Filière: Droit arabe
Faculté des sciences juridiques
et Economiques. Marrakech
N° Apogée Nom Prénom Local d'examen N° d'examen Matière1 Matière2
1100767 AABID Youness Amphi Allal El Fassi 392 Reportée
1100694 AALLOU ABDELWAHAD Amphi Allal El Fassi 394 Reportée
1204214 AAMAR Imane Amphi Allal El Fassi 396
1219954 AAMARA Ghita Amphi Allal El Fassi 398
1219724 AAMOR Abdelouahed Amphi Allal El Fassi 400
1003839 AAMRAOUY CHARAF EDDINE Amphi Allal El Fassi 402 Reportée
1220408 AAOUA HAKIMA Amphi Allal El Fassi 404
1101522 AARAB Wissal Amphi Allal El Fassi 406 Reportée
1110012 ABADI Marouane Amphi Allal El Fassi 408 Reportée
1114542 ABAHAZEM TOURIA Amphi Allal El Fassi 410 Reportée
1103850 ABAIHI Mohamed Salah Amphi Allal El Fassi 412 Reportée
1109347 ABDELLAOUI Ibtissam Amphi Allal El Fassi 414 Reportée
1101351 ABDELMOUMNI Fatima Ezzahra Amphi Allal El Fassi 416 Reportée
1220407 ABDROUMA HALIMA Amphi Allal El Fassi 418
1204750 ABED Maryeme Amphi Allal El Fassi 420
1114400 ABENAY RACHIDA Amphi Allal El Fassi 422 Reportée
1201163 ABID ABDETOUAB Amphi Allal El Fassi 424
1100400 ABIDAR ZOHRA Amphi Allal El Fassi 426 Reportée
Université Cadi Ayyad
PV de surveillance: Session de rattrapage
Module: Langue et communication
2012-2013
Semestre1 (nouveau système)
1200998 ABOU ALI Abdelkabir Amphi Allal El Fassi 428
1111268 ABOU EL HAZAIZ Abdeslam Amphi Allal El Fassi 430 Reportée
1201661 ABOUDERKA Hassan Amphi Allal El Fassi 432
1003126 ABOUELFATH OUAFAE Amphi Allal El Fassi 434 Reportée
1004242 ABOUESSAOUD NOURA Amphi Allal El Fassi 436 Reportée
1111706 ABOUFIRAS Fatima Ezzahra Amphi Allal El Fassi 438 Reportée
1107067 ABOU-HIDA Mina Amphi Allal El Fassi 440 Reportée
1103919 ABOUKASSIM ELIDRISSI Karima Amphi Allal El Fassi 442 Reportée
1202909 ABOUKIR Hayate Amphi Allal El Fassi 444
1107808 ABOULFATH Mohamed Amphi Allal El Fassi 446 Reportée
1209067 ABOULHOUDA Abdelhak Amphi Allal El Fassi 448
1209109 ABOULQUASIM Abdelouhed Amphi Allal El Fassi 450
1104143 ABOUNAJIB Imad Amphi Allal El Fassi 452 Reportée
1219654 ABOUSAID Fatima Amphi Allal El Fassi 454
1201716 ABOUTAHIR Fatima Zahra Amphi Allal El Fassi 456
1204090 ABOUTIR Ahmad Amphi Allal El Fassi 458
1202295 ABOUZID Latifa Amphi Allal El Fassi 460
1101715 ACHBAKOU MOHAMED Amphi Allal El Fassi 462 Reportée
1203794 ACHLIHATE Hamid Amphi Allal El Fassi 464
1102755 ACHRAF Ait Boussarhan Amphi Allal El Fassi 466 Reportée
1004921 ACHROUAAT RADOUANE Amphi Allal El Fassi 468 Reportée
1201035 ADALI Abdellatif Amphi Allal El Fassi 470
1218894 ADDADE Chaimae Amphi Allal El Fassi 472
1105246 ADDI Hadhom Amphi Allal El Fassi 474 Reportée
1203984 ADERRAGUI Abdelouahab Amphi Allal El Fassi 476
1203267 AFIRI Hamid Amphi Allal El Fassi 478
1000625 AFKIR ABDELMONIM Amphi Allal El Fassi 480 Reportée
1105455 AFROUSS Hicham Amphi Allal El Fassi 482 Reportée
1111672 AGDOUZ Moaad Amphi Allal El Fassi 484 Reportée
Matière1: Français
Matière2: Méthodologie du travail 1/50
Filière: Droit arabe
Faculté des sciences juridiques
et Economiques. Marrakech
N° Apogée Nom Prénom Local d'examen N° d'examen Matière1 Matière2
Université Cadi Ayyad
PV de surveillance: Session de rattrapage
Module: Langue et communication
2012-2013
Semestre1 (nouveau système)
1110887 AGHARNI Taoufiq Amphi Allal El Fassi 486
1208959 AGHOUINITE Zouinouha Amphi Allal El Fassi 488
1205867 AGNAOU Abdelhak Amphi Allal El Fassi 490
1112793 AGNIER Rachid Amphi Allal El Fassi 492
1110874 AGOURRAM Ismail Amphi Allal El Fassi 494 Reportée
1111000 AHAIK Hanan Amphi Allal El Fassi 496 Reportée
1111055 AHAJJAM Aissame Amphi Allal El Fassi 498 Reportée
1104257 AHARABOUS Ismail Amphi Allal El Fassi 500
1101936 AHIZOUN Abdelhaq Amphi Allal El Fassi 502 Reportée
1219884 AHJIR Said Amphi Allal El Fassi 504
1115573 AHL HMAD MOHAMED FADEL Amphi Allal El Fassi 506 Reportée
1003961 AHLAL MOHAMMED Amphi Allal El Fassi 508 Reportée
1202524 AHLIGUINOU Najia Amphi Allal El Fassi 510
1108092 AHMED BABA Baamar Amphi Allal El Fassi 512 Reportée
1110445 AHSINA Khadija Amphi Allal El Fassi 514 Reportée
1203233 AIDANE Youssef Amphi Allal El Fassi 516
1210470 AIDANI Rachida Amphi Allal El Fassi 518
1219521 AINOUSS Sif Eddine Amphi Allal El Fassi 520
1107642 AIT ABBOU Said Amphi Allal El Fassi 522 Reportée
1108711 AIT ABDELLAH Yassine Amphi Allal El Fassi 524 Reportée
1106485 AIT ALLA Loubna Amphi Allal El Fassi 526
1110026 AIT AZZI Lahcen Amphi Allal El Fassi 528 Reportée
1110310 AIT BAAMRANE Ismail Amphi Allal El Fassi 530 Reportée
1111163 AIT BAHA NAADI Ghizlane Amphi Allal El Fassi 532 Reportée
1202857 AIT BALLOUK Morad Amphi Allal El Fassi 534
1207488 AIT BELLA Said Amphi Allal El Fassi 536
80004825 AIT BEN AMGHAR IMANE Amphi Allal El Fassi 538
1205856 AIT BEN OUISSADEN Abdelmoumen Amphi Allal El Fassi 540
1205880 AIT BEN OUISSADEN Issam Amphi Allal El Fassi 542
1102553 AIT BENSEKKOUR Sara Amphi Allal El Fassi 544 Reportée
1108061 AIT BIHI Hasna Amphi Allal El Fassi 546 Reportée
1201310 AIT BOUHADOU Zineb Amphi Allal El Fassi 548
1111206 AIT BOUYAHIA Amina Amphi Allal El Fassi 550 Reportée
1204092 AIT BRAIM Ouiam Amphi Allal El Fassi 552
1110002 AIT CHOUIYA Lobna Amphi Allal El Fassi 554 Reportée
1208781 AIT DAOUDI Oussama Amphi Allal El Fassi 556
1107060 AIT EL MAKI Abdelelah Amphi Allal El Fassi 558 Reportée
1105866 AIT ELADEL Zakia Amphi Allal El Fassi 560 Reportée
1219955 AIT ELASRI NOUR EDDINE Amphi Allal El Fassi 562
1104562 AIT ELHANAFI Ali Amphi Allal El Fassi 564 Reportée
1202570 AIT ELJAMAA Mustapha Amphi Allal El Fassi 566
1004712 AIT ELMAGHROUSS LAHCEN Amphi Allal El Fassi 568 Reportée
1201362 AIT FATEH Ouafa Amphi Allal El Fassi 570
1210930 AIT FDIL Khoubaib Amphi Allal El Fassi 572
1109814 AIT HADDI Abdelhafid Amphi Allal El Fassi 574 Reportée
1219705 AIT HAMMOUDOU Mbark Amphi Allal El Fassi 576
1108587 AIT HAMOU BAHA Amina Amphi Allal El Fassi 578 Reportée
Matière1: Français
Matière2: Méthodologie du travail 2/50
Filière: Droit arabe
Faculté des sciences juridiques
et Economiques. Marrakech
N° Apogée Nom Prénom Local d'examen N° d'examen Matière1 Matière2
Université Cadi Ayyad
PV de surveillance: Session de rattrapage
Module: Langue et communication
2012-2013
Semestre1 (nouveau système)
1203942 AIT HSAINE Youssef Amphi Allal El Fassi 580
Matière1: Français
Matière2: Méthodologie du travail 3/50
Filière: Droit arabe
Faculté des sciences juridiques
et Economiques. Marrakech
N° Apogée Nom Prénom Local d'examen N° d'examen Matière1 Matière2
Université Cadi Ayyad
PV de surveillance: Session de rattrapage
Module: Langue et communication
2012-2013
Semestre1 (nouveau système)
1107553 AIT IDIR Choayb Amphi ibn Rochd 882 Reportée
1113794 AIT KADIR Abdelhadi Amphi Ibn Rochd 884 Reportée
1114342 AIT KEBROUNE RACHIDA Amphi ibn Rochd 886 Reportée
1201405 AIT KHOUYA HAMMOU Mohamed Amphi Ibn Rochd 888
1202435 AIT LAAMIM Ahmed Amphi ibn Rochd 890
1215846 AIT LAHCEN El Hassan Amphi Ibn Rochd 892
1103915 AIT LAHCEN Mohamed Amphi ibn Rochd 894 Reportée
1203083 AIT LAHCEN Yassine Amphi Ibn Rochd 896
1003580 AIT LARBI MOHAMED Amphi ibn Rochd 898 Reportée
1111075 AIT MENSOUR Khadija Amphi Ibn Rochd 900 Reportée
1203113 AIT MENSSOUR Es Said Amphi ibn Rochd 902
1110783 AIT MERICHA Adil Amphi Ibn Rochd 904 Reportée
1201644 AIT MESSAOUD Ismail Amphi ibn Rochd 906
1002336 AIT M'HAMED KHALID Amphi Ibn Rochd 908
1101283 AIT MOUSSA Youness Amphi ibn Rochd 910 Reportée
1110855 AIT OMGHAR Fatima-zahra Amphi Ibn Rochd 912 Reportée
1007616 AIT OUARTASSA YOUSSEF Amphi ibn Rochd 914 Reportée
1203923 AIT OUCHABOU Abdelmalek Amphi Ibn Rochd 916
1110458 AIT OUCHENTE Latifa Amphi ibn Rochd 918 Reportée
1108128 AIT OUISSI Nouhaila Amphi Ibn Rochd 920 Reportée
1203914 AIT OUIZZAN Driss Amphi ibn Rochd 922
1106139 AIT RIAD Nada Amphi Ibn Rochd 924 Reportée
1204610 AIT SAIDAT Rachid Amphi ibn Rochd 926
1201269 AIT SI ABDESADAQ Ghizlane Amphi Ibn Rochd 928
1110827 AIT SI KADDOUR Salma Amphi ibn Rochd 930 Reportée
1207933 AIT SIDI ABDELOUAHID Ahmed Amphi Ibn Rochd 932
1100610 AIT SIDI OUBRAM Abdlmajid Amphi ibn Rochd 934 Reportée
1207725 AIT TABLALT Hamid Amphi ibn Rochd 936
1004932 AIT TALEB ABDELJABAR Amphi Ibn Rochd 938 Reportée
1211640 AIT TALEB AHMED Khalid Amphi ibn Rochd 940
1102222 AIT TALEB ALI Elmahdi Amphi Ibn Rochd 942 Reportée
1103175 AIT TIRITE Abdeslam Amphi ibn Rochd 944
1114315 AIT TONSI MOHAMED Amphi Ibn Rochd 946 Reportée
1106904 AIT-CHALEH Hanan Amphi ibn Rochd 948 Reportée
1101781 AITLHDAR Soufiane Amphi Ibn Rochd 950 Reportée
1219882 AJALID Said Amphi ibn Rochd 952
1003526 AJANA AYOUB Amphi Ibn Rochd 954 Reportée
1106749 AJANA Soukaina Amphi ibn Rochd 956 Reportée
1111053 AJJOULI Mustapha Amphi Ibn Rochd 958 Reportée
1107455 AKAYOUSS Khalid Amphi ibn Rochd 960 Reportée
1111032 AKDID Wissama Amphi Ibn Rochd 962 Reportée
1201799 AKHERRAZ Hassan Amphi ibn Rochd 964
1101633 AKHOUI Abderrahim Amphi ibn Rochd 966 Reportée
1111026 AKHRIBACH Abderrahim Amphi Ibn Rochd 968 Reportée
1106659 AKHSSAY Laila Amphi ibn Rochd 970 Reportée
1104253 AKHYAD Elhoussaine Amphi Ibn Rochd 972 Reportée
1005682 AL AHYANE KHAMISS Amphi ibn Rochd 974 Reportée
Matière1: Français
Matière2: Méthodologie du travail 4/50
Filière: Droit arabe
Faculté des sciences juridiques
et Economiques. Marrakech
N° Apogée Nom Prénom Local d'examen N° d'examen Matière1 Matière2
Université Cadi Ayyad
PV de surveillance: Session de rattrapage
Module: Langue et communication
2012-2013
Semestre1 (nouveau système)
1109624 AL ANSARI Hamza Amphi Ibn Rochd 976 Reportée
1110056 AL FALLAH Adil Amphi ibn Rochd 978 Reportée
1219799 ALAMI Brahim Amphi Ibn Rochd 980
1114466 ALGANDAZI Saloua Amphi ibn Rochd 982 Reportée
1101897 ALIOUA Mohamed Amphi Ibn Rochd 984 Reportée
1104966 AL-KHAKKANI Hajar Amphi ibn Rochd 986 Reportée
1114419 ALLA AWATIF Amphi Ibn Rochd 988 Reportée
1111297 ALLABOUCH Nezha Amphi ibn Rochd 990 Reportée
1111361 ALLAMA Mohamed Amine Amphi Ibn Rochd 992 Reportée
1201584 ALOUACH Noura Amphi ibn Rochd 994
1111044 ALOUANE Najoua Amphi ibn Rochd 996 Reportée
1202101 AMAJOUD Rachid Amphi Ibn Rochd 998
1201593 AMALAL Abderrahim Amphi ibn Rochd 1000
1110911 AMASNA HICHAME Amphi Ibn Rochd 1002 Reportée
1101688 AMAZOUN Mohamed Amphi ibn Rochd 1004 Reportée
1110932 AMDICH Mohamed Amphi Ibn Rochd 1006 Reportée
1104481 AMGHAR Yassin Amphi ibn Rochd 1008 Reportée
1107442 AMHACH Yassine Amphi Ibn Rochd 1010 Reportée
1114334 AMIR MOHAMED Amphi ibn Rochd 1012 Reportée
1107708 AMJAGUER Adil Amphi Ibn Rochd 1014 Reportée
1104093 AMLAIZAZ Ali Amphi ibn Rochd 1016 Reportée
1205198 AMOUCH Khadija Amphi Ibn Rochd 1018
1201359 AMOUZOUN Soufiane Amphi ibn Rochd 1020
1201096 AMZIL Abdenacer Amphi Ibn Rochd 1022
1115694 AMZIL Asmaa Amphi ibn Rochd 1024 Reportée
1111565 ANAJAR Abdelilah Amphi Ibn Rochd 1026 Reportée
1202571 ANAJAREN Fatima Amphi ibn Rochd 1028
1111680 ANOUAR Omar Amphi Ibn Rochd 1030 Reportée
1006988 ANTAR HANANE Amphi ibn Rochd 1032 Reportée
1111541 ANZALI Mahmoud Amphi Ibn Rochd 1034 Reportée
1108776 AOURAOUI Abdesslam Amphi ibn Rochd 1036 Reportée
1101995 ARGUAZ Mohamed Amphi Ibn Rochd 1038 Reportée
1103760 ARNI Abdelhakim Amphi ibn Rochd 1040
1204317 ARRADA Kamal Amphi Ibn Rochd 1042
1202973 ARYANARRAS Hamza Amphi ibn Rochd 1044
1104291 ASBAL Abdelkhalek Amphi Ibn Rochd 1046 Reportée
1209816 ASDREM Hanane Amphi ibn Rochd 1048
1201340 ASGHARI Souad Amphi Ibn Rochd 1050
1201694 ASTAR Abdelhak Amphi ibn Rochd 1052
1107882 ATARHI Asma Amphi Ibn Rochd 1054 Reportée
1106713 ATLOUCH Saadia Amphi ibn Rochd 1056 Reportée
1209038 AYAD Habib Amphi Ibn Rochd 1058
1201194 AZAKI Safa Amphi ibn Rochd 1060
1209539 AZAOUI MOUNINA Amphi Ibn Rochd 1062
1202181 AZZOUYAHAR Malainine Amphi ibn Rochd 1064
1203025 BAALI Samah Amphi Ibn Rochd 1066
1202579 BAALLI Naji Amphi ibn Rochd 1068
Matière1: Français
Matière2: Méthodologie du travail 5/50
Filière: Droit arabe
Faculté des sciences juridiques
et Economiques. Marrakech
N° Apogée Nom Prénom Local d'examen N° d'examen Matière1 Matière2
Université Cadi Ayyad
PV de surveillance: Session de rattrapage
Module: Langue et communication
2012-2013
Semestre1 (nouveau système)
1205829 BAAMRANE Hind Amphi ibn Rochd 1070
1110015 BABA Brahim Amphi Ibn Rochd 1072 Reportée
1104092 BADDA Amine Amphi ibn Rochd 1074 Reportée
1219740 BADOUNI SANA Amphi Ibn Rochd 1076
1202231 BADRANE Badr Amphi ibn Rochd 1078
1110531 BADRI Charaf Amphi Ibn Rochd 1080 Reportée
1209951 BAHAYA Fatima Amphi ibn Rochd 1082
1201018 BAHBOUHI SOUMIYA Amphi Ibn Rochd 1084
1106391 BAHIA ABDELHADI Amphi ibn Rochd 1086 Reportée
1115790 BAHIA Asma Amphi Ibn Rochd 1088 Reportée
1106792 BAHIJ MBARKA Amphi ibn Rochd 1090 Reportée
1219624 BAHRI Fatima Amphi Ibn Rochd 1092
1111732 BAHRI Mustapha Amphi ibn Rochd 1094 Reportée
1004487 BAIHNA ESSALKA Amphi Ibn Rochd 1096 Reportée
1201054 BAJJA Assiya Amphi ibn Rochd 1098
1201245 BAKAR Adil Amphi ibn Rochd 1100
Matière1: Français
Matière2: Méthodologie du travail 6/50
Filière: Droit arabe
Faculté des sciences juridiques
et Economiques. Marrakech
N° Apogée Nom Prénom Local d'examen N° d'examen Matière1 Matière2
Université Cadi Ayyad
PV de surveillance: Session de rattrapage
Module: Langue et communication
2012-2013
Semestre1 (nouveau système)
1110558 BAKHTATI Hasna Amphi Mohamed El Fassi 1102 Reportée
1208363 BAKOU Latifa Amphi Mohamed El Fassi 1104
1101516 BALANBO Loubna Amphi Mohamed El Fassi 1106
1106763 BALHOU Ghizlane Amphi Mohamed El Fassi 1108 Reportée
1201069 BALILI Mustapha Amphi Mohamed El Fassi 1110
1206905 BANNOUR Bouchra Amphi Mohamed El Fassi 1112
1201176 BAOUDA Hicham Amphi Mohamed El Fassi 1114
1209780 BARAKA Keltouma Amphi Mohamed El Fassi 1116
1100622 BARAZOUK Hassna Amphi Mohamed El Fassi 1118 Reportée
1107494 BARDAOUI Fatimazahra Amphi Mohamed El Fassi 1120 Reportée
1106564 BAROUK Abd-elilah Amphi Mohamed El Fassi 1122 Reportée
1107152 BAROUK Mouhssine Amphi Mohamed El Fassi 1124
1003786 BASSIT CHADIA Amphi Mohamed El Fassi 1126 Reportée
1203003 BASSOU Salima Amphi Mohamed El Fassi 1128
1200992 BATRAH Ouijdane Amphi Mohamed El Fassi 1130
1106373 BAYFOU BEN AHMED Abdessalam Amphi Mohamed El Fassi 1132 Reportée
1111609 BEJJOUDI Mohamed Amphi Mohamed El Fassi 1134 Reportée
1003370 BEKASSI BTISSAM Amphi Mohamed El Fassi 1136 Reportée
1202784 BEL FAQUIR Abdelhafid Amphi Mohamed El Fassi 1138
1004589 BELAARBI SOUFIANE Amphi Mohamed El Fassi 1140 Reportée
1114562 BELAMRABT FATIMA ZAHRA Amphi Mohamed El Fassi 1142 Reportée
1111203 BELBYD Mouna Amphi Mohamed El Fassi 1144 Reportée
1114497 BELFAKIR HASSNA Amphi Mohamed El Fassi 1146 Reportée
1107252 BELFKIRA Mouhamed Amphi Mohamed El Fassi 1148 Reportée
1111342 BELGADA Khalid Amphi Mohamed El Fassi 1150 Reportée
1219974 BELHACEN SOUFIANE Amphi Mohamed El Fassi 1152
1204965 BELHAJ Rachid Amphi Mohamed El Fassi 1154
1100464 BELHENAA Siham Amphi Mohamed El Fassi 1156 Reportée
1111610 BELHITE Naima Amphi Mohamed El Fassi 1158 Reportée
1114406 BELKACH FATIMA EZAHRA Amphi Mohamed El Fassi 1160 Reportée
1201137 BEL-LAHMAR Soufiane Amphi Mohamed El Fassi 1162
1103551 BELLAJ Layla Amphi Mohamed El Fassi 1164 Reportée
1004820 BELLALI ABDELAZIZ Amphi Mohamed El Fassi 1166 Reportée
1114569 BELQAID MEHDI Amphi Mohamed El Fassi 1168 Reportée
1111194 BEN BAHIA Karima Amphi Mohamed El Fassi 1170 Reportée
1000858 BEN CHAOUD MOHAMED MBAREK Amphi Mohamed El Fassi 1172 Reportée
1109596 BEN CHEIKH Lahcen Amphi Mohamed El Fassi 1174 Reportée
1101386 BEN CHTIA Youssef Amphi Mohamed El Fassi 1176 Reportée
1109617 BEN ELMEKKI Mourad Amphi Mohamed El Fassi 1178 Reportée
1107575 BEN FARHOUR Imane Amphi Mohamed El Fassi 1180 Reportée
1202374 BEN HAMMOU Tariq Amphi Mohamed El Fassi 1182
1104916 BEN KHADRA Abdellah Amphi Mohamed El Fassi 1184 Reportée
1202445 BEN LAHSAINI Fatima Ezzahra Amphi Mohamed El Fassi 1186
1204960 BEN OTMANE Larbi Amphi Mohamed El Fassi 1188
1103870 BENAADEL Hayat Amphi Mohamed El Fassi 1190 Reportée
1112487 BENAISSA Yassmine Amphi Mohamed El Fassi 1192 Reportée
1203795 BENARAB Mustapha Amphi Mohamed El Fassi 1194
Matière1: Français
Matière2: Méthodologie du travail 7/50
Filière: Droit arabe
Faculté des sciences juridiques
et Economiques. Marrakech
N° Apogée Nom Prénom Local d'examen N° d'examen Matière1 Matière2
Université Cadi Ayyad
PV de surveillance: Session de rattrapage
Module: Langue et communication
2012-2013
Semestre1 (nouveau système)
1115574 BENBACHIR MOHAMED Amphi Mohamed El Fassi 1196 Reportée
1110022 BENCHAKROUN Khalid Amphi Mohamed El Fassi 1198 Reportée
1203739 BENDEHANE Zakaria Amphi Mohamed El Fassi 1200
1220926 BENDRISS SOUFIANE Amphi Mohamed El Fassi 1202
1102661 BENELASRI Rabab Amphi Mohamed El Fassi 1204 Reportée
1106857 BENELHAOUZI Otmane Amphi Mohamed El Fassi 1206 Reportée
1202775 BENELKADRI Elhoucine Amphi Mohamed El Fassi 1208
1202297 BENELKAIDA El-mahdi Amphi Mohamed El Fassi 1210
1103773 BENELYAZID Souad Amphi Mohamed El Fassi 1212
1101439 BENFALLE Noureddine Amphi Mohamed El Fassi 1214
1202994 BENHABIBI Soufiane Amphi Mohamed El Fassi 1216
1220883 BENHAJJI FATIMA ZAHRA Amphi Mohamed El Fassi 1218
1201608 BENHAJJO Lahcene Amphi Mohamed El Fassi 1220
1100671 BENHAMMOUCH El Habib Amphi Mohamed El Fassi 1222 Reportée
1201879 BENHIBA Mohamed Amphi Mohamed El Fassi 1224
1112449 BENJDI Rachida Amphi Mohamed El Fassi 1226 Reportée
1205578 BENJED Youssef Amphi Mohamed El Fassi 1228
1104943 BENLAITIM Yassine Amphi Mohamed El Fassi 1230
1209320 BENLALOU Kamal Amphi Mohamed El Fassi 1232
1205741 BENMOUIDA Chakib Amphi Mohamed El Fassi 1234
1201757 BENNARA Abdessamia Amphi Mohamed El Fassi 1236
1101036 BENNOURINE Hasna Amphi Mohamed El Fassi 1238 Reportée
1219753 BENOMAR Dahbi Amphi Mohamed El Fassi 1240
1005795 BENSARDI FATIMA EZZAHRA Amphi Mohamed El Fassi 1242 Reportée
1107464 BENSSERAJ Fatimazahra Amphi Mohamed El Fassi 1244 Reportée
1103879 BENTKHOUALHA Jaouan Amphi Mohamed El Fassi 1246 Reportée
1004966 BENZAHI HASNA Amphi Mohamed El Fassi 1248 Reportée
1102603 BENZAIDA Hicham Amphi Mohamed El Fassi 1250 Reportée
1114516 BENZARHOUNE Khadija Amphi Mohamed El Fassi 1252 Reportée
1003902 BERGACH FATIMA Amphi Mohamed El Fassi 1254 Reportée
1104009 BERRAGANE Salah Amphi Mohamed El Fassi 1256 Reportée
1113783 BIAR Samira Amphi Mohamed El Fassi 1258
1105794 BIGA Essalma Amphi Mohamed El Fassi 1260 Reportée
1201355 BIHI Soufian Amphi Mohamed El Fassi 1262
1109941 BIROUK Redouane Amphi Mohamed El Fassi 1264 Reportée
1219489 BLQIS ILHAME Amphi Mohamed El Fassi 1266
1115585 BORIAL WARDA Amphi Mohamed El Fassi 1268 Reportée
1115796 BOUABAD Abdellah Amphi Mohamed El Fassi 1270 Reportée
1103855 BOUADANE Lahsen Amphi Mohamed El Fassi 1272 Reportée
1114283 BOUAMOUD BANTAKHOUALHA Amphi Mohamed El Fassi 1274 Reportée
1100451 BOUASSOU Said Amphi Mohamed El Fassi 1276 Reportée
1202415 BOUAZIZ Nadia Amphi Mohamed El Fassi 1278
1108732 BOUAZIZI Khalid Amphi Mohamed El Fassi 1280 Reportée
1210598 BOUBAKKAR Halima Amphi Mohamed El Fassi 1282
1205101 BOUBARNOUS Abdelkhalek Amphi Mohamed El Fassi 1284
1107807 BOUBEKRI Maryem Amphi Mohamed El Fassi 1286 Reportée
1006313 BOUCETTA HAMZA Amphi Mohamed El Fassi 1288 Reportée
Matière1: Français
Matière2: Méthodologie du travail 8/50
Filière: Droit arabe
Faculté des sciences juridiques
et Economiques. Marrakech
N° Apogée Nom Prénom Local d'examen N° d'examen Matière1 Matière2
Université Cadi Ayyad
PV de surveillance: Session de rattrapage
Module: Langue et communication
2012-2013
Semestre1 (nouveau système)
1104517 BOUCHIHA Sakina Amphi Mohamed El Fassi 1290 Reportée
1003604 BOUDALAA SAMIR Amphi Mohamed El Fassi 1292 Reportée
1202969 BOUDAR Oualid Amphi Mohamed El Fassi 1294
1201235 BOUDOUIB Abderrahim Amphi Mohamed El Fassi 1296
1105857 BOUFALJA Laila Amphi Mohamed El Fassi 1298 Reportée
1004516 BOUFARDI MOHAMED WALID Amphi Mohamed El Fassi 1300 Reportée
1114535 BOUFRAYOUA NOUREDDINE Amphi Mohamed El Fassi 1302 Reportée
1216299 BOUFRIOUA FDILI Amphi Mohamed El Fassi 1304
1203297 BOUGATAIA Elmahjoub Amphi Mohamed El Fassi 1306
1104513 BOUGDEM Erraji Amphi Mohamed El Fassi 1308 Reportée
1111524 BOUGHANBOUR Zahira Amphi Mohamed El Fassi 1310 Reportée
94300026 BOUGUEJDI HAMID Amphi Mohamed El Fassi 1312 Reportée
1202638 BOUH Moh Amphi Mohamed El Fassi 1314
1204101 BOUHAL CHADIA Amphi Mohamed El Fassi 1316
1108352 BOUHAL Karim Amphi Mohamed El Fassi 1318 Reportée
1110446 BOUHANI Raja Amphi Mohamed El Fassi 1320 Reportée
1205774 BOUHBEL Abdelfattah Amphi Mohamed El Fassi 1322
1204804 BOUHDACH Kenza Amphi Mohamed El Fassi 1324
1107747 BOUHI Youssef Amphi Mohamed El Fassi 1326
1101289 BOUHMID Khadija Amphi Mohamed El Fassi 1328 Reportée
1202488 BOUHRIBA Nassima Amphi Mohamed El Fassi 1330
1114352 BOUHRIZE Latifa Amphi Mohamed El Fassi 1332 Reportée
1201631 BOUHROUCH Khalid Amphi Mohamed El Fassi 1334
1201947 BOUHSSINE Hassna Amphi Mohamed El Fassi 1336
1115612 BOUIBOUKIRN Mohamed Amphi Mohamed El Fassi 1338 Reportée
1004922 BOUIHAT JAMAL Amphi Mohamed El Fassi 1340 Reportée
1114407 BOUILGUA MALIKA Amphi Mohamed El Fassi 1342 Reportée
1004836 BOUIMHIM MOHAMED Amphi Mohamed El Fassi 1344 Reportée
1205238 BOUJEDIANE Ismail Amphi Mohamed El Fassi 1346
1101523 BOUJENOUI Ismail Amphi Mohamed El Fassi 1348 Reportée
1004693 BOUJERKENE HICHAM Amphi Mohamed El Fassi 1350 Reportée
1111388 BOUKERCH Hayat Amphi Mohamed El Fassi 1352 Reportée
1216598 BOUKHAL MOHAMMED Amphi Mohamed El Fassi 1354
1108504 BOULAHNA Youssef Amphi Mohamed El Fassi 1356 Reportée
1100791 BOULAJAJ Hicham Amphi Mohamed El Fassi 1358 Reportée
1204840 BOUMAHDI ABDALLAHI Amphi Mohamed El Fassi 1360
1108187 BOUMARGOUD Aimad Amphi Mohamed El Fassi 1362 Reportée
1114394 BOUMASSMAER ELHADI Amphi Mohamed El Fassi 1364 Reportée
1106783 BOUMERZAF Aotman Amphi Mohamed El Fassi 1366 Reportée
1205684 BOUMERZAF Souilma Amphi Mohamed El Fassi 1368
1209860 BOUMOUGAY Yassine Amphi Mohamed El Fassi 1370
1201740 BOUMOUSSI Halima Amphi Mohamed El Fassi 1372
1102533 BOUNA Mohamed Amphi Mohamed El Fassi 1374 Reportée
1103178 BOUNJ Laila Amphi Mohamed El Fassi 1376 Reportée
1205682 BOUNNIT Soukaina Amphi Mohamed El Fassi 1378
1100661 BOUNOUADER Nezha Amphi Mohamed El Fassi 1380 Reportée
1205209 BOURAGUA Slimane Amphi Mohamed El Fassi 1382
Matière1: Français
Matière2: Méthodologie du travail 9/50
Filière: Droit arabe
Faculté des sciences juridiques
et Economiques. Marrakech
N° Apogée Nom Prénom Local d'examen N° d'examen Matière1 Matière2
Université Cadi Ayyad
PV de surveillance: Session de rattrapage
Module: Langue et communication
2012-2013
Semestre1 (nouveau système)
1206852 BOURGANI Habiba Amphi Mohamed El Fassi 1384
1219823 BOUSAQ Hafed Amphi Mohamed El Fassi 1386
1220280 BOUSBII Laila Amphi Mohamed El Fassi 1388
1203039 BOUSEKSOU Aimad Amphi Mohamed El Fassi 1390
Matière1: Français
Matière2: Méthodologie du travail 10/50
Filière: Droit arabe
Faculté des sciences juridiques
et Economiques. Marrakech
N° Apogée Nom Prénom Local d'examen N° d'examen Matière1 Matière2
Université Cadi Ayyad
PV de surveillance: Session de rattrapage
Module: Langue et communication
2012-2013
Semestre1 (nouveau système)
1113069 BOUSSAID Hasna Amphi A 1392 Reportée
1207077 BOUSSALIM Lhoussin Amphi A 1394
1100370 BOUSSETTA Aziz Amphi A 1396 Reportée
1113446 BOUTABAA MANNAHA Amphi A 1398 Reportée
1202712 BOUTALAT Nour-el Yakine Amphi A 1400
1220326 BOUTALEB Malika Amphi A 1402
1112431 BOUTALEB Zouhir Amphi A 1404
1104286 BOUTAZART Zouhair Amphi A 1406 Reportée
1111039 BOUTICHICHT Erragragui Amphi A 1408 Reportée
1205234 BOUTIJIJT Abdessamad Amphi A 1410
1203695 BOUTMAGOUST Abdelouahab Amphi A 1412
1111538 BOUYAGHSSANE Latifa Amphi A 1414 Reportée
1114193 BOUYAGHSSANE Nawal Amphi A 1416 Reportée
1201014 BOUYAHIA Ayoub Amphi A 1418
1113787 BOUYGHSANE Mustapha Amphi A 1420 Reportée
1004056 BOUZAKRI ABDELHY Amphi A 1422 Reportée
1105893 BOUZINE Daoud Amphi A 1424 Reportée
1211229 BOUZZIT ASMA Amphi A 1426
1114289 BRIACH EL HASSAN Amphi A 1428 Reportée
1104189 BRIACH EL HOSSAIN Amphi A 1430 Reportée
1103510 BRIER Jaouad Amphi A 1432 Reportée
1004720 BRIGHACH ZAKARIA Amphi A 1434 Reportée
1114496 BROUMI JIHAD Amphi A 1436 Reportée
1111070 BYAH Abdeltif Amphi A 1438 Reportée
9292545 BYOUSSE AICHA Amphi A 1440 Reportée
1103504 CAID RAHA Sofiane Amphi A 1442 Reportée
1004327 CHAABAN TAHA Amphi A 1444 Reportée
1005219 CHAABAOUI MAROUANE Amphi A 1446 Reportée
1001233 CHAAIBI GHIZLANE Amphi A 1448 Reportée
1101712 CHAAIJ Salwa Amphi A 1450
1001241 CHAARANI FATIMA- ZAHRA Amphi A 1452 Reportée
1205726 CHABA Hamza Amphi A 1454
1102772 CHADBI Oussama Amphi A 1456 Reportée
1107630 CHAFIA RACHID Amphi A 1458 Reportée
1111047 CHAFIQ Houssam Amphi A 1460 Reportée
1104341 CHAHBOUN Najat Amphi A 1462 Reportée
1106989 CHAHID Fatima Ezzahra Amphi A 1464 Reportée
1201954 CHAHID Halima Amphi A 1466
1204578 CHAHID Loubna Amphi A 1468
1107895 CHAHID Youssef Amphi A 1470 Reportée
1201642 CHAHIR Abdelilah Amphi A 1472
1203966 CHAHLAOUY Adil Amphi A 1474
Matière1: Français
Matière2: Méthodologie du travail 11/50
Filière: Droit arabe
Faculté des sciences juridiques
et Economiques. Marrakech
N° Apogée Nom Prénom Local d'examen N° d'examen Matière1 Matière2
Université Cadi Ayyad
PV de surveillance: Session de rattrapage
Module: Langue et communication
2012-2013
Semestre1 (nouveau système)
1219656 CHAHMD MOHAMED Amphi B 1476
1111098 CHAIKH Achraf Amphi B 1478 Reportée
1204668 CHAIKHI Mouniha Amphi B 1480
1101481 CHAJARI Noureddine Amphi B 1482 Reportée
1109815 CHAJRI Abdallah Amphi B 1484 Reportée
1114191 CHAKIR Abdellah Amphi B 1486 Reportée
1111715 CHAKIR Jabran Amphi B 1488 Reportée
1114204 CHAKIR Kamal Amphi B 1490 Reportée
1202815 CHAKIR Omar Amphi B 1492
1106802 CHAKIR Zineb Amphi B 1494 Reportée
1203305 CHALH Abdelhakim Amphi B 1496
1209446 CHALHA Bentaghi Amphi B 1498
1202952 CHAM Ghita Amphi B 1500
1219485 CHAOUCH Khalid Amphi B 1502
1104942 CHAOUQUI Kawtar Amphi B 1504 Reportée
1202850 CHARAI Hicham Amphi B 1506
1005627 CHARHABILI IMAN Amphi B 1508 Reportée
1107774 CHARIF Badar Amphi B 1510 Reportée
1111001 CHEMAA Khadija Amphi B 1512 Reportée
1112268 CHENOUI Youness Amphi B 1514
1202975 CHEQBOUB Fatima-ezzahra Amphi B 1516
1105251 CHERIF Ahmed Amphi B 1518 Reportée
1219737 CHERIF ELMASLOUHI Fatiha Amphi B 1520
1111054 CHERKAOUI Ali Amphi B 1522 Reportée
1108335 CHIKAB Nezha Amphi B 1524 Reportée
1106479 CHINE Zahra Amphi B 1526 Reportée
1108005 CHKEN Imane Amphi B 1528 Reportée
1209082 CHOUAI Hind Amphi B 1530
1112184 CHOUAY Abdelkrim Amphi B 1532 Reportée
1102192 CHOUMANE Soukaina Amphi B 1534 Reportée
1219060 CHROUKATE Houria Amphi B 1536
1219821 CHRRHA HAIBA Amphi B 1538
1114274 CHTIOUA Jamil Amphi B 1540 Reportée
Matière1: Français
Matière2: Méthodologie du travail 12/50
Filière: Droit arabe
Faculté des sciences juridiques
et Economiques. Marrakech
N° Apogée Nom Prénom Local d'examen N° d'examen Matière1 Matière2
Université Cadi Ayyad
PV de surveillance: Session de rattrapage
Module: Langue et communication
2012-2013
Semestre1 (nouveau système)
80002204 DADI SIDI Amphi Cadi Ayyad 2
1201343 DAFALI NOUR EDDINE Amphi Cadi Ayyad 4
1203333 DAGDAG Imane Amphi Cadi Ayyad 6
1209287 DAHBI Mohamed Ayoub Amphi Cadi Ayyad 8
1201004 DAHBI-SKALI Mohammed Amphi Cadi Ayyad 10
1202009 DAHHIOUI Asmae Amphi Cadi Ayyad 12
1202427 DAHI Mahmoud Amphi Cadi Ayyad 14
1220244 DAHROU Badia Amphi Cadi Ayyad 16
1205573 DAIFI ELMEHDI Amphi Cadi Ayyad 18
1111384 DAISSA Btisam Amphi Cadi Ayyad 20 Reportée
1220108 DAMINE Nour Eddine Amphi Cadi Ayyad 22
1105865 DAMIR Mohamed Khalil Amphi Cadi Ayyad 24 Reportée
1201670 DANINE Youssef Amphi Cadi Ayyad 26
1219639 DAOU Abdellelah Amphi Cadi Ayyad 28
1006990 DAOU NORA Amphi Cadi Ayyad 30 Reportée
1204172 DAOUD Khalid Amphi Cadi Ayyad 32
1210885 DAOUD Loubna Amphi Cadi Ayyad 34
1203029 DAOUDI Hamza Amphi Cadi Ayyad 36
1209217 DAOUI Achraf Amphi Cadi Ayyad 38
1110274 DARDOUCH NAZHA Amphi Cadi Ayyad 40
1201225 DARDOUR Fatima Ezzahra Amphi Cadi Ayyad 42
1204459 DARHOUCH Lahoucine Amphi Cadi Ayyad 44
1111087 DARID Amina Amphi Cadi Ayyad 46 Reportée
1210575 DARKAOUI Loubna Amphi Cadi Ayyad 48
1107217 DAWDI Soumya Amphi Cadi Ayyad 50 Reportée
1202094 DBAYBI Yassin Amphi Cadi Ayyad 52
1208794 DEBBAGH Mohamed Amphi Cadi Ayyad 54
1210980 DEBBAGH Zakaria Amphi Cadi Ayyad 56
1209281 DERDARI Anas Amphi Cadi Ayyad 58
1114452 DERKAOUI FATIMA Amphi Cadi Ayyad 60 Reportée
1203022 DEROUNE Yassine Amphi Cadi Ayyad 62
1203927 DERSI HOUSSAM Amphi Cadi Ayyad 64
1204923 DIALMY Mohamed Amine Amphi Cadi Ayyad 66
1203798 DIB Hassan Amphi Cadi Ayyad 68
1113789 DICHRI Mouad Amphi Cadi Ayyad 70 Reportée
1111068 DIME Kaoutar Amphi Cadi Ayyad 72 Reportée
1114329 DIOUANI Nourelhouda Amphi Cadi Ayyad 74 Reportée
1201150 DKHIL Sidati Amphi Cadi Ayyad 76
1209854 DOUABY Abdennabi Amphi Cadi Ayyad 78
1210848 DOUALI Chaimae Amphi Cadi Ayyad 80
1216742 DOUICH Mohammed Amphi Cadi Ayyad 82
1100397 DOUIKSI Mohamed Amphi Cadi Ayyad 84
1219751 DOUMANY FATIMATOU Amphi Cadi Ayyad 86
1208909 DOURHANI Sana Amphi Cadi Ayyad 88
1203120 DRAOUI Mourad Amphi Cadi Ayyad 90
1201687 DRIOUCH Ghizlan Amphi Cadi Ayyad 92
1101272 DRIOUICH Jabrane Amphi Cadi Ayyad 94 Reportée
Matière1: Français
Matière2: Méthodologie du travail 13/50
Filière: Droit arabe
Faculté des sciences juridiques
et Economiques. Marrakech
N° Apogée Nom Prénom Local d'examen N° d'examen Matière1 Matière2
Université Cadi Ayyad
PV de surveillance: Session de rattrapage
Module: Langue et communication
2012-2013
Semestre1 (nouveau système)
1105769 EBNERRADIY Mohamed Amphi Cadi Ayyad 96 Reportée
1205165 ECHACHI Fouad Amphi Cadi Ayyad 98
1201790 ECHAFI Faissel Amphi Cadi Ayyad 100
1220265 ECHAKER ISAMEDDINE Amphi Cadi Ayyad 102
1203097 ECHATAR Rachid Amphi Cadi Ayyad 104
1202019 ECH-CHAJAI Aouatif Amphi Cadi Ayyad 106
1209182 ECHCHARAOUY Rabia Amphi Cadi Ayyad 108
1211176 ECH-CHATOUI Lahcen Amphi Cadi Ayyad 110
5028585 ECHICHAOUI LAILA Amphi Cadi Ayyad 112
1202185 ECHIGUER Yahia Amphi Cadi Ayyad 114
1202361 ECHIHI Mustapha Amphi Cadi Ayyad 116
1006259 EDAOUDI OMAR Amphi Cadi Ayyad 118 Reportée
1115669 EDDAHOUS Sokaina Amphi Cadi Ayyad 120 Reportée
1203367 EDDAKI Brahim Amphi Cadi Ayyad 122
1101852 EDDAOUDI Errabab Amphi Cadi Ayyad 124
1203101 ED-DGHOUGHY Abdelkrim Amphi Cadi Ayyad 126
1009018 EDDI MOHAMED Amphi Cadi Ayyad 128 Reportée
1105711 EDDIS Abdelfettah Amphi Cadi Ayyad 130 Reportée
1203350 EDDNADNI Nabil Amphi Cadi Ayyad 132
1219863 EDDRIF Loubna Amphi Cadi Ayyad 134
1201380 EDRAOUI Abdelouahed Amphi Cadi Ayyad 136
1115617 EJJAOUI Bader Amphi Cadi Ayyad 138 Reportée
1105125 EKHOUIRA Mohamed Amphi Cadi Ayyad 140 Reportée
1203844 EL AATTARI Othman Amphi Cadi Ayyad 142
1218895 EL AAOUD Laila Amphi Cadi Ayyad 144
1006048 EL AASSEMI FAYSAL Amphi Cadi Ayyad 146 Reportée
1220930 EL AATIELLAH ABDELKARIM Amphi Cadi Ayyad 148
1202956 EL ABBADY Ayoub Amphi Cadi Ayyad 150
1217583 EL ABOUSSAADI GHITA Amphi Cadi Ayyad 152
1203913 EL ABYAD Abderrazzak Amphi Cadi Ayyad 154
1210136 EL ABYAD Hanane Amphi Cadi Ayyad 156
1219680 EL ADAB Ayoub Amphi Cadi Ayyad 158
1009521 EL ALAOUI KARIMA Amphi Cadi Ayyad 160 Reportée
1106349 EL ALAOUI Sabah Amphi Cadi Ayyad 162 Reportée
1203584 EL AMIRI Mohammed Zakarya Amphi Cadi Ayyad 164
1207524 EL AMMARI Fath-allah Amphi Cadi Ayyad 166
1114302 EL AMOUDI Soufian Amphi Cadi Ayyad 168 Reportée
1209232 EL AMRANI Mahdia Amphi Cadi Ayyad 170
6002282 EL AMRI ACHRAF Amphi Cadi Ayyad 172 Reportée
1203343 EL AMRI Ismail Amphi Cadi Ayyad 174
1219990 EL ANKAOUI Taib Amphi Cadi Ayyad 176
1111336 EL ANSARI Abdelfattah Amphi Cadi Ayyad 178 Reportée
1202669 EL ANSARI Omar Amphi Cadi Ayyad 180
1202628 EL ANSARY Mbarek Amphi Cadi Ayyad 182
1220433 EL AOUFI NADIA Amphi Cadi Ayyad 184
1219567 EL AOUNI Amina Amphi Cadi Ayyad 186
1216752 EL ARBI Hafid Amphi Cadi Ayyad 188
Matière1: Français
Matière2: Méthodologie du travail 14/50
Filière: Droit arabe
Faculté des sciences juridiques
et Economiques. Marrakech
N° Apogée Nom Prénom Local d'examen N° d'examen Matière1 Matière2
Université Cadi Ayyad
PV de surveillance: Session de rattrapage
Module: Langue et communication
2012-2013
Semestre1 (nouveau système)
1106188 EL ARNOUQI Asma Amphi Cadi Ayyad 190
1208837 EL ASLAOUI Abdeljalil Amphi Cadi Ayyad 192
1219423 EL ASSAL Yassine Amphi Cadi Ayyad 194
1204970 EL ATIFI Kaoutar Amphi Cadi Ayyad 196
1100500 EL ATRACH Soulaiman Amphi Cadi Ayyad 198
1208966 EL ATTAQ Ayoub Amphi Cadi Ayyad 200
Matière1: Français
Matière2: Méthodologie du travail 15/50
Filière: Droit arabe
Faculté des sciences juridiques
et Economiques. Marrakech
N° Apogée Nom Prénom Local d'examen N° d'examen Matière1 Matière2
Université Cadi Ayyad
PV de surveillance: Session de rattrapage
Module: Langue et communication
2012-2013
Semestre1 (nouveau système)
1220064 EL ATTAR Abdelati Amphi Abou El Abbass Essabti 202
1202318 EL AYADY Atef Amphi Abou El Abbass Essabti 204
1220189 EL AYANE Imane Amphi Abou El Abbass Essabti 206
1203289 EL AZHAR IDRISSI Imane Amphi Abou El Abbass Essabti 208
1201409 EL AZHARI Soukaina Amphi Abou El Abbass Essabti 210
1209379 EL AZRAK ADIL Amphi Abou El Abbass Essabti 212
1219648 EL AZZABI Asmaa Amphi Abou El Abbass Essabti 214
1205813 EL BADR Raouia Amphi Abou El Abbass Essabti 216
1219716 EL BADRAOUI Siham Amphi Abou El Abbass Essabti 218
1114554 EL BAGAR HASNA Amphi Abou El Abbass Essabti 220 Reportée
1203679 EL BAHHAZ Nabil Amphi Abou El Abbass Essabti 222
1204409 EL BAHI Hicham Amphi Abou El Abbass Essabti 224
1201149 EL BAHIJI Khaoula Amphi Abou El Abbass Essabti 226
1210453 EL BAHJI Rabab Amphi Abou El Abbass Essabti 228
1102900 EL BAHRDADI Ramzi Amphi Abou El Abbass Essabti 230
1110544 EL BAL HAMZA Amphi Abou El Abbass Essabti 232
1203364 EL BALLOUTI MOHAMMED EL HABIB Amphi Abou El Abbass Essabti 234
1202458 EL BANDAHI Mustapha Amphi Abou El Abbass Essabti 236
1206212 EL BARAKA Aicha Amphi Abou El Abbass Essabti 238
1204959 EL BARBOUCHI Yahdih Amphi Abou El Abbass Essabti 240
1101794 EL BARI Aamro Amphi Abou El Abbass Essabti 242 Reportée
1206684 EL BARKAOUI Fatima Amphi Abou El Abbass Essabti 244
1109569 EL BAROUDI Khadija Amphi Abou El Abbass Essabti 246 Reportée
1220024 EL BAZ Fatima Zouhra Amphi Abou El Abbass Essabti 248
1219842 EL BAZ Rachida Amphi Abou El Abbass Essabti 250
1219870 EL BBAZ Rkia Amphi Abou El Abbass Essabti 252
1201402 EL BOUALAMI Abdelilah Amphi Abou El Abbass Essabti 254
1220128 EL BOUANANI SOUMIA Amphi Abou El Abbass Essabti 256
1204716 EL BOUAZZAOUI Abdennabi Amphi Abou El Abbass Essabti 258
1104287 EL BOUDANI Daouya Amphi Abou El Abbass Essabti 260
1110154 EL BOUGHDADI Mina Amphi Abou El Abbass Essabti 262
1209571 EL BOUHALI Soukaina Amphi Abou El Abbass Essabti 264
1111280 EL BOUHI Fadoua Amphi Abou El Abbass Essabti 266
1202621 EL BOUKY Mohamed Amphi Abou El Abbass Essabti 268
1201772 EL BOUZIDI Hamza Amphi Abou El Abbass Essabti 270
1100891 EL BOUZIDI Salah Eddine Amphi Abou El Abbass Essabti 272
1208830 EL BZAR Youssef Amphi Abou El Abbass Essabti 274
1114402 EL FAHIRI Hasna Amphi Abou El Abbass Essabti 276 Reportée
1209903 EL FAHLI Sara Amphi Abou El Abbass Essabti 278
1201103 EL FAIZI Meriam Amphi Abou El Abbass Essabti 280
1219717 EL FALLAH Soukaina Amphi Abou El Abbass Essabti 282
1208271 EL FALLAOUY Touria Amphi Abou El Abbass Essabti 284
1202314 EL FARAJY Ayoub Amphi Abou El Abbass Essabti 286
1204927 EL FARIQ Nadia Amphi Abou El Abbass Essabti 288
1219475 EL FATHI YOUSSEF Amphi Abou El Abbass Essabti 290
1204974 EL FATIHI YOUNES Amphi Abou El Abbass Essabti 292
1209555 EL FATIMI Mouhssine Amphi Abou El Abbass Essabti 294
Matière1: Français
Matière2: Méthodologie du travail 16/50
Filière: Droit arabe
Faculté des sciences juridiques
et Economiques. Marrakech
N° Apogée Nom Prénom Local d'examen N° d'examen Matière1 Matière2
Université Cadi Ayyad
PV de surveillance: Session de rattrapage
Module: Langue et communication
2012-2013
Semestre1 (nouveau système)
1101684 EL FATIMI Ouafa Amphi Abou El Abbass Essabti 296 Reportée
1103180 EL FGUIRICH Mohamed Amphi Abou El Abbass Essabti 298
1101399 EL GABI ABDELILAH Amphi Abou El Abbass Essabti 300 Reportée
1107227 EL GADDARI Hayat Amphi Abou El Abbass Essabti 302 Reportée
1003517 EL GANDOULI WAFAE Amphi Abou El Abbass Essabti 304
1204078 EL GUANA KHADIJA Amphi Abou El Abbass Essabti 306
1102013 EL GUEDDASY HANAN Amphi Abou El Abbass Essabti 308
1201611 EL GUESSAB Jebrane Amphi Abou El Abbass Essabti 310
1209205 EL HAFIDI Oussama Amphi Abou El Abbass Essabti 312
1217379 EL HAMIANI HIND Amphi Abou El Abbass Essabti 314
1204438 EL HAMIDY Samira Amphi Abou El Abbass Essabti 316
1204856 EL HAMMAOUI Noura Amphi Abou El Abbass Essabti 318
1202605 EL HAMOUNI Abderrahman Amphi Abou El Abbass Essabti 320
1216609 EL HAMRI YOUSSEF Amphi Abou El Abbass Essabti 322
1201718 EL HAMYAOUI Mohamed Amine Amphi Abou El Abbass Essabti 324
1111337 EL HANCHAR Fatima Zahra Amphi Abou El Abbass Essabti 326 Reportée
1204360 EL HANOUNI Bouchaib Amphi Abou El Abbass Essabti 328
1202339 EL HAOUARI Abdessadek Amphi Abou El Abbass Essabti 330
1009648 EL HAOUZI SIHAM Amphi Abou El Abbass Essabti 332 Reportée
1201637 EL HARCHAOUI Sana Amphi Abou El Abbass Essabti 334
1205230 EL HARCHI Rachida Amphi Abou El Abbass Essabti 336
1220053 EL HARJ Abderrahim Amphi Abou El Abbass Essabti 338
1201398 EL HASSANI Younes Amphi Abou El Abbass Essabti 340
1219585 EL HEJAB Yassine Amphi Abou El Abbass Essabti 342
1210751 EL HOURI ABDESSAMAD Amphi Abou El Abbass Essabti 344
1201578 EL IDRISSI BOUCHAIB Amphi Abou El Abbass Essabti 346
1204843 EL IDRISSI Bouchra Amphi Abou El Abbass Essabti 348
1208942 EL IDRISSI Mohamed Amphi Abou El Abbass Essabti 350
1204764 EL IDRISSI Soukaina Amphi Abou El Abbass Essabti 352
1205857 EL IDRISSI LAAOUINI Yassine Amphi Abou El Abbass Essabti 354
1203068 EL IDRISY Brahim Amphi Abou El Abbass Essabti 356
1210037 EL IDRYSY Hasna Amphi Abou El Abbass Essabti 358
1219462 EL JARIDI ABDECHAFI Amphi Abou El Abbass Essabti 360
1107693 EL JEDADI Charifa Amphi Abou El Abbass Essabti 362 Reportée
1114522 EL JOUMANI Said Amphi Abou El Abbass Essabti 364
1204163 EL KADOURI ABDENNACER Amphi Abou El Abbass Essabti 366
1219543 EL KADRI Halima Amphi Abou El Abbass Essabti 368
1220410 EL KAHLAOUI CHEROUK Amphi Abou El Abbass Essabti 370
1101374 EL KAMOUNI Abbes Amphi Abou El Abbass Essabti 372 Reportée
1107177 EL KAROUMI Mohammed Amphi Abou El Abbass Essabti 374 Reportée
1201286 EL KARYA Sanaa Amphi Abou El Abbass Essabti 376
1203165 EL KASSIOUI Elhassan Amphi Abou El Abbass Essabti 378
1204876 EL KHADIRI Amal Amphi Abou El Abbass Essabti 380
1102022 EL KHAJRAJI Hayat Amphi Abou El Abbass Essabti 382 Reportée
1005829 EL KHALDI AKILA Amphi Abou El Abbass Essabti 384 Reportée
1209748 EL KHALFAOUI Othmane Amphi Abou El Abbass Essabti 386
1203948 EL KHALILI Yassine Amphi Abou El Abbass Essabti 388
Matière1: Français
Matière2: Méthodologie du travail 17/50
Filière: Droit arabe
Faculté des sciences juridiques
et Economiques. Marrakech
N° Apogée Nom Prénom Local d'examen N° d'examen Matière1 Matière2
Université Cadi Ayyad
PV de surveillance: Session de rattrapage
Module: Langue et communication
2012-2013
Semestre1 (nouveau système)
1103982 EL KHALOUA Adil Amphi Abou El Abbass Essabti 390 Reportée
Matière1: Français
Matière2: Méthodologie du travail 18/50
Filière: Droit arabe
Faculté des sciences juridiques
et Economiques. Marrakech
N° Apogée Nom Prénom Local d'examen N° d'examen Matière1 Matière2
Université Cadi Ayyad
PV de surveillance: Session de rattrapage
Module: Langue et communication
2012-2013
Semestre1 (nouveau système)
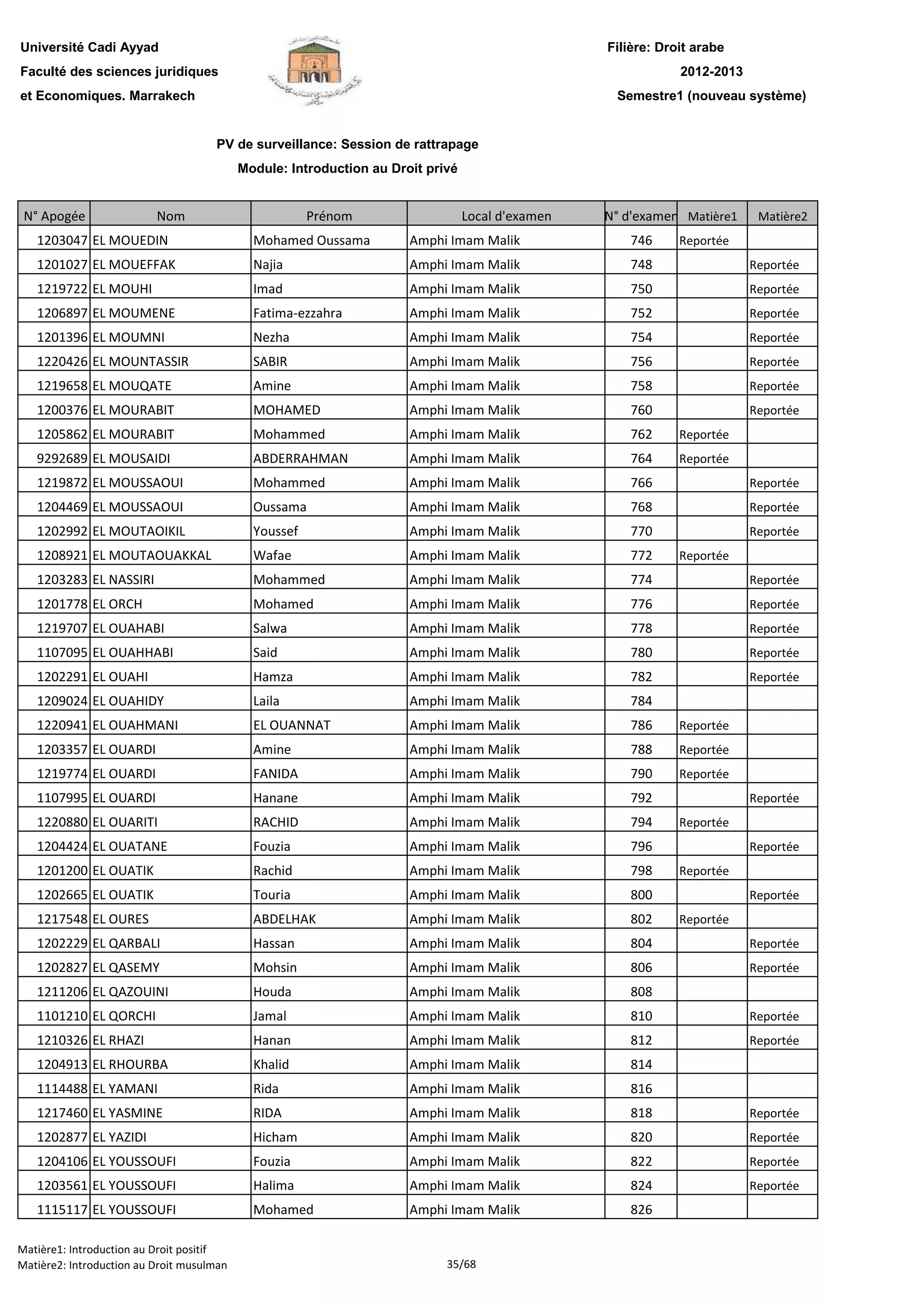
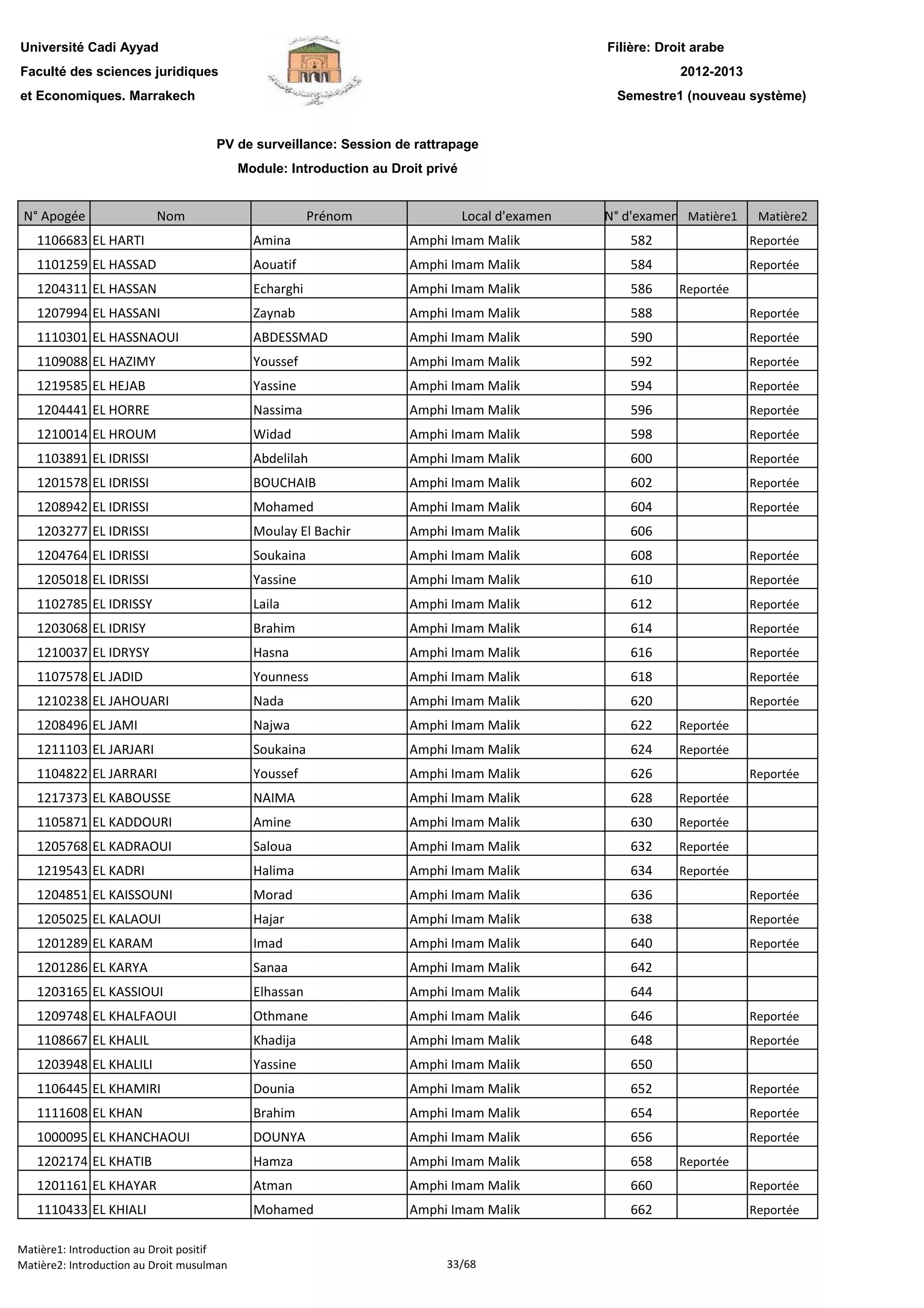
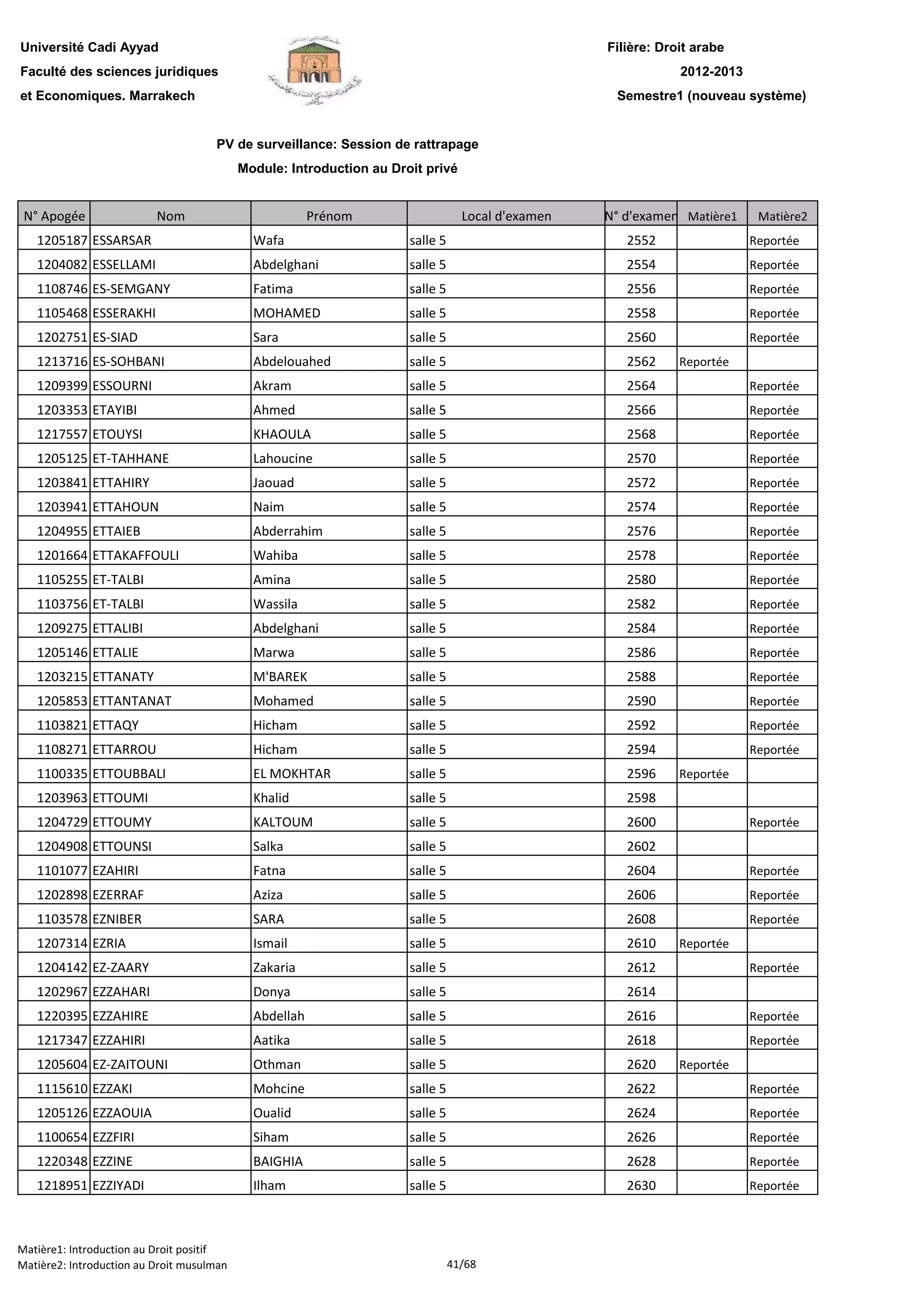
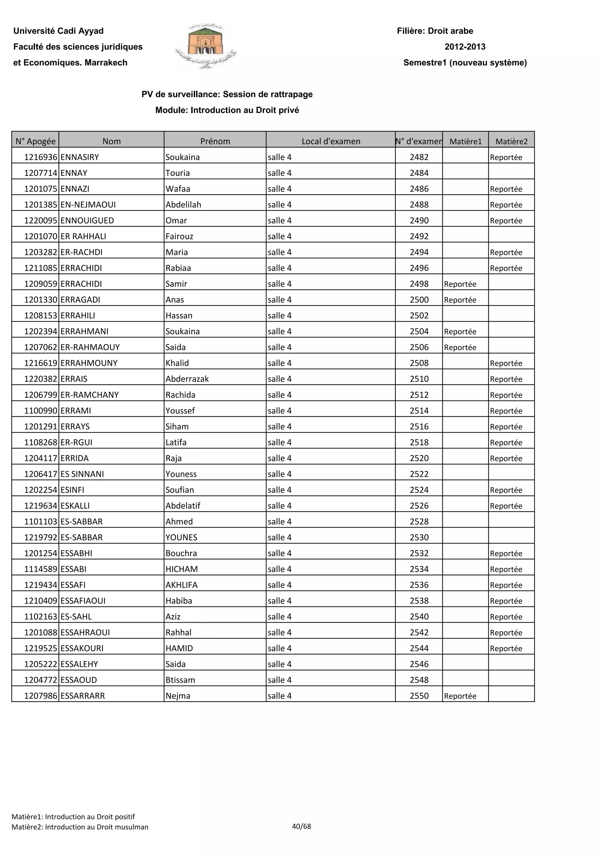
1107567 EL KHAMARI Amal Amphi Imam Malik 582
1106445 EL KHAMIRI Dounia Amphi Imam Malik 584
1201006 EL KHARTA ABDERAHIM Amphi Imam Malik 586
1201161 EL KHAYAR Atman Amphi Imam Malik 588
1220257 EL KHIRAOUI ABDELMOUNAIM Amphi Imam Malik 590
1114461 EL MAACHI AYOUB Amphi Imam Malik 592 Reportée
1109597 EL MADANI Khadija Amphi Imam Malik 594 Reportée
1209121 EL MADYNY Mohammed Amphi Imam Malik 596
1004244 EL MALLALI HIND Amphi Imam Malik 598 Reportée
1219574 EL MANOUZI MOUAD Amphi Imam Malik 600
1207855 EL MANYIY Mohammed Amphi Imam Malik 602
1114443 EL MARSSI MOHAMED Amphi Imam Malik 604 Reportée
1210539 EL MARZOUGUI Hanane Amphi Imam Malik 606
1201557 EL MASKYNY Fatiha Amphi Imam Malik 608
1200490 EL MEKAOUI Soukaina Amphi Imam Malik 610
1204833 EL MIALE Soukaina Amphi Imam Malik 612
1210083 EL MIMOUNI Khaoula Amphi Imam Malik 614
1220881 EL MOCHTAJ YOUSSEF Amphi Imam Malik 616
1220313 EL MODAFFAR BOUZEKRI Amphi Imam Malik 618
1203969 EL MOJAHID Mohammed Amphi Imam Malik 620
1205221 EL MORSLI Youssef Amphi Imam Malik 622
1104773 EL MOSLIH Ahmed Amphi Imam Malik 624
1220892 EL MOUCHOURI MANAR Amphi Imam Malik 626
1202589 EL MOUDEN Ouissan Amphi Imam Malik 628
1204494 EL MOUDENE Omar Amphi Imam Malik 630
1201780 EL MOUGHRIBI Souad Amphi Imam Malik 632 Reportée
1105746 EL MOUHI Imad Amphi Imam Malik 634
1219722 EL MOUHI Imad Amphi Imam Malik 636
1201253 EL MOUJIB Zohra Amphi Imam Malik 638
1206897 EL MOUMENE Fatima-ezzahra Amphi Imam Malik 640
1115941 EL MOUNTASSIR AHMED Amphi Imam Malik 642
1202992 EL MOUTAOIKIL Youssef Amphi Imam Malik 644
1208921 EL MOUTAOUAKKAL Wafae Amphi Imam Malik 646
1203062 EL OMARI Driss Amphi Imam Malik 648
1201778 EL ORCH Mohamed Amphi Imam Malik 650
1219750 EL OTMANY Khalid Amphi Imam Malik 652
1205002 EL OUAFI Karima Amphi Imam Malik 654
1219707 EL OUAHABI Salwa Amphi Imam Malik 656
1107095 EL OUAHHABI Said Amphi Imam Malik 658 Reportée
1209024 EL OUAHIDY Laila Amphi Imam Malik 660
1220941 EL OUAHMANI EL OUANNAT Amphi Imam Malik 662
1202248 EL OUALI Abdel Moumene Amphi Imam Malik 664
1202741 EL OUALI Mustapha Amphi Imam Malik 666
1203135 EL OUARGA Younes Amphi Imam Malik 668
1219912 EL OUATANI SOUKAINA Amphi Imam Malik 670
1202665 EL OUATIK Touria Amphi Imam Malik 672
1202827 EL QASEMY Mohsin Amphi Imam Malik 674
Matière1: Français
Matière2: Méthodologie du travail 19/50
Filière: Droit arabe
Faculté des sciences juridiques
et Economiques. Marrakech
N° Apogée Nom Prénom Local d'examen N° d'examen Matière1 Matière2
Université Cadi Ayyad
PV de surveillance: Session de rattrapage
Module: Langue et communication
2012-2013
Semestre1 (nouveau système)
1211206 EL QAZOUINI Houda Amphi Imam Malik 676
1211124 EL RHAZLAOUI Zineb Amphi Imam Malik 678
1204913 EL RHOURBA Khalid Amphi Imam Malik 680
1111138 EL WARTASSI Awatif Amphi Imam Malik 682 Reportée
1204957 EL WARZAZI Sabah Amphi Imam Malik 684
1220992 EL YAAKOUBI YASSINE Amphi Imam Malik 686
1111119 ELAALLAOUI Imane Amphi Imam Malik 688 Reportée
1106482 ELABBOUCHI Brahim Amphi Imam Malik 690
1220054 ELAICH Halima Amphi Imam Malik 692
1106998 ELAKKAD Abdelhakim Amphi Imam Malik 694 Reportée
1104139 ELALAOUI Charifa Amphi Imam Malik 696 Reportée
1209219 ELAMILI Outmane Amphi Imam Malik 698
1203240 ELAMIRI Adil Amphi Imam Malik 700
1201185 ELAMRI Abdellah Amphi Imam Malik 702
1208658 ELARGANE Hamza Amphi Imam Malik 704
1106768 ELASADY Achraf Amphi Imam Malik 706
1202915 ELASRI Khadija Amphi Imam Malik 708
1203274 ELAYACHI Ali Amphi Imam Malik 710
1207942 ELAZALI Yassine Amphi Imam Malik 712
1214609 ELAZHARI Zahra Amphi Imam Malik 714
1203992 ELBADI Mustapha Amphi Imam Malik 716
1208249 ELBADRA Houda Amphi Imam Malik 718
1201166 ELBAJBOUJI Aimad Amphi Imam Malik 720
1208975 ELBAJI Noura Amphi Imam Malik 722
1210286 ELBALILI Noura Amphi Imam Malik 724
1203030 ELBANAN Sofiane Amphi Imam Malik 726
1109645 ELBARDAAI Mouna Amphi Imam Malik 728
1210250 ELBARNOUSSI Noura Amphi Imam Malik 730
1201870 ELBARRIK Az-eddine Amphi Imam Malik 732
1219430 ELBAZ SIHAM Amphi Imam Malik 734
1212150 ELBAZAR Mohamed Amphi Imam Malik 736
1216727 ELBELDI Outmane Amphi Imam Malik 738
1219928 ELBENNAI Hamid Amphi Imam Malik 740
1208749 ELBIKAM Fattou Amphi Imam Malik 742
1001240 ELBOUAICHI ISMAIL Amphi Imam Malik 744 Reportée
1216320 ELBOUCHANI Youssef Amphi Imam Malik 746
1201041 ELBOUDALI Yassine Amphi Imam Malik 748
1219711 ELBOUHTOURI Nezha Amphi Imam Malik 750
1211172 ELBOUNI Abderrazzaq Amphi Imam Malik 752
1210467 ELFAKIR Jihane Amphi Imam Malik 754
1201192 ELFANJALI Ahmed Amphi Imam Malik 756
1111124 ELFANNANI Achraf Amphi Imam Malik 758 Reportée
1204000 ELFAQRI Soufiane Amphi Imam Malik 760
1102027 ELFATHI Abderrahim Amphi Imam Malik 762 Reportée
1203922 ELFATHI Charaf Amphi Imam Malik 764
1205919 ELFATIMY Imad Amphi Imam Malik 766
1114148 ELFEJOUJY Jaouad Amphi Imam Malik 768
Matière1: Français
Matière2: Méthodologie du travail 20/50
Filière: Droit arabe
Faculté des sciences juridiques
et Economiques. Marrakech
N° Apogée Nom Prénom Local d'examen N° d'examen Matière1 Matière2
Université Cadi Ayyad
PV de surveillance: Session de rattrapage
Module: Langue et communication
2012-2013
Semestre1 (nouveau système)
1109853 ELGAREH Soufiane Amphi Imam Malik 770 Reportée
1220258 ELGARRAI ABDESSAMAD Amphi Imam Malik 772
1201237 ELGASMI Aziza Amphi Imam Malik 774
1004322 ELGHAMRI ABDESLAM Amphi Imam Malik 776 Reportée
1107406 ELGHIDA Hicham Amphi Imam Malik 778
1110224 ELGHOUAT Achraf Amphi Imam Malik 780 Reportée
1201202 ELGUANA Abd Elmajid Amphi Imam Malik 782
1005193 ELHADDAD YASSINE Amphi Imam Malik 784 Reportée
1104961 ELHADDOUI Aissam Amphi Imam Malik 786 Reportée
1208281 ELHAFIDI Abdelmoula Amphi Imam Malik 788
1203325 ELHAJJI AYMANE Amphi Imam Malik 790
1220018 ELHALOUANE Omar Amphi Imam Malik 792 Reportée
1203071 ELHAMIDI Rida Amphi Imam Malik 794
1201120 ELHAMMI Abdelaziz Amphi Imam Malik 796
1204579 ELHAMRI Latifa Amphi Imam Malik 798
1210266 ELHAMZAOUI Mareym Amphi Imam Malik 800 Reportée
1220123 ELHAOUARY Aouatif Amphi Imam Malik 802
1205173 ELHAOUASSI Samya Amphi Imam Malik 804
1207223 ELHARAS Mouhssine Amphi Imam Malik 806
1204301 ELHARNOUSSI Youssef Amphi Imam Malik 808
1105193 ELHAROUCHY Hanane Amphi Imam Malik 810
1209714 ELHARRAB Soufiane Amphi Imam Malik 812
1211292 ELHARRAR Mohamed Amphi Imam Malik 814
1203921 ELHOUARI Hayat Amphi Imam Malik 816
1203276 EL-IBRAHYMY Latifa Amphi Imam Malik 818
1220281 ELIDRISSI Souad Amphi Imam Malik 820
1004465 ELIFGHANI IBTISSAM Amphi Imam Malik 822 Reportée
1112035 ELJABIRI Hasna Amphi Imam Malik 824
1201773 ELJAKANI Toufiq Amphi Imam Malik 826
1216695 ELKABRITI Meriem Amphi Imam Malik 828
1219652 ELKAFI NADIA Amphi Imam Malik 830
1208628 ELKAFRAOUI Najia Amphi Imam Malik 832
1206221 ELKAHL Youssef Amphi Imam Malik 834
1109575 ELKAHLAOUI Abdessalam Amphi Imam Malik 836 Reportée
1208911 ELKAMEL Rachid Amphi Imam Malik 838
1211275 ELKASSOUABI Abdelilah Amphi Imam Malik 840
1210600 ELKHADIRI Khadija Amphi Imam Malik 842
1106382 ELKHAHIRI Jihad Amphi Imam Malik 844 Reportée
1205174 ELKHAL NAOUAL Amphi Imam Malik 846
1111193 ELKHAMILI Abdelmalek Amphi Imam Malik 848
1201640 ELKHARTA MOHAMMED Amphi Imam Malik 850
1113461 ELKHARTA Redouane Amphi Imam Malik 852
1211319 EL-KHNISSI Kaouthar Amphi Imam Malik 854
1216667 ELKHOURI MARHRA Fatima Zahra Amphi Imam Malik 856
1108547 ELKIRAT Soukaina Amphi Imam Malik 858
1204853 ELKISSAI Hasnae Amphi Imam Malik 860
1219539 ELKOUARTY NADIA Amphi Imam Malik 862
Matière1: Français
Matière2: Méthodologie du travail 21/50
Filière: Droit arabe
Faculté des sciences juridiques
et Economiques. Marrakech
N° Apogée Nom Prénom Local d'examen N° d'examen Matière1 Matière2
Université Cadi Ayyad
PV de surveillance: Session de rattrapage
Module: Langue et communication
2012-2013
Semestre1 (nouveau système)
1204896 ELKOURCHI Imane Amphi Imam Malik 864
1203999 ELLAITI Hasna Amphi Imam Malik 866
1201305 ELLAOU Lamnia Amphi Imam Malik 868
1203351 ELLAOUD Esalek Amphi Imam Malik 870
1202322 ELLOUYTY FATIMA Amphi Imam Malik 872
1219725 ELMAHDAOUY Amal Amphi Imam Malik 874
1204166 ELMAHJOUBI Lamia Amphi Imam Malik 876
1201601 ELMAJDOUBI Radouane Amphi Imam Malik 878
1206299 ELMAKNI Elhassan Amphi Imam Malik 880
Matière1: Français
Matière2: Méthodologie du travail 22/50
Filière: Droit arabe
Faculté des sciences juridiques
et Economiques. Marrakech
N° Apogée Nom Prénom Local d'examen N° d'examen Matière1 Matière2
Université Cadi Ayyad
PV de surveillance: Session de rattrapage
Module: Langue et communication
2012-2013
Semestre1 (nouveau système)
1209761 ELMALATI Said salle 1 2272
1211959 ELMALLOULI Aziza salle 1 2274
1208104 ELMANSOURI Abderrahim salle 1 2276
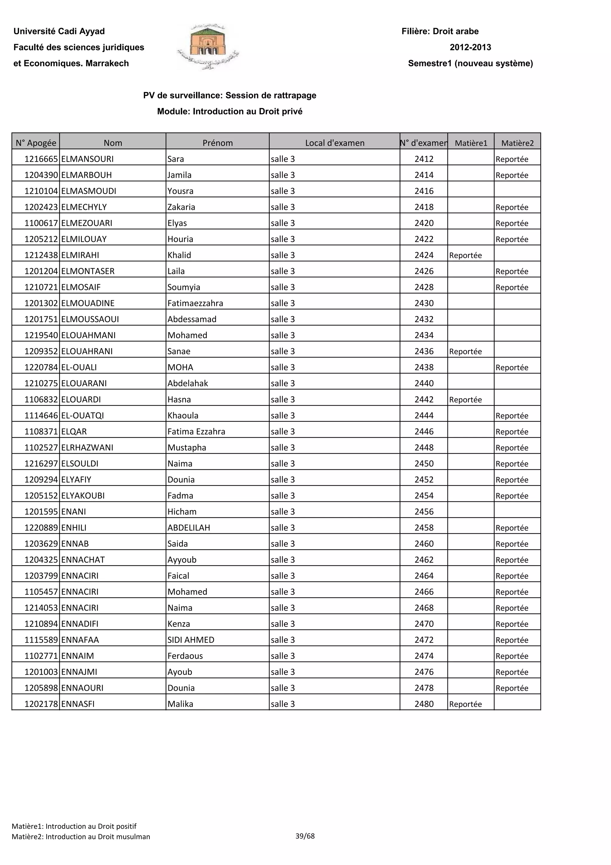
1216665 ELMANSOURI Sara salle 1 2278
1108314 ELMARIRY Nadia salle 1 2280 Reportée
1105868 ELMAROUANI Hasna salle 1 2282 Reportée
1202423 ELMECHYLY Zakaria salle 1 2284
1203229 ELMEDIANI Mohamed salle 1 2286
1202903 ELMETTYJY Ayoub salle 1 2288
1219733 ELMEZOUARI Abderrahman salle 1 2290
1201015 ELMIKH Mohamed salle 1 2292
1205212 ELMILOUAY Houria salle 1 2294
1212438 ELMIRAHI Khalid salle 1 2296
1201084 ELMONKARI Youssef salle 1 2298
1201204 ELMONTASER Laila salle 1 2300
1107100 ELMORABITE Nabil salle 1 2302 Reportée
1201302 ELMOUADINE Fatimaezzahra salle 1 2304
1204760 ELMOURABIT Hasna salle 1 2306
1216476 ELMOUSSAOUI Abderrahmane salle 1 2308
1202871 ELMOUSSAOUI Khadija salle 1 2310
1219938 ELMYSOURY Latifa salle 1 2312
1209187 ELORFI Elhoucein salle 1 2314
1111196 ELOUAFIQ Ahlam salle 1 2316 Reportée
1219540 ELOUAHMANI Mohamed salle 1 2318
1209352 ELOUAHRANI Sanae salle 1 2320
1220057 ELOUAZZAN Badre salle 1 2322
1219439 EL-QASEMY Fadoua salle 1 2324
1201387 ELQEBAYLY Mina salle 1 2326
1216297 ELSOULDI Naima salle 1 2328
1205152 ELYAKOUBI Fadma salle 1 2330
1204325 ENNACHAT Ayyoub salle 1 2332
1201395 ENNAGACH Oulaya salle 1 2334
1205255 ENNAKKACH Badr salle 1 2336
1205898 ENNAOURI Dounia salle 1 2338
1202178 ENNASFI Malika salle 1 2340
Matière1: Français
Matière2: Méthodologie du travail 23/50
Filière: Droit arabe
Faculté des sciences juridiques
et Economiques. Marrakech
N° Apogée Nom Prénom Local d'examen N° d'examen Matière1 Matière2
Université Cadi Ayyad
PV de surveillance: Session de rattrapage
Module: Langue et communication
2012-2013
Semestre1 (nouveau système)
1216936 ENNASIRY Soukaina salle 2 2342
1207714 ENNAY Touria salle 2 2344
1217503 ENNOUIDRATE MOHAMED LARBI salle 2 2346
1217494 EN-NOUIFI OUSSAMA salle 2 2348
1220095 ENNOUIGUED Omar salle 2 2350
1008528 ERRABHI SOUAD salle 2 2352 Reportée
1201330 ERRAGADI Anas salle 2 2354
1207007 ERRAHALI ABDELMAJID salle 2 2356
1208153 ERRAHILI Hassan salle 2 2358
1220382 ERRAIS Abderrazak salle 2 2360
1210168 ERRAISS Kaouthar salle 2 2362
1205242 ERRAISSI Zakaria salle 2 2364
1100990 ERRAMI Youssef salle 2 2366
1114405 ERRANNA MOHAMED ALI salle 2 2368 Reportée
1201291 ERRAYS Siham salle 2 2370
1202836 ER-REBAA Yassine salle 2 2372
1204117 ERRIDA Raja salle 2 2374
1207088 ERROUSY Aziz salle 2 2376
1207659 ERTIMATE HASSAN salle 2 2378
1205635 ESAHIB Jaouad salle 2 2380
1000715 ESALHI ASSIA salle 2 2382 Reportée
1200897 ESSABBAN Yassine salle 2 2384
1219792 ES-SABBAR YOUNES salle 2 2386
1202071 ESSABBATI Soumia salle 2 2388
1201254 ESSABHI Bouchra salle 2 2390
1220372 ESSAFI EL MOUSSAM salle 2 2392
1209012 ESSAIDI Ghizlane salle 2 2394
1201306 ESSAKHI AISSA salle 2 2396
1205222 ESSALEHY Saida salle 2 2398
1100480 ES-SAMID Chamesed-dine salle 2 2400
1108296 ES-SANGRI Tarik salle 2 2402 Reportée
1204772 ESSAOUD Btissam salle 2 2404
1205765 ESSAOUISSI Abdelkrim salle 2 2406
1219523 ESSARRAR Mouad salle 2 2408
1201363 ESSEHARI Said salle 2 2410
Matière1: Français
Matière2: Méthodologie du travail 24/50
Filière: Droit arabe
Faculté des sciences juridiques
et Economiques. Marrakech
N° Apogée Nom Prénom Local d'examen N° d'examen Matière1 Matière2
Université Cadi Ayyad
PV de surveillance: Session de rattrapage
Module: Langue et communication
2012-2013
Semestre1 (nouveau système)
1204082 ESSELLAMI Abdelghani salle 3 2412
6025464 ESSENAK ABDELLAH A SAISIR salle 3 2414
1202959 ESSERRAKH Iatimad salle 3 2416
1108465 ESSERSAR Ahmad salle 3 2418 Reportée
1202751 ES-SIAD Sara salle 3 2420
1106963 ESSIDDIQI Mounir salle 3 2422 Reportée
1213716 ES-SOHBANI Abdelouahed salle 3 2424
1201271 ESSOUAFE Younes salle 3 2426
1220015 ES-SOURNI Mohamed salle 3 2428
1209399 ESSOURNI Akram salle 3 2430
1003551 ETRAYAH ZAHRA salle 3 2432 Reportée
1201686 ET-TAHIRI ABDELMOUTTALIB salle 3 2434
1100382 ETTAIA Ghizlane salle 3 2436
1202758 ETTALBI Mohammad salle 3 2438
1203215 ETTANATY M'BAREK salle 3 2440
1210182 ET-TAOUAF Najia salle 3 2442
1103522 ET-TAOUYL Abdellatif salle 3 2444
1204788 ET-TARGHI MARIEM salle 3 2446
1201089 ET-TAROUALY Abdlhak salle 3 2448
1201323 ET-TASAFY Najat salle 3 2450
1220395 EZZAHIRE Abdellah salle 3 2452
1217347 EZZAHIRI Aatika salle 3 2454
1208606 EZZAOUI Souad salle 3 2456
1202156 EZZAOUIA Ahmed salle 3 2458
1219519 EZZIGHAM Boujemaa salle 3 2460
1204651 EZZINE Fatima salle 3 2462
1218951 EZZIYADI Ilham salle 3 2464
1209364 EZ-ZLIGUI Ali salle 3 2466
1201208 EZ-ZOUAGHI Abdes-sadik salle 3 2468
1201696 EZZROUALI Rachid salle 3 2470
Matière1: Français
Matière2: Méthodologie du travail 25/50
Filière: Droit arabe
Faculté des sciences juridiques
et Economiques. Marrakech
N° Apogée Nom Prénom Local d'examen N° d'examen Matière1 Matière2
Université Cadi Ayyad
PV de surveillance: Session de rattrapage
Module: Langue et communication
2012-2013
Semestre1 (nouveau système)
1204478 FADAD Ghizlane Amphi allal El Fassi 392
1219953 FADLANE Naima Amphi allal El Fassi 394
1104626 FAGHRI BACHIR Amphi allal El Fassi 396
1201130 FAGROUCH Soufiane Amphi allal El Fassi 398
1202126 FAHIM Mohamed Amphi allal El Fassi 400
1209026 FAHMI Said Amphi allal El Fassi 402
1220113 FAIDA Noura Amphi allal El Fassi 404
1203075 FAIK Ismail Amphi allal El Fassi 406
1204828 FAKIR Kaoutar Amphi allal El Fassi 408
1100337 FALFACH Ettalmidi Amphi allal El Fassi 410 Reportée
1204902 FARAH Manal Amphi allal El Fassi 412
1201561 FARAH Nabil Amphi allal El Fassi 414
1211191 FARAH Zahira Amphi allal El Fassi 416
1209624 FARASSI NAIMA Amphi allal El Fassi 418
1201406 FAREH Khalid Amphi allal El Fassi 420
1203288 FARES Soufyane Amphi allal El Fassi 422
1201932 FARHAT Aziz Amphi allal El Fassi 424
1208267 FARHAT Fayrouz Amphi allal El Fassi 426
1208847 FARHAT Hayat Amphi allal El Fassi 428
1205186 FARIS Hasnaa Amphi allal El Fassi 430
1207961 FATTOUKH Fatiha Amphi allal El Fassi 432
1211164 FATTOUKH Hind Amphi allal El Fassi 434
1202478 FERTAH Amal Amphi allal El Fassi 436
1205104 FIKRI Idris Amphi allal El Fassi 438
1201691 FIKRI Mouhcine Amphi allal El Fassi 440
1205037 FILALI Nadia Amphi allal El Fassi 442
1201569 FNIDOU MOHAMED Amphi allal El Fassi 444
1204278 FODIL Salah Amphi allal El Fassi 446
1204889 FOUNDOU Brahim Amphi allal El Fassi 448
1201187 FOUNTI Aouatif Amphi allal El Fassi 450
1203225 FOUTOUHI Rachid Amphi allal El Fassi 452
1201913 FRAIHATE Essaid Amphi allal El Fassi 454
1201783 GASMI Soumia Amphi allal El Fassi 456
1220052 GASMILI Mohamed Amphi allal El Fassi 458
1001257 GDIEL SOUKAINA Amphi allal El Fassi 460 Reportée
1104693 GHAFFARIE ADNANE Amphi allal El Fassi 462 Reportée
1201025 GHALIOUCHE Zouhir Amphi allal El Fassi 464
1202509 GHALMI Intissar Amphi allal El Fassi 466
1204838 GHANAMI Noura Amphi allal El Fassi 468
1203569 GHANDOUR Nizar Amphi allal El Fassi 470
1201971 GHANEM Badia Amphi allal El Fassi 472
1220296 GHANIM Abdelilah Amphi allal El Fassi 474
1219441 GHANIM Hamza Amphi allal El Fassi 476
1202927 GHARIB Abdelmoughit Amphi allal El Fassi 478
1202302 GHAZAOUAT Khadija Amphi allal El Fassi 480
1219481 GHEZALA Hicham Amphi allal El Fassi 482
1204996 GHOUFRANE Najib Amphi allal El Fassi 484
Matière1: Français
Matière2: Méthodologie du travail 26/50
Filière: Droit arabe
Faculté des sciences juridiques
et Economiques. Marrakech
N° Apogée Nom Prénom Local d'examen N° d'examen Matière1 Matière2
Université Cadi Ayyad
PV de surveillance: Session de rattrapage
Module: Langue et communication
2012-2013
Semestre1 (nouveau système)
1203813 GOULLA Achraf Amphi allal El Fassi 486
1203681 GOUMNACEF Ilyas Amphi allal El Fassi 488
1209527 GOUNAINE Btissam Amphi allal El Fassi 490
1114517 GOURBI ABDELMOUNAIM Amphi allal El Fassi 492
1204476 GOURMA Hafida Amphi allal El Fassi 494
1219632 GOUZDINE Soukaina Amphi allal El Fassi 496
1216724 GOUZMIR Elorch Amphi allal El Fassi 498
1201322 GRIDI Rachid Amphi allal El Fassi 500
1219902 GUESSAB Ahmed Amphi allal El Fassi 502
1201759 GZOUMI Merieme Amphi allal El Fassi 504
1210395 HABAL Sara Amphi allal El Fassi 506
1201174 HABBOUCH Soufia Amphi allal El Fassi 508
1102218 HABIBALLAH Soukaina Amphi allal El Fassi 510
1009606 HABIBI KHALID Amphi allal El Fassi 512 Reportée
1219511 HADDADI RACHIDA Amphi allal El Fassi 514
1202124 HADDI Maeleinine Amphi allal El Fassi 516
1202202 HADDOUCH Hichame Amphi allal El Fassi 518
1209072 HADOUCH Youssef Amphi allal El Fassi 520
1202292 HAFID Imane Amphi allal El Fassi 522
1102865 HAGCHI Fathezzhar Amphi allal El Fassi 524
1203197 HAIDA Mohammed Amphi allal El Fassi 526
1212489 HAIDANE Mohamed Yeslem Amphi allal El Fassi 528
1210042 HAIDOUS Soukaina Amphi allal El Fassi 530
1219685 HAIMOUD Hamza Amphi allal El Fassi 532
1203825 HAJMANI El Mehdi Amphi allal El Fassi 534
1111208 HAL-EL FADL Aida Amphi allal El Fassi 536 Reportée
1202196 HALIM Khalid Amphi allal El Fassi 538
1004746 HALIM MOHAMED BADR Amphi allal El Fassi 540 Reportée
1220989 HALOUS SI MOHAMED Amphi allal El Fassi 542
1202970 HALYM Noureddine Amphi allal El Fassi 544
1100422 HAMADI ABDELHAK Amphi allal El Fassi 546 Reportée
1219554 HAMAMA Sara Amphi allal El Fassi 548
1111561 HAMMA Elmustapha Amphi allal El Fassi 550 Reportée
1004727 HAMMADI MOHAMMED Amphi allal El Fassi 552 Reportée
1201146 HAMMI Mustapha Amphi allal El Fassi 554
1205226 HAMOU ESSALEK Amphi allal El Fassi 556
1205678 HAMOUDAT Mohamed Amphi allal El Fassi 558
1204915 HAMZA AOMAR Amphi allal El Fassi 560
1204036 HAND Soukaina Amphi allal El Fassi 562
1207825 HANDAOUI Oumaima Amphi allal El Fassi 564
1201258 HANI Youness Amphi allal El Fassi 566
1003411 HANNOUN BECHRAY Amphi allal El Fassi 568 Reportée
1209108 HANTOUM Hamid Amphi allal El Fassi 570
1205640 HAOUA Mohamed Amphi allal El Fassi 572
1203778 HAOUISS Jamal Amphi allal El Fassi 574
1204121 HARGUI Fatima Amphi allal El Fassi 576
1106860 HARI Mina Amphi allal El Fassi 578
Matière1: Français
Matière2: Méthodologie du travail 27/50
Filière: Droit arabe
Faculté des sciences juridiques
et Economiques. Marrakech
N° Apogée Nom Prénom Local d'examen N° d'examen Matière1 Matière2
Université Cadi Ayyad
PV de surveillance: Session de rattrapage
Module: Langue et communication
2012-2013
Semestre1 (nouveau système)
1101960 HARIM Asmaa Amphi allal El Fassi 580
Matière1: Français
Matière2: Méthodologie du travail 28/50
Filière: Droit arabe
Faculté des sciences juridiques
et Economiques. Marrakech
N° Apogée Nom Prénom Local d'examen N° d'examen Matière1 Matière2
Université Cadi Ayyad
PV de surveillance: Session de rattrapage
Module: Langue et communication
2012-2013
Semestre1 (nouveau système)
1220273 HAROUCH Khadija Amphi ibn Rochd 882
1106503 HAROUK Abdellatif Amphi ibn Rochd 884
1204820 HASIKA Imane Amphi ibn Rochd 886
1216718 HASNAOUI Iliass Amphi ibn Rochd 888
1216389 HASSANA Aicha Amphi ibn Rochd 890
1205616 HASSAR Ayoub Amphi ibn Rochd 892
1204735 HAZIM Zahra Amphi ibn Rochd 894
1201315 HCINE Karam-eddine Amphi ibn Rochd 896
1202228 HERTAL Amina Amphi ibn Rochd 898
1202260 HERTAL Loubna Amphi ibn Rochd 900
1204634 HILI Abdeltif Amphi ibn Rochd 902
1102034 HILLI Ridda Amphi ibn Rochd 904 Reportée
1209584 HIMD Khadija Amphi ibn Rochd 906
1202904 HJAJI Azzedine Amphi ibn Rochd 908
1204452 HLILOU Khalid Amphi ibn Rochd 910
1113649 HMAIMA HAMID Amphi ibn Rochd 912
1208950 HMIDOUCH Ouafa Amphi ibn Rochd 914
1203320 HMIMID ABDELAZIZ Amphi ibn Rochd 916
1203964 HMIMOU Mohamed Amphi ibn Rochd 918
1203239 HNI Mohamed Amphi ibn Rochd 920
1203651 HOUDALI Anass Amphi ibn Rochd 922
1202325 HOULMANE Mohammed Amphi ibn Rochd 924
1201180 HOUMIYA BOUCHRA Amphi ibn Rochd 926
1201762 HSSINI Ihsane Amphi ibn Rochd 928
1109281 IAAR Soufiane Amphi ibn Rochd 930
1203957 IARABEN Yassine Amphi ibn Rochd 932
1202221 IBARZAQ Youssef Amphi ibn Rochd 934
1100620 IBISSI Ismail Amphi ibn Rochd 936 Reportée
1004120 IBN ELOTHMANI SANA Amphi ibn Rochd 938 Reportée
1216716 IBN RAZZOUQ HANANE Amphi ibn Rochd 940
1202224 IBNOU ZAHER Anas Amphi ibn Rochd 942
1201356 ICHAIBI Azeddine Amphi ibn Rochd 944
1210053 ICHEREM Saida Amphi ibn Rochd 946
1104728 ICHOUANE Abdellatif Amphi ibn Rochd 948 Reportée
1201933 IDARDAR Mohamed Amphi ibn Rochd 950 Reportée
1204882 IDLAHSEN Nadia Amphi ibn Rochd 952
1202968 IDRISSI Yassine Amphi ibn Rochd 954
1005414 IDRRAZEN LAILA Amphi ibn Rochd 956 Reportée
1202201 IGARDY Abdellah Amphi ibn Rochd 958
1111041 IGDEM Aicha Amphi ibn Rochd 960 Reportée
1004102 IGHEREM MOHAMED Amphi ibn Rochd 962 Reportée
1201171 IGLISE Khadija Amphi ibn Rochd 964
1203275 IGUIDER Yahya Amphi ibn Rochd 966
1203024 IHENKI Mohamed Amphi ibn Rochd 968
1203141 IHNIKI Khalid Amphi ibn Rochd 970
1217122 IHSANE Abdelghani Amphi ibn Rochd 972
1205762 IJJIG Sana Amphi ibn Rochd 974
Matière1: Français
Matière2: Méthodologie du travail 29/50
Filière: Droit arabe
Faculté des sciences juridiques
et Economiques. Marrakech
N° Apogée Nom Prénom Local d'examen N° d'examen Matière1 Matière2
Université Cadi Ayyad
PV de surveillance: Session de rattrapage
Module: Langue et communication
2012-2013
Semestre1 (nouveau système)
1209053 IKBANE Youssef Amphi ibn Rochd 976
1003103 IKRAM YOUSSEF Amphi ibn Rochd 978 Reportée
1208845 IMASSADAN Bilal Amphi ibn Rochd 980
1206953 IMASSADAN Mustapha Amphi ibn Rochd 982
1205706 IMEDRANE Ayoub Amphi ibn Rochd 984
1109162 IMRRAYNE Khalid Amphi ibn Rochd 986
1202212 INOUS Fatima Ezzahra Amphi ibn Rochd 988
1203103 IOURAGHEN Najib Amphi ibn Rochd 990
1114527 ISMAILI ABDELHAMID Amphi ibn Rochd 992 Reportée
1008414 ISMAILI KHADIJATOU Amphi ibn Rochd 994
1201189 ISRA Yassin Amphi ibn Rochd 996
1204045 ITSMAIL RIDDOUANE Amphi ibn Rochd 998
1106850 IZALMADEN Khalid Amphi ibn Rochd 1000 Reportée
1203612 JAA Omar Amphi ibn Rochd 1002
1203666 JAAFAR M'hamed Amphi ibn Rochd 1004
1112453 JAAFARI Abdelkarim Amphi ibn Rochd 1006
1216365 JAAFARI Abdelkarim Amphi ibn Rochd 1008
1216739 JABBOUR Kamal Amphi ibn Rochd 1010
1203801 JAD YASSINE Amphi ibn Rochd 1012
1204829 JADI Mariam Amphi ibn Rochd 1014
1205139 JADIDI Abdessalam Amphi ibn Rochd 1016
1219641 JAGOUJ Jamila Amphi ibn Rochd 1018
1202192 JALAL Khadija Amphi ibn Rochd 1020
1202044 JALLOUL Aziz Amphi ibn Rochd 1022
1108074 JAMAL Ghizlane Amphi ibn Rochd 1024 Reportée
1110779 JAMIL Abdelhadi Amphi ibn Rochd 1026 Reportée
1204423 JANADI Hamza Amphi ibn Rochd 1028
1208487 JANANE Redouane Amphi ibn Rochd 1030
1202355 JANID Mohammed Amphi ibn Rochd 1032
1201709 JAOUAD Lagribi Amphi ibn Rochd 1034
1216312 JAOUHAR Adil Amphi ibn Rochd 1036
1105328 JAOUHARI Siham Amphi ibn Rochd 1038
1201132 JARFI Fadila Amphi ibn Rochd 1040
1204724 JARID Abderrazzak Amphi ibn Rochd 1042
1216675 JARIKI Soumiya Amphi ibn Rochd 1044
1202536 JDAIA Soumia Amphi ibn Rochd 1046
1108727 JIAD Hassna Amphi ibn Rochd 1048
1111293 JNAH Amine Amphi ibn Rochd 1050
1203936 JNAHI Lahcen Amphi ibn Rochd 1052
1205917 JOHAR Mohamed Amphi ibn Rochd 1054
1202507 JOMAR Abderrahim Amphi ibn Rochd 1056
1202703 JOUAOUI Narimane Amphi ibn Rochd 1058
1100424 JOUID Mohamed Amphi ibn Rochd 1060 Reportée
1203280 JOUIDI Abdelilah Amphi ibn Rochd 1062
1210431 KAABI Kaoutar Amphi ibn Rochd 1064
1104158 KABIRI Abdessalam Amphi ibn Rochd 1066
1219467 KADDOURI SALAH EDDINE Amphi ibn Rochd 1068
Matière1: Français
Matière2: Méthodologie du travail 30/50
Filière: Droit arabe
Faculté des sciences juridiques
et Economiques. Marrakech
N° Apogée Nom Prénom Local d'examen N° d'examen Matière1 Matière2
Université Cadi Ayyad
PV de surveillance: Session de rattrapage
Module: Langue et communication
2012-2013
Semestre1 (nouveau système)
1217018 KADRI Nassima Amphi ibn Rochd 1070
1205201 KAFOUNI Abdellah Amphi ibn Rochd 1072
1219758 KAHKAH MOHAMED ALI Amphi ibn Rochd 1074
1203973 KAMEL Abdelhafid Amphi ibn Rochd 1076
1210111 KAMEL Asma Amphi ibn Rochd 1078
1107979 KAMOUCHI Najib Amphi ibn Rochd 1080
1114231 KANI Khalid Amphi ibn Rochd 1082
1221024 KARA ZAKARIA Amphi ibn Rochd 1084
1203864 KARAM Imad Eddine Amphi ibn Rochd 1086
1204936 KARIFI Loubna Amphi ibn Rochd 1088
1219746 KARIM BRAHIM Amphi ibn Rochd 1090
1203633 KARIM ELMEHDI Amphi ibn Rochd 1092
1217266 KARIM SOUKAINA Amphi ibn Rochd 1094
1001210 KARROUT SOUFIANE Amphi ibn Rochd 1096
1219788 KASSIMI Aziz Amphi ibn Rochd 1098
1115756 KASSOUD MAROUAN Amphi ibn Rochd 1100
Matière1: Français
Matière2: Méthodologie du travail 31/50
Filière: Droit arabe
Faculté des sciences juridiques
et Economiques. Marrakech
N° Apogée Nom Prénom Local d'examen N° d'examen Matière1 Matière2
Université Cadi Ayyad
PV de surveillance: Session de rattrapage
Module: Langue et communication
2012-2013
Semestre1 (nouveau système)
1004470 KASTIH MOUHSSINE Amphi mohamed El Fassi 1102
1205695 KATFI Khadija Amphi mohamed El Fassi 1104
1108743 KATITI Yassine Amphi mohamed El Fassi 1106 Reportée
1109787 KEMLAOUI Khadija Amphi mohamed El Fassi 1108
1106797 KENTOUR Mohamed Amphi mohamed El Fassi 1110
1201875 KERF Soukaina Amphi mohamed El Fassi 1112
1105089 KERKOUR-ALLA Jaouad Amphi mohamed El Fassi 1114
1201207 KEZZAR Khalid Amphi mohamed El Fassi 1116
1203218 KHABAL Zakaria Amphi mohamed El Fassi 1118
1210169 KHADIR Fatima Amphi mohamed El Fassi 1120
1106632 KHADNOUCHI Abderrahim Amphi mohamed El Fassi 1122
1219857 KHAFIF Ikram Amphi mohamed El Fassi 1124
1219919 KHAL Othmane Amphi mohamed El Fassi 1126
1205193 KHALDI Abderrahim Amphi mohamed El Fassi 1128
1220381 KHALID MOHAMAD AMINE Amphi mohamed El Fassi 1130
1208152 KHALID MOUNIR Amphi mohamed El Fassi 1132
1220409 KHALIJ HAMZA Amphi mohamed El Fassi 1134
1202493 KHALILI BRAHIM Amphi mohamed El Fassi 1136
1202364 KHALIS Kamal Amphi mohamed El Fassi 1138
1210652 KHALIS Sanae Amphi mohamed El Fassi 1140
1211267 KHALLASSI Ali Amphi mohamed El Fassi 1142
1219850 KHALLOUFI AFAF Amphi mohamed El Fassi 1144
1113324 KHALLOUK Abdelaziz Amphi mohamed El Fassi 1146
1203372 KHALLOUQ Wissam Amphi mohamed El Fassi 1148
1204070 KHAMIL Sara Amphi mohamed El Fassi 1150
1005802 KHARBIBI KHAOULA Amphi mohamed El Fassi 1152
1111830 KHASMANI Siham Amphi mohamed El Fassi 1154
1201244 KHATIR Mohamed Amphi mohamed El Fassi 1156
1201771 KHATRANI Elmustapha Amphi mohamed El Fassi 1158
1202087 KHATRANI Saida Amphi mohamed El Fassi 1160
1109099 KHAYI Tariq Amphi mohamed El Fassi 1162
1103898 KHAYRAN Nour Eddine Amphi mohamed El Fassi 1164
1201178 KHERROU Khalid Amphi mohamed El Fassi 1166
1114287 KHIALI Youssef Amphi mohamed El Fassi 1168 Reportée
1203787 KHIRI Abdelkarim Amphi mohamed El Fassi 1170
1210808 KHIROU MALIKA Amphi mohamed El Fassi 1172
1202263 KHOUYA Hasnaa Amphi mohamed El Fassi 1174
1202451 KHOUYI Mounssif Amphi mohamed El Fassi 1176
1220411 KICHOU OUISSAL Amphi mohamed El Fassi 1178
1216591 KIDA MOHAMED Amphi mohamed El Fassi 1180
1104510 KIDDI Abdelmajid Amphi mohamed El Fassi 1182
1205093 KILALI Ahmed Amphi mohamed El Fassi 1184
1203238 KMACH Hassan Amphi mohamed El Fassi 1186
1203878 KORRAY Naoual Amphi mohamed El Fassi 1188
1103277 KOUADSSI MOHAMED Amphi mohamed El Fassi 1190 Reportée
1204257 KOUBAIL Abdsamad Amphi mohamed El Fassi 1192
1201151 KOUIDER Latifa Amphi mohamed El Fassi 1194
Matière1: Français
Matière2: Méthodologie du travail 32/50
Filière: Droit arabe
Faculté des sciences juridiques
et Economiques. Marrakech
N° Apogée Nom Prénom Local d'examen N° d'examen Matière1 Matière2
Université Cadi Ayyad
PV de surveillance: Session de rattrapage
Module: Langue et communication
2012-2013
Semestre1 (nouveau système)
1201092 KOUISSI Sabrine Amphi mohamed El Fassi 1196
1104673 KOUISTA Nabil Amphi mohamed El Fassi 1198
1203722 KOUJOUTE Hicham Amphi mohamed El Fassi 1200
1202147 KOURD SARA Amphi mohamed El Fassi 1202
1210892 KOURKACH Abderrahim Amphi mohamed El Fassi 1204
1105901 KRATES Mehdi El Khir Amphi mohamed El Fassi 1206
1202298 LAAGUIDI Soufyane Amphi mohamed El Fassi 1208
1208933 LAAJIJIL Youssef Amphi mohamed El Fassi 1210
1220166 LAAMMARI Majdouline Amphi mohamed El Fassi 1212
1106918 LAANAD Elhabib Amphi mohamed El Fassi 1214
1219797 LAANANI Abdekhaq Amphi mohamed El Fassi 1216
1219839 LAANAYA Zineb Amphi mohamed El Fassi 1218
1202377 LAAOUAOUCHA Yassine Amphi mohamed El Fassi 1220
1111111 LAAOUDI Khadija Amphi mohamed El Fassi 1222
1205051 LAARAGUE Moustapha Amphi mohamed El Fassi 1224
1202654 LAARAICHY Fatima Amphi mohamed El Fassi 1226
1108754 LAAROUD Mariam Amphi mohamed El Fassi 1228
1201956 LAAROUSSI M'hammed Amphi mohamed El Fassi 1230
1201138 LAASSARI Amal Amphi mohamed El Fassi 1232
1101169 LAATIF Rabie Amphi mohamed El Fassi 1234 Reportée
1111113 LABANE Youssef Amphi mohamed El Fassi 1236
1208813 LABHIH Khalid Amphi mohamed El Fassi 1238
1201988 LABIAD Fatima Zahra Amphi mohamed El Fassi 1240
1201154 LABIB Rida Amphi mohamed El Fassi 1242
1201217 LABRADAAI Mohamed Amphi mohamed El Fassi 1244
1209135 LABSIR Abdellah Amphi mohamed El Fassi 1246
1112735 LABYAD Adil Amphi mohamed El Fassi 1248
1104105 LABYAD Fatima-zahra Amphi mohamed El Fassi 1250
1201928 LABZIOUI Safa Amphi mohamed El Fassi 1252
1114487 LACHGAR HAMZA Amphi mohamed El Fassi 1254
1108725 LACHGAR Laila Amphi mohamed El Fassi 1256
9292948 LACHGAR RADOUAN Amphi mohamed El Fassi 1258 Reportée
1104907 LACHHAB BTISAM Amphi mohamed El Fassi 1260
1209971 LACHHEB AFAF Amphi mohamed El Fassi 1262
1220949 LADO HELLEN BULLEN Amphi mohamed El Fassi 1264
1211170 LAFDALI Imane Amphi mohamed El Fassi 1266
1203649 LAFKIHI Hayat Amphi mohamed El Fassi 1268
1219562 LAFNASSI Houria Amphi mohamed El Fassi 1270
1219397 LAFRIHI MAJDA Amphi mohamed El Fassi 1272
1209098 LAFSI Lotfi Amphi mohamed El Fassi 1274
1219452 LAGDIH MARIAM Amphi mohamed El Fassi 1276
1105880 LAGNAOUI Youssef Amphi mohamed El Fassi 1278 Reportée
1202965 LAGRAMATE Mouatassim Amphi mohamed El Fassi 1280
1210320 LAGRANE Hanane Amphi mohamed El Fassi 1282
1203356 LAGRARI Khalid Amphi mohamed El Fassi 1284
1004851 LAGSIR RACHID Amphi mohamed El Fassi 1286 Reportée
1203177 LAHDILI Abdelftah Amphi mohamed El Fassi 1288
Matière1: Français
Matière2: Méthodologie du travail 33/50
Filière: Droit arabe
Faculté des sciences juridiques
et Economiques. Marrakech
N° Apogée Nom Prénom Local d'examen N° d'examen Matière1 Matière2
Université Cadi Ayyad
PV de surveillance: Session de rattrapage
Module: Langue et communication
2012-2013
Semestre1 (nouveau système)
1103863 LAHDILI Radi Amphi mohamed El Fassi 1290
1114324 LAHDIMI FATIMA EZZAHRA Amphi mohamed El Fassi 1292
1102830 LAHFID Abderrahim Amphi mohamed El Fassi 1294
1207083 LAHJOUJY Essaadia Amphi mohamed El Fassi 1296
1207072 LAHJOUJY Hicham Amphi mohamed El Fassi 1298
1205205 LAHKIM Rachid Amphi mohamed El Fassi 1300
1109611 LAHLOU Aziz Amphi mohamed El Fassi 1302
1205673 LAHMADI Abd Ellah Amphi mohamed El Fassi 1304
1219690 LAHMAM Rachid Amphi mohamed El Fassi 1306
1104242 LAHMAR Abdelfattah Amphi mohamed El Fassi 1308
1114577 LAHMDI ABDELGHAFOUR Amphi mohamed El Fassi 1310
1209842 LAHMIDI Semai Amphi mohamed El Fassi 1312
1110517 LAHNAOUI Khaireddine Amphi mohamed El Fassi 1314
1204037 LAHNAOUI Mohamed Amine Amphi mohamed El Fassi 1316
1219578 LAHNINE Abdessamad Amphi mohamed El Fassi 1318
1003992 LAHNITI MOHAMED Amphi mohamed El Fassi 1320 Reportée
1205235 LAHOUI Amina Amphi mohamed El Fassi 1322
1201789 LAHRACH Elmustapha Amphi mohamed El Fassi 1324
1101140 LAHRACH Ilham Amphi mohamed El Fassi 1326
1201938 LAHSINI EL MUSTAPHA Amphi mohamed El Fassi 1328
1216785 LAHYANE AZDINE Amphi mohamed El Fassi 1330
1202268 LAKBIR Foudi Amphi mohamed El Fassi 1332
1219402 LAKHAL EL MUSTAPHA Amphi mohamed El Fassi 1334
1104062 LAKHLIFI Abdelilah Amphi mohamed El Fassi 1336
1002853 LAKHLIGUI MINATOU Amphi mohamed El Fassi 1338
1104325 LAKHOUIL Mohamed Amphi mohamed El Fassi 1340
1100799 LAKLAI Tarik Amphi mohamed El Fassi 1342
1220948 LAKO ARNES FAULO Amphi mohamed El Fassi 1344
1209692 LAKOUAS Mohamed Amphi mohamed El Fassi 1346
1203002 LAKRAD Youssef Amphi mohamed El Fassi 1348
1003912 LAKRAICHI MARIAM Amphi mohamed El Fassi 1350 Reportée
1111282 LAKRIMI Youssef Amphi mohamed El Fassi 1352
1107348 LAKSIBI Soukaina Amphi mohamed El Fassi 1354 Reportée
1204464 LAKTIB Majda Amphi mohamed El Fassi 1356
1101355 LALAOUI CHARIF Kaltoum Amphi mohamed El Fassi 1358
1204931 LAMCHANDAG Hassan Amphi mohamed El Fassi 1360
1201754 LAMFNEN Bouchra Amphi mohamed El Fassi 1362
1106127 LAMINE Touria Amphi mohamed El Fassi 1364
1205116 LAMINI Fatima Zahra Amphi mohamed El Fassi 1366
1202765 LAMKAIDDEM Hamza Amphi mohamed El Fassi 1368
1201011 LAMSAIRHRI Mustapha Amphi mohamed El Fassi 1370
1204981 LAMSSATTEF Zohra Amphi mohamed El Fassi 1372
1202942 LANSARI Halima Amphi mohamed El Fassi 1374
1202643 LANSARI Ismail Amphi mohamed El Fassi 1376
1209060 LANTIR Jaouad Amphi mohamed El Fassi 1378
1202487 LAOUIBI Badia Amphi mohamed El Fassi 1380
1204446 LAOUID M'bark Amphi mohamed El Fassi 1382
Matière1: Français
Matière2: Méthodologie du travail 34/50
Filière: Droit arabe
Faculté des sciences juridiques
et Economiques. Marrakech
N° Apogée Nom Prénom Local d'examen N° d'examen Matière1 Matière2
Université Cadi Ayyad
PV de surveillance: Session de rattrapage
Module: Langue et communication
2012-2013
Semestre1 (nouveau système)
1204871 LAQDADRA BADREDDINE Amphi mohamed El Fassi 1384
1114561 LAQTIB SAID Amphi mohamed El Fassi 1386
1100760 LARAICHI AMAL Amphi mohamed El Fassi 1388
1210114 LARCHE Sana Amphi mohamed El Fassi 1390
Matière1: Français
Matière2: Méthodologie du travail 35/50
Filière: Droit arabe
Faculté des sciences juridiques
et Economiques. Marrakech
N° Apogée Nom Prénom Local d'examen N° d'examen Matière1 Matière2
Université Cadi Ayyad
PV de surveillance: Session de rattrapage
Module: Langue et communication
2012-2013
Semestre1 (nouveau système)
1114281 LARHRIB SAIDA Amphi A 1392
1201622 LARHRISSI Laila Amphi A 1394
1102265 LASBAHANI Iman Amphi A 1396
1219984 LASSAL SAID Amphi A 1398
1203217 LASSLAA MOHAMED Amphi A 1400
1204358 LATIFI Abd El Ali Amphi A 1402
1202456 LATRACHE Halima Amphi A 1404
1202006 LAYYADI Lamyae Amphi A 1406
1202568 LBECRAOUI Ibtissam Amphi A 1408
1219812 LEDRHEM Mohamed Amphi A 1410
1203580 LEMRHARI SALAH-EDDINE Amphi A 1412
1211194 LGHAZOUANI Houria Amphi A 1414
1213788 LIDRI Fatima Zahra Amphi A 1416
1201186 LIHMAD Ahmed Amphi A 1418
1204421 LINZALI Abdeljalil Amphi A 1420
1220697 LMOUDEN Samiha Amphi A 1422
1202660 LOMARI Youssef Amphi A 1424
1204381 LOUHAIDI Jamila Amphi A 1426
1111072 LOUIGT Amal Amphi A 1428 Reportée
1200289 LOULOUD Kamal Amphi A 1430
1203125 LOUMIKI Saida Amphi A 1432
1204802 LOUQMANE Houria Amphi A 1434
1001329 LOURIDI ZAHIRA Amphi A 1436 Reportée
1209538 LYAZIDI Fouad Amphi A 1438
Matière1: Français
Matière2: Méthodologie du travail 36/50
Filière: Droit arabe
Faculté des sciences juridiques
et Economiques. Marrakech
N° Apogée Nom Prénom Local d'examen N° d'examen Matière1 Matière2
Université Cadi Ayyad
PV de surveillance: Session de rattrapage
Module: Langue et communication
2012-2013
Semestre1 (nouveau système)
1202870 MAA Oussama Amphi Cadi Ayyad 2
1111534 MAACH Khadija Amphi Cadi Ayyad 4 Reportée
1202222 MAASSOU Hafsa Amphi Cadi Ayyad 6
1107883 MABCHOUR Abderrahim Amphi Cadi Ayyad 8 Reportée
1106839 MABCHOUR Noureddine Amphi Cadi Ayyad 10 Reportée
1201157 MABROUK Imane Amphi Cadi Ayyad 12
1204048 MABROUK Lahoucine Amphi Cadi Ayyad 14
1219497 MACHIT ABDELILAH Amphi Cadi Ayyad 16
1204705 MACHMACH Brahim Amphi Cadi Ayyad 18
7007495 MACHMOUMI ISMAIL Amphi Cadi Ayyad 20
1203170 MADI Abderrahim Amphi Cadi Ayyad 22
1203888 MADIH Anass Amphi Cadi Ayyad 24
1204837 MADIL Nadia Amphi Cadi Ayyad 26
1209031 MAGNA Elmahdi Amphi Cadi Ayyad 28
1202482 MAGRI ASSIYA Amphi Cadi Ayyad 30
1219939 MAHD Merieme Amphi Cadi Ayyad 32
1203974 MAHFOUD Abdelouahab Amphi Cadi Ayyad 34
1005306 MAHFOUD AZIZ Amphi Cadi Ayyad 36 Reportée
1203791 MAHFOUD Fatima Ezzahra Amphi Cadi Ayyad 38
1203883 MAHILI Adil Amphi Cadi Ayyad 40
1200978 MAHMOUD Lahcen Amphi Cadi Ayyad 42
1204428 MAKHLOUF Khadija Amphi Cadi Ayyad 44
1201560 MAKHZAN Khadija Amphi Cadi Ayyad 46
1203115 MAKROUM Tarik Amphi Cadi Ayyad 48
1220555 MALAININE BABBA Amphi Cadi Ayyad 50
1111566 MALAOUI Abdelhakim Amphi Cadi Ayyad 52 Reportée
1209540 MALDOUFI Loubna Amphi Cadi Ayyad 54
1219806 MALIKA Nait Khouya Mouh Amphi Cadi Ayyad 56
1204003 MALKOUN Aziza Amphi Cadi Ayyad 58
1202389 MALLOUKI Mustapha Amphi Cadi Ayyad 60
1208326 MAMAS Imane Amphi Cadi Ayyad 62
1208135 MAMMAS Lahsen Amphi Cadi Ayyad 64
1220902 MANSOURI SALIMA Amphi Cadi Ayyad 66
1103871 MAQIOU Youness Amphi Cadi Ayyad 68
1203719 MARGOUL Redouane Amphi Cadi Ayyad 70
1208778 MARIAM Kairoumi Amphi Cadi Ayyad 72
1201227 MARIAM Rguibi Amphi Cadi Ayyad 74
1205244 MARIAM Sabil Amphi Cadi Ayyad 76
1218995 MARICHANE Mouna Amphi Cadi Ayyad 78
1202619 MARZAK Taha Amphi Cadi Ayyad 80
1206920 MASRAT Soukaina Amphi Cadi Ayyad 82
1210179 MAYYAH Abdelhanine Amphi Cadi Ayyad 84
1220688 MAZIOUD HIND Amphi Cadi Ayyad 86
1219723 MAZNAUI Hicham Amphi Cadi Ayyad 88
1202360 MAZOUZ Dounia Amphi Cadi Ayyad 90
1202111 MAZOUZ Ouafa Amphi Cadi Ayyad 92
1111004 MEFTAH-ELKHAIR Abdelilah Amphi Cadi Ayyad 94
Matière1: Français
Matière2: Méthodologie du travail 37/50
Filière: Droit arabe
Faculté des sciences juridiques
et Economiques. Marrakech
N° Apogée Nom Prénom Local d'examen N° d'examen Matière1 Matière2
Université Cadi Ayyad
PV de surveillance: Session de rattrapage
Module: Langue et communication
2012-2013
Semestre1 (nouveau système)
1219785 MEJAHID Hamid Amphi Cadi Ayyad 96
1205160 MEKRAMI MOHAMMED Amphi Cadi Ayyad 98
1201653 MELLAL Dalal Amphi Cadi Ayyad 100
1205724 MENTAGUI Chaimaa Amphi Cadi Ayyad 102
1204617 MERZOUG Mounia Amphi Cadi Ayyad 104
1106721 MESKA Salek Amphi Cadi Ayyad 106 Reportée
1202917 MESKAOUI Nisrine Amphi Cadi Ayyad 108
1111601 MESKINE LAILA Amphi Cadi Ayyad 110
1100904 MEZENE OMAR Amphi Cadi Ayyad 112
1202319 M'GHIMIMA ABBA CHEIKH Amphi Cadi Ayyad 114
1209897 M'GHIZZOU BADREDDINE Amphi Cadi Ayyad 116
1205106 MHAH Laaziza Amphi Cadi Ayyad 118
1211315 MIFTAH EL KHEIR Fouad Amphi Cadi Ayyad 120
1210891 MIMI Aziza Amphi Cadi Ayyad 122
1202559 MIMI Mohamed Amphi Cadi Ayyad 124
9293833 MIMIDE MARWANE Amphi Cadi Ayyad 126 Reportée
1210253 MIMOUN Karima Amphi Cadi Ayyad 128
1202300 MIRICH Ghizlan Amphi Cadi Ayyad 130
1201266 MITAR MONA Amphi Cadi Ayyad 132
1004830 MODKHAM HAMZA Amphi Cadi Ayyad 134 Reportée
1209076 MOHA Nabila Amphi Cadi Ayyad 136
1211211 MOHA ABDELLAH Khalid Amphi Cadi Ayyad 138
1201927 MOHAIMAI Redouane Amphi Cadi Ayyad 140
1219827 MOHAMED Oamer Amphi Cadi Ayyad 142
1203326 MOHAMED Sakine Amphi Cadi Ayyad 144
1210478 MOHSSINE NOURA Amphi Cadi Ayyad 146
1109385 MOJAHID Nora Amphi Cadi Ayyad 148
1204141 MOKHLIS Ahmed Amphi Cadi Ayyad 150
1209025 MONTASSIR Ahmed Amphi Cadi Ayyad 152
1205082 MORABBI AL MAMOUNE Amphi Cadi Ayyad 154
1202920 MORO Farid Amphi Cadi Ayyad 156
1205024 MOSLIH Amine Amphi Cadi Ayyad 158
1202872 MOSLIH Dounia Amphi Cadi Ayyad 160
1204782 MOSSAOUI Hanan Amphi Cadi Ayyad 162
1206358 MOTALIB Redouane Amphi Cadi Ayyad 164
1207741 MOUAKITI Mebarek Amphi Cadi Ayyad 166
1004538 MOUALIMI NOZHA Amphi Cadi Ayyad 168 Reportée
1203188 MOUDDEN Youness Amphi Cadi Ayyad 170
1202757 MOUDNIB Youssef Amphi Cadi Ayyad 172
1106204 MOUFTAH Moulika Amphi Cadi Ayyad 174
1205800 MOUGHAMI Lamia Amphi Cadi Ayyad 176
1201383 MOUGHFIR Khadija Amphi Cadi Ayyad 178
1203227 MOUHCINE Khadija Amphi Cadi Ayyad 180
1109561 MOUHDACH Jamal Amphi Cadi Ayyad 182 Reportée
1115705 MOUHDACH Nourdine Amphi Cadi Ayyad 184 Reportée
1219395 MOUHTACH YOUNES Amphi Cadi Ayyad 186
1204091 MOUISSEM Safa Amphi Cadi Ayyad 188
Matière1: Français
Matière2: Méthodologie du travail 38/50
Filière: Droit arabe
Faculté des sciences juridiques
et Economiques. Marrakech
N° Apogée Nom Prénom Local d'examen N° d'examen Matière1 Matière2
Université Cadi Ayyad
PV de surveillance: Session de rattrapage
Module: Langue et communication
2012-2013
Semestre1 (nouveau système)
1202841 MOUJAN Wasim Amphi Cadi Ayyad 190
1210580 MOUJID Fatima Ezzahra Amphi Cadi Ayyad 192
1210783 MOUKZINE Ayoub Amphi Cadi Ayyad 194
1113602 MOULOUD Zineb Amphi Cadi Ayyad 196
1210927 MOUMEN Fatima Amphi Cadi Ayyad 198
1204568 MOUMSSIK Fatima Amphi Cadi Ayyad 200
Matière1: Français
Matière2: Méthodologie du travail 39/50
Filière: Droit arabe
Faculté des sciences juridiques
et Economiques. Marrakech
N° Apogée Nom Prénom Local d'examen N° d'examen Matière1 Matière2
Université Cadi Ayyad
PV de surveillance: Session de rattrapage
Module: Langue et communication
2012-2013
Semestre1 (nouveau système)
1202225 MOUNTASSER Mohamed Amphi Abou El Abbass Essebti 202
1203856 MOUNTIR Mohammed Amphi Abou El Abbass Essebti 204
1217519 MOUNYR ABDELALI Amphi Abou El Abbass Essebti 206
1202282 MOURABIT Abdelhaq Amphi Abou El Abbass Essebti 208
1203176 MOURABIT Abdelmoula Amphi Abou El Abbass Essebti 210
1202327 MOURABIT KHALIDE Amphi Abou El Abbass Essebti 212
1000455 MOURIH CHAIMA Amphi Abou El Abbass Essebti 214
1219666 MOURITANE KHAWLA Amphi Abou El Abbass Essebti 216 Reportée
1203207 MOUSSAHIM Youssef Amphi Abou El Abbass Essebti 218
1205113 MOUSSAYF Fouzia Amphi Abou El Abbass Essebti 220
1107163 MOUSSAYIH Rabab Amphi Abou El Abbass Essebti 222
1210300 MOUSTAID Hajar Amphi Abou El Abbass Essebti 224
1201729 MOUSTAID Soufiane Amphi Abou El Abbass Essebti 226
1201566 MOUSTALI Soukayna Amphi Abou El Abbass Essebti 228
1202110 MOUSTAQIM Youssef Amphi Abou El Abbass Essebti 230
1202356 MOUTCHOU Oualid Amphi Abou El Abbass Essebti 232
1219828 MOUTIA Fatima Ezzahra Amphi Abou El Abbass Essebti 234
1219427 MOUTTAKI Mohamed-amine Amphi Abou El Abbass Essebti 236
1208811 MRIFEK Mohamed Amine Amphi Abou El Abbass Essebti 238
1205676 MRIOUDAT Bouchra Amphi Abou El Abbass Essebti 240
1219665 M'TAR MOHAMMED Amphi Abou El Abbass Essebti 242
1210099 MTOUGGUI Hiba Amphi Abou El Abbass Essebti 244
1216300 MUSTAPHA Ait Zaouiat Amphi Abou El Abbass Essebti 246
1110986 MYI Samy Amphi Abou El Abbass Essebti 248
1108294 MZOUER Abdelmajid Amphi Abou El Abbass Essebti 250
1202976 NAANAA MAROUANE Amphi Abou El Abbass Essebti 252
1202859 NACHAT Youssef Amphi Abou El Abbass Essebti 254
1106695 NACHITE Mohamed Amphi Abou El Abbass Essebti 256 Reportée
1203769 NACIRI ANASS Amphi Abou El Abbass Essebti 258
1203036 NACIRI Omar Amphi Abou El Abbass Essebti 260
1205844 NACIRI Youssef Amphi Abou El Abbass Essebti 262
1109591 NADIM Souad Amphi Abou El Abbass Essebti 264 Reportée
1201026 NAFKHOU Hicham Amphi Abou El Abbass Essebti 266
1220339 NAGUI FATIMA ZOHRA Amphi Abou El Abbass Essebti 268
1101208 NAHI Khadija Amphi Abou El Abbass Essebti 270 Reportée
1203954 NAHI Younes Amphi Abou El Abbass Essebti 272
1205564 NAHKAMI ISMAIL Amphi Abou El Abbass Essebti 274
1219816 NAIM Abdelali Amphi Abou El Abbass Essebti 276
1204971 NAIM Meryem Amphi Abou El Abbass Essebti 278
1201792 NAINIA Ibtissam Amphi Abou El Abbass Essebti 280
1115600 NAIT MALEK Laila Amphi Abou El Abbass Essebti 282
1204653 NAJAY El Mustapha Amphi Abou El Abbass Essebti 284
1203152 NAJI Hafid Amphi Abou El Abbass Essebti 286
1203875 NAJI Lahcen Amphi Abou El Abbass Essebti 288
1113686 NAJI RACHIDA Amphi Abou El Abbass Essebti 290
1102177 NAJI Younes Amphi Abou El Abbass Essebti 292
1108014 NAJIBI Amina Amphi Abou El Abbass Essebti 294
Matière1: Français
Matière2: Méthodologie du travail 40/50
Filière: Droit arabe
Faculté des sciences juridiques
et Economiques. Marrakech
N° Apogée Nom Prénom Local d'examen N° d'examen Matière1 Matière2
Université Cadi Ayyad
PV de surveillance: Session de rattrapage
Module: Langue et communication
2012-2013
Semestre1 (nouveau système)
1204990 NAJID Nabil Amphi Abou El Abbass Essebti 296
1207093 NAJIH Abdellatif Amphi Abou El Abbass Essebti 298
1205069 NAOUI Khalid Amphi Abou El Abbass Essebti 300
1202727 NASOUH Fatima Zahra Amphi Abou El Abbass Essebti 302
1219728 NASSER Meriam Amphi Abou El Abbass Essebti 304
6068567 NASSI EL HASSAN Amphi Abou El Abbass Essebti 306 Reportée
1201744 NASSIF Jamila Amphi Abou El Abbass Essebti 308
1209312 NASSIRI Mohamed Amphi Abou El Abbass Essebti 310
1220103 NATOUR Mohamed Amphi Abou El Abbass Essebti 312
1219450 NAZHI SOUKAINA Amphi Abou El Abbass Essebti 314
1201599 NAZIH El Ghalia Amphi Abou El Abbass Essebti 316
1219980 NAZIH HASNA Amphi Abou El Abbass Essebti 318
1219459 NEBBAG HICHAM Amphi Abou El Abbass Essebti 320
1105947 NEBBAG Hicham Amphi Abou El Abbass Essebti 322
1201250 NEGUITI Youssef Amphi Abou El Abbass Essebti 324
1217414 NID BALLA NADIA Amphi Abou El Abbass Essebti 326
1204911 NITIFI Manal Amphi Abou El Abbass Essebti 328
1201148 NKIRA Nezha Amphi Abou El Abbass Essebti 330
1205603 N'MILI Yassine Amphi Abou El Abbass Essebti 332
1208862 N'MIRICH Youssef Amphi Abou El Abbass Essebti 334
1110634 NODARI MOHAMMED Amphi Abou El Abbass Essebti 336
1217319 NOKRA LOUBNA Amphi Abou El Abbass Essebti 338
1105733 NOUAMANI Yousra Amphi Abou El Abbass Essebti 340 Reportée
1201735 NOUBOUGH Youness Amphi Abou El Abbass Essebti 342
1208806 NOUHI Younes Amphi Abou El Abbass Essebti 344
1100361 NOUKTI Amina Amphi Abou El Abbass Essebti 346
1210965 OBAHA Mohamed Amphi Abou El Abbass Essebti 348
1201782 OBBAD Abderrahim Amphi Abou El Abbass Essebti 350
1219817 OBIBA Abdel-ilah Amphi Abou El Abbass Essebti 352
1204154 OIKHMAJJA Abdelmonim Amphi Abou El Abbass Essebti 354
1110559 OKAB Ayoub Amphi Abou El Abbass Essebti 356
1204749 OKDA Mohammed Amphi Abou El Abbass Essebti 358
1202998 OMARI Soufiane Amphi Abou El Abbass Essebti 360
1205049 OMOUIH Ayoub Amphi Abou El Abbass Essebti 362
1205206 OMRANI Hamza Amphi Abou El Abbass Essebti 364
1109517 OUACHOU Mohamed Amphi Abou El Abbass Essebti 366
1202366 OUACHOU Mohamed Amphi Abou El Abbass Essebti 368
1203953 OUACHT Saber Amphi Abou El Abbass Essebti 370
1104937 OUADATE Salaheddine Amphi Abou El Abbass Essebti 372
1206292 OUAGAG Khadija Amphi Abou El Abbass Essebti 374
1218892 OUAGUIDA Nadia Amphi Abou El Abbass Essebti 376
1109627 OUAHI Ouidad Amphi Abou El Abbass Essebti 378 Reportée
1101380 OUAKRIM Ayoub Amphi Abou El Abbass Essebti 380 Reportée
1219286 OUAKRIM Mohamed Amphi Abou El Abbass Essebti 382
1209296 OUANZIGUI ABDELHAMID Amphi Abou El Abbass Essebti 384
1107547 OUARBIA SAMIRA Amphi Abou El Abbass Essebti 386
1219620 OUARDI Hasnaa Amphi Abou El Abbass Essebti 388
Matière1: Français
Matière2: Méthodologie du travail 41/50
Filière: Droit arabe
Faculté des sciences juridiques
et Economiques. Marrakech
N° Apogée Nom Prénom Local d'examen N° d'examen Matière1 Matière2
Université Cadi Ayyad
PV de surveillance: Session de rattrapage
Module: Langue et communication
2012-2013
Semestre1 (nouveau système)
1005503 OUARTAS MOHCINE Amphi Abou El Abbass Essebti 390 Reportée
Matière1: Français
Matière2: Méthodologie du travail 42/50
Filière: Droit arabe
Faculté des sciences juridiques
et Economiques. Marrakech
N° Apogée Nom Prénom Local d'examen N° d'examen Matière1 Matière2
Université Cadi Ayyad
PV de surveillance: Session de rattrapage
Module: Langue et communication
2012-2013
Semestre1 (nouveau système)
1208671 OUASKAR Raquia Amphi Imam Malik 582 Reportée
1210950 OUASSI Mohamed Amphi Imam Malik 584
1219704 OUASSIFA HASNAE Amphi Imam Malik 586
1210528 OUBAHA Abdelfatah Amphi Imam Malik 588
1203817 OUBAKKALA Aziz Amphi Imam Malik 590
1207641 OUBALAID Saida Amphi Imam Malik 592
1205243 OUBALLA Mounir Amphi Imam Malik 594
1206198 OUBIDA Imane Amphi Imam Malik 596
1203124 OUBLA Mustapha Amphi Imam Malik 598
1203196 OUBLAL Mohamed Amphi Imam Malik 600
1203092 OUBOKSSIM Rachida Amphi Imam Malik 602
1205021 OUBOUHSS Ilham Amphi Imam Malik 604
1210656 OUBOUHSS Ilhame Amphi Imam Malik 606
1202275 OUBRAM Jaouad Amphi Imam Malik 608
1103851 OUCHEMHOU MOHAMED Amphi Imam Malik 610
1210877 OUELD BOUDLAL Bouchra Amphi Imam Malik 612
1203272 OUGAZDIR YASSINE Amphi Imam Malik 614
1201063 OUHADDOU Hanane Amphi Imam Malik 616
1203727 OUHMAD ABDELLAH Amphi Imam Malik 618
1000529 OUHOUGUA ABDELLAH Amphi Imam Malik 620
1201056 OUIZRAG Charifa Amphi Imam Malik 622
1211260 OUJAA Mohamed Amphi Imam Malik 624
1201711 OUJAA Said Amphi Imam Malik 626
1204907 OUKEMMOU SOUKAINA Amphi Imam Malik 628
1210444 OUKHOUYA Hanane Amphi Imam Malik 630
1205231 OUKHOUYA Youssef Amphi Imam Malik 632
1203592 OULAD SALH Mohamed Amphi Imam Malik 634
1220929 OULADBADDA ZAKARIA Amphi Imam Malik 636
1203549 OULAIKA Issmail Amphi Imam Malik 638
1205749 OULAMINE Khadija Amphi Imam Malik 640
1218840 OULASSRI Aicha Amphi Imam Malik 642
1006315 OULD ATTOU DOUNIA Amphi Imam Malik 644 Reportée
1101709 OULED LAMALEM ALI Mohamed Amphi Imam Malik 646
1205805 OULFARSI Youssef Amphi Imam Malik 648
1106776 OULHANOU Latifa Amphi Imam Malik 650
1107982 OULIDI Es-said Amphi Imam Malik 652
1202778 OUMAHRIR Noura Amphi Imam Malik 654
1204909 OUMALOUL Ahmed Amphi Imam Malik 656
1209227 OUMESSAOUD Mouhamed Amphi Imam Malik 658
1203157 OUMHAMED Ahmed Amphi Imam Malik 660
1203868 OUMNIATABIB Abderrahman Amphi Imam Malik 662
1106993 OURBAA Ahmed Amphi Imam Malik 664 Reportée
1212495 OUSSAKT Youssef Amphi Imam Malik 666
1203628 OUSSAMA Aimad Amphi Imam Malik 668
1205814 OUSSIDI Ahmad Amphi Imam Malik 670
1208707 OUTAIB ESSADIAA Amphi Imam Malik 672
1114162 OUTALATE MOURAD Amphi Imam Malik 674 Reportée
Matière1: Français
Matière2: Méthodologie du travail 43/50
Filière: Droit arabe
Faculté des sciences juridiques
et Economiques. Marrakech
N° Apogée Nom Prénom Local d'examen N° d'examen Matière1 Matière2
Université Cadi Ayyad
PV de surveillance: Session de rattrapage
Module: Langue et communication
2012-2013
Semestre1 (nouveau système)
1201332 OUTAZZARINE Youssef Amphi Imam Malik 676
1220180 OUZANE Latifa Amphi Imam Malik 678
1219404 OYAHYA ELHOSSINE Amphi Imam Malik 680
1205583 QABLI Abdelhadi Amphi Imam Malik 682
1108600 QUINCHANI Abdelillah Amphi Imam Malik 684
1201617 RABBOUH Essaid Amphi Imam Malik 686
1201394 RABEH Hicham Amphi Imam Malik 688
1204939 RABICHI Kamal Amphi Imam Malik 690
1102399 RABIE Youssef Amphi Imam Malik 692
1219411 RACHADI BENNECER Amphi Imam Malik 694
1202276 RACHDAN Faissel Amphi Imam Malik 696
1204180 RACHID Ayada Amphi Imam Malik 698
1104379 RACHID Khadija Amphi Imam Malik 700
1202332 RACHYDY Ali Amphi Imam Malik 702
1218799 RADAN HASSAN Amphi Imam Malik 704
1220924 RADOUANE RACHID Amphi Imam Malik 706
1109583 RAFIA El Mehdi Amphi Imam Malik 708 Reportée
1201598 RAFIK Malik Amphi Imam Malik 710
1219875 RAFIQ Sakina Amphi Imam Malik 712
1210579 RAFYA Wafa Amphi Imam Malik 714
1114544 RAHILI ABDALLAH Amphi Imam Malik 716 Reportée
1204363 RAHMAT KHADIJA Amphi Imam Malik 718
1102937 RAHOUI Hasnaa Amphi Imam Malik 720
1107719 RAMI Abdelmonaime Amphi Imam Malik 722 Reportée
1205094 RAMI El Mokhtar Amphi Imam Malik 724
1201016 RAMI Soufiane Amphi Imam Malik 726
1201140 RAZZOUQ Omar Amphi Imam Malik 728
1203046 RCHID Mustapha Amphi Imam Malik 730
1216338 RGUIBI Abdelouahed Amphi Imam Malik 732
1204397 RGUIBI Mohamed Amphi Imam Malik 734
1203060 RGUIOUEG Chama Amphi Imam Malik 736
1103782 RHAZZAIFOU Bouchra Amphi Imam Malik 738
1203219 RHENJA Mohamed Amphi Imam Malik 740
1101580 RHIBA Salma Amphi Imam Malik 742
1220418 RIAD Abdelghani Amphi Imam Malik 744
1205687 RIBHY Rida Amphi Imam Malik 746
1210302 RIDA Ntiçar Amphi Imam Malik 748
1219058 RIDOIN Mourad Amphi Imam Malik 750
1208600 RIDOUANE Khalid Amphi Imam Malik 752
1202321 RIMAH Karima Amphi Imam Malik 754
1203290 RMITI Ghizlan Amphi Imam Malik 756
1205224 ROMANI HABIBA Amphi Imam Malik 758
1104889 ROUBAL Fouad Amphi Imam Malik 760 Reportée
1201776 ROUHI Achrafe Amphi Imam Malik 762
1203109 ROUIBAA Isam Amphi Imam Malik 764
1201873 SAADALLAOUI Naji Amphi Imam Malik 766
1202078 SAADOUNI YOUSSEF Amphi Imam Malik 768
Matière1: Français
Matière2: Méthodologie du travail 44/50
Filière: Droit arabe
Faculté des sciences juridiques
et Economiques. Marrakech
N° Apogée Nom Prénom Local d'examen N° d'examen Matière1 Matière2
Université Cadi Ayyad
PV de surveillance: Session de rattrapage
Module: Langue et communication
2012-2013
Semestre1 (nouveau système)
1204249 SAB Younes Amphi Imam Malik 770
1210290 SABAR Jamal Amphi Imam Malik 772
1208937 SABIR Mohamed Amphi Imam Malik 774
1207760 SABIR Mohammed Amphi Imam Malik 776
1205114 SABRANE Jamila Amphi Imam Malik 778
1205837 SABRAOUI Youssef Amphi Imam Malik 780
1220023 SABRI Imane Amphi Imam Malik 782
1004745 SABRI MOSTAFA Amphi Imam Malik 784 Reportée
1210985 SABT Younes Amphi Imam Malik 786
1220942 SADDIKI KHADIJA Amphi Imam Malik 788
1004652 SADIQ HAMZA Amphi Imam Malik 790 Reportée
1210675 SAFADI Btissam Amphi Imam Malik 792
1201030 SAFADI Najoua Amphi Imam Malik 794
1104278 SAFOUANE Nadia Amphi Imam Malik 796 Reportée
1109143 SAGOUM Meriem Amphi Imam Malik 798 Reportée
1202897 SAHMOUDA Mouna Amphi Imam Malik 800
1110565 SAHRAOUI Hasna Amphi Imam Malik 802
1205623 SAIDI Laghdaf Amphi Imam Malik 804
1202794 SAISSI HASSANI Omar Amphi Imam Malik 806
1100484 SAKKAF Sara Amphi Imam Malik 808 Reportée
1201160 SAKOUM Khadija Amphi Imam Malik 810
1005278 SAKOUN GHIZLANE Amphi Imam Malik 812 Reportée
1114450 SALIMI WAFAA Amphi Imam Malik 814 Reportée
1202150 SALLAM Bouchra Amphi Imam Malik 816
1200988 SALLAM Hassan Amphi Imam Malik 818
1219662 SALLAMY Abderrahim Amphi Imam Malik 820
1203987 SALMAN Mustapha Amphi Imam Malik 822
1204570 SAMARI Raja Amphi Imam Malik 824
1208901 SAMBAT Abderrahim Amphi Imam Malik 826
1207205 SAMIT Mohamed Amphi Imam Malik 828 Reportée
1203687 SAMTI Abdelilah Amphi Imam Malik 830
1110860 SANANE JAOUAD Amphi Imam Malik 832
1202193 SANBATI Radouane Amphi Imam Malik 834
1206613 SANOUBI Khadija Amphi Imam Malik 836
1203773 SANYAK Mohamed Amphi Imam Malik 838
1012809 SAOUD MOSINE Amphi Imam Malik 840 Reportée
1203853 SAOUIBA Jaouad Amphi Imam Malik 842
1203654 SAOUIR Jalal Amphi Imam Malik 844
1107722 SARBIB Youssef Amphi Imam Malik 846 Reportée
1219801 SARKOUH Soukaina Amphi Imam Malik 848
1204897 SARNANE Asma Amphi Imam Malik 850
1208260 SARNANE Saida Amphi Imam Malik 852
1210401 SAT Mahjoub Amphi Imam Malik 854
1202347 SAYA Imane Amphi Imam Malik 856
1204739 SAYLLAL Fatiha Amphi Imam Malik 858
1219608 SBAII Iman Amphi Imam Malik 860
1210328 SBIK Abdelaali Amphi Imam Malik 862
Matière1: Français
Matière2: Méthodologie du travail 45/50
Filière: Droit arabe
Faculté des sciences juridiques
et Economiques. Marrakech
N° Apogée Nom Prénom Local d'examen N° d'examen Matière1 Matière2
Université Cadi Ayyad
PV de surveillance: Session de rattrapage
Module: Langue et communication
2012-2013
Semestre1 (nouveau système)
1219059 SEDKI Fouzia Amphi Imam Malik 864
1203257 SELJAOUI Achraf Amphi Imam Malik 866
1100399 SELYAN Elyazid Amphi Imam Malik 868 Reportée
1109590 SEMHARI Mahdi Amphi Imam Malik 870 Reportée
1219563 SEMLALI Abdellatif Amphi Imam Malik 872
1208801 SERHANE Zakaria Amphi Imam Malik 874
1201294 SETTANI Mohamed Amine Amphi Imam Malik 876
1110411 SGHURI Oualid Amphi Imam Malik 878 Reportée
1205149 SHAILAT MOHAMMED Amphi Imam Malik 880
Matière1: Français
Matière2: Méthodologie du travail 46/50
Filière: Droit arabe
Faculté des sciences juridiques
et Economiques. Marrakech
N° Apogée Nom Prénom Local d'examen N° d'examen Matière1 Matière2
Université Cadi Ayyad
PV de surveillance: Session de rattrapage
Module: Langue et communication
2012-2013
Semestre1 (nouveau système)
1202785 SID ZAINE Mohamed Ali salle 1 2272
1201031 SIDI Soufiane salle 1 2274
1004294 SIDMOU ISMAIL salle 1 2276 Reportée
1209354 SIKAH Adam salle 1 2278
1201367 SIMAMRI Hasna salle 1 2280
1202693 SINKOU Nada salle 1 2282
1203872 SIRAJ-EDDINE Mohammed salle 1 2284
1004162 SIRAJEDDINE ABDELALI salle 1 2286 Reportée
1004233 SLAYMI MARIAM salle 1 2288 Reportée
1202172 SLIMANI Ahmed salle 1 2290
1211251 SLIMANI Ahmed Amine salle 1 2292
1205476 SLIMANI Mohamed Ali salle 1 2294
1201353 SMAITI Mohamed Arafa salle 1 2296
1202441 SMAYTI Fatima Ezzahra salle 1 2298
1203164 SOLAHMANI YOUNES salle 1 2300
1102228 SOUABLI Ismail salle 1 2302 Reportée
1205921 SOUAIDI Hicham salle 1 2304
1204608 SOUALEM Abdelhadi salle 1 2306
1104202 SOUDANI Abdelfattah salle 1 2308 Reportée
1201747 SOUDI Ayoub salle 1 2310
1219773 SOUFANE Imad salle 1 2312
1107776 SOUHAL Soufiane salle 1 2314 Reportée
1202434 SOUHAYLE Mina salle 1 2316
1201612 SOUKAINA Marrah salle 1 2318
1201090 SOUKTI Khadija salle 1 2320
1202183 SOUKTI Zainab salle 1 2322
1009003 SOUMBATI HASNA salle 1 2324 Reportée
1100753 SOUSSI Loubna salle 1 2326
1207836 SRAIDI Saida salle 1 2328
1203610 TABAANDOUST Abdellah salle 1 2330
1210811 TABARKANTE Asmaa salle 1 2332
1111298 TABIIY Mohamed Amine salle 1 2334 Reportée
1106971 TABOUCHTATE Amina salle 1 2336
1204025 TADILY Anas salle 1 2338
1104022 TAGHZAOUI Younes salle 1 2340
Matière1: Français
Matière2: Méthodologie du travail 47/50
Filière: Droit arabe
Faculté des sciences juridiques
et Economiques. Marrakech
N° Apogée Nom Prénom Local d'examen N° d'examen Matière1 Matière2
Université Cadi Ayyad
PV de surveillance: Session de rattrapage
Module: Langue et communication
2012-2013
Semestre1 (nouveau système)
1205884 TAGHZOUT Mohamed salle 2 2342
1219619 TAHDAOUI Halima salle 2 2344
1111100 TAHDAOUI Rachid salle 2 2346 Reportée
1205137 TAIA Youssef salle 2 2348
1114261 TAIK Fatima salle 2 2350 Reportée
1219964 TAKI Taoufik salle 2 2352
1202457 TAKNANT Mariam salle 2 2354
1219362 TAKNY Mariem salle 2 2356
1203213 TAKRIMCHA Mohamed salle 2 2358
1204219 TALAMTE Hamza salle 2 2360
1211297 TALIBI Yassine salle 2 2362
1219815 TAMANE NADIA salle 2 2364
1201100 TAMI Hnia salle 2 2366
1208517 TAMIMI Nabil salle 2 2368
1204894 TANDOUFT Abdellah salle 2 2370
1203846 TANDOUFT Hicham salle 2 2372
1005699 TANTAOUI SOUFIANE salle 2 2374 Reportée
1220124 TAOUFIQ Samira salle 2 2376
1219783 TAOUMI Abdllatif salle 2 2378
1220227 TARIB Abdessamia salle 2 2380
1220239 TARIB AZIZA salle 2 2382
1202595 TARIK Sana salle 2 2384
6006700 TARIQ SAADI salle 2 2386
1219803 TELILY Ahmed salle 2 2388
1109926 TELLAMI Saber salle 2 2390
1219757 TETBAT Wahiba salle 2 2392
1219479 TFIL HAMZA salle 2 2394
1203121 TFIL Soufiane salle 2 2396
1006008 THAMIR ZAHRA salle 2 2398 Reportée
1110242 THOUKI Souad salle 2 2400
1219657 TIDILI Soukaina salle 2 2402
1205832 TIDLI Ayoub salle 2 2404
1219465 TIFINZI Fatiha salle 2 2406
1104049 TIHAT Rachid salle 2 2408
1206790 TINLIT Salsabil salle 2 2410
Matière1: Français
Matière2: Méthodologie du travail 48/50
Filière: Droit arabe
Faculté des sciences juridiques
et Economiques. Marrakech
N° Apogée Nom Prénom Local d'examen N° d'examen Matière1 Matière2
Université Cadi Ayyad
PV de surveillance: Session de rattrapage
Module: Langue et communication
2012-2013
Semestre1 (nouveau système)
1202167 TIR Fatima Salle 3 2412
1102162 TIZZA Meriem Salle 3 2414
1210501 TORRES Zoubida Salle 3 2416
1220786 TOUAHRA ADIL Salle 3 2418
1204380 TOUBANI EL ALAMI Salle 3 2420
1202029 TOUDAMRINI Elalami Salle 3 2422
1200973 TOUGANI FATIMA EZAHRA Salle 3 2424
1219643 TOUIL ABDRERRHIM Salle 3 2426
1201720 TOUIZI Khalil Salle 3 2428
1202153 TOUKBANI Salima Salle 3 2430
1111623 TOUMI Driss Salle 3 2432
1201698 TOURAB Abdelkader Salle 3 2434
1202464 TOURAB Asmae Salle 3 2436
1202242 TRKMANI Allal Salle 3 2438
1202735 WARDI Youssef Salle 3 2440
1202354 YAFIT Jaouad Salle 3 2442
1211274 YAHYAOUI Mohamed Salle 3 2444
1205056 YAKOUBI Youssef Salle 3 2446
1204525 YAMMEL Abdelhakim Salle 3 2448
1204690 YANDAHI Anas Salle 3 2450
1109619 YEKKOUR Hassan Salle 3 2452
1201922 YOUMNI Hasna Salle 3 2454
1107730 YOUSSEF Aouzal Salle 3 2456 Reportée
1203989 YOUSSEF Ouballa Salle 3 2458
1102337 YOUSSFI MOHSSINE Salle 3 2460 Reportée
1114217 YOUSSOFI OUAFAE Salle 3 2462
1202210 ZAAZAA Anas Salle 3 2464
1111043 ZAAZAA El Mahdi Salle 3 2466
1204835 ZAFFIK JAMAL-EDDINE Salle 3 2468
1202232 ZAHER Abderazzak Salle 3 2470
1105862 ZAHIR Wafa Salle 3 2472 Reportée
1201872 ZAHLANE Ibtissam Salle 3 2474
1205831 ZAKARIA Maa Salle 3 2476
1219808 ZAROUALI Naoil Salle 3 2478
1201308 ZARROUK JIHADE Salle 3 2480
