes or methods in different forms or single name denoting different
implementations.
Java is distributed
With extensive set of routines to handle TCP/IP protocols like HTTP and FTP java can open and access the
objects across net via URLs.
Java is Multithreaded
One of the powerful aspects of the Java language is that it allows multiple threads of execution to run
concurrently within the same program A single Java program can have many different threads executing
independently and continuously. Multiple Java applets can run on the browser at the same time sharing the CPU
time.
Java is Secure
Introduction to Java Programming
Prof. K. ADISESHAProf. K. ADISESHAProf. K. ADISESHAProf. K. ADISESHA www.adisesha.9f.com | email: adisesha1@rediffmail.com 3
Java was designed to allow secure execution of code across network. To make Java secure many of the features of
C and C++ were eliminated. Java does not use Pointers. Java programs cannot access arbitrary addresses in
memory.
Garbage collection
Automatic garbage collection is another great feature of Java with which it prevents inadvertent corruption of
memory. Similar to C++, Java has a new operator to allocate memory on the heap for a new object. But it does
not use delete operator to free the memory as it is done in C++ to free the memory if the object is no longer
needed. It is done automatically with garbage collector.
Java Applications
Java has evolved from a simple language providing interactive dynamic content for web pages to a predominant
enterprise-enabled programming language suitable for developing significant and critical applications. Today, It
is used for many types of applications including Web based applications, Financial applications, Gaming
applications, embedded systems, Distributed enterprise applications, mobile applications, Image processors,
desktop applications and many more. This site outlines the building blocks of java by stating few java examples
along with some java tutorials.
Getting Started with Java
Getting Java Basics quickly has become easy with Javabeginner.com. This site is for the java programmers
who want to use the Java programming language to create applications using the Java basics. This site is for
absolute beginners to advanced java programmers who do not require any prerequisite Java knowledge. For
getting started with Java you’ll have to have some basic understanding of the concepts of programming.
After going through all the tutorials in this site, you would have learnt the essential concepts and features of the
Java Programming Language which include exceptions, Swing GUI programming, Collections framework etc. A
lot of code examples are used through out tutorial to make you understand the language better.
All the listings and programs in the website are compiled and run using the JDK 1.5.
Download : JDK and JRE 1.5
Java Architecture
The Java environment is composed of a number of system components. You use these components at compile
time to create the Java program and at run time to execute the program. Java achieves its independence by
creating programs designed to run on the Java Virtual Machine rather than any specific computer system.
• After you write a Java program, you use a compiler that reads the statements in the program and translates
them into a machine independent format called bytecode.
• Bytecode files, which are very compact, are easily transported through a distributed system like the
Internet.
• The compiled Java code (resulting byte code) will be executed at run time.
Java programs can be written and executed in two ways:
• Stand-alone application (A Java Swing Application)
• Applet which runs on a web browser (Example: Internet Explorer)
Introduction to Java Programming
Prof. K. ADISESHAProf. K. ADISESHAProf. K. ADISESHAProf. K. ADISESHA www.adisesha.9f.com | email: adisesha1@rediffmail.com 4
Java source code
A Java program is a collection of one or more java classes. A Java source file can contain more than one class
definition and has a .java extension. Each class definition in a source file is compiled into a separate class file.
The name of this compiled file is comprised of the name of the class with .class as an extension. Before we
proceed further in this section, I would recommend you to go through the ‘Basic Language Elements’.
Below is a java sample code for the traditional Hello World program. Basically, the idea behind this Hello World
program is to learn how to create a program, compile and run it. To create your java source code you can use any
editor( Text pad/Edit plus are my favorites) or you can use an IDE like Eclipse.
public class HelloWorld {
public static void main(String[] args) {
System.out.println("Hello World");
}//End of main
}//End of HelloWorld Class
Output
Hello World
ABOUT THE PROGRAM
I created a class named “HelloWorld” containing a simple main function within it. The keyword class specifies
that we are defining a class. The name of a public class is spelled exactly as the name of the file (Case Sensitive).
All java programs begin execution with the method named main(). main method that gets executed has the
following signature : public static void main(String args[]).Declaring this method as public means that it is
accessible from outside the class so that the JVM can find it when it looks for the program to start it. It is
necessary that the method is declared with return type void (i.e. no arguments are returned from the method). The
main method contains a String argument array that can contain the command line arguments. The brackets { and
} mark the beginning and ending of the class. The program contains a line ‘System.out.println(”Hello World”);’
that tells the computer to print out on one line of text namely ‘Hello World’. The semi-colon ‘;’ ends the line of
code. The double slashes ‘//’ are used for comments that can be used to describe what a source code is doing.
Everything to the right of the slashes on the same line does not get compiled, as they are simply the comments in
a program.
Java Main method Declarations
class MainExample1 {public static void main(String[] args) {}}
class MainExample2 {public static void main(String []args) {}}
class MainExample3 {public static void main(String args[]) {}}
All the 3 valid main method’s shown above accepts a single String array argument.
Compiling and Running an Application
To compile and run the program you need the JDK distributed by Sun Microsystems. The JDK contains
documentation, examples, installation instructions, class libraries and packages, and tools. Download an editor
like Textpad/EditPlus to type your code. You must save your source code with a .java extension. The name of the
file must be the name of the public class contained in the file.
Steps for Saving, compiling and Running a Java
Introduction to Java Programming
Prof. K. ADISESHAProf. K. ADISESHAProf. K. ADISESHAProf. K. ADISESHA www.adisesha.9f.com | email: adisesha1@rediffmail.com 5
Step 1:Save the program With .java Extension.
Step 2:Compile the file from DOS prompt by typing javac <filename>.
Step 3:Successful Compilation, results in creation of .class containing byte code
Step 4:Execute the file by typing java <filename without extension>
Java Development Kit
The Java Developer’s Kit is distributed by Sun Microsystems. The JDK contains documentation, examples,
installation instructions, class libraries and packages, and tools
Javadoc
The javadoc tool provided by Sun is used to produce documentation for an application or program,
Jar Files
A jar file is used to group together related class files into a single file for more compact storage, distribution, and
transmission.
PATH and CLASSPATH
The following are the general programming errors, which I think every beginning java programmer would come
across. Here is a solution on how to solve the problems when running on a Microsoft Windows Machine.
1. ‘javac’ is not recognized as an internal or external command, operable program or batch file
When you get this error, you should conclude that your operating system cannot find the compiler (javac). To
solve this error you need to set the PATH variable.
How to set the PATH Variable?
Firstly the PATH variable is set so that we can compile and execute programs from any directory without having
to type the full path of the command. To set the PATH of jdk on your system (Windows XP), add the full path of
the jdk<version>bin directory to the PATH variable. Set the PATH as follows on a Windows machine:
a. Click Start > Right Click “My Computer” and click on “Properties”
b. Click Advanced > Environment Variables.
c. Add the location of bin folder of JDK installation for PATH in User Variables and System Variables. A typical
value for PATH is:
C:jdk<version>bin (jdk<version is nothing but the name of the directory where jdk is installed)
If there are already some entries in the PATH variable then you must add a semicolon and then add the above
value (Version being replaced with the version of JDK). The new path takes effect in each new command prompt
window you open after setting the PATH variable.
2. Exception in thread “main” java.lang.NoClassDefFoundError: HelloWorld
If you receive this error, java cannot find your compiled byte code file, HelloWorld.class.If both your class files
and source code are in the same working directory and if you try running your program from the current working
Introduction to Java Programming
Prof. K. ADISESHAProf. K. ADISESHAProf. K. ADISESHAProf. K. ADISESHA www.adisesha.9f.com | email: adisesha1@rediffmail.com 6
directory than, your program must get executed without any problems as, java tries to find your .class file is your
current directory. If your class files are present in some other directory other than that of the java files we must set
the CLASSPATH pointing to the directory that contain your compiled class files.CLASSPATH can be set as
follows on a Windows machine:
a. Click Start > Right Click “My Computer” and click on “Properties”
b. Click Advanced > Environment Variables.
Add the location of classes’ folder containing all your java classes in User Variables.
If there are already some entries in the CLASSPATH variable then you must add a semicolon and then add the
new value . The new class path takes effect in each new command prompt window you open after setting the
CLASSPATH variable.
Java 1.5
The Java 1.5 released in September 2004.
Goals
Less code complexity
Better readability
More compile-time type safety
Some new functionality (generics, scanner)
New Features
Enhanced for loop
Enumerated types
Autoboxing & unboxing
Generic types
Scanner
Variable number of arguments (varargs)
Static imports
Annotations
Keywords
There are certain words with a specific meaning in java which tell (help) the compiler what the program is
supposed to do. These Keywords cannot be used as variable names, class names, or method names. Keywords in
java are case sensitive, all characters being lower case.
Keywords are reserved words that are predefined in the language; see the table below (Taken from Sun Java Site).
All the keywords are in lowercase.
abstract default if private this
boolean do implements protected throw
break double import public throws
byte else instanceof return transient
case extends int short try
catch final interface static void
char finally long strictfp volatile
class float native super while
const for new switch
continue goto package synchronized
Introduction to Java Programming
Prof. K. ADISESHAProf. K. ADISESHAProf. K. ADISESHAProf. K. ADISESHA www.adisesha.9f.com | email: adisesha1@rediffmail.com 7
Keywords are marked in yellow as shown in the sample code below
/** This class is a Hello World Program used to introduce
the Java Language*/
public class HelloWorld {
public static void main(String[] args) {
System.out.println(”Hello World”); //Prints output to console
}
}
For more information on different Keywords - Java Keywords
Some Tricky Observations: The words virtual, ifdef, typedef, friend, struct and union are all words related to
the C programming language. const and goto are Java keywords. The word finalize is the name of a method
of the Object class and hence not a keyword. enum and label are not keywords.
Comments
Comments are descriptions that are added to a program to make code easier to understand. The compiler ignores
comments and hence its only for documentation of the program.
Java supports three comment styles.
Block style comments begin with /* and terminate with */ that spans multiple lines.
Line style comments begin with // and terminate at the end of the line. (Shown in the above program)
Documentation style comments begin with /** and terminate with */ that spans multiple lines. They are generally
created using the automatic documentation generation tool, such as javadoc. (Shown in the above program)
name of this compiled file is comprised of the name of the class with .class as an extension.
Variable, Identifiers and Data Types
Variables are used for data that change during program execution. All variables have a name, a type, and a scope.
The programmer assigns the names to variables, known as identifiers. An Identifier must be unique within a
scope of the Java program. Variables have a data type, that indicates the kind of value they can store. Variables
declared inside of a block or method are called local variables; They are not automatically initialized. The
compiler will generate an error as a result of the attempt to access the local variables before a value has been
assigned.
public class localVariableEx {
public static int a;
public static void main(String[] args) {
int b;
System.out.println("a : "+a);
System.out.println("b : "+b); //Compilation error
}}
Introduction to Java Programming
Prof. K. ADISESHAProf. K. ADISESHAProf. K. ADISESHAProf. K. ADISESHA www.adisesha.9f.com | email: adisesha1@rediffmail.com 8
Note in the above example, a compilation error results in where the variable is tried to be accessed and not at the
place where its declared without any value.
The data type indicates the attributes of the variable, such as the range of values that can be stored and the
operators that can be used to manipulate the variable. Java has four main primitive data types built into the
language. You can also create your own composite data types.
Java has four main primitive data types built into the language. We can also create our own data types.
• Integer: byte, short, int, and long.
• Floating Point: float and double
• Character: char
• Boolean: variable with a value of true or false.
The following chart (Taken from Sun Java Site) summarizes the default values for the java built in data types.
Since I thought Mentioning the size was not important as part of learning Java, I have not mentioned it in the
below table. The size for each Java type can be obtained by a simple Google search.
Data Type Default Value (for fields) Range
byte 0 -127 to +128
short 0 -32768 to +32767
int 0
long 0L
float 0.0f
double 0.0d
char ‘u0000′ 0 to 65535
String (object) null
boolean false
When we declare a variable we assign it an identifier and a data type.
For Example
String message = “hello world”
In the above statement, String is the data type for the identifier message. If you don’t specify a value when the
variable is declared, it will be assigned the default value for its data type.
Identifier Naming Rules
• Can consist of upper and lower case letters, digits, dollar sign ($) and the underscore ( _ ) character.
• Must begin with a letter, dollar sign, or an underscore
• Are case sensitive
• Keywords cannot be used as identifiers
• Within a given section of your program or scope, each user defined item must have a unique identifier
• Can be of any length.
Classes
A class is nothing but a blueprint for creating different objects which defines its properties and behaviors. An
object exhibits the properties and behaviors defined by its class. A class can contain fields and methods to
describe the behavior of an object. Methods are nothing but members of a class that provide a service for an
object or perform some business logic.
Introduction to Java Programming
Prof. K. ADISESHAProf. K. ADISESHAProf. K. ADISESHAProf. K. ADISESHA www.adisesha.9f.com | email: adisesha1@rediffmail.com 9
Objects
An object is an instance of a class created using a new operator. The new operator returns a reference to a new
instance of a class. This reference can be assigned to a reference variable of the class. The process of creating
objects from a class is called instantiation. An object reference provides a handle to an object that is created and
stored in memory. In Java, objects can only be manipulated via references, which can be stored in variables.
Interface
An Interface is a contract in the form of collection of method and constant declarations. When a class implements
an interface, it promises to implement all of the methods declared in that interface.
Instance Members
Each object created will have its own copies of the fields defined in its class called instance variables which
represent an object’s state. The methods of an object define its behaviour called instance methods. Instance
variables and instance methods, which belong to objects, are collectively called instance members. The dot ‘.’
notation with a object reference is used to access Instance Members.
Static Members
Static members are those that belong to a class as a whole and not to a particular instance (object). A static
variable is initialized when the class is loaded. Similarly, a class can have static methods. Static variables and
static methods are collectively known as static members, and are declared with a keyword static. Static members
in the class can be accessed either by using the class name or by using the object reference, but instance members
can only be accessed via object references.
Below is a program showing the various parts of the basic language syntax that were discussed above.
/** Comment
* Displays "Hello World!" to the standard output.
*/
public class HelloWorld {
String output = "";
static HelloWorld helloObj; //Line 1
public HelloWorld(){
output = "Hello World";
}
public String printMessage(){
return output;
}
public static void main (String args[]) {
helloObj = new HelloWorld(); //Line 2
System.out.println(helloObj.printMessage());
}
}
Java Operators
They are used to manipulate primitive data types. Java operators can be classified as unary, binary, or ternary—
meaning taking one, two, or three arguments, respectively. A unary operator may appear
before (prefix) its argument or after (postfix) its argument. A binary or ternary operator appears between its
arguments.
Introduction to Java Programming
Prof. K. ADISESHAProf. K. ADISESHAProf. K. ADISESHAProf. K. ADISESHA www.adisesha.9f.com | email: adisesha1@rediffmail.com 10
Operators in java fall into 8 different categories:
Java operators fall into eight different categories: assignment, arithmetic, relational, logical, bitwise,
compound assignment, conditional, and type.
Assignment Operators =
Arithmetic Operators - + * / % ++ --
Relational Operators > < >= <= == !=
Logical Operators && || & | ! ^
Bit wise Operator & | ^ >> >>>
Compound Assignment Operators += -= *= /= %=
<<= >>= >>>=
Conditional Operator ?:
Java has eight different operator types: assignment, arithmetic, relational, logical, bitwise, compound assignment,
conditional, and type.
Assignment operators
The java assignment operator statement has the following syntax:
<variable> = <expression>
If the value already exists in the variable it is overwritten by the assignment operator (=).
public class AssignmentOperatorsDemo {
public AssignmentOperatorsDemo() {
// Assigning Primitive Values
int j, k;
j = 10; // j gets the value 10.
j = 5; // j gets the value 5. Previous value is overwritten.
k = j; // k gets the value 5.
System.out.println("j is : " + j);
System.out.println("k is : " + k);
// Assigning References
Integer i1 = new Integer("1");
Integer i2 = new Integer("2");
System.out.println("i1 is : " + i1);
System.out.println("i2 is : " + i2);
i1 = i2;
System.out.println("i1 is : " + i1);
System.out.println("i2 is : " + i2);
// Multiple Assignments
k = j = 10; // (k = (j = 10))
System.out.println("j is : " + j);
System.out.println("k is : " + k);
}
public static void main(String args[]) {
new AssignmentOperatorsDemo();
}
}
Arithmetic operators
Java provides eight Arithmetic operators. They are for addition, subtraction, multiplication, division, modulo (or
remainder), increment (or add 1), decrement (or subtract 1), and negation. An example program is shown below
that demonstrates the different arithmetic operators in java.
Introduction to Java Programming
Prof. K. ADISESHAProf. K. ADISESHAProf. K. ADISESHAProf. K. ADISESHA www.adisesha.9f.com | email: adisesha1@rediffmail.com 11
The binary operator + is overloaded in the sense that the operation performed is determined by the type of the
operands. When one of the operands is a String object, the other operand is implicitly converted to its string
representation and string concatenation is performed.
String message = 100 + “Messages”; //”100 Messages”
public class ArithmeticOperatorsDemo {
public ArithmeticOperatorsDemo() {
int x, y = 10, z = 5;
x = y + z;
System.out.println("+ operator resulted in " + x);
x = y - z;
System.out.println("- operator resulted in " + x);
x = y * z;
System.out.println("* operator resulted in " + x);
x = y / z;
System.out.println("/ operator resulted in " + x);
x = y % z;
System.out.println("% operator resulted in " + x);
x = y++;
System.out.println("Postfix ++ operator resulted in " + x);
x = ++z;
System.out.println("Prefix ++ operator resulted in " + x);
x = -y;
System.out.println("Unary operator resulted in " + x);
// Some examples of special Cases
int tooBig = Integer.MAX_VALUE + 1; // -2147483648 which is
// Integer.MIN_VALUE.
int tooSmall = Integer.MIN_VALUE - 1; // 2147483647 which is
// Integer.MAX_VALUE.
System.out.println("tooBig becomes " + tooBig);
System.out.println("tooSmall becomes " + tooSmall);
System.out.println(4.0 / 0.0); // Prints: Infinity
System.out.println(-4.0 / 0.0); // Prints: -Infinity
System.out.println(0.0 / 0.0); // Prints: NaN
double d1 = 12 / 8; // result: 1 by integer division. d1 gets the value
// 1.0.
double d2 = 12.0F / 8; // result: 1.5
System.out.println("d1 is " + d1);
System.out.println("d2 iss " + d2);
}
public static void main(String args[]) {
new ArithmeticOperatorsDemo();
}
}
ArithmeticOperatorsDemo Source code
Relational operators
Relational operators in Java are used to compare 2 or more objects. Java provides six relational operators:
greater than (>), less than (<), greater than or equal (>=), less than or equal (<=), equal (==), and not equal (!=).
All relational operators are binary operators, and their operands are numeric expressions.
Binary numeric promotion is applied to the operands of these operators. The evaluation results in a boolean value.
Relational operators have precedence lower than arithmetic operators, but higher than that of the assignment
operators. An example program is shown below that demonstrates the different relational operators in java.
public class RelationalOperatorsDemo {
public RelationalOperatorsDemo( ) {
Introduction to Java Programming
Prof. K. ADISESHAProf. K. ADISESHAProf. K. ADISESHAProf. K. ADISESHA www.adisesha.9f.com | email: adisesha1@rediffmail.com 12
int x = 10, y = 5;
System.out.println("x > y : "+(x > y));
System.out.println("x < y : "+(x < y));
System.out.println("x >= y : "+(x >= y));
System.out.println("x <= y : "+(x <= y));
System.out.println("x == y : "+(x == y));
System.out.println("x != y : "+(x != y));
}
public static void main(String args[]){
new RelationalOperatorsDemo();
}
}
RelationalOperatorsDemo Source code
Logical operators
Logical operators return a true or false value based on the state of the Variables. There are six logical, or boolean,
operators. They are AND, conditional AND, OR, conditional OR, exclusive OR, and NOT. Each argument to a
logical operator must be a boolean data type, and the result is always a boolean data type. An example program is
shown below that demonstrates the different Logical operators in java.
public class LogicalOperatorsDemo {
public LogicalOperatorsDemo() {
boolean x = true;
boolean y = false;
System.out.println("x & y : " + (x & y));
System.out.println("x && y : " + (x && y));
System.out.println("x | y : " + (x | y));
System.out.println("x || y: " + (x || y));
System.out.println("x ^ y : " + (x ^ y));
System.out.println("!x : " + (!x));
}
public static void main(String args[]) {
new LogicalOperatorsDemo();
}
}
LogicalOperatorsDemo Source code
Given that x and y represent boolean expressions, the boolean logical operators are defined in the Table below.
x y !x x & y
x && y
x | y
x || y
x ^ y
true true false true true false
true false false false true true
false true true false true true
false false true false false false
Bitwise operators
Java provides Bit wise operators to manipulate the contents of variables at the bit level.
These variables must be of numeric data type ( char, short, int, or long). Java provides seven bitwise
operators. They are AND, OR, Exclusive-OR, Complement, Left-shift, Signed Right-shift, and Unsigned Right-
shift. An example program is shown below that demonstrates the different Bit wise operators in java.
Introduction to Java Programming
Prof. K. ADISESHAProf. K. ADISESHAProf. K. ADISESHAProf. K. ADISESHA www.adisesha.9f.com | email: adisesha1@rediffmail.com 13
public class BitwiseOperatorsDemo {
public BitwiseOperatorsDemo() {
int x = 0xFAEF; //1 1 1 1 1 0 1 0 1 1 1 0 1 1 1 1
int y = 0xF8E9; //1 1 1 1 1 0 0 0 1 1 1 0 1 0 0 1
int z;
System.out.println("x & y : " + (x & y));
System.out.println("x | y : " + (x | y));
System.out.println("x ^ y : " + (x ^ y));
System.out.println("~x : " + (~x));
System.out.println("x << y : " + (x << y));
System.out.println("x >> y : " + (x >> y));
System.out.println("x >>> y : " + (x >>> y));
//There is no unsigned left shift operator
}
public static void main(String args[]) {
new BitwiseOperatorsDemo();
}
}
BitwiseOperatorsDemo Source code
The result of applying bitwise operators between two corresponding bits in the operands is shown in the Table
below.
Output
3,0,3
/*
* The below program demonstrates bitwise operators keeping in mind operator precedence
* Operator Precedence starting with the highest is -> |, ^, &
*/
public class BitwisePrecedenceEx {
public static void main(String[] args) {
int a = 1 | 2 ^ 3 & 5;
int b = ((1 | 2) ^ 3) & 5;
int c = 1 | (2 ^ (3 & 5));
System.out.print(a + "," + b + "," + c);
}
}
BitwiseOperatorsDemo2 Source code
Compound operators
The compound operators perform shortcuts in common programming operations. Java has eleven compound
assignment operators.
Syntax:
argument1 operator = argument2.
The above statement is the same as, argument1 = argument1 operator argument2. An example program is shown
below that demonstrates the different Compound operators in java.
public class CompoundOperatorsDemo {
public CompoundOperatorsDemo() {
int x = 0, y = 5;
x += 3;
A B ~A A & B A | B A ^ B
1 1 0 1 1 0
1 0 0 0 1 1
0 1 1 0 1 1
0 0 1 0 0 0
Introduction to Java Programming
Prof. K. ADISESHAProf. K. ADISESHAProf. K. ADISESHAProf. K. ADISESHA www.adisesha.9f.com | email: adisesha1@rediffmail.com 14
System.out.println("x : " + x);
y *= x;
System.out.println("y : " + y);
/*Similarly other operators can be applied as shortcuts. Other
compound assignment operators include boolean logical
, bitwiseand shift operators*/
}
public static void main(String args[]) {
new CompoundOperatorsDemo();
}
}
CompoundOperatorsDemo Source code
Conditional operators
The Conditional operator is the only ternary (operator takes three arguments) operator in Java. The operator
evaluates the first argument and, if true, evaluates the second argument. If the first argument evaluates to false,
then the third argument is evaluated. The conditional operator is the expression equivalent of the if-else statement.
The conditional expression can be nested and the conditional operator associates from right to left:
(a?b?c?d:e:f:g) evaluates as (a?(b?(c?d:e):f):g)
An example program is shown below that demonstrates the Ternary operator in java.
public class TernaryOperatorsDemo {
public TernaryOperatorsDemo() {
int x = 10, y = 12, z = 0;
z = x > y ? x : y;
System.out.println("z : " + z);
}
public static void main(String args[]) {
new TernaryOperatorsDemo();
}
}
TernaryOperatorsDemo Source code
/*
* The following programs shows that when no explicit parenthesis is used then the
conditional operator
* evaluation is from right to left
*/
public class BooleanEx1 {
static String m1(boolean b) {
return b ? "T" : "F";
}
public static void main(String[] args) {
boolean t1 = false ? false : true ? false : true ? false : true;
boolean t2 = false ? false
: (true ? false : (true ? false : true));
boolean t3 = ((false ? false : true) ? false : true) ? false
: true;
System.out.println(m1(t1) + m1(t2) + m1(t3));
}
}
Output FFT
TernaryOperatorsDemo2 Source code
Introduction to Java Programming
Prof. K. ADISESHAProf. K. ADISESHAProf. K. ADISESHAProf. K. ADISESHA www.adisesha.9f.com | email: adisesha1@rediffmail.com 15
Type conversion allows a value to be changed from one primitive data type to another. Conversion can occur
explicitly, as specified in
the program, or implicitly, by Java itself. Java allows both type widening and type narrowing conversions.
In java Conversions can occur by the following ways:
• Using a cast operator (explicit promotion)
• Using an arithmetic operator is used with arguments of different data types (arithmetic promotion)
• A value of one type is assigned to a variable of a different type (assignment promotion)
Operator Precedence
The order in which operators are applied is known as precedence. Operators with a higher precedence are applied
before operators with a lower precedence. The operator precedence order of Java is shown below. Operators at the
top of the table are applied before operators lower down in the table. If two operators have the same precedence,
they are applied in the order they appear in a statement.
That is, from left to right. You can use parentheses to override the default precedence.
postfix [] . () expr++ expr–
unary ++expr –expr +expr -expr ! ~
creation/caste new (type)expr
multiplicative * / %
additive + -
shift >> >>>
relational < <= > >= instanceof
equality == !=
bitwise AND &
bitwise exclusive OR ^
bitwise inclusive OR |
logical AND &&
logical OR ||
ternary ?:
assignment = “op=”
Example: In an operation such as, result = 4 + 5 * 3
First (5 * 3) is evaluated and the result is added to 4 giving the Final Result value as 19. Note that ‘*’ takes higher
precedence than ‘+’ according to chart shown above. This kind of precedence of one operator over another
applies to all the operators.
Java Control statements control the order of execution in a java program, based on data values and conditional
logic. There are three main categories of control flow statements;
· Selection statements: if, if-else and switch.
· Loop statements: while, do-while and for.
· Transfer statements: break, continue, return, try-catch-finally and assert.
We use control statements when we want to change the default sequential order of execution
Selection Statements
The If Statement
The if statement executes a block of code only if the specified expression is true. If the value is false, then the if
block is skipped and execution continues with the rest of the program. You can either have a single statement or a
block of code within an if statement. Note that the conditional expression must be a Boolean expression.
Introduction to Java Programming
Prof. K. ADISESHAProf. K. ADISESHAProf. K. ADISESHAProf. K. ADISESHA www.adisesha.9f.com | email: adisesha1@rediffmail.com 16
The simple if statement has the following syntax:
if (<conditional expression>)
<statement action>
Below is an example that demonstrates conditional execution based on if statement condition.
public class IfStatementDemo {
public static void main(String[] args) {
<font size=-1>
int a = 10, b = 20;
if (a > b)
System.out.println("a > b");
if (a < b)
System.out.println("b > a");
}
}
Output :b > a IfStatementDemo.java
The If-else Statement
The if/else statement is an extension of the if statement. If the statements in the if statement fails, the statements
in the else block are executed. You can either have a single statement or a block of code within if-else blocks.
Note that the conditional expression must be a Boolean expression.
The if-else statement has the following syntax:
if (<conditional expression>)
<statement action>
else
<statement action>
Below is an example that demonstrates conditional execution based on if else statement condition.
public class IfElseStatementDemo {
public static void main(String[] args) {
int a = 10, b = 20;
if (a > b) {
System.out.println("a > b");
} else {
System.out.println("b > a");
}
}}
Output: b > a IfElseStatementDemo.java
Switch Case Statement The switch case statement, also called a case statement is a multi-way branch with
several choices. A switch is easier to implement than a series of if/else statements. The switch statement begins
with a keyword, followed by an expression that equates to a no long integral value. Following the controlling
expression is a code block that contains zero or more labeled cases. Each label must equate to an integer constant
and each must be unique. When the switch statement executes, it compares the value of the controlling expression
to the values of each case label. The program will select the value of the case label that equals the value of the
controlling expression and branch down that path to the end of the code block. If none of the case label values
match, then none of the codes within the switch statement code block will be executed. Java includes a default
label to use in cases where there are no matches. We can have a nested switch within a case block of an outer
switch.
Its general form is as follows:
Introduction to Java Programming
Prof. K. ADISESHAProf. K. ADISESHAProf. K. ADISESHAProf. K. ADISESHA www.adisesha.9f.com | email: adisesha1@rediffmail.com 17
switch (<non-long integral expression>) {
case label1: <statement1>
case label2: <statement2>
…
case labeln: <statementn>
default: <statement>
} // end switch
When executing a switch statement, the program falls through to the next case. Therefore, if you want to exit in
the middle of the switch statement code block, you must insert a break statement, which causes the program to
continue executing after the current code block.
Below is a java example that demonstrates conditional execution based on nested if else statement condition to
find the greatest of 3 numbers.
public class SwitchCaseStatementDemo {
public static void main(String[] args) {
int a = 10, b = 20, c = 30;
int status = -1;
if (a > b && a > c) {
status = 1;
} else if (b > c) {
status = 2;
} else {
status = 3;
}
switch (status) {
case 1:
System.out.println("a is the greatest");
break;
case 2:
System.out.println("b is the greatest");
break;
case 3:
System.out.println("c is the greatest");
break;
default:
System.out.println("Cannot be determined");
}
}
} Output: c is the greatest
Java Access Specifiers
The access to classes, constructors, methods and fields are regulated using access modifiers i.e. a class can control
what information or data can be accessible by other classes. To take advantage of encapsulation, you should
minimize access whenever possible.Java provides a number of access modifiers to help you set the level of access
you want for classes as well as the fields, methods and constructors in your classes. A member has package or
default accessibility when no accessibility modifier is specified.
Access Modifiers
1. private
2. protected
3. default
4. public
public access modifier
Introduction to Java Programming
Prof. K. ADISESHAProf. K. ADISESHAProf. K. ADISESHAProf. K. ADISESHA www.adisesha.9f.com | email: adisesha1@rediffmail.com 18
Fields, methods and constructors declared public (least restrictive) within a public class are visible to any class in
the Java program, whether these classes are in the same package or in another package.
private access modifier
The private (most restrictive) fields or methods cannot be used for classes and Interfaces. It also cannot be used
for fields and methods within an interface. Fields, methods or constructors declared private are strictly controlled,
which means they cannot be accesses by anywhere outside the enclosing class. A standard design strategy is to
make all fields private and provide public getter methods for them.
protected access modifier
The protected fields or methods cannot be used for classes and Interfaces. It also cannot be used for fields and
methods within an interface. Fields, methods and constructors declared protected in a superclass can be accessed
only by subclasses in other packages. Classes in the same package can also access protected fields, methods and
constructors as well, even if they are not a subclass of the protected member’s class.
Default access modifier
Java provides a default specifier which is used when no access modifier is present. Any class, field, method or
constructor that has no declared access modifier is accessible only by classes in the same package. The default
modifier is not used for fields and methods within an interface.
Below is a program to demonstrate the use of public, private, protected and default access modifiers while
accessing fields and methods. The output of each of these java files depict the Java access specifies.
The first class is SubclassInSamePackage.java which is present in pckage1 package. This java file contains the
Base class and a subclass within the enclosing class that belongs to the same class as shown below.
package pckage1;
class BaseClass {
public int x = 10;
private int y = 10;
protected int z = 10;
int a = 10; //Implicit Default Access Modifier
public int getX() {
return x;
}
public void setX(int x) {
this.x = x;
}
private int getY() {
return y;
}
private void setY(int y) {
this.y = y;
}
protected int getZ() {
return z;
}
protected void setZ(int z) {
this.z = z;
}
int getA() {
return a;
}
void setA(int a) {
this.a = a;
}
}
public class SubclassInSamePackage extends BaseClass {
Introduction to Java Programming
Prof. K. ADISESHAProf. K. ADISESHAProf. K. ADISESHAProf. K. ADISESHA www.adisesha.9f.com | email: adisesha1@rediffmail.com 19
public static void main(String args[]) {
BaseClass rr = new BaseClass();
rr.z = 0;
SubclassInSamePackage subClassObj = new
SubclassInSamePackage();
//Access Modifiers - Public
System.out.println("Value of x is : " + subClassObj.x);
subClassObj.setX(20);
System.out.println("Value of x is : " + subClassObj.x);
//Access Modifiers - Public
// If we remove the comments it would result in a compilaton
// error as the fields and methods being accessed are private
/* System.out.println("Value of y is : "+subClassObj.y);
subClassObj.setY(20);
System.out.println("Value of y is : "+subClassObj.y);*/
//Access Modifiers - Protected
System.out.println("Value of z is : " + subClassObj.z);
subClassObj.setZ(30);
System.out.println("Value of z is : " + subClassObj.z);
//Access Modifiers - Default
System.out.println("Value of x is : " + subClassObj.a);
subClassObj.setA(20);
System.out.println("Value of x is : " + subClassObj.a);
}
}
Output
Value of x is : 10
Value of x is : 20
Value of z is : 10
Value of z is : 30
Value of x is : 10
Value of x is : 20
The second class is SubClassInDifferentPackage.java which is present in a different package then the first one.
This java class extends First class (SubclassInSamePackage.java).
