Intégrer la présentation
Télécharger pour lire hors ligne






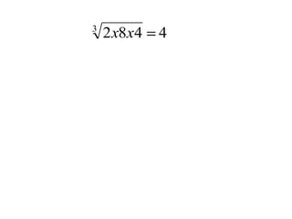
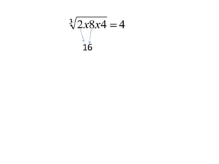
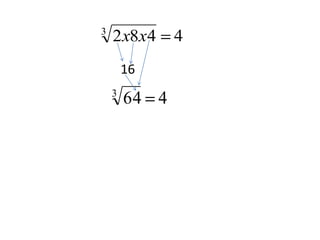
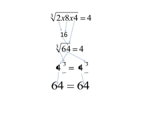
Le document présente une série de séquences mathématiques sans explication claire. Les chiffres et symboles semblent indiquer des opérations ou des relations, mais le contenu est fragmenté. Aucune information contextuelle n'est fournie pour interpréter ces données.