Matière1: Français
Matière2: Méthodologie du travail 49/50
Filière: Droit arabe
Faculté des sciences juridiques
et Economiques. Marrakech
N° Apogée Nom Prénom Local d'examen N° d'examen Matière1 Matière2
Université Cadi Ayyad
PV de surveillance: Session de rattrapage
Module: Langue et communication
2012-2013
Semestre1 (nouveau système)
1204751 ZARTIT Fatima Ezzahra Salle 4 2482
1203682 ZAYOUD Mohamed Salle 4 2484
1004762 ZBIDA ISMAIL Salle 4 2486 Reportée
1106130 ZEBDI Abdelmonaine Salle 4 2488
1201723 ZEGLALI Adnane Salle 4 2490
1004505 ZEGRAOUI HASSAN Salle 4 2492 Reportée
1210731 ZEHOUA Mohamed Salle 4 2494
1219646 ZEHZOUHI ZAGHLOUL Salim Salle 4 2496
1201962 ZERAR Mohamed Salle 4 2498
1109989 ZERDAOUI Touria Salle 4 2500 Reportée
1107091 ZEROUAL Nabil Salle 4 2502
1101008 ZEROUAL Soufiane Salle 4 2504
1208480 ZEROUALI Mansour Salle 4 2506
1110749 ZHIRI El Bachir Salle 4 2508 Reportée
1220125 ZIATE Mariem Salle 4 2510
1107048 ZIDOUNI Amal Salle 4 2512 Reportée
1219002 ZIKRAOUI Hafid Salle 4 2514
1203112 ZINEELABIDINE Mohamed Salle 4 2516
1203894 ZOTE Rihabe Salle 4 2518
1204979 ZOUGGAR Naoual Salle 4 2520
1003191 ZOUHAIR FOUAD Salle 4 2522 Reportée
1204285 ZOUHAIR Youssef Salle 4 2524
1107165 ZOUITA Oussama Salle 4 2526
1202476 ZOUIZI Kaotar Salle 4 2528
1205070 ZRAIGUINATE El Mahjoub Salle 4 2530
1209043 ZRIGA Mohamed Salle 4 2532
1201182 ZRIR Hussein Salle 4 2534
Matière1: Français
Matière2: Méthodologie du travail 50/50
Filière: Droit arabe
Faculté des sciences juridiques
et Economiques. Marrakech
N° Apogée Nom Prénom Local d'examen N° d'examen Matière1 Matière2
1100767 AABID Youness Amphi Allal El Fassi 392 Reportée
1201975 AABIDA Abdelkrim Amphi Allal El Fassi 394 Reportée
1114345 AAJAJA FATIMA Amphi Allal El Fassi 396 Reportée
1100758 AALILI Abdelhadi Amphi Allal El Fassi 398 Reportée
1100694 AALLOU ABDELWAHAD Amphi Allal El Fassi 400 Reportée
1201335 AAMAR Bouchra Amphi Allal El Fassi 402 Reportée
1204214 AAMAR Imane Amphi Allal El Fassi 404 Reportée
1219954 AAMARA Ghita Amphi Allal El Fassi 406 Reportée
1219724 AAMOR Abdelouahed Amphi Allal El Fassi 408 Reportée
1104927 AATAR HASNAE Amphi Allal El Fassi 410 Reportée
1105355 AATIF Imane Amphi Allal El Fassi 412 Reportée
1011322 ABAALI BRAHIM Amphi Allal El Fassi 414 Reportée
1106447 ABAAOU Rachida Amphi Allal El Fassi 416 Reportée
1110012 ABADI Marouane Amphi Allal El Fassi 418 Reportée
1114542 ABAHAZEM TOURIA Amphi Allal El Fassi 420 Reportée
1103850 ABAIHI Mohamed Salah Amphi Allal El Fassi 422 Reportée
Université Cadi Ayyad
PV de surveillance: Session de rattrapage
Module: Introduction au Droit Public
2012-2013
Semestre1 (nouveau système)
1108550 ABASSI Khadija Amphi Allal El Fassi 424 Reportée
1202166 ABATORAB Soukaina Amphi Allal El Fassi 426 Reportée
1114269 ABBOU Mariem Amphi Allal El Fassi 428 Reportée
1202940 ABBOU Mouhssin Amphi Allal El Fassi 430 Reportée
1204784 ABBOUBI Fatima-ezzahra Amphi Allal El Fassi 432 Reportée
1203323 ABBOUBI Otmane Amphi Allal El Fassi 434 Reportée
1107117 ABDDAIM LABATT Amphi Allal El Fassi 436 Reportée
1204731 ABDEDAIM Khadija Amphi Allal El Fassi 438 Reportée
1101209 ABDEDAIM Otmane Amphi Allal El Fassi 440 Reportée
1109347 ABDELLAOUI Ibtissam Amphi Allal El Fassi 442 Reportée
1101351 ABDELMOUMNI Fatima Ezzahra Amphi Allal El Fassi 444 Reportée
1203698 ABDENNASIBE Abdellah Amphi Allal El Fassi 446 Reportée
1220407 ABDROUMA HALIMA Amphi Allal El Fassi 448 Reportée
1210862 ABEIDHA Fatma Amphi Allal El Fassi 450 Reportée
1201163 ABID ABDETOUAB Amphi Allal El Fassi 452 Reportée
1200998 ABOU ALI Abdelkabir Amphi Allal El Fassi 454 Reportée
1005676 ABOU MSSIK MUSTAPHA Amphi Allal El Fassi 456 Reportée
1204283 ABOUALI Ahmed Amphi Allal El Fassi 458 Reportée
1101502 ABOUCHROUANE Ahmed Amphi Allal El Fassi 460
1201661 ABOUDERKA Hassan Amphi Allal El Fassi 462 Reportée
1207954 ABOUELABBES Hafsa Amphi Allal El Fassi 464 Reportée
1003126 ABOUELFATH OUAFAE Amphi Allal El Fassi 466 Reportée
1205177 ABOUELKALAM Mehdi Amphi Allal El Fassi 468 Reportée
1103919 ABOUKASSIM ELIDRISSI Karima Amphi Allal El Fassi 470 Reportée
1107808 ABOULFATH Mohamed Amphi Allal El Fassi 472 Reportée
1201183 ABOULHANA Wahiba Amphi Allal El Fassi 474
1204184 ABOULHORMA Zakaria Amphi Allal El Fassi 476 Reportée
1209067 ABOULHOUDA Abdelhak Amphi Allal El Fassi 478 Reportée
1202835 ABOULIHSSANE Btissam Amphi Allal El Fassi 480
1209109 ABOULQUASIM Abdelouhed Amphi Allal El Fassi 482
Matière1: Notions fondamentales de Droit public
Matière2: Pouvoir et autorité en Islam 1/46
Filière: Droit arabe
Faculté des sciences juridiques
et Economiques. Marrakech
N° Apogée Nom Prénom Local d'examen N° d'examen Matière1 Matière2
Université Cadi Ayyad
PV de surveillance: Session de rattrapage
Module: Introduction au Droit Public
2012-2013
Semestre1 (nouveau système)
1219612 ABOURAKIS Abdelilah Amphi Allal El Fassi 484
1219654 ABOUSAID Fatima Amphi Allal El Fassi 486 Reportée
1005856 ABOUSSAID MOUHSSIN Amphi Allal El Fassi 488
1201716 ABOUTAHIR Fatima Zahra Amphi Allal El Fassi 490 Reportée
1201767 ABOUTAIB Issam Amphi Allal El Fassi 492 Reportée
1102170 ABOUTALHA Abdellah Amphi Allal El Fassi 494 Reportée
1204090 ABOUTIR Ahmad Amphi Allal El Fassi 496 Reportée
1202295 ABOUZID Latifa Amphi Allal El Fassi 498 Reportée
1100702 ABTAR Laila Amphi Allal El Fassi 500 Reportée
1115814 ABUSALAMA MAHDI Amphi Allal El Fassi 502 Reportée
1101715 ACHBAKOU MOHAMED Amphi Allal El Fassi 504 Reportée
1217431 ACHBAR ABDELHAKIM Amphi Allal El Fassi 506
1203970 ACHLIH Adil Amphi Allal El Fassi 508 Reportée
1203794 ACHLIHATE Hamid Amphi Allal El Fassi 510 Reportée
1209041 ACHNOUNI Youness Amphi Allal El Fassi 512 Reportée
1114408 ACHRAF OUSSAMA Amphi Allal El Fassi 514 Reportée
1201035 ADALI Abdellatif Amphi Allal El Fassi 516
1204507 ADARDOUR Az-eddine Amphi Allal El Fassi 518 Reportée
1105246 ADDI Hadhom Amphi Allal El Fassi 520 Reportée
1210462 ADDOU Mariem Amphi Allal El Fassi 522
1201652 ADDRAOUI Nabil Amphi Allal El Fassi 524
1202972 ADEBBAGH Rabab Amphi Allal El Fassi 526
1203984 ADERRAGUI Abdelouahab Amphi Allal El Fassi 528 Reportée
1207863 ADOUNI Ibtissam Amphi Allal El Fassi 530 Reportée
1203267 AFIRI Hamid Amphi Allal El Fassi 532 Reportée
1202281 AFOUCHAL Ousama Amphi Allal El Fassi 534 Reportée
1210963 AFRIOUS Ibtisame Amphi Allal El Fassi 536
1105455 AFROUSS Hicham Amphi Allal El Fassi 538 Reportée
1111672 AGDOUZ Moaad Amphi Allal El Fassi 540 Reportée
1004285 AGHOURBI JAMAL Amphi Allal El Fassi 542 Reportée
1202833 AGOUZOUR Karima Amphi Allal El Fassi 544 Reportée
1204132 AGRIRRANE OMAR Amphi Allal El Fassi 546
1114538 A.H SADI THAMER Amphi Allal El Fassi 548 Reportée
1111000 AHAIK Hanan Amphi Allal El Fassi 550
1104257 AHARABOUS Ismail Amphi Allal El Fassi 552
1205818 AHAYAR Lamia Amphi Allal El Fassi 554 Reportée
1210315 AHAYK NAAIMA Amphi Allal El Fassi 556
1201897 AHBARI Hannane Amphi Allal El Fassi 558 Reportée
1111660 AHDIJ Mohamed Amphi Allal El Fassi 560 Reportée
1201796 AHERDANE Zakaria Amphi Allal El Fassi 562
1219884 AHJIR Said Amphi Allal El Fassi 564 Reportée
1115573 AHL HMAD MOHAMED FADEL Amphi Allal El Fassi 566
1203033 AHLADDA Essalaek Amphi Allal El Fassi 568
1003961 AHLAL MOHAMMED Amphi Allal El Fassi 570 Reportée
1203660 AHMADA Abdellatif Amphi Allal El Fassi 572 Reportée
1114207 AHMIRA Khadija Amphi Allal El Fassi 574 Reportée
Matière1: Notions fondamentales de Droit public
Matière2: Pouvoir et autorité en Islam 2/46
Filière: Droit arabe
Faculté des sciences juridiques
et Economiques. Marrakech
N° Apogée Nom Prénom Local d'examen N° d'examen Matière1 Matière2
Université Cadi Ayyad
PV de surveillance: Session de rattrapage
Module: Introduction au Droit Public
2012-2013
Semestre1 (nouveau système)
1204712 AHNSAL Salka Amphi Allal El Fassi 576 Reportée
1110445 AHSINA Khadija Amphi Allal El Fassi 578 Reportée
1202121 AIKABI Sofian Amphi Allal El Fassi 580
Matière1: Notions fondamentales de Droit public
Matière2: Pouvoir et autorité en Islam 3/46
Filière: Droit arabe
Faculté des sciences juridiques
et Economiques. Marrakech
N° Apogée Nom Prénom Local d'examen N° d'examen Matière1 Matière2
Université Cadi Ayyad
PV de surveillance: Session de rattrapage
Module: Introduction au Droit Public
2012-2013
Semestre1 (nouveau système)
1201583 AIT AAMIHAMOU Mohamed Amphi ibn Rochd 882 Reportée
1202907 AIT AAMIRA Zineb Amphi Ibn Rochd 884
1203354 AIT ABBOU Lahcen Amphi ibn Rochd 886 Reportée
1209689 AIT ADDI Fatiha Amphi Ibn Rochd 888
1219837 AIT AHMED Mohamed Amphi ibn Rochd 890 Reportée
1110649 AIT AISSA SALIM Amphi Ibn Rochd 892 Reportée
1005161 AIT AMMOU JAMAL Amphi ibn Rochd 894 Reportée
1219845 AIT AROUI Abdellah Amphi Ibn Rochd 896 Reportée
1107988 AIT AYAD Loubna Amphi ibn Rochd 898 Reportée
1219532 AIT BAALI Fayrouz Amphi Ibn Rochd 900 Reportée
1110310 AIT BAAMRANE Ismail Amphi ibn Rochd 902 Reportée
1203058 AIT BAKOUCH Oussama Amphi Ibn Rochd 904 Reportée
1204081 AIT BARKA Adil Amphi ibn Rochd 906 Reportée
1219991 AIT BELARBI Nassima Amphi Ibn Rochd 908 Reportée
1111288 AIT BELFADIL Hajiba Amphi ibn Rochd 910 Reportée
1209637 AIT BELHAJ Latifa Amphi Ibn Rochd 912 Reportée
1207488 AIT BELLA Said Amphi ibn Rochd 914 Reportée
1216769 AIT BEN ABBOU Hassan Amphi Ibn Rochd 916 Reportée
1204188 AIT BEN ADDI Soulaymane Amphi ibn Rochd 918 Reportée
80004825 AIT BEN AMGHAR IMANE Amphi Ibn Rochd 920 Reportée
1100283 AIT BEN MSAOU Taoufik Amphi ibn Rochd 922 Reportée
1205880 AIT BEN OUISSADEN Issam Amphi Ibn Rochd 924 Reportée
1102553 AIT BENSEKKOUR Sara Amphi ibn Rochd 926 Reportée
1202470 AIT BOUAALI Fatima Ezzahra Amphi Ibn Rochd 928 Reportée
1201310 AIT BOUHADOU Zineb Amphi ibn Rochd 930 Reportée
1208929 AIT BOURA Zineb Amphi Ibn Rochd 932 Reportée
1111258 AIT BRAHIM Mohamed Amphi ibn Rochd 934
1204849 AIT BRAHIM Souad Amphi ibn Rochd 936 Reportée
1113226 AIT BRAHIM ALI Naima Amphi Ibn Rochd 938 Reportée
1204092 AIT BRAIM Ouiam Amphi ibn Rochd 940
1219461 AIT BRIZA Saloua Amphi Ibn Rochd 942 Reportée
1219528 AIT CHAIB MOHAMED Amphi ibn Rochd 944 Reportée
1110138 AIT CHETOU TAOUFIK Amphi Ibn Rochd 946 Reportée
1110002 AIT CHOUIYA Lobna Amphi ibn Rochd 948 Reportée
1107060 AIT EL MAKI Abdelelah Amphi Ibn Rochd 950 Reportée
1104930 AIT ELCADI Abdelmalk Amphi ibn Rochd 952 Reportée
1205637 AIT EL-HADJ Driss Amphi Ibn Rochd 954 Reportée
1106308 AIT ELHAJ Abdessalam Amphi ibn Rochd 956 Reportée
1104562 AIT ELHANAFI Ali Amphi Ibn Rochd 958 Reportée
1219588 AIT ELHANAFI Sakina Amphi ibn Rochd 960 Reportée
1003800 AIT ELKORCHI AUTMAN Amphi Ibn Rochd 962 Reportée
1201252 AIT ELMAALLEM Tariq Amphi ibn Rochd 964
1004712 AIT ELMAGHROUSS LAHCEN Amphi ibn Rochd 966 Reportée
1210930 AIT FDIL Khoubaib Amphi Ibn Rochd 968 Reportée
1109814 AIT HADDI Abdelhafid Amphi ibn Rochd 970 Reportée
1204847 AIT HADI Majda Amphi Ibn Rochd 972 Reportée
Matière1: Notions fondamentales de Droit public
Matière2: Pouvoir et autorité en Islam 4/46
Filière: Droit arabe
Faculté des sciences juridiques
et Economiques. Marrakech
N° Apogée Nom Prénom Local d'examen N° d'examen Matière1 Matière2
Université Cadi Ayyad
PV de surveillance: Session de rattrapage
Module: Introduction au Droit Public
2012-2013
Semestre1 (nouveau système)
1202767 AIT HMOUCH Jamal Amphi ibn Rochd 974
1203942 AIT HSAINE Youssef Amphi Ibn Rochd 976 Reportée
1113794 AIT KADIR Abdelhadi Amphi ibn Rochd 978 Reportée
1114342 AIT KEBROUNE RACHIDA Amphi Ibn Rochd 980 Reportée
1201405 AIT KHOUYA HAMMOU Mohamed Amphi ibn Rochd 982 Reportée
1210384 AIT LAHBIB Khadija Amphi Ibn Rochd 984
1202634 AIT LAHCEN Khalid Amphi ibn Rochd 986 Reportée
1210463 AIT LAHCEN Latifa Amphi Ibn Rochd 988
1103915 AIT LAHCEN Mohamed Amphi ibn Rochd 990 Reportée
1203983 AIT LAHSEN Mustapha Amphi Ibn Rochd 992 Reportée
1202265 AIT LHAJ AHMED Sabir Amphi ibn Rochd 994 Reportée
1209566 AIT LHOUSSAIN Soumia Amphi ibn Rochd 996 Reportée
1109372 AIT MAHMOUD Mohamed Amphi Ibn Rochd 998 Reportée
1201937 AIT MANSOUR Mustapha Amphi ibn Rochd 1000
1201602 AIT MANSOUR Salah Amphi Ibn Rochd 1002 Reportée
1002336 AIT M'HAMED KHALID Amphi ibn Rochd 1004 Reportée
1006493 AIT MOUHA AICHA Amphi Ibn Rochd 1006 Reportée
1101283 AIT MOUSSA Youness Amphi ibn Rochd 1008
1201719 AIT NACER Hicham Amphi Ibn Rochd 1010 Reportée
80002671 AIT NACER NOURDINE Amphi ibn Rochd 1012 Reportée
1205897 AIT NACEUR Samah Amphi Ibn Rochd 1014 Reportée
1201139 AIT OUAATICH Khadija Amphi ibn Rochd 1016
1007616 AIT OUARTASSA YOUSSEF Amphi Ibn Rochd 1018
1203923 AIT OUCHABOU Abdelmalek Amphi ibn Rochd 1020
1201591 AIT OUHDA Saleh Amphi Ibn Rochd 1022 Reportée
1203914 AIT OUIZZAN Driss Amphi ibn Rochd 1024 Reportée
1101303 AIT OUKTIR Lhoussaine Amphi Ibn Rochd 1026 Reportée
1105240 AIT OURJDAL SOUHAYL Amphi ibn Rochd 1028 Reportée
1203302 AIT OUZNAG Abdellah Amphi Ibn Rochd 1030 Reportée
1115833 AIT SAID Hafida Amphi ibn Rochd 1032 Reportée
1205107 AIT SAID Mohamed Amphi Ibn Rochd 1034 Reportée
1001120 AIT SAID OURAHOU FATIMA Amphi ibn Rochd 1036 Reportée
1204610 AIT SAIDAT Rachid Amphi Ibn Rochd 1038 Reportée
1207933 AIT SIDI ABDELOUAHID Ahmed Amphi ibn Rochd 1040
1203587 AIT TALAB Mohamed Amphi Ibn Rochd 1042
1004932 AIT TALEB ABDELJABAR Amphi ibn Rochd 1044 Reportée
1219708 AIT TALEB ABDESSAMAD Amphi Ibn Rochd 1046
9292997 AIT TALEB ATHMANE Amphi ibn Rochd 1048 Reportée
1219584 AIT TALEB MOSTAPHA Amphi Ibn Rochd 1050
1211640 AIT TALEB AHMED Khalid Amphi ibn Rochd 1052 Reportée
1202235 AIT THAMI HICHAM Amphi Ibn Rochd 1054 Reportée
1103175 AIT TIRITE Abdeslam Amphi ibn Rochd 1056 Reportée
1114315 AIT TONSI MOHAMED Amphi Ibn Rochd 1058 Reportée
1006108 AITBENHDA MARIEM Amphi ibn Rochd 1060 Reportée
1101781 AITLHDAR Soufiane Amphi Ibn Rochd 1062 Reportée
1111026 AKHRIBACH Abderrahim Amphi ibn Rochd 1064 Reportée
Matière1: Notions fondamentales de Droit public
Matière2: Pouvoir et autorité en Islam 5/46
Filière: Droit arabe
Faculté des sciences juridiques
et Economiques. Marrakech
N° Apogée Nom Prénom Local d'examen N° d'examen Matière1 Matière2
Université Cadi Ayyad
PV de surveillance: Session de rattrapage
Module: Introduction au Droit Public
2012-2013
Semestre1 (nouveau système)
1106659 AKHSSAY Laila Amphi Ibn Rochd 1066
1104253 AKHYAD Elhoussaine Amphi ibn Rochd 1068 Reportée
1113239 AKKI Abdelkarim Amphi ibn Rochd 1070 Reportée
1203962 AKZAIBRA Mohammed Amphi Ibn Rochd 1072 Reportée
1005682 AL AHYANE KHAMISS Amphi ibn Rochd 1074 Reportée
1110056 AL FALLAH Adil Amphi Ibn Rochd 1076 Reportée
1219602 AL IBRIKI Salah Amphi ibn Rochd 1078 Reportée
1219799 ALAMI Brahim Amphi Ibn Rochd 1080 Reportée
1209698 ALAOUI Abdelouahhab Amphi ibn Rochd 1082
1203774 ALAOUI HKIM Mohamed Amphi Ibn Rochd 1084 Reportée
1109993 ALBOUHALI NADIA Amphi ibn Rochd 1086 Reportée
1100459 ALBOUHTOURI Houda Amphi Ibn Rochd 1088 Reportée
1220110 ALFATIMI Imad Amphi ibn Rochd 1090 Reportée
1210709 ALHYANE Rachida Amphi Ibn Rochd 1092
80000172 ALILA MILOUD Amphi ibn Rochd 1094 Reportée
1101897 ALIOUA Mohamed Amphi Ibn Rochd 1096
1101372 ALIOUATE Mohammed Amphi ibn Rochd 1098
1111518 ALLA Donia Amphi ibn Rochd 1100 Reportée
Matière1: Notions fondamentales de Droit public
Matière2: Pouvoir et autorité en Islam 6/46
Filière: Droit arabe
Faculté des sciences juridiques
et Economiques. Marrakech
N° Apogée Nom Prénom Local d'examen N° d'examen Matière1 Matière2
Université Cadi Ayyad
PV de surveillance: Session de rattrapage
Module: Introduction au Droit Public
2012-2013
Semestre1 (nouveau système)
1111297 ALLABOUCH Nezha Amphi Mohamed El Fassi 1102 Reportée
1203865 ALLAM MAROUANE Amphi Mohamed El Fassi 1104 Reportée
1111361 ALLAMA Mohamed Amine Amphi Mohamed El Fassi 1106 Reportée
1203279 ALLAMI Hanane Amphi Mohamed El Fassi 1108 Reportée
1219678 ALLAOUI Abdelhadi Amphi Mohamed El Fassi 1110 Reportée
1201584 ALOUACH Noura Amphi Mohamed El Fassi 1112
1208617 AMADDAH Mohamed Amphi Mohamed El Fassi 1114
1106796 AMAGHRITI HASNA Amphi Mohamed El Fassi 1116 Reportée
1102623 AMALOUZ Khalid Amphi Mohamed El Fassi 1118 Reportée
1219879 AMARIGH Fatima Amphi Mohamed El Fassi 1120
1110911 AMASNA HICHAME Amphi Mohamed El Fassi 1122 Reportée
1101688 AMAZOUN Mohamed Amphi Mohamed El Fassi 1124
1201121 AMDIAB Hafsa Amphi Mohamed El Fassi 1126 Reportée
1219701 AMEDIAZ Mustapha Amphi Mohamed El Fassi 1128
1103889 AMEHAOUD Maryem Amphi Mohamed El Fassi 1130 Reportée
1203044 AMGHAR Brahim Amphi Mohamed El Fassi 1132 Reportée
1104481 AMGHAR Yassin Amphi Mohamed El Fassi 1134 Reportée
1107442 AMHACH Yassine Amphi Mohamed El Fassi 1136 Reportée
1210318 AMHAIMAR Rabiaa Amphi Mohamed El Fassi 1138 Reportée
1202336 AMIHA Mariam Amphi Mohamed El Fassi 1140 Reportée
1201234 AMIK Mohammed Amphi Mohamed El Fassi 1142
9293170 AMINE SAMIR Amphi Mohamed El Fassi 1144 Reportée
1109535 AMIR Hayat Amphi Mohamed El Fassi 1146 Reportée
1209321 AMKOUR Kamal Amphi Mohamed El Fassi 1148 Reportée
1104093 AMLAIZAZ Ali Amphi Mohamed El Fassi 1150
1220891 AMMARI SOUMIA Amphi Mohamed El Fassi 1152 Reportée
1205198 AMOUCH Khadija Amphi Mohamed El Fassi 1154 Reportée
1205076 AMZOUAR Fatima Amphi Mohamed El Fassi 1156 Reportée
1205783 ANGUAR LOUBNA Amphi Mohamed El Fassi 1158
1110862 ANINE Zineb Amphi Mohamed El Fassi 1160 Reportée
1219669 ANNOUR Bouchaib Amphi Mohamed El Fassi 1162 Reportée
1111680 ANOUAR Omar Amphi Mohamed El Fassi 1164 Reportée
1220294 ANOUFR Smail Amphi Mohamed El Fassi 1166
1006988 ANTAR HANANE Amphi Mohamed El Fassi 1168 Reportée
1111279 ANTIGUY Fatima Amphi Mohamed El Fassi 1170 Reportée
1102574 AOUACH Afrah Amphi Mohamed El Fassi 1172 Reportée
1202308 AOUINI NEZHA Amphi Mohamed El Fassi 1174 Reportée
1204806 AOUZAL SARA Amphi Mohamed El Fassi 1176 Reportée
1101321 AQEBLI Younes Amphi Mohamed El Fassi 1178 Reportée
1208971 ARABIA Miloud Amphi Mohamed El Fassi 1180
1101995 ARGUAZ Mohamed Amphi Mohamed El Fassi 1182 Reportée
1108557 ARJILA Dounia Amphi Mohamed El Fassi 1184 Reportée
1103760 ARNI Abdelhakim Amphi Mohamed El Fassi 1186 Reportée
1211052 AROUANE Ayoub Amphi Mohamed El Fassi 1188 Reportée
1204317 ARRADA Kamal Amphi Mohamed El Fassi 1190 Reportée
1202973 ARYANARRAS Hamza Amphi Mohamed El Fassi 1192 Reportée
Matière1: Notions fondamentales de Droit public
Matière2: Pouvoir et autorité en Islam 7/46
Filière: Droit arabe
Faculté des sciences juridiques
et Economiques. Marrakech
N° Apogée Nom Prénom Local d'examen N° d'examen Matière1 Matière2
Université Cadi Ayyad
PV de surveillance: Session de rattrapage
Module: Introduction au Droit Public
2012-2013
Semestre1 (nouveau système)
1205059 ASAIDI Merouane Amphi Mohamed El Fassi 1194 Reportée
1210308 ASBAYTA Ayyoub Amphi Mohamed El Fassi 1196 Reportée
1209816 ASDREM Hanane Amphi Mohamed El Fassi 1198
1201340 ASGHARI Souad Amphi Mohamed El Fassi 1200 Reportée
1203040 ASSAOUITE Mohamed Amphi Mohamed El Fassi 1202 Reportée
1207054 ASSILA Abdellah Amphi Mohamed El Fassi 1204 Reportée
1201694 ASTAR Abdelhak Amphi Mohamed El Fassi 1206 Reportée
1204864 ATADDART Mohamed Amphi Mohamed El Fassi 1208 Reportée
1106713 ATLOUCH Saadia Amphi Mohamed El Fassi 1210 Reportée
1201155 ATMANI Mohamed Amphi Mohamed El Fassi 1212 Reportée
1111130 ATTABOU Lamia Amphi Mohamed El Fassi 1214 Reportée
1101023 ATYQ Abdelilah Amphi Mohamed El Fassi 1216
1204444 ATYQ Brahim Amphi Mohamed El Fassi 1218 Reportée
1209038 AYAD Habib Amphi Mohamed El Fassi 1220 Reportée
1202313 AZERKANE Jamila Amphi Mohamed El Fassi 1222 Reportée
1201105 AZEROUAL Youssef Amphi Mohamed El Fassi 1224 Reportée
1204593 AZIZ Ali Amphi Mohamed El Fassi 1226
1201280 AZNAG FAICAL Amphi Mohamed El Fassi 1228 Reportée
1209074 AZOUD Abdellah Amphi Mohamed El Fassi 1230
1202160 AZOUGAGH Hamid Amphi Mohamed El Fassi 1232 Reportée
1101243 AZOUGAI Ghizlane Amphi Mohamed El Fassi 1234 Reportée
1201668 AZOUGGAGH Hanane Amphi Mohamed El Fassi 1236 Reportée
1202181 AZZOUYAHAR Malainine Amphi Mohamed El Fassi 1238 Reportée
1102689 BAALLA El Houssine Amphi Mohamed El Fassi 1240 Reportée
1205829 BAAMRANE Hind Amphi Mohamed El Fassi 1242 Reportée
1111478 BAAZIZ Mariama Amphi Mohamed El Fassi 1244 Reportée
1208827 BAAZIZ Mohamed Amphi Mohamed El Fassi 1246
1110015 BABA Brahim Amphi Mohamed El Fassi 1248 Reportée
1203094 BABA El Mehdi Amphi Mohamed El Fassi 1250 Reportée
1201546 BABA ESSALEK Amphi Mohamed El Fassi 1252
1211329 BACHKOU ABDENAIM Amphi Mohamed El Fassi 1254 Reportée
1104092 BADDA Amine Amphi Mohamed El Fassi 1256
1203816 BADREDDINE Laayati Amphi Mohamed El Fassi 1258
1003424 BADRI HICHAM Amphi Mohamed El Fassi 1260 Reportée
1209033 BADSI Anouar Amphi Mohamed El Fassi 1262 Reportée
1201071 BADYS Abdellatif Amphi Mohamed El Fassi 1264 Reportée
1201197 BADYS Khalid Amphi Mohamed El Fassi 1266
1202526 BAGHOUGH Wafa Amphi Mohamed El Fassi 1268 Reportée
1201115 BAHIA Malika Amphi Mohamed El Fassi 1270
1202105 BAHIR Soufiane Amphi Mohamed El Fassi 1272 Reportée
1111732 BAHRI Mustapha Amphi Mohamed El Fassi 1274 Reportée
1201124 BAIGA Elhassan Amphi Mohamed El Fassi 1276 Reportée
1110487 BAILLA Hanan Amphi Mohamed El Fassi 1278 Reportée
1201299 BAINE Lahcen Amphi Mohamed El Fassi 1280 Reportée
1201054 BAJJA Assiya Amphi Mohamed El Fassi 1282 Reportée
1205246 BAKADER Youssef Amphi Mohamed El Fassi 1284 Reportée
Matière1: Notions fondamentales de Droit public
Matière2: Pouvoir et autorité en Islam 8/46
Filière: Droit arabe
Faculté des sciences juridiques
et Economiques. Marrakech
N° Apogée Nom Prénom Local d'examen N° d'examen Matière1 Matière2
Université Cadi Ayyad
PV de surveillance: Session de rattrapage
Module: Introduction au Droit Public
2012-2013
Semestre1 (nouveau système)
1201245 BAKAR Adil Amphi Mohamed El Fassi 1286 Reportée
1208363 BAKOU Latifa Amphi Mohamed El Fassi 1288 Reportée
1107413 BALLALI Maryem Amphi Mohamed El Fassi 1290 Reportée
1104069 BAMANSOUR Rachid Amphi Mohamed El Fassi 1292 Reportée
1205086 BAMMOU Omar Amphi Mohamed El Fassi 1294
1201176 BAOUDA Hicham Amphi Mohamed El Fassi 1296 Reportée
1219729 BAQQA Imane Amphi Mohamed El Fassi 1298
1205265 BARHOUTI Nizar Amphi Mohamed El Fassi 1300
1203780 BARI Youssef Amphi Mohamed El Fassi 1302 Reportée
1210934 BARIJ MAJDA Amphi Mohamed El Fassi 1304 Reportée
1201195 BARIK Widad Amphi Mohamed El Fassi 1306 Reportée
1107152 BAROUK Mouhssine Amphi Mohamed El Fassi 1308
1004479 BARRAMLOU NAJAT Amphi Mohamed El Fassi 1310 Reportée
1205586 BASSIR Abdelmotaleb Amphi Mohamed El Fassi 1312
1111207 BASSIT Abdelmajid Amphi Mohamed El Fassi 1314 Reportée
1200992 BATRAH Ouijdane Amphi Mohamed El Fassi 1316 Reportée
1106373 BAYFOU BEN AHMED Abdessalam Amphi Mohamed El Fassi 1318 Reportée
1204800 BAYYOUD ATIQA Amphi Mohamed El Fassi 1320 Reportée
1219653 BEDDADI NOURA Amphi Mohamed El Fassi 1322
1111609 BEJJOUDI Mohamed Amphi Mohamed El Fassi 1324
1204365 BELAISSAOUI Hassan Amphi Mohamed El Fassi 1326 Reportée
1114562 BELAMRABT FATIMA ZAHRA Amphi Mohamed El Fassi 1328 Reportée
1102207 BELASELE Moulay Rachid Amphi Mohamed El Fassi 1330 Reportée
1111203 BELBYD Mouna Amphi Mohamed El Fassi 1332 Reportée
1107252 BELFKIRA Mouhamed Amphi Mohamed El Fassi 1334 Reportée
1206890 BELGHITI Lamia Amphi Mohamed El Fassi 1336
1100464 BELHENAA Siham Amphi Mohamed El Fassi 1338 Reportée
1220204 BELHITE Abdelhakim Amphi Mohamed El Fassi 1340
1111610 BELHITE Naima Amphi Mohamed El Fassi 1342 Reportée
1103505 BELKASSAB Slimane Amphi Mohamed El Fassi 1344
1205200 BELKIYAL ELMEHDI Amphi Mohamed El Fassi 1346
1203965 BELLABROUM Abdelkarim Amphi Mohamed El Fassi 1348 Reportée
1204559 BELLAFQUIH Sara Amphi Mohamed El Fassi 1350
1201137 BEL-LAHMAR Soufiane Amphi Mohamed El Fassi 1352 Reportée
1103551 BELLAJ Layla Amphi Mohamed El Fassi 1354 Reportée
1203310 BELLAKHA Othmane Amphi Mohamed El Fassi 1356
1210026 BELMALAH Sara Amphi Mohamed El Fassi 1358
1210058 BELMOUDEN Nadia Amphi Mohamed El Fassi 1360
1111088 BELOUAD Siham Amphi Mohamed El Fassi 1362
1102530 BEN AOUCHA Mohammed Amphi Mohamed El Fassi 1364
1102194 BEN AYOUB Mustapha Amphi Mohamed El Fassi 1366 Reportée
1207562 BEN AZZOUZ Youssef Amphi Mohamed El Fassi 1368
1109081 BEN BADDA Bouchra Amphi Mohamed El Fassi 1370 Reportée
1111194 BEN BAHIA Karima Amphi Mohamed El Fassi 1372 Reportée
1000858 BEN CHAOUD MOHAMED MBAREK Amphi Mohamed El Fassi 1374 Reportée
1101386 BEN CHTIA Youssef Amphi Mohamed El Fassi 1376 Reportée
Matière1: Notions fondamentales de Droit public
Matière2: Pouvoir et autorité en Islam 9/46
Filière: Droit arabe
Faculté des sciences juridiques
et Economiques. Marrakech
N° Apogée Nom Prénom Local d'examen N° d'examen Matière1 Matière2
Université Cadi Ayyad
PV de surveillance: Session de rattrapage
Module: Introduction au Droit Public
2012-2013
Semestre1 (nouveau système)
1203055 BEN DLALA Abdelhamyd Amphi Mohamed El Fassi 1378
1203638 BEN ELMADANI Abdelhamid Amphi Mohamed El Fassi 1380 Reportée
1209978 BEN FATNA Abderrazzak Amphi Mohamed El Fassi 1382 Reportée
1203348 BEN HADIA Mohamed Amphi Mohamed El Fassi 1384 Reportée
1111543 BEN HAMDA Asma Amphi Mohamed El Fassi 1386 Reportée
1202374 BEN HAMMOU Tariq Amphi Mohamed El Fassi 1388 Reportée
1115564 BEN IDER Malika Amphi Mohamed El Fassi 1390 Reportée
Matière1: Notions fondamentales de Droit public
Matière2: Pouvoir et autorité en Islam 10/46
Filière: Droit arabe
Faculté des sciences juridiques
et Economiques. Marrakech
N° Apogée Nom Prénom Local d'examen N° d'examen Matière1 Matière2
Université Cadi Ayyad
PV de surveillance: Session de rattrapage
Module: Introduction au Droit Public
2012-2013
Semestre1 (nouveau système)
1211175 BEN ITTO Jamal Amphi A 1392 Reportée
1104916 BEN KHADRA Abdellah Amphi A 1394 Reportée
1202445 BEN LAHSAINI Fatima Ezzahra Amphi A 1396 Reportée
1106754 BEN MANSOUR Naima Amphi A 1398 Reportée
1204960 BEN OTMANE Larbi Amphi A 1400 Reportée
1107795 BEN RAYES Abdelkrim Amphi A 1402 Reportée
1111544 BEN TAI Ahmed Amphi A 1404 Reportée
1102148 BEN ZAIR Karima Amphi A 1406 Reportée
1103870 BENAADEL Hayat Amphi A 1408 Reportée
1111023 BENAALLA Khadija Amphi A 1410 Reportée
1005831 BENALLAL YOUNESS Amphi A 1412 Reportée
1106602 BENBAKKA Hasna Amphi A 1414 Reportée
1204105 BEN-CHETTOU Naima Amphi A 1416 Reportée
1203739 BENDEHANE Zakaria Amphi A 1418 Reportée
1220926 BENDRISS SOUFIANE Amphi A 1420 Reportée
1102661 BENELASRI Rabab Amphi A 1422 Reportée
1202775 BENELKADRI Elhoucine Amphi A 1424 Reportée
1202297 BENELKAIDA El-mahdi Amphi A 1426
1103773 BENELYAZID Souad Amphi A 1428 Reportée
1202079 BENFOUNDOU Mohamed Fadel Amphi A 1430 Reportée
1205894 BENHABIBI Abderrazzak Amphi A 1432 Reportée
1202994 BENHABIBI Soufiane Amphi A 1434 Reportée
1204878 BENHADDOU SIHAM Amphi A 1436 Reportée
1202051 BENHADIA Noura Amphi A 1438 Reportée
1220883 BENHAJJI FATIMA ZAHRA Amphi A 1440 Reportée
1201608 BENHAJJO Lahcene Amphi A 1442
1006126 BENJANAN MUSTAPHA Amphi A 1444 Reportée
1112449 BENJDI Rachida Amphi A 1446 Reportée
1209320 BENLALOU Kamal Amphi A 1448
1210550 BENNAR Khadija Amphi A 1450 Reportée
1201757 BENNARA Abdessamia Amphi A 1452 Reportée
1216702 BENNAY AOUATIF Amphi A 1454 Reportée
1203264 BENNAY Nadia Amphi A 1456
1101036 BENNOURINE Hasna Amphi A 1458 Reportée
1219753 BENOMAR Dahbi Amphi A 1460 Reportée
1219419 BENSBAA ELMOKHTAR Amphi A 1462 Reportée
1204002 BENSMIDA AYOUB Amphi A 1464 Reportée
1208792 BENTOURI Abdlkarim Amphi A 1466 Reportée
1003446 BENYAHIA SARA Amphi A 1468 Reportée
1219933 BENYOUSAF Meriem Amphi A 1470
1004966 BENZAHI HASNA Amphi A 1472 Reportée
1114516 BENZARHOUNE Khadija Amphi A 1474 Reportée
Matière1: Notions fondamentales de Droit public
Matière2: Pouvoir et autorité en Islam 11/46
Filière: Droit arabe
Faculté des sciences juridiques
et Economiques. Marrakech
N° Apogée Nom Prénom Local d'examen N° d'examen Matière1 Matière2
Université Cadi Ayyad
PV de surveillance: Session de rattrapage
Module: Introduction au Droit Public
2012-2013
Semestre1 (nouveau système)
1208828 BENZAYER Soufiane Amphi B 1476 Reportée
1201866 BERDGUIE M'brak Amphi B 1478 Reportée
1203869 BERDOUZI YASSINE Amphi B 1480 Reportée
6006639 BERKHOUCH YOUSSEF Amphi B 1482 Reportée
1104009 BERRAGANE Salah Amphi B 1484 Reportée
1113783 BIAR Samira Amphi B 1486 Reportée
1201307 BIBARK Wafa Amphi B 1488 Reportée
1201230 BINI Brahim Amphi B 1490 Reportée
1202607 BIYOUD Khadija Amphi B 1492 Reportée
1204636 BLEHASSAR Abderrahim Amphi B 1494 Reportée
1219489 BLQIS ILHAME Amphi B 1496
1219793 BOUAADDI Mustapha Amphi B 1498 Reportée
1009644 BOUAALLA AHMED Amphi B 1500 Reportée
1115796 BOUABAD Abdellah Amphi B 1502 Reportée
1203609 BOUAMOUD Mohamed Amphi B 1504 Reportée
1208438 BOUAMOUD Salah Amphi B 1506 Reportée
1210660 BOUANAN Hayat Amphi B 1508 Reportée
1210103 BOUANANI Hajar Amphi B 1510
1204789 BOUAOULATINE Fouad Amphi B 1512 Reportée
1204817 BOUAOULATINE Mourad Amphi B 1514 Reportée
1100451 BOUASSOU Said Amphi B 1516 Reportée
1202415 BOUAZIZ Nadia Amphi B 1518 Reportée
1105375 BOUBEDDARA Meriem Amphi B 1520 Reportée
1006435 BOUBEKRI ABDELHAMID Amphi B 1522 Reportée
1101299 BOUBKRAOUI Nadia Amphi B 1524 Reportée
1111507 BOUCHEHAB Mohamed Amphi B 1526
1219416 BOUCHEJRA Najat Amphi B 1528 Reportée
1101970 BOUCHEMAA Mohamed Amphi B 1530
1203995 BOUCHKARA Hamid Amphi B 1532 Reportée
1203187 BOUELET Sofian Amphi B 1534 Reportée
1004516 BOUFARDI MOHAMED WALID Amphi B 1536 Reportée
1204401 BOUFOUS Siham Amphi B 1538 Reportée
1114535 BOUFRAYOUA NOUREDDINE Amphi B 1540 Reportée
1216299 BOUFRIOUA FDILI Amphi B 1542 Reportée
1104513 BOUGDEM Erraji Amphi B 1544 Reportée
1202933 BOUGHROUM Abderrahim Amphi B 1546 Reportée
1205752 BOUGHROUM Mohsine Amphi B 1548 Reportée
1202958 BOUGRINE Hosseine Amphi B 1550 Reportée
1109856 BOUGUIDA Zaineb Amphi B 1552 Reportée
1202638 BOUH Moh Amphi B 1554 Reportée
1201704 BOUHAFA Ayoub Amphi B 1556
1108352 BOUHAL Karim Amphi B 1558 Reportée
Matière1: Notions fondamentales de Droit public
Matière2: Pouvoir et autorité en Islam 12/46
Filière: Droit arabe
Faculté des sciences juridiques
et Economiques. Marrakech
N° Apogée Nom Prénom Local d'examen N° d'examen Matière1 Matière2
Université Cadi Ayyad
PV de surveillance: Session de rattrapage
Module: Introduction au Droit Public
2012-2013
Semestre1 (nouveau système)
1210259 BOUHANEA Mohamed Amphi C 1560 Reportée
1205774 BOUHBEL Abdelfattah Amphi C 1562 Reportée
1107747 BOUHI Youssef Amphi C 1564 Reportée
1111269 BOUHID Mouhssine Amphi C 1566 Reportée
1109599 BOUHLIM Mohammad Amphi C 1568 Reportée
1101240 BOUHNANA Siham Amphi C 1570 Reportée
1202502 BOUHOUCH Mohammed Amphi C 1572
1202631 BOUHRIRA Hamza Amphi C 1574
1201631 BOUHROUCH Khalid Amphi C 1576 Reportée
1219614 BOUHSAIN Adil Amphi C 1578 Reportée
1201947 BOUHSSINE Hassna Amphi C 1580 Reportée
1208956 BOUIATRAS Rochdi Amphi C 1582
1114585 BOUICHOU Kamal Amphi C 1584
1202908 BOUIFOULLOUS Hind Amphi C 1586 Reportée
1111736 BOUIKZARAN Merieme Amphi C 1588 Reportée
1114407 BOUILGUA MALIKA Amphi C 1590 Reportée
1004836 BOUIMHIM MOHAMED Amphi C 1592 Reportée
1110785 BOUIZAR Hicham Amphi C 1594
1205238 BOUJEDIANE Ismail Amphi C 1596
1101523 BOUJENOUI Ismail Amphi C 1598 Reportée
1004693 BOUJERKENE HICHAM Amphi C 1600 Reportée
1110109 BOUJLIL Fatima Amphi C 1602 Reportée
1103475 BOUKDIR SOUFIANE Amphi C 1604 Reportée
1111388 BOUKERCH Hayat Amphi C 1606 Reportée
1201312 BOUKHRISS Said Amphi C 1608
1204161 BOUKTIB Moussa Amphi C 1610 Reportée
1106800 BOULAAJOUL Aimad Amphi C 1612 Reportée
1204344 BOULAARAB Sana Amphi C 1614
1204975 BOULAHIA Anas Amphi C 1616
1205780 BOULAHJAR Mariam Amphi C 1618
1100791 BOULAJAJ Hicham Amphi C 1620 Reportée
1207115 BOULGUID Fadma Amphi C 1622 Reportée
1103905 BOUMADIANE Bouchra Amphi C 1624 Reportée
1204840 BOUMAHDI ABDALLAHI Amphi C 1626 Reportée
1114581 BOUMAHDI HASNAE Amphi C 1628 Reportée
1201081 BOUMCHAGA Abla Amphi C 1630 Reportée
1106783 BOUMERZAF Aotman Amphi C 1632 Reportée
1205684 BOUMERZAF Souilma Amphi C 1634 Reportée
1209860 BOUMOUGAY Yassine Amphi C 1636 Reportée
1102533 BOUNA Mohamed Amphi C 1638
1219642 BOUNGOUL Abdelkrim Amphi C 1640 Reportée
1103178 BOUNJ Laila Amphi C 1642 Reportée
Matière1: Notions fondamentales de Droit public
Matière2: Pouvoir et autorité en Islam 13/46
Filière: Droit arabe
Faculté des sciences juridiques
et Economiques. Marrakech
N° Apogée Nom Prénom Local d'examen N° d'examen Matière1 Matière2
Université Cadi Ayyad
PV de surveillance: Session de rattrapage
Module: Introduction au Droit Public
2012-2013
Semestre1 (nouveau système)
1205682 BOUNNIT Soukaina Amphi D 1644
1203747 BOUNOUAR Ismail Amphi D 1646 Reportée
1114583 BOURAGAA MOHAMED Amphi D 1648 Reportée
1107714 BOURAGAA Yassine Amphi D 1650 Reportée
1109064 BOUROUMANA Mohamed Amphi D 1652 Reportée
1101402 BOUSABNIA Abdrrahime Amphi D 1654 Reportée
1002295 BOUSAID NAFAIE Amphi D 1656 Reportée
1106580 BOUSKRI Hanane Amphi D 1658 Reportée
1203004 BOUSSAA Rida Amphi D 1660 Reportée
1003537 BOUSSAGHIR MAROUANE Amphi D 1662 Reportée
1207077 BOUSSALIM Lhoussin Amphi D 1664
1110710 BOUSSOUNA Houdda Amphi D 1666 Reportée
1113446 BOUTABAA MANNAHA Amphi D 1668 Reportée
1108863 BOUTABAA Sellem Amphi D 1670 Reportée
1107128 BOUTAHAR Zahra Amphi D 1672 Reportée
1206913 BOUTALAT Wardia Amphi D 1674 Reportée
1001175 BOUTASKAOUINE ASMAA Amphi D 1676
1104286 BOUTAZART Zouhair Amphi D 1678 Reportée
1201579 BOUTCHAMMAH Karima Amphi D 1680 Reportée
1205234 BOUTIJIJT Abdessamad Amphi D 1682 Reportée
1203695 BOUTMAGOUST Abdelouahab Amphi D 1684 Reportée
1204262 BOUTMAZGINE HALIMA Amphi D 1686 Reportée
1201721 BOUUISENGAREN Fatiha Amphi D 1688 Reportée
1109341 BOUY GOUDAR Soukaina Amphi D 1690 Reportée
1114501 BOUYADOU Majda Amphi D 1692 Reportée
1111538 BOUYAGHSSANE Latifa Amphi D 1694 Reportée
1201014 BOUYAHIA Ayoub Amphi D 1696 Reportée
1205100 BOUZIA LOUBNA Amphi D 1698
1109850 BOUZID Abdelhakim Amphi D 1700
1201381 BOUZIDI HAMID Amphi D 1702 Reportée
1105893 BOUZINE Daoud Amphi D 1704 Reportée
1205143 BOUZYA Mohammed Amphi D 1706 Reportée
1211229 BOUZZIT ASMA Amphi D 1708
1204873 BYOUD Jmiaa Amphi D 1710 Reportée
1219993 CHAABA Faysal Amphi D 1712 Reportée
1102070 CHAABI Fatima Ezzahra Amphi D 1714
1101712 CHAAIJ Salwa Amphi D 1716 Reportée
1219675 CHAARANI Abderrahim Amphi D 1718 Reportée
1205726 CHABA Hamza Amphi D 1720 Reportée
1204646 CHABAK Soufian Amphi D 1722 Reportée
1206983 CHABLALE Jamila Amphi D 1724 Reportée
1201274 CHADI Tariq Amphi D 1726 Reportée
Matière1: Notions fondamentales de Droit public
Matière2: Pouvoir et autorité en Islam 14/46
Filière: Droit arabe
Faculté des sciences juridiques
et Economiques. Marrakech
N° Apogée Nom Prénom Local d'examen N° d'examen Matière1 Matière2
Université Cadi Ayyad
PV de surveillance: Session de rattrapage
Module: Introduction au Droit Public
2012-2013
Semestre1 (nouveau système)
1205154 CHAFAI Lahcen Amphi E 1728
1107630 CHAFIA RACHID Amphi E 1730 Reportée
1107895 CHAHID Youssef Amphi E 1732 Reportée
1201642 CHAHIR Abdelilah Amphi E 1734
1203966 CHAHLAOUY Adil Amphi E 1736 Reportée
1220266 CHAI Ayoub Amphi E 1738 Reportée
1006105 CHAIBAINOU MOHAMED Amphi E 1740
1202277 CHAIBOUB Abdelkebir Amphi E 1742 Reportée
1207038 CHAIKHI Mohamed Salem Amphi E 1744 Reportée
1220270 CHAJAI Fatiha Amphi E 1746 Reportée
1203191 CHAKHS Abdellah Amphi E 1748 Reportée
1208370 CHAKIR El Mustapha Amphi E 1750
1111085 CHAKIR Mohamed Amphi E 1752 Reportée
1212659 CHAKIR Nouamane Amphi E 1754 Reportée
1209701 CHAKLI Hamza Amphi E 1756 Reportée
1202839 CHANNAOUI Mourad Amphi E 1758 Reportée
1101105 CHANNI Nadia Amphi E 1760 Reportée
1219485 CHAOUCH Khalid Amphi E 1762 Reportée
1111250 CHAOUKI M'hamed Amphi E 1764 Reportée
1108501 CHARAB RIDOUAN Amphi E 1766 Reportée
1203077 CHARBALI MOUNAIM Amphi E 1768 Reportée
1200983 CHARIA Samira Amphi E 1770 Reportée
1107774 CHARIF Badar Amphi E 1772 Reportée
1111267 CHARKI Aidda Amphi E 1774 Reportée
1203691 CHARNAGUI Abdelilah Amphi E 1776 Reportée
1204949 CHARRA Fatiha Amphi E 1778
1201028 CHEJJANI Fahd Amphi E 1780
1112268 CHENOUI Youness Amphi E 1782 Reportée
1219737 CHERIF ELMASLOUHI Fatiha Amphi E 1784 Reportée
1111054 CHERKAOUI Ali Amphi E 1786 Reportée
1101019 CHFIRA Mohamed Amphi E 1788 Reportée
1003425 CHIBANI NAJAT Amphi E 1790
1213829 CHIKAR HASSNA Amphi E 1792 Reportée
1106479 CHINE Zahra Amphi E 1794 Reportée
1108005 CHKEN Imane Amphi E 1796 Reportée
1003409 CHKENE BTISSAM Amphi E 1798 Reportée
1101135 CHKROUN Soumia Amphi E 1800 Reportée
1113810 CHNITEF Brahim Amphi E 1802 Reportée
1209082 CHOUAI Hind Amphi E 1804 Reportée
1101678 CHOUATY Said Amphi E 1806 Reportée
1204460 CHOUAY Boubker Amphi E 1808 Reportée
1102280 CHOUKRI ANASS Amphi E 1810
1203843 CHRIMITE Najat Amphi E 1912
Matière1: Notions fondamentales de Droit public
Matière2: Pouvoir et autorité en Islam 15/46
Filière: Droit arabe
Faculté des sciences juridiques
et Economiques. Marrakech
N° Apogée Nom Prénom Local d'examen N° d'examen Matière1 Matière2
Université Cadi Ayyad
PV de surveillance: Session de rattrapage
Module: Introduction au Droit Public
2012-2013
Semestre1 (nouveau système)
1109901 DADDA Said Amphi Cadi Ayyad 2
1104584 DADDAS Mohamed Amine Amphi Cadi Ayyad 4 Reportée
80002204 DADI SIDI Amphi Cadi Ayyad 6 Reportée
1201343 DAFALI NOUR EDDINE Amphi Cadi Ayyad 8 Reportée
1203333 DAGDAG Imane Amphi Cadi Ayyad 10 Reportée
1208964 DAHBI Abdelkarim Amphi Cadi Ayyad 12
1113291 DAHBI SAMIRA Amphi Cadi Ayyad 14
1220244 DAHROU Badia Amphi Cadi Ayyad 16 Reportée
1105865 DAMIR Mohamed Khalil Amphi Cadi Ayyad 18 Reportée
1209272 DAMOUN Layla Amphi Cadi Ayyad 20 Reportée
1204146 DAOUD Ismail Amphi Cadi Ayyad 22
1204172 DAOUD Khalid Amphi Cadi Ayyad 24 Reportée
1100680 DAOUD Touhajlab Amphi Cadi Ayyad 26 Reportée
1203029 DAOUDI Hamza Amphi Cadi Ayyad 28 Reportée
1107226 DAOUDI Mohamed Amphi Cadi Ayyad 30
1110274 DARDOUCH NAZHA Amphi Cadi Ayyad 32 Reportée
1210575 DARKAOUI Loubna Amphi Cadi Ayyad 34 Reportée
1111251 DAYDA Oum Lakhout Amphi Cadi Ayyad 36 Reportée
1211285 DENDIL ANOUAR Amphi Cadi Ayyad 38
1220423 DIAB Elmustapha Amphi Cadi Ayyad 40 Reportée
1203798 DIB Hassan Amphi Cadi Ayyad 42
1103526 DIBBOU HASNAA Amphi Cadi Ayyad 44 Reportée
1201150 DKHIL Sidati Amphi Cadi Ayyad 46 Reportée
1204647 DOUA Azzddine Amphi Cadi Ayyad 48 Reportée
1219568 DOUBLALI Abdallah Amphi Cadi Ayyad 50 Reportée
1216611 DOUNIA SALAH EDDINE Amphi Cadi Ayyad 52 Reportée
1208909 DOURHANI Sana Amphi Cadi Ayyad 54 Reportée
1203120 DRAOUI Mourad Amphi Cadi Ayyad 56 Reportée
1104370 DREIF Rajaa Amphi Cadi Ayyad 58
1201687 DRIOUCH Ghizlan Amphi Cadi Ayyad 60
1207891 ECHAIN Hamza Amphi Cadi Ayyad 62
1203577 ECHARKAOUI Hicham Amphi Cadi Ayyad 64 Reportée
1202019 ECH-CHAJAI Aouatif Amphi Cadi Ayyad 66 Reportée
1209182 ECHCHARAOUY Rabia Amphi Cadi Ayyad 68
1211176 ECH-CHATOUI Lahcen Amphi Cadi Ayyad 70 Reportée
1103888 ECHEBLI Abderrahim Amphi Cadi Ayyad 72 Reportée
1203285 EDDAHANI Abderrahim Amphi Cadi Ayyad 74 Reportée
1103479 EDDAHI Elbachir Amphi Cadi Ayyad 76
1203367 EDDAKI Brahim Amphi Cadi Ayyad 78 Reportée
1114278 EDDALIA Abdelilah Amphi Cadi Ayyad 80 Reportée
1204956 EDDAOUI Omar Amphi Cadi Ayyad 82 Reportée
1220216 EDDAZI ABDELHADI Amphi Cadi Ayyad 84
1203203 ED-DIREA Abdelghani Amphi Cadi Ayyad 86 Reportée
1203350 EDDNADNI Nabil Amphi Cadi Ayyad 88
1201380 EDRAOUI Abdelouahed Amphi Cadi Ayyad 90
1219922 EJJAOUI Mina Amphi Cadi Ayyad 92
Matière1: Notions fondamentales de Droit public
Matière2: Pouvoir et autorité en Islam 16/46
Filière: Droit arabe
Faculté des sciences juridiques
et Economiques. Marrakech
N° Apogée Nom Prénom Local d'examen N° d'examen Matière1 Matière2
Université Cadi Ayyad
PV de surveillance: Session de rattrapage
Module: Introduction au Droit Public
2012-2013
Semestre1 (nouveau système)
1205161 EKHOUIRA Azeddine Amphi Cadi Ayyad 94 Reportée
1105125 EKHOUIRA Mohamed Amphi Cadi Ayyad 96
1219565 EL AAKAL Rhita Amphi Cadi Ayyad 98 Reportée
1210969 EL AALLAM MARIAM Amphi Cadi Ayyad 100
1220930 EL AATIELLAH ABDELKARIM Amphi Cadi Ayyad 102
1109002 EL ABBASSI SOUKAINA Amphi Cadi Ayyad 104 Reportée
1111226 EL ABBIDI Maryem Amphi Cadi Ayyad 106 Reportée
1203913 EL ABYAD Abderrazzak Amphi Cadi Ayyad 108
1207287 EL ADNANI Abdelhakim Amphi Cadi Ayyad 110 Reportée
1203811 EL AHMADI Mohamed Amphi Cadi Ayyad 112 Reportée
1201032 EL AIMECH Mohamed Amphi Cadi Ayyad 114 Reportée
1108820 EL ALAOUI SALKA Amphi Cadi Ayyad 116 Reportée
1202129 EL ALLAOUI Ali Amphi Cadi Ayyad 118 Reportée
1107613 EL ALLAOUI El Hassane Amphi Cadi Ayyad 120 Reportée
1203584 EL AMIRI Mohammed Zakarya Amphi Cadi Ayyad 122 Reportée
1203074 EL AMMARI Anass Amphi Cadi Ayyad 124
1204328 EL AMRANI Hicham Amphi Cadi Ayyad 126 Reportée
1203343 EL AMRI Ismail Amphi Cadi Ayyad 128 Reportée
1209521 EL AOUAME Othmane Amphi Cadi Ayyad 130
1201798 EL AOUD Mustapha Amphi Cadi Ayyad 132 Reportée
1217400 EL ARABY BRAHIM Amphi Cadi Ayyad 134 Reportée
1201688 EL ARAJI Souad Amphi Cadi Ayyad 136 Reportée
1204970 EL ATIFI Kaoutar Amphi Cadi Ayyad 138
1219628 EL ATRANE Mbarek Amphi Cadi Ayyad 140 Reportée
1220064 EL ATTAR Abdelati Amphi Cadi Ayyad 142 Reportée
1202318 EL AYADY Atef Amphi Cadi Ayyad 144
1220189 EL AYANE Imane Amphi Cadi Ayyad 146 Reportée
1219552 EL AZIZI IBTISSAM Amphi Cadi Ayyad 148 Reportée
1203897 EL BADAOUI Abd El Ali Amphi Cadi Ayyad 150
1219716 EL BADRAOUI Siham Amphi Cadi Ayyad 152 Reportée
1114554 EL BAGAR HASNA Amphi Cadi Ayyad 154 Reportée
1210663 EL BAHANOURI YASSINE Amphi Cadi Ayyad 156
1204409 EL BAHI Hicham Amphi Cadi Ayyad 158 Reportée
1203364 EL BALLOUTI MOHAMMED EL HABIB Amphi Cadi Ayyad 160 Reportée
1203572 EL BANDAKI Mohamed Amphi Cadi Ayyad 162 Reportée
1206212 EL BARAKA Aicha Amphi Cadi Ayyad 164 Reportée
1219699 EL BASIT Zahira Amphi Cadi Ayyad 166
1204890 EL BERKAOUI Souad Amphi Cadi Ayyad 168
1106823 EL BILALI Abdalaziz Amphi Cadi Ayyad 170 Reportée
1114550 EL BOUANANI LAILA Amphi Cadi Ayyad 172 Reportée
1204716 EL BOUAZZAOUI Abdennabi Amphi Cadi Ayyad 174
1111280 EL BOUHI Fadoua Amphi Cadi Ayyad 176 Reportée
1202621 EL BOUKY Mohamed Amphi Cadi Ayyad 178
1203050 EL BOUTAIRI Rania Amphi Cadi Ayyad 180
1205634 EL BOUTI Zakaria Amphi Cadi Ayyad 182
1208830 EL BZAR Youssef Amphi Cadi Ayyad 184
Matière1: Notions fondamentales de Droit public
Matière2: Pouvoir et autorité en Islam 17/46
Filière: Droit arabe
Faculté des sciences juridiques
et Economiques. Marrakech
N° Apogée Nom Prénom Local d'examen N° d'examen Matière1 Matière2
Université Cadi Ayyad
PV de surveillance: Session de rattrapage
Module: Introduction au Droit Public
2012-2013
Semestre1 (nouveau système)
1201793 EL FAAFA Brahim Amphi Cadi Ayyad 186
1216645 EL FAHIM Salah Amphi Cadi Ayyad 188 Reportée
1114402 EL FAHIRI Hasna Amphi Cadi Ayyad 190
1209903 EL FAHLI Sara Amphi Cadi Ayyad 192
1201103 EL FAIZI Meriam Amphi Cadi Ayyad 194
1108318 EL FAKIRI Hafida Amphi Cadi Ayyad 196 Reportée
1208271 EL FALLAOUY Touria Amphi Cadi Ayyad 198 Reportée
1219558 EL FANNICHE Mhamed Amphi Cadi Ayyad 200 Reportée
Matière1: Notions fondamentales de Droit public
Matière2: Pouvoir et autorité en Islam 18/46
Filière: Droit arabe
Faculté des sciences juridiques
et Economiques. Marrakech
N° Apogée Nom Prénom Local d'examen N° d'examen Matière1 Matière2
Université Cadi Ayyad
PV de surveillance: Session de rattrapage
Module: Introduction au Droit Public
2012-2013
Semestre1 (nouveau système)
1202863 EL FARFAR Nadia Amphi Abou El Abbass Essabti 202
1102826 EL FATEHY Mohamed Amphi Abou El Abbass Essabti 204 Reportée
1114762 EL FATIHI Oussama Amphi Abou El Abbass Essabti 206 Reportée
1209555 EL FATIMI Mouhssine Amphi Abou El Abbass Essabti 208 Reportée
1101684 EL FATIMI Ouafa Amphi Abou El Abbass Essabti 210 Reportée
1103180 EL FGUIRICH Mohamed Amphi Abou El Abbass Essabti 212
1108167 EL FTOUAKI Ismail Amphi Abou El Abbass Essabti 214 Reportée
1003517 EL GANDOULI WAFAE Amphi Abou El Abbass Essabti 216 Reportée
1202158 EL GARBA Mina Amphi Abou El Abbass Essabti 218 Reportée
1209798 EL GARNAOUI Rachid Amphi Abou El Abbass Essabti 220 Reportée
1113788 EL GHOMAITY Abdellah Amphi Abou El Abbass Essabti 222 Reportée
1102817 EL GOUNANI Oulaya Amphi Abou El Abbass Essabti 224 Reportée
1102013 EL GUEDDASY HANAN Amphi Abou El Abbass Essabti 226
1219796 EL HADRY Noura Amphi Abou El Abbass Essabti 228 Reportée
1204985 EL HAFIANE Soufiane Amphi Abou El Abbass Essabti 230 Reportée
1220492 EL HAFIANI YOUNES Amphi Abou El Abbass Essabti 232 Reportée
1219582 EL HAICHAMI Imane Amphi Abou El Abbass Essabti 234
1205019 EL HAMDAOUI Abdellatif Amphi Abou El Abbass Essabti 236 Reportée
1209683 EL HAMDI Zahra Amphi Abou El Abbass Essabti 238 Reportée
1216609 EL HAMRI YOUSSEF Amphi Abou El Abbass Essabti 240
1111337 EL HANCHAR Fatima Zahra Amphi Abou El Abbass Essabti 242 Reportée
1204360 EL HANOUNI Bouchaib Amphi Abou El Abbass Essabti 244
1216373 EL HAOUARI Khadija Amphi Abou El Abbass Essabti 246
1208077 EL HARAS Jamila Amphi Abou El Abbass Essabti 248 Reportée
1005731 EL HARRAQ NAOUAL Amphi Abou El Abbass Essabti 250 Reportée
1106683 EL HARTI Amina Amphi Abou El Abbass Essabti 252 Reportée
1110301 EL HASSNAOUI ABDESSMAD Amphi Abou El Abbass Essabti 254 Reportée
1002323 EL HBIRIK ZAHRA Amphi Abou El Abbass Essabti 256 Reportée
1204441 EL HORRE Nassima Amphi Abou El Abbass Essabti 258 Reportée
1208942 EL IDRISSI Mohamed Amphi Abou El Abbass Essabti 260 Reportée
1204764 EL IDRISSI Soukaina Amphi Abou El Abbass Essabti 262 Reportée
1203068 EL IDRISY Brahim Amphi Abou El Abbass Essabti 264 Reportée
1204240 EL IZARI Khalid Amphi Abou El Abbass Essabti 266
1107578 EL JADID Younness Amphi Abou El Abbass Essabti 268 Reportée
1208496 EL JAMI Najwa Amphi Abou El Abbass Essabti 270 Reportée
1201293 EL JEGHEL Abdelghani Amphi Abou El Abbass Essabti 272 Reportée
1217373 EL KABOUSSE NAIMA Amphi Abou El Abbass Essabti 274 Reportée
1205025 EL KALAOUI Hajar Amphi Abou El Abbass Essabti 276 Reportée
1205176 EL KANIT El Mekki Amphi Abou El Abbass Essabti 278 Reportée
1205215 EL KARTOUCHI Asma Amphi Abou El Abbass Essabti 280
1201286 EL KARYA Sanaa Amphi Abou El Abbass Essabti 282
1203165 EL KASSIOUI Elhassan Amphi Abou El Abbass Essabti 284
1108483 EL KHALEJ Ibtissam Amphi Abou El Abbass Essabti 286
1209748 EL KHALFAOUI Othmane Amphi Abou El Abbass Essabti 288 Reportée
1108667 EL KHALIL Khadija Amphi Abou El Abbass Essabti 290
1201324 EL KHALILI Azeddine Amphi Abou El Abbass Essabti 292 Reportée
Matière1: Notions fondamentales de Droit public
Matière2: Pouvoir et autorité en Islam 19/46
Filière: Droit arabe
Faculté des sciences juridiques
et Economiques. Marrakech
N° Apogée Nom Prénom Local d'examen N° d'examen Matière1 Matière2
Université Cadi Ayyad
PV de surveillance: Session de rattrapage
Module: Introduction au Droit Public
2012-2013
Semestre1 (nouveau système)
1203948 EL KHALILI Yassine Amphi Abou El Abbass Essabti 294 Reportée
1114353 EL KHARIJI Abdelilah Amphi Abou El Abbass Essabti 296 Reportée
1218941 EL KHOTFI El Moustapha Amphi Abou El Abbass Essabti 298 Reportée
1210834 EL KIHAL HASSANIA Amphi Abou El Abbass Essabti 300 Reportée
1009015 EL MAALOUM HANANE Amphi Abou El Abbass Essabti 302 Reportée
1205001 EL MAJNAOUI Rida Amphi Abou El Abbass Essabti 304 Reportée
1110389 EL MALHI Fatima Zahra Amphi Abou El Abbass Essabti 306 Reportée
1203089 EL MANSOUR Mohamed Amphi Abou El Abbass Essabti 308 Reportée
1202452 EL MANSOURY Saida Amphi Abou El Abbass Essabti 310
1207855 EL MANYIY Mohammed Amphi Abou El Abbass Essabti 312 Reportée
1201410 EL MARDI Khalid Amphi Abou El Abbass Essabti 314 Reportée
1201557 EL MASKYNY Fatiha Amphi Abou El Abbass Essabti 316
1201906 EL MASMOUDI Mouloud Amphi Abou El Abbass Essabti 318
1105247 EL MATLOUB RADOUAN Amphi Abou El Abbass Essabti 320
1216782 EL MAZOUARI Mohammed Amphi Abou El Abbass Essabti 322 Reportée
1201093 EL MEJDI Imane Amphi Abou El Abbass Essabti 324 Reportée
1200490 EL MEKAOUI Soukaina Amphi Abou El Abbass Essabti 326
1205228 EL MEKKA Najat Amphi Abou El Abbass Essabti 328 Reportée
1219820 EL MELLAH Aziz Amphi Abou El Abbass Essabti 330 Reportée
1203324 EL MESBAHI AATIK Younes Amphi Abou El Abbass Essabti 332 Reportée
1213569 EL MESLOHI Bouchra Amphi Abou El Abbass Essabti 334
1209242 EL MEZOUARI ABDELLATIF Amphi Abou El Abbass Essabti 336
1204833 EL MIALE Soukaina Amphi Abou El Abbass Essabti 338
1210083 EL MIMOUNI Khaoula Amphi Abou El Abbass Essabti 340
1220881 EL MOCHTAJ YOUSSEF Amphi Abou El Abbass Essabti 342
1220313 EL MODAFFAR BOUZEKRI Amphi Abou El Abbass Essabti 344
1205239 EL MOJAHID Assya Amphi Abou El Abbass Essabti 346
1205169 EL MOJAHID Mina Amphi Abou El Abbass Essabti 348 Reportée
1201143 EL MOJAHID Najat Amphi Abou El Abbass Essabti 350 Reportée
1202170 EL MOOTASIM Khadija Amphi Abou El Abbass Essabti 352
1205221 EL MORSLI Youssef Amphi Abou El Abbass Essabti 354 Reportée
1201027 EL MOUEFFAK Najia Amphi Abou El Abbass Essabti 356
1219722 EL MOUHI Imad Amphi Abou El Abbass Essabti 358 Reportée
1201253 EL MOUJIB Zohra Amphi Abou El Abbass Essabti 360 Reportée
1201396 EL MOUMNI Nezha Amphi Abou El Abbass Essabti 362
1115941 EL MOUNTASSIR AHMED Amphi Abou El Abbass Essabti 364 Reportée
1220426 EL MOUNTASSIR SABIR Amphi Abou El Abbass Essabti 366 Reportée
1202592 EL MOURABIT Abdelouahab Amphi Abou El Abbass Essabti 368 Reportée
1204469 EL MOUSSAOUI Oussama Amphi Abou El Abbass Essabti 370 Reportée
1201635 EL MOUTAOUAKIL Fatima Ezzahra Amphi Abou El Abbass Essabti 372 Reportée
1204872 EL MOUTAOUAKIL Rachida Amphi Abou El Abbass Essabti 374 Reportée
1208921 EL MOUTAOUAKKAL Wafae Amphi Abou El Abbass Essabti 376
1207921 EL ORCHE Soufiane Amphi Abou El Abbass Essabti 378 Reportée
1219707 EL OUAHABI Salwa Amphi Abou El Abbass Essabti 380 Reportée
1107095 EL OUAHHABI Said Amphi Abou El Abbass Essabti 382
1202291 EL OUAHI Hamza Amphi Abou El Abbass Essabti 384 Reportée
Matière1: Notions fondamentales de Droit public
Matière2: Pouvoir et autorité en Islam 20/46
Filière: Droit arabe
Faculté des sciences juridiques
et Economiques. Marrakech
N° Apogée Nom Prénom Local d'examen N° d'examen Matière1 Matière2
Université Cadi Ayyad
PV de surveillance: Session de rattrapage
Module: Introduction au Droit Public
2012-2013
Semestre1 (nouveau système)
1220941 EL OUAHMANI EL OUANNAT Amphi Abou El Abbass Essabti 386 Reportée
1208944 EL OUARAT Raja Amphi Abou El Abbass Essabti 388 Reportée
1219774 EL OUARDI FANIDA Amphi Abou El Abbass Essabti 390 Reportée
Matière1: Notions fondamentales de Droit public
Matière2: Pouvoir et autorité en Islam 21/46
Filière: Droit arabe
Faculté des sciences juridiques
et Economiques. Marrakech
N° Apogée Nom Prénom Local d'examen N° d'examen Matière1 Matière2
Université Cadi Ayyad
PV de surveillance: Session de rattrapage
Module: Introduction au Droit Public
2012-2013
Semestre1 (nouveau système)
1107995 EL OUARDI Hanane Amphi Imam Malik 582 Reportée
1203135 EL OUARGA Younes Amphi Imam Malik 584 Reportée
1220880 EL OUARITI RACHID Amphi Imam Malik 586
1201200 EL OUATIK Rachid Amphi Imam Malik 588
1217548 EL OURES ABDELHAK Amphi Imam Malik 590
1202229 EL QARBALI Hassan Amphi Imam Malik 592
1202827 EL QASEMY Mohsin Amphi Imam Malik 594 Reportée
1211206 EL QAZOUINI Houda Amphi Imam Malik 596
1201226 EL QORAYCHY Noura Amphi Imam Malik 598 Reportée
1202219 EL QORI Mohammed Amphi Imam Malik 600 Reportée
1210326 EL RHAZI Hanan Amphi Imam Malik 602
1211124 EL RHAZLAOUI Zineb Amphi Imam Malik 604 Reportée
1203347 EL RHOURBA Badreddine Amphi Imam Malik 606
1204913 EL RHOURBA Khalid Amphi Imam Malik 608
1204957 EL WARZAZI Sabah Amphi Imam Malik 610 Reportée
1204630 EL YAQOUTY Ghita Amphi Imam Malik 612 Reportée
1204106 EL YOUSSOUFI Fouzia Amphi Imam Malik 614 Reportée
1203561 EL YOUSSOUFI Halima Amphi Imam Malik 616 Reportée
1201576 ELAABBADI Mustapha Amphi Imam Malik 618 Reportée
1111119 ELAALLAOUI Imane Amphi Imam Malik 620
1201650 ELAAYNOUSS Rachid Amphi Imam Malik 622
1106482 ELABBOUCHI Brahim Amphi Imam Malik 624 Reportée
1201392 ELABSSANI Amin Amphi Imam Malik 626 Reportée
1100423 ELABYAD Hasna Amphi Imam Malik 628 Reportée
1220054 ELAICH Halima Amphi Imam Malik 630
1106998 ELAKKAD Abdelhakim Amphi Imam Malik 632 Reportée
1210902 ELALAOUI Abdelkarim Amphi Imam Malik 634 Reportée
1219874 ELALAOUI LASMAILI Hajar Amphi Imam Malik 636
1103894 ELALLAOUI Noura Amphi Imam Malik 638 Reportée
1203201 ELALOUANI Hajar Amphi Imam Malik 640
1204980 ELALY Hassane Amphi Imam Malik 642
1201142 EL-AMMARI Mohamed Amphi Imam Malik 644
1207705 ELAOMARI Elmehdi Amphi Imam Malik 646 Reportée
1201794 ELAOUAJI Hicham Amphi Imam Malik 648 Reportée
1208658 ELARGANE Hamza Amphi Imam Malik 650
1004546 ELASRI MOHAMED Amphi Imam Malik 652 Reportée
1201364 ELATTARI Hamza Amphi Imam Malik 654 Reportée
1107542 ELAZAOUI Laila Amphi Imam Malik 656
1206523 ELBAAZIZI Abdelghani Amphi Imam Malik 658 Reportée
1203873 ELBACHLAOUI KAWTAR Amphi Imam Malik 660 Reportée
1203751 EL-BADAOUI Khaled Amphi Imam Malik 662
1208249 ELBADRA Houda Amphi Imam Malik 664
1211408 ELBAHIRA Brahim Amphi Imam Malik 666 Reportée
1203030 ELBANAN Sofiane Amphi Imam Malik 668 Reportée
1109768 ELBANNAOUY Lhoucine Amphi Imam Malik 670
1210291 ELBARI Fatima Amphi Imam Malik 672 Reportée
Matière1: Notions fondamentales de Droit public
Matière2: Pouvoir et autorité en Islam 22/46
Filière: Droit arabe
Faculté des sciences juridiques
et Economiques. Marrakech
N° Apogée Nom Prénom Local d'examen N° d'examen Matière1 Matière2
Université Cadi Ayyad
PV de surveillance: Session de rattrapage
Module: Introduction au Droit Public
2012-2013
Semestre1 (nouveau système)
1005644 ELBARIKI AHMED Amphi Imam Malik 674 Reportée
1203073 ELBARKAOUI Ismail Amphi Imam Malik 676 Reportée
1210250 ELBARNOUSSI Noura Amphi Imam Malik 678 Reportée
1219430 ELBAZ SIHAM Amphi Imam Malik 680 Reportée
1203848 ELBAZOUNI Khalid Amphi Imam Malik 682
1106630 ELBELDI Iliasse Amphi Imam Malik 684 Reportée
1100757 ELBKHATI Imad Amphi Imam Malik 686 Reportée
1001240 ELBOUAICHI ISMAIL Amphi Imam Malik 688 Reportée
1201041 ELBOUDALI Yassine Amphi Imam Malik 690
1204906 ELBOUHDOUDI Mohammed Amphi Imam Malik 692
1202062 ELFAKIR ABDELJALIL Amphi Imam Malik 694 Reportée
1102027 ELFATHI Abderrahim Amphi Imam Malik 696 Reportée
1203922 ELFATHI Charaf Amphi Imam Malik 698
1202149 ELFATIHI Radouan Amphi Imam Malik 700
1219544 ELGARBA Fatimezzahrae Amphi Imam Malik 702
1220927 ELGARD HAJAR Amphi Imam Malik 704
1004322 ELGHAMRI ABDESLAM Amphi Imam Malik 706 Reportée
1107729 EL-GHAZELY Bouziyane Amphi Imam Malik 708 Reportée
1203234 ELHACHTAR Rachid Amphi Imam Malik 710
1005193 ELHADDAD YASSINE Amphi Imam Malik 712 Reportée
1203895 ELHAFYANI Rahhal Amphi Imam Malik 714 Reportée
1202730 ELHAJAJI Hassan Amphi Imam Malik 716
1115647 ELHAMEIM OMER Amphi Imam Malik 718
1113826 EL-HAMEL HALIMA Amphi Imam Malik 720 Reportée
9292680 ELHAMEL RACHID Amphi Imam Malik 722
1203071 ELHAMIDI Rida Amphi Imam Malik 724
1210266 ELHAMZAOUI Mareym Amphi Imam Malik 726
1205173 ELHAOUASSI Samya Amphi Imam Malik 728
1207223 ELHARAS Mouhssine Amphi Imam Malik 730
1211081 ELHASSANY Somayya Amphi Imam Malik 732
1201212 ELHASSARI Zoheir Amphi Imam Malik 734 Reportée
1220307 ELHOUST Karima Amphi Imam Malik 736
1203276 EL-IBRAHYMY Latifa Amphi Imam Malik 738
1202107 ELIDRISSI Mourad Amphi Imam Malik 740 Reportée
1211296 ELIDRISSI DAFALI ABDENACER Amphi Imam Malik 742
1205646 EL-JABIRY Redouane Amphi Imam Malik 744
1219747 EL-JAKANI HANA Amphi Imam Malik 746 Reportée
1201773 ELJAKANI Toufiq Amphi Imam Malik 748 Reportée
1218997 ELJJABRI Abdelfatah Amphi Imam Malik 750
1203041 ELKABOUS Ismail Amphi Imam Malik 752
1216695 ELKABRITI Meriem Amphi Imam Malik 754
1204011 ELKADRI Rabab Amphi Imam Malik 756
1219652 ELKAFI NADIA Amphi Imam Malik 758
1208628 ELKAFRAOUI Najia Amphi Imam Malik 760 Reportée
1210738 ELKAYROUH Brahim Amphi Imam Malik 762 Reportée
1209190 ELKENTI Ismail Amphi Imam Malik 764 Reportée
Matière1: Notions fondamentales de Droit public
Matière2: Pouvoir et autorité en Islam 23/46
Filière: Droit arabe
Faculté des sciences juridiques
et Economiques. Marrakech
N° Apogée Nom Prénom Local d'examen N° d'examen Matière1 Matière2
Université Cadi Ayyad
PV de surveillance: Session de rattrapage
Module: Introduction au Droit Public
2012-2013
Semestre1 (nouveau système)
1113461 ELKHARTA Redouane Amphi Imam Malik 766
1204853 ELKISSAI Hasnae Amphi Imam Malik 768 Reportée
1000710 ELKRAYFI NOUR EDDINE Amphi Imam Malik 770
1201305 ELLAOU Lamnia Amphi Imam Malik 772 Reportée
1219625 ELLEMYSY Chadia Amphi Imam Malik 774 Reportée
1204166 ELMAHJOUBI Lamia Amphi Imam Malik 776
1201601 ELMAJDOUBI Radouane Amphi Imam Malik 778
1209761 ELMALATI Said Amphi Imam Malik 780
1208104 ELMANSOURI Abderrahim Amphi Imam Malik 782
1216665 ELMANSOURI Sara Amphi Imam Malik 784 Reportée
1009442 ELMENNOUAR RABIE Amphi Imam Malik 786 Reportée
1219733 ELMEZOUARI Abderrahman Amphi Imam Malik 788 Reportée
1100617 ELMEZOUARI Elyas Amphi Imam Malik 790 Reportée
1201015 ELMIKH Mohamed Amphi Imam Malik 792
1205212 ELMILOUAY Houria Amphi Imam Malik 794 Reportée
1201204 ELMONTASER Laila Amphi Imam Malik 796
1203946 ELMOUADDINE Elhassan Amphi Imam Malik 798 Reportée
1201317 ELMOURABIT SOUFIANE Amphi Imam Malik 800 Reportée
1201751 ELMOUSSAOUI Abdessamad Amphi Imam Malik 802
1204030 EL-OMARI Leila Amphi Imam Malik 804 Reportée
1209087 ELOUAABANI Yassine Amphi Imam Malik 806 Reportée
1209352 ELOUAHRANI Sanae Amphi Imam Malik 808 Reportée
1220784 EL-OUALI MOHA Amphi Imam Malik 810 Reportée
1208507 ELOUALIDI Soaad Amphi Imam Malik 812 Reportée
1210275 ELOUARANI Abdelahak Amphi Imam Malik 814
1210027 ELOUARDI MERYEM Amphi Imam Malik 816 Reportée
1110868 ELOUASSI Bouchra Amphi Imam Malik 818 Reportée
1114646 EL-OUATQI Khaoula Amphi Imam Malik 820 Reportée
1201387 ELQEBAYLY Mina Amphi Imam Malik 822
1102527 ELRHAZWANI Mustapha Amphi Imam Malik 824 Reportée
1209294 ELYAFIY Dounia Amphi Imam Malik 826
1203629 ENNAB Saida Amphi Imam Malik 828 Reportée
1203799 ENNACIRI Faical Amphi Imam Malik 830 Reportée
1105457 ENNACIRI Mohamed Amphi Imam Malik 832 Reportée
1214053 ENNACIRI Naima Amphi Imam Malik 834
1110992 ENNACIRI Rabab Amphi Imam Malik 836 Reportée
1210894 ENNADIFI Kenza Amphi Imam Malik 838 Reportée
1219517 ENNAHDI Khalid Amphi Imam Malik 840 Reportée
1201003 ENNAJMI Ayoub Amphi Imam Malik 842 Reportée
1205255 ENNAKKACH Badr Amphi Imam Malik 844
1205898 ENNAOURI Dounia Amphi Imam Malik 846
1202178 ENNASFI Malika Amphi Imam Malik 848 Reportée
1201075 ENNAZI Wafaa Amphi Imam Malik 850 Reportée
1201385 EN-NEJMAOUI Abdelilah Amphi Imam Malik 852 Reportée
1217503 ENNOUIDRATE MOHAMED LARBI Amphi Imam Malik 854 Reportée
1201330 ERRAGADI Anas Amphi Imam Malik 856 Reportée
Matière1: Notions fondamentales de Droit public
Matière2: Pouvoir et autorité en Islam 24/46
Filière: Droit arabe
Faculté des sciences juridiques
et Economiques. Marrakech
N° Apogée Nom Prénom Local d'examen N° d'examen Matière1 Matière2
Université Cadi Ayyad
PV de surveillance: Session de rattrapage
Module: Introduction au Droit Public
2012-2013
Semestre1 (nouveau système)
1204814 ERRAGUITI Hanan Amphi Imam Malik 858 Reportée
1115791 ERRAHILI Malika Amphi Imam Malik 860 Reportée
1202394 ERRAHMANI Soukaina Amphi Imam Malik 862 Reportée
1220382 ERRAIS Abderrazak Amphi Imam Malik 864 Reportée
1206799 ER-RAMCHANY Rachida Amphi Imam Malik 866
1205697 ER-RAMI Issam Amphi Imam Malik 868 Reportée
1107409 ERRAMI Abdellatif Amphi Imam Malik 870
1202836 ER-REBAA Yassine Amphi Imam Malik 872 Reportée
1108268 ER-RGUI Latifa Amphi Imam Malik 874
1204117 ERRIDA Raja Amphi Imam Malik 876 Reportée
7026950 ERROUBAI YOUSSEF A SAISIR Amphi Imam Malik 878 Reportée
1206417 ES SINNANI Youness Amphi Imam Malik 880
Matière1: Notions fondamentales de Droit public
Matière2: Pouvoir et autorité en Islam 25/46
Filière: Droit arabe
Faculté des sciences juridiques
et Economiques. Marrakech
N° Apogée Nom Prénom Local d'examen N° d'examen Matière1 Matière2
Université Cadi Ayyad
PV de surveillance: Session de rattrapage
Module: Introduction au Droit Public
2012-2013
Semestre1 (nouveau système)
1205635 ESAHIB Jaouad salle 1 2272
1202254 ESINFI Soufian salle 1 2274
1219634 ESKALLI Abdelatif salle 1 2276 Reportée
1210330 ESSAAFADI Fatima Ezzahra salle 1 2278 Reportée
1219792 ES-SABBAR YOUNES salle 1 2280 Reportée
1202071 ESSABBATI Soumia salle 1 2282
1201254 ESSABHI Bouchra salle 1 2284
1100639 ES-SADEQY Fouad salle 1 2286
1219434 ESSAFI AKHLIFA salle 1 2288
1201088 ESSAHRAOUI Rahhal salle 1 2290 Reportée
1219525 ESSAKOURI HAMID salle 1 2292 Reportée
1216775 ESSALHI Abdelilah salle 1 2294 Reportée
1108296 ES-SANGRI Tarik salle 1 2296 Reportée
1219784 ESSAOUDI Soufiane salle 1 2298 Reportée
1205184 ESSARRAOUI Mohammed salle 1 2300 Reportée
1207986 ESSARRARR Nejma salle 1 2302
1205187 ESSARSAR Wafa salle 1 2304 Reportée
1201363 ESSEHARI Said salle 1 2306
1204082 ESSELLAMI Abdelghani salle 1 2308
6025464 ESSENAK ABDELLAH A SAISIR salle 1 2310
1105468 ESSERAKHI MOHAMED salle 1 2312
1202959 ESSERRAKH Iatimad salle 1 2314
1108465 ESSERSAR Ahmad salle 1 2316 Reportée
1201271 ESSOUAFE Younes salle 1 2318
1214836 ESSOULLAMI Mohamed Rida salle 1 2320
1204672 ETTABAA Khadija salle 1 2322 Reportée
1205125 ET-TAHHANE Lahoucine salle 1 2324 Reportée
1201686 ET-TAHIRI ABDELMOUTTALIB salle 1 2326 Reportée
1203941 ETTAHOUN Naim salle 1 2328 Reportée
1103756 ET-TALBI Wassila salle 1 2330 Reportée
1209275 ETTALIBI Abdelghani salle 1 2332 Reportée
1205146 ETTALIE Marwa salle 1 2334 Reportée
1201992 ET-TAMRY Hajar salle 1 2336 Reportée
1205853 ETTANTANAT Mohamed salle 1 2338
1210182 ET-TAOUAF Najia salle 1 2340 Reportée
Matière1: Notions fondamentales de Droit public
Matière2: Pouvoir et autorité en Islam 26/46
Filière: Droit arabe
Faculté des sciences juridiques
et Economiques. Marrakech
N° Apogée Nom Prénom Local d'examen N° d'examen Matière1 Matière2
Université Cadi Ayyad
PV de surveillance: Session de rattrapage
Module: Introduction au Droit Public
2012-2013
Semestre1 (nouveau système)
1103821 ETTAQY Hicham salle 2 2342 Reportée
1108660 ETTARFASS Mailamnine salle 2 2344 Reportée
1108271 ETTARROU Hicham salle 2 2346 Reportée
1102597 EZ RAIGINATTE Mohamed salle 2 2348 Reportée
1209147 EZ ZAIME FATIMA salle 2 2350 Reportée
1203650 EZ ZARFI Hicham salle 2 2352
1202898 EZERRAF Aziza salle 2 2354 Reportée
1103578 EZNIBER SARA salle 2 2356 Reportée
1207314 EZRIA Ismail salle 2 2358 Reportée
1203661 EZRIBATE Zakariae salle 2 2360 Reportée
1204767 EZZAIGHI Nawal salle 2 2362 Reportée
1115610 EZZAKI Mohcine salle 2 2364 Reportée
1210990 EZZAKRAOUI KHALID salle 2 2366
1205126 EZZAOUIA Oualid salle 2 2368 Reportée
1100654 EZZFIRI Siham salle 2 2370 Reportée
1220348 EZZINE BAIGHIA salle 2 2372 Reportée
1218951 EZZIYADI Ilham salle 2 2374
Matière1: Notions fondamentales de Droit public
Matière2: Pouvoir et autorité en Islam 27/46
Filière: Droit arabe
Faculté des sciences juridiques
et Economiques. Marrakech
N° Apogée Nom Prénom Local d'examen N° d'examen Matière1 Matière2
Université Cadi Ayyad
PV de surveillance: Session de rattrapage
Module: Introduction au Droit Public
2012-2013
Semestre1 (nouveau système)
1204143 FACHATTI Zakaria Amphi allal El Fassi 392
1204478 FADAD Ghizlane Amphi allal El Fassi 394
1104626 FAGHRI BACHIR Amphi allal El Fassi 396 Reportée
1201130 FAGROUCH Soufiane Amphi allal El Fassi 398
1202126 FAHIM Mohamed Amphi allal El Fassi 400
1209151 FAHIM Rabiaa Amphi allal El Fassi 402
1209044 FAHMI Chouaib Amphi allal El Fassi 404 Reportée
1205912 FAKHOURY El Mokhtar Amphi allal El Fassi 406
1204828 FAKIR Kaoutar Amphi allal El Fassi 408 Reportée
1100337 FALFACH Ettalmidi Amphi allal El Fassi 410 Reportée
1203866 FALOUSSI Youness Amphi allal El Fassi 412 Reportée
1219894 FAQIHI MAJDA Amphi allal El Fassi 414
1203288 FARES Soufyane Amphi allal El Fassi 416 Reportée
1204925 FARHI Abdlbarr Amphi allal El Fassi 418 Reportée
1205186 FARIS Hasnaa Amphi allal El Fassi 420
1201248 FARNOUSSE Mounia Amphi allal El Fassi 422
1211164 FATTOUKH Hind Amphi allal El Fassi 424 Reportée
1203306 FERHAN Hamid Amphi allal El Fassi 426
1203634 FIHAM Salwa Amphi allal El Fassi 428
1103052 FIKRI EL MEHDI Amphi allal El Fassi 430
1204410 FILALI Mohamed Amphi allal El Fassi 432 Reportée
1201569 FNIDOU MOHAMED Amphi allal El Fassi 434 Reportée
1204889 FOUNDOU Brahim Amphi allal El Fassi 436
1203815 FOUNTI Abderrafik Amphi allal El Fassi 438 Reportée
1203919 GARICH Ramzi Amphi allal El Fassi 440 Reportée
1201783 GASMI Soumia Amphi allal El Fassi 442 Reportée
1220052 GASMILI Mohamed Amphi allal El Fassi 444 Reportée
1205202 GHALBANE Mohamed Amphi allal El Fassi 446 Reportée
1202509 GHALMI Intissar Amphi allal El Fassi 448
1201214 GHANEM Badr Amphi allal El Fassi 450 Reportée
1219441 GHANIM Hamza Amphi allal El Fassi 452
1202927 GHARIB Abdelmoughit Amphi allal El Fassi 454
1209585 GHAZAL Yassine Amphi allal El Fassi 456 Reportée
1210879 GHIAB Asma Amphi allal El Fassi 458 Reportée
1110789 GHOULAM Kamal Amphi allal El Fassi 460 Reportée
1217554 GOUBRAIM ISSAM Amphi allal El Fassi 462
1202203 GOUCHGUE Kamal Amphi allal El Fassi 464
1111685 GOUGOU Yassin Amphi allal El Fassi 466 Reportée
1100775 GOUIRIR Mhamed Amphi allal El Fassi 468 Reportée
1210571 GOUIRIR Najem Amphi allal El Fassi 470
1209527 GOUNAINE Btissam Amphi allal El Fassi 472
1219632 GOUZDINE Soukaina Amphi allal El Fassi 474 Reportée
1201322 GRIDI Rachid Amphi allal El Fassi 476
1204044 GUECHAIRI Yassine Amphi allal El Fassi 478
1201665 GUELLI Redouane Amphi allal El Fassi 480 Reportée
1111067 GUIDAM Abdelhakim Amphi allal El Fassi 482
Matière1: Notions fondamentales de Droit public
Matière2: Pouvoir et autorité en Islam 28/46
Filière: Droit arabe
Faculté des sciences juridiques
et Economiques. Marrakech
N° Apogée Nom Prénom Local d'examen N° d'examen Matière1 Matière2
Université Cadi Ayyad
PV de surveillance: Session de rattrapage
Module: Introduction au Droit Public
2012-2013
Semestre1 (nouveau système)
1108503 GUOUAYCH Abdelali Amphi allal El Fassi 484 Reportée
1219291 GZOULI Youssef Amphi allal El Fassi 486 Reportée
1203898 HABACHE Jihad Amphi allal El Fassi 488 Reportée
1201174 HABBOUCH Soufia Amphi allal El Fassi 490 Reportée
1203688 HACHIMI Mohamed Amphi allal El Fassi 492 Reportée
1202791 HACHIMI Monir Amphi allal El Fassi 494 Reportée
1202124 HADDI Maeleinine Amphi allal El Fassi 496 Reportée
1203128 HADDOU Anass Amphi allal El Fassi 498 Reportée
1202202 HADDOUCH Hichame Amphi allal El Fassi 500 Reportée
1112014 HAFIR Mustapha Amphi allal El Fassi 502 Reportée
1203977 HAGGAN Raihane Amphi allal El Fassi 504 Reportée
1102028 HAIDA Hicham Amphi allal El Fassi 506
1212489 HAIDANE Mohamed Yeslem Amphi allal El Fassi 508 Reportée
1219649 HAISSOUNE Mahmoud Amphi allal El Fassi 510
1216749 HAJAJ YASSINE Amphi allal El Fassi 512 Reportée
1201949 HAKIM Ayoub Amphi allal El Fassi 514 Reportée
1204531 HALLAB Abdellah Amphi allal El Fassi 516 Reportée
1204412 HALLI Monir Amphi allal El Fassi 518 Reportée
1208760 HALLOUTA El Mahdi Amphi allal El Fassi 520 Reportée
1220989 HALOUS SI MOHAMED Amphi allal El Fassi 522
1219554 HAMAMA Sara Amphi allal El Fassi 524 Reportée
1202316 HAMDAD Karima Amphi allal El Fassi 526
1004727 HAMMADI MOHAMMED Amphi allal El Fassi 528 Reportée
1201146 HAMMI Mustapha Amphi allal El Fassi 530
1203998 HAMMIM Hicham Amphi allal El Fassi 532 Reportée
1205678 HAMOUDAT Mohamed Amphi allal El Fassi 534 Reportée
1204036 HAND Soukaina Amphi allal El Fassi 536 Reportée
1209108 HANTOUM Hamid Amphi allal El Fassi 538 Reportée
1111076 HANYN Abdelkarim Amphi allal El Fassi 540
5006264 HARAKATI BENNACEUR Amphi allal El Fassi 542
1209463 HARCHAOUI Ismail Amphi allal El Fassi 544 Reportée
1204121 HARGUI Fatima Amphi allal El Fassi 546 Reportée
1100476 HAROUAK HOUDA Amphi allal El Fassi 548 Reportée
1106503 HAROUK Abdellatif Amphi allal El Fassi 550 Reportée
1114493 HARTFI HASNA Amphi allal El Fassi 552
1216389 HASSANA Aicha Amphi allal El Fassi 554
1219508 HASSANI El Habib Amphi allal El Fassi 556 Reportée
1205616 HASSAR Ayoub Amphi allal El Fassi 558 Reportée
1201213 HASYN Essaid Amphi allal El Fassi 560 Reportée
1201315 HCINE Karam-eddine Amphi allal El Fassi 562 Reportée
1219906 HDADOU AZIA Amphi allal El Fassi 564 Reportée
1115784 HILMI Meryem Amphi allal El Fassi 566 Reportée
1202904 HJAJI Azzedine Amphi allal El Fassi 568 Reportée
1205072 HMAYDANE Halima Amphi allal El Fassi 570 Reportée
1208950 HMIDOUCH Ouafa Amphi allal El Fassi 572
1203320 HMIMID ABDELAZIZ Amphi allal El Fassi 574 Reportée
Matière1: Notions fondamentales de Droit public
Matière2: Pouvoir et autorité en Islam 29/46
Filière: Droit arabe
Faculté des sciences juridiques
et Economiques. Marrakech
N° Apogée Nom Prénom Local d'examen N° d'examen Matière1 Matière2
Université Cadi Ayyad
PV de surveillance: Session de rattrapage
Module: Introduction au Droit Public
2012-2013
Semestre1 (nouveau système)
1203239 HNI Mohamed Amphi allal El Fassi 576
1202325 HOULMANE Mohammed Amphi allal El Fassi 578 Reportée
1203031 HOUOUA Abdessadek Amphi allal El Fassi 580
Matière1: Notions fondamentales de Droit public
Matière2: Pouvoir et autorité en Islam 30/46
Filière: Droit arabe
Faculté des sciences juridiques
et Economiques. Marrakech
N° Apogée Nom Prénom Local d'examen N° d'examen Matière1 Matière2
Université Cadi Ayyad
PV de surveillance: Session de rattrapage
Module: Introduction au Droit Public
2012-2013
Semestre1 (nouveau système)
1206316 HOUOUA Redouane Amphi ibn Rochd 882
1201762 HSSINI Ihsane Amphi ibn Rochd 884 Reportée
1109281 IAAR Soufiane Amphi ibn Rochd 886
1211004 IAAZZA Soukaina Amphi ibn Rochd 888 Reportée
1004120 IBN ELOTHMANI SANA Amphi ibn Rochd 890 Reportée
1216716 IBN RAZZOUQ HANANE Amphi ibn Rochd 892
1106755 IBNOU EL ARAB Jaouad Amphi ibn Rochd 894 Reportée
1202224 IBNOU ZAHER Anas Amphi ibn Rochd 896 Reportée
1104728 ICHOUANE Abdellatif Amphi ibn Rochd 898 Reportée
1219693 ID MESSAOUD Soufiane Amphi ibn Rochd 900
1219575 IDHAKI Saida Amphi ibn Rochd 902
1204882 IDLAHSEN Nadia Amphi ibn Rochd 904
1203313 IDOUAKASS Sana Amphi ibn Rochd 906
1204887 IDYOUSSE Amina Amphi ibn Rochd 908
1202201 IGARDY Abdellah Amphi ibn Rochd 910 Reportée
1111041 IGDEM Aicha Amphi ibn Rochd 912 Reportée
1205216 IGHIL Abdelaaziz Amphi ibn Rochd 914 Reportée
1203369 IGUERGSS Abdelkhalek Amphi ibn Rochd 916
1210954 IHACHKAR Jamal Amphi ibn Rochd 918 Reportée
1209086 IHCHACH Abdeljabbar Amphi ibn Rochd 920 Reportée
1003103 IKRAM YOUSSEF Amphi ibn Rochd 922 Reportée
1209569 IMADIDENE Fatima Zahra Amphi ibn Rochd 924 Reportée
1210306 INJAR Faiza Amphi ibn Rochd 926 Reportée
1205084 ISFAR Khadija Amphi ibn Rochd 928 Reportée
1204045 ITSMAIL RIDDOUANE Amphi ibn Rochd 930 Reportée
1219695 IZIKI ASMAE Amphi ibn Rochd 932 Reportée
1203612 JAA Omar Amphi ibn Rochd 934 Reportée
1112453 JAAFARI Abdelkarim Amphi ibn Rochd 936 Reportée
1216739 JABBOUR Kamal Amphi ibn Rochd 938 Reportée
1203597 JABOUNE EL HOUSSAINE Amphi ibn Rochd 940
1201791 JABRANE Houria Amphi ibn Rochd 942
1204621 JABRANE Noura Amphi ibn Rochd 944 Reportée
1203801 JAD YASSINE Amphi ibn Rochd 946 Reportée
1210829 JAGUIGUIR Faysal Amphi ibn Rochd 948 Reportée
1207058 JAMATTE Mohamed Amphi ibn Rochd 950
1204423 JANADI Hamza Amphi ibn Rochd 952 Reportée
1208487 JANANE Redouane Amphi ibn Rochd 954 Reportée
1201709 JAOUAD Lagribi Amphi ibn Rochd 956
1216312 JAOUHAR Adil Amphi ibn Rochd 958 Reportée
1201132 JARFI Fadila Amphi ibn Rochd 960
1201350 JAROUM Hind Amphi ibn Rochd 962 Reportée
1203222 JARRAF Hicham Amphi ibn Rochd 964 Reportée
1217506 JELOUANE MOUHIEDDINE Amphi ibn Rochd 966 Reportée
1108727 JIAD Hassna Amphi ibn Rochd 968 Reportée
1101184 JIDER Chadia Amphi ibn Rochd 970 Reportée
1111293 JNAH Amine Amphi ibn Rochd 972 Reportée
Matière1: Notions fondamentales de Droit public
Matière2: Pouvoir et autorité en Islam 31/46
Filière: Droit arabe
Faculté des sciences juridiques
et Economiques. Marrakech
N° Apogée Nom Prénom Local d'examen N° d'examen Matière1 Matière2
Université Cadi Ayyad
PV de surveillance: Session de rattrapage
Module: Introduction au Droit Public
2012-2013
Semestre1 (nouveau système)
1220413 JNAH DOUNIA Amphi ibn Rochd 974
1203936 JNAHI Lahcen Amphi ibn Rochd 976 Reportée
1210242 KABADI El Hassania Amphi ibn Rochd 978 Reportée
1104158 KABIRI Abdessalam Amphi ibn Rochd 980 Reportée
1209120 KABLAOUI Rahal Amphi ibn Rochd 982 Reportée
1203997 KADDOURI Hind Amphi ibn Rochd 984 Reportée
1219467 KADDOURI SALAH EDDINE Amphi ibn Rochd 986 Reportée
1205201 KAFOUNI Abdellah Amphi ibn Rochd 988 Reportée
1106585 KAIKAT Simohamed Amphi ibn Rochd 990 Reportée
1210111 KAMEL Asma Amphi ibn Rochd 992 Reportée
1219713 KANANE Imane Amphi ibn Rochd 994 Reportée
1114231 KANI Khalid Amphi ibn Rochd 996
1221024 KARA ZAKARIA Amphi ibn Rochd 998 Reportée
1109953 KARAALILE Fatima Zahra Amphi ibn Rochd 1000 Reportée
1203864 KARAM Imad Eddine Amphi ibn Rochd 1002 Reportée
1219746 KARIM BRAHIM Amphi ibn Rochd 1004 Reportée
1208689 KAROUAL Mohammed Amphi ibn Rochd 1006 Reportée
1220245 KASSI Soufiane Amphi ibn Rochd 1008
1219788 KASSIMI Aziz Amphi ibn Rochd 1010 Reportée
1201779 KASSOUANE Asma Amphi ibn Rochd 1012
1205695 KATFI Khadija Amphi ibn Rochd 1014
1108743 KATITI Yassine Amphi ibn Rochd 1016 Reportée
1210169 KHADIR Fatima Amphi ibn Rochd 1018 Reportée
1209871 KHADIR Soufiane Amphi ibn Rochd 1020
1111211 KHAIRAT Bouchra Amphi ibn Rochd 1022 Reportée
1219919 KHAL Othmane Amphi ibn Rochd 1024 Reportée
1217395 KHARBOUCH ABDELILAH Amphi ibn Rochd 1026 Reportée
1210323 KHARDALI Siham Amphi ibn Rochd 1028 Reportée
1111830 KHASMANI Siham Amphi ibn Rochd 1030
1202087 KHATRANI Saida Amphi ibn Rochd 1032 Reportée
1105578 KHITAM Amina Amphi ibn Rochd 1034 Reportée
1201968 KHIZZIOUI Anas Amphi ibn Rochd 1036 Reportée
1205093 KILALI Ahmed Amphi ibn Rochd 1038
1203878 KORRAY Naoual Amphi ibn Rochd 1040 Reportée
1204257 KOUBAIL Abdsamad Amphi ibn Rochd 1042 Reportée
1201151 KOUIDER Latifa Amphi ibn Rochd 1044 Reportée
1201092 KOUISSI Sabrine Amphi ibn Rochd 1046 Reportée
1202147 KOURD SARA Amphi ibn Rochd 1048 Reportée
1105901 KRATES Mehdi El Khir Amphi ibn Rochd 1050
1203317 KSIKES Mohamed Elmehdi Amphi ibn Rochd 1052 Reportée
1107274 KTIT Anas Amphi ibn Rochd 1054 Reportée
9292693 LAABADI LOBNA Amphi ibn Rochd 1056 Reportée
1201283 LAADNANI Asma Amphi ibn Rochd 1058
1202471 LAADYAME Hanane Amphi ibn Rochd 1060 Reportée
1201325 LAAFOU Nabiya Amphi ibn Rochd 1062 Reportée
1209558 LAAGAIED EL HAFAD Amphi ibn Rochd 1064 Reportée
Matière1: Notions fondamentales de Droit public
Matière2: Pouvoir et autorité en Islam 32/46
Filière: Droit arabe
Faculté des sciences juridiques
et Economiques. Marrakech
N° Apogée Nom Prénom Local d'examen N° d'examen Matière1 Matière2
Université Cadi Ayyad
PV de surveillance: Session de rattrapage
Module: Introduction au Droit Public
2012-2013
Semestre1 (nouveau système)
1208639 LAAGUIDI Amal Amphi ibn Rochd 1066 Reportée
1219797 LAANANI Abdekhaq Amphi ibn Rochd 1068 Reportée
1103431 LAAOUINA Sanaa Amphi ibn Rochd 1070 Reportée
1201138 LAASSARI Amal Amphi ibn Rochd 1072 Reportée
1111113 LABANE Youssef Amphi ibn Rochd 1074 Reportée
1208018 LABKAM Hayat Amphi ibn Rochd 1076 Reportée
1209135 LABSIR Abdellah Amphi ibn Rochd 1078 Reportée
1203619 LACHGAR Ayoub Amphi ibn Rochd 1080 Reportée
1003222 LACHGAR AZIZ Amphi ibn Rochd 1082 Reportée
1220084 LACHGAR Younes Amphi ibn Rochd 1084 Reportée
1203621 LACHHAB Mahmoud Amphi ibn Rochd 1086 Reportée
1203300 LACHOIANI Hicham Amphi ibn Rochd 1088 Reportée
1211170 LAFDALI Imane Amphi ibn Rochd 1090 Reportée
1004759 LAFRAM ISMAIL Amphi ibn Rochd 1092 Reportée
1205079 LAGRAIFA MAAELANINE Amphi ibn Rochd 1094 Reportée
1111149 LAGRAOUI Rhizlane Amphi ibn Rochd 1096 Reportée
1219288 LAGSIMI Ilham Amphi ibn Rochd 1098 Reportée
1110746 LAHIALA Abderrazzaq Amphi ibn Rochd 1100 Reportée
Matière1: Notions fondamentales de Droit public
Matière2: Pouvoir et autorité en Islam 33/46
Filière: Droit arabe
Faculté des sciences juridiques
et Economiques. Marrakech
N° Apogée Nom Prénom Local d'examen N° d'examen Matière1 Matière2
Université Cadi Ayyad
PV de surveillance: Session de rattrapage
Module: Introduction au Droit Public
2012-2013
Semestre1 (nouveau système)
1205205 LAHKIM Rachid Amphi mohamed El Fassi 1102 Reportée
1204061 LAHLIOUI Hayam Amphi mohamed El Fassi 1104 Reportée
1205673 LAHMADI Abd Ellah Amphi mohamed El Fassi 1106 Reportée
1106718 LAHMAICH Fadoua Amphi mohamed El Fassi 1108 Reportée
1114577 LAHMDI ABDELGHAFOUR Amphi mohamed El Fassi 1110
1114205 LAHMICHA Ismail Amphi mohamed El Fassi 1112 Reportée
1203119 LAHMINE Amal Amphi mohamed El Fassi 1114 Reportée
1204037 LAHNAOUI Mohamed Amine Amphi mohamed El Fassi 1116 Reportée
1003992 LAHNITI MOHAMED Amphi mohamed El Fassi 1118 Reportée
1205235 LAHOUI Amina Amphi mohamed El Fassi 1120 Reportée
1210309 LAHROUR Kholoud Amphi mohamed El Fassi 1122 Reportée
1201938 LAHSINI EL MUSTAPHA Amphi mohamed El Fassi 1124 Reportée
1219402 LAKHAL EL MUSTAPHA Amphi mohamed El Fassi 1126 Reportée
1205011 LAKHRIB Amina Amphi mohamed El Fassi 1128
1202015 LAKRAD Asma Amphi mohamed El Fassi 1130 Reportée
1201726 LAKRAD Zineb Amphi mohamed El Fassi 1132 Reportée
1003912 LAKRAICHI MARIAM Amphi mohamed El Fassi 1134 Reportée
1101330 LAKTAM Abdel-jalil Amphi mohamed El Fassi 1136 Reportée
1203743 LAKTATNI Fatima Ezzahra Amphi mohamed El Fassi 1138 Reportée
1005894 LALAOUI NADIA Amphi mohamed El Fassi 1140 Reportée
1204898 LAMIRAT Morad Amphi mohamed El Fassi 1142 Reportée
1209960 LAMOUSSI Fatima Ezzahra Amphi mohamed El Fassi 1144
1203330 LAMRIQCHI Mostapha Amphi mohamed El Fassi 1146
1201011 LAMSAIRHRI Mustapha Amphi mohamed El Fassi 1148
1202942 LANSARI Halima Amphi mohamed El Fassi 1150 Reportée
1202487 LAOUIBI Badia Amphi mohamed El Fassi 1152
1216738 LAQRAA Khadija Amphi mohamed El Fassi 1154
1210114 LARCHE Sana Amphi mohamed El Fassi 1156 Reportée
1219984 LASSAL SAID Amphi mohamed El Fassi 1158 Reportée
1204152 LAZMAT Zakaria Amphi mohamed El Fassi 1160 Reportée
1204818 LAZRAF MERYAM Amphi mohamed El Fassi 1162
1202568 LBECRAOUI Ibtissam Amphi mohamed El Fassi 1164
1004764 LECHGUER YASSINE Amphi mohamed El Fassi 1166 Reportée
1210957 LEMZOUGUI Takia Amphi mohamed El Fassi 1168 Reportée
1202764 LFHAMA Ikrame Amphi mohamed El Fassi 1170
1202981 LIBAK Hmadnah Amphi mohamed El Fassi 1172
1219453 LOTFI Fatimezzahra Amphi mohamed El Fassi 1174
1203832 LOUJAB Abdelhafid Amphi mohamed El Fassi 1176 Reportée
1200289 LOULOUD Kamal Amphi mohamed El Fassi 1178 Reportée
1204802 LOUQMANE Houria Amphi mohamed El Fassi 1180
1202724 LOUTFI KHALFAOUI Maroua Amphi mohamed El Fassi 1182 Reportée
Matière1: Notions fondamentales de Droit public
Matière2: Pouvoir et autorité en Islam 34/46
Filière: Droit arabe
Faculté des sciences juridiques
et Economiques. Marrakech
N° Apogée Nom Prénom Local d'examen N° d'examen Matière1 Matière2
Université Cadi Ayyad
PV de surveillance: Session de rattrapage
Module: Introduction au Droit Public
2012-2013
Semestre1 (nouveau système)
1203877 MAAREFT Hind Amphi Cadi Ayyad 2
1202222 MAASSOU Hafsa Amphi Cadi Ayyad 4
1100687 MAATA-ALLAH Baya Amphi Cadi Ayyad 6 Reportée
1219629 MAAZOUZ Noureddine Amphi Cadi Ayyad 8 Reportée
1106839 MABCHOUR Noureddine Amphi Cadi Ayyad 10 Reportée
1204048 MABROUK Lahoucine Amphi Cadi Ayyad 12
1219497 MACHIT ABDELILAH Amphi Cadi Ayyad 14
1204705 MACHMACH Brahim Amphi Cadi Ayyad 16
1203170 MADI Abderrahim Amphi Cadi Ayyad 18
1201633 MADIOUM Fatima-zahra Amphi Cadi Ayyad 20 Reportée
1219939 MAHD Merieme Amphi Cadi Ayyad 22
1005306 MAHFOUD AZIZ Amphi Cadi Ayyad 24 Reportée
1203791 MAHFOUD Fatima Ezzahra Amphi Cadi Ayyad 26 Reportée
1103864 MAJDAR Oufaa Amphi Cadi Ayyad 28 Reportée
1202547 MAKHDAD Asmae Amphi Cadi Ayyad 30 Reportée
1220046 MAKROUCH Khadija Amphi Cadi Ayyad 32 Reportée
1203115 MAKROUM Tarik Amphi Cadi Ayyad 34
1111566 MALAOUI Abdelhakim Amphi Cadi Ayyad 36 Reportée
1209540 MALDOUFI Loubna Amphi Cadi Ayyad 38
1111265 MALIH Jaouad Amphi Cadi Ayyad 40 Reportée
1202389 MALLOUKI Mustapha Amphi Cadi Ayyad 42
1106700 MAMDOUH Radouane Amphi Cadi Ayyad 44 Reportée
1208135 MAMMAS Lahsen Amphi Cadi Ayyad 46
1219593 MANSOUM Hanane Amphi Cadi Ayyad 48 Reportée
1204997 MANSSOURI Najoua Amphi Cadi Ayyad 50 Reportée
1220950 MARKO STEPHEN ALBINO Amphi Cadi Ayyad 52 Reportée
1202619 MARZAK Taha Amphi Cadi Ayyad 54 Reportée
1202800 MASKINE Houda Amphi Cadi Ayyad 56 Reportée
1103709 MASSASSE Abderrazak Amphi Cadi Ayyad 58
1205183 MASTOUR Abdelghani Amphi Cadi Ayyad 60 Reportée
1201400 MASTOUR Abdelhadi Amphi Cadi Ayyad 62
1201710 MAYARA Ahmadnah Amphi Cadi Ayyad 64
1203979 MAYARA Cheikh Amphi Cadi Ayyad 66
1204893 MAYATI Nezha Amphi Cadi Ayyad 68 Reportée
1220688 MAZIOUD HIND Amphi Cadi Ayyad 70
1219769 MAZOUZ KHADIJA Amphi Cadi Ayyad 72
1203985 M'BARK Oubourhail Amphi Cadi Ayyad 74
1220416 M'CHAAR Dounia Amphi Cadi Ayyad 76 Reportée
1201904 MCHILA Youssef Amphi Cadi Ayyad 78 Reportée
1208979 MEGRINI YOUSSEF Amphi Cadi Ayyad 80 Reportée
1219785 MEJAHID Hamid Amphi Cadi Ayyad 82
1219559 MEJDOUBI Hala Amphi Cadi Ayyad 84
1219504 MENNANE Wafaa Amphi Cadi Ayyad 86 Reportée
1210217 MERZAQ ABDELHAFID Amphi Cadi Ayyad 88
1216755 MERZAQ Soukaina Amphi Cadi Ayyad 90 Reportée
1207845 MESKOUR Rajaa Amphi Cadi Ayyad 92 Reportée
Matière1: Notions fondamentales de Droit public
Matière2: Pouvoir et autorité en Islam 35/46
Filière: Droit arabe
Faculté des sciences juridiques
et Economiques. Marrakech
N° Apogée Nom Prénom Local d'examen N° d'examen Matière1 Matière2
Université Cadi Ayyad
PV de surveillance: Session de rattrapage
Module: Introduction au Droit Public
2012-2013
Semestre1 (nouveau système)
1104108 MEZRAQ Abdellatif Amphi Cadi Ayyad 94 Reportée
1202319 M'GHIMIMA ABBA CHEIKH Amphi Cadi Ayyad 96
1209897 M'GHIZZOU BADREDDINE Amphi Cadi Ayyad 98 Reportée
1203600 MGHOUNIA Youssef Amphi Cadi Ayyad 100 Reportée
1219548 MGHYRA Jamila Amphi Cadi Ayyad 102 Reportée
1101497 MGUIL Ghita Amphi Cadi Ayyad 104 Reportée
1205106 MHAH Laaziza Amphi Cadi Ayyad 106 Reportée
1211315 MIFTAH EL KHEIR Fouad Amphi Cadi Ayyad 108 Reportée
1102815 MIHFAD Soukaina Amphi Cadi Ayyad 110 Reportée
1202300 MIRICH Ghizlan Amphi Cadi Ayyad 112 Reportée
1209076 MOHA Nabila Amphi Cadi Ayyad 114 Reportée
1204141 MOKHLIS Ahmed Amphi Cadi Ayyad 116 Reportée
1204589 MONTASSIR Ahmed Amphi Cadi Ayyad 118 Reportée
1209025 MONTASSIR Ahmed Amphi Cadi Ayyad 120 Reportée
1205082 MORABBI AL MAMOUNE Amphi Cadi Ayyad 122
1203247 MORADI Hassan Amphi Cadi Ayyad 124
1202920 MORO Farid Amphi Cadi Ayyad 126 Reportée
1202872 MOSLIH Dounia Amphi Cadi Ayyad 128
1108967 MOUATARIF Mohamed Amphi Cadi Ayyad 130 Reportée
1201337 MOUBTASSIM ABDELLAH Amphi Cadi Ayyad 132 Reportée
1203188 MOUDDEN Youness Amphi Cadi Ayyad 134
1106204 MOUFTAH Moulika Amphi Cadi Ayyad 136
1108119 MOUFTAKHIR ASMA Amphi Cadi Ayyad 138 Reportée
1205800 MOUGHAMI Lamia Amphi Cadi Ayyad 140
1201383 MOUGHFIR Khadija Amphi Cadi Ayyad 142
1219395 MOUHTACH YOUNES Amphi Cadi Ayyad 144
1204091 MOUISSEM Safa Amphi Cadi Ayyad 146 Reportée
1202841 MOUJAN Wasim Amphi Cadi Ayyad 148 Reportée
1204982 MOUJEB Najim Amphi Cadi Ayyad 150
1210783 MOUKZINE Ayoub Amphi Cadi Ayyad 152
1202662 MOUNJI Tarik Amphi Cadi Ayyad 154 Reportée
1217519 MOUNYR ABDELALI Amphi Cadi Ayyad 156
1202642 MOURHRI Mariam Amphi Cadi Ayyad 158
1203207 MOUSSAHIM Youssef Amphi Cadi Ayyad 160
1220705 MOUSSAID Abdelhak Amphi Cadi Ayyad 162 Reportée
1201983 MOUSSAID Kaoutar Amphi Cadi Ayyad 164
1109833 MOUSSAOUI Siham Amphi Cadi Ayyad 166 Reportée
1201729 MOUSTAID Soufiane Amphi Cadi Ayyad 168
1201566 MOUSTALI Soukayna Amphi Cadi Ayyad 170
1201270 MOUTASSADIK Zouhair Amphi Cadi Ayyad 172 Reportée
1219828 MOUTIA Fatima Ezzahra Amphi Cadi Ayyad 174 Reportée
1219427 MOUTTAKI Mohamed-amine Amphi Cadi Ayyad 176 Reportée
1106619 MRIDA Bouchra Amphi Cadi Ayyad 178 Reportée
1204810 M'SOU Mohcine Amphi Cadi Ayyad 180 Reportée
1219665 M'TAR MOHAMMED Amphi Cadi Ayyad 182 Reportée
1110986 MYI Samy Amphi Cadi Ayyad 184 Reportée
Matière1: Notions fondamentales de Droit public
Matière2: Pouvoir et autorité en Islam 36/46
Filière: Droit arabe
Faculté des sciences juridiques
et Economiques. Marrakech
N° Apogée Nom Prénom Local d'examen N° d'examen Matière1 Matière2
Université Cadi Ayyad
PV de surveillance: Session de rattrapage
Module: Introduction au Droit Public
2012-2013
Semestre1 (nouveau système)
1202976 NAANAA MAROUANE Amphi Cadi Ayyad 186 Reportée
1207196 NACHIT Mohamed Amphi Cadi Ayyad 188 Reportée
1205844 NACIRI Youssef Amphi Cadi Ayyad 190 Reportée
1003050 NADIRI HASSAN Amphi Cadi Ayyad 192 Reportée
1205564 NAHKAMI ISMAIL Amphi Cadi Ayyad 194 Reportée
1204971 NAIM Meryem Amphi Cadi Ayyad 196
1203221 NAIMI Azzeddine Amphi Cadi Ayyad 198 Reportée
1201792 NAINIA Ibtissam Amphi Cadi Ayyad 200
Matière1: Notions fondamentales de Droit public
Matière2: Pouvoir et autorité en Islam 37/46
Filière: Droit arabe
Faculté des sciences juridiques
et Economiques. Marrakech
N° Apogée Nom Prénom Local d'examen N° d'examen Matière1 Matière2
Université Cadi Ayyad
PV de surveillance: Session de rattrapage
Module: Introduction au Droit Public
2012-2013
Semestre1 (nouveau système)
1204653 NAJAY El Mustapha Amphi Abou El Abbass Essebti 202 Reportée
1115559 NAJAY Youness Amphi Abou El Abbass Essebti 204 Reportée
1102002 NAJAY Youssef Amphi Abou El Abbass Essebti 206 Reportée
1205182 NAJI Brahim Amphi Abou El Abbass Essebti 208 Reportée
1203875 NAJI Lahcen Amphi Abou El Abbass Essebti 210 Reportée
1113686 NAJI RACHIDA Amphi Abou El Abbass Essebti 212
1102177 NAJI Younes Amphi Abou El Abbass Essebti 214
1204990 NAJID Nabil Amphi Abou El Abbass Essebti 216
1112361 NAJNAHI Rachid Amphi Abou El Abbass Essebti 218 Reportée
1004305 NAOUALI RADOUANE Amphi Abou El Abbass Essebti 220 Reportée
1205069 NAOUI Khalid Amphi Abou El Abbass Essebti 222 Reportée
1204267 NASSAH Fatima Ezzahra Amphi Abou El Abbass Essebti 224 Reportée
1220103 NATOUR Mohamed Amphi Abou El Abbass Essebti 226 Reportée
1219450 NAZHI SOUKAINA Amphi Abou El Abbass Essebti 228
1201599 NAZIH El Ghalia Amphi Abou El Abbass Essebti 230 Reportée
1112273 NBAHEDDA HAMZA Amphi Abou El Abbass Essebti 232
1219459 NEBBAG HICHAM Amphi Abou El Abbass Essebti 234 Reportée
1201250 NEGUITI Youssef Amphi Abou El Abbass Essebti 236 Reportée
1204053 NESSI Laila Amphi Abou El Abbass Essebti 238 Reportée
1219818 NIAGUI Saadia Amphi Abou El Abbass Essebti 240 Reportée
1217414 NID BALLA NADIA Amphi Abou El Abbass Essebti 242
1110634 NODARI MOHAMMED Amphi Abou El Abbass Essebti 244
1105733 NOUAMANI Yousra Amphi Abou El Abbass Essebti 246 Reportée
1201735 NOUBOUGH Youness Amphi Abou El Abbass Essebti 248 Reportée
1209157 NOUISSI Yassine Amphi Abou El Abbass Essebti 250 Reportée
1205097 NOUNOU Abdelilah Amphi Abou El Abbass Essebti 252
1210965 OBAHA Mohamed Amphi Abou El Abbass Essebti 254 Reportée
1201036 OIOUJA Fatima Amphi Abou El Abbass Essebti 256
1110559 OKAB Ayoub Amphi Abou El Abbass Essebti 258 Reportée
1204749 OKDA Mohammed Amphi Abou El Abbass Essebti 260 Reportée
1110780 OMAD Rachid Amphi Abou El Abbass Essebti 262 Reportée
1219571 OMAIRY Jaouad Amphi Abou El Abbass Essebti 264 Reportée
1109517 OUACHOU Mohamed Amphi Abou El Abbass Essebti 266 Reportée
1203953 OUACHT Saber Amphi Abou El Abbass Essebti 268 Reportée
1111178 OUADAHI Mohamed Amphi Abou El Abbass Essebti 270 Reportée
1206292 OUAGAG Khadija Amphi Abou El Abbass Essebti 272
1202211 OUAGHI Samir Amphi Abou El Abbass Essebti 274 Reportée
1004624 OUAHMANE LAILA Amphi Abou El Abbass Essebti 276 Reportée
1202541 OUAJIK Ahlam Amphi Abou El Abbass Essebti 278 Reportée
1101380 OUAKRIM Ayoub Amphi Abou El Abbass Essebti 280 Reportée
1219286 OUAKRIM Mohamed Amphi Abou El Abbass Essebti 282 Reportée
1103845 OUALD HAMOU ANAS Amphi Abou El Abbass Essebti 284 Reportée
1209710 OUAMOU Hasna Amphi Abou El Abbass Essebti 286 Reportée
1107547 OUARBIA SAMIRA Amphi Abou El Abbass Essebti 288 Reportée
1203981 OUASAID Elghazi Amphi Abou El Abbass Essebti 290 Reportée
1005792 OUASIF MOHAMED Amphi Abou El Abbass Essebti 292 Reportée
Matière1: Notions fondamentales de Droit public
Matière2: Pouvoir et autorité en Islam 38/46
Filière: Droit arabe
Faculté des sciences juridiques
et Economiques. Marrakech
N° Apogée Nom Prénom Local d'examen N° d'examen Matière1 Matière2
Université Cadi Ayyad
PV de surveillance: Session de rattrapage
Module: Introduction au Droit Public
2012-2013
Semestre1 (nouveau système)
1202061 OUASSAL Bahija Amphi Abou El Abbass Essebti 294 Reportée
1210950 OUASSI Mohamed Amphi Abou El Abbass Essebti 296
1219704 OUASSIFA HASNAE Amphi Abou El Abbass Essebti 298 Reportée
1202217 OUATTA Hamza Amphi Abou El Abbass Essebti 300 Reportée
1208317 OUBAIB Hind Amphi Abou El Abbass Essebti 302 Reportée
1207641 OUBALAID Saida Amphi Abou El Abbass Essebti 304 Reportée
1205243 OUBALLA Mounir Amphi Abou El Abbass Essebti 306 Reportée
1208409 OUBARI Abdelhamid Amphi Abou El Abbass Essebti 308 Reportée
1115802 OUBELLAHCEN El Mostafa Amphi Abou El Abbass Essebti 310
1208542 OUBERKNI Khalid Amphi Abou El Abbass Essebti 312 Reportée
1206198 OUBIDA Imane Amphi Abou El Abbass Essebti 314 Reportée
1203124 OUBLA Mustapha Amphi Abou El Abbass Essebti 316 Reportée
1203196 OUBLAL Mohamed Amphi Abou El Abbass Essebti 318 Reportée
1205247 OUBNINTE Mustapha Amphi Abou El Abbass Essebti 320 Reportée
1210656 OUBOUHSS Ilhame Amphi Abou El Abbass Essebti 322 Reportée
1202275 OUBRAM Jaouad Amphi Abou El Abbass Essebti 324
1113470 OUDAOUD ABDELHADI Amphi Abou El Abbass Essebti 326 Reportée
1202081 OUFRIT Hasnae Amphi Abou El Abbass Essebti 328 Reportée
1201063 OUHADDOU Hanane Amphi Abou El Abbass Essebti 330
1204256 OUHAMMOU Mostapha Amphi Abou El Abbass Essebti 332 Reportée
1203727 OUHMAD ABDELLAH Amphi Abou El Abbass Essebti 334 Reportée
1003781 OUHMAD HASNA Amphi Abou El Abbass Essebti 336 Reportée
1000529 OUHOUGUA ABDELLAH Amphi Abou El Abbass Essebti 338
1201056 OUIZRAG Charifa Amphi Abou El Abbass Essebti 340 Reportée
1210444 OUKHOUYA Hanane Amphi Abou El Abbass Essebti 342 Reportée
1205231 OUKHOUYA Youssef Amphi Abou El Abbass Essebti 344 Reportée
1203549 OULAIKA Issmail Amphi Abou El Abbass Essebti 346 Reportée
1205749 OULAMINE Khadija Amphi Abou El Abbass Essebti 348 Reportée
1218840 OULASSRI Aicha Amphi Abou El Abbass Essebti 350
1110915 OULED BABA Charaf Eddine Amphi Abou El Abbass Essebti 352
1107982 OULIDI Es-said Amphi Abou El Abbass Essebti 354 Reportée
1221004 OULMADANI SALIMA Amphi Abou El Abbass Essebti 356
1009895 OULOUGOUM IMANE Amphi Abou El Abbass Essebti 358 Reportée
1202778 OUMAHRIR Noura Amphi Abou El Abbass Essebti 360
1114145 OUMAMA Karima Amphi Abou El Abbass Essebti 362
1209227 OUMESSAOUD Mouhamed Amphi Abou El Abbass Essebti 364
1202503 OURBIAA Mariam Amphi Abou El Abbass Essebti 366
1108263 OUSSALIH Said Amphi Abou El Abbass Essebti 368 Reportée
1203628 OUSSAMA Aimad Amphi Abou El Abbass Essebti 370 Reportée
1204472 OUTAMANT Mohamed Amphi Abou El Abbass Essebti 372 Reportée
1201332 OUTAZZARINE Youssef Amphi Abou El Abbass Essebti 374 Reportée
1108489 OUTHALA Jamal Amphi Abou El Abbass Essebti 376 Reportée
1202431 OUTMAGHOUST Saida Amphi Abou El Abbass Essebti 378
1201012 OUTZINOUT Maryam Amphi Abou El Abbass Essebti 380 Reportée
1204921 OUZIDANE Said Amphi Abou El Abbass Essebti 382 Reportée
1009813 OUZROUR HANANE Amphi Abou El Abbass Essebti 384 Reportée
Matière1: Notions fondamentales de Droit public
Matière2: Pouvoir et autorité en Islam 39/46
Filière: Droit arabe
Faculté des sciences juridiques
et Economiques. Marrakech
N° Apogée Nom Prénom Local d'examen N° d'examen Matière1 Matière2
Université Cadi Ayyad
PV de surveillance: Session de rattrapage
Module: Introduction au Droit Public
2012-2013
Semestre1 (nouveau système)
1115944 QAWASMA MAZEN WALID ABDERRAHAmphi Abou El Abbass Essebti 386 Reportée
1109909 QUITTI Youssef Amphi Abou El Abbass Essebti 388
1107728 RABAH M'birika Amphi Abou El Abbass Essebti 390 Reportée
Matière1: Notions fondamentales de Droit public
Matière2: Pouvoir et autorité en Islam 40/46
Filière: Droit arabe
Faculté des sciences juridiques
et Economiques. Marrakech
N° Apogée Nom Prénom Local d'examen N° d'examen Matière1 Matière2
Université Cadi Ayyad
PV de surveillance: Session de rattrapage
Module: Introduction au Droit Public
2012-2013
Semestre1 (nouveau système)
1107673 RABAH Youssef Amphi Imam Malik 582 Reportée
1204939 RABICHI Kamal Amphi Imam Malik 584 Reportée
1102399 RABIE Youssef Amphi Imam Malik 586 Reportée
1109112 RACHDAOUI Abdellah Amphi Imam Malik 588
1204180 RACHID Ayada Amphi Imam Malik 590
1202332 RACHYDY Ali Amphi Imam Malik 592
1218799 RADAN HASSAN Amphi Imam Malik 594 Reportée
1104982 RADI Naim Moubarik Amphi Imam Malik 596 Reportée
1220924 RADOUANE RACHID Amphi Imam Malik 598
1109583 RAFIA El Mehdi Amphi Imam Malik 600 Reportée
1201598 RAFIK Malik Amphi Imam Malik 602 Reportée
1210669 RAHHOU Soukaina Amphi Imam Malik 604
1114544 RAHILI ABDALLAH Amphi Imam Malik 606 Reportée
1112615 RAHLANE Khadija Amphi Imam Malik 608 Reportée
1204363 RAHMAT KHADIJA Amphi Imam Malik 610 Reportée
1103224 RAJI Mohamed Amphi Imam Malik 612 Reportée
1202844 RAKAS Rajae Amphi Imam Malik 614
1107719 RAMI Abdelmonaime Amphi Imam Malik 616 Reportée
1201016 RAMI Soufiane Amphi Imam Malik 618 Reportée
1219789 RAZIQI Youssef Amphi Imam Malik 620 Reportée
1201140 RAZZOUQ Omar Amphi Imam Malik 622 Reportée
1219551 REMCH Abdelhak Amphi Imam Malik 624 Reportée
1216338 RGUIBI Abdelouahed Amphi Imam Malik 626
1203060 RGUIOUEG Chama Amphi Imam Malik 628
1219394 RHALIMI KHALID Amphi Imam Malik 630 Reportée
1203959 RHALMI Mohcine Amphi Imam Malik 632
1203759 RHARIB Abdelillah Amphi Imam Malik 634 Reportée
1219557 RHAZAL Amina Amphi Imam Malik 636 Reportée
1203219 RHENJA Mohamed Amphi Imam Malik 638 Reportée
1220418 RIAD Abdelghani Amphi Imam Malik 640
1108042 RIADI Hanane Amphi Imam Malik 642 Reportée
1219058 RIDOIN Mourad Amphi Imam Malik 644 Reportée
1201766 RIZKI Mohamed Amphi Imam Malik 646 Reportée
1201374 RJIJ Jaouad Amphi Imam Malik 648
1203290 RMITI Ghizlan Amphi Imam Malik 650
1109577 ROUGGANY Mehdi Amphi Imam Malik 652 Reportée
1203109 ROUIBAA Isam Amphi Imam Malik 654 Reportée
1203090 ROUIJAI Sanae Amphi Imam Malik 656 Reportée
1201873 SAADALLAOUI Naji Amphi Imam Malik 658
1202078 SAADOUNI YOUSSEF Amphi Imam Malik 660
1204265 SAB Yassine Amphi Imam Malik 662 Reportée
1204249 SAB Younes Amphi Imam Malik 664
1202980 SABIR Amine Amphi Imam Malik 666
1207760 SABIR Mohammed Amphi Imam Malik 668
1203018 SABIR Youssef Amphi Imam Malik 670 Reportée
1215867 SABOUA Abdelmalik Amphi Imam Malik 672 Reportée
Matière1: Notions fondamentales de Droit public
Matière2: Pouvoir et autorité en Islam 41/46
Filière: Droit arabe
Faculté des sciences juridiques
et Economiques. Marrakech
N° Apogée Nom Prénom Local d'examen N° d'examen Matière1 Matière2
Université Cadi Ayyad
PV de surveillance: Session de rattrapage
Module: Introduction au Droit Public
2012-2013
Semestre1 (nouveau système)
1205114 SABRANE Jamila Amphi Imam Malik 674 Reportée
1206238 SABRI Mohamed Amphi Imam Malik 676
1004745 SABRI MOSTAFA Amphi Imam Malik 678 Reportée
1203671 SADIK Abderrahim Amphi Imam Malik 680 Reportée
1202446 SADIQ Mouna Amphi Imam Malik 682
1109143 SAGOUM Meriem Amphi Imam Malik 684 Reportée
1202897 SAHMOUDA Mouna Amphi Imam Malik 686
1111264 SAID AYOUB Amphi Imam Malik 688 Reportée
1205623 SAIDI Laghdaf Amphi Imam Malik 690 Reportée
1003663 SAKAM NAJAT Amphi Imam Malik 692
1201160 SAKOUM Khadija Amphi Imam Malik 694 Reportée
1107347 SALAM Kaoutar Amphi Imam Malik 696 Reportée
1220291 SALAMI Mohamed Amphi Imam Malik 698 Reportée
1205790 SALIHI Zakaria Amphi Imam Malik 700 Reportée
1219662 SALLAMY Abderrahim Amphi Imam Malik 702 Reportée
1203987 SALMAN Mustapha Amphi Imam Malik 704
1204570 SAMARI Raja Amphi Imam Malik 706
1107189 SAMIH Mohamed Amphi Imam Malik 708
1203687 SAMTI Abdelilah Amphi Imam Malik 710
1202193 SANBATI Radouane Amphi Imam Malik 712 Reportée
1003655 SANJAOUI SOUKAYNA Amphi Imam Malik 714 Reportée
1206613 SANOUBI Khadija Amphi Imam Malik 716 Reportée
1203853 SAOUIBA Jaouad Amphi Imam Malik 718 Reportée
1219801 SARKOUH Soukaina Amphi Imam Malik 720
1204897 SARNANE Asma Amphi Imam Malik 722
1212254 SARSARI Charifa Amphi Imam Malik 724
1202347 SAYA Imane Amphi Imam Malik 726 Reportée
1204739 SAYLLAL Fatiha Amphi Imam Malik 728
1210328 SBIK Abdelaali Amphi Imam Malik 730 Reportée
1106944 SEGHIR Othmane Amphi Imam Malik 732
1203257 SELJAOUI Achraf Amphi Imam Malik 734
1219563 SEMLALI Abdellatif Amphi Imam Malik 736 Reportée
1202227 SERRAOUI Ahmed Amphi Imam Malik 738 Reportée
1201294 SETTANI Mohamed Amine Amphi Imam Malik 740
1202785 SID ZAINE Mohamed Ali Amphi Imam Malik 742 Reportée
1201367 SIMAMRI Hasna Amphi Imam Malik 744
1110502 SIRROU Abdelwahed Amphi Imam Malik 746 Reportée
1211251 SLIMANI Ahmed Amine Amphi Imam Malik 748 Reportée
1202441 SMAYTI Fatima Ezzahra Amphi Imam Malik 750 Reportée
1210782 SNAIBA Khadija Amphi Imam Malik 752 Reportée
1202979 SOROUR Abderrahim Amphi Imam Malik 754 Reportée
1102228 SOUABLI Ismail Amphi Imam Malik 756 Reportée
1204608 SOUALEM Abdelhadi Amphi Imam Malik 758 Reportée
1104202 SOUDANI Abdelfattah Amphi Imam Malik 760 Reportée
1201747 SOUDI Ayoub Amphi Imam Malik 762
1219773 SOUFANE Imad Amphi Imam Malik 764
Matière1: Notions fondamentales de Droit public
Matière2: Pouvoir et autorité en Islam 42/46
Filière: Droit arabe
Faculté des sciences juridiques
et Economiques. Marrakech
N° Apogée Nom Prénom Local d'examen N° d'examen Matière1 Matière2
Université Cadi Ayyad
PV de surveillance: Session de rattrapage
Module: Introduction au Droit Public
2012-2013
Semestre1 (nouveau système)
1107776 SOUHAL Soufiane Amphi Imam Malik 766 Reportée
1202434 SOUHAYLE Mina Amphi Imam Malik 768 Reportée
1203230 SOUIFER Abdelilah Amphi Imam Malik 770 Reportée
1207634 SOUIYEH Mohamed Amphi Imam Malik 772
1009003 SOUMBATI HASNA Amphi Imam Malik 774 Reportée
1210484 SPAISSI Fatiha Amphi Imam Malik 776 Reportée
1207836 SRAIDI Saida Amphi Imam Malik 778 Reportée
1203610 TABAANDOUST Abdellah Amphi Imam Malik 780 Reportée
1111298 TABIIY Mohamed Amine Amphi Imam Malik 782 Reportée
1201169 TACHARET Brahim Amphi Imam Malik 784 Reportée
1205884 TAGHZOUT Mohamed Amphi Imam Malik 786 Reportée
1114319 TAGUENITI Soumia Amphi Imam Malik 788 Reportée
1219597 TAHA Youssef Amphi Imam Malik 790 Reportée
1219619 TAHDAOUI Halima Amphi Imam Malik 792 Reportée
1111100 TAHDAOUI Rachid Amphi Imam Malik 794 Reportée
1108253 TAHIN Kamal Amphi Imam Malik 796 Reportée
1101142 TAHIRI Abderrahim Amphi Imam Malik 798 Reportée
1219811 TAHIRI Nadia Amphi Imam Malik 800 Reportée
1203344 TAHOUR BRAHIM Amphi Imam Malik 802 Reportée
1004293 TAHOUR HAMID Amphi Imam Malik 804 Reportée
1209169 TAHRI Mohamed Amphi Imam Malik 806
1114261 TAIK Fatima Amphi Imam Malik 808 Reportée
1204345 TAISSIR Yassine Amphi Imam Malik 810 Reportée
1219362 TAKNY Mariem Amphi Imam Malik 812 Reportée
1101006 TALAT Abde Llatif Amphi Imam Malik 814 Reportée
1202136 TALBI Mohammed Amphi Imam Malik 816 Reportée
1211297 TALIBI Yassine Amphi Imam Malik 818
1202962 TALJAOUI Ez-zahia Amphi Imam Malik 820 Reportée
1219815 TAMANE NADIA Amphi Imam Malik 822
1201100 TAMI Hnia Amphi Imam Malik 824
1203846 TANDOUFT Hicham Amphi Imam Malik 826
1203095 TANGI Mohamed Amphi Imam Malik 828
1106742 TAOUBANE Fatima Zahra Amphi Imam Malik 830 Reportée
1219783 TAOUMI Abdllatif Amphi Imam Malik 832
1201606 TAOUMI Bachir Amphi Imam Malik 834
1203783 TAOUSSI KAMAL Amphi Imam Malik 836
1103834 TAOUSSI SABAH Amphi Imam Malik 838
1203904 TAOUSSI Siham Amphi Imam Malik 840 Reportée
1205845 TARBAOUI Aziza Amphi Imam Malik 842 Reportée
1220227 TARIB Abdessamia Amphi Imam Malik 844 Reportée
1202595 TARIK Sana Amphi Imam Malik 846
1219726 TASAA Elhabib Amphi Imam Malik 848 Reportée
1204832 TEBJIOU Fahd Amphi Imam Malik 850
1208829 TEKSAOUI Zineb Amphi Imam Malik 852
1219803 TELILY Ahmed Amphi Imam Malik 854 Reportée
1219757 TETBAT Wahiba Amphi Imam Malik 856 Reportée
Matière1: Notions fondamentales de Droit public
Matière2: Pouvoir et autorité en Islam 43/46
Filière: Droit arabe
Faculté des sciences juridiques
et Economiques. Marrakech
N° Apogée Nom Prénom Local d'examen N° d'examen Matière1 Matière2
Université Cadi Ayyad
PV de surveillance: Session de rattrapage