Introduction to Java Programming
Prof. K. ADISESHAProf. K. ADISESHAProf. K. ADISESHAProf. K. ADISESHA www.adisesha.9f.com | email: adisesha1@rediffmail.com 20
import pckage1.*;
public class SubClassInDifferentPackage extends SubclassInSamePackage {
public int getZZZ() {
return z;
}
public static void main(String args[]) {
SubClassInDifferentPackage subClassDiffObj = new
SubClassInDifferentPackage();
SubclassInSamePackage subClassObj = new
SubclassInSamePackage();
//Access specifiers - Public
System.out.println("Value of x is : " + subClassObj.x);
subClassObj.setX(30);
System.out.println("Value of x is : " + subClassObj.x);
//Access specifiers - Private
// if we remove the comments it would result in a compilaton
// error as the fields and methods being accessed are private
/* System.out.println("Value of y is : "+subClassObj.y);
subClassObj.setY(20);
System.out.println("Value of y is : "+subClassObj.y);*/
//Access specifiers - Protected
// If we remove the comments it would result in a compilaton
// error as the fields and methods being accessed are protected.
/* System.out.println("Value of z is : "+subClassObj.z);
subClassObj.setZ(30);
System.out.println("Value of z is : "+subClassObj.z);*/
System.out.println("Value of z is : " + subClassDiffObj.getZZZ());
//Access Modifiers - Default
// If we remove the comments it would result in a compilaton
// error as the fields and methods being accessed are default.
/*
System.out.println("Value of a is : "+subClassObj.a);
subClassObj.setA(20);
System.out.println("Value of a is : "+subClassObj.a);*/
}
}
Output
Value of x is : 10
Value of x is : 30
Value of z is : 10
The third class is ClassInDifferentPackage.java which is present in a different package then the first one.
Introduction to Java Programming
Prof. K. ADISESHAProf. K. ADISESHAProf. K. ADISESHAProf. K. ADISESHA www.adisesha.9f.com | email: adisesha1@rediffmail.com 21
import pckage1.*;
public class ClassInDifferentPackage {
public static void main(String args[]) {
SubclassInSamePackage subClassObj = new SubclassInSamePackage();
//Access Modifiers - Public
System.out.println("Value of x is : " + subClassObj.x);
subClassObj.setX(30);
System.out.println("Value of x is : " + subClassObj.x);
//Access Modifiers - Private
// If we remove the comments it would result in a compilaton
// error as the fields and methods being accessed are private
/* System.out.println("Value of y is : "+subClassObj.y);
subClassObj.setY(20);
System.out.println("Value of y is : "+subClassObj.y);*/
//Access Modifiers - Protected
// If we remove the comments it would result in a compilaton
// error as the fields and methods being accessed are protected.
/* System.out.println("Value of z is : "+subClassObj.z);
subClassObj.setZ(30);
System.out.println("Value of z is : "+subClassObj.z);*/
//Access Modifiers - Default
// If we remove the comments it would result in a compilaton
// error as the fields and methods being accessed are default.
/* System.out.println("Value of a is : "+subClassObj.a);
subClassObj.setA(20);
System.out.println("Value of a is : "+subClassObj.a);*/
}
}
Output:
Value of x is : 10
Value of x is : 30
Introduction to Java Classes
A class is nothing but a blueprint or a template for creating different objects which defines its properties and
behaviors. Java class objects exhibit the properties and behaviors defined by its class. A class can contain fields
and methods to describe the behavior of an object.
Methods are nothing but members of a class that provide a service for an object or perform some business logic.
Java fields and member functions names are case sensitive. Current states of a class’s corresponding object are
stored in the object’s instance variables. Methods define the operations that can be performed in java
programming.
A class has the following general syntax:
<class modifiers>class<class name>
<extends clause> <implements clause>{
// Dealing with Classes (Class body)
Introduction to Java Programming
Prof. K. ADISESHAProf. K. ADISESHAProf. K. ADISESHAProf. K. ADISESHA www.adisesha.9f.com | email: adisesha1@rediffmail.com 22
<field declarations (Static and Non-Static)>
<method declarations (Static and Non-Static)>
<Inner class declarations>
<nested interface declarations>
<constructor declarations>
<Static initializer blocks>
}
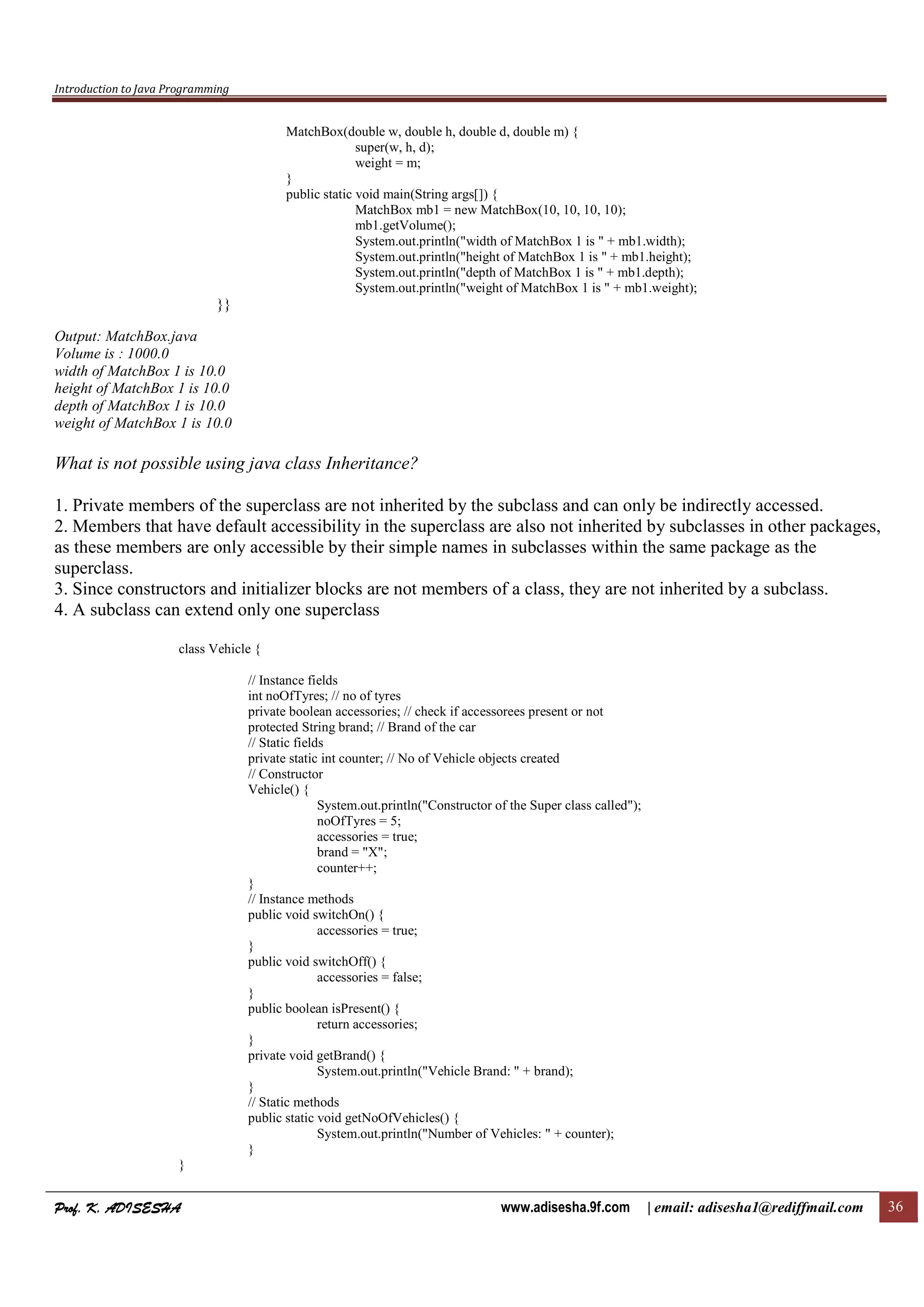
Below is an example showing the Objects and Classes of the Cube class that defines 3 fields namely length,
breadth and height. Also the class contains a member function getVolume().
public class Cube {
int length;
int breadth;
int height;
public int getVolume() {
return (length * breadth * height);
}
}
How do you reference a data member/function?
This is accomplished by stating the name of the object reference, followed by a period (dot), followed by the
name of the member inside the object.
( objectReference.member ). You call a method for an object by naming the object followed by a period (dot),
followed by the name of the method and its argument list, like this: objectName.methodName(arg1, arg2, arg3).
For example:
cubeObject.length = 4;
cubeObject.breadth = 4;
cubeObject.height = 4;
cubeObject.getvolume()
Class Variables – Static Fields
We use class variables also know as Static fields when we want to share characteristics across all objects within a
class. When you declare a field to be static, only a single instance of the associated variable is created common to
all the objects of that class. Hence when one object changes the value of a class variable, it affects all objects of
the class. We can access a class variable by using the name of the class, and not necessarily using a reference to
an individual object within the class. Static variables can be accessed even though no objects of that class exist. It
is declared using static keyword.
Class Methods – Static Methods
Class methods, similar to Class variables can be invoked without having an instance of the class. Class methods
are often used to provide global functions for Java programs. For example, methods in the java.lang.Math
package are class methods. You cannot call non-static methods from inside a static method.
Instance Variables
Instance variables stores the state of the object. Each class would have its own copy of the variable. Every object
has a state that is determined by the values stored in the object. An object is said to have changed its state when
one or more data values stored in the object have been modified. When an object responds to a message, it will
usually perform an action, change its state etc. An object that has the ability to store values is often said to have
persistence.
Introduction to Java Programming
Prof. K. ADISESHAProf. K. ADISESHAProf. K. ADISESHAProf. K. ADISESHA www.adisesha.9f.com | email: adisesha1@rediffmail.com 23
Consider this simple Java program showing the use of static fields and static methods
// Class and Object initialization showing the Object Oriented concepts in Java
class Cube {
int length = 10;
int breadth = 10;
int height = 10;
public static int numOfCubes = 0; // static variable
public static int getNoOfCubes() { //static method
return numOfCubes;
}
public Cube() {
numOfCubes++; //
}
}
public class CubeStaticTest {
public static void main(String args[]) {
System.out.println("Number of Cube objects = " + Cube.numOfCubes);
System.out.println("Number of Cube objects = "
+ Cube.getNoOfCubes());
}
}
CubeStaticTest.java
Output
Number of Cube objects = 0
Number of Cube objects = 0
Final Variable, Methods and Classes
In Java we can mark fields, methods and classes as final. Once marked as final, these items cannot be changed.
Variables defined in an interface are implicitly final. You can’t change value of a final variable (is a constant). A
final class can’t be extended i.e., final class may not be subclassed. This is done for security reasons with basic
classes like String and Integer. It also allows the compiler to make some optimizations, and makes thread safety a
little easier to achieve. A final method can’t be overridden when its class is inherited. Any attempt to override or
hide a final method will result in a compiler error.
Introduction to Java Objects
The Object Class is the super class for all classes in Java.
Some of the object class methods are
equals
toString()
wait()
notify()
notifyAll()
hashcode()
clone()
An object is an instance of a class created using a new operator. The new operator returns a reference to a new
instance of a class. This reference can be assigned to a reference variable of the class. The process of creating
objects from a class is called instantiation. An object encapsulates state and behavior.
Introduction to Java Programming
Prof. K. ADISESHAProf. K. ADISESHAProf. K. ADISESHAProf. K. ADISESHA www.adisesha.9f.com | email: adisesha1@rediffmail.com 24
An object reference provides a handle to an object that is created and stored in memory. In Java, objects can only
be manipulated via references, which can be stored in variables. Creating variables of your class type is similar to
creating variables of primitive data types, such as integer or float. Each time you create an object, a new set of
instance variables comes into existence which defines the characteristics of that object. If you want to create an
object of the class and have the reference variable associated with this object, you must also allocate memory for
the object by using the new operator. This process is called instantiating an object or creating an object instance.
When you create a new object, you use the new operator to instantiate the object. The new operator returns the
location of the object which you assign o a reference type.
Method Overloading
Method overloading results when two or more methods in the same class have the same name but different
parameters. Methods with the same name must differ in their types or number of parameters. This allows the
compiler to match parameters and choose the correct method when a number of choices exist. Changing just the
return type is not enough to overload a method, and will be a compile-time error. They must have a different
signature. When no method matching the input parameters is found, the compiler attempts to convert the input
parameters to types of greater precision. A match may then be found without error. At compile time, the right
implementation is chosen based on the signature of the method call
Below is an example of a class demonstrating Method Overloading
public class MethodOverloadDemo {
void sumOfParams() { // First Version
System.out.println("No parameters");
}
void sumOfParams(int a) { // Second Version
System.out.println("One parameter: " + a);
}
int sumOfParams(int a, int b) { // Third Version
System.out.println("Two parameters: " + a + " , " + b);
return a + b;
}
double sumOfParams(double a, double b) { // Fourth Version
System.out.println("Two double parameters: " + a + " , " + b);
return a + b;
}
public static void main(String args[]) {
MethodOverloadDemo moDemo = new MethodOverloadDemo();
int intResult;
double doubleResult;
moDemo.sumOfParams();
System.out.println();
moDemo.sumOfParams(2);
System.out.println();
intResult = moDemo.sumOfParams(10, 20);
System.out.println("Sum is " + intResult);
System.out.println();
doubleResult = moDemo.sumOfParams(1.1, 2.2);
System.out.println("Sum is " + doubleResult);
System.out.println();
}
}
MethodOverloadDemo.java
Introduction to Java Programming
Prof. K. ADISESHAProf. K. ADISESHAProf. K. ADISESHAProf. K. ADISESHA www.adisesha.9f.com | email: adisesha1@rediffmail.com 25
Output: No parameters
One parameter: 2
Two parameters: 10 , 20
Sum is 30
Two double parameters: 1.1 , 2.2
Sum is 3.3000000000000003
Below is a code snippet to shows the interfaces that a Class Implements:
Class cls = java.lang.String.class;
Class[] intfs = cls.getInterfaces();
// [java.lang.Comparable, java.lang.CharSequence, java.io.Serializable]
// The interfaces for a primitive type is an empty array
cls = int.class;
intfs = cls.getInterfaces(); // []
Below is a code snippet to show whether a Class Object Represents a Class or Interface:
Class cls = java.lang.String.class;
boolean isClass = !cls.isInterface(); // true
cls = java.lang.Cloneable.class;
isClass = !cls.isInterface(); // false
Java Constructors
A java constructor has the same name as the name of the class to which it belongs. Constructor’s syntax does
not include a return type, since constructors never return a value.
Constructors may include parameters of various types. When the constructor is invoked using the new operator,
the types must match those that are specified in the constructor definition.
Java provides a default constructor which takes no arguments and performs no special actions or initializations,
when no explicit constructors are provided.
The only action taken by the implicit default constructor is to call the superclass constructor using the super() call.
Constructor arguments provide you with a way to provide parameters for the initialization of an object. Below is
an example of a cube class containing 2 constructors. (one default and one parameterized constructor).
public class Cube1 {
int length;
int breadth;
int height;
public int getVolume() {
return (length * breadth * height);
}
Cube1() {
length = 10;
breadth = 10;
height = 10;
}
Cube1(int l, int b, int h) {
length = l;
breadth = b;
height = h;
}
public static void main(String[] args) {
Cube1 cubeObj1, cubeObj2;
Introduction to Java Programming
Prof. K. ADISESHAProf. K. ADISESHAProf. K. ADISESHAProf. K. ADISESHA www.adisesha.9f.com | email: adisesha1@rediffmail.com 26
cubeObj1 = new Cube1();
cubeObj2 = new Cube1(10, 20, 30);
System.out.println("Volume of Cube1 is : " + cubeObj1.getVolume());
System.out.println("Volume of Cube1 is : " + cubeObj2.getVolume());
}
} Cube1.java
Note: If a class defines an explicit constructor, it no longer has a default constructor to set the state of the objects.
If such a class requires a default constructor, its implementation must be provided. Any attempt to call the default
constructor will be a compile time error if an explicit default constructor is not provided in such a case.
Java Overloaded Constructors
Like methods, constructors can also be overloaded. Since the constructors in a class all have the same name as the
class, />their signatures are differentiated by their parameter lists. The above example shows that the Cube1
constructor is overloaded one being the default constructor and the other being a parameterized constructor.
It is possible to use this() construct, to implement local chaining of constructors in a class. The this() call in a
constructorinvokes the an other constructor with the corresponding parameter list within the same class. Calling
the default constructor to create a Cube object results in the second and third parameterized constructors being
called as well. Java requires that any this() call must occur as the first statement in a constructor.
Below is an example of a cube class containing 3 constructors which demostrates the this() method in
Constructors context
public class Cube2 {
int length;
int breadth;
int height;
public int getVolume() {
return (length * breadth * height);
}
Cube2() {
this(10, 10);
System.out.println("Finished with Default Constructor");
}
Cube2(int l, int b) {
this(l, b, 10);
System.out.println("Finished with Parameterized Constructor having 2
params");
}
Cube2(int l, int b, int h) {
length = l;
breadth = b;
height = h;
System.out.println("Finished with Parameterized Constructor having 3
params");
}
public static void main(String[] args) {
Cube2 cubeObj1, cubeObj2;
cubeObj1 = new Cube2();
cubeObj2 = new Cube2(10, 20, 30);
System.out.println("Volume of Cube1 is : " + cubeObj1.getVolume());
System.out.println("Volume of Cube2 is : " + cubeObj2.getVolume());
}
}
public class Cube2 {
int length;
Introduction to Java Programming
Prof. K. ADISESHAProf. K. ADISESHAProf. K. ADISESHAProf. K. ADISESHA www.adisesha.9f.com | email: adisesha1@rediffmail.com 27
int breadth;
int height;
public int getVolume() {
return (length * breadth * height);
}
Cube2() {
this(10, 10);
System.out.println("Finished with Default Constructor");
}
Cube2(int l, int b) {
this(l, b, 10);
System.out.println("Finished with Parameterized Constructor having 2
params");
}
Cube2(int l, int b, int h) {
length = l;
breadth = b;
height = h;
System.out.println("Finished with Parameterized Constructor having 3
params");
}
public static void main(String[] args) {
Cube2 cubeObj1, cubeObj2;
cubeObj1 = new Cube2();
cubeObj2 = new Cube2(10, 20, 30);
System.out.println("Volume of Cube1 is : " + cubeObj1.getVolume());
System.out.println("Volume of Cube2 is : " + cubeObj2.getVolume());
}
}
Output
Finished with Parameterized Constructor having 3 params
Finished with Parameterized Constructor having 2 params
Finished with Default Constructor
Finished with Parameterized Constructor having 3 params
Volume of Cube1 is : 1000
Volume of Cube2 is : 6000
Constructor Chaining
Every constructor calls its superclass constructor. An implied super() is therefore included in each constructor
which does not include either the this() function or an explicit super() call as its first statement. The super()
statement invokes a constructor of the super class.
The implicit super() can be replaced by an explicit super(). The super statement must be the first statement of the
constructor.
The explicit super allows parameter values to be passed to the constructor of its superclass and must have
matching parameter types A super() call in the constructor of a subclass will result in the call of the relevant
constructor from the superclass, based on the signature of the call. This is called constructor chaining.
Below is an example of a class demonstrating constructor chaining using super() method.
class Cube {
int length;
int breadth;
int height;
public int getVolume() {
return (length * breadth * height);
}
Introduction to Java Programming
Prof. K. ADISESHAProf. K. ADISESHAProf. K. ADISESHAProf. K. ADISESHA www.adisesha.9f.com | email: adisesha1@rediffmail.com 28
Cube() {
this(10, 10);
System.out.println("Finished with Default Constructor of Cube");
}
Cube(int l, int b) {
this(l, b, 10);
System.out.println("Finished with Parameterized Constructor having
}
Cube(int l, int b, int h) {
length = l;
breadth = b;
height = h;
System.out.println("Finished with Parameterized Constructor having
}
}
public class SpecialCube extends Cube {
int weight;
SpecialCube() {
super();
weight = 10;
}
SpecialCube(int l, int b) {
this(l, b, 10);
System.out.println("Finished with Parameterized Constructor having
}
SpecialCube(int l, int b, int h) {
super(l, b, h);
weight = 20;
System.out.println("Finished with Parameterized Constructor having
}
public static void main(String[] args) {
SpecialCube specialObj1 = new SpecialCube();
SpecialCube specialObj2 = new SpecialCube(10, 20);
System.out.println("Volume of SpecialCube1 is : "
+ specialObj1.getVolume());
System.out.println("Weight of SpecialCube1 is : "
+ specialObj1.weight);
System.out.println("Volume of SpecialCube2 is : "
+ specialObj2.getVolume());
System.out.println("Weight of SpecialCube2 is : "
+ specialObj2.weight);
}
}
Output: SpecialCube.java
Finished with Parameterized Constructor having 3 params of SpecialCube
Finished with Parameterized Constructor having 2 params of SpecialCube
Volume of SpecialCube1 is : 1000
Weight of SpecialCube1 is : 10
Volume of SpecialCube2 is : 2000
Weight of SpecialCube2 is : 20
The super() construct as with this() construct: if used, must occur as the first statement in a constructor, and it can
only be used in a constructor declaration. This implies that this() and super() calls cannot both occur in the same
constructor. Just as the this() construct leads to chaining of constructors in the same class, the super() construct
Introduction to Java Programming
Prof. K. ADISESHAProf. K. ADISESHAProf. K. ADISESHAProf. K. ADISESHA www.adisesha.9f.com | email: adisesha1@rediffmail.com 29
leads to chaining of subclass constructors to superclass constructors.
if a constructor has neither a this() nor a super() construct as its first statement, then a super() call to the default
constructor in the superclass is inserted.
Note: If a class only defines non-default constructors, then its subclasses will not include an implicit super() call.
This will be flagged as a compile-time error. The subclasses must then explicitly call a superclass constructor,
using the super() construct with the right arguments to match the appropriate constructor of the superclass.
Below is an example of a class demonstrating constructor chaining using explicit super() call.
class Cube {
int length;
int breadth;
int height;
public int getVolume() {
return (length * breadth * height);
}
Cube(int l, int b, int h) {
length = l;
breadth = b;
height = h;
System.out.println("Finished with Parameterized Constructor having
3 params of Cube");
}
}
public class SpecialCube1 extends Cube {
int weight;
SpecialCube1() {
super(10, 20, 30); //Will Give a Compilation Error without this line
weight = 10;
}
public static void main(String[] args) {
SpecialCube1 specialObj1 = new SpecialCube1();
System.out.println("Volume of SpecialCube1 is : "+
specialObj1.getVolume());
}
}
Output: Finished with Parameterized Constructor having 3 params of Cube
Volume of SpecialCube1 is : 6000
Java Serialization
Introduction to Object Serialization
Java object serialization is used to persist Java objects to a file, database, network, process or any other system.
Serialization flattens objects into an ordered, or serialized stream of bytes. The ordered stream of bytes can then
be read at a later time, or in another environment, to recreate the original objects.
Java serialization does not cannot occur for transient or static fields. Marking the field transient prevents the state
from being written to the stream and from being restored during deserialization. Java provides classes to support
writing objects to streams and restoring objects from streams. Only objects that support the java.io.Serializable
interface or the java.io.Externalizable interface can be written to streams. public interface Serializable
• The Serializable interface has no methods or fields. (Marker Interface)
• Only objects of classes that implement java.io.Serializable interface can be serialized or deserialized
Introduction to Java Programming
Prof. K. ADISESHAProf. K. ADISESHAProf. K. ADISESHAProf. K. ADISESHA www.adisesha.9f.com | email: adisesha1@rediffmail.com 30
Transient Fields and Java Serialization
The transient keyword is a modifier applied to instance variables in a class. It specifies that the variable is not part
of the persistent state of the object and thus never saved during serialization.
You can use the transient keyword to describe temporary variables, or variables that contain local information,
such as a process ID or a time lapse.
Input and Output Object Streams
ObjectOutputStream is the primary output stream class that implements the ObjectOutput interface for serializing
objects. ObjectInputStream is the primary input stream class that implements the ObjectInput interface for
deserializing objects.
These high-level streams are each chained to a low-level stream, such as FileInputStream or FileOutputStream.
The low-level streams handle the bytes of data. The writeObject method saves the state of the class by writing the
individual fields to the ObjectOutputStream. The readObject method is used to deserialize the object from
the object input stream.
Case 1: Below is an example that demonstrates object Serialization into a File
PersonDetails is the bean class that implements the Serializable interface
import java.io.Serializable;
public class PersonDetails implements Serializable {
private String name;
private int age;
private String sex;
public PersonDetails(String name, int age, String sex) {
this.name = name;
this.age = age;
this.sex = sex;
}
public int getAge() {
return age;
}
public void setAge(int age) {
this.age = age;
}
public String getName() {
return name;
}
public void setName(String name) {
this.name = name;
}
public String getSex() {
return sex;
}
public void setSex(String sex) {
this.sex = sex;
}}
GetPersonDetails is the class that is used to Deserialize object from the File (person.txt).
Introduction to Java Programming
Prof. K. ADISESHAProf. K. ADISESHAProf. K. ADISESHAProf. K. ADISESHA www.adisesha.9f.com | email: adisesha1@rediffmail.com 31
import java.io.FileInputStream;
import java.io.IOException;
import java.io.ObjectInputStream;
import java.util.ArrayList;
import java.util.List;
public class GetPersonDetails {
public static void main(String[] args) {
String filename = "person.txt";
List pDetails = null;
FileInputStream fis = null;
ObjectInputStream in = null;
try {
fis = new FileInputStream(filename);
in = new ObjectInputStream(fis);
pDetails = (ArrayList) in.readObject();
in.close();
} catch (IOException ex) {
ex.printStackTrace();
} catch (ClassNotFoundException ex) {
ex.printStackTrace();
}
// print out the size
System.out.println("Person Details Size: " + pDetails.size());
System.out.println();
}
}
PersonPersist is the class that is used to serialize object into the File (person.txt).
public class PersonPersist {
public static void main(String[] args) {
String filename = "person.txt";
PersonDetails person1 = new PersonDetails("hemanth", 10, "Male");
PersonDetails person2 = new PersonDetails("bob", 12, "Male");
PersonDetails person3 = new PersonDetails("Richa", 10, "Female");
List list = new ArrayList();
list.add(person1);
list.add(person2);
list.add(person3);
FileOutputStream fos = null;
ObjectOutputStream out = null;
try {
fos = new FileOutputStream(filename);
out = new ObjectOutputStream(fos);
out.writeObject(list);
out.close();
System.out.println("Object Persisted");
} catch (IOException ex) {
ex.printStackTrace();
}
}
}
Case 2: Below is an example that demonstrates object Serialization into the database
Introduction to Java Programming
Prof. K. ADISESHAProf. K. ADISESHAProf. K. ADISESHAProf. K. ADISESHA www.adisesha.9f.com | email: adisesha1@rediffmail.com 32
PersonDetails remains the same as shown above
GetPersonDetails remains the same as shown above
Create SerialTest Table
create table SerialTest(
name BLOB,
viewname VARCHAR2(30)
);
PersonPersist is the class that is used to serialize object into the into the Database Table SerialTest.
import java.io.ByteArrayInputStream;
import java.io.ByteArrayOutputStream;
import java.io.IOException;
import java.io.ObjectInputStream;
import java.io.ObjectOutputStream;
import java.sql.Connection;
import java.sql.DriverManager;
import java.sql.PreparedStatement;
import java.sql.ResultSet;
import java.sql.SQLException;
import java.sql.Statement;
public class PersonPersist {
static String userid = "scott", password = "tiger";
static String url = "jdbc:odbc:bob";
static int count = 0;
static Connection con = null;
public static void main(String[] args) {
Connection con = getOracleJDBCConnection();
PersonDetails person1 = new PersonDetails("hemanth", 10, "Male");
PersonDetails person2 = new PersonDetails("bob", 12, "Male");
PersonDetails person3 = new PersonDetails("Richa", 10, "Female");
PreparedStatement ps;
try {
ps = con.prepareStatement("INSERT INTO SerialTest VALUES (?, ?)");
write(person1, ps);
ps.execute();
write(person2, ps);
ps.execute();
write(person3, ps);
ps.execute();
ps.close();
Statement st = con.createStatement();
ResultSet rs = st.executeQuery("SELECT * FROM SerialTest");
while (rs.next()) {
Object obj = read(rs, "Name");
PersonDetails p = (PersonDetails) obj;
System.out.println(p.getName() + "t" + p.getAge() + "t"
+ p.getSex());
}
rs.close();
st.close();
} catch (Exception e) {
}
}
public static void write(Object obj, PreparedStatement ps)
throws SQLException, IOException {
ByteArrayOutputStream baos = new ByteArrayOutputStream();
ObjectOutputStream oout = new ObjectOutputStream(baos);
oout.writeObject(obj);
oout.close();
ps.setBytes(1, baos.toByteArray());
ps.setInt(2, ++count);
}
public static Object read(ResultSet rs, String column)
throws SQLException, IOException, ClassNotFoundException {
byte[] buf = rs.getBytes(column);
if (buf != null) {
ObjectInputStream objectIn = new ObjectInputStream(
Introduction to Java Programming
Prof. K. ADISESHAProf. K. ADISESHAProf. K. ADISESHAProf. K. ADISESHA www.adisesha.9f.com | email: adisesha1@rediffmail.com 33
new ByteArrayInputStream(buf));
return objectIn.readObject();
}
return null;
}
public static Connection getOracleJDBCConnection() {
try {
Class.forName("sun.jdbc.odbc.JdbcOdbcDriver");
} catch (java.lang.ClassNotFoundException e) {
System.err.print("ClassNotFoundException: ");
System.err.println(e.getMessage());
}
try {
con = DriverManager.getConnection(url, userid, password);
} catch (SQLException ex) {
System.err.println("SQLException: " + ex.getMessage());
}
return con;
}
}
Case 3: Below is an example that demonstrates object Serialization into the database using Base 64 Encoder
PersonDetails remains the same as shown above
GetPersonDetails remains the same as shown above
Create SerialTest Table
create table SerialTest(
name BLOB,
viewname VARCHAR2(30)
);
PersonPersist is the class that is used to serialize object into the Database Table SerialTest
import java.io.ByteArrayInputStream;
import java.io.ByteArrayOutputStream;
import java.io.IOException;
import java.io.ObjectInputStream;
import java.io.ObjectOutputStream;
import java.sql.Connection;
import java.sql.DriverManager;
import java.sql.PreparedStatement;
import java.sql.ResultSet;
import java.sql.SQLException;
import java.sql.Statement;
public class PersonPersist {
static String userid = "scott", password = "tiger";
static String url = "jdbc:odbc:bob";
static int count = 0;
static Connection con = null;
static String s;
public static void main(String[] args) {
Connection con = getOracleJDBCConnection();
PersonDetails person1 = new PersonDetails("hemanth", 10, "Male");
PersonDetails person2 = new PersonDetails("bob", 12, "Male");
PersonDetails person3 = new PersonDetails("Richa", 10, "Female");
PreparedStatement ps;
try {
ps = con.prepareStatement("INSERT INTO SerialTest VALUES (?, ?)");
write(person1, ps);
ps.execute();
write(person2, ps);
ps.execute();
write(person3, ps);
ps.execute();
Introduction to Java Programming
Prof. K. ADISESHAProf. K. ADISESHAProf. K. ADISESHAProf. K. ADISESHA www.adisesha.9f.com | email: adisesha1@rediffmail.com 34
ps.close();
Statement st = con.createStatement();
ResultSet rs = st.executeQuery("SELECT * FROM SerialTest");
while (rs.next()) {
Object obj = read(rs, "Name");
PersonDetails p = (PersonDetails) obj;
System.out.println(p.getName() + "t" + p.getAge() + "t"+ .getSex());
}
rs.close();
st.close();
} catch (Exception e) {
}
}
public static void write(Object obj, PreparedStatement ps)
throws SQLException, IOException {
ByteArrayOutputStream baos = new ByteArrayOutputStream();
ObjectOutputStream oout = new ObjectOutputStream(baos);
oout.writeObject(obj);
oout.close();
byte[] buf = baos.toByteArray();
s = new sun.misc.BASE64Encoder().encode(buf);
ps.setString(1, s);
// ps.setBytes(1, Base64.byteArrayToBase64(baos.toByteArray()));
ps.setBytes(1, baos.toByteArray());
ps.setInt(2, ++count);
}
public static Object read(ResultSet rs, String column)
throws SQLException, IOException, ClassNotFoundException {
byte[] buf = new sun.misc.BASE64Decoder().decodeBuffer(s);
// byte[] buf = Base64.base64ToByteArray(new
// String(rs.getBytes(column)));
if (buf != null) {
ObjectInputStream objectIn = new ObjectInputStream(
new ByteArrayInputStream(buf));
Object obj = objectIn.readObject(); // Contains the object
PersonDetails p = (PersonDetails) obj;
System.out.println(p.getName() + "t" + p.getAge() + "t"
+ p.getSex());
}
return null;
}
public static Connection getOracleJDBCConnection() {
try {
Class.forName("sun.jdbc.odbc.JdbcOdbcDriver");
} catch (java.lang.ClassNotFoundException e) {
System.err.print("ClassNotFoundException: ");
System.err.println(e.getMessage());
}
try {
con = DriverManager.getConnection(url, userid, password);
} catch (SQLException ex) {
System.err.println("SQLException: " + ex.getMessage());
}
return con;
}
}
Below is a program that shows the serialization of a JButton object to a file and a Byte Array Stream. As before
theobject to be serialized must implement the Serializable interface.
PersonDetails is the bean class that implements the Serializable interface
Introduction to Java Programming
Prof. K. ADISESHAProf. K. ADISESHAProf. K. ADISESHAProf. K. ADISESHA www.adisesha.9f.com | email: adisesha1@rediffmail.com 35
import java.io.ByteArrayOutputStream;
import java.io.FileOutputStream;
import java.io.ObjectOutput;
import java.io.ObjectOutputStream;
public class ObjectSerializationExample {
public static void main(String args[]) {
try {
Object object = new javax.swing.JButton("Submit");
// Serialize to a file namely "filename.dat"
ObjectOutput out = new ObjectOutputStream(
new FileOutputStream("filename.dat"));
out.writeObject(object);
out.close();
// Serialize to a byte array
ByteArrayOutputStream bos = new ByteArrayOutputStream();
out = new ObjectOutputStream(bos);
out.writeObject(object);
out.close();
// Get the bytes of the serialized object
byte[] buf = bos.toByteArray();
} catch (Exception e) {
e.printStackTrace();
}
}
}
Java Inheritance
Java Inheritance defines an is-a relationship between a superclass and its subclasses. This means that an object of
a subclass can be used wherever an object of the superclass can be used. Class Inheritance in java mechanism is
used to build new classes from existing classes. The inheritance relationship is transitive: if class x extends class
y, then a class z, which extends class x, will also inherit from class y.