Module: Introduction au Droit Public
2012-2013
Semestre1 (nouveau système)
1201627 THABIT Soumia Amphi Imam Malik 858 Reportée
1006008 THAMIR ZAHRA Amphi Imam Malik 860 Reportée
1110242 THOUKI Souad Amphi Imam Malik 862 Reportée
1219465 TIFINZI Fatiha Amphi Imam Malik 864 Reportée
1105907 TIGHAZI Abdlkarim Amphi Imam Malik 866
1211311 TIGHAZOUI Walid Amphi Imam Malik 868
1202167 TIR Fatima Amphi Imam Malik 870 Reportée
1108433 TIRAOUI MARIEM Amphi Imam Malik 872 Reportée
1202567 TIZIRT Souaad Amphi Imam Malik 874 Reportée
1108840 TOUAHRA Adil Amphi Imam Malik 876 Reportée
1204380 TOUBANI EL ALAMI Amphi Imam Malik 878
1202029 TOUDAMRINI Elalami Amphi Imam Malik 880 Reportée
Matière1: Notions fondamentales de Droit public
Matière2: Pouvoir et autorité en Islam 44/46
Filière: Droit arabe
Faculté des sciences juridiques
et Economiques. Marrakech
N° Apogée Nom Prénom Local d'examen N° d'examen Matière1 Matière2
Université Cadi Ayyad
PV de surveillance: Session de rattrapage
Module: Introduction au Droit Public
2012-2013
Semestre1 (nouveau système)
1201715 TOUGUI Kanza salle 1 2272 Reportée
1202153 TOUKBANI Salima salle 1 2274
1201170 TOUMI Ayoub salle 1 2276 Reportée
1201698 TOURAB Abdelkader salle 1 2278 Reportée
1202242 TRKMANI Allal salle 1 2280
1202323 TYAMAZI Aadil salle 1 2282
1202735 WARDI Youssef salle 1 2284 Reportée
1100685 WARHA Jawad salle 1 2286 Reportée
1210683 WISSAL Sellami salle 1 2288 Reportée
1202354 YAFIT Jaouad salle 1 2290 Reportée
1202237 YAHYAOUI Ismail salle 1 2292
1211274 YAHYAOUI Mohamed salle 1 2294
1205056 YAKOUBI Youssef salle 1 2296
1109619 YEKKOUR Hassan salle 1 2298 Reportée
1204826 YOUBI Nazha salle 1 2300 Reportée
1201922 YOUMNI Hasna salle 1 2302
1203989 YOUSSEF Ouballa salle 1 2304 Reportée
1111043 ZAAZAA El Mahdi salle 1 2306 Reportée
1219421 ZAHIR Majda salle 1 2308 Reportée
1209530 ZAHIR Nadia salle 1 2310
1105862 ZAHIR Wafa salle 1 2312 Reportée
1205831 ZAKARIA Maa salle 1 2314
1210311 ZAKI HANANE salle 1 2316
1219808 ZAROUALI Naoil salle 1 2318 Reportée
1201308 ZARROUK JIHADE salle 1 2320
1004762 ZBIDA ISMAIL salle 1 2322 Reportée
1201723 ZEGLALI Adnane salle 1 2324 Reportée
1004505 ZEGRAOUI HASSAN salle 1 2326 Reportée
1210731 ZEHOUA Mohamed salle 1 2328 Reportée
9292803 ZEHOUANI MOHAMED AMINE salle 1 2330 Reportée
1210977 ZEROUAL Haytam salle 1 2332
1107091 ZEROUAL Nabil salle 1 2334
1004161 ZEROUAL SOUFIANE salle 1 2336 Reportée
1101008 ZEROUAL Soufiane salle 1 2338 Reportée
1208480 ZEROUALI Mansour salle 1 2340 Reportée
Matière1: Notions fondamentales de Droit public
Matière2: Pouvoir et autorité en Islam 45/46
Filière: Droit arabe
Faculté des sciences juridiques
et Economiques. Marrakech
N° Apogée Nom Prénom Local d'examen N° d'examen Matière1 Matière2
Université Cadi Ayyad
PV de surveillance: Session de rattrapage
Module: Introduction au Droit Public
2012-2013
Semestre1 (nouveau système)
1201333 ZEROUALI Mohammed salle 2 2342 Reportée
1220045 ZHARI Fatima Ezzhra salle 2 2344
1110749 ZHIRI El Bachir salle 2 2346 Reportée
1220125 ZIATE Mariem salle 2 2348
1220284 ZIDAN Malika salle 2 2350 Reportée
1219002 ZIKRAOUI Hafid salle 2 2352
1204842 ZIOUI Khaoula salle 2 2354
1006121 ZIRHAM MOHAMED salle 2 2356 Reportée
1203729 ZITOUNI Abdelilah salle 2 2358 Reportée
1205582 ZITOUNI FATIMA EZZAHRA salle 2 2360 Reportée
1203765 ZITOUNI Wadia salle 2 2362
1204979 ZOUGGAR Naoual salle 2 2364
1003191 ZOUHAIR FOUAD salle 2 2366 Reportée
1100700 ZOUHOUR Houssam salle 2 2368
1105200 ZOUHRI Jamila salle 2 2370 Reportée
1219536 ZOUIN Abdelghani salle 2 2372
1107165 ZOUITA Oussama salle 2 2374 Reportée
1002298 ZOUZI MOHAMED KHALID salle 2 2376 Reportée
1205070 ZRAIGUINATE El Mahjoub salle 2 2378
1201182 ZRIR Hussein salle 2 2380
Matière1: Notions fondamentales de Droit public
Matière2: Pouvoir et autorité en Islam 46/46
Filière: Droit arabe
Faculté des sciences juridiques
et Economiques. Marrakech
N° Apogée Nom Prénom Local d'examen N° d'examen Matière1 Matière2
1220209 AABA LAILA Amphi Allal El Fassi 392 Reportée
1201975 AABIDA Abdelkrim Amphi Allal El Fassi 394 Reportée
1110320 AACHIRY Souad Amphi Allal El Fassi 396
1219406 AAGUIR NAJIB Amphi Allal El Fassi 398 Reportée
1204214 AAMAR Imane Amphi Allal El Fassi 400
1205092 AAMARA El Mahjoub Amphi Allal El Fassi 402 Reportée
1219954 AAMARA Ghita Amphi Allal El Fassi 404 Reportée
1220408 AAOUA HAKIMA Amphi Allal El Fassi 406
1101522 AARAB Wissal Amphi Allal El Fassi 408 Reportée
1202987 AARIB Hamid Amphi Allal El Fassi 410 Reportée
1206251 AASSAL NOUREDDINE Amphi Allal El Fassi 412 Reportée
1204812 AASSIR Jamila Amphi Allal El Fassi 414 Reportée
1220043 ABADA Islam Amphi Allal El Fassi 416
1110012 ABADI Marouane Amphi Allal El Fassi 418 Reportée
1203693 ABARDOUA Mohamed Amphi Allal El Fassi 420
Université Cadi Ayyad
PV de surveillance: Session de rattrapage
Module: Introduction au Droit privé
2012-2013
Semestre1 (nouveau système)
1220041 ABARHEGAN Fatimazahra Amphi Allal El Fassi 422
1202353 ABATOUR Zahra Amphi Allal El Fassi 424 Reportée
1202937 ABATOURAB Ahmed Amphi Allal El Fassi 426
1203342 ABBAD Rachid Amphi Allal El Fassi 428
1103018 ABBID Anas Amphi Allal El Fassi 430 Reportée
1204784 ABBOUBI Fatima-ezzahra Amphi Allal El Fassi 432 Reportée
1204731 ABDEDAIM Khadija Amphi Allal El Fassi 434 Reportée
1209939 ABDELHAQ Houssam Amphi Allal El Fassi 436
1201249 ABDELMOULI Youssef Amphi Allal El Fassi 438
1201045 ABDESSAMIA Aicha Amphi Allal El Fassi 440 Reportée
1210862 ABEIDHA Fatma Amphi Allal El Fassi 442
1205064 ABHIHI Yassine Amphi Allal El Fassi 444 Reportée
1201163 ABID ABDETOUAB Amphi Allal El Fassi 446 Reportée
1219533 ABID Izana Amphi Allal El Fassi 448
1204984 ABIDA Abderrahim Amphi Allal El Fassi 450 Reportée
1211220 ABIDAR Abdelkarim Amphi Allal El Fassi 452 Reportée
1202822 ABILILE Abdellah Amphi Allal El Fassi 454
1111268 ABOU EL HAZAIZ Abdeslam Amphi Allal El Fassi 456
1202816 ABOU LAHIA Abderrahim Amphi Allal El Fassi 458 Reportée
1204283 ABOUALI Ahmed Amphi Allal El Fassi 460 Reportée
1114629 ABOUD DOUNIA Amphi Allal El Fassi 462 Reportée
1114492 ABOUD IBTISSAM Amphi Allal El Fassi 464 Reportée
1004198 ABOUDERKA FATIMA ZAHRA Amphi Allal El Fassi 466 Reportée
1207954 ABOUELABBES Hafsa Amphi Allal El Fassi 468 Reportée
1004242 ABOUESSAOUD NOURA Amphi Allal El Fassi 470 Reportée1004242 ABOUESSAOUD NOURA Amphi Allal El Fassi 470 Reportée
1107067 ABOU-HIDA Mina Amphi Allal El Fassi 472 Reportée
Matière1: Introduction au Droit positif
Matière2: Introduction au Droit musulman 1/68
Filière: Droit arabe
Faculté des sciences juridiques
et Economiques. Marrakech
N° Apogée Nom Prénom Local d'examen N° d'examen Matière1 Matière2
Université Cadi Ayyad
PV de surveillance: Session de rattrapage
Module: Introduction au Droit privé
2012-2013
Semestre1 (nouveau système)
1202909 ABOUKIR Hayate Amphi Allal El Fassi 474 Reportée
1201183 ABOULHANA Wahiba Amphi Allal El Fassi 476 Reportée
1209109 ABOULQUASIM Abdelouhed Amphi Allal El Fassi 478 Reportée
1201856 ABOUMADYEN Kamilia Amphi Allal El Fassi 480
1203642 ABOUMAJD Mohamed Zouhair Amphi Allal El Fassi 482
1219612 ABOURAKIS Abdelilah Amphi Allal El Fassi 484 Reportée
1219702 ABOU-SAFA Loubna Amphi Allal El Fassi 486
1201716 ABOUTAHIR Fatima Zahra Amphi Allal El Fassi 488 Reportée
1201767 ABOUTAIB Issam Amphi Allal El Fassi 490 Reportée
1204701 ABOUTALIB Btissam Amphi Allal El Fassi 492 Reportée
1202295 ABOUZID Latifa Amphi Allal El Fassi 494 Reportée
1205061 ABRDJI Fatima Amphi Allal El Fassi 496 Reportée
1209066 ABRQUI Aissam Amphi Allal El Fassi 498 Reportée
1205622 ACHAOUI Elmehdi Amphi Allal El Fassi 500 Reportée
1101715 ACHBAKOU MOHAMED Amphi Allal El Fassi 502 Reportée
1208774 ACHKOUR Anas Amphi Allal El Fassi 504 Reportée
1102755 ACHRAF Ait Boussarhan Amphi Allal El Fassi 506 Reportée
1004921 ACHROUAAT RADOUANE Amphi Allal El Fassi 508 Reportée
1201035 ADALI Abdellatif Amphi Allal El Fassi 510 Reportée
1204507 ADARDOUR Az-eddine Amphi Allal El Fassi 512 Reportée
1218894 ADDADE Chaimae Amphi Allal El Fassi 514
1202972 ADEBBAGH Rabab Amphi Allal El Fassi 516 Reportée
1201658 ADIL Fatima Ezzahra Amphi Allal El Fassi 518 Reportée
1107731 ADLIMI Youness Amphi Allal El Fassi 520 Reportée
1207863 ADOUNI Ibtissam Amphi Allal El Fassi 522 Reportée
1202186 ADRI Younes Amphi Allal El Fassi 524 Reportée
1201903 AFIRRAH Sara Amphi Allal El Fassi 526
1210312 AFKINICH Mariame Amphi Allal El Fassi 528
1000625 AFKIR ABDELMONIM Amphi Allal El Fassi 530 Reportée
1210296 AFKIR Soukaina Amphi Allal El Fassi 532 Reportée
1202281 AFOUCHAL Ousama Amphi Allal El Fassi 534
1105455 AFROUSS Hicham Amphi Allal El Fassi 536 Reportée
1204763 AGDID Meryam Amphi Allal El Fassi 538
1210299 AGDOU MINA Amphi Allal El Fassi 540 Reportée
1201731 AGDOUZ Fatima Ezzahra Amphi Allal El Fassi 542 Reportée
1110887 AGHARNI Taoufiq Amphi Allal El Fassi 544
1208959 AGHOUINITE Zouinouha Amphi Allal El Fassi 546
1205867 AGNAOU Abdelhak Amphi Allal El Fassi 548
1220118 AGOUJIL Kaoutar Amphi Allal El Fassi 550 Reportée
1202833 AGOUZOUR Karima Amphi Allal El Fassi 5521202833 AGOUZOUR Karima Amphi Allal El Fassi 552
1204132 AGRIRRANE OMAR Amphi Allal El Fassi 554 Reportée
Matière1: Introduction au Droit positif
Matière2: Introduction au Droit musulman 2/68
Filière: Droit arabe
Faculté des sciences juridiques
et Economiques. Marrakech
N° Apogée Nom Prénom Local d'examen N° d'examen Matière1 Matière2
Université Cadi Ayyad
PV de surveillance: Session de rattrapage
Module: Introduction au Droit privé
2012-2013
Semestre1 (nouveau système)
1208976 AHAJGOUN Farah Amphi Allal El Fassi 556
1111055 AHAJJAM Aissame Amphi Allal El Fassi 558 Reportée
1104257 AHARABOUS Ismail Amphi Allal El Fassi 560
1205818 AHAYAR Lamia Amphi Allal El Fassi 562
1210315 AHAYK NAAIMA Amphi Allal El Fassi 564 Reportée
1219790 AHEMRI Saloua Amphi Allal El Fassi 566
1201796 AHERDANE Zakaria Amphi Allal El Fassi 568 Reportée
1202104 AHJAIR Rajaa Amphi Allal El Fassi 570 Reportée
1209008 AHL FILALI Maryem Amphi Allal El Fassi 572
1209180 AHL MAYARA HAMDI Amphi Allal El Fassi 574
1202524 AHLIGUINOU Najia Amphi Allal El Fassi 576
1203660 AHMADA Abdellatif Amphi Allal El Fassi 578 Reportée
1202960 AHMIDOUCH Yassine Amphi Allal El Fassi 580
Matière1: Introduction au Droit positif
Matière2: Introduction au Droit musulman 3/68
Filière: Droit arabe
Faculté des sciences juridiques
et Economiques. Marrakech
N° Apogée Nom Prénom Local d'examen N° d'examen Matière1 Matière2
Université Cadi Ayyad
PV de surveillance: Session de rattrapage
Module: Introduction au Droit privé
2012-2013
Semestre1 (nouveau système)
1211243 AHMIMOU Abdelati Amphi ibn Rochd 882 Reportée
1204712 AHNSAL Salka Amphi Ibn Rochd 884
1202309 AHOUAOUI Nourddine Amphi ibn Rochd 886
1217572 AHRTALOU FATIMA Amphi Ibn Rochd 888
1203233 AIDANE Youssef Amphi ibn Rochd 890 Reportée
1210470 AIDANI Rachida Amphi Ibn Rochd 892 Reportée
1202121 AIKABI Sofian Amphi ibn Rochd 894 Reportée
1201583 AIT AAMIHAMOU Mohamed Amphi Ibn Rochd 896 Reportée
1203354 AIT ABBOU Lahcen Amphi ibn Rochd 898 Reportée
1108711 AIT ABDELLAH Yassine Amphi Ibn Rochd 900 Reportée
1104508 AIT ADDI Abderrahim Amphi ibn Rochd 902 Reportée
1209689 AIT ADDI Fatiha Amphi Ibn Rochd 904
1219837 AIT AHMED Mohamed Amphi ibn Rochd 906 Reportée
1204226 AIT ALI Naima Amphi Ibn Rochd 908 Reportée
1205930 AIT ALI Yassine Amphi ibn Rochd 910
1104396 AIT ALI OUAMER Hamid Amphi Ibn Rochd 912 Reportée
1201327 AIT ALI OUNACER Abdelkabir Amphi ibn Rochd 914
1220895 AIT AMGHAR ABDELLAH Amphi Ibn Rochd 916 Reportée
1203363 AIT ARIBA Hassan Amphi ibn Rochd 918 Reportée
1107988 AIT AYAD Loubna Amphi Ibn Rochd 920 Reportée
1220283 AIT AYATE Mohcine Amphi ibn Rochd 922 Reportée
1203882 AIT BAADDI Hamza Amphi Ibn Rochd 924
1203058 AIT BAKOUCH Oussama Amphi ibn Rochd 926 Reportée
1202857 AIT BALLOUK Morad Amphi Ibn Rochd 928 Reportée
1219721 AIT BATTASS Achraf Amphi ibn Rochd 930 Reportée
1201326 AIT BELKACEM Rachid Amphi Ibn Rochd 932 Reportée
1220425 AIT BELLA ABDELLATIF Amphi ibn Rochd 934 Reportée
1204588 AIT BELLA Mouna Amphi ibn Rochd 936
1216769 AIT BEN ABBOU Hassan Amphi Ibn Rochd 938 Reportée
1211003 AIT BEN AZOUZ Younes Amphi ibn Rochd 940 Reportée
1205856 AIT BEN OUISSADEN Abdelmoumen Amphi Ibn Rochd 942 Reportée
1205880 AIT BEN OUISSADEN Issam Amphi ibn Rochd 944 Reportée
1219468 AIT BENIJJA Abdellah Amphi Ibn Rochd 946 Reportée
1101381 AIT BENSAID Abdelhakim Amphi ibn Rochd 948 Reportée
1201403 AIT BERRAHAL El Hassania Amphi Ibn Rochd 950 Reportée
1205147 AIT BICHKAR ELHASSAN Amphi ibn Rochd 952 Reportée
1203107 AIT BLAL Abdeljabbar Amphi Ibn Rochd 954 Reportée
1202470 AIT BOUAALI Fatima Ezzahra Amphi ibn Rochd 956 Reportée
1219848 AIT BOUBKER YOUSRA Amphi Ibn Rochd 958 Reportée
1204666 AIT BOUDIA Abdelmounaim Amphi ibn Rochd 9601204666 AIT BOUDIA Abdelmounaim Amphi ibn Rochd 960
1201310 AIT BOUHADOU Zineb Amphi Ibn Rochd 962 Reportée
Matière1: Introduction au Droit positif
Matière2: Introduction au Droit musulman 4/68
Filière: Droit arabe
Faculté des sciences juridiques
et Economiques. Marrakech
N° Apogée Nom Prénom Local d'examen N° d'examen Matière1 Matière2
Université Cadi Ayyad
PV de surveillance: Session de rattrapage
Module: Introduction au Droit privé
2012-2013
Semestre1 (nouveau système)
1209267 AIT BOURA Nabila Amphi ibn Rochd 964
1208929 AIT BOURA Zineb Amphi ibn Rochd 966 Reportée
1210316 AIT BRAHIM Lamia Amphi Ibn Rochd 968
1001344 AIT CHAOU MOHAMED Amphi ibn Rochd 970
1216343 AIT CHERIF Abdallah Amphi Ibn Rochd 972 Reportée
1110138 AIT CHETOU TAOUFIK Amphi ibn Rochd 974 Reportée
1206994 AIT DADDA Samir Amphi Ibn Rochd 976 Reportée
1203976 AIT DAGHOUS Badr Amphi ibn Rochd 978 Reportée
1208781 AIT DAOUDI Oussama Amphi Ibn Rochd 980
1220129 AIT DRISS Ismail Amphi ibn Rochd 982 Reportée
1114343 AIT EL HASSAN MERYEM Amphi Ibn Rochd 984 Reportée
1201236 AIT EL KADI Ibtissam Amphi ibn Rochd 986 Reportée
1202720 AIT EL KADI Latifa Amphi Ibn Rochd 988 Reportée
1219955 AIT ELASRI NOUR EDDINE Amphi ibn Rochd 990 Reportée
1201277 AIT ELGHALI Khalid Amphi Ibn Rochd 992 Reportée
1210684 AIT ELGHAZI Najib Amphi ibn Rochd 994
1205566 AIT ELGOUTE Khalid Amphi ibn Rochd 996 Reportée
1209037 AIT ELHAMRI Sofiane Amphi Ibn Rochd 998
1219588 AIT ELHANAFI Sakina Amphi ibn Rochd 1000 Reportée
1220434 AIT ELJADIDA KHADIJA Amphi Ibn Rochd 1002 Reportée
1202570 AIT ELJAMAA Mustapha Amphi ibn Rochd 1004 Reportée
1210445 AIT ELKADI Ibtissam Amphi Ibn Rochd 1006 Reportée
1201252 AIT ELMAALLEM Tariq Amphi ibn Rochd 1008 Reportée
1208681 AIT ERRAJOUL Mohamed Amphi Ibn Rochd 1010 Reportée
1203699 AIT HAMMOU Karim Amphi ibn Rochd 1012
1100267 AIT HAMMOU Mohamed Amphi Ibn Rochd 1014 Reportée
1202767 AIT HMOUCH Jamal Amphi ibn Rochd 1016
1203942 AIT HSAINE Youssef Amphi Ibn Rochd 1018 Reportée
1201918 AIT IDAR Abdel Jalil Amphi ibn Rochd 1020
1113794 AIT KADIR Abdelhadi Amphi Ibn Rochd 1022 Reportée
1107534 AIT KHAYOUSSEF ABDELILAH Amphi ibn Rochd 1024 Reportée
1202435 AIT LAAMIM Ahmed Amphi Ibn Rochd 1026 Reportée
1210422 AIT LAAMIM Jihad Amphi ibn Rochd 1028 Reportée
1210384 AIT LAHBIB Khadija Amphi Ibn Rochd 1030 Reportée
1210463 AIT LAHCEN Latifa Amphi ibn Rochd 1032 Reportée
1207793 AIT LAHCINE Driss Amphi Ibn Rochd 1034 Reportée
1203983 AIT LAHSEN Mustapha Amphi ibn Rochd 1036
1201048 AIT LAHSSEN Jamila Amphi Ibn Rochd 1038 Reportée
1208998 AIT LAMIM Ahmed Amphi ibn Rochd 1040
1003580 AIT LARBI MOHAMED Amphi Ibn Rochd 1042 Reportée1003580 AIT LARBI MOHAMED Amphi Ibn Rochd 1042 Reportée
1219587 AIT LHAJ Idriss Amphi ibn Rochd 1044 Reportée
Matière1: Introduction au Droit positif
Matière2: Introduction au Droit musulman 5/68
Filière: Droit arabe
Faculté des sciences juridiques
et Economiques. Marrakech
N° Apogée Nom Prénom Local d'examen N° d'examen Matière1 Matière2
Université Cadi Ayyad
PV de surveillance: Session de rattrapage
Module: Introduction au Droit privé
2012-2013
Semestre1 (nouveau système)
1202265 AIT LHAJ AHMED Sabir Amphi Ibn Rochd 1046 Reportée
1209566 AIT LHOUSSAIN Soumia Amphi ibn Rochd 1048 Reportée
1201937 AIT MANSOUR Mustapha Amphi Ibn Rochd 1050
1205250 AIT MASAOUD Rachid Amphi ibn Rochd 1052
1111075 AIT MENSOUR Khadija Amphi Ibn Rochd 1054 Reportée
1203113 AIT MENSSOUR Es Said Amphi ibn Rochd 1056 Reportée
1201644 AIT MESSAOUD Ismail Amphi Ibn Rochd 1058 Reportée
1203988 AIT MOUDOUD Badre Amphi ibn Rochd 1060
1219781 AIT MOULAY ELHADJ Abdelmajid Amphi Ibn Rochd 1062
1210630 AIT MOUSSA Yamna Amphi ibn Rochd 1064
1203708 AIT NACER Mustapha Amphi Ibn Rochd 1066 Reportée
1203179 AIT NACEUR Fatima Zahra Amphi ibn Rochd 1068 Reportée
1201139 AIT OUAATICH Khadija Amphi ibn Rochd 1070 Reportée
1211000 AIT OUFELLA Abdelaziz Amphi Ibn Rochd 1072 Reportée
1108128 AIT OUISSI Nouhaila Amphi ibn Rochd 1074
1111720 AIT OUZLMAD Hasna Amphi Ibn Rochd 1076 Reportée
1114384 AIT RAIS Abdelhafid Amphi ibn Rochd 1078 Reportée
1106139 AIT RIAD Nada Amphi Ibn Rochd 1080
1219627 AIT RRAISE Youssef Amphi ibn Rochd 1082 Reportée
1211017 AIT SAID IMANE Amphi Ibn Rochd 1084 Reportée
1205107 AIT SAID Mohamed Amphi ibn Rochd 1086 Reportée
1209158 AIT SALA Abdelkarim Amphi Ibn Rochd 1088 Reportée
1203241 AIT SALM Hajar Amphi ibn Rochd 1090
1205797 AIT SBIHA Nourredine Amphi Ibn Rochd 1092 Reportée
1110827 AIT SI KADDOUR Salma Amphi ibn Rochd 1094 Reportée
1207933 AIT SIDI ABDELOUAHID Ahmed Amphi Ibn Rochd 1096 Reportée
1100610 AIT SIDI OUBRAM Abdlmajid Amphi ibn Rochd 1098 Reportée
1207725 AIT TABLALT Hamid Amphi ibn Rochd 1100 Reportée
Matière1: Introduction au Droit positif
Matière2: Introduction au Droit musulman 6/68
Filière: Droit arabe
Faculté des sciences juridiques
et Economiques. Marrakech
N° Apogée Nom Prénom Local d'examen N° d'examen Matière1 Matière2
Université Cadi Ayyad
PV de surveillance: Session de rattrapage
Module: Introduction au Droit privé
2012-2013
Semestre1 (nouveau système)
1202721 AIT TAHER Fatima Amphi Mohamed El Fassi 1102 Reportée
1203587 AIT TALAB Mohamed Amphi Mohamed El Fassi 1104 Reportée
1204484 AIT TALEB Dounia Amphi Mohamed El Fassi 1106
1219584 AIT TALEB MOSTAPHA Amphi Mohamed El Fassi 1108 Reportée
1211640 AIT TALEB AHMED Khalid Amphi Mohamed El Fassi 1110 Reportée
1216710 AIT TALEB ALI Zineb Amphi Mohamed El Fassi 1112 Reportée
1202235 AIT THAMI HICHAM Amphi Mohamed El Fassi 1114 Reportée
1103175 AIT TIRITE Abdeslam Amphi Mohamed El Fassi 1116 Reportée
1207478 AIT-BARANE El-houssine Amphi Mohamed El Fassi 1118 Reportée
1210594 AITBOUHOU Ahlam Amphi Mohamed El Fassi 1120
1216737 AITELQADI Yassine Amphi Mohamed El Fassi 1122
1106715 AITKHOUYA Hamza Amphi Mohamed El Fassi 1124 Reportée
1101781 AITLHDAR Soufiane Amphi Mohamed El Fassi 1126 Reportée
1208981 AITOURAJDAL Malika Amphi Mohamed El Fassi 1128 Reportée
1202978 AJABBOUNE Latifa Amphi Mohamed El Fassi 1130
1219882 AJALID Said Amphi Mohamed El Fassi 1132
1111053 AJJOULI Mustapha Amphi Mohamed El Fassi 1134 Reportée
1219471 AJNA AOMAR Amphi Mohamed El Fassi 1136
1219440 AJRAFI Youness Amphi Mohamed El Fassi 1138 Reportée
1206810 AKABLI Jamila Amphi Mohamed El Fassi 1140
1201671 AKABLI Majda Amphi Mohamed El Fassi 1142
1209535 AKANTOUR Abdelhafid Amphi Mohamed El Fassi 1144 Reportée
1210825 AKARKOUNE Loubna Amphi Mohamed El Fassi 1146
1111032 AKDID Wissama Amphi Mohamed El Fassi 1148 Reportée
1211293 AKESBI Mehdi Amphi Mohamed El Fassi 1150
1204024 AKHBAR-ZINA Zakaria Amphi Mohamed El Fassi 1152
1205007 AKOUNZED Samia Amphi Mohamed El Fassi 1154 Reportée
1205748 AKOURI Mounia Amphi Mohamed El Fassi 1156
1219472 AKRAM Abderrahim Amphi Mohamed El Fassi 1158
1114295 AKROUCHI MOUHCINE Amphi Mohamed El Fassi 1160
1210030 AKROUD Ikram Amphi Mohamed El Fassi 1162 Reportée
1203962 AKZAIBRA Mohammed Amphi Mohamed El Fassi 1164 Reportée
1204504 AL ALAMI Khadija Amphi Mohamed El Fassi 1166 Reportée
1109624 AL ANSARI Hamza Amphi Mohamed El Fassi 1168 Reportée
1220306 ALAHYANE Abdeljalil Amphi Mohamed El Fassi 1170 Reportée
1201082 ALAHYANE Abdou Amphi Mohamed El Fassi 1172
1109993 ALBOUHALI NADIA Amphi Mohamed El Fassi 1174 Reportée
1220110 ALFATIMI Imad Amphi Mohamed El Fassi 1176 Reportée
1201662 ALHIANE Soufiane Amphi Mohamed El Fassi 1178 Reportée
1210709 ALHYANE Rachida Amphi Mohamed El Fassi 1180 Reportée1210709 ALHYANE Rachida Amphi Mohamed El Fassi 1180 Reportée
1202611 ALI BAIBA Lamina Amphi Mohamed El Fassi 1182 Reportée
Matière1: Introduction au Droit positif
Matière2: Introduction au Droit musulman 7/68
Filière: Droit arabe
Faculté des sciences juridiques
et Economiques. Marrakech
N° Apogée Nom Prénom Local d'examen N° d'examen Matière1 Matière2
Université Cadi Ayyad
PV de surveillance: Session de rattrapage
Module: Introduction au Droit privé
2012-2013
Semestre1 (nouveau système)
1209954 ALIBADI Kouissa Amphi Mohamed El Fassi 1184 Reportée
1101897 ALIOUA Mohamed Amphi Mohamed El Fassi 1186 Reportée
1111518 ALLA Donia Amphi Mohamed El Fassi 1188 Reportée
1202473 ALMOUSSOUNI Malika Amphi Mohamed El Fassi 1190
1201584 ALOUACH Noura Amphi Mohamed El Fassi 1192
1209075 ALOUATE Fatima Ez-zahra Amphi Mohamed El Fassi 1194
1209226 AMACH El Khazraje Amphi Mohamed El Fassi 1196 Reportée
1208617 AMADDAH Mohamed Amphi Mohamed El Fassi 1198 Reportée
1209588 AMAHROUS Samir Amphi Mohamed El Fassi 1200
1202101 AMAJOUD Rachid Amphi Mohamed El Fassi 1202 Reportée
1201593 AMALAL Abderrahim Amphi Mohamed El Fassi 1204 Reportée
1209286 AMANE Abderrahman Amphi Mohamed El Fassi 1206
1219412 AMANZOU AMINE Amphi Mohamed El Fassi 1208
1219879 AMARIGH Fatima Amphi Mohamed El Fassi 1210 Reportée
1101688 AMAZOUN Mohamed Amphi Mohamed El Fassi 1212 Reportée
1201121 AMDIAB Hafsa Amphi Mohamed El Fassi 1214 Reportée
1219065 AMDJAR Hafida Amphi Mohamed El Fassi 1216 Reportée
1219701 AMEDIAZ Mustapha Amphi Mohamed El Fassi 1218 Reportée
1202648 AMEGGOUNE Khalid Amphi Mohamed El Fassi 1220 Reportée
1103889 AMEHAOUD Maryem Amphi Mohamed El Fassi 1222
1204103 AMEUR HAMZA Amphi Mohamed El Fassi 1224 Reportée
1202266 AMEZAOUROU Imane Amphi Mohamed El Fassi 1226
1004564 AMGHAR IKRAM Amphi Mohamed El Fassi 1228 Reportée
1201234 AMIK Mohammed Amphi Mohamed El Fassi 1230
1204259 AMINE Ayoub Amphi Mohamed El Fassi 1232
1011310 AMIR ABDELLATIF Amphi Mohamed El Fassi 1234 Reportée
1204414 AMJAHDI Issam Amphi Mohamed El Fassi 1236 Reportée
1211305 AMJAHDY Hassane Amphi Mohamed El Fassi 1238
1104093 AMLAIZAZ Ali Amphi Mohamed El Fassi 1240 Reportée
1204754 AMMAR Saida Amphi Mohamed El Fassi 1242
1220891 AMMARI SOUMIA Amphi Mohamed El Fassi 1244 Reportée
1205198 AMOUCH Khadija Amphi Mohamed El Fassi 1246 Reportée
1202796 AMOUDAYEN Khaoula Amphi Mohamed El Fassi 1248 Reportée
1201133 AMRO Abdlouhabe Amphi Mohamed El Fassi 1250 Reportée
1219981 AMZIL Abdelaali Amphi Mohamed El Fassi 1252 Reportée
1201096 AMZIL Abdenacer Amphi Mohamed El Fassi 1254 Reportée
1115694 AMZIL Asmaa Amphi Mohamed El Fassi 1256
1202593 ANCHAD Aabla Amphi Mohamed El Fassi 1258 Reportée
1205783 ANGUAR LOUBNA Amphi Mohamed El Fassi 1260 Reportée
1220294 ANOUFR Smail Amphi Mohamed El Fassi 1262 Reportée1220294 ANOUFR Smail Amphi Mohamed El Fassi 1262 Reportée
1111279 ANTIGUY Fatima Amphi Mohamed El Fassi 1264 Reportée
Matière1: Introduction au Droit positif
Matière2: Introduction au Droit musulman 8/68
Filière: Droit arabe
Faculté des sciences juridiques
et Economiques. Marrakech
N° Apogée Nom Prénom Local d'examen N° d'examen Matière1 Matière2
Université Cadi Ayyad
PV de surveillance: Session de rattrapage
Module: Introduction au Droit privé
2012-2013
Semestre1 (nouveau système)
1111541 ANZALI Mahmoud Amphi Mohamed El Fassi 1266 Reportée
1103253 ANZAR Zahra Amphi Mohamed El Fassi 1268 Reportée
1203099 ANZAZ Noura Amphi Mohamed El Fassi 1270 Reportée
1102520 AOUIDATE El Bachir Amphi Mohamed El Fassi 1272 Reportée
1205652 AOUINATE Hamza Amphi Mohamed El Fassi 1274 Reportée
1202308 AOUINI NEZHA Amphi Mohamed El Fassi 1276 Reportée
1203859 AOUZAL Tarik Amphi Mohamed El Fassi 1278 Reportée
1204001 AQARROCH Radouan Amphi Mohamed El Fassi 1280 Reportée
1208971 ARABIA Miloud Amphi Mohamed El Fassi 1282
1102956 ARAJDAL Rachid Amphi Mohamed El Fassi 1284 Reportée
1104970 ARCHANE ABD ERRAZAK Amphi Mohamed El Fassi 1286
1203822 ARFAOUI Najib Amphi Mohamed El Fassi 1288
1204076 ARHLIDA Abdelhakim Amphi Mohamed El Fassi 1290
1219798 ARHOUTI ASMAE Amphi Mohamed El Fassi 1292
1208842 ARMIDI Mohamed Amphi Mohamed El Fassi 1294 Reportée
1202663 AROUHI Soufian Amphi Mohamed El Fassi 1296
1209965 ASAAD Houria Amphi Mohamed El Fassi 1298
1205059 ASAIDI Merouane Amphi Mohamed El Fassi 1300 Reportée
1202010 ASAKMOUD Adil Amphi Mohamed El Fassi 1302 Reportée
1209816 ASDREM Hanane Amphi Mohamed El Fassi 1304 Reportée
1211066 ASSAFAR Asma Amphi Mohamed El Fassi 1306
1203040 ASSAOUITE Mohamed Amphi Mohamed El Fassi 1308 Reportée
1204780 ASSARHLI Allal Amphi Mohamed El Fassi 1310
1201651 ASSEHNOUN Atika Amphi Mohamed El Fassi 1312
1204110 ASSEHNOUNE Nour-eddine Amphi Mohamed El Fassi 1314 Reportée
1204864 ATADDART Mohamed Amphi Mohamed El Fassi 1316 Reportée
1203961 ATIFI Zine Elaabidine Amphi Mohamed El Fassi 1318 Reportée
1111130 ATTABOU Lamia Amphi Mohamed El Fassi 1320 Reportée
1218949 ATTAOUI Khadija Amphi Mohamed El Fassi 1322 Reportée
1111616 ATTAR Mustapha Amphi Mohamed El Fassi 1324 Reportée
1204444 ATYQ Brahim Amphi Mohamed El Fassi 1326 Reportée
1209064 AYOUCH Mustapha Amphi Mohamed El Fassi 1328 Reportée
1201194 AZAKI Safa Amphi Mohamed El Fassi 1330 Reportée
1203345 AZEGGAGH Abd Errahmane Amphi Mohamed El Fassi 1332 Reportée
1203106 AZEKKAR Salah Amphi Mohamed El Fassi 1334 Reportée
1204969 AZELMAD Hicham Amphi Mohamed El Fassi 1336
1202313 AZERKANE Jamila Amphi Mohamed El Fassi 1338 Reportée
1204593 AZIZ Ali Amphi Mohamed El Fassi 1340 Reportée
1200993 AZIZI Mohamed Amphi Mohamed El Fassi 1342
1201280 AZNAG FAICAL Amphi Mohamed El Fassi 1344 Reportée1201280 AZNAG FAICAL Amphi Mohamed El Fassi 1344 Reportée
1208835 AZNAG Fatima Zzahra Amphi Mohamed El Fassi 1346 Reportée
Matière1: Introduction au Droit positif
Matière2: Introduction au Droit musulman 9/68
Filière: Droit arabe
Faculté des sciences juridiques
et Economiques. Marrakech
N° Apogée Nom Prénom Local d'examen N° d'examen Matière1 Matière2
Université Cadi Ayyad
PV de surveillance: Session de rattrapage
Module: Introduction au Droit privé
2012-2013
Semestre1 (nouveau système)
1204632 AZNAG Kamal Amphi Mohamed El Fassi 1348 Reportée
1207514 AZNAG Mohamed Amphi Mohamed El Fassi 1350 Reportée
1220242 AZNAGUE Mohammed Amine Amphi Mohamed El Fassi 1352
1110253 AZNAQ Abdelhai Amphi Mohamed El Fassi 1354 Reportée
1209074 AZOUD Abdellah Amphi Mohamed El Fassi 1356 Reportée
1201668 AZOUGGAGH Hanane Amphi Mohamed El Fassi 1358 Reportée
1216780 AZOUR Yassine Amphi Mohamed El Fassi 1360 Reportée
1220886 AZROUAL MERIEM Amphi Mohamed El Fassi 1362
1205672 BAABBOU Dounia Amphi Mohamed El Fassi 1364 Reportée
1004140 BAADDI RACHID Amphi Mohamed El Fassi 1366
1219542 BAAIKIK Maryam Amphi Mohamed El Fassi 1368 Reportée
1210914 BAALI Rabha Amphi Mohamed El Fassi 1370 Reportée
1203025 BAALI Samah Amphi Mohamed El Fassi 1372 Reportée
1102689 BAALLA El Houssine Amphi Mohamed El Fassi 1374 Reportée
1204238 BAALLAL Zakaria Amphi Mohamed El Fassi 1376 Reportée
1202579 BAALLI Naji Amphi Mohamed El Fassi 1378 Reportée
1205829 BAAMRANE Hind Amphi Mohamed El Fassi 1380 Reportée
1219736 BAAZIZ Amina Amphi Mohamed El Fassi 1382 Reportée
1208827 BAAZIZ Mohamed Amphi Mohamed El Fassi 1384 Reportée
1203094 BABA El Mehdi Amphi Mohamed El Fassi 1386 Reportée
1201546 BABA ESSALEK Amphi Mohamed El Fassi 1388 Reportée
1203063 BACH Mohamed Amphi Mohamed El Fassi 1390 Reportée
Matière1: Introduction au Droit positif
Matière2: Introduction au Droit musulman 10/68
Filière: Droit arabe
Faculté des sciences juridiques
et Economiques. Marrakech
N° Apogée Nom Prénom Local d'examen N° d'examen Matière1 Matière2
Université Cadi Ayyad
PV de surveillance: Session de rattrapage
Module: Introduction au Droit privé
2012-2013
Semestre1 (nouveau système)
1211329 BACHKOU ABDENAIM Amphi A 1392 Reportée
1211131 BADAOUI Khalid Amphi A 1394 Reportée
1104092 BADDA Amine Amphi A 1396 Reportée
1204499 BADISS Fatima Amphi A 1398 Reportée
1107140 BADJI Badre Amphi A 1400
1202231 BADRANE Badr Amphi A 1402 Reportée
1110531 BADRI Charaf Amphi A 1404 Reportée
1202526 BAGHOUGH Wafa Amphi A 1406 Reportée
1210989 BAHADI Miloude Amphi A 1408 Reportée
1103529 BAHALLI Hicham Amphi A 1410 Reportée
1220199 BAHASSOU MOHAMED Amphi A 1412 Reportée
1219591 BAHASSOU Salah Amphi A 1414
1209951 BAHAYA Fatima Amphi A 1416
1208430 BAHHAJ Loubna Amphi A 1418 Reportée
1219493 BAHHAJ Sana Amphi A 1420 Reportée
1201115 BAHIA Malika Amphi A 1422 Reportée
1106792 BAHIJ MBARKA Amphi A 1424 Reportée
1210450 BAHIL Mariem Amphi A 1426 Reportée
1202618 BAHJANI Abdelfattah Amphi A 1428 Reportée
1202315 BAHOUS Fatimezzahra Amphi A 1430 Reportée
1110978 BAHRAOUI Soufiane Amphi A 1432 Reportée
1201124 BAIGA Elhassan Amphi A 1434 Reportée
1204227 BAILLA Safa Amphi A 1436
1201299 BAINE Lahcen Amphi A 1438 Reportée
1216335 BAIROUK Khadija Amphi A 1440 Reportée
1100474 BAJAOUI Abderrahim Amphi A 1442
1201054 BAJJA Assiya Amphi A 1444 Reportée
1205246 BAKADER Youssef Amphi A 1446 Reportée
1209131 BAKARDOUCH Abderrahim Amphi A 1448
1210492 BAKHACH Hicham Amphi A 1450 Reportée
1215821 BAKHDIL Fatima Amphi A 1452 Reportée
1110558 BAKHTATI Hasna Amphi A 1454 Reportée
1204202 BAKZIZ KARIM Amphi A 1456
1202929 BALALYA Mina Amphi A 1458
1201069 BALILI Mustapha Amphi A 1460 Reportée
1203138 BALLA El Hassan Amphi A 1462
1202388 BANI Somia Amphi A 1464 Reportée
1206905 BANNOUR Bouchra Amphi A 1466 Reportée
1109571 BANTOUR Issam Amphi A 1468 Reportée
1219729 BAQQA Imane Amphi A 1470 Reportée1219729 BAQQA Imane Amphi A 1470 Reportée
1102201 BAQQA Mohamed Amphi A 1472 Reportée
Matière1: Introduction au Droit positif
Matière2: Introduction au Droit musulman 11/68
Filière: Droit arabe
Faculté des sciences juridiques
et Economiques. Marrakech
N° Apogée Nom Prénom Local d'examen N° d'examen Matière1 Matière2
Université Cadi Ayyad
PV de surveillance: Session de rattrapage
Module: Introduction au Droit privé
2012-2013
Semestre1 (nouveau système)
1201934 BAQROU Mohamed Yassine Amphi A 1474 Reportée
Matière1: Introduction au Droit positif
Matière2: Introduction au Droit musulman 12/68
Filière: Droit arabe
Faculté des sciences juridiques
et Economiques. Marrakech
N° Apogée Nom Prénom Local d'examen N° d'examen Matière1 Matière2
Université Cadi Ayyad
PV de surveillance: Session de rattrapage
Module: Introduction au Droit privé
2012-2013
Semestre1 (nouveau système)
1205899 BARAKA Elmahdi Amphi B 1476 Reportée
1100622 BARAZOUK Hassna Amphi B 1478 Reportée
1201781 BARAZOUK Houda Amphi B 1480 Reportée
1110881 BARBOR Fatim Zahra Amphi B 1482 Reportée
1209172 BARBOUCHI Khalid Amphi B 1484 Reportée
1205265 BARHOUTI Nizar Amphi B 1486 Reportée
1108057 BARI Salah Amphi B 1488 Reportée
1203780 BARI Youssef Amphi B 1490 Reportée
1210934 BARIJ MAJDA Amphi B 1492 Reportée
1209429 BARIKA-LLAH Amina Amphi B 1494 Reportée
1209168 BARIKALLAH Zouina Amphi B 1496 Reportée
1202943 BARKACH Noureddine Amphi B 1498 Reportée
1219292 BARKANI Ghizlane Amphi B 1500 Reportée
1208644 BAROUCH Youssef Amphi B 1502 Reportée
1202906 BARTAOUCH Jamal Amphi B 1504 Reportée
1203712 BASIRI El Habib Amphi B 1506
1200992 BATRAH Ouijdane Amphi B 1508 Reportée
1202673 BATTACH MERYEME Amphi B 1510 Reportée
1202542 BATTOURI Sanae Amphi B 1512 Reportée
1205132 BAYDARE Achiq Amphi B 1514 Reportée
1204800 BAYYOUD ATIQA Amphi B 1516 Reportée
1219653 BEDDADI NOURA Amphi B 1518
1210435 BEJDI Meriem Amphi B 1520
1202784 BEL FAQUIR Abdelhafid Amphi B 1522 Reportée
1115942 BEL HOUTI GHIZLANE Amphi B 1524 Reportée
1219752 BEL KAROUI ABDELAALI Amphi B 1526 Reportée
1219424 BEL MAANI ABDESSALAM Amphi B 1528 Reportée
1105346 BEL MOUDDEN Rachida Amphi B 1530 Reportée
1204877 BELABYAD Fatima Ezzahra Amphi B 1532 Reportée
1203244 BELAHDIA Abdelmounaim Amphi B 1534 Reportée
1204373 BELAHOUAOUI Ahmed Amphi B 1536 Reportée
1201263 BELAICHA Mohamed Amphi B 1538 Reportée
1107145 BELAICHI Abderrahim Amphi B 1540 Reportée
1201078 BELAKHOUIRATE Othman Amphi B 1542 Reportée
1102207 BELASELE Moulay Rachid Amphi B 1544 Reportée
1202031 BELASLA Fatima-zahra Amphi B 1546 Reportée
1202384 BELDI Tarik Amphi B 1548 Reportée
1216697 BELFADIL Brahim Amphi B 1550 Reportée
1107252 BELFKIRA Mouhamed Amphi B 1552
1208877 BELFOUZI Soumaya Amphi B 1554 Reportée1208877 BELFOUZI Soumaya Amphi B 1554 Reportée
1206890 BELGHITI Lamia Amphi B 1556 Reportée
Matière1: Introduction au Droit positif
Matière2: Introduction au Droit musulman 13/68
Filière: Droit arabe
Faculté des sciences juridiques
et Economiques. Marrakech
N° Apogée Nom Prénom Local d'examen N° d'examen Matière1 Matière2
Université Cadi Ayyad
PV de surveillance: Session de rattrapage
Module: Introduction au Droit privé
2012-2013
Semestre1 (nouveau système)
1201849 BELGOUTE Hind Amphi B 1558 Reportée
Matière1: Introduction au Droit positif
Matière2: Introduction au Droit musulman 14/68
Filière: Droit arabe
Faculté des sciences juridiques
et Economiques. Marrakech
N° Apogée Nom Prénom Local d'examen N° d'examen Matière1 Matière2
Université Cadi Ayyad
PV de surveillance: Session de rattrapage
Module: Introduction au Droit privé
2012-2013
Semestre1 (nouveau système)
1202534 BELGUMHA Yassmina Amphi C 1560 Reportée
1219974 BELHACEN SOUFIANE Amphi C 1562 Reportée
1205171 BELHAFTA Fatima Amphi C 1564 Reportée
1204901 BELHAIBA Abdeladim Amphi C 1566
1205170 BELHAITE Khalid Amphi C 1568 Reportée
1200976 BELHAJ ABDELLAH Amphi C 1570 Reportée
1204965 BELHAJ Rachid Amphi C 1572 Reportée
1213643 BELKABOUS Fatima Ezzahra Amphi C 1574 Reportée
1201797 BELKHAOUDA Fakhr-eddine Amphi C 1576 Reportée
1205200 BELKIYAL ELMEHDI Amphi C 1578 Reportée
1205135 BELLA ABDLKARIM Amphi C 1580 Reportée
1208916 BELLABECHARA Mariama Amphi C 1582 Reportée
1203965 BELLABROUM Abdelkarim Amphi C 1584 Reportée
1205117 BELLAHMAMA Mustapha Amphi C 1586 Reportée
1203310 BELLAKHA Othmane Amphi C 1588 Reportée
1201021 BELLGMMAH Abd Elwahed Amphi C 1590 Reportée
1210026 BELMALAH Sara Amphi C 1592 Reportée
1210058 BELMOUDEN Nadia Amphi C 1594 Reportée
1114569 BELQAID MEHDI Amphi C 1596 Reportée
1202947 BEN AAMAR Khamissa Amphi C 1598 Reportée
1217333 BEN ALLA FATIMA Amphi C 1600 Reportée
1218947 BEN ALLA Soumia Amphi C 1602
1102530 BEN AOUCHA Mohammed Amphi C 1604 Reportée
1207562 BEN AZZOUZ Youssef Amphi C 1606 Reportée
1208850 BEN CHAKROUN Salah Eddine Amphi C 1608 Reportée
1209092 BEN CHAOUD Nafaa Amphi C 1610 Reportée
1219401 BEN EL BADAOUI Morad Amphi C 1612 Reportée
1202173 BEN ELHAJ Mohssine Amphi C 1614 Reportée
1203638 BEN ELMADANI Abdelhamid Amphi C 1616 Reportée
1109617 BEN ELMEKKI Mourad Amphi C 1618
1209978 BEN FATNA Abderrazzak Amphi C 1620
1201152 BEN HADDOUCH Abdeslam Amphi C 1622
1203348 BEN HADIA Mohamed Amphi C 1624 Reportée
1101353 BEN HAMMOU Es-said Amphi C 1626
1202374 BEN HAMMOU Tariq Amphi C 1628 Reportée
1201167 BEN HANDA Latifa Amphi C 1630
1211175 BEN ITTO Jamal Amphi C 1632 Reportée
1208005 BEN KAKA Najat Amphi C 1634
1202445 BEN LAHSAINI Fatima Ezzahra Amphi C 1636 Reportée
1106754 BEN MANSOUR Naima Amphi C 1638 Reportée1106754 BEN MANSOUR Naima Amphi C 1638 Reportée
1219455 BEN MARZOUK Hamid Amphi C 1640 Reportée
Matière1: Introduction au Droit positif
Matière2: Introduction au Droit musulman 15/68
Filière: Droit arabe
Faculté des sciences juridiques
et Economiques. Marrakech
N° Apogée Nom Prénom Local d'examen N° d'examen Matière1 Matière2
Université Cadi Ayyad
PV de surveillance: Session de rattrapage
Module: Introduction au Droit privé
2012-2013
Semestre1 (nouveau système)
1215067 BEN MOUSA Rabia Amphi C 1642 Reportée
Matière1: Introduction au Droit positif
Matière2: Introduction au Droit musulman 16/68
Filière: Droit arabe
Faculté des sciences juridiques
et Economiques. Marrakech
N° Apogée Nom Prénom Local d'examen N° d'examen Matière1 Matière2
Université Cadi Ayyad
PV de surveillance: Session de rattrapage
Module: Introduction au Droit privé
2012-2013
Semestre1 (nouveau système)
1219447 BEN OUAKAS El Mostafa Amphi D 1644
1107795 BEN RAYES Abdelkrim Amphi D 1646 Reportée
1101201 BEN SLIMANE Yassine Amphi D 1648 Reportée
1111544 BEN TAI Ahmed Amphi D 1650 Reportée
1201219 BEN YAMNA Soukaina Amphi D 1652 Reportée
1102148 BEN ZAIR Karima Amphi D 1654 Reportée
1201536 BEN ZIDANE Sanae Amphi D 1656
1107723 BENAADDI Mounir Amphi D 1658 Reportée
1103870 BENAADEL Hayat Amphi D 1660 Reportée
1111023 BENAALLA Khadija Amphi D 1662 Reportée
1204457 BENABDELLAH Mohamed Amphi D 1664
1219670 BENABDSSELAM ZAKARIA Amphi D 1666 Reportée
1205886 BENADNANE Soukaina Amphi D 1668
1201761 BEN-AFFOUNE Jalal Amphi D 1670
1207465 BENAISSA Said Amphi D 1672
1202199 BENAISSA ELFASSI Anas Amphi D 1674
1203795 BENARAB Mustapha Amphi D 1676 Reportée
1208180 BENAYAD Ahmed Amphi D 1678
1201777 BENBAHIA Amina Amphi D 1680
97033938 BENBARI ZAKARIA Amphi D 1682 Reportée
1219527 BENBARI Zineb Amphi D 1684 Reportée
1207343 BENCHOUK Hassan Amphi D 1686 Reportée
1003924 BENDAOUD HAMZA Amphi D 1688 Reportée
1203739 BENDEHANE Zakaria Amphi D 1690 Reportée
1220926 BENDRISS SOUFIANE Amphi D 1692 Reportée
1209880 BENEDRIOUCH Nadia Amphi D 1694
1102661 BENELASRI Rabab Amphi D 1696 Reportée
1201786 BENELHOMS Houria Amphi D 1698 Reportée
1202297 BENELKAIDA El-mahdi Amphi D 1700 Reportée
1216713 BENELMFIRIQ Hamza Amphi D 1702 Reportée
1101439 BENFALLE Noureddine Amphi D 1704 Reportée
1202079 BENFOUNDOU Mohamed Fadel Amphi D 1706
1205894 BENHABIBI Abderrazzak Amphi D 1708
1202994 BENHABIBI Soufiane Amphi D 1710 Reportée
1207971 BENHADDA Hanane Amphi D 1712
1220883 BENHAJJI FATIMA ZAHRA Amphi D 1714
1201608 BENHAJJO Lahcene Amphi D 1716 Reportée
1109635 BENHAMOUCH Latifa Amphi D 1718 Reportée
1209602 BENKARKOUB Maryam Amphi D 1720
1204338 BENKHOUIRA Tarik Amphi D 1722 Reportée1204338 BENKHOUIRA Tarik Amphi D 1722 Reportée
1104943 BENLAITIM Yassine Amphi D 1724 Reportée
Matière1: Introduction au Droit positif
Matière2: Introduction au Droit musulman 17/68
Filière: Droit arabe
Faculté des sciences juridiques
et Economiques. Marrakech
N° Apogée Nom Prénom Local d'examen N° d'examen Matière1 Matière2
Université Cadi Ayyad
PV de surveillance: Session de rattrapage
Module: Introduction au Droit privé
2012-2013
Semestre1 (nouveau système)
1202936 BENMOUSSA Fairouz Amphi D 1726
Matière1: Introduction au Droit positif
Matière2: Introduction au Droit musulman 18/68
Filière: Droit arabe
Faculté des sciences juridiques
et Economiques. Marrakech
N° Apogée Nom Prénom Local d'examen N° d'examen Matière1 Matière2
Université Cadi Ayyad
PV de surveillance: Session de rattrapage
Module: Introduction au Droit privé
2012-2013
Semestre1 (nouveau système)
1210550 BENNAR Khadija Amphi E 1728
1201757 BENNARA Abdessamia Amphi E 1730 Reportée
1203264 BENNAY Nadia Amphi E 1732 Reportée
1110232 BENNOUNA Jalila Amphi E 1734 Reportée
1101036 BENNOURINE Hasna Amphi E 1736 Reportée
1210687 BENNOUS KHAOULA Amphi E 1738
1219753 BENOMAR Dahbi Amphi E 1740 Reportée
1219613 BENSAHMOUD Ouafa Amphi E 1742 Reportée
1219419 BENSBAA ELMOKHTAR Amphi E 1744
1207422 BENSOUIRI Mouna Amphi E 1746 Reportée
1107464 BENSSERAJ Fatimazahra Amphi E 1748 Reportée
1108835 BENTAMMA Ikrame Amphi E 1750 Reportée
1208792 BENTOURI Abdlkarim Amphi E 1752
1003446 BENYAHIA SARA Amphi E 1754 Reportée
1219933 BENYOUSAF Meriem Amphi E 1756 Reportée
1202604 BENZALIM Ayoub Amphi E 1758 Reportée
1204870 BENZAYA Hayat Amphi E 1760
1208828 BENZAYER Soufiane Amphi E 1762 Reportée
1206958 BENZBIRI Sara Amphi E 1764
1201736 BENZINA Ahmed Amphi E 1766 Reportée
1201866 BERDGUIE M'brak Amphi E 1768
1003902 BERGACH FATIMA Amphi E 1770
1104009 BERRAGANE Salah Amphi E 1772
1115717 BESSI Mohamad Amphi E 1774 Reportée
1209023 BHILISSE Larabas Amphi E 1776 Reportée
1113783 BIAR Samira Amphi E 1778 Reportée
1201307 BIBARK Wafa Amphi E 1780 Reportée
1210123 BIBOUT Abrakhom Amphi E 1782 Reportée
1201355 BIHI Soufian Amphi E 1784
1220321 BIJJI Sabah Amphi E 1786
1201230 BINI Brahim Amphi E 1788 Reportée
1202216 BIRAM Al Bachir Amphi E 1790
1203182 BIRJI Madiha Amphi E 1792
1109941 BIROUK Redouane Amphi E 1794
1100634 BISSKNA NADIA Amphi E 1796
1111252 BITI Youssef Amphi E 1798 Reportée
1202607 BIYOUD Khadija Amphi E 1800 Reportée
1219489 BLQIS ILHAME Amphi E 1802 Reportée
1115585 BORIAL WARDA Amphi E 1804 Reportée
1219793 BOUAADDI Mustapha Amphi E 1806 Reportée1219793 BOUAADDI Mustapha Amphi E 1806 Reportée
1204109 BOUABBAD Abderrahim Amphi E 1808
Matière1: Introduction au Droit positif
Matière2: Introduction au Droit musulman 19/68
Filière: Droit arabe
Faculté des sciences juridiques
et Economiques. Marrakech
N° Apogée Nom Prénom Local d'examen N° d'examen Matière1 Matière2
Université Cadi Ayyad
PV de surveillance: Session de rattrapage
Module: Introduction au Droit privé
2012-2013
Semestre1 (nouveau système)
1114306 BOUABD Ismail Amphi E 1810
Matière1: Introduction au Droit positif
Matière2: Introduction au Droit musulman 20/68
Filière: Droit arabe
Faculté des sciences juridiques
et Economiques. Marrakech
N° Apogée Nom Prénom Local d'examen N° d'examen Matière1 Matière2
Université Cadi Ayyad
PV de surveillance: Session de rattrapage
Module: Introduction au Droit privé
2012-2013
Semestre1 (nouveau système)
1103855 BOUADANE Lahsen Salle de lecture 02 1912 Reportée
1203158 BOUAHBI Mohammed Salle de lecture 02 1914
1209333 BOUAICHI Ichraq Salle de lecture 02 1916 Reportée
1202341 BOUAMOUD ABOUBAKERE Salle de lecture 02 1918
1114283 BOUAMOUD BANTAKHOUALHA Salle de lecture 02 1920 Reportée
1203609 BOUAMOUD Mohamed Salle de lecture 02 1922
1208438 BOUAMOUD Salah Salle de lecture 02 1924
1204693 BOUAOUD Touria Salle de lecture 02 1926 Reportée
1203259 BOUAOUI Mouad Salle de lecture 02 1928
1204789 BOUAOULATINE Fouad Salle de lecture 02 1930 Reportée
1204817 BOUAOULATINE Mourad Salle de lecture 02 1932 Reportée
1210598 BOUBAKKAR Halima Salle de lecture 02 1934 Reportée
1105375 BOUBEDDARA Meriem Salle de lecture 02 1936 Reportée
1202402 BOUCHAIB Aicha Salle de lecture 02 1938
1104550 BOUCHATER Ahmed Salle de lecture 02 1940 Reportée
1219617 BOUCHBOURA Kamal Salle de lecture 02 1942 Reportée
1219416 BOUCHEJRA Najat Salle de lecture 02 1944 Reportée
1203995 BOUCHKARA Hamid Salle de lecture 02 1946 Reportée
1204102 BOUCHTA Mohamed Salle de lecture 02 1948 Reportée
1202552 BOUDALAà Sabah Salle de lecture 02 1950 Reportée
1202969 BOUDAR Oualid Salle de lecture 02 1952 Reportée
1209611 BOUDEBOUSS Slima Salle de lecture 02 1954
1216372 BOUDELAL Khadija Salle de lecture 02 1956
1219732 BOUDEN Nezha Salle de lecture 02 1958 Reportée
1201344 BOUDIA Hanane Salle de lecture 02 1960
1105885 BOUDNI Imane Salle de lecture 02 1962 Reportée
1105857 BOUFALJA Laila Salle de lecture 02 1964 Reportée
1216380 BOUFAYDA Rachid Salle de lecture 02 1966 Reportée
1207023 BOUFOUS Maryem Salle de lecture 02 1968
1111524 BOUGHANBOUR Zahira Salle de lecture 02 1970 Reportée
1209717 BOUGHDA Abdenasser Salle de lecture 02 1972 Reportée
1202933 BOUGHROUM Abderrahim Salle de lecture 02 1974 Reportée
1209868 BOUGNINE Aomar Salle de lecture 02 1976 Reportée
1220016 BOUGOULA Nora Salle de lecture 02 1978
1207031 BOUGRINE Hamza Salle de lecture 02 1980 Reportée
7026214 BOUGTAYA JAMAL Salle de lecture 02 1982
94300026 BOUGUEJDI HAMID Salle de lecture 02 1984 Reportée
1201368 BOUHA Naima Salle de lecture 02 1986
1202687 BOUHAIDA Abdeljbbar Salle de lecture 02 1988 Reportée
1204101 BOUHAL CHADIA Salle de lecture 02 1990 Reportée1204101 BOUHAL CHADIA Salle de lecture 02 1990 Reportée
1003937 BOUHALI YASSINE Salle de lecture 02 1992 Reportée
Matière1: Introduction au Droit positif
Matière2: Introduction au Droit musulman 21/68
Filière: Droit arabe
Faculté des sciences juridiques
et Economiques. Marrakech
N° Apogée Nom Prénom Local d'examen N° d'examen Matière1 Matière2
Université Cadi Ayyad
PV de surveillance: Session de rattrapage
Module: Introduction au Droit privé
2012-2013
Semestre1 (nouveau système)
1110446 BOUHANI Raja Salle de lecture 02 1994 Reportée
1204804 BOUHDACH Kenza Salle de lecture 02 1996 Reportée
1204123 BOUHID Nour-eddine Salle de lecture 02 1998 Reportée
1201775 BOUHLAL Souhail Salle de lecture 02 2000 Reportée
1109326 BOUHMAME M'hammed Salle de lecture 02 2002 Reportée
1103692 BOUHMID Jamal Salle de lecture 02 2004 Reportée
1201282 BOUHMID Karim Salle de lecture 02 2006 Reportée
1202502 BOUHOUCH Mohammed Salle de lecture 02 2008 Reportée
1112285 BOUHOUCH ZAKARIA Salle de lecture 02 2010 Reportée
1110520 BOUHOUDA Najate Salle de lecture 02 2012 Reportée
1201370 BOUHRAOUA Younes Salle de lecture 02 2014
1202488 BOUHRIBA Nassima Salle de lecture 02 2016 Reportée
1219614 BOUHSAIN Adil Salle de lecture 02 2018 Reportée
1208956 BOUIATRAS Rochdi Salle de lecture 02 2020 Reportée
1115612 BOUIBOUKIRN Mohamed Salle de lecture 02 2022 Reportée
1114585 BOUICHOU Kamal Salle de lecture 02 2024 Reportée
1202908 BOUIFOULLOUS Hind Salle de lecture 02 2026 Reportée
1203315 BOUIGUIDOU Youssef Salle de lecture 02 2028 Reportée
1205090 BOUIHI Khaoula Salle de lecture 02 2030
Matière1: Introduction au Droit positif
Matière2: Introduction au Droit musulman 22/68
Filière: Droit arabe
Faculté des sciences juridiques
et Economiques. Marrakech
N° Apogée Nom Prénom Local d'examen N° d'examen Matière1 Matière2
Université Cadi Ayyad
PV de surveillance: Session de rattrapage
Module: Introduction au Droit privé
2012-2013
Semestre1 (nouveau système)
1210414 BOUIMHIM Rachida Salle de lecture 03 2032 Reportée
1110785 BOUIZAR Hicham Salle de lecture 03 2034 Reportée
1105086 BOUJENOUI Youssef Salle de lecture 03 2036 Reportée
1004693 BOUJERKENE HICHAM Salle de lecture 03 2038 Reportée
1202529 BOUJI Fatiha Salle de lecture 03 2040 Reportée
1110109 BOUJLIL Fatima Salle de lecture 03 2042 Reportée
1201676 BOUJRIDA Zakaria Salle de lecture 03 2044 Reportée
1211214 BOUKAJ Khalid Salle de lecture 03 2046
1009240 BOUKARAI JIHANE Salle de lecture 03 2048 Reportée
1202453 BOUKCHOUCH Zakaria Salle de lecture 03 2050
1111372 BOUKENTAR Souad Salle de lecture 03 2052 Reportée
1111388 BOUKERCH Hayat Salle de lecture 03 2054 Reportée
1208897 BOUKHRISS Hasna Salle de lecture 03 2056
1201605 BOUKRAB M'barka Salle de lecture 03 2058 Reportée
1204161 BOUKTIB Moussa Salle de lecture 03 2060 Reportée
1105482 BOULAHCEN Lhoussein Salle de lecture 03 2062 Reportée
1205780 BOULAHJAR Mariam Salle de lecture 03 2064 Reportée
1106757 BOULAHJAR Mustapha Salle de lecture 03 2066 Reportée
1100791 BOULAJAJ Hicham Salle de lecture 03 2068 Reportée
1216622 BOULMANE JAMILA Salle de lecture 03 2070
1219755 BOULMANE SAMAH Salle de lecture 03 2072 Reportée
1209991 BOUMAAZA Fatima Salle de lecture 03 2074
1204840 BOUMAHDI ABDALLAHI Salle de lecture 03 2076 Reportée
1220366 BOUMDIANE Noureddine Salle de lecture 03 2078
1219855 BOUMEHA ILHAM Salle de lecture 03 2080
1205684 BOUMERZAF Souilma Salle de lecture 03 2082
1209860 BOUMOUGAY Yassine Salle de lecture 03 2084 Reportée
1219642 BOUNGOUL Abdelkrim Salle de lecture 03 2086
1202288 BOUNHAR Khadija Salle de lecture 03 2088 Reportée
1205682 BOUNNIT Soukaina Salle de lecture 03 2090
1204938 BOUNOU Soumia Salle de lecture 03 2092 Reportée
1100661 BOUNOUADER Nezha Salle de lecture 03 2094
1114583 BOURAGAA MOHAMED Salle de lecture 03 2096 Reportée
1107714 BOURAGAA Yassine Salle de lecture 03 2098 Reportée
1201769 BOUREGBA Youssef Salle de lecture 03 2100
1103186 BOURGUIBA Salma Salle de lecture 03 2102
1204963 BOURIKI Abde-ilah Salle de lecture 03 2104 Reportée
1219823 BOUSAQ Hafed Salle de lecture 03 2106 Reportée
1203039 BOUSEKSOU Aimad Salle de lecture 03 2108 Reportée
1201268 BOUSKOUR Abdellatif Salle de lecture 03 2110 Reportée1201268 BOUSKOUR Abdellatif Salle de lecture 03 2110 Reportée
1219400 BOUSLAMA Youness Salle de lecture 03 2112 Reportée
Matière1: Introduction au Droit positif
Matière2: Introduction au Droit musulman 23/68
Filière: Droit arabe
Faculté des sciences juridiques
et Economiques. Marrakech
N° Apogée Nom Prénom Local d'examen N° d'examen Matière1 Matière2
Université Cadi Ayyad
PV de surveillance: Session de rattrapage
Module: Introduction au Droit privé
2012-2013
Semestre1 (nouveau système)
1207077 BOUSSALIM Lhoussin Salle de lecture 03 2114 Reportée
1100370 BOUSSETTA Aziz Salle de lecture 03 2116 Reportée
1219948 BOUSSOLA Chrifa Salle de lecture 03 2118
1106848 BOUSSOUFA Zakaria Salle de lecture 03 2120 Reportée
1113446 BOUTABAA MANNAHA Salle de lecture 03 2122 Reportée
1107128 BOUTAHAR Zahra Salle de lecture 03 2124 Reportée
1219537 BOU-TAJANOUIT Ayoub Salle de lecture 03 2126 Reportée
1112431 BOUTALEB Zouhir Salle de lecture 03 2128 Reportée
1001175 BOUTASKAOUINE ASMAA Salle de lecture 03 2130 Reportée
1205085 BOUTAYERI Mohamed Salle de lecture 03 2132 Reportée
1104286 BOUTAZART Zouhair Salle de lecture 03 2134 Reportée
1201579 BOUTCHAMMAH Karima Salle de lecture 03 2136 Reportée
1220493 BOUTLMOUNT ABAID Salle de lecture 03 2138
1207212 BOUTSBIH Hanna Salle de lecture 03 2140 Reportée
1201721 BOUUISENGAREN Fatiha Salle de lecture 03 2142 Reportée
1218714 BOUYESOUA Mohamed Salle de lecture 03 2144
1113787 BOUYGHSANE Mustapha Salle de lecture 03 2146 Reportée
1207378 BOUYGNANE Abrerrahim Salle de lecture 03 2148 Reportée
1205219 BOUZAIDA Elghalya Salle de lecture 03 2150 Reportée
Matière1: Introduction au Droit positif
Matière2: Introduction au Droit musulman 24/68
Filière: Droit arabe
Faculté des sciences juridiques
et Economiques. Marrakech
N° Apogée Nom Prénom Local d'examen N° d'examen Matière1 Matière2
Université Cadi Ayyad
PV de surveillance: Session de rattrapage
Module: Introduction au Droit privé
2012-2013
Semestre1 (nouveau système)
1204857 BOUZHER Brahim salle de lecture 04 2152 Reportée
1220987 BOUZOUNE MINA salle de lecture 04 2154 Reportée
1114289 BRIACH EL HASSAN salle de lecture 04 2156 Reportée
1104189 BRIACH EL HOSSAIN salle de lecture 04 2158 Reportée
1103510 BRIER Jaouad salle de lecture 04 2160 Reportée
1203159 BRIKTI Yassine salle de lecture 04 2162 Reportée
1114496 BROUMI JIHAD salle de lecture 04 2164 Reportée
1111070 BYAH Abdeltif salle de lecture 04 2166 Reportée
1101160 BYAT Fatima salle de lecture 04 2168 Reportée
1204873 BYOUD Jmiaa salle de lecture 04 2170 Reportée
1219993 CHAABA Faysal salle de lecture 04 2172 Reportée
1005219 CHAABAOUI MAROUANE salle de lecture 04 2174 Reportée
1102070 CHAABI Fatima Ezzahra salle de lecture 04 2176 Reportée
1216260 CHAAIBI Mohamed salle de lecture 04 2178
1219675 CHAARANI Abderrahim salle de lecture 04 2180
1205785 CHAARE ELMOUTAOUKIL Youssef salle de lecture 04 2182
1206983 CHABLALE Jamila salle de lecture 04 2184 Reportée
1205851 CHADID Abdelhaq salle de lecture 04 2186
1205154 CHAFAI Lahcen salle de lecture 04 2188 Reportée
1203309 CHAFAI Tariq salle de lecture 04 2190 Reportée
1219512 CHAFIK MOHAMED salle de lecture 04 2192 Reportée
1111047 CHAFIQ Houssam salle de lecture 04 2194 Reportée
1106989 CHAHID Fatima Ezzahra salle de lecture 04 2196 Reportée
1201954 CHAHID Halima salle de lecture 04 2198 Reportée
1204578 CHAHID Loubna salle de lecture 04 2200 Reportée
1107895 CHAHID Youssef salle de lecture 04 2202 Reportée
1219656 CHAHMD MOHAMED salle de lecture 04 2204
1006105 CHAIBAINOU MOHAMED salle de lecture 04 2206 Reportée
1208370 CHAKIR El Mustapha salle de lecture 04 2208 Reportée
1205213 CHAKIR Halima salle de lecture 04 2210 Reportée
1114204 CHAKIR Kamal salle de lecture 04 2212
1212659 CHAKIR Nouamane salle de lecture 04 2214 Reportée
1201669 CHAKIRI Abdelaziz salle de lecture 04 2216 Reportée
1204377 CHAKLI Halima salle de lecture 04 2218 Reportée
1209701 CHAKLI Hamza salle de lecture 04 2220 Reportée
1209446 CHALHA Bentaghi salle de lecture 04 2222 Reportée
1204748 CHAL-HY Atika salle de lecture 04 2224
1201960 CHALLAGUI Rachid salle de lecture 04 2226 Reportée
1201765 CHAOUKI Souad salle de lecture 04 2228 Reportée
1104942 CHAOUQUI Kawtar salle de lecture 04 22301104942 CHAOUQUI Kawtar salle de lecture 04 2230
1219829 CHARAFI Elhousien salle de lecture 04 2232 Reportée
Matière1: Introduction au Droit positif
Matière2: Introduction au Droit musulman 25/68
Filière: Droit arabe
Faculté des sciences juridiques
et Economiques. Marrakech
N° Apogée Nom Prénom Local d'examen N° d'examen Matière1 Matière2
Université Cadi Ayyad
PV de surveillance: Session de rattrapage
Module: Introduction au Droit privé
2012-2013
Semestre1 (nouveau système)
1202850 CHARAI Hicham salle de lecture 04 2234
1203691 CHARNAGUI Abdelilah salle de lecture 04 2236 Reportée
1210408 CHATBI Maryam salle de lecture 04 2238
1204516 CHATER Hassan salle de lecture 04 2240
1219840 CHAYBOUB SOUAD salle de lecture 04 2242 Reportée
1201113 CHEGGOUR Elmahdi salle de lecture 04 2244 Reportée
1211088 CHELBIKH Abdelkarim salle de lecture 04 2246
1202420 CHELLAH Khaoula salle de lecture 04 2248
1104831 CHEMRADKHI Abdelaziz salle de lecture 04 2250 Reportée
1204952 CHEMS EDDINE Mohssine salle de lecture 04 2252 Reportée
1203171 CHEMSSEDDINE Soufyane salle de lecture 04 2254 Reportée
1210988 CHENNAOUI Hanane salle de lecture 04 2256
1112268 CHENOUI Youness salle de lecture 04 2258 Reportée
1219737 CHERIF ELMASLOUHI Fatiha salle de lecture 04 2260 Reportée
1115927 CHERIF ZAOUI KAMILIA salle de lecture 04 2262 Reportée
1111054 CHERKAOUI Ali salle de lecture 04 2264 Reportée
1110625 CHERKAOUI MARIAME salle de lecture 04 2266 Reportée
1102230 CHERKAOUI Rkia salle de lecture 04 2268 Reportée
1204291 CHICHA Youssef salle de lecture 04 2270 Reportée
1205188 CHIKHAOUI Abdelkader salle de lecture 04 2272
1219454 CHIKHI SOULAYMANE salle de lecture 04 2274 Reportée
1108005 CHKEN Imane salle de lecture 04 2276
1201537 CHOKAIRI Jawad salle de lecture 04 2278 Reportée
1205803 CHOUGDALI Hicham salle de lecture 04 2280 Reportée
1204680 CHOUKRI Abdennabi salle de lecture 04 2282 Reportée
1203843 CHRIMITE Najat salle de lecture 04 2284 Reportée
1111038 CHTAKIR Rahal salle de lecture 04 2286 Reportée
Matière1: Introduction au Droit positif
Matière2: Introduction au Droit musulman 26/68
Filière: Droit arabe
Faculté des sciences juridiques
et Economiques. Marrakech
N° Apogée Nom Prénom Local d'examen N° d'examen Matière1 Matière2
Université Cadi Ayyad
PV de surveillance: Session de rattrapage
Module: Introduction au Droit privé
2012-2013
Semestre1 (nouveau système)
1203151 DAANOUN Rachid Amphi Cadi Ayyad 2 Reportée
1205597 DABLOUZI Mohammed Amphi Cadi Ayyad 4
80002204 DADI SIDI Amphi Cadi Ayyad 6 Reportée
1201343 DAFALI NOUR EDDINE Amphi Cadi Ayyad 8 Reportée
1201107 DAGDAG Zineb Amphi Cadi Ayyad 10
1202925 DAHANI Hanane Amphi Cadi Ayyad 12 Reportée
1210895 DAHANI Younes Amphi Cadi Ayyad 14 Reportée
1107089 DAHAR Fatima Amphi Cadi Ayyad 16 Reportée
1208964 DAHBI Abdelkarim Amphi Cadi Ayyad 18 Reportée
1113291 DAHBI SAMIRA Amphi Cadi Ayyad 20
1202009 DAHHIOUI Asmae Amphi Cadi Ayyad 22
1202427 DAHI Mahmoud Amphi Cadi Ayyad 24 Reportée
1107977 DAHOUAR Fatima Zahra Amphi Cadi Ayyad 26 Reportée
1220244 DAHROU Badia Amphi Cadi Ayyad 28 Reportée
1219911 DAKIR Abdelati Amphi Cadi Ayyad 30 Reportée
1204411 DAKIR Abderrahmane Amphi Cadi Ayyad 32 Reportée
1109587 DALASSI Sana Amphi Cadi Ayyad 34 Reportée
1219952 DALOUI Sara Amphi Cadi Ayyad 36 Reportée
1105865 DAMIR Mohamed Khalil Amphi Cadi Ayyad 38 Reportée
1209272 DAMOUN Layla Amphi Cadi Ayyad 40 Reportée
1201670 DANINE Youssef Amphi Cadi Ayyad 42 Reportée
1204146 DAOUD Ismail Amphi Cadi Ayyad 44 Reportée
1204172 DAOUD Khalid Amphi Cadi Ayyad 46 Reportée
1203029 DAOUDI Hamza Amphi Cadi Ayyad 48 Reportée
1204459 DARHOUCH Lahoucine Amphi Cadi Ayyad 50 Reportée
1202184 DARIF Mohamed Amphi Cadi Ayyad 52 Reportée
1210575 DARKAOUI Loubna Amphi Cadi Ayyad 54 Reportée
1208794 DEBBAGH Mohamed Amphi Cadi Ayyad 56 Reportée
1214072 DEJAIJI Yassine Amphi Cadi Ayyad 58 Reportée
1203022 DEROUNE Yassine Amphi Cadi Ayyad 60 Reportée
1203927 DERSI HOUSSAM Amphi Cadi Ayyad 62
1111243 DEZZA Hind Amphi Cadi Ayyad 64 Reportée
1201572 DHIMI Abla Amphi Cadi Ayyad 66
1220423 DIAB Elmustapha Amphi Cadi Ayyad 68 Reportée
1110974 DIBT Mariam Amphi Cadi Ayyad 70 Reportée
1205720 DICHAKOUR Mohamed Amphi Cadi Ayyad 72 Reportée
1201150 DKHIL Sidati Amphi Cadi Ayyad 74 Reportée
1201588 DNIDEN Abdessamad Amphi Cadi Ayyad 76 Reportée
1204647 DOUA Azzddine Amphi Cadi Ayyad 78 Reportée
1210848 DOUALI Chaimae Amphi Cadi Ayyad 80 Reportée1210848 DOUALI Chaimae Amphi Cadi Ayyad 80 Reportée
1219568 DOUBLALI Abdallah Amphi Cadi Ayyad 82 Reportée
Matière1: Introduction au Droit positif
Matière2: Introduction au Droit musulman 27/68
Filière: Droit arabe
Faculté des sciences juridiques
et Economiques. Marrakech
N° Apogée Nom Prénom Local d'examen N° d'examen Matière1 Matière2
Université Cadi Ayyad
PV de surveillance: Session de rattrapage
Module: Introduction au Droit privé
2012-2013
Semestre1 (nouveau système)
1204204 DOUIHI Moustapha Amphi Cadi Ayyad 84 Reportée
1100397 DOUIKSI Mohamed Amphi Cadi Ayyad 86
1106527 DOUKALI Saad Amphi Cadi Ayyad 88 Reportée
1216611 DOUNIA SALAH EDDINE Amphi Cadi Ayyad 90 Reportée
1201377 DREAI Mohammed Amphi Cadi Ayyad 92 Reportée
1202533 ECHAB Najat Amphi Cadi Ayyad 94 Reportée
1207891 ECHAIN Hamza Amphi Cadi Ayyad 96 Reportée
1203577 ECHARKAOUI Hicham Amphi Cadi Ayyad 98 Reportée
1202019 ECH-CHAJAI Aouatif Amphi Cadi Ayyad 100 Reportée
1219538 ECH-CHAOUI Khalid Amphi Cadi Ayyad 102 Reportée
1209182 ECHCHARAOUY Rabia Amphi Cadi Ayyad 104 Reportée
1211176 ECH-CHATOUI Lahcen Amphi Cadi Ayyad 106 Reportée
1219920 ECH-CHGOUIRI Khadija Amphi Cadi Ayyad 108 Reportée
1111306 EDDAH Lahouidia Amphi Cadi Ayyad 110 Reportée
1204991 ED-DAHANI Fatima Amphi Cadi Ayyad 112 Reportée
1220791 ED-DAHBI ABDELKHALEK Amphi Cadi Ayyad 114 Reportée
1114325 EDDAHMANY Touriia Amphi Cadi Ayyad 116 Reportée
1203367 EDDAKI Brahim Amphi Cadi Ayyad 118
1114278 EDDALIA Abdelilah Amphi Cadi Ayyad 120 Reportée
1101852 EDDAOUDI Errabab Amphi Cadi Ayyad 122 Reportée
1204956 EDDAOUI Omar Amphi Cadi Ayyad 124 Reportée
1203203 ED-DIREA Abdelghani Amphi Cadi Ayyad 126 Reportée
1203350 EDDNADNI Nabil Amphi Cadi Ayyad 128 Reportée
1219863 EDDRIF Loubna Amphi Cadi Ayyad 130 Reportée
1209174 EDEFFARI Yassin Amphi Cadi Ayyad 132 Reportée
1201380 EDRAOUI Abdelouahed Amphi Cadi Ayyad 134
1219922 EJJAOUI Mina Amphi Cadi Ayyad 136 Reportée
1219822 EJJOUADAR Asmaà Amphi Cadi Ayyad 138 Reportée
1205161 EKHOUIRA Azeddine Amphi Cadi Ayyad 140 Reportée
1105125 EKHOUIRA Mohamed Amphi Cadi Ayyad 142 Reportée
1203844 EL AATTARI Othman Amphi Cadi Ayyad 144 Reportée
1219565 EL AAKAL Rhita Amphi Cadi Ayyad 146
1210969 EL AALLAM MARIAM Amphi Cadi Ayyad 148
1218895 EL AAOUD Laila Amphi Cadi Ayyad 150
1201592 EL AAQIR Assma Amphi Cadi Ayyad 152 Reportée
1220930 EL AATIELLAH ABDELKARIM Amphi Cadi Ayyad 154 Reportée
1202956 EL ABBADY Ayoub Amphi Cadi Ayyad 156 Reportée
1109002 EL ABBASSI SOUKAINA Amphi Cadi Ayyad 158 Reportée
1203256 EL ABD Ahmed Amphi Cadi Ayyad 160
1203913 EL ABYAD Abderrazzak Amphi Cadi Ayyad 162 Reportée1203913 EL ABYAD Abderrazzak Amphi Cadi Ayyad 162 Reportée
1210136 EL ABYAD Hanane Amphi Cadi Ayyad 164 Reportée
Matière1: Introduction au Droit positif
Matière2: Introduction au Droit musulman 28/68
Filière: Droit arabe
Faculté des sciences juridiques
et Economiques. Marrakech
N° Apogée Nom Prénom Local d'examen N° d'examen Matière1 Matière2
Université Cadi Ayyad
PV de surveillance: Session de rattrapage
Module: Introduction au Droit privé
2012-2013
Semestre1 (nouveau système)
1207287 EL ADNANI Abdelhakim Amphi Cadi Ayyad 166
1110870 EL ADRAOUI Khalid Amphi Cadi Ayyad 168 Reportée
1210851 EL AIBOUD Anas Amphi Cadi Ayyad 170 Reportée
1006252 EL ALAMI ABDELAZIZ Amphi Cadi Ayyad 172 Reportée
1205570 EL ALLALI Charaf Amphi Cadi Ayyad 174 Reportée
1202129 EL ALLAOUI Ali Amphi Cadi Ayyad 176 Reportée
1107613 EL ALLAOUI El Hassane Amphi Cadi Ayyad 178 Reportée
1203584 EL AMIRI Mohammed Zakarya Amphi Cadi Ayyad 180 Reportée
1207524 EL AMMARI Fath-allah Amphi Cadi Ayyad 182 Reportée
1204328 EL AMRANI Hicham Amphi Cadi Ayyad 184 Reportée
1106914 EL AMRANI SOUKAINA Amphi Cadi Ayyad 186 Reportée
1205744 EL AMRAOUI Hicham Amphi Cadi Ayyad 188
1201391 EL AMRI Mouloud Amphi Cadi Ayyad 190 Reportée
1111336 EL ANSARI Abdelfattah Amphi Cadi Ayyad 192 Reportée
1204752 EL ANYA Salma Amphi Cadi Ayyad 194 Reportée
1209521 EL AOUAME Othmane Amphi Cadi Ayyad 196
1201798 EL AOUD Mustapha Amphi Cadi Ayyad 198 Reportée
1202050 EL AOUD Naima Amphi Cadi Ayyad 200
Matière1: Introduction au Droit positif
Matière2: Introduction au Droit musulman 29/68
Filière: Droit arabe
Faculté des sciences juridiques
et Economiques. Marrakech
N° Apogée Nom Prénom Local d'examen N° d'examen Matière1 Matière2
Université Cadi Ayyad
PV de surveillance: Session de rattrapage
Module: Introduction au Droit privé
2012-2013
Semestre1 (nouveau système)
1201688 EL ARAJI Souad Amphi Abou El Abbass Essabti 202 Reportée
1106188 EL ARNOUQI Asma Amphi Abou El Abbass Essabti 204 Reportée
1006265 EL ASFOURI HICHAM Amphi Abou El Abbass Essabti 206 Reportée
1205850 EL ASRI Anass Amphi Abou El Abbass Essabti 208
1219431 EL ASSALI Afaf Amphi Abou El Abbass Essabti 210 Reportée
1106908 EL ASSAOUI Hayat Amphi Abou El Abbass Essabti 212 Reportée
1219628 EL ATRANE Mbarek Amphi Abou El Abbass Essabti 214 Reportée
1202369 EL ATTAR Jaouad Amphi Abou El Abbass Essabti 216 Reportée
1220189 EL AYANE Imane Amphi Abou El Abbass Essabti 218 Reportée
9294190 EL AZHARI FATIMA EZZAHRA Amphi Abou El Abbass Essabti 220 Reportée
1201409 EL AZHARI Soukaina Amphi Abou El Abbass Essabti 222 Reportée
1209379 EL AZRAK ADIL Amphi Abou El Abbass Essabti 224 Reportée
1207124 EL BACHRAOUI Ibtissame Amphi Abou El Abbass Essabti 226 Reportée
1219716 EL BADRAOUI Siham Amphi Abou El Abbass Essabti 228 Reportée
1210663 EL BAHANOURI YASSINE Amphi Abou El Abbass Essabti 230
1111126 EL BAHRI Abdeljalil Amphi Abou El Abbass Essabti 232 Reportée
1203572 EL BANDAKI Mohamed Amphi Abou El Abbass Essabti 234 Reportée
1102156 EL BARAH Abdellah Amphi Abou El Abbass Essabti 236 Reportée
1206212 EL BARAKA Aicha Amphi Abou El Abbass Essabti 238
1204959 EL BARBOUCHI Yahdih Amphi Abou El Abbass Essabti 240 Reportée
1101794 EL BARI Aamro Amphi Abou El Abbass Essabti 242 Reportée
1219842 EL BAZ Rachida Amphi Abou El Abbass Essabti 244
1219870 EL BBAZ Rkia Amphi Abou El Abbass Essabti 246
1204890 EL BERKAOUI Souad Amphi Abou El Abbass Essabti 248 Reportée
1201402 EL BOUALAMI Abdelilah Amphi Abou El Abbass Essabti 250 Reportée
1204716 EL BOUAZZAOUI Abdennabi Amphi Abou El Abbass Essabti 252
1205827 EL BOUBEKRI Hassnae Amphi Abou El Abbass Essabti 254 Reportée
1104287 EL BOUDANI Daouya Amphi Abou El Abbass Essabti 256 Reportée
1110154 EL BOUGHDADI Mina Amphi Abou El Abbass Essabti 258
1201153 EL BOUHANE Abdelkarim Amphi Abou El Abbass Essabti 260 Reportée
1111280 EL BOUHI Fadoua Amphi Abou El Abbass Essabti 262 Reportée
1202621 EL BOUKY Mohamed Amphi Abou El Abbass Essabti 264
1203050 EL BOUTAIRI Rania Amphi Abou El Abbass Essabti 266 Reportée
1205634 EL BOUTI Zakaria Amphi Abou El Abbass Essabti 268 Reportée
1201772 EL BOUZIDI Hamza Amphi Abou El Abbass Essabti 270
1204500 EL FADILI Latifa Amphi Abou El Abbass Essabti 272 Reportée
1201094 EL FAHIM Ayoub Amphi Abou El Abbass Essabti 274 Reportée
1216645 EL FAHIM Salah Amphi Abou El Abbass Essabti 276 Reportée
1114402 EL FAHIRI Hasna Amphi Abou El Abbass Essabti 278 Reportée
1108318 EL FAKIRI Hafida Amphi Abou El Abbass Essabti 280 Reportée1108318 EL FAKIRI Hafida Amphi Abou El Abbass Essabti 280 Reportée
1005071 EL FAOUAL SLIMAN Amphi Abou El Abbass Essabti 282 Reportée
Matière1: Introduction au Droit positif
Matière2: Introduction au Droit musulman 30/68
Filière: Droit arabe
Faculté des sciences juridiques
et Economiques. Marrakech
N° Apogée Nom Prénom Local d'examen N° d'examen Matière1 Matière2
Université Cadi Ayyad
PV de surveillance: Session de rattrapage
Module: Introduction au Droit privé
2012-2013
Semestre1 (nouveau système)
1205136 EL FARAJI Fatima-ezzahra Amphi Abou El Abbass Essabti 284 Reportée
1202314 EL FARAJY Ayoub Amphi Abou El Abbass Essabti 286
1202863 EL FARFAR Nadia Amphi Abou El Abbass Essabti 288 Reportée
1204927 EL FARIQ Nadia Amphi Abou El Abbass Essabti 290 Reportée
1204974 EL FATIHI YOUNES Amphi Abou El Abbass Essabti 292 Reportée
1209555 EL FATIMI Mouhssine Amphi Abou El Abbass Essabti 294
1101684 EL FATIMI Ouafa Amphi Abou El Abbass Essabti 296 Reportée
1202823 EL FERGANI ALAA-EDDINE Amphi Abou El Abbass Essabti 298 Reportée
1103180 EL FGUIRICH Mohamed Amphi Abou El Abbass Essabti 300 Reportée
1205648 EL FISSI Meryam Amphi Abou El Abbass Essabti 302 Reportée
1220236 EL FOUAL Abdelhadi Amphi Abou El Abbass Essabti 304 Reportée
1219782 EL FOULANI ABDELHAK Amphi Abou El Abbass Essabti 306 Reportée
1202122 EL GAABOUR Ghizlane Amphi Abou El Abbass Essabti 308 Reportée
1101399 EL GABI ABDELILAH Amphi Abou El Abbass Essabti 310 Reportée
1107227 EL GADDARI Hayat Amphi Abou El Abbass Essabti 312 Reportée
1219805 EL GALLAF YOUNES Amphi Abou El Abbass Essabti 314 Reportée
1202158 EL GARBA Mina Amphi Abou El Abbass Essabti 316 Reportée
1102558 EL GARNAOUI M'barka Amphi Abou El Abbass Essabti 318 Reportée
1209798 EL GARNAOUI Rachid Amphi Abou El Abbass Essabti 320 Reportée
1009395 EL GARNAOUI RACHIDA Amphi Abou El Abbass Essabti 322 Reportée
1102015 EL GAZZAR Safae Amphi Abou El Abbass Essabti 324 Reportée
1216388 EL GHAFRAOUI Hayat Amphi Abou El Abbass Essabti 326
1211185 EL GHAZAOUI Siham Amphi Abou El Abbass Essabti 328 Reportée
1220092 EL GHAZI Ayoub Amphi Abou El Abbass Essabti 330 Reportée
1202750 EL GHAZI Hamza Amphi Abou El Abbass Essabti 332 Reportée
1201654 EL GHAZOUANI Noureddine Amphi Abou El Abbass Essabti 334 Reportée
1107025 EL GHAZOUANI Zineb Amphi Abou El Abbass Essabti 336 Reportée
1113788 EL GHOMAITY Abdellah Amphi Abou El Abbass Essabti 338 Reportée
1209865 EL GRIOUIZ Latifa Amphi Abou El Abbass Essabti 340 Reportée
1204078 EL GUANA KHADIJA Amphi Abou El Abbass Essabti 342 Reportée
1211204 EL GUASMI Maryeam Amphi Abou El Abbass Essabti 344 Reportée
1102013 EL GUEDDASY HANAN Amphi Abou El Abbass Essabti 346 Reportée
1201611 EL GUESSAB Jebrane Amphi Abou El Abbass Essabti 348 Reportée
1202350 EL HACHEMY Jaouad Amphi Abou El Abbass Essabti 350 Reportée
1219796 EL HADRY Noura Amphi Abou El Abbass Essabti 352 Reportée
1203710 EL HAFIANE ABDELFATTAH Amphi Abou El Abbass Essabti 354 Reportée
1219582 EL HAICHAMI Imane Amphi Abou El Abbass Essabti 356 Reportée
1205019 EL HAMDAOUI Abdellatif Amphi Abou El Abbass Essabti 358 Reportée
1209683 EL HAMDI Zahra Amphi Abou El Abbass Essabti 360 Reportée
1103503 EL HAMDOU Mohssine Amphi Abou El Abbass Essabti 3621103503 EL HAMDOU Mohssine Amphi Abou El Abbass Essabti 362
1204438 EL HAMIDY Samira Amphi Abou El Abbass Essabti 364 Reportée
Matière1: Introduction au Droit positif
Matière2: Introduction au Droit musulman 31/68
Filière: Droit arabe
Faculté des sciences juridiques
et Economiques. Marrakech
N° Apogée Nom Prénom Local d'examen N° d'examen Matière1 Matière2
Université Cadi Ayyad
PV de surveillance: Session de rattrapage
Module: Introduction au Droit privé
2012-2013
Semestre1 (nouveau système)
1202605 EL HAMOUNI Abderrahman Amphi Abou El Abbass Essabti 366
1216609 EL HAMRI YOUSSEF Amphi Abou El Abbass Essabti 368
1201718 EL HAMYAOUI Mohamed Amine Amphi Abou El Abbass Essabti 370 Reportée
1101634 EL HAMZI Mohamed Amphi Abou El Abbass Essabti 372 Reportée
1111337 EL HANCHAR Fatima Zahra Amphi Abou El Abbass Essabti 374 Reportée
1204360 EL HANOUNI Bouchaib Amphi Abou El Abbass Essabti 376 Reportée
1207943 EL HAOUARI ABDELWAHED Amphi Abou El Abbass Essabti 378
1202339 EL HAOUARI Abdessadek Amphi Abou El Abbass Essabti 380 Reportée
1216373 EL HAOUARI Khadija Amphi Abou El Abbass Essabti 382 Reportée
1206732 EL HAOUZI Hanane Amphi Abou El Abbass Essabti 384 Reportée
1208077 EL HARAS Jamila Amphi Abou El Abbass Essabti 386 Reportée
1205230 EL HARCHI Rachida Amphi Abou El Abbass Essabti 388
1203855 EL HARFI Abdelhadi Amphi Abou El Abbass Essabti 390 Reportée
Matière1: Introduction au Droit positif
Matière2: Introduction au Droit musulman 32/68
Filière: Droit arabe
Faculté des sciences juridiques
et Economiques. Marrakech
N° Apogée Nom Prénom Local d'examen N° d'examen Matière1 Matière2
Université Cadi Ayyad
PV de surveillance: Session de rattrapage
Module: Introduction au Droit privé
2012-2013
Semestre1 (nouveau système)
1106683 EL HARTI Amina Amphi Imam Malik 582 Reportée
1101259 EL HASSAD Aouatif Amphi Imam Malik 584 Reportée
1204311 EL HASSAN Echarghi Amphi Imam Malik 586 Reportée
1207994 EL HASSANI Zaynab Amphi Imam Malik 588 Reportée
1110301 EL HASSNAOUI ABDESSMAD Amphi Imam Malik 590 Reportée
1109088 EL HAZIMY Youssef Amphi Imam Malik 592 Reportée
1219585 EL HEJAB Yassine Amphi Imam Malik 594 Reportée
1204441 EL HORRE Nassima Amphi Imam Malik 596 Reportée
1210014 EL HROUM Widad Amphi Imam Malik 598 Reportée
1103891 EL IDRISSI Abdelilah Amphi Imam Malik 600 Reportée
1201578 EL IDRISSI BOUCHAIB Amphi Imam Malik 602 Reportée
1208942 EL IDRISSI Mohamed Amphi Imam Malik 604 Reportée
1203277 EL IDRISSI Moulay El Bachir Amphi Imam Malik 606
1204764 EL IDRISSI Soukaina Amphi Imam Malik 608 Reportée
1205018 EL IDRISSI Yassine Amphi Imam Malik 610 Reportée
1102785 EL IDRISSY Laila Amphi Imam Malik 612 Reportée
1203068 EL IDRISY Brahim Amphi Imam Malik 614 Reportée
1210037 EL IDRYSY Hasna Amphi Imam Malik 616 Reportée
1107578 EL JADID Younness Amphi Imam Malik 618 Reportée
1210238 EL JAHOUARI Nada Amphi Imam Malik 620 Reportée
1208496 EL JAMI Najwa Amphi Imam Malik 622 Reportée
1211103 EL JARJARI Soukaina Amphi Imam Malik 624 Reportée
1104822 EL JARRARI Youssef Amphi Imam Malik 626 Reportée
1217373 EL KABOUSSE NAIMA Amphi Imam Malik 628 Reportée
1105871 EL KADDOURI Amine Amphi Imam Malik 630 Reportée
1205768 EL KADRAOUI Saloua Amphi Imam Malik 632 Reportée
1219543 EL KADRI Halima Amphi Imam Malik 634 Reportée
1204851 EL KAISSOUNI Morad Amphi Imam Malik 636 Reportée
1205025 EL KALAOUI Hajar Amphi Imam Malik 638 Reportée
1201289 EL KARAM Imad Amphi Imam Malik 640 Reportée
1201286 EL KARYA Sanaa Amphi Imam Malik 642
1203165 EL KASSIOUI Elhassan Amphi Imam Malik 644
1209748 EL KHALFAOUI Othmane Amphi Imam Malik 646 Reportée
1108667 EL KHALIL Khadija Amphi Imam Malik 648 Reportée
1203948 EL KHALILI Yassine Amphi Imam Malik 650
1106445 EL KHAMIRI Dounia Amphi Imam Malik 652 Reportée
1111608 EL KHAN Brahim Amphi Imam Malik 654 Reportée
1000095 EL KHANCHAOUI DOUNYA Amphi Imam Malik 656 Reportée
1202174 EL KHATIB Hamza Amphi Imam Malik 658 Reportée
1201161 EL KHAYAR Atman Amphi Imam Malik 660 Reportée1201161 EL KHAYAR Atman Amphi Imam Malik 660 Reportée
1110433 EL KHIALI Mohamed Amphi Imam Malik 662 Reportée
Matière1: Introduction au Droit positif
Matière2: Introduction au Droit musulman 33/68
Filière: Droit arabe
Faculté des sciences juridiques
et Economiques. Marrakech
N° Apogée Nom Prénom Local d'examen N° d'examen Matière1 Matière2
Université Cadi Ayyad
PV de surveillance: Session de rattrapage
Module: Introduction au Droit privé
2012-2013
Semestre1 (nouveau système)
1218941 EL KHOTFI El Moustapha Amphi Imam Malik 664 Reportée
1210834 EL KIHAL HASSANIA Amphi Imam Malik 666 Reportée
1201554 EL KORICHI Abderrazek Amphi Imam Malik 668 Reportée
1110036 EL KOUFI Kamal Amphi Imam Malik 670
1106557 EL KOUZATI Lahcen Amphi Imam Malik 672 Reportée
1203717 EL MAAZOUZI Abdelghafour Amphi Imam Malik 674 Reportée
1208795 EL MACHMACHI Ghariba Amphi Imam Malik 676
1209121 EL MADYNY Mohammed Amphi Imam Malik 678 Reportée
1205001 EL MAJNAOUI Rida Amphi Imam Malik 680 Reportée
1202092 EL MALLOULI Abdessamad Amphi Imam Malik 682 Reportée
1220388 EL MANINE Yassine Amphi Imam Malik 684
1202452 EL MANSOURY Saida Amphi Imam Malik 686
1207855 EL MANYIY Mohammed Amphi Imam Malik 688 Reportée
1201410 EL MARDI Khalid Amphi Imam Malik 690 Reportée
1106658 EL MARRAKOCHI Abdelkerim Amphi Imam Malik 692 Reportée
1201557 EL MASKYNY Fatiha Amphi Imam Malik 694 Reportée
1201906 EL MASMOUDI Mouloud Amphi Imam Malik 696 Reportée
1105247 EL MATLOUB RADOUAN Amphi Imam Malik 698 Reportée
1203371 EL MAYAZE Karim Amphi Imam Malik 700
1216782 EL MAZOUARI Mohammed Amphi Imam Malik 702 Reportée
1201093 EL MEJDI Imane Amphi Imam Malik 704 Reportée
1205033 EL MEJHED Houria Amphi Imam Malik 706 Reportée
1200490 EL MEKAOUI Soukaina Amphi Imam Malik 708 Reportée
1205228 EL MEKKA Najat Amphi Imam Malik 710 Reportée
1219820 EL MELLAH Aziz Amphi Imam Malik 712 Reportée
1203324 EL MESBAHI AATIK Younes Amphi Imam Malik 714 Reportée
1213569 EL MESLOHI Bouchra Amphi Imam Malik 716
1203788 EL MIDCHI Aissam Amphi Imam Malik 718 Reportée
1210083 EL MIMOUNI Khaoula Amphi Imam Malik 720 Reportée
1202640 EL MIMOUNI Loubna Amphi Imam Malik 722
1220313 EL MODAFFAR BOUZEKRI Amphi Imam Malik 724
1205239 EL MOJAHID Assya Amphi Imam Malik 726 Reportée
1205169 EL MOJAHID Mina Amphi Imam Malik 728
1203969 EL MOJAHID Mohammed Amphi Imam Malik 730 Reportée
1201143 EL MOJAHID Najat Amphi Imam Malik 732 Reportée
1106747 EL MOKHTARI Abdellah Amphi Imam Malik 734 Reportée
1205221 EL MORSLI Youssef Amphi Imam Malik 736 Reportée
1203858 EL MOUAINI Abdelmottalib Amphi Imam Malik 738 Reportée
1220892 EL MOUCHOURI MANAR Amphi Imam Malik 740 Reportée
1114556 EL MOUDA AATIQA Amphi Imam Malik 742 Reportée1114556 EL MOUDA AATIQA Amphi Imam Malik 742 Reportée
1203775 EL MOUDAA Abdelkarim Amphi Imam Malik 744 Reportée
Matière1: Introduction au Droit positif
Matière2: Introduction au Droit musulman 34/68
Filière: Droit arabe
Faculté des sciences juridiques
et Economiques. Marrakech
N° Apogée Nom Prénom Local d'examen N° d'examen Matière1 Matière2
Université Cadi Ayyad
PV de surveillance: Session de rattrapage
Module: Introduction au Droit privé
2012-2013
Semestre1 (nouveau système)
1203047 EL MOUEDIN Mohamed Oussama Amphi Imam Malik 746 Reportée
1201027 EL MOUEFFAK Najia Amphi Imam Malik 748 Reportée
1219722 EL MOUHI Imad Amphi Imam Malik 750 Reportée
1206897 EL MOUMENE Fatima-ezzahra Amphi Imam Malik 752 Reportée
1201396 EL MOUMNI Nezha Amphi Imam Malik 754 Reportée
1220426 EL MOUNTASSIR SABIR Amphi Imam Malik 756 Reportée
1219658 EL MOUQATE Amine Amphi Imam Malik 758 Reportée
1200376 EL MOURABIT MOHAMED Amphi Imam Malik 760 Reportée
1205862 EL MOURABIT Mohammed Amphi Imam Malik 762 Reportée
9292689 EL MOUSAIDI ABDERRAHMAN Amphi Imam Malik 764 Reportée
1219872 EL MOUSSAOUI Mohammed Amphi Imam Malik 766 Reportée
1204469 EL MOUSSAOUI Oussama Amphi Imam Malik 768 Reportée
1202992 EL MOUTAOIKIL Youssef Amphi Imam Malik 770 Reportée
1208921 EL MOUTAOUAKKAL Wafae Amphi Imam Malik 772 Reportée
1203283 EL NASSIRI Mohammed Amphi Imam Malik 774 Reportée
1201778 EL ORCH Mohamed Amphi Imam Malik 776 Reportée
1219707 EL OUAHABI Salwa Amphi Imam Malik 778 Reportée
1107095 EL OUAHHABI Said Amphi Imam Malik 780 Reportée
1202291 EL OUAHI Hamza Amphi Imam Malik 782 Reportée
1209024 EL OUAHIDY Laila Amphi Imam Malik 784
1220941 EL OUAHMANI EL OUANNAT Amphi Imam Malik 786 Reportée
1203357 EL OUARDI Amine Amphi Imam Malik 788 Reportée
1219774 EL OUARDI FANIDA Amphi Imam Malik 790 Reportée
1107995 EL OUARDI Hanane Amphi Imam Malik 792 Reportée
1220880 EL OUARITI RACHID Amphi Imam Malik 794 Reportée
1204424 EL OUATANE Fouzia Amphi Imam Malik 796 Reportée
1201200 EL OUATIK Rachid Amphi Imam Malik 798 Reportée
1202665 EL OUATIK Touria Amphi Imam Malik 800 Reportée
1217548 EL OURES ABDELHAK Amphi Imam Malik 802 Reportée
1202229 EL QARBALI Hassan Amphi Imam Malik 804 Reportée
1202827 EL QASEMY Mohsin Amphi Imam Malik 806 Reportée
1211206 EL QAZOUINI Houda Amphi Imam Malik 808
1101210 EL QORCHI Jamal Amphi Imam Malik 810 Reportée
1210326 EL RHAZI Hanan Amphi Imam Malik 812 Reportée
1204913 EL RHOURBA Khalid Amphi Imam Malik 814
1114488 EL YAMANI Rida Amphi Imam Malik 816
1217460 EL YASMINE RIDA Amphi Imam Malik 818 Reportée
1202877 EL YAZIDI Hicham Amphi Imam Malik 820 Reportée
1204106 EL YOUSSOUFI Fouzia Amphi Imam Malik 822 Reportée
1203561 EL YOUSSOUFI Halima Amphi Imam Malik 824 Reportée1203561 EL YOUSSOUFI Halima Amphi Imam Malik 824 Reportée
1115117 EL YOUSSOUFI Mohamed Amphi Imam Malik 826
Matière1: Introduction au Droit positif
Matière2: Introduction au Droit musulman 35/68
Filière: Droit arabe
Faculté des sciences juridiques
et Economiques. Marrakech
N° Apogée Nom Prénom Local d'examen N° d'examen Matière1 Matière2
Université Cadi Ayyad
PV de surveillance: Session de rattrapage
Module: Introduction au Droit privé
2012-2013
Semestre1 (nouveau système)
1201576 ELAABBADI Mustapha Amphi Imam Malik 828 Reportée
1210505 ELAABBAR Ilham Amphi Imam Malik 830 Reportée
1003630 ELAALLAM ABDELMALEK Amphi Imam Malik 832 Reportée
1111119 ELAALLAOUI Imane Amphi Imam Malik 834 Reportée
1202269 ELAARIOUI Manale Amphi Imam Malik 836 Reportée
1202330 ELAATFAOUI Rajaa Amphi Imam Malik 838 Reportée
1201650 ELAAYNOUSS Rachid Amphi Imam Malik 840 Reportée
1201392 ELABSSANI Amin Amphi Imam Malik 842 Reportée
1211623 ELADNANI Chakira Amphi Imam Malik 844 Reportée
1220054 ELAICH Halima Amphi Imam Malik 846 Reportée
1204903 ELALAOUI Latifa Amphi Imam Malik 848 Reportée
1219874 ELALAOUI LASMAILI Hajar Amphi Imam Malik 850 Reportée
1202463 EL-ALLALI Souad Amphi Imam Malik 852 Reportée
1103894 ELALLAOUI Noura Amphi Imam Malik 854 Reportée
1203201 ELALOUANI Hajar Amphi Imam Malik 856 Reportée
1204980 ELALY Hassane Amphi Imam Malik 858 Reportée
1203240 ELAMIRI Adil Amphi Imam Malik 860 Reportée
1201142 EL-AMMARI Mohamed Amphi Imam Malik 862 Reportée
1203807 ELAMRAOUI Ayoub Amphi Imam Malik 864
1209301 ELAMRI Bouchra Amphi Imam Malik 866 Reportée
1201794 ELAOUAJI Hicham Amphi Imam Malik 868
1106768 ELASADY Achraf Amphi Imam Malik 870 Reportée
1202915 ELASRI Khadija Amphi Imam Malik 872 Reportée
1004546 ELASRI MOHAMED Amphi Imam Malik 874 Reportée
1107542 ELAZAOUI Laila Amphi Imam Malik 876 Reportée
1203873 ELBACHLAOUI KAWTAR Amphi Imam Malik 878 Reportée
1203751 EL-BADAOUI Khaled Amphi Imam Malik 880 Reportée
Matière1: Introduction au Droit positif
Matière2: Introduction au Droit musulman 36/68
Filière: Droit arabe
Faculté des sciences juridiques
et Economiques. Marrakech
N° Apogée Nom Prénom Local d'examen N° d'examen Matière1 Matière2
Université Cadi Ayyad
PV de surveillance: Session de rattrapage
Module: Introduction au Droit privé
2012-2013
Semestre1 (nouveau système)
1211408 ELBAHIRA Brahim salle 1 2272 Reportée
1210286 ELBALILI Noura salle 1 2274 Reportée
1203030 ELBANAN Sofiane salle 1 2276
1113790 ELBARDANI Hassnae salle 1 2278
1209105 ELBARDI Youssef salle 1 2280 Reportée
1202333 ELBARHOUMI Khamissa salle 1 2282 Reportée
1219430 ELBAZ SIHAM salle 1 2284 Reportée
1203848 ELBAZOUNI Khalid salle 1 2286
1216727 ELBELDI Outmane salle 1 2288
1208749 ELBIKAM Fattou salle 1 2290
1220219 ELBIKRA NOUREDDINE salle 1 2292 Reportée
1204879 ELBOUANANI Mohamed salle 1 2294 Reportée
1201041 ELBOUDALI Yassine salle 1 2296
1204906 ELBOUHDOUDI Mohammed salle 1 2298 Reportée
1219711 ELBOUHTOURI Nezha salle 1 2300 Reportée
1204518 ELFAIZ Karim salle 1 2302 Reportée
1202062 ELFAKIR ABDELJALIL salle 1 2304 Reportée
1210467 ELFAKIR Jihane salle 1 2306 Reportée
1204000 ELFAQRI Soufiane salle 1 2308
1203922 ELFATHI Charaf salle 1 2310
1202149 ELFATIHI Radouan salle 1 2312 Reportée
1114148 ELFEJOUJY Jaouad salle 1 2314 Reportée
1220927 ELGARD HAJAR salle 1 2316 Reportée
1109853 ELGAREH Soufiane salle 1 2318 Reportée
1201347 EL-GHALI Mohamed salle 1 2320 Reportée
1004322 ELGHAMRI ABDESLAM salle 1 2322 Reportée
1107729 EL-GHAZELY Bouziyane salle 1 2324 Reportée
1219978 EL-GLITI TAHA MOHAMED salle 1 2326 Reportée
1201202 ELGUANA Abd Elmajid salle 1 2328 Reportée
1108571 EL-HACHEMY Atika salle 1 2330 Reportée
1205175 ELHADAR Sanaa salle 1 2332 Reportée
1208281 ELHAFIDI Abdelmoula salle 1 2334
1203895 ELHAFYANI Rahhal salle 1 2336 Reportée
1204885 ELHAIL Youssef salle 1 2338 Reportée
1202730 ELHAJAJI Hassan salle 1 2340 Reportée
Matière1: Introduction au Droit positif
Matière2: Introduction au Droit musulman 37/68
Filière: Droit arabe
Faculté des sciences juridiques
et Economiques. Marrakech
N° Apogée Nom Prénom Local d'examen N° d'examen Matière1 Matière2
Université Cadi Ayyad
PV de surveillance: Session de rattrapage
Module: Introduction au Droit privé
2012-2013
Semestre1 (nouveau système)
1113826 EL-HAMEL HALIMA salle 2 2342 Reportée
1101042 ELHAOUASSI Moulay salle 2 2344 Reportée
1205173 ELHAOUASSI Samya salle 2 2346 Reportée
1211292 ELHARRAR Mohamed salle 2 2348 Reportée
1211081 ELHASSANY Somayya salle 2 2350 Reportée
1101120 ELHASSOUNI Zakaria salle 2 2352 Reportée
1218801 ELHOR MINA salle 2 2354 Reportée
1220307 ELHOUST Karima salle 2 2356 Reportée
1203276 EL-IBRAHYMY Latifa salle 2 2358 Reportée
1202107 ELIDRISSI Mourad salle 2 2360 Reportée
1220281 ELIDRISSI Souad salle 2 2362 Reportée
1211296 ELIDRISSI DAFALI ABDENACER salle 2 2364 Reportée
1112035 ELJABIRI Hasna salle 2 2366 Reportée
1205646 EL-JABIRY Redouane salle 2 2368 Reportée
1219630 ELJADID ESSAID salle 2 2370 Reportée
1217465 ELKABOURI ABDELMOULA salle 2 2372 Reportée
1204011 ELKADRI Rabab salle 2 2374 Reportée
1219652 ELKAFI NADIA salle 2 2376
1208628 ELKAFRAOUI Najia salle 2 2378 Reportée
1106382 ELKHAHIRI Jihad salle 2 2380 Reportée
1107781 ELKHALDI Hassane salle 2 2382 Reportée
1216667 ELKHOURI MARHRA Fatima Zahra salle 2 2384
1108547 ELKIRAT Soukaina salle 2 2386 Reportée
1204853 ELKISSAI Hasnae salle 2 2388 Reportée
1202342 ELKOREICHI Khadija salle 2 2390
1204896 ELKOURCHI Imane salle 2 2392 Reportée
1201305 ELLAOU Lamnia salle 2 2394 Reportée
1219625 ELLEMYSY Chadia salle 2 2396 Reportée
1202322 ELLOUYTY FATIMA salle 2 2398 Reportée
1219725 ELMAHDAOUY Amal salle 2 2400 Reportée
1101606 ELMAJDAOUI Charaf salle 2 2402 Reportée
1206299 ELMAKNI Elhassan salle 2 2404 Reportée
1209761 ELMALATI Said salle 2 2406 Reportée
1211959 ELMALLOULI Aziza salle 2 2408 Reportée
1208104 ELMANSOURI Abderrahim salle 2 2410 Reportée
Matière1: Introduction au Droit positif
Matière2: Introduction au Droit musulman 38/68
Filière: Droit arabe
Faculté des sciences juridiques
et Economiques. Marrakech
N° Apogée Nom Prénom Local d'examen N° d'examen Matière1 Matière2
Université Cadi Ayyad
PV de surveillance: Session de rattrapage
Module: Introduction au Droit privé
2012-2013
Semestre1 (nouveau système)
1216665 ELMANSOURI Sara salle 3 2412 Reportée
1204390 ELMARBOUH Jamila salle 3 2414 Reportée
1210104 ELMASMOUDI Yousra salle 3 2416
1202423 ELMECHYLY Zakaria salle 3 2418 Reportée
1100617 ELMEZOUARI Elyas salle 3 2420 Reportée
1205212 ELMILOUAY Houria salle 3 2422 Reportée
1212438 ELMIRAHI Khalid salle 3 2424 Reportée
1201204 ELMONTASER Laila salle 3 2426 Reportée
1210721 ELMOSAIF Soumyia salle 3 2428 Reportée
1201302 ELMOUADINE Fatimaezzahra salle 3 2430
1201751 ELMOUSSAOUI Abdessamad salle 3 2432
1219540 ELOUAHMANI Mohamed salle 3 2434
1209352 ELOUAHRANI Sanae salle 3 2436 Reportée
1220784 EL-OUALI MOHA salle 3 2438 Reportée
1210275 ELOUARANI Abdelahak salle 3 2440
1106832 ELOUARDI Hasna salle 3 2442 Reportée
1114646 EL-OUATQI Khaoula salle 3 2444 Reportée
1108371 ELQAR Fatima Ezzahra salle 3 2446 Reportée
1102527 ELRHAZWANI Mustapha salle 3 2448 Reportée
1216297 ELSOULDI Naima salle 3 2450 Reportée
1209294 ELYAFIY Dounia salle 3 2452 Reportée
1205152 ELYAKOUBI Fadma salle 3 2454 Reportée
1201595 ENANI Hicham salle 3 2456
1220889 ENHILI ABDELILAH salle 3 2458 Reportée
1203629 ENNAB Saida salle 3 2460 Reportée
1204325 ENNACHAT Ayyoub salle 3 2462 Reportée
1203799 ENNACIRI Faical salle 3 2464 Reportée
1105457 ENNACIRI Mohamed salle 3 2466 Reportée
1214053 ENNACIRI Naima salle 3 2468 Reportée
1210894 ENNADIFI Kenza salle 3 2470 Reportée
1115589 ENNAFAA SIDI AHMED salle 3 2472 Reportée
1102771 ENNAIM Ferdaous salle 3 2474 Reportée
1201003 ENNAJMI Ayoub salle 3 2476 Reportée
1205898 ENNAOURI Dounia salle 3 2478 Reportée
1202178 ENNASFI Malika salle 3 2480 Reportée
Matière1: Introduction au Droit positif
Matière2: Introduction au Droit musulman 39/68
Filière: Droit arabe
Faculté des sciences juridiques
et Economiques. Marrakech
N° Apogée Nom Prénom Local d'examen N° d'examen Matière1 Matière2
Université Cadi Ayyad
PV de surveillance: Session de rattrapage
Module: Introduction au Droit privé
2012-2013
Semestre1 (nouveau système)
1216936 ENNASIRY Soukaina salle 4 2482 Reportée
1207714 ENNAY Touria salle 4 2484
1201075 ENNAZI Wafaa salle 4 2486 Reportée
1201385 EN-NEJMAOUI Abdelilah salle 4 2488 Reportée
1220095 ENNOUIGUED Omar salle 4 2490 Reportée
1201070 ER RAHHALI Fairouz salle 4 2492
1203282 ER-RACHDI Maria salle 4 2494 Reportée
1211085 ERRACHIDI Rabiaa salle 4 2496 Reportée
1209059 ERRACHIDI Samir salle 4 2498 Reportée
1201330 ERRAGADI Anas salle 4 2500 Reportée
1208153 ERRAHILI Hassan salle 4 2502
1202394 ERRAHMANI Soukaina salle 4 2504 Reportée
1207062 ER-RAHMAOUY Saida salle 4 2506 Reportée
1216619 ERRAHMOUNY Khalid salle 4 2508 Reportée
1220382 ERRAIS Abderrazak salle 4 2510 Reportée
1206799 ER-RAMCHANY Rachida salle 4 2512 Reportée
1100990 ERRAMI Youssef salle 4 2514 Reportée
1201291 ERRAYS Siham salle 4 2516 Reportée
1108268 ER-RGUI Latifa salle 4 2518 Reportée
1204117 ERRIDA Raja salle 4 2520 Reportée
1206417 ES SINNANI Youness salle 4 2522
1202254 ESINFI Soufian salle 4 2524 Reportée
1219634 ESKALLI Abdelatif salle 4 2526 Reportée
1101103 ES-SABBAR Ahmed salle 4 2528
1219792 ES-SABBAR YOUNES salle 4 2530
1201254 ESSABHI Bouchra salle 4 2532 Reportée
1114589 ESSABI HICHAM salle 4 2534 Reportée
1219434 ESSAFI AKHLIFA salle 4 2536 Reportée
1210409 ESSAFIAOUI Habiba salle 4 2538 Reportée
1102163 ES-SAHL Aziz salle 4 2540 Reportée
1201088 ESSAHRAOUI Rahhal salle 4 2542 Reportée
1219525 ESSAKOURI HAMID salle 4 2544 Reportée
1205222 ESSALEHY Saida salle 4 2546
1204772 ESSAOUD Btissam salle 4 2548
1207986 ESSARRARR Nejma salle 4 2550 Reportée
Matière1: Introduction au Droit positif
Matière2: Introduction au Droit musulman 40/68
Filière: Droit arabe
Faculté des sciences juridiques
et Economiques. Marrakech
N° Apogée Nom Prénom Local d'examen N° d'examen Matière1 Matière2
Université Cadi Ayyad
PV de surveillance: Session de rattrapage
Module: Introduction au Droit privé
2012-2013
Semestre1 (nouveau système)
1205187 ESSARSAR Wafa salle 5 2552 Reportée
1204082 ESSELLAMI Abdelghani salle 5 2554 Reportée
1108746 ES-SEMGANY Fatima salle 5 2556 Reportée
1105468 ESSERAKHI MOHAMED salle 5 2558 Reportée
1202751 ES-SIAD Sara salle 5 2560 Reportée
1213716 ES-SOHBANI Abdelouahed salle 5 2562 Reportée
1209399 ESSOURNI Akram salle 5 2564 Reportée
1203353 ETAYIBI Ahmed salle 5 2566 Reportée
1217557 ETOUYSI KHAOULA salle 5 2568 Reportée
1205125 ET-TAHHANE Lahoucine salle 5 2570 Reportée
1203841 ETTAHIRY Jaouad salle 5 2572 Reportée
1203941 ETTAHOUN Naim salle 5 2574 Reportée
1204955 ETTAIEB Abderrahim salle 5 2576 Reportée
1201664 ETTAKAFFOULI Wahiba salle 5 2578 Reportée
1105255 ET-TALBI Amina salle 5 2580 Reportée
1103756 ET-TALBI Wassila salle 5 2582 Reportée
1209275 ETTALIBI Abdelghani salle 5 2584 Reportée
1205146 ETTALIE Marwa salle 5 2586 Reportée
1203215 ETTANATY M'BAREK salle 5 2588 Reportée
1205853 ETTANTANAT Mohamed salle 5 2590 Reportée
1103821 ETTAQY Hicham salle 5 2592 Reportée
1108271 ETTARROU Hicham salle 5 2594 Reportée
1100335 ETTOUBBALI EL MOKHTAR salle 5 2596 Reportée
1203963 ETTOUMI Khalid salle 5 2598
1204729 ETTOUMY KALTOUM salle 5 2600 Reportée
1204908 ETTOUNSI Salka salle 5 2602
1101077 EZAHIRI Fatna salle 5 2604 Reportée
1202898 EZERRAF Aziza salle 5 2606 Reportée
1103578 EZNIBER SARA salle 5 2608 Reportée
1207314 EZRIA Ismail salle 5 2610 Reportée
1204142 EZ-ZAARY Zakaria salle 5 2612 Reportée
1202967 EZZAHARI Donya salle 5 2614
1220395 EZZAHIRE Abdellah salle 5 2616 Reportée
1217347 EZZAHIRI Aatika salle 5 2618 Reportée
1205604 EZ-ZAITOUNI Othman salle 5 2620 Reportée
1115610 EZZAKI Mohcine salle 5 2622 Reportée
1205126 EZZAOUIA Oualid salle 5 2624 Reportée
1100654 EZZFIRI Siham salle 5 2626 Reportée
1220348 EZZINE BAIGHIA salle 5 2628 Reportée
1218951 EZZIYADI Ilham salle 5 2630 Reportée1218951 EZZIYADI Ilham salle 5 2630 Reportée
Matière1: Introduction au Droit positif
Matière2: Introduction au Droit musulman 41/68
Filière: Droit arabe
Faculté des sciences juridiques
et Economiques. Marrakech
N° Apogée Nom Prénom Local d'examen N° d'examen Matière1 Matière2
Université Cadi Ayyad
PV de surveillance: Session de rattrapage
Module: Introduction au Droit privé
2012-2013
Semestre1 (nouveau système)
1204143 FACHATTI Zakaria Amphi allal El Fassi 392
1104626 FAGHRI BACHIR Amphi allal El Fassi 394
1202126 FAHIM Mohamed Amphi allal El Fassi 396
1209151 FAHIM Rabiaa Amphi allal El Fassi 398
1209044 FAHMI Chouaib Amphi allal El Fassi 400
1203075 FAIK Ismail Amphi allal El Fassi 402
1003359 FAISSE KHADIJA Amphi allal El Fassi 404 Reportée
1205912 FAKHOURY El Mokhtar Amphi allal El Fassi 406
1204828 FAKIR Kaoutar Amphi allal El Fassi 408
1100337 FALFACH Ettalmidi Amphi allal El Fassi 410
1102778 FALIH Soumia Amphi allal El Fassi 412 Reportée
1203866 FALOUSSI Youness Amphi allal El Fassi 414 Reportée
1219894 FAQIHI MAJDA Amphi allal El Fassi 416
1201561 FARAH Nabil Amphi allal El Fassi 418 Reportée
1209624 FARASSI NAIMA Amphi allal El Fassi 420
1201406 FAREH Khalid Amphi allal El Fassi 422 Reportée
1203915 FARHANE Khadija Amphi allal El Fassi 424 Reportée
1201932 FARHAT Aziz Amphi allal El Fassi 426 Reportée
1208267 FARHAT Fayrouz Amphi allal El Fassi 428 Reportée
1204925 FARHI Abdlbarr Amphi allal El Fassi 430 Reportée
1216595 FAROUK MOHAMED Amphi allal El Fassi 432 Reportée
1201594 FARYAT Laila Amphi allal El Fassi 434 Reportée
1204946 FATHELLAH Moad Amphi allal El Fassi 436 Reportée
1207961 FATTOUKH Fatiha Amphi allal El Fassi 438 Reportée
1211164 FATTOUKH Hind Amphi allal El Fassi 440 Reportée
1202375 FENNAN Hanane Amphi allal El Fassi 442
1203306 FERHAN Hamid Amphi allal El Fassi 444
1202478 FERTAH Amal Amphi allal El Fassi 446 Reportée
1101404 FGHIRE Soukaina Amphi allal El Fassi 448 Reportée
1203634 FIHAM Salwa Amphi allal El Fassi 450
1204410 FILALI Mohamed Amphi allal El Fassi 452
1107103 FILLALI Hasna Amphi allal El Fassi 454 Reportée
1201569 FNIDOU MOHAMED Amphi allal El Fassi 456
1204889 FOUNDOU Brahim Amphi allal El Fassi 458 Reportée
1201187 FOUNTI Aouatif Amphi allal El Fassi 460
1204080 FOUQANI NOUR-EDDINE Amphi allal El Fassi 462
1201913 FRAIHATE Essaid Amphi allal El Fassi 464 Reportée
1219651 FRAIJA Otmane Amphi allal El Fassi 466 Reportée
1219607 FRIKHA Mohammed Amphi allal El Fassi 468
1219410 FRINI OUSSAMA Amphi allal El Fassi 470 Reportée1219410 FRINI OUSSAMA Amphi allal El Fassi 470 Reportée
1101619 GABARDI Samia Amphi allal El Fassi 472
Matière1: Introduction au Droit positif
Matière2: Introduction au Droit musulman 42/68
Filière: Droit arabe
Faculté des sciences juridiques
et Economiques. Marrakech
N° Apogée Nom Prénom Local d'examen N° d'examen Matière1 Matière2
Université Cadi Ayyad
PV de surveillance: Session de rattrapage
Module: Introduction au Droit privé
2012-2013
Semestre1 (nouveau système)
1201742 GADOUMY Raja Amphi allal El Fassi 474 Reportée
1201783 GASMI Soumia Amphi allal El Fassi 476
1220052 GASMILI Mohamed Amphi allal El Fassi 478
1202509 GHALMI Intissar Amphi allal El Fassi 480
1204838 GHANAMI Noura Amphi allal El Fassi 482 Reportée
1203569 GHANDOUR Nizar Amphi allal El Fassi 484
1201971 GHANEM Badia Amphi allal El Fassi 486 Reportée
1219441 GHANIM Hamza Amphi allal El Fassi 488
1202927 GHARIB Abdelmoughit Amphi allal El Fassi 490
1210774 GHAZOUA Samira Amphi allal El Fassi 492 Reportée
1210879 GHIAB Asma Amphi allal El Fassi 494
1109633 GHIYAB Lahcen Amphi allal El Fassi 496 Reportée
1217554 GOUBRAIM ISSAM Amphi allal El Fassi 498
1202203 GOUCHGUE Kamal Amphi allal El Fassi 500 Reportée
1201998 GOUFAL Safaa Amphi allal El Fassi 502 Reportée
1111685 GOUGOU Yassin Amphi allal El Fassi 504 Reportée
1205225 GOUIOUEL Abdellah Amphi allal El Fassi 506
1100775 GOUIRIR Mhamed Amphi allal El Fassi 508
1210571 GOUIRIR Najem Amphi allal El Fassi 510
1209527 GOUNAINE Btissam Amphi allal El Fassi 512 Reportée
1114517 GOURBI ABDELMOUNAIM Amphi allal El Fassi 514 Reportée
1216724 GOUZMIR Elorch Amphi allal El Fassi 516
1111019 GRAIBIS Brahim Amphi allal El Fassi 518 Reportée
1201322 GRIDI Rachid Amphi allal El Fassi 520
1203648 GRIGUER Mohamed Amphi allal El Fassi 522 Reportée
1108103 GUACHOUR Mouad Amphi allal El Fassi 524
1204044 GUECHAIRI Yassine Amphi allal El Fassi 526
1201665 GUELLI Redouane Amphi allal El Fassi 528
1217446 GUELMY HAJAR Amphi allal El Fassi 530 Reportée
1111067 GUIDAM Abdelhakim Amphi allal El Fassi 532
1108503 GUOUAYCH Abdelali Amphi allal El Fassi 534 Reportée
1219291 GZOULI Youssef Amphi allal El Fassi 536 Reportée
1201759 GZOUMI Merieme Amphi allal El Fassi 538 Reportée
1203898 HABACHE Jihad Amphi allal El Fassi 540 Reportée
1201174 HABBOUCH Soufia Amphi allal El Fassi 542 Reportée
1102218 HABIBALLAH Soukaina Amphi allal El Fassi 544 Reportée
1203688 HACHIMI Mohamed Amphi allal El Fassi 546 Reportée
1202791 HACHIMI Monir Amphi allal El Fassi 548
1201318 HADDI Soufyane Amphi allal El Fassi 550 Reportée
1203128 HADDOU Anass Amphi allal El Fassi 5521203128 HADDOU Anass Amphi allal El Fassi 552
1216649 HADOUAR Raja Amphi allal El Fassi 554 Reportée
Matière1: Introduction au Droit positif
Matière2: Introduction au Droit musulman 43/68
Filière: Droit arabe
Faculté des sciences juridiques
et Economiques. Marrakech
N° Apogée Nom Prénom Local d'examen N° d'examen Matière1 Matière2
Université Cadi Ayyad
PV de surveillance: Session de rattrapage
Module: Introduction au Droit privé
2012-2013
Semestre1 (nouveau système)
1202292 HAFID Imane Amphi allal El Fassi 556 Reportée
1112014 HAFIR Mustapha Amphi allal El Fassi 558
1203977 HAGGAN Raihane Amphi allal El Fassi 560
1203197 HAIDA Mohammed Amphi allal El Fassi 562 Reportée
1212489 HAIDANE Mohamed Yeslem Amphi allal El Fassi 564 Reportée
1210042 HAIDOUS Soukaina Amphi allal El Fassi 566
1201111 HAILAT Abdelghani Amphi allal El Fassi 568 Reportée
1216749 HAJAJ YASSINE Amphi allal El Fassi 570
1209050 HAJJI MOHAMED Amphi allal El Fassi 572 Reportée
1203825 HAJMANI El Mehdi Amphi allal El Fassi 574 Reportée
1201949 HAKIM Ayoub Amphi allal El Fassi 576 Reportée
1111208 HAL-EL FADL Aida Amphi allal El Fassi 578 Reportée
1202196 HALIM Khalid Amphi allal El Fassi 580 Reportée
Matière1: Introduction au Droit positif
Matière2: Introduction au Droit musulman 44/68
Filière: Droit arabe
Faculté des sciences juridiques
et Economiques. Marrakech
N° Apogée Nom Prénom Local d'examen N° d'examen Matière1 Matière2
Université Cadi Ayyad
PV de surveillance: Session de rattrapage
Module: Introduction au Droit privé
2012-2013
Semestre1 (nouveau système)
1204531 HALLAB Abdellah Amphi ibn Rochd 882 Reportée
1204412 HALLI Monir Amphi ibn Rochd 884
1208760 HALLOUTA El Mahdi Amphi ibn Rochd 886 Reportée
1106486 HALOUACH Hamza Amphi ibn Rochd 888 Reportée
1220989 HALOUS SI MOHAMED Amphi ibn Rochd 890 Reportée
1202970 HALYM Noureddine Amphi ibn Rochd 892 Reportée
1219554 HAMAMA Sara Amphi ibn Rochd 894
1201690 HAMDI Berray Amphi ibn Rochd 896 Reportée
1101940 HAMIDI Imane Amphi ibn Rochd 898 Reportée
1201146 HAMMI Mustapha Amphi ibn Rochd 900 Reportée
1205226 HAMOU ESSALEK Amphi ibn Rochd 902
1205678 HAMOUDAT Mohamed Amphi ibn Rochd 904 Reportée
1204915 HAMZA AOMAR Amphi ibn Rochd 906 Reportée
1204036 HAND Soukaina Amphi ibn Rochd 908 Reportée
1108117 HANINE Abdelkarim Amphi ibn Rochd 910 Reportée
1220885 HAOUARI ANOUAR Amphi ibn Rochd 912
1004421 HAOUASSE NEZHA Amphi ibn Rochd 914 Reportée
5006264 HARAKATI BENNACEUR Amphi ibn Rochd 916 Reportée
1209463 HARCHAOUI Ismail Amphi ibn Rochd 918 Reportée
1204121 HARGUI Fatima Amphi ibn Rochd 920 Reportée
1108607 HARIFI Amine Amphi ibn Rochd 922
1101960 HARIM Asmaa Amphi ibn Rochd 924 Reportée
1100476 HAROUAK HOUDA Amphi ibn Rochd 926
1106503 HAROUK Abdellatif Amphi ibn Rochd 928 Reportée
1114493 HARTFI HASNA Amphi ibn Rochd 930 Reportée
1205616 HASSAR Ayoub Amphi ibn Rochd 932
1201213 HASYN Essaid Amphi ibn Rochd 934
1204735 HAZIM Zahra Amphi ibn Rochd 936 Reportée
1219906 HDADOU AZIA Amphi ibn Rochd 938
1202228 HERTAL Amina Amphi ibn Rochd 940 Reportée
1202260 HERTAL Loubna Amphi ibn Rochd 942 Reportée
1102684 HICHAM Walid Amphi ibn Rochd 944 Reportée
1115784 HILMI Meryem Amphi ibn Rochd 946
1209584 HIMD Khadija Amphi ibn Rochd 948
1204452 HLILOU Khalid Amphi ibn Rochd 950 Reportée
1113649 HMAIMA HAMID Amphi ibn Rochd 952
1205072 HMAYDANE Halima Amphi ibn Rochd 954
1208950 HMIDOUCH Ouafa Amphi ibn Rochd 956
1203964 HMIMOU Mohamed Amphi ibn Rochd 958
1111585 HMOUDA Hamza Amphi ibn Rochd 960 Reportée1111585 HMOUDA Hamza Amphi ibn Rochd 960 Reportée
1203239 HNI Mohamed Amphi ibn Rochd 962 Reportée
Matière1: Introduction au Droit positif
Matière2: Introduction au Droit musulman 45/68
Filière: Droit arabe
Faculté des sciences juridiques
et Economiques. Marrakech
N° Apogée Nom Prénom Local d'examen N° d'examen Matière1 Matière2
Université Cadi Ayyad
PV de surveillance: Session de rattrapage
Module: Introduction au Droit privé
2012-2013
Semestre1 (nouveau système)
1203651 HOUDALI Anass Amphi ibn Rochd 964 Reportée
1202325 HOULMANE Mohammed Amphi ibn Rochd 966 Reportée
1203031 HOUOUA Abdessadek Amphi ibn Rochd 968
1204785 HSISSOU Fatima Ezzahraa Amphi ibn Rochd 970
1202190 HYAYOU Charaf Amphi ibn Rochd 972
1107564 IBENATAALLAH MUSTAPHA Amphi ibn Rochd 974
1100620 IBISSI Ismail Amphi ibn Rochd 976 Reportée
1004120 IBN ELOTHMANI SANA Amphi ibn Rochd 978 Reportée
1216716 IBN RAZZOUQ HANANE Amphi ibn Rochd 980 Reportée
1202224 IBNOU ZAHER Anas Amphi ibn Rochd 982 Reportée
1201356 ICHAIBI Azeddine Amphi ibn Rochd 984 Reportée
1210053 ICHEREM Saida Amphi ibn Rochd 986
1109139 ID MBAREK Mohamed Amphi ibn Rochd 988
1219693 ID MESSAOUD Soufiane Amphi ibn Rochd 990 Reportée
1204887 IDYOUSSE Amina Amphi ibn Rochd 992
1202201 IGARDY Abdellah Amphi ibn Rochd 994 Reportée
1111041 IGDEM Aicha Amphi ibn Rochd 996 Reportée
1205216 IGHIL Abdelaaziz Amphi ibn Rochd 998
1201924 IGHRAN Naoufal Amphi ibn Rochd 1000
1201171 IGLISE Khadija Amphi ibn Rochd 1002 Reportée
1203275 IGUIDER Yahya Amphi ibn Rochd 1004
1210954 IHACHKAR Jamal Amphi ibn Rochd 1006
1203024 IHENKI Mohamed Amphi ibn Rochd 1008 Reportée
1217122 IHSANE Abdelghani Amphi ibn Rochd 1010 Reportée
1205762 IJJIG Sana Amphi ibn Rochd 1012 Reportée
1003103 IKRAM YOUSSEF Amphi ibn Rochd 1014 Reportée
1108284 IKROU Sana Amphi ibn Rochd 1016 Reportée
1218841 ILALOUANI Khadija Amphi ibn Rochd 1018 Reportée
1209569 IMADIDENE Fatima Zahra Amphi ibn Rochd 1020 Reportée
1208845 IMASSADAN Bilal Amphi ibn Rochd 1022 Reportée
1109162 IMRRAYNE Khalid Amphi ibn Rochd 1024 Reportée
1216763 IMZILNE Khadija Amphi ibn Rochd 1026 Reportée
1210306 INJAR Faiza Amphi ibn Rochd 1028
1202212 INOUS Fatima Ezzahra Amphi ibn Rochd 1030
1203103 IOURAGHEN Najib Amphi ibn Rochd 1032
1205190 IRABEN ABDERRAHMAN Amphi ibn Rochd 1034
1205084 ISFAR Khadija Amphi ibn Rochd 1036 Reportée
1008414 ISMAILI KHADIJATOU Amphi ibn Rochd 1038 Reportée
1201189 ISRA Yassin Amphi ibn Rochd 1040 Reportée
1204045 ITSMAIL RIDDOUANE Amphi ibn Rochd 1042 Reportée1204045 ITSMAIL RIDDOUANE Amphi ibn Rochd 1042 Reportée
1106850 IZALMADEN Khalid Amphi ibn Rochd 1044 Reportée
Matière1: Introduction au Droit positif
Matière2: Introduction au Droit musulman 46/68
Filière: Droit arabe
Faculté des sciences juridiques
et Economiques. Marrakech
N° Apogée Nom Prénom Local d'examen N° d'examen Matière1 Matière2
Université Cadi Ayyad
PV de surveillance: Session de rattrapage
Module: Introduction au Droit privé
2012-2013
Semestre1 (nouveau système)
1210129 JAABARI Amine Amphi ibn Rochd 1046
1112453 JAAFARI Abdelkarim Amphi ibn Rochd 1048
1216365 JAAFARI Abdelkarim Amphi ibn Rochd 1050 Reportée
1205217 JABBARY Laila Amphi ibn Rochd 1052 Reportée
1220894 JABER LAHCEN Amphi ibn Rochd 1054
1203597 JABOUNE EL HOUSSAINE Amphi ibn Rochd 1056 Reportée
1201791 JABRANE Houria Amphi ibn Rochd 1058 Reportée
1204621 JABRANE Noura Amphi ibn Rochd 1060 Reportée
1201384 JABRANI Hassnae Amphi ibn Rochd 1062 Reportée
1205139 JADIDI Abdessalam Amphi ibn Rochd 1064
1208328 JAKANE Zineb Amphi ibn Rochd 1066 Reportée
1202192 JALAL Khadija Amphi ibn Rochd 1068
1202044 JALLOUL Aziz Amphi ibn Rochd 1070
1109638 JAMAL EDDINE Soukaina Amphi ibn Rochd 1072 Reportée
1219849 JAMALEDDIN Essaid Amphi ibn Rochd 1074
1110779 JAMIL Abdelhadi Amphi ibn Rochd 1076 Reportée
1220051 JAMOUS Ech-echaibia Amphi ibn Rochd 1078 Reportée
1204423 JANADI Hamza Amphi ibn Rochd 1080
1208487 JANANE Redouane Amphi ibn Rochd 1082
1201709 JAOUAD Lagribi Amphi ibn Rochd 1084 Reportée
1216312 JAOUHAR Adil Amphi ibn Rochd 1086
1216699 JARDOUNI Hana Amphi ibn Rochd 1088 Reportée
1201132 JARFI Fadila Amphi ibn Rochd 1090
1216602 JARI AIT M'BAREK ABDESSAMADE Amphi ibn Rochd 1092 Reportée
1204724 JARID Abderrazzak Amphi ibn Rochd 1094 Reportée
1216675 JARIKI Soumiya Amphi ibn Rochd 1096 Reportée
1201350 JAROUM Hind Amphi ibn Rochd 1098 Reportée
1203222 JARRAF Hicham Amphi ibn Rochd 1100
Matière1: Introduction au Droit positif
Matière2: Introduction au Droit musulman 47/68
Filière: Droit arabe
Faculté des sciences juridiques
et Economiques. Marrakech
N° Apogée Nom Prénom Local d'examen N° d'examen Matière1 Matière2
Université Cadi Ayyad
PV de surveillance: Session de rattrapage
Module: Introduction au Droit privé
2012-2013
Semestre1 (nouveau système)
1202536 JDAIA Soumia Amphi mohamed El Fassi 1102 Reportée
1203174 JDDARH Abderrahim Amphi mohamed El Fassi 1104 Reportée
1217506 JELOUANE MOUHIEDDINE Amphi mohamed El Fassi 1106 Reportée
1108727 JIAD Hassna Amphi mohamed El Fassi 1108 Reportée
1101184 JIDER Chadia Amphi mohamed El Fassi 1110 Reportée
1105869 JILO Saloua Amphi mohamed El Fassi 1112 Reportée
1111293 JNAH Amine Amphi mohamed El Fassi 1114
1202507 JOMAR Abderrahim Amphi mohamed El Fassi 1116 Reportée
1101129 KAAB Fatima Zahra Amphi mohamed El Fassi 1118 Reportée
1210431 KAABI Kaoutar Amphi mohamed El Fassi 1120 Reportée
1104158 KABIRI Abdessalam Amphi mohamed El Fassi 1122 Reportée
1203997 KADDOURI Hind Amphi mohamed El Fassi 1124 Reportée
1204858 KADOURI Hanane Amphi mohamed El Fassi 1126 Reportée
1217018 KADRI Nassima Amphi mohamed El Fassi 1128 Reportée
1205201 KAFOUNI Abdellah Amphi mohamed El Fassi 1130
1106585 KAIKAT Simohamed Amphi mohamed El Fassi 1132
1100669 KAMEL Ali Amphi mohamed El Fassi 1134 Reportée
1219713 KANANE Imane Amphi mohamed El Fassi 1136
1202812 KANBOUA Ahmed Amphi mohamed El Fassi 1138
1103334 KARA Siyadtou Amphi mohamed El Fassi 1140 Reportée
1203864 KARAM Imad Eddine Amphi mohamed El Fassi 1142
1219746 KARIM BRAHIM Amphi mohamed El Fassi 1144
1202659 KARIM Fatima Amphi mohamed El Fassi 1146
1114628 KARKOUR ESSAID Amphi mohamed El Fassi 1148 Reportée
1202194 KASBI Asmaa Amphi mohamed El Fassi 1150 Reportée
1219788 KASSIMI Aziz Amphi mohamed El Fassi 1152 Reportée
1201779 KASSOUANE Asma Amphi mohamed El Fassi 1154 Reportée
1004470 KASTIH MOUHSSINE Amphi mohamed El Fassi 1156
1108743 KATITI Yassine Amphi mohamed El Fassi 1158 Reportée
1220299 KEJOUD Majda Amphi mohamed El Fassi 1160
1109787 KEMLAOUI Khadija Amphi mohamed El Fassi 1162 Reportée
1106797 KENTOUR Mohamed Amphi mohamed El Fassi 1164 Reportée
1105089 KERKOUR-ALLA Jaouad Amphi mohamed El Fassi 1166 Reportée
1204862 KETTAFE Fatima-ezzahra Amphi mohamed El Fassi 1168 Reportée
1201978 KEZDOUFI Said Amphi mohamed El Fassi 1170
1201207 KEZZAR Khalid Amphi mohamed El Fassi 1172
1205003 KHABAB Ghizlan Amphi mohamed El Fassi 1174 Reportée
1203218 KHABAL Zakaria Amphi mohamed El Fassi 1176 Reportée
1105020 KHACHIA ERRAHMAN Zahira Amphi mohamed El Fassi 1178
1202244 KHADDAD AYACHE Amphi mohamed El Fassi 1180 Reportée1202244 KHADDAD AYACHE Amphi mohamed El Fassi 1180 Reportée
1107131 KHADNOUCHI Halima Amphi mohamed El Fassi 1182 Reportée
Matière1: Introduction au Droit positif
Matière2: Introduction au Droit musulman 48/68
Filière: Droit arabe
Faculté des sciences juridiques
et Economiques. Marrakech
N° Apogée Nom Prénom Local d'examen N° d'examen Matière1 Matière2
Université Cadi Ayyad
PV de surveillance: Session de rattrapage
Module: Introduction au Droit privé
2012-2013
Semestre1 (nouveau système)
1219857 KHAFIF Ikram Amphi mohamed El Fassi 1184
1111211 KHAIRAT Bouchra Amphi mohamed El Fassi 1186 Reportée
1219919 KHAL Othmane Amphi mohamed El Fassi 1188 Reportée
1205193 KHALDI Abderrahim Amphi mohamed El Fassi 1190
1109550 KHALDI Fatima Amphi mohamed El Fassi 1192 Reportée
1101049 KHALFI Nasma Amphi mohamed El Fassi 1194 Reportée
1220381 KHALID MOHAMAD AMINE Amphi mohamed El Fassi 1196 Reportée
1220409 KHALIJ HAMZA Amphi mohamed El Fassi 1198 Reportée
1202493 KHALILI BRAHIM Amphi mohamed El Fassi 1200 Reportée
1201321 KHALIS ES-SAID Amphi mohamed El Fassi 1202 Reportée
1202364 KHALIS Kamal Amphi mohamed El Fassi 1204 Reportée
1210652 KHALIS Sanae Amphi mohamed El Fassi 1206 Reportée
1219850 KHALLOUFI AFAF Amphi mohamed El Fassi 1208 Reportée
1203372 KHALLOUQ Wissam Amphi mohamed El Fassi 1210
1202040 KHARBOUCH Abdessadek Amphi mohamed El Fassi 1212
1210323 KHARDALI Siham Amphi mohamed El Fassi 1214 Reportée
1111830 KHASMANI Siham Amphi mohamed El Fassi 1216
1111908 KHASSAL Sabah Amphi mohamed El Fassi 1218 Reportée
1201244 KHATIR Mohamed Amphi mohamed El Fassi 1220
1201771 KHATRANI Elmustapha Amphi mohamed El Fassi 1222
1202087 KHATRANI Saida Amphi mohamed El Fassi 1224
1201178 KHERROU Khalid Amphi mohamed El Fassi 1226 Reportée
1210808 KHIROU MALIKA Amphi mohamed El Fassi 1228 Reportée
1201968 KHIZZIOUI Anas Amphi mohamed El Fassi 1230
1202263 KHOUYA Hasnaa Amphi mohamed El Fassi 1232 Reportée
1207053 KHOUYA Jaouad Amphi mohamed El Fassi 1234
1202451 KHOUYI Mounssif Amphi mohamed El Fassi 1236
1220411 KICHOU OUISSAL Amphi mohamed El Fassi 1238 Reportée
1216591 KIDA MOHAMED Amphi mohamed El Fassi 1240 Reportée
1104510 KIDDI Abdelmajid Amphi mohamed El Fassi 1242 Reportée
1210582 KIJJI Nezha Amphi mohamed El Fassi 1244
1205093 KILALI Ahmed Amphi mohamed El Fassi 1246 Reportée
1111049 KONSOU SOUFIANE Amphi mohamed El Fassi 1248 Reportée
1203878 KORRAY Naoual Amphi mohamed El Fassi 1250 Reportée
1103277 KOUADSSI MOHAMED Amphi mohamed El Fassi 1252 Reportée
1216765 KOUALAL Noura Amphi mohamed El Fassi 1254 Reportée
1201092 KOUISSI Sabrine Amphi mohamed El Fassi 1256 Reportée
1203722 KOUJOUTE Hicham Amphi mohamed El Fassi 1258
1111611 KOULANE Rachid Amphi mohamed El Fassi 1260
1202147 KOURD SARA Amphi mohamed El Fassi 1262 Reportée1202147 KOURD SARA Amphi mohamed El Fassi 1262 Reportée
1210892 KOURKACH Abderrahim Amphi mohamed El Fassi 1264
Matière1: Introduction au Droit positif
Matière2: Introduction au Droit musulman 49/68
Filière: Droit arabe
Faculté des sciences juridiques
et Economiques. Marrakech
N° Apogée Nom Prénom Local d'examen N° d'examen Matière1 Matière2
Université Cadi Ayyad
PV de surveillance: Session de rattrapage
Module: Introduction au Droit privé
2012-2013
Semestre1 (nouveau système)
1218835 LAABABSI Zinab Amphi mohamed El Fassi 1266 Reportée
9292693 LAABADI LOBNA Amphi mohamed El Fassi 1268 Reportée
1201283 LAADNANI Asma Amphi mohamed El Fassi 1270 Reportée
1202471 LAADYAME Hanane Amphi mohamed El Fassi 1272 Reportée
1208840 LAAFISSI ABDERRAHIM Amphi mohamed El Fassi 1274 Reportée
1201325 LAAFOU Nabiya Amphi mohamed El Fassi 1276 Reportée
1209558 LAAGAIED EL HAFAD Amphi mohamed El Fassi 1278 Reportée
1208639 LAAGUIDI Amal Amphi mohamed El Fassi 1280
1208933 LAAJIJIL Youssef Amphi mohamed El Fassi 1282 Reportée
1103246 LAALAM Loubna Amphi mohamed El Fassi 1284 Reportée
1220166 LAAMMARI Majdouline Amphi mohamed El Fassi 1286
1106918 LAANAD Elhabib Amphi mohamed El Fassi 1288 Reportée
1219797 LAANANI Abdekhaq Amphi mohamed El Fassi 1290
1202749 LAàNANI Mariem Amphi mohamed El Fassi 1292
1202928 LAANAYA Hasna Amphi mohamed El Fassi 1294 Reportée
1219839 LAANAYA Zineb Amphi mohamed El Fassi 1296 Reportée
1205013 LAANIBRI Abderrahim Amphi mohamed El Fassi 1298 Reportée
1103431 LAAOUINA Sanaa Amphi mohamed El Fassi 1300 Reportée
1220040 LAAOUINI Khadija Amphi mohamed El Fassi 1302
1205044 LAARAF Abdelkarim Amphi mohamed El Fassi 1304
1202654 LAARAICHY Fatima Amphi mohamed El Fassi 1306 Reportée
1205659 LAARAJ Latifa Amphi mohamed El Fassi 1308 Reportée
1108754 LAAROUD Mariam Amphi mohamed El Fassi 1310
1201956 LAAROUSSI M'hammed Amphi mohamed El Fassi 1312 Reportée
1205871 LAAROUSSI Salek Amphi mohamed El Fassi 1314
1201138 LAASSARI Amal Amphi mohamed El Fassi 1316 Reportée
1102668 LAASSILIA MOHAMMED Amphi mohamed El Fassi 1318 Reportée
1204968 LAASSIRA Amal Amphi mohamed El Fassi 1320 Reportée
1219949 LAASSIRI M'barka Alina Amphi mohamed El Fassi 1322 Reportée
1202304 LAASSIRI Youness Amphi mohamed El Fassi 1324 Reportée
1101169 LAATIF Rabie Amphi mohamed El Fassi 1326 Reportée
1111113 LABANE Youssef Amphi mohamed El Fassi 1328 Reportée
1204692 LABHIH Mohamed Ali Amphi mohamed El Fassi 1330
1208018 LABKAM Hayat Amphi mohamed El Fassi 1332
1201217 LABRADAAI Mohamed Amphi mohamed El Fassi 1334
1209135 LABSIR Abdellah Amphi mohamed El Fassi 1336 Reportée
1112735 LABYAD Adil Amphi mohamed El Fassi 1338 Reportée
1202997 LABYAD Mohamed Amphi mohamed El Fassi 1340 Reportée
1218838 LABZIOUI Mariem Amphi mohamed El Fassi 1342
1201928 LABZIOUI Safa Amphi mohamed El Fassi 1344 Reportée1201928 LABZIOUI Safa Amphi mohamed El Fassi 1344 Reportée
1203619 LACHGAR Ayoub Amphi mohamed El Fassi 1346
Matière1: Introduction au Droit positif
Matière2: Introduction au Droit musulman 50/68
Filière: Droit arabe
Faculté des sciences juridiques
et Economiques. Marrakech
N° Apogée Nom Prénom Local d'examen N° d'examen Matière1 Matière2
Université Cadi Ayyad
PV de surveillance: Session de rattrapage
Module: Introduction au Droit privé
2012-2013
Semestre1 (nouveau système)
1003222 LACHGAR AZIZ Amphi mohamed El Fassi 1348 Reportée
1220084 LACHGAR Younes Amphi mohamed El Fassi 1350
1104907 LACHHAB BTISAM Amphi mohamed El Fassi 1352
1203621 LACHHAB Mahmoud Amphi mohamed El Fassi 1354
1203300 LACHOIANI Hicham Amphi mohamed El Fassi 1356 Reportée
1210449 LADHIM Hasna Amphi mohamed El Fassi 1358 Reportée
1219397 LAFRIHI MAJDA Amphi mohamed El Fassi 1360 Reportée
1209098 LAFSI Lotfi Amphi mohamed El Fassi 1362
1220042 LAFTAH Laaziza Amphi mohamed El Fassi 1364 Reportée
1005323 LAGHOUIBA FATIMA Amphi mohamed El Fassi 1366 Reportée
1205079 LAGRAIFA MAAELANINE Amphi mohamed El Fassi 1368
1202965 LAGRAMATE Mouatassim Amphi mohamed El Fassi 1370 Reportée
1111149 LAGRAOUI Rhizlane Amphi mohamed El Fassi 1372 Reportée
1203356 LAGRARI Khalid Amphi mohamed El Fassi 1374 Reportée
1202614 LAGRIOUIZ Aimad Amphi mohamed El Fassi 1376 Reportée
1004851 LAGSIR RACHID Amphi mohamed El Fassi 1378 Reportée
1219700 LAHDILI Zakaria Amphi mohamed El Fassi 1380 Reportée
1207072 LAHJOUJY Hicham Amphi mohamed El Fassi 1382 Reportée
1204061 LAHLIOUI Hayam Amphi mohamed El Fassi 1384 Reportée
1205673 LAHMADI Abd Ellah Amphi mohamed El Fassi 1386 Reportée
1219690 LAHMAM Rachid Amphi mohamed El Fassi 1388 Reportée
1114577 LAHMDI ABDELGHAFOUR Amphi mohamed El Fassi 1390 Reportée
Matière1: Introduction au Droit positif
Matière2: Introduction au Droit musulman 51/68
Filière: Droit arabe
Faculté des sciences juridiques
et Economiques. Marrakech
N° Apogée Nom Prénom Local d'examen N° d'examen Matière1 Matière2
Université Cadi Ayyad
PV de surveillance: Session de rattrapage
Module: Introduction au Droit privé
2012-2013
Semestre1 (nouveau système)
1114205 LAHMICHA Ismail Amphi A 1392
1110766 LAHMICHE Majda Amphi A 1394 Reportée
1209842 LAHMIDI Semai Amphi A 1396 Reportée
1110517 LAHNAOUI Khaireddine Amphi A 1398
1204037 LAHNAOUI Mohamed Amine Amphi A 1400 Reportée
1219578 LAHNINE Abdessamad Amphi A 1402 Reportée
1201938 LAHSINI EL MUSTAPHA Amphi A 1404
1218996 LAIAS El Houcine Amphi A 1406 Reportée
1219470 LAKBIBA Fatiha Amphi A 1408 Reportée
1202268 LAKBIR Foudi Amphi A 1410 Reportée
1219402 LAKHAL EL MUSTAPHA Amphi A 1412 Reportée
1114573 LAKHDAR ACHRAF Amphi A 1414 Reportée
1209692 LAKOUAS Mohamed Amphi A 1416 Reportée
1203002 LAKRAD Youssef Amphi A 1418 Reportée
1201726 LAKRAD Zineb Amphi A 1420 Reportée
1003912 LAKRAICHI MARIAM Amphi A 1422 Reportée
1107348 LAKSIBI Soukaina Amphi A 1424 Reportée
1203743 LAKTATNI Fatima Ezzahra Amphi A 1426 Reportée
1204464 LAKTIB Majda Amphi A 1428 Reportée
1204931 LAMCHANDAG Hassan Amphi A 1430
1008898 LAMDAOUI SABIR Amphi A 1432 Reportée
1201754 LAMFNEN Bouchra Amphi A 1434 Reportée
1219621 LAMGHARTI Sakina Amphi A 1436 Reportée
1219553 LAMHAMDI Lamia Amphi A 1438 Reportée
1205116 LAMINI Fatima Zahra Amphi A 1440
1204898 LAMIRAT Morad Amphi A 1442 Reportée
1219942 LAMLESS DOUNIA Amphi A 1444
1209960 LAMOUSSI Fatima Ezzahra Amphi A 1446
1219609 LAMRINI Mohamed Amphi A 1448 Reportée
1201011 LAMSAIRHRI Mustapha Amphi A 1450 Reportée
1204718 LAMSARNY SIHAME Amphi A 1452 Reportée
1204477 LAMSIKIN Ilham Amphi A 1454 Reportée
1204981 LAMSSATTEF Zohra Amphi A 1456 Reportée
1107727 LAMZAOUAK Abderrazzak Amphi A 1458
1219365 LAMZIOUEQ Abderrazak Amphi A 1460
1202942 LANSARI Halima Amphi A 1462 Reportée
1202643 LANSARI Ismail Amphi A 1464 Reportée
1209060 LANTIR Jaouad Amphi A 1466 Reportée
1202487 LAOUIBI Badia Amphi A 1468
1204446 LAOUID M'bark Amphi A 1470 Reportée1204446 LAOUID M'bark Amphi A 1470 Reportée
1204871 LAQDADRA BADREDDINE Amphi A 1472 Reportée
Matière1: Introduction au Droit positif
Matière2: Introduction au Droit musulman 52/68
Filière: Droit arabe
Faculté des sciences juridiques
et Economiques. Marrakech
N° Apogée Nom Prénom Local d'examen N° d'examen Matière1 Matière2
Université Cadi Ayyad
PV de surveillance: Session de rattrapage
Module: Introduction au Droit privé
2012-2013
Semestre1 (nouveau système)
1219636 LAQRAA Hassna Amphi A 1474 Reportée
Matière1: Introduction au Droit positif
Matière2: Introduction au Droit musulman 53/68
Filière: Droit arabe
Faculté des sciences juridiques
et Economiques. Marrakech
N° Apogée Nom Prénom Local d'examen N° d'examen Matière1 Matière2
Université Cadi Ayyad
PV de surveillance: Session de rattrapage
Module: Introduction au Droit privé
2012-2013
Semestre1 (nouveau système)
1100760 LARAICHI AMAL Amphi B 1476 Reportée
1210114 LARCHE Sana Amphi B 1478
1219637 LASFAR Rachid Amphi B 1480
1220923 LASRI ABDELJABBAR Amphi B 1482
1204358 LATIFI Abd El Ali Amphi B 1484 Reportée
1202456 LATRACHE Halima Amphi B 1486 Reportée
1202006 LAYYADI Lamyae Amphi B 1488 Reportée
1204152 LAZMAT Zakaria Amphi B 1490
1204818 LAZRAF MERYAM Amphi B 1492
1205816 LBARANI Hamza Amphi B 1494
1202568 LBECRAOUI Ibtissam Amphi B 1496
1201128 LEBZAR Ismail Amphi B 1498 Reportée
1004764 LECHGUER YASSINE Amphi B 1500 Reportée
1219812 LEDRHEM Mohamed Amphi B 1502 Reportée
1109600 LEHMAD Mohamed Amphi B 1504
1203580 LEMRHARI SALAH-EDDINE Amphi B 1506 Reportée
1210957 LEMZOUGUI Takia Amphi B 1508 Reportée
1202764 LFHAMA Ikrame Amphi B 1510 Reportée
1211194 LGHAZOUANI Houria Amphi B 1512
1205772 LGZOULI Fadila Amphi B 1514 Reportée
1202981 LIBAK Hmadnah Amphi B 1516
1201186 LIHMAD Ahmed Amphi B 1518 Reportée
1111724 LIMAM Fatima Zahra Amphi B 1520 Reportée
1204421 LINZALI Abdeljalil Amphi B 1522 Reportée
1204926 LMAADEN Abdellatif Amphi B 1524 Reportée
1202660 LOMARI Youssef Amphi B 1526 Reportée
1219453 LOTFI Fatimezzahra Amphi B 1528
1202913 LOTFI Mohamed Amphi B 1530
1203832 LOUJAB Abdelhafid Amphi B 1532 Reportée
1200289 LOULOUD Kamal Amphi B 1534
1204802 LOUQMANE Houria Amphi B 1536
1219696 LOUTFI Zine Elabidine Amphi B 1538 Reportée
1202724 LOUTFI KHALFAOUI Maroua Amphi B 1540
1209538 LYAZIDI Fouad Amphi B 1542 Reportée
Matière1: Introduction au Droit positif
Matière2: Introduction au Droit musulman 54/68
Filière: Droit arabe
Faculté des sciences juridiques
et Economiques. Marrakech
N° Apogée Nom Prénom Local d'examen N° d'examen Matière1 Matière2
Université Cadi Ayyad
PV de surveillance: Session de rattrapage
Module: Introduction au Droit privé
2012-2013
Semestre1 (nouveau système)
1219683 MAADINY RACHID Amphi Cadi Ayyad 2 Reportée
1203877 MAAREFT Hind Amphi Cadi Ayyad 4
1210251 MAASOU Youssef Amphi Cadi Ayyad 6
1202222 MAASSOU Hafsa Amphi Cadi Ayyad 8
1219629 MAAZOUZ Noureddine Amphi Cadi Ayyad 10 Reportée
1201157 MABROUK Imane Amphi Cadi Ayyad 12
1204048 MABROUK Lahoucine Amphi Cadi Ayyad 14
1204705 MACHMACH Brahim Amphi Cadi Ayyad 16
7007495 MACHMOUMI ISMAIL Amphi Cadi Ayyad 18
1203170 MADI Abderrahim Amphi Cadi Ayyad 20
1204837 MADIL Nadia Amphi Cadi Ayyad 22
1201633 MADIOUM Fatima-zahra Amphi Cadi Ayyad 24 Reportée
1219719 MAGHRANE Nora Amphi Cadi Ayyad 26
1209031 MAGNA Elmahdi Amphi Cadi Ayyad 28
1219939 MAHD Merieme Amphi Cadi Ayyad 30
1204357 MAHIR Youssef Amphi Cadi Ayyad 32 Reportée
1103864 MAJDAR Oufaa Amphi Cadi Ayyad 34 Reportée
1204428 MAKHLOUF Khadija Amphi Cadi Ayyad 36
1220046 MAKROUCH Khadija Amphi Cadi Ayyad 38
1209540 MALDOUFI Loubna Amphi Cadi Ayyad 40
1111265 MALIH Jaouad Amphi Cadi Ayyad 42 Reportée
1219618 MALLOUKI ABDESSAMAD Amphi Cadi Ayyad 44
1202389 MALLOUKI Mustapha Amphi Cadi Ayyad 46
1208326 MAMAS Imane Amphi Cadi Ayyad 48 Reportée
1106700 MAMDOUH Radouane Amphi Cadi Ayyad 50
1208135 MAMMAS Lahsen Amphi Cadi Ayyad 52
1219742 MANHIR Hanane Amphi Cadi Ayyad 54
1219593 MANSOUM Hanane Amphi Cadi Ayyad 56
1220902 MANSOURI SALIMA Amphi Cadi Ayyad 58
1204997 MANSSOURI Najoua Amphi Cadi Ayyad 60 Reportée
1205854 MAQBOUL Zineb Amphi Cadi Ayyad 62
1103871 MAQIOU Youness Amphi Cadi Ayyad 64 Reportée
1203719 MARGOUL Redouane Amphi Cadi Ayyad 66
1220952 MARGRET MALUAL DENG Amphi Cadi Ayyad 68
1201227 MARIAM Rguibi Amphi Cadi Ayyad 70 Reportée
1205244 MARIAM Sabil Amphi Cadi Ayyad 72
1203370 MARTAH Hamza Amphi Cadi Ayyad 74 Reportée
1205155 MARZAGUI Souad Amphi Cadi Ayyad 76 Reportée
1202619 MARZAK Taha Amphi Cadi Ayyad 78
1203052 MASLIK Anouar Amphi Cadi Ayyad 801203052 MASLIK Anouar Amphi Cadi Ayyad 80
1103709 MASSASSE Abderrazak Amphi Cadi Ayyad 82 Reportée
Matière1: Introduction au Droit positif
Matière2: Introduction au Droit musulman 55/68
Filière: Droit arabe
Faculté des sciences juridiques
et Economiques. Marrakech
N° Apogée Nom Prénom Local d'examen N° d'examen Matière1 Matière2
Université Cadi Ayyad
PV de surveillance: Session de rattrapage
Module: Introduction au Droit privé
2012-2013
Semestre1 (nouveau système)
1201400 MASTOUR Abdelhadi Amphi Cadi Ayyad 84 Reportée
1201710 MAYARA Ahmadnah Amphi Cadi Ayyad 86
1203979 MAYARA Cheikh Amphi Cadi Ayyad 88
1209594 MAYATI LEILA Amphi Cadi Ayyad 90
1204893 MAYATI Nezha Amphi Cadi Ayyad 92
1219723 MAZNAUI Hicham Amphi Cadi Ayyad 94
1219769 MAZOUZ KHADIJA Amphi Cadi Ayyad 96 Reportée
1203985 M'BARK Oubourhail Amphi Cadi Ayyad 98 Reportée
1210676 MEBROUK Ouissal Amphi Cadi Ayyad 100
1219583 MEFTAH Lahoucine Amphi Cadi Ayyad 102
1111004 MEFTAH-ELKHAIR Abdelilah Amphi Cadi Ayyad 104 Reportée
1208979 MEGRINI YOUSSEF Amphi Cadi Ayyad 106
1219785 MEJAHID Hamid Amphi Cadi Ayyad 108
1111045 MEJD Mohammed Amphi Cadi Ayyad 110 Reportée
1219559 MEJDOUBI Hala Amphi Cadi Ayyad 112
1205178 MEJOUAR Safa Amphi Cadi Ayyad 114 Reportée
1205160 MEKRAMI MOHAMMED Amphi Cadi Ayyad 116
1205724 MENTAGUI Chaimaa Amphi Cadi Ayyad 118
1216755 MERZAQ Soukaina Amphi Cadi Ayyad 120
1204617 MERZOUG Mounia Amphi Cadi Ayyad 122
1207845 MESKOUR Rajaa Amphi Cadi Ayyad 124
1204905 MESNAOUI Naima Amphi Cadi Ayyad 126 Reportée
1203600 MGHOUNIA Youssef Amphi Cadi Ayyad 128 Reportée
1219548 MGHYRA Jamila Amphi Cadi Ayyad 130
1219433 MIFTAH Jaouad Amphi Cadi Ayyad 132
1211315 MIFTAH EL KHEIR Fouad Amphi Cadi Ayyad 134 Reportée
1102815 MIHFAD Soukaina Amphi Cadi Ayyad 136 Reportée
1202392 MILLOUL Dounya Amphi Cadi Ayyad 138
1202559 MIMI Mohamed Amphi Cadi Ayyad 140
1110918 MIMOUNE Nadia Amphi Cadi Ayyad 142 Reportée
1201266 MITAR MONA Amphi Cadi Ayyad 144
1102750 M'JAHED Jaouad Amphi Cadi Ayyad 146 Reportée
1219827 MOHAMED Oamer Amphi Cadi Ayyad 148 Reportée
1210478 MOHSSINE NOURA Amphi Cadi Ayyad 150
1204141 MOKHLIS Ahmed Amphi Cadi Ayyad 152
1203838 MOKTABIS Said Amphi Cadi Ayyad 154 Reportée
1204589 MONTASSIR Ahmed Amphi Cadi Ayyad 156
1209025 MONTASSIR Ahmed Amphi Cadi Ayyad 158
1202872 MOSLIH Dounia Amphi Cadi Ayyad 160
1204782 MOSSAOUI Hanan Amphi Cadi Ayyad 1621204782 MOSSAOUI Hanan Amphi Cadi Ayyad 162
1109883 MOTAHHIR Hind Amphi Cadi Ayyad 164 Reportée
Matière1: Introduction au Droit positif
Matière2: Introduction au Droit musulman 56/68
Filière: Droit arabe
Faculté des sciences juridiques
et Economiques. Marrakech
N° Apogée Nom Prénom Local d'examen N° d'examen Matière1 Matière2
Université Cadi Ayyad
PV de surveillance: Session de rattrapage
Module: Introduction au Droit privé
2012-2013
Semestre1 (nouveau système)
1206358 MOTALIB Redouane Amphi Cadi Ayyad 166 Reportée
1207741 MOUAKITI Mebarek Amphi Cadi Ayyad 168
1004538 MOUALIMI NOZHA Amphi Cadi Ayyad 170 Reportée
1201337 MOUBTASSIM ABDELLAH Amphi Cadi Ayyad 172
1101131 MOUCHFIQ Mohamed Amphi Cadi Ayyad 174 Reportée
1203188 MOUDDEN Youness Amphi Cadi Ayyad 176
1106204 MOUFTAH Moulika Amphi Cadi Ayyad 178 Reportée
1219363 MOUFTAKHIR Ayoub Amphi Cadi Ayyad 180
1201383 MOUGHFIR Khadija Amphi Cadi Ayyad 182
1219395 MOUHTACH YOUNES Amphi Cadi Ayyad 184
1202841 MOUJAN Wasim Amphi Cadi Ayyad 186
1210783 MOUKZINE Ayoub Amphi Cadi Ayyad 188
1203129 MOULAY ETALEB Fatima Ezzahra Amphi Cadi Ayyad 190
1210927 MOUMEN Fatima Amphi Cadi Ayyad 192
1202662 MOUNJI Tarik Amphi Cadi Ayyad 194 Reportée
1202225 MOUNTASSER Mohamed Amphi Cadi Ayyad 196
1203856 MOUNTIR Mohammed Amphi Cadi Ayyad 198
1217519 MOUNYR ABDELALI Amphi Cadi Ayyad 200
Matière1: Introduction au Droit positif
Matière2: Introduction au Droit musulman 57/68
Filière: Droit arabe
Faculté des sciences juridiques
et Economiques. Marrakech
N° Apogée Nom Prénom Local d'examen N° d'examen Matière1 Matière2
Université Cadi Ayyad
PV de surveillance: Session de rattrapage
Module: Introduction au Droit privé
2012-2013
Semestre1 (nouveau système)
1202282 MOURABIT Abdelhaq Amphi Abou El Abbass Essebti 202 Reportée
1203176 MOURABIT Abdelmoula Amphi Abou El Abbass Essebti 204
1202327 MOURABIT KHALIDE Amphi Abou El Abbass Essebti 206
1202642 MOURHRI Mariam Amphi Abou El Abbass Essebti 208
1000455 MOURIH CHAIMA Amphi Abou El Abbass Essebti 210 Reportée
1107163 MOUSSAYIH Rabab Amphi Abou El Abbass Essebti 212 Reportée
1210300 MOUSTAID Hajar Amphi Abou El Abbass Essebti 214 Reportée
1201729 MOUSTAID Soufiane Amphi Abou El Abbass Essebti 216 Reportée
1201123 MOUSTALIH Mustapha Amphi Abou El Abbass Essebti 218
1219828 MOUTIA Fatima Ezzahra Amphi Abou El Abbass Essebti 220
1219427 MOUTTAKI Mohamed-amine Amphi Abou El Abbass Essebti 222
1202033 MOUZOUNE Imad Amphi Abou El Abbass Essebti 224
1202976 NAANAA MAROUANE Amphi Abou El Abbass Essebti 226
1203769 NACIRI ANASS Amphi Abou El Abbass Essebti 228 Reportée
1205844 NACIRI Youssef Amphi Abou El Abbass Essebti 230
1109591 NADIM Souad Amphi Abou El Abbass Essebti 232 Reportée
1201379 NADIR Majda Amphi Abou El Abbass Essebti 234 Reportée
1003050 NADIRI HASSAN Amphi Abou El Abbass Essebti 236 Reportée
1101208 NAHI Khadija Amphi Abou El Abbass Essebti 238 Reportée
1205564 NAHKAMI ISMAIL Amphi Abou El Abbass Essebti 240
1219816 NAIM Abdelali Amphi Abou El Abbass Essebti 242
1203221 NAIMI Azzeddine Amphi Abou El Abbass Essebti 244
1115600 NAIT MALEK Laila Amphi Abou El Abbass Essebti 246
1204653 NAJAY El Mustapha Amphi Abou El Abbass Essebti 248
1102002 NAJAY Youssef Amphi Abou El Abbass Essebti 250 Reportée
1205182 NAJI Brahim Amphi Abou El Abbass Essebti 252 Reportée
1203875 NAJI Lahcen Amphi Abou El Abbass Essebti 254 Reportée
1113686 NAJI RACHIDA Amphi Abou El Abbass Essebti 256
1102177 NAJI Younes Amphi Abou El Abbass Essebti 258 Reportée
1204990 NAJID Nabil Amphi Abou El Abbass Essebti 260
1204778 NAMI Said Amphi Abou El Abbass Essebti 262 Reportée
1205069 NAOUI Khalid Amphi Abou El Abbass Essebti 264
1202727 NASOUH Fatima Zahra Amphi Abou El Abbass Essebti 266 Reportée
1204267 NASSAH Fatima Ezzahra Amphi Abou El Abbass Essebti 268
1201744 NASSIF Jamila Amphi Abou El Abbass Essebti 270
1209312 NASSIRI Mohamed Amphi Abou El Abbass Essebti 272
1220103 NATOUR Mohamed Amphi Abou El Abbass Essebti 274
1219450 NAZHI SOUKAINA Amphi Abou El Abbass Essebti 276 Reportée
1201599 NAZIH El Ghalia Amphi Abou El Abbass Essebti 278
1219980 NAZIH HASNA Amphi Abou El Abbass Essebti 2801219980 NAZIH HASNA Amphi Abou El Abbass Essebti 280
1108578 N'CILA Khadija Amphi Abou El Abbass Essebti 282 Reportée
Matière1: Introduction au Droit positif
Matière2: Introduction au Droit musulman 58/68
Filière: Droit arabe
Faculté des sciences juridiques
et Economiques. Marrakech
N° Apogée Nom Prénom Local d'examen N° d'examen Matière1 Matière2
Université Cadi Ayyad
PV de surveillance: Session de rattrapage
Module: Introduction au Droit privé
2012-2013
Semestre1 (nouveau système)
1105947 NEBBAG Hicham Amphi Abou El Abbass Essebti 284
1204053 NESSI Laila Amphi Abou El Abbass Essebti 286 Reportée
1004061 NHAL YOUSSEF Amphi Abou El Abbass Essebti 288 Reportée
1219818 NIAGUI Saadia Amphi Abou El Abbass Essebti 290
1217414 NID BALLA NADIA Amphi Abou El Abbass Essebti 292
1205603 N'MILI Yassine Amphi Abou El Abbass Essebti 294
1208862 N'MIRICH Youssef Amphi Abou El Abbass Essebti 296
1110634 NODARI MOHAMMED Amphi Abou El Abbass Essebti 298
1105733 NOUAMANI Yousra Amphi Abou El Abbass Essebti 300 Reportée
1201735 NOUBOUGH Youness Amphi Abou El Abbass Essebti 302
1208806 NOUHI Younes Amphi Abou El Abbass Essebti 304
1209157 NOUISSI Yassine Amphi Abou El Abbass Essebti 306 Reportée
1202409 NOUKRA Rajae Amphi Abou El Abbass Essebti 308
1114458 NOUMRI Brahim Amphi Abou El Abbass Essebti 310
1202556 NUMAN Nermine Amphi Abou El Abbass Essebti 312 Reportée
1201782 OBBAD Abderrahim Amphi Abou El Abbass Essebti 314
1219817 OBIBA Abdel-ilah Amphi Abou El Abbass Essebti 316
1204154 OIKHMAJJA Abdelmonim Amphi Abou El Abbass Essebti 318 Reportée
1201036 OIOUJA Fatima Amphi Abou El Abbass Essebti 320
1110559 OKAB Ayoub Amphi Abou El Abbass Essebti 322 Reportée
1204749 OKDA Mohammed Amphi Abou El Abbass Essebti 324 Reportée
1219571 OMAIRY Jaouad Amphi Abou El Abbass Essebti 326 Reportée
1202998 OMARI Soufiane Amphi Abou El Abbass Essebti 328 Reportée
1205206 OMRANI Hamza Amphi Abou El Abbass Essebti 330
1109517 OUACHOU Mohamed Amphi Abou El Abbass Essebti 332
1202366 OUACHOU Mohamed Amphi Abou El Abbass Essebti 334
1203953 OUACHT Saber Amphi Abou El Abbass Essebti 336
1104937 OUADATE Salaheddine Amphi Abou El Abbass Essebti 338
1206292 OUAGAG Khadija Amphi Abou El Abbass Essebti 340 Reportée
1202211 OUAGHI Samir Amphi Abou El Abbass Essebti 342
1218892 OUAGUIDA Nadia Amphi Abou El Abbass Essebti 344 Reportée
1108129 OUAHHABI Hamza Amphi Abou El Abbass Essebti 346 Reportée
1109627 OUAHI Ouidad Amphi Abou El Abbass Essebti 348 Reportée
1219286 OUAKRIM Mohamed Amphi Abou El Abbass Essebti 350
1209296 OUANZIGUI ABDELHAMID Amphi Abou El Abbass Essebti 352 Reportée
1107547 OUARBIA SAMIRA Amphi Abou El Abbass Essebti 354 Reportée
1219620 OUARDI Hasnaa Amphi Abou El Abbass Essebti 356
1107161 OUAROUARID Yassine Amphi Abou El Abbass Essebti 358 Reportée
1219694 OUARROUN Hamid Amphi Abou El Abbass Essebti 360 Reportée
1005503 OUARTAS MOHCINE Amphi Abou El Abbass Essebti 362 Reportée1005503 OUARTAS MOHCINE Amphi Abou El Abbass Essebti 362 Reportée
1203981 OUASAID Elghazi Amphi Abou El Abbass Essebti 364
Matière1: Introduction au Droit positif
Matière2: Introduction au Droit musulman 59/68
Filière: Droit arabe
Faculté des sciences juridiques
et Economiques. Marrakech
N° Apogée Nom Prénom Local d'examen N° d'examen Matière1 Matière2
Université Cadi Ayyad
PV de surveillance: Session de rattrapage
Module: Introduction au Droit privé
2012-2013
Semestre1 (nouveau système)
1004578 OUASKAR NADYA Amphi Abou El Abbass Essebti 366 Reportée
1202061 OUASSAL Bahija Amphi Abou El Abbass Essebti 368
1100708 OUASSARH Amine Amphi Abou El Abbass Essebti 370 Reportée
1219704 OUASSIFA HASNAE Amphi Abou El Abbass Essebti 372 Reportée
1202217 OUATTA Hamza Amphi Abou El Abbass Essebti 374 Reportée
1210528 OUBAHA Abdelfatah Amphi Abou El Abbass Essebti 376 Reportée
1207641 OUBALAID Saida Amphi Abou El Abbass Essebti 378
1209428 OUBALHAJ Sana Amphi Abou El Abbass Essebti 380 Reportée
1205243 OUBALLA Mounir Amphi Abou El Abbass Essebti 382
1104613 OUBELLA Ayoub Amphi Abou El Abbass Essebti 384 Reportée
1208542 OUBERKNI Khalid Amphi Abou El Abbass Essebti 386 Reportée
1206198 OUBIDA Imane Amphi Abou El Abbass Essebti 388 Reportée
1203124 OUBLA Mustapha Amphi Abou El Abbass Essebti 390 Reportée
Matière1: Introduction au Droit positif
Matière2: Introduction au Droit musulman 60/68
Filière: Droit arabe
Faculté des sciences juridiques
et Economiques. Marrakech
N° Apogée Nom Prénom Local d'examen N° d'examen Matière1 Matière2
Université Cadi Ayyad
PV de surveillance: Session de rattrapage
Module: Introduction au Droit privé
2012-2013
Semestre1 (nouveau système)
1203196 OUBLAL Mohamed Amphi Imam Malik 582
1205247 OUBNINTE Mustapha Amphi Imam Malik 584
1205021 OUBOUHSS Ilham Amphi Imam Malik 586
1210656 OUBOUHSS Ilhame Amphi Imam Malik 588
1202275 OUBRAM Jaouad Amphi Imam Malik 590 Reportée
1103851 OUCHEMHOU MOHAMED Amphi Imam Malik 592
1113470 OUDAOUD ABDELHADI Amphi Imam Malik 594 Reportée
1205848 OUDEMNATE Malika Amphi Imam Malik 596
1205248 OUELD AADOU YOUSSEF Amphi Imam Malik 598
1210877 OUELD BOUDLAL Bouchra Amphi Imam Malik 600 Reportée
1104808 OUGHMI Marouane Amphi Imam Malik 602 Reportée
1201063 OUHADDOU Hanane Amphi Imam Malik 604 Reportée
1207733 OUHSAIN Soumia Amphi Imam Malik 606
1201056 OUIZRAG Charifa Amphi Imam Malik 608
1204907 OUKEMMOU SOUKAINA Amphi Imam Malik 610 Reportée
1210726 OUKHOUYA LAHSEN Amphi Imam Malik 612 Reportée
1205231 OUKHOUYA Youssef Amphi Imam Malik 614
1203592 OULAD SALH Mohamed Amphi Imam Malik 616
1220929 OULADBADDA ZAKARIA Amphi Imam Malik 618 Reportée
1203549 OULAIKA Issmail Amphi Imam Malik 620
1218840 OULASSRI Aicha Amphi Imam Malik 622
1006315 OULD ATTOU DOUNIA Amphi Imam Malik 624 Reportée
1110915 OULED BABA Charaf Eddine Amphi Imam Malik 626 Reportée
1205805 OULFARSI Youssef Amphi Imam Malik 628
1106776 OULHANOU Latifa Amphi Imam Malik 630 Reportée
1107982 OULIDI Es-said Amphi Imam Malik 632
1221004 OULMADANI SALIMA Amphi Imam Malik 634 Reportée
1204909 OUMALOUL Ahmed Amphi Imam Malik 636
1114145 OUMAMA Karima Amphi Imam Malik 638
1201260 OUMASST Samira Amphi Imam Malik 640
1219569 OUMERIEM Rajaa Amphi Imam Malik 642 Reportée
1209227 OUMESSAOUD Mouhamed Amphi Imam Malik 644
1203868 OUMNIATABIB Abderrahman Amphi Imam Malik 646
1111605 OURAHOU Zahra Amphi Imam Malik 648
1106993 OURBAA Ahmed Amphi Imam Malik 650 Reportée
1202503 OURBIAA Mariam Amphi Imam Malik 652
1203628 OUSSAMA Aimad Amphi Imam Malik 654
1205814 OUSSIDI Ahmad Amphi Imam Malik 656 Reportée
1200995 OUTAGHZOUT Youness Amphi Imam Malik 658 Reportée
1114162 OUTALATE MOURAD Amphi Imam Malik 6601114162 OUTALATE MOURAD Amphi Imam Malik 660
1204472 OUTAMANT Mohamed Amphi Imam Malik 662
Matière1: Introduction au Droit positif
Matière2: Introduction au Droit musulman 61/68
Filière: Droit arabe
Faculté des sciences juridiques
et Economiques. Marrakech
N° Apogée Nom Prénom Local d'examen N° d'examen Matière1 Matière2
Université Cadi Ayyad
PV de surveillance: Session de rattrapage
Module: Introduction au Droit privé
2012-2013
Semestre1 (nouveau système)
1201332 OUTAZZARINE Youssef Amphi Imam Malik 664
1202431 OUTMAGHOUST Saida Amphi Imam Malik 666 Reportée
1220180 OUZANE Latifa Amphi Imam Malik 668 Reportée
1204921 OUZIDANE Said Amphi Imam Malik 670
1219404 OYAHYA ELHOSSINE Amphi Imam Malik 672
1205583 QABLI Abdelhadi Amphi Imam Malik 674
1108600 QUINCHANI Abdelillah Amphi Imam Malik 676 Reportée
1109909 QUITTI Youssef Amphi Imam Malik 678
1107728 RABAH M'birika Amphi Imam Malik 680
1107673 RABAH Youssef Amphi Imam Malik 682
1201617 RABBOUH Essaid Amphi Imam Malik 684
1101231 RABBOUH Mariem Amphi Imam Malik 686 Reportée
1201394 RABEH Hicham Amphi Imam Malik 688
1204939 RABICHI Kamal Amphi Imam Malik 690
1102399 RABIE Youssef Amphi Imam Malik 692 Reportée
1109112 RACHDAOUI Abdellah Amphi Imam Malik 694 Reportée
1204180 RACHID Ayada Amphi Imam Malik 696
1104379 RACHID Khadija Amphi Imam Malik 698 Reportée
1202332 RACHYDY Ali Amphi Imam Malik 700
1218799 RADAN HASSAN Amphi Imam Malik 702 Reportée
1203081 RAFAA Hamza Amphi Imam Malik 704
1209988 RAFI Amina Amphi Imam Malik 706 Reportée
1109583 RAFIA El Mehdi Amphi Imam Malik 708 Reportée
1205645 RAFII El Mostafa Amphi Imam Malik 710
1201598 RAFIK Malik Amphi Imam Malik 712
1206763 RAFIQ Rajaa Amphi Imam Malik 714
1219875 RAFIQ Sakina Amphi Imam Malik 716
1210669 RAHHOU Soukaina Amphi Imam Malik 718
1114544 RAHILI ABDALLAH Amphi Imam Malik 720 Reportée
1112615 RAHLANE Khadija Amphi Imam Malik 722
1210749 RAIA Kenza Amphi Imam Malik 724
1103224 RAJI Mohamed Amphi Imam Malik 726 Reportée
1219555 RAKANE El Houssine Amphi Imam Malik 728
1202844 RAKAS Rajae Amphi Imam Malik 730
1205094 RAMI El Mokhtar Amphi Imam Malik 732
1201016 RAMI Soufiane Amphi Imam Malik 734
1209509 RAOUI Amina Amphi Imam Malik 736
1103693 RAZGUI Abd Hay Amphi Imam Malik 738
1111013 RAZIK Abdelhalim Amphi Imam Malik 740 Reportée
1201140 RAZZOUQ Omar Amphi Imam Malik 7421201140 RAZZOUQ Omar Amphi Imam Malik 742
1205771 RBIB Hamid Amphi Imam Malik 744 Reportée
Matière1: Introduction au Droit positif
Matière2: Introduction au Droit musulman 62/68
Filière: Droit arabe
Faculté des sciences juridiques
et Economiques. Marrakech
N° Apogée Nom Prénom Local d'examen N° d'examen Matière1 Matière2
Université Cadi Ayyad
PV de surveillance: Session de rattrapage
Module: Introduction au Droit privé
2012-2013
Semestre1 (nouveau système)
1211254 R'BIBE Rabia Amphi Imam Malik 746
1203060 RGUIOUEG Chama Amphi Imam Malik 748
1219394 RHALIMI KHALID Amphi Imam Malik 750
1203959 RHALMI Mohcine Amphi Imam Malik 752
1107784 RHANNAM Achraf Amphi Imam Malik 754 Reportée
1203759 RHARIB Abdelillah Amphi Imam Malik 756
1219557 RHAZAL Amina Amphi Imam Malik 758 Reportée
1103782 RHAZZAIFOU Bouchra Amphi Imam Malik 760
1203219 RHENJA Mohamed Amphi Imam Malik 762 Reportée
1220418 RIAD Abdelghani Amphi Imam Malik 764
1108042 RIADI Hanane Amphi Imam Malik 766
1206818 RIAHI Soukaina Amphi Imam Malik 768
1210302 RIDA Ntiçar Amphi Imam Malik 770 Reportée
1219058 RIDOIN Mourad Amphi Imam Malik 772 Reportée
1208600 RIDOUANE Khalid Amphi Imam Malik 774
1103252 RIHANE Noaman Amphi Imam Malik 776 Reportée
1205006 RIYANI Abderrahim Amphi Imam Malik 778
1201766 RIZKI Mohamed Amphi Imam Malik 780
1201374 RJIJ Jaouad Amphi Imam Malik 782
1203290 RMITI Ghizlan Amphi Imam Malik 784 Reportée
1204953 ROUEBA Moussa Amphi Imam Malik 786
1201776 ROUHI Achrafe Amphi Imam Malik 788
1203109 ROUIBAA Isam Amphi Imam Malik 790
1203090 ROUIJAI Sanae Amphi Imam Malik 792
1203142 SAADANI Salah Eddine Amphi Imam Malik 794 Reportée
1201127 SAADEN Fatima Zahra Amphi Imam Malik 796
1205709 SAADI Fadoua Amphi Imam Malik 798
1202078 SAADOUNI YOUSSEF Amphi Imam Malik 800
1115567 SAAFADI Rabab Amphi Imam Malik 802 Reportée
1204265 SAB Yassine Amphi Imam Malik 804
1204249 SAB Younes Amphi Imam Malik 806
1102115 SABAI Jalal Amphi Imam Malik 808
1210290 SABAR Jamal Amphi Imam Malik 810
1202980 SABIR Amine Amphi Imam Malik 812
1207760 SABIR Mohammed Amphi Imam Malik 814 Reportée
1104117 SABIR Sami Amphi Imam Malik 816 Reportée
1203018 SABIR Youssef Amphi Imam Malik 818 Reportée
1215867 SABOUA Abdelmalik Amphi Imam Malik 820 Reportée
1205837 SABRAOUI Youssef Amphi Imam Malik 822
1210942 SABRI Hafida Amphi Imam Malik 824 Reportée1210942 SABRI Hafida Amphi Imam Malik 824 Reportée
1220023 SABRI Imane Amphi Imam Malik 826
Matière1: Introduction au Droit positif
Matière2: Introduction au Droit musulman 63/68
Filière: Droit arabe
Faculté des sciences juridiques
et Economiques. Marrakech
N° Apogée Nom Prénom Local d'examen N° d'examen Matière1 Matière2
Université Cadi Ayyad
PV de surveillance: Session de rattrapage
Module: Introduction au Droit privé
2012-2013
Semestre1 (nouveau système)
1004745 SABRI MOSTAFA Amphi Imam Malik 828 Reportée
1210985 SABT Younes Amphi Imam Malik 830 Reportée
1220942 SADDIKI KHADIJA Amphi Imam Malik 832
1203671 SADIK Abderrahim Amphi Imam Malik 834
1202446 SADIQ Mouna Amphi Imam Malik 836
1204954 SADIQ Youssef Amphi Imam Malik 838 Reportée
1210675 SAFADI Btissam Amphi Imam Malik 840 Reportée
1201030 SAFADI Najoua Amphi Imam Malik 842
1104278 SAFOUANE Nadia Amphi Imam Malik 844 Reportée
1109143 SAGOUM Meriem Amphi Imam Malik 846 Reportée
1110565 SAHRAOUI Hasna Amphi Imam Malik 848 Reportée
1205623 SAIDI Laghdaf Amphi Imam Malik 850
1204315 SAIH Jamila Amphi Imam Malik 852 Reportée
1202794 SAISSI HASSANI Omar Amphi Imam Malik 854
1220312 SAJID Hanane Amphi Imam Malik 856 Reportée
1201160 SAKOUM Khadija Amphi Imam Malik 858
1220291 SALAMI Mohamed Amphi Imam Malik 860
1205790 SALIHI Zakaria Amphi Imam Malik 862 Reportée
1200988 SALLAM Hassan Amphi Imam Malik 864
1107716 SALMAJI Khamissa Amphi Imam Malik 866 Reportée
1203987 SALMAN Mustapha Amphi Imam Malik 868 Reportée
1204570 SAMARI Raja Amphi Imam Malik 870 Reportée
1202193 SANBATI Radouane Amphi Imam Malik 872 Reportée
1203773 SANYAK Mohamed Amphi Imam Malik 874 Reportée
1012809 SAOUD MOSINE Amphi Imam Malik 876 Reportée
1107722 SARBIB Youssef Amphi Imam Malik 878 Reportée
1008212 SARFAOUI ISMAIL Amphi Imam Malik 880
Matière1: Introduction au Droit positif
Matière2: Introduction au Droit musulman 64/68
Filière: Droit arabe
Faculté des sciences juridiques
et Economiques. Marrakech
N° Apogée Nom Prénom Local d'examen N° d'examen Matière1 Matière2
Université Cadi Ayyad
PV de surveillance: Session de rattrapage
Module: Introduction au Droit privé
2012-2013
Semestre1 (nouveau système)
1219801 SARKOUH Soukaina salle 1 2272
1204897 SARNANE Asma salle 1 2274
1212254 SARSARI Charifa salle 1 2276 Reportée
1210401 SAT Mahjoub salle 1 2278
1202347 SAYA Imane salle 1 2280
1202882 SBAI ABASSI Aziz salle 1 2282
1106944 SEGHIR Othmane salle 1 2284
1100399 SELYAN Elyazid salle 1 2286 Reportée
1219563 SEMLALI Abdellatif salle 1 2288
1114167 SERBOUT Zahra salle 1 2290 Reportée
1208801 SERHANE Zakaria salle 1 2292 Reportée
1201294 SETTANI Mohamed Amine salle 1 2294
1105258 SGHIR Yassine salle 1 2296 Reportée
1202785 SID ZAINE Mohamed Ali salle 1 2298
1202067 SIDI Btissam salle 1 2300 Reportée
1201367 SIMAMRI Hasna salle 1 2302
1110502 SIRROU Abdelwahed salle 1 2304
1211251 SLIMANI Ahmed Amine salle 1 2306 Reportée
1204206 SLITINE JINANE salle 1 2308
1201353 SMAITI Mohamed Arafa salle 1 2310 Reportée
1202441 SMAYTI Fatima Ezzahra salle 1 2312 Reportée
1103827 SNABEL Nouhila salle 1 2314
1210782 SNAIBA Khadija salle 1 2316 Reportée
1208190 SNINE DHAB Abdelhakim salle 1 2318
1203164 SOLAHMANI YOUNES salle 1 2320 Reportée
1202979 SOROUR Abderrahim salle 1 2322 Reportée
1109857 SOUABNI Amina salle 1 2324 Reportée
1204608 SOUALEM Abdelhadi salle 1 2326
1104202 SOUDANI Abdelfattah salle 1 2328
1201747 SOUDI Ayoub salle 1 2330
1204052 SOUFIANI Mohamed salle 1 2332
1202434 SOUHAYLE Mina salle 1 2334
1201090 SOUKTI Khadija salle 1 2336
1202183 SOUKTI Zainab salle 1 2338
1100753 SOUSSI Loubna salle 1 2340 Reportée
Matière1: Introduction au Droit positif
Matière2: Introduction au Droit musulman 65/68
Filière: Droit arabe
Faculté des sciences juridiques
et Economiques. Marrakech
N° Apogée Nom Prénom Local d'examen N° d'examen Matière1 Matière2
Université Cadi Ayyad
PV de surveillance: Session de rattrapage
Module: Introduction au Droit privé
2012-2013
Semestre1 (nouveau système)
1210484 SPAISSI Fatiha salle 2 2342 Reportée
1207836 SRAIDI Saida salle 2 2344
1203610 TABAANDOUST Abdellah salle 2 2346 Reportée
1210811 TABARKANTE Asmaa salle 2 2348 Reportée
1111298 TABIIY Mohamed Amine salle 2 2350 Reportée
1106971 TABOUCHTATE Amina salle 2 2352 Reportée
1201169 TACHARET Brahim salle 2 2354
1204025 TADILY Anas salle 2 2356 Reportée
1205884 TAGHZOUT Mohamed salle 2 2358 Reportée
1114319 TAGUENITI Soumia salle 2 2360 Reportée
1219619 TAHDAOUI Halima salle 2 2362
1108253 TAHIN Kamal salle 2 2364 Reportée
1101142 TAHIRI Abderrahim salle 2 2366
1219811 TAHIRI Nadia salle 2 2368 Reportée
1216587 TAHIRY IMAD salle 2 2370 Reportée
1004293 TAHOUR HAMID salle 2 2372 Reportée
1203338 TAHOUR RACHID salle 2 2374
1205081 TAI Fatima Zahra salle 2 2376
1114261 TAIK Fatima salle 2 2378 Reportée
1219362 TAKNY Mariem salle 2 2380 Reportée
1107038 TAKSESSA Aminatou salle 2 2382
1100264 TALAOUI Mohamed salle 2 2384 Reportée
1101006 TALAT Abde Llatif salle 2 2386 Reportée
1114175 TALBI Adil salle 2 2388 Reportée
1203938 TALHI Imad salle 2 2390
1211297 TALIBI Yassine salle 2 2392
1100902 TALILI Omar salle 2 2394 Reportée
1219815 TAMANE NADIA salle 2 2396
1203095 TANGI Mohamed salle 2 2398 Reportée
1110060 TANJI Lalla Mattou salle 2 2400 Reportée
1106742 TAOUBANE Fatima Zahra salle 2 2402 Reportée
1201606 TAOUMI Bachir salle 2 2404
1203783 TAOUSSI KAMAL salle 2 2406
1103834 TAOUSSI SABAH salle 2 2408
1203904 TAOUSSI Siham salle 2 2410
Matière1: Introduction au Droit positif
Matière2: Introduction au Droit musulman 66/68
Filière: Droit arabe
Faculté des sciences juridiques
et Economiques. Marrakech
N° Apogée Nom Prénom Local d'examen N° d'examen Matière1 Matière2
Université Cadi Ayyad
PV de surveillance: Session de rattrapage
Module: Introduction au Droit privé
2012-2013
Semestre1 (nouveau système)
1220288 TAQI Soukaina salle 3 2412 Reportée
1205845 TARBAOUI Aziza salle 3 2414 Reportée
1220239 TARIB AZIZA salle 3 2416 Reportée
6006700 TARIQ SAADI salle 3 2418 Reportée
1108505 TAZROURT Hanan salle 3 2420 Reportée
1219803 TELILY Ahmed salle 3 2422 Reportée
1219757 TETBAT Wahiba salle 3 2424
1219479 TFIL HAMZA salle 3 2426
1201627 THABIT Soumia salle 3 2428
1110242 THOUKI Souad salle 3 2430
1219657 TIDILI Soukaina salle 3 2432
1205832 TIDLI Ayoub salle 3 2434
1219465 TIFINZI Fatiha salle 3 2436
1105907 TIGHAZI Abdlkarim salle 3 2438
1211311 TIGHAZOUI Walid salle 3 2440 Reportée
1104049 TIHAT Rachid salle 3 2442 Reportée
1202167 TIR Fatima salle 3 2444
1108433 TIRAOUI MARIEM salle 3 2446 Reportée
1202567 TIZIRT Souaad salle 3 2448
1210273 TMADLI Meriem salle 3 2450
1210501 TORRES Zoubida salle 3 2452
1204380 TOUBANI EL ALAMI salle 3 2454
1202029 TOUDAMRINI Elalami salle 3 2456
1201720 TOUIZI Khalil salle 3 2458
1202153 TOUKBANI Salima salle 3 2460
1201698 TOURAB Abdelkader salle 3 2462 Reportée
1202464 TOURAB Asmae salle 3 2464
1202242 TRKMANI Allal salle 3 2466
1204509 WANAIM Achraf salle 3 2468
1202735 WARDI Youssef salle 3 2470 Reportée
1210683 WISSAL Sellami salle 3 2472
1202354 YAFIT Jaouad salle 3 2474 Reportée
1202237 YAHYAOUI Ismail salle 3 2476
1209823 YAKINI Loubna salle 3 2478 Reportée
1204690 YANDAHI Anas salle 3 2480
Matière1: Introduction au Droit positif
Matière2: Introduction au Droit musulman 67/68
Filière: Droit arabe
Faculté des sciences juridiques
et Economiques. Marrakech
N° Apogée Nom Prénom Local d'examen N° d'examen Matière1 Matière2
Université Cadi Ayyad
PV de surveillance: Session de rattrapage
Module: Introduction au Droit privé
2012-2013
Semestre1 (nouveau système)
1201922 YOUMNI Hasna salle 4 2482
1205733 YOUSSRI Elhassania salle 4 2484
1204793 ZAAMI Naoual salle 4 2486
1204835 ZAFFIK JAMAL-EDDINE salle 4 2488
1210690 ZAGHDANI Saida salle 4 2490
1101989 ZAHIDI Hamza salle 4 2492 Reportée
1219421 ZAHIR Majda salle 4 2494
1201872 ZAHLANE Ibtissam salle 4 2496
1210311 ZAKI HANANE salle 4 2498 Reportée
1108688 ZALMAT Oum Kacem salle 4 2500 Reportée
1114298 ZAOUIA Amine salle 4 2502
1202035 ZAOUINI Abdelmounaim salle 4 2504
1109610 ZARIFI Ez-zahra salle 4 2506 Reportée
1219808 ZAROUALI Naoil salle 4 2508 Reportée
1201308 ZARROUK JIHADE salle 4 2510 Reportée
1204751 ZARTIT Fatima Ezzahra salle 4 2512 Reportée
1203682 ZAYOUD Mohamed salle 4 2514
1202416 ZAYYAD Olaya salle 4 2516
1004762 ZBIDA ISMAIL salle 4 2518 Reportée
1209490 ZBIRI Adil salle 4 2520 Reportée
1106130 ZEBDI Abdelmonaine salle 4 2522
1201723 ZEGLALI Adnane salle 4 2524 Reportée
1004505 ZEGRAOUI HASSAN salle 4 2526 Reportée
1201962 ZERAR Mohamed salle 4 2528
1109989 ZERDAOUI Touria salle 4 2530 Reportée
1107091 ZEROUAL Nabil salle 4 2532 Reportée
1208480 ZEROUALI Mansour salle 4 2534
1201333 ZEROUALI Mohammed salle 4 2536 Reportée
1110749 ZHIRI El Bachir salle 4 2538 Reportée
1204845 ZIANI Hasan salle 4 2540
1220125 ZIATE Mariem salle 4 2542
1220284 ZIDAN Malika salle 4 2544 Reportée
1219002 ZIKRAOUI Hafid salle 4 2546
1006121 ZIRHAM MOHAMED salle 4 2548 Reportée
1205582 ZITOUNI FATIMA EZZAHRA salle 4 2550
1203765 ZITOUNI Wadia salle 4 2552
1204979 ZOUGGAR Naoual salle 4 2554 Reportée
1204285 ZOUHAIR Youssef salle 4 2556
1105200 ZOUHRI Jamila salle 4 2558 Reportée
1202666 ZOUINE Abdelouahed salle 4 25601202666 ZOUINE Abdelouahed salle 4 2560
1201182 ZRIR Hussein salle 4 2562
Matière1: Introduction au Droit positif
Matière2: Introduction au Droit musulman 68/68
Filière: Droit arabe
Faculté des sciences juridiques
et Economiques. Marrakech
N° Apogée Nom Prénom Local d'examen N° d'examen Matière1 Matière2
1114163 AABAYBOU Mohamed Amphi Allal El Fassi 392 Reportée
1110230 AACHIR Yassine Amphi Allal El Fassi 394 Reportée
1219406 AAGUIR NAJIB Amphi Allal El Fassi 396 Reportée
1205092 AAMARA El Mahjoub Amphi Allal El Fassi 398 Reportée
1202987 AARIB Hamid Amphi Allal El Fassi 400 Reportée
1220041 ABARHEGAN Fatimazahra Amphi Allal El Fassi 402
1202937 ABATOURAB Ahmed Amphi Allal El Fassi 404 Reportée
1203323 ABBOUBI Otmane Amphi Allal El Fassi 406 Reportée
1209939 ABDELHAQ Houssam Amphi Allal El Fassi 408 Reportée
1109347 ABDELLAOUI Ibtissam Amphi Allal El Fassi 410 Reportée
1203698 ABDENNASIBE Abdellah Amphi Allal El Fassi 412 Reportée
1202822 ABILILE Abdellah Amphi Allal El Fassi 414 Reportée
1206386 ABIRI Amine Amphi Allal El Fassi 416 Reportée
1205153 ABOU EL MAHASSINE Anass Amphi Allal El Fassi 418 Reportée
1206649 ABOUAM Othmane Amphi Allal El Fassi 420
1203642 ABOUMAJD Mohamed Zouhair Amphi Allal El Fassi 422 Reportée
Université Cadi Ayyad
PV de surveillance: Session de rattrapage
2012-2013
Module: Introduction aux sciences économiques et de gestion
Semestre1 (nouveau système)
1203642 ABOUMAJD Mohamed Zouhair Amphi Allal El Fassi 422 Reportée
1210852 ABOURICHA Soukaina Amphi Allal El Fassi 424 Reportée
1219702 ABOU-SAFA Loubna Amphi Allal El Fassi 426 Reportée
1203008 ABOUSAID Abdelaziz Amphi Allal El Fassi 428 Reportée
1216722 ABZIKER Omar Amphi Allal El Fassi 430 Reportée
1205622 ACHAOUI Elmehdi Amphi Allal El Fassi 432 Reportée
1201035 ADALI Abdellatif Amphi Allal El Fassi 434 Reportée
1218894 ADDADE Chaimae Amphi Allal El Fassi 436
1210462 ADDOU Mariem Amphi Allal El Fassi 438 Reportée
1202972 ADEBBAGH Rabab Amphi Allal El Fassi 440 Reportée
1204250 ADERAI Abdessamad Amphi Allal El Fassi 442
1201658 ADIL Fatima Ezzahra Amphi Allal El Fassi 444 Reportée
1107731 ADLIMI Youness Amphi Allal El Fassi 446
1203267 AFIRI Hamid Amphi Allal El Fassi 448 Reportée
1201903 AFIRRAH Sara Amphi Allal El Fassi 450
1210296 AFKIR Soukaina Amphi Allal El Fassi 452
1202281 AFOUCHAL Ousama Amphi Allal El Fassi 454
1204763 AGDID Meryam Amphi Allal El Fassi 456
1201731 AGDOUZ Fatima Ezzahra Amphi Allal El Fassi 458
1205863 AGHLAMENHOUM Fatima-ezahra Amphi Allal El Fassi 460 Reportée
1208959 AGHOUINITE Zouinouha Amphi Allal El Fassi 462
1205867 AGNAOU Abdelhak Amphi Allal El Fassi 464
1112793 AGNIER Rachid Amphi Allal El Fassi 466
1202833 AGOUZOUR Karima Amphi Allal El Fassi 468
1208976 AHAJGOUN Farah Amphi Allal El Fassi 470
1104257 AHARABOUS Ismail Amphi Allal El Fassi 472 Reportée
1205818 AHAYAR Lamia Amphi Allal El Fassi 474 Reportée
1210315 AHAYK NAAIMA Amphi Allal El Fassi 476 Reportée
Matière1: introduction aux sciences économiques
Matière2:Introduction aux sciences de gestion 1/54
Filière: Droit arabe
Faculté des sciences juridiques
et Economiques. Marrakech
N° Apogée Nom Prénom Local d'examen N° d'examen Matière1 Matière2
Université Cadi Ayyad
PV de surveillance: Session de rattrapage
2012-2013
Module: Introduction aux sciences économiques et de gestion
Semestre1 (nouveau système)
1219790 AHEMRI Saloua Amphi Allal El Fassi 478
1209008 AHL FILALI Maryem Amphi Allal El Fassi 480 Reportée
1203033 AHLADDA Essalaek Amphi Allal El Fassi 482 Reportée
1201750 AHLAM Zouhair Amphi Allal El Fassi 484
1202524 AHLIGUINOU Najia Amphi Allal El Fassi 486
1202309 AHOUAOUI Nourddine Amphi Allal El Fassi 488
1217572 AHRTALOU FATIMA Amphi Allal El Fassi 490
1108711 AIT ABDELLAH Yassine Amphi Allal El Fassi 492 Reportée
1205930 AIT ALI Yassine Amphi Allal El Fassi 494
1203762 AIT ALIOUAT AZEDINE Amphi Allal El Fassi 496 Reportée
1208613 AIT AMEUR Hasna Amphi Allal El Fassi 498
1220895 AIT AMGHAR ABDELLAH Amphi Allal El Fassi 500
1203882 AIT BAADDI Hamza Amphi Allal El Fassi 502 Reportée
1104376 AIT BAHA Mohamed Amphi Allal El Fassi 504 Reportée
1111163 AIT BAHA NAADI Ghizlane Amphi Allal El Fassi 506 Reportée
1203058 AIT BAKOUCH Oussama Amphi Allal El Fassi 508 Reportée1203058 AIT BAKOUCH Oussama Amphi Allal El Fassi 508 Reportée
1219721 AIT BATTASS Achraf Amphi Allal El Fassi 510
1204588 AIT BELLA Mouna Amphi Allal El Fassi 512 Reportée
1207488 AIT BELLA Said Amphi Allal El Fassi 514 Reportée
1216769 AIT BEN ABBOU Hassan Amphi Allal El Fassi 516 Reportée
1211003 AIT BEN AZOUZ Younes Amphi Allal El Fassi 518 Reportée
1203123 AIT BIHI Karim Amphi Allal El Fassi 520 Reportée
1219848 AIT BOUBKER YOUSRA Amphi Allal El Fassi 522 Reportée
1204666 AIT BOUDIA Abdelmounaim Amphi Allal El Fassi 524
1209267 AIT BOURA Nabila Amphi Allal El Fassi 526
1208929 AIT BOURA Zineb Amphi Allal El Fassi 528
1210316 AIT BRAHIM Lamia Amphi Allal El Fassi 530
1111258 AIT BRAHIM Mohamed Amphi Allal El Fassi 532 Reportée
1201264 AIT BRAHIM Said Amphi Allal El Fassi 534 Reportée
1204092 AIT BRAIM Ouiam Amphi Allal El Fassi 536 Reportée
1001344 AIT CHAOU MOHAMED Amphi Allal El Fassi 538 Reportée
1203935 AIT CHHIBA Aissam Amphi Allal El Fassi 540 Reportée
1202127 AIT CHLAOUCHI Leila Amphi Allal El Fassi 542
1203976 AIT DAGHOUS Badr Amphi Allal El Fassi 544 Reportée
1114343 AIT EL HASSAN MERYEM Amphi Allal El Fassi 546 Reportée
1201236 AIT EL KADI Ibtissam Amphi Allal El Fassi 548 Reportée
1219955 AIT ELASRI NOUR EDDINE Amphi Allal El Fassi 550
1210684 AIT ELGHAZI Najib Amphi Allal El Fassi 552
1209037 AIT ELHAMRI Sofiane Amphi Allal El Fassi 554 Reportée
1220434 AIT ELJADIDA KHADIJA Amphi Allal El Fassi 556
1201252 AIT ELMAALLEM Tariq Amphi Allal El Fassi 558 Reportée
1203699 AIT HAMMOU Karim Amphi Allal El Fassi 560
1100267 AIT HAMMOU Mohamed Amphi Allal El Fassi 562 Reportée
Matière1: introduction aux sciences économiques
Matière2:Introduction aux sciences de gestion 2/54
Filière: Droit arabe
Faculté des sciences juridiques
et Economiques. Marrakech
N° Apogée Nom Prénom Local d'examen N° d'examen Matière1 Matière2
Université Cadi Ayyad
PV de surveillance: Session de rattrapage
2012-2013
Module: Introduction aux sciences économiques et de gestion
Semestre1 (nouveau système)
1201918 AIT IDAR Abdel Jalil Amphi Allal El Fassi 564 Reportée
1107534 AIT KHAYOUSSEF ABDELILAH Amphi Allal El Fassi 566 Reportée
1210422 AIT LAAMIM Jihad Amphi Allal El Fassi 568 Reportée
1210384 AIT LAHBIB Khadija Amphi Allal El Fassi 570
1208998 AIT LAMIM Ahmed Amphi Allal El Fassi 572
1205250 AIT MASAOUD Rachid Amphi Allal El Fassi 574
1006663 AIT MBAREK YOUSSEF Amphi Allal El Fassi 576 Reportée
1203113 AIT MENSSOUR Es Said Amphi Allal El Fassi 578 Reportée
1203988 AIT MOUDOUD Badre Amphi Allal El Fassi 580 Reportée
Matière1: introduction aux sciences économiques
Matière2:Introduction aux sciences de gestion 3/54
Filière: Droit arabe
Faculté des sciences juridiques
et Economiques. Marrakech
N° Apogée Nom Prénom Local d'examen N° d'examen Matière1 Matière2
Université Cadi Ayyad
PV de surveillance: Session de rattrapage
2012-2013
Module: Introduction aux sciences économiques et de gestion
Semestre1 (nouveau système)
1210630 AIT MOUSSA Yamna Amphi ibn Rochd 882 Reportée
1203179 AIT NACEUR Fatima Zahra Amphi Ibn Rochd 884 Reportée
1203923 AIT OUCHABOU Abdelmalek Amphi ibn Rochd 886 Reportée
1110458 AIT OUCHENTE Latifa Amphi Ibn Rochd 888 Reportée
1211000 AIT OUFELLA Abdelaziz Amphi ibn Rochd 890 Reportée
1108128 AIT OUISSI Nouhaila Amphi Ibn Rochd 892 Reportée
1203914 AIT OUIZZAN Driss Amphi ibn Rochd 894 Reportée
1203302 AIT OUZNAG Abdellah Amphi Ibn Rochd 896 Reportée
1208974 AIT RAISS Mohcine Amphi ibn Rochd 898
1211017 AIT SAID IMANE Amphi Ibn Rochd 900
1204610 AIT SAIDAT Rachid Amphi ibn Rochd 902 Reportée
1203241 AIT SALM Hajar Amphi Ibn Rochd 904
1205797 AIT SBIHA Nourredine Amphi ibn Rochd 906 Reportée
1207725 AIT TABLALT Hamid Amphi Ibn Rochd 908 Reportée
1202891 AIT TAGADIRT Mohamed Amphi ibn Rochd 910 Reportée
1202721 AIT TAHER Fatima Amphi Ibn Rochd 9121202721 AIT TAHER Fatima Amphi Ibn Rochd 912
1219708 AIT TALEB ABDESSAMAD Amphi ibn Rochd 914 Reportée
1204484 AIT TALEB Dounia Amphi Ibn Rochd 916 Reportée
1205156 AIT TALEB Mustapha Amphi ibn Rochd 918
1202235 AIT THAMI HICHAM Amphi Ibn Rochd 920 Reportée
1103175 AIT TIRITE Abdeslam Amphi ibn Rochd 922 Reportée
1006108 AITBENHDA MARIEM Amphi Ibn Rochd 924 Reportée
1210594 AITBOUHOU Ahlam Amphi ibn Rochd 926
1216737 AITELQADI Yassine Amphi Ibn Rochd 928 Reportée
1219882 AJALID Said Amphi ibn Rochd 930 Reportée
1219471 AJNA AOMAR Amphi Ibn Rochd 932
1201671 AKABLI Majda Amphi ibn Rochd 934 Reportée
1210825 AKARKOUNE Loubna Amphi ibn Rochd 936 Reportée
1201349 AKDIM MOHAMED Amphi Ibn Rochd 938
1211293 AKESBI Mehdi Amphi ibn Rochd 940 Reportée
1205748 AKOURI Mounia Amphi Ibn Rochd 942
1219472 AKRAM Abderrahim Amphi ibn Rochd 944 Reportée
1204504 AL ALAMI Khadija Amphi Ibn Rochd 946 Reportée
1109624 AL ANSARI Hamza Amphi ibn Rochd 948 Reportée
1219880 AL MESKINE Mohsine Amphi Ibn Rochd 950 Reportée
1220306 ALAHYANE Abdeljalil Amphi ibn Rochd 952
1220110 ALFATIMI Imad Amphi Ibn Rochd 954
1202611 ALI BAIBA Lamina Amphi ibn Rochd 956 Reportée
1209954 ALIBADI Kouissa Amphi Ibn Rochd 958 Reportée
80000172 ALILA MILOUD Amphi ibn Rochd 960 Reportée
1101897 ALIOUA Mohamed Amphi Ibn Rochd 962 Reportée
1114365 ALIOUI Abdelghafour Amphi ibn Rochd 964 Reportée
1109644 ALLA Fatiha Amphi ibn Rochd 966 Reportée
Matière1: introduction aux sciences économiques
Matière2:Introduction aux sciences de gestion 4/54
Filière: Droit arabe
Faculté des sciences juridiques
et Economiques. Marrakech
N° Apogée Nom Prénom Local d'examen N° d'examen Matière1 Matière2
Université Cadi Ayyad
PV de surveillance: Session de rattrapage
2012-2013
Module: Introduction aux sciences économiques et de gestion
Semestre1 (nouveau système)
1202473 ALMOUSSOUNI Malika Amphi Ibn Rochd 968
1209075 ALOUATE Fatima Ez-zahra Amphi ibn Rochd 970 Reportée
1209226 AMACH El Khazraje Amphi Ibn Rochd 972 Reportée
1209286 AMANE Abderrahman Amphi ibn Rochd 974
1219412 AMANZOU AMINE Amphi Ibn Rochd 976
1219879 AMARIGH Fatima Amphi ibn Rochd 978 Reportée
1219065 AMDJAR Hafida Amphi Ibn Rochd 980 Reportée
1204103 AMEUR HAMZA Amphi ibn Rochd 982 Reportée
1211008 AMEUR HADAD Baibbat Amphi Ibn Rochd 984 Reportée
1202266 AMEZAOUROU Imane Amphi ibn Rochd 986 Reportée
1004564 AMGHAR IKRAM Amphi Ibn Rochd 988 Reportée
1204259 AMINE Ayoub Amphi ibn Rochd 990 Reportée
1220068 AMINE Hamza Amphi Ibn Rochd 992 Reportée
1011310 AMIR ABDELLATIF Amphi ibn Rochd 994 Reportée
1204414 AMJAHDI Issam Amphi ibn Rochd 996 Reportée
1209321 AMKOUR Kamal Amphi Ibn Rochd 998 Reportée1209321 AMKOUR Kamal Amphi Ibn Rochd 998 Reportée
1108522 AMMAR Bouchra Amphi ibn Rochd 1000 Reportée
1202796 AMOUDAYEN Khaoula Amphi Ibn Rochd 1002 Reportée
1201133 AMRO Abdlouhabe Amphi ibn Rochd 1004 Reportée
1201096 AMZIL Abdenacer Amphi Ibn Rochd 1006 Reportée
1115694 AMZIL Asmaa Amphi ibn Rochd 1008 Reportée
1201936 ANAYNIAA Rajae Amphi Ibn Rochd 1010
1202593 ANCHAD Aabla Amphi ibn Rochd 1012
1205783 ANGUAR LOUBNA Amphi Ibn Rochd 1014 Reportée
1202308 AOUINI NEZHA Amphi ibn Rochd 1016
1211304 AOUNZI Ismail Amphi Ibn Rochd 1018 Reportée
1203675 AOUSSAR Brahim Amphi ibn Rochd 1020
1203211 AQBLI Abdelwahd Amphi Ibn Rochd 1022
1104970 ARCHANE ABD ERRAZAK Amphi ibn Rochd 1024 Reportée
1203822 ARFAOUI Najib Amphi Ibn Rochd 1026 Reportée
1204076 ARHLIDA Abdelhakim Amphi ibn Rochd 1028 Reportée
1204453 ASSAD Leila Amphi Ibn Rochd 1030
1203961 ATIFI Zine Elaabidine Amphi ibn Rochd 1032 Reportée
1202938 ATTAR Mohamed Amphi Ibn Rochd 1034 Reportée
1204444 ATYQ Brahim Amphi ibn Rochd 1036 Reportée
1205103 AYACHE Mohamed Amphi Ibn Rochd 1038
1203358 AZALMAD Mohamed Amphi ibn Rochd 1040 Reportée
1209539 AZAOUI MOUNINA Amphi Ibn Rochd 1042 Reportée
1203345 AZEGGAGH Abd Errahmane Amphi ibn Rochd 1044 Reportée
1203106 AZEKKAR Salah Amphi Ibn Rochd 1046 Reportée
1211324 AZELMAD Malika Amphi ibn Rochd 1048 Reportée
1204593 AZIZ Ali Amphi Ibn Rochd 1050 Reportée
1201280 AZNAG FAICAL Amphi ibn Rochd 1052 Reportée
Matière1: introduction aux sciences économiques
Matière2:Introduction aux sciences de gestion 5/54
Filière: Droit arabe
Faculté des sciences juridiques
et Economiques. Marrakech
N° Apogée Nom Prénom Local d'examen N° d'examen Matière1 Matière2
Université Cadi Ayyad
PV de surveillance: Session de rattrapage
2012-2013
Module: Introduction aux sciences économiques et de gestion
Semestre1 (nouveau système)
1204632 AZNAG Kamal Amphi Ibn Rochd 1054 Reportée
1207514 AZNAG Mohamed Amphi ibn Rochd 1056
1220242 AZNAGUE Mohammed Amine Amphi Ibn Rochd 1058 Reportée
1110253 AZNAQ Abdelhai Amphi ibn Rochd 1060 Reportée
1220886 AZROUAL MERIEM Amphi Ibn Rochd 1062 Reportée
1205672 BAABBOU Dounia Amphi ibn Rochd 1064 Reportée
1004140 BAADDI RACHID Amphi Ibn Rochd 1066 Reportée
1210914 BAALI Rabha Amphi ibn Rochd 1068 Reportée
1203025 BAALI Samah Amphi ibn Rochd 1070 Reportée
1204238 BAALLAL Zakaria Amphi Ibn Rochd 1072 Reportée
1208817 BABIT Othmane Amphi ibn Rochd 1074 Reportée
1203063 BACH Mohamed Amphi Ibn Rochd 1076 Reportée
1107140 BADJI Badre Amphi ibn Rochd 1078 Reportée
1203816 BADREDDINE Laayati Amphi Ibn Rochd 1080 Reportée
1201071 BADYS Abdellatif Amphi ibn Rochd 1082 Reportée
1204587 BAHAJOUB Otman Amphi Ibn Rochd 1084 Reportée1204587 BAHAJOUB Otman Amphi Ibn Rochd 1084 Reportée
1204071 BAHAMMOU Abdellah Amphi ibn Rochd 1086 Reportée
1216344 BAHAMMOU Ayoub Amphi Ibn Rochd 1088 Reportée
1210450 BAHIL Mariem Amphi ibn Rochd 1090 Reportée
1202618 BAHJANI Abdelfattah Amphi Ibn Rochd 1092 Reportée
1102663 BAHOU Hayat Amphi ibn Rochd 1094
1006070 BAHZAZ YASSINE Amphi Ibn Rochd 1096 Reportée
1201124 BAIGA Elhassan Amphi ibn Rochd 1098 Reportée
1216335 BAIROUK Khadija Amphi ibn Rochd 1100 Reportée
Matière1: introduction aux sciences économiques
Matière2:Introduction aux sciences de gestion 6/54
Filière: Droit arabe
Faculté des sciences juridiques
et Economiques. Marrakech
N° Apogée Nom Prénom Local d'examen N° d'examen Matière1 Matière2
Université Cadi Ayyad
PV de surveillance: Session de rattrapage
2012-2013
Module: Introduction aux sciences économiques et de gestion
Semestre1 (nouveau système)
1201247 BAJOUDI Ayoub Amphi Mohamed El Fassi 1102 Reportée
1209131 BAKARDOUCH Abderrahim Amphi Mohamed El Fassi 1104 Reportée
1210492 BAKHACH Hicham Amphi Mohamed El Fassi 1106 Reportée
1209199 BAKHACHOU Yassine Amphi Mohamed El Fassi 1108
1201756 BAKHMAJ Abdessamad Amphi Mohamed El Fassi 1110
1217405 BAKHOUYA AIMAD Amphi Mohamed El Fassi 1112 Reportée
1204202 BAKZIZ KARIM Amphi Mohamed El Fassi 1114 Reportée
1203138 BALLA El Hassan Amphi Mohamed El Fassi 1116 Reportée
1109146 BANI Noureddine Amphi Mohamed El Fassi 1118 Reportée
1202388 BANI Somia Amphi Mohamed El Fassi 1120
1109571 BANTOUR Issam Amphi Mohamed El Fassi 1122 Reportée
1102201 BAQQA Mohamed Amphi Mohamed El Fassi 1124 Reportée
1201781 BARAZOUK Houda Amphi Mohamed El Fassi 1126
1209429 BARIKA-LLAH Amina Amphi Mohamed El Fassi 1128 Reportée
1209168 BARIKALLAH Zouina Amphi Mohamed El Fassi 1130 Reportée
1203712 BASIRI El Habib Amphi Mohamed El Fassi 1132 Reportée1203712 BASIRI El Habib Amphi Mohamed El Fassi 1132 Reportée
1203166 BASSIM Keltoum Amphi Mohamed El Fassi 1134 Reportée
1202673 BATTACH MERYEME Amphi Mohamed El Fassi 1136
1210435 BEJDI Meriem Amphi Mohamed El Fassi 1138
1205054 BEKKAR Morad Amphi Mohamed El Fassi 1140 Reportée
1202784 BEL FAQUIR Abdelhafid Amphi Mohamed El Fassi 1142
1115942 BEL HOUTI GHIZLANE Amphi Mohamed El Fassi 1144 Reportée
1219752 BEL KAROUI ABDELAALI Amphi Mohamed El Fassi 1146
1219424 BEL MAANI ABDESSALAM Amphi Mohamed El Fassi 1148 Reportée
1108495 BELAARROUCHI Abdelhalim Amphi Mohamed El Fassi 1150 Reportée
1201263 BELAICHA Mohamed Amphi Mohamed El Fassi 1152
1216697 BELFADIL Brahim Amphi Mohamed El Fassi 1154
1004687 BELFAKIR ABDELALI Amphi Mohamed El Fassi 1156 Reportée
1206890 BELGHITI Lamia Amphi Mohamed El Fassi 1158 Reportée
1208939 BELGOUT Hamza Amphi Mohamed El Fassi 1160
1202534 BELGUMHA Yassmina Amphi Mohamed El Fassi 1162
1204901 BELHAIBA Abdeladim Amphi Mohamed El Fassi 1164 Reportée
1205170 BELHAITE Khalid Amphi Mohamed El Fassi 1166 Reportée
1200976 BELHAJ ABDELLAH Amphi Mohamed El Fassi 1168
1205034 BELHI Fouad Amphi Mohamed El Fassi 1170
1205036 BELICH Hafida Amphi Mohamed El Fassi 1172 Reportée
1213643 BELKABOUS Fatima Ezzahra Amphi Mohamed El Fassi 1174
1201210 BELKADI Nadia Amphi Mohamed El Fassi 1176
1211070 BELKHALFI Mustapha Amphi Mohamed El Fassi 1178 Reportée
1201797 BELKHAOUDA Fakhr-eddine Amphi Mohamed El Fassi 1180
1205135 BELLA ABDLKARIM Amphi Mohamed El Fassi 1182 Reportée
1201586 BELLAFQUIH Abdelkerim Amphi Mohamed El Fassi 1184 Reportée
1203310 BELLAKHA Othmane Amphi Mohamed El Fassi 1186
Matière1: introduction aux sciences économiques
Matière2:Introduction aux sciences de gestion 7/54
Filière: Droit arabe
Faculté des sciences juridiques
et Economiques. Marrakech
N° Apogée Nom Prénom Local d'examen N° d'examen Matière1 Matière2
Université Cadi Ayyad
PV de surveillance: Session de rattrapage
2012-2013
Module: Introduction aux sciences économiques et de gestion
Semestre1 (nouveau système)
1111607 BELLAL LARHZAL Abdelkarim Amphi Mohamed El Fassi 1188 Reportée
1201021 BELLGMMAH Abd Elwahed Amphi Mohamed El Fassi 1190
1210026 BELMALAH Sara Amphi Mohamed El Fassi 1192
1219956 BEN AAMAR Fatim Ezzahra Amphi Mohamed El Fassi 1194
1202947 BEN AAMAR Khamissa Amphi Mohamed El Fassi 1196 Reportée
1210485 BEN ARGANE Ghita Amphi Mohamed El Fassi 1198
1207562 BEN AZZOUZ Youssef Amphi Mohamed El Fassi 1200 Reportée
1203163 BEN DIDI Abed El Rrafik Amphi Mohamed El Fassi 1202 Reportée
1203055 BEN DLALA Abdelhamyd Amphi Mohamed El Fassi 1204 Reportée
1203348 BEN HADIA Mohamed Amphi Mohamed El Fassi 1206 Reportée
1209737 BEN JADOUR Khaoula Amphi Mohamed El Fassi 1208 Reportée
1211358 BEN LAAOURA Fatiha Amphi Mohamed El Fassi 1210 Reportée
1215067 BEN MOUSA Rabia Amphi Mohamed El Fassi 1212
1202911 BEN RAOUI Zakaria Amphi Mohamed El Fassi 1214
1201219 BEN YAMNA Soukaina Amphi Mohamed El Fassi 1216
1201536 BEN ZIDANE Sanae Amphi Mohamed El Fassi 12181201536 BEN ZIDANE Sanae Amphi Mohamed El Fassi 1218
1114371 BENABBOU Ayoub Amphi Mohamed El Fassi 1220 Reportée
1204457 BENABDELLAH Mohamed Amphi Mohamed El Fassi 1222 Reportée
1219670 BENABDSSELAM ZAKARIA Amphi Mohamed El Fassi 1224 Reportée
1202100 BENABLA Khalid Amphi Mohamed El Fassi 1226 Reportée
1207465 BENAISSA Said Amphi Mohamed El Fassi 1228 Reportée
1203795 BENARAB Mustapha Amphi Mohamed El Fassi 1230 Reportée
1201777 BENBAHIA Amina Amphi Mohamed El Fassi 1232
97033938 BENBARI ZAKARIA Amphi Mohamed El Fassi 1234 Reportée
1114328 BENBICH Zakaria Amphi Mohamed El Fassi 1236 Reportée
1207343 BENCHOUK Hassan Amphi Mohamed El Fassi 1238
1209880 BENEDRIOUCH Nadia Amphi Mohamed El Fassi 1240
1202208 BENELFELLAH Younes Amphi Mohamed El Fassi 1242 Reportée
1106857 BENELHAOUZI Otmane Amphi Mohamed El Fassi 1244 Reportée
1201786 BENELHOMS Houria Amphi Mohamed El Fassi 1246
1216713 BENELMFIRIQ Hamza Amphi Mohamed El Fassi 1248 Reportée
1205729 BENHAKKOUM Mohamed Amphi Mohamed El Fassi 1250 Reportée
1205578 BENJED Youssef Amphi Mohamed El Fassi 1252 Reportée
1209602 BENKARKOUB Maryam Amphi Mohamed El Fassi 1254 Reportée
1219545 BENKHALLOUK Sabah Amphi Mohamed El Fassi 1256
1204338 BENKHOUIRA Tarik Amphi Mohamed El Fassi 1258 Reportée
1218839 BENMOUSSA Raja Amphi Mohamed El Fassi 1260
1210550 BENNAR Khadija Amphi Mohamed El Fassi 1262 Reportée
1216702 BENNAY AOUATIF Amphi Mohamed El Fassi 1264
1203264 BENNAY Nadia Amphi Mohamed El Fassi 1266 Reportée
1110232 BENNOUNA Jalila Amphi Mohamed El Fassi 1268 Reportée
1210687 BENNOUS KHAOULA Amphi Mohamed El Fassi 1270 Reportée
1219613 BENSAHMOUD Ouafa Amphi Mohamed El Fassi 1272
Matière1: introduction aux sciences économiques
Matière2:Introduction aux sciences de gestion 8/54
Filière: Droit arabe
Faculté des sciences juridiques
et Economiques. Marrakech
N° Apogée Nom Prénom Local d'examen N° d'examen Matière1 Matière2
Université Cadi Ayyad
PV de surveillance: Session de rattrapage
2012-2013
Module: Introduction aux sciences économiques et de gestion
Semestre1 (nouveau système)
1202604 BENZALIM Ayoub Amphi Mohamed El Fassi 1274
1206958 BENZBIRI Sara Amphi Mohamed El Fassi 1276 Reportée
1115717 BESSI Mohamad Amphi Mohamed El Fassi 1278 Reportée
1006023 BIJABER MOHAMED Amphi Mohamed El Fassi 1280 Reportée
1200984 BISSBISS Elmehdi Amphi Mohamed El Fassi 1282 Reportée
1100634 BISSKNA NADIA Amphi Mohamed El Fassi 1284 Reportée
1111252 BITI Youssef Amphi Mohamed El Fassi 1286 Reportée
1216331 BOHALS Maalainin Amphi Mohamed El Fassi 1288 Reportée
1204109 BOUABBAD Abderrahim Amphi Mohamed El Fassi 1290 Reportée
1114306 BOUABD Ismail Amphi Mohamed El Fassi 1292
1201369 BOUADDI Inasse Amphi Mohamed El Fassi 1294
1203158 BOUAHBI Mohammed Amphi Mohamed El Fassi 1296
1209333 BOUAICHI Ichraq Amphi Mohamed El Fassi 1298
1201645 BOUALAM Sara Amphi Mohamed El Fassi 1300 Reportée
1217365 BOUAMAMA TFARAH Amphi Mohamed El Fassi 1302 Reportée
1202341 BOUAMOUD ABOUBAKERE Amphi Mohamed El Fassi 13041202341 BOUAMOUD ABOUBAKERE Amphi Mohamed El Fassi 1304
1114283 BOUAMOUD BANTAKHOUALHA Amphi Mohamed El Fassi 1306 Reportée
1203609 BOUAMOUD Mohamed Amphi Mohamed El Fassi 1308
1203259 BOUAOUI Mouad Amphi Mohamed El Fassi 1310 Reportée
1204789 BOUAOULATINE Fouad Amphi Mohamed El Fassi 1312 Reportée
1210598 BOUBAKKAR Halima Amphi Mohamed El Fassi 1314 Reportée
1105375 BOUBEDDARA Meriem Amphi Mohamed El Fassi 1316 Reportée
1107807 BOUBEKRI Maryem Amphi Mohamed El Fassi 1318 Reportée
1202402 BOUCHAIB Aicha Amphi Mohamed El Fassi 1320
1205826 BOUCHAIB Benabed Amphi Mohamed El Fassi 1322 Reportée
1104550 BOUCHATER Ahmed Amphi Mohamed El Fassi 1324 Reportée
1219617 BOUCHBOURA Kamal Amphi Mohamed El Fassi 1326
1219416 BOUCHEJRA Najat Amphi Mohamed El Fassi 1328 Reportée
1202552 BOUDALAà Sabah Amphi Mohamed El Fassi 1330 Reportée
1202969 BOUDAR Oualid Amphi Mohamed El Fassi 1332 Reportée
1209611 BOUDEBOUSS Slima Amphi Mohamed El Fassi 1334 Reportée
1219732 BOUDEN Nezha Amphi Mohamed El Fassi 1336 Reportée
1216380 BOUFAYDA Rachid Amphi Mohamed El Fassi 1338 Reportée
1217419 BOUFOUS FATIMA-ZAHRA Amphi Mohamed El Fassi 1340 Reportée
1114535 BOUFRAYOUA NOUREDDINE Amphi Mohamed El Fassi 1342 Reportée
1203297 BOUGATAIA Elmahjoub Amphi Mohamed El Fassi 1344
1219396 BOUGLA JALILA Amphi Mohamed El Fassi 1346
1209868 BOUGNINE Aomar Amphi Mohamed El Fassi 1348
1220016 BOUGOULA Nora Amphi Mohamed El Fassi 1350
1207031 BOUGRINE Hamza Amphi Mohamed El Fassi 1352 Reportée
7026214 BOUGTAYA JAMAL Amphi Mohamed El Fassi 1354 Reportée
94300026 BOUGUEJDI HAMID Amphi Mohamed El Fassi 1356 Reportée
1202638 BOUH Moh Amphi Mohamed El Fassi 1358 Reportée
Matière1: introduction aux sciences économiques
Matière2:Introduction aux sciences de gestion 9/54
Filière: Droit arabe
Faculté des sciences juridiques
et Economiques. Marrakech
N° Apogée Nom Prénom Local d'examen N° d'examen Matière1 Matière2
Université Cadi Ayyad
PV de surveillance: Session de rattrapage
2012-2013
Module: Introduction aux sciences économiques et de gestion
Semestre1 (nouveau système)
1201704 BOUHAFA Ayoub Amphi Mohamed El Fassi 1360 Reportée
1202687 BOUHAIDA Abdeljbbar Amphi Mohamed El Fassi 1362 Reportée
1216787 BOUHATOUS Omar Amphi Mohamed El Fassi 1364 Reportée
1204123 BOUHID Nour-eddine Amphi Mohamed El Fassi 1366 Reportée
1208379 BOUHMAIDA MOUHAMMED Amphi Mohamed El Fassi 1368 Reportée
1101289 BOUHMID Khadija Amphi Mohamed El Fassi 1370 Reportée
1201370 BOUHRAOUA Younes Amphi Mohamed El Fassi 1372
1208956 BOUIATRAS Rochdi Amphi Mohamed El Fassi 1374 Reportée
1201946 BOUIJI Mohamed Amphi Mohamed El Fassi 1376
1210414 BOUIMHIM Rachida Amphi Mohamed El Fassi 1378 Reportée
1105086 BOUJENOUI Youssef Amphi Mohamed El Fassi 1380 Reportée
1202529 BOUJI Fatiha Amphi Mohamed El Fassi 1382 Reportée
1211214 BOUKAJ Khalid Amphi Mohamed El Fassi 1384 Reportée
1202453 BOUKCHOUCH Zakaria Amphi Mohamed El Fassi 1386
1219856 BOUKDIR YOUNES Amphi Mohamed El Fassi 1388 Reportée
1216598 BOUKHAL MOHAMMED Amphi Mohamed El Fassi 13901216598 BOUKHAL MOHAMMED Amphi Mohamed El Fassi 1390
Matière1: introduction aux sciences économiques
Matière2:Introduction aux sciences de gestion 10/54
Filière: Droit arabe
Faculté des sciences juridiques
et Economiques. Marrakech
N° Apogée Nom Prénom Local d'examen N° d'examen Matière1 Matière2
Université Cadi Ayyad
PV de surveillance: Session de rattrapage
2012-2013
Module: Introduction aux sciences économiques et de gestion
Semestre1 (nouveau système)
1208897 BOUKHRISS Hasna Amphi A 1392 Reportée
1201605 BOUKRAB M'barka Amphi A 1394
1105482 BOULAHCEN Lhoussein Amphi A 1396
1216622 BOULMANE JAMILA Amphi A 1398 Reportée
1209991 BOUMAAZA Fatima Amphi A 1400 Reportée
1111037 BOUMAAZAH Ayoub Amphi A 1402 Reportée
1204840 BOUMAHDI ABDALLAHI Amphi A 1404 Reportée
1219405 BOUMAHDI MAHASSINE Amphi A 1406 Reportée
1220366 BOUMDIANE Noureddine Amphi A 1408 Reportée
1219855 BOUMEHA ILHAM Amphi A 1410 Reportée
1202625 BOUMMANE Meryem Amphi A 1412 Reportée
1209860 BOUMOUGAY Yassine Amphi A 1414 Reportée
1219642 BOUNGOUL Abdelkrim Amphi A 1416 Reportée
1202288 BOUNHAR Khadija Amphi A 1418 Reportée
1208965 BOUNIT Khaoula Amphi A 1420
1205682 BOUNNIT Soukaina Amphi A 1422 Reportée1205682 BOUNNIT Soukaina Amphi A 1422 Reportée
1201769 BOUREGBA Youssef Amphi A 1424
1100252 BOURTA Jamal Amphi A 1426 Reportée
1219948 BOUSSOLA Chrifa Amphi A 1428 Reportée
1219537 BOU-TAJANOUIT Ayoub Amphi A 1430 Reportée
1203168 BOUTARBOUCH Abdeldim Amphi A 1432 Reportée
1205252 BOUTBIR Mohamed Amphi A 1434 Reportée
1220493 BOUTLMOUNT ABAID Amphi A 1436
1207212 BOUTSBIH Hanna Amphi A 1438 Reportée
1201721 BOUUISENGAREN Fatiha Amphi A 1440 Reportée
1204866 BOUYZOURAN Fatiha Amphi A 1442 Reportée
1204857 BOUZHER Brahim Amphi A 1444 Reportée
1220987 BOUZOUNE MINA Amphi A 1446 Reportée
1103510 BRIER Jaouad Amphi A 1448 Reportée
1203159 BRIKTI Yassine Amphi A 1450 Reportée
1111070 BYAH Abdeltif Amphi A 1452 Reportée
1216260 CHAAIBI Mohamed Amphi A 1454 Reportée
1101712 CHAAIJ Salwa Amphi A 1456
1219675 CHAARANI Abderrahim Amphi A 1458
1001241 CHAARANI FATIMA- ZAHRA Amphi A 1460 Reportée
1219715 CHABBOUBAT Amal Amphi A 1462 Reportée
1205851 CHADID Abdelhaq Amphi A 1464 Reportée
1111047 CHAFIQ Houssam Amphi A 1466
1203833 CHAHBOUN Idriss Amphi A 1468 Reportée
1219656 CHAHMD MOHAMED Amphi A 1470 Reportée
1207446 CHAHMOUT Ouahiba Amphi A 1472 Reportée
1101481 CHAJARI Noureddine Amphi A 1474 Reportée
Matière1: introduction aux sciences économiques
Matière2:Introduction aux sciences de gestion 11/54
Filière: Droit arabe
Faculté des sciences juridiques
et Economiques. Marrakech
N° Apogée Nom Prénom Local d'examen N° d'examen Matière1 Matière2
Université Cadi Ayyad
PV de surveillance: Session de rattrapage
2012-2013
Module: Introduction aux sciences économiques et de gestion
Semestre1 (nouveau système)
1208370 CHAKIR El Mustapha Amphi B 1476 Reportée
1114204 CHAKIR Kamal Amphi B 1478 Reportée
1106802 CHAKIR Zineb Amphi B 1480 Reportée
1203088 CHAMGHOURI Ali Amphi B 1482 Reportée
1204063 CHAOUAY Bouchra Amphi B 1484 Reportée
1204530 CHAOUI Oumaima Amphi B 1486 Reportée
1202119 CHAOUKI Bouchra Amphi B 1488 Reportée
1201013 CHAOUKI Mohammed Amphi B 1490 Reportée
1104942 CHAOUQUI Kawtar Amphi B 1492 Reportée
1202118 CHARAQ Soukaina Amphi B 1494 Reportée
1219840 CHAYBOUB SOUAD Amphi B 1496 Reportée
1218837 CHEBAKI Keltoum Amphi B 1498 Reportée
1211088 CHELBIKH Abdelkarim Amphi B 1500 Reportée
1202420 CHELLAH Khaoula Amphi B 1502
1204952 CHEMS EDDINE Mohssine Amphi B 1504 Reportée
1210988 CHENNAOUI Hanane Amphi B 1506 Reportée1210988 CHENNAOUI Hanane Amphi B 1506 Reportée
1115927 CHERIF ZAOUI KAMILIA Amphi B 1508
1203852 CHIGRE M'barek Amphi B 1510 Reportée
1205188 CHIKHAOUI Abdelkader Amphi B 1512
1205803 CHOUGDALI Hicham Amphi B 1514 Reportée
1204680 CHOUKRI Abdennabi Amphi B 1516 Reportée
1219821 CHRRHA HAIBA Amphi B 1518 Reportée
Matière1: introduction aux sciences économiques
Matière2:Introduction aux sciences de gestion 12/54
Filière: Droit arabe
Faculté des sciences juridiques
et Economiques. Marrakech
N° Apogée Nom Prénom Local d'examen N° d'examen Matière1 Matière2
Université Cadi Ayyad
PV de surveillance: Session de rattrapage
2012-2013
Module: Introduction aux sciences économiques et de gestion
Semestre1 (nouveau système)
1203151 DAANOUN Rachid Amphi Cadi Ayyad 2 Reportée
1203637 DADA Erragragui Amphi Cadi Ayyad 4 Reportée
1204400 DADAN Said Amphi Cadi Ayyad 6 Reportée
1104584 DADDAS Mohamed Amine Amphi Cadi Ayyad 8 Reportée
1201107 DAGDAG Zineb Amphi Cadi Ayyad 10 Reportée
1202925 DAHANI Hanane Amphi Cadi Ayyad 12 Reportée
1210895 DAHANI Younes Amphi Cadi Ayyad 14 Reportée
1201531 DAHAOUI Abdelghani Amphi Cadi Ayyad 16 Reportée
1208964 DAHBI Abdelkarim Amphi Cadi Ayyad 18 Reportée
1113291 DAHBI SAMIRA Amphi Cadi Ayyad 20
1202009 DAHHIOUI Asmae Amphi Cadi Ayyad 22 Reportée
1202427 DAHI Mahmoud Amphi Cadi Ayyad 24 Reportée
1220244 DAHROU Badia Amphi Cadi Ayyad 26 Reportée
1205573 DAIFI ELMEHDI Amphi Cadi Ayyad 28 Reportée
1219952 DALOUI Sara Amphi Cadi Ayyad 30 Reportée
1220108 DAMINE Nour Eddine Amphi Cadi Ayyad 32 Reportée1220108 DAMINE Nour Eddine Amphi Cadi Ayyad 32 Reportée
1201670 DANINE Youssef Amphi Cadi Ayyad 34 Reportée
1219639 DAOU Abdellelah Amphi Cadi Ayyad 36 Reportée
1204146 DAOUD Ismail Amphi Cadi Ayyad 38 Reportée
1204172 DAOUD Khalid Amphi Cadi Ayyad 40 Reportée
1203029 DAOUDI Hamza Amphi Cadi Ayyad 42 Reportée
1110274 DARDOUCH NAZHA Amphi Cadi Ayyad 44 Reportée
1203971 DARIA Abdessamad Amphi Cadi Ayyad 46 Reportée
1111087 DARID Amina Amphi Cadi Ayyad 48 Reportée
1202184 DARIF Mohamed Amphi Cadi Ayyad 50 Reportée
1203805 DARIF Yassine Amphi Cadi Ayyad 52 Reportée
1205204 DEBBAB Said Amphi Cadi Ayyad 54 Reportée
1210980 DEBBAGH Zakaria Amphi Cadi Ayyad 56 Reportée
1211285 DENDIL ANOUAR Amphi Cadi Ayyad 58 Reportée
1209281 DERDARI Anas Amphi Cadi Ayyad 60 Reportée
1203022 DEROUNE Yassine Amphi Cadi Ayyad 62 Reportée
1203927 DERSI HOUSSAM Amphi Cadi Ayyad 64 Reportée
1219428 DHIBI Nizar Amphi Cadi Ayyad 66 Reportée
1201572 DHIMI Abla Amphi Cadi Ayyad 68 Reportée
1203798 DIB Hassan Amphi Cadi Ayyad 70 Reportée
1204647 DOUA Azzddine Amphi Cadi Ayyad 72 Reportée
1209854 DOUABY Abdennabi Amphi Cadi Ayyad 74 Reportée
1210848 DOUALI Chaimae Amphi Cadi Ayyad 76
1219568 DOUBLALI Abdallah Amphi Cadi Ayyad 78 Reportée
1216742 DOUICH Mohammed Amphi Cadi Ayyad 80 Reportée
1204204 DOUIHI Moustapha Amphi Cadi Ayyad 82 Reportée
1100397 DOUIKSI Mohamed Amphi Cadi Ayyad 84 Reportée
1219751 DOUMANY FATIMATOU Amphi Cadi Ayyad 86 Reportée
Matière1: introduction aux sciences économiques
Matière2:Introduction aux sciences de gestion 13/54
Filière: Droit arabe
Faculté des sciences juridiques
et Economiques. Marrakech
N° Apogée Nom Prénom Local d'examen N° d'examen Matière1 Matière2
Université Cadi Ayyad
PV de surveillance: Session de rattrapage
2012-2013
Module: Introduction aux sciences économiques et de gestion
Semestre1 (nouveau système)
1211188 DOUNYA Safaa Amphi Cadi Ayyad 88 Reportée
1208909 DOURHANI Sana Amphi Cadi Ayyad 90 Reportée
1203120 DRAOUI Mourad Amphi Cadi Ayyad 92 Reportée
1201687 DRIOUCH Ghizlan Amphi Cadi Ayyad 94 Reportée
1202533 ECHAB Najat Amphi Cadi Ayyad 96 Reportée
1201790 ECHAFI Faissel Amphi Cadi Ayyad 98
1207891 ECHAIN Hamza Amphi Cadi Ayyad 100 Reportée
1203577 ECHARKAOUI Hicham Amphi Cadi Ayyad 102 Reportée
1203097 ECHATAR Rachid Amphi Cadi Ayyad 104 Reportée
1211176 ECH-CHATOUI Lahcen Amphi Cadi Ayyad 106 Reportée
5028585 ECHICHAOUI LAILA Amphi Cadi Ayyad 108 Reportée
1202361 ECHIHI Mustapha Amphi Cadi Ayyad 110 Reportée
1204135 ED.DAFALI Jaouad Amphi Cadi Ayyad 112 Reportée
1111306 EDDAH Lahouidia Amphi Cadi Ayyad 114 Reportée
1204991 ED-DAHANI Fatima Amphi Cadi Ayyad 116 Reportée
1220791 ED-DAHBI ABDELKHALEK Amphi Cadi Ayyad 118 Reportée1220791 ED-DAHBI ABDELKHALEK Amphi Cadi Ayyad 118 Reportée
1103479 EDDAHI Elbachir Amphi Cadi Ayyad 120 Reportée
1114325 EDDAHMANY Touriia Amphi Cadi Ayyad 122 Reportée
1203367 EDDAKI Brahim Amphi Cadi Ayyad 124 Reportée
1101852 EDDAOUDI Errabab Amphi Cadi Ayyad 126 Reportée
1204956 EDDAOUI Omar Amphi Cadi Ayyad 128 Reportée
1204868 EDDARAI Hassna Amphi Cadi Ayyad 130 Reportée
1111492 EDDIBES Souad Amphi Cadi Ayyad 132 Reportée
1203203 ED-DIREA Abdelghani Amphi Cadi Ayyad 134 Reportée
1203350 EDDNADNI Nabil Amphi Cadi Ayyad 136 Reportée
1111300 ED-DRIEF Hassane Amphi Cadi Ayyad 138 Reportée
1219863 EDDRIF Loubna Amphi Cadi Ayyad 140 Reportée
1209174 EDEFFARI Yassin Amphi Cadi Ayyad 142 Reportée
1201380 EDRAOUI Abdelouahed Amphi Cadi Ayyad 144 Reportée
1105125 EKHOUIRA Mohamed Amphi Cadi Ayyad 146 Reportée
1203844 EL AATTARI Othman Amphi Cadi Ayyad 148 Reportée
1107573 EL AABDOUNI Abdelati Amphi Cadi Ayyad 150 Reportée
1218895 EL AAOUD Laila Amphi Cadi Ayyad 152
1202956 EL ABBADY Ayoub Amphi Cadi Ayyad 154 Reportée
1109002 EL ABBASSI SOUKAINA Amphi Cadi Ayyad 156
1210670 EL ABDELLAOUI Fatima Amphi Cadi Ayyad 158 Reportée
1203913 EL ABYAD Abderrazzak Amphi Cadi Ayyad 160 Reportée
1210136 EL ABYAD Hanane Amphi Cadi Ayyad 162 Reportée
1219680 EL ADAB Ayoub Amphi Cadi Ayyad 164 Reportée
1205611 EL ADDALI YOUNESS Amphi Cadi Ayyad 166 Reportée
1203811 EL AHMADI Mohamed Amphi Cadi Ayyad 168 Reportée
1210851 EL AIBOUD Anas Amphi Cadi Ayyad 170 Reportée
1201032 EL AIMECH Mohamed Amphi Cadi Ayyad 172 Reportée
Matière1: introduction aux sciences économiques
Matière2:Introduction aux sciences de gestion 14/54
Filière: Droit arabe
Faculté des sciences juridiques
et Economiques. Marrakech
N° Apogée Nom Prénom Local d'examen N° d'examen Matière1 Matière2
Université Cadi Ayyad
PV de surveillance: Session de rattrapage
2012-2013
Module: Introduction aux sciences économiques et de gestion
Semestre1 (nouveau système)
1102043 EL AISSAOUI Said Amphi Cadi Ayyad 174 Reportée
1203245 EL AKKAOUI Mohamed Amin Amphi Cadi Ayyad 176 Reportée
1108820 EL ALAOUI SALKA Amphi Cadi Ayyad 178
1202129 EL ALLAOUI Ali Amphi Cadi Ayyad 180 Reportée
1203074 EL AMMARI Anass Amphi Cadi Ayyad 182
1106914 EL AMRANI SOUKAINA Amphi Cadi Ayyad 184 Reportée
1205744 EL AMRAOUI Hicham Amphi Cadi Ayyad 186 Reportée
1203343 EL AMRI Ismail Amphi Cadi Ayyad 188 Reportée
1219990 EL ANKAOUI Taib Amphi Cadi Ayyad 190 Reportée
1202669 EL ANSARI Omar Amphi Cadi Ayyad 192 Reportée
1204752 EL ANYA Salma Amphi Cadi Ayyad 194 Reportée
1209521 EL AOUAME Othmane Amphi Cadi Ayyad 196 Reportée
1201798 EL AOUD Mustapha Amphi Cadi Ayyad 198 Reportée
1201688 EL ARAJI Souad Amphi Cadi Ayyad 200
Matière1: introduction aux sciences économiques
Matière2:Introduction aux sciences de gestion 15/54
Filière: Droit arabe
Faculté des sciences juridiques
et Economiques. Marrakech
N° Apogée Nom Prénom Local d'examen N° d'examen Matière1 Matière2
Université Cadi Ayyad
PV de surveillance: Session de rattrapage
2012-2013
Module: Introduction aux sciences économiques et de gestion
Semestre1 (nouveau système)
1216752 EL ARBI Hafid Amphi Abou El Abbass Essabti 202 Reportée
1106188 EL ARNOUQI Asma Amphi Abou El Abbass Essabti 204 Reportée
1208837 EL ASLAOUI Abdeljalil Amphi Abou El Abbass Essabti 206 Reportée
1219423 EL ASSAL Yassine Amphi Abou El Abbass Essabti 208 Reportée
1219431 EL ASSALI Afaf Amphi Abou El Abbass Essabti 210 Reportée
1106908 EL ASSAOUI Hayat Amphi Abou El Abbass Essabti 212 Reportée
1204970 EL ATIFI Kaoutar Amphi Abou El Abbass Essabti 214 Reportée
1100500 EL ATRACH Soulaiman Amphi Abou El Abbass Essabti 216 Reportée
1219628 EL ATRANE Mbarek Amphi Abou El Abbass Essabti 218 Reportée
1208966 EL ATTAQ Ayoub Amphi Abou El Abbass Essabti 220 Reportée
1202369 EL ATTAR Jaouad Amphi Abou El Abbass Essabti 222 Reportée
1202318 EL AYADY Atef Amphi Abou El Abbass Essabti 224 Reportée
1203289 EL AZHAR IDRISSI Imane Amphi Abou El Abbass Essabti 226 Reportée
1201409 EL AZHARI Soukaina Amphi Abou El Abbass Essabti 228 Reportée
1219552 EL AZIZI IBTISSAM Amphi Abou El Abbass Essabti 230 Reportée
1219648 EL AZZABI Asmaa Amphi Abou El Abbass Essabti 232 Reportée1219648 EL AZZABI Asmaa Amphi Abou El Abbass Essabti 232 Reportée
1207124 EL BACHRAOUI Ibtissame Amphi Abou El Abbass Essabti 234 Reportée
1203897 EL BADAOUI Abd El Ali Amphi Abou El Abbass Essabti 236 Reportée
1204585 EL BADDAZI Mustapha Amphi Abou El Abbass Essabti 238 Reportée
1202187 EL BADSSI Nour Eddine Amphi Abou El Abbass Essabti 240 Reportée
1114554 EL BAGAR HASNA Amphi Abou El Abbass Essabti 242 Reportée
1210663 EL BAHANOURI YASSINE Amphi Abou El Abbass Essabti 244 Reportée
1203679 EL BAHHAZ Nabil Amphi Abou El Abbass Essabti 246 Reportée
1204409 EL BAHI Hicham Amphi Abou El Abbass Essabti 248 Reportée
1210453 EL BAHJI Rabab Amphi Abou El Abbass Essabti 250 Reportée
1102900 EL BAHRDADI Ramzi Amphi Abou El Abbass Essabti 252 Reportée
1203364 EL BALLOUTI MOHAMMED EL HABIB Amphi Abou El Abbass Essabti 254 Reportée
1202458 EL BANDAHI Mustapha Amphi Abou El Abbass Essabti 256 Reportée
1203572 EL BANDAKI Mohamed Amphi Abou El Abbass Essabti 258 Reportée
1206212 EL BARAKA Aicha Amphi Abou El Abbass Essabti 260 Reportée
1204959 EL BARBOUCHI Yahdih Amphi Abou El Abbass Essabti 262 Reportée
1104458 EL BARDAOUI Ayoub Amphi Abou El Abbass Essabti 264 Reportée
1101794 EL BARI Aamro Amphi Abou El Abbass Essabti 266 Reportée
1220024 EL BAZ Fatima Zouhra Amphi Abou El Abbass Essabti 268 Reportée
1219842 EL BAZ Rachida Amphi Abou El Abbass Essabti 270 Reportée
1219870 EL BBAZ Rkia Amphi Abou El Abbass Essabti 272 Reportée
1204890 EL BERKAOUI Souad Amphi Abou El Abbass Essabti 274 Reportée
1201402 EL BOUALAMI Abdelilah Amphi Abou El Abbass Essabti 276 Reportée
1220128 EL BOUANANI SOUMIA Amphi Abou El Abbass Essabti 278 Reportée
1204716 EL BOUAZZAOUI Abdennabi Amphi Abou El Abbass Essabti 280 Reportée
1110154 EL BOUGHDADI Mina Amphi Abou El Abbass Essabti 282 Reportée
1201153 EL BOUHANE Abdelkarim Amphi Abou El Abbass Essabti 284 Reportée
1202621 EL BOUKY Mohamed Amphi Abou El Abbass Essabti 286 Reportée
Matière1: introduction aux sciences économiques
Matière2:Introduction aux sciences de gestion 16/54
Filière: Droit arabe
Faculté des sciences juridiques
et Economiques. Marrakech
N° Apogée Nom Prénom Local d'examen N° d'examen Matière1 Matière2
Université Cadi Ayyad
PV de surveillance: Session de rattrapage
2012-2013
Module: Introduction aux sciences économiques et de gestion
Semestre1 (nouveau système)
1100891 EL BOUZIDI Salah Eddine Amphi Abou El Abbass Essabti 288 Reportée
1208830 EL BZAR Youssef Amphi Abou El Abbass Essabti 290
1201094 EL FAHIM Ayoub Amphi Abou El Abbass Essabti 292
1216645 EL FAHIM Salah Amphi Abou El Abbass Essabti 294 Reportée
1114402 EL FAHIRI Hasna Amphi Abou El Abbass Essabti 296 Reportée
1203917 EL FAITAH Khalid Amphi Abou El Abbass Essabti 298
1203996 EL FAJJAJ Youssef Amphi Abou El Abbass Essabti 300
1219558 EL FANNICHE Mhamed Amphi Abou El Abbass Essabti 302 Reportée
1005071 EL FAOUAL SLIMAN Amphi Abou El Abbass Essabti 304 Reportée
1202314 EL FARAJY Ayoub Amphi Abou El Abbass Essabti 306 Reportée
1204974 EL FATIHI YOUNES Amphi Abou El Abbass Essabti 308 Reportée
1209555 EL FATIMI Mouhssine Amphi Abou El Abbass Essabti 310 Reportée
1101684 EL FATIMI Ouafa Amphi Abou El Abbass Essabti 312 Reportée
1205648 EL FISSI Meryam Amphi Abou El Abbass Essabti 314 Reportée
1202122 EL GAABOUR Ghizlane Amphi Abou El Abbass Essabti 316 Reportée
1101399 EL GABI ABDELILAH Amphi Abou El Abbass Essabti 318 Reportée1101399 EL GABI ABDELILAH Amphi Abou El Abbass Essabti 318 Reportée
1219805 EL GALLAF YOUNES Amphi Abou El Abbass Essabti 320 Reportée
1003517 EL GANDOULI WAFAE Amphi Abou El Abbass Essabti 322 Reportée
1202158 EL GARBA Mina Amphi Abou El Abbass Essabti 324 Reportée
1209798 EL GARNAOUI Rachid Amphi Abou El Abbass Essabti 326
1203255 EL GAROUR Marouane Amphi Abou El Abbass Essabti 328
1102015 EL GAZZAR Safae Amphi Abou El Abbass Essabti 330 Reportée
1211185 EL GHAZAOUI Siham Amphi Abou El Abbass Essabti 332 Reportée
1202750 EL GHAZI Hamza Amphi Abou El Abbass Essabti 334 Reportée
1201630 EL GOURI Hind Amphi Abou El Abbass Essabti 336 Reportée
1204078 EL GUANA KHADIJA Amphi Abou El Abbass Essabti 338 Reportée
1211204 EL GUASMI Maryeam Amphi Abou El Abbass Essabti 340
1102013 EL GUEDDASY HANAN Amphi Abou El Abbass Essabti 342 Reportée
1219003 EL GUEROUANI Anas Amphi Abou El Abbass Essabti 344 Reportée
1201611 EL GUESSAB Jebrane Amphi Abou El Abbass Essabti 346
1219796 EL HADRY Noura Amphi Abou El Abbass Essabti 348
1203710 EL HAFIANE ABDELFATTAH Amphi Abou El Abbass Essabti 350 Reportée
1219582 EL HAICHAMI Imane Amphi Abou El Abbass Essabti 352 Reportée
1102395 EL HAKIOUI Zaid Amphi Abou El Abbass Essabti 354 Reportée
1205019 EL HAMDAOUI Abdellatif Amphi Abou El Abbass Essabti 356 Reportée
1209683 EL HAMDI Zahra Amphi Abou El Abbass Essabti 358 Reportée
1103503 EL HAMDOU Mohssine Amphi Abou El Abbass Essabti 360 Reportée
1204438 EL HAMIDY Samira Amphi Abou El Abbass Essabti 362 Reportée
1004974 EL HAMILI KAMAL Amphi Abou El Abbass Essabti 364 Reportée
1202605 EL HAMOUNI Abderrahman Amphi Abou El Abbass Essabti 366 Reportée
1111337 EL HANCHAR Fatima Zahra Amphi Abou El Abbass Essabti 368 Reportée
1204360 EL HANOUNI Bouchaib Amphi Abou El Abbass Essabti 370 Reportée
1207943 EL HAOUARI ABDELWAHED Amphi Abou El Abbass Essabti 372 Reportée
Matière1: introduction aux sciences économiques
Matière2:Introduction aux sciences de gestion 17/54
Filière: Droit arabe
Faculté des sciences juridiques
et Economiques. Marrakech
N° Apogée Nom Prénom Local d'examen N° d'examen Matière1 Matière2
Université Cadi Ayyad
PV de surveillance: Session de rattrapage
2012-2013
Module: Introduction aux sciences économiques et de gestion
Semestre1 (nouveau système)
1202339 EL HAOUARI Abdessadek Amphi Abou El Abbass Essabti 374 Reportée
1216373 EL HAOUARI Khadija Amphi Abou El Abbass Essabti 376 Reportée
1208077 EL HARAS Jamila Amphi Abou El Abbass Essabti 378
1201637 EL HARCHAOUI Sana Amphi Abou El Abbass Essabti 380
1101259 EL HASSAD Aouatif Amphi Abou El Abbass Essabti 382 Reportée
1204311 EL HASSAN Echarghi Amphi Abou El Abbass Essabti 384
1201398 EL HASSANI Younes Amphi Abou El Abbass Essabti 386
1002323 EL HBIRIK ZAHRA Amphi Abou El Abbass Essabti 388 Reportée
1204441 EL HORRE Nassima Amphi Abou El Abbass Essabti 390 Reportée
Matière1: introduction aux sciences économiques
Matière2:Introduction aux sciences de gestion 18/54
Filière: Droit arabe
Faculté des sciences juridiques
et Economiques. Marrakech
N° Apogée Nom Prénom Local d'examen N° d'examen Matière1 Matière2
Université Cadi Ayyad
PV de surveillance: Session de rattrapage
2012-2013
Module: Introduction aux sciences économiques et de gestion
Semestre1 (nouveau système)
1216736 EL HOUJAIMI Abderrazak Amphi Imam Malik 582
1210014 EL HROUM Widad Amphi Imam Malik 584 Reportée
1201578 EL IDRISSI BOUCHAIB Amphi Imam Malik 586
1204843 EL IDRISSI Bouchra Amphi Imam Malik 588
1208942 EL IDRISSI Mohamed Amphi Imam Malik 590
1204764 EL IDRISSI Soukaina Amphi Imam Malik 592
1205018 EL IDRISSI Yassine Amphi Imam Malik 594
1205857 EL IDRISSI LAAOUINI Yassine Amphi Imam Malik 596
1102785 EL IDRISSY Laila Amphi Imam Malik 598 Reportée
1210037 EL IDRYSY Hasna Amphi Imam Malik 600
1204240 EL IZARI Khalid Amphi Imam Malik 602 Reportée
1208496 EL JAMI Najwa Amphi Imam Malik 604
1219543 EL KADRI Halima Amphi Imam Malik 606
1220410 EL KAHLAOUI CHEROUK Amphi Imam Malik 608 Reportée
1106461 EL KAMHI Mohamed Amphi Imam Malik 610 Reportée
1205176 EL KANIT El Mekki Amphi Imam Malik 612 Reportée1205176 EL KANIT El Mekki Amphi Imam Malik 612 Reportée
1201289 EL KARAM Imad Amphi Imam Malik 614 Reportée
1203292 EL KARIMI Youness Amphi Imam Malik 616 Reportée
1107177 EL KAROUMI Mohammed Amphi Imam Malik 618 Reportée
1203165 EL KASSIOUI Elhassan Amphi Imam Malik 620 Reportée
1204876 EL KHADIRI Amal Amphi Imam Malik 622 Reportée
1102022 EL KHAJRAJI Hayat Amphi Imam Malik 624 Reportée
1203948 EL KHALILI Yassine Amphi Imam Malik 626
1201909 EL KHALLOUQY Fatima Amphi Imam Malik 628 Reportée
1107567 EL KHAMARI Amal Amphi Imam Malik 630 Reportée
1220257 EL KHIRAOUI ABDELMOUNAIM Amphi Imam Malik 632 Reportée
1104167 EL KHOURCHI Hmadou Amphi Imam Malik 634 Reportée
1210834 EL KIHAL HASSANIA Amphi Imam Malik 636 Reportée
1110036 EL KOUFI Kamal Amphi Imam Malik 638 Reportée
1106557 EL KOUZATI Lahcen Amphi Imam Malik 640 Reportée
1203717 EL MAAZOUZI Abdelghafour Amphi Imam Malik 642
1208795 EL MACHMACHI Ghariba Amphi Imam Malik 644
1220336 EL MAHFOUDY ABDELFATTAH Amphi Imam Malik 646 Reportée
1205001 EL MAJNAOUI Rida Amphi Imam Malik 648
1201410 EL MARDI Khalid Amphi Imam Malik 650 Reportée
1219664 EL MARDI Nezha Amphi Imam Malik 652 Reportée
1201557 EL MASKYNY Fatiha Amphi Imam Malik 654 Reportée
1201906 EL MASMOUDI Mouloud Amphi Imam Malik 656 Reportée
1203371 EL MAYAZE Karim Amphi Imam Malik 658 Reportée
1201093 EL MEJDI Imane Amphi Imam Malik 660 Reportée
1205033 EL MEJHED Houria Amphi Imam Malik 662 Reportée
1203082 EL MEJNAOUI Mohamed Rabie Amphi Imam Malik 664
1205228 EL MEKKA Najat Amphi Imam Malik 666 Reportée
Matière1: introduction aux sciences économiques
Matière2:Introduction aux sciences de gestion 19/54
Filière: Droit arabe
Faculté des sciences juridiques
et Economiques. Marrakech
N° Apogée Nom Prénom Local d'examen N° d'examen Matière1 Matière2
Université Cadi Ayyad
PV de surveillance: Session de rattrapage
2012-2013
Module: Introduction aux sciences économiques et de gestion
Semestre1 (nouveau système)
1219820 EL MELLAH Aziz Amphi Imam Malik 668 Reportée
1203324 EL MESBAHI AATIK Younes Amphi Imam Malik 670 Reportée
1213569 EL MESLOHI Bouchra Amphi Imam Malik 672 Reportée
1209242 EL MEZOUARI ABDELLATIF Amphi Imam Malik 674 Reportée
1204833 EL MIALE Soukaina Amphi Imam Malik 676 Reportée
1210083 EL MIMOUNI Khaoula Amphi Imam Malik 678 Reportée
1202640 EL MIMOUNI Loubna Amphi Imam Malik 680
1220313 EL MODAFFAR BOUZEKRI Amphi Imam Malik 682 Reportée
1205169 EL MOJAHID Mina Amphi Imam Malik 684
1203969 EL MOJAHID Mohammed Amphi Imam Malik 686 Reportée
1201143 EL MOJAHID Najat Amphi Imam Malik 688 Reportée
1202170 EL MOOTASIM Khadija Amphi Imam Malik 690
1203858 EL MOUAINI Abdelmottalib Amphi Imam Malik 692 Reportée
1114556 EL MOUDA AATIQA Amphi Imam Malik 694 Reportée
1203775 EL MOUDAA Abdelkarim Amphi Imam Malik 696
1203047 EL MOUEDIN Mohamed Oussama Amphi Imam Malik 6981203047 EL MOUEDIN Mohamed Oussama Amphi Imam Malik 698
1201027 EL MOUEFFAK Najia Amphi Imam Malik 700 Reportée
1219722 EL MOUHI Imad Amphi Imam Malik 702 Reportée
1201253 EL MOUJIB Zohra Amphi Imam Malik 704 Reportée
1206897 EL MOUMENE Fatima-ezzahra Amphi Imam Malik 706 Reportée
1201396 EL MOUMNI Nezha Amphi Imam Malik 708 Reportée
1115941 EL MOUNTASSIR AHMED Amphi Imam Malik 710 Reportée
1220426 EL MOUNTASSIR SABIR Amphi Imam Malik 712
1006288 EL MOURATTIL ADIL Amphi Imam Malik 714 Reportée
1202992 EL MOUTAOIKIL Youssef Amphi Imam Malik 716 Reportée
1201635 EL MOUTAOUAKIL Fatima Ezzahra Amphi Imam Malik 718 Reportée
1204872 EL MOUTAOUAKIL Rachida Amphi Imam Malik 720
1208921 EL MOUTAOUAKKAL Wafae Amphi Imam Malik 722 Reportée
1205168 EL MRABET Aazeddine Amphi Imam Malik 724 Reportée
1203062 EL OMARI Driss Amphi Imam Malik 726
1201778 EL ORCH Mohamed Amphi Imam Malik 728 Reportée
1219750 EL OTMANY Khalid Amphi Imam Malik 730 Reportée
1205002 EL OUAFI Karima Amphi Imam Malik 732 Reportée
1219707 EL OUAHABI Salwa Amphi Imam Malik 734 Reportée
1107095 EL OUAHHABI Said Amphi Imam Malik 736 Reportée
1220941 EL OUAHMANI EL OUANNAT Amphi Imam Malik 738
1202248 EL OUALI Abdel Moumene Amphi Imam Malik 740 Reportée
1111121 EL OUALID EL KOUCHI Amphi Imam Malik 742 Reportée
1208944 EL OUARAT Raja Amphi Imam Malik 744 Reportée
1203357 EL OUARDI Amine Amphi Imam Malik 746 Reportée
1203135 EL OUARGA Younes Amphi Imam Malik 748 Reportée
1220880 EL OUARITI RACHID Amphi Imam Malik 750 Reportée
1204424 EL OUATANE Fouzia Amphi Imam Malik 752 Reportée
Matière1: introduction aux sciences économiques
Matière2:Introduction aux sciences de gestion 20/54
Filière: Droit arabe
Faculté des sciences juridiques
et Economiques. Marrakech
N° Apogée Nom Prénom Local d'examen N° d'examen Matière1 Matière2
Université Cadi Ayyad
PV de surveillance: Session de rattrapage
2012-2013
Module: Introduction aux sciences économiques et de gestion
Semestre1 (nouveau système)
1219912 EL OUATANI SOUKAINA Amphi Imam Malik 754 Reportée
1202665 EL OUATIK Touria Amphi Imam Malik 756 Reportée
1217548 EL OURES ABDELHAK Amphi Imam Malik 758 Reportée
1110751 EL QALAANI Loubna Amphi Imam Malik 760 Reportée
1202229 EL QARBALI Hassan Amphi Imam Malik 762 Reportée
1211206 EL QAZOUINI Houda Amphi Imam Malik 764 Reportée
1202219 EL QORI Mohammed Amphi Imam Malik 766 Reportée
1210326 EL RHAZI Hanan Amphi Imam Malik 768 Reportée
1203347 EL RHOURBA Badreddine Amphi Imam Malik 770 Reportée
1204913 EL RHOURBA Khalid Amphi Imam Malik 772 Reportée
1204957 EL WARZAZI Sabah Amphi Imam Malik 774
1204630 EL YAQOUTY Ghita Amphi Imam Malik 776 Reportée
1217460 EL YASMINE RIDA Amphi Imam Malik 778 Reportée
1105341 EL YASSINI Samir Amphi Imam Malik 780 Reportée
1204106 EL YOUSSOUFI Fouzia Amphi Imam Malik 782 Reportée
1115117 EL YOUSSOUFI Mohamed Amphi Imam Malik 784 Reportée1115117 EL YOUSSOUFI Mohamed Amphi Imam Malik 784 Reportée
1201576 ELAABBADI Mustapha Amphi Imam Malik 786
1210505 ELAABBAR Ilham Amphi Imam Malik 788
1003630 ELAALLAM ABDELMALEK Amphi Imam Malik 790 Reportée
1111119 ELAALLAOUI Imane Amphi Imam Malik 792 Reportée
1202269 ELAARIOUI Manale Amphi Imam Malik 794 Reportée
1202330 ELAATFAOUI Rajaa Amphi Imam Malik 796 Reportée
1106482 ELABBOUCHI Brahim Amphi Imam Malik 798
1201392 ELABSSANI Amin Amphi Imam Malik 800 Reportée
1220054 ELAICH Halima Amphi Imam Malik 802
1209254 ELALAMY RACHID Amphi Imam Malik 804 Reportée
1006084 ELALAOUI BTISSAM Amphi Imam Malik 806 Reportée
1204903 ELALAOUI Latifa Amphi Imam Malik 808 Reportée
1219874 ELALAOUI LASMAILI Hajar Amphi Imam Malik 810 Reportée
1202463 EL-ALLALI Souad Amphi Imam Malik 812 Reportée
1204980 ELALY Hassane Amphi Imam Malik 814
1209219 ELAMILI Outmane Amphi Imam Malik 816 Reportée
1201142 EL-AMMARI Mohamed Amphi Imam Malik 818 Reportée
1203807 ELAMRAOUI Ayoub Amphi Imam Malik 820 Reportée
1201185 ELAMRI Abdellah Amphi Imam Malik 822 Reportée
1208658 ELARGANE Hamza Amphi Imam Malik 824
1202915 ELASRI Khadija Amphi Imam Malik 826 Reportée
1004546 ELASRI MOHAMED Amphi Imam Malik 828 Reportée
1201618 ELATTAR Anas Amphi Imam Malik 830 Reportée
1203274 ELAYACHI Ali Amphi Imam Malik 832 Reportée
1107542 ELAZAOUI Laila Amphi Imam Malik 834 Reportée
1214609 ELAZHARI Zahra Amphi Imam Malik 836
1206523 ELBAAZIZI Abdelghani Amphi Imam Malik 838 Reportée
Matière1: introduction aux sciences économiques
Matière2:Introduction aux sciences de gestion 21/54
Filière: Droit arabe
Faculté des sciences juridiques
et Economiques. Marrakech
N° Apogée Nom Prénom Local d'examen N° d'examen Matière1 Matière2
Université Cadi Ayyad
PV de surveillance: Session de rattrapage
2012-2013
Module: Introduction aux sciences économiques et de gestion
Semestre1 (nouveau système)
1203873 ELBACHLAOUI KAWTAR Amphi Imam Malik 840 Reportée
1203751 EL-BADAOUI Khaled Amphi Imam Malik 842 Reportée
1211408 ELBAHIRA Brahim Amphi Imam Malik 844 Reportée
1208975 ELBAJI Noura Amphi Imam Malik 846 Reportée
1210286 ELBALILI Noura Amphi Imam Malik 848 Reportée
1203030 ELBANAN Sofiane Amphi Imam Malik 850
1109768 ELBANNAOUY Lhoucine Amphi Imam Malik 852 Reportée
1113790 ELBARDANI Hassnae Amphi Imam Malik 854 Reportée
1209105 ELBARDI Youssef Amphi Imam Malik 856 Reportée
1005644 ELBARIKI AHMED Amphi Imam Malik 858 Reportée
1201870 ELBARRIK Az-eddine Amphi Imam Malik 860 Reportée
1219430 ELBAZ SIHAM Amphi Imam Malik 862 Reportée
1212150 ELBAZAR Mohamed Amphi Imam Malik 864 Reportée
1106630 ELBELDI Iliasse Amphi Imam Malik 866 Reportée
1216727 ELBELDI Outmane Amphi Imam Malik 868 Reportée
1219928 ELBENNAI Hamid Amphi Imam Malik 870 Reportée1219928 ELBENNAI Hamid Amphi Imam Malik 870 Reportée
1111625 ELBERD SAID Amphi Imam Malik 872 Reportée
1208749 ELBIKAM Fattou Amphi Imam Malik 874 Reportée
1220219 ELBIKRA NOUREDDINE Amphi Imam Malik 876 Reportée
1001240 ELBOUAICHI ISMAIL Amphi Imam Malik 878 Reportée
1216320 ELBOUCHANI Youssef Amphi Imam Malik 880 Reportée
Matière1: introduction aux sciences économiques
Matière2:Introduction aux sciences de gestion 22/54
Filière: Droit arabe
Faculté des sciences juridiques
et Economiques. Marrakech
N° Apogée Nom Prénom Local d'examen N° d'examen Matière1 Matière2
Université Cadi Ayyad
PV de surveillance: Session de rattrapage
2012-2013
Module: Introduction aux sciences économiques et de gestion
Semestre1 (nouveau système)
1219711 ELBOUHTOURI Nezha salle 1 2272 Reportée
1204518 ELFAIZ Karim salle 1 2274 Reportée
1210467 ELFAKIR Jihane salle 1 2276 Reportée
1204000 ELFAQRI Soufiane salle 1 2278 Reportée
1005780 EL-FARHAOUI YOUNES salle 1 2280 Reportée
1205919 ELFATIMY Imad salle 1 2282
1114148 ELFEJOUJY Jaouad salle 1 2284 Reportée
1201237 ELGASMI Aziza salle 1 2286 Reportée
1201347 EL-GHALI Mohamed salle 1 2288 Reportée
1004322 ELGHAMRI ABDESLAM salle 1 2290 Reportée
1219978 EL-GLITI TAHA MOHAMED salle 1 2292 Reportée
1201202 ELGUANA Abd Elmajid salle 1 2294
1208855 ELGURIBI Souad salle 1 2296 Reportée
1108571 EL-HACHEMY Atika salle 1 2298 Reportée
1205175 ELHADAR Sanaa salle 1 2300 Reportée
1208281 ELHAFIDI Abdelmoula salle 1 2302 Reportée1208281 ELHAFIDI Abdelmoula salle 1 2302 Reportée
1203895 ELHAFYANI Rahhal salle 1 2304 Reportée
1204885 ELHAIL Youssef salle 1 2306 Reportée
1105463 ELHAIMAR Mouloud salle 1 2308 Reportée
1202730 ELHAJAJI Hassan salle 1 2310 Reportée
1220018 ELHALOUANE Omar salle 1 2312 Reportée
1005647 ELHALOUI SAID salle 1 2314 Reportée
1115647 ELHAMEIM OMER salle 1 2316 Reportée
1201120 ELHAMMI Abdelaziz salle 1 2318
1204579 ELHAMRI Latifa salle 1 2320 Reportée
1211200 ELHAMZAOUI Fatima salle 1 2322
1210266 ELHAMZAOUI Mareym salle 1 2324 Reportée
1113792 ELHANTIFI Naima salle 1 2326 Reportée
1101042 ELHAOUASSI Moulay salle 1 2328 Reportée
1205173 ELHAOUASSI Samya salle 1 2330
1207223 ELHARAS Mouhssine salle 1 2332 Reportée
1201730 EL-HARCHI Rajaa salle 1 2334 Reportée
1204301 ELHARNOUSSI Youssef salle 1 2336
1105193 ELHAROUCHY Hanane salle 1 2338 Reportée
1211081 ELHASSANY Somayya salle 1 2340 Reportée
Matière1: introduction aux sciences économiques
Matière2:Introduction aux sciences de gestion 23/54
Filière: Droit arabe
Faculté des sciences juridiques
et Economiques. Marrakech
N° Apogée Nom Prénom Local d'examen N° d'examen Matière1 Matière2
Université Cadi Ayyad
PV de surveillance: Session de rattrapage
2012-2013
Module: Introduction aux sciences économiques et de gestion
Semestre1 (nouveau système)
1201212 ELHASSARI Zoheir salle 2 2342 Reportée
1101120 ELHASSOUNI Zakaria salle 2 2344 Reportée
1210586 ELHITAR LEILA salle 2 2346 Reportée