For example a car class can inherit some properties from a General vehicle class. Here we find that the base class
is the vehicle class and the subclass is the more specific car class. A subclass must use the extends clause to
derive from a super class which must be written in the header of the subclass definition. The subclass inherits
members of the superclass and hence promotes code reuse. The subclass itself can add its own new behavior and
properties. The java.lang.Object class is always at the top of any Class inheritance hierarchy.
class Box {
double width;
double height;
double depth;
Box() {
}
Box(double w, double h, double d) {
width = w;
height = h;
depth = d;
}
void getVolume() {
System.out.println("Volume is : " + width * height * depth);
}
}
public class MatchBox extends Box {
double weight;
MatchBox() {
}
Introduction to Java Programming
Prof. K. ADISESHAProf. K. ADISESHAProf. K. ADISESHAProf. K. ADISESHA www.adisesha.9f.com | email: adisesha1@rediffmail.com 36
MatchBox(double w, double h, double d, double m) {
super(w, h, d);
weight = m;
}
public static void main(String args[]) {
MatchBox mb1 = new MatchBox(10, 10, 10, 10);
mb1.getVolume();
System.out.println("width of MatchBox 1 is " + mb1.width);
System.out.println("height of MatchBox 1 is " + mb1.height);
System.out.println("depth of MatchBox 1 is " + mb1.depth);
System.out.println("weight of MatchBox 1 is " + mb1.weight);
}}
Output: MatchBox.java
Volume is : 1000.0
width of MatchBox 1 is 10.0
height of MatchBox 1 is 10.0
depth of MatchBox 1 is 10.0
weight of MatchBox 1 is 10.0
What is not possible using java class Inheritance?
1. Private members of the superclass are not inherited by the subclass and can only be indirectly accessed.
2. Members that have default accessibility in the superclass are also not inherited by subclasses in other packages,
as these members are only accessible by their simple names in subclasses within the same package as the
superclass.
3. Since constructors and initializer blocks are not members of a class, they are not inherited by a subclass.
4. A subclass can extend only one superclass
class Vehicle {
// Instance fields
int noOfTyres; // no of tyres
private boolean accessories; // check if accessorees present or not
protected String brand; // Brand of the car
// Static fields
private static int counter; // No of Vehicle objects created
// Constructor
Vehicle() {
System.out.println("Constructor of the Super class called");
noOfTyres = 5;
accessories = true;
brand = "X";
counter++;
}
// Instance methods
public void switchOn() {
accessories = true;
}
public void switchOff() {
accessories = false;
}
public boolean isPresent() {
return accessories;
}
private void getBrand() {
System.out.println("Vehicle Brand: " + brand);
}
// Static methods
public static void getNoOfVehicles() {
System.out.println("Number of Vehicles: " + counter);
}
}
Introduction to Java Programming
Prof. K. ADISESHAProf. K. ADISESHAProf. K. ADISESHAProf. K. ADISESHA www.adisesha.9f.com | email: adisesha1@rediffmail.com 37
class Car extends Vehicle {
private int carNo = 10;
public void printCarInfo() {
System.out.println("Car number: " + carNo);
System.out.println("No of Tyres: " + noOfTyres); // Inherited.
// System.out.println("accessories: " + accessories); // Not Inherited.
System.out.println("accessories: " + isPresent()); // Inherited.
// System.out.println("Brand: " + getBrand()); // Not Inherited.
System.out.println("Brand: " + brand); // Inherited.
// System.out.println("Counter: " + counter); // Not Inherited.
getNoOfVehicles(); // Inherited.
}
}
public class VehicleDetails { // (3)
public static void main(String[] args) {
new Car().printCarInfo();
}
}
Output: VehicleDetails.java
Constructor of the Super class called
Car number: 10
No of Tyres: 5
accessories: true
Brand: X
Number of Vehicles: 1
this and super keywords
The two keywords, this and super to help you explicitly name the field or method that you want. Using this and
super you have full control on whether to call a method or field present in the same class or to call from the
immediate superclass. This keyword is used as a reference to the current object which is an instance of the current
class. The keyword super also references the current object, but as an instance of the current class’s super class.
The this reference to the current object is useful in situations where a local variable hides, or shadows, a field with
the same name. If a method needs to pass the current object to another method, it can do so using the this
reference. Note that the this reference cannot be used in a static context, as static code is not executed in the
context of any object.
class Counter {
int i = 0;
Counter increment() {
i++;
return this;
}
void print() {
System.out.println("i = " + i);
}
}
public class CounterDemo extends Counter {
public static void main(String[] args) {
Counter x = new Counter();
x.increment().increment().increment().print();
}
}
Output
Introduction to Java Programming
Prof. K. ADISESHAProf. K. ADISESHAProf. K. ADISESHAProf. K. ADISESHA www.adisesha.9f.com | email: adisesha1@rediffmail.com 38
Volume is : 1000.0
width of MatchBox 1 is 10.0
height of MatchBox 1 is 10.0
depth of MatchBox 1 is 10.0
weight of MatchBox 1 is 10.0
Java Object Typecasting
Object Reference Type Casting
In java object typecasting one object reference can be type cast into another object reference. The cast can be
to its own class type or to one of its subclass or superclass types or interfaces. There are compile-time rules and
runtime rules for casting in java.
How to Typecast Objects with a dynamically loaded Class ? - The casting of object references depends on the
relationship of the classes involved in the same hierarchy. Any object reference can be assigned to a reference
variable of the type Object, because the Object class is a superclass of every Java class.
There can be 2 casting java scenarios
· Upcasting
· Downcasting
When we cast a reference along the class hierarchy in a direction from the root class towards the children or
subclasses, it is a downcast. When we cast a reference along the class hierarchy in a direction from the sub classes
towards the root, it is an upcast. We need not use a cast operator in this case.
The compile-time rules are there to catch attempted casts in cases that are simply not possible. This happens when
we try to attempt casts on objects that are totally unrelated (that is not subclass super class relationship or a class-
interface relationship) At runtime a ClassCastException is thrown if the object being cast is not compatible with
the new type it is being cast to.
Below is an example showing when a ClassCastException can occur during object casting
//X is a supper class of Y and Z which are sibblings.
public class RunTimeCastDemo {
public static void main(String args[]) {
X x = new X();
Y y = new Y();
Z z = new Z();
X xy = new Y(); // compiles ok (up the hierarchy)
X xz = new Z(); // compiles ok (up the hierarchy)
// Y yz = new Z(); incompatible type (siblings)
// Y y1 = new X(); X is not a Y
// Z z1 = new X(); X is not a Z
X x1 = y; // compiles ok (y is subclass of X)
X x2 = z; // compiles ok (z is subclass of X)
Y y1 = (Y) x; // compiles ok but produces runtime error
Z z1 = (Z) x; // compiles ok but produces runtime error
Y y2 = (Y) x1; // compiles and runs ok (x1 is type Y)
Z z2 = (Z) x2; // compiles and runs ok (x2 is type Z)
// Y y3 = (Y) z; inconvertible types (siblings)
// Z z3 = (Z) y; inconvertible types (siblings)
Object o = z;
Object o1 = (Y) o; // compiles ok but produces runtime error
}
}
ClassCastException example Source Code
Introduction to Java Programming
Prof. K. ADISESHAProf. K. ADISESHAProf. K. ADISESHAProf. K. ADISESHA www.adisesha.9f.com | email: adisesha1@rediffmail.com 39
Casting Object References: Implicit Casting using a Compiler
In general an implicit cast is done when an Object reference is assigned (cast) to:
* A reference variable whose type is the same as the class from which the object was instantiated.
An Object as Object is a super class of every Class.
* A reference variable whose type is a super class of the class from which the object was instantiated.
* A reference variable whose type is an interface that is implemented by the class from which the object was
instantiated.
* A reference variable whose type is an interface that is implemented by a super class of the class from which the
object was instantiated.
Consider an interface Vehicle, a super class Car and its subclass Ford. The following example shows the
automatic conversion of object references handled by the compiler
interface Vehicle {
}
class Car implements Vehicle {
}
class Ford extends Car {
}
Let c be a variable of type Car class and f be of class Ford and v be an vehicle interface reference. We can assign
the Ford reference to the Car variable:
I.e. we can do the following
Example 1
c = f; //Ok Compiles fine
Where c = new Car();
And, f = new Ford();
The compiler automatically handles the conversion (assignment) since the types are compatible (sub class - super
class relationship), i.e., the type Car can hold the type Ford since a Ford is a Car.
Example 2
v = c; //Ok Compiles fine
c = v; // illegal conversion from interface type to class type results in compilation error
Where c = new Car();
And v is a Vehicle interface reference (Vehicle v)
The compiler automatically handles the conversion (assignment) since the types are compatible (class – interface
relationship), i.e., the type Car can be cast to Vehicle interface type since Car implements Vehicle Interface. (Car
is a Vehicle).
Casting Object References: Explicit Casting
Sometimes we do an explicit cast in java when implicit casts don’t work or are not helpful for a particular
scenario. The explicit cast is nothing but the name of the new “type” inside a pair of matched parentheses. As
before, we consider the same Car and Ford Class
Introduction to Java Programming
Prof. K. ADISESHAProf. K. ADISESHAProf. K. ADISESHAProf. K. ADISESHA www.adisesha.9f.com | email: adisesha1@rediffmail.com 40
class Car {
void carMethod(){
}
}
class Ford extends Car {
void fordMethod () {
}
}
We also have a breakingSystem() function which takes Car reference (Superclass reference) as an input
parameter.
The method will invoke carMethod() regardless of the type of object (Car or Ford Reference) and if it is a Ford
object, it will also invoke fordMethod(). We use the instanceof operator to determine the type of object at run
time.
public void breakingSystem (Car obj) {
obj.carMethod();
if (obj instanceof Ford) ((Ford)obj).fordMethod ();
}
To invoke the fordMethod(), the operation (Ford)obj tells the compiler to treat the Car object referenced by obj as
if it is a Ford object. Without the cast, the compiler will give an error message indicating that fordMethod()
cannot be found in the Car definition.
The following program shown illustrates the use of the cast operator with references.
Note: Classes Honda and Ford are Siblings in the class Hierarchy. Both these classes are subclasses of Class Car.
Both Car and HeavyVehicle Class extend Object Class. Any class that does not explicitly extend some other class
will automatically extends the Object by default. This code instantiates an object of the class Ford and assigns the
object’s reference to a reference variable of type Car. This assignment is allowed as Car is a superclass of Ford. In
order to use a reference of a class type to invoke a method, the method must be defined at or above that class in
the class hierarchy. Hence an object of Class Car cannot invoke a method present in Class Ford, since the method
fordMethod is not present in Class Car or any of its superclasses. Hence this problem can be colved by a simple
downcast by casting the Car object reference to the Ford Class Object reference as done in the program. Also an
attempt to cast an object reference to its Sibling Object reference produces a ClassCastException at runtime,
although compilation happens without any error.
One common casting that is performed when dealing with collections is, you can cast an object reference into a
String.
import java.util.Vector;
public class StringCastDemo {
public static void main(String args[]) {
String username = "asdf";
String password = "qwer";
Vector v = new Vector();
v.add(username);
v.add(password);
// String u = v.elementAt(0); Cannot convert from object to String
Object u = v.elementAt(0); //Cast not done
System.out.println("Username : " + u);
String uname = (String) v.elementAt(0); // cast allowed
String pass = (String) v.elementAt(1); // cast allowed
System.out.println();
Introduction to Java Programming
Prof. K. ADISESHAProf. K. ADISESHAProf. K. ADISESHAProf. K. ADISESHA www.adisesha.9f.com | email: adisesha1@rediffmail.com 41
System.out.println("Username : " + uname);
System.out.println("Password : " + pass);
}
}
Object String Casting Source Code
Output
Username : asdf
Username : asdf
Password : qwer
instanceof Operator
The instanceof operator is called the type comparison operator, lets you determine if an object belongs to a
specific class, or implements a specific interface. It returns true if an object is an instance of the class or if the
object implements the interface, otherwise it returns false.
Below is an example showing the use of instanceof operator
class Vehicle {
String name;
Vehicle() {
name = "Vehicle";
}
}
class HeavyVehicle extends Vehicle {
HeavyVehicle() {
name = "HeavyVehicle";
}
}
class Truck extends HeavyVehicle {
Truck() {
name = "Truck";
}
}
class LightVehicle extends Vehicle {
LightVehicle() {
name = "LightVehicle";
}
}
public class InstanceOfExample {
static boolean result;
static HeavyVehicle hV = new HeavyVehicle();
static Truck T = new Truck();
static HeavyVehicle hv2 = null;
public static void main(String[] args) {
result = hV instanceof HeavyVehicle;
System.out.print("hV is an HeavyVehicle: " + result + "n");
result = T instanceof HeavyVehicle;
System.out.print("T is an HeavyVehicle: " + result + "n");
result = hV instanceof Truck;
System.out.print("hV is a Truck: " + result + "n");
Introduction to Java Programming
Prof. K. ADISESHAProf. K. ADISESHAProf. K. ADISESHAProf. K. ADISESHA www.adisesha.9f.com | email: adisesha1@rediffmail.com 42
result = hv2 instanceof HeavyVehicle;
System.out.print("hv2 is an HeavyVehicle: " + result + "n");
hV = T; //Sucessful Cast form child to parent
T = (Truck) hV; //Sucessful Explicit Cast form parent to child
}
}
Output: instanceof operator Source Code
hV is an HeavyVehicle: true
T is an HeavyVehicle: true
hV is a Truck: false
hv2 is an HeavyVehicle: false
Note: hv2 does not yet reference an HeavyVehicle object, instanceof returns false. Also we can’t use instanceof
operator with siblings
Java Abstract class and Interface
Abstract Class in java
Java Abstract classes are used to declare common characteristics of subclasses. An abstract class cannot be
instantiated. It can only be used as a superclass for other classes that extend the abstract class. Abstract classes are
declared with the abstract keyword. Abstract classes are used to provide a template or design for concrete
subclasses down the inheritance tree.
Like any other class, an abstract class can contain fields that describe the characteristics and methods that
describe the actions that a class can perform. An abstract class can include methods that contain no
implementation. These are called abstract methods. The abstract method declaration must then end with a
semicolon rather than a block. If a class has any abstract methods, whether declared or inherited, the entire class
must be declared abstract. Abstract methods are used to provide a template for the classes that inherit the abstract
methods.
Abstract classes cannot be instantiated; they must be subclassed, and actual implementations must be provided for
the abstract methods. Any implementation specified can, of course, be overridden by additional subclasses. An
object must have an implementation for all of its methods. You need to create a subclass that provides an
implementation for the abstract method.
A class abstract Vehicle might be specified as abstract to represent the general abstraction of a vehicle, as creating
instances of the class would not be meaningful.
abstract class Vehicle {
int numofGears;
String color;
abstract boolean hasDiskBrake();
abstract int getNoofGears();
}
Example of a shape class as an abstract class
abstract class Shape {
public String color;
public Shape() {
}
public void setColor(String c) {
color = c;
}
public String getColor() {
return color;
}
abstract public double area();
}
Introduction to Java Programming
Prof. K. ADISESHAProf. K. ADISESHAProf. K. ADISESHAProf. K. ADISESHA www.adisesha.9f.com | email: adisesha1@rediffmail.com 43
We can also implement the generic shapes class as an abstract class so that we can draw lines, circles, triangles
etc. All shapes have some common fields and methods, but each can, of course, add more fields and methods. The
abstract class guarantees that each shape will have the same set of basic properties. We declare this class abstract
because there is no such thing as a generic shape. There can only be concrete shapes such as squares, circles,
triangles etc.
public class Point extends Shape {
static int x, y;
public Point() {
x = 0;
y = 0;
}
public double area() {
return 0;
}
public double perimeter() {
return 0;
}
public static void print() {
System.out.println("point: " + x + "," + y);
}
public static void main(String args[]) {
Point p = new Point();
p.print();
}
}
Output: point: 0, 0
Notice that, in order to create a Point object, its class cannot be abstract. This means that all of the abstract
methods of the Shape class must be implemented by the Point class.
The subclass must define an implementation for every abstract method of the abstract superclass, or the subclass
itself will also be abstract. Similarly other shape objects can be created using the generic Shape Abstract class.
A big Disadvantage of using abstract classes is not able to use multiple inheritance. In the sense, when a class
extends an abstract class, it can’t extend any other class.
Java Interface
In Java, this multiple inheritance problem is solved with a powerful construct called interfaces. Interface can be
used to define a generic template and then one or more abstract classes to define partial implementations of the
interface. Interfaces just specify the method declaration (implicitly public and abstract) and can only contain
fields (which are implicitly public static final). Interface definition begins with a keyword interface. An interface
like that of an abstract class cannot be instantiated.
Multiple Inheritance is allowed when extending interfaces i.e. one interface can extend none, one or more
interfaces. Java does not support multiple inheritance, but it allows you to extend one class and implement many
interfaces.
If a class that implements an interface does not define all the methods of the interface, then it must be declared
abstract and the method definitions must be provided by the subclass that extends the abstract class.
Example 1: Below is an example of a Shape interface
interface Shape {
public double area();
public double volume();
}
Introduction to Java Programming
Prof. K. ADISESHAProf. K. ADISESHAProf. K. ADISESHAProf. K. ADISESHA www.adisesha.9f.com | email: adisesha1@rediffmail.com 44
Below is a Point class that implements the Shape interface.
public class Point implements Shape {
static int x, y;
public Point() {
x = 0;
y = 0;
}
public double area() {
return 0;
}
public double volume() {
return 0;
}
public static void print() {
System.out.println("point: " + x + "," + y);
}
public static void main(String args[]) {
Point p = new Point();
p.print();
}
}
Similarly, other shape objects can be created by interface programming by implementing generic Shape Interface.
Example 2: Below is a java interfaces program showing the power of interface programming in java
Listing below shows 2 interfaces and 4 classes one being an abstract class.
Note: The method toString in class A1 is an overridden version of the method defined in the class named Object.
The classes B1 and C1 satisfy the interface contract. But since the class D1 does not define all the methods of the
implemented interface I2, the class D1 is declared abstract.
Also,
i1.methodI2() produces a compilation error as the method is not declared in I1 or any of its super interfaces if
present. Hence a downcast of interface reference I1 solves the problem as shown in the program. The same
problem applies to i1.methodA1 (), which is again resolved by a downcast.
When we invoke the toString() method which is a method of an Object, there does not seem to be any problem as
every interface or class extends Object and any class can override the default toString() to suit your application
needs. ((C1)o1).methodI1() compiles successfully, but produces a ClassCastException at runtime. This is because
B1 does not have any relationship with C1 except they are “siblings”. You can’t cast siblings into one another.
When a given interface method is invoked on a given reference, the behavior that results will be appropriate to the
class from which that particular object was instantiated. This is runtime polymorphism based on interfaces and
overridden methods.
interface I1 {
void methodI1(); // public static by default
}
interface I2 extends I1 {
void methodI2(); // public static by default
}
class A1 {
public String methodA1() {
String strA1 = "I am in methodC1 of class A1";
return strA1;
}
public String toString() {
Introduction to Java Programming
Prof. K. ADISESHAProf. K. ADISESHAProf. K. ADISESHAProf. K. ADISESHA www.adisesha.9f.com | email: adisesha1@rediffmail.com 45
return "toString() method of class A1";
}
}
class B1 extends A1 implements I2 {
public void methodI1() {
System.out.println("I am in methodI1 of class B1");
}
public void methodI2() {
System.out.println("I am in methodI2 of class B1");
}
}
class C1 implements I2 {
public void methodI1() {
System.out.println("I am in methodI1 of class C1");
}
public void methodI2() {
System.out.println("I am in methodI2 of class C1");
}
}
// Note that the class is declared as abstract as it does not
// satisfy the interface contract
abstract class D1 implements I2 {
public void methodI1() {
}
// This class does not implement methodI2() hence declared abstract.
}
public class InterFaceEx {
public static void main(String[] args) {
I1 i1 = new B1();
i1.methodI1(); // OK as methodI1 is present in B1
// i1.methodI2(); Compilation error as methodI2 not present in I1
// Casting to convert the type of the reference from type I1 to type I2
((I2) i1).methodI2();
I2 i2 = new B1();
i2.methodI1(); // OK
i2.methodI2(); // OK
// Does not Compile as methodA1() not present in interface reference I1
// String var = i1.methodA1();
// Hence I1 requires a cast to invoke methodA1
String var2 = ((A1) i1).methodA1();
System.out.println("var2 : " + var2);
String var3 = ((B1) i1).methodA1();
System.out.println("var3 : " + var3);
String var4 = i1.toString();
System.out.println("var4 : " + var4);
String var5 = i2.toString();
System.out.println("var5 : " + var5);
I1 i3 = new C1();
String var6 = i3.toString();
System.out.println("var6 : " + var6); // It prints the Object toString() method
Object o1 = new B1();
// o1.methodI1(); does not compile as Object class does not define
// methodI1()
// To solve the probelm we need to downcast o1 reference. We can do it
// in the following 4 ways
((I1) o1).methodI1(); // 1
((I2) o1).methodI1(); // 2
((B1) o1).methodI1(); // 3
/*
*
* B1 does not have any relationship with C1 except they are "siblings".
*
* Well, you can't cast siblings into one another.
*
*/
Introduction to Java Programming
Prof. K. ADISESHAProf. K. ADISESHAProf. K. ADISESHAProf. K. ADISESHA www.adisesha.9f.com | email: adisesha1@rediffmail.com 46
// ((C1)o1).methodI1(); Produces a ClassCastException
}
}
Output
I am in methodI1 of class B1
I am in methodI2 of class B1
I am in methodI1 of class B1
I am in methodI2 of class B1
var2 : I am in methodC1 of class A1
var3 : I am in methodC1 of class A1
var4 : toString() method of class A1
var5 : toString() method of class A1
var6 : C1@190d11
I am in methodI1 of class B1
I am in methodI1 of class B1
I am in methodI1 of class B1
Java Method Overriding
Method Overriding is achieved when a subclass overrides non-static methods defined in the superclass, following
which the new method implementation in the subclass that is executed.
The new method definition must have the same method signature (i.e., method name and parameters) and return
type. Only parameter types and return type are chosen as criteria for matching method signature. So if a subclass
has its method parameters as final it doesn’t really matter for method overriding scenarios as it still holds true.
The new method definition cannot narrow the accessibility of the method, but it can widen it. The new method
definition can only specify all or none, or a subset of the exception classes (including their subclasses) specified
in the throws clause of the overridden method in the super class
A program to explain the different concepts of Java Method Overridding
class CustomException extends Exception {
}
class SuperClassWithDifferentMethods {
protected int field1 = 10;
protected static int field2 = 20;
public void method1() {
System.out.println("SuperClassWithDifferentMethods.method1()");
}
public final void method2() {
System.out.println("SuperClassWithDifferentMethods.method2()");
}
private void method3() {
System.out.println("SuperClassWithDifferentMethods.method3()");
}
private final void method4() {
System.out.println("SuperClassWithDifferentMethods.method4()");
}
public static void method5() {
System.out.println("SuperClassWithDifferentMethods.method5()");
}
public void method6() throws Exception {
System.out.println("SuperClassWithDifferentMethods.method6()");
}
private void method7() {
Introduction to Java Programming
Prof. K. ADISESHAProf. K. ADISESHAProf. K. ADISESHAProf. K. ADISESHA www.adisesha.9f.com | email: adisesha1@rediffmail.com 47
System.out.println("SuperClassWithDifferentMethods.method7()");
}
private void method8(int x) {
System.out.println("SuperClassWithDifferentMethods.method8()");
}
public static void method9() {
System.out.println("SuperClassWithDifferentMethods.method9()");
}
}
class OverridingClass extends SuperClassWithDifferentMethods {
public int field1 = 30;
public static int field2 = 40;
public void method1() {
System.out.println("OverridingClass.method1()");
}
//We can't override a public final method
/* public final void method2(){
System.out.println("OverridingClass.method2()");
}*/
private void method3() {
System.out.println("OverridingClass.method3()");
}
private final void method4() {
System.out.println("OverridingClass.method4()");
}
public static void method5() {
System.out.println("OverridingClass.method5()");
}
public void method6() throws CustomException {
System.out.println("OverridingClass.method6()");
}
public void method7() {
System.out.println("OverridingClass.method7()");
}
public void method8(final int x) {
System.out.println("OverridingClass.method8()");
}
//A static method cannot be overridden to be non-static instance method
/*public void method9() {
System.out.println("OverridingClass.method9()");
}*/
}
public class MethodOverridingDemo {
public static void main(String[] args) {
OverridingClass oc1 = new OverridingClass();
SuperClassWithDifferentMethods sc3 = new OverridingClass();
oc1.method1();
oc1.method2();
// Since its private, the below 2 methods are not visible
/*oc1.method3();
oc1.method4();*/
oc1.method5();
try {
oc1.method6();
} catch (CustomException e) {
e.printStackTrace();
}
Introduction to Java Programming
Prof. K. ADISESHAProf. K. ADISESHAProf. K. ADISESHAProf. K. ADISESHA www.adisesha.9f.com | email: adisesha1@rediffmail.com 48
oc1.method7();
oc1.method8(100);
System.out.println("oc1.field1 : " + oc1.field1);
System.out.println("oc1.field2 : " + oc1.field2);
System.out.println("sc3.field1 : " + sc3.field1);
System.out.println("sc3.field2 : " + sc3.field2);
sc3.method5();
OverridingClass overClass = new OverridingClass();
SuperClassWithDifferentMethods supClass = (SuperClassWithDifferentMethods) overClass;
supClass.method5();
supClass.method1();
}
}
Output : MethodOverridingDemo.java
OverridingClass.method1()
SuperClassWithDifferentMethods.method2()
OverridingClass.method5()
OverridingClass.method6()
OverridingClass.method7()
OverridingClass.method8()
oc1.field1 : 30
oc1.field2 : 40
sc3.field1 : 10
sc3.field2 : 20
SuperClassWithDifferentMethods.method5()
SuperClassWithDifferentMethods.method5()
OverridingClass.method1()
The new method definitions in the subclass OverridingClass have the same signature and the same return type as
the methods in the superclass SuperClassWithDifferentMethods. The new overridden method6 definition
specifies a subset of the exceptions (CustomException). The new overridden method7 definition also widens the
accessibility to public from private. The overriding method8 also declares the parameter to be final, which is not a
part of the method signature and Method Overriding holds good. A static method cannot be overridden to be non-
static instance method as shown in the overridden method declaration of method9. A static method is class-
specific and not part of any object, while overriding methods are invoked on behalf of objects of the subclass.
There are no such restrictions on the fields, as for fields only the field names matter. A final method cannot be
overridden, an attempt to which will result in a compile-time error. A private method is not accessible outside the
class in which it is defined; therefore, a subclass cannot override it.
A subclass must use the ‘super’ keyword in order to invoke an overridden method in the superclass. A subclass
cannot override fields of the superclass, but it can hide them. Code in the subclass can use the keyword super to
access members, including hidden fields.
The following distinction between invoking instance methods on an object and accessing fields of an object must
be noted. When an instance method is invoked on an object using a reference, it is the class of the current object
denoted by the reference, not the type of the reference, that determines which method implementation will be
executed. When a field of an object is accessed using a reference, it is the type of the reference, not the class of
the current object denoted by the reference, that determines which field will actually be accessed. This is
demonstrated in the above program
Java toString Method
Implementing toString method in java is done by overriding the Object’s toString method. The java toString()
method is used when we need a string representation of an object. It is defined in Object class. This method can
be overridden to customize the String representation of the Object. Below is a program showing the use of the
Object’s Default toString java method.
Introduction to Java Programming
Prof. K. ADISESHAProf. K. ADISESHAProf. K. ADISESHAProf. K. ADISESHA www.adisesha.9f.com | email: adisesha1@rediffmail.com 49
class PointCoordinates {
private int x, y;
public PointCoordinates(int x, int y) {
this.x = x;
this.y = y;
}
public int getX() {
return x;
}
public int getY() {
return y;
}
}
public class ToStringDemo {
public static void main(String args[]) {
PointCoordinates point = new PointCoordinates(10, 10);
// using the Default Object.toString() Method
System.out.println("Object toString() method : " + point);
// implicitly call toString() on object as part of string concatenation
String s = point + " testing";
System.out.println(s);
}
}
ToStringDemo.java
When you run the ToStringDemo program, the output is:
Object toString() method : PointCoordinates@119c082
In the above example when we try printing PointCoordinates object, it internally calls the Object’s toString()
method as we have not overridden the java toString() method. Since out example has no toString method, the
default one in Object is used. The format of the default toString method of the Object is as shown below.
Class Name, “@”, and the hex version of the object’s hashcode concatenated into a string.
The default hashCode method in Object is typically implemented by converting the memory address of the object
into an integer.
Below is an example shown of the same program by Overriding the default Object toString() method. The
toString() method must be descriptive and should generally cover all the contents of the object.
class PointCoordinates {
private int x, y;
public PointCoordinates(int x, int y) {
this.x = x;
this.y = y;
}
public int getX() {
return x;
}
public int getY() {
return y;
}
// Custom toString() Method.
public String toString() {
return "X=" + x + " " + "Y=" + y;
}
}
public class ToStringDemo2 {
public static void main(String args[]) {
PointCoordinates point = new PointCoordinates(10, 10);
Introduction to Java Programming
Prof. K. ADISESHAProf. K. ADISESHAProf. K. ADISESHAProf. K. ADISESHA www.adisesha.9f.com | email: adisesha1@rediffmail.com 50
System.out.println(point);
String s = point + " testing";
System.out.println(s);
}
}
ToStringDemo2.java
When you run the ToStringDemo2 program, the output is:
X=10 Y=10
X=10 Y=10 testing
Strings in java
Java String Class is immutable, i.e. Strings in java, once created and initialized, cannot be changed on the same
reference. A java.lang.String class is final which implies no class and extend it. The java.lang.String class differs
from other classes, one difference being that the String objects can be used with the += and + operators for
concatenation.
Two useful methods for String objects are equals( ) and substring( ). The equals( ) method is used for testing
whether two Strings contain the same value. The substring( ) method is used to obtain a selected portion of a
String.
Java.lang.String class creation
A simple String can be created using a string literal enclosed inside double quotes as shown;
String str1 = “My name is bob”;
Since a string literal is a reference, it can be manipulated like any other String reference. The reference value of a
string literal can be assigned to another String reference.
If 2 or more Strings have the same set of characters in the same sequence then they share the same reference in
memory. Below illustrates this phenomenon.
String str1 = “My name is bob”;
String str2 = “My name is bob”;
String str3 = “My name ”+ “is bob”; //Compile time expression
String name = “bob”;
String str4 = “My name is” + name;
String str5 = new String(“My name is bob”);
In the above code all the String references str1, str2 and str3 denote the same String object, initialized with the
character string: “My name is bob”. But the Strings str4 and str5 denote new String objects.
Constructing String objects can also be done from arrays of bytes, arrays of characters, or string buffers. A simple
way to convert any primitive value to its string representation is by concatenating it with the empty string (”"),
using the string concatenation operator (+).
Introduction to Java Programming
Prof. K. ADISESHAProf. K. ADISESHAProf. K. ADISESHAProf. K. ADISESHA www.adisesha.9f.com | email: adisesha1@rediffmail.com 51
public class StringsDemo {
public static void main(String[] args) {
byte[] bytes = {2, 4, 6, 8};
char[] characters = {'a', 'b', 'C', 'D'};
StringBuffer strBuffer = new StringBuffer("abcde");
// Examples of Creation of Strings
String byteStr = new String(bytes);
String charStr = new String(characters);
String buffStr = new String(strBuffer);
System.out.println("byteStr : "+byteStr);
System.out.println("charStr : "+charStr);
System.out.println("buffStr : "+buffStr);
}
}
Output: StringDemo1.java
byteStr :
charStr : abCD
buffStr : abcde
Java String compare to determine Equality
java string compare can be done in many ways as shown below. Depending on the type of java string compare
you need, each of them is used.
* == Operator
* equals method
* compareTo method
Comparing using the == Operator
The == operator is used when we have to compare the String object references. If two String variables point to the
same object in memory, the comparison returns true. Otherwise, the comparison returns false. Note that the ‘==’
operator does not compare the content of the text present in the String objects. It only compares the references the
2 Strings are pointing to. The following Program would print “The strings are unequal” In the first case and “The
strings are equal” in the second case.
public class StringComparision1 {
public static void main(String[] args) {
String name1 = "Bob";
String name2 = new String("Bob");
String name3 = "Bob";
// 1st case
if (name1 == name2) {
Introduction to Java Programming
Prof. K. ADISESHAProf. K. ADISESHAProf. K. ADISESHAProf. K. ADISESHA www.adisesha.9f.com | email: adisesha1@rediffmail.com 52
System.out.println("The strings are equal.");
} else {
System.out.println("The strings are unequal.");
}
// 2nd case
if (name1 == name3) {
System.out.println("The strings are equal.");
} else {
System.out.println("The strings are unequal.");
}
}
}
StringComparision1.java
Comparing using the equals Method
The equals method is used when we need to compare the content of the text present in the String objects. This
method returns true when two String objects hold the same content (i.e. the same values). The following Program
would print “The strings are unequal” In the first case and “The strings are equal” in the second case.
public class StringComparision2 {
public static void main(String[] args) {
String name1 = "Bob";
String name2 = new String("Bob1");
String name3 = "Bob";
// 1st case
if (name1.equals(name2)) {
System.out.println("The strings are equal.");
} else {
System.out.println("The strings are unequal.");
}
// 2nd case
if (name1.equals(name3)) {
System.out.println("The strings are equal.");
} else {
System.out.println("The strings are unequal.");
}
}
}
StringComparision2.java
Comparing using the compareTo Method
The compareTo method is used when we need to determine the order of Strings lexicographically. It compares
char values similar to the equals method. The compareTo method returns a negative integer if the first String
object precedes the second string. It returns zero if the 2 strings being compared are equal. It returns a positive
integer if the first String object follows the second string. The following Program would print “name2 follows
name1” In the first case and “name1 follows name3” in the second case.