1218801 ELHOR MINA salle 2 2348 Reportée
1220307 ELHOUST Karima salle 2 2350 Reportée
1114185 EL-IBRAHIMI Fatma salle 2 2352 Reportée
1203276 EL-IBRAHYMY Latifa salle 2 2354 Reportée
1202107 ELIDRISSI Mourad salle 2 2356 Reportée
1220281 ELIDRISSI Souad salle 2 2358 Reportée
1211296 ELIDRISSI DAFALI ABDENACER salle 2 2360
1004465 ELIFGHANI IBTISSAM salle 2 2362 Reportée
1205646 EL-JABIRY Redouane salle 2 2364
1202359 ELJADDI Nadia salle 2 2366 Reportée
1201773 ELJAKANI Toufiq salle 2 2368 Reportée
1217465 ELKABOURI ABDELMOULA salle 2 2370 Reportée
1203041 ELKABOUS Ismail salle 2 2372 Reportée1203041 ELKABOUS Ismail salle 2 2372 Reportée
1216695 ELKABRITI Meriem salle 2 2374 Reportée
1204011 ELKADRI Rabab salle 2 2376 Reportée
1208628 ELKAFRAOUI Najia salle 2 2378 Reportée
1206221 ELKAHL Youssef salle 2 2380 Reportée
1103867 ELKANTAOUI Sanaa salle 2 2382 Reportée
1211275 ELKASSOUABI Abdelilah salle 2 2384 Reportée
1210738 ELKAYROUH Brahim salle 2 2386 Reportée
1209190 ELKENTI Ismail salle 2 2388 Reportée
1210600 ELKHADIRI Khadija salle 2 2390 Reportée
1106382 ELKHAHIRI Jihad salle 2 2392 Reportée
1205174 ELKHAL NAOUAL salle 2 2394 Reportée
1107781 ELKHALDI Hassane salle 2 2396 Reportée
1207785 ELKHAOUA Siham salle 2 2398 Reportée
1201640 ELKHARTA MOHAMMED salle 2 2400 Reportée
1216667 ELKHOURI MARHRA Fatima Zahra salle 2 2402 Reportée
1202342 ELKOREICHI Khadija salle 2 2404 Reportée
1208985 ELKOUCH Imane salle 2 2406
1211018 ELKOUCHMI Khalid salle 2 2408
1204896 ELKOURCHI Imane salle 2 2410 Reportée
Matière1: introduction aux sciences économiques
Matière2:Introduction aux sciences de gestion 24/54
Filière: Droit arabe
Faculté des sciences juridiques
et Economiques. Marrakech
N° Apogée Nom Prénom Local d'examen N° d'examen Matière1 Matière2
Université Cadi Ayyad
PV de surveillance: Session de rattrapage
2012-2013
Module: Introduction aux sciences économiques et de gestion
Semestre1 (nouveau système)
1203585 ELKOUSTALANI ABDELMOUNAIM salle 3 2412 Reportée
1000710 ELKRAYFI NOUR EDDINE salle 3 2414 Reportée
1203999 ELLAITI Hasna salle 3 2416 Reportée
1201305 ELLAOU Lamnia salle 3 2418 Reportée
1203351 ELLAOUD Esalek salle 3 2420 Reportée
1200999 ELMACHICHI Nadia salle 3 2422 Reportée
1219725 ELMAHDAOUY Amal salle 3 2424 Reportée
1204166 ELMAHJOUBI Lamia salle 3 2426 Reportée
1101606 ELMAJDAOUI Charaf salle 3 2428 Reportée
1209761 ELMALATI Said salle 3 2430 Reportée
1211959 ELMALLOULI Aziza salle 3 2432
1104084 ELMANDAOUI Hassan salle 3 2434 Reportée
1208104 ELMANSOURI Abderrahim salle 3 2436 Reportée
1216665 ELMANSOURI Sara salle 3 2438 Reportée
1204390 ELMARBOUH Jamila salle 3 2440 Reportée
1210104 ELMASMOUDI Yousra salle 3 2442 Reportée1210104 ELMASMOUDI Yousra salle 3 2442 Reportée
1202423 ELMECHYLY Zakaria salle 3 2444 Reportée
1203229 ELMEDIANI Mohamed salle 3 2446 Reportée
1202903 ELMETTYJY Ayoub salle 3 2448 Reportée
1219733 ELMEZOUARI Abderrahman salle 3 2450 Reportée
1100617 ELMEZOUARI Elyas salle 3 2452 Reportée
1201015 ELMIKH Mohamed salle 3 2454 Reportée
1205212 ELMILOUAY Houria salle 3 2456 Reportée
1201084 ELMONKARI Youssef salle 3 2458 Reportée
1201204 ELMONTASER Laila salle 3 2460 Reportée
1210721 ELMOSAIF Soumyia salle 3 2462
1203946 ELMOUADDINE Elhassan salle 3 2464 Reportée
1003930 ELMOUATASSIM SAMIR salle 3 2466 Reportée
1204760 ELMOURABIT Hasna salle 3 2468 Reportée
1201317 ELMOURABIT SOUFIANE salle 3 2470
1113514 ELMOURSLI Maryem salle 3 2472 Reportée
1103518 ELOIRDA Jaouad salle 3 2474 Reportée
1209187 ELORFI Elhoucein salle 3 2476 Reportée
1209087 ELOUAABANI Yassine salle 3 2478
1219540 ELOUAHMANI Mohamed salle 3 2480
Matière1: introduction aux sciences économiques
Matière2:Introduction aux sciences de gestion 25/54
Filière: Droit arabe
Faculté des sciences juridiques
et Economiques. Marrakech
N° Apogée Nom Prénom Local d'examen N° d'examen Matière1 Matière2
Université Cadi Ayyad
PV de surveillance: Session de rattrapage
2012-2013
Module: Introduction aux sciences économiques et de gestion
Semestre1 (nouveau système)
1210275 ELOUARANI Abdelahak salle 4 2482 Reportée
1114213 ELOUASSILI Outman salle 4 2484 Reportée
1114646 EL-OUATQI Khaoula salle 4 2486
1219484 ELQAMI OMAR salle 4 2488 Reportée
1108371 ELQAR Fatima Ezzahra salle 4 2490 Reportée
1219439 EL-QASEMY Fadoua salle 4 2492 Reportée
1216297 ELSOULDI Naima salle 4 2494 Reportée
1207694 EL-TAHELY Sana salle 4 2496 Reportée
1205152 ELYAKOUBI Fadma salle 4 2498 Reportée
1201595 ENANI Hicham salle 4 2500 Reportée
1220889 ENHILI ABDELILAH salle 4 2502
1203629 ENNAB Saida salle 4 2504
1204325 ENNACHAT Ayyoub salle 4 2506 Reportée
1203799 ENNACIRI Faical salle 4 2508 Reportée
1214053 ENNACIRI Naima salle 4 2510 Reportée
1110992 ENNACIRI Rabab salle 4 2512 Reportée1110992 ENNACIRI Rabab salle 4 2512 Reportée
1210894 ENNADIFI Kenza salle 4 2514
1115589 ENNAFAA SIDI AHMED salle 4 2516 Reportée
1219517 ENNAHDI Khalid salle 4 2518 Reportée
1102771 ENNAIM Ferdaous salle 4 2520 Reportée
1219739 ENNAIM Siham salle 4 2522 Reportée
1001116 ENNAJARI SANA salle 4 2524 Reportée
1101164 ENNAJI Asma salle 4 2526 Reportée
1205898 ENNAOURI Dounia salle 4 2528 Reportée
1216936 ENNASIRY Soukaina salle 4 2530
1207714 ENNAY Touria salle 4 2532 Reportée
1201075 ENNAZI Wafaa salle 4 2534 Reportée
1201385 EN-NEJMAOUI Abdelilah salle 4 2536 Reportée
1217503 ENNOUIDRATE MOHAMED LARBI salle 4 2538 Reportée
1217494 EN-NOUIFI OUSSAMA salle 4 2540 Reportée
1109384 ENOIR HAFCA salle 4 2542 Reportée
1201070 ER RAHHALI Fairouz salle 4 2544 Reportée
1220127 ER RAHHALY Loubna salle 4 2546 Reportée
1106669 ERRACHIDI Nezha salle 4 2548 Reportée
1211085 ERRACHIDI Rabiaa salle 4 2550 Reportée
Matière1: introduction aux sciences économiques
Matière2:Introduction aux sciences de gestion 26/54
Filière: Droit arabe
Faculté des sciences juridiques
et Economiques. Marrakech
N° Apogée Nom Prénom Local d'examen N° d'examen Matière1 Matière2
Université Cadi Ayyad
PV de surveillance: Session de rattrapage
2012-2013
Module: Introduction aux sciences économiques et de gestion
Semestre1 (nouveau système)
1209059 ERRACHIDI Samir salle 5 2552 Reportée
1201330 ERRAGADI Anas salle 5 2554 Reportée
1207007 ERRAHALI ABDELMAJID salle 5 2556 Reportée
1106702 ERRAHILI Fatima-zahra salle 5 2558 Reportée
1208153 ERRAHILI Hassan salle 5 2560 Reportée
1207062 ER-RAHMAOUY Saida salle 5 2562 Reportée
1220382 ERRAIS Abderrazak salle 5 2564
1206799 ER-RAMCHANY Rachida salle 5 2566 Reportée
1114405 ERRANNA MOHAMED ALI salle 5 2568 Reportée
1202836 ER-REBAA Yassine salle 5 2570 Reportée
1201083 ERRERHAOUI Soukaina salle 5 2572 Reportée
1108268 ER-RGUI Latifa salle 5 2574 Reportée
1204117 ERRIDA Raja salle 5 2576 Reportée
1105558 ERRIM Karima salle 5 2578 Reportée
7026950 ERROUBAI YOUSSEF A SAISIR salle 5 2580 Reportée
1207088 ERROUSY Aziz salle 5 2582 Reportée1207088 ERROUSY Aziz salle 5 2582 Reportée
1203734 ERZIQI Zouhir salle 5 2584 Reportée
1206417 ES SINNANI Youness salle 5 2586 Reportée
1205635 ESAHIB Jaouad salle 5 2588 Reportée
1210330 ESSAAFADI Fatima Ezzahra salle 5 2590 Reportée
1202071 ESSABBATI Soumia salle 5 2592 Reportée
1201254 ESSABHI Bouchra salle 5 2594 Reportée
1201316 ESSABHI Nadia salle 5 2596 Reportée
1100639 ES-SADEQY Fouad salle 5 2598 Reportée
1004170 ESSAFI SANA salle 5 2600 Reportée
1102163 ES-SAHL Aziz salle 5 2602 Reportée
1201088 ESSAHRAOUI Rahhal salle 5 2604
1201306 ESSAKHI AISSA salle 5 2606 Reportée
1219836 ESSAKOUTA Ayoub salle 5 2608
1216775 ESSALHI Abdelilah salle 5 2610 Reportée
1111586 ESSALHI Naima salle 5 2612
1100480 ES-SAMID Chamesed-dine salle 5 2614 Reportée
1219784 ESSAOUDI Soufiane salle 5 2616 Reportée
1205184 ESSARRAOUI Mohammed salle 5 2618
1219523 ESSARRAR Mouad salle 5 2620 Reportée
Matière1: introduction aux sciences économiques
Matière2:Introduction aux sciences de gestion 27/54
Filière: Droit arabe
Faculté des sciences juridiques
et Economiques. Marrakech
N° Apogée Nom Prénom Local d'examen N° d'examen Matière1 Matière2
Université Cadi Ayyad
PV de surveillance: Session de rattrapage
2012-2013
Module: Introduction aux sciences économiques et de gestion
Semestre1 (nouveau système)
1207986 ESSARRARR Nejma salle 7 2622 Reportée
1205187 ESSARSAR Wafa salle 7 2624
1201363 ESSEHARI Said salle 7 2626
1204082 ESSELLAMI Abdelghani salle 7 2628 Reportée
1108746 ES-SEMGANY Fatima salle 7 2630 Reportée
6025464 ESSENAK ABDELLAH A SAISIR salle 7 2632 Reportée
1202959 ESSERRAKH Iatimad salle 7 2634 Reportée
1108465 ESSERSAR Ahmad salle 7 2636 Reportée
1202751 ES-SIAD Sara salle 7 2638 Reportée
1106963 ESSIDDIQI Mounir salle 7 2640 Reportée
1213716 ES-SOHBANI Abdelouahed salle 7 2642 Reportée
1201271 ESSOUAFE Younes salle 7 2644 Reportée
1214836 ESSOULLAMI Mohamed Rida salle 7 2646 Reportée
1220015 ES-SOURNI Mohamed salle 7 2648 Reportée
1209399 ESSOURNI Akram salle 7 2650 Reportée
1203353 ETAYIBI Ahmed salle 7 2652 Reportée1203353 ETAYIBI Ahmed salle 7 2652 Reportée
1217557 ETOUYSI KHAOULA salle 7 2654 Reportée
1201686 ET-TAHIRI ABDELMOUTTALIB salle 7 2656 Reportée
1203841 ETTAHIRY Jaouad salle 7 2658
1100382 ETTAIA Ghizlane salle 7 2660 Reportée
1204955 ETTAIEB Abderrahim salle 7 2662 Reportée
1201664 ETTAKAFFOULI Wahiba salle 7 2664
1103756 ET-TALBI Wassila salle 7 2666 Reportée
1203150 ETTALBI Mohamed salle 7 2668
1202758 ETTALBI Mohammad salle 7 2670 Reportée
1205146 ETTALIE Marwa salle 7 2672
1201992 ET-TAMRY Hajar salle 7 2674 Reportée
1203215 ETTANATY M'BAREK salle 7 2676 Reportée
1210182 ET-TAOUAF Najia salle 7 2678 Reportée
1108660 ETTARFASS Mailamnine salle 7 2680 Reportée
1203650 EZ ZARFI Hicham salle 7 2682 Reportée
1202898 EZERRAF Aziza salle 7 2684 Reportée
1207314 EZRIA Ismail salle 7 2686 Reportée
1203661 EZRIBATE Zakariae salle 7 2688 Reportée
1003733 EZ-ZAARI RACHID salle 7 2690 Reportée
1204142 EZ-ZAARY Zakaria salle 7 2692 Reportée
1202967 EZZAHARI Donya salle 7 2694 Reportée
1109231 EZ-ZAHHAR Yassin salle 7 2696 Reportée
1220395 EZZAHIRE Abdellah salle 7 2698 Reportée
1217347 EZZAHIRI Aatika salle 7 2700
1204767 EZZAIGHI Nawal salle 7 2702 Reportée
1115610 EZZAKI Mohcine salle 7 2704 Reportée
1208606 EZZAOUI Souad salle 7 2706
Matière1: introduction aux sciences économiques
Matière2:Introduction aux sciences de gestion 28/54
Filière: Droit arabe
Faculté des sciences juridiques
et Economiques. Marrakech
N° Apogée Nom Prénom Local d'examen N° d'examen Matière1 Matière2
Université Cadi Ayyad
PV de surveillance: Session de rattrapage
2012-2013
Module: Introduction aux sciences économiques et de gestion
Semestre1 (nouveau système)
1111065 EZZEROUAL Karima salle 7 2708 Reportée
1218951 EZZIYADI Ilham salle 7 2710 Reportée
1209364 EZ-ZLIGUI Ali salle 7 2712 Reportée
Matière1: introduction aux sciences économiques
Matière2:Introduction aux sciences de gestion 29/54
Filière: Droit arabe
Faculté des sciences juridiques
et Economiques. Marrakech
N° Apogée Nom Prénom Local d'examen N° d'examen Matière1 Matière2
Université Cadi Ayyad
PV de surveillance: Session de rattrapage
2012-2013
Module: Introduction aux sciences économiques et de gestion
Semestre1 (nouveau système)
1204478 FADAD Ghizlane Amphi allal El Fassi 392
1219953 FADLANE Naima Amphi allal El Fassi 394 Reportée
1104626 FAGHRI BACHIR Amphi allal El Fassi 396
1209151 FAHIM Rabiaa Amphi allal El Fassi 398 Reportée
1209026 FAHMI Said Amphi allal El Fassi 400 Reportée
1220113 FAIDA Noura Amphi allal El Fassi 402 Reportée
1203075 FAIK Ismail Amphi allal El Fassi 404
1204828 FAKIR Kaoutar Amphi allal El Fassi 406 Reportée
1100337 FALFACH Ettalmidi Amphi allal El Fassi 408 Reportée
1102778 FALIH Soumia Amphi allal El Fassi 410 Reportée
1204902 FARAH Manal Amphi allal El Fassi 412 Reportée
1201561 FARAH Nabil Amphi allal El Fassi 414 Reportée
1211191 FARAH Zahira Amphi allal El Fassi 416 Reportée
1209624 FARASSI NAIMA Amphi allal El Fassi 418 Reportée
1201406 FAREH Khalid Amphi allal El Fassi 420 Reportée
1203288 FARES Soufyane Amphi allal El Fassi 422 Reportée1203288 FARES Soufyane Amphi allal El Fassi 422 Reportée
1201932 FARHAT Aziz Amphi allal El Fassi 424 Reportée
1208267 FARHAT Fayrouz Amphi allal El Fassi 426 Reportée
1204925 FARHI Abdlbarr Amphi allal El Fassi 428 Reportée
1210701 FARHI Khalid Amphi allal El Fassi 430 Reportée
1205186 FARIS Hasnaa Amphi allal El Fassi 432 Reportée
1203162 FARNOUSSE Saida Amphi allal El Fassi 434 Reportée
1216595 FAROUK MOHAMED Amphi allal El Fassi 436 Reportée
1204946 FATHELLAH Moad Amphi allal El Fassi 438 Reportée
1204547 FATHI Iman Amphi allal El Fassi 440 Reportée
1202375 FENNAN Hanane Amphi allal El Fassi 442 Reportée
1201047 FERDOUS SOKAYNA Amphi allal El Fassi 444 Reportée
1203306 FERHAN Hamid Amphi allal El Fassi 446
1101404 FGHIRE Soukaina Amphi allal El Fassi 448 Reportée
1203634 FIHAM Salwa Amphi allal El Fassi 450 Reportée
1201691 FIKRI Mouhcine Amphi allal El Fassi 452 Reportée
1204410 FILALI Mohamed Amphi allal El Fassi 454 Reportée
1107103 FILLALI Hasna Amphi allal El Fassi 456 Reportée
1201569 FNIDOU MOHAMED Amphi allal El Fassi 458 Reportée
1204278 FODIL Salah Amphi allal El Fassi 460
1204889 FOUNDOU Brahim Amphi allal El Fassi 462 Reportée
1201187 FOUNTI Aouatif Amphi allal El Fassi 464 Reportée
1204080 FOUQANI NOUR-EDDINE Amphi allal El Fassi 466
1201913 FRAIHATE Essaid Amphi allal El Fassi 468 Reportée
1219651 FRAIJA Otmane Amphi allal El Fassi 470 Reportée
1219607 FRIKHA Mohammed Amphi allal El Fassi 472 Reportée
1101619 GABARDI Samia Amphi allal El Fassi 474 Reportée
1201742 GADOUMY Raja Amphi allal El Fassi 476 Reportée
Matière1: introduction aux sciences économiques
Matière2:Introduction aux sciences de gestion 30/54
Filière: Droit arabe
Faculté des sciences juridiques
et Economiques. Marrakech
N° Apogée Nom Prénom Local d'examen N° d'examen Matière1 Matière2
Université Cadi Ayyad
PV de surveillance: Session de rattrapage
2012-2013
Module: Introduction aux sciences économiques et de gestion
Semestre1 (nouveau système)
1007481 GAJDAD ALI Amphi allal El Fassi 478 Reportée
1220792 GANOUNI RKIA Amphi allal El Fassi 480 Reportée
1203919 GARICH Ramzi Amphi allal El Fassi 482 Reportée
1201783 GASMI Soumia Amphi allal El Fassi 484 Reportée
1220052 GASMILI Mohamed Amphi allal El Fassi 486 Reportée
1001257 GDIEL SOUKAINA Amphi allal El Fassi 488 Reportée
1202286 GHAJJANE Mouhssine Amphi allal El Fassi 490
1205202 GHALBANE Mohamed Amphi allal El Fassi 492 Reportée
1201025 GHALIOUCHE Zouhir Amphi allal El Fassi 494 Reportée
1202509 GHALMI Intissar Amphi allal El Fassi 496
1219950 GHAMBI Amal Amphi allal El Fassi 498 Reportée
1204838 GHANAMI Noura Amphi allal El Fassi 500 Reportée
1203569 GHANDOUR Nizar Amphi allal El Fassi 502 Reportée
1220296 GHANIM Abdelilah Amphi allal El Fassi 504
1219441 GHANIM Hamza Amphi allal El Fassi 506
1202927 GHARIB Abdelmoughit Amphi allal El Fassi 5081202927 GHARIB Abdelmoughit Amphi allal El Fassi 508
1009182 GHASSAN KHAOULA Amphi allal El Fassi 510 Reportée
1114212 GHAZAL Leila Amphi allal El Fassi 512 Reportée
1202302 GHAZAOUAT Khadija Amphi allal El Fassi 514 Reportée
1219481 GHEZALA Hicham Amphi allal El Fassi 516 Reportée
1109633 GHIYAB Lahcen Amphi allal El Fassi 518 Reportée
1110789 GHOULAM Kamal Amphi allal El Fassi 520 Reportée
1217554 GOUBRAIM ISSAM Amphi allal El Fassi 522 Reportée
1202203 GOUCHGUE Kamal Amphi allal El Fassi 524 Reportée
1201998 GOUFAL Safaa Amphi allal El Fassi 526 Reportée
1111685 GOUGOU Yassin Amphi allal El Fassi 528 Reportée
1203813 GOULLA Achraf Amphi allal El Fassi 530 Reportée
1203681 GOUMNACEF Ilyas Amphi allal El Fassi 532 Reportée
1114517 GOURBI ABDELMOUNAIM Amphi allal El Fassi 534 Reportée
1220017 GREBIS Fala Amphi allal El Fassi 536 Reportée
1108103 GUACHOUR Mouad Amphi allal El Fassi 538 Reportée
1201665 GUELLI Redouane Amphi allal El Fassi 540 Reportée
1219902 GUESSAB Ahmed Amphi allal El Fassi 542 Reportée
1111067 GUIDAM Abdelhakim Amphi allal El Fassi 544 Reportée
1108503 GUOUAYCH Abdelali Amphi allal El Fassi 546 Reportée
1219291 GZOULI Youssef Amphi allal El Fassi 548 Reportée
1201759 GZOUMI Merieme Amphi allal El Fassi 550 Reportée
1210395 HABAL Sara Amphi allal El Fassi 552 Reportée
1201174 HABBOUCH Soufia Amphi allal El Fassi 554 Reportée
1202791 HACHIMI Monir Amphi allal El Fassi 556 Reportée
1219511 HADDADI RACHIDA Amphi allal El Fassi 558 Reportée
1202124 HADDI Maeleinine Amphi allal El Fassi 560 Reportée
1201318 HADDI Soufyane Amphi allal El Fassi 562 Reportée
Matière1: introduction aux sciences économiques
Matière2:Introduction aux sciences de gestion 31/54
Filière: Droit arabe
Faculté des sciences juridiques
et Economiques. Marrakech
N° Apogée Nom Prénom Local d'examen N° d'examen Matière1 Matière2
Université Cadi Ayyad
PV de surveillance: Session de rattrapage
2012-2013
Module: Introduction aux sciences économiques et de gestion
Semestre1 (nouveau système)
1202202 HADDOUCH Hichame Amphi allal El Fassi 564 Reportée
1216649 HADOUAR Raja Amphi allal El Fassi 566 Reportée
1209072 HADOUCH Youssef Amphi allal El Fassi 568 Reportée
1202292 HAFID Imane Amphi allal El Fassi 570
1112014 HAFIR Mustapha Amphi allal El Fassi 572 Reportée
1201842 HAIDA Hicham Amphi allal El Fassi 574 Reportée
1203197 HAIDA Mohammed Amphi allal El Fassi 576 Reportée
1212489 HAIDANE Mohamed Yeslem Amphi allal El Fassi 578 Reportée
1114439 HAIDOUR MOURAD Amphi allal El Fassi 580 Reportée
Matière1: introduction aux sciences économiques
Matière2:Introduction aux sciences de gestion 32/54
Filière: Droit arabe
Faculté des sciences juridiques
et Economiques. Marrakech
N° Apogée Nom Prénom Local d'examen N° d'examen Matière1 Matière2
Université Cadi Ayyad
PV de surveillance: Session de rattrapage
2012-2013
Module: Introduction aux sciences économiques et de gestion
Semestre1 (nouveau système)
1202344 HAIDOURI Soufiane Amphi ibn Rochd 882 Reportée
1210042 HAIDOUS Soukaina Amphi ibn Rochd 884 Reportée
1101389 HAINANE Fatima Ezzahra Amphi ibn Rochd 886 Reportée
1216749 HAJAJ YASSINE Amphi ibn Rochd 888 Reportée
1204190 HAJJAJI Abdelilah Amphi ibn Rochd 890 Reportée
1209050 HAJJI MOHAMED Amphi ibn Rochd 892 Reportée
1203825 HAJMANI El Mehdi Amphi ibn Rochd 894 Reportée
1201949 HAKIM Ayoub Amphi ibn Rochd 896
1106689 HALAB Hafid Amphi ibn Rochd 898 Reportée
1111208 HAL-EL FADL Aida Amphi ibn Rochd 900 Reportée
1204531 HALLAB Abdellah Amphi ibn Rochd 902 Reportée
1204412 HALLI Monir Amphi ibn Rochd 904 Reportée
1208760 HALLOUTA El Mahdi Amphi ibn Rochd 906 Reportée
1106486 HALOUACH Hamza Amphi ibn Rochd 908 Reportée
1202970 HALYM Noureddine Amphi ibn Rochd 910 Reportée
1201550 HAMADI Karima Amphi ibn Rochd 9121201550 HAMADI Karima Amphi ibn Rochd 912
1219554 HAMAMA Sara Amphi ibn Rochd 914 Reportée
1202316 HAMDAD Karima Amphi ibn Rochd 916 Reportée
1201690 HAMDI Berray Amphi ibn Rochd 918 Reportée
1114372 HAMIDI Lahcen Amphi ibn Rochd 920 Reportée
1111380 HAMIM Meryem Amphi ibn Rochd 922 Reportée
1004727 HAMMADI MOHAMMED Amphi ibn Rochd 924 Reportée
1107704 HAMMAZ Hanane Amphi ibn Rochd 926 Reportée
1201146 HAMMI Mustapha Amphi ibn Rochd 928 Reportée
1203998 HAMMIM Hicham Amphi ibn Rochd 930 Reportée
1201616 HAMMOUALI Abdelilah Amphi ibn Rochd 932 Reportée
1111331 HAMMOUDI Mohamed Amphi ibn Rochd 934 Reportée
1205226 HAMOU ESSALEK Amphi ibn Rochd 936 Reportée
1204915 HAMZA AOMAR Amphi ibn Rochd 938 Reportée
1201285 HAMZA Jellali Amphi ibn Rochd 940 Reportée
1204036 HAND Soukaina Amphi ibn Rochd 942 Reportée
1207825 HANDAOUI Oumaima Amphi ibn Rochd 944 Reportée
1201258 HANI Youness Amphi ibn Rochd 946 Reportée
1108117 HANINE Abdelkarim Amphi ibn Rochd 948 Reportée
1209108 HANTOUM Hamid Amphi ibn Rochd 950 Reportée
1205640 HAOUA Mohamed Amphi ibn Rochd 952 Reportée
1004421 HAOUASSE NEZHA Amphi ibn Rochd 954 Reportée
1203778 HAOUISS Jamal Amphi ibn Rochd 956 Reportée
5006264 HARAKATI BENNACEUR Amphi ibn Rochd 958
1201046 HARDAN Abdelmalik Amphi ibn Rochd 960
1204121 HARGUI Fatima Amphi ibn Rochd 962
1106860 HARI Mina Amphi ibn Rochd 964
1101960 HARIM Asmaa Amphi ibn Rochd 966 Reportée
Matière1: introduction aux sciences économiques
Matière2:Introduction aux sciences de gestion 33/54
Filière: Droit arabe
Faculté des sciences juridiques
et Economiques. Marrakech
N° Apogée Nom Prénom Local d'examen N° d'examen Matière1 Matière2
Université Cadi Ayyad
PV de surveillance: Session de rattrapage
2012-2013
Module: Introduction aux sciences économiques et de gestion
Semestre1 (nouveau système)
1100476 HAROUAK HOUDA Amphi ibn Rochd 968 Reportée
1220273 HAROUCH Khadija Amphi ibn Rochd 970 Reportée
1106503 HAROUK Abdellatif Amphi ibn Rochd 972 Reportée
1216654 HARRATI Abdelhakim Amphi ibn Rochd 974 Reportée
1111134 HARROUCHI FATIMA EZZAHRAE Amphi ibn Rochd 976 Reportée
1114493 HARTFI HASNA Amphi ibn Rochd 978 Reportée
1003473 HARTOUF YOUSSEF Amphi ibn Rochd 980 Reportée
1216718 HASNAOUI Iliass Amphi ibn Rochd 982 Reportée
1219508 HASSANI El Habib Amphi ibn Rochd 984 Reportée
1205616 HASSAR Ayoub Amphi ibn Rochd 986 Reportée
1204948 HASSIK Taoufiq Amphi ibn Rochd 988 Reportée
1201024 HAYAT Bouchra Amphi ibn Rochd 990
1204735 HAZIM Zahra Amphi ibn Rochd 992 Reportée
1201315 HCINE Karam-eddine Amphi ibn Rochd 994
1202228 HERTAL Amina Amphi ibn Rochd 996 Reportée
1202260 HERTAL Loubna Amphi ibn Rochd 998 Reportée1202260 HERTAL Loubna Amphi ibn Rochd 998 Reportée
1006176 HIDANE MOHAMED Amphi ibn Rochd 1000 Reportée
1210295 HILAL Mohamed Amphi ibn Rochd 1002 Reportée
1210728 HILMI Samira Amphi ibn Rochd 1004 Reportée
1111143 HISSE Younes Amphi ibn Rochd 1006 Reportée
1202904 HJAJI Azzedine Amphi ibn Rochd 1008 Reportée
1204452 HLILOU Khalid Amphi ibn Rochd 1010 Reportée
1113649 HMAIMA HAMID Amphi ibn Rochd 1012
1205072 HMAYDANE Halima Amphi ibn Rochd 1014
1208950 HMIDOUCH Ouafa Amphi ibn Rochd 1016
1203320 HMIMID ABDELAZIZ Amphi ibn Rochd 1018 Reportée
1203964 HMIMOU Mohamed Amphi ibn Rochd 1020
1203651 HOUDALI Anass Amphi ibn Rochd 1022 Reportée
1202325 HOULMANE Mohammed Amphi ibn Rochd 1024 Reportée
1009609 HOUSNI HATIM Amphi ibn Rochd 1026 Reportée
1201762 HSSINI Ihsane Amphi ibn Rochd 1028 Reportée
1202190 HYAYOU Charaf Amphi ibn Rochd 1030 Reportée
1211004 IAAZZA Soukaina Amphi ibn Rochd 1032 Reportée
1203957 IARABEN Yassine Amphi ibn Rochd 1034
1202221 IBARZAQ Youssef Amphi ibn Rochd 1036
1107564 IBENATAALLAH MUSTAPHA Amphi ibn Rochd 1038 Reportée
1100620 IBISSI Ismail Amphi ibn Rochd 1040 Reportée
1004120 IBN ELOTHMANI SANA Amphi ibn Rochd 1042 Reportée
1216716 IBN RAZZOUQ HANANE Amphi ibn Rochd 1044 Reportée
1106755 IBNOU EL ARAB Jaouad Amphi ibn Rochd 1046 Reportée
1202224 IBNOU ZAHER Anas Amphi ibn Rochd 1048 Reportée
1201356 ICHAIBI Azeddine Amphi ibn Rochd 1050 Reportée
1210053 ICHEREM Saida Amphi ibn Rochd 1052 Reportée
Matière1: introduction aux sciences économiques
Matière2:Introduction aux sciences de gestion 34/54
Filière: Droit arabe
Faculté des sciences juridiques
et Economiques. Marrakech
N° Apogée Nom Prénom Local d'examen N° d'examen Matière1 Matière2
Université Cadi Ayyad
PV de surveillance: Session de rattrapage
2012-2013
Module: Introduction aux sciences économiques et de gestion
Semestre1 (nouveau système)
1219693 ID MESSAOUD Soufiane Amphi ibn Rochd 1054 Reportée
1201933 IDARDAR Mohamed Amphi ibn Rochd 1056 Reportée
1219575 IDHAKI Saida Amphi ibn Rochd 1058
1219477 ID-HMMOU-OU HYA Yassine Amphi ibn Rochd 1060 Reportée
1204882 IDLAHSEN Nadia Amphi ibn Rochd 1062 Reportée
1203313 IDOUAKASS Sana Amphi ibn Rochd 1064
1202201 IGARDY Abdellah Amphi ibn Rochd 1066 Reportée
1111041 IGDEM Aicha Amphi ibn Rochd 1068 Reportée
1201924 IGHRAN Naoufal Amphi ibn Rochd 1070 Reportée
1201171 IGLISE Khadija Amphi ibn Rochd 1072 Reportée
1209086 IHCHACH Abdeljabbar Amphi ibn Rochd 1074
1203024 IHENKI Mohamed Amphi ibn Rochd 1076 Reportée
1217122 IHSANE Abdelghani Amphi ibn Rochd 1078 Reportée
1205762 IJJIG Sana Amphi ibn Rochd 1080
1209053 IKBANE Youssef Amphi ibn Rochd 1082 Reportée
1208881 IKEN Fatima Amphi ibn Rochd 1084 Reportée1208881 IKEN Fatima Amphi ibn Rochd 1084 Reportée
1108284 IKROU Sana Amphi ibn Rochd 1086 Reportée
1208761 ILALEN Soukaina Amphi ibn Rochd 1088 Reportée
1218841 ILALOUANI Khadija Amphi ibn Rochd 1090 Reportée
1209569 IMADIDENE Fatima Zahra Amphi ibn Rochd 1092 Reportée
1208845 IMASSADAN Bilal Amphi ibn Rochd 1094 Reportée
1206953 IMASSADAN Mustapha Amphi ibn Rochd 1096 Reportée
1205706 IMEDRANE Ayoub Amphi ibn Rochd 1098 Reportée
1201314 IMOULA Soukaina Amphi ibn Rochd 1100 Reportée
Matière1: introduction aux sciences économiques
Matière2:Introduction aux sciences de gestion 35/54
Filière: Droit arabe
Faculté des sciences juridiques
et Economiques. Marrakech
N° Apogée Nom Prénom Local d'examen N° d'examen Matière1 Matière2
Université Cadi Ayyad
PV de surveillance: Session de rattrapage
2012-2013
Module: Introduction aux sciences économiques et de gestion
Semestre1 (nouveau système)
1109162 IMRRAYNE Khalid Amphi mohamed El Fassi 1102 Reportée
1216763 IMZILNE Khadija Amphi mohamed El Fassi 1104 Reportée
1210306 INJAR Faiza Amphi mohamed El Fassi 1106
1114475 IRAOUI EL MOSTAFA Amphi mohamed El Fassi 1108 Reportée
1219688 IRHBOULA Rachid Amphi mohamed El Fassi 1110 Reportée
1008414 ISMAILI KHADIJATOU Amphi mohamed El Fassi 1112 Reportée
1201189 ISRA Yassin Amphi mohamed El Fassi 1114 Reportée
1106850 IZALMADEN Khalid Amphi mohamed El Fassi 1116 Reportée
1203612 JAA Omar Amphi mohamed El Fassi 1118 Reportée
1203666 JAAFAR M'hamed Amphi mohamed El Fassi 1120 Reportée
1112453 JAAFARI Abdelkarim Amphi mohamed El Fassi 1122 Reportée
1205217 JABBARY Laila Amphi mohamed El Fassi 1124 Reportée
1216739 JABBOUR Kamal Amphi mohamed El Fassi 1126 Reportée
1220894 JABER LAHCEN Amphi mohamed El Fassi 1128 Reportée
1203597 JABOUNE EL HOUSSAINE Amphi mohamed El Fassi 1130 Reportée
1204621 JABRANE Noura Amphi mohamed El Fassi 1132 Reportée1204621 JABRANE Noura Amphi mohamed El Fassi 1132 Reportée
1201255 JABRAOUI Abdelwahed Amphi mohamed El Fassi 1134 Reportée
1203801 JAD YASSINE Amphi mohamed El Fassi 1136 Reportée
1205139 JADIDI Abdessalam Amphi mohamed El Fassi 1138 Reportée
1210829 JAGUIGUIR Faysal Amphi mohamed El Fassi 1140 Reportée
1202192 JALAL Khadija Amphi mohamed El Fassi 1142 Reportée
1202044 JALLOUL Aziz Amphi mohamed El Fassi 1144 Reportée
1219849 JAMALEDDIN Essaid Amphi mohamed El Fassi 1146 Reportée
1204423 JANADI Hamza Amphi mohamed El Fassi 1148 Reportée
1208487 JANANE Redouane Amphi mohamed El Fassi 1150 Reportée
1201709 JAOUAD Lagribi Amphi mohamed El Fassi 1152
1105328 JAOUHARI Siham Amphi mohamed El Fassi 1154 Reportée
1216699 JARDOUNI Hana Amphi mohamed El Fassi 1156 Reportée
1216602 JARI AIT M'BAREK ABDESSAMADE Amphi mohamed El Fassi 1158 Reportée
1204724 JARID Abderrazzak Amphi mohamed El Fassi 1160 Reportée
1203222 JARRAF Hicham Amphi mohamed El Fassi 1162 Reportée
1102582 JAYED Ali Amphi mohamed El Fassi 1164 Reportée
1202536 JDAIA Soumia Amphi mohamed El Fassi 1166 Reportée
1107116 JDARI Hamid Amphi mohamed El Fassi 1168 Reportée
1205074 JDAY Fala Amphi mohamed El Fassi 1170 Reportée
1203174 JDDARH Abderrahim Amphi mohamed El Fassi 1172 Reportée
1217506 JELOUANE MOUHIEDDINE Amphi mohamed El Fassi 1174 Reportée
1108727 JIAD Hassna Amphi mohamed El Fassi 1176 Reportée
1101184 JIDER Chadia Amphi mohamed El Fassi 1178 Reportée
1105869 JILO Saloua Amphi mohamed El Fassi 1180 Reportée
1111293 JNAH Amine Amphi mohamed El Fassi 1182 Reportée
1203936 JNAHI Lahcen Amphi mohamed El Fassi 1184 Reportée
1103574 JNIDATE Aziza Amphi mohamed El Fassi 1186 Reportée
Matière1: introduction aux sciences économiques
Matière2:Introduction aux sciences de gestion 36/54
Filière: Droit arabe
Faculté des sciences juridiques
et Economiques. Marrakech
N° Apogée Nom Prénom Local d'examen N° d'examen Matière1 Matière2
Université Cadi Ayyad
PV de surveillance: Session de rattrapage
2012-2013
Module: Introduction aux sciences économiques et de gestion
Semestre1 (nouveau système)
1205917 JOHAR Mohamed Amphi mohamed El Fassi 1188
1202507 JOMAR Abderrahim Amphi mohamed El Fassi 1190 Reportée
1205088 JOUAL Amal Amphi mohamed El Fassi 1192 Reportée
1219918 JOUANI Sana Amphi mohamed El Fassi 1194 Reportée
1202703 JOUAOUI Narimane Amphi mohamed El Fassi 1196 Reportée
1110480 JOUHA Sanaa Amphi mohamed El Fassi 1198 Reportée
1203280 JOUIDI Abdelilah Amphi mohamed El Fassi 1200 Reportée
1101129 KAAB Fatima Zahra Amphi mohamed El Fassi 1202 Reportée
1210431 KAABI Kaoutar Amphi mohamed El Fassi 1204 Reportée
1210242 KABADI El Hassania Amphi mohamed El Fassi 1206 Reportée
1204437 KABIL Ayoub Amphi mohamed El Fassi 1208 Reportée
1104158 KABIRI Abdessalam Amphi mohamed El Fassi 1210 Reportée
1101241 KADIRI Issam Amphi mohamed El Fassi 1212 Reportée
1204930 KADIRY Abdelkarim Amphi mohamed El Fassi 1214 Reportée
1217018 KADRI Nassima Amphi mohamed El Fassi 1216 Reportée
1203210 KAHAF Mohamed Amphi mohamed El Fassi 1218 Reportée1203210 KAHAF Mohamed Amphi mohamed El Fassi 1218 Reportée
1219758 KAHKAH MOHAMED ALI Amphi mohamed El Fassi 1220 Reportée
1106585 KAIKAT Simohamed Amphi mohamed El Fassi 1222 Reportée
1210111 KAMEL Asma Amphi mohamed El Fassi 1224
1006978 KAMOUNI MOHAMED Amphi mohamed El Fassi 1226 Reportée
1202812 KANBOUA Ahmed Amphi mohamed El Fassi 1228 Reportée
1202961 KANTARI Abdelkarim Amphi mohamed El Fassi 1230
1103334 KARA Siyadtou Amphi mohamed El Fassi 1232 Reportée
1221024 KARA ZAKARIA Amphi mohamed El Fassi 1234 Reportée
1109953 KARAALILE Fatima Zahra Amphi mohamed El Fassi 1236 Reportée
1108774 KARAMI Safa Amphi mohamed El Fassi 1238 Reportée
1204936 KARIFI Loubna Amphi mohamed El Fassi 1240 Reportée
1217266 KARIM SOUKAINA Amphi mohamed El Fassi 1242 Reportée
1203613 KARNAMI Hicham Amphi mohamed El Fassi 1244 Reportée
1208689 KAROUAL Mohammed Amphi mohamed El Fassi 1246 Reportée
1106572 KARROUM Fatima Ezahra Amphi mohamed El Fassi 1248 Reportée
1202194 KASBI Asmaa Amphi mohamed El Fassi 1250 Reportée
1220245 KASSI Soufiane Amphi mohamed El Fassi 1252 Reportée
1102609 KENTAOUI Mariem Amphi mohamed El Fassi 1254 Reportée
1106797 KENTOUR Mohamed Amphi mohamed El Fassi 1256 Reportée
1201875 KERF Soukaina Amphi mohamed El Fassi 1258 Reportée
1004664 KERMELE REDA MOHAMED Amphi mohamed El Fassi 1260 Reportée
1204862 KETTAFE Fatima-ezzahra Amphi mohamed El Fassi 1262 Reportée
1201978 KEZDOUFI Said Amphi mohamed El Fassi 1264 Reportée
1201207 KEZZAR Khalid Amphi mohamed El Fassi 1266 Reportée
1205003 KHABAB Ghizlan Amphi mohamed El Fassi 1268 Reportée
1203218 KHABAL Zakaria Amphi mohamed El Fassi 1270 Reportée
1105020 KHACHIA ERRAHMAN Zahira Amphi mohamed El Fassi 1272 Reportée
Matière1: introduction aux sciences économiques
Matière2:Introduction aux sciences de gestion 37/54
Filière: Droit arabe
Faculté des sciences juridiques
et Economiques. Marrakech
N° Apogée Nom Prénom Local d'examen N° d'examen Matière1 Matière2
Université Cadi Ayyad
PV de surveillance: Session de rattrapage
2012-2013
Module: Introduction aux sciences économiques et de gestion
Semestre1 (nouveau système)
1202244 KHADDAD AYACHE Amphi mohamed El Fassi 1274 Reportée
1219464 KHADDOURI Nadira Amphi mohamed El Fassi 1276 Reportée
1210169 KHADIR Fatima Amphi mohamed El Fassi 1278 Reportée
1107131 KHADNOUCHI Halima Amphi mohamed El Fassi 1280 Reportée
1219857 KHAFIF Ikram Amphi mohamed El Fassi 1282 Reportée
1111211 KHAIRAT Bouchra Amphi mohamed El Fassi 1284 Reportée
1219919 KHAL Othmane Amphi mohamed El Fassi 1286 Reportée
1109550 KHALDI Fatima Amphi mohamed El Fassi 1288 Reportée
1101760 KHALDOUNI Soukaina Amphi mohamed El Fassi 1290 Reportée
1220381 KHALID MOHAMAD AMINE Amphi mohamed El Fassi 1292 Reportée
1220409 KHALIJ HAMZA Amphi mohamed El Fassi 1294 Reportée
1202493 KHALILI BRAHIM Amphi mohamed El Fassi 1296 Reportée
1201321 KHALIS ES-SAID Amphi mohamed El Fassi 1298 Reportée
1202599 KHALJALI Khadija Amphi mohamed El Fassi 1300
1211267 KHALLASSI Ali Amphi mohamed El Fassi 1302 Reportée
1219850 KHALLOUFI AFAF Amphi mohamed El Fassi 1304 Reportée1219850 KHALLOUFI AFAF Amphi mohamed El Fassi 1304 Reportée
1207099 KHALLOUK Salaheddine Amphi mohamed El Fassi 1306 Reportée
1111830 KHASMANI Siham Amphi mohamed El Fassi 1308 Reportée
1111908 KHASSAL Sabah Amphi mohamed El Fassi 1310 Reportée
1201244 KHATIR Mohamed Amphi mohamed El Fassi 1312 Reportée
1201771 KHATRANI Elmustapha Amphi mohamed El Fassi 1314 Reportée
1202087 KHATRANI Saida Amphi mohamed El Fassi 1316 Reportée
1114463 KHAYATI SALAH Amphi mohamed El Fassi 1318 Reportée
1109099 KHAYI Tariq Amphi mohamed El Fassi 1320 Reportée
1201178 KHERROU Khalid Amphi mohamed El Fassi 1322 Reportée
1204883 KHII Safae Amphi mohamed El Fassi 1324 Reportée
1203787 KHIRI Abdelkarim Amphi mohamed El Fassi 1326 Reportée
1210808 KHIROU MALIKA Amphi mohamed El Fassi 1328 Reportée
1201968 KHIZZIOUI Anas Amphi mohamed El Fassi 1330 Reportée
1202954 KHOUKHI Mohammed Amphi mohamed El Fassi 1332 Reportée
1210699 KHOUYA Fatiha Amphi mohamed El Fassi 1334 Reportée
1202263 KHOUYA Hasnaa Amphi mohamed El Fassi 1336 Reportée
1207053 KHOUYA Jaouad Amphi mohamed El Fassi 1338 Reportée
1202451 KHOUYI Mounssif Amphi mohamed El Fassi 1340 Reportée
1201095 KICHA Hicham Amphi mohamed El Fassi 1342 Reportée
1210582 KIJJI Nezha Amphi mohamed El Fassi 1344 Reportée
1205093 KILALI Ahmed Amphi mohamed El Fassi 1346 Reportée
1203238 KMACH Hassan Amphi mohamed El Fassi 1348 Reportée
1111049 KONSOU SOUFIANE Amphi mohamed El Fassi 1350 Reportée
1209806 KORAàCH Imane Amphi mohamed El Fassi 1352 Reportée
1203878 KORRAY Naoual Amphi mohamed El Fassi 1354 Reportée
1216765 KOUALAL Noura Amphi mohamed El Fassi 1356 Reportée
1204257 KOUBAIL Abdsamad Amphi mohamed El Fassi 1358 Reportée
Matière1: introduction aux sciences économiques
Matière2:Introduction aux sciences de gestion 38/54
Filière: Droit arabe
Faculté des sciences juridiques
et Economiques. Marrakech
N° Apogée Nom Prénom Local d'examen N° d'examen Matière1 Matière2
Université Cadi Ayyad
PV de surveillance: Session de rattrapage
2012-2013
Module: Introduction aux sciences économiques et de gestion
Semestre1 (nouveau système)
1219843 KOUCHAD Mohamed Amphi mohamed El Fassi 1360 Reportée
1201352 KOUIHEL Mehdi Amphi mohamed El Fassi 1362 Reportée
1201092 KOUISSI Sabrine Amphi mohamed El Fassi 1364 Reportée
1203722 KOUJOUTE Hicham Amphi mohamed El Fassi 1366
1202147 KOURD SARA Amphi mohamed El Fassi 1368 Reportée
1210892 KOURKACH Abderrahim Amphi mohamed El Fassi 1370 Reportée
1105901 KRATES Mehdi El Khir Amphi mohamed El Fassi 1372 Reportée
1203317 KSIKES Mohamed Elmehdi Amphi mohamed El Fassi 1374 Reportée
1218835 LAABABSI Zinab Amphi mohamed El Fassi 1376 Reportée
1105852 LAABAD Imad Amphi mohamed El Fassi 1378 Reportée
1202471 LAADYAME Hanane Amphi mohamed El Fassi 1380 Reportée
1208840 LAAFISSI ABDERRAHIM Amphi mohamed El Fassi 1382 Reportée
1202298 LAAGUIDI Soufyane Amphi mohamed El Fassi 1384 Reportée
1203298 LAALAYLI Soufiane Amphi mohamed El Fassi 1386 Reportée
1203726 LAAMIRI Moaad Amphi mohamed El Fassi 1388 Reportée
1220166 LAAMMARI Majdouline Amphi mohamed El Fassi 1390 Reportée1220166 LAAMMARI Majdouline Amphi mohamed El Fassi 1390 Reportée
Matière1: introduction aux sciences économiques
Matière2:Introduction aux sciences de gestion 39/54
Filière: Droit arabe
Faculté des sciences juridiques
et Economiques. Marrakech
N° Apogée Nom Prénom Local d'examen N° d'examen Matière1 Matière2
Université Cadi Ayyad
PV de surveillance: Session de rattrapage
2012-2013
Module: Introduction aux sciences économiques et de gestion
Semestre1 (nouveau système)
1219797 LAANANI Abdekhaq Amphi A 1392 Reportée
1202749 LAàNANI Mariem Amphi A 1394 Reportée
1202928 LAANAYA Hasna Amphi A 1396 Reportée
1219839 LAANAYA Zineb Amphi A 1398 Reportée
1205013 LAANIBRI Abderrahim Amphi A 1400
1220040 LAAOUINI Khadija Amphi A 1402
1205044 LAARAF Abdelkarim Amphi A 1404
1205051 LAARAGUE Moustapha Amphi A 1406
1202654 LAARAICHY Fatima Amphi A 1408 Reportée
1205659 LAARAJ Latifa Amphi A 1410 Reportée
1202563 LAAROUB Yassine Amphi A 1412
1108754 LAAROUD Mariam Amphi A 1414 Reportée
1209997 LAAROUSSI Khadija Amphi A 1416 Reportée
1201138 LAASSARI Amal Amphi A 1418
1102668 LAASSILIA MOHAMMED Amphi A 1420 Reportée
1204968 LAASSIRA Amal Amphi A 1422 Reportée1204968 LAASSIRA Amal Amphi A 1422 Reportée
1219949 LAASSIRI M'barka Alina Amphi A 1424 Reportée
1111113 LABANE Youssef Amphi A 1426 Reportée
1202117 LABBAIH Ahmed Baba Amphi A 1428 Reportée
1208813 LABHIH Khalid Amphi A 1430 Reportée
1201988 LABIAD Fatima Zahra Amphi A 1432 Reportée
1201154 LABIB Rida Amphi A 1434 Reportée
1208018 LABKAM Hayat Amphi A 1436 Reportée
1201217 LABRADAAI Mohamed Amphi A 1438 Reportée
1101014 LABROUMI Ahmed Amphi A 1440 Reportée
1104105 LABYAD Fatima-zahra Amphi A 1442 Reportée
1202997 LABYAD Mohamed Amphi A 1444 Reportée
1202256 LABYB Hicham Amphi A 1446 Reportée
1201928 LABZIOUI Safa Amphi A 1448 Reportée
1108725 LACHGAR Laila Amphi A 1450 Reportée
1111256 LACHHAB Karim Amphi A 1452 Reportée
1203621 LACHHAB Mahmoud Amphi A 1454 Reportée
1209971 LACHHEB AFAF Amphi A 1456 Reportée
1203300 LACHOIANI Hicham Amphi A 1458 Reportée
1220949 LADO HELLEN BULLEN Amphi A 1460 Reportée
1211170 LAFDALI Imane Amphi A 1462 Reportée
1203649 LAFKIHI Hayat Amphi A 1464 Reportée
1219562 LAFNASSI Houria Amphi A 1466 Reportée
1219397 LAFRIHI MAJDA Amphi A 1468 Reportée
1209098 LAFSI Lotfi Amphi A 1470 Reportée
1220042 LAFTAH Laaziza Amphi A 1472 Reportée
1219452 LAGDIH MARIAM Amphi A 1474 Reportée
Matière1: introduction aux sciences économiques
Matière2:Introduction aux sciences de gestion 40/54
Filière: Droit arabe
Faculté des sciences juridiques
et Economiques. Marrakech
N° Apogée Nom Prénom Local d'examen N° d'examen Matière1 Matière2
Université Cadi Ayyad
PV de surveillance: Session de rattrapage
2012-2013
Module: Introduction aux sciences économiques et de gestion
Semestre1 (nouveau système)
1110951 LAGHDACH Latifa Amphi B 1476 Reportée
1105319 LAGHZAOUI Es-said Amphi B 1478 Reportée
1202965 LAGRAMATE Mouatassim Amphi B 1480 Reportée
1210320 LAGRANE Hanane Amphi B 1482 Reportée
1111149 LAGRAOUI Rhizlane Amphi B 1484 Reportée
1203356 LAGRARI Khalid Amphi B 1486 Reportée
1219288 LAGSIMI Ilham Amphi B 1488 Reportée
1004851 LAGSIR RACHID Amphi B 1490 Reportée
1205249 LAHBABI Kamal Amphi B 1492 Reportée
1203177 LAHDILI Abdelftah Amphi B 1494 Reportée
1202408 LAHJILI Amine Amphi B 1496 Reportée
1201745 LAHJOUJ Fatima Ezzahra Amphi B 1498 Reportée
1207072 LAHJOUJY Hicham Amphi B 1500 Reportée
1205205 LAHKIM Rachid Amphi B 1502 Reportée
1204061 LAHLIOUI Hayam Amphi B 1504 Reportée
1201313 LAHLOU Rachid Amphi B 1506 Reportée1201313 LAHLOU Rachid Amphi B 1506 Reportée
1205673 LAHMADI Abd Ellah Amphi B 1508 Reportée
1106718 LAHMAICH Fadoua Amphi B 1510 Reportée
1219690 LAHMAM Rachid Amphi B 1512 Reportée
1114577 LAHMDI ABDELGHAFOUR Amphi B 1514
1110766 LAHMICHE Majda Amphi B 1516 Reportée
1209842 LAHMIDI Semai Amphi B 1518 Reportée
1204037 LAHNAOUI Mohamed Amine Amphi B 1520 Reportée
1219578 LAHNINE Abdessamad Amphi B 1522
1205235 LAHOUI Amina Amphi B 1524 Reportée
1108164 LAHRA Loubna Amphi B 1526 Reportée
1101140 LAHRACH Ilham Amphi B 1528 Reportée
1210309 LAHROUR Kholoud Amphi B 1530 Reportée
1201938 LAHSINI EL MUSTAPHA Amphi B 1532 Reportée
1216785 LAHYANE AZDINE Amphi B 1534 Reportée
1218996 LAIAS El Houcine Amphi B 1536 Reportée
1219402 LAKHAL EL MUSTAPHA Amphi B 1538 Reportée
1114573 LAKHDAR ACHRAF Amphi B 1540 Reportée
1205011 LAKHRIB Amina Amphi B 1542 Reportée
1100799 LAKLAI Tarik Amphi B 1544 Reportée
1220948 LAKO ARNES FAULO Amphi B 1546 Reportée
1219667 LAKOUABLI Fatima Zahra Amphi B 1548 Reportée
1209692 LAKOUAS Mohamed Amphi B 1550 Reportée
1219834 LAKOUIS Fadwa Amphi B 1552 Reportée
1203002 LAKRAD Youssef Amphi B 1554 Reportée
1201726 LAKRAD Zineb Amphi B 1556 Reportée
1111282 LAKRIMI Youssef Amphi B 1558 Reportée
Matière1: introduction aux sciences économiques
Matière2:Introduction aux sciences de gestion 41/54
Filière: Droit arabe
Faculté des sciences juridiques
et Economiques. Marrakech
N° Apogée Nom Prénom Local d'examen N° d'examen Matière1 Matière2
Université Cadi Ayyad
PV de surveillance: Session de rattrapage
2012-2013
Module: Introduction aux sciences économiques et de gestion
Semestre1 (nouveau système)
1101330 LAKTAM Abdel-jalil Amphi C 1560 Reportée
1204464 LAKTIB Majda Amphi C 1562 Reportée
1220080 LAMAIZI Elaziza Amphi C 1564 Reportée
1204931 LAMCHANDAG Hassan Amphi C 1566 Reportée
1201754 LAMFNEN Bouchra Amphi C 1568 Reportée
1204898 LAMIRAT Morad Amphi C 1570 Reportée
1210869 LAMKHOUBAL Hiba Amphi C 1572 Reportée
1219942 LAMLESS DOUNIA Amphi C 1574 Reportée
1209960 LAMOUSSI Fatima Ezzahra Amphi C 1576 Reportée
1219609 LAMRINI Mohamed Amphi C 1578 Reportée
1203330 LAMRIQCHI Mostapha Amphi C 1580 Reportée
1201011 LAMSAIRHRI Mustapha Amphi C 1582 Reportée
1204718 LAMSARNY SIHAME Amphi C 1584 Reportée
1204477 LAMSIKIN Ilham Amphi C 1586
1204981 LAMSSATTEF Zohra Amphi C 1588 Reportée
1107727 LAMZAOUAK Abderrazzak Amphi C 1590 Reportée1107727 LAMZAOUAK Abderrazzak Amphi C 1590 Reportée
1202643 LANSARI Ismail Amphi C 1592 Reportée
1104803 LANSARI Salah Eddine Amphi C 1594 Reportée
1209060 LANTIR Jaouad Amphi C 1596 Reportée
1202487 LAOUIBI Badia Amphi C 1598
1204446 LAOUID M'bark Amphi C 1600 Reportée
1204871 LAQDADRA BADREDDINE Amphi C 1602 Reportée
1219636 LAQRAA Hassna Amphi C 1604 Reportée
1216738 LAQRAA Khadija Amphi C 1606
1114561 LAQTIB SAID Amphi C 1608 Reportée
1100760 LARAICHI AMAL Amphi C 1610 Reportée
1210114 LARCHE Sana Amphi C 1612 Reportée
1114281 LARHRIB SAIDA Amphi C 1614 Reportée
1201622 LARHRISSI Laila Amphi C 1616 Reportée
1204358 LATIFI Abd El Ali Amphi C 1618
1202456 LATRACHE Halima Amphi C 1620 Reportée
1204152 LAZMAT Zakaria Amphi C 1622 Reportée
1205816 LBARANI Hamza Amphi C 1624 Reportée
1202568 LBECRAOUI Ibtissam Amphi C 1626 Reportée
1004764 LECHGUER YASSINE Amphi C 1628 Reportée
1219812 LEDRHEM Mohamed Amphi C 1630 Reportée
1109600 LEHMAD Mohamed Amphi C 1632 Reportée
1203580 LEMRHARI SALAH-EDDINE Amphi C 1634 Reportée
1210957 LEMZOUGUI Takia Amphi C 1636 Reportée
1205772 LGZOULI Fadila Amphi C 1638 Reportée
1201186 LIHMAD Ahmed Amphi C 1640 Reportée
1220697 LMOUDEN Samiha Amphi C 1642 Reportée
1202913 LOTFI Mohamed Amphi C 1644 Reportée
Matière1: introduction aux sciences économiques
Matière2:Introduction aux sciences de gestion 42/54
Filière: Droit arabe
Faculté des sciences juridiques
et Economiques. Marrakech
N° Apogée Nom Prénom Local d'examen N° d'examen Matière1 Matière2
Université Cadi Ayyad
PV de surveillance: Session de rattrapage
2012-2013
Module: Introduction aux sciences économiques et de gestion
Semestre1 (nouveau système)
1203832 LOUJAB Abdelhafid Amphi C 1646 Reportée
1200289 LOULOUD Kamal Amphi C 1648 Reportée
1001329 LOURIDI ZAHIRA Amphi C 1650 Reportée
1219696 LOUTFI Zine Elabidine Amphi C 1652 Reportée
1209538 LYAZIDI Fouad Amphi C 1654 Reportée
Matière1: introduction aux sciences économiques
Matière2:Introduction aux sciences de gestion 43/54
Filière: Droit arabe
Faculté des sciences juridiques
et Economiques. Marrakech
N° Apogée Nom Prénom Local d'examen N° d'examen Matière1 Matière2
Université Cadi Ayyad
PV de surveillance: Session de rattrapage
2012-2013
Module: Introduction aux sciences économiques et de gestion
Semestre1 (nouveau système)
1210251 MAASOU Youssef Amphi Cadi Ayyad 2 Reportée
1202222 MAASSOU Hafsa Amphi Cadi Ayyad 4 Reportée
1106839 MABCHOUR Noureddine Amphi Cadi Ayyad 6 Reportée
1201157 MABROUK Imane Amphi Cadi Ayyad 8 Reportée
1202135 MABROUK Mohamed Amphi Cadi Ayyad 10 Reportée
1110567 MACHEHOUR Karim Amphi Cadi Ayyad 12 Reportée
1219497 MACHIT ABDELILAH Amphi Cadi Ayyad 14 Reportée
1204705 MACHMACH Brahim Amphi Cadi Ayyad 16 Reportée
1203888 MADIH Anass Amphi Cadi Ayyad 18
1204837 MADIL Nadia Amphi Cadi Ayyad 20 Reportée
1209031 MAGNA Elmahdi Amphi Cadi Ayyad 22 Reportée
1200996 MAHASSINE Omar Amphi Cadi Ayyad 24
1200978 MAHMOUD Lahcen Amphi Cadi Ayyad 26 Reportée
1103864 MAJDAR Oufaa Amphi Cadi Ayyad 28 Reportée
1203115 MAKROUM Tarik Amphi Cadi Ayyad 30 Reportée
1219806 MALIKA Nait Khouya Mouh Amphi Cadi Ayyad 32 Reportée1219806 MALIKA Nait Khouya Mouh Amphi Cadi Ayyad 32 Reportée
1204003 MALKOUN Aziza Amphi Cadi Ayyad 34
1219618 MALLOUKI ABDESSAMAD Amphi Cadi Ayyad 36 Reportée
1208326 MAMAS Imane Amphi Cadi Ayyad 38 Reportée
1103370 MANETTA Mustapha Amphi Cadi Ayyad 40 Reportée
1219742 MANHIR Hanane Amphi Cadi Ayyad 42 Reportée
1203719 MARGOUL Redouane Amphi Cadi Ayyad 44 Reportée
1208778 MARIAM Kairoumi Amphi Cadi Ayyad 46 Reportée
1218995 MARICHANE Mouna Amphi Cadi Ayyad 48 Reportée
1202619 MARZAK Taha Amphi Cadi Ayyad 50
1005594 MARZOUQ MOHAMED Amphi Cadi Ayyad 52 Reportée
1203052 MASLIK Anouar Amphi Cadi Ayyad 54
1103709 MASSASSE Abderrazak Amphi Cadi Ayyad 56
1201710 MAYARA Ahmadnah Amphi Cadi Ayyad 58
1203979 MAYARA Cheikh Amphi Cadi Ayyad 60
1209594 MAYATI LEILA Amphi Cadi Ayyad 62 Reportée
1210179 MAYYAH Abdelhanine Amphi Cadi Ayyad 64 Reportée
1202360 MAZOUZ Dounia Amphi Cadi Ayyad 66 Reportée
1202111 MAZOUZ Ouafa Amphi Cadi Ayyad 68 Reportée
1201904 MCHILA Youssef Amphi Cadi Ayyad 70 Reportée
1210676 MEBROUK Ouissal Amphi Cadi Ayyad 72 Reportée
1111004 MEFTAH-ELKHAIR Abdelilah Amphi Cadi Ayyad 74 Reportée
1004057 MEGHROUSS HAFIDA Amphi Cadi Ayyad 76 Reportée
1219885 MEHRACH Hind Amphi Cadi Ayyad 78
1111045 MEJD Mohammed Amphi Cadi Ayyad 80 Reportée
1219559 MEJDOUBI Hala Amphi Cadi Ayyad 82
1112443 MEKHCHOUN Kamal Amphi Cadi Ayyad 84 Reportée
1201653 MELLAL Dalal Amphi Cadi Ayyad 86
Matière1: introduction aux sciences économiques
Matière2:Introduction aux sciences de gestion 44/54
Filière: Droit arabe
Faculté des sciences juridiques
et Economiques. Marrakech
N° Apogée Nom Prénom Local d'examen N° d'examen Matière1 Matière2
Université Cadi Ayyad
PV de surveillance: Session de rattrapage
2012-2013
Module: Introduction aux sciences économiques et de gestion
Semestre1 (nouveau système)
1205724 MENTAGUI Chaimaa Amphi Cadi Ayyad 88
1204617 MERZOUG Mounia Amphi Cadi Ayyad 90 Reportée
1207845 MESKOUR Rajaa Amphi Cadi Ayyad 92 Reportée
1204905 MESNAOUI Naima Amphi Cadi Ayyad 94 Reportée
1202319 M'GHIMIMA ABBA CHEIKH Amphi Cadi Ayyad 96
1219548 MGHYRA Jamila Amphi Cadi Ayyad 98 Reportée
1206447 MHILIL Redouane Amphi Cadi Ayyad 100 Reportée
1201589 MIFDAL Meriem Amphi Cadi Ayyad 102
1211315 MIFTAH EL KHEIR Fouad Amphi Cadi Ayyad 104 Reportée
1210891 MIMI Aziza Amphi Cadi Ayyad 106
1202559 MIMI Mohamed Amphi Cadi Ayyad 108
9293833 MIMIDE MARWANE Amphi Cadi Ayyad 110 Reportée
1210253 MIMOUN Karima Amphi Cadi Ayyad 112
1201116 MISSAOUI Sara Amphi Cadi Ayyad 114
1209076 MOHA Nabila Amphi Cadi Ayyad 116 Reportée
1203326 MOHAMED Sakine Amphi Cadi Ayyad 118 Reportée1203326 MOHAMED Sakine Amphi Cadi Ayyad 118 Reportée
1109385 MOJAHID Nora Amphi Cadi Ayyad 120
1210604 MOLYN Chaima Amphi Cadi Ayyad 122
1204589 MONTASSIR Ahmed Amphi Cadi Ayyad 124 Reportée
1203247 MORADI Hassan Amphi Cadi Ayyad 126 Reportée
1202920 MORO Farid Amphi Cadi Ayyad 128 Reportée
1205024 MOSLIH Amine Amphi Cadi Ayyad 130 Reportée
1202872 MOSLIH Dounia Amphi Cadi Ayyad 132 Reportée
1204782 MOSSAOUI Hanan Amphi Cadi Ayyad 134
1109883 MOTAHHIR Hind Amphi Cadi Ayyad 136 Reportée
1207741 MOUAKITI Mebarek Amphi Cadi Ayyad 138
1004538 MOUALIMI NOZHA Amphi Cadi Ayyad 140 Reportée
1203188 MOUDDEN Youness Amphi Cadi Ayyad 142 Reportée
1202757 MOUDNIB Youssef Amphi Cadi Ayyad 144
1108119 MOUFTAKHIR ASMA Amphi Cadi Ayyad 146
1205800 MOUGHAMI Lamia Amphi Cadi Ayyad 148 Reportée
1205787 MOUGHAMI Samia Amphi Cadi Ayyad 150
1201383 MOUGHFIR Khadija Amphi Cadi Ayyad 152
1203227 MOUHCINE Khadija Amphi Cadi Ayyad 154
1202841 MOUJAN Wasim Amphi Cadi Ayyad 156
1210580 MOUJID Fatima Ezzahra Amphi Cadi Ayyad 158
1203129 MOULAY ETALEB Fatima Ezzahra Amphi Cadi Ayyad 160 Reportée
1113602 MOULOUD Zineb Amphi Cadi Ayyad 162 Reportée
1204568 MOUMSSIK Fatima Amphi Cadi Ayyad 164 Reportée
1102017 MOUNTABIH Abdellatif Amphi Cadi Ayyad 166
1202225 MOUNTASSER Mohamed Amphi Cadi Ayyad 168 Reportée
1203856 MOUNTIR Mohammed Amphi Cadi Ayyad 170 Reportée
1000455 MOURIH CHAIMA Amphi Cadi Ayyad 172 Reportée
Matière1: introduction aux sciences économiques
Matière2:Introduction aux sciences de gestion 45/54
Filière: Droit arabe
Faculté des sciences juridiques
et Economiques. Marrakech
N° Apogée Nom Prénom Local d'examen N° d'examen Matière1 Matière2
Université Cadi Ayyad
PV de surveillance: Session de rattrapage
2012-2013
Module: Introduction aux sciences économiques et de gestion
Semestre1 (nouveau système)
1203207 MOUSSAHIM Youssef Amphi Cadi Ayyad 174 Reportée
1205113 MOUSSAYF Fouzia Amphi Cadi Ayyad 176 Reportée
1201566 MOUSTALI Soukayna Amphi Cadi Ayyad 178 Reportée
1002829 MOUTALI MOHAMMED Amphi Cadi Ayyad 180 Reportée
1210086 MOUTIA Hanane Amphi Cadi Ayyad 182 Reportée
1208140 MOUZARIA Hamza Amphi Cadi Ayyad 184 Reportée
1202033 MOUZOUNE Imad Amphi Cadi Ayyad 186
1106619 MRIDA Bouchra Amphi Cadi Ayyad 188 Reportée
1208811 MRIFEK Mohamed Amine Amphi Cadi Ayyad 190 Reportée
1205676 MRIOUDAT Bouchra Amphi Cadi Ayyad 192
1201703 MRIZIGU Rababe Amphi Cadi Ayyad 194
1204810 M'SOU Mohcine Amphi Cadi Ayyad 196 Reportée
1216317 MSSAAD Abderrazzak Amphi Cadi Ayyad 198
1210099 MTOUGGUI Hiba Amphi Cadi Ayyad 200
Matière1: introduction aux sciences économiques
Matière2:Introduction aux sciences de gestion 46/54
Filière: Droit arabe
Faculté des sciences juridiques
et Economiques. Marrakech
N° Apogée Nom Prénom Local d'examen N° d'examen Matière1 Matière2
Université Cadi Ayyad
PV de surveillance: Session de rattrapage
2012-2013
Module: Introduction aux sciences économiques et de gestion
Semestre1 (nouveau système)
1203269 MYAL Ismail Amphi Abou El Abbass Essebti 202 Reportée
1108294 MZOUER Abdelmajid Amphi Abou El Abbass Essebti 204 Reportée
1202859 NACHAT Youssef Amphi Abou El Abbass Essebti 206 Reportée
1106695 NACHITE Mohamed Amphi Abou El Abbass Essebti 208 Reportée
1109591 NADIM Souad Amphi Abou El Abbass Essebti 210 Reportée
1203639 NADIR Mourade Amphi Abou El Abbass Essebti 212 Reportée
1203954 NAHI Younes Amphi Abou El Abbass Essebti 214 Reportée
1219361 NAILI Soufiane Amphi Abou El Abbass Essebti 216
1204971 NAIM Meryem Amphi Abou El Abbass Essebti 218 Reportée
1111678 NAIM Rachid Amphi Abou El Abbass Essebti 220
1201792 NAINIA Ibtissam Amphi Abou El Abbass Essebti 222 Reportée
1202810 NAIT ZARAI Sana Amphi Abou El Abbass Essebti 224 Reportée
1115559 NAJAY Youness Amphi Abou El Abbass Essebti 226 Reportée
1102002 NAJAY Youssef Amphi Abou El Abbass Essebti 228 Reportée
1203152 NAJI Hafid Amphi Abou El Abbass Essebti 230 Reportée
1207093 NAJIH Abdellatif Amphi Abou El Abbass Essebti 2321207093 NAJIH Abdellatif Amphi Abou El Abbass Essebti 232
1219728 NASSER Meriam Amphi Abou El Abbass Essebti 234 Reportée
1201744 NASSIF Jamila Amphi Abou El Abbass Essebti 236
1220103 NATOUR Mohamed Amphi Abou El Abbass Essebti 238 Reportée
1219980 NAZIH HASNA Amphi Abou El Abbass Essebti 240
1108578 N'CILA Khadija Amphi Abou El Abbass Essebti 242
1105947 NEBBAG Hicham Amphi Abou El Abbass Essebti 244 Reportée
1204053 NESSI Laila Amphi Abou El Abbass Essebti 246 Reportée
1210005 N'GHIMA Najiya Amphi Abou El Abbass Essebti 248
1204911 NITIFI Manal Amphi Abou El Abbass Essebti 250
1201148 NKIRA Nezha Amphi Abou El Abbass Essebti 252 Reportée
1105733 NOUAMANI Yousra Amphi Abou El Abbass Essebti 254 Reportée
1201735 NOUBOUGH Youness Amphi Abou El Abbass Essebti 256 Reportée
1219817 OBIBA Abdel-ilah Amphi Abou El Abbass Essebti 258 Reportée
1204154 OIKHMAJJA Abdelmonim Amphi Abou El Abbass Essebti 260 Reportée
1204749 OKDA Mohammed Amphi Abou El Abbass Essebti 262
1219571 OMAIRY Jaouad Amphi Abou El Abbass Essebti 264 Reportée
1205049 OMOUIH Ayoub Amphi Abou El Abbass Essebti 266
1205206 OMRANI Hamza Amphi Abou El Abbass Essebti 268 Reportée
1004428 OUAABBOU YOUSSEF Amphi Abou El Abbass Essebti 270 Reportée
1203311 OUAALI Zouhair Amphi Abou El Abbass Essebti 272 Reportée
1211136 OUACHIKH Raja Amphi Abou El Abbass Essebti 274
1202366 OUACHOU Mohamed Amphi Abou El Abbass Essebti 276
1203953 OUACHT Saber Amphi Abou El Abbass Essebti 278 Reportée
1104937 OUADATE Salaheddine Amphi Abou El Abbass Essebti 280 Reportée
1206292 OUAGAG Khadija Amphi Abou El Abbass Essebti 282
1202211 OUAGHI Samir Amphi Abou El Abbass Essebti 284 Reportée
1219286 OUAKRIM Mohamed Amphi Abou El Abbass Essebti 286
Matière1: introduction aux sciences économiques
Matière2:Introduction aux sciences de gestion 47/54
Filière: Droit arabe
Faculté des sciences juridiques
et Economiques. Marrakech
N° Apogée Nom Prénom Local d'examen N° d'examen Matière1 Matière2
Université Cadi Ayyad
PV de surveillance: Session de rattrapage
2012-2013
Module: Introduction aux sciences économiques et de gestion
Semestre1 (nouveau système)
1203986 OUAMMI Khalid Amphi Abou El Abbass Essebti 288
1209710 OUAMOU Hasna Amphi Abou El Abbass Essebti 290
1107547 OUARBIA SAMIRA Amphi Abou El Abbass Essebti 292
1107161 OUAROUARID Yassine Amphi Abou El Abbass Essebti 294 Reportée
1204794 OUASKAR Fatima Amphi Abou El Abbass Essebti 296 Reportée
1208671 OUASKAR Raquia Amphi Abou El Abbass Essebti 298
1219704 OUASSIFA HASNAE Amphi Abou El Abbass Essebti 300 Reportée
1202217 OUATTA Hamza Amphi Abou El Abbass Essebti 302 Reportée
1201017 OUATTA Mustapha Amphi Abou El Abbass Essebti 304 Reportée
1203817 OUBAKKALA Aziz Amphi Abou El Abbass Essebti 306
1206198 OUBIDA Imane Amphi Abou El Abbass Essebti 308 Reportée
1203124 OUBLA Mustapha Amphi Abou El Abbass Essebti 310
1203196 OUBLAL Mohamed Amphi Abou El Abbass Essebti 312
1203092 OUBOKSSIM Rachida Amphi Abou El Abbass Essebti 314
1205021 OUBOUHSS Ilham Amphi Abou El Abbass Essebti 316
1210656 OUBOUHSS Ilhame Amphi Abou El Abbass Essebti 3181210656 OUBOUHSS Ilhame Amphi Abou El Abbass Essebti 318
1209081 OUCHIKHE RACHID Amphi Abou El Abbass Essebti 320 Reportée
1202875 OUDANGA Malika Amphi Abou El Abbass Essebti 322 Reportée
1205848 OUDEMNATE Malika Amphi Abou El Abbass Essebti 324
1205248 OUELD AADOU YOUSSEF Amphi Abou El Abbass Essebti 326
1202081 OUFRIT Hasnae Amphi Abou El Abbass Essebti 328
1203272 OUGAZDIR YASSINE Amphi Abou El Abbass Essebti 330
1203727 OUHMAD ABDELLAH Amphi Abou El Abbass Essebti 332 Reportée
1000529 OUHOUGUA ABDELLAH Amphi Abou El Abbass Essebti 334 Reportée
1211260 OUJAA Mohamed Amphi Abou El Abbass Essebti 336 Reportée
1201711 OUJAA Said Amphi Abou El Abbass Essebti 338 Reportée
1210444 OUKHOUYA Hanane Amphi Abou El Abbass Essebti 340 Reportée
1203592 OULAD SALH Mohamed Amphi Abou El Abbass Essebti 342 Reportée
1203301 OULADI Abdelaziz Amphi Abou El Abbass Essebti 344
1218840 OULASSRI Aicha Amphi Abou El Abbass Essebti 346
1110915 OULED BABA Charaf Eddine Amphi Abou El Abbass Essebti 348
1205805 OULFARSI Youssef Amphi Abou El Abbass Essebti 350
1219831 OULGOUR Tariq Amphi Abou El Abbass Essebti 352 Reportée
1106776 OULHANOU Latifa Amphi Abou El Abbass Essebti 354 Reportée
1107982 OULIDI Es-said Amphi Abou El Abbass Essebti 356
1219399 OULLA BTISSAM Amphi Abou El Abbass Essebti 358 Reportée
1114145 OUMAMA Karima Amphi Abou El Abbass Essebti 360
1111605 OURAHOU Zahra Amphi Abou El Abbass Essebti 362 Reportée
1106993 OURBAA Ahmed Amphi Abou El Abbass Essebti 364
1212495 OUSSAKT Youssef Amphi Abou El Abbass Essebti 366 Reportée
1205814 OUSSIDI Ahmad Amphi Abou El Abbass Essebti 368 Reportée
1200995 OUTAGHZOUT Youness Amphi Abou El Abbass Essebti 370 Reportée
1114162 OUTALATE MOURAD Amphi Abou El Abbass Essebti 372 Reportée
Matière1: introduction aux sciences économiques
Matière2:Introduction aux sciences de gestion 48/54
Filière: Droit arabe
Faculté des sciences juridiques
et Economiques. Marrakech
N° Apogée Nom Prénom Local d'examen N° d'examen Matière1 Matière2
Université Cadi Ayyad
PV de surveillance: Session de rattrapage
2012-2013
Module: Introduction aux sciences économiques et de gestion
Semestre1 (nouveau système)
1220180 OUZANE Latifa Amphi Abou El Abbass Essebti 374 Reportée
1204921 OUZIDANE Said Amphi Abou El Abbass Essebti 376
1205583 QABLI Abdelhadi Amphi Abou El Abbass Essebti 378 Reportée
1211033 QASSID Chorouk Amphi Abou El Abbass Essebti 380
1201617 RABBOUH Essaid Amphi Abou El Abbass Essebti 382 Reportée
1201394 RABEH Hicham Amphi Abou El Abbass Essebti 384 Reportée
1204939 RABICHI Kamal Amphi Abou El Abbass Essebti 386 Reportée
1102399 RABIE Youssef Amphi Abou El Abbass Essebti 388 Reportée
1202276 RACHDAN Faissel Amphi Abou El Abbass Essebti 390
Matière1: introduction aux sciences économiques
Matière2:Introduction aux sciences de gestion 49/54
Filière: Droit arabe
Faculté des sciences juridiques
et Economiques. Marrakech
N° Apogée Nom Prénom Local d'examen N° d'examen Matière1 Matière2
Université Cadi Ayyad
PV de surveillance: Session de rattrapage
2012-2013
Module: Introduction aux sciences économiques et de gestion
Semestre1 (nouveau système)
1109112 RACHDAOUI Abdellah Amphi Imam Malik 582 Reportée
1104982 RADI Naim Moubarik Amphi Imam Malik 584 Reportée
1208212 RADOUANE Brahim Amphi Imam Malik 586
1219875 RAFIQ Sakina Amphi Imam Malik 588 Reportée
1210579 RAFYA Wafa Amphi Imam Malik 590 Reportée
1114544 RAHILI ABDALLAH Amphi Imam Malik 592 Reportée
1108075 RAHILI Mona Amphi Imam Malik 594
1102937 RAHOUI Hasnaa Amphi Imam Malik 596 Reportée
1210735 RAJAH Meriam Amphi Imam Malik 598 Reportée
1201016 RAMI Soufiane Amphi Imam Malik 600 Reportée
1209509 RAOUI Amina Amphi Imam Malik 602 Reportée
1103986 RASSAM Brahim Amphi Imam Malik 604
1103693 RAZGUI Abd Hay Amphi Imam Malik 606 Reportée
1211254 R'BIBE Rabia Amphi Imam Malik 608 Reportée
1203046 RCHID Mustapha Amphi Imam Malik 610
1201216 RGUIBI Abdessadek Amphi Imam Malik 612 Reportée1201216 RGUIBI Abdessadek Amphi Imam Malik 612 Reportée
1204397 RGUIBI Mohamed Amphi Imam Malik 614 Reportée
1219557 RHAZAL Amina Amphi Imam Malik 616 Reportée
1103782 RHAZZAIFOU Bouchra Amphi Imam Malik 618 Reportée
1101580 RHIBA Salma Amphi Imam Malik 620 Reportée
1220418 RIAD Abdelghani Amphi Imam Malik 622 Reportée
1206818 RIAHI Soukaina Amphi Imam Malik 624 Reportée
1205687 RIBHY Rida Amphi Imam Malik 626 Reportée
1210302 RIDA Ntiçar Amphi Imam Malik 628 Reportée
1208600 RIDOUANE Khalid Amphi Imam Malik 630 Reportée
1202321 RIMAH Karima Amphi Imam Malik 632
1205006 RIYANI Abderrahim Amphi Imam Malik 634 Reportée
1201764 RMOUQUE Noura Amphi Imam Malik 636
1205224 ROMANI HABIBA Amphi Imam Malik 638 Reportée
1204953 ROUEBA Moussa Amphi Imam Malik 640 Reportée
1109577 ROUGGANY Mehdi Amphi Imam Malik 642 Reportée
1201776 ROUHI Achrafe Amphi Imam Malik 644 Reportée
1203109 ROUIBAA Isam Amphi Imam Malik 646 Reportée
1201873 SAADALLAOUI Naji Amphi Imam Malik 648 Reportée
1201127 SAADEN Fatima Zahra Amphi Imam Malik 650 Reportée
1205709 SAADI Fadoua Amphi Imam Malik 652 Reportée
1202078 SAADOUNI YOUSSEF Amphi Imam Malik 654 Reportée
1115567 SAAFADI Rabab Amphi Imam Malik 656
1204265 SAB Yassine Amphi Imam Malik 658 Reportée
1210290 SABAR Jamal Amphi Imam Malik 660
1208937 SABIR Mohamed Amphi Imam Malik 662
1203018 SABIR Youssef Amphi Imam Malik 664
1215867 SABOUA Abdelmalik Amphi Imam Malik 666 Reportée
Matière1: introduction aux sciences économiques
Matière2:Introduction aux sciences de gestion 50/54
Filière: Droit arabe
Faculté des sciences juridiques
et Economiques. Marrakech
N° Apogée Nom Prénom Local d'examen N° d'examen Matière1 Matière2
Université Cadi Ayyad
PV de surveillance: Session de rattrapage
2012-2013
Module: Introduction aux sciences économiques et de gestion
Semestre1 (nouveau système)
1205837 SABRAOUI Youssef Amphi Imam Malik 668
1220023 SABRI Imane Amphi Imam Malik 670
1108511 SABRI Kaoutar Amphi Imam Malik 672
1004745 SABRI MOSTAFA Amphi Imam Malik 674 Reportée
1210985 SABT Younes Amphi Imam Malik 676 Reportée
1220942 SADDIKI KHADIJA Amphi Imam Malik 678 Reportée
1203671 SADIK Abderrahim Amphi Imam Malik 680
1210971 SADIQ Houria Amphi Imam Malik 682 Reportée
1202446 SADIQ Mouna Amphi Imam Malik 684 Reportée
1204954 SADIQ Youssef Amphi Imam Malik 686
1100797 SADOUR Ahmed Amphi Imam Malik 688
1210675 SAFADI Btissam Amphi Imam Malik 690 Reportée
1201030 SAFADI Najoua Amphi Imam Malik 692
1104278 SAFOUANE Nadia Amphi Imam Malik 694 Reportée
1109143 SAGOUM Meriem Amphi Imam Malik 696 Reportée
1202897 SAHMOUDA Mouna Amphi Imam Malik 698 Reportée1202897 SAHMOUDA Mouna Amphi Imam Malik 698 Reportée
1209561 SAIDI Fouad Amphi Imam Malik 700 Reportée
1107622 SAIH Abdallah Amphi Imam Malik 702 Reportée
1204315 SAIH Jamila Amphi Imam Malik 704 Reportée
1003663 SAKAM NAJAT Amphi Imam Malik 706
1100484 SAKKAF Sara Amphi Imam Malik 708 Reportée
1101193 SALGHAF Mohamed Amphi Imam Malik 710 Reportée
1202150 SALLAM Bouchra Amphi Imam Malik 712
1200988 SALLAM Hassan Amphi Imam Malik 714 Reportée
1203226 SALLAMOUN Said Amphi Imam Malik 716 Reportée
1219662 SALLAMY Abderrahim Amphi Imam Malik 718 Reportée
1202924 SAMOUT Achraf Amphi Imam Malik 720
1203853 SAOUIBA Jaouad Amphi Imam Malik 722
1203654 SAOUIR Jalal Amphi Imam Malik 724
1107722 SARBIB Youssef Amphi Imam Malik 726
1219801 SARKOUH Soukaina Amphi Imam Malik 728 Reportée
1210401 SAT Mahjoub Amphi Imam Malik 730
1202347 SAYA Imane Amphi Imam Malik 732 Reportée
1204739 SAYLLAL Fatiha Amphi Imam Malik 734 Reportée
1202337 SAYOU Khalid Amphi Imam Malik 736
1210328 SBIK Abdelaali Amphi Imam Malik 738 Reportée
1204511 SDY Raja Amphi Imam Malik 740 Reportée
1219059 SEDKI Fouzia Amphi Imam Malik 742
1100399 SELYAN Elyazid Amphi Imam Malik 744 Reportée
1114167 SERBOUT Zahra Amphi Imam Malik 746 Reportée
1108116 SERKOUH Hsaine Amphi Imam Malik 748 Reportée
1210960 SIDI ALI Mohamed Amphi Imam Malik 750 Reportée
1201367 SIMAMRI Hasna Amphi Imam Malik 752 Reportée
Matière1: introduction aux sciences économiques
Matière2:Introduction aux sciences de gestion 51/54
Filière: Droit arabe
Faculté des sciences juridiques
et Economiques. Marrakech
N° Apogée Nom Prénom Local d'examen N° d'examen Matière1 Matière2
Université Cadi Ayyad
PV de surveillance: Session de rattrapage
2012-2013
Module: Introduction aux sciences économiques et de gestion
Semestre1 (nouveau système)
1203916 SIYAD Youssef Amphi Imam Malik 754 Reportée
1204206 SLITINE JINANE Amphi Imam Malik 756 Reportée
1103827 SNABEL Nouhila Amphi Imam Malik 758 Reportée
1203164 SOLAHMANI YOUNES Amphi Imam Malik 760
1204608 SOUALEM Abdelhadi Amphi Imam Malik 762 Reportée
1206916 SOUBAI Fatima-ezzahra Amphi Imam Malik 764 Reportée
1204052 SOUFIANI Mohamed Amphi Imam Malik 766 Reportée
1201612 SOUKAINA Marrah Amphi Imam Malik 768
1202183 SOUKTI Zainab Amphi Imam Malik 770
1209114 SRABOU Ghalla Amphi Imam Malik 772
1113152 SRHILFI Fatima Zahra Amphi Imam Malik 774 Reportée
1203610 TABAANDOUST Abdellah Amphi Imam Malik 776 Reportée
1005011 TABIAI MOAD Amphi Imam Malik 778 Reportée
1104022 TAGHZAOUI Younes Amphi Imam Malik 780 Reportée
1104118 TAGOURRAMT ABDESALAM Amphi Imam Malik 782 Reportée
1114319 TAGUENITI Soumia Amphi Imam Malik 784 Reportée1114319 TAGUENITI Soumia Amphi Imam Malik 784 Reportée
1219619 TAHDAOUI Halima Amphi Imam Malik 786 Reportée
1111100 TAHDAOUI Rachid Amphi Imam Malik 788 Reportée
1210946 TAHNI Soukayna Amphi Imam Malik 790
1203344 TAHOUR BRAHIM Amphi Imam Malik 792 Reportée
1203338 TAHOUR RACHID Amphi Imam Malik 794 Reportée
1209169 TAHRI Mohamed Amphi Imam Malik 796
1205081 TAI Fatima Zahra Amphi Imam Malik 798 Reportée
1205137 TAIA Youssef Amphi Imam Malik 800
1111036 TAICHA IAMAD Amphi Imam Malik 802 Reportée
1114261 TAIK Fatima Amphi Imam Malik 804 Reportée
1204345 TAISSIR Yassine Amphi Imam Malik 806 Reportée
1219964 TAKI Taoufik Amphi Imam Malik 808 Reportée
1202457 TAKNANT Mariam Amphi Imam Malik 810
1203213 TAKRIMCHA Mohamed Amphi Imam Malik 812
1211297 TALIBI Yassine Amphi Imam Malik 814
1201100 TAMI Hnia Amphi Imam Malik 816 Reportée
1107779 TAMI Imad Amphi Imam Malik 818 Reportée
1203846 TANDOUFT Hicham Amphi Imam Malik 820 Reportée
1000601 TANTAOUI MARWANE Amphi Imam Malik 822 Reportée
1005699 TANTAOUI SOUFIANE Amphi Imam Malik 824 Reportée
1108944 TAOUFIKALLAH Amal Amphi Imam Malik 826
1220124 TAOUFIQ Samira Amphi Imam Malik 828
1219783 TAOUMI Abdllatif Amphi Imam Malik 830 Reportée
1201606 TAOUMI Bachir Amphi Imam Malik 832 Reportée
1220227 TARIB Abdessamia Amphi Imam Malik 834
1220239 TARIB AZIZA Amphi Imam Malik 836 Reportée
1202595 TARIK Sana Amphi Imam Malik 838 Reportée
Matière1: introduction aux sciences économiques
Matière2:Introduction aux sciences de gestion 52/54
Filière: Droit arabe
Faculté des sciences juridiques
et Economiques. Marrakech
N° Apogée Nom Prénom Local d'examen N° d'examen Matière1 Matière2
Université Cadi Ayyad
PV de surveillance: Session de rattrapage
2012-2013
Module: Introduction aux sciences économiques et de gestion
Semestre1 (nouveau système)
1108505 TAZROURT Hanan Amphi Imam Malik 840 Reportée
1220386 TEMRI Fatima Ezzahra Amphi Imam Malik 842
1219757 TETBAT Wahiba Amphi Imam Malik 844 Reportée
1220427 TIGHOULA SAID Amphi Imam Malik 846 Reportée
1108433 TIRAOUI MARIEM Amphi Imam Malik 848 Reportée
1102162 TIZZA Meriem Amphi Imam Malik 850 Reportée
1210273 TMADLI Meriem Amphi Imam Malik 852 Reportée
1210638 TOUCHANI Majda Amphi Imam Malik 854 Reportée
1201715 TOUGUI Kanza Amphi Imam Malik 856
1201720 TOUIZI Khalil Amphi Imam Malik 858 Reportée
1202153 TOUKBANI Salima Amphi Imam Malik 860
1202464 TOURAB Asmae Amphi Imam Malik 862 Reportée
1202323 TYAMAZI Aadil Amphi Imam Malik 864 Reportée
1211274 YAHYAOUI Mohamed Amphi Imam Malik 866
1209823 YAKINI Loubna Amphi Imam Malik 868
1205056 YAKOUBI Youssef Amphi Imam Malik 870 Reportée1205056 YAKOUBI Youssef Amphi Imam Malik 870 Reportée
1204525 YAMMEL Abdelhakim Amphi Imam Malik 872 Reportée
1203989 YOUSSEF Ouballa Amphi Imam Malik 874 Reportée
1114217 YOUSSOFI OUAFAE Amphi Imam Malik 876 Reportée
1217566 YOUZALEN BAHIJA Amphi Imam Malik 878 Reportée
1204793 ZAAMI Naoual Amphi Imam Malik 880
Matière1: introduction aux sciences économiques
Matière2:Introduction aux sciences de gestion 53/54
Filière: Droit arabe
Faculté des sciences juridiques
et Economiques. Marrakech
N° Apogée Nom Prénom Local d'examen N° d'examen Matière1 Matière2
Université Cadi Ayyad
PV de surveillance: Session de rattrapage
2012-2013
Module: Introduction aux sciences économiques et de gestion
Semestre1 (nouveau système)
1111043 ZAAZAA El Mahdi salle 1 2272 Reportée
1202232 ZAHER Abderazzak salle 1 2274
1201574 ZAHIM Abdelmoghit salle 1 2276 Reportée
1103909 ZAHIR Khadija salle 1 2278 Reportée
1219421 ZAHIR Majda salle 1 2280 Reportée
1209530 ZAHIR Nadia salle 1 2282
1208289 ZAHIR Zakia salle 1 2284 Reportée
1201872 ZAHLANE Ibtissam salle 1 2286 Reportée
1205831 ZAKARIA Maa salle 1 2288 Reportée
1111510 ZAKKARI Abdessalem salle 1 2290 Reportée
1202035 ZAOUINI Abdelmounaim salle 1 2292
1209648 ZAROUAL Khadija salle 1 2294 Reportée
1204751 ZARTIT Fatima Ezzahra salle 1 2296 Reportée
1203682 ZAYOUD Mohamed salle 1 2298 Reportée
1203994 ZAZZA Ahmed salle 1 2300
1106130 ZEBDI Abdelmonaine salle 1 2302 Reportée1106130 ZEBDI Abdelmonaine salle 1 2302 Reportée
1201723 ZEGLALI Adnane salle 1 2304 Reportée
1210731 ZEHOUA Mohamed salle 1 2306 Reportée
9292803 ZEHOUANI MOHAMED AMINE salle 1 2308 Reportée
1219646 ZEHZOUHI ZAGHLOUL Salim salle 1 2310
1201962 ZERAR Mohamed salle 1 2312 Reportée
1109989 ZERDAOUI Touria salle 1 2314 Reportée
1210977 ZEROUAL Haytam salle 1 2316 Reportée
1107091 ZEROUAL Nabil salle 1 2318 Reportée
1107752 ZEROUALI Fatima-ezzahra salle 1 2320 Reportée
1208480 ZEROUALI Mansour salle 1 2322
1202828 ZIABAT Youness salle 1 2324
1204845 ZIANI Hasan salle 1 2326
1220125 ZIATE Mariem salle 1 2328
1217551 ZIDANE JIHAD salle 1 2330
1107048 ZIDOUNI Amal salle 1 2332 Reportée
1219002 ZIKRAOUI Hafid salle 1 2334
1204842 ZIOUI Khaoula salle 1 2336 Reportée
1203765 ZITOUNI Wadia salle 1 2338 Reportée
1203291 ZOIUNE Mohamed salle 1 2340
1204979 ZOUGGAR Naoual salle 1 2342
1107165 ZOUITA Oussama salle 1 2344
1202476 ZOUIZI Kaotar salle 1 2346 Reportée
1201101 ZOULITE Mimoune salle 1 2348 Reportée
1101656 ZROUKI Soufiane salle 1 2350 Reportée
1203208 ZYATE Hamza salle 1 2352
Matière1: introduction aux sciences économiques
Matière2:Introduction aux sciences de gestion 54/54

S1 ratt-dra-automne-13

  • 1.
    Filière: Droit arabe Facultédes sciences juridiques et Economiques. Marrakech N° Apogée Nom Prénom Local d'examen N° d'examen Matière1 Matière2 1100767 AABID Youness Amphi Allal El Fassi 392 Reportée 1100694 AALLOU ABDELWAHAD Amphi Allal El Fassi 394 Reportée 1204214 AAMAR Imane Amphi Allal El Fassi 396 1219954 AAMARA Ghita Amphi Allal El Fassi 398 1219724 AAMOR Abdelouahed Amphi Allal El Fassi 400 1003839 AAMRAOUY CHARAF EDDINE Amphi Allal El Fassi 402 Reportée 1220408 AAOUA HAKIMA Amphi Allal El Fassi 404 1101522 AARAB Wissal Amphi Allal El Fassi 406 Reportée 1110012 ABADI Marouane Amphi Allal El Fassi 408 Reportée 1114542 ABAHAZEM TOURIA Amphi Allal El Fassi 410 Reportée 1103850 ABAIHI Mohamed Salah Amphi Allal El Fassi 412 Reportée 1109347 ABDELLAOUI Ibtissam Amphi Allal El Fassi 414 Reportée 1101351 ABDELMOUMNI Fatima Ezzahra Amphi Allal El Fassi 416 Reportée 1220407 ABDROUMA HALIMA Amphi Allal El Fassi 418 1204750 ABED Maryeme Amphi Allal El Fassi 420 1114400 ABENAY RACHIDA Amphi Allal El Fassi 422 Reportée 1201163 ABID ABDETOUAB Amphi Allal El Fassi 424 1100400 ABIDAR ZOHRA Amphi Allal El Fassi 426 Reportée Université Cadi Ayyad PV de surveillance: Session de rattrapage Module: Langue et communication 2012-2013 Semestre1 (nouveau système) 1200998 ABOU ALI Abdelkabir Amphi Allal El Fassi 428 1111268 ABOU EL HAZAIZ Abdeslam Amphi Allal El Fassi 430 Reportée 1201661 ABOUDERKA Hassan Amphi Allal El Fassi 432 1003126 ABOUELFATH OUAFAE Amphi Allal El Fassi 434 Reportée 1004242 ABOUESSAOUD NOURA Amphi Allal El Fassi 436 Reportée 1111706 ABOUFIRAS Fatima Ezzahra Amphi Allal El Fassi 438 Reportée 1107067 ABOU-HIDA Mina Amphi Allal El Fassi 440 Reportée 1103919 ABOUKASSIM ELIDRISSI Karima Amphi Allal El Fassi 442 Reportée 1202909 ABOUKIR Hayate Amphi Allal El Fassi 444 1107808 ABOULFATH Mohamed Amphi Allal El Fassi 446 Reportée 1209067 ABOULHOUDA Abdelhak Amphi Allal El Fassi 448 1209109 ABOULQUASIM Abdelouhed Amphi Allal El Fassi 450 1104143 ABOUNAJIB Imad Amphi Allal El Fassi 452 Reportée 1219654 ABOUSAID Fatima Amphi Allal El Fassi 454 1201716 ABOUTAHIR Fatima Zahra Amphi Allal El Fassi 456 1204090 ABOUTIR Ahmad Amphi Allal El Fassi 458 1202295 ABOUZID Latifa Amphi Allal El Fassi 460 1101715 ACHBAKOU MOHAMED Amphi Allal El Fassi 462 Reportée 1203794 ACHLIHATE Hamid Amphi Allal El Fassi 464 1102755 ACHRAF Ait Boussarhan Amphi Allal El Fassi 466 Reportée 1004921 ACHROUAAT RADOUANE Amphi Allal El Fassi 468 Reportée 1201035 ADALI Abdellatif Amphi Allal El Fassi 470 1218894 ADDADE Chaimae Amphi Allal El Fassi 472 1105246 ADDI Hadhom Amphi Allal El Fassi 474 Reportée 1203984 ADERRAGUI Abdelouahab Amphi Allal El Fassi 476 1203267 AFIRI Hamid Amphi Allal El Fassi 478 1000625 AFKIR ABDELMONIM Amphi Allal El Fassi 480 Reportée 1105455 AFROUSS Hicham Amphi Allal El Fassi 482 Reportée 1111672 AGDOUZ Moaad Amphi Allal El Fassi 484 Reportée Matière1: Français Matière2: Méthodologie du travail 1/50
  • 2.
    Filière: Droit arabe Facultédes sciences juridiques et Economiques. Marrakech N° Apogée Nom Prénom Local d'examen N° d'examen Matière1 Matière2 Université Cadi Ayyad PV de surveillance: Session de rattrapage Module: Langue et communication 2012-2013 Semestre1 (nouveau système) 1110887 AGHARNI Taoufiq Amphi Allal El Fassi 486 1208959 AGHOUINITE Zouinouha Amphi Allal El Fassi 488 1205867 AGNAOU Abdelhak Amphi Allal El Fassi 490 1112793 AGNIER Rachid Amphi Allal El Fassi 492 1110874 AGOURRAM Ismail Amphi Allal El Fassi 494 Reportée 1111000 AHAIK Hanan Amphi Allal El Fassi 496 Reportée 1111055 AHAJJAM Aissame Amphi Allal El Fassi 498 Reportée 1104257 AHARABOUS Ismail Amphi Allal El Fassi 500 1101936 AHIZOUN Abdelhaq Amphi Allal El Fassi 502 Reportée 1219884 AHJIR Said Amphi Allal El Fassi 504 1115573 AHL HMAD MOHAMED FADEL Amphi Allal El Fassi 506 Reportée 1003961 AHLAL MOHAMMED Amphi Allal El Fassi 508 Reportée 1202524 AHLIGUINOU Najia Amphi Allal El Fassi 510 1108092 AHMED BABA Baamar Amphi Allal El Fassi 512 Reportée 1110445 AHSINA Khadija Amphi Allal El Fassi 514 Reportée 1203233 AIDANE Youssef Amphi Allal El Fassi 516 1210470 AIDANI Rachida Amphi Allal El Fassi 518 1219521 AINOUSS Sif Eddine Amphi Allal El Fassi 520 1107642 AIT ABBOU Said Amphi Allal El Fassi 522 Reportée 1108711 AIT ABDELLAH Yassine Amphi Allal El Fassi 524 Reportée 1106485 AIT ALLA Loubna Amphi Allal El Fassi 526 1110026 AIT AZZI Lahcen Amphi Allal El Fassi 528 Reportée 1110310 AIT BAAMRANE Ismail Amphi Allal El Fassi 530 Reportée 1111163 AIT BAHA NAADI Ghizlane Amphi Allal El Fassi 532 Reportée 1202857 AIT BALLOUK Morad Amphi Allal El Fassi 534 1207488 AIT BELLA Said Amphi Allal El Fassi 536 80004825 AIT BEN AMGHAR IMANE Amphi Allal El Fassi 538 1205856 AIT BEN OUISSADEN Abdelmoumen Amphi Allal El Fassi 540 1205880 AIT BEN OUISSADEN Issam Amphi Allal El Fassi 542 1102553 AIT BENSEKKOUR Sara Amphi Allal El Fassi 544 Reportée 1108061 AIT BIHI Hasna Amphi Allal El Fassi 546 Reportée 1201310 AIT BOUHADOU Zineb Amphi Allal El Fassi 548 1111206 AIT BOUYAHIA Amina Amphi Allal El Fassi 550 Reportée 1204092 AIT BRAIM Ouiam Amphi Allal El Fassi 552 1110002 AIT CHOUIYA Lobna Amphi Allal El Fassi 554 Reportée 1208781 AIT DAOUDI Oussama Amphi Allal El Fassi 556 1107060 AIT EL MAKI Abdelelah Amphi Allal El Fassi 558 Reportée 1105866 AIT ELADEL Zakia Amphi Allal El Fassi 560 Reportée 1219955 AIT ELASRI NOUR EDDINE Amphi Allal El Fassi 562 1104562 AIT ELHANAFI Ali Amphi Allal El Fassi 564 Reportée 1202570 AIT ELJAMAA Mustapha Amphi Allal El Fassi 566 1004712 AIT ELMAGHROUSS LAHCEN Amphi Allal El Fassi 568 Reportée 1201362 AIT FATEH Ouafa Amphi Allal El Fassi 570 1210930 AIT FDIL Khoubaib Amphi Allal El Fassi 572 1109814 AIT HADDI Abdelhafid Amphi Allal El Fassi 574 Reportée 1219705 AIT HAMMOUDOU Mbark Amphi Allal El Fassi 576 1108587 AIT HAMOU BAHA Amina Amphi Allal El Fassi 578 Reportée Matière1: Français Matière2: Méthodologie du travail 2/50
  • 3.
    Filière: Droit arabe Facultédes sciences juridiques et Economiques. Marrakech N° Apogée Nom Prénom Local d'examen N° d'examen Matière1 Matière2 Université Cadi Ayyad PV de surveillance: Session de rattrapage Module: Langue et communication 2012-2013 Semestre1 (nouveau système) 1203942 AIT HSAINE Youssef Amphi Allal El Fassi 580 Matière1: Français Matière2: Méthodologie du travail 3/50
  • 4.
    Filière: Droit arabe Facultédes sciences juridiques et Economiques. Marrakech N° Apogée Nom Prénom Local d'examen N° d'examen Matière1 Matière2 Université Cadi Ayyad PV de surveillance: Session de rattrapage Module: Langue et communication 2012-2013 Semestre1 (nouveau système) 1107553 AIT IDIR Choayb Amphi ibn Rochd 882 Reportée 1113794 AIT KADIR Abdelhadi Amphi Ibn Rochd 884 Reportée 1114342 AIT KEBROUNE RACHIDA Amphi ibn Rochd 886 Reportée 1201405 AIT KHOUYA HAMMOU Mohamed Amphi Ibn Rochd 888 1202435 AIT LAAMIM Ahmed Amphi ibn Rochd 890 1215846 AIT LAHCEN El Hassan Amphi Ibn Rochd 892 1103915 AIT LAHCEN Mohamed Amphi ibn Rochd 894 Reportée 1203083 AIT LAHCEN Yassine Amphi Ibn Rochd 896 1003580 AIT LARBI MOHAMED Amphi ibn Rochd 898 Reportée 1111075 AIT MENSOUR Khadija Amphi Ibn Rochd 900 Reportée 1203113 AIT MENSSOUR Es Said Amphi ibn Rochd 902 1110783 AIT MERICHA Adil Amphi Ibn Rochd 904 Reportée 1201644 AIT MESSAOUD Ismail Amphi ibn Rochd 906 1002336 AIT M'HAMED KHALID Amphi Ibn Rochd 908 1101283 AIT MOUSSA Youness Amphi ibn Rochd 910 Reportée 1110855 AIT OMGHAR Fatima-zahra Amphi Ibn Rochd 912 Reportée 1007616 AIT OUARTASSA YOUSSEF Amphi ibn Rochd 914 Reportée 1203923 AIT OUCHABOU Abdelmalek Amphi Ibn Rochd 916 1110458 AIT OUCHENTE Latifa Amphi ibn Rochd 918 Reportée 1108128 AIT OUISSI Nouhaila Amphi Ibn Rochd 920 Reportée 1203914 AIT OUIZZAN Driss Amphi ibn Rochd 922 1106139 AIT RIAD Nada Amphi Ibn Rochd 924 Reportée 1204610 AIT SAIDAT Rachid Amphi ibn Rochd 926 1201269 AIT SI ABDESADAQ Ghizlane Amphi Ibn Rochd 928 1110827 AIT SI KADDOUR Salma Amphi ibn Rochd 930 Reportée 1207933 AIT SIDI ABDELOUAHID Ahmed Amphi Ibn Rochd 932 1100610 AIT SIDI OUBRAM Abdlmajid Amphi ibn Rochd 934 Reportée 1207725 AIT TABLALT Hamid Amphi ibn Rochd 936 1004932 AIT TALEB ABDELJABAR Amphi Ibn Rochd 938 Reportée 1211640 AIT TALEB AHMED Khalid Amphi ibn Rochd 940 1102222 AIT TALEB ALI Elmahdi Amphi Ibn Rochd 942 Reportée 1103175 AIT TIRITE Abdeslam Amphi ibn Rochd 944 1114315 AIT TONSI MOHAMED Amphi Ibn Rochd 946 Reportée 1106904 AIT-CHALEH Hanan Amphi ibn Rochd 948 Reportée 1101781 AITLHDAR Soufiane Amphi Ibn Rochd 950 Reportée 1219882 AJALID Said Amphi ibn Rochd 952 1003526 AJANA AYOUB Amphi Ibn Rochd 954 Reportée 1106749 AJANA Soukaina Amphi ibn Rochd 956 Reportée 1111053 AJJOULI Mustapha Amphi Ibn Rochd 958 Reportée 1107455 AKAYOUSS Khalid Amphi ibn Rochd 960 Reportée 1111032 AKDID Wissama Amphi Ibn Rochd 962 Reportée 1201799 AKHERRAZ Hassan Amphi ibn Rochd 964 1101633 AKHOUI Abderrahim Amphi ibn Rochd 966 Reportée 1111026 AKHRIBACH Abderrahim Amphi Ibn Rochd 968 Reportée 1106659 AKHSSAY Laila Amphi ibn Rochd 970 Reportée 1104253 AKHYAD Elhoussaine Amphi Ibn Rochd 972 Reportée 1005682 AL AHYANE KHAMISS Amphi ibn Rochd 974 Reportée Matière1: Français Matière2: Méthodologie du travail 4/50
  • 5.
    Filière: Droit arabe Facultédes sciences juridiques et Economiques. Marrakech N° Apogée Nom Prénom Local d'examen N° d'examen Matière1 Matière2 Université Cadi Ayyad PV de surveillance: Session de rattrapage Module: Langue et communication 2012-2013 Semestre1 (nouveau système) 1109624 AL ANSARI Hamza Amphi Ibn Rochd 976 Reportée 1110056 AL FALLAH Adil Amphi ibn Rochd 978 Reportée 1219799 ALAMI Brahim Amphi Ibn Rochd 980 1114466 ALGANDAZI Saloua Amphi ibn Rochd 982 Reportée 1101897 ALIOUA Mohamed Amphi Ibn Rochd 984 Reportée 1104966 AL-KHAKKANI Hajar Amphi ibn Rochd 986 Reportée 1114419 ALLA AWATIF Amphi Ibn Rochd 988 Reportée 1111297 ALLABOUCH Nezha Amphi ibn Rochd 990 Reportée 1111361 ALLAMA Mohamed Amine Amphi Ibn Rochd 992 Reportée 1201584 ALOUACH Noura Amphi ibn Rochd 994 1111044 ALOUANE Najoua Amphi ibn Rochd 996 Reportée 1202101 AMAJOUD Rachid Amphi Ibn Rochd 998 1201593 AMALAL Abderrahim Amphi ibn Rochd 1000 1110911 AMASNA HICHAME Amphi Ibn Rochd 1002 Reportée 1101688 AMAZOUN Mohamed Amphi ibn Rochd 1004 Reportée 1110932 AMDICH Mohamed Amphi Ibn Rochd 1006 Reportée 1104481 AMGHAR Yassin Amphi ibn Rochd 1008 Reportée 1107442 AMHACH Yassine Amphi Ibn Rochd 1010 Reportée 1114334 AMIR MOHAMED Amphi ibn Rochd 1012 Reportée 1107708 AMJAGUER Adil Amphi Ibn Rochd 1014 Reportée 1104093 AMLAIZAZ Ali Amphi ibn Rochd 1016 Reportée 1205198 AMOUCH Khadija Amphi Ibn Rochd 1018 1201359 AMOUZOUN Soufiane Amphi ibn Rochd 1020 1201096 AMZIL Abdenacer Amphi Ibn Rochd 1022 1115694 AMZIL Asmaa Amphi ibn Rochd 1024 Reportée 1111565 ANAJAR Abdelilah Amphi Ibn Rochd 1026 Reportée 1202571 ANAJAREN Fatima Amphi ibn Rochd 1028 1111680 ANOUAR Omar Amphi Ibn Rochd 1030 Reportée 1006988 ANTAR HANANE Amphi ibn Rochd 1032 Reportée 1111541 ANZALI Mahmoud Amphi Ibn Rochd 1034 Reportée 1108776 AOURAOUI Abdesslam Amphi ibn Rochd 1036 Reportée 1101995 ARGUAZ Mohamed Amphi Ibn Rochd 1038 Reportée 1103760 ARNI Abdelhakim Amphi ibn Rochd 1040 1204317 ARRADA Kamal Amphi Ibn Rochd 1042 1202973 ARYANARRAS Hamza Amphi ibn Rochd 1044 1104291 ASBAL Abdelkhalek Amphi Ibn Rochd 1046 Reportée 1209816 ASDREM Hanane Amphi ibn Rochd 1048 1201340 ASGHARI Souad Amphi Ibn Rochd 1050 1201694 ASTAR Abdelhak Amphi ibn Rochd 1052 1107882 ATARHI Asma Amphi Ibn Rochd 1054 Reportée 1106713 ATLOUCH Saadia Amphi ibn Rochd 1056 Reportée 1209038 AYAD Habib Amphi Ibn Rochd 1058 1201194 AZAKI Safa Amphi ibn Rochd 1060 1209539 AZAOUI MOUNINA Amphi Ibn Rochd 1062 1202181 AZZOUYAHAR Malainine Amphi ibn Rochd 1064 1203025 BAALI Samah Amphi Ibn Rochd 1066 1202579 BAALLI Naji Amphi ibn Rochd 1068 Matière1: Français Matière2: Méthodologie du travail 5/50
  • 6.
    Filière: Droit arabe Facultédes sciences juridiques et Economiques. Marrakech N° Apogée Nom Prénom Local d'examen N° d'examen Matière1 Matière2 Université Cadi Ayyad PV de surveillance: Session de rattrapage Module: Langue et communication 2012-2013 Semestre1 (nouveau système) 1205829 BAAMRANE Hind Amphi ibn Rochd 1070 1110015 BABA Brahim Amphi Ibn Rochd 1072 Reportée 1104092 BADDA Amine Amphi ibn Rochd 1074 Reportée 1219740 BADOUNI SANA Amphi Ibn Rochd 1076 1202231 BADRANE Badr Amphi ibn Rochd 1078 1110531 BADRI Charaf Amphi Ibn Rochd 1080 Reportée 1209951 BAHAYA Fatima Amphi ibn Rochd 1082 1201018 BAHBOUHI SOUMIYA Amphi Ibn Rochd 1084 1106391 BAHIA ABDELHADI Amphi ibn Rochd 1086 Reportée 1115790 BAHIA Asma Amphi Ibn Rochd 1088 Reportée 1106792 BAHIJ MBARKA Amphi ibn Rochd 1090 Reportée 1219624 BAHRI Fatima Amphi Ibn Rochd 1092 1111732 BAHRI Mustapha Amphi ibn Rochd 1094 Reportée 1004487 BAIHNA ESSALKA Amphi Ibn Rochd 1096 Reportée 1201054 BAJJA Assiya Amphi ibn Rochd 1098 1201245 BAKAR Adil Amphi ibn Rochd 1100 Matière1: Français Matière2: Méthodologie du travail 6/50
  • 7.
    Filière: Droit arabe Facultédes sciences juridiques et Economiques. Marrakech N° Apogée Nom Prénom Local d'examen N° d'examen Matière1 Matière2 Université Cadi Ayyad PV de surveillance: Session de rattrapage Module: Langue et communication 2012-2013 Semestre1 (nouveau système) 1110558 BAKHTATI Hasna Amphi Mohamed El Fassi 1102 Reportée 1208363 BAKOU Latifa Amphi Mohamed El Fassi 1104 1101516 BALANBO Loubna Amphi Mohamed El Fassi 1106 1106763 BALHOU Ghizlane Amphi Mohamed El Fassi 1108 Reportée 1201069 BALILI Mustapha Amphi Mohamed El Fassi 1110 1206905 BANNOUR Bouchra Amphi Mohamed El Fassi 1112 1201176 BAOUDA Hicham Amphi Mohamed El Fassi 1114 1209780 BARAKA Keltouma Amphi Mohamed El Fassi 1116 1100622 BARAZOUK Hassna Amphi Mohamed El Fassi 1118 Reportée 1107494 BARDAOUI Fatimazahra Amphi Mohamed El Fassi 1120 Reportée 1106564 BAROUK Abd-elilah Amphi Mohamed El Fassi 1122 Reportée 1107152 BAROUK Mouhssine Amphi Mohamed El Fassi 1124 1003786 BASSIT CHADIA Amphi Mohamed El Fassi 1126 Reportée 1203003 BASSOU Salima Amphi Mohamed El Fassi 1128 1200992 BATRAH Ouijdane Amphi Mohamed El Fassi 1130 1106373 BAYFOU BEN AHMED Abdessalam Amphi Mohamed El Fassi 1132 Reportée 1111609 BEJJOUDI Mohamed Amphi Mohamed El Fassi 1134 Reportée 1003370 BEKASSI BTISSAM Amphi Mohamed El Fassi 1136 Reportée 1202784 BEL FAQUIR Abdelhafid Amphi Mohamed El Fassi 1138 1004589 BELAARBI SOUFIANE Amphi Mohamed El Fassi 1140 Reportée 1114562 BELAMRABT FATIMA ZAHRA Amphi Mohamed El Fassi 1142 Reportée 1111203 BELBYD Mouna Amphi Mohamed El Fassi 1144 Reportée 1114497 BELFAKIR HASSNA Amphi Mohamed El Fassi 1146 Reportée 1107252 BELFKIRA Mouhamed Amphi Mohamed El Fassi 1148 Reportée 1111342 BELGADA Khalid Amphi Mohamed El Fassi 1150 Reportée 1219974 BELHACEN SOUFIANE Amphi Mohamed El Fassi 1152 1204965 BELHAJ Rachid Amphi Mohamed El Fassi 1154 1100464 BELHENAA Siham Amphi Mohamed El Fassi 1156 Reportée 1111610 BELHITE Naima Amphi Mohamed El Fassi 1158 Reportée 1114406 BELKACH FATIMA EZAHRA Amphi Mohamed El Fassi 1160 Reportée 1201137 BEL-LAHMAR Soufiane Amphi Mohamed El Fassi 1162 1103551 BELLAJ Layla Amphi Mohamed El Fassi 1164 Reportée 1004820 BELLALI ABDELAZIZ Amphi Mohamed El Fassi 1166 Reportée 1114569 BELQAID MEHDI Amphi Mohamed El Fassi 1168 Reportée 1111194 BEN BAHIA Karima Amphi Mohamed El Fassi 1170 Reportée 1000858 BEN CHAOUD MOHAMED MBAREK Amphi Mohamed El Fassi 1172 Reportée 1109596 BEN CHEIKH Lahcen Amphi Mohamed El Fassi 1174 Reportée 1101386 BEN CHTIA Youssef Amphi Mohamed El Fassi 1176 Reportée 1109617 BEN ELMEKKI Mourad Amphi Mohamed El Fassi 1178 Reportée 1107575 BEN FARHOUR Imane Amphi Mohamed El Fassi 1180 Reportée 1202374 BEN HAMMOU Tariq Amphi Mohamed El Fassi 1182 1104916 BEN KHADRA Abdellah Amphi Mohamed El Fassi 1184 Reportée 1202445 BEN LAHSAINI Fatima Ezzahra Amphi Mohamed El Fassi 1186 1204960 BEN OTMANE Larbi Amphi Mohamed El Fassi 1188 1103870 BENAADEL Hayat Amphi Mohamed El Fassi 1190 Reportée 1112487 BENAISSA Yassmine Amphi Mohamed El Fassi 1192 Reportée 1203795 BENARAB Mustapha Amphi Mohamed El Fassi 1194 Matière1: Français Matière2: Méthodologie du travail 7/50
  • 8.
    Filière: Droit arabe Facultédes sciences juridiques et Economiques. Marrakech N° Apogée Nom Prénom Local d'examen N° d'examen Matière1 Matière2 Université Cadi Ayyad PV de surveillance: Session de rattrapage Module: Langue et communication 2012-2013 Semestre1 (nouveau système) 1115574 BENBACHIR MOHAMED Amphi Mohamed El Fassi 1196 Reportée 1110022 BENCHAKROUN Khalid Amphi Mohamed El Fassi 1198 Reportée 1203739 BENDEHANE Zakaria Amphi Mohamed El Fassi 1200 1220926 BENDRISS SOUFIANE Amphi Mohamed El Fassi 1202 1102661 BENELASRI Rabab Amphi Mohamed El Fassi 1204 Reportée 1106857 BENELHAOUZI Otmane Amphi Mohamed El Fassi 1206 Reportée 1202775 BENELKADRI Elhoucine Amphi Mohamed El Fassi 1208 1202297 BENELKAIDA El-mahdi Amphi Mohamed El Fassi 1210 1103773 BENELYAZID Souad Amphi Mohamed El Fassi 1212 1101439 BENFALLE Noureddine Amphi Mohamed El Fassi 1214 1202994 BENHABIBI Soufiane Amphi Mohamed El Fassi 1216 1220883 BENHAJJI FATIMA ZAHRA Amphi Mohamed El Fassi 1218 1201608 BENHAJJO Lahcene Amphi Mohamed El Fassi 1220 1100671 BENHAMMOUCH El Habib Amphi Mohamed El Fassi 1222 Reportée 1201879 BENHIBA Mohamed Amphi Mohamed El Fassi 1224 1112449 BENJDI Rachida Amphi Mohamed El Fassi 1226 Reportée 1205578 BENJED Youssef Amphi Mohamed El Fassi 1228 1104943 BENLAITIM Yassine Amphi Mohamed El Fassi 1230 1209320 BENLALOU Kamal Amphi Mohamed El Fassi 1232 1205741 BENMOUIDA Chakib Amphi Mohamed El Fassi 1234 1201757 BENNARA Abdessamia Amphi Mohamed El Fassi 1236 1101036 BENNOURINE Hasna Amphi Mohamed El Fassi 1238 Reportée 1219753 BENOMAR Dahbi Amphi Mohamed El Fassi 1240 1005795 BENSARDI FATIMA EZZAHRA Amphi Mohamed El Fassi 1242 Reportée 1107464 BENSSERAJ Fatimazahra Amphi Mohamed El Fassi 1244 Reportée 1103879 BENTKHOUALHA Jaouan Amphi Mohamed El Fassi 1246 Reportée 1004966 BENZAHI HASNA Amphi Mohamed El Fassi 1248 Reportée 1102603 BENZAIDA Hicham Amphi Mohamed El Fassi 1250 Reportée 1114516 BENZARHOUNE Khadija Amphi Mohamed El Fassi 1252 Reportée 1003902 BERGACH FATIMA Amphi Mohamed El Fassi 1254 Reportée 1104009 BERRAGANE Salah Amphi Mohamed El Fassi 1256 Reportée 1113783 BIAR Samira Amphi Mohamed El Fassi 1258 1105794 BIGA Essalma Amphi Mohamed El Fassi 1260 Reportée 1201355 BIHI Soufian Amphi Mohamed El Fassi 1262 1109941 BIROUK Redouane Amphi Mohamed El Fassi 1264 Reportée 1219489 BLQIS ILHAME Amphi Mohamed El Fassi 1266 1115585 BORIAL WARDA Amphi Mohamed El Fassi 1268 Reportée 1115796 BOUABAD Abdellah Amphi Mohamed El Fassi 1270 Reportée 1103855 BOUADANE Lahsen Amphi Mohamed El Fassi 1272 Reportée 1114283 BOUAMOUD BANTAKHOUALHA Amphi Mohamed El Fassi 1274 Reportée 1100451 BOUASSOU Said Amphi Mohamed El Fassi 1276 Reportée 1202415 BOUAZIZ Nadia Amphi Mohamed El Fassi 1278 1108732 BOUAZIZI Khalid Amphi Mohamed El Fassi 1280 Reportée 1210598 BOUBAKKAR Halima Amphi Mohamed El Fassi 1282 1205101 BOUBARNOUS Abdelkhalek Amphi Mohamed El Fassi 1284 1107807 BOUBEKRI Maryem Amphi Mohamed El Fassi 1286 Reportée 1006313 BOUCETTA HAMZA Amphi Mohamed El Fassi 1288 Reportée Matière1: Français Matière2: Méthodologie du travail 8/50
  • 9.
    Filière: Droit arabe Facultédes sciences juridiques et Economiques. Marrakech N° Apogée Nom Prénom Local d'examen N° d'examen Matière1 Matière2 Université Cadi Ayyad PV de surveillance: Session de rattrapage Module: Langue et communication 2012-2013 Semestre1 (nouveau système) 1104517 BOUCHIHA Sakina Amphi Mohamed El Fassi 1290 Reportée 1003604 BOUDALAA SAMIR Amphi Mohamed El Fassi 1292 Reportée 1202969 BOUDAR Oualid Amphi Mohamed El Fassi 1294 1201235 BOUDOUIB Abderrahim Amphi Mohamed El Fassi 1296 1105857 BOUFALJA Laila Amphi Mohamed El Fassi 1298 Reportée 1004516 BOUFARDI MOHAMED WALID Amphi Mohamed El Fassi 1300 Reportée 1114535 BOUFRAYOUA NOUREDDINE Amphi Mohamed El Fassi 1302 Reportée 1216299 BOUFRIOUA FDILI Amphi Mohamed El Fassi 1304 1203297 BOUGATAIA Elmahjoub Amphi Mohamed El Fassi 1306 1104513 BOUGDEM Erraji Amphi Mohamed El Fassi 1308 Reportée 1111524 BOUGHANBOUR Zahira Amphi Mohamed El Fassi 1310 Reportée 94300026 BOUGUEJDI HAMID Amphi Mohamed El Fassi 1312 Reportée 1202638 BOUH Moh Amphi Mohamed El Fassi 1314 1204101 BOUHAL CHADIA Amphi Mohamed El Fassi 1316 1108352 BOUHAL Karim Amphi Mohamed El Fassi 1318 Reportée 1110446 BOUHANI Raja Amphi Mohamed El Fassi 1320 Reportée 1205774 BOUHBEL Abdelfattah Amphi Mohamed El Fassi 1322 1204804 BOUHDACH Kenza Amphi Mohamed El Fassi 1324 1107747 BOUHI Youssef Amphi Mohamed El Fassi 1326 1101289 BOUHMID Khadija Amphi Mohamed El Fassi 1328 Reportée 1202488 BOUHRIBA Nassima Amphi Mohamed El Fassi 1330 1114352 BOUHRIZE Latifa Amphi Mohamed El Fassi 1332 Reportée 1201631 BOUHROUCH Khalid Amphi Mohamed El Fassi 1334 1201947 BOUHSSINE Hassna Amphi Mohamed El Fassi 1336 1115612 BOUIBOUKIRN Mohamed Amphi Mohamed El Fassi 1338 Reportée 1004922 BOUIHAT JAMAL Amphi Mohamed El Fassi 1340 Reportée 1114407 BOUILGUA MALIKA Amphi Mohamed El Fassi 1342 Reportée 1004836 BOUIMHIM MOHAMED Amphi Mohamed El Fassi 1344 Reportée 1205238 BOUJEDIANE Ismail Amphi Mohamed El Fassi 1346 1101523 BOUJENOUI Ismail Amphi Mohamed El Fassi 1348 Reportée 1004693 BOUJERKENE HICHAM Amphi Mohamed El Fassi 1350 Reportée 1111388 BOUKERCH Hayat Amphi Mohamed El Fassi 1352 Reportée 1216598 BOUKHAL MOHAMMED Amphi Mohamed El Fassi 1354 1108504 BOULAHNA Youssef Amphi Mohamed El Fassi 1356 Reportée 1100791 BOULAJAJ Hicham Amphi Mohamed El Fassi 1358 Reportée 1204840 BOUMAHDI ABDALLAHI Amphi Mohamed El Fassi 1360 1108187 BOUMARGOUD Aimad Amphi Mohamed El Fassi 1362 Reportée 1114394 BOUMASSMAER ELHADI Amphi Mohamed El Fassi 1364 Reportée 1106783 BOUMERZAF Aotman Amphi Mohamed El Fassi 1366 Reportée 1205684 BOUMERZAF Souilma Amphi Mohamed El Fassi 1368 1209860 BOUMOUGAY Yassine Amphi Mohamed El Fassi 1370 1201740 BOUMOUSSI Halima Amphi Mohamed El Fassi 1372 1102533 BOUNA Mohamed Amphi Mohamed El Fassi 1374 Reportée 1103178 BOUNJ Laila Amphi Mohamed El Fassi 1376 Reportée 1205682 BOUNNIT Soukaina Amphi Mohamed El Fassi 1378 1100661 BOUNOUADER Nezha Amphi Mohamed El Fassi 1380 Reportée 1205209 BOURAGUA Slimane Amphi Mohamed El Fassi 1382 Matière1: Français Matière2: Méthodologie du travail 9/50
  • 10.
    Filière: Droit arabe Facultédes sciences juridiques et Economiques. Marrakech N° Apogée Nom Prénom Local d'examen N° d'examen Matière1 Matière2 Université Cadi Ayyad PV de surveillance: Session de rattrapage Module: Langue et communication 2012-2013 Semestre1 (nouveau système) 1206852 BOURGANI Habiba Amphi Mohamed El Fassi 1384 1219823 BOUSAQ Hafed Amphi Mohamed El Fassi 1386 1220280 BOUSBII Laila Amphi Mohamed El Fassi 1388 1203039 BOUSEKSOU Aimad Amphi Mohamed El Fassi 1390 Matière1: Français Matière2: Méthodologie du travail 10/50
  • 11.
    Filière: Droit arabe Facultédes sciences juridiques et Economiques. Marrakech N° Apogée Nom Prénom Local d'examen N° d'examen Matière1 Matière2 Université Cadi Ayyad PV de surveillance: Session de rattrapage Module: Langue et communication 2012-2013 Semestre1 (nouveau système) 1113069 BOUSSAID Hasna Amphi A 1392 Reportée 1207077 BOUSSALIM Lhoussin Amphi A 1394 1100370 BOUSSETTA Aziz Amphi A 1396 Reportée 1113446 BOUTABAA MANNAHA Amphi A 1398 Reportée 1202712 BOUTALAT Nour-el Yakine Amphi A 1400 1220326 BOUTALEB Malika Amphi A 1402 1112431 BOUTALEB Zouhir Amphi A 1404 1104286 BOUTAZART Zouhair Amphi A 1406 Reportée 1111039 BOUTICHICHT Erragragui Amphi A 1408 Reportée 1205234 BOUTIJIJT Abdessamad Amphi A 1410 1203695 BOUTMAGOUST Abdelouahab Amphi A 1412 1111538 BOUYAGHSSANE Latifa Amphi A 1414 Reportée 1114193 BOUYAGHSSANE Nawal Amphi A 1416 Reportée 1201014 BOUYAHIA Ayoub Amphi A 1418 1113787 BOUYGHSANE Mustapha Amphi A 1420 Reportée 1004056 BOUZAKRI ABDELHY Amphi A 1422 Reportée 1105893 BOUZINE Daoud Amphi A 1424 Reportée 1211229 BOUZZIT ASMA Amphi A 1426 1114289 BRIACH EL HASSAN Amphi A 1428 Reportée 1104189 BRIACH EL HOSSAIN Amphi A 1430 Reportée 1103510 BRIER Jaouad Amphi A 1432 Reportée 1004720 BRIGHACH ZAKARIA Amphi A 1434 Reportée 1114496 BROUMI JIHAD Amphi A 1436 Reportée 1111070 BYAH Abdeltif Amphi A 1438 Reportée 9292545 BYOUSSE AICHA Amphi A 1440 Reportée 1103504 CAID RAHA Sofiane Amphi A 1442 Reportée 1004327 CHAABAN TAHA Amphi A 1444 Reportée 1005219 CHAABAOUI MAROUANE Amphi A 1446 Reportée 1001233 CHAAIBI GHIZLANE Amphi A 1448 Reportée 1101712 CHAAIJ Salwa Amphi A 1450 1001241 CHAARANI FATIMA- ZAHRA Amphi A 1452 Reportée 1205726 CHABA Hamza Amphi A 1454 1102772 CHADBI Oussama Amphi A 1456 Reportée 1107630 CHAFIA RACHID Amphi A 1458 Reportée 1111047 CHAFIQ Houssam Amphi A 1460 Reportée 1104341 CHAHBOUN Najat Amphi A 1462 Reportée 1106989 CHAHID Fatima Ezzahra Amphi A 1464 Reportée 1201954 CHAHID Halima Amphi A 1466 1204578 CHAHID Loubna Amphi A 1468 1107895 CHAHID Youssef Amphi A 1470 Reportée 1201642 CHAHIR Abdelilah Amphi A 1472 1203966 CHAHLAOUY Adil Amphi A 1474 Matière1: Français Matière2: Méthodologie du travail 11/50
  • 12.
    Filière: Droit arabe Facultédes sciences juridiques et Economiques. Marrakech N° Apogée Nom Prénom Local d'examen N° d'examen Matière1 Matière2 Université Cadi Ayyad PV de surveillance: Session de rattrapage Module: Langue et communication 2012-2013 Semestre1 (nouveau système) 1219656 CHAHMD MOHAMED Amphi B 1476 1111098 CHAIKH Achraf Amphi B 1478 Reportée 1204668 CHAIKHI Mouniha Amphi B 1480 1101481 CHAJARI Noureddine Amphi B 1482 Reportée 1109815 CHAJRI Abdallah Amphi B 1484 Reportée 1114191 CHAKIR Abdellah Amphi B 1486 Reportée 1111715 CHAKIR Jabran Amphi B 1488 Reportée 1114204 CHAKIR Kamal Amphi B 1490 Reportée 1202815 CHAKIR Omar Amphi B 1492 1106802 CHAKIR Zineb Amphi B 1494 Reportée 1203305 CHALH Abdelhakim Amphi B 1496 1209446 CHALHA Bentaghi Amphi B 1498 1202952 CHAM Ghita Amphi B 1500 1219485 CHAOUCH Khalid Amphi B 1502 1104942 CHAOUQUI Kawtar Amphi B 1504 Reportée 1202850 CHARAI Hicham Amphi B 1506 1005627 CHARHABILI IMAN Amphi B 1508 Reportée 1107774 CHARIF Badar Amphi B 1510 Reportée 1111001 CHEMAA Khadija Amphi B 1512 Reportée 1112268 CHENOUI Youness Amphi B 1514 1202975 CHEQBOUB Fatima-ezzahra Amphi B 1516 1105251 CHERIF Ahmed Amphi B 1518 Reportée 1219737 CHERIF ELMASLOUHI Fatiha Amphi B 1520 1111054 CHERKAOUI Ali Amphi B 1522 Reportée 1108335 CHIKAB Nezha Amphi B 1524 Reportée 1106479 CHINE Zahra Amphi B 1526 Reportée 1108005 CHKEN Imane Amphi B 1528 Reportée 1209082 CHOUAI Hind Amphi B 1530 1112184 CHOUAY Abdelkrim Amphi B 1532 Reportée 1102192 CHOUMANE Soukaina Amphi B 1534 Reportée 1219060 CHROUKATE Houria Amphi B 1536 1219821 CHRRHA HAIBA Amphi B 1538 1114274 CHTIOUA Jamil Amphi B 1540 Reportée Matière1: Français Matière2: Méthodologie du travail 12/50
  • 13.
    Filière: Droit arabe Facultédes sciences juridiques et Economiques. Marrakech N° Apogée Nom Prénom Local d'examen N° d'examen Matière1 Matière2 Université Cadi Ayyad PV de surveillance: Session de rattrapage Module: Langue et communication 2012-2013 Semestre1 (nouveau système) 80002204 DADI SIDI Amphi Cadi Ayyad 2 1201343 DAFALI NOUR EDDINE Amphi Cadi Ayyad 4 1203333 DAGDAG Imane Amphi Cadi Ayyad 6 1209287 DAHBI Mohamed Ayoub Amphi Cadi Ayyad 8 1201004 DAHBI-SKALI Mohammed Amphi Cadi Ayyad 10 1202009 DAHHIOUI Asmae Amphi Cadi Ayyad 12 1202427 DAHI Mahmoud Amphi Cadi Ayyad 14 1220244 DAHROU Badia Amphi Cadi Ayyad 16 1205573 DAIFI ELMEHDI Amphi Cadi Ayyad 18 1111384 DAISSA Btisam Amphi Cadi Ayyad 20 Reportée 1220108 DAMINE Nour Eddine Amphi Cadi Ayyad 22 1105865 DAMIR Mohamed Khalil Amphi Cadi Ayyad 24 Reportée 1201670 DANINE Youssef Amphi Cadi Ayyad 26 1219639 DAOU Abdellelah Amphi Cadi Ayyad 28 1006990 DAOU NORA Amphi Cadi Ayyad 30 Reportée 1204172 DAOUD Khalid Amphi Cadi Ayyad 32 1210885 DAOUD Loubna Amphi Cadi Ayyad 34 1203029 DAOUDI Hamza Amphi Cadi Ayyad 36 1209217 DAOUI Achraf Amphi Cadi Ayyad 38 1110274 DARDOUCH NAZHA Amphi Cadi Ayyad 40 1201225 DARDOUR Fatima Ezzahra Amphi Cadi Ayyad 42 1204459 DARHOUCH Lahoucine Amphi Cadi Ayyad 44 1111087 DARID Amina Amphi Cadi Ayyad 46 Reportée 1210575 DARKAOUI Loubna Amphi Cadi Ayyad 48 1107217 DAWDI Soumya Amphi Cadi Ayyad 50 Reportée 1202094 DBAYBI Yassin Amphi Cadi Ayyad 52 1208794 DEBBAGH Mohamed Amphi Cadi Ayyad 54 1210980 DEBBAGH Zakaria Amphi Cadi Ayyad 56 1209281 DERDARI Anas Amphi Cadi Ayyad 58 1114452 DERKAOUI FATIMA Amphi Cadi Ayyad 60 Reportée 1203022 DEROUNE Yassine Amphi Cadi Ayyad 62 1203927 DERSI HOUSSAM Amphi Cadi Ayyad 64 1204923 DIALMY Mohamed Amine Amphi Cadi Ayyad 66 1203798 DIB Hassan Amphi Cadi Ayyad 68 1113789 DICHRI Mouad Amphi Cadi Ayyad 70 Reportée 1111068 DIME Kaoutar Amphi Cadi Ayyad 72 Reportée 1114329 DIOUANI Nourelhouda Amphi Cadi Ayyad 74 Reportée 1201150 DKHIL Sidati Amphi Cadi Ayyad 76 1209854 DOUABY Abdennabi Amphi Cadi Ayyad 78 1210848 DOUALI Chaimae Amphi Cadi Ayyad 80 1216742 DOUICH Mohammed Amphi Cadi Ayyad 82 1100397 DOUIKSI Mohamed Amphi Cadi Ayyad 84 1219751 DOUMANY FATIMATOU Amphi Cadi Ayyad 86 1208909 DOURHANI Sana Amphi Cadi Ayyad 88 1203120 DRAOUI Mourad Amphi Cadi Ayyad 90 1201687 DRIOUCH Ghizlan Amphi Cadi Ayyad 92 1101272 DRIOUICH Jabrane Amphi Cadi Ayyad 94 Reportée Matière1: Français Matière2: Méthodologie du travail 13/50
  • 14.
    Filière: Droit arabe Facultédes sciences juridiques et Economiques. Marrakech N° Apogée Nom Prénom Local d'examen N° d'examen Matière1 Matière2 Université Cadi Ayyad PV de surveillance: Session de rattrapage Module: Langue et communication 2012-2013 Semestre1 (nouveau système) 1105769 EBNERRADIY Mohamed Amphi Cadi Ayyad 96 Reportée 1205165 ECHACHI Fouad Amphi Cadi Ayyad 98 1201790 ECHAFI Faissel Amphi Cadi Ayyad 100 1220265 ECHAKER ISAMEDDINE Amphi Cadi Ayyad 102 1203097 ECHATAR Rachid Amphi Cadi Ayyad 104 1202019 ECH-CHAJAI Aouatif Amphi Cadi Ayyad 106 1209182 ECHCHARAOUY Rabia Amphi Cadi Ayyad 108 1211176 ECH-CHATOUI Lahcen Amphi Cadi Ayyad 110 5028585 ECHICHAOUI LAILA Amphi Cadi Ayyad 112 1202185 ECHIGUER Yahia Amphi Cadi Ayyad 114 1202361 ECHIHI Mustapha Amphi Cadi Ayyad 116 1006259 EDAOUDI OMAR Amphi Cadi Ayyad 118 Reportée 1115669 EDDAHOUS Sokaina Amphi Cadi Ayyad 120 Reportée 1203367 EDDAKI Brahim Amphi Cadi Ayyad 122 1101852 EDDAOUDI Errabab Amphi Cadi Ayyad 124 1203101 ED-DGHOUGHY Abdelkrim Amphi Cadi Ayyad 126 1009018 EDDI MOHAMED Amphi Cadi Ayyad 128 Reportée 1105711 EDDIS Abdelfettah Amphi Cadi Ayyad 130 Reportée 1203350 EDDNADNI Nabil Amphi Cadi Ayyad 132 1219863 EDDRIF Loubna Amphi Cadi Ayyad 134 1201380 EDRAOUI Abdelouahed Amphi Cadi Ayyad 136 1115617 EJJAOUI Bader Amphi Cadi Ayyad 138 Reportée 1105125 EKHOUIRA Mohamed Amphi Cadi Ayyad 140 Reportée 1203844 EL AATTARI Othman Amphi Cadi Ayyad 142 1218895 EL AAOUD Laila Amphi Cadi Ayyad 144 1006048 EL AASSEMI FAYSAL Amphi Cadi Ayyad 146 Reportée 1220930 EL AATIELLAH ABDELKARIM Amphi Cadi Ayyad 148 1202956 EL ABBADY Ayoub Amphi Cadi Ayyad 150 1217583 EL ABOUSSAADI GHITA Amphi Cadi Ayyad 152 1203913 EL ABYAD Abderrazzak Amphi Cadi Ayyad 154 1210136 EL ABYAD Hanane Amphi Cadi Ayyad 156 1219680 EL ADAB Ayoub Amphi Cadi Ayyad 158 1009521 EL ALAOUI KARIMA Amphi Cadi Ayyad 160 Reportée 1106349 EL ALAOUI Sabah Amphi Cadi Ayyad 162 Reportée 1203584 EL AMIRI Mohammed Zakarya Amphi Cadi Ayyad 164 1207524 EL AMMARI Fath-allah Amphi Cadi Ayyad 166 1114302 EL AMOUDI Soufian Amphi Cadi Ayyad 168 Reportée 1209232 EL AMRANI Mahdia Amphi Cadi Ayyad 170 6002282 EL AMRI ACHRAF Amphi Cadi Ayyad 172 Reportée 1203343 EL AMRI Ismail Amphi Cadi Ayyad 174 1219990 EL ANKAOUI Taib Amphi Cadi Ayyad 176 1111336 EL ANSARI Abdelfattah Amphi Cadi Ayyad 178 Reportée 1202669 EL ANSARI Omar Amphi Cadi Ayyad 180 1202628 EL ANSARY Mbarek Amphi Cadi Ayyad 182 1220433 EL AOUFI NADIA Amphi Cadi Ayyad 184 1219567 EL AOUNI Amina Amphi Cadi Ayyad 186 1216752 EL ARBI Hafid Amphi Cadi Ayyad 188 Matière1: Français Matière2: Méthodologie du travail 14/50
  • 15.