Introduction to Java Programming
Prof. K. ADISESHAProf. K. ADISESHAProf. K. ADISESHAProf. K. ADISESHA www.adisesha.9f.com | email: adisesha1@rediffmail.com 53
public class StringComparision3 {
public static void main(String[] args) {
String name1 = "bob";
String name2 = new String("cob");
String name3 = "Bob";
// 1st case
if (name1.compareTo(name2) == 0) {
System.out.println("The strings are equal.");
} else if (name1.compareTo(name2) < 0) {
System.out.println("name2 follows name1");
} else {
System.out.println("name1 follows name2");
}
// 2nd case. Comparing Ascii Uppercase will be smaller then Lower Case
if (name1.compareTo(name3) == 0) {
System.out.println("The strings are equal.");
} else if (name1.compareTo(name3) < 0) {
System.out.println("name3 follows name1");
} else {
System.out.println("name1 follows name3");
}
}
}
StringBuffer Class
StringBuffer class is a mutable class unlike the String class which is immutable. Both the capacity and character
string of a StringBuffer Class. StringBuffer can be changed dynamically. String buffers are preferred when heavy
modification of character strings is involved (appending, inserting, deleting, modifying etc).
Strings can be obtained from string buffers. Since the StringBuffer class does not override the equals() method
from the Object class, contents of string buffers should be converted to String objects for string comparison.
A StringIndexOutOfBoundsException is thrown if an index is not valid when using wrong index in String Buffer
manipulations
Creation of StringBuffers
StringBuffer Constructors
public class StringBufferDemo {
public static void main(String[] args) {
// Examples of Creation of Strings
StringBuffer strBuf1 = new StringBuffer("Bob");
StringBuffer strBuf2 = new StringBuffer(100); //With capacity 100
StringBuffer strBuf3 = new StringBuffer(); //Default Capacity 16
System.out.println("strBuf1 : " + strBuf1);
System.out.println("strBuf2 capacity : " + strBuf2.capacity());
System.out.println("strBuf3 capacity : " + strBuf3.capacity());
}
}
Output: StringBufferDemo.java
strBuf1 : Bob
strBuf2 capacity : 100
strBuf3 capacity : 16
StringBuffer Functions
Introduction to Java Programming
Prof. K. ADISESHAProf. K. ADISESHAProf. K. ADISESHAProf. K. ADISESHA www.adisesha.9f.com | email: adisesha1@rediffmail.com 54
The following program explains the usage of the some of the basic StringBuffer methods like ;
1. capacity()
Returns the current capacity of the String buffer.
2. length()
Returns the length (character count) of this string buffer.
3. charAt(int index)
The specified character of the sequence currently represented by the string buffer, as indicated by the index
argument, is returned.
4. setCharAt(int index, char ch)
The character at the specified index of this string buffer is set to ch
5. toString()
Converts to a string representing the data in this string buffer
6. insert(int offset, char c)
Inserts the string representation of the char argument into this string buffer.
Note that the StringBuffer class has got many overloaded ‘insert’ methods which can be used based on the
application need.
7. delete(int start, int end)
Removes the characters in a substring of this StringBuffer
8. replace(int start, int end, String str)
Replaces the characters in a substring of this StringBuffer with characters in the specified String.
9. reverse()
The character sequence contained in this string buffer is replaced by the reverse of the sequence.
10. append(String str)
Appends the string to this string buffer.
Note that the StringBuffer class has got many overloaded ‘append’ methods which can be used based on the
application need.
11. setLength(int newLength)
Sets the length of this String buffer.
public class StringBufferFunctionsDemo {
public static void main(String[] args) {
// Examples of Creation of Strings
StringBuffer strBuf1 = new StringBuffer("Bobby");
StringBuffer strBuf2 = new StringBuffer(100); //With capacity 100
StringBuffer strBuf3 = new StringBuffer(); //Default Capacity 16
System.out.println("strBuf1 : " + strBuf1);
System.out.println("strBuf1 capacity : " + strBuf1.capacity());
System.out.println("strBuf2 capacity : " + strBuf2.capacity());
System.out.println("strBuf3 capacity : " + strBuf3.capacity());
System.out.println("strBuf1 length : " + strBuf1.length());
System.out.println("strBuf1 charAt 2 : " + strBuf1.charAt(2));
Introduction to Java Programming
Prof. K. ADISESHAProf. K. ADISESHAProf. K. ADISESHAProf. K. ADISESHA www.adisesha.9f.com | email: adisesha1@rediffmail.com 55
// A StringIndexOutOfBoundsException is thrown if the index is not valid.
strBuf1.setCharAt(1, 't');
System.out.println("strBuf1 after setCharAt 1 to t is : "
+ strBuf1);
System.out
.println("strBuf1 toString() is : " + strBuf1.toString());
strBuf3.append("beginner-java-tutorial");
System.out.println("strBuf3 when appended with a String : "
+ strBuf3.toString());
strBuf3.insert(1, 'c');
System.out.println("strBuf3 when c is inserted at 1 : "
+ strBuf3.toString());
strBuf3.delete(1, 'c');
System.out.println("strBuf3 when c is deleted at 1 : "
+ strBuf3.toString());
strBuf3.reverse();
System.out.println("Reversed strBuf3 : " + strBuf3);
strBuf2.setLength(5);
strBuf2.append("jdbc-tutorial");
System.out.println("strBuf2 : " + strBuf2);
// We can clear a StringBuffer using the following line
strBuf2.setLength(0);
System.out.println("strBuf2 when cleared using setLength(0): "
+ strBuf2);
}
}
Output : StringBufferFunctionsDemo.java
strBuf1 : Bobby
strBuf1 capacity : 21
strBuf2 capacity : 100
strBuf3 capacity : 16
strBuf1 length : 5
strBuf1 charAt 2 : b
strBuf1 after setCharAt 1 to t is : Btbby
strBuf1 toString() is : Btbby
strBuf3 when appended with a String : beginner-java-tutorial
strBuf3 when c is inserted at 1 : bceginner-java-tutorial
strBuf3 when c is deleted at 1 : b
Reversed strBuf3 : b
strBuf2 :
Understanding Java Exceptions
Exceptions in java are any abnormal, unexpected events or extraordinary conditions that may occur at runtime.
They could be file not found exception, unable to get connection exception and so on. On such conditions java
throws an exception object. Java Exceptions are basically Java objects. No Project can never escape a java error
exception.
Java exception handling is used to handle error conditions in a program systematically by taking the necessary
action. Exception handlers can be written to catch a specific exception such as Number Format exception, or an
entire group of exceptions by using a generic exception handlers. Any exceptions not specifically handled within
a Java program are caught by the Java run time environment
An exception is a subclass of the Exception/Error class, both of which are subclasses of the Throwable class. Java
exceptions are raised with the throw keyword and handled within a catch block.
Introduction to Java Programming
Prof. K. ADISESHAProf. K. ADISESHAProf. K. ADISESHAProf. K. ADISESHA www.adisesha.9f.com | email: adisesha1@rediffmail.com 56
A Program Showing How the JVM throws an Exception at runtime
public class DivideException {
public static void main(String[] args) {
division(100,4); // Line 1
division(100,0); // Line 2
System.out.println("Exit main().");
}
public static void division(int totalSum, int totalNumber) {
System.out.println("Computing Division.");
int average = totalSum/totalNumber;
System.out.println("Average : "+ average);
}
}
Output: DivideException.java
An ArithmeticException is thrown at runtime when Line 11 is executed because integer division by 0 is an illegal
operation. The “Exit main()” message is never reached in the main method
Computing Division.
java.lang.ArithmeticException: / by zero
Average : 25
Computing Division.
at DivideException.division(DivideException.java:11)
at DivideException.main(DivideException.java:5)
Exception in thread “main”
Exceptions in Java
Throwable Class
The Throwable class provides a String variable that can be set by the subclasses to provide a detail message that
provides more information of the exception occurred. All classes of throwables define a one-parameter
constructor that takes a string as the detail message.
The class Throwable provides getMessage() function to retrieve an exception. It has a printStackTrace() method
to print the stack trace to the standard error stream. Lastly It also has a toString() method to print a short
description of the exception. For more information on what is printed when the following messages are invoked,
please refer the java docs.
Syntax
String getMessage()
void printStackTrace()
String toString()
Class Exception
The class Exception represents exceptions that a program faces due to abnormal or special conditions during
execution. Exceptions can be of 2 types: Checked (Compile time Exceptions)/ Unchecked (Run time Exceptions).
Class RuntimeException
Runtime exceptions represent programming errors that manifest at runtime. For example
ArrayIndexOutOfBounds, NullPointerException and so on are all subclasses of the java.lang.RuntimeException
class, which is a subclass of the Exception class. These are basically business logic programming errors.
Class Error
Errors are irrecoverable condtions that can never be caught. Example: Memory leak, LinkageError etc. Errors are
direct subclass of Throwable class.
Introduction to Java Programming
Prof. K. ADISESHAProf. K. ADISESHAProf. K. ADISESHAProf. K. ADISESHA www.adisesha.9f.com | email: adisesha1@rediffmail.com 57
Checked and Unchecked Exceptions
Checked exceptions are subclass’s of Exception excluding class RuntimeException and its subclasses. Checked
Exceptions forces programmers to deal with the exception that may be thrown. Example: Arithmetic exception.
When a checked exception occurs in a method, the method must either catch the exception and take the
appropriate action, or pass the exception on to its caller
Unchecked exceptions are RuntimeException and any of its subclasses. Class Error and its subclasses also are
unchecked. Unchecked exceptions , however, the compiler doesn’t force the programmers to either catch the
exception or declare it in a throws clause. In fact, the programmers may not even know that the exception could
be thrown. Example: ArrayIndexOutOfBounds Exception. They are either irrecoverable (Errors) and the program
should not attempt to deal with them, or they are logical programming errors. (Runtime Exceptions). Checked
exceptions must be caught at compile time. Runtime exceptions do not need to be. Errors often cannot be.
Exception Statement Syntax
Exceptions are handled using a try-catch-finally construct, which has the Syntax
try {
<code>
} catch (<exception type1> <parameter1>) { // 0 or more
<statements>
}
} finally { // finally block
<statements>
}
try Block
The java code that you think may produce an exception is placed within a try block for a suitable catch block to
handle the error.
If no exception occurs the execution proceeds with the finally block else it will look for the matching catch block
to handle the error. Again if the matching catch handler is not found execution proceeds with the finally block and
the default exception handler throws an exception.. If an exception is generated within the try block, the
remaining statements in the try block are not executed.
catch Block
Exceptions thrown during execution of the try block can be caught and handled in a catch block. On exit from a
catch block, normal execution continues and the finally block is executed (Though the catch block throws an
exception).
finally Block
A finally block is always executed, regardless of the cause of exit from the try block, or whether any catch block
was executed. Generally finally block is used for freeing resources, cleaning up, closing connections etc. If the
finally clock executes a control transfer statement such as a return or a break statement, then this control
statement determines how the execution will proceed regardless of any return or control statement present in the
try or catch.
The following program illustrates the scenario.
try {
<code>
} catch (<exception type1> <parameter1>) { // 0 or more
<statements>
}
} finally { // finally block
<statements>
}
Output: DivideException2.java
Introduction to Java Programming
Prof. K. ADISESHAProf. K. ADISESHAProf. K. ADISESHAProf. K. ADISESHA www.adisesha.9f.com | email: adisesha1@rediffmail.com 58
Computing Division.
Exception : / by zero
Finally Block Executes. Exception Occurred
result : -1
Below is a program showing the Normal Execution of the Program.
Please note that no NullPointerException is generated as was expected by most people
public class DivideException2 {
public static void main(String[] args) {
int result = division(100,0); // Line 2
System.out.println("result : "+result);
}
public static int division(int totalSum, int totalNumber) {
int quotient = -1;
System.out.println("Computing Division.");
try{
quotient = totalSum/totalNumber;
}
catch(Exception e){
System.out.println("Exception : "+ e.getMessage());
}
finally{
if(quotient != -1){
System.out.println("Finally Block Executes");
System.out.println("Result : "+ quotient);
}else{
System.out.println("Finally Block Executes. Exception Occurred");
return quotient;
}
}
return quotient;
}}
Output :null (And not NullPointerException)
Rules for try, catch and finally Blocks
1. For each try block there can be zero or more catch blocks, but only one finally block.
2. The catch blocks and finally block must always appear in conjunction with a try block.
3. A try block must be followed by either at least one catch block or one finally block.
4. The order exception handlers in the catch block must be from the most specific exception
Java exception handling mechanism enables you to catch exceptions in java using try, catch, finally block. be An
exception consists of a block of code called a try block, a block of code called a catch block, and the finally block.
Let’s examine each of these in detail.
Introduction to Java Programming
Prof. K. ADISESHAProf. K. ADISESHAProf. K. ADISESHAProf. K. ADISESHA www.adisesha.9f.com | email: adisesha1@rediffmail.com 59
public class DivideException1 {
public static void main(String[] args) {
division(100,0); // Line 2
System.out.println("Main Program Terminating");
}
public static void division(int totalSum, int totalNumber) {
int quotient = -1;
System.out.println("Computing Division.");
try{
quotient = totalSum/totalNumber;
System.out.println("Result is : "+quotient);
}
catch(Exception e){
System.out.println("Exception : "+ e.getMessage());
}
finally{
if(quotient != -1){
System.out.println("Finally Block Executes");
System.out.println("Result : "+ quotient);
}else{
System.out.println("Finally Block Executes. Exception Occurred");
}
}
}
}
Output: DivideException1.java
Computing Division.
Exception : / by zero
Finally Block Executes. Exception Occurred
Main Program Terminating
As shown above when the divide by zero calculation is attempted, an ArithmeticException is thrown. and
program execution is transferred to the catch statement. Because the exception is thrown from the try block, the
remaining statements of the try block
are skipped. The finally block executes.
Defining new EXCEPTIONS!!
We can have our own custom Exception handler to deal with special exception conditions instead of using
existing exception classes. Custom exceptions usually extend the Exception class directly or any subclass of
Exception (making it checked).
The super() call can be used to set a detail message in the throwable. Below is an example that shows the use of
Custom exception’s along with how the throw and throws clause are used.
class BadTemperature extends Exception{
BadTemperature( String reason ){
super ( reason );
}
}
class TooHot extends BadTemperature{
TooHot(){
super ("Default messaeg : Hot");
}
TooHot(String message){
super (message);
Introduction to Java Programming
Prof. K. ADISESHAProf. K. ADISESHAProf. K. ADISESHAProf. K. ADISESHA www.adisesha.9f.com | email: adisesha1@rediffmail.com 60
}
}
class TooCold extends BadTemperature{
TooCold(){
super ("Default messaeg : Cold");
}
TooCold(String message){
super (message);
}
}
class TempertureObject{
int temperature;
TempertureObject( int temp ) {
temperature = temp;
}
void test() throws TooHot, TooCold {
if ( temperature < 70 ) throw new TooCold("Very Cold");
if ( temperature > 80 ) throw new TooHot("Very Hot");
}
}
public class ExceptionExample1{
private static void temperatureReport( TempertureObject batch ){
try{ batch.test();
System.out.println( "Perfect Temperature" );
}
catch ( BadTemperature bt ){
System.out.println( bt.getMessage( ) );
}
}
public static void main( String[] args ){
temperatureReport( new TempertureObject( 100 ) );
temperatureReport( new TempertureObject( 50 ) );
temperatureReport( new TempertureObject( 75 ) );
}
}
Output: ExceptionExample.java
Very Hot
Very Cold
Perfect Temperature
throw, throws statement
A program can explicitly throw an exception using the throw statement besides the implicit exception thrown.
The general format of the throw statement is as follows:
throw <exception reference>;
The Exception reference must be of type Throwable class or one of its subclasses. A detail message can be passed
to the constructor when the exception object is created.
throw new TemperatureException(”Too hot”);
Introduction to Java Programming
Prof. K. ADISESHAProf. K. ADISESHAProf. K. ADISESHAProf. K. ADISESHA www.adisesha.9f.com | email: adisesha1@rediffmail.com 61
A throws clause can be used in the method prototype.
Method() throws <ExceptionType1>,…, <ExceptionTypen> {
}
Each <ExceptionTypei> can be a checked or unchecked or sometimes even a custom Exception. The exception
type specified in the throws clause in the method prototype can be a super class type of the actual exceptions
thrown. Also an overriding method cannot allow more checked exceptions in its throws clause than the inherited
method does.
When an exception is thrown, normal execution is suspended. The runtime system proceeds to find a matching
catch block that can handle the exception. Any associated finally block of a try block encountered along the
search path is executed. If no handler is found, then the exception is dealt with by the default exception handler at
the top level. If a handler is found, execution resumes with the code in its catch block. Below is an example to
show the use of a throws and a throw statement.
public class DivideException3 {
public static void main(String[] args) {
try{
int result = division(100,10);
result = division(100,0);
System.out.println("result : "+result);
}
catch(ArithmeticException e){
System.out.println("Exception : "+ e.getMessage());
}
}
public static int division(int totalSum, int totalNumber) throws ArithmeticException {
int quotient = -1;
System.out.println("Computing Division.");
try{
if(totalNumber == 0){
throw new ArithmeticException("Division attempt by 0");
}
quotient = totalSum/totalNumber;
}
finally{
if(quotient != -1){
System.out.println("Finally Block Executes");
System.out.println("Result : "+ quotient);
}else{
System.out.println("Finally Block Executes. Exception Occurred");
}
}
return quotient;
}
}
Output: DivideException3.java
Computing Division.
Finally Block Executes
Result : 10
Computing Division.
Finally Block Executes. Exception Occurred
Exception : Division attempt by 0
Introduction to Java Programming
Prof. K. ADISESHAProf. K. ADISESHAProf. K. ADISESHAProf. K. ADISESHA www.adisesha.9f.com | email: adisesha1@rediffmail.com 62
Using break and return with Exceptions
This example demonstrates the use of the break, continue and return statements with exceptions. Note that the
finally block is executed always except when the return statement is executed.
public class ExceptionExample6 {
public static void main(String[] args) {
int x = 10, y = 2;
int counter = 0;
boolean flag = true;
while (flag) {
start:
try {
if ( y > 1 )
break start;
if ( y < 0 )
return;
x = x / y;
System.out.println ( "x : " + x + " y : "+y );
}
catch ( Exception e ) {
System.out.println ( e.getMessage() );
}
finally {
++counter;
System.out.println ( "Counter : " + counter );
}
--y;
}
}
}
Output: ExceptionExample6.java
Counter : 1
x : 10 y : 1
Counter : 2
/ by zero
Counter : 3
Counter : 4
Handling Multiple Exceptions
It should be known by now that we can have multiple catch blocks for a particular try block to handle many
different kind of exceptions that can be generated. Below is a program to demonstrate the use of multiple catch
blocks.
Introduction to Java Programming
Prof. K. ADISESHAProf. K. ADISESHAProf. K. ADISESHAProf. K. ADISESHA www.adisesha.9f.com | email: adisesha1@rediffmail.com 63
import java.io.DataInputStream;
import java.io.IOException;
import javax.swing.JOptionPane;
public class ExceptionExample7{
static int numerator, denominator;
public ExceptionExample7( int t, int b ){
numerator = t;
denominator = b;
}
public int divide( ) throws ArithmeticException{
return numerator/denominator;
}
public static void main( String args[] ){
String num, denom;
num = JOptionPane.showInputDialog(null, "Enter the Numerator");
denom = JOptionPane.showInputDialog(null, "Enter the Denominator");
try{
numerator = Integer.parseInt( num );
denominator = Integer.parseInt( denom );
}
catch ( NumberFormatException nfe ){
System.out.println( "One of the inputs is not an integer" );
return;
}
catch ( Exception e ){
System.out.println( "Exception: " + e.getMessage( ) );
return;
}
ExceptionExample7 d = new ExceptionExample7( numerator, denominator );
try{
double result = d.divide( );
JOptionPane.showMessageDialog(null, "Result : " + result);
}
catch ( ArithmeticException ae ){
System.out.println( "You can't divide by zero" );
}
finally{
System.out.println( "Finally Block is always Executed" );
}
}
}
Java Threads
Introduction to Threads
Multithreading refers to two or more tasks executing concurrently within a single program. A thread is an
independent path of execution within a program. Many threads can run concurrently within a program. Every
thread in Java is created and controlled by the java.lang.Thread class. A Java program can have many threads,
and these threads can run concurrently, either asynchronously or synchronously.
Multithreading has several advantages over Multiprocessing such as;
• Threads are lightweight compared to processes
• Threads share the same address space and therefore can share both data and code
Introduction to Java Programming
Prof. K. ADISESHAProf. K. ADISESHAProf. K. ADISESHAProf. K. ADISESHA www.adisesha.9f.com | email: adisesha1@rediffmail.com 64
• Context switching between threads is usually less expensive than between processes
• Cost of thread intercommunication is relatively low that that of process intercommunication
• Threads allow different tasks to be performed concurrently.
The following figure shows the methods that are members of the Object and Thread Class.
Thread Creation
There are two ways to create thread in java;
• Implement the Runnable interface (java.lang.Runnable)
• By Extending the Thread class (java.lang.Thread)
Implementing the Runnable Interface
public interface Runnable {
void run();
}
One way to create a thread in java is to implement the Runnable Interface and then instantiate an object of the
class. We need to override the run() method into our class which is the only method that needs to be implemented.
The run() method contains the logic of the thread.
The procedure for creating threads based on the Runnable interface is as follows:
1. A class implements the Runnable interface, providing the run() method that will be executed by the thread. An
object of this class is a Runnable object.
2. An object of Thread class is created by passing a Runnable object as argument to the Thread constructor. The
Thread object now has a Runnable object that implements the run() method.
3. The start() method is invoked on the Thread object created in the previous step. The start() method returns
immediately after a thread has been spawned.
4. The thread ends when the run() method ends, either by normal completion or by throwing an uncaught
exception.
Below is a program that illustrates instantiation and running of threads using the runnable interface instead of
extending the Thread class. To start the thread you need to invoke the start() method on your object.
class RunnableThread implements Runnable {
Thread runner;
public RunnableThread() {
}
public RunnableThread(String threadName) {
runner = new Thread(this, threadName); // (1) Create a new thread.
System.out.println(runner.getName());
runner.start(); // (2) Start the thread.
}
public void run() {
//Display info about this particular thread
System.out.println(Thread.currentThread());
}
}
public class RunnableExample {
public static void main(String[] args) {
Introduction to Java Programming
Prof. K. ADISESHAProf. K. ADISESHAProf. K. ADISESHAProf. K. ADISESHA www.adisesha.9f.com | email: adisesha1@rediffmail.com 65
Thread thread1 = new Thread(new RunnableThread(), "thread1");
Thread thread2 = new Thread(new RunnableThread(), "thread2");
RunnableThread thread3 = new RunnableThread("thread3");
//Start the threads
thread1.start();
thread2.start();
try {
//delay for one second
Thread.currentThread().sleep(1000);
} catch (InterruptedException e) {
}
//Display info about the main thread
System.out.println(Thread.currentThread());
}
}
Output
thread3
Thread[thread1,5,main]
Thread[thread2,5,main]
Thread[thread3,5,main]
Thread[main,5,main]private
Runnable Thread Program Example
This approach of creating a thread by implementing the Runnable Interface must be used whenever the class
being used to instantiate the thread object is required to extend some other class.
Extending Thread Class
The procedure for creating threads based on extending the Thread is as follows:
1. A class extending the Thread class overrides the run() method from the Thread class to define the code
executed by the thread.
2. This subclass may call a Thread constructor explicitly in its constructors to initialize the thread, using the
super() call.
3. The start() method inherited from the Thread class is invoked on the object of the class to make the thread
eligible for running.
Below is a program that illustrates instantiation and running of threads by extending the Thread class instead of
implementing the Runnable interface. To start the thread you need to invoke the start() method on your object.
class XThread extends Thread {
XThread() {
}
XThread(String threadName) {
super(threadName); // Initialize thread.
System.out.println(this);
start();
}
public void run() {
//Display info about this particular thread
System.out.println(Thread.currentThread().getName());
}
}
public class ThreadExample {
Introduction to Java Programming
Prof. K. ADISESHAProf. K. ADISESHAProf. K. ADISESHAProf. K. ADISESHA www.adisesha.9f.com | email: adisesha1@rediffmail.com 66
public static void main(String[] args) {
Thread thread1 = new Thread(new XThread(), "thread1");
Thread thread2 = new Thread(new XThread(), "thread2");
// The below 2 threads are assigned default names
Thread thread3 = new XThread();
Thread thread4 = new XThread();
Thread thread5 = new XThread("thread5");
//Start the threads
thread1.start();
thread2.start();
thread3.start();
thread4.start();
try {
//The sleep() method is invoked on the main thread to cause a one second delay.
Thread.currentThread().sleep(1000);
} catch (InterruptedException e) {
}
//Display info about the main thread
System.out.println(Thread.currentThread());
}
}
Output: Java Thread Program Example
Thread[thread5,5,main]
thread1
thread5
thread2
Thread-3
Thread-2
Thread[main,5,main]
When creating threads, there are two reasons why implementing the Runnable interface may be preferable to
extending the Thread class:
• Extending the Thread class means that the subclass cannot extend any other class, whereas a class
implementing the Runnable interface
has this option.
• A class might only be interested in being runnable, and therefore, inheriting the full overhead of the
Thread class would be excessive.
An example of an anonymous class below shows how to create a thread and start it:
( new Thread() {
public void run() {
for(;;) System.out.println(”Stop the world!”);
}
}
).start();
Introduction to Java Programming
Prof. K. ADISESHAProf. K. ADISESHAProf. K. ADISESHAProf. K. ADISESHA www.adisesha.9f.com | email: adisesha1@rediffmail.com 67
Lab Programs
//Program-1
//To find the factorial of a Number
class fact
{
public static void main(String args[])
{
for(int i=0;i<args.length;i++)
{
int fact =1;
for(int j=1;j<=Integer.parseInt(args[i]);j++)
fact=fact*j;
System.out.println("factorial of "+args[i]+" is "+fact);
}
}
}
//Program-2
//To find the to find Prime Number Series
class prime
{
public static void main(String args[])
{
if(args.length==1)
{
int i,j;
System.out.println("prime no.s");
for(i=2;i<=Integer.parseInt(args[0]);i++)
{
int count=0;
for(j=1;j<i;j++)
if(i%j==0)
count++;
if(count==1)
System.out.println(i);
}
}
else
System.out.println("argssfdsfds");
}
}
//Program-3
//To Sort a Number series in Ascending order
class sorting
{
public static void main(String args[])
{
int num[]={55,40,80,65,71,45,55,22,33};
Introduction to Java Programming
Prof. K. ADISESHAProf. K. ADISESHAProf. K. ADISESHAProf. K. ADISESHA www.adisesha.9f.com | email: adisesha1@rediffmail.com 68
System.out.println ("given list");
try
{
for(int i=0;i<num.length;i++)
System.out.println(" "+num[i]);
System.out.println("n");
for(int i=0;i<num.length;i++)
{
for(int j=i+1;j<num.length;j++)
if(num[i]<num[j])
{
int temp=num[i];
num[i]=num[j];
num[j]=temp;
}
}
System.out.println("sorted list");
for(int i=0;i<num.length;i++)
System.out.println(" "+num[i]);
System.out.println(" ");
}
catch(Exception e)
{
System.out.println("exception"+e);
}
}
}
//Program-4
//Program to perform String Manipulation functions.
class string
{
public static void main(String args[])
{
String s1="PRESIdency";
String s2;
System.out.println("nlength of stringn"+s1.length());
s2=s1.toLowerCase();
System.out.println("nlowercasen"+s2);
s2=s1.toUpperCase();
System.out.println(s2);
s2=s1.replace('P','R');
System.out.println("nreplaced P by Rn"+s2);
s1="PRESIdency college";
s2=s1.trim();
System.out.println(s1);
System.out.println("ntrim the stringn"+s2);
Introduction to Java Programming
Prof. K. ADISESHAProf. K. ADISESHAProf. K. ADISESHAProf. K. ADISESHA www.adisesha.9f.com | email: adisesha1@rediffmail.com 69
if(s1.equals(s2))
System.out.println("strings are equal");
else
System.out.println("strings are not equal");
System.out.println(s2.charAt(3));
System.out.println("compare s1 to s2n"+s1.compareTo(s2));
String s3;
s3=s1.concat(s2);
System.out.println(s3);
System.out.println(s2.substring(2));
System.out.println(s2.substring(2,4));
System.out.println(s2.indexOf('p'));
}
}
//Program-5
// Program to perform Geometrical shapes.
import java.lang.*;
class shapes
{
public void square(int s)
{
double area=s*s;
System.out.println("area of square ist"+area);
}
public void rectangle(int l,int b)
{
double area=l*b;
System.out.println("area of rectangle ist"+area);
}
public void circle(int r)
{
double area=3.14*r*r;
System.out.println("area of circle ist"+area);
}
public void triangle(int a,int b,int c)
{
int s=(a+b+c)/2;
double area=Math.sqrt(s*(s-a)*(s-b)*(s-c));
System.out.println("area of triangle ist"+area);
}
}
class geometrical
{
public static void main(String args[])
{
shapes s=new shapes();
s.square(5);
s.rectangle(5,5);
s.circle(5);
Introduction to Java Programming
Prof. K. ADISESHAProf. K. ADISESHAProf. K. ADISESHAProf. K. ADISESHA www.adisesha.9f.com | email: adisesha1@rediffmail.com 70
s.triangle(5,5,5);
}
}
//Program-6
//Program to perform bitwise functions.
class bitwise
{
public static void main(String args[])
{
int a=10,b=13,c=0;
System.out.println("the a&bn"+(a&b));
System.out.println("the a|bn"+(a|b));
System.out.println("the a^bn"+(a^b));
System.out.println("the ~an"+(~a));
System.out.println("the a<<2n"+(a<<2));
System.out.println("the a>>2n"+(a>>2));
System.out.println("the a>>>2n"+(a>>>2));
}
}
//Program-7
//Program to implement constructor overloading by passing different number of parameter of different
types
// constructor overloading
Class Triangles
{
int x,y;
float z;
Triangles(int i)
{
x=y=i;
Z=i;
}
Triangles(int i, int j)
{
x=i;
y=i;
Z=j;
}
Triangles(int i, int j, float k)
{
x=i;
y=i;
Z=k;
}
float peri()
{
return(x+y+z);
}
}
Introduction to Java Programming
Prof. K. ADISESHAProf. K. ADISESHAProf. K. ADISESHAProf. K. ADISESHA www.adisesha.9f.com | email: adisesha1@rediffmail.com 71
Class Overloading
{
Public static void main (String args[])
(
float val;
Triangles a=new Triangles(5);
Triangles b=new Triangles(5,3);
Triangles c=new Triangles(2,3,5.5f);
System.out.println(“================================ n”);
val=a.peri();
System.out.println(“Perimeter of equilateral triangle= ”+val+” Sq.units n”);
Val=b.peri();
System.out.println(“Perimeter of isoceles triangle= ”+val+” Sq.units n”);
Val=c.peri();
System.out.println(“Perimeter of scalene triangle= ”+val+” Sq.units n ”);
System.out.println(“================================ n”);
}
}
//Program-8
//Program to create a student report by reading the inputs using textboxes and display the output using
buttons
// Applet program
import java.applet.*;
import java.awt.*;
import java.awt.event.*;
/*
<applet code=”StudReport” width=300 height=450>
</applet>
*/
public class StudReport extends Applet implements ActionListener
{
TextField tRegNo, tName, tCourse, tResult;
Label lTitle, lRegNo,lName,lCourse,lResult;
Button CReport;
String rno=””,course=””,nam=””,res=””’;
public void init()
{
lTitle=new Lable(“Enter Student Details”);
lRegNo=new Lable(“Regsiter Number”,Label.Right);
lName= new Lable(“Student Name”,Label.Right);
lCourse=new Lable(“Course”,Label.Right);
lResult=new TextField(20);
tRegNo= new TextField(20);
tName= new TextField(20);
tCourse= new TextField(20);
tResult= new TextField(20);
CReport= new Button (“Report”);
add(lTitle);
Introduction to Java Programming
Prof. K. ADISESHAProf. K. ADISESHAProf. K. ADISESHAProf. K. ADISESHA www.adisesha.9f.com | email: adisesha1@rediffmail.com 72
add(lRegNo);
add(tRegNo);
add(lName);
add(tName);
add(lcourse);
add(tcourse);
add(lResult);
add(tResult);
add(CResult)
tRegNo.addActionListener(this);
tName. addActionListener(this);
tCourse. addActionListener(this);
tResult. addActionListener(this);
CReport. addActionListener(this);
}
Public void actionPerformed(ActionEvent ae)
{
if(ae.getSource()==CReport)
{
Rno=tRegNo.getText();
Course=tCourse.getText();
nam-tName.getText();
rno=”Register Number :”+rno;
nam=”Name :”+nam;
course=”Course :”+course;
res=”Result :”+res;
repaint();
}
}
Public void paint(Graphics g)
{
g.drawString(rno,30,180);
g.drawString(nam,30,200);
g.drawString(course,30,220);
g.drawString(res,30,240);
}
}
//Program-9
//Program to calculate bonus for different departments using method overriding.
class SuperCalass
{
float basic,da,it;
Cuperclass(float b, float d, float i)
{
basic=b;
da=d;
it=i;
}
double vonus()
Introduction to Java Programming
Prof. K. ADISESHAProf. K. ADISESHAProf. K. ADISESHAProf. K. ADISESHA www.adisesha.9f.com | email: adisesha1@rediffmail.com 73
{
System.out.print("Research dept:");
return(basic*0.2);
}
}
class SubClass extends SuperClass
{
float har,pt;
SubClass(float b, float d, float i, float p,float h)
{
super(b,d,i); //passing values to super class
hra=h;
pt=p;
}
double bonus() //overriding method
{
Sysem.out.print("Administration dept:");
return(basic*0.4);
}
}
class findSal
{
public static void nain(String args[])
{
SubClass sc=new SubClass(20000, 12000, 6000, 1000, 500);
System.out.print("______________________________________/n");
System.out.print("bonus is Rs."+sc.bonus+"n");
System.out.print("______________________________________/n");
}
}
//Program-10
//Program to implement thread priorities
class clicker implements Runnable
{
int click=0;
Thread t;
private volatile boolean running=true;
public clicker(int p)
{
t=new Thread(this);
t.setPririty(P);
}
Public void run()
{
while(running)
{
click++;
}
}
Introduction to Java Programming
Prof. K. ADISESHAProf. K. ADISESHAProf. K. ADISESHAProf. K. ADISESHA www.adisesha.9f.com | email: adisesha1@rediffmail.com 74
public viod stop()
{
running=false;
}
public void start()
{
t.start();
}
}
class HiLoPri
{
public static void main(String args[])
{
Thread.currentThread().setPriority(Thread.MAX_PRIORITY);
clicker hi=new clicker(Thread.NORM_PRIORITY+2);
clicker lo=new clicker(Thread.NORM_PRIORITY-2);
lo.start();
hi.start();
try
{
Thread.sleep(10000);
}
catch(InterruptedException e)
{
System.out.println("Main thread interrupted.");
}
lo.stop();
hi.stop();
//wait for child threads to terminate.
try{
hi.t.join();
lo.t.join();
}
catch(InterruptedException e)
{
System.out.println("InterruptedExcetion caught");
}
System.out.println("Low-priority thread: "+lo.click);
System.out.println("High-priority thread: "+hi.click);
}
}
//Program-11
//Program to implement thread, applet and graphics by implementing animation of ball moving.
import java.applet.*;
import java.awt.*;
/*
<applet code=BallRev Height=200 width=300>
</applet>
*/
Introduction to Java Programming
Prof. K. ADISESHAProf. K. ADISESHAProf. K. ADISESHAProf. K. ADISESHA www.adisesha.9f.com | email: adisesha1@rediffmail.com 75
public class BallRev extends Applet implements Runnable
{int x-pos=30;
int y-pos=100;
int x-speed=1;
int radius=20;
int appletsize_x=300;
int appletsize_y=300;
Thread th=null;
boolean flag;
private Image dbImage;
private Graphics dbg;
public void init()
{
setBackground(Color.blue);
}
public void start()
{
Thread th=new Thread(this);
flag-false;
th.start();
}
public void stop()
{
flag=true;
th=null;
}
public viod destroy()
{
}
public viod run()
{
Thread.currentThread().setPriority(Thread.MIN_PRIORITY);
while(true)
{
if(x_pos>appletsize_x-radius)
{
x_speed=-1;
}
else if(x_pos<radius)
{x_speed=+1;
}
x_pos++x_speed;
repaint();
try
{
Thread.sleep(20);
if(flag)
break;
}
catch(InterruptedException ex)
{
Introduction to Java Programming
Prof. K. ADISESHAProf. K. ADISESHAProf. K. ADISESHAProf. K. ADISESHA www.adisesha.9f.com | email: adisesha1@rediffmail.com 76
//do nothing
}
}
public void update(Graphics g)
{
if(dbImage==null)
{
dbIMage=createImage(this.getSize().width,this,getSize().height);
dbg=dbImage.getGraphics();
}
dbg.setColor(getBackground());
dbg.fillrect(0,0,this.getSize.width, this.getSize().height);
dbg.setColorgetForeground());
paint(dbg);
g.drawImage(dbImage,0,0,this);
}
public void paint(Graphics g)
{
g.setColor(Color.red);
g.fillOval(x_pos-radius,y_pos-radius,2*radius,2*radius)
}
}

Java Programming

  • 1.
    Introduction to JavaProgramming Prof. K. ADISESHAProf. K. ADISESHAProf. K. ADISESHAProf. K. ADISESHA www.adisesha.9f.com | email: adisesha1@rediffmail.com 1 Introduction to Java Programming Introduction to Computer Science using Java Java is a simple and yet powerful object oriented programming language and it is in many respects similar to C++. Java originated at Sun Microsystems, Inc. in 1991. It was conceived by James Gosling, Patrick Naughton, Chris Warth, Ed Frank, and Mike Sheridan at Sun Microsystems, Inc. It was developed to provide a platform- independent programming language. This site gives you an Introduction to Java Programming accompanied with many java examples. Its a complete course in java programming for beginners to advanced java. Platform independent Unlike many other programming languages including C and C++ when Java is compiled, it is not compiled into platform specific machine, rather into platform independent byte code. This byte code is distributed over the web and interpreted by virtual Machine (JVM) on whichever platform it is being run. Java Virtual Machine Java was designed with a concept of ‘write once and run everywhere’. Java Virtual Machine plays the central role in this concept. The JVM is the environment in which Java programs execute. It is a software that is implemented on top of real hardware and operating system. When the source code (.java files) is compiled, it is translated into byte codes and then placed into (.class) files. The JVM executes these bytecodes. So Java byte codes can be thought of as the machine language of the JVM. A JVM can either interpret the bytecode one instruction at a time or the bytecode can be compiled further for the real microprocessor using what is called a just-in-time compiler. The JVM must be implemented on a particular platform before compiled programs can run on that platform. Object Oriented Programming Since Java is an object oriented programming language it has following features: • Reusability of Code • Emphasis on data rather than procedure • Data is hidden and cannot be accessed by external functions • Objects can communicate with each other through functions • New data and functions can be easily added Java has powerful features. The following are some of them:- Simple Reusable Portable (Platform Independent) Distributed Robust Secure High Performance Dynamic Threaded Interpreted
  • 2.
    Introduction to JavaProgramming Prof. K. ADISESHAProf. K. ADISESHAProf. K. ADISESHAProf. K. ADISESHA www.adisesha.9f.com | email: adisesha1@rediffmail.com 2 Object Oriented Programming is a method of implementation in which programs are organized as cooperative collection of objects, each of which represents an instance of a class, and whose classes are all members of a hierarchy of classes united via inheritance relationships. OOP Concepts Four principles of Object Oriented Programming are Abstraction Encapsulation Inheritance Polymorphism Abstraction Abstraction denotes the essential characteristics of an object that distinguish it from all other kinds of objects and thus provide crisply defined conceptual boundaries, relative to the perspective of the viewer. Encapsulation Encapsulation is the process of compartmentalizing the elements of an abstraction that constitute its structure and behavior ; encapsulation serves to separate the contractual interface of an abstraction and its implementation. Encapsulation * Hides the implementation details of a class. * Forces the user to use an interface to access data * Makes the code more maintainable. Inheritance Inheritance is the process by which one object acquires the properties of another object. Polymorphism Polymorphism is the existence of the classes or methods in different forms or single name denoting different implementations. Java is distributed With extensive set of routines to handle TCP/IP protocols like HTTP and FTP java can open and access the objects across net via URLs. Java is Multithreaded One of the powerful aspects of the Java language is that it allows multiple threads of execution to run concurrently within the same program A single Java program can have many different threads executing independently and continuously. Multiple Java applets can run on the browser at the same time sharing the CPU time. Java is Secure
  • 3.
    Introduction to JavaProgramming Prof. K. ADISESHAProf. K. ADISESHAProf. K. ADISESHAProf. K. ADISESHA www.adisesha.9f.com | email: adisesha1@rediffmail.com 3 Java was designed to allow secure execution of code across network. To make Java secure many of the features of C and C++ were eliminated. Java does not use Pointers. Java programs cannot access arbitrary addresses in memory. Garbage collection Automatic garbage collection is another great feature of Java with which it prevents inadvertent corruption of memory. Similar to C++, Java has a new operator to allocate memory on the heap for a new object. But it does not use delete operator to free the memory as it is done in C++ to free the memory if the object is no longer needed. It is done automatically with garbage collector. Java Applications Java has evolved from a simple language providing interactive dynamic content for web pages to a predominant enterprise-enabled programming language suitable for developing significant and critical applications. Today, It is used for many types of applications including Web based applications, Financial applications, Gaming applications, embedded systems, Distributed enterprise applications, mobile applications, Image processors, desktop applications and many more. This site outlines the building blocks of java by stating few java examples along with some java tutorials. Getting Started with Java Getting Java Basics quickly has become easy with Javabeginner.com. This site is for the java programmers who want to use the Java programming language to create applications using the Java basics. This site is for absolute beginners to advanced java programmers who do not require any prerequisite Java knowledge. For getting started with Java you’ll have to have some basic understanding of the concepts of programming. After going through all the tutorials in this site, you would have learnt the essential concepts and features of the Java Programming Language which include exceptions, Swing GUI programming, Collections framework etc. A lot of code examples are used through out tutorial to make you understand the language better. All the listings and programs in the website are compiled and run using the JDK 1.5. Download : JDK and JRE 1.5 Java Architecture The Java environment is composed of a number of system components. You use these components at compile time to create the Java program and at run time to execute the program. Java achieves its independence by creating programs designed to run on the Java Virtual Machine rather than any specific computer system. • After you write a Java program, you use a compiler that reads the statements in the program and translates them into a machine independent format called bytecode. • Bytecode files, which are very compact, are easily transported through a distributed system like the Internet. • The compiled Java code (resulting byte code) will be executed at run time. Java programs can be written and executed in two ways: • Stand-alone application (A Java Swing Application) • Applet which runs on a web browser (Example: Internet Explorer)
  • 4.
    Introduction to JavaProgramming Prof. K. ADISESHAProf. K. ADISESHAProf. K. ADISESHAProf. K. ADISESHA www.adisesha.9f.com | email: adisesha1@rediffmail.com 4 Java source code A Java program is a collection of one or more java classes. A Java source file can contain more than one class definition and has a .java extension. Each class definition in a source file is compiled into a separate class file. The name of this compiled file is comprised of the name of the class with .class as an extension. Before we proceed further in this section, I would recommend you to go through the ‘Basic Language Elements’. Below is a java sample code for the traditional Hello World program. Basically, the idea behind this Hello World program is to learn how to create a program, compile and run it. To create your java source code you can use any editor( Text pad/Edit plus are my favorites) or you can use an IDE like Eclipse. public class HelloWorld { public static void main(String[] args) { System.out.println("Hello World"); }//End of main }//End of HelloWorld Class Output Hello World ABOUT THE PROGRAM I created a class named “HelloWorld” containing a simple main function within it. The keyword class specifies that we are defining a class. The name of a public class is spelled exactly as the name of the file (Case Sensitive). All java programs begin execution with the method named main(). main method that gets executed has the following signature : public static void main(String args[]).Declaring this method as public means that it is accessible from outside the class so that the JVM can find it when it looks for the program to start it. It is necessary that the method is declared with return type void (i.e. no arguments are returned from the method). The main method contains a String argument array that can contain the command line arguments. The brackets { and } mark the beginning and ending of the class. The program contains a line ‘System.out.println(”Hello World”);’ that tells the computer to print out on one line of text namely ‘Hello World’. The semi-colon ‘;’ ends the line of code. The double slashes ‘//’ are used for comments that can be used to describe what a source code is doing. Everything to the right of the slashes on the same line does not get compiled, as they are simply the comments in a program. Java Main method Declarations class MainExample1 {public static void main(String[] args) {}} class MainExample2 {public static void main(String []args) {}} class MainExample3 {public static void main(String args[]) {}} All the 3 valid main method’s shown above accepts a single String array argument. Compiling and Running an Application To compile and run the program you need the JDK distributed by Sun Microsystems. The JDK contains documentation, examples, installation instructions, class libraries and packages, and tools. Download an editor like Textpad/EditPlus to type your code. You must save your source code with a .java extension. The name of the file must be the name of the public class contained in the file. Steps for Saving, compiling and Running a Java
  • 5.
    Introduction to JavaProgramming Prof. K. ADISESHAProf. K. ADISESHAProf. K. ADISESHAProf. K. ADISESHA www.adisesha.9f.com | email: adisesha1@rediffmail.com 5 Step 1:Save the program With .java Extension. Step 2:Compile the file from DOS prompt by typing javac <filename>. Step 3:Successful Compilation, results in creation of .class containing byte code Step 4:Execute the file by typing java <filename without extension> Java Development Kit The Java Developer’s Kit is distributed by Sun Microsystems. The JDK contains documentation, examples, installation instructions, class libraries and packages, and tools Javadoc The javadoc tool provided by Sun is used to produce documentation for an application or program, Jar Files A jar file is used to group together related class files into a single file for more compact storage, distribution, and transmission. PATH and CLASSPATH The following are the general programming errors, which I think every beginning java programmer would come across. Here is a solution on how to solve the problems when running on a Microsoft Windows Machine. 1. ‘javac’ is not recognized as an internal or external command, operable program or batch file When you get this error, you should conclude that your operating system cannot find the compiler (javac). To solve this error you need to set the PATH variable. How to set the PATH Variable? Firstly the PATH variable is set so that we can compile and execute programs from any directory without having to type the full path of the command. To set the PATH of jdk on your system (Windows XP), add the full path of the jdk<version>bin directory to the PATH variable. Set the PATH as follows on a Windows machine: a. Click Start > Right Click “My Computer” and click on “Properties” b. Click Advanced > Environment Variables. c. Add the location of bin folder of JDK installation for PATH in User Variables and System Variables. A typical value for PATH is: C:jdk<version>bin (jdk<version is nothing but the name of the directory where jdk is installed) If there are already some entries in the PATH variable then you must add a semicolon and then add the above value (Version being replaced with the version of JDK). The new path takes effect in each new command prompt window you open after setting the PATH variable. 2. Exception in thread “main” java.lang.NoClassDefFoundError: HelloWorld If you receive this error, java cannot find your compiled byte code file, HelloWorld.class.If both your class files and source code are in the same working directory and if you try running your program from the current working
  • 6.
    Introduction to JavaProgramming Prof. K. ADISESHAProf. K. ADISESHAProf. K. ADISESHAProf. K. ADISESHA www.adisesha.9f.com | email: adisesha1@rediffmail.com 6 directory than, your program must get executed without any problems as, java tries to find your .class file is your current directory. If your class files are present in some other directory other than that of the java files we must set the CLASSPATH pointing to the directory that contain your compiled class files.CLASSPATH can be set as follows on a Windows machine: a. Click Start > Right Click “My Computer” and click on “Properties” b. Click Advanced > Environment Variables. Add the location of classes’ folder containing all your java classes in User Variables. If there are already some entries in the CLASSPATH variable then you must add a semicolon and then add the new value . The new class path takes effect in each new command prompt window you open after setting the CLASSPATH variable. Java 1.5 The Java 1.5 released in September 2004. Goals Less code complexity Better readability More compile-time type safety Some new functionality (generics, scanner) New Features Enhanced for loop Enumerated types Autoboxing & unboxing Generic types Scanner Variable number of arguments (varargs) Static imports Annotations Keywords There are certain words with a specific meaning in java which tell (help) the compiler what the program is supposed to do. These Keywords cannot be used as variable names, class names, or method names. Keywords in java are case sensitive, all characters being lower case. Keywords are reserved words that are predefined in the language; see the table below (Taken from Sun Java Site). All the keywords are in lowercase. abstract default if private this boolean do implements protected throw break double import public throws byte else instanceof return transient case extends int short try catch final interface static void char finally long strictfp volatile class float native super while const for new switch continue goto package synchronized
  • 7.
    Introduction to JavaProgramming Prof. K. ADISESHAProf. K. ADISESHAProf. K. ADISESHAProf. K. ADISESHA www.adisesha.9f.com | email: adisesha1@rediffmail.com 7 Keywords are marked in yellow as shown in the sample code below /** This class is a Hello World Program used to introduce the Java Language*/ public class HelloWorld { public static void main(String[] args) { System.out.println(”Hello World”); //Prints output to console } } For more information on different Keywords - Java Keywords Some Tricky Observations: The words virtual, ifdef, typedef, friend, struct and union are all words related to the C programming language. const and goto are Java keywords. The word finalize is the name of a method of the Object class and hence not a keyword. enum and label are not keywords. Comments Comments are descriptions that are added to a program to make code easier to understand. The compiler ignores comments and hence its only for documentation of the program. Java supports three comment styles. Block style comments begin with /* and terminate with */ that spans multiple lines. Line style comments begin with // and terminate at the end of the line. (Shown in the above program) Documentation style comments begin with /** and terminate with */ that spans multiple lines. They are generally created using the automatic documentation generation tool, such as javadoc. (Shown in the above program) name of this compiled file is comprised of the name of the class with .class as an extension. Variable, Identifiers and Data Types Variables are used for data that change during program execution. All variables have a name, a type, and a scope. The programmer assigns the names to variables, known as identifiers. An Identifier must be unique within a scope of the Java program. Variables have a data type, that indicates the kind of value they can store. Variables declared inside of a block or method are called local variables; They are not automatically initialized. The compiler will generate an error as a result of the attempt to access the local variables before a value has been assigned. public class localVariableEx { public static int a; public static void main(String[] args) { int b; System.out.println("a : "+a); System.out.println("b : "+b); //Compilation error }}
  • 8.
    Introduction to JavaProgramming Prof. K. ADISESHAProf. K. ADISESHAProf. K. ADISESHAProf. K. ADISESHA www.adisesha.9f.com | email: adisesha1@rediffmail.com 8 Note in the above example, a compilation error results in where the variable is tried to be accessed and not at the place where its declared without any value. The data type indicates the attributes of the variable, such as the range of values that can be stored and the operators that can be used to manipulate the variable. Java has four main primitive data types built into the language. You can also create your own composite data types. Java has four main primitive data types built into the language. We can also create our own data types. • Integer: byte, short, int, and long. • Floating Point: float and double • Character: char • Boolean: variable with a value of true or false. The following chart (Taken from Sun Java Site) summarizes the default values for the java built in data types. Since I thought Mentioning the size was not important as part of learning Java, I have not mentioned it in the below table. The size for each Java type can be obtained by a simple Google search. Data Type Default Value (for fields) Range byte 0 -127 to +128 short 0 -32768 to +32767 int 0 long 0L float 0.0f double 0.0d char ‘u0000′ 0 to 65535 String (object) null boolean false When we declare a variable we assign it an identifier and a data type. For Example String message = “hello world” In the above statement, String is the data type for the identifier message. If you don’t specify a value when the variable is declared, it will be assigned the default value for its data type. Identifier Naming Rules • Can consist of upper and lower case letters, digits, dollar sign ($) and the underscore ( _ ) character. • Must begin with a letter, dollar sign, or an underscore • Are case sensitive • Keywords cannot be used as identifiers • Within a given section of your program or scope, each user defined item must have a unique identifier • Can be of any length. Classes A class is nothing but a blueprint for creating different objects which defines its properties and behaviors. An object exhibits the properties and behaviors defined by its class. A class can contain fields and methods to describe the behavior of an object. Methods are nothing but members of a class that provide a service for an object or perform some business logic.
  • 9.
    Introduction to JavaProgramming Prof. K. ADISESHAProf. K. ADISESHAProf. K. ADISESHAProf. K. ADISESHA www.adisesha.9f.com | email: adisesha1@rediffmail.com 9 Objects An object is an instance of a class created using a new operator. The new operator returns a reference to a new instance of a class. This reference can be assigned to a reference variable of the class. The process of creating objects from a class is called instantiation. An object reference provides a handle to an object that is created and stored in memory. In Java, objects can only be manipulated via references, which can be stored in variables. Interface An Interface is a contract in the form of collection of method and constant declarations. When a class implements an interface, it promises to implement all of the methods declared in that interface. Instance Members Each object created will have its own copies of the fields defined in its class called instance variables which represent an object’s state. The methods of an object define its behaviour called instance methods. Instance variables and instance methods, which belong to objects, are collectively called instance members. The dot ‘.’ notation with a object reference is used to access Instance Members. Static Members Static members are those that belong to a class as a whole and not to a particular instance (object). A static variable is initialized when the class is loaded. Similarly, a class can have static methods. Static variables and static methods are collectively known as static members, and are declared with a keyword static. Static members in the class can be accessed either by using the class name or by using the object reference, but instance members can only be accessed via object references. Below is a program showing the various parts of the basic language syntax that were discussed above. /** Comment * Displays "Hello World!" to the standard output. */ public class HelloWorld { String output = ""; static HelloWorld helloObj; //Line 1 public HelloWorld(){ output = "Hello World"; } public String printMessage(){ return output; } public static void main (String args[]) { helloObj = new HelloWorld(); //Line 2 System.out.println(helloObj.printMessage()); } } Java Operators They are used to manipulate primitive data types. Java operators can be classified as unary, binary, or ternary— meaning taking one, two, or three arguments, respectively. A unary operator may appear before (prefix) its argument or after (postfix) its argument. A binary or ternary operator appears between its arguments.
  • 10.
    Introduction to JavaProgramming Prof. K. ADISESHAProf. K. ADISESHAProf. K. ADISESHAProf. K. ADISESHA www.adisesha.9f.com | email: adisesha1@rediffmail.com 10 Operators in java fall into 8 different categories: Java operators fall into eight different categories: assignment, arithmetic, relational, logical, bitwise, compound assignment, conditional, and type. Assignment Operators = Arithmetic Operators - + * / % ++ -- Relational Operators > < >= <= == != Logical Operators && || & | ! ^ Bit wise Operator & | ^ >> >>> Compound Assignment Operators += -= *= /= %= <<= >>= >>>= Conditional Operator ?: Java has eight different operator types: assignment, arithmetic, relational, logical, bitwise, compound assignment, conditional, and type. Assignment operators The java assignment operator statement has the following syntax: <variable> = <expression> If the value already exists in the variable it is overwritten by the assignment operator (=). public class AssignmentOperatorsDemo { public AssignmentOperatorsDemo() { // Assigning Primitive Values int j, k; j = 10; // j gets the value 10. j = 5; // j gets the value 5. Previous value is overwritten. k = j; // k gets the value 5. System.out.println("j is : " + j); System.out.println("k is : " + k); // Assigning References Integer i1 = new Integer("1"); Integer i2 = new Integer("2"); System.out.println("i1 is : " + i1); System.out.println("i2 is : " + i2); i1 = i2; System.out.println("i1 is : " + i1); System.out.println("i2 is : " + i2); // Multiple Assignments k = j = 10; // (k = (j = 10)) System.out.println("j is : " + j); System.out.println("k is : " + k); } public static void main(String args[]) { new AssignmentOperatorsDemo(); } } Arithmetic operators Java provides eight Arithmetic operators. They are for addition, subtraction, multiplication, division, modulo (or remainder), increment (or add 1), decrement (or subtract 1), and negation. An example program is shown below that demonstrates the different arithmetic operators in java.
  • 11.
    Introduction to JavaProgramming Prof. K. ADISESHAProf. K. ADISESHAProf. K. ADISESHAProf. K. ADISESHA www.adisesha.9f.com | email: adisesha1@rediffmail.com 11 The binary operator + is overloaded in the sense that the operation performed is determined by the type of the operands. When one of the operands is a String object, the other operand is implicitly converted to its string representation and string concatenation is performed. String message = 100 + “Messages”; //”100 Messages” public class ArithmeticOperatorsDemo { public ArithmeticOperatorsDemo() { int x, y = 10, z = 5; x = y + z; System.out.println("+ operator resulted in " + x); x = y - z; System.out.println("- operator resulted in " + x); x = y * z; System.out.println("* operator resulted in " + x); x = y / z; System.out.println("/ operator resulted in " + x); x = y % z; System.out.println("% operator resulted in " + x); x = y++; System.out.println("Postfix ++ operator resulted in " + x); x = ++z; System.out.println("Prefix ++ operator resulted in " + x); x = -y; System.out.println("Unary operator resulted in " + x); // Some examples of special Cases int tooBig = Integer.MAX_VALUE + 1; // -2147483648 which is // Integer.MIN_VALUE. int tooSmall = Integer.MIN_VALUE - 1; // 2147483647 which is // Integer.MAX_VALUE. System.out.println("tooBig becomes " + tooBig); System.out.println("tooSmall becomes " + tooSmall); System.out.println(4.0 / 0.0); // Prints: Infinity System.out.println(-4.0 / 0.0); // Prints: -Infinity System.out.println(0.0 / 0.0); // Prints: NaN double d1 = 12 / 8; // result: 1 by integer division. d1 gets the value // 1.0. double d2 = 12.0F / 8; // result: 1.5 System.out.println("d1 is " + d1); System.out.println("d2 iss " + d2); } public static void main(String args[]) { new ArithmeticOperatorsDemo(); } } ArithmeticOperatorsDemo Source code Relational operators Relational operators in Java are used to compare 2 or more objects. Java provides six relational operators: greater than (>), less than (<), greater than or equal (>=), less than or equal (<=), equal (==), and not equal (!=). All relational operators are binary operators, and their operands are numeric expressions. Binary numeric promotion is applied to the operands of these operators. The evaluation results in a boolean value. Relational operators have precedence lower than arithmetic operators, but higher than that of the assignment operators. An example program is shown below that demonstrates the different relational operators in java. public class RelationalOperatorsDemo { public RelationalOperatorsDemo( ) {
  • 12.
    Introduction to JavaProgramming Prof. K. ADISESHAProf. K. ADISESHAProf. K. ADISESHAProf. K. ADISESHA www.adisesha.9f.com | email: adisesha1@rediffmail.com 12 int x = 10, y = 5; System.out.println("x > y : "+(x > y)); System.out.println("x < y : "+(x < y)); System.out.println("x >= y : "+(x >= y)); System.out.println("x <= y : "+(x <= y)); System.out.println("x == y : "+(x == y)); System.out.println("x != y : "+(x != y)); } public static void main(String args[]){ new RelationalOperatorsDemo(); } } RelationalOperatorsDemo Source code Logical operators Logical operators return a true or false value based on the state of the Variables. There are six logical, or boolean, operators. They are AND, conditional AND, OR, conditional OR, exclusive OR, and NOT. Each argument to a logical operator must be a boolean data type, and the result is always a boolean data type. An example program is shown below that demonstrates the different Logical operators in java. public class LogicalOperatorsDemo { public LogicalOperatorsDemo() { boolean x = true; boolean y = false; System.out.println("x & y : " + (x & y)); System.out.println("x && y : " + (x && y)); System.out.println("x | y : " + (x | y)); System.out.println("x || y: " + (x || y)); System.out.println("x ^ y : " + (x ^ y)); System.out.println("!x : " + (!x)); } public static void main(String args[]) { new LogicalOperatorsDemo(); } } LogicalOperatorsDemo Source code Given that x and y represent boolean expressions, the boolean logical operators are defined in the Table below. x y !x x & y x && y x | y x || y x ^ y true true false true true false true false false false true true false true true false true true false false true false false false Bitwise operators Java provides Bit wise operators to manipulate the contents of variables at the bit level. These variables must be of numeric data type ( char, short, int, or long). Java provides seven bitwise operators. They are AND, OR, Exclusive-OR, Complement, Left-shift, Signed Right-shift, and Unsigned Right- shift. An example program is shown below that demonstrates the different Bit wise operators in java.
  • 13.
    Introduction to JavaProgramming Prof. K. ADISESHAProf. K. ADISESHAProf. K. ADISESHAProf. K. ADISESHA www.adisesha.9f.com | email: adisesha1@rediffmail.com 13 public class BitwiseOperatorsDemo { public BitwiseOperatorsDemo() { int x = 0xFAEF; //1 1 1 1 1 0 1 0 1 1 1 0 1 1 1 1 int y = 0xF8E9; //1 1 1 1 1 0 0 0 1 1 1 0 1 0 0 1 int z; System.out.println("x & y : " + (x & y)); System.out.println("x | y : " + (x | y)); System.out.println("x ^ y : " + (x ^ y)); System.out.println("~x : " + (~x)); System.out.println("x << y : " + (x << y)); System.out.println("x >> y : " + (x >> y)); System.out.println("x >>> y : " + (x >>> y)); //There is no unsigned left shift operator } public static void main(String args[]) { new BitwiseOperatorsDemo(); } } BitwiseOperatorsDemo Source code The result of applying bitwise operators between two corresponding bits in the operands is shown in the Table below. Output 3,0,3 /* * The below program demonstrates bitwise operators keeping in mind operator precedence * Operator Precedence starting with the highest is -> |, ^, & */ public class BitwisePrecedenceEx { public static void main(String[] args) { int a = 1 | 2 ^ 3 & 5; int b = ((1 | 2) ^ 3) & 5; int c = 1 | (2 ^ (3 & 5)); System.out.print(a + "," + b + "," + c); } } BitwiseOperatorsDemo2 Source code Compound operators The compound operators perform shortcuts in common programming operations. Java has eleven compound assignment operators. Syntax: argument1 operator = argument2. The above statement is the same as, argument1 = argument1 operator argument2. An example program is shown below that demonstrates the different Compound operators in java. public class CompoundOperatorsDemo { public CompoundOperatorsDemo() { int x = 0, y = 5; x += 3; A B ~A A & B A | B A ^ B 1 1 0 1 1 0 1 0 0 0 1 1 0 1 1 0 1 1 0 0 1 0 0 0
  • 14.
    Introduction to JavaProgramming Prof. K. ADISESHAProf. K. ADISESHAProf. K. ADISESHAProf. K. ADISESHA www.adisesha.9f.com | email: adisesha1@rediffmail.com 14 System.out.println("x : " + x); y *= x; System.out.println("y : " + y); /*Similarly other operators can be applied as shortcuts. Other compound assignment operators include boolean logical , bitwiseand shift operators*/ } public static void main(String args[]) { new CompoundOperatorsDemo(); } } CompoundOperatorsDemo Source code Conditional operators The Conditional operator is the only ternary (operator takes three arguments) operator in Java. The operator evaluates the first argument and, if true, evaluates the second argument. If the first argument evaluates to false, then the third argument is evaluated. The conditional operator is the expression equivalent of the if-else statement. The conditional expression can be nested and the conditional operator associates from right to left: (a?b?c?d:e:f:g) evaluates as (a?(b?(c?d:e):f):g) An example program is shown below that demonstrates the Ternary operator in java. public class TernaryOperatorsDemo { public TernaryOperatorsDemo() { int x = 10, y = 12, z = 0; z = x > y ? x : y; System.out.println("z : " + z); } public static void main(String args[]) { new TernaryOperatorsDemo(); } } TernaryOperatorsDemo Source code /* * The following programs shows that when no explicit parenthesis is used then the conditional operator * evaluation is from right to left */ public class BooleanEx1 { static String m1(boolean b) { return b ? "T" : "F"; } public static void main(String[] args) { boolean t1 = false ? false : true ? false : true ? false : true; boolean t2 = false ? false : (true ? false : (true ? false : true)); boolean t3 = ((false ? false : true) ? false : true) ? false : true; System.out.println(m1(t1) + m1(t2) + m1(t3)); } } Output FFT TernaryOperatorsDemo2 Source code
  • 15.
    Introduction to JavaProgramming Prof. K. ADISESHAProf. K. ADISESHAProf. K. ADISESHAProf. K. ADISESHA www.adisesha.9f.com | email: adisesha1@rediffmail.com 15 Type conversion allows a value to be changed from one primitive data type to another. Conversion can occur explicitly, as specified in the program, or implicitly, by Java itself. Java allows both type widening and type narrowing conversions. In java Conversions can occur by the following ways: • Using a cast operator (explicit promotion) • Using an arithmetic operator is used with arguments of different data types (arithmetic promotion) • A value of one type is assigned to a variable of a different type (assignment promotion) Operator Precedence The order in which operators are applied is known as precedence. Operators with a higher precedence are applied before operators with a lower precedence. The operator precedence order of Java is shown below. Operators at the top of the table are applied before operators lower down in the table. If two operators have the same precedence, they are applied in the order they appear in a statement. That is, from left to right. You can use parentheses to override the default precedence. postfix [] . () expr++ expr– unary ++expr –expr +expr -expr ! ~ creation/caste new (type)expr multiplicative * / % additive + - shift >> >>> relational < <= > >= instanceof equality == != bitwise AND & bitwise exclusive OR ^ bitwise inclusive OR | logical AND && logical OR || ternary ?: assignment = “op=” Example: In an operation such as, result = 4 + 5 * 3 First (5 * 3) is evaluated and the result is added to 4 giving the Final Result value as 19. Note that ‘*’ takes higher precedence than ‘+’ according to chart shown above. This kind of precedence of one operator over another applies to all the operators. Java Control statements control the order of execution in a java program, based on data values and conditional logic. There are three main categories of control flow statements; · Selection statements: if, if-else and switch. · Loop statements: while, do-while and for. · Transfer statements: break, continue, return, try-catch-finally and assert. We use control statements when we want to change the default sequential order of execution Selection Statements The If Statement The if statement executes a block of code only if the specified expression is true. If the value is false, then the if block is skipped and execution continues with the rest of the program. You can either have a single statement or a block of code within an if statement. Note that the conditional expression must be a Boolean expression.
  • 16.
    Introduction to JavaProgramming Prof. K. ADISESHAProf. K. ADISESHAProf. K. ADISESHAProf. K. ADISESHA www.adisesha.9f.com | email: adisesha1@rediffmail.com 16 The simple if statement has the following syntax: if (<conditional expression>) <statement action> Below is an example that demonstrates conditional execution based on if statement condition. public class IfStatementDemo { public static void main(String[] args) { <font size=-1> int a = 10, b = 20; if (a > b) System.out.println("a > b"); if (a < b) System.out.println("b > a"); } } Output :b > a IfStatementDemo.java The If-else Statement The if/else statement is an extension of the if statement. If the statements in the if statement fails, the statements in the else block are executed. You can either have a single statement or a block of code within if-else blocks. Note that the conditional expression must be a Boolean expression. The if-else statement has the following syntax: if (<conditional expression>) <statement action> else <statement action> Below is an example that demonstrates conditional execution based on if else statement condition. public class IfElseStatementDemo { public static void main(String[] args) { int a = 10, b = 20; if (a > b) { System.out.println("a > b"); } else { System.out.println("b > a"); } }} Output: b > a IfElseStatementDemo.java Switch Case Statement The switch case statement, also called a case statement is a multi-way branch with several choices. A switch is easier to implement than a series of if/else statements. The switch statement begins with a keyword, followed by an expression that equates to a no long integral value. Following the controlling expression is a code block that contains zero or more labeled cases. Each label must equate to an integer constant and each must be unique. When the switch statement executes, it compares the value of the controlling expression to the values of each case label. The program will select the value of the case label that equals the value of the controlling expression and branch down that path to the end of the code block. If none of the case label values match, then none of the codes within the switch statement code block will be executed. Java includes a default label to use in cases where there are no matches. We can have a nested switch within a case block of an outer switch. Its general form is as follows:
  • 17.