    Filière: Droit arabe Facultédes sciences juridiques et Economiques. Marrakech N° Apogée Nom Prénom Local d'examen N° d'examen Matière1 Matière2 Université Cadi Ayyad PV de surveillance: Session de rattrapage Module: Langue et communication 2012-2013 Semestre1 (nouveau système) 1106188 EL ARNOUQI Asma Amphi Cadi Ayyad 190 1208837 EL ASLAOUI Abdeljalil Amphi Cadi Ayyad 192 1219423 EL ASSAL Yassine Amphi Cadi Ayyad 194 1204970 EL ATIFI Kaoutar Amphi Cadi Ayyad 196 1100500 EL ATRACH Soulaiman Amphi Cadi Ayyad 198 1208966 EL ATTAQ Ayoub Amphi Cadi Ayyad 200 Matière1: Français Matière2: Méthodologie du travail 15/50
  • 16.
    Filière: Droit arabe Facultédes sciences juridiques et Economiques. Marrakech N° Apogée Nom Prénom Local d'examen N° d'examen Matière1 Matière2 Université Cadi Ayyad PV de surveillance: Session de rattrapage Module: Langue et communication 2012-2013 Semestre1 (nouveau système) 1220064 EL ATTAR Abdelati Amphi Abou El Abbass Essabti 202 1202318 EL AYADY Atef Amphi Abou El Abbass Essabti 204 1220189 EL AYANE Imane Amphi Abou El Abbass Essabti 206 1203289 EL AZHAR IDRISSI Imane Amphi Abou El Abbass Essabti 208 1201409 EL AZHARI Soukaina Amphi Abou El Abbass Essabti 210 1209379 EL AZRAK ADIL Amphi Abou El Abbass Essabti 212 1219648 EL AZZABI Asmaa Amphi Abou El Abbass Essabti 214 1205813 EL BADR Raouia Amphi Abou El Abbass Essabti 216 1219716 EL BADRAOUI Siham Amphi Abou El Abbass Essabti 218 1114554 EL BAGAR HASNA Amphi Abou El Abbass Essabti 220 Reportée 1203679 EL BAHHAZ Nabil Amphi Abou El Abbass Essabti 222 1204409 EL BAHI Hicham Amphi Abou El Abbass Essabti 224 1201149 EL BAHIJI Khaoula Amphi Abou El Abbass Essabti 226 1210453 EL BAHJI Rabab Amphi Abou El Abbass Essabti 228 1102900 EL BAHRDADI Ramzi Amphi Abou El Abbass Essabti 230 1110544 EL BAL HAMZA Amphi Abou El Abbass Essabti 232 1203364 EL BALLOUTI MOHAMMED EL HABIB Amphi Abou El Abbass Essabti 234 1202458 EL BANDAHI Mustapha Amphi Abou El Abbass Essabti 236 1206212 EL BARAKA Aicha Amphi Abou El Abbass Essabti 238 1204959 EL BARBOUCHI Yahdih Amphi Abou El Abbass Essabti 240 1101794 EL BARI Aamro Amphi Abou El Abbass Essabti 242 Reportée 1206684 EL BARKAOUI Fatima Amphi Abou El Abbass Essabti 244 1109569 EL BAROUDI Khadija Amphi Abou El Abbass Essabti 246 Reportée 1220024 EL BAZ Fatima Zouhra Amphi Abou El Abbass Essabti 248 1219842 EL BAZ Rachida Amphi Abou El Abbass Essabti 250 1219870 EL BBAZ Rkia Amphi Abou El Abbass Essabti 252 1201402 EL BOUALAMI Abdelilah Amphi Abou El Abbass Essabti 254 1220128 EL BOUANANI SOUMIA Amphi Abou El Abbass Essabti 256 1204716 EL BOUAZZAOUI Abdennabi Amphi Abou El Abbass Essabti 258 1104287 EL BOUDANI Daouya Amphi Abou El Abbass Essabti 260 1110154 EL BOUGHDADI Mina Amphi Abou El Abbass Essabti 262 1209571 EL BOUHALI Soukaina Amphi Abou El Abbass Essabti 264 1111280 EL BOUHI Fadoua Amphi Abou El Abbass Essabti 266 1202621 EL BOUKY Mohamed Amphi Abou El Abbass Essabti 268 1201772 EL BOUZIDI Hamza Amphi Abou El Abbass Essabti 270 1100891 EL BOUZIDI Salah Eddine Amphi Abou El Abbass Essabti 272 1208830 EL BZAR Youssef Amphi Abou El Abbass Essabti 274 1114402 EL FAHIRI Hasna Amphi Abou El Abbass Essabti 276 Reportée 1209903 EL FAHLI Sara Amphi Abou El Abbass Essabti 278 1201103 EL FAIZI Meriam Amphi Abou El Abbass Essabti 280 1219717 EL FALLAH Soukaina Amphi Abou El Abbass Essabti 282 1208271 EL FALLAOUY Touria Amphi Abou El Abbass Essabti 284 1202314 EL FARAJY Ayoub Amphi Abou El Abbass Essabti 286 1204927 EL FARIQ Nadia Amphi Abou El Abbass Essabti 288 1219475 EL FATHI YOUSSEF Amphi Abou El Abbass Essabti 290 1204974 EL FATIHI YOUNES Amphi Abou El Abbass Essabti 292 1209555 EL FATIMI Mouhssine Amphi Abou El Abbass Essabti 294 Matière1: Français Matière2: Méthodologie du travail 16/50
  • 17.
    Filière: Droit arabe Facultédes sciences juridiques et Economiques. Marrakech N° Apogée Nom Prénom Local d'examen N° d'examen Matière1 Matière2 Université Cadi Ayyad PV de surveillance: Session de rattrapage Module: Langue et communication 2012-2013 Semestre1 (nouveau système) 1101684 EL FATIMI Ouafa Amphi Abou El Abbass Essabti 296 Reportée 1103180 EL FGUIRICH Mohamed Amphi Abou El Abbass Essabti 298 1101399 EL GABI ABDELILAH Amphi Abou El Abbass Essabti 300 Reportée 1107227 EL GADDARI Hayat Amphi Abou El Abbass Essabti 302 Reportée 1003517 EL GANDOULI WAFAE Amphi Abou El Abbass Essabti 304 1204078 EL GUANA KHADIJA Amphi Abou El Abbass Essabti 306 1102013 EL GUEDDASY HANAN Amphi Abou El Abbass Essabti 308 1201611 EL GUESSAB Jebrane Amphi Abou El Abbass Essabti 310 1209205 EL HAFIDI Oussama Amphi Abou El Abbass Essabti 312 1217379 EL HAMIANI HIND Amphi Abou El Abbass Essabti 314 1204438 EL HAMIDY Samira Amphi Abou El Abbass Essabti 316 1204856 EL HAMMAOUI Noura Amphi Abou El Abbass Essabti 318 1202605 EL HAMOUNI Abderrahman Amphi Abou El Abbass Essabti 320 1216609 EL HAMRI YOUSSEF Amphi Abou El Abbass Essabti 322 1201718 EL HAMYAOUI Mohamed Amine Amphi Abou El Abbass Essabti 324 1111337 EL HANCHAR Fatima Zahra Amphi Abou El Abbass Essabti 326 Reportée 1204360 EL HANOUNI Bouchaib Amphi Abou El Abbass Essabti 328 1202339 EL HAOUARI Abdessadek Amphi Abou El Abbass Essabti 330 1009648 EL HAOUZI SIHAM Amphi Abou El Abbass Essabti 332 Reportée 1201637 EL HARCHAOUI Sana Amphi Abou El Abbass Essabti 334 1205230 EL HARCHI Rachida Amphi Abou El Abbass Essabti 336 1220053 EL HARJ Abderrahim Amphi Abou El Abbass Essabti 338 1201398 EL HASSANI Younes Amphi Abou El Abbass Essabti 340 1219585 EL HEJAB Yassine Amphi Abou El Abbass Essabti 342 1210751 EL HOURI ABDESSAMAD Amphi Abou El Abbass Essabti 344 1201578 EL IDRISSI BOUCHAIB Amphi Abou El Abbass Essabti 346 1204843 EL IDRISSI Bouchra Amphi Abou El Abbass Essabti 348 1208942 EL IDRISSI Mohamed Amphi Abou El Abbass Essabti 350 1204764 EL IDRISSI Soukaina Amphi Abou El Abbass Essabti 352 1205857 EL IDRISSI LAAOUINI Yassine Amphi Abou El Abbass Essabti 354 1203068 EL IDRISY Brahim Amphi Abou El Abbass Essabti 356 1210037 EL IDRYSY Hasna Amphi Abou El Abbass Essabti 358 1219462 EL JARIDI ABDECHAFI Amphi Abou El Abbass Essabti 360 1107693 EL JEDADI Charifa Amphi Abou El Abbass Essabti 362 Reportée 1114522 EL JOUMANI Said Amphi Abou El Abbass Essabti 364 1204163 EL KADOURI ABDENNACER Amphi Abou El Abbass Essabti 366 1219543 EL KADRI Halima Amphi Abou El Abbass Essabti 368 1220410 EL KAHLAOUI CHEROUK Amphi Abou El Abbass Essabti 370 1101374 EL KAMOUNI Abbes Amphi Abou El Abbass Essabti 372 Reportée 1107177 EL KAROUMI Mohammed Amphi Abou El Abbass Essabti 374 Reportée 1201286 EL KARYA Sanaa Amphi Abou El Abbass Essabti 376 1203165 EL KASSIOUI Elhassan Amphi Abou El Abbass Essabti 378 1204876 EL KHADIRI Amal Amphi Abou El Abbass Essabti 380 1102022 EL KHAJRAJI Hayat Amphi Abou El Abbass Essabti 382 Reportée 1005829 EL KHALDI AKILA Amphi Abou El Abbass Essabti 384 Reportée 1209748 EL KHALFAOUI Othmane Amphi Abou El Abbass Essabti 386 1203948 EL KHALILI Yassine Amphi Abou El Abbass Essabti 388 Matière1: Français Matière2: Méthodologie du travail 17/50
  • 18.
    Filière: Droit arabe Facultédes sciences juridiques et Economiques. Marrakech N° Apogée Nom Prénom Local d'examen N° d'examen Matière1 Matière2 Université Cadi Ayyad PV de surveillance: Session de rattrapage Module: Langue et communication 2012-2013 Semestre1 (nouveau système) 1103982 EL KHALOUA Adil Amphi Abou El Abbass Essabti 390 Reportée Matière1: Français Matière2: Méthodologie du travail 18/50
  • 19.
    Filière: Droit arabe Facultédes sciences juridiques et Economiques. Marrakech N° Apogée Nom Prénom Local d'examen N° d'examen Matière1 Matière2 Université Cadi Ayyad PV de surveillance: Session de rattrapage Module: Langue et communication 2012-2013 Semestre1 (nouveau système) 1107567 EL KHAMARI Amal Amphi Imam Malik 582 1106445 EL KHAMIRI Dounia Amphi Imam Malik 584 1201006 EL KHARTA ABDERAHIM Amphi Imam Malik 586 1201161 EL KHAYAR Atman Amphi Imam Malik 588 1220257 EL KHIRAOUI ABDELMOUNAIM Amphi Imam Malik 590 1114461 EL MAACHI AYOUB Amphi Imam Malik 592 Reportée 1109597 EL MADANI Khadija Amphi Imam Malik 594 Reportée 1209121 EL MADYNY Mohammed Amphi Imam Malik 596 1004244 EL MALLALI HIND Amphi Imam Malik 598 Reportée 1219574 EL MANOUZI MOUAD Amphi Imam Malik 600 1207855 EL MANYIY Mohammed Amphi Imam Malik 602 1114443 EL MARSSI MOHAMED Amphi Imam Malik 604 Reportée 1210539 EL MARZOUGUI Hanane Amphi Imam Malik 606 1201557 EL MASKYNY Fatiha Amphi Imam Malik 608 1200490 EL MEKAOUI Soukaina Amphi Imam Malik 610 1204833 EL MIALE Soukaina Amphi Imam Malik 612 1210083 EL MIMOUNI Khaoula Amphi Imam Malik 614 1220881 EL MOCHTAJ YOUSSEF Amphi Imam Malik 616 1220313 EL MODAFFAR BOUZEKRI Amphi Imam Malik 618 1203969 EL MOJAHID Mohammed Amphi Imam Malik 620 1205221 EL MORSLI Youssef Amphi Imam Malik 622 1104773 EL MOSLIH Ahmed Amphi Imam Malik 624 1220892 EL MOUCHOURI MANAR Amphi Imam Malik 626 1202589 EL MOUDEN Ouissan Amphi Imam Malik 628 1204494 EL MOUDENE Omar Amphi Imam Malik 630 1201780 EL MOUGHRIBI Souad Amphi Imam Malik 632 Reportée 1105746 EL MOUHI Imad Amphi Imam Malik 634 1219722 EL MOUHI Imad Amphi Imam Malik 636 1201253 EL MOUJIB Zohra Amphi Imam Malik 638 1206897 EL MOUMENE Fatima-ezzahra Amphi Imam Malik 640 1115941 EL MOUNTASSIR AHMED Amphi Imam Malik 642 1202992 EL MOUTAOIKIL Youssef Amphi Imam Malik 644 1208921 EL MOUTAOUAKKAL Wafae Amphi Imam Malik 646 1203062 EL OMARI Driss Amphi Imam Malik 648 1201778 EL ORCH Mohamed Amphi Imam Malik 650 1219750 EL OTMANY Khalid Amphi Imam Malik 652 1205002 EL OUAFI Karima Amphi Imam Malik 654 1219707 EL OUAHABI Salwa Amphi Imam Malik 656 1107095 EL OUAHHABI Said Amphi Imam Malik 658 Reportée 1209024 EL OUAHIDY Laila Amphi Imam Malik 660 1220941 EL OUAHMANI EL OUANNAT Amphi Imam Malik 662 1202248 EL OUALI Abdel Moumene Amphi Imam Malik 664 1202741 EL OUALI Mustapha Amphi Imam Malik 666 1203135 EL OUARGA Younes Amphi Imam Malik 668 1219912 EL OUATANI SOUKAINA Amphi Imam Malik 670 1202665 EL OUATIK Touria Amphi Imam Malik 672 1202827 EL QASEMY Mohsin Amphi Imam Malik 674 Matière1: Français Matière2: Méthodologie du travail 19/50
  • 20.
    Filière: Droit arabe Facultédes sciences juridiques et Economiques. Marrakech N° Apogée Nom Prénom Local d'examen N° d'examen Matière1 Matière2 Université Cadi Ayyad PV de surveillance: Session de rattrapage Module: Langue et communication 2012-2013 Semestre1 (nouveau système) 1211206 EL QAZOUINI Houda Amphi Imam Malik 676 1211124 EL RHAZLAOUI Zineb Amphi Imam Malik 678 1204913 EL RHOURBA Khalid Amphi Imam Malik 680 1111138 EL WARTASSI Awatif Amphi Imam Malik 682 Reportée 1204957 EL WARZAZI Sabah Amphi Imam Malik 684 1220992 EL YAAKOUBI YASSINE Amphi Imam Malik 686 1111119 ELAALLAOUI Imane Amphi Imam Malik 688 Reportée 1106482 ELABBOUCHI Brahim Amphi Imam Malik 690 1220054 ELAICH Halima Amphi Imam Malik 692 1106998 ELAKKAD Abdelhakim Amphi Imam Malik 694 Reportée 1104139 ELALAOUI Charifa Amphi Imam Malik 696 Reportée 1209219 ELAMILI Outmane Amphi Imam Malik 698 1203240 ELAMIRI Adil Amphi Imam Malik 700 1201185 ELAMRI Abdellah Amphi Imam Malik 702 1208658 ELARGANE Hamza Amphi Imam Malik 704 1106768 ELASADY Achraf Amphi Imam Malik 706 1202915 ELASRI Khadija Amphi Imam Malik 708 1203274 ELAYACHI Ali Amphi Imam Malik 710 1207942 ELAZALI Yassine Amphi Imam Malik 712 1214609 ELAZHARI Zahra Amphi Imam Malik 714 1203992 ELBADI Mustapha Amphi Imam Malik 716 1208249 ELBADRA Houda Amphi Imam Malik 718 1201166 ELBAJBOUJI Aimad Amphi Imam Malik 720 1208975 ELBAJI Noura Amphi Imam Malik 722 1210286 ELBALILI Noura Amphi Imam Malik 724 1203030 ELBANAN Sofiane Amphi Imam Malik 726 1109645 ELBARDAAI Mouna Amphi Imam Malik 728 1210250 ELBARNOUSSI Noura Amphi Imam Malik 730 1201870 ELBARRIK Az-eddine Amphi Imam Malik 732 1219430 ELBAZ SIHAM Amphi Imam Malik 734 1212150 ELBAZAR Mohamed Amphi Imam Malik 736 1216727 ELBELDI Outmane Amphi Imam Malik 738 1219928 ELBENNAI Hamid Amphi Imam Malik 740 1208749 ELBIKAM Fattou Amphi Imam Malik 742 1001240 ELBOUAICHI ISMAIL Amphi Imam Malik 744 Reportée 1216320 ELBOUCHANI Youssef Amphi Imam Malik 746 1201041 ELBOUDALI Yassine Amphi Imam Malik 748 1219711 ELBOUHTOURI Nezha Amphi Imam Malik 750 1211172 ELBOUNI Abderrazzaq Amphi Imam Malik 752 1210467 ELFAKIR Jihane Amphi Imam Malik 754 1201192 ELFANJALI Ahmed Amphi Imam Malik 756 1111124 ELFANNANI Achraf Amphi Imam Malik 758 Reportée 1204000 ELFAQRI Soufiane Amphi Imam Malik 760 1102027 ELFATHI Abderrahim Amphi Imam Malik 762 Reportée 1203922 ELFATHI Charaf Amphi Imam Malik 764 1205919 ELFATIMY Imad Amphi Imam Malik 766 1114148 ELFEJOUJY Jaouad Amphi Imam Malik 768 Matière1: Français Matière2: Méthodologie du travail 20/50
  • 21.
    Filière: Droit arabe Facultédes sciences juridiques et Economiques. Marrakech N° Apogée Nom Prénom Local d'examen N° d'examen Matière1 Matière2 Université Cadi Ayyad PV de surveillance: Session de rattrapage Module: Langue et communication 2012-2013 Semestre1 (nouveau système) 1109853 ELGAREH Soufiane Amphi Imam Malik 770 Reportée 1220258 ELGARRAI ABDESSAMAD Amphi Imam Malik 772 1201237 ELGASMI Aziza Amphi Imam Malik 774 1004322 ELGHAMRI ABDESLAM Amphi Imam Malik 776 Reportée 1107406 ELGHIDA Hicham Amphi Imam Malik 778 1110224 ELGHOUAT Achraf Amphi Imam Malik 780 Reportée 1201202 ELGUANA Abd Elmajid Amphi Imam Malik 782 1005193 ELHADDAD YASSINE Amphi Imam Malik 784 Reportée 1104961 ELHADDOUI Aissam Amphi Imam Malik 786 Reportée 1208281 ELHAFIDI Abdelmoula Amphi Imam Malik 788 1203325 ELHAJJI AYMANE Amphi Imam Malik 790 1220018 ELHALOUANE Omar Amphi Imam Malik 792 Reportée 1203071 ELHAMIDI Rida Amphi Imam Malik 794 1201120 ELHAMMI Abdelaziz Amphi Imam Malik 796 1204579 ELHAMRI Latifa Amphi Imam Malik 798 1210266 ELHAMZAOUI Mareym Amphi Imam Malik 800 Reportée 1220123 ELHAOUARY Aouatif Amphi Imam Malik 802 1205173 ELHAOUASSI Samya Amphi Imam Malik 804 1207223 ELHARAS Mouhssine Amphi Imam Malik 806 1204301 ELHARNOUSSI Youssef Amphi Imam Malik 808 1105193 ELHAROUCHY Hanane Amphi Imam Malik 810 1209714 ELHARRAB Soufiane Amphi Imam Malik 812 1211292 ELHARRAR Mohamed Amphi Imam Malik 814 1203921 ELHOUARI Hayat Amphi Imam Malik 816 1203276 EL-IBRAHYMY Latifa Amphi Imam Malik 818 1220281 ELIDRISSI Souad Amphi Imam Malik 820 1004465 ELIFGHANI IBTISSAM Amphi Imam Malik 822 Reportée 1112035 ELJABIRI Hasna Amphi Imam Malik 824 1201773 ELJAKANI Toufiq Amphi Imam Malik 826 1216695 ELKABRITI Meriem Amphi Imam Malik 828 1219652 ELKAFI NADIA Amphi Imam Malik 830 1208628 ELKAFRAOUI Najia Amphi Imam Malik 832 1206221 ELKAHL Youssef Amphi Imam Malik 834 1109575 ELKAHLAOUI Abdessalam Amphi Imam Malik 836 Reportée 1208911 ELKAMEL Rachid Amphi Imam Malik 838 1211275 ELKASSOUABI Abdelilah Amphi Imam Malik 840 1210600 ELKHADIRI Khadija Amphi Imam Malik 842 1106382 ELKHAHIRI Jihad Amphi Imam Malik 844 Reportée 1205174 ELKHAL NAOUAL Amphi Imam Malik 846 1111193 ELKHAMILI Abdelmalek Amphi Imam Malik 848 1201640 ELKHARTA MOHAMMED Amphi Imam Malik 850 1113461 ELKHARTA Redouane Amphi Imam Malik 852 1211319 EL-KHNISSI Kaouthar Amphi Imam Malik 854 1216667 ELKHOURI MARHRA Fatima Zahra Amphi Imam Malik 856 1108547 ELKIRAT Soukaina Amphi Imam Malik 858 1204853 ELKISSAI Hasnae Amphi Imam Malik 860 1219539 ELKOUARTY NADIA Amphi Imam Malik 862 Matière1: Français Matière2: Méthodologie du travail 21/50
  • 22.
    Filière: Droit arabe Facultédes sciences juridiques et Economiques. Marrakech N° Apogée Nom Prénom Local d'examen N° d'examen Matière1 Matière2 Université Cadi Ayyad PV de surveillance: Session de rattrapage Module: Langue et communication 2012-2013 Semestre1 (nouveau système) 1204896 ELKOURCHI Imane Amphi Imam Malik 864 1203999 ELLAITI Hasna Amphi Imam Malik 866 1201305 ELLAOU Lamnia Amphi Imam Malik 868 1203351 ELLAOUD Esalek Amphi Imam Malik 870 1202322 ELLOUYTY FATIMA Amphi Imam Malik 872 1219725 ELMAHDAOUY Amal Amphi Imam Malik 874 1204166 ELMAHJOUBI Lamia Amphi Imam Malik 876 1201601 ELMAJDOUBI Radouane Amphi Imam Malik 878 1206299 ELMAKNI Elhassan Amphi Imam Malik 880 Matière1: Français Matière2: Méthodologie du travail 22/50
  • 23.
    Filière: Droit arabe Facultédes sciences juridiques et Economiques. Marrakech N° Apogée Nom Prénom Local d'examen N° d'examen Matière1 Matière2 Université Cadi Ayyad PV de surveillance: Session de rattrapage Module: Langue et communication 2012-2013 Semestre1 (nouveau système) 1209761 ELMALATI Said salle 1 2272 1211959 ELMALLOULI Aziza salle 1 2274 1208104 ELMANSOURI Abderrahim salle 1 2276 1216665 ELMANSOURI Sara salle 1 2278 1108314 ELMARIRY Nadia salle 1 2280 Reportée 1105868 ELMAROUANI Hasna salle 1 2282 Reportée 1202423 ELMECHYLY Zakaria salle 1 2284 1203229 ELMEDIANI Mohamed salle 1 2286 1202903 ELMETTYJY Ayoub salle 1 2288 1219733 ELMEZOUARI Abderrahman salle 1 2290 1201015 ELMIKH Mohamed salle 1 2292 1205212 ELMILOUAY Houria salle 1 2294 1212438 ELMIRAHI Khalid salle 1 2296 1201084 ELMONKARI Youssef salle 1 2298 1201204 ELMONTASER Laila salle 1 2300 1107100 ELMORABITE Nabil salle 1 2302 Reportée 1201302 ELMOUADINE Fatimaezzahra salle 1 2304 1204760 ELMOURABIT Hasna salle 1 2306 1216476 ELMOUSSAOUI Abderrahmane salle 1 2308 1202871 ELMOUSSAOUI Khadija salle 1 2310 1219938 ELMYSOURY Latifa salle 1 2312 1209187 ELORFI Elhoucein salle 1 2314 1111196 ELOUAFIQ Ahlam salle 1 2316 Reportée 1219540 ELOUAHMANI Mohamed salle 1 2318 1209352 ELOUAHRANI Sanae salle 1 2320 1220057 ELOUAZZAN Badre salle 1 2322 1219439 EL-QASEMY Fadoua salle 1 2324 1201387 ELQEBAYLY Mina salle 1 2326 1216297 ELSOULDI Naima salle 1 2328 1205152 ELYAKOUBI Fadma salle 1 2330 1204325 ENNACHAT Ayyoub salle 1 2332 1201395 ENNAGACH Oulaya salle 1 2334 1205255 ENNAKKACH Badr salle 1 2336 1205898 ENNAOURI Dounia salle 1 2338 1202178 ENNASFI Malika salle 1 2340 Matière1: Français Matière2: Méthodologie du travail 23/50
  • 24.
    Filière: Droit arabe Facultédes sciences juridiques et Economiques. Marrakech N° Apogée Nom Prénom Local d'examen N° d'examen Matière1 Matière2 Université Cadi Ayyad PV de surveillance: Session de rattrapage Module: Langue et communication 2012-2013 Semestre1 (nouveau système) 1216936 ENNASIRY Soukaina salle 2 2342 1207714 ENNAY Touria salle 2 2344 1217503 ENNOUIDRATE MOHAMED LARBI salle 2 2346 1217494 EN-NOUIFI OUSSAMA salle 2 2348 1220095 ENNOUIGUED Omar salle 2 2350 1008528 ERRABHI SOUAD salle 2 2352 Reportée 1201330 ERRAGADI Anas salle 2 2354 1207007 ERRAHALI ABDELMAJID salle 2 2356 1208153 ERRAHILI Hassan salle 2 2358 1220382 ERRAIS Abderrazak salle 2 2360 1210168 ERRAISS Kaouthar salle 2 2362 1205242 ERRAISSI Zakaria salle 2 2364 1100990 ERRAMI Youssef salle 2 2366 1114405 ERRANNA MOHAMED ALI salle 2 2368 Reportée 1201291 ERRAYS Siham salle 2 2370 1202836 ER-REBAA Yassine salle 2 2372 1204117 ERRIDA Raja salle 2 2374 1207088 ERROUSY Aziz salle 2 2376 1207659 ERTIMATE HASSAN salle 2 2378 1205635 ESAHIB Jaouad salle 2 2380 1000715 ESALHI ASSIA salle 2 2382 Reportée 1200897 ESSABBAN Yassine salle 2 2384 1219792 ES-SABBAR YOUNES salle 2 2386 1202071 ESSABBATI Soumia salle 2 2388 1201254 ESSABHI Bouchra salle 2 2390 1220372 ESSAFI EL MOUSSAM salle 2 2392 1209012 ESSAIDI Ghizlane salle 2 2394 1201306 ESSAKHI AISSA salle 2 2396 1205222 ESSALEHY Saida salle 2 2398 1100480 ES-SAMID Chamesed-dine salle 2 2400 1108296 ES-SANGRI Tarik salle 2 2402 Reportée 1204772 ESSAOUD Btissam salle 2 2404 1205765 ESSAOUISSI Abdelkrim salle 2 2406 1219523 ESSARRAR Mouad salle 2 2408 1201363 ESSEHARI Said salle 2 2410 Matière1: Français Matière2: Méthodologie du travail 24/50
  • 25.
    Filière: Droit arabe Facultédes sciences juridiques et Economiques. Marrakech N° Apogée Nom Prénom Local d'examen N° d'examen Matière1 Matière2 Université Cadi Ayyad PV de surveillance: Session de rattrapage Module: Langue et communication 2012-2013 Semestre1 (nouveau système) 1204082 ESSELLAMI Abdelghani salle 3 2412 6025464 ESSENAK ABDELLAH A SAISIR salle 3 2414 1202959 ESSERRAKH Iatimad salle 3 2416 1108465 ESSERSAR Ahmad salle 3 2418 Reportée 1202751 ES-SIAD Sara salle 3 2420 1106963 ESSIDDIQI Mounir salle 3 2422 Reportée 1213716 ES-SOHBANI Abdelouahed salle 3 2424 1201271 ESSOUAFE Younes salle 3 2426 1220015 ES-SOURNI Mohamed salle 3 2428 1209399 ESSOURNI Akram salle 3 2430 1003551 ETRAYAH ZAHRA salle 3 2432 Reportée 1201686 ET-TAHIRI ABDELMOUTTALIB salle 3 2434 1100382 ETTAIA Ghizlane salle 3 2436 1202758 ETTALBI Mohammad salle 3 2438 1203215 ETTANATY M'BAREK salle 3 2440 1210182 ET-TAOUAF Najia salle 3 2442 1103522 ET-TAOUYL Abdellatif salle 3 2444 1204788 ET-TARGHI MARIEM salle 3 2446 1201089 ET-TAROUALY Abdlhak salle 3 2448 1201323 ET-TASAFY Najat salle 3 2450 1220395 EZZAHIRE Abdellah salle 3 2452 1217347 EZZAHIRI Aatika salle 3 2454 1208606 EZZAOUI Souad salle 3 2456 1202156 EZZAOUIA Ahmed salle 3 2458 1219519 EZZIGHAM Boujemaa salle 3 2460 1204651 EZZINE Fatima salle 3 2462 1218951 EZZIYADI Ilham salle 3 2464 1209364 EZ-ZLIGUI Ali salle 3 2466 1201208 EZ-ZOUAGHI Abdes-sadik salle 3 2468 1201696 EZZROUALI Rachid salle 3 2470 Matière1: Français Matière2: Méthodologie du travail 25/50
  • 26.
    Filière: Droit arabe Facultédes sciences juridiques et Economiques. Marrakech N° Apogée Nom Prénom Local d'examen N° d'examen Matière1 Matière2 Université Cadi Ayyad PV de surveillance: Session de rattrapage Module: Langue et communication 2012-2013 Semestre1 (nouveau système) 1204478 FADAD Ghizlane Amphi allal El Fassi 392 1219953 FADLANE Naima Amphi allal El Fassi 394 1104626 FAGHRI BACHIR Amphi allal El Fassi 396 1201130 FAGROUCH Soufiane Amphi allal El Fassi 398 1202126 FAHIM Mohamed Amphi allal El Fassi 400 1209026 FAHMI Said Amphi allal El Fassi 402 1220113 FAIDA Noura Amphi allal El Fassi 404 1203075 FAIK Ismail Amphi allal El Fassi 406 1204828 FAKIR Kaoutar Amphi allal El Fassi 408 1100337 FALFACH Ettalmidi Amphi allal El Fassi 410 Reportée 1204902 FARAH Manal Amphi allal El Fassi 412 1201561 FARAH Nabil Amphi allal El Fassi 414 1211191 FARAH Zahira Amphi allal El Fassi 416 1209624 FARASSI NAIMA Amphi allal El Fassi 418 1201406 FAREH Khalid Amphi allal El Fassi 420 1203288 FARES Soufyane Amphi allal El Fassi 422 1201932 FARHAT Aziz Amphi allal El Fassi 424 1208267 FARHAT Fayrouz Amphi allal El Fassi 426 1208847 FARHAT Hayat Amphi allal El Fassi 428 1205186 FARIS Hasnaa Amphi allal El Fassi 430 1207961 FATTOUKH Fatiha Amphi allal El Fassi 432 1211164 FATTOUKH Hind Amphi allal El Fassi 434 1202478 FERTAH Amal Amphi allal El Fassi 436 1205104 FIKRI Idris Amphi allal El Fassi 438 1201691 FIKRI Mouhcine Amphi allal El Fassi 440 1205037 FILALI Nadia Amphi allal El Fassi 442 1201569 FNIDOU MOHAMED Amphi allal El Fassi 444 1204278 FODIL Salah Amphi allal El Fassi 446 1204889 FOUNDOU Brahim Amphi allal El Fassi 448 1201187 FOUNTI Aouatif Amphi allal El Fassi 450 1203225 FOUTOUHI Rachid Amphi allal El Fassi 452 1201913 FRAIHATE Essaid Amphi allal El Fassi 454 1201783 GASMI Soumia Amphi allal El Fassi 456 1220052 GASMILI Mohamed Amphi allal El Fassi 458 1001257 GDIEL SOUKAINA Amphi allal El Fassi 460 Reportée 1104693 GHAFFARIE ADNANE Amphi allal El Fassi 462 Reportée 1201025 GHALIOUCHE Zouhir Amphi allal El Fassi 464 1202509 GHALMI Intissar Amphi allal El Fassi 466 1204838 GHANAMI Noura Amphi allal El Fassi 468 1203569 GHANDOUR Nizar Amphi allal El Fassi 470 1201971 GHANEM Badia Amphi allal El Fassi 472 1220296 GHANIM Abdelilah Amphi allal El Fassi 474 1219441 GHANIM Hamza Amphi allal El Fassi 476 1202927 GHARIB Abdelmoughit Amphi allal El Fassi 478 1202302 GHAZAOUAT Khadija Amphi allal El Fassi 480 1219481 GHEZALA Hicham Amphi allal El Fassi 482 1204996 GHOUFRANE Najib Amphi allal El Fassi 484 Matière1: Français Matière2: Méthodologie du travail 26/50
  • 27.
    Filière: Droit arabe Facultédes sciences juridiques et Economiques. Marrakech N° Apogée Nom Prénom Local d'examen N° d'examen Matière1 Matière2 Université Cadi Ayyad PV de surveillance: Session de rattrapage Module: Langue et communication 2012-2013 Semestre1 (nouveau système) 1203813 GOULLA Achraf Amphi allal El Fassi 486 1203681 GOUMNACEF Ilyas Amphi allal El Fassi 488 1209527 GOUNAINE Btissam Amphi allal El Fassi 490 1114517 GOURBI ABDELMOUNAIM Amphi allal El Fassi 492 1204476 GOURMA Hafida Amphi allal El Fassi 494 1219632 GOUZDINE Soukaina Amphi allal El Fassi 496 1216724 GOUZMIR Elorch Amphi allal El Fassi 498 1201322 GRIDI Rachid Amphi allal El Fassi 500 1219902 GUESSAB Ahmed Amphi allal El Fassi 502 1201759 GZOUMI Merieme Amphi allal El Fassi 504 1210395 HABAL Sara Amphi allal El Fassi 506 1201174 HABBOUCH Soufia Amphi allal El Fassi 508 1102218 HABIBALLAH Soukaina Amphi allal El Fassi 510 1009606 HABIBI KHALID Amphi allal El Fassi 512 Reportée 1219511 HADDADI RACHIDA Amphi allal El Fassi 514 1202124 HADDI Maeleinine Amphi allal El Fassi 516 1202202 HADDOUCH Hichame Amphi allal El Fassi 518 1209072 HADOUCH Youssef Amphi allal El Fassi 520 1202292 HAFID Imane Amphi allal El Fassi 522 1102865 HAGCHI Fathezzhar Amphi allal El Fassi 524 1203197 HAIDA Mohammed Amphi allal El Fassi 526 1212489 HAIDANE Mohamed Yeslem Amphi allal El Fassi 528 1210042 HAIDOUS Soukaina Amphi allal El Fassi 530 1219685 HAIMOUD Hamza Amphi allal El Fassi 532 1203825 HAJMANI El Mehdi Amphi allal El Fassi 534 1111208 HAL-EL FADL Aida Amphi allal El Fassi 536 Reportée 1202196 HALIM Khalid Amphi allal El Fassi 538 1004746 HALIM MOHAMED BADR Amphi allal El Fassi 540 Reportée 1220989 HALOUS SI MOHAMED Amphi allal El Fassi 542 1202970 HALYM Noureddine Amphi allal El Fassi 544 1100422 HAMADI ABDELHAK Amphi allal El Fassi 546 Reportée 1219554 HAMAMA Sara Amphi allal El Fassi 548 1111561 HAMMA Elmustapha Amphi allal El Fassi 550 Reportée 1004727 HAMMADI MOHAMMED Amphi allal El Fassi 552 Reportée 1201146 HAMMI Mustapha Amphi allal El Fassi 554 1205226 HAMOU ESSALEK Amphi allal El Fassi 556 1205678 HAMOUDAT Mohamed Amphi allal El Fassi 558 1204915 HAMZA AOMAR Amphi allal El Fassi 560 1204036 HAND Soukaina Amphi allal El Fassi 562 1207825 HANDAOUI Oumaima Amphi allal El Fassi 564 1201258 HANI Youness Amphi allal El Fassi 566 1003411 HANNOUN BECHRAY Amphi allal El Fassi 568 Reportée 1209108 HANTOUM Hamid Amphi allal El Fassi 570 1205640 HAOUA Mohamed Amphi allal El Fassi 572 1203778 HAOUISS Jamal Amphi allal El Fassi 574 1204121 HARGUI Fatima Amphi allal El Fassi 576 1106860 HARI Mina Amphi allal El Fassi 578 Matière1: Français Matière2: Méthodologie du travail 27/50
  • 28.
    Filière: Droit arabe Facultédes sciences juridiques et Economiques. Marrakech N° Apogée Nom Prénom Local d'examen N° d'examen Matière1 Matière2 Université Cadi Ayyad PV de surveillance: Session de rattrapage Module: Langue et communication 2012-2013 Semestre1 (nouveau système) 1101960 HARIM Asmaa Amphi allal El Fassi 580 Matière1: Français Matière2: Méthodologie du travail 28/50
  • 29.
    Filière: Droit arabe Facultédes sciences juridiques et Economiques. Marrakech N° Apogée Nom Prénom Local d'examen N° d'examen Matière1 Matière2 Université Cadi Ayyad PV de surveillance: Session de rattrapage Module: Langue et communication 2012-2013 Semestre1 (nouveau système) 1220273 HAROUCH Khadija Amphi ibn Rochd 882 1106503 HAROUK Abdellatif Amphi ibn Rochd 884 1204820 HASIKA Imane Amphi ibn Rochd 886 1216718 HASNAOUI Iliass Amphi ibn Rochd 888 1216389 HASSANA Aicha Amphi ibn Rochd 890 1205616 HASSAR Ayoub Amphi ibn Rochd 892 1204735 HAZIM Zahra Amphi ibn Rochd 894 1201315 HCINE Karam-eddine Amphi ibn Rochd 896 1202228 HERTAL Amina Amphi ibn Rochd 898 1202260 HERTAL Loubna Amphi ibn Rochd 900 1204634 HILI Abdeltif Amphi ibn Rochd 902 1102034 HILLI Ridda Amphi ibn Rochd 904 Reportée 1209584 HIMD Khadija Amphi ibn Rochd 906 1202904 HJAJI Azzedine Amphi ibn Rochd 908 1204452 HLILOU Khalid Amphi ibn Rochd 910 1113649 HMAIMA HAMID Amphi ibn Rochd 912 1208950 HMIDOUCH Ouafa Amphi ibn Rochd 914 1203320 HMIMID ABDELAZIZ Amphi ibn Rochd 916 1203964 HMIMOU Mohamed Amphi ibn Rochd 918 1203239 HNI Mohamed Amphi ibn Rochd 920 1203651 HOUDALI Anass Amphi ibn Rochd 922 1202325 HOULMANE Mohammed Amphi ibn Rochd 924 1201180 HOUMIYA BOUCHRA Amphi ibn Rochd 926 1201762 HSSINI Ihsane Amphi ibn Rochd 928 1109281 IAAR Soufiane Amphi ibn Rochd 930 1203957 IARABEN Yassine Amphi ibn Rochd 932 1202221 IBARZAQ Youssef Amphi ibn Rochd 934 1100620 IBISSI Ismail Amphi ibn Rochd 936 Reportée 1004120 IBN ELOTHMANI SANA Amphi ibn Rochd 938 Reportée 1216716 IBN RAZZOUQ HANANE Amphi ibn Rochd 940 1202224 IBNOU ZAHER Anas Amphi ibn Rochd 942 1201356 ICHAIBI Azeddine Amphi ibn Rochd 944 1210053 ICHEREM Saida Amphi ibn Rochd 946 1104728 ICHOUANE Abdellatif Amphi ibn Rochd 948 Reportée 1201933 IDARDAR Mohamed Amphi ibn Rochd 950 Reportée 1204882 IDLAHSEN Nadia Amphi ibn Rochd 952 1202968 IDRISSI Yassine Amphi ibn Rochd 954 1005414 IDRRAZEN LAILA Amphi ibn Rochd 956 Reportée 1202201 IGARDY Abdellah Amphi ibn Rochd 958 1111041 IGDEM Aicha Amphi ibn Rochd 960 Reportée 1004102 IGHEREM MOHAMED Amphi ibn Rochd 962 Reportée 1201171 IGLISE Khadija Amphi ibn Rochd 964 1203275 IGUIDER Yahya Amphi ibn Rochd 966 1203024 IHENKI Mohamed Amphi ibn Rochd 968 1203141 IHNIKI Khalid Amphi ibn Rochd 970 1217122 IHSANE Abdelghani Amphi ibn Rochd 972 1205762 IJJIG Sana Amphi ibn Rochd 974 Matière1: Français Matière2: Méthodologie du travail 29/50
  • 30.
    Filière: Droit arabe Facultédes sciences juridiques et Economiques. Marrakech N° Apogée Nom Prénom Local d'examen N° d'examen Matière1 Matière2 Université Cadi Ayyad PV de surveillance: Session de rattrapage Module: Langue et communication 2012-2013 Semestre1 (nouveau système) 1209053 IKBANE Youssef Amphi ibn Rochd 976 1003103 IKRAM YOUSSEF Amphi ibn Rochd 978 Reportée 1208845 IMASSADAN Bilal Amphi ibn Rochd 980 1206953 IMASSADAN Mustapha Amphi ibn Rochd 982 1205706 IMEDRANE Ayoub Amphi ibn Rochd 984 1109162 IMRRAYNE Khalid Amphi ibn Rochd 986 1202212 INOUS Fatima Ezzahra Amphi ibn Rochd 988 1203103 IOURAGHEN Najib Amphi ibn Rochd 990 1114527 ISMAILI ABDELHAMID Amphi ibn Rochd 992 Reportée 1008414 ISMAILI KHADIJATOU Amphi ibn Rochd 994 1201189 ISRA Yassin Amphi ibn Rochd 996 1204045 ITSMAIL RIDDOUANE Amphi ibn Rochd 998 1106850 IZALMADEN Khalid Amphi ibn Rochd 1000 Reportée 1203612 JAA Omar Amphi ibn Rochd 1002 1203666 JAAFAR M'hamed Amphi ibn Rochd 1004 1112453 JAAFARI Abdelkarim Amphi ibn Rochd 1006 1216365 JAAFARI Abdelkarim Amphi ibn Rochd 1008 1216739 JABBOUR Kamal Amphi ibn Rochd 1010 1203801 JAD YASSINE Amphi ibn Rochd 1012 1204829 JADI Mariam Amphi ibn Rochd 1014 1205139 JADIDI Abdessalam Amphi ibn Rochd 1016 1219641 JAGOUJ Jamila Amphi ibn Rochd 1018 1202192 JALAL Khadija Amphi ibn Rochd 1020 1202044 JALLOUL Aziz Amphi ibn Rochd 1022 1108074 JAMAL Ghizlane Amphi ibn Rochd 1024 Reportée 1110779 JAMIL Abdelhadi Amphi ibn Rochd 1026 Reportée 1204423 JANADI Hamza Amphi ibn Rochd 1028 1208487 JANANE Redouane Amphi ibn Rochd 1030 1202355 JANID Mohammed Amphi ibn Rochd 1032 1201709 JAOUAD Lagribi Amphi ibn Rochd 1034 1216312 JAOUHAR Adil Amphi ibn Rochd 1036 1105328 JAOUHARI Siham Amphi ibn Rochd 1038 1201132 JARFI Fadila Amphi ibn Rochd 1040 1204724 JARID Abderrazzak Amphi ibn Rochd 1042 1216675 JARIKI Soumiya Amphi ibn Rochd 1044 1202536 JDAIA Soumia Amphi ibn Rochd 1046 1108727 JIAD Hassna Amphi ibn Rochd 1048 1111293 JNAH Amine Amphi ibn Rochd 1050 1203936 JNAHI Lahcen Amphi ibn Rochd 1052 1205917 JOHAR Mohamed Amphi ibn Rochd 1054 1202507 JOMAR Abderrahim Amphi ibn Rochd 1056 1202703 JOUAOUI Narimane Amphi ibn Rochd 1058 1100424 JOUID Mohamed Amphi ibn Rochd 1060 Reportée 1203280 JOUIDI Abdelilah Amphi ibn Rochd 1062 1210431 KAABI Kaoutar Amphi ibn Rochd 1064 1104158 KABIRI Abdessalam Amphi ibn Rochd 1066 1219467 KADDOURI SALAH EDDINE Amphi ibn Rochd 1068 Matière1: Français Matière2: Méthodologie du travail 30/50
  • 31.
    Filière: Droit arabe Facultédes sciences juridiques et Economiques. Marrakech N° Apogée Nom Prénom Local d'examen N° d'examen Matière1 Matière2 Université Cadi Ayyad PV de surveillance: Session de rattrapage Module: Langue et communication 2012-2013 Semestre1 (nouveau système) 1217018 KADRI Nassima Amphi ibn Rochd 1070 1205201 KAFOUNI Abdellah Amphi ibn Rochd 1072 1219758 KAHKAH MOHAMED ALI Amphi ibn Rochd 1074 1203973 KAMEL Abdelhafid Amphi ibn Rochd 1076 1210111 KAMEL Asma Amphi ibn Rochd 1078 1107979 KAMOUCHI Najib Amphi ibn Rochd 1080 1114231 KANI Khalid Amphi ibn Rochd 1082 1221024 KARA ZAKARIA Amphi ibn Rochd 1084 1203864 KARAM Imad Eddine Amphi ibn Rochd 1086 1204936 KARIFI Loubna Amphi ibn Rochd 1088 1219746 KARIM BRAHIM Amphi ibn Rochd 1090 1203633 KARIM ELMEHDI Amphi ibn Rochd 1092 1217266 KARIM SOUKAINA Amphi ibn Rochd 1094 1001210 KARROUT SOUFIANE Amphi ibn Rochd 1096 1219788 KASSIMI Aziz Amphi ibn Rochd 1098 1115756 KASSOUD MAROUAN Amphi ibn Rochd 1100 Matière1: Français Matière2: Méthodologie du travail 31/50
  • 32.
    Filière: Droit arabe Facultédes sciences juridiques et Economiques. Marrakech N° Apogée Nom Prénom Local d'examen N° d'examen Matière1 Matière2 Université Cadi Ayyad PV de surveillance: Session de rattrapage Module: Langue et communication 2012-2013 Semestre1 (nouveau système) 1004470 KASTIH MOUHSSINE Amphi mohamed El Fassi 1102 1205695 KATFI Khadija Amphi mohamed El Fassi 1104 1108743 KATITI Yassine Amphi mohamed El Fassi 1106 Reportée 1109787 KEMLAOUI Khadija Amphi mohamed El Fassi 1108 1106797 KENTOUR Mohamed Amphi mohamed El Fassi 1110 1201875 KERF Soukaina Amphi mohamed El Fassi 1112 1105089 KERKOUR-ALLA Jaouad Amphi mohamed El Fassi 1114 1201207 KEZZAR Khalid Amphi mohamed El Fassi 1116 1203218 KHABAL Zakaria Amphi mohamed El Fassi 1118 1210169 KHADIR Fatima Amphi mohamed El Fassi 1120 1106632 KHADNOUCHI Abderrahim Amphi mohamed El Fassi 1122 1219857 KHAFIF Ikram Amphi mohamed El Fassi 1124 1219919 KHAL Othmane Amphi mohamed El Fassi 1126 1205193 KHALDI Abderrahim Amphi mohamed El Fassi 1128 1220381 KHALID MOHAMAD AMINE Amphi mohamed El Fassi 1130 1208152 KHALID MOUNIR Amphi mohamed El Fassi 1132 1220409 KHALIJ HAMZA Amphi mohamed El Fassi 1134 1202493 KHALILI BRAHIM Amphi mohamed El Fassi 1136 1202364 KHALIS Kamal Amphi mohamed El Fassi 1138 1210652 KHALIS Sanae Amphi mohamed El Fassi 1140 1211267 KHALLASSI Ali Amphi mohamed El Fassi 1142 1219850 KHALLOUFI AFAF Amphi mohamed El Fassi 1144 1113324 KHALLOUK Abdelaziz Amphi mohamed El Fassi 1146 1203372 KHALLOUQ Wissam Amphi mohamed El Fassi 1148 1204070 KHAMIL Sara Amphi mohamed El Fassi 1150 1005802 KHARBIBI KHAOULA Amphi mohamed El Fassi 1152 1111830 KHASMANI Siham Amphi mohamed El Fassi 1154 1201244 KHATIR Mohamed Amphi mohamed El Fassi 1156 1201771 KHATRANI Elmustapha Amphi mohamed El Fassi 1158 1202087 KHATRANI Saida Amphi mohamed El Fassi 1160 1109099 KHAYI Tariq Amphi mohamed El Fassi 1162 1103898 KHAYRAN Nour Eddine Amphi mohamed El Fassi 1164 1201178 KHERROU Khalid Amphi mohamed El Fassi 1166 1114287 KHIALI Youssef Amphi mohamed El Fassi 1168 Reportée 1203787 KHIRI Abdelkarim Amphi mohamed El Fassi 1170 1210808 KHIROU MALIKA Amphi mohamed El Fassi 1172 1202263 KHOUYA Hasnaa Amphi mohamed El Fassi 1174 1202451 KHOUYI Mounssif Amphi mohamed El Fassi 1176 1220411 KICHOU OUISSAL Amphi mohamed El Fassi 1178 1216591 KIDA MOHAMED Amphi mohamed El Fassi 1180 1104510 KIDDI Abdelmajid Amphi mohamed El Fassi 1182 1205093 KILALI Ahmed Amphi mohamed El Fassi 1184 1203238 KMACH Hassan Amphi mohamed El Fassi 1186 1203878 KORRAY Naoual Amphi mohamed El Fassi 1188 1103277 KOUADSSI MOHAMED Amphi mohamed El Fassi 1190 Reportée 1204257 KOUBAIL Abdsamad Amphi mohamed El Fassi 1192 1201151 KOUIDER Latifa Amphi mohamed El Fassi 1194 Matière1: Français Matière2: Méthodologie du travail 32/50
  • 33.
    Filière: Droit arabe Facultédes sciences juridiques et Economiques. Marrakech N° Apogée Nom Prénom Local d'examen N° d'examen Matière1 Matière2 Université Cadi Ayyad PV de surveillance: Session de rattrapage Module: Langue et communication 2012-2013 Semestre1 (nouveau système) 1201092 KOUISSI Sabrine Amphi mohamed El Fassi 1196 1104673 KOUISTA Nabil Amphi mohamed El Fassi 1198 1203722 KOUJOUTE Hicham Amphi mohamed El Fassi 1200 1202147 KOURD SARA Amphi mohamed El Fassi 1202 1210892 KOURKACH Abderrahim Amphi mohamed El Fassi 1204 1105901 KRATES Mehdi El Khir Amphi mohamed El Fassi 1206 1202298 LAAGUIDI Soufyane Amphi mohamed El Fassi 1208 1208933 LAAJIJIL Youssef Amphi mohamed El Fassi 1210 1220166 LAAMMARI Majdouline Amphi mohamed El Fassi 1212 1106918 LAANAD Elhabib Amphi mohamed El Fassi 1214 1219797 LAANANI Abdekhaq Amphi mohamed El Fassi 1216 1219839 LAANAYA Zineb Amphi mohamed El Fassi 1218 1202377 LAAOUAOUCHA Yassine Amphi mohamed El Fassi 1220 1111111 LAAOUDI Khadija Amphi mohamed El Fassi 1222 1205051 LAARAGUE Moustapha Amphi mohamed El Fassi 1224 1202654 LAARAICHY Fatima Amphi mohamed El Fassi 1226 1108754 LAAROUD Mariam Amphi mohamed El Fassi 1228 1201956 LAAROUSSI M'hammed Amphi mohamed El Fassi 1230 1201138 LAASSARI Amal Amphi mohamed El Fassi 1232 1101169 LAATIF Rabie Amphi mohamed El Fassi 1234 Reportée 1111113 LABANE Youssef Amphi mohamed El Fassi 1236 1208813 LABHIH Khalid Amphi mohamed El Fassi 1238 1201988 LABIAD Fatima Zahra Amphi mohamed El Fassi 1240 1201154 LABIB Rida Amphi mohamed El Fassi 1242 1201217 LABRADAAI Mohamed Amphi mohamed El Fassi 1244 1209135 LABSIR Abdellah Amphi mohamed El Fassi 1246 1112735 LABYAD Adil Amphi mohamed El Fassi 1248 1104105 LABYAD Fatima-zahra Amphi mohamed El Fassi 1250 1201928 LABZIOUI Safa Amphi mohamed El Fassi 1252 1114487 LACHGAR HAMZA Amphi mohamed El Fassi 1254 1108725 LACHGAR Laila Amphi mohamed El Fassi 1256 9292948 LACHGAR RADOUAN Amphi mohamed El Fassi 1258 Reportée 1104907 LACHHAB BTISAM Amphi mohamed El Fassi 1260 1209971 LACHHEB AFAF Amphi mohamed El Fassi 1262 1220949 LADO HELLEN BULLEN Amphi mohamed El Fassi 1264 1211170 LAFDALI Imane Amphi mohamed El Fassi 1266 1203649 LAFKIHI Hayat Amphi mohamed El Fassi 1268 1219562 LAFNASSI Houria Amphi mohamed El Fassi 1270 1219397 LAFRIHI MAJDA Amphi mohamed El Fassi 1272 1209098 LAFSI Lotfi Amphi mohamed El Fassi 1274 1219452 LAGDIH MARIAM Amphi mohamed El Fassi 1276 1105880 LAGNAOUI Youssef Amphi mohamed El Fassi 1278 Reportée 1202965 LAGRAMATE Mouatassim Amphi mohamed El Fassi 1280 1210320 LAGRANE Hanane Amphi mohamed El Fassi 1282 1203356 LAGRARI Khalid Amphi mohamed El Fassi 1284 1004851 LAGSIR RACHID Amphi mohamed El Fassi 1286 Reportée 1203177 LAHDILI Abdelftah Amphi mohamed El Fassi 1288 Matière1: Français Matière2: Méthodologie du travail 33/50
  • 34.
    Filière: Droit arabe Facultédes sciences juridiques et Economiques. Marrakech N° Apogée Nom Prénom Local d'examen N° d'examen Matière1 Matière2 Université Cadi Ayyad PV de surveillance: Session de rattrapage Module: Langue et communication 2012-2013 Semestre1 (nouveau système) 1103863 LAHDILI Radi Amphi mohamed El Fassi 1290 1114324 LAHDIMI FATIMA EZZAHRA Amphi mohamed El Fassi 1292 1102830 LAHFID Abderrahim Amphi mohamed El Fassi 1294 1207083 LAHJOUJY Essaadia Amphi mohamed El Fassi 1296 1207072 LAHJOUJY Hicham Amphi mohamed El Fassi 1298 1205205 LAHKIM Rachid Amphi mohamed El Fassi 1300 1109611 LAHLOU Aziz Amphi mohamed El Fassi 1302 1205673 LAHMADI Abd Ellah Amphi mohamed El Fassi 1304 1219690 LAHMAM Rachid Amphi mohamed El Fassi 1306 1104242 LAHMAR Abdelfattah Amphi mohamed El Fassi 1308 1114577 LAHMDI ABDELGHAFOUR Amphi mohamed El Fassi 1310 1209842 LAHMIDI Semai Amphi mohamed El Fassi 1312 1110517 LAHNAOUI Khaireddine Amphi mohamed El Fassi 1314 1204037 LAHNAOUI Mohamed Amine Amphi mohamed El Fassi 1316 1219578 LAHNINE Abdessamad Amphi mohamed El Fassi 1318 1003992 LAHNITI MOHAMED Amphi mohamed El Fassi 1320 Reportée 1205235 LAHOUI Amina Amphi mohamed El Fassi 1322 1201789 LAHRACH Elmustapha Amphi mohamed El Fassi 1324 1101140 LAHRACH Ilham Amphi mohamed El Fassi 1326 1201938 LAHSINI EL MUSTAPHA Amphi mohamed El Fassi 1328 1216785 LAHYANE AZDINE Amphi mohamed El Fassi 1330 1202268 LAKBIR Foudi Amphi mohamed El Fassi 1332 1219402 LAKHAL EL MUSTAPHA Amphi mohamed El Fassi 1334 1104062 LAKHLIFI Abdelilah Amphi mohamed El Fassi 1336 1002853 LAKHLIGUI MINATOU Amphi mohamed El Fassi 1338 1104325 LAKHOUIL Mohamed Amphi mohamed El Fassi 1340 1100799 LAKLAI Tarik Amphi mohamed El Fassi 1342 1220948 LAKO ARNES FAULO Amphi mohamed El Fassi 1344 1209692 LAKOUAS Mohamed Amphi mohamed El Fassi 1346 1203002 LAKRAD Youssef Amphi mohamed El Fassi 1348 1003912 LAKRAICHI MARIAM Amphi mohamed El Fassi 1350 Reportée 1111282 LAKRIMI Youssef Amphi mohamed El Fassi 1352 1107348 LAKSIBI Soukaina Amphi mohamed El Fassi 1354 Reportée 1204464 LAKTIB Majda Amphi mohamed El Fassi 1356 1101355 LALAOUI CHARIF Kaltoum Amphi mohamed El Fassi 1358 1204931 LAMCHANDAG Hassan Amphi mohamed El Fassi 1360 1201754 LAMFNEN Bouchra Amphi mohamed El Fassi 1362 1106127 LAMINE Touria Amphi mohamed El Fassi 1364 1205116 LAMINI Fatima Zahra Amphi mohamed El Fassi 1366 1202765 LAMKAIDDEM Hamza Amphi mohamed El Fassi 1368 1201011 LAMSAIRHRI Mustapha Amphi mohamed El Fassi 1370 1204981 LAMSSATTEF Zohra Amphi mohamed El Fassi 1372 1202942 LANSARI Halima Amphi mohamed El Fassi 1374 1202643 LANSARI Ismail Amphi mohamed El Fassi 1376 1209060 LANTIR Jaouad Amphi mohamed El Fassi 1378 1202487 LAOUIBI Badia Amphi mohamed El Fassi 1380 1204446 LAOUID M'bark Amphi mohamed El Fassi 1382 Matière1: Français Matière2: Méthodologie du travail 34/50
  • 35.
    Filière: Droit arabe Facultédes sciences juridiques et Economiques. Marrakech N° Apogée Nom Prénom Local d'examen N° d'examen Matière1 Matière2 Université Cadi Ayyad PV de surveillance: Session de rattrapage Module: Langue et communication 2012-2013 Semestre1 (nouveau système) 1204871 LAQDADRA BADREDDINE Amphi mohamed El Fassi 1384 1114561 LAQTIB SAID Amphi mohamed El Fassi 1386 1100760 LARAICHI AMAL Amphi mohamed El Fassi 1388 1210114 LARCHE Sana Amphi mohamed El Fassi 1390 Matière1: Français Matière2: Méthodologie du travail 35/50
  • 36.
    Filière: Droit arabe Facultédes sciences juridiques et Economiques. Marrakech N° Apogée Nom Prénom Local d'examen N° d'examen Matière1 Matière2 Université Cadi Ayyad PV de surveillance: Session de rattrapage Module: Langue et communication 2012-2013 Semestre1 (nouveau système) 1114281 LARHRIB SAIDA Amphi A 1392 1201622 LARHRISSI Laila Amphi A 1394 1102265 LASBAHANI Iman Amphi A 1396 1219984 LASSAL SAID Amphi A 1398 1203217 LASSLAA MOHAMED Amphi A 1400 1204358 LATIFI Abd El Ali Amphi A 1402 1202456 LATRACHE Halima Amphi A 1404 1202006 LAYYADI Lamyae Amphi A 1406 1202568 LBECRAOUI Ibtissam Amphi A 1408 1219812 LEDRHEM Mohamed Amphi A 1410 1203580 LEMRHARI SALAH-EDDINE Amphi A 1412 1211194 LGHAZOUANI Houria Amphi A 1414 1213788 LIDRI Fatima Zahra Amphi A 1416 1201186 LIHMAD Ahmed Amphi A 1418 1204421 LINZALI Abdeljalil Amphi A 1420 1220697 LMOUDEN Samiha Amphi A 1422 1202660 LOMARI Youssef Amphi A 1424 1204381 LOUHAIDI Jamila Amphi A 1426 1111072 LOUIGT Amal Amphi A 1428 Reportée 1200289 LOULOUD Kamal Amphi A 1430 1203125 LOUMIKI Saida Amphi A 1432 1204802 LOUQMANE Houria Amphi A 1434 1001329 LOURIDI ZAHIRA Amphi A 1436 Reportée 1209538 LYAZIDI Fouad Amphi A 1438 Matière1: Français Matière2: Méthodologie du travail 36/50
  • 37.
    Filière: Droit arabe Facultédes sciences juridiques et Economiques. Marrakech N° Apogée Nom Prénom Local d'examen N° d'examen Matière1 Matière2 Université Cadi Ayyad PV de surveillance: Session de rattrapage Module: Langue et communication 2012-2013 Semestre1 (nouveau système) 1202870 MAA Oussama Amphi Cadi Ayyad 2 1111534 MAACH Khadija Amphi Cadi Ayyad 4 Reportée 1202222 MAASSOU Hafsa Amphi Cadi Ayyad 6 1107883 MABCHOUR Abderrahim Amphi Cadi Ayyad 8 Reportée 1106839 MABCHOUR Noureddine Amphi Cadi Ayyad 10 Reportée 1201157 MABROUK Imane Amphi Cadi Ayyad 12 1204048 MABROUK Lahoucine Amphi Cadi Ayyad 14 1219497 MACHIT ABDELILAH Amphi Cadi Ayyad 16 1204705 MACHMACH Brahim Amphi Cadi Ayyad 18 7007495 MACHMOUMI ISMAIL Amphi Cadi Ayyad 20 1203170 MADI Abderrahim Amphi Cadi Ayyad 22 1203888 MADIH Anass Amphi Cadi Ayyad 24 1204837 MADIL Nadia Amphi Cadi Ayyad 26 1209031 MAGNA Elmahdi Amphi Cadi Ayyad 28 1202482 MAGRI ASSIYA Amphi Cadi Ayyad 30 1219939 MAHD Merieme Amphi Cadi Ayyad 32 1203974 MAHFOUD Abdelouahab Amphi Cadi Ayyad 34 1005306 MAHFOUD AZIZ Amphi Cadi Ayyad 36 Reportée 1203791 MAHFOUD Fatima Ezzahra Amphi Cadi Ayyad 38 1203883 MAHILI Adil Amphi Cadi Ayyad 40 1200978 MAHMOUD Lahcen Amphi Cadi Ayyad 42 1204428 MAKHLOUF Khadija Amphi Cadi Ayyad 44 1201560 MAKHZAN Khadija Amphi Cadi Ayyad 46 1203115 MAKROUM Tarik Amphi Cadi Ayyad 48 1220555 MALAININE BABBA Amphi Cadi Ayyad 50 1111566 MALAOUI Abdelhakim Amphi Cadi Ayyad 52 Reportée 1209540 MALDOUFI Loubna Amphi Cadi Ayyad 54 1219806 MALIKA Nait Khouya Mouh Amphi Cadi Ayyad 56 1204003 MALKOUN Aziza Amphi Cadi Ayyad 58 1202389 MALLOUKI Mustapha Amphi Cadi Ayyad 60 1208326 MAMAS Imane Amphi Cadi Ayyad 62 1208135 MAMMAS Lahsen Amphi Cadi Ayyad 64 1220902 MANSOURI SALIMA Amphi Cadi Ayyad 66 1103871 MAQIOU Youness Amphi Cadi Ayyad 68 1203719 MARGOUL Redouane Amphi Cadi Ayyad 70 1208778 MARIAM Kairoumi Amphi Cadi Ayyad 72 1201227 MARIAM Rguibi Amphi Cadi Ayyad 74 1205244 MARIAM Sabil Amphi Cadi Ayyad 76 1218995 MARICHANE Mouna Amphi Cadi Ayyad 78 1202619 MARZAK Taha Amphi Cadi Ayyad 80 1206920 MASRAT Soukaina Amphi Cadi Ayyad 82 1210179 MAYYAH Abdelhanine Amphi Cadi Ayyad 84 1220688 MAZIOUD HIND Amphi Cadi Ayyad 86 1219723 MAZNAUI Hicham Amphi Cadi Ayyad 88 1202360 MAZOUZ Dounia Amphi Cadi Ayyad 90 1202111 MAZOUZ Ouafa Amphi Cadi Ayyad 92 1111004 MEFTAH-ELKHAIR Abdelilah Amphi Cadi Ayyad 94 Matière1: Français Matière2: Méthodologie du travail 37/50
  • 38.
    Filière: Droit arabe Facultédes sciences juridiques et Economiques. Marrakech N° Apogée Nom Prénom Local d'examen N° d'examen Matière1 Matière2 Université Cadi Ayyad PV de surveillance: Session de rattrapage Module: Langue et communication 2012-2013 Semestre1 (nouveau système) 1219785 MEJAHID Hamid Amphi Cadi Ayyad 96 1205160 MEKRAMI MOHAMMED Amphi Cadi Ayyad 98 1201653 MELLAL Dalal Amphi Cadi Ayyad 100 1205724 MENTAGUI Chaimaa Amphi Cadi Ayyad 102 1204617 MERZOUG Mounia Amphi Cadi Ayyad 104 1106721 MESKA Salek Amphi Cadi Ayyad 106 Reportée 1202917 MESKAOUI Nisrine Amphi Cadi Ayyad 108 1111601 MESKINE LAILA Amphi Cadi Ayyad 110 1100904 MEZENE OMAR Amphi Cadi Ayyad 112 1202319 M'GHIMIMA ABBA CHEIKH Amphi Cadi Ayyad 114 1209897 M'GHIZZOU BADREDDINE Amphi Cadi Ayyad 116 1205106 MHAH Laaziza Amphi Cadi Ayyad 118 1211315 MIFTAH EL KHEIR Fouad Amphi Cadi Ayyad 120 1210891 MIMI Aziza Amphi Cadi Ayyad 122 1202559 MIMI Mohamed Amphi Cadi Ayyad 124 9293833 MIMIDE MARWANE Amphi Cadi Ayyad 126 Reportée 1210253 MIMOUN Karima Amphi Cadi Ayyad 128 1202300 MIRICH Ghizlan Amphi Cadi Ayyad 130 1201266 MITAR MONA Amphi Cadi Ayyad 132 1004830 MODKHAM HAMZA Amphi Cadi Ayyad 134 Reportée 1209076 MOHA Nabila Amphi Cadi Ayyad 136 1211211 MOHA ABDELLAH Khalid Amphi Cadi Ayyad 138 1201927 MOHAIMAI Redouane Amphi Cadi Ayyad 140 1219827 MOHAMED Oamer Amphi Cadi Ayyad 142 1203326 MOHAMED Sakine Amphi Cadi Ayyad 144 1210478 MOHSSINE NOURA Amphi Cadi Ayyad 146 1109385 MOJAHID Nora Amphi Cadi Ayyad 148 1204141 MOKHLIS Ahmed Amphi Cadi Ayyad 150 1209025 MONTASSIR Ahmed Amphi Cadi Ayyad 152 1205082 MORABBI AL MAMOUNE Amphi Cadi Ayyad 154 1202920 MORO Farid Amphi Cadi Ayyad 156 1205024 MOSLIH Amine Amphi Cadi Ayyad 158 1202872 MOSLIH Dounia Amphi Cadi Ayyad 160 1204782 MOSSAOUI Hanan Amphi Cadi Ayyad 162 1206358 MOTALIB Redouane Amphi Cadi Ayyad 164 1207741 MOUAKITI Mebarek Amphi Cadi Ayyad 166 1004538 MOUALIMI NOZHA Amphi Cadi Ayyad 168 Reportée 1203188 MOUDDEN Youness Amphi Cadi Ayyad 170 1202757 MOUDNIB Youssef Amphi Cadi Ayyad 172 1106204 MOUFTAH Moulika Amphi Cadi Ayyad 174 1205800 MOUGHAMI Lamia Amphi Cadi Ayyad 176 1201383 MOUGHFIR Khadija Amphi Cadi Ayyad 178 1203227 MOUHCINE Khadija Amphi Cadi Ayyad 180 1109561 MOUHDACH Jamal Amphi Cadi Ayyad 182 Reportée 1115705 MOUHDACH Nourdine Amphi Cadi Ayyad 184 Reportée 1219395 MOUHTACH YOUNES Amphi Cadi Ayyad 186 1204091 MOUISSEM Safa Amphi Cadi Ayyad 188 Matière1: Français Matière2: Méthodologie du travail 38/50
  • 39.
    Filière: Droit arabe Facultédes sciences juridiques et Economiques. Marrakech N° Apogée Nom Prénom Local d'examen N° d'examen Matière1 Matière2 Université Cadi Ayyad PV de surveillance: Session de rattrapage Module: Langue et communication 2012-2013 Semestre1 (nouveau système) 1202841 MOUJAN Wasim Amphi Cadi Ayyad 190 1210580 MOUJID Fatima Ezzahra Amphi Cadi Ayyad 192 1210783 MOUKZINE Ayoub Amphi Cadi Ayyad 194 1113602 MOULOUD Zineb Amphi Cadi Ayyad 196 1210927 MOUMEN Fatima Amphi Cadi Ayyad 198 1204568 MOUMSSIK Fatima Amphi Cadi Ayyad 200 Matière1: Français Matière2: Méthodologie du travail 39/50
  • 40.
    Filière: Droit arabe Facultédes sciences juridiques et Economiques. Marrakech N° Apogée Nom Prénom Local d'examen N° d'examen Matière1 Matière2 Université Cadi Ayyad PV de surveillance: Session de rattrapage Module: Langue et communication 2012-2013 Semestre1 (nouveau système) 1202225 MOUNTASSER Mohamed Amphi Abou El Abbass Essebti 202 1203856 MOUNTIR Mohammed Amphi Abou El Abbass Essebti 204 1217519 MOUNYR ABDELALI Amphi Abou El Abbass Essebti 206 1202282 MOURABIT Abdelhaq Amphi Abou El Abbass Essebti 208 1203176 MOURABIT Abdelmoula Amphi Abou El Abbass Essebti 210 1202327 MOURABIT KHALIDE Amphi Abou El Abbass Essebti 212 1000455 MOURIH CHAIMA Amphi Abou El Abbass Essebti 214 1219666 MOURITANE KHAWLA Amphi Abou El Abbass Essebti 216 Reportée 1203207 MOUSSAHIM Youssef Amphi Abou El Abbass Essebti 218 1205113 MOUSSAYF Fouzia Amphi Abou El Abbass Essebti 220 1107163 MOUSSAYIH Rabab Amphi Abou El Abbass Essebti 222 1210300 MOUSTAID Hajar Amphi Abou El Abbass Essebti 224 1201729 MOUSTAID Soufiane Amphi Abou El Abbass Essebti 226 1201566 MOUSTALI Soukayna Amphi Abou El Abbass Essebti 228 1202110 MOUSTAQIM Youssef Amphi Abou El Abbass Essebti 230 1202356 MOUTCHOU Oualid Amphi Abou El Abbass Essebti 232 1219828 MOUTIA Fatima Ezzahra Amphi Abou El Abbass Essebti 234 1219427 MOUTTAKI Mohamed-amine Amphi Abou El Abbass Essebti 236 1208811 MRIFEK Mohamed Amine Amphi Abou El Abbass Essebti 238 1205676 MRIOUDAT Bouchra Amphi Abou El Abbass Essebti 240 1219665 M'TAR MOHAMMED Amphi Abou El Abbass Essebti 242 1210099 MTOUGGUI Hiba Amphi Abou El Abbass Essebti 244 1216300 MUSTAPHA Ait Zaouiat Amphi Abou El Abbass Essebti 246 1110986 MYI Samy Amphi Abou El Abbass Essebti 248 1108294 MZOUER Abdelmajid Amphi Abou El Abbass Essebti 250 1202976 NAANAA MAROUANE Amphi Abou El Abbass Essebti 252 1202859 NACHAT Youssef Amphi Abou El Abbass Essebti 254 1106695 NACHITE Mohamed Amphi Abou El Abbass Essebti 256 Reportée 1203769 NACIRI ANASS Amphi Abou El Abbass Essebti 258 1203036 NACIRI Omar Amphi Abou El Abbass Essebti 260 1205844 NACIRI Youssef Amphi Abou El Abbass Essebti 262 1109591 NADIM Souad Amphi Abou El Abbass Essebti 264 Reportée 1201026 NAFKHOU Hicham Amphi Abou El Abbass Essebti 266 1220339 NAGUI FATIMA ZOHRA Amphi Abou El Abbass Essebti 268 1101208 NAHI Khadija Amphi Abou El Abbass Essebti 270 Reportée 1203954 NAHI Younes Amphi Abou El Abbass Essebti 272 1205564 NAHKAMI ISMAIL Amphi Abou El Abbass Essebti 274 1219816 NAIM Abdelali Amphi Abou El Abbass Essebti 276 1204971 NAIM Meryem Amphi Abou El Abbass Essebti 278 1201792 NAINIA Ibtissam Amphi Abou El Abbass Essebti 280 1115600 NAIT MALEK Laila Amphi Abou El Abbass Essebti 282 1204653 NAJAY El Mustapha Amphi Abou El Abbass Essebti 284 1203152 NAJI Hafid Amphi Abou El Abbass Essebti 286 1203875 NAJI Lahcen Amphi Abou El Abbass Essebti 288 1113686 NAJI RACHIDA Amphi Abou El Abbass Essebti 290 1102177 NAJI Younes Amphi Abou El Abbass Essebti 292 1108014 NAJIBI Amina Amphi Abou El Abbass Essebti 294 Matière1: Français Matière2: Méthodologie du travail 40/50
  • 41.
    Filière: Droit arabe Facultédes sciences juridiques et Economiques. Marrakech N° Apogée Nom Prénom Local d'examen N° d'examen Matière1 Matière2 Université Cadi Ayyad PV de surveillance: Session de rattrapage Module: Langue et communication 2012-2013 Semestre1 (nouveau système) 1204990 NAJID Nabil Amphi Abou El Abbass Essebti 296 1207093 NAJIH Abdellatif Amphi Abou El Abbass Essebti 298 1205069 NAOUI Khalid Amphi Abou El Abbass Essebti 300 1202727 NASOUH Fatima Zahra Amphi Abou El Abbass Essebti 302 1219728 NASSER Meriam Amphi Abou El Abbass Essebti 304 6068567 NASSI EL HASSAN Amphi Abou El Abbass Essebti 306 Reportée 1201744 NASSIF Jamila Amphi Abou El Abbass Essebti 308 1209312 NASSIRI Mohamed Amphi Abou El Abbass Essebti 310 1220103 NATOUR Mohamed Amphi Abou El Abbass Essebti 312 1219450 NAZHI SOUKAINA Amphi Abou El Abbass Essebti 314 1201599 NAZIH El Ghalia Amphi Abou El Abbass Essebti 316 1219980 NAZIH HASNA Amphi Abou El Abbass Essebti 318 1219459 NEBBAG HICHAM Amphi Abou El Abbass Essebti 320 1105947 NEBBAG Hicham Amphi Abou El Abbass Essebti 322 1201250 NEGUITI Youssef Amphi Abou El Abbass Essebti 324 1217414 NID BALLA NADIA Amphi Abou El Abbass Essebti 326 1204911 NITIFI Manal Amphi Abou El Abbass Essebti 328 1201148 NKIRA Nezha Amphi Abou El Abbass Essebti 330 1205603 N'MILI Yassine Amphi Abou El Abbass Essebti 332 1208862 N'MIRICH Youssef Amphi Abou El Abbass Essebti 334 1110634 NODARI MOHAMMED Amphi Abou El Abbass Essebti 336 1217319 NOKRA LOUBNA Amphi Abou El Abbass Essebti 338 1105733 NOUAMANI Yousra Amphi Abou El Abbass Essebti 340 Reportée 1201735 NOUBOUGH Youness Amphi Abou El Abbass Essebti 342 1208806 NOUHI Younes Amphi Abou El Abbass Essebti 344 1100361 NOUKTI Amina Amphi Abou El Abbass Essebti 346 1210965 OBAHA Mohamed Amphi Abou El Abbass Essebti 348 1201782 OBBAD Abderrahim Amphi Abou El Abbass Essebti 350 1219817 OBIBA Abdel-ilah Amphi Abou El Abbass Essebti 352 1204154 OIKHMAJJA Abdelmonim Amphi Abou El Abbass Essebti 354 1110559 OKAB Ayoub Amphi Abou El Abbass Essebti 356 1204749 OKDA Mohammed Amphi Abou El Abbass Essebti 358 1202998 OMARI Soufiane Amphi Abou El Abbass Essebti 360 1205049 OMOUIH Ayoub Amphi Abou El Abbass Essebti 362 1205206 OMRANI Hamza Amphi Abou El Abbass Essebti 364 1109517 OUACHOU Mohamed Amphi Abou El Abbass Essebti 366 1202366 OUACHOU Mohamed Amphi Abou El Abbass Essebti 368 1203953 OUACHT Saber Amphi Abou El Abbass Essebti 370 1104937 OUADATE Salaheddine Amphi Abou El Abbass Essebti 372 1206292 OUAGAG Khadija Amphi Abou El Abbass Essebti 374 1218892 OUAGUIDA Nadia Amphi Abou El Abbass Essebti 376 1109627 OUAHI Ouidad Amphi Abou El Abbass Essebti 378 Reportée 1101380 OUAKRIM Ayoub Amphi Abou El Abbass Essebti 380 Reportée 1219286 OUAKRIM Mohamed Amphi Abou El Abbass Essebti 382 1209296 OUANZIGUI ABDELHAMID Amphi Abou El Abbass Essebti 384 1107547 OUARBIA SAMIRA Amphi Abou El Abbass Essebti 386 1219620 OUARDI Hasnaa Amphi Abou El Abbass Essebti 388 Matière1: Français Matière2: Méthodologie du travail 41/50
  • 42.
    Filière: Droit arabe Facultédes sciences juridiques et Economiques. Marrakech N° Apogée Nom Prénom Local d'examen N° d'examen Matière1 Matière2 Université Cadi Ayyad PV de surveillance: Session de rattrapage Module: Langue et communication 2012-2013 Semestre1 (nouveau système) 1005503 OUARTAS MOHCINE Amphi Abou El Abbass Essebti 390 Reportée Matière1: Français Matière2: Méthodologie du travail 42/50
  • 43.
    Filière: Droit arabe Facultédes sciences juridiques et Economiques. Marrakech N° Apogée Nom Prénom Local d'examen N° d'examen Matière1 Matière2 Université Cadi Ayyad PV de surveillance: Session de rattrapage Module: Langue et communication 2012-2013 Semestre1 (nouveau système) 1208671 OUASKAR Raquia Amphi Imam Malik 582 Reportée 1210950 OUASSI Mohamed Amphi Imam Malik 584 1219704 OUASSIFA HASNAE Amphi Imam Malik 586 1210528 OUBAHA Abdelfatah Amphi Imam Malik 588 1203817 OUBAKKALA Aziz Amphi Imam Malik 590 1207641 OUBALAID Saida Amphi Imam Malik 592 1205243 OUBALLA Mounir Amphi Imam Malik 594 1206198 OUBIDA Imane Amphi Imam Malik 596 1203124 OUBLA Mustapha Amphi Imam Malik 598 1203196 OUBLAL Mohamed Amphi Imam Malik 600 1203092 OUBOKSSIM Rachida Amphi Imam Malik 602 1205021 OUBOUHSS Ilham Amphi Imam Malik 604 1210656 OUBOUHSS Ilhame Amphi Imam Malik 606 1202275 OUBRAM Jaouad Amphi Imam Malik 608 1103851 OUCHEMHOU MOHAMED Amphi Imam Malik 610 1210877 OUELD BOUDLAL Bouchra Amphi Imam Malik 612 1203272 OUGAZDIR YASSINE Amphi Imam Malik 614 1201063 OUHADDOU Hanane Amphi Imam Malik 616 1203727 OUHMAD ABDELLAH Amphi Imam Malik 618 1000529 OUHOUGUA ABDELLAH Amphi Imam Malik 620 1201056 OUIZRAG Charifa Amphi Imam Malik 622 1211260 OUJAA Mohamed Amphi Imam Malik 624 1201711 OUJAA Said Amphi Imam Malik 626 1204907 OUKEMMOU SOUKAINA Amphi Imam Malik 628 1210444 OUKHOUYA Hanane Amphi Imam Malik 630 1205231 OUKHOUYA Youssef Amphi Imam Malik 632 1203592 OULAD SALH Mohamed Amphi Imam Malik 634 1220929 OULADBADDA ZAKARIA Amphi Imam Malik 636 1203549 OULAIKA Issmail Amphi Imam Malik 638 1205749 OULAMINE Khadija Amphi Imam Malik 640 1218840 OULASSRI Aicha Amphi Imam Malik 642 1006315 OULD ATTOU DOUNIA Amphi Imam Malik 644 Reportée 1101709 OULED LAMALEM ALI Mohamed Amphi Imam Malik 646 1205805 OULFARSI Youssef Amphi Imam Malik 648 1106776 OULHANOU Latifa Amphi Imam Malik 650 1107982 OULIDI Es-said Amphi Imam Malik 652 1202778 OUMAHRIR Noura Amphi Imam Malik 654 1204909 OUMALOUL Ahmed Amphi Imam Malik 656 1209227 OUMESSAOUD Mouhamed Amphi Imam Malik 658 1203157 OUMHAMED Ahmed Amphi Imam Malik 660 1203868 OUMNIATABIB Abderrahman Amphi Imam Malik 662 1106993 OURBAA Ahmed Amphi Imam Malik 664 Reportée 1212495 OUSSAKT Youssef Amphi Imam Malik 666 1203628 OUSSAMA Aimad Amphi Imam Malik 668 1205814 OUSSIDI Ahmad Amphi Imam Malik 670 1208707 OUTAIB ESSADIAA Amphi Imam Malik 672 1114162 OUTALATE MOURAD Amphi Imam Malik 674 Reportée Matière1: Français Matière2: Méthodologie du travail 43/50
  • 44.
    Filière: Droit arabe Facultédes sciences juridiques et Economiques. Marrakech N° Apogée Nom Prénom Local d'examen N° d'examen Matière1 Matière2 Université Cadi Ayyad PV de surveillance: Session de rattrapage Module: Langue et communication 2012-2013 Semestre1 (nouveau système) 1201332 OUTAZZARINE Youssef Amphi Imam Malik 676 1220180 OUZANE Latifa Amphi Imam Malik 678 1219404 OYAHYA ELHOSSINE Amphi Imam Malik 680 1205583 QABLI Abdelhadi Amphi Imam Malik 682 1108600 QUINCHANI Abdelillah Amphi Imam Malik 684 1201617 RABBOUH Essaid Amphi Imam Malik 686 1201394 RABEH Hicham Amphi Imam Malik 688 1204939 RABICHI Kamal Amphi Imam Malik 690 1102399 RABIE Youssef Amphi Imam Malik 692 1219411 RACHADI BENNECER Amphi Imam Malik 694 1202276 RACHDAN Faissel Amphi Imam Malik 696 1204180 RACHID Ayada Amphi Imam Malik 698 1104379 RACHID Khadija Amphi Imam Malik 700 1202332 RACHYDY Ali Amphi Imam Malik 702 1218799 RADAN HASSAN Amphi Imam Malik 704 1220924 RADOUANE RACHID Amphi Imam Malik 706 1109583 RAFIA El Mehdi Amphi Imam Malik 708 Reportée 1201598 RAFIK Malik Amphi Imam Malik 710 1219875 RAFIQ Sakina Amphi Imam Malik 712 1210579 RAFYA Wafa Amphi Imam Malik 714 1114544 RAHILI ABDALLAH Amphi Imam Malik 716 Reportée 1204363 RAHMAT KHADIJA Amphi Imam Malik 718 1102937 RAHOUI Hasnaa Amphi Imam Malik 720 1107719 RAMI Abdelmonaime Amphi Imam Malik 722 Reportée 1205094 RAMI El Mokhtar Amphi Imam Malik 724 1201016 RAMI Soufiane Amphi Imam Malik 726 1201140 RAZZOUQ Omar Amphi Imam Malik 728 1203046 RCHID Mustapha Amphi Imam Malik 730 1216338 RGUIBI Abdelouahed Amphi Imam Malik 732 1204397 RGUIBI Mohamed Amphi Imam Malik 734 1203060 RGUIOUEG Chama Amphi Imam Malik 736 1103782 RHAZZAIFOU Bouchra Amphi Imam Malik 738 1203219 RHENJA Mohamed Amphi Imam Malik 740 1101580 RHIBA Salma Amphi Imam Malik 742 1220418 RIAD Abdelghani Amphi Imam Malik 744 1205687 RIBHY Rida Amphi Imam Malik 746 1210302 RIDA Ntiçar Amphi Imam Malik 748 1219058 RIDOIN Mourad Amphi Imam Malik 750 1208600 RIDOUANE Khalid Amphi Imam Malik 752 1202321 RIMAH Karima Amphi Imam Malik 754 1203290 RMITI Ghizlan Amphi Imam Malik 756 1205224 ROMANI HABIBA Amphi Imam Malik 758 1104889 ROUBAL Fouad Amphi Imam Malik 760 Reportée 1201776 ROUHI Achrafe Amphi Imam Malik 762 1203109 ROUIBAA Isam Amphi Imam Malik 764 1201873 SAADALLAOUI Naji Amphi Imam Malik 766 1202078 SAADOUNI YOUSSEF Amphi Imam Malik 768 Matière1: Français Matière2: Méthodologie du travail 44/50
  • 45.
    Filière: Droit arabe Facultédes sciences juridiques et Economiques. Marrakech N° Apogée Nom Prénom Local d'examen N° d'examen Matière1 Matière2 Université Cadi Ayyad PV de surveillance: Session de rattrapage Module: Langue et communication 2012-2013 Semestre1 (nouveau système) 1204249 SAB Younes Amphi Imam Malik 770 1210290 SABAR Jamal Amphi Imam Malik 772 1208937 SABIR Mohamed Amphi Imam Malik 774 1207760 SABIR Mohammed Amphi Imam Malik 776 1205114 SABRANE Jamila Amphi Imam Malik 778 1205837 SABRAOUI Youssef Amphi Imam Malik 780 1220023 SABRI Imane Amphi Imam Malik 782 1004745 SABRI MOSTAFA Amphi Imam Malik 784 Reportée 1210985 SABT Younes Amphi Imam Malik 786 1220942 SADDIKI KHADIJA Amphi Imam Malik 788 1004652 SADIQ HAMZA Amphi Imam Malik 790 Reportée 1210675 SAFADI Btissam Amphi Imam Malik 792 1201030 SAFADI Najoua Amphi Imam Malik 794 1104278 SAFOUANE Nadia Amphi Imam Malik 796 Reportée 1109143 SAGOUM Meriem Amphi Imam Malik 798 Reportée 1202897 SAHMOUDA Mouna Amphi Imam Malik 800 1110565 SAHRAOUI Hasna Amphi Imam Malik 802 1205623 SAIDI Laghdaf Amphi Imam Malik 804 1202794 SAISSI HASSANI Omar Amphi Imam Malik 806 1100484 SAKKAF Sara Amphi Imam Malik 808 Reportée 1201160 SAKOUM Khadija Amphi Imam Malik 810 1005278 SAKOUN GHIZLANE Amphi Imam Malik 812 Reportée 1114450 SALIMI WAFAA Amphi Imam Malik 814 Reportée 1202150 SALLAM Bouchra Amphi Imam Malik 816 1200988 SALLAM Hassan Amphi Imam Malik 818 1219662 SALLAMY Abderrahim Amphi Imam Malik 820 1203987 SALMAN Mustapha Amphi Imam Malik 822 1204570 SAMARI Raja Amphi Imam Malik 824 1208901 SAMBAT Abderrahim Amphi Imam Malik 826 1207205 SAMIT Mohamed Amphi Imam Malik 828 Reportée 1203687 SAMTI Abdelilah Amphi Imam Malik 830 1110860 SANANE JAOUAD Amphi Imam Malik 832 1202193 SANBATI Radouane Amphi Imam Malik 834 1206613 SANOUBI Khadija Amphi Imam Malik 836 1203773 SANYAK Mohamed Amphi Imam Malik 838 1012809 SAOUD MOSINE Amphi Imam Malik 840 Reportée 1203853 SAOUIBA Jaouad Amphi Imam Malik 842 1203654 SAOUIR Jalal Amphi Imam Malik 844 1107722 SARBIB Youssef Amphi Imam Malik 846 Reportée 1219801 SARKOUH Soukaina Amphi Imam Malik 848 1204897 SARNANE Asma Amphi Imam Malik 850 1208260 SARNANE Saida Amphi Imam Malik 852 1210401 SAT Mahjoub Amphi Imam Malik 854 1202347 SAYA Imane Amphi Imam Malik 856 1204739 SAYLLAL Fatiha Amphi Imam Malik 858 1219608 SBAII Iman Amphi Imam Malik 860 1210328 SBIK Abdelaali Amphi Imam Malik 862 Matière1: Français Matière2: Méthodologie du travail 45/50
  • 46.
    Filière: Droit arabe Facultédes sciences juridiques et Economiques. Marrakech N° Apogée Nom Prénom Local d'examen N° d'examen Matière1 Matière2 Université Cadi Ayyad PV de surveillance: Session de rattrapage Module: Langue et communication 2012-2013 Semestre1 (nouveau système) 1219059 SEDKI Fouzia Amphi Imam Malik 864 1203257 SELJAOUI Achraf Amphi Imam Malik 866 1100399 SELYAN Elyazid Amphi Imam Malik 868 Reportée 1109590 SEMHARI Mahdi Amphi Imam Malik 870 Reportée 1219563 SEMLALI Abdellatif Amphi Imam Malik 872 1208801 SERHANE Zakaria Amphi Imam Malik 874 1201294 SETTANI Mohamed Amine Amphi Imam Malik 876 1110411 SGHURI Oualid Amphi Imam Malik 878 Reportée 1205149 SHAILAT MOHAMMED Amphi Imam Malik 880 Matière1: Français Matière2: Méthodologie du travail 46/50
  • 47.
    Filière: Droit arabe Facultédes sciences juridiques et Economiques. Marrakech N° Apogée Nom Prénom Local d'examen N° d'examen Matière1 Matière2 Université Cadi Ayyad PV de surveillance: Session de rattrapage Module: Langue et communication 2012-2013 Semestre1 (nouveau système) 1202785 SID ZAINE Mohamed Ali salle 1 2272 1201031 SIDI Soufiane salle 1 2274 1004294 SIDMOU ISMAIL salle 1 2276 Reportée 1209354 SIKAH Adam salle 1 2278 1201367 SIMAMRI Hasna salle 1 2280 1202693 SINKOU Nada salle 1 2282 1203872 SIRAJ-EDDINE Mohammed salle 1 2284 1004162 SIRAJEDDINE ABDELALI salle 1 2286 Reportée 1004233 SLAYMI MARIAM salle 1 2288 Reportée 1202172 SLIMANI Ahmed salle 1 2290 1211251 SLIMANI Ahmed Amine salle 1 2292 1205476 SLIMANI Mohamed Ali salle 1 2294 1201353 SMAITI Mohamed Arafa salle 1 2296 1202441 SMAYTI Fatima Ezzahra salle 1 2298 1203164 SOLAHMANI YOUNES salle 1 2300 1102228 SOUABLI Ismail salle 1 2302 Reportée 1205921 SOUAIDI Hicham salle 1 2304 1204608 SOUALEM Abdelhadi salle 1 2306 1104202 SOUDANI Abdelfattah salle 1 2308 Reportée 1201747 SOUDI Ayoub salle 1 2310 1219773 SOUFANE Imad salle 1 2312 1107776 SOUHAL Soufiane salle 1 2314 Reportée 1202434 SOUHAYLE Mina salle 1 2316 1201612 SOUKAINA Marrah salle 1 2318 1201090 SOUKTI Khadija salle 1 2320 1202183 SOUKTI Zainab salle 1 2322 1009003 SOUMBATI HASNA salle 1 2324 Reportée 1100753 SOUSSI Loubna salle 1 2326 1207836 SRAIDI Saida salle 1 2328 1203610 TABAANDOUST Abdellah salle 1 2330 1210811 TABARKANTE Asmaa salle 1 2332 1111298 TABIIY Mohamed Amine salle 1 2334 Reportée 1106971 TABOUCHTATE Amina salle 1 2336 1204025 TADILY Anas salle 1 2338 1104022 TAGHZAOUI Younes salle 1 2340 Matière1: Français Matière2: Méthodologie du travail 47/50
  • 48.
    Filière: Droit arabe Facultédes sciences juridiques et Economiques. Marrakech N° Apogée Nom Prénom Local d'examen N° d'examen Matière1 Matière2 Université Cadi Ayyad PV de surveillance: Session de rattrapage Module: Langue et communication 2012-2013 Semestre1 (nouveau système) 1205884 TAGHZOUT Mohamed salle 2 2342 1219619 TAHDAOUI Halima salle 2 2344 1111100 TAHDAOUI Rachid salle 2 2346 Reportée 1205137 TAIA Youssef salle 2 2348 1114261 TAIK Fatima salle 2 2350 Reportée 1219964 TAKI Taoufik salle 2 2352 1202457 TAKNANT Mariam salle 2 2354 1219362 TAKNY Mariem salle 2 2356 1203213 TAKRIMCHA Mohamed salle 2 2358 1204219 TALAMTE Hamza salle 2 2360 1211297 TALIBI Yassine salle 2 2362 1219815 TAMANE NADIA salle 2 2364 1201100 TAMI Hnia salle 2 2366 1208517 TAMIMI Nabil salle 2 2368 1204894 TANDOUFT Abdellah salle 2 2370 1203846 TANDOUFT Hicham salle 2 2372 1005699 TANTAOUI SOUFIANE salle 2 2374 Reportée 1220124 TAOUFIQ Samira salle 2 2376 1219783 TAOUMI Abdllatif salle 2 2378 1220227 TARIB Abdessamia salle 2 2380 1220239 TARIB AZIZA salle 2 2382 1202595 TARIK Sana salle 2 2384 6006700 TARIQ SAADI salle 2 2386 1219803 TELILY Ahmed salle 2 2388 1109926 TELLAMI Saber salle 2 2390 1219757 TETBAT Wahiba salle 2 2392 1219479 TFIL HAMZA salle 2 2394 1203121 TFIL Soufiane salle 2 2396 1006008 THAMIR ZAHRA salle 2 2398 Reportée 1110242 THOUKI Souad salle 2 2400 1219657 TIDILI Soukaina salle 2 2402 1205832 TIDLI Ayoub salle 2 2404 1219465 TIFINZI Fatiha salle 2 2406 1104049 TIHAT Rachid salle 2 2408 1206790 TINLIT Salsabil salle 2 2410 Matière1: Français Matière2: Méthodologie du travail 48/50
  • 49.
    Filière: Droit arabe Facultédes sciences juridiques et Economiques. Marrakech N° Apogée Nom Prénom Local d'examen N° d'examen Matière1 Matière2 Université Cadi Ayyad PV de surveillance: Session de rattrapage Module: Langue et communication 2012-2013 Semestre1 (nouveau système) 1202167 TIR Fatima Salle 3 2412 1102162 TIZZA Meriem Salle 3 2414 1210501 TORRES Zoubida Salle 3 2416 1220786 TOUAHRA ADIL Salle 3 2418 1204380 TOUBANI EL ALAMI Salle 3 2420 1202029 TOUDAMRINI Elalami Salle 3 2422 1200973 TOUGANI FATIMA EZAHRA Salle 3 2424 1219643 TOUIL ABDRERRHIM Salle 3 2426 1201720 TOUIZI Khalil Salle 3 2428 1202153 TOUKBANI Salima Salle 3 2430 1111623 TOUMI Driss Salle 3 2432 1201698 TOURAB Abdelkader Salle 3 2434 1202464 TOURAB Asmae Salle 3 2436 1202242 TRKMANI Allal Salle 3 2438 1202735 WARDI Youssef Salle 3 2440 1202354 YAFIT Jaouad Salle 3 2442 1211274 YAHYAOUI Mohamed Salle 3 2444 1205056 YAKOUBI Youssef Salle 3 2446 1204525 YAMMEL Abdelhakim Salle 3 2448 1204690 YANDAHI Anas Salle 3 2450 1109619 YEKKOUR Hassan Salle 3 2452 1201922 YOUMNI Hasna Salle 3 2454 1107730 YOUSSEF Aouzal Salle 3 2456 Reportée 1203989 YOUSSEF Ouballa Salle 3 2458 1102337 YOUSSFI MOHSSINE Salle 3 2460 Reportée 1114217 YOUSSOFI OUAFAE Salle 3 2462 1202210 ZAAZAA Anas Salle 3 2464 1111043 ZAAZAA El Mahdi Salle 3 2466 1204835 ZAFFIK JAMAL-EDDINE Salle 3 2468 1202232 ZAHER Abderazzak Salle 3 2470 1105862 ZAHIR Wafa Salle 3 2472 Reportée 1201872 ZAHLANE Ibtissam Salle 3 2474 1205831 ZAKARIA Maa Salle 3 2476 1219808 ZAROUALI Naoil Salle 3 2478 1201308 ZARROUK JIHADE Salle 3 2480 Matière1: Français Matière2: Méthodologie du travail 49/50
  • 50.
    Filière: Droit arabe Facultédes sciences juridiques et Economiques. Marrakech N° Apogée Nom Prénom Local d'examen N° d'examen Matière1 Matière2 Université Cadi Ayyad PV de surveillance: Session de rattrapage Module: Langue et communication 2012-2013 Semestre1 (nouveau système) 1204751 ZARTIT Fatima Ezzahra Salle 4 2482 1203682 ZAYOUD Mohamed Salle 4 2484 1004762 ZBIDA ISMAIL Salle 4 2486 Reportée 1106130 ZEBDI Abdelmonaine Salle 4 2488 1201723 ZEGLALI Adnane Salle 4 2490 1004505 ZEGRAOUI HASSAN Salle 4 2492 Reportée 1210731 ZEHOUA Mohamed Salle 4 2494 1219646 ZEHZOUHI ZAGHLOUL Salim Salle 4 2496 1201962 ZERAR Mohamed Salle 4 2498 1109989 ZERDAOUI Touria Salle 4 2500 Reportée 1107091 ZEROUAL Nabil Salle 4 2502 1101008 ZEROUAL Soufiane Salle 4 2504 1208480 ZEROUALI Mansour Salle 4 2506 1110749 ZHIRI El Bachir Salle 4 2508 Reportée 1220125 ZIATE Mariem Salle 4 2510 1107048 ZIDOUNI Amal Salle 4 2512 Reportée 1219002 ZIKRAOUI Hafid Salle 4 2514 1203112 ZINEELABIDINE Mohamed Salle 4 2516 1203894 ZOTE Rihabe Salle 4 2518 1204979 ZOUGGAR Naoual Salle 4 2520 1003191 ZOUHAIR FOUAD Salle 4 2522 Reportée 1204285 ZOUHAIR Youssef Salle 4 2524 1107165 ZOUITA Oussama Salle 4 2526 1202476 ZOUIZI Kaotar Salle 4 2528 1205070 ZRAIGUINATE El Mahjoub Salle 4 2530 1209043 ZRIGA Mohamed Salle 4 2532 1201182 ZRIR Hussein Salle 4 2534 Matière1: Français Matière2: Méthodologie du travail 50/50
  • 51.
    Filière: Droit arabe Facultédes sciences juridiques et Economiques. Marrakech N° Apogée Nom Prénom Local d'examen N° d'examen Matière1 Matière2 1100767 AABID Youness Amphi Allal El Fassi 392 Reportée 1201975 AABIDA Abdelkrim Amphi Allal El Fassi 394 Reportée 1114345 AAJAJA FATIMA Amphi Allal El Fassi 396 Reportée 1100758 AALILI Abdelhadi Amphi Allal El Fassi 398 Reportée 1100694 AALLOU ABDELWAHAD Amphi Allal El Fassi 400 Reportée 1201335 AAMAR Bouchra Amphi Allal El Fassi 402 Reportée 1204214 AAMAR Imane Amphi Allal El Fassi 404 Reportée 1219954 AAMARA Ghita Amphi Allal El Fassi 406 Reportée 1219724 AAMOR Abdelouahed Amphi Allal El Fassi 408 Reportée 1104927 AATAR HASNAE Amphi Allal El Fassi 410 Reportée 1105355 AATIF Imane Amphi Allal El Fassi 412 Reportée 1011322 ABAALI BRAHIM Amphi Allal El Fassi 414 Reportée 1106447 ABAAOU Rachida Amphi Allal El Fassi 416 Reportée 1110012 ABADI Marouane Amphi Allal El Fassi 418 Reportée 1114542 ABAHAZEM TOURIA Amphi Allal El Fassi 420 Reportée 1103850 ABAIHI Mohamed Salah Amphi Allal El Fassi 422 Reportée Université Cadi Ayyad PV de surveillance: Session de rattrapage Module: Introduction au Droit Public 2012-2013 Semestre1 (nouveau système) 1108550 ABASSI Khadija Amphi Allal El Fassi 424 Reportée 1202166 ABATORAB Soukaina Amphi Allal El Fassi 426 Reportée 1114269 ABBOU Mariem Amphi Allal El Fassi 428 Reportée 1202940 ABBOU Mouhssin Amphi Allal El Fassi 430 Reportée 1204784 ABBOUBI Fatima-ezzahra Amphi Allal El Fassi 432 Reportée 1203323 ABBOUBI Otmane Amphi Allal El Fassi 434 Reportée 1107117 ABDDAIM LABATT Amphi Allal El Fassi 436 Reportée 1204731 ABDEDAIM Khadija Amphi Allal El Fassi 438 Reportée 1101209 ABDEDAIM Otmane Amphi Allal El Fassi 440 Reportée 1109347 ABDELLAOUI Ibtissam Amphi Allal El Fassi 442 Reportée 1101351 ABDELMOUMNI Fatima Ezzahra Amphi Allal El Fassi 444 Reportée 1203698 ABDENNASIBE Abdellah Amphi Allal El Fassi 446 Reportée 1220407 ABDROUMA HALIMA Amphi Allal El Fassi 448 Reportée 1210862 ABEIDHA Fatma Amphi Allal El Fassi 450 Reportée 1201163 ABID ABDETOUAB Amphi Allal El Fassi 452 Reportée 1200998 ABOU ALI Abdelkabir Amphi Allal El Fassi 454 Reportée 1005676 ABOU MSSIK MUSTAPHA Amphi Allal El Fassi 456 Reportée 1204283 ABOUALI Ahmed Amphi Allal El Fassi 458 Reportée 1101502 ABOUCHROUANE Ahmed Amphi Allal El Fassi 460 1201661 ABOUDERKA Hassan Amphi Allal El Fassi 462 Reportée 1207954 ABOUELABBES Hafsa Amphi Allal El Fassi 464 Reportée 1003126 ABOUELFATH OUAFAE Amphi Allal El Fassi 466 Reportée 1205177 ABOUELKALAM Mehdi Amphi Allal El Fassi 468 Reportée 1103919 ABOUKASSIM ELIDRISSI Karima Amphi Allal El Fassi 470 Reportée 1107808 ABOULFATH Mohamed Amphi Allal El Fassi 472 Reportée 1201183 ABOULHANA Wahiba Amphi Allal El Fassi 474 1204184 ABOULHORMA Zakaria Amphi Allal El Fassi 476 Reportée 1209067 ABOULHOUDA Abdelhak Amphi Allal El Fassi 478 Reportée 1202835 ABOULIHSSANE Btissam Amphi Allal El Fassi 480 1209109 ABOULQUASIM Abdelouhed Amphi Allal El Fassi 482 Matière1: Notions fondamentales de Droit public Matière2: Pouvoir et autorité en Islam 1/46
  • 52.
    Filière: Droit arabe Facultédes sciences juridiques et Economiques. Marrakech N° Apogée Nom Prénom Local d'examen N° d'examen Matière1 Matière2 Université Cadi Ayyad PV de surveillance: Session de rattrapage Module: Introduction au Droit Public 2012-2013 Semestre1 (nouveau système) 1219612 ABOURAKIS Abdelilah Amphi Allal El Fassi 484 1219654 ABOUSAID Fatima Amphi Allal El Fassi 486 Reportée 1005856 ABOUSSAID MOUHSSIN Amphi Allal El Fassi 488 1201716 ABOUTAHIR Fatima Zahra Amphi Allal El Fassi 490 Reportée 1201767 ABOUTAIB Issam Amphi Allal El Fassi 492 Reportée 1102170 ABOUTALHA Abdellah Amphi Allal El Fassi 494 Reportée 1204090 ABOUTIR Ahmad Amphi Allal El Fassi 496 Reportée 1202295 ABOUZID Latifa Amphi Allal El Fassi 498 Reportée 1100702 ABTAR Laila Amphi Allal El Fassi 500 Reportée 1115814 ABUSALAMA MAHDI Amphi Allal El Fassi 502 Reportée 1101715 ACHBAKOU MOHAMED Amphi Allal El Fassi 504 Reportée 1217431 ACHBAR ABDELHAKIM Amphi Allal El Fassi 506 1203970 ACHLIH Adil Amphi Allal El Fassi 508 Reportée 1203794 ACHLIHATE Hamid Amphi Allal El Fassi 510 Reportée 1209041 ACHNOUNI Youness Amphi Allal El Fassi 512 Reportée 1114408 ACHRAF OUSSAMA Amphi Allal El Fassi 514 Reportée 1201035 ADALI Abdellatif Amphi Allal El Fassi 516 1204507 ADARDOUR Az-eddine Amphi Allal El Fassi 518 Reportée 1105246 ADDI Hadhom Amphi Allal El Fassi 520 Reportée 1210462 ADDOU Mariem Amphi Allal El Fassi 522 1201652 ADDRAOUI Nabil Amphi Allal El Fassi 524 1202972 ADEBBAGH Rabab Amphi Allal El Fassi 526 1203984 ADERRAGUI Abdelouahab Amphi Allal El Fassi 528 Reportée 1207863 ADOUNI Ibtissam Amphi Allal El Fassi 530 Reportée 1203267 AFIRI Hamid Amphi Allal El Fassi 532 Reportée 1202281 AFOUCHAL Ousama Amphi Allal El Fassi 534 Reportée 1210963 AFRIOUS Ibtisame Amphi Allal El Fassi 536 1105455 AFROUSS Hicham Amphi Allal El Fassi 538 Reportée 1111672 AGDOUZ Moaad Amphi Allal El Fassi 540 Reportée 1004285 AGHOURBI JAMAL Amphi Allal El Fassi 542 Reportée 1202833 AGOUZOUR Karima Amphi Allal El Fassi 544 Reportée 1204132 AGRIRRANE OMAR Amphi Allal El Fassi 546 1114538 A.H SADI THAMER Amphi Allal El Fassi 548 Reportée 1111000 AHAIK Hanan Amphi Allal El Fassi 550 1104257 AHARABOUS Ismail Amphi Allal El Fassi 552 1205818 AHAYAR Lamia Amphi Allal El Fassi 554 Reportée 1210315 AHAYK NAAIMA Amphi Allal El Fassi 556 1201897 AHBARI Hannane Amphi Allal El Fassi 558 Reportée 1111660 AHDIJ Mohamed Amphi Allal El Fassi 560 Reportée 1201796 AHERDANE Zakaria Amphi Allal El Fassi 562 1219884 AHJIR Said Amphi Allal El Fassi 564 Reportée 1115573 AHL HMAD MOHAMED FADEL Amphi Allal El Fassi 566 1203033 AHLADDA Essalaek Amphi Allal El Fassi 568 1003961 AHLAL MOHAMMED Amphi Allal El Fassi 570 Reportée 1203660 AHMADA Abdellatif Amphi Allal El Fassi 572 Reportée 1114207 AHMIRA Khadija Amphi Allal El Fassi 574 Reportée Matière1: Notions fondamentales de Droit public Matière2: Pouvoir et autorité en Islam 2/46
  • 53.
    Filière: Droit arabe Facultédes sciences juridiques et Economiques. Marrakech N° Apogée Nom Prénom Local d'examen N° d'examen Matière1 Matière2 Université Cadi Ayyad PV de surveillance: Session de rattrapage Module: Introduction au Droit Public 2012-2013 Semestre1 (nouveau système) 1204712 AHNSAL Salka Amphi Allal El Fassi 576 Reportée 1110445 AHSINA Khadija Amphi Allal El Fassi 578 Reportée 1202121 AIKABI Sofian Amphi Allal El Fassi 580 Matière1: Notions fondamentales de Droit public Matière2: Pouvoir et autorité en Islam 3/46
  • 54.
    Filière: Droit arabe Facultédes sciences juridiques et Economiques. Marrakech N° Apogée Nom Prénom Local d'examen N° d'examen Matière1 Matière2 Université Cadi Ayyad PV de surveillance: Session de rattrapage Module: Introduction au Droit Public 2012-2013 Semestre1 (nouveau système) 1201583 AIT AAMIHAMOU Mohamed Amphi ibn Rochd 882 Reportée 1202907 AIT AAMIRA Zineb Amphi Ibn Rochd 884 1203354 AIT ABBOU Lahcen Amphi ibn Rochd 886 Reportée 1209689 AIT ADDI Fatiha Amphi Ibn Rochd 888 1219837 AIT AHMED Mohamed Amphi ibn Rochd 890 Reportée 1110649 AIT AISSA SALIM Amphi Ibn Rochd 892 Reportée 1005161 AIT AMMOU JAMAL Amphi ibn Rochd 894 Reportée 1219845 AIT AROUI Abdellah Amphi Ibn Rochd 896 Reportée 1107988 AIT AYAD Loubna Amphi ibn Rochd 898 Reportée 1219532 AIT BAALI Fayrouz Amphi Ibn Rochd 900 Reportée 1110310 AIT BAAMRANE Ismail Amphi ibn Rochd 902 Reportée 1203058 AIT BAKOUCH Oussama Amphi Ibn Rochd 904 Reportée 1204081 AIT BARKA Adil Amphi ibn Rochd 906 Reportée 1219991 AIT BELARBI Nassima Amphi Ibn Rochd 908 Reportée 1111288 AIT BELFADIL Hajiba Amphi ibn Rochd 910 Reportée 1209637 AIT BELHAJ Latifa Amphi Ibn Rochd 912 Reportée 1207488 AIT BELLA Said Amphi ibn Rochd 914 Reportée 1216769 AIT BEN ABBOU Hassan Amphi Ibn Rochd 916 Reportée 1204188 AIT BEN ADDI Soulaymane Amphi ibn Rochd 918 Reportée 80004825 AIT BEN AMGHAR IMANE Amphi Ibn Rochd 920 Reportée 1100283 AIT BEN MSAOU Taoufik Amphi ibn Rochd 922 Reportée 1205880 AIT BEN OUISSADEN Issam Amphi Ibn Rochd 924 Reportée 1102553 AIT BENSEKKOUR Sara Amphi ibn Rochd 926 Reportée 1202470 AIT BOUAALI Fatima Ezzahra Amphi Ibn Rochd 928 Reportée 1201310 AIT BOUHADOU Zineb Amphi ibn Rochd 930 Reportée 1208929 AIT BOURA Zineb Amphi Ibn Rochd 932 Reportée 1111258 AIT BRAHIM Mohamed Amphi ibn Rochd 934 1204849 AIT BRAHIM Souad Amphi ibn Rochd 936 Reportée 1113226 AIT BRAHIM ALI Naima Amphi Ibn Rochd 938 Reportée 1204092 AIT BRAIM Ouiam Amphi ibn Rochd 940 1219461 AIT BRIZA Saloua Amphi Ibn Rochd 942 Reportée 1219528 AIT CHAIB MOHAMED Amphi ibn Rochd 944 Reportée 1110138 AIT CHETOU TAOUFIK Amphi Ibn Rochd 946 Reportée 1110002 AIT CHOUIYA Lobna Amphi ibn Rochd 948 Reportée 1107060 AIT EL MAKI Abdelelah Amphi Ibn Rochd 950 Reportée 1104930 AIT ELCADI Abdelmalk Amphi ibn Rochd 952 Reportée 1205637 AIT EL-HADJ Driss Amphi Ibn Rochd 954 Reportée 1106308 AIT ELHAJ Abdessalam Amphi ibn Rochd 956 Reportée 1104562 AIT ELHANAFI Ali Amphi Ibn Rochd 958 Reportée 1219588 AIT ELHANAFI Sakina Amphi ibn Rochd 960 Reportée 1003800 AIT ELKORCHI AUTMAN Amphi Ibn Rochd 962 Reportée 1201252 AIT ELMAALLEM Tariq Amphi ibn Rochd 964 1004712 AIT ELMAGHROUSS LAHCEN Amphi ibn Rochd 966 Reportée 1210930 AIT FDIL Khoubaib Amphi Ibn Rochd 968 Reportée 1109814 AIT HADDI Abdelhafid Amphi ibn Rochd 970 Reportée 1204847 AIT HADI Majda Amphi Ibn Rochd 972 Reportée Matière1: Notions fondamentales de Droit public Matière2: Pouvoir et autorité en Islam 4/46
  • 55.
    Filière: Droit arabe Facultédes sciences juridiques et Economiques. Marrakech N° Apogée Nom Prénom Local d'examen N° d'examen Matière1 Matière2 Université Cadi Ayyad PV de surveillance: Session de rattrapage Module: Introduction au Droit Public 2012-2013 Semestre1 (nouveau système) 1202767 AIT HMOUCH Jamal Amphi ibn Rochd 974 1203942 AIT HSAINE Youssef Amphi Ibn Rochd 976 Reportée 1113794 AIT KADIR Abdelhadi Amphi ibn Rochd 978 Reportée 1114342 AIT KEBROUNE RACHIDA Amphi Ibn Rochd 980 Reportée 1201405 AIT KHOUYA HAMMOU Mohamed Amphi ibn Rochd 982 Reportée 1210384 AIT LAHBIB Khadija Amphi Ibn Rochd 984 1202634 AIT LAHCEN Khalid Amphi ibn Rochd 986 Reportée 1210463 AIT LAHCEN Latifa Amphi Ibn Rochd 988 1103915 AIT LAHCEN Mohamed Amphi ibn Rochd 990 Reportée 1203983 AIT LAHSEN Mustapha Amphi Ibn Rochd 992 Reportée 1202265 AIT LHAJ AHMED Sabir Amphi ibn Rochd 994 Reportée 1209566 AIT LHOUSSAIN Soumia Amphi ibn Rochd 996 Reportée 1109372 AIT MAHMOUD Mohamed Amphi Ibn Rochd 998 Reportée 1201937 AIT MANSOUR Mustapha Amphi ibn Rochd 1000 1201602 AIT MANSOUR Salah Amphi Ibn Rochd 1002 Reportée 1002336 AIT M'HAMED KHALID Amphi ibn Rochd 1004 Reportée 1006493 AIT MOUHA AICHA Amphi Ibn Rochd 1006 Reportée 1101283 AIT MOUSSA Youness Amphi ibn Rochd 1008 1201719 AIT NACER Hicham Amphi Ibn Rochd 1010 Reportée 80002671 AIT NACER NOURDINE Amphi ibn Rochd 1012 Reportée 1205897 AIT NACEUR Samah Amphi Ibn Rochd 1014 Reportée 1201139 AIT OUAATICH Khadija Amphi ibn Rochd 1016 1007616 AIT OUARTASSA YOUSSEF Amphi Ibn Rochd 1018 1203923 AIT OUCHABOU Abdelmalek Amphi ibn Rochd 1020 1201591 AIT OUHDA Saleh Amphi Ibn Rochd 1022 Reportée 1203914 AIT OUIZZAN Driss Amphi ibn Rochd 1024 Reportée 1101303 AIT OUKTIR Lhoussaine Amphi Ibn Rochd 1026 Reportée 1105240 AIT OURJDAL SOUHAYL Amphi ibn Rochd 1028 Reportée 1203302 AIT OUZNAG Abdellah Amphi Ibn Rochd 1030 Reportée 1115833 AIT SAID Hafida Amphi ibn Rochd 1032 Reportée 1205107 AIT SAID Mohamed Amphi Ibn Rochd 1034 Reportée 1001120 AIT SAID OURAHOU FATIMA Amphi ibn Rochd 1036 Reportée 1204610 AIT SAIDAT Rachid Amphi Ibn Rochd 1038 Reportée 1207933 AIT SIDI ABDELOUAHID Ahmed Amphi ibn Rochd 1040 1203587 AIT TALAB Mohamed Amphi Ibn Rochd 1042 1004932 AIT TALEB ABDELJABAR Amphi ibn Rochd 1044 Reportée 1219708 AIT TALEB ABDESSAMAD Amphi Ibn Rochd 1046 9292997 AIT TALEB ATHMANE Amphi ibn Rochd 1048 Reportée 1219584 AIT TALEB MOSTAPHA Amphi Ibn Rochd 1050 1211640 AIT TALEB AHMED Khalid Amphi ibn Rochd 1052 Reportée 1202235 AIT THAMI HICHAM Amphi Ibn Rochd 1054 Reportée 1103175 AIT TIRITE Abdeslam Amphi ibn Rochd 1056 Reportée 1114315 AIT TONSI MOHAMED Amphi Ibn Rochd 1058 Reportée 1006108 AITBENHDA MARIEM Amphi ibn Rochd 1060 Reportée 1101781 AITLHDAR Soufiane Amphi Ibn Rochd 1062 Reportée 1111026 AKHRIBACH Abderrahim Amphi ibn Rochd 1064 Reportée Matière1: Notions fondamentales de Droit public Matière2: Pouvoir et autorité en Islam 5/46
  • 56.
    Filière: Droit arabe Facultédes sciences juridiques et Economiques. Marrakech N° Apogée Nom Prénom Local d'examen N° d'examen Matière1 Matière2 Université Cadi Ayyad PV de surveillance: Session de rattrapage Module: Introduction au Droit Public 2012-2013 Semestre1 (nouveau système) 1106659 AKHSSAY Laila Amphi Ibn Rochd 1066 1104253 AKHYAD Elhoussaine Amphi ibn Rochd 1068 Reportée 1113239 AKKI Abdelkarim Amphi ibn Rochd 1070 Reportée 1203962 AKZAIBRA Mohammed Amphi Ibn Rochd 1072 Reportée 1005682 AL AHYANE KHAMISS Amphi ibn Rochd 1074 Reportée 1110056 AL FALLAH Adil Amphi Ibn Rochd 1076 Reportée 1219602 AL IBRIKI Salah Amphi ibn Rochd 1078 Reportée 1219799 ALAMI Brahim Amphi Ibn Rochd 1080 Reportée 1209698 ALAOUI Abdelouahhab Amphi ibn Rochd 1082 1203774 ALAOUI HKIM Mohamed Amphi Ibn Rochd 1084 Reportée 1109993 ALBOUHALI NADIA Amphi ibn Rochd 1086 Reportée 1100459 ALBOUHTOURI Houda Amphi Ibn Rochd 1088 Reportée 1220110 ALFATIMI Imad Amphi ibn Rochd 1090 Reportée 1210709 ALHYANE Rachida Amphi Ibn Rochd 1092 80000172 ALILA MILOUD Amphi ibn Rochd 1094 Reportée 1101897 ALIOUA Mohamed Amphi Ibn Rochd 1096 1101372 ALIOUATE Mohammed Amphi ibn Rochd 1098 1111518 ALLA Donia Amphi ibn Rochd 1100 Reportée Matière1: Notions fondamentales de Droit public Matière2: Pouvoir et autorité en Islam 6/46
  • 57.
    Filière: Droit arabe Facultédes sciences juridiques et Economiques. Marrakech N° Apogée Nom Prénom Local d'examen N° d'examen Matière1 Matière2 Université Cadi Ayyad PV de surveillance: Session de rattrapage Module: Introduction au Droit Public 2012-2013 Semestre1 (nouveau système) 1111297 ALLABOUCH Nezha Amphi Mohamed El Fassi 1102 Reportée 1203865 ALLAM MAROUANE Amphi Mohamed El Fassi 1104 Reportée 1111361 ALLAMA Mohamed Amine Amphi Mohamed El Fassi 1106 Reportée 1203279 ALLAMI Hanane Amphi Mohamed El Fassi 1108 Reportée 1219678 ALLAOUI Abdelhadi Amphi Mohamed El Fassi 1110 Reportée 1201584 ALOUACH Noura Amphi Mohamed El Fassi 1112 1208617 AMADDAH Mohamed Amphi Mohamed El Fassi 1114 1106796 AMAGHRITI HASNA Amphi Mohamed El Fassi 1116 Reportée 1102623 AMALOUZ Khalid Amphi Mohamed El Fassi 1118 Reportée 1219879 AMARIGH Fatima Amphi Mohamed El Fassi 1120 1110911 AMASNA HICHAME Amphi Mohamed El Fassi 1122 Reportée 1101688 AMAZOUN Mohamed Amphi Mohamed El Fassi 1124 1201121 AMDIAB Hafsa Amphi Mohamed El Fassi 1126 Reportée 1219701 AMEDIAZ Mustapha Amphi Mohamed El Fassi 1128 1103889 AMEHAOUD Maryem Amphi Mohamed El Fassi 1130 Reportée 1203044 AMGHAR Brahim Amphi Mohamed El Fassi 1132 Reportée 1104481 AMGHAR Yassin Amphi Mohamed El Fassi 1134 Reportée 1107442 AMHACH Yassine Amphi Mohamed El Fassi 1136 Reportée 1210318 AMHAIMAR Rabiaa Amphi Mohamed El Fassi 1138 Reportée 1202336 AMIHA Mariam Amphi Mohamed El Fassi 1140 Reportée 1201234 AMIK Mohammed Amphi Mohamed El Fassi 1142 9293170 AMINE SAMIR Amphi Mohamed El Fassi 1144 Reportée 1109535 AMIR Hayat Amphi Mohamed El Fassi 1146 Reportée 1209321 AMKOUR Kamal Amphi Mohamed El Fassi 1148 Reportée 1104093 AMLAIZAZ Ali Amphi Mohamed El Fassi 1150 1220891 AMMARI SOUMIA Amphi Mohamed El Fassi 1152 Reportée 1205198 AMOUCH Khadija Amphi Mohamed El Fassi 1154 Reportée 1205076 AMZOUAR Fatima Amphi Mohamed El Fassi 1156 Reportée 1205783 ANGUAR LOUBNA Amphi Mohamed El Fassi 1158 1110862 ANINE Zineb Amphi Mohamed El Fassi 1160 Reportée 1219669 ANNOUR Bouchaib Amphi Mohamed El Fassi 1162 Reportée 1111680 ANOUAR Omar Amphi Mohamed El Fassi 1164 Reportée 1220294 ANOUFR Smail Amphi Mohamed El Fassi 1166 1006988 ANTAR HANANE Amphi Mohamed El Fassi 1168 Reportée 1111279 ANTIGUY Fatima Amphi Mohamed El Fassi 1170 Reportée 1102574 AOUACH Afrah Amphi Mohamed El Fassi 1172 Reportée 1202308 AOUINI NEZHA Amphi Mohamed El Fassi 1174 Reportée 1204806 AOUZAL SARA Amphi Mohamed El Fassi 1176 Reportée 1101321 AQEBLI Younes Amphi Mohamed El Fassi 1178 Reportée 1208971 ARABIA Miloud Amphi Mohamed El Fassi 1180 1101995 ARGUAZ Mohamed Amphi Mohamed El Fassi 1182 Reportée 1108557 ARJILA Dounia Amphi Mohamed El Fassi 1184 Reportée 1103760 ARNI Abdelhakim Amphi Mohamed El Fassi 1186 Reportée 1211052 AROUANE Ayoub Amphi Mohamed El Fassi 1188 Reportée 1204317 ARRADA Kamal Amphi Mohamed El Fassi 1190 Reportée 1202973 ARYANARRAS Hamza Amphi Mohamed El Fassi 1192 Reportée Matière1: Notions fondamentales de Droit public Matière2: Pouvoir et autorité en Islam 7/46
  • 58.
    Filière: Droit arabe Facultédes sciences juridiques et Economiques. Marrakech N° Apogée Nom Prénom Local d'examen N° d'examen Matière1 Matière2 Université Cadi Ayyad PV de surveillance: Session de rattrapage Module: Introduction au Droit Public 2012-2013 Semestre1 (nouveau système) 1205059 ASAIDI Merouane Amphi Mohamed El Fassi 1194 Reportée 1210308 ASBAYTA Ayyoub Amphi Mohamed El Fassi 1196 Reportée 1209816 ASDREM Hanane Amphi Mohamed El Fassi 1198 1201340 ASGHARI Souad Amphi Mohamed El Fassi 1200 Reportée 1203040 ASSAOUITE Mohamed Amphi Mohamed El Fassi 1202 Reportée 1207054 ASSILA Abdellah Amphi Mohamed El Fassi 1204 Reportée 1201694 ASTAR Abdelhak Amphi Mohamed El Fassi 1206 Reportée 1204864 ATADDART Mohamed Amphi Mohamed El Fassi 1208 Reportée 1106713 ATLOUCH Saadia Amphi Mohamed El Fassi 1210 Reportée 1201155 ATMANI Mohamed Amphi Mohamed El Fassi 1212 Reportée 1111130 ATTABOU Lamia Amphi Mohamed El Fassi 1214 Reportée 1101023 ATYQ Abdelilah Amphi Mohamed El Fassi 1216 1204444 ATYQ Brahim Amphi Mohamed El Fassi 1218 Reportée 1209038 AYAD Habib Amphi Mohamed El Fassi 1220 Reportée 1202313 AZERKANE Jamila Amphi Mohamed El Fassi 1222 Reportée 1201105 AZEROUAL Youssef Amphi Mohamed El Fassi 1224 Reportée 1204593 AZIZ Ali Amphi Mohamed El Fassi 1226 1201280 AZNAG FAICAL Amphi Mohamed El Fassi 1228 Reportée 1209074 AZOUD Abdellah Amphi Mohamed El Fassi 1230 1202160 AZOUGAGH Hamid Amphi Mohamed El Fassi 1232 Reportée 1101243 AZOUGAI Ghizlane Amphi Mohamed El Fassi 1234 Reportée 1201668 AZOUGGAGH Hanane Amphi Mohamed El Fassi 1236 Reportée 1202181 AZZOUYAHAR Malainine Amphi Mohamed El Fassi 1238 Reportée 1102689 BAALLA El Houssine Amphi Mohamed El Fassi 1240 Reportée 1205829 BAAMRANE Hind Amphi Mohamed El Fassi 1242 Reportée 1111478 BAAZIZ Mariama Amphi Mohamed El Fassi 1244 Reportée 1208827 BAAZIZ Mohamed Amphi Mohamed El Fassi 1246 1110015 BABA Brahim Amphi Mohamed El Fassi 1248 Reportée 1203094 BABA El Mehdi Amphi Mohamed El Fassi 1250 Reportée 1201546 BABA ESSALEK Amphi Mohamed El Fassi 1252 1211329 BACHKOU ABDENAIM Amphi Mohamed El Fassi 1254 Reportée 1104092 BADDA Amine Amphi Mohamed El Fassi 1256 1203816 BADREDDINE Laayati Amphi Mohamed El Fassi 1258 1003424 BADRI HICHAM Amphi Mohamed El Fassi 1260 Reportée 1209033 BADSI Anouar Amphi Mohamed El Fassi 1262 Reportée 1201071 BADYS Abdellatif Amphi Mohamed El Fassi 1264 Reportée 1201197 BADYS Khalid Amphi Mohamed El Fassi 1266 1202526 BAGHOUGH Wafa Amphi Mohamed El Fassi 1268 Reportée 1201115 BAHIA Malika Amphi Mohamed El Fassi 1270 1202105 BAHIR Soufiane Amphi Mohamed El Fassi 1272 Reportée 1111732 BAHRI Mustapha Amphi Mohamed El Fassi 1274 Reportée 1201124 BAIGA Elhassan Amphi Mohamed El Fassi 1276 Reportée 1110487 BAILLA Hanan Amphi Mohamed El Fassi 1278 Reportée 1201299 BAINE Lahcen Amphi Mohamed El Fassi 1280 Reportée 1201054 BAJJA Assiya Amphi Mohamed El Fassi 1282 Reportée 1205246 BAKADER Youssef Amphi Mohamed El Fassi 1284 Reportée Matière1: Notions fondamentales de Droit public Matière2: Pouvoir et autorité en Islam 8/46
  • 59.
    Filière: Droit arabe Facultédes sciences juridiques et Economiques. Marrakech N° Apogée Nom Prénom Local d'examen N° d'examen Matière1 Matière2 Université Cadi Ayyad PV de surveillance: Session de rattrapage Module: Introduction au Droit Public 2012-2013 Semestre1 (nouveau système) 1201245 BAKAR Adil Amphi Mohamed El Fassi 1286 Reportée 1208363 BAKOU Latifa Amphi Mohamed El Fassi 1288 Reportée 1107413 BALLALI Maryem Amphi Mohamed El Fassi 1290 Reportée 1104069 BAMANSOUR Rachid Amphi Mohamed El Fassi 1292 Reportée 1205086 BAMMOU Omar Amphi Mohamed El Fassi 1294 1201176 BAOUDA Hicham Amphi Mohamed El Fassi 1296 Reportée 1219729 BAQQA Imane Amphi Mohamed El Fassi 1298 1205265 BARHOUTI Nizar Amphi Mohamed El Fassi 1300 1203780 BARI Youssef Amphi Mohamed El Fassi 1302 Reportée 1210934 BARIJ MAJDA Amphi Mohamed El Fassi 1304 Reportée 1201195 BARIK Widad Amphi Mohamed El Fassi 1306 Reportée 1107152 BAROUK Mouhssine Amphi Mohamed El Fassi 1308 1004479 BARRAMLOU NAJAT Amphi Mohamed El Fassi 1310 Reportée 1205586 BASSIR Abdelmotaleb Amphi Mohamed El Fassi 1312 1111207 BASSIT Abdelmajid Amphi Mohamed El Fassi 1314 Reportée 1200992 BATRAH Ouijdane Amphi Mohamed El Fassi 1316 Reportée 1106373 BAYFOU BEN AHMED Abdessalam Amphi Mohamed El Fassi 1318 Reportée 1204800 BAYYOUD ATIQA Amphi Mohamed El Fassi 1320 Reportée 1219653 BEDDADI NOURA Amphi Mohamed El Fassi 1322 1111609 BEJJOUDI Mohamed Amphi Mohamed El Fassi 1324 1204365 BELAISSAOUI Hassan Amphi Mohamed El Fassi 1326 Reportée 1114562 BELAMRABT FATIMA ZAHRA Amphi Mohamed El Fassi 1328 Reportée 1102207 BELASELE Moulay Rachid Amphi Mohamed El Fassi 1330 Reportée 1111203 BELBYD Mouna Amphi Mohamed El Fassi 1332 Reportée 1107252 BELFKIRA Mouhamed Amphi Mohamed El Fassi 1334 Reportée 1206890 BELGHITI Lamia Amphi Mohamed El Fassi 1336 1100464 BELHENAA Siham Amphi Mohamed El Fassi 1338 Reportée 1220204 BELHITE Abdelhakim Amphi Mohamed El Fassi 1340 1111610 BELHITE Naima Amphi Mohamed El Fassi 1342 Reportée 1103505 BELKASSAB Slimane Amphi Mohamed El Fassi 1344 1205200 BELKIYAL ELMEHDI Amphi Mohamed El Fassi 1346 1203965 BELLABROUM Abdelkarim Amphi Mohamed El Fassi 1348 Reportée 1204559 BELLAFQUIH Sara Amphi Mohamed El Fassi 1350 1201137 BEL-LAHMAR Soufiane Amphi Mohamed El Fassi 1352 Reportée 1103551 BELLAJ Layla Amphi Mohamed El Fassi 1354 Reportée 1203310 BELLAKHA Othmane Amphi Mohamed El Fassi 1356 1210026 BELMALAH Sara Amphi Mohamed El Fassi 1358 1210058 BELMOUDEN Nadia Amphi Mohamed El Fassi 1360 1111088 BELOUAD Siham Amphi Mohamed El Fassi 1362 1102530 BEN AOUCHA Mohammed Amphi Mohamed El Fassi 1364 1102194 BEN AYOUB Mustapha Amphi Mohamed El Fassi 1366 Reportée 1207562 BEN AZZOUZ Youssef Amphi Mohamed El Fassi 1368 1109081 BEN BADDA Bouchra Amphi Mohamed El Fassi 1370 Reportée 1111194 BEN BAHIA Karima Amphi Mohamed El Fassi 1372 Reportée 1000858 BEN CHAOUD MOHAMED MBAREK Amphi Mohamed El Fassi 1374 Reportée 1101386 BEN CHTIA Youssef Amphi Mohamed El Fassi 1376 Reportée Matière1: Notions fondamentales de Droit public Matière2: Pouvoir et autorité en Islam 9/46
  • 60.
    Filière: Droit arabe Facultédes sciences juridiques et Economiques. Marrakech N° Apogée Nom Prénom Local d'examen N° d'examen Matière1 Matière2 Université Cadi Ayyad PV de surveillance: Session de rattrapage Module: Introduction au Droit Public 2012-2013 Semestre1 (nouveau système) 1203055 BEN DLALA Abdelhamyd Amphi Mohamed El Fassi 1378 1203638 BEN ELMADANI Abdelhamid Amphi Mohamed El Fassi 1380 Reportée 1209978 BEN FATNA Abderrazzak Amphi Mohamed El Fassi 1382 Reportée 1203348 BEN HADIA Mohamed Amphi Mohamed El Fassi 1384 Reportée 1111543 BEN HAMDA Asma Amphi Mohamed El Fassi 1386 Reportée 1202374 BEN HAMMOU Tariq Amphi Mohamed El Fassi 1388 Reportée 1115564 BEN IDER Malika Amphi Mohamed El Fassi 1390 Reportée Matière1: Notions fondamentales de Droit public Matière2: Pouvoir et autorité en Islam 10/46
  • 61.
    Filière: Droit arabe Facultédes sciences juridiques et Economiques. Marrakech N° Apogée Nom Prénom Local d'examen N° d'examen Matière1 Matière2 Université Cadi Ayyad PV de surveillance: Session de rattrapage Module: Introduction au Droit Public 2012-2013 Semestre1 (nouveau système) 1211175 BEN ITTO Jamal Amphi A 1392 Reportée 1104916 BEN KHADRA Abdellah Amphi A 1394 Reportée 1202445 BEN LAHSAINI Fatima Ezzahra Amphi A 1396 Reportée 1106754 BEN MANSOUR Naima Amphi A 1398 Reportée 1204960 BEN OTMANE Larbi Amphi A 1400 Reportée 1107795 BEN RAYES Abdelkrim Amphi A 1402 Reportée 1111544 BEN TAI Ahmed Amphi A 1404 Reportée 1102148 BEN ZAIR Karima Amphi A 1406 Reportée 1103870 BENAADEL Hayat Amphi A 1408 Reportée 1111023 BENAALLA Khadija Amphi A 1410 Reportée 1005831 BENALLAL YOUNESS Amphi A 1412 Reportée 1106602 BENBAKKA Hasna Amphi A 1414 Reportée 1204105 BEN-CHETTOU Naima Amphi A 1416 Reportée 1203739 BENDEHANE Zakaria Amphi A 1418 Reportée 1220926 BENDRISS SOUFIANE Amphi A 1420 Reportée 1102661 BENELASRI Rabab Amphi A 1422 Reportée 1202775 BENELKADRI Elhoucine Amphi A 1424 Reportée 1202297 BENELKAIDA El-mahdi Amphi A 1426 1103773 BENELYAZID Souad Amphi A 1428 Reportée 1202079 BENFOUNDOU Mohamed Fadel Amphi A 1430 Reportée 1205894 BENHABIBI Abderrazzak Amphi A 1432 Reportée 1202994 BENHABIBI Soufiane Amphi A 1434 Reportée 1204878 BENHADDOU SIHAM Amphi A 1436 Reportée 1202051 BENHADIA Noura Amphi A 1438 Reportée 1220883 BENHAJJI FATIMA ZAHRA Amphi A 1440 Reportée 1201608 BENHAJJO Lahcene Amphi A 1442 1006126 BENJANAN MUSTAPHA Amphi A 1444 Reportée 1112449 BENJDI Rachida Amphi A 1446 Reportée 1209320 BENLALOU Kamal Amphi A 1448 1210550 BENNAR Khadija Amphi A 1450 Reportée 1201757 BENNARA Abdessamia Amphi A 1452 Reportée 1216702 BENNAY AOUATIF Amphi A 1454 Reportée 1203264 BENNAY Nadia Amphi A 1456 1101036 BENNOURINE Hasna Amphi A 1458 Reportée 1219753 BENOMAR Dahbi Amphi A 1460 Reportée 1219419 BENSBAA ELMOKHTAR Amphi A 1462 Reportée 1204002 BENSMIDA AYOUB Amphi A 1464 Reportée 1208792 BENTOURI Abdlkarim Amphi A 1466 Reportée 1003446 BENYAHIA SARA Amphi A 1468 Reportée 1219933 BENYOUSAF Meriem Amphi A 1470 1004966 BENZAHI HASNA Amphi A 1472 Reportée 1114516 BENZARHOUNE Khadija Amphi A 1474 Reportée Matière1: Notions fondamentales de Droit public Matière2: Pouvoir et autorité en Islam 11/46
  • 62.
    Filière: Droit arabe Facultédes sciences juridiques et Economiques. Marrakech N° Apogée Nom Prénom Local d'examen N° d'examen Matière1 Matière2 Université Cadi Ayyad PV de surveillance: Session de rattrapage Module: Introduction au Droit Public 2012-2013 Semestre1 (nouveau système) 1208828 BENZAYER Soufiane Amphi B 1476 Reportée 1201866 BERDGUIE M'brak Amphi B 1478 Reportée 1203869 BERDOUZI YASSINE Amphi B 1480 Reportée 6006639 BERKHOUCH YOUSSEF Amphi B 1482 Reportée 1104009 BERRAGANE Salah Amphi B 1484 Reportée 1113783 BIAR Samira Amphi B 1486 Reportée 1201307 BIBARK Wafa Amphi B 1488 Reportée 1201230 BINI Brahim Amphi B 1490 Reportée 1202607 BIYOUD Khadija Amphi B 1492 Reportée 1204636 BLEHASSAR Abderrahim Amphi B 1494 Reportée 1219489 BLQIS ILHAME Amphi B 1496 1219793 BOUAADDI Mustapha Amphi B 1498 Reportée 1009644 BOUAALLA AHMED Amphi B 1500 Reportée 1115796 BOUABAD Abdellah Amphi B 1502 Reportée 1203609 BOUAMOUD Mohamed Amphi B 1504 Reportée 1208438 BOUAMOUD Salah Amphi B 1506 Reportée 1210660 BOUANAN Hayat Amphi B 1508 Reportée 1210103 BOUANANI Hajar Amphi B 1510 1204789 BOUAOULATINE Fouad Amphi B 1512 Reportée 1204817 BOUAOULATINE Mourad Amphi B 1514 Reportée 1100451 BOUASSOU Said Amphi B 1516 Reportée 1202415 BOUAZIZ Nadia Amphi B 1518 Reportée 1105375 BOUBEDDARA Meriem Amphi B 1520 Reportée 1006435 BOUBEKRI ABDELHAMID Amphi B 1522 Reportée 1101299 BOUBKRAOUI Nadia Amphi B 1524 Reportée 1111507 BOUCHEHAB Mohamed Amphi B 1526 1219416 BOUCHEJRA Najat Amphi B 1528 Reportée 1101970 BOUCHEMAA Mohamed Amphi B 1530 1203995 BOUCHKARA Hamid Amphi B 1532 Reportée 1203187 BOUELET Sofian Amphi B 1534 Reportée 1004516 BOUFARDI MOHAMED WALID Amphi B 1536 Reportée 1204401 BOUFOUS Siham Amphi B 1538 Reportée 1114535 BOUFRAYOUA NOUREDDINE Amphi B 1540 Reportée 1216299 BOUFRIOUA FDILI Amphi B 1542 Reportée 1104513 BOUGDEM Erraji Amphi B 1544 Reportée 1202933 BOUGHROUM Abderrahim Amphi B 1546 Reportée 1205752 BOUGHROUM Mohsine Amphi B 1548 Reportée 1202958 BOUGRINE Hosseine Amphi B 1550 Reportée 1109856 BOUGUIDA Zaineb Amphi B 1552 Reportée 1202638 BOUH Moh Amphi B 1554 Reportée 1201704 BOUHAFA Ayoub Amphi B 1556 1108352 BOUHAL Karim Amphi B 1558 Reportée Matière1: Notions fondamentales de Droit public Matière2: Pouvoir et autorité en Islam 12/46
  • 63.
    Filière: Droit arabe Facultédes sciences juridiques et Economiques. Marrakech N° Apogée Nom Prénom Local d'examen N° d'examen Matière1 Matière2 Université Cadi Ayyad PV de surveillance: Session de rattrapage Module: Introduction au Droit Public 2012-2013 Semestre1 (nouveau système) 1210259 BOUHANEA Mohamed Amphi C 1560 Reportée 1205774 BOUHBEL Abdelfattah Amphi C 1562 Reportée 1107747 BOUHI Youssef Amphi C 1564 Reportée 1111269 BOUHID Mouhssine Amphi C 1566 Reportée 1109599 BOUHLIM Mohammad Amphi C 1568 Reportée 1101240 BOUHNANA Siham Amphi C 1570 Reportée 1202502 BOUHOUCH Mohammed Amphi C 1572 1202631 BOUHRIRA Hamza Amphi C 1574 1201631 BOUHROUCH Khalid Amphi C 1576 Reportée 1219614 BOUHSAIN Adil Amphi C 1578 Reportée 1201947 BOUHSSINE Hassna Amphi C 1580 Reportée 1208956 BOUIATRAS Rochdi Amphi C 1582 1114585 BOUICHOU Kamal Amphi C 1584 1202908 BOUIFOULLOUS Hind Amphi C 1586 Reportée 1111736 BOUIKZARAN Merieme Amphi C 1588 Reportée 1114407 BOUILGUA MALIKA Amphi C 1590 Reportée 1004836 BOUIMHIM MOHAMED Amphi C 1592 Reportée 1110785 BOUIZAR Hicham Amphi C 1594 1205238 BOUJEDIANE Ismail Amphi C 1596 1101523 BOUJENOUI Ismail Amphi C 1598 Reportée 1004693 BOUJERKENE HICHAM Amphi C 1600 Reportée 1110109 BOUJLIL Fatima Amphi C 1602 Reportée 1103475 BOUKDIR SOUFIANE Amphi C 1604 Reportée 1111388 BOUKERCH Hayat Amphi C 1606 Reportée 1201312 BOUKHRISS Said Amphi C 1608 1204161 BOUKTIB Moussa Amphi C 1610 Reportée 1106800 BOULAAJOUL Aimad Amphi C 1612 Reportée 1204344 BOULAARAB Sana Amphi C 1614 1204975 BOULAHIA Anas Amphi C 1616 1205780 BOULAHJAR Mariam Amphi C 1618 1100791 BOULAJAJ Hicham Amphi C 1620 Reportée 1207115 BOULGUID Fadma Amphi C 1622 Reportée 1103905 BOUMADIANE Bouchra Amphi C 1624 Reportée 1204840 BOUMAHDI ABDALLAHI Amphi C 1626 Reportée 1114581 BOUMAHDI HASNAE Amphi C 1628 Reportée 1201081 BOUMCHAGA Abla Amphi C 1630 Reportée 1106783 BOUMERZAF Aotman Amphi C 1632 Reportée 1205684 BOUMERZAF Souilma Amphi C 1634 Reportée 1209860 BOUMOUGAY Yassine Amphi C 1636 Reportée 1102533 BOUNA Mohamed Amphi C 1638 1219642 BOUNGOUL Abdelkrim Amphi C 1640 Reportée 1103178 BOUNJ Laila Amphi C 1642 Reportée Matière1: Notions fondamentales de Droit public Matière2: Pouvoir et autorité en Islam 13/46
  • 64.