    Introduction to JavaProgramming Prof. K. ADISESHAProf. K. ADISESHAProf. K. ADISESHAProf. K. ADISESHA www.adisesha.9f.com | email: adisesha1@rediffmail.com 17 switch (<non-long integral expression>) { case label1: <statement1> case label2: <statement2> … case labeln: <statementn> default: <statement> } // end switch When executing a switch statement, the program falls through to the next case. Therefore, if you want to exit in the middle of the switch statement code block, you must insert a break statement, which causes the program to continue executing after the current code block. Below is a java example that demonstrates conditional execution based on nested if else statement condition to find the greatest of 3 numbers. public class SwitchCaseStatementDemo { public static void main(String[] args) { int a = 10, b = 20, c = 30; int status = -1; if (a > b && a > c) { status = 1; } else if (b > c) { status = 2; } else { status = 3; } switch (status) { case 1: System.out.println("a is the greatest"); break; case 2: System.out.println("b is the greatest"); break; case 3: System.out.println("c is the greatest"); break; default: System.out.println("Cannot be determined"); } } } Output: c is the greatest Java Access Specifiers The access to classes, constructors, methods and fields are regulated using access modifiers i.e. a class can control what information or data can be accessible by other classes. To take advantage of encapsulation, you should minimize access whenever possible.Java provides a number of access modifiers to help you set the level of access you want for classes as well as the fields, methods and constructors in your classes. A member has package or default accessibility when no accessibility modifier is specified. Access Modifiers 1. private 2. protected 3. default 4. public public access modifier
  • 18.
    Introduction to JavaProgramming Prof. K. ADISESHAProf. K. ADISESHAProf. K. ADISESHAProf. K. ADISESHA www.adisesha.9f.com | email: adisesha1@rediffmail.com 18 Fields, methods and constructors declared public (least restrictive) within a public class are visible to any class in the Java program, whether these classes are in the same package or in another package. private access modifier The private (most restrictive) fields or methods cannot be used for classes and Interfaces. It also cannot be used for fields and methods within an interface. Fields, methods or constructors declared private are strictly controlled, which means they cannot be accesses by anywhere outside the enclosing class. A standard design strategy is to make all fields private and provide public getter methods for them. protected access modifier The protected fields or methods cannot be used for classes and Interfaces. It also cannot be used for fields and methods within an interface. Fields, methods and constructors declared protected in a superclass can be accessed only by subclasses in other packages. Classes in the same package can also access protected fields, methods and constructors as well, even if they are not a subclass of the protected member’s class. Default access modifier Java provides a default specifier which is used when no access modifier is present. Any class, field, method or constructor that has no declared access modifier is accessible only by classes in the same package. The default modifier is not used for fields and methods within an interface. Below is a program to demonstrate the use of public, private, protected and default access modifiers while accessing fields and methods. The output of each of these java files depict the Java access specifies. The first class is SubclassInSamePackage.java which is present in pckage1 package. This java file contains the Base class and a subclass within the enclosing class that belongs to the same class as shown below. package pckage1; class BaseClass { public int x = 10; private int y = 10; protected int z = 10; int a = 10; //Implicit Default Access Modifier public int getX() { return x; } public void setX(int x) { this.x = x; } private int getY() { return y; } private void setY(int y) { this.y = y; } protected int getZ() { return z; } protected void setZ(int z) { this.z = z; } int getA() { return a; } void setA(int a) { this.a = a; } } public class SubclassInSamePackage extends BaseClass {
  • 19.
    Introduction to JavaProgramming Prof. K. ADISESHAProf. K. ADISESHAProf. K. ADISESHAProf. K. ADISESHA www.adisesha.9f.com | email: adisesha1@rediffmail.com 19 public static void main(String args[]) { BaseClass rr = new BaseClass(); rr.z = 0; SubclassInSamePackage subClassObj = new SubclassInSamePackage(); //Access Modifiers - Public System.out.println("Value of x is : " + subClassObj.x); subClassObj.setX(20); System.out.println("Value of x is : " + subClassObj.x); //Access Modifiers - Public // If we remove the comments it would result in a compilaton // error as the fields and methods being accessed are private /* System.out.println("Value of y is : "+subClassObj.y); subClassObj.setY(20); System.out.println("Value of y is : "+subClassObj.y);*/ //Access Modifiers - Protected System.out.println("Value of z is : " + subClassObj.z); subClassObj.setZ(30); System.out.println("Value of z is : " + subClassObj.z); //Access Modifiers - Default System.out.println("Value of x is : " + subClassObj.a); subClassObj.setA(20); System.out.println("Value of x is : " + subClassObj.a); } } Output Value of x is : 10 Value of x is : 20 Value of z is : 10 Value of z is : 30 Value of x is : 10 Value of x is : 20 The second class is SubClassInDifferentPackage.java which is present in a different package then the first one. This java class extends First class (SubclassInSamePackage.java).
  • 20.
    Introduction to JavaProgramming Prof. K. ADISESHAProf. K. ADISESHAProf. K. ADISESHAProf. K. ADISESHA www.adisesha.9f.com | email: adisesha1@rediffmail.com 20 import pckage1.*; public class SubClassInDifferentPackage extends SubclassInSamePackage { public int getZZZ() { return z; } public static void main(String args[]) { SubClassInDifferentPackage subClassDiffObj = new SubClassInDifferentPackage(); SubclassInSamePackage subClassObj = new SubclassInSamePackage(); //Access specifiers - Public System.out.println("Value of x is : " + subClassObj.x); subClassObj.setX(30); System.out.println("Value of x is : " + subClassObj.x); //Access specifiers - Private // if we remove the comments it would result in a compilaton // error as the fields and methods being accessed are private /* System.out.println("Value of y is : "+subClassObj.y); subClassObj.setY(20); System.out.println("Value of y is : "+subClassObj.y);*/ //Access specifiers - Protected // If we remove the comments it would result in a compilaton // error as the fields and methods being accessed are protected. /* System.out.println("Value of z is : "+subClassObj.z); subClassObj.setZ(30); System.out.println("Value of z is : "+subClassObj.z);*/ System.out.println("Value of z is : " + subClassDiffObj.getZZZ()); //Access Modifiers - Default // If we remove the comments it would result in a compilaton // error as the fields and methods being accessed are default. /* System.out.println("Value of a is : "+subClassObj.a); subClassObj.setA(20); System.out.println("Value of a is : "+subClassObj.a);*/ } } Output Value of x is : 10 Value of x is : 30 Value of z is : 10 The third class is ClassInDifferentPackage.java which is present in a different package then the first one.
  • 21.
    Introduction to JavaProgramming Prof. K. ADISESHAProf. K. ADISESHAProf. K. ADISESHAProf. K. ADISESHA www.adisesha.9f.com | email: adisesha1@rediffmail.com 21 import pckage1.*; public class ClassInDifferentPackage { public static void main(String args[]) { SubclassInSamePackage subClassObj = new SubclassInSamePackage(); //Access Modifiers - Public System.out.println("Value of x is : " + subClassObj.x); subClassObj.setX(30); System.out.println("Value of x is : " + subClassObj.x); //Access Modifiers - Private // If we remove the comments it would result in a compilaton // error as the fields and methods being accessed are private /* System.out.println("Value of y is : "+subClassObj.y); subClassObj.setY(20); System.out.println("Value of y is : "+subClassObj.y);*/ //Access Modifiers - Protected // If we remove the comments it would result in a compilaton // error as the fields and methods being accessed are protected. /* System.out.println("Value of z is : "+subClassObj.z); subClassObj.setZ(30); System.out.println("Value of z is : "+subClassObj.z);*/ //Access Modifiers - Default // If we remove the comments it would result in a compilaton // error as the fields and methods being accessed are default. /* System.out.println("Value of a is : "+subClassObj.a); subClassObj.setA(20); System.out.println("Value of a is : "+subClassObj.a);*/ } } Output: Value of x is : 10 Value of x is : 30 Introduction to Java Classes A class is nothing but a blueprint or a template for creating different objects which defines its properties and behaviors. Java class objects exhibit the properties and behaviors defined by its class. A class can contain fields and methods to describe the behavior of an object. Methods are nothing but members of a class that provide a service for an object or perform some business logic. Java fields and member functions names are case sensitive. Current states of a class’s corresponding object are stored in the object’s instance variables. Methods define the operations that can be performed in java programming. A class has the following general syntax: <class modifiers>class<class name> <extends clause> <implements clause>{ // Dealing with Classes (Class body)
  • 22.
    Introduction to JavaProgramming Prof. K. ADISESHAProf. K. ADISESHAProf. K. ADISESHAProf. K. ADISESHA www.adisesha.9f.com | email: adisesha1@rediffmail.com 22 <field declarations (Static and Non-Static)> <method declarations (Static and Non-Static)> <Inner class declarations> <nested interface declarations> <constructor declarations> <Static initializer blocks> } Below is an example showing the Objects and Classes of the Cube class that defines 3 fields namely length, breadth and height. Also the class contains a member function getVolume(). public class Cube { int length; int breadth; int height; public int getVolume() { return (length * breadth * height); } } How do you reference a data member/function? This is accomplished by stating the name of the object reference, followed by a period (dot), followed by the name of the member inside the object. ( objectReference.member ). You call a method for an object by naming the object followed by a period (dot), followed by the name of the method and its argument list, like this: objectName.methodName(arg1, arg2, arg3). For example: cubeObject.length = 4; cubeObject.breadth = 4; cubeObject.height = 4; cubeObject.getvolume() Class Variables – Static Fields We use class variables also know as Static fields when we want to share characteristics across all objects within a class. When you declare a field to be static, only a single instance of the associated variable is created common to all the objects of that class. Hence when one object changes the value of a class variable, it affects all objects of the class. We can access a class variable by using the name of the class, and not necessarily using a reference to an individual object within the class. Static variables can be accessed even though no objects of that class exist. It is declared using static keyword. Class Methods – Static Methods Class methods, similar to Class variables can be invoked without having an instance of the class. Class methods are often used to provide global functions for Java programs. For example, methods in the java.lang.Math package are class methods. You cannot call non-static methods from inside a static method. Instance Variables Instance variables stores the state of the object. Each class would have its own copy of the variable. Every object has a state that is determined by the values stored in the object. An object is said to have changed its state when one or more data values stored in the object have been modified. When an object responds to a message, it will usually perform an action, change its state etc. An object that has the ability to store values is often said to have persistence.
  • 23.
    Introduction to JavaProgramming Prof. K. ADISESHAProf. K. ADISESHAProf. K. ADISESHAProf. K. ADISESHA www.adisesha.9f.com | email: adisesha1@rediffmail.com 23 Consider this simple Java program showing the use of static fields and static methods // Class and Object initialization showing the Object Oriented concepts in Java class Cube { int length = 10; int breadth = 10; int height = 10; public static int numOfCubes = 0; // static variable public static int getNoOfCubes() { //static method return numOfCubes; } public Cube() { numOfCubes++; // } } public class CubeStaticTest { public static void main(String args[]) { System.out.println("Number of Cube objects = " + Cube.numOfCubes); System.out.println("Number of Cube objects = " + Cube.getNoOfCubes()); } } CubeStaticTest.java Output Number of Cube objects = 0 Number of Cube objects = 0 Final Variable, Methods and Classes In Java we can mark fields, methods and classes as final. Once marked as final, these items cannot be changed. Variables defined in an interface are implicitly final. You can’t change value of a final variable (is a constant). A final class can’t be extended i.e., final class may not be subclassed. This is done for security reasons with basic classes like String and Integer. It also allows the compiler to make some optimizations, and makes thread safety a little easier to achieve. A final method can’t be overridden when its class is inherited. Any attempt to override or hide a final method will result in a compiler error. Introduction to Java Objects The Object Class is the super class for all classes in Java. Some of the object class methods are equals toString() wait() notify() notifyAll() hashcode() clone() An object is an instance of a class created using a new operator. The new operator returns a reference to a new instance of a class. This reference can be assigned to a reference variable of the class. The process of creating objects from a class is called instantiation. An object encapsulates state and behavior.
  • 24.
    Introduction to JavaProgramming Prof. K. ADISESHAProf. K. ADISESHAProf. K. ADISESHAProf. K. ADISESHA www.adisesha.9f.com | email: adisesha1@rediffmail.com 24 An object reference provides a handle to an object that is created and stored in memory. In Java, objects can only be manipulated via references, which can be stored in variables. Creating variables of your class type is similar to creating variables of primitive data types, such as integer or float. Each time you create an object, a new set of instance variables comes into existence which defines the characteristics of that object. If you want to create an object of the class and have the reference variable associated with this object, you must also allocate memory for the object by using the new operator. This process is called instantiating an object or creating an object instance. When you create a new object, you use the new operator to instantiate the object. The new operator returns the location of the object which you assign o a reference type. Method Overloading Method overloading results when two or more methods in the same class have the same name but different parameters. Methods with the same name must differ in their types or number of parameters. This allows the compiler to match parameters and choose the correct method when a number of choices exist. Changing just the return type is not enough to overload a method, and will be a compile-time error. They must have a different signature. When no method matching the input parameters is found, the compiler attempts to convert the input parameters to types of greater precision. A match may then be found without error. At compile time, the right implementation is chosen based on the signature of the method call Below is an example of a class demonstrating Method Overloading public class MethodOverloadDemo { void sumOfParams() { // First Version System.out.println("No parameters"); } void sumOfParams(int a) { // Second Version System.out.println("One parameter: " + a); } int sumOfParams(int a, int b) { // Third Version System.out.println("Two parameters: " + a + " , " + b); return a + b; } double sumOfParams(double a, double b) { // Fourth Version System.out.println("Two double parameters: " + a + " , " + b); return a + b; } public static void main(String args[]) { MethodOverloadDemo moDemo = new MethodOverloadDemo(); int intResult; double doubleResult; moDemo.sumOfParams(); System.out.println(); moDemo.sumOfParams(2); System.out.println(); intResult = moDemo.sumOfParams(10, 20); System.out.println("Sum is " + intResult); System.out.println(); doubleResult = moDemo.sumOfParams(1.1, 2.2); System.out.println("Sum is " + doubleResult); System.out.println(); } } MethodOverloadDemo.java
  • 25.
    Introduction to JavaProgramming Prof. K. ADISESHAProf. K. ADISESHAProf. K. ADISESHAProf. K. ADISESHA www.adisesha.9f.com | email: adisesha1@rediffmail.com 25 Output: No parameters One parameter: 2 Two parameters: 10 , 20 Sum is 30 Two double parameters: 1.1 , 2.2 Sum is 3.3000000000000003 Below is a code snippet to shows the interfaces that a Class Implements: Class cls = java.lang.String.class; Class[] intfs = cls.getInterfaces(); // [java.lang.Comparable, java.lang.CharSequence, java.io.Serializable] // The interfaces for a primitive type is an empty array cls = int.class; intfs = cls.getInterfaces(); // [] Below is a code snippet to show whether a Class Object Represents a Class or Interface: Class cls = java.lang.String.class; boolean isClass = !cls.isInterface(); // true cls = java.lang.Cloneable.class; isClass = !cls.isInterface(); // false Java Constructors A java constructor has the same name as the name of the class to which it belongs. Constructor’s syntax does not include a return type, since constructors never return a value. Constructors may include parameters of various types. When the constructor is invoked using the new operator, the types must match those that are specified in the constructor definition. Java provides a default constructor which takes no arguments and performs no special actions or initializations, when no explicit constructors are provided. The only action taken by the implicit default constructor is to call the superclass constructor using the super() call. Constructor arguments provide you with a way to provide parameters for the initialization of an object. Below is an example of a cube class containing 2 constructors. (one default and one parameterized constructor). public class Cube1 { int length; int breadth; int height; public int getVolume() { return (length * breadth * height); } Cube1() { length = 10; breadth = 10; height = 10; } Cube1(int l, int b, int h) { length = l; breadth = b; height = h; } public static void main(String[] args) { Cube1 cubeObj1, cubeObj2;
  • 26.
    Introduction to JavaProgramming Prof. K. ADISESHAProf. K. ADISESHAProf. K. ADISESHAProf. K. ADISESHA www.adisesha.9f.com | email: adisesha1@rediffmail.com 26 cubeObj1 = new Cube1(); cubeObj2 = new Cube1(10, 20, 30); System.out.println("Volume of Cube1 is : " + cubeObj1.getVolume()); System.out.println("Volume of Cube1 is : " + cubeObj2.getVolume()); } } Cube1.java Note: If a class defines an explicit constructor, it no longer has a default constructor to set the state of the objects. If such a class requires a default constructor, its implementation must be provided. Any attempt to call the default constructor will be a compile time error if an explicit default constructor is not provided in such a case. Java Overloaded Constructors Like methods, constructors can also be overloaded. Since the constructors in a class all have the same name as the class, />their signatures are differentiated by their parameter lists. The above example shows that the Cube1 constructor is overloaded one being the default constructor and the other being a parameterized constructor. It is possible to use this() construct, to implement local chaining of constructors in a class. The this() call in a constructorinvokes the an other constructor with the corresponding parameter list within the same class. Calling the default constructor to create a Cube object results in the second and third parameterized constructors being called as well. Java requires that any this() call must occur as the first statement in a constructor. Below is an example of a cube class containing 3 constructors which demostrates the this() method in Constructors context public class Cube2 { int length; int breadth; int height; public int getVolume() { return (length * breadth * height); } Cube2() { this(10, 10); System.out.println("Finished with Default Constructor"); } Cube2(int l, int b) { this(l, b, 10); System.out.println("Finished with Parameterized Constructor having 2 params"); } Cube2(int l, int b, int h) { length = l; breadth = b; height = h; System.out.println("Finished with Parameterized Constructor having 3 params"); } public static void main(String[] args) { Cube2 cubeObj1, cubeObj2; cubeObj1 = new Cube2(); cubeObj2 = new Cube2(10, 20, 30); System.out.println("Volume of Cube1 is : " + cubeObj1.getVolume()); System.out.println("Volume of Cube2 is : " + cubeObj2.getVolume()); } } public class Cube2 { int length;
  • 27.
    Introduction to JavaProgramming Prof. K. ADISESHAProf. K. ADISESHAProf. K. ADISESHAProf. K. ADISESHA www.adisesha.9f.com | email: adisesha1@rediffmail.com 27 int breadth; int height; public int getVolume() { return (length * breadth * height); } Cube2() { this(10, 10); System.out.println("Finished with Default Constructor"); } Cube2(int l, int b) { this(l, b, 10); System.out.println("Finished with Parameterized Constructor having 2 params"); } Cube2(int l, int b, int h) { length = l; breadth = b; height = h; System.out.println("Finished with Parameterized Constructor having 3 params"); } public static void main(String[] args) { Cube2 cubeObj1, cubeObj2; cubeObj1 = new Cube2(); cubeObj2 = new Cube2(10, 20, 30); System.out.println("Volume of Cube1 is : " + cubeObj1.getVolume()); System.out.println("Volume of Cube2 is : " + cubeObj2.getVolume()); } } Output Finished with Parameterized Constructor having 3 params Finished with Parameterized Constructor having 2 params Finished with Default Constructor Finished with Parameterized Constructor having 3 params Volume of Cube1 is : 1000 Volume of Cube2 is : 6000 Constructor Chaining Every constructor calls its superclass constructor. An implied super() is therefore included in each constructor which does not include either the this() function or an explicit super() call as its first statement. The super() statement invokes a constructor of the super class. The implicit super() can be replaced by an explicit super(). The super statement must be the first statement of the constructor. The explicit super allows parameter values to be passed to the constructor of its superclass and must have matching parameter types A super() call in the constructor of a subclass will result in the call of the relevant constructor from the superclass, based on the signature of the call. This is called constructor chaining. Below is an example of a class demonstrating constructor chaining using super() method. class Cube { int length; int breadth; int height; public int getVolume() { return (length * breadth * height); }
  • 28.
    Introduction to JavaProgramming Prof. K. ADISESHAProf. K. ADISESHAProf. K. ADISESHAProf. K. ADISESHA www.adisesha.9f.com | email: adisesha1@rediffmail.com 28 Cube() { this(10, 10); System.out.println("Finished with Default Constructor of Cube"); } Cube(int l, int b) { this(l, b, 10); System.out.println("Finished with Parameterized Constructor having } Cube(int l, int b, int h) { length = l; breadth = b; height = h; System.out.println("Finished with Parameterized Constructor having } } public class SpecialCube extends Cube { int weight; SpecialCube() { super(); weight = 10; } SpecialCube(int l, int b) { this(l, b, 10); System.out.println("Finished with Parameterized Constructor having } SpecialCube(int l, int b, int h) { super(l, b, h); weight = 20; System.out.println("Finished with Parameterized Constructor having } public static void main(String[] args) { SpecialCube specialObj1 = new SpecialCube(); SpecialCube specialObj2 = new SpecialCube(10, 20); System.out.println("Volume of SpecialCube1 is : " + specialObj1.getVolume()); System.out.println("Weight of SpecialCube1 is : " + specialObj1.weight); System.out.println("Volume of SpecialCube2 is : " + specialObj2.getVolume()); System.out.println("Weight of SpecialCube2 is : " + specialObj2.weight); } } Output: SpecialCube.java Finished with Parameterized Constructor having 3 params of SpecialCube Finished with Parameterized Constructor having 2 params of SpecialCube Volume of SpecialCube1 is : 1000 Weight of SpecialCube1 is : 10 Volume of SpecialCube2 is : 2000 Weight of SpecialCube2 is : 20 The super() construct as with this() construct: if used, must occur as the first statement in a constructor, and it can only be used in a constructor declaration. This implies that this() and super() calls cannot both occur in the same constructor. Just as the this() construct leads to chaining of constructors in the same class, the super() construct
  • 29.
    Introduction to JavaProgramming Prof. K. ADISESHAProf. K. ADISESHAProf. K. ADISESHAProf. K. ADISESHA www.adisesha.9f.com | email: adisesha1@rediffmail.com 29 leads to chaining of subclass constructors to superclass constructors. if a constructor has neither a this() nor a super() construct as its first statement, then a super() call to the default constructor in the superclass is inserted. Note: If a class only defines non-default constructors, then its subclasses will not include an implicit super() call. This will be flagged as a compile-time error. The subclasses must then explicitly call a superclass constructor, using the super() construct with the right arguments to match the appropriate constructor of the superclass. Below is an example of a class demonstrating constructor chaining using explicit super() call. class Cube { int length; int breadth; int height; public int getVolume() { return (length * breadth * height); } Cube(int l, int b, int h) { length = l; breadth = b; height = h; System.out.println("Finished with Parameterized Constructor having 3 params of Cube"); } } public class SpecialCube1 extends Cube { int weight; SpecialCube1() { super(10, 20, 30); //Will Give a Compilation Error without this line weight = 10; } public static void main(String[] args) { SpecialCube1 specialObj1 = new SpecialCube1(); System.out.println("Volume of SpecialCube1 is : "+ specialObj1.getVolume()); } } Output: Finished with Parameterized Constructor having 3 params of Cube Volume of SpecialCube1 is : 6000 Java Serialization Introduction to Object Serialization Java object serialization is used to persist Java objects to a file, database, network, process or any other system. Serialization flattens objects into an ordered, or serialized stream of bytes. The ordered stream of bytes can then be read at a later time, or in another environment, to recreate the original objects. Java serialization does not cannot occur for transient or static fields. Marking the field transient prevents the state from being written to the stream and from being restored during deserialization. Java provides classes to support writing objects to streams and restoring objects from streams. Only objects that support the java.io.Serializable interface or the java.io.Externalizable interface can be written to streams. public interface Serializable • The Serializable interface has no methods or fields. (Marker Interface) • Only objects of classes that implement java.io.Serializable interface can be serialized or deserialized
  • 30.
    Introduction to JavaProgramming Prof. K. ADISESHAProf. K. ADISESHAProf. K. ADISESHAProf. K. ADISESHA www.adisesha.9f.com | email: adisesha1@rediffmail.com 30 Transient Fields and Java Serialization The transient keyword is a modifier applied to instance variables in a class. It specifies that the variable is not part of the persistent state of the object and thus never saved during serialization. You can use the transient keyword to describe temporary variables, or variables that contain local information, such as a process ID or a time lapse. Input and Output Object Streams ObjectOutputStream is the primary output stream class that implements the ObjectOutput interface for serializing objects. ObjectInputStream is the primary input stream class that implements the ObjectInput interface for deserializing objects. These high-level streams are each chained to a low-level stream, such as FileInputStream or FileOutputStream. The low-level streams handle the bytes of data. The writeObject method saves the state of the class by writing the individual fields to the ObjectOutputStream. The readObject method is used to deserialize the object from the object input stream. Case 1: Below is an example that demonstrates object Serialization into a File PersonDetails is the bean class that implements the Serializable interface import java.io.Serializable; public class PersonDetails implements Serializable { private String name; private int age; private String sex; public PersonDetails(String name, int age, String sex) { this.name = name; this.age = age; this.sex = sex; } public int getAge() { return age; } public void setAge(int age) { this.age = age; } public String getName() { return name; } public void setName(String name) { this.name = name; } public String getSex() { return sex; } public void setSex(String sex) { this.sex = sex; }} GetPersonDetails is the class that is used to Deserialize object from the File (person.txt).
  • 31.
    Introduction to JavaProgramming Prof. K. ADISESHAProf. K. ADISESHAProf. K. ADISESHAProf. K. ADISESHA www.adisesha.9f.com | email: adisesha1@rediffmail.com 31 import java.io.FileInputStream; import java.io.IOException; import java.io.ObjectInputStream; import java.util.ArrayList; import java.util.List; public class GetPersonDetails { public static void main(String[] args) { String filename = "person.txt"; List pDetails = null; FileInputStream fis = null; ObjectInputStream in = null; try { fis = new FileInputStream(filename); in = new ObjectInputStream(fis); pDetails = (ArrayList) in.readObject(); in.close(); } catch (IOException ex) { ex.printStackTrace(); } catch (ClassNotFoundException ex) { ex.printStackTrace(); } // print out the size System.out.println("Person Details Size: " + pDetails.size()); System.out.println(); } } PersonPersist is the class that is used to serialize object into the File (person.txt). public class PersonPersist { public static void main(String[] args) { String filename = "person.txt"; PersonDetails person1 = new PersonDetails("hemanth", 10, "Male"); PersonDetails person2 = new PersonDetails("bob", 12, "Male"); PersonDetails person3 = new PersonDetails("Richa", 10, "Female"); List list = new ArrayList(); list.add(person1); list.add(person2); list.add(person3); FileOutputStream fos = null; ObjectOutputStream out = null; try { fos = new FileOutputStream(filename); out = new ObjectOutputStream(fos); out.writeObject(list); out.close(); System.out.println("Object Persisted"); } catch (IOException ex) { ex.printStackTrace(); } } } Case 2: Below is an example that demonstrates object Serialization into the database
  • 32.
    Introduction to JavaProgramming Prof. K. ADISESHAProf. K. ADISESHAProf. K. ADISESHAProf. K. ADISESHA www.adisesha.9f.com | email: adisesha1@rediffmail.com 32 PersonDetails remains the same as shown above GetPersonDetails remains the same as shown above Create SerialTest Table create table SerialTest( name BLOB, viewname VARCHAR2(30) ); PersonPersist is the class that is used to serialize object into the into the Database Table SerialTest. import java.io.ByteArrayInputStream; import java.io.ByteArrayOutputStream; import java.io.IOException; import java.io.ObjectInputStream; import java.io.ObjectOutputStream; import java.sql.Connection; import java.sql.DriverManager; import java.sql.PreparedStatement; import java.sql.ResultSet; import java.sql.SQLException; import java.sql.Statement; public class PersonPersist { static String userid = "scott", password = "tiger"; static String url = "jdbc:odbc:bob"; static int count = 0; static Connection con = null; public static void main(String[] args) { Connection con = getOracleJDBCConnection(); PersonDetails person1 = new PersonDetails("hemanth", 10, "Male"); PersonDetails person2 = new PersonDetails("bob", 12, "Male"); PersonDetails person3 = new PersonDetails("Richa", 10, "Female"); PreparedStatement ps; try { ps = con.prepareStatement("INSERT INTO SerialTest VALUES (?, ?)"); write(person1, ps); ps.execute(); write(person2, ps); ps.execute(); write(person3, ps); ps.execute(); ps.close(); Statement st = con.createStatement(); ResultSet rs = st.executeQuery("SELECT * FROM SerialTest"); while (rs.next()) { Object obj = read(rs, "Name"); PersonDetails p = (PersonDetails) obj; System.out.println(p.getName() + "t" + p.getAge() + "t" + p.getSex()); } rs.close(); st.close(); } catch (Exception e) { } } public static void write(Object obj, PreparedStatement ps) throws SQLException, IOException { ByteArrayOutputStream baos = new ByteArrayOutputStream(); ObjectOutputStream oout = new ObjectOutputStream(baos); oout.writeObject(obj); oout.close(); ps.setBytes(1, baos.toByteArray()); ps.setInt(2, ++count); } public static Object read(ResultSet rs, String column) throws SQLException, IOException, ClassNotFoundException { byte[] buf = rs.getBytes(column); if (buf != null) { ObjectInputStream objectIn = new ObjectInputStream(
  • 33.
    Introduction to JavaProgramming Prof. K. ADISESHAProf. K. ADISESHAProf. K. ADISESHAProf. K. ADISESHA www.adisesha.9f.com | email: adisesha1@rediffmail.com 33 new ByteArrayInputStream(buf)); return objectIn.readObject(); } return null; } public static Connection getOracleJDBCConnection() { try { Class.forName("sun.jdbc.odbc.JdbcOdbcDriver"); } catch (java.lang.ClassNotFoundException e) { System.err.print("ClassNotFoundException: "); System.err.println(e.getMessage()); } try { con = DriverManager.getConnection(url, userid, password); } catch (SQLException ex) { System.err.println("SQLException: " + ex.getMessage()); } return con; } } Case 3: Below is an example that demonstrates object Serialization into the database using Base 64 Encoder PersonDetails remains the same as shown above GetPersonDetails remains the same as shown above Create SerialTest Table create table SerialTest( name BLOB, viewname VARCHAR2(30) ); PersonPersist is the class that is used to serialize object into the Database Table SerialTest import java.io.ByteArrayInputStream; import java.io.ByteArrayOutputStream; import java.io.IOException; import java.io.ObjectInputStream; import java.io.ObjectOutputStream; import java.sql.Connection; import java.sql.DriverManager; import java.sql.PreparedStatement; import java.sql.ResultSet; import java.sql.SQLException; import java.sql.Statement; public class PersonPersist { static String userid = "scott", password = "tiger"; static String url = "jdbc:odbc:bob"; static int count = 0; static Connection con = null; static String s; public static void main(String[] args) { Connection con = getOracleJDBCConnection(); PersonDetails person1 = new PersonDetails("hemanth", 10, "Male"); PersonDetails person2 = new PersonDetails("bob", 12, "Male"); PersonDetails person3 = new PersonDetails("Richa", 10, "Female"); PreparedStatement ps; try { ps = con.prepareStatement("INSERT INTO SerialTest VALUES (?, ?)"); write(person1, ps); ps.execute(); write(person2, ps); ps.execute(); write(person3, ps); ps.execute();
  • 34.
    Introduction to JavaProgramming Prof. K. ADISESHAProf. K. ADISESHAProf. K. ADISESHAProf. K. ADISESHA www.adisesha.9f.com | email: adisesha1@rediffmail.com 34 ps.close(); Statement st = con.createStatement(); ResultSet rs = st.executeQuery("SELECT * FROM SerialTest"); while (rs.next()) { Object obj = read(rs, "Name"); PersonDetails p = (PersonDetails) obj; System.out.println(p.getName() + "t" + p.getAge() + "t"+ .getSex()); } rs.close(); st.close(); } catch (Exception e) { } } public static void write(Object obj, PreparedStatement ps) throws SQLException, IOException { ByteArrayOutputStream baos = new ByteArrayOutputStream(); ObjectOutputStream oout = new ObjectOutputStream(baos); oout.writeObject(obj); oout.close(); byte[] buf = baos.toByteArray(); s = new sun.misc.BASE64Encoder().encode(buf); ps.setString(1, s); // ps.setBytes(1, Base64.byteArrayToBase64(baos.toByteArray())); ps.setBytes(1, baos.toByteArray()); ps.setInt(2, ++count); } public static Object read(ResultSet rs, String column) throws SQLException, IOException, ClassNotFoundException { byte[] buf = new sun.misc.BASE64Decoder().decodeBuffer(s); // byte[] buf = Base64.base64ToByteArray(new // String(rs.getBytes(column))); if (buf != null) { ObjectInputStream objectIn = new ObjectInputStream( new ByteArrayInputStream(buf)); Object obj = objectIn.readObject(); // Contains the object PersonDetails p = (PersonDetails) obj; System.out.println(p.getName() + "t" + p.getAge() + "t" + p.getSex()); } return null; } public static Connection getOracleJDBCConnection() { try { Class.forName("sun.jdbc.odbc.JdbcOdbcDriver"); } catch (java.lang.ClassNotFoundException e) { System.err.print("ClassNotFoundException: "); System.err.println(e.getMessage()); } try { con = DriverManager.getConnection(url, userid, password); } catch (SQLException ex) { System.err.println("SQLException: " + ex.getMessage()); } return con; } } Below is a program that shows the serialization of a JButton object to a file and a Byte Array Stream. As before theobject to be serialized must implement the Serializable interface. PersonDetails is the bean class that implements the Serializable interface
  • 35.
    Introduction to JavaProgramming Prof. K. ADISESHAProf. K. ADISESHAProf. K. ADISESHAProf. K. ADISESHA www.adisesha.9f.com | email: adisesha1@rediffmail.com 35 import java.io.ByteArrayOutputStream; import java.io.FileOutputStream; import java.io.ObjectOutput; import java.io.ObjectOutputStream; public class ObjectSerializationExample { public static void main(String args[]) { try { Object object = new javax.swing.JButton("Submit"); // Serialize to a file namely "filename.dat" ObjectOutput out = new ObjectOutputStream( new FileOutputStream("filename.dat")); out.writeObject(object); out.close(); // Serialize to a byte array ByteArrayOutputStream bos = new ByteArrayOutputStream(); out = new ObjectOutputStream(bos); out.writeObject(object); out.close(); // Get the bytes of the serialized object byte[] buf = bos.toByteArray(); } catch (Exception e) { e.printStackTrace(); } } } Java Inheritance Java Inheritance defines an is-a relationship between a superclass and its subclasses. This means that an object of a subclass can be used wherever an object of the superclass can be used. Class Inheritance in java mechanism is used to build new classes from existing classes. The inheritance relationship is transitive: if class x extends class y, then a class z, which extends class x, will also inherit from class y. For example a car class can inherit some properties from a General vehicle class. Here we find that the base class is the vehicle class and the subclass is the more specific car class. A subclass must use the extends clause to derive from a super class which must be written in the header of the subclass definition. The subclass inherits members of the superclass and hence promotes code reuse. The subclass itself can add its own new behavior and properties. The java.lang.Object class is always at the top of any Class inheritance hierarchy. class Box { double width; double height; double depth; Box() { } Box(double w, double h, double d) { width = w; height = h; depth = d; } void getVolume() { System.out.println("Volume is : " + width * height * depth); } } public class MatchBox extends Box { double weight; MatchBox() { }
  • 36.
    Introduction to JavaProgramming Prof. K. ADISESHAProf. K. ADISESHAProf. K. ADISESHAProf. K. ADISESHA www.adisesha.9f.com | email: adisesha1@rediffmail.com 36 MatchBox(double w, double h, double d, double m) { super(w, h, d); weight = m; } public static void main(String args[]) { MatchBox mb1 = new MatchBox(10, 10, 10, 10); mb1.getVolume(); System.out.println("width of MatchBox 1 is " + mb1.width); System.out.println("height of MatchBox 1 is " + mb1.height); System.out.println("depth of MatchBox 1 is " + mb1.depth); System.out.println("weight of MatchBox 1 is " + mb1.weight); }} Output: MatchBox.java Volume is : 1000.0 width of MatchBox 1 is 10.0 height of MatchBox 1 is 10.0 depth of MatchBox 1 is 10.0 weight of MatchBox 1 is 10.0 What is not possible using java class Inheritance? 1. Private members of the superclass are not inherited by the subclass and can only be indirectly accessed. 2. Members that have default accessibility in the superclass are also not inherited by subclasses in other packages, as these members are only accessible by their simple names in subclasses within the same package as the superclass. 3. Since constructors and initializer blocks are not members of a class, they are not inherited by a subclass. 4. A subclass can extend only one superclass class Vehicle { // Instance fields int noOfTyres; // no of tyres private boolean accessories; // check if accessorees present or not protected String brand; // Brand of the car // Static fields private static int counter; // No of Vehicle objects created // Constructor Vehicle() { System.out.println("Constructor of the Super class called"); noOfTyres = 5; accessories = true; brand = "X"; counter++; } // Instance methods public void switchOn() { accessories = true; } public void switchOff() { accessories = false; } public boolean isPresent() { return accessories; } private void getBrand() { System.out.println("Vehicle Brand: " + brand); } // Static methods public static void getNoOfVehicles() { System.out.println("Number of Vehicles: " + counter); } }
  • 37.
    Introduction to JavaProgramming Prof. K. ADISESHAProf. K. ADISESHAProf. K. ADISESHAProf. K. ADISESHA www.adisesha.9f.com | email: adisesha1@rediffmail.com 37 class Car extends Vehicle { private int carNo = 10; public void printCarInfo() { System.out.println("Car number: " + carNo); System.out.println("No of Tyres: " + noOfTyres); // Inherited. // System.out.println("accessories: " + accessories); // Not Inherited. System.out.println("accessories: " + isPresent()); // Inherited. // System.out.println("Brand: " + getBrand()); // Not Inherited. System.out.println("Brand: " + brand); // Inherited. // System.out.println("Counter: " + counter); // Not Inherited. getNoOfVehicles(); // Inherited. } } public class VehicleDetails { // (3) public static void main(String[] args) { new Car().printCarInfo(); } } Output: VehicleDetails.java Constructor of the Super class called Car number: 10 No of Tyres: 5 accessories: true Brand: X Number of Vehicles: 1 this and super keywords The two keywords, this and super to help you explicitly name the field or method that you want. Using this and super you have full control on whether to call a method or field present in the same class or to call from the immediate superclass. This keyword is used as a reference to the current object which is an instance of the current class. The keyword super also references the current object, but as an instance of the current class’s super class. The this reference to the current object is useful in situations where a local variable hides, or shadows, a field with the same name. If a method needs to pass the current object to another method, it can do so using the this reference. Note that the this reference cannot be used in a static context, as static code is not executed in the context of any object. class Counter { int i = 0; Counter increment() { i++; return this; } void print() { System.out.println("i = " + i); } } public class CounterDemo extends Counter { public static void main(String[] args) { Counter x = new Counter(); x.increment().increment().increment().print(); } } Output
  • 38.
    Introduction to JavaProgramming Prof. K. ADISESHAProf. K. ADISESHAProf. K. ADISESHAProf. K. ADISESHA www.adisesha.9f.com | email: adisesha1@rediffmail.com 38 Volume is : 1000.0 width of MatchBox 1 is 10.0 height of MatchBox 1 is 10.0 depth of MatchBox 1 is 10.0 weight of MatchBox 1 is 10.0 Java Object Typecasting Object Reference Type Casting In java object typecasting one object reference can be type cast into another object reference. The cast can be to its own class type or to one of its subclass or superclass types or interfaces. There are compile-time rules and runtime rules for casting in java. How to Typecast Objects with a dynamically loaded Class ? - The casting of object references depends on the relationship of the classes involved in the same hierarchy. Any object reference can be assigned to a reference variable of the type Object, because the Object class is a superclass of every Java class. There can be 2 casting java scenarios · Upcasting · Downcasting When we cast a reference along the class hierarchy in a direction from the root class towards the children or subclasses, it is a downcast. When we cast a reference along the class hierarchy in a direction from the sub classes towards the root, it is an upcast. We need not use a cast operator in this case. The compile-time rules are there to catch attempted casts in cases that are simply not possible. This happens when we try to attempt casts on objects that are totally unrelated (that is not subclass super class relationship or a class- interface relationship) At runtime a ClassCastException is thrown if the object being cast is not compatible with the new type it is being cast to. Below is an example showing when a ClassCastException can occur during object casting //X is a supper class of Y and Z which are sibblings. public class RunTimeCastDemo { public static void main(String args[]) { X x = new X(); Y y = new Y(); Z z = new Z(); X xy = new Y(); // compiles ok (up the hierarchy) X xz = new Z(); // compiles ok (up the hierarchy) // Y yz = new Z(); incompatible type (siblings) // Y y1 = new X(); X is not a Y // Z z1 = new X(); X is not a Z X x1 = y; // compiles ok (y is subclass of X) X x2 = z; // compiles ok (z is subclass of X) Y y1 = (Y) x; // compiles ok but produces runtime error Z z1 = (Z) x; // compiles ok but produces runtime error Y y2 = (Y) x1; // compiles and runs ok (x1 is type Y) Z z2 = (Z) x2; // compiles and runs ok (x2 is type Z) // Y y3 = (Y) z; inconvertible types (siblings) // Z z3 = (Z) y; inconvertible types (siblings) Object o = z; Object o1 = (Y) o; // compiles ok but produces runtime error } } ClassCastException example Source Code
  • 39.
    Introduction to JavaProgramming Prof. K. ADISESHAProf. K. ADISESHAProf. K. ADISESHAProf. K. ADISESHA www.adisesha.9f.com | email: adisesha1@rediffmail.com 39 Casting Object References: Implicit Casting using a Compiler In general an implicit cast is done when an Object reference is assigned (cast) to: * A reference variable whose type is the same as the class from which the object was instantiated. An Object as Object is a super class of every Class. * A reference variable whose type is a super class of the class from which the object was instantiated. * A reference variable whose type is an interface that is implemented by the class from which the object was instantiated. * A reference variable whose type is an interface that is implemented by a super class of the class from which the object was instantiated. Consider an interface Vehicle, a super class Car and its subclass Ford. The following example shows the automatic conversion of object references handled by the compiler interface Vehicle { } class Car implements Vehicle { } class Ford extends Car { } Let c be a variable of type Car class and f be of class Ford and v be an vehicle interface reference. We can assign the Ford reference to the Car variable: I.e. we can do the following Example 1 c = f; //Ok Compiles fine Where c = new Car(); And, f = new Ford(); The compiler automatically handles the conversion (assignment) since the types are compatible (sub class - super class relationship), i.e., the type Car can hold the type Ford since a Ford is a Car. Example 2 v = c; //Ok Compiles fine c = v; // illegal conversion from interface type to class type results in compilation error Where c = new Car(); And v is a Vehicle interface reference (Vehicle v) The compiler automatically handles the conversion (assignment) since the types are compatible (class – interface relationship), i.e., the type Car can be cast to Vehicle interface type since Car implements Vehicle Interface. (Car is a Vehicle). Casting Object References: Explicit Casting Sometimes we do an explicit cast in java when implicit casts don’t work or are not helpful for a particular scenario. The explicit cast is nothing but the name of the new “type” inside a pair of matched parentheses. As before, we consider the same Car and Ford Class
  • 40.
    Introduction to JavaProgramming Prof. K. ADISESHAProf. K. ADISESHAProf. K. ADISESHAProf. K. ADISESHA www.adisesha.9f.com | email: adisesha1@rediffmail.com 40 class Car { void carMethod(){ } } class Ford extends Car { void fordMethod () { } } We also have a breakingSystem() function which takes Car reference (Superclass reference) as an input parameter. The method will invoke carMethod() regardless of the type of object (Car or Ford Reference) and if it is a Ford object, it will also invoke fordMethod(). We use the instanceof operator to determine the type of object at run time. public void breakingSystem (Car obj) { obj.carMethod(); if (obj instanceof Ford) ((Ford)obj).fordMethod (); } To invoke the fordMethod(), the operation (Ford)obj tells the compiler to treat the Car object referenced by obj as if it is a Ford object. Without the cast, the compiler will give an error message indicating that fordMethod() cannot be found in the Car definition. The following program shown illustrates the use of the cast operator with references. Note: Classes Honda and Ford are Siblings in the class Hierarchy. Both these classes are subclasses of Class Car. Both Car and HeavyVehicle Class extend Object Class. Any class that does not explicitly extend some other class will automatically extends the Object by default. This code instantiates an object of the class Ford and assigns the object’s reference to a reference variable of type Car. This assignment is allowed as Car is a superclass of Ford. In order to use a reference of a class type to invoke a method, the method must be defined at or above that class in the class hierarchy. Hence an object of Class Car cannot invoke a method present in Class Ford, since the method fordMethod is not present in Class Car or any of its superclasses. Hence this problem can be colved by a simple downcast by casting the Car object reference to the Ford Class Object reference as done in the program. Also an attempt to cast an object reference to its Sibling Object reference produces a ClassCastException at runtime, although compilation happens without any error. One common casting that is performed when dealing with collections is, you can cast an object reference into a String. import java.util.Vector; public class StringCastDemo { public static void main(String args[]) { String username = "asdf"; String password = "qwer"; Vector v = new Vector(); v.add(username); v.add(password); // String u = v.elementAt(0); Cannot convert from object to String Object u = v.elementAt(0); //Cast not done System.out.println("Username : " + u); String uname = (String) v.elementAt(0); // cast allowed String pass = (String) v.elementAt(1); // cast allowed System.out.println();
  • 41.
    Introduction to JavaProgramming Prof. K. ADISESHAProf. K. ADISESHAProf. K. ADISESHAProf. K. ADISESHA www.adisesha.9f.com | email: adisesha1@rediffmail.com 41 System.out.println("Username : " + uname); System.out.println("Password : " + pass); } } Object String Casting Source Code Output Username : asdf Username : asdf Password : qwer instanceof Operator The instanceof operator is called the type comparison operator, lets you determine if an object belongs to a specific class, or implements a specific interface. It returns true if an object is an instance of the class or if the object implements the interface, otherwise it returns false. Below is an example showing the use of instanceof operator class Vehicle { String name; Vehicle() { name = "Vehicle"; } } class HeavyVehicle extends Vehicle { HeavyVehicle() { name = "HeavyVehicle"; } } class Truck extends HeavyVehicle { Truck() { name = "Truck"; } } class LightVehicle extends Vehicle { LightVehicle() { name = "LightVehicle"; } } public class InstanceOfExample { static boolean result; static HeavyVehicle hV = new HeavyVehicle(); static Truck T = new Truck(); static HeavyVehicle hv2 = null; public static void main(String[] args) { result = hV instanceof HeavyVehicle; System.out.print("hV is an HeavyVehicle: " + result + "n"); result = T instanceof HeavyVehicle; System.out.print("T is an HeavyVehicle: " + result + "n"); result = hV instanceof Truck; System.out.print("hV is a Truck: " + result + "n");
  • 42.
    Introduction to JavaProgramming Prof. K. ADISESHAProf. K. ADISESHAProf. K. ADISESHAProf. K. ADISESHA www.adisesha.9f.com | email: adisesha1@rediffmail.com 42 result = hv2 instanceof HeavyVehicle; System.out.print("hv2 is an HeavyVehicle: " + result + "n"); hV = T; //Sucessful Cast form child to parent T = (Truck) hV; //Sucessful Explicit Cast form parent to child } } Output: instanceof operator Source Code hV is an HeavyVehicle: true T is an HeavyVehicle: true hV is a Truck: false hv2 is an HeavyVehicle: false Note: hv2 does not yet reference an HeavyVehicle object, instanceof returns false. Also we can’t use instanceof operator with siblings Java Abstract class and Interface Abstract Class in java Java Abstract classes are used to declare common characteristics of subclasses. An abstract class cannot be instantiated. It can only be used as a superclass for other classes that extend the abstract class. Abstract classes are declared with the abstract keyword. Abstract classes are used to provide a template or design for concrete subclasses down the inheritance tree. Like any other class, an abstract class can contain fields that describe the characteristics and methods that describe the actions that a class can perform. An abstract class can include methods that contain no implementation. These are called abstract methods. The abstract method declaration must then end with a semicolon rather than a block. If a class has any abstract methods, whether declared or inherited, the entire class must be declared abstract. Abstract methods are used to provide a template for the classes that inherit the abstract methods. Abstract classes cannot be instantiated; they must be subclassed, and actual implementations must be provided for the abstract methods. Any implementation specified can, of course, be overridden by additional subclasses. An object must have an implementation for all of its methods. You need to create a subclass that provides an implementation for the abstract method. A class abstract Vehicle might be specified as abstract to represent the general abstraction of a vehicle, as creating instances of the class would not be meaningful. abstract class Vehicle { int numofGears; String color; abstract boolean hasDiskBrake(); abstract int getNoofGears(); } Example of a shape class as an abstract class abstract class Shape { public String color; public Shape() { } public void setColor(String c) { color = c; } public String getColor() { return color; } abstract public double area(); }
  • 43.
    Introduction to JavaProgramming Prof. K. ADISESHAProf. K. ADISESHAProf. K. ADISESHAProf. K. ADISESHA www.adisesha.9f.com | email: adisesha1@rediffmail.com 43 We can also implement the generic shapes class as an abstract class so that we can draw lines, circles, triangles etc. All shapes have some common fields and methods, but each can, of course, add more fields and methods. The abstract class guarantees that each shape will have the same set of basic properties. We declare this class abstract because there is no such thing as a generic shape. There can only be concrete shapes such as squares, circles, triangles etc. public class Point extends Shape { static int x, y; public Point() { x = 0; y = 0; } public double area() { return 0; } public double perimeter() { return 0; } public static void print() { System.out.println("point: " + x + "," + y); } public static void main(String args[]) { Point p = new Point(); p.print(); } } Output: point: 0, 0 Notice that, in order to create a Point object, its class cannot be abstract. This means that all of the abstract methods of the Shape class must be implemented by the Point class. The subclass must define an implementation for every abstract method of the abstract superclass, or the subclass itself will also be abstract. Similarly other shape objects can be created using the generic Shape Abstract class. A big Disadvantage of using abstract classes is not able to use multiple inheritance. In the sense, when a class extends an abstract class, it can’t extend any other class. Java Interface In Java, this multiple inheritance problem is solved with a powerful construct called interfaces. Interface can be used to define a generic template and then one or more abstract classes to define partial implementations of the interface. Interfaces just specify the method declaration (implicitly public and abstract) and can only contain fields (which are implicitly public static final). Interface definition begins with a keyword interface. An interface like that of an abstract class cannot be instantiated. Multiple Inheritance is allowed when extending interfaces i.e. one interface can extend none, one or more interfaces. Java does not support multiple inheritance, but it allows you to extend one class and implement many interfaces. If a class that implements an interface does not define all the methods of the interface, then it must be declared abstract and the method definitions must be provided by the subclass that extends the abstract class. Example 1: Below is an example of a Shape interface interface Shape { public double area(); public double volume(); }
  • 44.
    Introduction to JavaProgramming Prof. K. ADISESHAProf. K. ADISESHAProf. K. ADISESHAProf. K. ADISESHA www.adisesha.9f.com | email: adisesha1@rediffmail.com 44 Below is a Point class that implements the Shape interface. public class Point implements Shape { static int x, y; public Point() { x = 0; y = 0; } public double area() { return 0; } public double volume() { return 0; } public static void print() { System.out.println("point: " + x + "," + y); } public static void main(String args[]) { Point p = new Point(); p.print(); } } Similarly, other shape objects can be created by interface programming by implementing generic Shape Interface. Example 2: Below is a java interfaces program showing the power of interface programming in java Listing below shows 2 interfaces and 4 classes one being an abstract class. Note: The method toString in class A1 is an overridden version of the method defined in the class named Object. The classes B1 and C1 satisfy the interface contract. But since the class D1 does not define all the methods of the implemented interface I2, the class D1 is declared abstract. Also, i1.methodI2() produces a compilation error as the method is not declared in I1 or any of its super interfaces if present. Hence a downcast of interface reference I1 solves the problem as shown in the program. The same problem applies to i1.methodA1 (), which is again resolved by a downcast. When we invoke the toString() method which is a method of an Object, there does not seem to be any problem as every interface or class extends Object and any class can override the default toString() to suit your application needs. ((C1)o1).methodI1() compiles successfully, but produces a ClassCastException at runtime. This is because B1 does not have any relationship with C1 except they are “siblings”. You can’t cast siblings into one another. When a given interface method is invoked on a given reference, the behavior that results will be appropriate to the class from which that particular object was instantiated. This is runtime polymorphism based on interfaces and overridden methods. interface I1 { void methodI1(); // public static by default } interface I2 extends I1 { void methodI2(); // public static by default } class A1 { public String methodA1() { String strA1 = "I am in methodC1 of class A1"; return strA1; } public String toString() {
  • 45.
    Introduction to JavaProgramming Prof. K. ADISESHAProf. K. ADISESHAProf. K. ADISESHAProf. K. ADISESHA www.adisesha.9f.com | email: adisesha1@rediffmail.com 45 return "toString() method of class A1"; } } class B1 extends A1 implements I2 { public void methodI1() { System.out.println("I am in methodI1 of class B1"); } public void methodI2() { System.out.println("I am in methodI2 of class B1"); } } class C1 implements I2 { public void methodI1() { System.out.println("I am in methodI1 of class C1"); } public void methodI2() { System.out.println("I am in methodI2 of class C1"); } } // Note that the class is declared as abstract as it does not // satisfy the interface contract abstract class D1 implements I2 { public void methodI1() { } // This class does not implement methodI2() hence declared abstract. } public class InterFaceEx { public static void main(String[] args) { I1 i1 = new B1(); i1.methodI1(); // OK as methodI1 is present in B1 // i1.methodI2(); Compilation error as methodI2 not present in I1 // Casting to convert the type of the reference from type I1 to type I2 ((I2) i1).methodI2(); I2 i2 = new B1(); i2.methodI1(); // OK i2.methodI2(); // OK // Does not Compile as methodA1() not present in interface reference I1 // String var = i1.methodA1(); // Hence I1 requires a cast to invoke methodA1 String var2 = ((A1) i1).methodA1(); System.out.println("var2 : " + var2); String var3 = ((B1) i1).methodA1(); System.out.println("var3 : " + var3); String var4 = i1.toString(); System.out.println("var4 : " + var4); String var5 = i2.toString(); System.out.println("var5 : " + var5); I1 i3 = new C1(); String var6 = i3.toString(); System.out.println("var6 : " + var6); // It prints the Object toString() method Object o1 = new B1(); // o1.methodI1(); does not compile as Object class does not define // methodI1() // To solve the probelm we need to downcast o1 reference. We can do it // in the following 4 ways ((I1) o1).methodI1(); // 1 ((I2) o1).methodI1(); // 2 ((B1) o1).methodI1(); // 3 /* * * B1 does not have any relationship with C1 except they are "siblings". * * Well, you can't cast siblings into one another. * */
  • 46.
    Introduction to JavaProgramming Prof. K. ADISESHAProf. K. ADISESHAProf. K. ADISESHAProf. K. ADISESHA www.adisesha.9f.com | email: adisesha1@rediffmail.com 46 // ((C1)o1).methodI1(); Produces a ClassCastException } } Output I am in methodI1 of class B1 I am in methodI2 of class B1 I am in methodI1 of class B1 I am in methodI2 of class B1 var2 : I am in methodC1 of class A1 var3 : I am in methodC1 of class A1 var4 : toString() method of class A1 var5 : toString() method of class A1 var6 : C1@190d11 I am in methodI1 of class B1 I am in methodI1 of class B1 I am in methodI1 of class B1 Java Method Overriding Method Overriding is achieved when a subclass overrides non-static methods defined in the superclass, following which the new method implementation in the subclass that is executed. The new method definition must have the same method signature (i.e., method name and parameters) and return type. Only parameter types and return type are chosen as criteria for matching method signature. So if a subclass has its method parameters as final it doesn’t really matter for method overriding scenarios as it still holds true. The new method definition cannot narrow the accessibility of the method, but it can widen it. The new method definition can only specify all or none, or a subset of the exception classes (including their subclasses) specified in the throws clause of the overridden method in the super class A program to explain the different concepts of Java Method Overridding class CustomException extends Exception { } class SuperClassWithDifferentMethods { protected int field1 = 10; protected static int field2 = 20; public void method1() { System.out.println("SuperClassWithDifferentMethods.method1()"); } public final void method2() { System.out.println("SuperClassWithDifferentMethods.method2()"); } private void method3() { System.out.println("SuperClassWithDifferentMethods.method3()"); } private final void method4() { System.out.println("SuperClassWithDifferentMethods.method4()"); } public static void method5() { System.out.println("SuperClassWithDifferentMethods.method5()"); } public void method6() throws Exception { System.out.println("SuperClassWithDifferentMethods.method6()"); } private void method7() {
  • 47.
    Introduction to JavaProgramming Prof. K. ADISESHAProf. K. ADISESHAProf. K. ADISESHAProf. K. ADISESHA www.adisesha.9f.com | email: adisesha1@rediffmail.com 47 System.out.println("SuperClassWithDifferentMethods.method7()"); } private void method8(int x) { System.out.println("SuperClassWithDifferentMethods.method8()"); } public static void method9() { System.out.println("SuperClassWithDifferentMethods.method9()"); } } class OverridingClass extends SuperClassWithDifferentMethods { public int field1 = 30; public static int field2 = 40; public void method1() { System.out.println("OverridingClass.method1()"); } //We can't override a public final method /* public final void method2(){ System.out.println("OverridingClass.method2()"); }*/ private void method3() { System.out.println("OverridingClass.method3()"); } private final void method4() { System.out.println("OverridingClass.method4()"); } public static void method5() { System.out.println("OverridingClass.method5()"); } public void method6() throws CustomException { System.out.println("OverridingClass.method6()"); } public void method7() { System.out.println("OverridingClass.method7()"); } public void method8(final int x) { System.out.println("OverridingClass.method8()"); } //A static method cannot be overridden to be non-static instance method /*public void method9() { System.out.println("OverridingClass.method9()"); }*/ } public class MethodOverridingDemo { public static void main(String[] args) { OverridingClass oc1 = new OverridingClass(); SuperClassWithDifferentMethods sc3 = new OverridingClass(); oc1.method1(); oc1.method2(); // Since its private, the below 2 methods are not visible /*oc1.method3(); oc1.method4();*/ oc1.method5(); try { oc1.method6(); } catch (CustomException e) { e.printStackTrace(); }
  • 48.
    Introduction to JavaProgramming Prof. K. ADISESHAProf. K. ADISESHAProf. K. ADISESHAProf. K. ADISESHA www.adisesha.9f.com | email: adisesha1@rediffmail.com 48 oc1.method7(); oc1.method8(100); System.out.println("oc1.field1 : " + oc1.field1); System.out.println("oc1.field2 : " + oc1.field2); System.out.println("sc3.field1 : " + sc3.field1); System.out.println("sc3.field2 : " + sc3.field2); sc3.method5(); OverridingClass overClass = new OverridingClass(); SuperClassWithDifferentMethods supClass = (SuperClassWithDifferentMethods) overClass; supClass.method5(); supClass.method1(); } } Output : MethodOverridingDemo.java OverridingClass.method1() SuperClassWithDifferentMethods.method2() OverridingClass.method5() OverridingClass.method6() OverridingClass.method7() OverridingClass.method8() oc1.field1 : 30 oc1.field2 : 40 sc3.field1 : 10 sc3.field2 : 20 SuperClassWithDifferentMethods.method5() SuperClassWithDifferentMethods.method5() OverridingClass.method1() The new method definitions in the subclass OverridingClass have the same signature and the same return type as the methods in the superclass SuperClassWithDifferentMethods. The new overridden method6 definition specifies a subset of the exceptions (CustomException). The new overridden method7 definition also widens the accessibility to public from private. The overriding method8 also declares the parameter to be final, which is not a part of the method signature and Method Overriding holds good. A static method cannot be overridden to be non- static instance method as shown in the overridden method declaration of method9. A static method is class- specific and not part of any object, while overriding methods are invoked on behalf of objects of the subclass. There are no such restrictions on the fields, as for fields only the field names matter. A final method cannot be overridden, an attempt to which will result in a compile-time error. A private method is not accessible outside the class in which it is defined; therefore, a subclass cannot override it. A subclass must use the ‘super’ keyword in order to invoke an overridden method in the superclass. A subclass cannot override fields of the superclass, but it can hide them. Code in the subclass can use the keyword super to access members, including hidden fields. The following distinction between invoking instance methods on an object and accessing fields of an object must be noted. When an instance method is invoked on an object using a reference, it is the class of the current object denoted by the reference, not the type of the reference, that determines which method implementation will be executed. When a field of an object is accessed using a reference, it is the type of the reference, not the class of the current object denoted by the reference, that determines which field will actually be accessed. This is demonstrated in the above program Java toString Method Implementing toString method in java is done by overriding the Object’s toString method. The java toString() method is used when we need a string representation of an object. It is defined in Object class. This method can be overridden to customize the String representation of the Object. Below is a program showing the use of the Object’s Default toString java method.
  • 49.
    Introduction to JavaProgramming Prof. K. ADISESHAProf. K. ADISESHAProf. K. ADISESHAProf. K. ADISESHA www.adisesha.9f.com | email: adisesha1@rediffmail.com 49 class PointCoordinates { private int x, y; public PointCoordinates(int x, int y) { this.x = x; this.y = y; } public int getX() { return x; } public int getY() { return y; } } public class ToStringDemo { public static void main(String args[]) { PointCoordinates point = new PointCoordinates(10, 10); // using the Default Object.toString() Method System.out.println("Object toString() method : " + point); // implicitly call toString() on object as part of string concatenation String s = point + " testing"; System.out.println(s); } } ToStringDemo.java When you run the ToStringDemo program, the output is: Object toString() method : PointCoordinates@119c082 In the above example when we try printing PointCoordinates object, it internally calls the Object’s toString() method as we have not overridden the java toString() method. Since out example has no toString method, the default one in Object is used. The format of the default toString method of the Object is as shown below. Class Name, “@”, and the hex version of the object’s hashcode concatenated into a string. The default hashCode method in Object is typically implemented by converting the memory address of the object into an integer. Below is an example shown of the same program by Overriding the default Object toString() method. The toString() method must be descriptive and should generally cover all the contents of the object. class PointCoordinates { private int x, y; public PointCoordinates(int x, int y) { this.x = x; this.y = y; } public int getX() { return x; } public int getY() { return y; } // Custom toString() Method. public String toString() { return "X=" + x + " " + "Y=" + y; } } public class ToStringDemo2 { public static void main(String args[]) { PointCoordinates point = new PointCoordinates(10, 10);
  • 50.
    Introduction to JavaProgramming Prof. K. ADISESHAProf. K. ADISESHAProf. K. ADISESHAProf. K. ADISESHA www.adisesha.9f.com | email: adisesha1@rediffmail.com 50 System.out.println(point); String s = point + " testing"; System.out.println(s); } } ToStringDemo2.java When you run the ToStringDemo2 program, the output is: X=10 Y=10 X=10 Y=10 testing Strings in java Java String Class is immutable, i.e. Strings in java, once created and initialized, cannot be changed on the same reference. A java.lang.String class is final which implies no class and extend it. The java.lang.String class differs from other classes, one difference being that the String objects can be used with the += and + operators for concatenation. Two useful methods for String objects are equals( ) and substring( ). The equals( ) method is used for testing whether two Strings contain the same value. The substring( ) method is used to obtain a selected portion of a String. Java.lang.String class creation A simple String can be created using a string literal enclosed inside double quotes as shown; String str1 = “My name is bob”; Since a string literal is a reference, it can be manipulated like any other String reference. The reference value of a string literal can be assigned to another String reference. If 2 or more Strings have the same set of characters in the same sequence then they share the same reference in memory. Below illustrates this phenomenon. String str1 = “My name is bob”; String str2 = “My name is bob”; String str3 = “My name ”+ “is bob”; //Compile time expression String name = “bob”; String str4 = “My name is” + name; String str5 = new String(“My name is bob”); In the above code all the String references str1, str2 and str3 denote the same String object, initialized with the character string: “My name is bob”. But the Strings str4 and str5 denote new String objects. Constructing String objects can also be done from arrays of bytes, arrays of characters, or string buffers. A simple way to convert any primitive value to its string representation is by concatenating it with the empty string (”"), using the string concatenation operator (+).
  • 51.
    Introduction to JavaProgramming Prof. K. ADISESHAProf. K. ADISESHAProf. K. ADISESHAProf. K. ADISESHA www.adisesha.9f.com | email: adisesha1@rediffmail.com 51 public class StringsDemo { public static void main(String[] args) { byte[] bytes = {2, 4, 6, 8}; char[] characters = {'a', 'b', 'C', 'D'}; StringBuffer strBuffer = new StringBuffer("abcde"); // Examples of Creation of Strings String byteStr = new String(bytes); String charStr = new String(characters); String buffStr = new String(strBuffer); System.out.println("byteStr : "+byteStr); System.out.println("charStr : "+charStr); System.out.println("buffStr : "+buffStr); } } Output: StringDemo1.java byteStr : charStr : abCD buffStr : abcde Java String compare to determine Equality java string compare can be done in many ways as shown below. Depending on the type of java string compare you need, each of them is used. * == Operator * equals method * compareTo method Comparing using the == Operator The == operator is used when we have to compare the String object references. If two String variables point to the same object in memory, the comparison returns true. Otherwise, the comparison returns false. Note that the ‘==’ operator does not compare the content of the text present in the String objects. It only compares the references the 2 Strings are pointing to. The following Program would print “The strings are unequal” In the first case and “The strings are equal” in the second case. public class StringComparision1 { public static void main(String[] args) { String name1 = "Bob"; String name2 = new String("Bob"); String name3 = "Bob"; // 1st case if (name1 == name2) {
  • 52.
    Introduction to JavaProgramming Prof. K. ADISESHAProf. K. ADISESHAProf. K. ADISESHAProf. K. ADISESHA www.adisesha.9f.com | email: adisesha1@rediffmail.com 52 System.out.println("The strings are equal."); } else { System.out.println("The strings are unequal."); } // 2nd case if (name1 == name3) { System.out.println("The strings are equal."); } else { System.out.println("The strings are unequal."); } } } StringComparision1.java Comparing using the equals Method The equals method is used when we need to compare the content of the text present in the String objects. This method returns true when two String objects hold the same content (i.e. the same values). The following Program would print “The strings are unequal” In the first case and “The strings are equal” in the second case. public class StringComparision2 { public static void main(String[] args) { String name1 = "Bob"; String name2 = new String("Bob1"); String name3 = "Bob"; // 1st case if (name1.equals(name2)) { System.out.println("The strings are equal."); } else { System.out.println("The strings are unequal."); } // 2nd case if (name1.equals(name3)) { System.out.println("The strings are equal."); } else { System.out.println("The strings are unequal."); } } } StringComparision2.java Comparing using the compareTo Method The compareTo method is used when we need to determine the order of Strings lexicographically. It compares char values similar to the equals method. The compareTo method returns a negative integer if the first String object precedes the second string. It returns zero if the 2 strings being compared are equal. It returns a positive integer if the first String object follows the second string. The following Program would print “name2 follows name1” In the first case and “name1 follows name3” in the second case.
  • 53.
    Introduction to JavaProgramming Prof. K. ADISESHAProf. K. ADISESHAProf. K. ADISESHAProf. K. ADISESHA www.adisesha.9f.com | email: adisesha1@rediffmail.com 53 public class StringComparision3 { public static void main(String[] args) { String name1 = "bob"; String name2 = new String("cob"); String name3 = "Bob"; // 1st case if (name1.compareTo(name2) == 0) { System.out.println("The strings are equal."); } else if (name1.compareTo(name2) < 0) { System.out.println("name2 follows name1"); } else { System.out.println("name1 follows name2"); } // 2nd case. Comparing Ascii Uppercase will be smaller then Lower Case if (name1.compareTo(name3) == 0) { System.out.println("The strings are equal."); } else if (name1.compareTo(name3) < 0) { System.out.println("name3 follows name1"); } else { System.out.println("name1 follows name3"); } } } StringBuffer Class StringBuffer class is a mutable class unlike the String class which is immutable. Both the capacity and character string of a StringBuffer Class. StringBuffer can be changed dynamically. String buffers are preferred when heavy modification of character strings is involved (appending, inserting, deleting, modifying etc). Strings can be obtained from string buffers. Since the StringBuffer class does not override the equals() method from the Object class, contents of string buffers should be converted to String objects for string comparison. A StringIndexOutOfBoundsException is thrown if an index is not valid when using wrong index in String Buffer manipulations Creation of StringBuffers StringBuffer Constructors public class StringBufferDemo { public static void main(String[] args) { // Examples of Creation of Strings StringBuffer strBuf1 = new StringBuffer("Bob"); StringBuffer strBuf2 = new StringBuffer(100); //With capacity 100 StringBuffer strBuf3 = new StringBuffer(); //Default Capacity 16 System.out.println("strBuf1 : " + strBuf1); System.out.println("strBuf2 capacity : " + strBuf2.capacity()); System.out.println("strBuf3 capacity : " + strBuf3.capacity()); } } Output: StringBufferDemo.java strBuf1 : Bob strBuf2 capacity : 100 strBuf3 capacity : 16 StringBuffer Functions
  • 54.