    Filière: Droit arabe Facultédes sciences juridiques et Economiques. Marrakech N° Apogée Nom Prénom Local d'examen N° d'examen Matière1 Matière2 Université Cadi Ayyad PV de surveillance: Session de rattrapage Module: Introduction au Droit Public 2012-2013 Semestre1 (nouveau système) 1205682 BOUNNIT Soukaina Amphi D 1644 1203747 BOUNOUAR Ismail Amphi D 1646 Reportée 1114583 BOURAGAA MOHAMED Amphi D 1648 Reportée 1107714 BOURAGAA Yassine Amphi D 1650 Reportée 1109064 BOUROUMANA Mohamed Amphi D 1652 Reportée 1101402 BOUSABNIA Abdrrahime Amphi D 1654 Reportée 1002295 BOUSAID NAFAIE Amphi D 1656 Reportée 1106580 BOUSKRI Hanane Amphi D 1658 Reportée 1203004 BOUSSAA Rida Amphi D 1660 Reportée 1003537 BOUSSAGHIR MAROUANE Amphi D 1662 Reportée 1207077 BOUSSALIM Lhoussin Amphi D 1664 1110710 BOUSSOUNA Houdda Amphi D 1666 Reportée 1113446 BOUTABAA MANNAHA Amphi D 1668 Reportée 1108863 BOUTABAA Sellem Amphi D 1670 Reportée 1107128 BOUTAHAR Zahra Amphi D 1672 Reportée 1206913 BOUTALAT Wardia Amphi D 1674 Reportée 1001175 BOUTASKAOUINE ASMAA Amphi D 1676 1104286 BOUTAZART Zouhair Amphi D 1678 Reportée 1201579 BOUTCHAMMAH Karima Amphi D 1680 Reportée 1205234 BOUTIJIJT Abdessamad Amphi D 1682 Reportée 1203695 BOUTMAGOUST Abdelouahab Amphi D 1684 Reportée 1204262 BOUTMAZGINE HALIMA Amphi D 1686 Reportée 1201721 BOUUISENGAREN Fatiha Amphi D 1688 Reportée 1109341 BOUY GOUDAR Soukaina Amphi D 1690 Reportée 1114501 BOUYADOU Majda Amphi D 1692 Reportée 1111538 BOUYAGHSSANE Latifa Amphi D 1694 Reportée 1201014 BOUYAHIA Ayoub Amphi D 1696 Reportée 1205100 BOUZIA LOUBNA Amphi D 1698 1109850 BOUZID Abdelhakim Amphi D 1700 1201381 BOUZIDI HAMID Amphi D 1702 Reportée 1105893 BOUZINE Daoud Amphi D 1704 Reportée 1205143 BOUZYA Mohammed Amphi D 1706 Reportée 1211229 BOUZZIT ASMA Amphi D 1708 1204873 BYOUD Jmiaa Amphi D 1710 Reportée 1219993 CHAABA Faysal Amphi D 1712 Reportée 1102070 CHAABI Fatima Ezzahra Amphi D 1714 1101712 CHAAIJ Salwa Amphi D 1716 Reportée 1219675 CHAARANI Abderrahim Amphi D 1718 Reportée 1205726 CHABA Hamza Amphi D 1720 Reportée 1204646 CHABAK Soufian Amphi D 1722 Reportée 1206983 CHABLALE Jamila Amphi D 1724 Reportée 1201274 CHADI Tariq Amphi D 1726 Reportée Matière1: Notions fondamentales de Droit public Matière2: Pouvoir et autorité en Islam 14/46
  • 65.
    Filière: Droit arabe Facultédes sciences juridiques et Economiques. Marrakech N° Apogée Nom Prénom Local d'examen N° d'examen Matière1 Matière2 Université Cadi Ayyad PV de surveillance: Session de rattrapage Module: Introduction au Droit Public 2012-2013 Semestre1 (nouveau système) 1205154 CHAFAI Lahcen Amphi E 1728 1107630 CHAFIA RACHID Amphi E 1730 Reportée 1107895 CHAHID Youssef Amphi E 1732 Reportée 1201642 CHAHIR Abdelilah Amphi E 1734 1203966 CHAHLAOUY Adil Amphi E 1736 Reportée 1220266 CHAI Ayoub Amphi E 1738 Reportée 1006105 CHAIBAINOU MOHAMED Amphi E 1740 1202277 CHAIBOUB Abdelkebir Amphi E 1742 Reportée 1207038 CHAIKHI Mohamed Salem Amphi E 1744 Reportée 1220270 CHAJAI Fatiha Amphi E 1746 Reportée 1203191 CHAKHS Abdellah Amphi E 1748 Reportée 1208370 CHAKIR El Mustapha Amphi E 1750 1111085 CHAKIR Mohamed Amphi E 1752 Reportée 1212659 CHAKIR Nouamane Amphi E 1754 Reportée 1209701 CHAKLI Hamza Amphi E 1756 Reportée 1202839 CHANNAOUI Mourad Amphi E 1758 Reportée 1101105 CHANNI Nadia Amphi E 1760 Reportée 1219485 CHAOUCH Khalid Amphi E 1762 Reportée 1111250 CHAOUKI M'hamed Amphi E 1764 Reportée 1108501 CHARAB RIDOUAN Amphi E 1766 Reportée 1203077 CHARBALI MOUNAIM Amphi E 1768 Reportée 1200983 CHARIA Samira Amphi E 1770 Reportée 1107774 CHARIF Badar Amphi E 1772 Reportée 1111267 CHARKI Aidda Amphi E 1774 Reportée 1203691 CHARNAGUI Abdelilah Amphi E 1776 Reportée 1204949 CHARRA Fatiha Amphi E 1778 1201028 CHEJJANI Fahd Amphi E 1780 1112268 CHENOUI Youness Amphi E 1782 Reportée 1219737 CHERIF ELMASLOUHI Fatiha Amphi E 1784 Reportée 1111054 CHERKAOUI Ali Amphi E 1786 Reportée 1101019 CHFIRA Mohamed Amphi E 1788 Reportée 1003425 CHIBANI NAJAT Amphi E 1790 1213829 CHIKAR HASSNA Amphi E 1792 Reportée 1106479 CHINE Zahra Amphi E 1794 Reportée 1108005 CHKEN Imane Amphi E 1796 Reportée 1003409 CHKENE BTISSAM Amphi E 1798 Reportée 1101135 CHKROUN Soumia Amphi E 1800 Reportée 1113810 CHNITEF Brahim Amphi E 1802 Reportée 1209082 CHOUAI Hind Amphi E 1804 Reportée 1101678 CHOUATY Said Amphi E 1806 Reportée 1204460 CHOUAY Boubker Amphi E 1808 Reportée 1102280 CHOUKRI ANASS Amphi E 1810 1203843 CHRIMITE Najat Amphi E 1912 Matière1: Notions fondamentales de Droit public Matière2: Pouvoir et autorité en Islam 15/46
  • 66.
    Filière: Droit arabe Facultédes sciences juridiques et Economiques. Marrakech N° Apogée Nom Prénom Local d'examen N° d'examen Matière1 Matière2 Université Cadi Ayyad PV de surveillance: Session de rattrapage Module: Introduction au Droit Public 2012-2013 Semestre1 (nouveau système) 1109901 DADDA Said Amphi Cadi Ayyad 2 1104584 DADDAS Mohamed Amine Amphi Cadi Ayyad 4 Reportée 80002204 DADI SIDI Amphi Cadi Ayyad 6 Reportée 1201343 DAFALI NOUR EDDINE Amphi Cadi Ayyad 8 Reportée 1203333 DAGDAG Imane Amphi Cadi Ayyad 10 Reportée 1208964 DAHBI Abdelkarim Amphi Cadi Ayyad 12 1113291 DAHBI SAMIRA Amphi Cadi Ayyad 14 1220244 DAHROU Badia Amphi Cadi Ayyad 16 Reportée 1105865 DAMIR Mohamed Khalil Amphi Cadi Ayyad 18 Reportée 1209272 DAMOUN Layla Amphi Cadi Ayyad 20 Reportée 1204146 DAOUD Ismail Amphi Cadi Ayyad 22 1204172 DAOUD Khalid Amphi Cadi Ayyad 24 Reportée 1100680 DAOUD Touhajlab Amphi Cadi Ayyad 26 Reportée 1203029 DAOUDI Hamza Amphi Cadi Ayyad 28 Reportée 1107226 DAOUDI Mohamed Amphi Cadi Ayyad 30 1110274 DARDOUCH NAZHA Amphi Cadi Ayyad 32 Reportée 1210575 DARKAOUI Loubna Amphi Cadi Ayyad 34 Reportée 1111251 DAYDA Oum Lakhout Amphi Cadi Ayyad 36 Reportée 1211285 DENDIL ANOUAR Amphi Cadi Ayyad 38 1220423 DIAB Elmustapha Amphi Cadi Ayyad 40 Reportée 1203798 DIB Hassan Amphi Cadi Ayyad 42 1103526 DIBBOU HASNAA Amphi Cadi Ayyad 44 Reportée 1201150 DKHIL Sidati Amphi Cadi Ayyad 46 Reportée 1204647 DOUA Azzddine Amphi Cadi Ayyad 48 Reportée 1219568 DOUBLALI Abdallah Amphi Cadi Ayyad 50 Reportée 1216611 DOUNIA SALAH EDDINE Amphi Cadi Ayyad 52 Reportée 1208909 DOURHANI Sana Amphi Cadi Ayyad 54 Reportée 1203120 DRAOUI Mourad Amphi Cadi Ayyad 56 Reportée 1104370 DREIF Rajaa Amphi Cadi Ayyad 58 1201687 DRIOUCH Ghizlan Amphi Cadi Ayyad 60 1207891 ECHAIN Hamza Amphi Cadi Ayyad 62 1203577 ECHARKAOUI Hicham Amphi Cadi Ayyad 64 Reportée 1202019 ECH-CHAJAI Aouatif Amphi Cadi Ayyad 66 Reportée 1209182 ECHCHARAOUY Rabia Amphi Cadi Ayyad 68 1211176 ECH-CHATOUI Lahcen Amphi Cadi Ayyad 70 Reportée 1103888 ECHEBLI Abderrahim Amphi Cadi Ayyad 72 Reportée 1203285 EDDAHANI Abderrahim Amphi Cadi Ayyad 74 Reportée 1103479 EDDAHI Elbachir Amphi Cadi Ayyad 76 1203367 EDDAKI Brahim Amphi Cadi Ayyad 78 Reportée 1114278 EDDALIA Abdelilah Amphi Cadi Ayyad 80 Reportée 1204956 EDDAOUI Omar Amphi Cadi Ayyad 82 Reportée 1220216 EDDAZI ABDELHADI Amphi Cadi Ayyad 84 1203203 ED-DIREA Abdelghani Amphi Cadi Ayyad 86 Reportée 1203350 EDDNADNI Nabil Amphi Cadi Ayyad 88 1201380 EDRAOUI Abdelouahed Amphi Cadi Ayyad 90 1219922 EJJAOUI Mina Amphi Cadi Ayyad 92 Matière1: Notions fondamentales de Droit public Matière2: Pouvoir et autorité en Islam 16/46
  • 67.
    Filière: Droit arabe Facultédes sciences juridiques et Economiques. Marrakech N° Apogée Nom Prénom Local d'examen N° d'examen Matière1 Matière2 Université Cadi Ayyad PV de surveillance: Session de rattrapage Module: Introduction au Droit Public 2012-2013 Semestre1 (nouveau système) 1205161 EKHOUIRA Azeddine Amphi Cadi Ayyad 94 Reportée 1105125 EKHOUIRA Mohamed Amphi Cadi Ayyad 96 1219565 EL AAKAL Rhita Amphi Cadi Ayyad 98 Reportée 1210969 EL AALLAM MARIAM Amphi Cadi Ayyad 100 1220930 EL AATIELLAH ABDELKARIM Amphi Cadi Ayyad 102 1109002 EL ABBASSI SOUKAINA Amphi Cadi Ayyad 104 Reportée 1111226 EL ABBIDI Maryem Amphi Cadi Ayyad 106 Reportée 1203913 EL ABYAD Abderrazzak Amphi Cadi Ayyad 108 1207287 EL ADNANI Abdelhakim Amphi Cadi Ayyad 110 Reportée 1203811 EL AHMADI Mohamed Amphi Cadi Ayyad 112 Reportée 1201032 EL AIMECH Mohamed Amphi Cadi Ayyad 114 Reportée 1108820 EL ALAOUI SALKA Amphi Cadi Ayyad 116 Reportée 1202129 EL ALLAOUI Ali Amphi Cadi Ayyad 118 Reportée 1107613 EL ALLAOUI El Hassane Amphi Cadi Ayyad 120 Reportée 1203584 EL AMIRI Mohammed Zakarya Amphi Cadi Ayyad 122 Reportée 1203074 EL AMMARI Anass Amphi Cadi Ayyad 124 1204328 EL AMRANI Hicham Amphi Cadi Ayyad 126 Reportée 1203343 EL AMRI Ismail Amphi Cadi Ayyad 128 Reportée 1209521 EL AOUAME Othmane Amphi Cadi Ayyad 130 1201798 EL AOUD Mustapha Amphi Cadi Ayyad 132 Reportée 1217400 EL ARABY BRAHIM Amphi Cadi Ayyad 134 Reportée 1201688 EL ARAJI Souad Amphi Cadi Ayyad 136 Reportée 1204970 EL ATIFI Kaoutar Amphi Cadi Ayyad 138 1219628 EL ATRANE Mbarek Amphi Cadi Ayyad 140 Reportée 1220064 EL ATTAR Abdelati Amphi Cadi Ayyad 142 Reportée 1202318 EL AYADY Atef Amphi Cadi Ayyad 144 1220189 EL AYANE Imane Amphi Cadi Ayyad 146 Reportée 1219552 EL AZIZI IBTISSAM Amphi Cadi Ayyad 148 Reportée 1203897 EL BADAOUI Abd El Ali Amphi Cadi Ayyad 150 1219716 EL BADRAOUI Siham Amphi Cadi Ayyad 152 Reportée 1114554 EL BAGAR HASNA Amphi Cadi Ayyad 154 Reportée 1210663 EL BAHANOURI YASSINE Amphi Cadi Ayyad 156 1204409 EL BAHI Hicham Amphi Cadi Ayyad 158 Reportée 1203364 EL BALLOUTI MOHAMMED EL HABIB Amphi Cadi Ayyad 160 Reportée 1203572 EL BANDAKI Mohamed Amphi Cadi Ayyad 162 Reportée 1206212 EL BARAKA Aicha Amphi Cadi Ayyad 164 Reportée 1219699 EL BASIT Zahira Amphi Cadi Ayyad 166 1204890 EL BERKAOUI Souad Amphi Cadi Ayyad 168 1106823 EL BILALI Abdalaziz Amphi Cadi Ayyad 170 Reportée 1114550 EL BOUANANI LAILA Amphi Cadi Ayyad 172 Reportée 1204716 EL BOUAZZAOUI Abdennabi Amphi Cadi Ayyad 174 1111280 EL BOUHI Fadoua Amphi Cadi Ayyad 176 Reportée 1202621 EL BOUKY Mohamed Amphi Cadi Ayyad 178 1203050 EL BOUTAIRI Rania Amphi Cadi Ayyad 180 1205634 EL BOUTI Zakaria Amphi Cadi Ayyad 182 1208830 EL BZAR Youssef Amphi Cadi Ayyad 184 Matière1: Notions fondamentales de Droit public Matière2: Pouvoir et autorité en Islam 17/46
  • 68.
    Filière: Droit arabe Facultédes sciences juridiques et Economiques. Marrakech N° Apogée Nom Prénom Local d'examen N° d'examen Matière1 Matière2 Université Cadi Ayyad PV de surveillance: Session de rattrapage Module: Introduction au Droit Public 2012-2013 Semestre1 (nouveau système) 1201793 EL FAAFA Brahim Amphi Cadi Ayyad 186 1216645 EL FAHIM Salah Amphi Cadi Ayyad 188 Reportée 1114402 EL FAHIRI Hasna Amphi Cadi Ayyad 190 1209903 EL FAHLI Sara Amphi Cadi Ayyad 192 1201103 EL FAIZI Meriam Amphi Cadi Ayyad 194 1108318 EL FAKIRI Hafida Amphi Cadi Ayyad 196 Reportée 1208271 EL FALLAOUY Touria Amphi Cadi Ayyad 198 Reportée 1219558 EL FANNICHE Mhamed Amphi Cadi Ayyad 200 Reportée Matière1: Notions fondamentales de Droit public Matière2: Pouvoir et autorité en Islam 18/46
  • 69.
    Filière: Droit arabe Facultédes sciences juridiques et Economiques. Marrakech N° Apogée Nom Prénom Local d'examen N° d'examen Matière1 Matière2 Université Cadi Ayyad PV de surveillance: Session de rattrapage Module: Introduction au Droit Public 2012-2013 Semestre1 (nouveau système) 1202863 EL FARFAR Nadia Amphi Abou El Abbass Essabti 202 1102826 EL FATEHY Mohamed Amphi Abou El Abbass Essabti 204 Reportée 1114762 EL FATIHI Oussama Amphi Abou El Abbass Essabti 206 Reportée 1209555 EL FATIMI Mouhssine Amphi Abou El Abbass Essabti 208 Reportée 1101684 EL FATIMI Ouafa Amphi Abou El Abbass Essabti 210 Reportée 1103180 EL FGUIRICH Mohamed Amphi Abou El Abbass Essabti 212 1108167 EL FTOUAKI Ismail Amphi Abou El Abbass Essabti 214 Reportée 1003517 EL GANDOULI WAFAE Amphi Abou El Abbass Essabti 216 Reportée 1202158 EL GARBA Mina Amphi Abou El Abbass Essabti 218 Reportée 1209798 EL GARNAOUI Rachid Amphi Abou El Abbass Essabti 220 Reportée 1113788 EL GHOMAITY Abdellah Amphi Abou El Abbass Essabti 222 Reportée 1102817 EL GOUNANI Oulaya Amphi Abou El Abbass Essabti 224 Reportée 1102013 EL GUEDDASY HANAN Amphi Abou El Abbass Essabti 226 1219796 EL HADRY Noura Amphi Abou El Abbass Essabti 228 Reportée 1204985 EL HAFIANE Soufiane Amphi Abou El Abbass Essabti 230 Reportée 1220492 EL HAFIANI YOUNES Amphi Abou El Abbass Essabti 232 Reportée 1219582 EL HAICHAMI Imane Amphi Abou El Abbass Essabti 234 1205019 EL HAMDAOUI Abdellatif Amphi Abou El Abbass Essabti 236 Reportée 1209683 EL HAMDI Zahra Amphi Abou El Abbass Essabti 238 Reportée 1216609 EL HAMRI YOUSSEF Amphi Abou El Abbass Essabti 240 1111337 EL HANCHAR Fatima Zahra Amphi Abou El Abbass Essabti 242 Reportée 1204360 EL HANOUNI Bouchaib Amphi Abou El Abbass Essabti 244 1216373 EL HAOUARI Khadija Amphi Abou El Abbass Essabti 246 1208077 EL HARAS Jamila Amphi Abou El Abbass Essabti 248 Reportée 1005731 EL HARRAQ NAOUAL Amphi Abou El Abbass Essabti 250 Reportée 1106683 EL HARTI Amina Amphi Abou El Abbass Essabti 252 Reportée 1110301 EL HASSNAOUI ABDESSMAD Amphi Abou El Abbass Essabti 254 Reportée 1002323 EL HBIRIK ZAHRA Amphi Abou El Abbass Essabti 256 Reportée 1204441 EL HORRE Nassima Amphi Abou El Abbass Essabti 258 Reportée 1208942 EL IDRISSI Mohamed Amphi Abou El Abbass Essabti 260 Reportée 1204764 EL IDRISSI Soukaina Amphi Abou El Abbass Essabti 262 Reportée 1203068 EL IDRISY Brahim Amphi Abou El Abbass Essabti 264 Reportée 1204240 EL IZARI Khalid Amphi Abou El Abbass Essabti 266 1107578 EL JADID Younness Amphi Abou El Abbass Essabti 268 Reportée 1208496 EL JAMI Najwa Amphi Abou El Abbass Essabti 270 Reportée 1201293 EL JEGHEL Abdelghani Amphi Abou El Abbass Essabti 272 Reportée 1217373 EL KABOUSSE NAIMA Amphi Abou El Abbass Essabti 274 Reportée 1205025 EL KALAOUI Hajar Amphi Abou El Abbass Essabti 276 Reportée 1205176 EL KANIT El Mekki Amphi Abou El Abbass Essabti 278 Reportée 1205215 EL KARTOUCHI Asma Amphi Abou El Abbass Essabti 280 1201286 EL KARYA Sanaa Amphi Abou El Abbass Essabti 282 1203165 EL KASSIOUI Elhassan Amphi Abou El Abbass Essabti 284 1108483 EL KHALEJ Ibtissam Amphi Abou El Abbass Essabti 286 1209748 EL KHALFAOUI Othmane Amphi Abou El Abbass Essabti 288 Reportée 1108667 EL KHALIL Khadija Amphi Abou El Abbass Essabti 290 1201324 EL KHALILI Azeddine Amphi Abou El Abbass Essabti 292 Reportée Matière1: Notions fondamentales de Droit public Matière2: Pouvoir et autorité en Islam 19/46
  • 70.
    Filière: Droit arabe Facultédes sciences juridiques et Economiques. Marrakech N° Apogée Nom Prénom Local d'examen N° d'examen Matière1 Matière2 Université Cadi Ayyad PV de surveillance: Session de rattrapage Module: Introduction au Droit Public 2012-2013 Semestre1 (nouveau système) 1203948 EL KHALILI Yassine Amphi Abou El Abbass Essabti 294 Reportée 1114353 EL KHARIJI Abdelilah Amphi Abou El Abbass Essabti 296 Reportée 1218941 EL KHOTFI El Moustapha Amphi Abou El Abbass Essabti 298 Reportée 1210834 EL KIHAL HASSANIA Amphi Abou El Abbass Essabti 300 Reportée 1009015 EL MAALOUM HANANE Amphi Abou El Abbass Essabti 302 Reportée 1205001 EL MAJNAOUI Rida Amphi Abou El Abbass Essabti 304 Reportée 1110389 EL MALHI Fatima Zahra Amphi Abou El Abbass Essabti 306 Reportée 1203089 EL MANSOUR Mohamed Amphi Abou El Abbass Essabti 308 Reportée 1202452 EL MANSOURY Saida Amphi Abou El Abbass Essabti 310 1207855 EL MANYIY Mohammed Amphi Abou El Abbass Essabti 312 Reportée 1201410 EL MARDI Khalid Amphi Abou El Abbass Essabti 314 Reportée 1201557 EL MASKYNY Fatiha Amphi Abou El Abbass Essabti 316 1201906 EL MASMOUDI Mouloud Amphi Abou El Abbass Essabti 318 1105247 EL MATLOUB RADOUAN Amphi Abou El Abbass Essabti 320 1216782 EL MAZOUARI Mohammed Amphi Abou El Abbass Essabti 322 Reportée 1201093 EL MEJDI Imane Amphi Abou El Abbass Essabti 324 Reportée 1200490 EL MEKAOUI Soukaina Amphi Abou El Abbass Essabti 326 1205228 EL MEKKA Najat Amphi Abou El Abbass Essabti 328 Reportée 1219820 EL MELLAH Aziz Amphi Abou El Abbass Essabti 330 Reportée 1203324 EL MESBAHI AATIK Younes Amphi Abou El Abbass Essabti 332 Reportée 1213569 EL MESLOHI Bouchra Amphi Abou El Abbass Essabti 334 1209242 EL MEZOUARI ABDELLATIF Amphi Abou El Abbass Essabti 336 1204833 EL MIALE Soukaina Amphi Abou El Abbass Essabti 338 1210083 EL MIMOUNI Khaoula Amphi Abou El Abbass Essabti 340 1220881 EL MOCHTAJ YOUSSEF Amphi Abou El Abbass Essabti 342 1220313 EL MODAFFAR BOUZEKRI Amphi Abou El Abbass Essabti 344 1205239 EL MOJAHID Assya Amphi Abou El Abbass Essabti 346 1205169 EL MOJAHID Mina Amphi Abou El Abbass Essabti 348 Reportée 1201143 EL MOJAHID Najat Amphi Abou El Abbass Essabti 350 Reportée 1202170 EL MOOTASIM Khadija Amphi Abou El Abbass Essabti 352 1205221 EL MORSLI Youssef Amphi Abou El Abbass Essabti 354 Reportée 1201027 EL MOUEFFAK Najia Amphi Abou El Abbass Essabti 356 1219722 EL MOUHI Imad Amphi Abou El Abbass Essabti 358 Reportée 1201253 EL MOUJIB Zohra Amphi Abou El Abbass Essabti 360 Reportée 1201396 EL MOUMNI Nezha Amphi Abou El Abbass Essabti 362 1115941 EL MOUNTASSIR AHMED Amphi Abou El Abbass Essabti 364 Reportée 1220426 EL MOUNTASSIR SABIR Amphi Abou El Abbass Essabti 366 Reportée 1202592 EL MOURABIT Abdelouahab Amphi Abou El Abbass Essabti 368 Reportée 1204469 EL MOUSSAOUI Oussama Amphi Abou El Abbass Essabti 370 Reportée 1201635 EL MOUTAOUAKIL Fatima Ezzahra Amphi Abou El Abbass Essabti 372 Reportée 1204872 EL MOUTAOUAKIL Rachida Amphi Abou El Abbass Essabti 374 Reportée 1208921 EL MOUTAOUAKKAL Wafae Amphi Abou El Abbass Essabti 376 1207921 EL ORCHE Soufiane Amphi Abou El Abbass Essabti 378 Reportée 1219707 EL OUAHABI Salwa Amphi Abou El Abbass Essabti 380 Reportée 1107095 EL OUAHHABI Said Amphi Abou El Abbass Essabti 382 1202291 EL OUAHI Hamza Amphi Abou El Abbass Essabti 384 Reportée Matière1: Notions fondamentales de Droit public Matière2: Pouvoir et autorité en Islam 20/46
  • 71.
    Filière: Droit arabe Facultédes sciences juridiques et Economiques. Marrakech N° Apogée Nom Prénom Local d'examen N° d'examen Matière1 Matière2 Université Cadi Ayyad PV de surveillance: Session de rattrapage Module: Introduction au Droit Public 2012-2013 Semestre1 (nouveau système) 1220941 EL OUAHMANI EL OUANNAT Amphi Abou El Abbass Essabti 386 Reportée 1208944 EL OUARAT Raja Amphi Abou El Abbass Essabti 388 Reportée 1219774 EL OUARDI FANIDA Amphi Abou El Abbass Essabti 390 Reportée Matière1: Notions fondamentales de Droit public Matière2: Pouvoir et autorité en Islam 21/46
  • 72.
    Filière: Droit arabe Facultédes sciences juridiques et Economiques. Marrakech N° Apogée Nom Prénom Local d'examen N° d'examen Matière1 Matière2 Université Cadi Ayyad PV de surveillance: Session de rattrapage Module: Introduction au Droit Public 2012-2013 Semestre1 (nouveau système) 1107995 EL OUARDI Hanane Amphi Imam Malik 582 Reportée 1203135 EL OUARGA Younes Amphi Imam Malik 584 Reportée 1220880 EL OUARITI RACHID Amphi Imam Malik 586 1201200 EL OUATIK Rachid Amphi Imam Malik 588 1217548 EL OURES ABDELHAK Amphi Imam Malik 590 1202229 EL QARBALI Hassan Amphi Imam Malik 592 1202827 EL QASEMY Mohsin Amphi Imam Malik 594 Reportée 1211206 EL QAZOUINI Houda Amphi Imam Malik 596 1201226 EL QORAYCHY Noura Amphi Imam Malik 598 Reportée 1202219 EL QORI Mohammed Amphi Imam Malik 600 Reportée 1210326 EL RHAZI Hanan Amphi Imam Malik 602 1211124 EL RHAZLAOUI Zineb Amphi Imam Malik 604 Reportée 1203347 EL RHOURBA Badreddine Amphi Imam Malik 606 1204913 EL RHOURBA Khalid Amphi Imam Malik 608 1204957 EL WARZAZI Sabah Amphi Imam Malik 610 Reportée 1204630 EL YAQOUTY Ghita Amphi Imam Malik 612 Reportée 1204106 EL YOUSSOUFI Fouzia Amphi Imam Malik 614 Reportée 1203561 EL YOUSSOUFI Halima Amphi Imam Malik 616 Reportée 1201576 ELAABBADI Mustapha Amphi Imam Malik 618 Reportée 1111119 ELAALLAOUI Imane Amphi Imam Malik 620 1201650 ELAAYNOUSS Rachid Amphi Imam Malik 622 1106482 ELABBOUCHI Brahim Amphi Imam Malik 624 Reportée 1201392 ELABSSANI Amin Amphi Imam Malik 626 Reportée 1100423 ELABYAD Hasna Amphi Imam Malik 628 Reportée 1220054 ELAICH Halima Amphi Imam Malik 630 1106998 ELAKKAD Abdelhakim Amphi Imam Malik 632 Reportée 1210902 ELALAOUI Abdelkarim Amphi Imam Malik 634 Reportée 1219874 ELALAOUI LASMAILI Hajar Amphi Imam Malik 636 1103894 ELALLAOUI Noura Amphi Imam Malik 638 Reportée 1203201 ELALOUANI Hajar Amphi Imam Malik 640 1204980 ELALY Hassane Amphi Imam Malik 642 1201142 EL-AMMARI Mohamed Amphi Imam Malik 644 1207705 ELAOMARI Elmehdi Amphi Imam Malik 646 Reportée 1201794 ELAOUAJI Hicham Amphi Imam Malik 648 Reportée 1208658 ELARGANE Hamza Amphi Imam Malik 650 1004546 ELASRI MOHAMED Amphi Imam Malik 652 Reportée 1201364 ELATTARI Hamza Amphi Imam Malik 654 Reportée 1107542 ELAZAOUI Laila Amphi Imam Malik 656 1206523 ELBAAZIZI Abdelghani Amphi Imam Malik 658 Reportée 1203873 ELBACHLAOUI KAWTAR Amphi Imam Malik 660 Reportée 1203751 EL-BADAOUI Khaled Amphi Imam Malik 662 1208249 ELBADRA Houda Amphi Imam Malik 664 1211408 ELBAHIRA Brahim Amphi Imam Malik 666 Reportée 1203030 ELBANAN Sofiane Amphi Imam Malik 668 Reportée 1109768 ELBANNAOUY Lhoucine Amphi Imam Malik 670 1210291 ELBARI Fatima Amphi Imam Malik 672 Reportée Matière1: Notions fondamentales de Droit public Matière2: Pouvoir et autorité en Islam 22/46
  • 73.
    Filière: Droit arabe Facultédes sciences juridiques et Economiques. Marrakech N° Apogée Nom Prénom Local d'examen N° d'examen Matière1 Matière2 Université Cadi Ayyad PV de surveillance: Session de rattrapage Module: Introduction au Droit Public 2012-2013 Semestre1 (nouveau système) 1005644 ELBARIKI AHMED Amphi Imam Malik 674 Reportée 1203073 ELBARKAOUI Ismail Amphi Imam Malik 676 Reportée 1210250 ELBARNOUSSI Noura Amphi Imam Malik 678 Reportée 1219430 ELBAZ SIHAM Amphi Imam Malik 680 Reportée 1203848 ELBAZOUNI Khalid Amphi Imam Malik 682 1106630 ELBELDI Iliasse Amphi Imam Malik 684 Reportée 1100757 ELBKHATI Imad Amphi Imam Malik 686 Reportée 1001240 ELBOUAICHI ISMAIL Amphi Imam Malik 688 Reportée 1201041 ELBOUDALI Yassine Amphi Imam Malik 690 1204906 ELBOUHDOUDI Mohammed Amphi Imam Malik 692 1202062 ELFAKIR ABDELJALIL Amphi Imam Malik 694 Reportée 1102027 ELFATHI Abderrahim Amphi Imam Malik 696 Reportée 1203922 ELFATHI Charaf Amphi Imam Malik 698 1202149 ELFATIHI Radouan Amphi Imam Malik 700 1219544 ELGARBA Fatimezzahrae Amphi Imam Malik 702 1220927 ELGARD HAJAR Amphi Imam Malik 704 1004322 ELGHAMRI ABDESLAM Amphi Imam Malik 706 Reportée 1107729 EL-GHAZELY Bouziyane Amphi Imam Malik 708 Reportée 1203234 ELHACHTAR Rachid Amphi Imam Malik 710 1005193 ELHADDAD YASSINE Amphi Imam Malik 712 Reportée 1203895 ELHAFYANI Rahhal Amphi Imam Malik 714 Reportée 1202730 ELHAJAJI Hassan Amphi Imam Malik 716 1115647 ELHAMEIM OMER Amphi Imam Malik 718 1113826 EL-HAMEL HALIMA Amphi Imam Malik 720 Reportée 9292680 ELHAMEL RACHID Amphi Imam Malik 722 1203071 ELHAMIDI Rida Amphi Imam Malik 724 1210266 ELHAMZAOUI Mareym Amphi Imam Malik 726 1205173 ELHAOUASSI Samya Amphi Imam Malik 728 1207223 ELHARAS Mouhssine Amphi Imam Malik 730 1211081 ELHASSANY Somayya Amphi Imam Malik 732 1201212 ELHASSARI Zoheir Amphi Imam Malik 734 Reportée 1220307 ELHOUST Karima Amphi Imam Malik 736 1203276 EL-IBRAHYMY Latifa Amphi Imam Malik 738 1202107 ELIDRISSI Mourad Amphi Imam Malik 740 Reportée 1211296 ELIDRISSI DAFALI ABDENACER Amphi Imam Malik 742 1205646 EL-JABIRY Redouane Amphi Imam Malik 744 1219747 EL-JAKANI HANA Amphi Imam Malik 746 Reportée 1201773 ELJAKANI Toufiq Amphi Imam Malik 748 Reportée 1218997 ELJJABRI Abdelfatah Amphi Imam Malik 750 1203041 ELKABOUS Ismail Amphi Imam Malik 752 1216695 ELKABRITI Meriem Amphi Imam Malik 754 1204011 ELKADRI Rabab Amphi Imam Malik 756 1219652 ELKAFI NADIA Amphi Imam Malik 758 1208628 ELKAFRAOUI Najia Amphi Imam Malik 760 Reportée 1210738 ELKAYROUH Brahim Amphi Imam Malik 762 Reportée 1209190 ELKENTI Ismail Amphi Imam Malik 764 Reportée Matière1: Notions fondamentales de Droit public Matière2: Pouvoir et autorité en Islam 23/46
  • 74.
    Filière: Droit arabe Facultédes sciences juridiques et Economiques. Marrakech N° Apogée Nom Prénom Local d'examen N° d'examen Matière1 Matière2 Université Cadi Ayyad PV de surveillance: Session de rattrapage Module: Introduction au Droit Public 2012-2013 Semestre1 (nouveau système) 1113461 ELKHARTA Redouane Amphi Imam Malik 766 1204853 ELKISSAI Hasnae Amphi Imam Malik 768 Reportée 1000710 ELKRAYFI NOUR EDDINE Amphi Imam Malik 770 1201305 ELLAOU Lamnia Amphi Imam Malik 772 Reportée 1219625 ELLEMYSY Chadia Amphi Imam Malik 774 Reportée 1204166 ELMAHJOUBI Lamia Amphi Imam Malik 776 1201601 ELMAJDOUBI Radouane Amphi Imam Malik 778 1209761 ELMALATI Said Amphi Imam Malik 780 1208104 ELMANSOURI Abderrahim Amphi Imam Malik 782 1216665 ELMANSOURI Sara Amphi Imam Malik 784 Reportée 1009442 ELMENNOUAR RABIE Amphi Imam Malik 786 Reportée 1219733 ELMEZOUARI Abderrahman Amphi Imam Malik 788 Reportée 1100617 ELMEZOUARI Elyas Amphi Imam Malik 790 Reportée 1201015 ELMIKH Mohamed Amphi Imam Malik 792 1205212 ELMILOUAY Houria Amphi Imam Malik 794 Reportée 1201204 ELMONTASER Laila Amphi Imam Malik 796 1203946 ELMOUADDINE Elhassan Amphi Imam Malik 798 Reportée 1201317 ELMOURABIT SOUFIANE Amphi Imam Malik 800 Reportée 1201751 ELMOUSSAOUI Abdessamad Amphi Imam Malik 802 1204030 EL-OMARI Leila Amphi Imam Malik 804 Reportée 1209087 ELOUAABANI Yassine Amphi Imam Malik 806 Reportée 1209352 ELOUAHRANI Sanae Amphi Imam Malik 808 Reportée 1220784 EL-OUALI MOHA Amphi Imam Malik 810 Reportée 1208507 ELOUALIDI Soaad Amphi Imam Malik 812 Reportée 1210275 ELOUARANI Abdelahak Amphi Imam Malik 814 1210027 ELOUARDI MERYEM Amphi Imam Malik 816 Reportée 1110868 ELOUASSI Bouchra Amphi Imam Malik 818 Reportée 1114646 EL-OUATQI Khaoula Amphi Imam Malik 820 Reportée 1201387 ELQEBAYLY Mina Amphi Imam Malik 822 1102527 ELRHAZWANI Mustapha Amphi Imam Malik 824 Reportée 1209294 ELYAFIY Dounia Amphi Imam Malik 826 1203629 ENNAB Saida Amphi Imam Malik 828 Reportée 1203799 ENNACIRI Faical Amphi Imam Malik 830 Reportée 1105457 ENNACIRI Mohamed Amphi Imam Malik 832 Reportée 1214053 ENNACIRI Naima Amphi Imam Malik 834 1110992 ENNACIRI Rabab Amphi Imam Malik 836 Reportée 1210894 ENNADIFI Kenza Amphi Imam Malik 838 Reportée 1219517 ENNAHDI Khalid Amphi Imam Malik 840 Reportée 1201003 ENNAJMI Ayoub Amphi Imam Malik 842 Reportée 1205255 ENNAKKACH Badr Amphi Imam Malik 844 1205898 ENNAOURI Dounia Amphi Imam Malik 846 1202178 ENNASFI Malika Amphi Imam Malik 848 Reportée 1201075 ENNAZI Wafaa Amphi Imam Malik 850 Reportée 1201385 EN-NEJMAOUI Abdelilah Amphi Imam Malik 852 Reportée 1217503 ENNOUIDRATE MOHAMED LARBI Amphi Imam Malik 854 Reportée 1201330 ERRAGADI Anas Amphi Imam Malik 856 Reportée Matière1: Notions fondamentales de Droit public Matière2: Pouvoir et autorité en Islam 24/46
  • 75.
    Filière: Droit arabe Facultédes sciences juridiques et Economiques. Marrakech N° Apogée Nom Prénom Local d'examen N° d'examen Matière1 Matière2 Université Cadi Ayyad PV de surveillance: Session de rattrapage Module: Introduction au Droit Public 2012-2013 Semestre1 (nouveau système) 1204814 ERRAGUITI Hanan Amphi Imam Malik 858 Reportée 1115791 ERRAHILI Malika Amphi Imam Malik 860 Reportée 1202394 ERRAHMANI Soukaina Amphi Imam Malik 862 Reportée 1220382 ERRAIS Abderrazak Amphi Imam Malik 864 Reportée 1206799 ER-RAMCHANY Rachida Amphi Imam Malik 866 1205697 ER-RAMI Issam Amphi Imam Malik 868 Reportée 1107409 ERRAMI Abdellatif Amphi Imam Malik 870 1202836 ER-REBAA Yassine Amphi Imam Malik 872 Reportée 1108268 ER-RGUI Latifa Amphi Imam Malik 874 1204117 ERRIDA Raja Amphi Imam Malik 876 Reportée 7026950 ERROUBAI YOUSSEF A SAISIR Amphi Imam Malik 878 Reportée 1206417 ES SINNANI Youness Amphi Imam Malik 880 Matière1: Notions fondamentales de Droit public Matière2: Pouvoir et autorité en Islam 25/46
  • 76.
    Filière: Droit arabe Facultédes sciences juridiques et Economiques. Marrakech N° Apogée Nom Prénom Local d'examen N° d'examen Matière1 Matière2 Université Cadi Ayyad PV de surveillance: Session de rattrapage Module: Introduction au Droit Public 2012-2013 Semestre1 (nouveau système) 1205635 ESAHIB Jaouad salle 1 2272 1202254 ESINFI Soufian salle 1 2274 1219634 ESKALLI Abdelatif salle 1 2276 Reportée 1210330 ESSAAFADI Fatima Ezzahra salle 1 2278 Reportée 1219792 ES-SABBAR YOUNES salle 1 2280 Reportée 1202071 ESSABBATI Soumia salle 1 2282 1201254 ESSABHI Bouchra salle 1 2284 1100639 ES-SADEQY Fouad salle 1 2286 1219434 ESSAFI AKHLIFA salle 1 2288 1201088 ESSAHRAOUI Rahhal salle 1 2290 Reportée 1219525 ESSAKOURI HAMID salle 1 2292 Reportée 1216775 ESSALHI Abdelilah salle 1 2294 Reportée 1108296 ES-SANGRI Tarik salle 1 2296 Reportée 1219784 ESSAOUDI Soufiane salle 1 2298 Reportée 1205184 ESSARRAOUI Mohammed salle 1 2300 Reportée 1207986 ESSARRARR Nejma salle 1 2302 1205187 ESSARSAR Wafa salle 1 2304 Reportée 1201363 ESSEHARI Said salle 1 2306 1204082 ESSELLAMI Abdelghani salle 1 2308 6025464 ESSENAK ABDELLAH A SAISIR salle 1 2310 1105468 ESSERAKHI MOHAMED salle 1 2312 1202959 ESSERRAKH Iatimad salle 1 2314 1108465 ESSERSAR Ahmad salle 1 2316 Reportée 1201271 ESSOUAFE Younes salle 1 2318 1214836 ESSOULLAMI Mohamed Rida salle 1 2320 1204672 ETTABAA Khadija salle 1 2322 Reportée 1205125 ET-TAHHANE Lahoucine salle 1 2324 Reportée 1201686 ET-TAHIRI ABDELMOUTTALIB salle 1 2326 Reportée 1203941 ETTAHOUN Naim salle 1 2328 Reportée 1103756 ET-TALBI Wassila salle 1 2330 Reportée 1209275 ETTALIBI Abdelghani salle 1 2332 Reportée 1205146 ETTALIE Marwa salle 1 2334 Reportée 1201992 ET-TAMRY Hajar salle 1 2336 Reportée 1205853 ETTANTANAT Mohamed salle 1 2338 1210182 ET-TAOUAF Najia salle 1 2340 Reportée Matière1: Notions fondamentales de Droit public Matière2: Pouvoir et autorité en Islam 26/46
  • 77.
    Filière: Droit arabe Facultédes sciences juridiques et Economiques. Marrakech N° Apogée Nom Prénom Local d'examen N° d'examen Matière1 Matière2 Université Cadi Ayyad PV de surveillance: Session de rattrapage Module: Introduction au Droit Public 2012-2013 Semestre1 (nouveau système) 1103821 ETTAQY Hicham salle 2 2342 Reportée 1108660 ETTARFASS Mailamnine salle 2 2344 Reportée 1108271 ETTARROU Hicham salle 2 2346 Reportée 1102597 EZ RAIGINATTE Mohamed salle 2 2348 Reportée 1209147 EZ ZAIME FATIMA salle 2 2350 Reportée 1203650 EZ ZARFI Hicham salle 2 2352 1202898 EZERRAF Aziza salle 2 2354 Reportée 1103578 EZNIBER SARA salle 2 2356 Reportée 1207314 EZRIA Ismail salle 2 2358 Reportée 1203661 EZRIBATE Zakariae salle 2 2360 Reportée 1204767 EZZAIGHI Nawal salle 2 2362 Reportée 1115610 EZZAKI Mohcine salle 2 2364 Reportée 1210990 EZZAKRAOUI KHALID salle 2 2366 1205126 EZZAOUIA Oualid salle 2 2368 Reportée 1100654 EZZFIRI Siham salle 2 2370 Reportée 1220348 EZZINE BAIGHIA salle 2 2372 Reportée 1218951 EZZIYADI Ilham salle 2 2374 Matière1: Notions fondamentales de Droit public Matière2: Pouvoir et autorité en Islam 27/46
  • 78.
    Filière: Droit arabe Facultédes sciences juridiques et Economiques. Marrakech N° Apogée Nom Prénom Local d'examen N° d'examen Matière1 Matière2 Université Cadi Ayyad PV de surveillance: Session de rattrapage Module: Introduction au Droit Public 2012-2013 Semestre1 (nouveau système) 1204143 FACHATTI Zakaria Amphi allal El Fassi 392 1204478 FADAD Ghizlane Amphi allal El Fassi 394 1104626 FAGHRI BACHIR Amphi allal El Fassi 396 Reportée 1201130 FAGROUCH Soufiane Amphi allal El Fassi 398 1202126 FAHIM Mohamed Amphi allal El Fassi 400 1209151 FAHIM Rabiaa Amphi allal El Fassi 402 1209044 FAHMI Chouaib Amphi allal El Fassi 404 Reportée 1205912 FAKHOURY El Mokhtar Amphi allal El Fassi 406 1204828 FAKIR Kaoutar Amphi allal El Fassi 408 Reportée 1100337 FALFACH Ettalmidi Amphi allal El Fassi 410 Reportée 1203866 FALOUSSI Youness Amphi allal El Fassi 412 Reportée 1219894 FAQIHI MAJDA Amphi allal El Fassi 414 1203288 FARES Soufyane Amphi allal El Fassi 416 Reportée 1204925 FARHI Abdlbarr Amphi allal El Fassi 418 Reportée 1205186 FARIS Hasnaa Amphi allal El Fassi 420 1201248 FARNOUSSE Mounia Amphi allal El Fassi 422 1211164 FATTOUKH Hind Amphi allal El Fassi 424 Reportée 1203306 FERHAN Hamid Amphi allal El Fassi 426 1203634 FIHAM Salwa Amphi allal El Fassi 428 1103052 FIKRI EL MEHDI Amphi allal El Fassi 430 1204410 FILALI Mohamed Amphi allal El Fassi 432 Reportée 1201569 FNIDOU MOHAMED Amphi allal El Fassi 434 Reportée 1204889 FOUNDOU Brahim Amphi allal El Fassi 436 1203815 FOUNTI Abderrafik Amphi allal El Fassi 438 Reportée 1203919 GARICH Ramzi Amphi allal El Fassi 440 Reportée 1201783 GASMI Soumia Amphi allal El Fassi 442 Reportée 1220052 GASMILI Mohamed Amphi allal El Fassi 444 Reportée 1205202 GHALBANE Mohamed Amphi allal El Fassi 446 Reportée 1202509 GHALMI Intissar Amphi allal El Fassi 448 1201214 GHANEM Badr Amphi allal El Fassi 450 Reportée 1219441 GHANIM Hamza Amphi allal El Fassi 452 1202927 GHARIB Abdelmoughit Amphi allal El Fassi 454 1209585 GHAZAL Yassine Amphi allal El Fassi 456 Reportée 1210879 GHIAB Asma Amphi allal El Fassi 458 Reportée 1110789 GHOULAM Kamal Amphi allal El Fassi 460 Reportée 1217554 GOUBRAIM ISSAM Amphi allal El Fassi 462 1202203 GOUCHGUE Kamal Amphi allal El Fassi 464 1111685 GOUGOU Yassin Amphi allal El Fassi 466 Reportée 1100775 GOUIRIR Mhamed Amphi allal El Fassi 468 Reportée 1210571 GOUIRIR Najem Amphi allal El Fassi 470 1209527 GOUNAINE Btissam Amphi allal El Fassi 472 1219632 GOUZDINE Soukaina Amphi allal El Fassi 474 Reportée 1201322 GRIDI Rachid Amphi allal El Fassi 476 1204044 GUECHAIRI Yassine Amphi allal El Fassi 478 1201665 GUELLI Redouane Amphi allal El Fassi 480 Reportée 1111067 GUIDAM Abdelhakim Amphi allal El Fassi 482 Matière1: Notions fondamentales de Droit public Matière2: Pouvoir et autorité en Islam 28/46
  • 79.
    Filière: Droit arabe Facultédes sciences juridiques et Economiques. Marrakech N° Apogée Nom Prénom Local d'examen N° d'examen Matière1 Matière2 Université Cadi Ayyad PV de surveillance: Session de rattrapage Module: Introduction au Droit Public 2012-2013 Semestre1 (nouveau système) 1108503 GUOUAYCH Abdelali Amphi allal El Fassi 484 Reportée 1219291 GZOULI Youssef Amphi allal El Fassi 486 Reportée 1203898 HABACHE Jihad Amphi allal El Fassi 488 Reportée 1201174 HABBOUCH Soufia Amphi allal El Fassi 490 Reportée 1203688 HACHIMI Mohamed Amphi allal El Fassi 492 Reportée 1202791 HACHIMI Monir Amphi allal El Fassi 494 Reportée 1202124 HADDI Maeleinine Amphi allal El Fassi 496 Reportée 1203128 HADDOU Anass Amphi allal El Fassi 498 Reportée 1202202 HADDOUCH Hichame Amphi allal El Fassi 500 Reportée 1112014 HAFIR Mustapha Amphi allal El Fassi 502 Reportée 1203977 HAGGAN Raihane Amphi allal El Fassi 504 Reportée 1102028 HAIDA Hicham Amphi allal El Fassi 506 1212489 HAIDANE Mohamed Yeslem Amphi allal El Fassi 508 Reportée 1219649 HAISSOUNE Mahmoud Amphi allal El Fassi 510 1216749 HAJAJ YASSINE Amphi allal El Fassi 512 Reportée 1201949 HAKIM Ayoub Amphi allal El Fassi 514 Reportée 1204531 HALLAB Abdellah Amphi allal El Fassi 516 Reportée 1204412 HALLI Monir Amphi allal El Fassi 518 Reportée 1208760 HALLOUTA El Mahdi Amphi allal El Fassi 520 Reportée 1220989 HALOUS SI MOHAMED Amphi allal El Fassi 522 1219554 HAMAMA Sara Amphi allal El Fassi 524 Reportée 1202316 HAMDAD Karima Amphi allal El Fassi 526 1004727 HAMMADI MOHAMMED Amphi allal El Fassi 528 Reportée 1201146 HAMMI Mustapha Amphi allal El Fassi 530 1203998 HAMMIM Hicham Amphi allal El Fassi 532 Reportée 1205678 HAMOUDAT Mohamed Amphi allal El Fassi 534 Reportée 1204036 HAND Soukaina Amphi allal El Fassi 536 Reportée 1209108 HANTOUM Hamid Amphi allal El Fassi 538 Reportée 1111076 HANYN Abdelkarim Amphi allal El Fassi 540 5006264 HARAKATI BENNACEUR Amphi allal El Fassi 542 1209463 HARCHAOUI Ismail Amphi allal El Fassi 544 Reportée 1204121 HARGUI Fatima Amphi allal El Fassi 546 Reportée 1100476 HAROUAK HOUDA Amphi allal El Fassi 548 Reportée 1106503 HAROUK Abdellatif Amphi allal El Fassi 550 Reportée 1114493 HARTFI HASNA Amphi allal El Fassi 552 1216389 HASSANA Aicha Amphi allal El Fassi 554 1219508 HASSANI El Habib Amphi allal El Fassi 556 Reportée 1205616 HASSAR Ayoub Amphi allal El Fassi 558 Reportée 1201213 HASYN Essaid Amphi allal El Fassi 560 Reportée 1201315 HCINE Karam-eddine Amphi allal El Fassi 562 Reportée 1219906 HDADOU AZIA Amphi allal El Fassi 564 Reportée 1115784 HILMI Meryem Amphi allal El Fassi 566 Reportée 1202904 HJAJI Azzedine Amphi allal El Fassi 568 Reportée 1205072 HMAYDANE Halima Amphi allal El Fassi 570 Reportée 1208950 HMIDOUCH Ouafa Amphi allal El Fassi 572 1203320 HMIMID ABDELAZIZ Amphi allal El Fassi 574 Reportée Matière1: Notions fondamentales de Droit public Matière2: Pouvoir et autorité en Islam 29/46
  • 80.
    Filière: Droit arabe Facultédes sciences juridiques et Economiques. Marrakech N° Apogée Nom Prénom Local d'examen N° d'examen Matière1 Matière2 Université Cadi Ayyad PV de surveillance: Session de rattrapage Module: Introduction au Droit Public 2012-2013 Semestre1 (nouveau système) 1203239 HNI Mohamed Amphi allal El Fassi 576 1202325 HOULMANE Mohammed Amphi allal El Fassi 578 Reportée 1203031 HOUOUA Abdessadek Amphi allal El Fassi 580 Matière1: Notions fondamentales de Droit public Matière2: Pouvoir et autorité en Islam 30/46
  • 81.
    Filière: Droit arabe Facultédes sciences juridiques et Economiques. Marrakech N° Apogée Nom Prénom Local d'examen N° d'examen Matière1 Matière2 Université Cadi Ayyad PV de surveillance: Session de rattrapage Module: Introduction au Droit Public 2012-2013 Semestre1 (nouveau système) 1206316 HOUOUA Redouane Amphi ibn Rochd 882 1201762 HSSINI Ihsane Amphi ibn Rochd 884 Reportée 1109281 IAAR Soufiane Amphi ibn Rochd 886 1211004 IAAZZA Soukaina Amphi ibn Rochd 888 Reportée 1004120 IBN ELOTHMANI SANA Amphi ibn Rochd 890 Reportée 1216716 IBN RAZZOUQ HANANE Amphi ibn Rochd 892 1106755 IBNOU EL ARAB Jaouad Amphi ibn Rochd 894 Reportée 1202224 IBNOU ZAHER Anas Amphi ibn Rochd 896 Reportée 1104728 ICHOUANE Abdellatif Amphi ibn Rochd 898 Reportée 1219693 ID MESSAOUD Soufiane Amphi ibn Rochd 900 1219575 IDHAKI Saida Amphi ibn Rochd 902 1204882 IDLAHSEN Nadia Amphi ibn Rochd 904 1203313 IDOUAKASS Sana Amphi ibn Rochd 906 1204887 IDYOUSSE Amina Amphi ibn Rochd 908 1202201 IGARDY Abdellah Amphi ibn Rochd 910 Reportée 1111041 IGDEM Aicha Amphi ibn Rochd 912 Reportée 1205216 IGHIL Abdelaaziz Amphi ibn Rochd 914 Reportée 1203369 IGUERGSS Abdelkhalek Amphi ibn Rochd 916 1210954 IHACHKAR Jamal Amphi ibn Rochd 918 Reportée 1209086 IHCHACH Abdeljabbar Amphi ibn Rochd 920 Reportée 1003103 IKRAM YOUSSEF Amphi ibn Rochd 922 Reportée 1209569 IMADIDENE Fatima Zahra Amphi ibn Rochd 924 Reportée 1210306 INJAR Faiza Amphi ibn Rochd 926 Reportée 1205084 ISFAR Khadija Amphi ibn Rochd 928 Reportée 1204045 ITSMAIL RIDDOUANE Amphi ibn Rochd 930 Reportée 1219695 IZIKI ASMAE Amphi ibn Rochd 932 Reportée 1203612 JAA Omar Amphi ibn Rochd 934 Reportée 1112453 JAAFARI Abdelkarim Amphi ibn Rochd 936 Reportée 1216739 JABBOUR Kamal Amphi ibn Rochd 938 Reportée 1203597 JABOUNE EL HOUSSAINE Amphi ibn Rochd 940 1201791 JABRANE Houria Amphi ibn Rochd 942 1204621 JABRANE Noura Amphi ibn Rochd 944 Reportée 1203801 JAD YASSINE Amphi ibn Rochd 946 Reportée 1210829 JAGUIGUIR Faysal Amphi ibn Rochd 948 Reportée 1207058 JAMATTE Mohamed Amphi ibn Rochd 950 1204423 JANADI Hamza Amphi ibn Rochd 952 Reportée 1208487 JANANE Redouane Amphi ibn Rochd 954 Reportée 1201709 JAOUAD Lagribi Amphi ibn Rochd 956 1216312 JAOUHAR Adil Amphi ibn Rochd 958 Reportée 1201132 JARFI Fadila Amphi ibn Rochd 960 1201350 JAROUM Hind Amphi ibn Rochd 962 Reportée 1203222 JARRAF Hicham Amphi ibn Rochd 964 Reportée 1217506 JELOUANE MOUHIEDDINE Amphi ibn Rochd 966 Reportée 1108727 JIAD Hassna Amphi ibn Rochd 968 Reportée 1101184 JIDER Chadia Amphi ibn Rochd 970 Reportée 1111293 JNAH Amine Amphi ibn Rochd 972 Reportée Matière1: Notions fondamentales de Droit public Matière2: Pouvoir et autorité en Islam 31/46
  • 82.
    Filière: Droit arabe Facultédes sciences juridiques et Economiques. Marrakech N° Apogée Nom Prénom Local d'examen N° d'examen Matière1 Matière2 Université Cadi Ayyad PV de surveillance: Session de rattrapage Module: Introduction au Droit Public 2012-2013 Semestre1 (nouveau système) 1220413 JNAH DOUNIA Amphi ibn Rochd 974 1203936 JNAHI Lahcen Amphi ibn Rochd 976 Reportée 1210242 KABADI El Hassania Amphi ibn Rochd 978 Reportée 1104158 KABIRI Abdessalam Amphi ibn Rochd 980 Reportée 1209120 KABLAOUI Rahal Amphi ibn Rochd 982 Reportée 1203997 KADDOURI Hind Amphi ibn Rochd 984 Reportée 1219467 KADDOURI SALAH EDDINE Amphi ibn Rochd 986 Reportée 1205201 KAFOUNI Abdellah Amphi ibn Rochd 988 Reportée 1106585 KAIKAT Simohamed Amphi ibn Rochd 990 Reportée 1210111 KAMEL Asma Amphi ibn Rochd 992 Reportée 1219713 KANANE Imane Amphi ibn Rochd 994 Reportée 1114231 KANI Khalid Amphi ibn Rochd 996 1221024 KARA ZAKARIA Amphi ibn Rochd 998 Reportée 1109953 KARAALILE Fatima Zahra Amphi ibn Rochd 1000 Reportée 1203864 KARAM Imad Eddine Amphi ibn Rochd 1002 Reportée 1219746 KARIM BRAHIM Amphi ibn Rochd 1004 Reportée 1208689 KAROUAL Mohammed Amphi ibn Rochd 1006 Reportée 1220245 KASSI Soufiane Amphi ibn Rochd 1008 1219788 KASSIMI Aziz Amphi ibn Rochd 1010 Reportée 1201779 KASSOUANE Asma Amphi ibn Rochd 1012 1205695 KATFI Khadija Amphi ibn Rochd 1014 1108743 KATITI Yassine Amphi ibn Rochd 1016 Reportée 1210169 KHADIR Fatima Amphi ibn Rochd 1018 Reportée 1209871 KHADIR Soufiane Amphi ibn Rochd 1020 1111211 KHAIRAT Bouchra Amphi ibn Rochd 1022 Reportée 1219919 KHAL Othmane Amphi ibn Rochd 1024 Reportée 1217395 KHARBOUCH ABDELILAH Amphi ibn Rochd 1026 Reportée 1210323 KHARDALI Siham Amphi ibn Rochd 1028 Reportée 1111830 KHASMANI Siham Amphi ibn Rochd 1030 1202087 KHATRANI Saida Amphi ibn Rochd 1032 Reportée 1105578 KHITAM Amina Amphi ibn Rochd 1034 Reportée 1201968 KHIZZIOUI Anas Amphi ibn Rochd 1036 Reportée 1205093 KILALI Ahmed Amphi ibn Rochd 1038 1203878 KORRAY Naoual Amphi ibn Rochd 1040 Reportée 1204257 KOUBAIL Abdsamad Amphi ibn Rochd 1042 Reportée 1201151 KOUIDER Latifa Amphi ibn Rochd 1044 Reportée 1201092 KOUISSI Sabrine Amphi ibn Rochd 1046 Reportée 1202147 KOURD SARA Amphi ibn Rochd 1048 Reportée 1105901 KRATES Mehdi El Khir Amphi ibn Rochd 1050 1203317 KSIKES Mohamed Elmehdi Amphi ibn Rochd 1052 Reportée 1107274 KTIT Anas Amphi ibn Rochd 1054 Reportée 9292693 LAABADI LOBNA Amphi ibn Rochd 1056 Reportée 1201283 LAADNANI Asma Amphi ibn Rochd 1058 1202471 LAADYAME Hanane Amphi ibn Rochd 1060 Reportée 1201325 LAAFOU Nabiya Amphi ibn Rochd 1062 Reportée 1209558 LAAGAIED EL HAFAD Amphi ibn Rochd 1064 Reportée Matière1: Notions fondamentales de Droit public Matière2: Pouvoir et autorité en Islam 32/46
  • 83.
    Filière: Droit arabe Facultédes sciences juridiques et Economiques. Marrakech N° Apogée Nom Prénom Local d'examen N° d'examen Matière1 Matière2 Université Cadi Ayyad PV de surveillance: Session de rattrapage Module: Introduction au Droit Public 2012-2013 Semestre1 (nouveau système) 1208639 LAAGUIDI Amal Amphi ibn Rochd 1066 Reportée 1219797 LAANANI Abdekhaq Amphi ibn Rochd 1068 Reportée 1103431 LAAOUINA Sanaa Amphi ibn Rochd 1070 Reportée 1201138 LAASSARI Amal Amphi ibn Rochd 1072 Reportée 1111113 LABANE Youssef Amphi ibn Rochd 1074 Reportée 1208018 LABKAM Hayat Amphi ibn Rochd 1076 Reportée 1209135 LABSIR Abdellah Amphi ibn Rochd 1078 Reportée 1203619 LACHGAR Ayoub Amphi ibn Rochd 1080 Reportée 1003222 LACHGAR AZIZ Amphi ibn Rochd 1082 Reportée 1220084 LACHGAR Younes Amphi ibn Rochd 1084 Reportée 1203621 LACHHAB Mahmoud Amphi ibn Rochd 1086 Reportée 1203300 LACHOIANI Hicham Amphi ibn Rochd 1088 Reportée 1211170 LAFDALI Imane Amphi ibn Rochd 1090 Reportée 1004759 LAFRAM ISMAIL Amphi ibn Rochd 1092 Reportée 1205079 LAGRAIFA MAAELANINE Amphi ibn Rochd 1094 Reportée 1111149 LAGRAOUI Rhizlane Amphi ibn Rochd 1096 Reportée 1219288 LAGSIMI Ilham Amphi ibn Rochd 1098 Reportée 1110746 LAHIALA Abderrazzaq Amphi ibn Rochd 1100 Reportée Matière1: Notions fondamentales de Droit public Matière2: Pouvoir et autorité en Islam 33/46
  • 84.
    Filière: Droit arabe Facultédes sciences juridiques et Economiques. Marrakech N° Apogée Nom Prénom Local d'examen N° d'examen Matière1 Matière2 Université Cadi Ayyad PV de surveillance: Session de rattrapage Module: Introduction au Droit Public 2012-2013 Semestre1 (nouveau système) 1205205 LAHKIM Rachid Amphi mohamed El Fassi 1102 Reportée 1204061 LAHLIOUI Hayam Amphi mohamed El Fassi 1104 Reportée 1205673 LAHMADI Abd Ellah Amphi mohamed El Fassi 1106 Reportée 1106718 LAHMAICH Fadoua Amphi mohamed El Fassi 1108 Reportée 1114577 LAHMDI ABDELGHAFOUR Amphi mohamed El Fassi 1110 1114205 LAHMICHA Ismail Amphi mohamed El Fassi 1112 Reportée 1203119 LAHMINE Amal Amphi mohamed El Fassi 1114 Reportée 1204037 LAHNAOUI Mohamed Amine Amphi mohamed El Fassi 1116 Reportée 1003992 LAHNITI MOHAMED Amphi mohamed El Fassi 1118 Reportée 1205235 LAHOUI Amina Amphi mohamed El Fassi 1120 Reportée 1210309 LAHROUR Kholoud Amphi mohamed El Fassi 1122 Reportée 1201938 LAHSINI EL MUSTAPHA Amphi mohamed El Fassi 1124 Reportée 1219402 LAKHAL EL MUSTAPHA Amphi mohamed El Fassi 1126 Reportée 1205011 LAKHRIB Amina Amphi mohamed El Fassi 1128 1202015 LAKRAD Asma Amphi mohamed El Fassi 1130 Reportée 1201726 LAKRAD Zineb Amphi mohamed El Fassi 1132 Reportée 1003912 LAKRAICHI MARIAM Amphi mohamed El Fassi 1134 Reportée 1101330 LAKTAM Abdel-jalil Amphi mohamed El Fassi 1136 Reportée 1203743 LAKTATNI Fatima Ezzahra Amphi mohamed El Fassi 1138 Reportée 1005894 LALAOUI NADIA Amphi mohamed El Fassi 1140 Reportée 1204898 LAMIRAT Morad Amphi mohamed El Fassi 1142 Reportée 1209960 LAMOUSSI Fatima Ezzahra Amphi mohamed El Fassi 1144 1203330 LAMRIQCHI Mostapha Amphi mohamed El Fassi 1146 1201011 LAMSAIRHRI Mustapha Amphi mohamed El Fassi 1148 1202942 LANSARI Halima Amphi mohamed El Fassi 1150 Reportée 1202487 LAOUIBI Badia Amphi mohamed El Fassi 1152 1216738 LAQRAA Khadija Amphi mohamed El Fassi 1154 1210114 LARCHE Sana Amphi mohamed El Fassi 1156 Reportée 1219984 LASSAL SAID Amphi mohamed El Fassi 1158 Reportée 1204152 LAZMAT Zakaria Amphi mohamed El Fassi 1160 Reportée 1204818 LAZRAF MERYAM Amphi mohamed El Fassi 1162 1202568 LBECRAOUI Ibtissam Amphi mohamed El Fassi 1164 1004764 LECHGUER YASSINE Amphi mohamed El Fassi 1166 Reportée 1210957 LEMZOUGUI Takia Amphi mohamed El Fassi 1168 Reportée 1202764 LFHAMA Ikrame Amphi mohamed El Fassi 1170 1202981 LIBAK Hmadnah Amphi mohamed El Fassi 1172 1219453 LOTFI Fatimezzahra Amphi mohamed El Fassi 1174 1203832 LOUJAB Abdelhafid Amphi mohamed El Fassi 1176 Reportée 1200289 LOULOUD Kamal Amphi mohamed El Fassi 1178 Reportée 1204802 LOUQMANE Houria Amphi mohamed El Fassi 1180 1202724 LOUTFI KHALFAOUI Maroua Amphi mohamed El Fassi 1182 Reportée Matière1: Notions fondamentales de Droit public Matière2: Pouvoir et autorité en Islam 34/46
  • 85.
    Filière: Droit arabe Facultédes sciences juridiques et Economiques. Marrakech N° Apogée Nom Prénom Local d'examen N° d'examen Matière1 Matière2 Université Cadi Ayyad PV de surveillance: Session de rattrapage Module: Introduction au Droit Public 2012-2013 Semestre1 (nouveau système) 1203877 MAAREFT Hind Amphi Cadi Ayyad 2 1202222 MAASSOU Hafsa Amphi Cadi Ayyad 4 1100687 MAATA-ALLAH Baya Amphi Cadi Ayyad 6 Reportée 1219629 MAAZOUZ Noureddine Amphi Cadi Ayyad 8 Reportée 1106839 MABCHOUR Noureddine Amphi Cadi Ayyad 10 Reportée 1204048 MABROUK Lahoucine Amphi Cadi Ayyad 12 1219497 MACHIT ABDELILAH Amphi Cadi Ayyad 14 1204705 MACHMACH Brahim Amphi Cadi Ayyad 16 1203170 MADI Abderrahim Amphi Cadi Ayyad 18 1201633 MADIOUM Fatima-zahra Amphi Cadi Ayyad 20 Reportée 1219939 MAHD Merieme Amphi Cadi Ayyad 22 1005306 MAHFOUD AZIZ Amphi Cadi Ayyad 24 Reportée 1203791 MAHFOUD Fatima Ezzahra Amphi Cadi Ayyad 26 Reportée 1103864 MAJDAR Oufaa Amphi Cadi Ayyad 28 Reportée 1202547 MAKHDAD Asmae Amphi Cadi Ayyad 30 Reportée 1220046 MAKROUCH Khadija Amphi Cadi Ayyad 32 Reportée 1203115 MAKROUM Tarik Amphi Cadi Ayyad 34 1111566 MALAOUI Abdelhakim Amphi Cadi Ayyad 36 Reportée 1209540 MALDOUFI Loubna Amphi Cadi Ayyad 38 1111265 MALIH Jaouad Amphi Cadi Ayyad 40 Reportée 1202389 MALLOUKI Mustapha Amphi Cadi Ayyad 42 1106700 MAMDOUH Radouane Amphi Cadi Ayyad 44 Reportée 1208135 MAMMAS Lahsen Amphi Cadi Ayyad 46 1219593 MANSOUM Hanane Amphi Cadi Ayyad 48 Reportée 1204997 MANSSOURI Najoua Amphi Cadi Ayyad 50 Reportée 1220950 MARKO STEPHEN ALBINO Amphi Cadi Ayyad 52 Reportée 1202619 MARZAK Taha Amphi Cadi Ayyad 54 Reportée 1202800 MASKINE Houda Amphi Cadi Ayyad 56 Reportée 1103709 MASSASSE Abderrazak Amphi Cadi Ayyad 58 1205183 MASTOUR Abdelghani Amphi Cadi Ayyad 60 Reportée 1201400 MASTOUR Abdelhadi Amphi Cadi Ayyad 62 1201710 MAYARA Ahmadnah Amphi Cadi Ayyad 64 1203979 MAYARA Cheikh Amphi Cadi Ayyad 66 1204893 MAYATI Nezha Amphi Cadi Ayyad 68 Reportée 1220688 MAZIOUD HIND Amphi Cadi Ayyad 70 1219769 MAZOUZ KHADIJA Amphi Cadi Ayyad 72 1203985 M'BARK Oubourhail Amphi Cadi Ayyad 74 1220416 M'CHAAR Dounia Amphi Cadi Ayyad 76 Reportée 1201904 MCHILA Youssef Amphi Cadi Ayyad 78 Reportée 1208979 MEGRINI YOUSSEF Amphi Cadi Ayyad 80 Reportée 1219785 MEJAHID Hamid Amphi Cadi Ayyad 82 1219559 MEJDOUBI Hala Amphi Cadi Ayyad 84 1219504 MENNANE Wafaa Amphi Cadi Ayyad 86 Reportée 1210217 MERZAQ ABDELHAFID Amphi Cadi Ayyad 88 1216755 MERZAQ Soukaina Amphi Cadi Ayyad 90 Reportée 1207845 MESKOUR Rajaa Amphi Cadi Ayyad 92 Reportée Matière1: Notions fondamentales de Droit public Matière2: Pouvoir et autorité en Islam 35/46
  • 86.
    Filière: Droit arabe Facultédes sciences juridiques et Economiques. Marrakech N° Apogée Nom Prénom Local d'examen N° d'examen Matière1 Matière2 Université Cadi Ayyad PV de surveillance: Session de rattrapage Module: Introduction au Droit Public 2012-2013 Semestre1 (nouveau système) 1104108 MEZRAQ Abdellatif Amphi Cadi Ayyad 94 Reportée 1202319 M'GHIMIMA ABBA CHEIKH Amphi Cadi Ayyad 96 1209897 M'GHIZZOU BADREDDINE Amphi Cadi Ayyad 98 Reportée 1203600 MGHOUNIA Youssef Amphi Cadi Ayyad 100 Reportée 1219548 MGHYRA Jamila Amphi Cadi Ayyad 102 Reportée 1101497 MGUIL Ghita Amphi Cadi Ayyad 104 Reportée 1205106 MHAH Laaziza Amphi Cadi Ayyad 106 Reportée 1211315 MIFTAH EL KHEIR Fouad Amphi Cadi Ayyad 108 Reportée 1102815 MIHFAD Soukaina Amphi Cadi Ayyad 110 Reportée 1202300 MIRICH Ghizlan Amphi Cadi Ayyad 112 Reportée 1209076 MOHA Nabila Amphi Cadi Ayyad 114 Reportée 1204141 MOKHLIS Ahmed Amphi Cadi Ayyad 116 Reportée 1204589 MONTASSIR Ahmed Amphi Cadi Ayyad 118 Reportée 1209025 MONTASSIR Ahmed Amphi Cadi Ayyad 120 Reportée 1205082 MORABBI AL MAMOUNE Amphi Cadi Ayyad 122 1203247 MORADI Hassan Amphi Cadi Ayyad 124 1202920 MORO Farid Amphi Cadi Ayyad 126 Reportée 1202872 MOSLIH Dounia Amphi Cadi Ayyad 128 1108967 MOUATARIF Mohamed Amphi Cadi Ayyad 130 Reportée 1201337 MOUBTASSIM ABDELLAH Amphi Cadi Ayyad 132 Reportée 1203188 MOUDDEN Youness Amphi Cadi Ayyad 134 1106204 MOUFTAH Moulika Amphi Cadi Ayyad 136 1108119 MOUFTAKHIR ASMA Amphi Cadi Ayyad 138 Reportée 1205800 MOUGHAMI Lamia Amphi Cadi Ayyad 140 1201383 MOUGHFIR Khadija Amphi Cadi Ayyad 142 1219395 MOUHTACH YOUNES Amphi Cadi Ayyad 144 1204091 MOUISSEM Safa Amphi Cadi Ayyad 146 Reportée 1202841 MOUJAN Wasim Amphi Cadi Ayyad 148 Reportée 1204982 MOUJEB Najim Amphi Cadi Ayyad 150 1210783 MOUKZINE Ayoub Amphi Cadi Ayyad 152 1202662 MOUNJI Tarik Amphi Cadi Ayyad 154 Reportée 1217519 MOUNYR ABDELALI Amphi Cadi Ayyad 156 1202642 MOURHRI Mariam Amphi Cadi Ayyad 158 1203207 MOUSSAHIM Youssef Amphi Cadi Ayyad 160 1220705 MOUSSAID Abdelhak Amphi Cadi Ayyad 162 Reportée 1201983 MOUSSAID Kaoutar Amphi Cadi Ayyad 164 1109833 MOUSSAOUI Siham Amphi Cadi Ayyad 166 Reportée 1201729 MOUSTAID Soufiane Amphi Cadi Ayyad 168 1201566 MOUSTALI Soukayna Amphi Cadi Ayyad 170 1201270 MOUTASSADIK Zouhair Amphi Cadi Ayyad 172 Reportée 1219828 MOUTIA Fatima Ezzahra Amphi Cadi Ayyad 174 Reportée 1219427 MOUTTAKI Mohamed-amine Amphi Cadi Ayyad 176 Reportée 1106619 MRIDA Bouchra Amphi Cadi Ayyad 178 Reportée 1204810 M'SOU Mohcine Amphi Cadi Ayyad 180 Reportée 1219665 M'TAR MOHAMMED Amphi Cadi Ayyad 182 Reportée 1110986 MYI Samy Amphi Cadi Ayyad 184 Reportée Matière1: Notions fondamentales de Droit public Matière2: Pouvoir et autorité en Islam 36/46
  • 87.
    Filière: Droit arabe Facultédes sciences juridiques et Economiques. Marrakech N° Apogée Nom Prénom Local d'examen N° d'examen Matière1 Matière2 Université Cadi Ayyad PV de surveillance: Session de rattrapage Module: Introduction au Droit Public 2012-2013 Semestre1 (nouveau système) 1202976 NAANAA MAROUANE Amphi Cadi Ayyad 186 Reportée 1207196 NACHIT Mohamed Amphi Cadi Ayyad 188 Reportée 1205844 NACIRI Youssef Amphi Cadi Ayyad 190 Reportée 1003050 NADIRI HASSAN Amphi Cadi Ayyad 192 Reportée 1205564 NAHKAMI ISMAIL Amphi Cadi Ayyad 194 Reportée 1204971 NAIM Meryem Amphi Cadi Ayyad 196 1203221 NAIMI Azzeddine Amphi Cadi Ayyad 198 Reportée 1201792 NAINIA Ibtissam Amphi Cadi Ayyad 200 Matière1: Notions fondamentales de Droit public Matière2: Pouvoir et autorité en Islam 37/46
  • 88.
    Filière: Droit arabe Facultédes sciences juridiques et Economiques. Marrakech N° Apogée Nom Prénom Local d'examen N° d'examen Matière1 Matière2 Université Cadi Ayyad PV de surveillance: Session de rattrapage Module: Introduction au Droit Public 2012-2013 Semestre1 (nouveau système) 1204653 NAJAY El Mustapha Amphi Abou El Abbass Essebti 202 Reportée 1115559 NAJAY Youness Amphi Abou El Abbass Essebti 204 Reportée 1102002 NAJAY Youssef Amphi Abou El Abbass Essebti 206 Reportée 1205182 NAJI Brahim Amphi Abou El Abbass Essebti 208 Reportée 1203875 NAJI Lahcen Amphi Abou El Abbass Essebti 210 Reportée 1113686 NAJI RACHIDA Amphi Abou El Abbass Essebti 212 1102177 NAJI Younes Amphi Abou El Abbass Essebti 214 1204990 NAJID Nabil Amphi Abou El Abbass Essebti 216 1112361 NAJNAHI Rachid Amphi Abou El Abbass Essebti 218 Reportée 1004305 NAOUALI RADOUANE Amphi Abou El Abbass Essebti 220 Reportée 1205069 NAOUI Khalid Amphi Abou El Abbass Essebti 222 Reportée 1204267 NASSAH Fatima Ezzahra Amphi Abou El Abbass Essebti 224 Reportée 1220103 NATOUR Mohamed Amphi Abou El Abbass Essebti 226 Reportée 1219450 NAZHI SOUKAINA Amphi Abou El Abbass Essebti 228 1201599 NAZIH El Ghalia Amphi Abou El Abbass Essebti 230 Reportée 1112273 NBAHEDDA HAMZA Amphi Abou El Abbass Essebti 232 1219459 NEBBAG HICHAM Amphi Abou El Abbass Essebti 234 Reportée 1201250 NEGUITI Youssef Amphi Abou El Abbass Essebti 236 Reportée 1204053 NESSI Laila Amphi Abou El Abbass Essebti 238 Reportée 1219818 NIAGUI Saadia Amphi Abou El Abbass Essebti 240 Reportée 1217414 NID BALLA NADIA Amphi Abou El Abbass Essebti 242 1110634 NODARI MOHAMMED Amphi Abou El Abbass Essebti 244 1105733 NOUAMANI Yousra Amphi Abou El Abbass Essebti 246 Reportée 1201735 NOUBOUGH Youness Amphi Abou El Abbass Essebti 248 Reportée 1209157 NOUISSI Yassine Amphi Abou El Abbass Essebti 250 Reportée 1205097 NOUNOU Abdelilah Amphi Abou El Abbass Essebti 252 1210965 OBAHA Mohamed Amphi Abou El Abbass Essebti 254 Reportée 1201036 OIOUJA Fatima Amphi Abou El Abbass Essebti 256 1110559 OKAB Ayoub Amphi Abou El Abbass Essebti 258 Reportée 1204749 OKDA Mohammed Amphi Abou El Abbass Essebti 260 Reportée 1110780 OMAD Rachid Amphi Abou El Abbass Essebti 262 Reportée 1219571 OMAIRY Jaouad Amphi Abou El Abbass Essebti 264 Reportée 1109517 OUACHOU Mohamed Amphi Abou El Abbass Essebti 266 Reportée 1203953 OUACHT Saber Amphi Abou El Abbass Essebti 268 Reportée 1111178 OUADAHI Mohamed Amphi Abou El Abbass Essebti 270 Reportée 1206292 OUAGAG Khadija Amphi Abou El Abbass Essebti 272 1202211 OUAGHI Samir Amphi Abou El Abbass Essebti 274 Reportée 1004624 OUAHMANE LAILA Amphi Abou El Abbass Essebti 276 Reportée 1202541 OUAJIK Ahlam Amphi Abou El Abbass Essebti 278 Reportée 1101380 OUAKRIM Ayoub Amphi Abou El Abbass Essebti 280 Reportée 1219286 OUAKRIM Mohamed Amphi Abou El Abbass Essebti 282 Reportée 1103845 OUALD HAMOU ANAS Amphi Abou El Abbass Essebti 284 Reportée 1209710 OUAMOU Hasna Amphi Abou El Abbass Essebti 286 Reportée 1107547 OUARBIA SAMIRA Amphi Abou El Abbass Essebti 288 Reportée 1203981 OUASAID Elghazi Amphi Abou El Abbass Essebti 290 Reportée 1005792 OUASIF MOHAMED Amphi Abou El Abbass Essebti 292 Reportée Matière1: Notions fondamentales de Droit public Matière2: Pouvoir et autorité en Islam 38/46
  • 89.
    Filière: Droit arabe Facultédes sciences juridiques et Economiques. Marrakech N° Apogée Nom Prénom Local d'examen N° d'examen Matière1 Matière2 Université Cadi Ayyad PV de surveillance: Session de rattrapage Module: Introduction au Droit Public 2012-2013 Semestre1 (nouveau système) 1202061 OUASSAL Bahija Amphi Abou El Abbass Essebti 294 Reportée 1210950 OUASSI Mohamed Amphi Abou El Abbass Essebti 296 1219704 OUASSIFA HASNAE Amphi Abou El Abbass Essebti 298 Reportée 1202217 OUATTA Hamza Amphi Abou El Abbass Essebti 300 Reportée 1208317 OUBAIB Hind Amphi Abou El Abbass Essebti 302 Reportée 1207641 OUBALAID Saida Amphi Abou El Abbass Essebti 304 Reportée 1205243 OUBALLA Mounir Amphi Abou El Abbass Essebti 306 Reportée 1208409 OUBARI Abdelhamid Amphi Abou El Abbass Essebti 308 Reportée 1115802 OUBELLAHCEN El Mostafa Amphi Abou El Abbass Essebti 310 1208542 OUBERKNI Khalid Amphi Abou El Abbass Essebti 312 Reportée 1206198 OUBIDA Imane Amphi Abou El Abbass Essebti 314 Reportée 1203124 OUBLA Mustapha Amphi Abou El Abbass Essebti 316 Reportée 1203196 OUBLAL Mohamed Amphi Abou El Abbass Essebti 318 Reportée 1205247 OUBNINTE Mustapha Amphi Abou El Abbass Essebti 320 Reportée 1210656 OUBOUHSS Ilhame Amphi Abou El Abbass Essebti 322 Reportée 1202275 OUBRAM Jaouad Amphi Abou El Abbass Essebti 324 1113470 OUDAOUD ABDELHADI Amphi Abou El Abbass Essebti 326 Reportée 1202081 OUFRIT Hasnae Amphi Abou El Abbass Essebti 328 Reportée 1201063 OUHADDOU Hanane Amphi Abou El Abbass Essebti 330 1204256 OUHAMMOU Mostapha Amphi Abou El Abbass Essebti 332 Reportée 1203727 OUHMAD ABDELLAH Amphi Abou El Abbass Essebti 334 Reportée 1003781 OUHMAD HASNA Amphi Abou El Abbass Essebti 336 Reportée 1000529 OUHOUGUA ABDELLAH Amphi Abou El Abbass Essebti 338 1201056 OUIZRAG Charifa Amphi Abou El Abbass Essebti 340 Reportée 1210444 OUKHOUYA Hanane Amphi Abou El Abbass Essebti 342 Reportée 1205231 OUKHOUYA Youssef Amphi Abou El Abbass Essebti 344 Reportée 1203549 OULAIKA Issmail Amphi Abou El Abbass Essebti 346 Reportée 1205749 OULAMINE Khadija Amphi Abou El Abbass Essebti 348 Reportée 1218840 OULASSRI Aicha Amphi Abou El Abbass Essebti 350 1110915 OULED BABA Charaf Eddine Amphi Abou El Abbass Essebti 352 1107982 OULIDI Es-said Amphi Abou El Abbass Essebti 354 Reportée 1221004 OULMADANI SALIMA Amphi Abou El Abbass Essebti 356 1009895 OULOUGOUM IMANE Amphi Abou El Abbass Essebti 358 Reportée 1202778 OUMAHRIR Noura Amphi Abou El Abbass Essebti 360 1114145 OUMAMA Karima Amphi Abou El Abbass Essebti 362 1209227 OUMESSAOUD Mouhamed Amphi Abou El Abbass Essebti 364 1202503 OURBIAA Mariam Amphi Abou El Abbass Essebti 366 1108263 OUSSALIH Said Amphi Abou El Abbass Essebti 368 Reportée 1203628 OUSSAMA Aimad Amphi Abou El Abbass Essebti 370 Reportée 1204472 OUTAMANT Mohamed Amphi Abou El Abbass Essebti 372 Reportée 1201332 OUTAZZARINE Youssef Amphi Abou El Abbass Essebti 374 Reportée 1108489 OUTHALA Jamal Amphi Abou El Abbass Essebti 376 Reportée 1202431 OUTMAGHOUST Saida Amphi Abou El Abbass Essebti 378 1201012 OUTZINOUT Maryam Amphi Abou El Abbass Essebti 380 Reportée 1204921 OUZIDANE Said Amphi Abou El Abbass Essebti 382 Reportée 1009813 OUZROUR HANANE Amphi Abou El Abbass Essebti 384 Reportée Matière1: Notions fondamentales de Droit public Matière2: Pouvoir et autorité en Islam 39/46
  • 90.
    Filière: Droit arabe Facultédes sciences juridiques et Economiques. Marrakech N° Apogée Nom Prénom Local d'examen N° d'examen Matière1 Matière2 Université Cadi Ayyad PV de surveillance: Session de rattrapage Module: Introduction au Droit Public 2012-2013 Semestre1 (nouveau système) 1115944 QAWASMA MAZEN WALID ABDERRAHAmphi Abou El Abbass Essebti 386 Reportée 1109909 QUITTI Youssef Amphi Abou El Abbass Essebti 388 1107728 RABAH M'birika Amphi Abou El Abbass Essebti 390 Reportée Matière1: Notions fondamentales de Droit public Matière2: Pouvoir et autorité en Islam 40/46
  • 91.
    Filière: Droit arabe Facultédes sciences juridiques et Economiques. Marrakech N° Apogée Nom Prénom Local d'examen N° d'examen Matière1 Matière2 Université Cadi Ayyad PV de surveillance: Session de rattrapage Module: Introduction au Droit Public 2012-2013 Semestre1 (nouveau système) 1107673 RABAH Youssef Amphi Imam Malik 582 Reportée 1204939 RABICHI Kamal Amphi Imam Malik 584 Reportée 1102399 RABIE Youssef Amphi Imam Malik 586 Reportée 1109112 RACHDAOUI Abdellah Amphi Imam Malik 588 1204180 RACHID Ayada Amphi Imam Malik 590 1202332 RACHYDY Ali Amphi Imam Malik 592 1218799 RADAN HASSAN Amphi Imam Malik 594 Reportée 1104982 RADI Naim Moubarik Amphi Imam Malik 596 Reportée 1220924 RADOUANE RACHID Amphi Imam Malik 598 1109583 RAFIA El Mehdi Amphi Imam Malik 600 Reportée 1201598 RAFIK Malik Amphi Imam Malik 602 Reportée 1210669 RAHHOU Soukaina Amphi Imam Malik 604 1114544 RAHILI ABDALLAH Amphi Imam Malik 606 Reportée 1112615 RAHLANE Khadija Amphi Imam Malik 608 Reportée 1204363 RAHMAT KHADIJA Amphi Imam Malik 610 Reportée 1103224 RAJI Mohamed Amphi Imam Malik 612 Reportée 1202844 RAKAS Rajae Amphi Imam Malik 614 1107719 RAMI Abdelmonaime Amphi Imam Malik 616 Reportée 1201016 RAMI Soufiane Amphi Imam Malik 618 Reportée 1219789 RAZIQI Youssef Amphi Imam Malik 620 Reportée 1201140 RAZZOUQ Omar Amphi Imam Malik 622 Reportée 1219551 REMCH Abdelhak Amphi Imam Malik 624 Reportée 1216338 RGUIBI Abdelouahed Amphi Imam Malik 626 1203060 RGUIOUEG Chama Amphi Imam Malik 628 1219394 RHALIMI KHALID Amphi Imam Malik 630 Reportée 1203959 RHALMI Mohcine Amphi Imam Malik 632 1203759 RHARIB Abdelillah Amphi Imam Malik 634 Reportée 1219557 RHAZAL Amina Amphi Imam Malik 636 Reportée 1203219 RHENJA Mohamed Amphi Imam Malik 638 Reportée 1220418 RIAD Abdelghani Amphi Imam Malik 640 1108042 RIADI Hanane Amphi Imam Malik 642 Reportée 1219058 RIDOIN Mourad Amphi Imam Malik 644 Reportée 1201766 RIZKI Mohamed Amphi Imam Malik 646 Reportée 1201374 RJIJ Jaouad Amphi Imam Malik 648 1203290 RMITI Ghizlan Amphi Imam Malik 650 1109577 ROUGGANY Mehdi Amphi Imam Malik 652 Reportée 1203109 ROUIBAA Isam Amphi Imam Malik 654 Reportée 1203090 ROUIJAI Sanae Amphi Imam Malik 656 Reportée 1201873 SAADALLAOUI Naji Amphi Imam Malik 658 1202078 SAADOUNI YOUSSEF Amphi Imam Malik 660 1204265 SAB Yassine Amphi Imam Malik 662 Reportée 1204249 SAB Younes Amphi Imam Malik 664 1202980 SABIR Amine Amphi Imam Malik 666 1207760 SABIR Mohammed Amphi Imam Malik 668 1203018 SABIR Youssef Amphi Imam Malik 670 Reportée 1215867 SABOUA Abdelmalik Amphi Imam Malik 672 Reportée Matière1: Notions fondamentales de Droit public Matière2: Pouvoir et autorité en Islam 41/46
  • 92.
    Filière: Droit arabe Facultédes sciences juridiques et Economiques. Marrakech N° Apogée Nom Prénom Local d'examen N° d'examen Matière1 Matière2 Université Cadi Ayyad PV de surveillance: Session de rattrapage Module: Introduction au Droit Public 2012-2013 Semestre1 (nouveau système) 1205114 SABRANE Jamila Amphi Imam Malik 674 Reportée 1206238 SABRI Mohamed Amphi Imam Malik 676 1004745 SABRI MOSTAFA Amphi Imam Malik 678 Reportée 1203671 SADIK Abderrahim Amphi Imam Malik 680 Reportée 1202446 SADIQ Mouna Amphi Imam Malik 682 1109143 SAGOUM Meriem Amphi Imam Malik 684 Reportée 1202897 SAHMOUDA Mouna Amphi Imam Malik 686 1111264 SAID AYOUB Amphi Imam Malik 688 Reportée 1205623 SAIDI Laghdaf Amphi Imam Malik 690 Reportée 1003663 SAKAM NAJAT Amphi Imam Malik 692 1201160 SAKOUM Khadija Amphi Imam Malik 694 Reportée 1107347 SALAM Kaoutar Amphi Imam Malik 696 Reportée 1220291 SALAMI Mohamed Amphi Imam Malik 698 Reportée 1205790 SALIHI Zakaria Amphi Imam Malik 700 Reportée 1219662 SALLAMY Abderrahim Amphi Imam Malik 702 Reportée 1203987 SALMAN Mustapha Amphi Imam Malik 704 1204570 SAMARI Raja Amphi Imam Malik 706 1107189 SAMIH Mohamed Amphi Imam Malik 708 1203687 SAMTI Abdelilah Amphi Imam Malik 710 1202193 SANBATI Radouane Amphi Imam Malik 712 Reportée 1003655 SANJAOUI SOUKAYNA Amphi Imam Malik 714 Reportée 1206613 SANOUBI Khadija Amphi Imam Malik 716 Reportée 1203853 SAOUIBA Jaouad Amphi Imam Malik 718 Reportée 1219801 SARKOUH Soukaina Amphi Imam Malik 720 1204897 SARNANE Asma Amphi Imam Malik 722 1212254 SARSARI Charifa Amphi Imam Malik 724 1202347 SAYA Imane Amphi Imam Malik 726 Reportée 1204739 SAYLLAL Fatiha Amphi Imam Malik 728 1210328 SBIK Abdelaali Amphi Imam Malik 730 Reportée 1106944 SEGHIR Othmane Amphi Imam Malik 732 1203257 SELJAOUI Achraf Amphi Imam Malik 734 1219563 SEMLALI Abdellatif Amphi Imam Malik 736 Reportée 1202227 SERRAOUI Ahmed Amphi Imam Malik 738 Reportée 1201294 SETTANI Mohamed Amine Amphi Imam Malik 740 1202785 SID ZAINE Mohamed Ali Amphi Imam Malik 742 Reportée 1201367 SIMAMRI Hasna Amphi Imam Malik 744 1110502 SIRROU Abdelwahed Amphi Imam Malik 746 Reportée 1211251 SLIMANI Ahmed Amine Amphi Imam Malik 748 Reportée 1202441 SMAYTI Fatima Ezzahra Amphi Imam Malik 750 Reportée 1210782 SNAIBA Khadija Amphi Imam Malik 752 Reportée 1202979 SOROUR Abderrahim Amphi Imam Malik 754 Reportée 1102228 SOUABLI Ismail Amphi Imam Malik 756 Reportée 1204608 SOUALEM Abdelhadi Amphi Imam Malik 758 Reportée 1104202 SOUDANI Abdelfattah Amphi Imam Malik 760 Reportée 1201747 SOUDI Ayoub Amphi Imam Malik 762 1219773 SOUFANE Imad Amphi Imam Malik 764 Matière1: Notions fondamentales de Droit public Matière2: Pouvoir et autorité en Islam 42/46
  • 93.
    Filière: Droit arabe Facultédes sciences juridiques et Economiques. Marrakech N° Apogée Nom Prénom Local d'examen N° d'examen Matière1 Matière2 Université Cadi Ayyad PV de surveillance: Session de rattrapage Module: Introduction au Droit Public 2012-2013 Semestre1 (nouveau système) 1107776 SOUHAL Soufiane Amphi Imam Malik 766 Reportée 1202434 SOUHAYLE Mina Amphi Imam Malik 768 Reportée 1203230 SOUIFER Abdelilah Amphi Imam Malik 770 Reportée 1207634 SOUIYEH Mohamed Amphi Imam Malik 772 1009003 SOUMBATI HASNA Amphi Imam Malik 774 Reportée 1210484 SPAISSI Fatiha Amphi Imam Malik 776 Reportée 1207836 SRAIDI Saida Amphi Imam Malik 778 Reportée 1203610 TABAANDOUST Abdellah Amphi Imam Malik 780 Reportée 1111298 TABIIY Mohamed Amine Amphi Imam Malik 782 Reportée 1201169 TACHARET Brahim Amphi Imam Malik 784 Reportée 1205884 TAGHZOUT Mohamed Amphi Imam Malik 786 Reportée 1114319 TAGUENITI Soumia Amphi Imam Malik 788 Reportée 1219597 TAHA Youssef Amphi Imam Malik 790 Reportée 1219619 TAHDAOUI Halima Amphi Imam Malik 792 Reportée 1111100 TAHDAOUI Rachid Amphi Imam Malik 794 Reportée 1108253 TAHIN Kamal Amphi Imam Malik 796 Reportée 1101142 TAHIRI Abderrahim Amphi Imam Malik 798 Reportée 1219811 TAHIRI Nadia Amphi Imam Malik 800 Reportée 1203344 TAHOUR BRAHIM Amphi Imam Malik 802 Reportée 1004293 TAHOUR HAMID Amphi Imam Malik 804 Reportée 1209169 TAHRI Mohamed Amphi Imam Malik 806 1114261 TAIK Fatima Amphi Imam Malik 808 Reportée 1204345 TAISSIR Yassine Amphi Imam Malik 810 Reportée 1219362 TAKNY Mariem Amphi Imam Malik 812 Reportée 1101006 TALAT Abde Llatif Amphi Imam Malik 814 Reportée 1202136 TALBI Mohammed Amphi Imam Malik 816 Reportée 1211297 TALIBI Yassine Amphi Imam Malik 818 1202962 TALJAOUI Ez-zahia Amphi Imam Malik 820 Reportée 1219815 TAMANE NADIA Amphi Imam Malik 822 1201100 TAMI Hnia Amphi Imam Malik 824 1203846 TANDOUFT Hicham Amphi Imam Malik 826 1203095 TANGI Mohamed Amphi Imam Malik 828 1106742 TAOUBANE Fatima Zahra Amphi Imam Malik 830 Reportée 1219783 TAOUMI Abdllatif Amphi Imam Malik 832 1201606 TAOUMI Bachir Amphi Imam Malik 834 1203783 TAOUSSI KAMAL Amphi Imam Malik 836 1103834 TAOUSSI SABAH Amphi Imam Malik 838 1203904 TAOUSSI Siham Amphi Imam Malik 840 Reportée 1205845 TARBAOUI Aziza Amphi Imam Malik 842 Reportée 1220227 TARIB Abdessamia Amphi Imam Malik 844 Reportée 1202595 TARIK Sana Amphi Imam Malik 846 1219726 TASAA Elhabib Amphi Imam Malik 848 Reportée 1204832 TEBJIOU Fahd Amphi Imam Malik 850 1208829 TEKSAOUI Zineb Amphi Imam Malik 852 1219803 TELILY Ahmed Amphi Imam Malik 854 Reportée 1219757 TETBAT Wahiba Amphi Imam Malik 856 Reportée Matière1: Notions fondamentales de Droit public Matière2: Pouvoir et autorité en Islam 43/46
  • 94.
    Filière: Droit arabe Facultédes sciences juridiques et Economiques. Marrakech N° Apogée Nom Prénom Local d'examen N° d'examen Matière1 Matière2 Université Cadi Ayyad PV de surveillance: Session de rattrapage Module: Introduction au Droit Public 2012-2013 Semestre1 (nouveau système) 1201627 THABIT Soumia Amphi Imam Malik 858 Reportée 1006008 THAMIR ZAHRA Amphi Imam Malik 860 Reportée 1110242 THOUKI Souad Amphi Imam Malik 862 Reportée 1219465 TIFINZI Fatiha Amphi Imam Malik 864 Reportée 1105907 TIGHAZI Abdlkarim Amphi Imam Malik 866 1211311 TIGHAZOUI Walid Amphi Imam Malik 868 1202167 TIR Fatima Amphi Imam Malik 870 Reportée 1108433 TIRAOUI MARIEM Amphi Imam Malik 872 Reportée 1202567 TIZIRT Souaad Amphi Imam Malik 874 Reportée 1108840 TOUAHRA Adil Amphi Imam Malik 876 Reportée 1204380 TOUBANI EL ALAMI Amphi Imam Malik 878 1202029 TOUDAMRINI Elalami Amphi Imam Malik 880 Reportée Matière1: Notions fondamentales de Droit public Matière2: Pouvoir et autorité en Islam 44/46
  • 95.
    Filière: Droit arabe Facultédes sciences juridiques et Economiques. Marrakech N° Apogée Nom Prénom Local d'examen N° d'examen Matière1 Matière2 Université Cadi Ayyad PV de surveillance: Session de rattrapage Module: Introduction au Droit Public 2012-2013 Semestre1 (nouveau système) 1201715 TOUGUI Kanza salle 1 2272 Reportée 1202153 TOUKBANI Salima salle 1 2274 1201170 TOUMI Ayoub salle 1 2276 Reportée 1201698 TOURAB Abdelkader salle 1 2278 Reportée 1202242 TRKMANI Allal salle 1 2280 1202323 TYAMAZI Aadil salle 1 2282 1202735 WARDI Youssef salle 1 2284 Reportée 1100685 WARHA Jawad salle 1 2286 Reportée 1210683 WISSAL Sellami salle 1 2288 Reportée 1202354 YAFIT Jaouad salle 1 2290 Reportée 1202237 YAHYAOUI Ismail salle 1 2292 1211274 YAHYAOUI Mohamed salle 1 2294 1205056 YAKOUBI Youssef salle 1 2296 1109619 YEKKOUR Hassan salle 1 2298 Reportée 1204826 YOUBI Nazha salle 1 2300 Reportée 1201922 YOUMNI Hasna salle 1 2302 1203989 YOUSSEF Ouballa salle 1 2304 Reportée 1111043 ZAAZAA El Mahdi salle 1 2306 Reportée 1219421 ZAHIR Majda salle 1 2308 Reportée 1209530 ZAHIR Nadia salle 1 2310 1105862 ZAHIR Wafa salle 1 2312 Reportée 1205831 ZAKARIA Maa salle 1 2314 1210311 ZAKI HANANE salle 1 2316 1219808 ZAROUALI Naoil salle 1 2318 Reportée 1201308 ZARROUK JIHADE salle 1 2320 1004762 ZBIDA ISMAIL salle 1 2322 Reportée 1201723 ZEGLALI Adnane salle 1 2324 Reportée 1004505 ZEGRAOUI HASSAN salle 1 2326 Reportée 1210731 ZEHOUA Mohamed salle 1 2328 Reportée 9292803 ZEHOUANI MOHAMED AMINE salle 1 2330 Reportée 1210977 ZEROUAL Haytam salle 1 2332 1107091 ZEROUAL Nabil salle 1 2334 1004161 ZEROUAL SOUFIANE salle 1 2336 Reportée 1101008 ZEROUAL Soufiane salle 1 2338 Reportée 1208480 ZEROUALI Mansour salle 1 2340 Reportée Matière1: Notions fondamentales de Droit public Matière2: Pouvoir et autorité en Islam 45/46
  • 96.
    Filière: Droit arabe Facultédes sciences juridiques et Economiques. Marrakech N° Apogée Nom Prénom Local d'examen N° d'examen Matière1 Matière2 Université Cadi Ayyad PV de surveillance: Session de rattrapage Module: Introduction au Droit Public 2012-2013 Semestre1 (nouveau système) 1201333 ZEROUALI Mohammed salle 2 2342 Reportée 1220045 ZHARI Fatima Ezzhra salle 2 2344 1110749 ZHIRI El Bachir salle 2 2346 Reportée 1220125 ZIATE Mariem salle 2 2348 1220284 ZIDAN Malika salle 2 2350 Reportée 1219002 ZIKRAOUI Hafid salle 2 2352 1204842 ZIOUI Khaoula salle 2 2354 1006121 ZIRHAM MOHAMED salle 2 2356 Reportée 1203729 ZITOUNI Abdelilah salle 2 2358 Reportée 1205582 ZITOUNI FATIMA EZZAHRA salle 2 2360 Reportée 1203765 ZITOUNI Wadia salle 2 2362 1204979 ZOUGGAR Naoual salle 2 2364 1003191 ZOUHAIR FOUAD salle 2 2366 Reportée 1100700 ZOUHOUR Houssam salle 2 2368 1105200 ZOUHRI Jamila salle 2 2370 Reportée 1219536 ZOUIN Abdelghani salle 2 2372 1107165 ZOUITA Oussama salle 2 2374 Reportée 1002298 ZOUZI MOHAMED KHALID salle 2 2376 Reportée 1205070 ZRAIGUINATE El Mahjoub salle 2 2378 1201182 ZRIR Hussein salle 2 2380 Matière1: Notions fondamentales de Droit public Matière2: Pouvoir et autorité en Islam 46/46
  • 97.
    Filière: Droit arabe Facultédes sciences juridiques et Economiques. Marrakech N° Apogée Nom Prénom Local d'examen N° d'examen Matière1 Matière2 1220209 AABA LAILA Amphi Allal El Fassi 392 Reportée 1201975 AABIDA Abdelkrim Amphi Allal El Fassi 394 Reportée 1110320 AACHIRY Souad Amphi Allal El Fassi 396 1219406 AAGUIR NAJIB Amphi Allal El Fassi 398 Reportée 1204214 AAMAR Imane Amphi Allal El Fassi 400 1205092 AAMARA El Mahjoub Amphi Allal El Fassi 402 Reportée 1219954 AAMARA Ghita Amphi Allal El Fassi 404 Reportée 1220408 AAOUA HAKIMA Amphi Allal El Fassi 406 1101522 AARAB Wissal Amphi Allal El Fassi 408 Reportée 1202987 AARIB Hamid Amphi Allal El Fassi 410 Reportée 1206251 AASSAL NOUREDDINE Amphi Allal El Fassi 412 Reportée 1204812 AASSIR Jamila Amphi Allal El Fassi 414 Reportée 1220043 ABADA Islam Amphi Allal El Fassi 416 1110012 ABADI Marouane Amphi Allal El Fassi 418 Reportée 1203693 ABARDOUA Mohamed Amphi Allal El Fassi 420 Université Cadi Ayyad PV de surveillance: Session de rattrapage Module: Introduction au Droit privé 2012-2013 Semestre1 (nouveau système) 1220041 ABARHEGAN Fatimazahra Amphi Allal El Fassi 422 1202353 ABATOUR Zahra Amphi Allal El Fassi 424 Reportée 1202937 ABATOURAB Ahmed Amphi Allal El Fassi 426 1203342 ABBAD Rachid Amphi Allal El Fassi 428 1103018 ABBID Anas Amphi Allal El Fassi 430 Reportée 1204784 ABBOUBI Fatima-ezzahra Amphi Allal El Fassi 432 Reportée 1204731 ABDEDAIM Khadija Amphi Allal El Fassi 434 Reportée 1209939 ABDELHAQ Houssam Amphi Allal El Fassi 436 1201249 ABDELMOULI Youssef Amphi Allal El Fassi 438 1201045 ABDESSAMIA Aicha Amphi Allal El Fassi 440 Reportée 1210862 ABEIDHA Fatma Amphi Allal El Fassi 442 1205064 ABHIHI Yassine Amphi Allal El Fassi 444 Reportée 1201163 ABID ABDETOUAB Amphi Allal El Fassi 446 Reportée 1219533 ABID Izana Amphi Allal El Fassi 448 1204984 ABIDA Abderrahim Amphi Allal El Fassi 450 Reportée 1211220 ABIDAR Abdelkarim Amphi Allal El Fassi 452 Reportée 1202822 ABILILE Abdellah Amphi Allal El Fassi 454 1111268 ABOU EL HAZAIZ Abdeslam Amphi Allal El Fassi 456 1202816 ABOU LAHIA Abderrahim Amphi Allal El Fassi 458 Reportée 1204283 ABOUALI Ahmed Amphi Allal El Fassi 460 Reportée 1114629 ABOUD DOUNIA Amphi Allal El Fassi 462 Reportée 1114492 ABOUD IBTISSAM Amphi Allal El Fassi 464 Reportée 1004198 ABOUDERKA FATIMA ZAHRA Amphi Allal El Fassi 466 Reportée 1207954 ABOUELABBES Hafsa Amphi Allal El Fassi 468 Reportée 1004242 ABOUESSAOUD NOURA Amphi Allal El Fassi 470 Reportée1004242 ABOUESSAOUD NOURA Amphi Allal El Fassi 470 Reportée 1107067 ABOU-HIDA Mina Amphi Allal El Fassi 472 Reportée Matière1: Introduction au Droit positif Matière2: Introduction au Droit musulman 1/68
  • 98.
    Filière: Droit arabe Facultédes sciences juridiques et Economiques. Marrakech N° Apogée Nom Prénom Local d'examen N° d'examen Matière1 Matière2 Université Cadi Ayyad PV de surveillance: Session de rattrapage Module: Introduction au Droit privé 2012-2013 Semestre1 (nouveau système) 1202909 ABOUKIR Hayate Amphi Allal El Fassi 474 Reportée 1201183 ABOULHANA Wahiba Amphi Allal El Fassi 476 Reportée 1209109 ABOULQUASIM Abdelouhed Amphi Allal El Fassi 478 Reportée 1201856 ABOUMADYEN Kamilia Amphi Allal El Fassi 480 1203642 ABOUMAJD Mohamed Zouhair Amphi Allal El Fassi 482 1219612 ABOURAKIS Abdelilah Amphi Allal El Fassi 484 Reportée 1219702 ABOU-SAFA Loubna Amphi Allal El Fassi 486 1201716 ABOUTAHIR Fatima Zahra Amphi Allal El Fassi 488 Reportée 1201767 ABOUTAIB Issam Amphi Allal El Fassi 490 Reportée 1204701 ABOUTALIB Btissam Amphi Allal El Fassi 492 Reportée 1202295 ABOUZID Latifa Amphi Allal El Fassi 494 Reportée 1205061 ABRDJI Fatima Amphi Allal El Fassi 496 Reportée 1209066 ABRQUI Aissam Amphi Allal El Fassi 498 Reportée 1205622 ACHAOUI Elmehdi Amphi Allal El Fassi 500 Reportée 1101715 ACHBAKOU MOHAMED Amphi Allal El Fassi 502 Reportée 1208774 ACHKOUR Anas Amphi Allal El Fassi 504 Reportée 1102755 ACHRAF Ait Boussarhan Amphi Allal El Fassi 506 Reportée 1004921 ACHROUAAT RADOUANE Amphi Allal El Fassi 508 Reportée 1201035 ADALI Abdellatif Amphi Allal El Fassi 510 Reportée 1204507 ADARDOUR Az-eddine Amphi Allal El Fassi 512 Reportée 1218894 ADDADE Chaimae Amphi Allal El Fassi 514 1202972 ADEBBAGH Rabab Amphi Allal El Fassi 516 Reportée 1201658 ADIL Fatima Ezzahra Amphi Allal El Fassi 518 Reportée 1107731 ADLIMI Youness Amphi Allal El Fassi 520 Reportée 1207863 ADOUNI Ibtissam Amphi Allal El Fassi 522 Reportée 1202186 ADRI Younes Amphi Allal El Fassi 524 Reportée 1201903 AFIRRAH Sara Amphi Allal El Fassi 526 1210312 AFKINICH Mariame Amphi Allal El Fassi 528 1000625 AFKIR ABDELMONIM Amphi Allal El Fassi 530 Reportée 1210296 AFKIR Soukaina Amphi Allal El Fassi 532 Reportée 1202281 AFOUCHAL Ousama Amphi Allal El Fassi 534 1105455 AFROUSS Hicham Amphi Allal El Fassi 536 Reportée 1204763 AGDID Meryam Amphi Allal El Fassi 538 1210299 AGDOU MINA Amphi Allal El Fassi 540 Reportée 1201731 AGDOUZ Fatima Ezzahra Amphi Allal El Fassi 542 Reportée 1110887 AGHARNI Taoufiq Amphi Allal El Fassi 544 1208959 AGHOUINITE Zouinouha Amphi Allal El Fassi 546 1205867 AGNAOU Abdelhak Amphi Allal El Fassi 548 1220118 AGOUJIL Kaoutar Amphi Allal El Fassi 550 Reportée 1202833 AGOUZOUR Karima Amphi Allal El Fassi 5521202833 AGOUZOUR Karima Amphi Allal El Fassi 552 1204132 AGRIRRANE OMAR Amphi Allal El Fassi 554 Reportée Matière1: Introduction au Droit positif Matière2: Introduction au Droit musulman 2/68
  • 99.
    Filière: Droit arabe Facultédes sciences juridiques et Economiques. Marrakech N° Apogée Nom Prénom Local d'examen N° d'examen Matière1 Matière2 Université Cadi Ayyad PV de surveillance: Session de rattrapage Module: Introduction au Droit privé 2012-2013 Semestre1 (nouveau système) 1208976 AHAJGOUN Farah Amphi Allal El Fassi 556 1111055 AHAJJAM Aissame Amphi Allal El Fassi 558 Reportée 1104257 AHARABOUS Ismail Amphi Allal El Fassi 560 1205818 AHAYAR Lamia Amphi Allal El Fassi 562 1210315 AHAYK NAAIMA Amphi Allal El Fassi 564 Reportée 1219790 AHEMRI Saloua Amphi Allal El Fassi 566 1201796 AHERDANE Zakaria Amphi Allal El Fassi 568 Reportée 1202104 AHJAIR Rajaa Amphi Allal El Fassi 570 Reportée 1209008 AHL FILALI Maryem Amphi Allal El Fassi 572 1209180 AHL MAYARA HAMDI Amphi Allal El Fassi 574 1202524 AHLIGUINOU Najia Amphi Allal El Fassi 576 1203660 AHMADA Abdellatif Amphi Allal El Fassi 578 Reportée 1202960 AHMIDOUCH Yassine Amphi Allal El Fassi 580 Matière1: Introduction au Droit positif Matière2: Introduction au Droit musulman 3/68
  • 100.
    Filière: Droit arabe Facultédes sciences juridiques et Economiques. Marrakech N° Apogée Nom Prénom Local d'examen N° d'examen Matière1 Matière2 Université Cadi Ayyad PV de surveillance: Session de rattrapage Module: Introduction au Droit privé 2012-2013 Semestre1 (nouveau système) 1211243 AHMIMOU Abdelati Amphi ibn Rochd 882 Reportée 1204712 AHNSAL Salka Amphi Ibn Rochd 884 1202309 AHOUAOUI Nourddine Amphi ibn Rochd 886 1217572 AHRTALOU FATIMA Amphi Ibn Rochd 888 1203233 AIDANE Youssef Amphi ibn Rochd 890 Reportée 1210470 AIDANI Rachida Amphi Ibn Rochd 892 Reportée 1202121 AIKABI Sofian Amphi ibn Rochd 894 Reportée 1201583 AIT AAMIHAMOU Mohamed Amphi Ibn Rochd 896 Reportée 1203354 AIT ABBOU Lahcen Amphi ibn Rochd 898 Reportée 1108711 AIT ABDELLAH Yassine Amphi Ibn Rochd 900 Reportée 1104508 AIT ADDI Abderrahim Amphi ibn Rochd 902 Reportée 1209689 AIT ADDI Fatiha Amphi Ibn Rochd 904 1219837 AIT AHMED Mohamed Amphi ibn Rochd 906 Reportée 1204226 AIT ALI Naima Amphi Ibn Rochd 908 Reportée 1205930 AIT ALI Yassine Amphi ibn Rochd 910 1104396 AIT ALI OUAMER Hamid Amphi Ibn Rochd 912 Reportée 1201327 AIT ALI OUNACER Abdelkabir Amphi ibn Rochd 914 1220895 AIT AMGHAR ABDELLAH Amphi Ibn Rochd 916 Reportée 1203363 AIT ARIBA Hassan Amphi ibn Rochd 918 Reportée 1107988 AIT AYAD Loubna Amphi Ibn Rochd 920 Reportée 1220283 AIT AYATE Mohcine Amphi ibn Rochd 922 Reportée 1203882 AIT BAADDI Hamza Amphi Ibn Rochd 924 1203058 AIT BAKOUCH Oussama Amphi ibn Rochd 926 Reportée 1202857 AIT BALLOUK Morad Amphi Ibn Rochd 928 Reportée 1219721 AIT BATTASS Achraf Amphi ibn Rochd 930 Reportée 1201326 AIT BELKACEM Rachid Amphi Ibn Rochd 932 Reportée 1220425 AIT BELLA ABDELLATIF Amphi ibn Rochd 934 Reportée 1204588 AIT BELLA Mouna Amphi ibn Rochd 936 1216769 AIT BEN ABBOU Hassan Amphi Ibn Rochd 938 Reportée 1211003 AIT BEN AZOUZ Younes Amphi ibn Rochd 940 Reportée 1205856 AIT BEN OUISSADEN Abdelmoumen Amphi Ibn Rochd 942 Reportée 1205880 AIT BEN OUISSADEN Issam Amphi ibn Rochd 944 Reportée 1219468 AIT BENIJJA Abdellah Amphi Ibn Rochd 946 Reportée 1101381 AIT BENSAID Abdelhakim Amphi ibn Rochd 948 Reportée 1201403 AIT BERRAHAL El Hassania Amphi Ibn Rochd 950 Reportée 1205147 AIT BICHKAR ELHASSAN Amphi ibn Rochd 952 Reportée 1203107 AIT BLAL Abdeljabbar Amphi Ibn Rochd 954 Reportée 1202470 AIT BOUAALI Fatima Ezzahra Amphi ibn Rochd 956 Reportée 1219848 AIT BOUBKER YOUSRA Amphi Ibn Rochd 958 Reportée 1204666 AIT BOUDIA Abdelmounaim Amphi ibn Rochd 9601204666 AIT BOUDIA Abdelmounaim Amphi ibn Rochd 960 1201310 AIT BOUHADOU Zineb Amphi Ibn Rochd 962 Reportée Matière1: Introduction au Droit positif Matière2: Introduction au Droit musulman 4/68
  • 101.
    Filière: Droit arabe Facultédes sciences juridiques et Economiques. Marrakech N° Apogée Nom Prénom Local d'examen N° d'examen Matière1 Matière2 Université Cadi Ayyad PV de surveillance: Session de rattrapage Module: Introduction au Droit privé 2012-2013 Semestre1 (nouveau système) 1209267 AIT BOURA Nabila Amphi ibn Rochd 964 1208929 AIT BOURA Zineb Amphi ibn Rochd 966 Reportée 1210316 AIT BRAHIM Lamia Amphi Ibn Rochd 968 1001344 AIT CHAOU MOHAMED Amphi ibn Rochd 970 1216343 AIT CHERIF Abdallah Amphi Ibn Rochd 972 Reportée 1110138 AIT CHETOU TAOUFIK Amphi ibn Rochd 974 Reportée 1206994 AIT DADDA Samir Amphi Ibn Rochd 976 Reportée 1203976 AIT DAGHOUS Badr Amphi ibn Rochd 978 Reportée 1208781 AIT DAOUDI Oussama Amphi Ibn Rochd 980 1220129 AIT DRISS Ismail Amphi ibn Rochd 982 Reportée 1114343 AIT EL HASSAN MERYEM Amphi Ibn Rochd 984 Reportée 1201236 AIT EL KADI Ibtissam Amphi ibn Rochd 986 Reportée 1202720 AIT EL KADI Latifa Amphi Ibn Rochd 988 Reportée 1219955 AIT ELASRI NOUR EDDINE Amphi ibn Rochd 990 Reportée 1201277 AIT ELGHALI Khalid Amphi Ibn Rochd 992 Reportée 1210684 AIT ELGHAZI Najib Amphi ibn Rochd 994 1205566 AIT ELGOUTE Khalid Amphi ibn Rochd 996 Reportée 1209037 AIT ELHAMRI Sofiane Amphi Ibn Rochd 998 1219588 AIT ELHANAFI Sakina Amphi ibn Rochd 1000 Reportée 1220434 AIT ELJADIDA KHADIJA Amphi Ibn Rochd 1002 Reportée 1202570 AIT ELJAMAA Mustapha Amphi ibn Rochd 1004 Reportée 1210445 AIT ELKADI Ibtissam Amphi Ibn Rochd 1006 Reportée 1201252 AIT ELMAALLEM Tariq Amphi ibn Rochd 1008 Reportée 1208681 AIT ERRAJOUL Mohamed Amphi Ibn Rochd 1010 Reportée 1203699 AIT HAMMOU Karim Amphi ibn Rochd 1012 1100267 AIT HAMMOU Mohamed Amphi Ibn Rochd 1014 Reportée 1202767 AIT HMOUCH Jamal Amphi ibn Rochd 1016 1203942 AIT HSAINE Youssef Amphi Ibn Rochd 1018 Reportée 1201918 AIT IDAR Abdel Jalil Amphi ibn Rochd 1020 1113794 AIT KADIR Abdelhadi Amphi Ibn Rochd 1022 Reportée 1107534 AIT KHAYOUSSEF ABDELILAH Amphi ibn Rochd 1024 Reportée 1202435 AIT LAAMIM Ahmed Amphi Ibn Rochd 1026 Reportée 1210422 AIT LAAMIM Jihad Amphi ibn Rochd 1028 Reportée 1210384 AIT LAHBIB Khadija Amphi Ibn Rochd 1030 Reportée 1210463 AIT LAHCEN Latifa Amphi ibn Rochd 1032 Reportée 1207793 AIT LAHCINE Driss Amphi Ibn Rochd 1034 Reportée 1203983 AIT LAHSEN Mustapha Amphi ibn Rochd 1036 1201048 AIT LAHSSEN Jamila Amphi Ibn Rochd 1038 Reportée 1208998 AIT LAMIM Ahmed Amphi ibn Rochd 1040 1003580 AIT LARBI MOHAMED Amphi Ibn Rochd 1042 Reportée1003580 AIT LARBI MOHAMED Amphi Ibn Rochd 1042 Reportée 1219587 AIT LHAJ Idriss Amphi ibn Rochd 1044 Reportée Matière1: Introduction au Droit positif Matière2: Introduction au Droit musulman 5/68
  • 102.
    Filière: Droit arabe Facultédes sciences juridiques et Economiques. Marrakech N° Apogée Nom Prénom Local d'examen N° d'examen Matière1 Matière2 Université Cadi Ayyad PV de surveillance: Session de rattrapage Module: Introduction au Droit privé 2012-2013 Semestre1 (nouveau système) 1202265 AIT LHAJ AHMED Sabir Amphi Ibn Rochd 1046 Reportée 1209566 AIT LHOUSSAIN Soumia Amphi ibn Rochd 1048 Reportée 1201937 AIT MANSOUR Mustapha Amphi Ibn Rochd 1050 1205250 AIT MASAOUD Rachid Amphi ibn Rochd 1052 1111075 AIT MENSOUR Khadija Amphi Ibn Rochd 1054 Reportée 1203113 AIT MENSSOUR Es Said Amphi ibn Rochd 1056 Reportée 1201644 AIT MESSAOUD Ismail Amphi Ibn Rochd 1058 Reportée 1203988 AIT MOUDOUD Badre Amphi ibn Rochd 1060 1219781 AIT MOULAY ELHADJ Abdelmajid Amphi Ibn Rochd 1062 1210630 AIT MOUSSA Yamna Amphi ibn Rochd 1064 1203708 AIT NACER Mustapha Amphi Ibn Rochd 1066 Reportée 1203179 AIT NACEUR Fatima Zahra Amphi ibn Rochd 1068 Reportée 1201139 AIT OUAATICH Khadija Amphi ibn Rochd 1070 Reportée 1211000 AIT OUFELLA Abdelaziz Amphi Ibn Rochd 1072 Reportée 1108128 AIT OUISSI Nouhaila Amphi ibn Rochd 1074 1111720 AIT OUZLMAD Hasna Amphi Ibn Rochd 1076 Reportée 1114384 AIT RAIS Abdelhafid Amphi ibn Rochd 1078 Reportée 1106139 AIT RIAD Nada Amphi Ibn Rochd 1080 1219627 AIT RRAISE Youssef Amphi ibn Rochd 1082 Reportée 1211017 AIT SAID IMANE Amphi Ibn Rochd 1084 Reportée 1205107 AIT SAID Mohamed Amphi ibn Rochd 1086 Reportée 1209158 AIT SALA Abdelkarim Amphi Ibn Rochd 1088 Reportée 1203241 AIT SALM Hajar Amphi ibn Rochd 1090 1205797 AIT SBIHA Nourredine Amphi Ibn Rochd 1092 Reportée 1110827 AIT SI KADDOUR Salma Amphi ibn Rochd 1094 Reportée 1207933 AIT SIDI ABDELOUAHID Ahmed Amphi Ibn Rochd 1096 Reportée 1100610 AIT SIDI OUBRAM Abdlmajid Amphi ibn Rochd 1098 Reportée 1207725 AIT TABLALT Hamid Amphi ibn Rochd 1100 Reportée Matière1: Introduction au Droit positif Matière2: Introduction au Droit musulman 6/68
  • 103.
    Filière: Droit arabe Facultédes sciences juridiques et Economiques. Marrakech N° Apogée Nom Prénom Local d'examen N° d'examen Matière1 Matière2 Université Cadi Ayyad PV de surveillance: Session de rattrapage Module: Introduction au Droit privé 2012-2013 Semestre1 (nouveau système) 1202721 AIT TAHER Fatima Amphi Mohamed El Fassi 1102 Reportée 1203587 AIT TALAB Mohamed Amphi Mohamed El Fassi 1104 Reportée 1204484 AIT TALEB Dounia Amphi Mohamed El Fassi 1106 1219584 AIT TALEB MOSTAPHA Amphi Mohamed El Fassi 1108 Reportée 1211640 AIT TALEB AHMED Khalid Amphi Mohamed El Fassi 1110 Reportée 1216710 AIT TALEB ALI Zineb Amphi Mohamed El Fassi 1112 Reportée 1202235 AIT THAMI HICHAM Amphi Mohamed El Fassi 1114 Reportée 1103175 AIT TIRITE Abdeslam Amphi Mohamed El Fassi 1116 Reportée 1207478 AIT-BARANE El-houssine Amphi Mohamed El Fassi 1118 Reportée 1210594 AITBOUHOU Ahlam Amphi Mohamed El Fassi 1120 1216737 AITELQADI Yassine Amphi Mohamed El Fassi 1122 1106715 AITKHOUYA Hamza Amphi Mohamed El Fassi 1124 Reportée 1101781 AITLHDAR Soufiane Amphi Mohamed El Fassi 1126 Reportée 1208981 AITOURAJDAL Malika Amphi Mohamed El Fassi 1128 Reportée 1202978 AJABBOUNE Latifa Amphi Mohamed El Fassi 1130 1219882 AJALID Said Amphi Mohamed El Fassi 1132 1111053 AJJOULI Mustapha Amphi Mohamed El Fassi 1134 Reportée 1219471 AJNA AOMAR Amphi Mohamed El Fassi 1136 1219440 AJRAFI Youness Amphi Mohamed El Fassi 1138 Reportée 1206810 AKABLI Jamila Amphi Mohamed El Fassi 1140 1201671 AKABLI Majda Amphi Mohamed El Fassi 1142 1209535 AKANTOUR Abdelhafid Amphi Mohamed El Fassi 1144 Reportée 1210825 AKARKOUNE Loubna Amphi Mohamed El Fassi 1146 1111032 AKDID Wissama Amphi Mohamed El Fassi 1148 Reportée 1211293 AKESBI Mehdi Amphi Mohamed El Fassi 1150 1204024 AKHBAR-ZINA Zakaria Amphi Mohamed El Fassi 1152 1205007 AKOUNZED Samia Amphi Mohamed El Fassi 1154 Reportée 1205748 AKOURI Mounia Amphi Mohamed El Fassi 1156 1219472 AKRAM Abderrahim Amphi Mohamed El Fassi 1158 1114295 AKROUCHI MOUHCINE Amphi Mohamed El Fassi 1160 1210030 AKROUD Ikram Amphi Mohamed El Fassi 1162 Reportée 1203962 AKZAIBRA Mohammed Amphi Mohamed El Fassi 1164 Reportée 1204504 AL ALAMI Khadija Amphi Mohamed El Fassi 1166 Reportée 1109624 AL ANSARI Hamza Amphi Mohamed El Fassi 1168 Reportée 1220306 ALAHYANE Abdeljalil Amphi Mohamed El Fassi 1170 Reportée 1201082 ALAHYANE Abdou Amphi Mohamed El Fassi 1172 1109993 ALBOUHALI NADIA Amphi Mohamed El Fassi 1174 Reportée 1220110 ALFATIMI Imad Amphi Mohamed El Fassi 1176 Reportée 1201662 ALHIANE Soufiane Amphi Mohamed El Fassi 1178 Reportée 1210709 ALHYANE Rachida Amphi Mohamed El Fassi 1180 Reportée1210709 ALHYANE Rachida Amphi Mohamed El Fassi 1180 Reportée 1202611 ALI BAIBA Lamina Amphi Mohamed El Fassi 1182 Reportée Matière1: Introduction au Droit positif Matière2: Introduction au Droit musulman 7/68
  • 104.
    Filière: Droit arabe Facultédes sciences juridiques et Economiques. Marrakech N° Apogée Nom Prénom Local d'examen N° d'examen Matière1 Matière2 Université Cadi Ayyad PV de surveillance: Session de rattrapage Module: Introduction au Droit privé 2012-2013 Semestre1 (nouveau système) 1209954 ALIBADI Kouissa Amphi Mohamed El Fassi 1184 Reportée 1101897 ALIOUA Mohamed Amphi Mohamed El Fassi 1186 Reportée 1111518 ALLA Donia Amphi Mohamed El Fassi 1188 Reportée 1202473 ALMOUSSOUNI Malika Amphi Mohamed El Fassi 1190 1201584 ALOUACH Noura Amphi Mohamed El Fassi 1192 1209075 ALOUATE Fatima Ez-zahra Amphi Mohamed El Fassi 1194 1209226 AMACH El Khazraje Amphi Mohamed El Fassi 1196 Reportée 1208617 AMADDAH Mohamed Amphi Mohamed El Fassi 1198 Reportée 1209588 AMAHROUS Samir Amphi Mohamed El Fassi 1200 1202101 AMAJOUD Rachid Amphi Mohamed El Fassi 1202 Reportée 1201593 AMALAL Abderrahim Amphi Mohamed El Fassi 1204 Reportée 1209286 AMANE Abderrahman Amphi Mohamed El Fassi 1206 1219412 AMANZOU AMINE Amphi Mohamed El Fassi 1208 1219879 AMARIGH Fatima Amphi Mohamed El Fassi 1210 Reportée 1101688 AMAZOUN Mohamed Amphi Mohamed El Fassi 1212 Reportée 1201121 AMDIAB Hafsa Amphi Mohamed El Fassi 1214 Reportée 1219065 AMDJAR Hafida Amphi Mohamed El Fassi 1216 Reportée 1219701 AMEDIAZ Mustapha Amphi Mohamed El Fassi 1218 Reportée 1202648 AMEGGOUNE Khalid Amphi Mohamed El Fassi 1220 Reportée 1103889 AMEHAOUD Maryem Amphi Mohamed El Fassi 1222 1204103 AMEUR HAMZA Amphi Mohamed El Fassi 1224 Reportée 1202266 AMEZAOUROU Imane Amphi Mohamed El Fassi 1226 1004564 AMGHAR IKRAM Amphi Mohamed El Fassi 1228 Reportée 1201234 AMIK Mohammed Amphi Mohamed El Fassi 1230 1204259 AMINE Ayoub Amphi Mohamed El Fassi 1232 1011310 AMIR ABDELLATIF Amphi Mohamed El Fassi 1234 Reportée 1204414 AMJAHDI Issam Amphi Mohamed El Fassi 1236 Reportée 1211305 AMJAHDY Hassane Amphi Mohamed El Fassi 1238 1104093 AMLAIZAZ Ali Amphi Mohamed El Fassi 1240 Reportée 1204754 AMMAR Saida Amphi Mohamed El Fassi 1242 1220891 AMMARI SOUMIA Amphi Mohamed El Fassi 1244 Reportée 1205198 AMOUCH Khadija Amphi Mohamed El Fassi 1246 Reportée 1202796 AMOUDAYEN Khaoula Amphi Mohamed El Fassi 1248 Reportée 1201133 AMRO Abdlouhabe Amphi Mohamed El Fassi 1250 Reportée 1219981 AMZIL Abdelaali Amphi Mohamed El Fassi 1252 Reportée 1201096 AMZIL Abdenacer Amphi Mohamed El Fassi 1254 Reportée 1115694 AMZIL Asmaa Amphi Mohamed El Fassi 1256 1202593 ANCHAD Aabla Amphi Mohamed El Fassi 1258 Reportée 1205783 ANGUAR LOUBNA Amphi Mohamed El Fassi 1260 Reportée 1220294 ANOUFR Smail Amphi Mohamed El Fassi 1262 Reportée1220294 ANOUFR Smail Amphi Mohamed El Fassi 1262 Reportée 1111279 ANTIGUY Fatima Amphi Mohamed El Fassi 1264 Reportée Matière1: Introduction au Droit positif Matière2: Introduction au Droit musulman 8/68
  • 105.
    Filière: Droit arabe Facultédes sciences juridiques et Economiques. Marrakech N° Apogée Nom Prénom Local d'examen N° d'examen Matière1 Matière2 Université Cadi Ayyad PV de surveillance: Session de rattrapage Module: Introduction au Droit privé 2012-2013 Semestre1 (nouveau système) 1111541 ANZALI Mahmoud Amphi Mohamed El Fassi 1266 Reportée 1103253 ANZAR Zahra Amphi Mohamed El Fassi 1268 Reportée 1203099 ANZAZ Noura Amphi Mohamed El Fassi 1270 Reportée 1102520 AOUIDATE El Bachir Amphi Mohamed El Fassi 1272 Reportée 1205652 AOUINATE Hamza Amphi Mohamed El Fassi 1274 Reportée 1202308 AOUINI NEZHA Amphi Mohamed El Fassi 1276 Reportée 1203859 AOUZAL Tarik Amphi Mohamed El Fassi 1278 Reportée 1204001 AQARROCH Radouan Amphi Mohamed El Fassi 1280 Reportée 1208971 ARABIA Miloud Amphi Mohamed El Fassi 1282 1102956 ARAJDAL Rachid Amphi Mohamed El Fassi 1284 Reportée 1104970 ARCHANE ABD ERRAZAK Amphi Mohamed El Fassi 1286 1203822 ARFAOUI Najib Amphi Mohamed El Fassi 1288 1204076 ARHLIDA Abdelhakim Amphi Mohamed El Fassi 1290 1219798 ARHOUTI ASMAE Amphi Mohamed El Fassi 1292 1208842 ARMIDI Mohamed Amphi Mohamed El Fassi 1294 Reportée 1202663 AROUHI Soufian Amphi Mohamed El Fassi 1296 1209965 ASAAD Houria Amphi Mohamed El Fassi 1298 1205059 ASAIDI Merouane Amphi Mohamed El Fassi 1300 Reportée 1202010 ASAKMOUD Adil Amphi Mohamed El Fassi 1302 Reportée 1209816 ASDREM Hanane Amphi Mohamed El Fassi 1304 Reportée 1211066 ASSAFAR Asma Amphi Mohamed El Fassi 1306 1203040 ASSAOUITE Mohamed Amphi Mohamed El Fassi 1308 Reportée 1204780 ASSARHLI Allal Amphi Mohamed El Fassi 1310 1201651 ASSEHNOUN Atika Amphi Mohamed El Fassi 1312 1204110 ASSEHNOUNE Nour-eddine Amphi Mohamed El Fassi 1314 Reportée 1204864 ATADDART Mohamed Amphi Mohamed El Fassi 1316 Reportée 1203961 ATIFI Zine Elaabidine Amphi Mohamed El Fassi 1318 Reportée 1111130 ATTABOU Lamia Amphi Mohamed El Fassi 1320 Reportée 1218949 ATTAOUI Khadija Amphi Mohamed El Fassi 1322 Reportée 1111616 ATTAR Mustapha Amphi Mohamed El Fassi 1324 Reportée 1204444 ATYQ Brahim Amphi Mohamed El Fassi 1326 Reportée 1209064 AYOUCH Mustapha Amphi Mohamed El Fassi 1328 Reportée 1201194 AZAKI Safa Amphi Mohamed El Fassi 1330 Reportée 1203345 AZEGGAGH Abd Errahmane Amphi Mohamed El Fassi 1332 Reportée 1203106 AZEKKAR Salah Amphi Mohamed El Fassi 1334 Reportée 1204969 AZELMAD Hicham Amphi Mohamed El Fassi 1336 1202313 AZERKANE Jamila Amphi Mohamed El Fassi 1338 Reportée 1204593 AZIZ Ali Amphi Mohamed El Fassi 1340 Reportée 1200993 AZIZI Mohamed Amphi Mohamed El Fassi 1342 1201280 AZNAG FAICAL Amphi Mohamed El Fassi 1344 Reportée1201280 AZNAG FAICAL Amphi Mohamed El Fassi 1344 Reportée 1208835 AZNAG Fatima Zzahra Amphi Mohamed El Fassi 1346 Reportée Matière1: Introduction au Droit positif Matière2: Introduction au Droit musulman 9/68
  • 106.
    Filière: Droit arabe Facultédes sciences juridiques et Economiques. Marrakech N° Apogée Nom Prénom Local d'examen N° d'examen Matière1 Matière2 Université Cadi Ayyad PV de surveillance: Session de rattrapage Module: Introduction au Droit privé 2012-2013 Semestre1 (nouveau système) 1204632 AZNAG Kamal Amphi Mohamed El Fassi 1348 Reportée 1207514 AZNAG Mohamed Amphi Mohamed El Fassi 1350 Reportée 1220242 AZNAGUE Mohammed Amine Amphi Mohamed El Fassi 1352 1110253 AZNAQ Abdelhai Amphi Mohamed El Fassi 1354 Reportée 1209074 AZOUD Abdellah Amphi Mohamed El Fassi 1356 Reportée 1201668 AZOUGGAGH Hanane Amphi Mohamed El Fassi 1358 Reportée 1216780 AZOUR Yassine Amphi Mohamed El Fassi 1360 Reportée 1220886 AZROUAL MERIEM Amphi Mohamed El Fassi 1362 1205672 BAABBOU Dounia Amphi Mohamed El Fassi 1364 Reportée 1004140 BAADDI RACHID Amphi Mohamed El Fassi 1366 1219542 BAAIKIK Maryam Amphi Mohamed El Fassi 1368 Reportée 1210914 BAALI Rabha Amphi Mohamed El Fassi 1370 Reportée 1203025 BAALI Samah Amphi Mohamed El Fassi 1372 Reportée 1102689 BAALLA El Houssine Amphi Mohamed El Fassi 1374 Reportée 1204238 BAALLAL Zakaria Amphi Mohamed El Fassi 1376 Reportée 1202579 BAALLI Naji Amphi Mohamed El Fassi 1378 Reportée 1205829 BAAMRANE Hind Amphi Mohamed El Fassi 1380 Reportée 1219736 BAAZIZ Amina Amphi Mohamed El Fassi 1382 Reportée 1208827 BAAZIZ Mohamed Amphi Mohamed El Fassi 1384 Reportée 1203094 BABA El Mehdi Amphi Mohamed El Fassi 1386 Reportée 1201546 BABA ESSALEK Amphi Mohamed El Fassi 1388 Reportée 1203063 BACH Mohamed Amphi Mohamed El Fassi 1390 Reportée Matière1: Introduction au Droit positif Matière2: Introduction au Droit musulman 10/68
  • 107.
    Filière: Droit arabe Facultédes sciences juridiques et Economiques. Marrakech N° Apogée Nom Prénom Local d'examen N° d'examen Matière1 Matière2 Université Cadi Ayyad PV de surveillance: Session de rattrapage Module: Introduction au Droit privé 2012-2013 Semestre1 (nouveau système) 1211329 BACHKOU ABDENAIM Amphi A 1392 Reportée 1211131 BADAOUI Khalid Amphi A 1394 Reportée 1104092 BADDA Amine Amphi A 1396 Reportée 1204499 BADISS Fatima Amphi A 1398 Reportée 1107140 BADJI Badre Amphi A 1400 1202231 BADRANE Badr Amphi A 1402 Reportée 1110531 BADRI Charaf Amphi A 1404 Reportée 1202526 BAGHOUGH Wafa Amphi A 1406 Reportée 1210989 BAHADI Miloude Amphi A 1408 Reportée 1103529 BAHALLI Hicham Amphi A 1410 Reportée 1220199 BAHASSOU MOHAMED Amphi A 1412 Reportée 1219591 BAHASSOU Salah Amphi A 1414 1209951 BAHAYA Fatima Amphi A 1416 1208430 BAHHAJ Loubna Amphi A 1418 Reportée 1219493 BAHHAJ Sana Amphi A 1420 Reportée 1201115 BAHIA Malika Amphi A 1422 Reportée 1106792 BAHIJ MBARKA Amphi A 1424 Reportée 1210450 BAHIL Mariem Amphi A 1426 Reportée 1202618 BAHJANI Abdelfattah Amphi A 1428 Reportée 1202315 BAHOUS Fatimezzahra Amphi A 1430 Reportée 1110978 BAHRAOUI Soufiane Amphi A 1432 Reportée 1201124 BAIGA Elhassan Amphi A 1434 Reportée 1204227 BAILLA Safa Amphi A 1436 1201299 BAINE Lahcen Amphi A 1438 Reportée 1216335 BAIROUK Khadija Amphi A 1440 Reportée 1100474 BAJAOUI Abderrahim Amphi A 1442 1201054 BAJJA Assiya Amphi A 1444 Reportée 1205246 BAKADER Youssef Amphi A 1446 Reportée 1209131 BAKARDOUCH Abderrahim Amphi A 1448 1210492 BAKHACH Hicham Amphi A 1450 Reportée 1215821 BAKHDIL Fatima Amphi A 1452 Reportée 1110558 BAKHTATI Hasna Amphi A 1454 Reportée 1204202 BAKZIZ KARIM Amphi A 1456 1202929 BALALYA Mina Amphi A 1458 1201069 BALILI Mustapha Amphi A 1460 Reportée 1203138 BALLA El Hassan Amphi A 1462 1202388 BANI Somia Amphi A 1464 Reportée 1206905 BANNOUR Bouchra Amphi A 1466 Reportée 1109571 BANTOUR Issam Amphi A 1468 Reportée 1219729 BAQQA Imane Amphi A 1470 Reportée1219729 BAQQA Imane Amphi A 1470 Reportée 1102201 BAQQA Mohamed Amphi A 1472 Reportée Matière1: Introduction au Droit positif Matière2: Introduction au Droit musulman 11/68
  • 108.
    Filière: Droit arabe Facultédes sciences juridiques et Economiques. Marrakech N° Apogée Nom Prénom Local d'examen N° d'examen Matière1 Matière2 Université Cadi Ayyad PV de surveillance: Session de rattrapage Module: Introduction au Droit privé 2012-2013 Semestre1 (nouveau système) 1201934 BAQROU Mohamed Yassine Amphi A 1474 Reportée Matière1: Introduction au Droit positif Matière2: Introduction au Droit musulman 12/68
  • 109.
    Filière: Droit arabe Facultédes sciences juridiques et Economiques. Marrakech N° Apogée Nom Prénom Local d'examen N° d'examen Matière1 Matière2 Université Cadi Ayyad PV de surveillance: Session de rattrapage Module: Introduction au Droit privé 2012-2013 Semestre1 (nouveau système) 1205899 BARAKA Elmahdi Amphi B 1476 Reportée 1100622 BARAZOUK Hassna Amphi B 1478 Reportée 1201781 BARAZOUK Houda Amphi B 1480 Reportée 1110881 BARBOR Fatim Zahra Amphi B 1482 Reportée 1209172 BARBOUCHI Khalid Amphi B 1484 Reportée 1205265 BARHOUTI Nizar Amphi B 1486 Reportée 1108057 BARI Salah Amphi B 1488 Reportée 1203780 BARI Youssef Amphi B 1490 Reportée 1210934 BARIJ MAJDA Amphi B 1492 Reportée 1209429 BARIKA-LLAH Amina Amphi B 1494 Reportée 1209168 BARIKALLAH Zouina Amphi B 1496 Reportée 1202943 BARKACH Noureddine Amphi B 1498 Reportée 1219292 BARKANI Ghizlane Amphi B 1500 Reportée 1208644 BAROUCH Youssef Amphi B 1502 Reportée 1202906 BARTAOUCH Jamal Amphi B 1504 Reportée 1203712 BASIRI El Habib Amphi B 1506 1200992 BATRAH Ouijdane Amphi B 1508 Reportée 1202673 BATTACH MERYEME Amphi B 1510 Reportée 1202542 BATTOURI Sanae Amphi B 1512 Reportée 1205132 BAYDARE Achiq Amphi B 1514 Reportée 1204800 BAYYOUD ATIQA Amphi B 1516 Reportée 1219653 BEDDADI NOURA Amphi B 1518 1210435 BEJDI Meriem Amphi B 1520 1202784 BEL FAQUIR Abdelhafid Amphi B 1522 Reportée 1115942 BEL HOUTI GHIZLANE Amphi B 1524 Reportée 1219752 BEL KAROUI ABDELAALI Amphi B 1526 Reportée 1219424 BEL MAANI ABDESSALAM Amphi B 1528 Reportée 1105346 BEL MOUDDEN Rachida Amphi B 1530 Reportée 1204877 BELABYAD Fatima Ezzahra Amphi B 1532 Reportée 1203244 BELAHDIA Abdelmounaim Amphi B 1534 Reportée 1204373 BELAHOUAOUI Ahmed Amphi B 1536 Reportée 1201263 BELAICHA Mohamed Amphi B 1538 Reportée 1107145 BELAICHI Abderrahim Amphi B 1540 Reportée 1201078 BELAKHOUIRATE Othman Amphi B 1542 Reportée 1102207 BELASELE Moulay Rachid Amphi B 1544 Reportée 1202031 BELASLA Fatima-zahra Amphi B 1546 Reportée 1202384 BELDI Tarik Amphi B 1548 Reportée 1216697 BELFADIL Brahim Amphi B 1550 Reportée 1107252 BELFKIRA Mouhamed Amphi B 1552 1208877 BELFOUZI Soumaya Amphi B 1554 Reportée1208877 BELFOUZI Soumaya Amphi B 1554 Reportée 1206890 BELGHITI Lamia Amphi B 1556 Reportée Matière1: Introduction au Droit positif Matière2: Introduction au Droit musulman 13/68
  • 110.
    Filière: Droit arabe Facultédes sciences juridiques et Economiques. Marrakech N° Apogée Nom Prénom Local d'examen N° d'examen Matière1 Matière2 Université Cadi Ayyad PV de surveillance: Session de rattrapage Module: Introduction au Droit privé 2012-2013 Semestre1 (nouveau système) 1201849 BELGOUTE Hind Amphi B 1558 Reportée Matière1: Introduction au Droit positif Matière2: Introduction au Droit musulman 14/68
  • 111.