    Introduction to JavaProgramming Prof. K. ADISESHAProf. K. ADISESHAProf. K. ADISESHAProf. K. ADISESHA www.adisesha.9f.com | email: adisesha1@rediffmail.com 54 The following program explains the usage of the some of the basic StringBuffer methods like ; 1. capacity() Returns the current capacity of the String buffer. 2. length() Returns the length (character count) of this string buffer. 3. charAt(int index) The specified character of the sequence currently represented by the string buffer, as indicated by the index argument, is returned. 4. setCharAt(int index, char ch) The character at the specified index of this string buffer is set to ch 5. toString() Converts to a string representing the data in this string buffer 6. insert(int offset, char c) Inserts the string representation of the char argument into this string buffer. Note that the StringBuffer class has got many overloaded ‘insert’ methods which can be used based on the application need. 7. delete(int start, int end) Removes the characters in a substring of this StringBuffer 8. replace(int start, int end, String str) Replaces the characters in a substring of this StringBuffer with characters in the specified String. 9. reverse() The character sequence contained in this string buffer is replaced by the reverse of the sequence. 10. append(String str) Appends the string to this string buffer. Note that the StringBuffer class has got many overloaded ‘append’ methods which can be used based on the application need. 11. setLength(int newLength) Sets the length of this String buffer. public class StringBufferFunctionsDemo { public static void main(String[] args) { // Examples of Creation of Strings StringBuffer strBuf1 = new StringBuffer("Bobby"); StringBuffer strBuf2 = new StringBuffer(100); //With capacity 100 StringBuffer strBuf3 = new StringBuffer(); //Default Capacity 16 System.out.println("strBuf1 : " + strBuf1); System.out.println("strBuf1 capacity : " + strBuf1.capacity()); System.out.println("strBuf2 capacity : " + strBuf2.capacity()); System.out.println("strBuf3 capacity : " + strBuf3.capacity()); System.out.println("strBuf1 length : " + strBuf1.length()); System.out.println("strBuf1 charAt 2 : " + strBuf1.charAt(2));
  • 55.
    Introduction to JavaProgramming Prof. K. ADISESHAProf. K. ADISESHAProf. K. ADISESHAProf. K. ADISESHA www.adisesha.9f.com | email: adisesha1@rediffmail.com 55 // A StringIndexOutOfBoundsException is thrown if the index is not valid. strBuf1.setCharAt(1, 't'); System.out.println("strBuf1 after setCharAt 1 to t is : " + strBuf1); System.out .println("strBuf1 toString() is : " + strBuf1.toString()); strBuf3.append("beginner-java-tutorial"); System.out.println("strBuf3 when appended with a String : " + strBuf3.toString()); strBuf3.insert(1, 'c'); System.out.println("strBuf3 when c is inserted at 1 : " + strBuf3.toString()); strBuf3.delete(1, 'c'); System.out.println("strBuf3 when c is deleted at 1 : " + strBuf3.toString()); strBuf3.reverse(); System.out.println("Reversed strBuf3 : " + strBuf3); strBuf2.setLength(5); strBuf2.append("jdbc-tutorial"); System.out.println("strBuf2 : " + strBuf2); // We can clear a StringBuffer using the following line strBuf2.setLength(0); System.out.println("strBuf2 when cleared using setLength(0): " + strBuf2); } } Output : StringBufferFunctionsDemo.java strBuf1 : Bobby strBuf1 capacity : 21 strBuf2 capacity : 100 strBuf3 capacity : 16 strBuf1 length : 5 strBuf1 charAt 2 : b strBuf1 after setCharAt 1 to t is : Btbby strBuf1 toString() is : Btbby strBuf3 when appended with a String : beginner-java-tutorial strBuf3 when c is inserted at 1 : bceginner-java-tutorial strBuf3 when c is deleted at 1 : b Reversed strBuf3 : b strBuf2 : Understanding Java Exceptions Exceptions in java are any abnormal, unexpected events or extraordinary conditions that may occur at runtime. They could be file not found exception, unable to get connection exception and so on. On such conditions java throws an exception object. Java Exceptions are basically Java objects. No Project can never escape a java error exception. Java exception handling is used to handle error conditions in a program systematically by taking the necessary action. Exception handlers can be written to catch a specific exception such as Number Format exception, or an entire group of exceptions by using a generic exception handlers. Any exceptions not specifically handled within a Java program are caught by the Java run time environment An exception is a subclass of the Exception/Error class, both of which are subclasses of the Throwable class. Java exceptions are raised with the throw keyword and handled within a catch block.
  • 56.
    Introduction to JavaProgramming Prof. K. ADISESHAProf. K. ADISESHAProf. K. ADISESHAProf. K. ADISESHA www.adisesha.9f.com | email: adisesha1@rediffmail.com 56 A Program Showing How the JVM throws an Exception at runtime public class DivideException { public static void main(String[] args) { division(100,4); // Line 1 division(100,0); // Line 2 System.out.println("Exit main()."); } public static void division(int totalSum, int totalNumber) { System.out.println("Computing Division."); int average = totalSum/totalNumber; System.out.println("Average : "+ average); } } Output: DivideException.java An ArithmeticException is thrown at runtime when Line 11 is executed because integer division by 0 is an illegal operation. The “Exit main()” message is never reached in the main method Computing Division. java.lang.ArithmeticException: / by zero Average : 25 Computing Division. at DivideException.division(DivideException.java:11) at DivideException.main(DivideException.java:5) Exception in thread “main” Exceptions in Java Throwable Class The Throwable class provides a String variable that can be set by the subclasses to provide a detail message that provides more information of the exception occurred. All classes of throwables define a one-parameter constructor that takes a string as the detail message. The class Throwable provides getMessage() function to retrieve an exception. It has a printStackTrace() method to print the stack trace to the standard error stream. Lastly It also has a toString() method to print a short description of the exception. For more information on what is printed when the following messages are invoked, please refer the java docs. Syntax String getMessage() void printStackTrace() String toString() Class Exception The class Exception represents exceptions that a program faces due to abnormal or special conditions during execution. Exceptions can be of 2 types: Checked (Compile time Exceptions)/ Unchecked (Run time Exceptions). Class RuntimeException Runtime exceptions represent programming errors that manifest at runtime. For example ArrayIndexOutOfBounds, NullPointerException and so on are all subclasses of the java.lang.RuntimeException class, which is a subclass of the Exception class. These are basically business logic programming errors. Class Error Errors are irrecoverable condtions that can never be caught. Example: Memory leak, LinkageError etc. Errors are direct subclass of Throwable class.
  • 57.
    Introduction to JavaProgramming Prof. K. ADISESHAProf. K. ADISESHAProf. K. ADISESHAProf. K. ADISESHA www.adisesha.9f.com | email: adisesha1@rediffmail.com 57 Checked and Unchecked Exceptions Checked exceptions are subclass’s of Exception excluding class RuntimeException and its subclasses. Checked Exceptions forces programmers to deal with the exception that may be thrown. Example: Arithmetic exception. When a checked exception occurs in a method, the method must either catch the exception and take the appropriate action, or pass the exception on to its caller Unchecked exceptions are RuntimeException and any of its subclasses. Class Error and its subclasses also are unchecked. Unchecked exceptions , however, the compiler doesn’t force the programmers to either catch the exception or declare it in a throws clause. In fact, the programmers may not even know that the exception could be thrown. Example: ArrayIndexOutOfBounds Exception. They are either irrecoverable (Errors) and the program should not attempt to deal with them, or they are logical programming errors. (Runtime Exceptions). Checked exceptions must be caught at compile time. Runtime exceptions do not need to be. Errors often cannot be. Exception Statement Syntax Exceptions are handled using a try-catch-finally construct, which has the Syntax try { <code> } catch (<exception type1> <parameter1>) { // 0 or more <statements> } } finally { // finally block <statements> } try Block The java code that you think may produce an exception is placed within a try block for a suitable catch block to handle the error. If no exception occurs the execution proceeds with the finally block else it will look for the matching catch block to handle the error. Again if the matching catch handler is not found execution proceeds with the finally block and the default exception handler throws an exception.. If an exception is generated within the try block, the remaining statements in the try block are not executed. catch Block Exceptions thrown during execution of the try block can be caught and handled in a catch block. On exit from a catch block, normal execution continues and the finally block is executed (Though the catch block throws an exception). finally Block A finally block is always executed, regardless of the cause of exit from the try block, or whether any catch block was executed. Generally finally block is used for freeing resources, cleaning up, closing connections etc. If the finally clock executes a control transfer statement such as a return or a break statement, then this control statement determines how the execution will proceed regardless of any return or control statement present in the try or catch. The following program illustrates the scenario. try { <code> } catch (<exception type1> <parameter1>) { // 0 or more <statements> } } finally { // finally block <statements> } Output: DivideException2.java
  • 58.
    Introduction to JavaProgramming Prof. K. ADISESHAProf. K. ADISESHAProf. K. ADISESHAProf. K. ADISESHA www.adisesha.9f.com | email: adisesha1@rediffmail.com 58 Computing Division. Exception : / by zero Finally Block Executes. Exception Occurred result : -1 Below is a program showing the Normal Execution of the Program. Please note that no NullPointerException is generated as was expected by most people public class DivideException2 { public static void main(String[] args) { int result = division(100,0); // Line 2 System.out.println("result : "+result); } public static int division(int totalSum, int totalNumber) { int quotient = -1; System.out.println("Computing Division."); try{ quotient = totalSum/totalNumber; } catch(Exception e){ System.out.println("Exception : "+ e.getMessage()); } finally{ if(quotient != -1){ System.out.println("Finally Block Executes"); System.out.println("Result : "+ quotient); }else{ System.out.println("Finally Block Executes. Exception Occurred"); return quotient; } } return quotient; }} Output :null (And not NullPointerException) Rules for try, catch and finally Blocks 1. For each try block there can be zero or more catch blocks, but only one finally block. 2. The catch blocks and finally block must always appear in conjunction with a try block. 3. A try block must be followed by either at least one catch block or one finally block. 4. The order exception handlers in the catch block must be from the most specific exception Java exception handling mechanism enables you to catch exceptions in java using try, catch, finally block. be An exception consists of a block of code called a try block, a block of code called a catch block, and the finally block. Let’s examine each of these in detail.
  • 59.
    Introduction to JavaProgramming Prof. K. ADISESHAProf. K. ADISESHAProf. K. ADISESHAProf. K. ADISESHA www.adisesha.9f.com | email: adisesha1@rediffmail.com 59 public class DivideException1 { public static void main(String[] args) { division(100,0); // Line 2 System.out.println("Main Program Terminating"); } public static void division(int totalSum, int totalNumber) { int quotient = -1; System.out.println("Computing Division."); try{ quotient = totalSum/totalNumber; System.out.println("Result is : "+quotient); } catch(Exception e){ System.out.println("Exception : "+ e.getMessage()); } finally{ if(quotient != -1){ System.out.println("Finally Block Executes"); System.out.println("Result : "+ quotient); }else{ System.out.println("Finally Block Executes. Exception Occurred"); } } } } Output: DivideException1.java Computing Division. Exception : / by zero Finally Block Executes. Exception Occurred Main Program Terminating As shown above when the divide by zero calculation is attempted, an ArithmeticException is thrown. and program execution is transferred to the catch statement. Because the exception is thrown from the try block, the remaining statements of the try block are skipped. The finally block executes. Defining new EXCEPTIONS!! We can have our own custom Exception handler to deal with special exception conditions instead of using existing exception classes. Custom exceptions usually extend the Exception class directly or any subclass of Exception (making it checked). The super() call can be used to set a detail message in the throwable. Below is an example that shows the use of Custom exception’s along with how the throw and throws clause are used. class BadTemperature extends Exception{ BadTemperature( String reason ){ super ( reason ); } } class TooHot extends BadTemperature{ TooHot(){ super ("Default messaeg : Hot"); } TooHot(String message){ super (message);
  • 60.
    Introduction to JavaProgramming Prof. K. ADISESHAProf. K. ADISESHAProf. K. ADISESHAProf. K. ADISESHA www.adisesha.9f.com | email: adisesha1@rediffmail.com 60 } } class TooCold extends BadTemperature{ TooCold(){ super ("Default messaeg : Cold"); } TooCold(String message){ super (message); } } class TempertureObject{ int temperature; TempertureObject( int temp ) { temperature = temp; } void test() throws TooHot, TooCold { if ( temperature < 70 ) throw new TooCold("Very Cold"); if ( temperature > 80 ) throw new TooHot("Very Hot"); } } public class ExceptionExample1{ private static void temperatureReport( TempertureObject batch ){ try{ batch.test(); System.out.println( "Perfect Temperature" ); } catch ( BadTemperature bt ){ System.out.println( bt.getMessage( ) ); } } public static void main( String[] args ){ temperatureReport( new TempertureObject( 100 ) ); temperatureReport( new TempertureObject( 50 ) ); temperatureReport( new TempertureObject( 75 ) ); } } Output: ExceptionExample.java Very Hot Very Cold Perfect Temperature throw, throws statement A program can explicitly throw an exception using the throw statement besides the implicit exception thrown. The general format of the throw statement is as follows: throw <exception reference>; The Exception reference must be of type Throwable class or one of its subclasses. A detail message can be passed to the constructor when the exception object is created. throw new TemperatureException(”Too hot”);
  • 61.
    Introduction to JavaProgramming Prof. K. ADISESHAProf. K. ADISESHAProf. K. ADISESHAProf. K. ADISESHA www.adisesha.9f.com | email: adisesha1@rediffmail.com 61 A throws clause can be used in the method prototype. Method() throws <ExceptionType1>,…, <ExceptionTypen> { } Each <ExceptionTypei> can be a checked or unchecked or sometimes even a custom Exception. The exception type specified in the throws clause in the method prototype can be a super class type of the actual exceptions thrown. Also an overriding method cannot allow more checked exceptions in its throws clause than the inherited method does. When an exception is thrown, normal execution is suspended. The runtime system proceeds to find a matching catch block that can handle the exception. Any associated finally block of a try block encountered along the search path is executed. If no handler is found, then the exception is dealt with by the default exception handler at the top level. If a handler is found, execution resumes with the code in its catch block. Below is an example to show the use of a throws and a throw statement. public class DivideException3 { public static void main(String[] args) { try{ int result = division(100,10); result = division(100,0); System.out.println("result : "+result); } catch(ArithmeticException e){ System.out.println("Exception : "+ e.getMessage()); } } public static int division(int totalSum, int totalNumber) throws ArithmeticException { int quotient = -1; System.out.println("Computing Division."); try{ if(totalNumber == 0){ throw new ArithmeticException("Division attempt by 0"); } quotient = totalSum/totalNumber; } finally{ if(quotient != -1){ System.out.println("Finally Block Executes"); System.out.println("Result : "+ quotient); }else{ System.out.println("Finally Block Executes. Exception Occurred"); } } return quotient; } } Output: DivideException3.java Computing Division. Finally Block Executes Result : 10 Computing Division. Finally Block Executes. Exception Occurred Exception : Division attempt by 0
  • 62.
    Introduction to JavaProgramming Prof. K. ADISESHAProf. K. ADISESHAProf. K. ADISESHAProf. K. ADISESHA www.adisesha.9f.com | email: adisesha1@rediffmail.com 62 Using break and return with Exceptions This example demonstrates the use of the break, continue and return statements with exceptions. Note that the finally block is executed always except when the return statement is executed. public class ExceptionExample6 { public static void main(String[] args) { int x = 10, y = 2; int counter = 0; boolean flag = true; while (flag) { start: try { if ( y > 1 ) break start; if ( y < 0 ) return; x = x / y; System.out.println ( "x : " + x + " y : "+y ); } catch ( Exception e ) { System.out.println ( e.getMessage() ); } finally { ++counter; System.out.println ( "Counter : " + counter ); } --y; } } } Output: ExceptionExample6.java Counter : 1 x : 10 y : 1 Counter : 2 / by zero Counter : 3 Counter : 4 Handling Multiple Exceptions It should be known by now that we can have multiple catch blocks for a particular try block to handle many different kind of exceptions that can be generated. Below is a program to demonstrate the use of multiple catch blocks.
  • 63.
    Introduction to JavaProgramming Prof. K. ADISESHAProf. K. ADISESHAProf. K. ADISESHAProf. K. ADISESHA www.adisesha.9f.com | email: adisesha1@rediffmail.com 63 import java.io.DataInputStream; import java.io.IOException; import javax.swing.JOptionPane; public class ExceptionExample7{ static int numerator, denominator; public ExceptionExample7( int t, int b ){ numerator = t; denominator = b; } public int divide( ) throws ArithmeticException{ return numerator/denominator; } public static void main( String args[] ){ String num, denom; num = JOptionPane.showInputDialog(null, "Enter the Numerator"); denom = JOptionPane.showInputDialog(null, "Enter the Denominator"); try{ numerator = Integer.parseInt( num ); denominator = Integer.parseInt( denom ); } catch ( NumberFormatException nfe ){ System.out.println( "One of the inputs is not an integer" ); return; } catch ( Exception e ){ System.out.println( "Exception: " + e.getMessage( ) ); return; } ExceptionExample7 d = new ExceptionExample7( numerator, denominator ); try{ double result = d.divide( ); JOptionPane.showMessageDialog(null, "Result : " + result); } catch ( ArithmeticException ae ){ System.out.println( "You can't divide by zero" ); } finally{ System.out.println( "Finally Block is always Executed" ); } } } Java Threads Introduction to Threads Multithreading refers to two or more tasks executing concurrently within a single program. A thread is an independent path of execution within a program. Many threads can run concurrently within a program. Every thread in Java is created and controlled by the java.lang.Thread class. A Java program can have many threads, and these threads can run concurrently, either asynchronously or synchronously. Multithreading has several advantages over Multiprocessing such as; • Threads are lightweight compared to processes • Threads share the same address space and therefore can share both data and code
  • 64.
    Introduction to JavaProgramming Prof. K. ADISESHAProf. K. ADISESHAProf. K. ADISESHAProf. K. ADISESHA www.adisesha.9f.com | email: adisesha1@rediffmail.com 64 • Context switching between threads is usually less expensive than between processes • Cost of thread intercommunication is relatively low that that of process intercommunication • Threads allow different tasks to be performed concurrently. The following figure shows the methods that are members of the Object and Thread Class. Thread Creation There are two ways to create thread in java; • Implement the Runnable interface (java.lang.Runnable) • By Extending the Thread class (java.lang.Thread) Implementing the Runnable Interface public interface Runnable { void run(); } One way to create a thread in java is to implement the Runnable Interface and then instantiate an object of the class. We need to override the run() method into our class which is the only method that needs to be implemented. The run() method contains the logic of the thread. The procedure for creating threads based on the Runnable interface is as follows: 1. A class implements the Runnable interface, providing the run() method that will be executed by the thread. An object of this class is a Runnable object. 2. An object of Thread class is created by passing a Runnable object as argument to the Thread constructor. The Thread object now has a Runnable object that implements the run() method. 3. The start() method is invoked on the Thread object created in the previous step. The start() method returns immediately after a thread has been spawned. 4. The thread ends when the run() method ends, either by normal completion or by throwing an uncaught exception. Below is a program that illustrates instantiation and running of threads using the runnable interface instead of extending the Thread class. To start the thread you need to invoke the start() method on your object. class RunnableThread implements Runnable { Thread runner; public RunnableThread() { } public RunnableThread(String threadName) { runner = new Thread(this, threadName); // (1) Create a new thread. System.out.println(runner.getName()); runner.start(); // (2) Start the thread. } public void run() { //Display info about this particular thread System.out.println(Thread.currentThread()); } } public class RunnableExample { public static void main(String[] args) {
  • 65.
    Introduction to JavaProgramming Prof. K. ADISESHAProf. K. ADISESHAProf. K. ADISESHAProf. K. ADISESHA www.adisesha.9f.com | email: adisesha1@rediffmail.com 65 Thread thread1 = new Thread(new RunnableThread(), "thread1"); Thread thread2 = new Thread(new RunnableThread(), "thread2"); RunnableThread thread3 = new RunnableThread("thread3"); //Start the threads thread1.start(); thread2.start(); try { //delay for one second Thread.currentThread().sleep(1000); } catch (InterruptedException e) { } //Display info about the main thread System.out.println(Thread.currentThread()); } } Output thread3 Thread[thread1,5,main] Thread[thread2,5,main] Thread[thread3,5,main] Thread[main,5,main]private Runnable Thread Program Example This approach of creating a thread by implementing the Runnable Interface must be used whenever the class being used to instantiate the thread object is required to extend some other class. Extending Thread Class The procedure for creating threads based on extending the Thread is as follows: 1. A class extending the Thread class overrides the run() method from the Thread class to define the code executed by the thread. 2. This subclass may call a Thread constructor explicitly in its constructors to initialize the thread, using the super() call. 3. The start() method inherited from the Thread class is invoked on the object of the class to make the thread eligible for running. Below is a program that illustrates instantiation and running of threads by extending the Thread class instead of implementing the Runnable interface. To start the thread you need to invoke the start() method on your object. class XThread extends Thread { XThread() { } XThread(String threadName) { super(threadName); // Initialize thread. System.out.println(this); start(); } public void run() { //Display info about this particular thread System.out.println(Thread.currentThread().getName()); } } public class ThreadExample {
  • 66.
    Introduction to JavaProgramming Prof. K. ADISESHAProf. K. ADISESHAProf. K. ADISESHAProf. K. ADISESHA www.adisesha.9f.com | email: adisesha1@rediffmail.com 66 public static void main(String[] args) { Thread thread1 = new Thread(new XThread(), "thread1"); Thread thread2 = new Thread(new XThread(), "thread2"); // The below 2 threads are assigned default names Thread thread3 = new XThread(); Thread thread4 = new XThread(); Thread thread5 = new XThread("thread5"); //Start the threads thread1.start(); thread2.start(); thread3.start(); thread4.start(); try { //The sleep() method is invoked on the main thread to cause a one second delay. Thread.currentThread().sleep(1000); } catch (InterruptedException e) { } //Display info about the main thread System.out.println(Thread.currentThread()); } } Output: Java Thread Program Example Thread[thread5,5,main] thread1 thread5 thread2 Thread-3 Thread-2 Thread[main,5,main] When creating threads, there are two reasons why implementing the Runnable interface may be preferable to extending the Thread class: • Extending the Thread class means that the subclass cannot extend any other class, whereas a class implementing the Runnable interface has this option. • A class might only be interested in being runnable, and therefore, inheriting the full overhead of the Thread class would be excessive. An example of an anonymous class below shows how to create a thread and start it: ( new Thread() { public void run() { for(;;) System.out.println(”Stop the world!”); } } ).start();
  • 67.
    Introduction to JavaProgramming Prof. K. ADISESHAProf. K. ADISESHAProf. K. ADISESHAProf. K. ADISESHA www.adisesha.9f.com | email: adisesha1@rediffmail.com 67 Lab Programs //Program-1 //To find the factorial of a Number class fact { public static void main(String args[]) { for(int i=0;i<args.length;i++) { int fact =1; for(int j=1;j<=Integer.parseInt(args[i]);j++) fact=fact*j; System.out.println("factorial of "+args[i]+" is "+fact); } } } //Program-2 //To find the to find Prime Number Series class prime { public static void main(String args[]) { if(args.length==1) { int i,j; System.out.println("prime no.s"); for(i=2;i<=Integer.parseInt(args[0]);i++) { int count=0; for(j=1;j<i;j++) if(i%j==0) count++; if(count==1) System.out.println(i); } } else System.out.println("argssfdsfds"); } } //Program-3 //To Sort a Number series in Ascending order class sorting { public static void main(String args[]) { int num[]={55,40,80,65,71,45,55,22,33};
  • 68.
    Introduction to JavaProgramming Prof. K. ADISESHAProf. K. ADISESHAProf. K. ADISESHAProf. K. ADISESHA www.adisesha.9f.com | email: adisesha1@rediffmail.com 68 System.out.println ("given list"); try { for(int i=0;i<num.length;i++) System.out.println(" "+num[i]); System.out.println("n"); for(int i=0;i<num.length;i++) { for(int j=i+1;j<num.length;j++) if(num[i]<num[j]) { int temp=num[i]; num[i]=num[j]; num[j]=temp; } } System.out.println("sorted list"); for(int i=0;i<num.length;i++) System.out.println(" "+num[i]); System.out.println(" "); } catch(Exception e) { System.out.println("exception"+e); } } } //Program-4 //Program to perform String Manipulation functions. class string { public static void main(String args[]) { String s1="PRESIdency"; String s2; System.out.println("nlength of stringn"+s1.length()); s2=s1.toLowerCase(); System.out.println("nlowercasen"+s2); s2=s1.toUpperCase(); System.out.println(s2); s2=s1.replace('P','R'); System.out.println("nreplaced P by Rn"+s2); s1="PRESIdency college"; s2=s1.trim(); System.out.println(s1); System.out.println("ntrim the stringn"+s2);
  • 69.
    Introduction to JavaProgramming Prof. K. ADISESHAProf. K. ADISESHAProf. K. ADISESHAProf. K. ADISESHA www.adisesha.9f.com | email: adisesha1@rediffmail.com 69 if(s1.equals(s2)) System.out.println("strings are equal"); else System.out.println("strings are not equal"); System.out.println(s2.charAt(3)); System.out.println("compare s1 to s2n"+s1.compareTo(s2)); String s3; s3=s1.concat(s2); System.out.println(s3); System.out.println(s2.substring(2)); System.out.println(s2.substring(2,4)); System.out.println(s2.indexOf('p')); } } //Program-5 // Program to perform Geometrical shapes. import java.lang.*; class shapes { public void square(int s) { double area=s*s; System.out.println("area of square ist"+area); } public void rectangle(int l,int b) { double area=l*b; System.out.println("area of rectangle ist"+area); } public void circle(int r) { double area=3.14*r*r; System.out.println("area of circle ist"+area); } public void triangle(int a,int b,int c) { int s=(a+b+c)/2; double area=Math.sqrt(s*(s-a)*(s-b)*(s-c)); System.out.println("area of triangle ist"+area); } } class geometrical { public static void main(String args[]) { shapes s=new shapes(); s.square(5); s.rectangle(5,5); s.circle(5);
  • 70.
    Introduction to JavaProgramming Prof. K. ADISESHAProf. K. ADISESHAProf. K. ADISESHAProf. K. ADISESHA www.adisesha.9f.com | email: adisesha1@rediffmail.com 70 s.triangle(5,5,5); } } //Program-6 //Program to perform bitwise functions. class bitwise { public static void main(String args[]) { int a=10,b=13,c=0; System.out.println("the a&bn"+(a&b)); System.out.println("the a|bn"+(a|b)); System.out.println("the a^bn"+(a^b)); System.out.println("the ~an"+(~a)); System.out.println("the a<<2n"+(a<<2)); System.out.println("the a>>2n"+(a>>2)); System.out.println("the a>>>2n"+(a>>>2)); } } //Program-7 //Program to implement constructor overloading by passing different number of parameter of different types // constructor overloading Class Triangles { int x,y; float z; Triangles(int i) { x=y=i; Z=i; } Triangles(int i, int j) { x=i; y=i; Z=j; } Triangles(int i, int j, float k) { x=i; y=i; Z=k; } float peri() { return(x+y+z); } }
  • 71.
    Introduction to JavaProgramming Prof. K. ADISESHAProf. K. ADISESHAProf. K. ADISESHAProf. K. ADISESHA www.adisesha.9f.com | email: adisesha1@rediffmail.com 71 Class Overloading { Public static void main (String args[]) ( float val; Triangles a=new Triangles(5); Triangles b=new Triangles(5,3); Triangles c=new Triangles(2,3,5.5f); System.out.println(“================================ n”); val=a.peri(); System.out.println(“Perimeter of equilateral triangle= ”+val+” Sq.units n”); Val=b.peri(); System.out.println(“Perimeter of isoceles triangle= ”+val+” Sq.units n”); Val=c.peri(); System.out.println(“Perimeter of scalene triangle= ”+val+” Sq.units n ”); System.out.println(“================================ n”); } } //Program-8 //Program to create a student report by reading the inputs using textboxes and display the output using buttons // Applet program import java.applet.*; import java.awt.*; import java.awt.event.*; /* <applet code=”StudReport” width=300 height=450> </applet> */ public class StudReport extends Applet implements ActionListener { TextField tRegNo, tName, tCourse, tResult; Label lTitle, lRegNo,lName,lCourse,lResult; Button CReport; String rno=””,course=””,nam=””,res=””’; public void init() { lTitle=new Lable(“Enter Student Details”); lRegNo=new Lable(“Regsiter Number”,Label.Right); lName= new Lable(“Student Name”,Label.Right); lCourse=new Lable(“Course”,Label.Right); lResult=new TextField(20); tRegNo= new TextField(20); tName= new TextField(20); tCourse= new TextField(20); tResult= new TextField(20); CReport= new Button (“Report”); add(lTitle);
  • 72.
    Introduction to JavaProgramming Prof. K. ADISESHAProf. K. ADISESHAProf. K. ADISESHAProf. K. ADISESHA www.adisesha.9f.com | email: adisesha1@rediffmail.com 72 add(lRegNo); add(tRegNo); add(lName); add(tName); add(lcourse); add(tcourse); add(lResult); add(tResult); add(CResult) tRegNo.addActionListener(this); tName. addActionListener(this); tCourse. addActionListener(this); tResult. addActionListener(this); CReport. addActionListener(this); } Public void actionPerformed(ActionEvent ae) { if(ae.getSource()==CReport) { Rno=tRegNo.getText(); Course=tCourse.getText(); nam-tName.getText(); rno=”Register Number :”+rno; nam=”Name :”+nam; course=”Course :”+course; res=”Result :”+res; repaint(); } } Public void paint(Graphics g) { g.drawString(rno,30,180); g.drawString(nam,30,200); g.drawString(course,30,220); g.drawString(res,30,240); } } //Program-9 //Program to calculate bonus for different departments using method overriding. class SuperCalass { float basic,da,it; Cuperclass(float b, float d, float i) { basic=b; da=d; it=i; } double vonus()
  • 73.
    Introduction to JavaProgramming Prof. K. ADISESHAProf. K. ADISESHAProf. K. ADISESHAProf. K. ADISESHA www.adisesha.9f.com | email: adisesha1@rediffmail.com 73 { System.out.print("Research dept:"); return(basic*0.2); } } class SubClass extends SuperClass { float har,pt; SubClass(float b, float d, float i, float p,float h) { super(b,d,i); //passing values to super class hra=h; pt=p; } double bonus() //overriding method { Sysem.out.print("Administration dept:"); return(basic*0.4); } } class findSal { public static void nain(String args[]) { SubClass sc=new SubClass(20000, 12000, 6000, 1000, 500); System.out.print("______________________________________/n"); System.out.print("bonus is Rs."+sc.bonus+"n"); System.out.print("______________________________________/n"); } } //Program-10 //Program to implement thread priorities class clicker implements Runnable { int click=0; Thread t; private volatile boolean running=true; public clicker(int p) { t=new Thread(this); t.setPririty(P); } Public void run() { while(running) { click++; } }
  • 74.
    Introduction to JavaProgramming Prof. K. ADISESHAProf. K. ADISESHAProf. K. ADISESHAProf. K. ADISESHA www.adisesha.9f.com | email: adisesha1@rediffmail.com 74 public viod stop() { running=false; } public void start() { t.start(); } } class HiLoPri { public static void main(String args[]) { Thread.currentThread().setPriority(Thread.MAX_PRIORITY); clicker hi=new clicker(Thread.NORM_PRIORITY+2); clicker lo=new clicker(Thread.NORM_PRIORITY-2); lo.start(); hi.start(); try { Thread.sleep(10000); } catch(InterruptedException e) { System.out.println("Main thread interrupted."); } lo.stop(); hi.stop(); //wait for child threads to terminate. try{ hi.t.join(); lo.t.join(); } catch(InterruptedException e) { System.out.println("InterruptedExcetion caught"); } System.out.println("Low-priority thread: "+lo.click); System.out.println("High-priority thread: "+hi.click); } } //Program-11 //Program to implement thread, applet and graphics by implementing animation of ball moving. import java.applet.*; import java.awt.*; /* <applet code=BallRev Height=200 width=300> </applet> */
  • 75.
    Introduction to JavaProgramming Prof. K. ADISESHAProf. K. ADISESHAProf. K. ADISESHAProf. K. ADISESHA www.adisesha.9f.com | email: adisesha1@rediffmail.com 75 public class BallRev extends Applet implements Runnable {int x-pos=30; int y-pos=100; int x-speed=1; int radius=20; int appletsize_x=300; int appletsize_y=300; Thread th=null; boolean flag; private Image dbImage; private Graphics dbg; public void init() { setBackground(Color.blue); } public void start() { Thread th=new Thread(this); flag-false; th.start(); } public void stop() { flag=true; th=null; } public viod destroy() { } public viod run() { Thread.currentThread().setPriority(Thread.MIN_PRIORITY); while(true) { if(x_pos>appletsize_x-radius) { x_speed=-1; } else if(x_pos<radius) {x_speed=+1; } x_pos++x_speed; repaint(); try { Thread.sleep(20); if(flag) break; } catch(InterruptedException ex) {
  • 76.
    Introduction to JavaProgramming Prof. K. ADISESHAProf. K. ADISESHAProf. K. ADISESHAProf. K. ADISESHA www.adisesha.9f.com | email: adisesha1@rediffmail.com 76 //do nothing } } public void update(Graphics g) { if(dbImage==null) { dbIMage=createImage(this.getSize().width,this,getSize().height); dbg=dbImage.getGraphics(); } dbg.setColor(getBackground()); dbg.fillrect(0,0,this.getSize.width, this.getSize().height); dbg.setColorgetForeground()); paint(dbg); g.drawImage(dbImage,0,0,this); } public void paint(Graphics g) { g.setColor(Color.red); g.fillOval(x_pos-radius,y_pos-radius,2*radius,2*radius) } }