    Filière: Droit arabe Facultédes sciences juridiques et Economiques. Marrakech N° Apogée Nom Prénom Local d'examen N° d'examen Matière1 Matière2 Université Cadi Ayyad PV de surveillance: Session de rattrapage Module: Introduction au Droit privé 2012-2013 Semestre1 (nouveau système) 1202534 BELGUMHA Yassmina Amphi C 1560 Reportée 1219974 BELHACEN SOUFIANE Amphi C 1562 Reportée 1205171 BELHAFTA Fatima Amphi C 1564 Reportée 1204901 BELHAIBA Abdeladim Amphi C 1566 1205170 BELHAITE Khalid Amphi C 1568 Reportée 1200976 BELHAJ ABDELLAH Amphi C 1570 Reportée 1204965 BELHAJ Rachid Amphi C 1572 Reportée 1213643 BELKABOUS Fatima Ezzahra Amphi C 1574 Reportée 1201797 BELKHAOUDA Fakhr-eddine Amphi C 1576 Reportée 1205200 BELKIYAL ELMEHDI Amphi C 1578 Reportée 1205135 BELLA ABDLKARIM Amphi C 1580 Reportée 1208916 BELLABECHARA Mariama Amphi C 1582 Reportée 1203965 BELLABROUM Abdelkarim Amphi C 1584 Reportée 1205117 BELLAHMAMA Mustapha Amphi C 1586 Reportée 1203310 BELLAKHA Othmane Amphi C 1588 Reportée 1201021 BELLGMMAH Abd Elwahed Amphi C 1590 Reportée 1210026 BELMALAH Sara Amphi C 1592 Reportée 1210058 BELMOUDEN Nadia Amphi C 1594 Reportée 1114569 BELQAID MEHDI Amphi C 1596 Reportée 1202947 BEN AAMAR Khamissa Amphi C 1598 Reportée 1217333 BEN ALLA FATIMA Amphi C 1600 Reportée 1218947 BEN ALLA Soumia Amphi C 1602 1102530 BEN AOUCHA Mohammed Amphi C 1604 Reportée 1207562 BEN AZZOUZ Youssef Amphi C 1606 Reportée 1208850 BEN CHAKROUN Salah Eddine Amphi C 1608 Reportée 1209092 BEN CHAOUD Nafaa Amphi C 1610 Reportée 1219401 BEN EL BADAOUI Morad Amphi C 1612 Reportée 1202173 BEN ELHAJ Mohssine Amphi C 1614 Reportée 1203638 BEN ELMADANI Abdelhamid Amphi C 1616 Reportée 1109617 BEN ELMEKKI Mourad Amphi C 1618 1209978 BEN FATNA Abderrazzak Amphi C 1620 1201152 BEN HADDOUCH Abdeslam Amphi C 1622 1203348 BEN HADIA Mohamed Amphi C 1624 Reportée 1101353 BEN HAMMOU Es-said Amphi C 1626 1202374 BEN HAMMOU Tariq Amphi C 1628 Reportée 1201167 BEN HANDA Latifa Amphi C 1630 1211175 BEN ITTO Jamal Amphi C 1632 Reportée 1208005 BEN KAKA Najat Amphi C 1634 1202445 BEN LAHSAINI Fatima Ezzahra Amphi C 1636 Reportée 1106754 BEN MANSOUR Naima Amphi C 1638 Reportée1106754 BEN MANSOUR Naima Amphi C 1638 Reportée 1219455 BEN MARZOUK Hamid Amphi C 1640 Reportée Matière1: Introduction au Droit positif Matière2: Introduction au Droit musulman 15/68
  • 112.
    Filière: Droit arabe Facultédes sciences juridiques et Economiques. Marrakech N° Apogée Nom Prénom Local d'examen N° d'examen Matière1 Matière2 Université Cadi Ayyad PV de surveillance: Session de rattrapage Module: Introduction au Droit privé 2012-2013 Semestre1 (nouveau système) 1215067 BEN MOUSA Rabia Amphi C 1642 Reportée Matière1: Introduction au Droit positif Matière2: Introduction au Droit musulman 16/68
  • 113.
    Filière: Droit arabe Facultédes sciences juridiques et Economiques. Marrakech N° Apogée Nom Prénom Local d'examen N° d'examen Matière1 Matière2 Université Cadi Ayyad PV de surveillance: Session de rattrapage Module: Introduction au Droit privé 2012-2013 Semestre1 (nouveau système) 1219447 BEN OUAKAS El Mostafa Amphi D 1644 1107795 BEN RAYES Abdelkrim Amphi D 1646 Reportée 1101201 BEN SLIMANE Yassine Amphi D 1648 Reportée 1111544 BEN TAI Ahmed Amphi D 1650 Reportée 1201219 BEN YAMNA Soukaina Amphi D 1652 Reportée 1102148 BEN ZAIR Karima Amphi D 1654 Reportée 1201536 BEN ZIDANE Sanae Amphi D 1656 1107723 BENAADDI Mounir Amphi D 1658 Reportée 1103870 BENAADEL Hayat Amphi D 1660 Reportée 1111023 BENAALLA Khadija Amphi D 1662 Reportée 1204457 BENABDELLAH Mohamed Amphi D 1664 1219670 BENABDSSELAM ZAKARIA Amphi D 1666 Reportée 1205886 BENADNANE Soukaina Amphi D 1668 1201761 BEN-AFFOUNE Jalal Amphi D 1670 1207465 BENAISSA Said Amphi D 1672 1202199 BENAISSA ELFASSI Anas Amphi D 1674 1203795 BENARAB Mustapha Amphi D 1676 Reportée 1208180 BENAYAD Ahmed Amphi D 1678 1201777 BENBAHIA Amina Amphi D 1680 97033938 BENBARI ZAKARIA Amphi D 1682 Reportée 1219527 BENBARI Zineb Amphi D 1684 Reportée 1207343 BENCHOUK Hassan Amphi D 1686 Reportée 1003924 BENDAOUD HAMZA Amphi D 1688 Reportée 1203739 BENDEHANE Zakaria Amphi D 1690 Reportée 1220926 BENDRISS SOUFIANE Amphi D 1692 Reportée 1209880 BENEDRIOUCH Nadia Amphi D 1694 1102661 BENELASRI Rabab Amphi D 1696 Reportée 1201786 BENELHOMS Houria Amphi D 1698 Reportée 1202297 BENELKAIDA El-mahdi Amphi D 1700 Reportée 1216713 BENELMFIRIQ Hamza Amphi D 1702 Reportée 1101439 BENFALLE Noureddine Amphi D 1704 Reportée 1202079 BENFOUNDOU Mohamed Fadel Amphi D 1706 1205894 BENHABIBI Abderrazzak Amphi D 1708 1202994 BENHABIBI Soufiane Amphi D 1710 Reportée 1207971 BENHADDA Hanane Amphi D 1712 1220883 BENHAJJI FATIMA ZAHRA Amphi D 1714 1201608 BENHAJJO Lahcene Amphi D 1716 Reportée 1109635 BENHAMOUCH Latifa Amphi D 1718 Reportée 1209602 BENKARKOUB Maryam Amphi D 1720 1204338 BENKHOUIRA Tarik Amphi D 1722 Reportée1204338 BENKHOUIRA Tarik Amphi D 1722 Reportée 1104943 BENLAITIM Yassine Amphi D 1724 Reportée Matière1: Introduction au Droit positif Matière2: Introduction au Droit musulman 17/68
  • 114.
    Filière: Droit arabe Facultédes sciences juridiques et Economiques. Marrakech N° Apogée Nom Prénom Local d'examen N° d'examen Matière1 Matière2 Université Cadi Ayyad PV de surveillance: Session de rattrapage Module: Introduction au Droit privé 2012-2013 Semestre1 (nouveau système) 1202936 BENMOUSSA Fairouz Amphi D 1726 Matière1: Introduction au Droit positif Matière2: Introduction au Droit musulman 18/68
  • 115.
    Filière: Droit arabe Facultédes sciences juridiques et Economiques. Marrakech N° Apogée Nom Prénom Local d'examen N° d'examen Matière1 Matière2 Université Cadi Ayyad PV de surveillance: Session de rattrapage Module: Introduction au Droit privé 2012-2013 Semestre1 (nouveau système) 1210550 BENNAR Khadija Amphi E 1728 1201757 BENNARA Abdessamia Amphi E 1730 Reportée 1203264 BENNAY Nadia Amphi E 1732 Reportée 1110232 BENNOUNA Jalila Amphi E 1734 Reportée 1101036 BENNOURINE Hasna Amphi E 1736 Reportée 1210687 BENNOUS KHAOULA Amphi E 1738 1219753 BENOMAR Dahbi Amphi E 1740 Reportée 1219613 BENSAHMOUD Ouafa Amphi E 1742 Reportée 1219419 BENSBAA ELMOKHTAR Amphi E 1744 1207422 BENSOUIRI Mouna Amphi E 1746 Reportée 1107464 BENSSERAJ Fatimazahra Amphi E 1748 Reportée 1108835 BENTAMMA Ikrame Amphi E 1750 Reportée 1208792 BENTOURI Abdlkarim Amphi E 1752 1003446 BENYAHIA SARA Amphi E 1754 Reportée 1219933 BENYOUSAF Meriem Amphi E 1756 Reportée 1202604 BENZALIM Ayoub Amphi E 1758 Reportée 1204870 BENZAYA Hayat Amphi E 1760 1208828 BENZAYER Soufiane Amphi E 1762 Reportée 1206958 BENZBIRI Sara Amphi E 1764 1201736 BENZINA Ahmed Amphi E 1766 Reportée 1201866 BERDGUIE M'brak Amphi E 1768 1003902 BERGACH FATIMA Amphi E 1770 1104009 BERRAGANE Salah Amphi E 1772 1115717 BESSI Mohamad Amphi E 1774 Reportée 1209023 BHILISSE Larabas Amphi E 1776 Reportée 1113783 BIAR Samira Amphi E 1778 Reportée 1201307 BIBARK Wafa Amphi E 1780 Reportée 1210123 BIBOUT Abrakhom Amphi E 1782 Reportée 1201355 BIHI Soufian Amphi E 1784 1220321 BIJJI Sabah Amphi E 1786 1201230 BINI Brahim Amphi E 1788 Reportée 1202216 BIRAM Al Bachir Amphi E 1790 1203182 BIRJI Madiha Amphi E 1792 1109941 BIROUK Redouane Amphi E 1794 1100634 BISSKNA NADIA Amphi E 1796 1111252 BITI Youssef Amphi E 1798 Reportée 1202607 BIYOUD Khadija Amphi E 1800 Reportée 1219489 BLQIS ILHAME Amphi E 1802 Reportée 1115585 BORIAL WARDA Amphi E 1804 Reportée 1219793 BOUAADDI Mustapha Amphi E 1806 Reportée1219793 BOUAADDI Mustapha Amphi E 1806 Reportée 1204109 BOUABBAD Abderrahim Amphi E 1808 Matière1: Introduction au Droit positif Matière2: Introduction au Droit musulman 19/68
  • 116.
    Filière: Droit arabe Facultédes sciences juridiques et Economiques. Marrakech N° Apogée Nom Prénom Local d'examen N° d'examen Matière1 Matière2 Université Cadi Ayyad PV de surveillance: Session de rattrapage Module: Introduction au Droit privé 2012-2013 Semestre1 (nouveau système) 1114306 BOUABD Ismail Amphi E 1810 Matière1: Introduction au Droit positif Matière2: Introduction au Droit musulman 20/68
  • 117.
    Filière: Droit arabe Facultédes sciences juridiques et Economiques. Marrakech N° Apogée Nom Prénom Local d'examen N° d'examen Matière1 Matière2 Université Cadi Ayyad PV de surveillance: Session de rattrapage Module: Introduction au Droit privé 2012-2013 Semestre1 (nouveau système) 1103855 BOUADANE Lahsen Salle de lecture 02 1912 Reportée 1203158 BOUAHBI Mohammed Salle de lecture 02 1914 1209333 BOUAICHI Ichraq Salle de lecture 02 1916 Reportée 1202341 BOUAMOUD ABOUBAKERE Salle de lecture 02 1918 1114283 BOUAMOUD BANTAKHOUALHA Salle de lecture 02 1920 Reportée 1203609 BOUAMOUD Mohamed Salle de lecture 02 1922 1208438 BOUAMOUD Salah Salle de lecture 02 1924 1204693 BOUAOUD Touria Salle de lecture 02 1926 Reportée 1203259 BOUAOUI Mouad Salle de lecture 02 1928 1204789 BOUAOULATINE Fouad Salle de lecture 02 1930 Reportée 1204817 BOUAOULATINE Mourad Salle de lecture 02 1932 Reportée 1210598 BOUBAKKAR Halima Salle de lecture 02 1934 Reportée 1105375 BOUBEDDARA Meriem Salle de lecture 02 1936 Reportée 1202402 BOUCHAIB Aicha Salle de lecture 02 1938 1104550 BOUCHATER Ahmed Salle de lecture 02 1940 Reportée 1219617 BOUCHBOURA Kamal Salle de lecture 02 1942 Reportée 1219416 BOUCHEJRA Najat Salle de lecture 02 1944 Reportée 1203995 BOUCHKARA Hamid Salle de lecture 02 1946 Reportée 1204102 BOUCHTA Mohamed Salle de lecture 02 1948 Reportée 1202552 BOUDALAà Sabah Salle de lecture 02 1950 Reportée 1202969 BOUDAR Oualid Salle de lecture 02 1952 Reportée 1209611 BOUDEBOUSS Slima Salle de lecture 02 1954 1216372 BOUDELAL Khadija Salle de lecture 02 1956 1219732 BOUDEN Nezha Salle de lecture 02 1958 Reportée 1201344 BOUDIA Hanane Salle de lecture 02 1960 1105885 BOUDNI Imane Salle de lecture 02 1962 Reportée 1105857 BOUFALJA Laila Salle de lecture 02 1964 Reportée 1216380 BOUFAYDA Rachid Salle de lecture 02 1966 Reportée 1207023 BOUFOUS Maryem Salle de lecture 02 1968 1111524 BOUGHANBOUR Zahira Salle de lecture 02 1970 Reportée 1209717 BOUGHDA Abdenasser Salle de lecture 02 1972 Reportée 1202933 BOUGHROUM Abderrahim Salle de lecture 02 1974 Reportée 1209868 BOUGNINE Aomar Salle de lecture 02 1976 Reportée 1220016 BOUGOULA Nora Salle de lecture 02 1978 1207031 BOUGRINE Hamza Salle de lecture 02 1980 Reportée 7026214 BOUGTAYA JAMAL Salle de lecture 02 1982 94300026 BOUGUEJDI HAMID Salle de lecture 02 1984 Reportée 1201368 BOUHA Naima Salle de lecture 02 1986 1202687 BOUHAIDA Abdeljbbar Salle de lecture 02 1988 Reportée 1204101 BOUHAL CHADIA Salle de lecture 02 1990 Reportée1204101 BOUHAL CHADIA Salle de lecture 02 1990 Reportée 1003937 BOUHALI YASSINE Salle de lecture 02 1992 Reportée Matière1: Introduction au Droit positif Matière2: Introduction au Droit musulman 21/68
  • 118.
    Filière: Droit arabe Facultédes sciences juridiques et Economiques. Marrakech N° Apogée Nom Prénom Local d'examen N° d'examen Matière1 Matière2 Université Cadi Ayyad PV de surveillance: Session de rattrapage Module: Introduction au Droit privé 2012-2013 Semestre1 (nouveau système) 1110446 BOUHANI Raja Salle de lecture 02 1994 Reportée 1204804 BOUHDACH Kenza Salle de lecture 02 1996 Reportée 1204123 BOUHID Nour-eddine Salle de lecture 02 1998 Reportée 1201775 BOUHLAL Souhail Salle de lecture 02 2000 Reportée 1109326 BOUHMAME M'hammed Salle de lecture 02 2002 Reportée 1103692 BOUHMID Jamal Salle de lecture 02 2004 Reportée 1201282 BOUHMID Karim Salle de lecture 02 2006 Reportée 1202502 BOUHOUCH Mohammed Salle de lecture 02 2008 Reportée 1112285 BOUHOUCH ZAKARIA Salle de lecture 02 2010 Reportée 1110520 BOUHOUDA Najate Salle de lecture 02 2012 Reportée 1201370 BOUHRAOUA Younes Salle de lecture 02 2014 1202488 BOUHRIBA Nassima Salle de lecture 02 2016 Reportée 1219614 BOUHSAIN Adil Salle de lecture 02 2018 Reportée 1208956 BOUIATRAS Rochdi Salle de lecture 02 2020 Reportée 1115612 BOUIBOUKIRN Mohamed Salle de lecture 02 2022 Reportée 1114585 BOUICHOU Kamal Salle de lecture 02 2024 Reportée 1202908 BOUIFOULLOUS Hind Salle de lecture 02 2026 Reportée 1203315 BOUIGUIDOU Youssef Salle de lecture 02 2028 Reportée 1205090 BOUIHI Khaoula Salle de lecture 02 2030 Matière1: Introduction au Droit positif Matière2: Introduction au Droit musulman 22/68
  • 119.
    Filière: Droit arabe Facultédes sciences juridiques et Economiques. Marrakech N° Apogée Nom Prénom Local d'examen N° d'examen Matière1 Matière2 Université Cadi Ayyad PV de surveillance: Session de rattrapage Module: Introduction au Droit privé 2012-2013 Semestre1 (nouveau système) 1210414 BOUIMHIM Rachida Salle de lecture 03 2032 Reportée 1110785 BOUIZAR Hicham Salle de lecture 03 2034 Reportée 1105086 BOUJENOUI Youssef Salle de lecture 03 2036 Reportée 1004693 BOUJERKENE HICHAM Salle de lecture 03 2038 Reportée 1202529 BOUJI Fatiha Salle de lecture 03 2040 Reportée 1110109 BOUJLIL Fatima Salle de lecture 03 2042 Reportée 1201676 BOUJRIDA Zakaria Salle de lecture 03 2044 Reportée 1211214 BOUKAJ Khalid Salle de lecture 03 2046 1009240 BOUKARAI JIHANE Salle de lecture 03 2048 Reportée 1202453 BOUKCHOUCH Zakaria Salle de lecture 03 2050 1111372 BOUKENTAR Souad Salle de lecture 03 2052 Reportée 1111388 BOUKERCH Hayat Salle de lecture 03 2054 Reportée 1208897 BOUKHRISS Hasna Salle de lecture 03 2056 1201605 BOUKRAB M'barka Salle de lecture 03 2058 Reportée 1204161 BOUKTIB Moussa Salle de lecture 03 2060 Reportée 1105482 BOULAHCEN Lhoussein Salle de lecture 03 2062 Reportée 1205780 BOULAHJAR Mariam Salle de lecture 03 2064 Reportée 1106757 BOULAHJAR Mustapha Salle de lecture 03 2066 Reportée 1100791 BOULAJAJ Hicham Salle de lecture 03 2068 Reportée 1216622 BOULMANE JAMILA Salle de lecture 03 2070 1219755 BOULMANE SAMAH Salle de lecture 03 2072 Reportée 1209991 BOUMAAZA Fatima Salle de lecture 03 2074 1204840 BOUMAHDI ABDALLAHI Salle de lecture 03 2076 Reportée 1220366 BOUMDIANE Noureddine Salle de lecture 03 2078 1219855 BOUMEHA ILHAM Salle de lecture 03 2080 1205684 BOUMERZAF Souilma Salle de lecture 03 2082 1209860 BOUMOUGAY Yassine Salle de lecture 03 2084 Reportée 1219642 BOUNGOUL Abdelkrim Salle de lecture 03 2086 1202288 BOUNHAR Khadija Salle de lecture 03 2088 Reportée 1205682 BOUNNIT Soukaina Salle de lecture 03 2090 1204938 BOUNOU Soumia Salle de lecture 03 2092 Reportée 1100661 BOUNOUADER Nezha Salle de lecture 03 2094 1114583 BOURAGAA MOHAMED Salle de lecture 03 2096 Reportée 1107714 BOURAGAA Yassine Salle de lecture 03 2098 Reportée 1201769 BOUREGBA Youssef Salle de lecture 03 2100 1103186 BOURGUIBA Salma Salle de lecture 03 2102 1204963 BOURIKI Abde-ilah Salle de lecture 03 2104 Reportée 1219823 BOUSAQ Hafed Salle de lecture 03 2106 Reportée 1203039 BOUSEKSOU Aimad Salle de lecture 03 2108 Reportée 1201268 BOUSKOUR Abdellatif Salle de lecture 03 2110 Reportée1201268 BOUSKOUR Abdellatif Salle de lecture 03 2110 Reportée 1219400 BOUSLAMA Youness Salle de lecture 03 2112 Reportée Matière1: Introduction au Droit positif Matière2: Introduction au Droit musulman 23/68
  • 120.
    Filière: Droit arabe Facultédes sciences juridiques et Economiques. Marrakech N° Apogée Nom Prénom Local d'examen N° d'examen Matière1 Matière2 Université Cadi Ayyad PV de surveillance: Session de rattrapage Module: Introduction au Droit privé 2012-2013 Semestre1 (nouveau système) 1207077 BOUSSALIM Lhoussin Salle de lecture 03 2114 Reportée 1100370 BOUSSETTA Aziz Salle de lecture 03 2116 Reportée 1219948 BOUSSOLA Chrifa Salle de lecture 03 2118 1106848 BOUSSOUFA Zakaria Salle de lecture 03 2120 Reportée 1113446 BOUTABAA MANNAHA Salle de lecture 03 2122 Reportée 1107128 BOUTAHAR Zahra Salle de lecture 03 2124 Reportée 1219537 BOU-TAJANOUIT Ayoub Salle de lecture 03 2126 Reportée 1112431 BOUTALEB Zouhir Salle de lecture 03 2128 Reportée 1001175 BOUTASKAOUINE ASMAA Salle de lecture 03 2130 Reportée 1205085 BOUTAYERI Mohamed Salle de lecture 03 2132 Reportée 1104286 BOUTAZART Zouhair Salle de lecture 03 2134 Reportée 1201579 BOUTCHAMMAH Karima Salle de lecture 03 2136 Reportée 1220493 BOUTLMOUNT ABAID Salle de lecture 03 2138 1207212 BOUTSBIH Hanna Salle de lecture 03 2140 Reportée 1201721 BOUUISENGAREN Fatiha Salle de lecture 03 2142 Reportée 1218714 BOUYESOUA Mohamed Salle de lecture 03 2144 1113787 BOUYGHSANE Mustapha Salle de lecture 03 2146 Reportée 1207378 BOUYGNANE Abrerrahim Salle de lecture 03 2148 Reportée 1205219 BOUZAIDA Elghalya Salle de lecture 03 2150 Reportée Matière1: Introduction au Droit positif Matière2: Introduction au Droit musulman 24/68
  • 121.
    Filière: Droit arabe Facultédes sciences juridiques et Economiques. Marrakech N° Apogée Nom Prénom Local d'examen N° d'examen Matière1 Matière2 Université Cadi Ayyad PV de surveillance: Session de rattrapage Module: Introduction au Droit privé 2012-2013 Semestre1 (nouveau système) 1204857 BOUZHER Brahim salle de lecture 04 2152 Reportée 1220987 BOUZOUNE MINA salle de lecture 04 2154 Reportée 1114289 BRIACH EL HASSAN salle de lecture 04 2156 Reportée 1104189 BRIACH EL HOSSAIN salle de lecture 04 2158 Reportée 1103510 BRIER Jaouad salle de lecture 04 2160 Reportée 1203159 BRIKTI Yassine salle de lecture 04 2162 Reportée 1114496 BROUMI JIHAD salle de lecture 04 2164 Reportée 1111070 BYAH Abdeltif salle de lecture 04 2166 Reportée 1101160 BYAT Fatima salle de lecture 04 2168 Reportée 1204873 BYOUD Jmiaa salle de lecture 04 2170 Reportée 1219993 CHAABA Faysal salle de lecture 04 2172 Reportée 1005219 CHAABAOUI MAROUANE salle de lecture 04 2174 Reportée 1102070 CHAABI Fatima Ezzahra salle de lecture 04 2176 Reportée 1216260 CHAAIBI Mohamed salle de lecture 04 2178 1219675 CHAARANI Abderrahim salle de lecture 04 2180 1205785 CHAARE ELMOUTAOUKIL Youssef salle de lecture 04 2182 1206983 CHABLALE Jamila salle de lecture 04 2184 Reportée 1205851 CHADID Abdelhaq salle de lecture 04 2186 1205154 CHAFAI Lahcen salle de lecture 04 2188 Reportée 1203309 CHAFAI Tariq salle de lecture 04 2190 Reportée 1219512 CHAFIK MOHAMED salle de lecture 04 2192 Reportée 1111047 CHAFIQ Houssam salle de lecture 04 2194 Reportée 1106989 CHAHID Fatima Ezzahra salle de lecture 04 2196 Reportée 1201954 CHAHID Halima salle de lecture 04 2198 Reportée 1204578 CHAHID Loubna salle de lecture 04 2200 Reportée 1107895 CHAHID Youssef salle de lecture 04 2202 Reportée 1219656 CHAHMD MOHAMED salle de lecture 04 2204 1006105 CHAIBAINOU MOHAMED salle de lecture 04 2206 Reportée 1208370 CHAKIR El Mustapha salle de lecture 04 2208 Reportée 1205213 CHAKIR Halima salle de lecture 04 2210 Reportée 1114204 CHAKIR Kamal salle de lecture 04 2212 1212659 CHAKIR Nouamane salle de lecture 04 2214 Reportée 1201669 CHAKIRI Abdelaziz salle de lecture 04 2216 Reportée 1204377 CHAKLI Halima salle de lecture 04 2218 Reportée 1209701 CHAKLI Hamza salle de lecture 04 2220 Reportée 1209446 CHALHA Bentaghi salle de lecture 04 2222 Reportée 1204748 CHAL-HY Atika salle de lecture 04 2224 1201960 CHALLAGUI Rachid salle de lecture 04 2226 Reportée 1201765 CHAOUKI Souad salle de lecture 04 2228 Reportée 1104942 CHAOUQUI Kawtar salle de lecture 04 22301104942 CHAOUQUI Kawtar salle de lecture 04 2230 1219829 CHARAFI Elhousien salle de lecture 04 2232 Reportée Matière1: Introduction au Droit positif Matière2: Introduction au Droit musulman 25/68
  • 122.
    Filière: Droit arabe Facultédes sciences juridiques et Economiques. Marrakech N° Apogée Nom Prénom Local d'examen N° d'examen Matière1 Matière2 Université Cadi Ayyad PV de surveillance: Session de rattrapage Module: Introduction au Droit privé 2012-2013 Semestre1 (nouveau système) 1202850 CHARAI Hicham salle de lecture 04 2234 1203691 CHARNAGUI Abdelilah salle de lecture 04 2236 Reportée 1210408 CHATBI Maryam salle de lecture 04 2238 1204516 CHATER Hassan salle de lecture 04 2240 1219840 CHAYBOUB SOUAD salle de lecture 04 2242 Reportée 1201113 CHEGGOUR Elmahdi salle de lecture 04 2244 Reportée 1211088 CHELBIKH Abdelkarim salle de lecture 04 2246 1202420 CHELLAH Khaoula salle de lecture 04 2248 1104831 CHEMRADKHI Abdelaziz salle de lecture 04 2250 Reportée 1204952 CHEMS EDDINE Mohssine salle de lecture 04 2252 Reportée 1203171 CHEMSSEDDINE Soufyane salle de lecture 04 2254 Reportée 1210988 CHENNAOUI Hanane salle de lecture 04 2256 1112268 CHENOUI Youness salle de lecture 04 2258 Reportée 1219737 CHERIF ELMASLOUHI Fatiha salle de lecture 04 2260 Reportée 1115927 CHERIF ZAOUI KAMILIA salle de lecture 04 2262 Reportée 1111054 CHERKAOUI Ali salle de lecture 04 2264 Reportée 1110625 CHERKAOUI MARIAME salle de lecture 04 2266 Reportée 1102230 CHERKAOUI Rkia salle de lecture 04 2268 Reportée 1204291 CHICHA Youssef salle de lecture 04 2270 Reportée 1205188 CHIKHAOUI Abdelkader salle de lecture 04 2272 1219454 CHIKHI SOULAYMANE salle de lecture 04 2274 Reportée 1108005 CHKEN Imane salle de lecture 04 2276 1201537 CHOKAIRI Jawad salle de lecture 04 2278 Reportée 1205803 CHOUGDALI Hicham salle de lecture 04 2280 Reportée 1204680 CHOUKRI Abdennabi salle de lecture 04 2282 Reportée 1203843 CHRIMITE Najat salle de lecture 04 2284 Reportée 1111038 CHTAKIR Rahal salle de lecture 04 2286 Reportée Matière1: Introduction au Droit positif Matière2: Introduction au Droit musulman 26/68
  • 123.
    Filière: Droit arabe Facultédes sciences juridiques et Economiques. Marrakech N° Apogée Nom Prénom Local d'examen N° d'examen Matière1 Matière2 Université Cadi Ayyad PV de surveillance: Session de rattrapage Module: Introduction au Droit privé 2012-2013 Semestre1 (nouveau système) 1203151 DAANOUN Rachid Amphi Cadi Ayyad 2 Reportée 1205597 DABLOUZI Mohammed Amphi Cadi Ayyad 4 80002204 DADI SIDI Amphi Cadi Ayyad 6 Reportée 1201343 DAFALI NOUR EDDINE Amphi Cadi Ayyad 8 Reportée 1201107 DAGDAG Zineb Amphi Cadi Ayyad 10 1202925 DAHANI Hanane Amphi Cadi Ayyad 12 Reportée 1210895 DAHANI Younes Amphi Cadi Ayyad 14 Reportée 1107089 DAHAR Fatima Amphi Cadi Ayyad 16 Reportée 1208964 DAHBI Abdelkarim Amphi Cadi Ayyad 18 Reportée 1113291 DAHBI SAMIRA Amphi Cadi Ayyad 20 1202009 DAHHIOUI Asmae Amphi Cadi Ayyad 22 1202427 DAHI Mahmoud Amphi Cadi Ayyad 24 Reportée 1107977 DAHOUAR Fatima Zahra Amphi Cadi Ayyad 26 Reportée 1220244 DAHROU Badia Amphi Cadi Ayyad 28 Reportée 1219911 DAKIR Abdelati Amphi Cadi Ayyad 30 Reportée 1204411 DAKIR Abderrahmane Amphi Cadi Ayyad 32 Reportée 1109587 DALASSI Sana Amphi Cadi Ayyad 34 Reportée 1219952 DALOUI Sara Amphi Cadi Ayyad 36 Reportée 1105865 DAMIR Mohamed Khalil Amphi Cadi Ayyad 38 Reportée 1209272 DAMOUN Layla Amphi Cadi Ayyad 40 Reportée 1201670 DANINE Youssef Amphi Cadi Ayyad 42 Reportée 1204146 DAOUD Ismail Amphi Cadi Ayyad 44 Reportée 1204172 DAOUD Khalid Amphi Cadi Ayyad 46 Reportée 1203029 DAOUDI Hamza Amphi Cadi Ayyad 48 Reportée 1204459 DARHOUCH Lahoucine Amphi Cadi Ayyad 50 Reportée 1202184 DARIF Mohamed Amphi Cadi Ayyad 52 Reportée 1210575 DARKAOUI Loubna Amphi Cadi Ayyad 54 Reportée 1208794 DEBBAGH Mohamed Amphi Cadi Ayyad 56 Reportée 1214072 DEJAIJI Yassine Amphi Cadi Ayyad 58 Reportée 1203022 DEROUNE Yassine Amphi Cadi Ayyad 60 Reportée 1203927 DERSI HOUSSAM Amphi Cadi Ayyad 62 1111243 DEZZA Hind Amphi Cadi Ayyad 64 Reportée 1201572 DHIMI Abla Amphi Cadi Ayyad 66 1220423 DIAB Elmustapha Amphi Cadi Ayyad 68 Reportée 1110974 DIBT Mariam Amphi Cadi Ayyad 70 Reportée 1205720 DICHAKOUR Mohamed Amphi Cadi Ayyad 72 Reportée 1201150 DKHIL Sidati Amphi Cadi Ayyad 74 Reportée 1201588 DNIDEN Abdessamad Amphi Cadi Ayyad 76 Reportée 1204647 DOUA Azzddine Amphi Cadi Ayyad 78 Reportée 1210848 DOUALI Chaimae Amphi Cadi Ayyad 80 Reportée1210848 DOUALI Chaimae Amphi Cadi Ayyad 80 Reportée 1219568 DOUBLALI Abdallah Amphi Cadi Ayyad 82 Reportée Matière1: Introduction au Droit positif Matière2: Introduction au Droit musulman 27/68
  • 124.
    Filière: Droit arabe Facultédes sciences juridiques et Economiques. Marrakech N° Apogée Nom Prénom Local d'examen N° d'examen Matière1 Matière2 Université Cadi Ayyad PV de surveillance: Session de rattrapage Module: Introduction au Droit privé 2012-2013 Semestre1 (nouveau système) 1204204 DOUIHI Moustapha Amphi Cadi Ayyad 84 Reportée 1100397 DOUIKSI Mohamed Amphi Cadi Ayyad 86 1106527 DOUKALI Saad Amphi Cadi Ayyad 88 Reportée 1216611 DOUNIA SALAH EDDINE Amphi Cadi Ayyad 90 Reportée 1201377 DREAI Mohammed Amphi Cadi Ayyad 92 Reportée 1202533 ECHAB Najat Amphi Cadi Ayyad 94 Reportée 1207891 ECHAIN Hamza Amphi Cadi Ayyad 96 Reportée 1203577 ECHARKAOUI Hicham Amphi Cadi Ayyad 98 Reportée 1202019 ECH-CHAJAI Aouatif Amphi Cadi Ayyad 100 Reportée 1219538 ECH-CHAOUI Khalid Amphi Cadi Ayyad 102 Reportée 1209182 ECHCHARAOUY Rabia Amphi Cadi Ayyad 104 Reportée 1211176 ECH-CHATOUI Lahcen Amphi Cadi Ayyad 106 Reportée 1219920 ECH-CHGOUIRI Khadija Amphi Cadi Ayyad 108 Reportée 1111306 EDDAH Lahouidia Amphi Cadi Ayyad 110 Reportée 1204991 ED-DAHANI Fatima Amphi Cadi Ayyad 112 Reportée 1220791 ED-DAHBI ABDELKHALEK Amphi Cadi Ayyad 114 Reportée 1114325 EDDAHMANY Touriia Amphi Cadi Ayyad 116 Reportée 1203367 EDDAKI Brahim Amphi Cadi Ayyad 118 1114278 EDDALIA Abdelilah Amphi Cadi Ayyad 120 Reportée 1101852 EDDAOUDI Errabab Amphi Cadi Ayyad 122 Reportée 1204956 EDDAOUI Omar Amphi Cadi Ayyad 124 Reportée 1203203 ED-DIREA Abdelghani Amphi Cadi Ayyad 126 Reportée 1203350 EDDNADNI Nabil Amphi Cadi Ayyad 128 Reportée 1219863 EDDRIF Loubna Amphi Cadi Ayyad 130 Reportée 1209174 EDEFFARI Yassin Amphi Cadi Ayyad 132 Reportée 1201380 EDRAOUI Abdelouahed Amphi Cadi Ayyad 134 1219922 EJJAOUI Mina Amphi Cadi Ayyad 136 Reportée 1219822 EJJOUADAR Asmaà Amphi Cadi Ayyad 138 Reportée 1205161 EKHOUIRA Azeddine Amphi Cadi Ayyad 140 Reportée 1105125 EKHOUIRA Mohamed Amphi Cadi Ayyad 142 Reportée 1203844 EL AATTARI Othman Amphi Cadi Ayyad 144 Reportée 1219565 EL AAKAL Rhita Amphi Cadi Ayyad 146 1210969 EL AALLAM MARIAM Amphi Cadi Ayyad 148 1218895 EL AAOUD Laila Amphi Cadi Ayyad 150 1201592 EL AAQIR Assma Amphi Cadi Ayyad 152 Reportée 1220930 EL AATIELLAH ABDELKARIM Amphi Cadi Ayyad 154 Reportée 1202956 EL ABBADY Ayoub Amphi Cadi Ayyad 156 Reportée 1109002 EL ABBASSI SOUKAINA Amphi Cadi Ayyad 158 Reportée 1203256 EL ABD Ahmed Amphi Cadi Ayyad 160 1203913 EL ABYAD Abderrazzak Amphi Cadi Ayyad 162 Reportée1203913 EL ABYAD Abderrazzak Amphi Cadi Ayyad 162 Reportée 1210136 EL ABYAD Hanane Amphi Cadi Ayyad 164 Reportée Matière1: Introduction au Droit positif Matière2: Introduction au Droit musulman 28/68
  • 125.
    Filière: Droit arabe Facultédes sciences juridiques et Economiques. Marrakech N° Apogée Nom Prénom Local d'examen N° d'examen Matière1 Matière2 Université Cadi Ayyad PV de surveillance: Session de rattrapage Module: Introduction au Droit privé 2012-2013 Semestre1 (nouveau système) 1207287 EL ADNANI Abdelhakim Amphi Cadi Ayyad 166 1110870 EL ADRAOUI Khalid Amphi Cadi Ayyad 168 Reportée 1210851 EL AIBOUD Anas Amphi Cadi Ayyad 170 Reportée 1006252 EL ALAMI ABDELAZIZ Amphi Cadi Ayyad 172 Reportée 1205570 EL ALLALI Charaf Amphi Cadi Ayyad 174 Reportée 1202129 EL ALLAOUI Ali Amphi Cadi Ayyad 176 Reportée 1107613 EL ALLAOUI El Hassane Amphi Cadi Ayyad 178 Reportée 1203584 EL AMIRI Mohammed Zakarya Amphi Cadi Ayyad 180 Reportée 1207524 EL AMMARI Fath-allah Amphi Cadi Ayyad 182 Reportée 1204328 EL AMRANI Hicham Amphi Cadi Ayyad 184 Reportée 1106914 EL AMRANI SOUKAINA Amphi Cadi Ayyad 186 Reportée 1205744 EL AMRAOUI Hicham Amphi Cadi Ayyad 188 1201391 EL AMRI Mouloud Amphi Cadi Ayyad 190 Reportée 1111336 EL ANSARI Abdelfattah Amphi Cadi Ayyad 192 Reportée 1204752 EL ANYA Salma Amphi Cadi Ayyad 194 Reportée 1209521 EL AOUAME Othmane Amphi Cadi Ayyad 196 1201798 EL AOUD Mustapha Amphi Cadi Ayyad 198 Reportée 1202050 EL AOUD Naima Amphi Cadi Ayyad 200 Matière1: Introduction au Droit positif Matière2: Introduction au Droit musulman 29/68
  • 126.
    Filière: Droit arabe Facultédes sciences juridiques et Economiques. Marrakech N° Apogée Nom Prénom Local d'examen N° d'examen Matière1 Matière2 Université Cadi Ayyad PV de surveillance: Session de rattrapage Module: Introduction au Droit privé 2012-2013 Semestre1 (nouveau système) 1201688 EL ARAJI Souad Amphi Abou El Abbass Essabti 202 Reportée 1106188 EL ARNOUQI Asma Amphi Abou El Abbass Essabti 204 Reportée 1006265 EL ASFOURI HICHAM Amphi Abou El Abbass Essabti 206 Reportée 1205850 EL ASRI Anass Amphi Abou El Abbass Essabti 208 1219431 EL ASSALI Afaf Amphi Abou El Abbass Essabti 210 Reportée 1106908 EL ASSAOUI Hayat Amphi Abou El Abbass Essabti 212 Reportée 1219628 EL ATRANE Mbarek Amphi Abou El Abbass Essabti 214 Reportée 1202369 EL ATTAR Jaouad Amphi Abou El Abbass Essabti 216 Reportée 1220189 EL AYANE Imane Amphi Abou El Abbass Essabti 218 Reportée 9294190 EL AZHARI FATIMA EZZAHRA Amphi Abou El Abbass Essabti 220 Reportée 1201409 EL AZHARI Soukaina Amphi Abou El Abbass Essabti 222 Reportée 1209379 EL AZRAK ADIL Amphi Abou El Abbass Essabti 224 Reportée 1207124 EL BACHRAOUI Ibtissame Amphi Abou El Abbass Essabti 226 Reportée 1219716 EL BADRAOUI Siham Amphi Abou El Abbass Essabti 228 Reportée 1210663 EL BAHANOURI YASSINE Amphi Abou El Abbass Essabti 230 1111126 EL BAHRI Abdeljalil Amphi Abou El Abbass Essabti 232 Reportée 1203572 EL BANDAKI Mohamed Amphi Abou El Abbass Essabti 234 Reportée 1102156 EL BARAH Abdellah Amphi Abou El Abbass Essabti 236 Reportée 1206212 EL BARAKA Aicha Amphi Abou El Abbass Essabti 238 1204959 EL BARBOUCHI Yahdih Amphi Abou El Abbass Essabti 240 Reportée 1101794 EL BARI Aamro Amphi Abou El Abbass Essabti 242 Reportée 1219842 EL BAZ Rachida Amphi Abou El Abbass Essabti 244 1219870 EL BBAZ Rkia Amphi Abou El Abbass Essabti 246 1204890 EL BERKAOUI Souad Amphi Abou El Abbass Essabti 248 Reportée 1201402 EL BOUALAMI Abdelilah Amphi Abou El Abbass Essabti 250 Reportée 1204716 EL BOUAZZAOUI Abdennabi Amphi Abou El Abbass Essabti 252 1205827 EL BOUBEKRI Hassnae Amphi Abou El Abbass Essabti 254 Reportée 1104287 EL BOUDANI Daouya Amphi Abou El Abbass Essabti 256 Reportée 1110154 EL BOUGHDADI Mina Amphi Abou El Abbass Essabti 258 1201153 EL BOUHANE Abdelkarim Amphi Abou El Abbass Essabti 260 Reportée 1111280 EL BOUHI Fadoua Amphi Abou El Abbass Essabti 262 Reportée 1202621 EL BOUKY Mohamed Amphi Abou El Abbass Essabti 264 1203050 EL BOUTAIRI Rania Amphi Abou El Abbass Essabti 266 Reportée 1205634 EL BOUTI Zakaria Amphi Abou El Abbass Essabti 268 Reportée 1201772 EL BOUZIDI Hamza Amphi Abou El Abbass Essabti 270 1204500 EL FADILI Latifa Amphi Abou El Abbass Essabti 272 Reportée 1201094 EL FAHIM Ayoub Amphi Abou El Abbass Essabti 274 Reportée 1216645 EL FAHIM Salah Amphi Abou El Abbass Essabti 276 Reportée 1114402 EL FAHIRI Hasna Amphi Abou El Abbass Essabti 278 Reportée 1108318 EL FAKIRI Hafida Amphi Abou El Abbass Essabti 280 Reportée1108318 EL FAKIRI Hafida Amphi Abou El Abbass Essabti 280 Reportée 1005071 EL FAOUAL SLIMAN Amphi Abou El Abbass Essabti 282 Reportée Matière1: Introduction au Droit positif Matière2: Introduction au Droit musulman 30/68
  • 127.
    Filière: Droit arabe Facultédes sciences juridiques et Economiques. Marrakech N° Apogée Nom Prénom Local d'examen N° d'examen Matière1 Matière2 Université Cadi Ayyad PV de surveillance: Session de rattrapage Module: Introduction au Droit privé 2012-2013 Semestre1 (nouveau système) 1205136 EL FARAJI Fatima-ezzahra Amphi Abou El Abbass Essabti 284 Reportée 1202314 EL FARAJY Ayoub Amphi Abou El Abbass Essabti 286 1202863 EL FARFAR Nadia Amphi Abou El Abbass Essabti 288 Reportée 1204927 EL FARIQ Nadia Amphi Abou El Abbass Essabti 290 Reportée 1204974 EL FATIHI YOUNES Amphi Abou El Abbass Essabti 292 Reportée 1209555 EL FATIMI Mouhssine Amphi Abou El Abbass Essabti 294 1101684 EL FATIMI Ouafa Amphi Abou El Abbass Essabti 296 Reportée 1202823 EL FERGANI ALAA-EDDINE Amphi Abou El Abbass Essabti 298 Reportée 1103180 EL FGUIRICH Mohamed Amphi Abou El Abbass Essabti 300 Reportée 1205648 EL FISSI Meryam Amphi Abou El Abbass Essabti 302 Reportée 1220236 EL FOUAL Abdelhadi Amphi Abou El Abbass Essabti 304 Reportée 1219782 EL FOULANI ABDELHAK Amphi Abou El Abbass Essabti 306 Reportée 1202122 EL GAABOUR Ghizlane Amphi Abou El Abbass Essabti 308 Reportée 1101399 EL GABI ABDELILAH Amphi Abou El Abbass Essabti 310 Reportée 1107227 EL GADDARI Hayat Amphi Abou El Abbass Essabti 312 Reportée 1219805 EL GALLAF YOUNES Amphi Abou El Abbass Essabti 314 Reportée 1202158 EL GARBA Mina Amphi Abou El Abbass Essabti 316 Reportée 1102558 EL GARNAOUI M'barka Amphi Abou El Abbass Essabti 318 Reportée 1209798 EL GARNAOUI Rachid Amphi Abou El Abbass Essabti 320 Reportée 1009395 EL GARNAOUI RACHIDA Amphi Abou El Abbass Essabti 322 Reportée 1102015 EL GAZZAR Safae Amphi Abou El Abbass Essabti 324 Reportée 1216388 EL GHAFRAOUI Hayat Amphi Abou El Abbass Essabti 326 1211185 EL GHAZAOUI Siham Amphi Abou El Abbass Essabti 328 Reportée 1220092 EL GHAZI Ayoub Amphi Abou El Abbass Essabti 330 Reportée 1202750 EL GHAZI Hamza Amphi Abou El Abbass Essabti 332 Reportée 1201654 EL GHAZOUANI Noureddine Amphi Abou El Abbass Essabti 334 Reportée 1107025 EL GHAZOUANI Zineb Amphi Abou El Abbass Essabti 336 Reportée 1113788 EL GHOMAITY Abdellah Amphi Abou El Abbass Essabti 338 Reportée 1209865 EL GRIOUIZ Latifa Amphi Abou El Abbass Essabti 340 Reportée 1204078 EL GUANA KHADIJA Amphi Abou El Abbass Essabti 342 Reportée 1211204 EL GUASMI Maryeam Amphi Abou El Abbass Essabti 344 Reportée 1102013 EL GUEDDASY HANAN Amphi Abou El Abbass Essabti 346 Reportée 1201611 EL GUESSAB Jebrane Amphi Abou El Abbass Essabti 348 Reportée 1202350 EL HACHEMY Jaouad Amphi Abou El Abbass Essabti 350 Reportée 1219796 EL HADRY Noura Amphi Abou El Abbass Essabti 352 Reportée 1203710 EL HAFIANE ABDELFATTAH Amphi Abou El Abbass Essabti 354 Reportée 1219582 EL HAICHAMI Imane Amphi Abou El Abbass Essabti 356 Reportée 1205019 EL HAMDAOUI Abdellatif Amphi Abou El Abbass Essabti 358 Reportée 1209683 EL HAMDI Zahra Amphi Abou El Abbass Essabti 360 Reportée 1103503 EL HAMDOU Mohssine Amphi Abou El Abbass Essabti 3621103503 EL HAMDOU Mohssine Amphi Abou El Abbass Essabti 362 1204438 EL HAMIDY Samira Amphi Abou El Abbass Essabti 364 Reportée Matière1: Introduction au Droit positif Matière2: Introduction au Droit musulman 31/68
  • 128.
    Filière: Droit arabe Facultédes sciences juridiques et Economiques. Marrakech N° Apogée Nom Prénom Local d'examen N° d'examen Matière1 Matière2 Université Cadi Ayyad PV de surveillance: Session de rattrapage Module: Introduction au Droit privé 2012-2013 Semestre1 (nouveau système) 1202605 EL HAMOUNI Abderrahman Amphi Abou El Abbass Essabti 366 1216609 EL HAMRI YOUSSEF Amphi Abou El Abbass Essabti 368 1201718 EL HAMYAOUI Mohamed Amine Amphi Abou El Abbass Essabti 370 Reportée 1101634 EL HAMZI Mohamed Amphi Abou El Abbass Essabti 372 Reportée 1111337 EL HANCHAR Fatima Zahra Amphi Abou El Abbass Essabti 374 Reportée 1204360 EL HANOUNI Bouchaib Amphi Abou El Abbass Essabti 376 Reportée 1207943 EL HAOUARI ABDELWAHED Amphi Abou El Abbass Essabti 378 1202339 EL HAOUARI Abdessadek Amphi Abou El Abbass Essabti 380 Reportée 1216373 EL HAOUARI Khadija Amphi Abou El Abbass Essabti 382 Reportée 1206732 EL HAOUZI Hanane Amphi Abou El Abbass Essabti 384 Reportée 1208077 EL HARAS Jamila Amphi Abou El Abbass Essabti 386 Reportée 1205230 EL HARCHI Rachida Amphi Abou El Abbass Essabti 388 1203855 EL HARFI Abdelhadi Amphi Abou El Abbass Essabti 390 Reportée Matière1: Introduction au Droit positif Matière2: Introduction au Droit musulman 32/68
  • 129.
    Filière: Droit arabe Facultédes sciences juridiques et Economiques. Marrakech N° Apogée Nom Prénom Local d'examen N° d'examen Matière1 Matière2 Université Cadi Ayyad PV de surveillance: Session de rattrapage Module: Introduction au Droit privé 2012-2013 Semestre1 (nouveau système) 1106683 EL HARTI Amina Amphi Imam Malik 582 Reportée 1101259 EL HASSAD Aouatif Amphi Imam Malik 584 Reportée 1204311 EL HASSAN Echarghi Amphi Imam Malik 586 Reportée 1207994 EL HASSANI Zaynab Amphi Imam Malik 588 Reportée 1110301 EL HASSNAOUI ABDESSMAD Amphi Imam Malik 590 Reportée 1109088 EL HAZIMY Youssef Amphi Imam Malik 592 Reportée 1219585 EL HEJAB Yassine Amphi Imam Malik 594 Reportée 1204441 EL HORRE Nassima Amphi Imam Malik 596 Reportée 1210014 EL HROUM Widad Amphi Imam Malik 598 Reportée 1103891 EL IDRISSI Abdelilah Amphi Imam Malik 600 Reportée 1201578 EL IDRISSI BOUCHAIB Amphi Imam Malik 602 Reportée 1208942 EL IDRISSI Mohamed Amphi Imam Malik 604 Reportée 1203277 EL IDRISSI Moulay El Bachir Amphi Imam Malik 606 1204764 EL IDRISSI Soukaina Amphi Imam Malik 608 Reportée 1205018 EL IDRISSI Yassine Amphi Imam Malik 610 Reportée 1102785 EL IDRISSY Laila Amphi Imam Malik 612 Reportée 1203068 EL IDRISY Brahim Amphi Imam Malik 614 Reportée 1210037 EL IDRYSY Hasna Amphi Imam Malik 616 Reportée 1107578 EL JADID Younness Amphi Imam Malik 618 Reportée 1210238 EL JAHOUARI Nada Amphi Imam Malik 620 Reportée 1208496 EL JAMI Najwa Amphi Imam Malik 622 Reportée 1211103 EL JARJARI Soukaina Amphi Imam Malik 624 Reportée 1104822 EL JARRARI Youssef Amphi Imam Malik 626 Reportée 1217373 EL KABOUSSE NAIMA Amphi Imam Malik 628 Reportée 1105871 EL KADDOURI Amine Amphi Imam Malik 630 Reportée 1205768 EL KADRAOUI Saloua Amphi Imam Malik 632 Reportée 1219543 EL KADRI Halima Amphi Imam Malik 634 Reportée 1204851 EL KAISSOUNI Morad Amphi Imam Malik 636 Reportée 1205025 EL KALAOUI Hajar Amphi Imam Malik 638 Reportée 1201289 EL KARAM Imad Amphi Imam Malik 640 Reportée 1201286 EL KARYA Sanaa Amphi Imam Malik 642 1203165 EL KASSIOUI Elhassan Amphi Imam Malik 644 1209748 EL KHALFAOUI Othmane Amphi Imam Malik 646 Reportée 1108667 EL KHALIL Khadija Amphi Imam Malik 648 Reportée 1203948 EL KHALILI Yassine Amphi Imam Malik 650 1106445 EL KHAMIRI Dounia Amphi Imam Malik 652 Reportée 1111608 EL KHAN Brahim Amphi Imam Malik 654 Reportée 1000095 EL KHANCHAOUI DOUNYA Amphi Imam Malik 656 Reportée 1202174 EL KHATIB Hamza Amphi Imam Malik 658 Reportée 1201161 EL KHAYAR Atman Amphi Imam Malik 660 Reportée1201161 EL KHAYAR Atman Amphi Imam Malik 660 Reportée 1110433 EL KHIALI Mohamed Amphi Imam Malik 662 Reportée Matière1: Introduction au Droit positif Matière2: Introduction au Droit musulman 33/68
  • 130.
    Filière: Droit arabe Facultédes sciences juridiques et Economiques. Marrakech N° Apogée Nom Prénom Local d'examen N° d'examen Matière1 Matière2 Université Cadi Ayyad PV de surveillance: Session de rattrapage Module: Introduction au Droit privé 2012-2013 Semestre1 (nouveau système) 1218941 EL KHOTFI El Moustapha Amphi Imam Malik 664 Reportée 1210834 EL KIHAL HASSANIA Amphi Imam Malik 666 Reportée 1201554 EL KORICHI Abderrazek Amphi Imam Malik 668 Reportée 1110036 EL KOUFI Kamal Amphi Imam Malik 670 1106557 EL KOUZATI Lahcen Amphi Imam Malik 672 Reportée 1203717 EL MAAZOUZI Abdelghafour Amphi Imam Malik 674 Reportée 1208795 EL MACHMACHI Ghariba Amphi Imam Malik 676 1209121 EL MADYNY Mohammed Amphi Imam Malik 678 Reportée 1205001 EL MAJNAOUI Rida Amphi Imam Malik 680 Reportée 1202092 EL MALLOULI Abdessamad Amphi Imam Malik 682 Reportée 1220388 EL MANINE Yassine Amphi Imam Malik 684 1202452 EL MANSOURY Saida Amphi Imam Malik 686 1207855 EL MANYIY Mohammed Amphi Imam Malik 688 Reportée 1201410 EL MARDI Khalid Amphi Imam Malik 690 Reportée 1106658 EL MARRAKOCHI Abdelkerim Amphi Imam Malik 692 Reportée 1201557 EL MASKYNY Fatiha Amphi Imam Malik 694 Reportée 1201906 EL MASMOUDI Mouloud Amphi Imam Malik 696 Reportée 1105247 EL MATLOUB RADOUAN Amphi Imam Malik 698 Reportée 1203371 EL MAYAZE Karim Amphi Imam Malik 700 1216782 EL MAZOUARI Mohammed Amphi Imam Malik 702 Reportée 1201093 EL MEJDI Imane Amphi Imam Malik 704 Reportée 1205033 EL MEJHED Houria Amphi Imam Malik 706 Reportée 1200490 EL MEKAOUI Soukaina Amphi Imam Malik 708 Reportée 1205228 EL MEKKA Najat Amphi Imam Malik 710 Reportée 1219820 EL MELLAH Aziz Amphi Imam Malik 712 Reportée 1203324 EL MESBAHI AATIK Younes Amphi Imam Malik 714 Reportée 1213569 EL MESLOHI Bouchra Amphi Imam Malik 716 1203788 EL MIDCHI Aissam Amphi Imam Malik 718 Reportée 1210083 EL MIMOUNI Khaoula Amphi Imam Malik 720 Reportée 1202640 EL MIMOUNI Loubna Amphi Imam Malik 722 1220313 EL MODAFFAR BOUZEKRI Amphi Imam Malik 724 1205239 EL MOJAHID Assya Amphi Imam Malik 726 Reportée 1205169 EL MOJAHID Mina Amphi Imam Malik 728 1203969 EL MOJAHID Mohammed Amphi Imam Malik 730 Reportée 1201143 EL MOJAHID Najat Amphi Imam Malik 732 Reportée 1106747 EL MOKHTARI Abdellah Amphi Imam Malik 734 Reportée 1205221 EL MORSLI Youssef Amphi Imam Malik 736 Reportée 1203858 EL MOUAINI Abdelmottalib Amphi Imam Malik 738 Reportée 1220892 EL MOUCHOURI MANAR Amphi Imam Malik 740 Reportée 1114556 EL MOUDA AATIQA Amphi Imam Malik 742 Reportée1114556 EL MOUDA AATIQA Amphi Imam Malik 742 Reportée 1203775 EL MOUDAA Abdelkarim Amphi Imam Malik 744 Reportée Matière1: Introduction au Droit positif Matière2: Introduction au Droit musulman 34/68
  • 131.
    Filière: Droit arabe Facultédes sciences juridiques et Economiques. Marrakech N° Apogée Nom Prénom Local d'examen N° d'examen Matière1 Matière2 Université Cadi Ayyad PV de surveillance: Session de rattrapage Module: Introduction au Droit privé 2012-2013 Semestre1 (nouveau système) 1203047 EL MOUEDIN Mohamed Oussama Amphi Imam Malik 746 Reportée 1201027 EL MOUEFFAK Najia Amphi Imam Malik 748 Reportée 1219722 EL MOUHI Imad Amphi Imam Malik 750 Reportée 1206897 EL MOUMENE Fatima-ezzahra Amphi Imam Malik 752 Reportée 1201396 EL MOUMNI Nezha Amphi Imam Malik 754 Reportée 1220426 EL MOUNTASSIR SABIR Amphi Imam Malik 756 Reportée 1219658 EL MOUQATE Amine Amphi Imam Malik 758 Reportée 1200376 EL MOURABIT MOHAMED Amphi Imam Malik 760 Reportée 1205862 EL MOURABIT Mohammed Amphi Imam Malik 762 Reportée 9292689 EL MOUSAIDI ABDERRAHMAN Amphi Imam Malik 764 Reportée 1219872 EL MOUSSAOUI Mohammed Amphi Imam Malik 766 Reportée 1204469 EL MOUSSAOUI Oussama Amphi Imam Malik 768 Reportée 1202992 EL MOUTAOIKIL Youssef Amphi Imam Malik 770 Reportée 1208921 EL MOUTAOUAKKAL Wafae Amphi Imam Malik 772 Reportée 1203283 EL NASSIRI Mohammed Amphi Imam Malik 774 Reportée 1201778 EL ORCH Mohamed Amphi Imam Malik 776 Reportée 1219707 EL OUAHABI Salwa Amphi Imam Malik 778 Reportée 1107095 EL OUAHHABI Said Amphi Imam Malik 780 Reportée 1202291 EL OUAHI Hamza Amphi Imam Malik 782 Reportée 1209024 EL OUAHIDY Laila Amphi Imam Malik 784 1220941 EL OUAHMANI EL OUANNAT Amphi Imam Malik 786 Reportée 1203357 EL OUARDI Amine Amphi Imam Malik 788 Reportée 1219774 EL OUARDI FANIDA Amphi Imam Malik 790 Reportée 1107995 EL OUARDI Hanane Amphi Imam Malik 792 Reportée 1220880 EL OUARITI RACHID Amphi Imam Malik 794 Reportée 1204424 EL OUATANE Fouzia Amphi Imam Malik 796 Reportée 1201200 EL OUATIK Rachid Amphi Imam Malik 798 Reportée 1202665 EL OUATIK Touria Amphi Imam Malik 800 Reportée 1217548 EL OURES ABDELHAK Amphi Imam Malik 802 Reportée 1202229 EL QARBALI Hassan Amphi Imam Malik 804 Reportée 1202827 EL QASEMY Mohsin Amphi Imam Malik 806 Reportée 1211206 EL QAZOUINI Houda Amphi Imam Malik 808 1101210 EL QORCHI Jamal Amphi Imam Malik 810 Reportée 1210326 EL RHAZI Hanan Amphi Imam Malik 812 Reportée 1204913 EL RHOURBA Khalid Amphi Imam Malik 814 1114488 EL YAMANI Rida Amphi Imam Malik 816 1217460 EL YASMINE RIDA Amphi Imam Malik 818 Reportée 1202877 EL YAZIDI Hicham Amphi Imam Malik 820 Reportée 1204106 EL YOUSSOUFI Fouzia Amphi Imam Malik 822 Reportée 1203561 EL YOUSSOUFI Halima Amphi Imam Malik 824 Reportée1203561 EL YOUSSOUFI Halima Amphi Imam Malik 824 Reportée 1115117 EL YOUSSOUFI Mohamed Amphi Imam Malik 826 Matière1: Introduction au Droit positif Matière2: Introduction au Droit musulman 35/68
  • 132.
    Filière: Droit arabe Facultédes sciences juridiques et Economiques. Marrakech N° Apogée Nom Prénom Local d'examen N° d'examen Matière1 Matière2 Université Cadi Ayyad PV de surveillance: Session de rattrapage Module: Introduction au Droit privé 2012-2013 Semestre1 (nouveau système) 1201576 ELAABBADI Mustapha Amphi Imam Malik 828 Reportée 1210505 ELAABBAR Ilham Amphi Imam Malik 830 Reportée 1003630 ELAALLAM ABDELMALEK Amphi Imam Malik 832 Reportée 1111119 ELAALLAOUI Imane Amphi Imam Malik 834 Reportée 1202269 ELAARIOUI Manale Amphi Imam Malik 836 Reportée 1202330 ELAATFAOUI Rajaa Amphi Imam Malik 838 Reportée 1201650 ELAAYNOUSS Rachid Amphi Imam Malik 840 Reportée 1201392 ELABSSANI Amin Amphi Imam Malik 842 Reportée 1211623 ELADNANI Chakira Amphi Imam Malik 844 Reportée 1220054 ELAICH Halima Amphi Imam Malik 846 Reportée 1204903 ELALAOUI Latifa Amphi Imam Malik 848 Reportée 1219874 ELALAOUI LASMAILI Hajar Amphi Imam Malik 850 Reportée 1202463 EL-ALLALI Souad Amphi Imam Malik 852 Reportée 1103894 ELALLAOUI Noura Amphi Imam Malik 854 Reportée 1203201 ELALOUANI Hajar Amphi Imam Malik 856 Reportée 1204980 ELALY Hassane Amphi Imam Malik 858 Reportée 1203240 ELAMIRI Adil Amphi Imam Malik 860 Reportée 1201142 EL-AMMARI Mohamed Amphi Imam Malik 862 Reportée 1203807 ELAMRAOUI Ayoub Amphi Imam Malik 864 1209301 ELAMRI Bouchra Amphi Imam Malik 866 Reportée 1201794 ELAOUAJI Hicham Amphi Imam Malik 868 1106768 ELASADY Achraf Amphi Imam Malik 870 Reportée 1202915 ELASRI Khadija Amphi Imam Malik 872 Reportée 1004546 ELASRI MOHAMED Amphi Imam Malik 874 Reportée 1107542 ELAZAOUI Laila Amphi Imam Malik 876 Reportée 1203873 ELBACHLAOUI KAWTAR Amphi Imam Malik 878 Reportée 1203751 EL-BADAOUI Khaled Amphi Imam Malik 880 Reportée Matière1: Introduction au Droit positif Matière2: Introduction au Droit musulman 36/68
  • 133.
    Filière: Droit arabe Facultédes sciences juridiques et Economiques. Marrakech N° Apogée Nom Prénom Local d'examen N° d'examen Matière1 Matière2 Université Cadi Ayyad PV de surveillance: Session de rattrapage Module: Introduction au Droit privé 2012-2013 Semestre1 (nouveau système) 1211408 ELBAHIRA Brahim salle 1 2272 Reportée 1210286 ELBALILI Noura salle 1 2274 Reportée 1203030 ELBANAN Sofiane salle 1 2276 1113790 ELBARDANI Hassnae salle 1 2278 1209105 ELBARDI Youssef salle 1 2280 Reportée 1202333 ELBARHOUMI Khamissa salle 1 2282 Reportée 1219430 ELBAZ SIHAM salle 1 2284 Reportée 1203848 ELBAZOUNI Khalid salle 1 2286 1216727 ELBELDI Outmane salle 1 2288 1208749 ELBIKAM Fattou salle 1 2290 1220219 ELBIKRA NOUREDDINE salle 1 2292 Reportée 1204879 ELBOUANANI Mohamed salle 1 2294 Reportée 1201041 ELBOUDALI Yassine salle 1 2296 1204906 ELBOUHDOUDI Mohammed salle 1 2298 Reportée 1219711 ELBOUHTOURI Nezha salle 1 2300 Reportée 1204518 ELFAIZ Karim salle 1 2302 Reportée 1202062 ELFAKIR ABDELJALIL salle 1 2304 Reportée 1210467 ELFAKIR Jihane salle 1 2306 Reportée 1204000 ELFAQRI Soufiane salle 1 2308 1203922 ELFATHI Charaf salle 1 2310 1202149 ELFATIHI Radouan salle 1 2312 Reportée 1114148 ELFEJOUJY Jaouad salle 1 2314 Reportée 1220927 ELGARD HAJAR salle 1 2316 Reportée 1109853 ELGAREH Soufiane salle 1 2318 Reportée 1201347 EL-GHALI Mohamed salle 1 2320 Reportée 1004322 ELGHAMRI ABDESLAM salle 1 2322 Reportée 1107729 EL-GHAZELY Bouziyane salle 1 2324 Reportée 1219978 EL-GLITI TAHA MOHAMED salle 1 2326 Reportée 1201202 ELGUANA Abd Elmajid salle 1 2328 Reportée 1108571 EL-HACHEMY Atika salle 1 2330 Reportée 1205175 ELHADAR Sanaa salle 1 2332 Reportée 1208281 ELHAFIDI Abdelmoula salle 1 2334 1203895 ELHAFYANI Rahhal salle 1 2336 Reportée 1204885 ELHAIL Youssef salle 1 2338 Reportée 1202730 ELHAJAJI Hassan salle 1 2340 Reportée Matière1: Introduction au Droit positif Matière2: Introduction au Droit musulman 37/68
  • 134.
    Filière: Droit arabe Facultédes sciences juridiques et Economiques. Marrakech N° Apogée Nom Prénom Local d'examen N° d'examen Matière1 Matière2 Université Cadi Ayyad PV de surveillance: Session de rattrapage Module: Introduction au Droit privé 2012-2013 Semestre1 (nouveau système) 1113826 EL-HAMEL HALIMA salle 2 2342 Reportée 1101042 ELHAOUASSI Moulay salle 2 2344 Reportée 1205173 ELHAOUASSI Samya salle 2 2346 Reportée 1211292 ELHARRAR Mohamed salle 2 2348 Reportée 1211081 ELHASSANY Somayya salle 2 2350 Reportée 1101120 ELHASSOUNI Zakaria salle 2 2352 Reportée 1218801 ELHOR MINA salle 2 2354 Reportée 1220307 ELHOUST Karima salle 2 2356 Reportée 1203276 EL-IBRAHYMY Latifa salle 2 2358 Reportée 1202107 ELIDRISSI Mourad salle 2 2360 Reportée 1220281 ELIDRISSI Souad salle 2 2362 Reportée 1211296 ELIDRISSI DAFALI ABDENACER salle 2 2364 Reportée 1112035 ELJABIRI Hasna salle 2 2366 Reportée 1205646 EL-JABIRY Redouane salle 2 2368 Reportée 1219630 ELJADID ESSAID salle 2 2370 Reportée 1217465 ELKABOURI ABDELMOULA salle 2 2372 Reportée 1204011 ELKADRI Rabab salle 2 2374 Reportée 1219652 ELKAFI NADIA salle 2 2376 1208628 ELKAFRAOUI Najia salle 2 2378 Reportée 1106382 ELKHAHIRI Jihad salle 2 2380 Reportée 1107781 ELKHALDI Hassane salle 2 2382 Reportée 1216667 ELKHOURI MARHRA Fatima Zahra salle 2 2384 1108547 ELKIRAT Soukaina salle 2 2386 Reportée 1204853 ELKISSAI Hasnae salle 2 2388 Reportée 1202342 ELKOREICHI Khadija salle 2 2390 1204896 ELKOURCHI Imane salle 2 2392 Reportée 1201305 ELLAOU Lamnia salle 2 2394 Reportée 1219625 ELLEMYSY Chadia salle 2 2396 Reportée 1202322 ELLOUYTY FATIMA salle 2 2398 Reportée 1219725 ELMAHDAOUY Amal salle 2 2400 Reportée 1101606 ELMAJDAOUI Charaf salle 2 2402 Reportée 1206299 ELMAKNI Elhassan salle 2 2404 Reportée 1209761 ELMALATI Said salle 2 2406 Reportée 1211959 ELMALLOULI Aziza salle 2 2408 Reportée 1208104 ELMANSOURI Abderrahim salle 2 2410 Reportée Matière1: Introduction au Droit positif Matière2: Introduction au Droit musulman 38/68
  • 135.
    Filière: Droit arabe Facultédes sciences juridiques et Economiques. Marrakech N° Apogée Nom Prénom Local d'examen N° d'examen Matière1 Matière2 Université Cadi Ayyad PV de surveillance: Session de rattrapage Module: Introduction au Droit privé 2012-2013 Semestre1 (nouveau système) 1216665 ELMANSOURI Sara salle 3 2412 Reportée 1204390 ELMARBOUH Jamila salle 3 2414 Reportée 1210104 ELMASMOUDI Yousra salle 3 2416 1202423 ELMECHYLY Zakaria salle 3 2418 Reportée 1100617 ELMEZOUARI Elyas salle 3 2420 Reportée 1205212 ELMILOUAY Houria salle 3 2422 Reportée 1212438 ELMIRAHI Khalid salle 3 2424 Reportée 1201204 ELMONTASER Laila salle 3 2426 Reportée 1210721 ELMOSAIF Soumyia salle 3 2428 Reportée 1201302 ELMOUADINE Fatimaezzahra salle 3 2430 1201751 ELMOUSSAOUI Abdessamad salle 3 2432 1219540 ELOUAHMANI Mohamed salle 3 2434 1209352 ELOUAHRANI Sanae salle 3 2436 Reportée 1220784 EL-OUALI MOHA salle 3 2438 Reportée 1210275 ELOUARANI Abdelahak salle 3 2440 1106832 ELOUARDI Hasna salle 3 2442 Reportée 1114646 EL-OUATQI Khaoula salle 3 2444 Reportée 1108371 ELQAR Fatima Ezzahra salle 3 2446 Reportée 1102527 ELRHAZWANI Mustapha salle 3 2448 Reportée 1216297 ELSOULDI Naima salle 3 2450 Reportée 1209294 ELYAFIY Dounia salle 3 2452 Reportée 1205152 ELYAKOUBI Fadma salle 3 2454 Reportée 1201595 ENANI Hicham salle 3 2456 1220889 ENHILI ABDELILAH salle 3 2458 Reportée 1203629 ENNAB Saida salle 3 2460 Reportée 1204325 ENNACHAT Ayyoub salle 3 2462 Reportée 1203799 ENNACIRI Faical salle 3 2464 Reportée 1105457 ENNACIRI Mohamed salle 3 2466 Reportée 1214053 ENNACIRI Naima salle 3 2468 Reportée 1210894 ENNADIFI Kenza salle 3 2470 Reportée 1115589 ENNAFAA SIDI AHMED salle 3 2472 Reportée 1102771 ENNAIM Ferdaous salle 3 2474 Reportée 1201003 ENNAJMI Ayoub salle 3 2476 Reportée 1205898 ENNAOURI Dounia salle 3 2478 Reportée 1202178 ENNASFI Malika salle 3 2480 Reportée Matière1: Introduction au Droit positif Matière2: Introduction au Droit musulman 39/68
  • 136.
    Filière: Droit arabe Facultédes sciences juridiques et Economiques. Marrakech N° Apogée Nom Prénom Local d'examen N° d'examen Matière1 Matière2 Université Cadi Ayyad PV de surveillance: Session de rattrapage Module: Introduction au Droit privé 2012-2013 Semestre1 (nouveau système) 1216936 ENNASIRY Soukaina salle 4 2482 Reportée 1207714 ENNAY Touria salle 4 2484 1201075 ENNAZI Wafaa salle 4 2486 Reportée 1201385 EN-NEJMAOUI Abdelilah salle 4 2488 Reportée 1220095 ENNOUIGUED Omar salle 4 2490 Reportée 1201070 ER RAHHALI Fairouz salle 4 2492 1203282 ER-RACHDI Maria salle 4 2494 Reportée 1211085 ERRACHIDI Rabiaa salle 4 2496 Reportée 1209059 ERRACHIDI Samir salle 4 2498 Reportée 1201330 ERRAGADI Anas salle 4 2500 Reportée 1208153 ERRAHILI Hassan salle 4 2502 1202394 ERRAHMANI Soukaina salle 4 2504 Reportée 1207062 ER-RAHMAOUY Saida salle 4 2506 Reportée 1216619 ERRAHMOUNY Khalid salle 4 2508 Reportée 1220382 ERRAIS Abderrazak salle 4 2510 Reportée 1206799 ER-RAMCHANY Rachida salle 4 2512 Reportée 1100990 ERRAMI Youssef salle 4 2514 Reportée 1201291 ERRAYS Siham salle 4 2516 Reportée 1108268 ER-RGUI Latifa salle 4 2518 Reportée 1204117 ERRIDA Raja salle 4 2520 Reportée 1206417 ES SINNANI Youness salle 4 2522 1202254 ESINFI Soufian salle 4 2524 Reportée 1219634 ESKALLI Abdelatif salle 4 2526 Reportée 1101103 ES-SABBAR Ahmed salle 4 2528 1219792 ES-SABBAR YOUNES salle 4 2530 1201254 ESSABHI Bouchra salle 4 2532 Reportée 1114589 ESSABI HICHAM salle 4 2534 Reportée 1219434 ESSAFI AKHLIFA salle 4 2536 Reportée 1210409 ESSAFIAOUI Habiba salle 4 2538 Reportée 1102163 ES-SAHL Aziz salle 4 2540 Reportée 1201088 ESSAHRAOUI Rahhal salle 4 2542 Reportée 1219525 ESSAKOURI HAMID salle 4 2544 Reportée 1205222 ESSALEHY Saida salle 4 2546 1204772 ESSAOUD Btissam salle 4 2548 1207986 ESSARRARR Nejma salle 4 2550 Reportée Matière1: Introduction au Droit positif Matière2: Introduction au Droit musulman 40/68
  • 137.
    Filière: Droit arabe Facultédes sciences juridiques et Economiques. Marrakech N° Apogée Nom Prénom Local d'examen N° d'examen Matière1 Matière2 Université Cadi Ayyad PV de surveillance: Session de rattrapage Module: Introduction au Droit privé 2012-2013 Semestre1 (nouveau système) 1205187 ESSARSAR Wafa salle 5 2552 Reportée 1204082 ESSELLAMI Abdelghani salle 5 2554 Reportée 1108746 ES-SEMGANY Fatima salle 5 2556 Reportée 1105468 ESSERAKHI MOHAMED salle 5 2558 Reportée 1202751 ES-SIAD Sara salle 5 2560 Reportée 1213716 ES-SOHBANI Abdelouahed salle 5 2562 Reportée 1209399 ESSOURNI Akram salle 5 2564 Reportée 1203353 ETAYIBI Ahmed salle 5 2566 Reportée 1217557 ETOUYSI KHAOULA salle 5 2568 Reportée 1205125 ET-TAHHANE Lahoucine salle 5 2570 Reportée 1203841 ETTAHIRY Jaouad salle 5 2572 Reportée 1203941 ETTAHOUN Naim salle 5 2574 Reportée 1204955 ETTAIEB Abderrahim salle 5 2576 Reportée 1201664 ETTAKAFFOULI Wahiba salle 5 2578 Reportée 1105255 ET-TALBI Amina salle 5 2580 Reportée 1103756 ET-TALBI Wassila salle 5 2582 Reportée 1209275 ETTALIBI Abdelghani salle 5 2584 Reportée 1205146 ETTALIE Marwa salle 5 2586 Reportée 1203215 ETTANATY M'BAREK salle 5 2588 Reportée 1205853 ETTANTANAT Mohamed salle 5 2590 Reportée 1103821 ETTAQY Hicham salle 5 2592 Reportée 1108271 ETTARROU Hicham salle 5 2594 Reportée 1100335 ETTOUBBALI EL MOKHTAR salle 5 2596 Reportée 1203963 ETTOUMI Khalid salle 5 2598 1204729 ETTOUMY KALTOUM salle 5 2600 Reportée 1204908 ETTOUNSI Salka salle 5 2602 1101077 EZAHIRI Fatna salle 5 2604 Reportée 1202898 EZERRAF Aziza salle 5 2606 Reportée 1103578 EZNIBER SARA salle 5 2608 Reportée 1207314 EZRIA Ismail salle 5 2610 Reportée 1204142 EZ-ZAARY Zakaria salle 5 2612 Reportée 1202967 EZZAHARI Donya salle 5 2614 1220395 EZZAHIRE Abdellah salle 5 2616 Reportée 1217347 EZZAHIRI Aatika salle 5 2618 Reportée 1205604 EZ-ZAITOUNI Othman salle 5 2620 Reportée 1115610 EZZAKI Mohcine salle 5 2622 Reportée 1205126 EZZAOUIA Oualid salle 5 2624 Reportée 1100654 EZZFIRI Siham salle 5 2626 Reportée 1220348 EZZINE BAIGHIA salle 5 2628 Reportée 1218951 EZZIYADI Ilham salle 5 2630 Reportée1218951 EZZIYADI Ilham salle 5 2630 Reportée Matière1: Introduction au Droit positif Matière2: Introduction au Droit musulman 41/68
  • 138.
    Filière: Droit arabe Facultédes sciences juridiques et Economiques. Marrakech N° Apogée Nom Prénom Local d'examen N° d'examen Matière1 Matière2 Université Cadi Ayyad PV de surveillance: Session de rattrapage Module: Introduction au Droit privé 2012-2013 Semestre1 (nouveau système) 1204143 FACHATTI Zakaria Amphi allal El Fassi 392 1104626 FAGHRI BACHIR Amphi allal El Fassi 394 1202126 FAHIM Mohamed Amphi allal El Fassi 396 1209151 FAHIM Rabiaa Amphi allal El Fassi 398 1209044 FAHMI Chouaib Amphi allal El Fassi 400 1203075 FAIK Ismail Amphi allal El Fassi 402 1003359 FAISSE KHADIJA Amphi allal El Fassi 404 Reportée 1205912 FAKHOURY El Mokhtar Amphi allal El Fassi 406 1204828 FAKIR Kaoutar Amphi allal El Fassi 408 1100337 FALFACH Ettalmidi Amphi allal El Fassi 410 1102778 FALIH Soumia Amphi allal El Fassi 412 Reportée 1203866 FALOUSSI Youness Amphi allal El Fassi 414 Reportée 1219894 FAQIHI MAJDA Amphi allal El Fassi 416 1201561 FARAH Nabil Amphi allal El Fassi 418 Reportée 1209624 FARASSI NAIMA Amphi allal El Fassi 420 1201406 FAREH Khalid Amphi allal El Fassi 422 Reportée 1203915 FARHANE Khadija Amphi allal El Fassi 424 Reportée 1201932 FARHAT Aziz Amphi allal El Fassi 426 Reportée 1208267 FARHAT Fayrouz Amphi allal El Fassi 428 Reportée 1204925 FARHI Abdlbarr Amphi allal El Fassi 430 Reportée 1216595 FAROUK MOHAMED Amphi allal El Fassi 432 Reportée 1201594 FARYAT Laila Amphi allal El Fassi 434 Reportée 1204946 FATHELLAH Moad Amphi allal El Fassi 436 Reportée 1207961 FATTOUKH Fatiha Amphi allal El Fassi 438 Reportée 1211164 FATTOUKH Hind Amphi allal El Fassi 440 Reportée 1202375 FENNAN Hanane Amphi allal El Fassi 442 1203306 FERHAN Hamid Amphi allal El Fassi 444 1202478 FERTAH Amal Amphi allal El Fassi 446 Reportée 1101404 FGHIRE Soukaina Amphi allal El Fassi 448 Reportée 1203634 FIHAM Salwa Amphi allal El Fassi 450 1204410 FILALI Mohamed Amphi allal El Fassi 452 1107103 FILLALI Hasna Amphi allal El Fassi 454 Reportée 1201569 FNIDOU MOHAMED Amphi allal El Fassi 456 1204889 FOUNDOU Brahim Amphi allal El Fassi 458 Reportée 1201187 FOUNTI Aouatif Amphi allal El Fassi 460 1204080 FOUQANI NOUR-EDDINE Amphi allal El Fassi 462 1201913 FRAIHATE Essaid Amphi allal El Fassi 464 Reportée 1219651 FRAIJA Otmane Amphi allal El Fassi 466 Reportée 1219607 FRIKHA Mohammed Amphi allal El Fassi 468 1219410 FRINI OUSSAMA Amphi allal El Fassi 470 Reportée1219410 FRINI OUSSAMA Amphi allal El Fassi 470 Reportée 1101619 GABARDI Samia Amphi allal El Fassi 472 Matière1: Introduction au Droit positif Matière2: Introduction au Droit musulman 42/68
  • 139.
    Filière: Droit arabe Facultédes sciences juridiques et Economiques. Marrakech N° Apogée Nom Prénom Local d'examen N° d'examen Matière1 Matière2 Université Cadi Ayyad PV de surveillance: Session de rattrapage Module: Introduction au Droit privé 2012-2013 Semestre1 (nouveau système) 1201742 GADOUMY Raja Amphi allal El Fassi 474 Reportée 1201783 GASMI Soumia Amphi allal El Fassi 476 1220052 GASMILI Mohamed Amphi allal El Fassi 478 1202509 GHALMI Intissar Amphi allal El Fassi 480 1204838 GHANAMI Noura Amphi allal El Fassi 482 Reportée 1203569 GHANDOUR Nizar Amphi allal El Fassi 484 1201971 GHANEM Badia Amphi allal El Fassi 486 Reportée 1219441 GHANIM Hamza Amphi allal El Fassi 488 1202927 GHARIB Abdelmoughit Amphi allal El Fassi 490 1210774 GHAZOUA Samira Amphi allal El Fassi 492 Reportée 1210879 GHIAB Asma Amphi allal El Fassi 494 1109633 GHIYAB Lahcen Amphi allal El Fassi 496 Reportée 1217554 GOUBRAIM ISSAM Amphi allal El Fassi 498 1202203 GOUCHGUE Kamal Amphi allal El Fassi 500 Reportée 1201998 GOUFAL Safaa Amphi allal El Fassi 502 Reportée 1111685 GOUGOU Yassin Amphi allal El Fassi 504 Reportée 1205225 GOUIOUEL Abdellah Amphi allal El Fassi 506 1100775 GOUIRIR Mhamed Amphi allal El Fassi 508 1210571 GOUIRIR Najem Amphi allal El Fassi 510 1209527 GOUNAINE Btissam Amphi allal El Fassi 512 Reportée 1114517 GOURBI ABDELMOUNAIM Amphi allal El Fassi 514 Reportée 1216724 GOUZMIR Elorch Amphi allal El Fassi 516 1111019 GRAIBIS Brahim Amphi allal El Fassi 518 Reportée 1201322 GRIDI Rachid Amphi allal El Fassi 520 1203648 GRIGUER Mohamed Amphi allal El Fassi 522 Reportée 1108103 GUACHOUR Mouad Amphi allal El Fassi 524 1204044 GUECHAIRI Yassine Amphi allal El Fassi 526 1201665 GUELLI Redouane Amphi allal El Fassi 528 1217446 GUELMY HAJAR Amphi allal El Fassi 530 Reportée 1111067 GUIDAM Abdelhakim Amphi allal El Fassi 532 1108503 GUOUAYCH Abdelali Amphi allal El Fassi 534 Reportée 1219291 GZOULI Youssef Amphi allal El Fassi 536 Reportée 1201759 GZOUMI Merieme Amphi allal El Fassi 538 Reportée 1203898 HABACHE Jihad Amphi allal El Fassi 540 Reportée 1201174 HABBOUCH Soufia Amphi allal El Fassi 542 Reportée 1102218 HABIBALLAH Soukaina Amphi allal El Fassi 544 Reportée 1203688 HACHIMI Mohamed Amphi allal El Fassi 546 Reportée 1202791 HACHIMI Monir Amphi allal El Fassi 548 1201318 HADDI Soufyane Amphi allal El Fassi 550 Reportée 1203128 HADDOU Anass Amphi allal El Fassi 5521203128 HADDOU Anass Amphi allal El Fassi 552 1216649 HADOUAR Raja Amphi allal El Fassi 554 Reportée Matière1: Introduction au Droit positif Matière2: Introduction au Droit musulman 43/68
  • 140.
    Filière: Droit arabe Facultédes sciences juridiques et Economiques. Marrakech N° Apogée Nom Prénom Local d'examen N° d'examen Matière1 Matière2 Université Cadi Ayyad PV de surveillance: Session de rattrapage Module: Introduction au Droit privé 2012-2013 Semestre1 (nouveau système) 1202292 HAFID Imane Amphi allal El Fassi 556 Reportée 1112014 HAFIR Mustapha Amphi allal El Fassi 558 1203977 HAGGAN Raihane Amphi allal El Fassi 560 1203197 HAIDA Mohammed Amphi allal El Fassi 562 Reportée 1212489 HAIDANE Mohamed Yeslem Amphi allal El Fassi 564 Reportée 1210042 HAIDOUS Soukaina Amphi allal El Fassi 566 1201111 HAILAT Abdelghani Amphi allal El Fassi 568 Reportée 1216749 HAJAJ YASSINE Amphi allal El Fassi 570 1209050 HAJJI MOHAMED Amphi allal El Fassi 572 Reportée 1203825 HAJMANI El Mehdi Amphi allal El Fassi 574 Reportée 1201949 HAKIM Ayoub Amphi allal El Fassi 576 Reportée 1111208 HAL-EL FADL Aida Amphi allal El Fassi 578 Reportée 1202196 HALIM Khalid Amphi allal El Fassi 580 Reportée Matière1: Introduction au Droit positif Matière2: Introduction au Droit musulman 44/68
  • 141.
    Filière: Droit arabe Facultédes sciences juridiques et Economiques. Marrakech N° Apogée Nom Prénom Local d'examen N° d'examen Matière1 Matière2 Université Cadi Ayyad PV de surveillance: Session de rattrapage Module: Introduction au Droit privé 2012-2013 Semestre1 (nouveau système) 1204531 HALLAB Abdellah Amphi ibn Rochd 882 Reportée 1204412 HALLI Monir Amphi ibn Rochd 884 1208760 HALLOUTA El Mahdi Amphi ibn Rochd 886 Reportée 1106486 HALOUACH Hamza Amphi ibn Rochd 888 Reportée 1220989 HALOUS SI MOHAMED Amphi ibn Rochd 890 Reportée 1202970 HALYM Noureddine Amphi ibn Rochd 892 Reportée 1219554 HAMAMA Sara Amphi ibn Rochd 894 1201690 HAMDI Berray Amphi ibn Rochd 896 Reportée 1101940 HAMIDI Imane Amphi ibn Rochd 898 Reportée 1201146 HAMMI Mustapha Amphi ibn Rochd 900 Reportée 1205226 HAMOU ESSALEK Amphi ibn Rochd 902 1205678 HAMOUDAT Mohamed Amphi ibn Rochd 904 Reportée 1204915 HAMZA AOMAR Amphi ibn Rochd 906 Reportée 1204036 HAND Soukaina Amphi ibn Rochd 908 Reportée 1108117 HANINE Abdelkarim Amphi ibn Rochd 910 Reportée 1220885 HAOUARI ANOUAR Amphi ibn Rochd 912 1004421 HAOUASSE NEZHA Amphi ibn Rochd 914 Reportée 5006264 HARAKATI BENNACEUR Amphi ibn Rochd 916 Reportée 1209463 HARCHAOUI Ismail Amphi ibn Rochd 918 Reportée 1204121 HARGUI Fatima Amphi ibn Rochd 920 Reportée 1108607 HARIFI Amine Amphi ibn Rochd 922 1101960 HARIM Asmaa Amphi ibn Rochd 924 Reportée 1100476 HAROUAK HOUDA Amphi ibn Rochd 926 1106503 HAROUK Abdellatif Amphi ibn Rochd 928 Reportée 1114493 HARTFI HASNA Amphi ibn Rochd 930 Reportée 1205616 HASSAR Ayoub Amphi ibn Rochd 932 1201213 HASYN Essaid Amphi ibn Rochd 934 1204735 HAZIM Zahra Amphi ibn Rochd 936 Reportée 1219906 HDADOU AZIA Amphi ibn Rochd 938 1202228 HERTAL Amina Amphi ibn Rochd 940 Reportée 1202260 HERTAL Loubna Amphi ibn Rochd 942 Reportée 1102684 HICHAM Walid Amphi ibn Rochd 944 Reportée 1115784 HILMI Meryem Amphi ibn Rochd 946 1209584 HIMD Khadija Amphi ibn Rochd 948 1204452 HLILOU Khalid Amphi ibn Rochd 950 Reportée 1113649 HMAIMA HAMID Amphi ibn Rochd 952 1205072 HMAYDANE Halima Amphi ibn Rochd 954 1208950 HMIDOUCH Ouafa Amphi ibn Rochd 956 1203964 HMIMOU Mohamed Amphi ibn Rochd 958 1111585 HMOUDA Hamza Amphi ibn Rochd 960 Reportée1111585 HMOUDA Hamza Amphi ibn Rochd 960 Reportée 1203239 HNI Mohamed Amphi ibn Rochd 962 Reportée Matière1: Introduction au Droit positif Matière2: Introduction au Droit musulman 45/68
  • 142.
    Filière: Droit arabe Facultédes sciences juridiques et Economiques. Marrakech N° Apogée Nom Prénom Local d'examen N° d'examen Matière1 Matière2 Université Cadi Ayyad PV de surveillance: Session de rattrapage Module: Introduction au Droit privé 2012-2013 Semestre1 (nouveau système) 1203651 HOUDALI Anass Amphi ibn Rochd 964 Reportée 1202325 HOULMANE Mohammed Amphi ibn Rochd 966 Reportée 1203031 HOUOUA Abdessadek Amphi ibn Rochd 968 1204785 HSISSOU Fatima Ezzahraa Amphi ibn Rochd 970 1202190 HYAYOU Charaf Amphi ibn Rochd 972 1107564 IBENATAALLAH MUSTAPHA Amphi ibn Rochd 974 1100620 IBISSI Ismail Amphi ibn Rochd 976 Reportée 1004120 IBN ELOTHMANI SANA Amphi ibn Rochd 978 Reportée 1216716 IBN RAZZOUQ HANANE Amphi ibn Rochd 980 Reportée 1202224 IBNOU ZAHER Anas Amphi ibn Rochd 982 Reportée 1201356 ICHAIBI Azeddine Amphi ibn Rochd 984 Reportée 1210053 ICHEREM Saida Amphi ibn Rochd 986 1109139 ID MBAREK Mohamed Amphi ibn Rochd 988 1219693 ID MESSAOUD Soufiane Amphi ibn Rochd 990 Reportée 1204887 IDYOUSSE Amina Amphi ibn Rochd 992 1202201 IGARDY Abdellah Amphi ibn Rochd 994 Reportée 1111041 IGDEM Aicha Amphi ibn Rochd 996 Reportée 1205216 IGHIL Abdelaaziz Amphi ibn Rochd 998 1201924 IGHRAN Naoufal Amphi ibn Rochd 1000 1201171 IGLISE Khadija Amphi ibn Rochd 1002 Reportée 1203275 IGUIDER Yahya Amphi ibn Rochd 1004 1210954 IHACHKAR Jamal Amphi ibn Rochd 1006 1203024 IHENKI Mohamed Amphi ibn Rochd 1008 Reportée 1217122 IHSANE Abdelghani Amphi ibn Rochd 1010 Reportée 1205762 IJJIG Sana Amphi ibn Rochd 1012 Reportée 1003103 IKRAM YOUSSEF Amphi ibn Rochd 1014 Reportée 1108284 IKROU Sana Amphi ibn Rochd 1016 Reportée 1218841 ILALOUANI Khadija Amphi ibn Rochd 1018 Reportée 1209569 IMADIDENE Fatima Zahra Amphi ibn Rochd 1020 Reportée 1208845 IMASSADAN Bilal Amphi ibn Rochd 1022 Reportée 1109162 IMRRAYNE Khalid Amphi ibn Rochd 1024 Reportée 1216763 IMZILNE Khadija Amphi ibn Rochd 1026 Reportée 1210306 INJAR Faiza Amphi ibn Rochd 1028 1202212 INOUS Fatima Ezzahra Amphi ibn Rochd 1030 1203103 IOURAGHEN Najib Amphi ibn Rochd 1032 1205190 IRABEN ABDERRAHMAN Amphi ibn Rochd 1034 1205084 ISFAR Khadija Amphi ibn Rochd 1036 Reportée 1008414 ISMAILI KHADIJATOU Amphi ibn Rochd 1038 Reportée 1201189 ISRA Yassin Amphi ibn Rochd 1040 Reportée 1204045 ITSMAIL RIDDOUANE Amphi ibn Rochd 1042 Reportée1204045 ITSMAIL RIDDOUANE Amphi ibn Rochd 1042 Reportée 1106850 IZALMADEN Khalid Amphi ibn Rochd 1044 Reportée Matière1: Introduction au Droit positif Matière2: Introduction au Droit musulman 46/68
  • 143.
    Filière: Droit arabe Facultédes sciences juridiques et Economiques. Marrakech N° Apogée Nom Prénom Local d'examen N° d'examen Matière1 Matière2 Université Cadi Ayyad PV de surveillance: Session de rattrapage Module: Introduction au Droit privé 2012-2013 Semestre1 (nouveau système) 1210129 JAABARI Amine Amphi ibn Rochd 1046 1112453 JAAFARI Abdelkarim Amphi ibn Rochd 1048 1216365 JAAFARI Abdelkarim Amphi ibn Rochd 1050 Reportée 1205217 JABBARY Laila Amphi ibn Rochd 1052 Reportée 1220894 JABER LAHCEN Amphi ibn Rochd 1054 1203597 JABOUNE EL HOUSSAINE Amphi ibn Rochd 1056 Reportée 1201791 JABRANE Houria Amphi ibn Rochd 1058 Reportée 1204621 JABRANE Noura Amphi ibn Rochd 1060 Reportée 1201384 JABRANI Hassnae Amphi ibn Rochd 1062 Reportée 1205139 JADIDI Abdessalam Amphi ibn Rochd 1064 1208328 JAKANE Zineb Amphi ibn Rochd 1066 Reportée 1202192 JALAL Khadija Amphi ibn Rochd 1068 1202044 JALLOUL Aziz Amphi ibn Rochd 1070 1109638 JAMAL EDDINE Soukaina Amphi ibn Rochd 1072 Reportée 1219849 JAMALEDDIN Essaid Amphi ibn Rochd 1074 1110779 JAMIL Abdelhadi Amphi ibn Rochd 1076 Reportée 1220051 JAMOUS Ech-echaibia Amphi ibn Rochd 1078 Reportée 1204423 JANADI Hamza Amphi ibn Rochd 1080 1208487 JANANE Redouane Amphi ibn Rochd 1082 1201709 JAOUAD Lagribi Amphi ibn Rochd 1084 Reportée 1216312 JAOUHAR Adil Amphi ibn Rochd 1086 1216699 JARDOUNI Hana Amphi ibn Rochd 1088 Reportée 1201132 JARFI Fadila Amphi ibn Rochd 1090 1216602 JARI AIT M'BAREK ABDESSAMADE Amphi ibn Rochd 1092 Reportée 1204724 JARID Abderrazzak Amphi ibn Rochd 1094 Reportée 1216675 JARIKI Soumiya Amphi ibn Rochd 1096 Reportée 1201350 JAROUM Hind Amphi ibn Rochd 1098 Reportée 1203222 JARRAF Hicham Amphi ibn Rochd 1100 Matière1: Introduction au Droit positif Matière2: Introduction au Droit musulman 47/68
  • 144.
    Filière: Droit arabe Facultédes sciences juridiques et Economiques. Marrakech N° Apogée Nom Prénom Local d'examen N° d'examen Matière1 Matière2 Université Cadi Ayyad PV de surveillance: Session de rattrapage Module: Introduction au Droit privé 2012-2013 Semestre1 (nouveau système) 1202536 JDAIA Soumia Amphi mohamed El Fassi 1102 Reportée 1203174 JDDARH Abderrahim Amphi mohamed El Fassi 1104 Reportée 1217506 JELOUANE MOUHIEDDINE Amphi mohamed El Fassi 1106 Reportée 1108727 JIAD Hassna Amphi mohamed El Fassi 1108 Reportée 1101184 JIDER Chadia Amphi mohamed El Fassi 1110 Reportée 1105869 JILO Saloua Amphi mohamed El Fassi 1112 Reportée 1111293 JNAH Amine Amphi mohamed El Fassi 1114 1202507 JOMAR Abderrahim Amphi mohamed El Fassi 1116 Reportée 1101129 KAAB Fatima Zahra Amphi mohamed El Fassi 1118 Reportée 1210431 KAABI Kaoutar Amphi mohamed El Fassi 1120 Reportée 1104158 KABIRI Abdessalam Amphi mohamed El Fassi 1122 Reportée 1203997 KADDOURI Hind Amphi mohamed El Fassi 1124 Reportée 1204858 KADOURI Hanane Amphi mohamed El Fassi 1126 Reportée 1217018 KADRI Nassima Amphi mohamed El Fassi 1128 Reportée 1205201 KAFOUNI Abdellah Amphi mohamed El Fassi 1130 1106585 KAIKAT Simohamed Amphi mohamed El Fassi 1132 1100669 KAMEL Ali Amphi mohamed El Fassi 1134 Reportée 1219713 KANANE Imane Amphi mohamed El Fassi 1136 1202812 KANBOUA Ahmed Amphi mohamed El Fassi 1138 1103334 KARA Siyadtou Amphi mohamed El Fassi 1140 Reportée 1203864 KARAM Imad Eddine Amphi mohamed El Fassi 1142 1219746 KARIM BRAHIM Amphi mohamed El Fassi 1144 1202659 KARIM Fatima Amphi mohamed El Fassi 1146 1114628 KARKOUR ESSAID Amphi mohamed El Fassi 1148 Reportée 1202194 KASBI Asmaa Amphi mohamed El Fassi 1150 Reportée 1219788 KASSIMI Aziz Amphi mohamed El Fassi 1152 Reportée 1201779 KASSOUANE Asma Amphi mohamed El Fassi 1154 Reportée 1004470 KASTIH MOUHSSINE Amphi mohamed El Fassi 1156 1108743 KATITI Yassine Amphi mohamed El Fassi 1158 Reportée 1220299 KEJOUD Majda Amphi mohamed El Fassi 1160 1109787 KEMLAOUI Khadija Amphi mohamed El Fassi 1162 Reportée 1106797 KENTOUR Mohamed Amphi mohamed El Fassi 1164 Reportée 1105089 KERKOUR-ALLA Jaouad Amphi mohamed El Fassi 1166 Reportée 1204862 KETTAFE Fatima-ezzahra Amphi mohamed El Fassi 1168 Reportée 1201978 KEZDOUFI Said Amphi mohamed El Fassi 1170 1201207 KEZZAR Khalid Amphi mohamed El Fassi 1172 1205003 KHABAB Ghizlan Amphi mohamed El Fassi 1174 Reportée 1203218 KHABAL Zakaria Amphi mohamed El Fassi 1176 Reportée 1105020 KHACHIA ERRAHMAN Zahira Amphi mohamed El Fassi 1178 1202244 KHADDAD AYACHE Amphi mohamed El Fassi 1180 Reportée1202244 KHADDAD AYACHE Amphi mohamed El Fassi 1180 Reportée 1107131 KHADNOUCHI Halima Amphi mohamed El Fassi 1182 Reportée Matière1: Introduction au Droit positif Matière2: Introduction au Droit musulman 48/68
  • 145.
    Filière: Droit arabe Facultédes sciences juridiques et Economiques. Marrakech N° Apogée Nom Prénom Local d'examen N° d'examen Matière1 Matière2 Université Cadi Ayyad PV de surveillance: Session de rattrapage Module: Introduction au Droit privé 2012-2013 Semestre1 (nouveau système) 1219857 KHAFIF Ikram Amphi mohamed El Fassi 1184 1111211 KHAIRAT Bouchra Amphi mohamed El Fassi 1186 Reportée 1219919 KHAL Othmane Amphi mohamed El Fassi 1188 Reportée 1205193 KHALDI Abderrahim Amphi mohamed El Fassi 1190 1109550 KHALDI Fatima Amphi mohamed El Fassi 1192 Reportée 1101049 KHALFI Nasma Amphi mohamed El Fassi 1194 Reportée 1220381 KHALID MOHAMAD AMINE Amphi mohamed El Fassi 1196 Reportée 1220409 KHALIJ HAMZA Amphi mohamed El Fassi 1198 Reportée 1202493 KHALILI BRAHIM Amphi mohamed El Fassi 1200 Reportée 1201321 KHALIS ES-SAID Amphi mohamed El Fassi 1202 Reportée 1202364 KHALIS Kamal Amphi mohamed El Fassi 1204 Reportée 1210652 KHALIS Sanae Amphi mohamed El Fassi 1206 Reportée 1219850 KHALLOUFI AFAF Amphi mohamed El Fassi 1208 Reportée 1203372 KHALLOUQ Wissam Amphi mohamed El Fassi 1210 1202040 KHARBOUCH Abdessadek Amphi mohamed El Fassi 1212 1210323 KHARDALI Siham Amphi mohamed El Fassi 1214 Reportée 1111830 KHASMANI Siham Amphi mohamed El Fassi 1216 1111908 KHASSAL Sabah Amphi mohamed El Fassi 1218 Reportée 1201244 KHATIR Mohamed Amphi mohamed El Fassi 1220 1201771 KHATRANI Elmustapha Amphi mohamed El Fassi 1222 1202087 KHATRANI Saida Amphi mohamed El Fassi 1224 1201178 KHERROU Khalid Amphi mohamed El Fassi 1226 Reportée 1210808 KHIROU MALIKA Amphi mohamed El Fassi 1228 Reportée 1201968 KHIZZIOUI Anas Amphi mohamed El Fassi 1230 1202263 KHOUYA Hasnaa Amphi mohamed El Fassi 1232 Reportée 1207053 KHOUYA Jaouad Amphi mohamed El Fassi 1234 1202451 KHOUYI Mounssif Amphi mohamed El Fassi 1236 1220411 KICHOU OUISSAL Amphi mohamed El Fassi 1238 Reportée 1216591 KIDA MOHAMED Amphi mohamed El Fassi 1240 Reportée 1104510 KIDDI Abdelmajid Amphi mohamed El Fassi 1242 Reportée 1210582 KIJJI Nezha Amphi mohamed El Fassi 1244 1205093 KILALI Ahmed Amphi mohamed El Fassi 1246 Reportée 1111049 KONSOU SOUFIANE Amphi mohamed El Fassi 1248 Reportée 1203878 KORRAY Naoual Amphi mohamed El Fassi 1250 Reportée 1103277 KOUADSSI MOHAMED Amphi mohamed El Fassi 1252 Reportée 1216765 KOUALAL Noura Amphi mohamed El Fassi 1254 Reportée 1201092 KOUISSI Sabrine Amphi mohamed El Fassi 1256 Reportée 1203722 KOUJOUTE Hicham Amphi mohamed El Fassi 1258 1111611 KOULANE Rachid Amphi mohamed El Fassi 1260 1202147 KOURD SARA Amphi mohamed El Fassi 1262 Reportée1202147 KOURD SARA Amphi mohamed El Fassi 1262 Reportée 1210892 KOURKACH Abderrahim Amphi mohamed El Fassi 1264 Matière1: Introduction au Droit positif Matière2: Introduction au Droit musulman 49/68
  • 146.
    Filière: Droit arabe Facultédes sciences juridiques et Economiques. Marrakech N° Apogée Nom Prénom Local d'examen N° d'examen Matière1 Matière2 Université Cadi Ayyad PV de surveillance: Session de rattrapage Module: Introduction au Droit privé 2012-2013 Semestre1 (nouveau système) 1218835 LAABABSI Zinab Amphi mohamed El Fassi 1266 Reportée 9292693 LAABADI LOBNA Amphi mohamed El Fassi 1268 Reportée 1201283 LAADNANI Asma Amphi mohamed El Fassi 1270 Reportée 1202471 LAADYAME Hanane Amphi mohamed El Fassi 1272 Reportée 1208840 LAAFISSI ABDERRAHIM Amphi mohamed El Fassi 1274 Reportée 1201325 LAAFOU Nabiya Amphi mohamed El Fassi 1276 Reportée 1209558 LAAGAIED EL HAFAD Amphi mohamed El Fassi 1278 Reportée 1208639 LAAGUIDI Amal Amphi mohamed El Fassi 1280 1208933 LAAJIJIL Youssef Amphi mohamed El Fassi 1282 Reportée 1103246 LAALAM Loubna Amphi mohamed El Fassi 1284 Reportée 1220166 LAAMMARI Majdouline Amphi mohamed El Fassi 1286 1106918 LAANAD Elhabib Amphi mohamed El Fassi 1288 Reportée 1219797 LAANANI Abdekhaq Amphi mohamed El Fassi 1290 1202749 LAàNANI Mariem Amphi mohamed El Fassi 1292 1202928 LAANAYA Hasna Amphi mohamed El Fassi 1294 Reportée 1219839 LAANAYA Zineb Amphi mohamed El Fassi 1296 Reportée 1205013 LAANIBRI Abderrahim Amphi mohamed El Fassi 1298 Reportée 1103431 LAAOUINA Sanaa Amphi mohamed El Fassi 1300 Reportée 1220040 LAAOUINI Khadija Amphi mohamed El Fassi 1302 1205044 LAARAF Abdelkarim Amphi mohamed El Fassi 1304 1202654 LAARAICHY Fatima Amphi mohamed El Fassi 1306 Reportée 1205659 LAARAJ Latifa Amphi mohamed El Fassi 1308 Reportée 1108754 LAAROUD Mariam Amphi mohamed El Fassi 1310 1201956 LAAROUSSI M'hammed Amphi mohamed El Fassi 1312 Reportée 1205871 LAAROUSSI Salek Amphi mohamed El Fassi 1314 1201138 LAASSARI Amal Amphi mohamed El Fassi 1316 Reportée 1102668 LAASSILIA MOHAMMED Amphi mohamed El Fassi 1318 Reportée 1204968 LAASSIRA Amal Amphi mohamed El Fassi 1320 Reportée 1219949 LAASSIRI M'barka Alina Amphi mohamed El Fassi 1322 Reportée 1202304 LAASSIRI Youness Amphi mohamed El Fassi 1324 Reportée 1101169 LAATIF Rabie Amphi mohamed El Fassi 1326 Reportée 1111113 LABANE Youssef Amphi mohamed El Fassi 1328 Reportée 1204692 LABHIH Mohamed Ali Amphi mohamed El Fassi 1330 1208018 LABKAM Hayat Amphi mohamed El Fassi 1332 1201217 LABRADAAI Mohamed Amphi mohamed El Fassi 1334 1209135 LABSIR Abdellah Amphi mohamed El Fassi 1336 Reportée 1112735 LABYAD Adil Amphi mohamed El Fassi 1338 Reportée 1202997 LABYAD Mohamed Amphi mohamed El Fassi 1340 Reportée 1218838 LABZIOUI Mariem Amphi mohamed El Fassi 1342 1201928 LABZIOUI Safa Amphi mohamed El Fassi 1344 Reportée1201928 LABZIOUI Safa Amphi mohamed El Fassi 1344 Reportée 1203619 LACHGAR Ayoub Amphi mohamed El Fassi 1346 Matière1: Introduction au Droit positif Matière2: Introduction au Droit musulman 50/68
  • 147.
    Filière: Droit arabe Facultédes sciences juridiques et Economiques. Marrakech N° Apogée Nom Prénom Local d'examen N° d'examen Matière1 Matière2 Université Cadi Ayyad PV de surveillance: Session de rattrapage Module: Introduction au Droit privé 2012-2013 Semestre1 (nouveau système) 1003222 LACHGAR AZIZ Amphi mohamed El Fassi 1348 Reportée 1220084 LACHGAR Younes Amphi mohamed El Fassi 1350 1104907 LACHHAB BTISAM Amphi mohamed El Fassi 1352 1203621 LACHHAB Mahmoud Amphi mohamed El Fassi 1354 1203300 LACHOIANI Hicham Amphi mohamed El Fassi 1356 Reportée 1210449 LADHIM Hasna Amphi mohamed El Fassi 1358 Reportée 1219397 LAFRIHI MAJDA Amphi mohamed El Fassi 1360 Reportée 1209098 LAFSI Lotfi Amphi mohamed El Fassi 1362 1220042 LAFTAH Laaziza Amphi mohamed El Fassi 1364 Reportée 1005323 LAGHOUIBA FATIMA Amphi mohamed El Fassi 1366 Reportée 1205079 LAGRAIFA MAAELANINE Amphi mohamed El Fassi 1368 1202965 LAGRAMATE Mouatassim Amphi mohamed El Fassi 1370 Reportée 1111149 LAGRAOUI Rhizlane Amphi mohamed El Fassi 1372 Reportée 1203356 LAGRARI Khalid Amphi mohamed El Fassi 1374 Reportée 1202614 LAGRIOUIZ Aimad Amphi mohamed El Fassi 1376 Reportée 1004851 LAGSIR RACHID Amphi mohamed El Fassi 1378 Reportée 1219700 LAHDILI Zakaria Amphi mohamed El Fassi 1380 Reportée 1207072 LAHJOUJY Hicham Amphi mohamed El Fassi 1382 Reportée 1204061 LAHLIOUI Hayam Amphi mohamed El Fassi 1384 Reportée 1205673 LAHMADI Abd Ellah Amphi mohamed El Fassi 1386 Reportée 1219690 LAHMAM Rachid Amphi mohamed El Fassi 1388 Reportée 1114577 LAHMDI ABDELGHAFOUR Amphi mohamed El Fassi 1390 Reportée Matière1: Introduction au Droit positif Matière2: Introduction au Droit musulman 51/68
  • 148.
    Filière: Droit arabe Facultédes sciences juridiques et Economiques. Marrakech N° Apogée Nom Prénom Local d'examen N° d'examen Matière1 Matière2 Université Cadi Ayyad PV de surveillance: Session de rattrapage Module: Introduction au Droit privé 2012-2013 Semestre1 (nouveau système) 1114205 LAHMICHA Ismail Amphi A 1392 1110766 LAHMICHE Majda Amphi A 1394 Reportée 1209842 LAHMIDI Semai Amphi A 1396 Reportée 1110517 LAHNAOUI Khaireddine Amphi A 1398 1204037 LAHNAOUI Mohamed Amine Amphi A 1400 Reportée 1219578 LAHNINE Abdessamad Amphi A 1402 Reportée 1201938 LAHSINI EL MUSTAPHA Amphi A 1404 1218996 LAIAS El Houcine Amphi A 1406 Reportée 1219470 LAKBIBA Fatiha Amphi A 1408 Reportée 1202268 LAKBIR Foudi Amphi A 1410 Reportée 1219402 LAKHAL EL MUSTAPHA Amphi A 1412 Reportée 1114573 LAKHDAR ACHRAF Amphi A 1414 Reportée 1209692 LAKOUAS Mohamed Amphi A 1416 Reportée 1203002 LAKRAD Youssef Amphi A 1418 Reportée 1201726 LAKRAD Zineb Amphi A 1420 Reportée 1003912 LAKRAICHI MARIAM Amphi A 1422 Reportée 1107348 LAKSIBI Soukaina Amphi A 1424 Reportée 1203743 LAKTATNI Fatima Ezzahra Amphi A 1426 Reportée 1204464 LAKTIB Majda Amphi A 1428 Reportée 1204931 LAMCHANDAG Hassan Amphi A 1430 1008898 LAMDAOUI SABIR Amphi A 1432 Reportée 1201754 LAMFNEN Bouchra Amphi A 1434 Reportée 1219621 LAMGHARTI Sakina Amphi A 1436 Reportée 1219553 LAMHAMDI Lamia Amphi A 1438 Reportée 1205116 LAMINI Fatima Zahra Amphi A 1440 1204898 LAMIRAT Morad Amphi A 1442 Reportée 1219942 LAMLESS DOUNIA Amphi A 1444 1209960 LAMOUSSI Fatima Ezzahra Amphi A 1446 1219609 LAMRINI Mohamed Amphi A 1448 Reportée 1201011 LAMSAIRHRI Mustapha Amphi A 1450 Reportée 1204718 LAMSARNY SIHAME Amphi A 1452 Reportée 1204477 LAMSIKIN Ilham Amphi A 1454 Reportée 1204981 LAMSSATTEF Zohra Amphi A 1456 Reportée 1107727 LAMZAOUAK Abderrazzak Amphi A 1458 1219365 LAMZIOUEQ Abderrazak Amphi A 1460 1202942 LANSARI Halima Amphi A 1462 Reportée 1202643 LANSARI Ismail Amphi A 1464 Reportée 1209060 LANTIR Jaouad Amphi A 1466 Reportée 1202487 LAOUIBI Badia Amphi A 1468 1204446 LAOUID M'bark Amphi A 1470 Reportée1204446 LAOUID M'bark Amphi A 1470 Reportée 1204871 LAQDADRA BADREDDINE Amphi A 1472 Reportée Matière1: Introduction au Droit positif Matière2: Introduction au Droit musulman 52/68
  • 149.
    Filière: Droit arabe Facultédes sciences juridiques et Economiques. Marrakech N° Apogée Nom Prénom Local d'examen N° d'examen Matière1 Matière2 Université Cadi Ayyad PV de surveillance: Session de rattrapage Module: Introduction au Droit privé 2012-2013 Semestre1 (nouveau système) 1219636 LAQRAA Hassna Amphi A 1474 Reportée Matière1: Introduction au Droit positif Matière2: Introduction au Droit musulman 53/68
  • 150.
    Filière: Droit arabe Facultédes sciences juridiques et Economiques. Marrakech N° Apogée Nom Prénom Local d'examen N° d'examen Matière1 Matière2 Université Cadi Ayyad PV de surveillance: Session de rattrapage Module: Introduction au Droit privé 2012-2013 Semestre1 (nouveau système) 1100760 LARAICHI AMAL Amphi B 1476 Reportée 1210114 LARCHE Sana Amphi B 1478 1219637 LASFAR Rachid Amphi B 1480 1220923 LASRI ABDELJABBAR Amphi B 1482 1204358 LATIFI Abd El Ali Amphi B 1484 Reportée 1202456 LATRACHE Halima Amphi B 1486 Reportée 1202006 LAYYADI Lamyae Amphi B 1488 Reportée 1204152 LAZMAT Zakaria Amphi B 1490 1204818 LAZRAF MERYAM Amphi B 1492 1205816 LBARANI Hamza Amphi B 1494 1202568 LBECRAOUI Ibtissam Amphi B 1496 1201128 LEBZAR Ismail Amphi B 1498 Reportée 1004764 LECHGUER YASSINE Amphi B 1500 Reportée 1219812 LEDRHEM Mohamed Amphi B 1502 Reportée 1109600 LEHMAD Mohamed Amphi B 1504 1203580 LEMRHARI SALAH-EDDINE Amphi B 1506 Reportée 1210957 LEMZOUGUI Takia Amphi B 1508 Reportée 1202764 LFHAMA Ikrame Amphi B 1510 Reportée 1211194 LGHAZOUANI Houria Amphi B 1512 1205772 LGZOULI Fadila Amphi B 1514 Reportée 1202981 LIBAK Hmadnah Amphi B 1516 1201186 LIHMAD Ahmed Amphi B 1518 Reportée 1111724 LIMAM Fatima Zahra Amphi B 1520 Reportée 1204421 LINZALI Abdeljalil Amphi B 1522 Reportée 1204926 LMAADEN Abdellatif Amphi B 1524 Reportée 1202660 LOMARI Youssef Amphi B 1526 Reportée 1219453 LOTFI Fatimezzahra Amphi B 1528 1202913 LOTFI Mohamed Amphi B 1530 1203832 LOUJAB Abdelhafid Amphi B 1532 Reportée 1200289 LOULOUD Kamal Amphi B 1534 1204802 LOUQMANE Houria Amphi B 1536 1219696 LOUTFI Zine Elabidine Amphi B 1538 Reportée 1202724 LOUTFI KHALFAOUI Maroua Amphi B 1540 1209538 LYAZIDI Fouad Amphi B 1542 Reportée Matière1: Introduction au Droit positif Matière2: Introduction au Droit musulman 54/68
  • 151.
    Filière: Droit arabe Facultédes sciences juridiques et Economiques. Marrakech N° Apogée Nom Prénom Local d'examen N° d'examen Matière1 Matière2 Université Cadi Ayyad PV de surveillance: Session de rattrapage Module: Introduction au Droit privé 2012-2013 Semestre1 (nouveau système) 1219683 MAADINY RACHID Amphi Cadi Ayyad 2 Reportée 1203877 MAAREFT Hind Amphi Cadi Ayyad 4 1210251 MAASOU Youssef Amphi Cadi Ayyad 6 1202222 MAASSOU Hafsa Amphi Cadi Ayyad 8 1219629 MAAZOUZ Noureddine Amphi Cadi Ayyad 10 Reportée 1201157 MABROUK Imane Amphi Cadi Ayyad 12 1204048 MABROUK Lahoucine Amphi Cadi Ayyad 14 1204705 MACHMACH Brahim Amphi Cadi Ayyad 16 7007495 MACHMOUMI ISMAIL Amphi Cadi Ayyad 18 1203170 MADI Abderrahim Amphi Cadi Ayyad 20 1204837 MADIL Nadia Amphi Cadi Ayyad 22 1201633 MADIOUM Fatima-zahra Amphi Cadi Ayyad 24 Reportée 1219719 MAGHRANE Nora Amphi Cadi Ayyad 26 1209031 MAGNA Elmahdi Amphi Cadi Ayyad 28 1219939 MAHD Merieme Amphi Cadi Ayyad 30 1204357 MAHIR Youssef Amphi Cadi Ayyad 32 Reportée 1103864 MAJDAR Oufaa Amphi Cadi Ayyad 34 Reportée 1204428 MAKHLOUF Khadija Amphi Cadi Ayyad 36 1220046 MAKROUCH Khadija Amphi Cadi Ayyad 38 1209540 MALDOUFI Loubna Amphi Cadi Ayyad 40 1111265 MALIH Jaouad Amphi Cadi Ayyad 42 Reportée 1219618 MALLOUKI ABDESSAMAD Amphi Cadi Ayyad 44 1202389 MALLOUKI Mustapha Amphi Cadi Ayyad 46 1208326 MAMAS Imane Amphi Cadi Ayyad 48 Reportée 1106700 MAMDOUH Radouane Amphi Cadi Ayyad 50 1208135 MAMMAS Lahsen Amphi Cadi Ayyad 52 1219742 MANHIR Hanane Amphi Cadi Ayyad 54 1219593 MANSOUM Hanane Amphi Cadi Ayyad 56 1220902 MANSOURI SALIMA Amphi Cadi Ayyad 58 1204997 MANSSOURI Najoua Amphi Cadi Ayyad 60 Reportée 1205854 MAQBOUL Zineb Amphi Cadi Ayyad 62 1103871 MAQIOU Youness Amphi Cadi Ayyad 64 Reportée 1203719 MARGOUL Redouane Amphi Cadi Ayyad 66 1220952 MARGRET MALUAL DENG Amphi Cadi Ayyad 68 1201227 MARIAM Rguibi Amphi Cadi Ayyad 70 Reportée 1205244 MARIAM Sabil Amphi Cadi Ayyad 72 1203370 MARTAH Hamza Amphi Cadi Ayyad 74 Reportée 1205155 MARZAGUI Souad Amphi Cadi Ayyad 76 Reportée 1202619 MARZAK Taha Amphi Cadi Ayyad 78 1203052 MASLIK Anouar Amphi Cadi Ayyad 801203052 MASLIK Anouar Amphi Cadi Ayyad 80 1103709 MASSASSE Abderrazak Amphi Cadi Ayyad 82 Reportée Matière1: Introduction au Droit positif Matière2: Introduction au Droit musulman 55/68
  • 152.
    Filière: Droit arabe Facultédes sciences juridiques et Economiques. Marrakech N° Apogée Nom Prénom Local d'examen N° d'examen Matière1 Matière2 Université Cadi Ayyad PV de surveillance: Session de rattrapage Module: Introduction au Droit privé 2012-2013 Semestre1 (nouveau système) 1201400 MASTOUR Abdelhadi Amphi Cadi Ayyad 84 Reportée 1201710 MAYARA Ahmadnah Amphi Cadi Ayyad 86 1203979 MAYARA Cheikh Amphi Cadi Ayyad 88 1209594 MAYATI LEILA Amphi Cadi Ayyad 90 1204893 MAYATI Nezha Amphi Cadi Ayyad 92 1219723 MAZNAUI Hicham Amphi Cadi Ayyad 94 1219769 MAZOUZ KHADIJA Amphi Cadi Ayyad 96 Reportée 1203985 M'BARK Oubourhail Amphi Cadi Ayyad 98 Reportée 1210676 MEBROUK Ouissal Amphi Cadi Ayyad 100 1219583 MEFTAH Lahoucine Amphi Cadi Ayyad 102 1111004 MEFTAH-ELKHAIR Abdelilah Amphi Cadi Ayyad 104 Reportée 1208979 MEGRINI YOUSSEF Amphi Cadi Ayyad 106 1219785 MEJAHID Hamid Amphi Cadi Ayyad 108 1111045 MEJD Mohammed Amphi Cadi Ayyad 110 Reportée 1219559 MEJDOUBI Hala Amphi Cadi Ayyad 112 1205178 MEJOUAR Safa Amphi Cadi Ayyad 114 Reportée 1205160 MEKRAMI MOHAMMED Amphi Cadi Ayyad 116 1205724 MENTAGUI Chaimaa Amphi Cadi Ayyad 118 1216755 MERZAQ Soukaina Amphi Cadi Ayyad 120 1204617 MERZOUG Mounia Amphi Cadi Ayyad 122 1207845 MESKOUR Rajaa Amphi Cadi Ayyad 124 1204905 MESNAOUI Naima Amphi Cadi Ayyad 126 Reportée 1203600 MGHOUNIA Youssef Amphi Cadi Ayyad 128 Reportée 1219548 MGHYRA Jamila Amphi Cadi Ayyad 130 1219433 MIFTAH Jaouad Amphi Cadi Ayyad 132 1211315 MIFTAH EL KHEIR Fouad Amphi Cadi Ayyad 134 Reportée 1102815 MIHFAD Soukaina Amphi Cadi Ayyad 136 Reportée 1202392 MILLOUL Dounya Amphi Cadi Ayyad 138 1202559 MIMI Mohamed Amphi Cadi Ayyad 140 1110918 MIMOUNE Nadia Amphi Cadi Ayyad 142 Reportée 1201266 MITAR MONA Amphi Cadi Ayyad 144 1102750 M'JAHED Jaouad Amphi Cadi Ayyad 146 Reportée 1219827 MOHAMED Oamer Amphi Cadi Ayyad 148 Reportée 1210478 MOHSSINE NOURA Amphi Cadi Ayyad 150 1204141 MOKHLIS Ahmed Amphi Cadi Ayyad 152 1203838 MOKTABIS Said Amphi Cadi Ayyad 154 Reportée 1204589 MONTASSIR Ahmed Amphi Cadi Ayyad 156 1209025 MONTASSIR Ahmed Amphi Cadi Ayyad 158 1202872 MOSLIH Dounia Amphi Cadi Ayyad 160 1204782 MOSSAOUI Hanan Amphi Cadi Ayyad 1621204782 MOSSAOUI Hanan Amphi Cadi Ayyad 162 1109883 MOTAHHIR Hind Amphi Cadi Ayyad 164 Reportée Matière1: Introduction au Droit positif Matière2: Introduction au Droit musulman 56/68
  • 153.
    Filière: Droit arabe Facultédes sciences juridiques et Economiques. Marrakech N° Apogée Nom Prénom Local d'examen N° d'examen Matière1 Matière2 Université Cadi Ayyad PV de surveillance: Session de rattrapage Module: Introduction au Droit privé 2012-2013 Semestre1 (nouveau système) 1206358 MOTALIB Redouane Amphi Cadi Ayyad 166 Reportée 1207741 MOUAKITI Mebarek Amphi Cadi Ayyad 168 1004538 MOUALIMI NOZHA Amphi Cadi Ayyad 170 Reportée 1201337 MOUBTASSIM ABDELLAH Amphi Cadi Ayyad 172 1101131 MOUCHFIQ Mohamed Amphi Cadi Ayyad 174 Reportée 1203188 MOUDDEN Youness Amphi Cadi Ayyad 176 1106204 MOUFTAH Moulika Amphi Cadi Ayyad 178 Reportée 1219363 MOUFTAKHIR Ayoub Amphi Cadi Ayyad 180 1201383 MOUGHFIR Khadija Amphi Cadi Ayyad 182 1219395 MOUHTACH YOUNES Amphi Cadi Ayyad 184 1202841 MOUJAN Wasim Amphi Cadi Ayyad 186 1210783 MOUKZINE Ayoub Amphi Cadi Ayyad 188 1203129 MOULAY ETALEB Fatima Ezzahra Amphi Cadi Ayyad 190 1210927 MOUMEN Fatima Amphi Cadi Ayyad 192 1202662 MOUNJI Tarik Amphi Cadi Ayyad 194 Reportée 1202225 MOUNTASSER Mohamed Amphi Cadi Ayyad 196 1203856 MOUNTIR Mohammed Amphi Cadi Ayyad 198 1217519 MOUNYR ABDELALI Amphi Cadi Ayyad 200 Matière1: Introduction au Droit positif Matière2: Introduction au Droit musulman 57/68
  • 154.
    Filière: Droit arabe Facultédes sciences juridiques et Economiques. Marrakech N° Apogée Nom Prénom Local d'examen N° d'examen Matière1 Matière2 Université Cadi Ayyad PV de surveillance: Session de rattrapage Module: Introduction au Droit privé 2012-2013 Semestre1 (nouveau système) 1202282 MOURABIT Abdelhaq Amphi Abou El Abbass Essebti 202 Reportée 1203176 MOURABIT Abdelmoula Amphi Abou El Abbass Essebti 204 1202327 MOURABIT KHALIDE Amphi Abou El Abbass Essebti 206 1202642 MOURHRI Mariam Amphi Abou El Abbass Essebti 208 1000455 MOURIH CHAIMA Amphi Abou El Abbass Essebti 210 Reportée 1107163 MOUSSAYIH Rabab Amphi Abou El Abbass Essebti 212 Reportée 1210300 MOUSTAID Hajar Amphi Abou El Abbass Essebti 214 Reportée 1201729 MOUSTAID Soufiane Amphi Abou El Abbass Essebti 216 Reportée 1201123 MOUSTALIH Mustapha Amphi Abou El Abbass Essebti 218 1219828 MOUTIA Fatima Ezzahra Amphi Abou El Abbass Essebti 220 1219427 MOUTTAKI Mohamed-amine Amphi Abou El Abbass Essebti 222 1202033 MOUZOUNE Imad Amphi Abou El Abbass Essebti 224 1202976 NAANAA MAROUANE Amphi Abou El Abbass Essebti 226 1203769 NACIRI ANASS Amphi Abou El Abbass Essebti 228 Reportée 1205844 NACIRI Youssef Amphi Abou El Abbass Essebti 230 1109591 NADIM Souad Amphi Abou El Abbass Essebti 232 Reportée 1201379 NADIR Majda Amphi Abou El Abbass Essebti 234 Reportée 1003050 NADIRI HASSAN Amphi Abou El Abbass Essebti 236 Reportée 1101208 NAHI Khadija Amphi Abou El Abbass Essebti 238 Reportée 1205564 NAHKAMI ISMAIL Amphi Abou El Abbass Essebti 240 1219816 NAIM Abdelali Amphi Abou El Abbass Essebti 242 1203221 NAIMI Azzeddine Amphi Abou El Abbass Essebti 244 1115600 NAIT MALEK Laila Amphi Abou El Abbass Essebti 246 1204653 NAJAY El Mustapha Amphi Abou El Abbass Essebti 248 1102002 NAJAY Youssef Amphi Abou El Abbass Essebti 250 Reportée 1205182 NAJI Brahim Amphi Abou El Abbass Essebti 252 Reportée 1203875 NAJI Lahcen Amphi Abou El Abbass Essebti 254 Reportée 1113686 NAJI RACHIDA Amphi Abou El Abbass Essebti 256 1102177 NAJI Younes Amphi Abou El Abbass Essebti 258 Reportée 1204990 NAJID Nabil Amphi Abou El Abbass Essebti 260 1204778 NAMI Said Amphi Abou El Abbass Essebti 262 Reportée 1205069 NAOUI Khalid Amphi Abou El Abbass Essebti 264 1202727 NASOUH Fatima Zahra Amphi Abou El Abbass Essebti 266 Reportée 1204267 NASSAH Fatima Ezzahra Amphi Abou El Abbass Essebti 268 1201744 NASSIF Jamila Amphi Abou El Abbass Essebti 270 1209312 NASSIRI Mohamed Amphi Abou El Abbass Essebti 272 1220103 NATOUR Mohamed Amphi Abou El Abbass Essebti 274 1219450 NAZHI SOUKAINA Amphi Abou El Abbass Essebti 276 Reportée 1201599 NAZIH El Ghalia Amphi Abou El Abbass Essebti 278 1219980 NAZIH HASNA Amphi Abou El Abbass Essebti 2801219980 NAZIH HASNA Amphi Abou El Abbass Essebti 280 1108578 N'CILA Khadija Amphi Abou El Abbass Essebti 282 Reportée Matière1: Introduction au Droit positif Matière2: Introduction au Droit musulman 58/68
  • 155.
    Filière: Droit arabe Facultédes sciences juridiques et Economiques. Marrakech N° Apogée Nom Prénom Local d'examen N° d'examen Matière1 Matière2 Université Cadi Ayyad PV de surveillance: Session de rattrapage Module: Introduction au Droit privé 2012-2013 Semestre1 (nouveau système) 1105947 NEBBAG Hicham Amphi Abou El Abbass Essebti 284 1204053 NESSI Laila Amphi Abou El Abbass Essebti 286 Reportée 1004061 NHAL YOUSSEF Amphi Abou El Abbass Essebti 288 Reportée 1219818 NIAGUI Saadia Amphi Abou El Abbass Essebti 290 1217414 NID BALLA NADIA Amphi Abou El Abbass Essebti 292 1205603 N'MILI Yassine Amphi Abou El Abbass Essebti 294 1208862 N'MIRICH Youssef Amphi Abou El Abbass Essebti 296 1110634 NODARI MOHAMMED Amphi Abou El Abbass Essebti 298 1105733 NOUAMANI Yousra Amphi Abou El Abbass Essebti 300 Reportée 1201735 NOUBOUGH Youness Amphi Abou El Abbass Essebti 302 1208806 NOUHI Younes Amphi Abou El Abbass Essebti 304 1209157 NOUISSI Yassine Amphi Abou El Abbass Essebti 306 Reportée 1202409 NOUKRA Rajae Amphi Abou El Abbass Essebti 308 1114458 NOUMRI Brahim Amphi Abou El Abbass Essebti 310 1202556 NUMAN Nermine Amphi Abou El Abbass Essebti 312 Reportée 1201782 OBBAD Abderrahim Amphi Abou El Abbass Essebti 314 1219817 OBIBA Abdel-ilah Amphi Abou El Abbass Essebti 316 1204154 OIKHMAJJA Abdelmonim Amphi Abou El Abbass Essebti 318 Reportée 1201036 OIOUJA Fatima Amphi Abou El Abbass Essebti 320 1110559 OKAB Ayoub Amphi Abou El Abbass Essebti 322 Reportée 1204749 OKDA Mohammed Amphi Abou El Abbass Essebti 324 Reportée 1219571 OMAIRY Jaouad Amphi Abou El Abbass Essebti 326 Reportée 1202998 OMARI Soufiane Amphi Abou El Abbass Essebti 328 Reportée 1205206 OMRANI Hamza Amphi Abou El Abbass Essebti 330 1109517 OUACHOU Mohamed Amphi Abou El Abbass Essebti 332 1202366 OUACHOU Mohamed Amphi Abou El Abbass Essebti 334 1203953 OUACHT Saber Amphi Abou El Abbass Essebti 336 1104937 OUADATE Salaheddine Amphi Abou El Abbass Essebti 338 1206292 OUAGAG Khadija Amphi Abou El Abbass Essebti 340 Reportée 1202211 OUAGHI Samir Amphi Abou El Abbass Essebti 342 1218892 OUAGUIDA Nadia Amphi Abou El Abbass Essebti 344 Reportée 1108129 OUAHHABI Hamza Amphi Abou El Abbass Essebti 346 Reportée 1109627 OUAHI Ouidad Amphi Abou El Abbass Essebti 348 Reportée 1219286 OUAKRIM Mohamed Amphi Abou El Abbass Essebti 350 1209296 OUANZIGUI ABDELHAMID Amphi Abou El Abbass Essebti 352 Reportée 1107547 OUARBIA SAMIRA Amphi Abou El Abbass Essebti 354 Reportée 1219620 OUARDI Hasnaa Amphi Abou El Abbass Essebti 356 1107161 OUAROUARID Yassine Amphi Abou El Abbass Essebti 358 Reportée 1219694 OUARROUN Hamid Amphi Abou El Abbass Essebti 360 Reportée 1005503 OUARTAS MOHCINE Amphi Abou El Abbass Essebti 362 Reportée1005503 OUARTAS MOHCINE Amphi Abou El Abbass Essebti 362 Reportée 1203981 OUASAID Elghazi Amphi Abou El Abbass Essebti 364 Matière1: Introduction au Droit positif Matière2: Introduction au Droit musulman 59/68
  • 156.
    Filière: Droit arabe Facultédes sciences juridiques et Economiques. Marrakech N° Apogée Nom Prénom Local d'examen N° d'examen Matière1 Matière2 Université Cadi Ayyad PV de surveillance: Session de rattrapage Module: Introduction au Droit privé 2012-2013 Semestre1 (nouveau système) 1004578 OUASKAR NADYA Amphi Abou El Abbass Essebti 366 Reportée 1202061 OUASSAL Bahija Amphi Abou El Abbass Essebti 368 1100708 OUASSARH Amine Amphi Abou El Abbass Essebti 370 Reportée 1219704 OUASSIFA HASNAE Amphi Abou El Abbass Essebti 372 Reportée 1202217 OUATTA Hamza Amphi Abou El Abbass Essebti 374 Reportée 1210528 OUBAHA Abdelfatah Amphi Abou El Abbass Essebti 376 Reportée 1207641 OUBALAID Saida Amphi Abou El Abbass Essebti 378 1209428 OUBALHAJ Sana Amphi Abou El Abbass Essebti 380 Reportée 1205243 OUBALLA Mounir Amphi Abou El Abbass Essebti 382 1104613 OUBELLA Ayoub Amphi Abou El Abbass Essebti 384 Reportée 1208542 OUBERKNI Khalid Amphi Abou El Abbass Essebti 386 Reportée 1206198 OUBIDA Imane Amphi Abou El Abbass Essebti 388 Reportée 1203124 OUBLA Mustapha Amphi Abou El Abbass Essebti 390 Reportée Matière1: Introduction au Droit positif Matière2: Introduction au Droit musulman 60/68
  • 157.
    Filière: Droit arabe Facultédes sciences juridiques et Economiques. Marrakech N° Apogée Nom Prénom Local d'examen N° d'examen Matière1 Matière2 Université Cadi Ayyad PV de surveillance: Session de rattrapage Module: Introduction au Droit privé 2012-2013 Semestre1 (nouveau système) 1203196 OUBLAL Mohamed Amphi Imam Malik 582 1205247 OUBNINTE Mustapha Amphi Imam Malik 584 1205021 OUBOUHSS Ilham Amphi Imam Malik 586 1210656 OUBOUHSS Ilhame Amphi Imam Malik 588 1202275 OUBRAM Jaouad Amphi Imam Malik 590 Reportée 1103851 OUCHEMHOU MOHAMED Amphi Imam Malik 592 1113470 OUDAOUD ABDELHADI Amphi Imam Malik 594 Reportée 1205848 OUDEMNATE Malika Amphi Imam Malik 596 1205248 OUELD AADOU YOUSSEF Amphi Imam Malik 598 1210877 OUELD BOUDLAL Bouchra Amphi Imam Malik 600 Reportée 1104808 OUGHMI Marouane Amphi Imam Malik 602 Reportée 1201063 OUHADDOU Hanane Amphi Imam Malik 604 Reportée 1207733 OUHSAIN Soumia Amphi Imam Malik 606 1201056 OUIZRAG Charifa Amphi Imam Malik 608 1204907 OUKEMMOU SOUKAINA Amphi Imam Malik 610 Reportée 1210726 OUKHOUYA LAHSEN Amphi Imam Malik 612 Reportée 1205231 OUKHOUYA Youssef Amphi Imam Malik 614 1203592 OULAD SALH Mohamed Amphi Imam Malik 616 1220929 OULADBADDA ZAKARIA Amphi Imam Malik 618 Reportée 1203549 OULAIKA Issmail Amphi Imam Malik 620 1218840 OULASSRI Aicha Amphi Imam Malik 622 1006315 OULD ATTOU DOUNIA Amphi Imam Malik 624 Reportée 1110915 OULED BABA Charaf Eddine Amphi Imam Malik 626 Reportée 1205805 OULFARSI Youssef Amphi Imam Malik 628 1106776 OULHANOU Latifa Amphi Imam Malik 630 Reportée 1107982 OULIDI Es-said Amphi Imam Malik 632 1221004 OULMADANI SALIMA Amphi Imam Malik 634 Reportée 1204909 OUMALOUL Ahmed Amphi Imam Malik 636 1114145 OUMAMA Karima Amphi Imam Malik 638 1201260 OUMASST Samira Amphi Imam Malik 640 1219569 OUMERIEM Rajaa Amphi Imam Malik 642 Reportée 1209227 OUMESSAOUD Mouhamed Amphi Imam Malik 644 1203868 OUMNIATABIB Abderrahman Amphi Imam Malik 646 1111605 OURAHOU Zahra Amphi Imam Malik 648 1106993 OURBAA Ahmed Amphi Imam Malik 650 Reportée 1202503 OURBIAA Mariam Amphi Imam Malik 652 1203628 OUSSAMA Aimad Amphi Imam Malik 654 1205814 OUSSIDI Ahmad Amphi Imam Malik 656 Reportée 1200995 OUTAGHZOUT Youness Amphi Imam Malik 658 Reportée 1114162 OUTALATE MOURAD Amphi Imam Malik 6601114162 OUTALATE MOURAD Amphi Imam Malik 660 1204472 OUTAMANT Mohamed Amphi Imam Malik 662 Matière1: Introduction au Droit positif Matière2: Introduction au Droit musulman 61/68
  • 158.
    Filière: Droit arabe Facultédes sciences juridiques et Economiques. Marrakech N° Apogée Nom Prénom Local d'examen N° d'examen Matière1 Matière2 Université Cadi Ayyad PV de surveillance: Session de rattrapage Module: Introduction au Droit privé 2012-2013 Semestre1 (nouveau système) 1201332 OUTAZZARINE Youssef Amphi Imam Malik 664 1202431 OUTMAGHOUST Saida Amphi Imam Malik 666 Reportée 1220180 OUZANE Latifa Amphi Imam Malik 668 Reportée 1204921 OUZIDANE Said Amphi Imam Malik 670 1219404 OYAHYA ELHOSSINE Amphi Imam Malik 672 1205583 QABLI Abdelhadi Amphi Imam Malik 674 1108600 QUINCHANI Abdelillah Amphi Imam Malik 676 Reportée 1109909 QUITTI Youssef Amphi Imam Malik 678 1107728 RABAH M'birika Amphi Imam Malik 680 1107673 RABAH Youssef Amphi Imam Malik 682 1201617 RABBOUH Essaid Amphi Imam Malik 684 1101231 RABBOUH Mariem Amphi Imam Malik 686 Reportée 1201394 RABEH Hicham Amphi Imam Malik 688 1204939 RABICHI Kamal Amphi Imam Malik 690 1102399 RABIE Youssef Amphi Imam Malik 692 Reportée 1109112 RACHDAOUI Abdellah Amphi Imam Malik 694 Reportée 1204180 RACHID Ayada Amphi Imam Malik 696 1104379 RACHID Khadija Amphi Imam Malik 698 Reportée 1202332 RACHYDY Ali Amphi Imam Malik 700 1218799 RADAN HASSAN Amphi Imam Malik 702 Reportée 1203081 RAFAA Hamza Amphi Imam Malik 704 1209988 RAFI Amina Amphi Imam Malik 706 Reportée 1109583 RAFIA El Mehdi Amphi Imam Malik 708 Reportée 1205645 RAFII El Mostafa Amphi Imam Malik 710 1201598 RAFIK Malik Amphi Imam Malik 712 1206763 RAFIQ Rajaa Amphi Imam Malik 714 1219875 RAFIQ Sakina Amphi Imam Malik 716 1210669 RAHHOU Soukaina Amphi Imam Malik 718 1114544 RAHILI ABDALLAH Amphi Imam Malik 720 Reportée 1112615 RAHLANE Khadija Amphi Imam Malik 722 1210749 RAIA Kenza Amphi Imam Malik 724 1103224 RAJI Mohamed Amphi Imam Malik 726 Reportée 1219555 RAKANE El Houssine Amphi Imam Malik 728 1202844 RAKAS Rajae Amphi Imam Malik 730 1205094 RAMI El Mokhtar Amphi Imam Malik 732 1201016 RAMI Soufiane Amphi Imam Malik 734 1209509 RAOUI Amina Amphi Imam Malik 736 1103693 RAZGUI Abd Hay Amphi Imam Malik 738 1111013 RAZIK Abdelhalim Amphi Imam Malik 740 Reportée 1201140 RAZZOUQ Omar Amphi Imam Malik 7421201140 RAZZOUQ Omar Amphi Imam Malik 742 1205771 RBIB Hamid Amphi Imam Malik 744 Reportée Matière1: Introduction au Droit positif Matière2: Introduction au Droit musulman 62/68
  • 159.
    Filière: Droit arabe Facultédes sciences juridiques et Economiques. Marrakech N° Apogée Nom Prénom Local d'examen N° d'examen Matière1 Matière2 Université Cadi Ayyad PV de surveillance: Session de rattrapage Module: Introduction au Droit privé 2012-2013 Semestre1 (nouveau système) 1211254 R'BIBE Rabia Amphi Imam Malik 746 1203060 RGUIOUEG Chama Amphi Imam Malik 748 1219394 RHALIMI KHALID Amphi Imam Malik 750 1203959 RHALMI Mohcine Amphi Imam Malik 752 1107784 RHANNAM Achraf Amphi Imam Malik 754 Reportée 1203759 RHARIB Abdelillah Amphi Imam Malik 756 1219557 RHAZAL Amina Amphi Imam Malik 758 Reportée 1103782 RHAZZAIFOU Bouchra Amphi Imam Malik 760 1203219 RHENJA Mohamed Amphi Imam Malik 762 Reportée 1220418 RIAD Abdelghani Amphi Imam Malik 764 1108042 RIADI Hanane Amphi Imam Malik 766 1206818 RIAHI Soukaina Amphi Imam Malik 768 1210302 RIDA Ntiçar Amphi Imam Malik 770 Reportée 1219058 RIDOIN Mourad Amphi Imam Malik 772 Reportée 1208600 RIDOUANE Khalid Amphi Imam Malik 774 1103252 RIHANE Noaman Amphi Imam Malik 776 Reportée 1205006 RIYANI Abderrahim Amphi Imam Malik 778 1201766 RIZKI Mohamed Amphi Imam Malik 780 1201374 RJIJ Jaouad Amphi Imam Malik 782 1203290 RMITI Ghizlan Amphi Imam Malik 784 Reportée 1204953 ROUEBA Moussa Amphi Imam Malik 786 1201776 ROUHI Achrafe Amphi Imam Malik 788 1203109 ROUIBAA Isam Amphi Imam Malik 790 1203090 ROUIJAI Sanae Amphi Imam Malik 792 1203142 SAADANI Salah Eddine Amphi Imam Malik 794 Reportée 1201127 SAADEN Fatima Zahra Amphi Imam Malik 796 1205709 SAADI Fadoua Amphi Imam Malik 798 1202078 SAADOUNI YOUSSEF Amphi Imam Malik 800 1115567 SAAFADI Rabab Amphi Imam Malik 802 Reportée 1204265 SAB Yassine Amphi Imam Malik 804 1204249 SAB Younes Amphi Imam Malik 806 1102115 SABAI Jalal Amphi Imam Malik 808 1210290 SABAR Jamal Amphi Imam Malik 810 1202980 SABIR Amine Amphi Imam Malik 812 1207760 SABIR Mohammed Amphi Imam Malik 814 Reportée 1104117 SABIR Sami Amphi Imam Malik 816 Reportée 1203018 SABIR Youssef Amphi Imam Malik 818 Reportée 1215867 SABOUA Abdelmalik Amphi Imam Malik 820 Reportée 1205837 SABRAOUI Youssef Amphi Imam Malik 822 1210942 SABRI Hafida Amphi Imam Malik 824 Reportée1210942 SABRI Hafida Amphi Imam Malik 824 Reportée 1220023 SABRI Imane Amphi Imam Malik 826 Matière1: Introduction au Droit positif Matière2: Introduction au Droit musulman 63/68
  • 160.
    Filière: Droit arabe Facultédes sciences juridiques et Economiques. Marrakech N° Apogée Nom Prénom Local d'examen N° d'examen Matière1 Matière2 Université Cadi Ayyad PV de surveillance: Session de rattrapage Module: Introduction au Droit privé 2012-2013 Semestre1 (nouveau système) 1004745 SABRI MOSTAFA Amphi Imam Malik 828 Reportée 1210985 SABT Younes Amphi Imam Malik 830 Reportée 1220942 SADDIKI KHADIJA Amphi Imam Malik 832 1203671 SADIK Abderrahim Amphi Imam Malik 834 1202446 SADIQ Mouna Amphi Imam Malik 836 1204954 SADIQ Youssef Amphi Imam Malik 838 Reportée 1210675 SAFADI Btissam Amphi Imam Malik 840 Reportée 1201030 SAFADI Najoua Amphi Imam Malik 842 1104278 SAFOUANE Nadia Amphi Imam Malik 844 Reportée 1109143 SAGOUM Meriem Amphi Imam Malik 846 Reportée 1110565 SAHRAOUI Hasna Amphi Imam Malik 848 Reportée 1205623 SAIDI Laghdaf Amphi Imam Malik 850 1204315 SAIH Jamila Amphi Imam Malik 852 Reportée 1202794 SAISSI HASSANI Omar Amphi Imam Malik 854 1220312 SAJID Hanane Amphi Imam Malik 856 Reportée 1201160 SAKOUM Khadija Amphi Imam Malik 858 1220291 SALAMI Mohamed Amphi Imam Malik 860 1205790 SALIHI Zakaria Amphi Imam Malik 862 Reportée 1200988 SALLAM Hassan Amphi Imam Malik 864 1107716 SALMAJI Khamissa Amphi Imam Malik 866 Reportée 1203987 SALMAN Mustapha Amphi Imam Malik 868 Reportée 1204570 SAMARI Raja Amphi Imam Malik 870 Reportée 1202193 SANBATI Radouane Amphi Imam Malik 872 Reportée 1203773 SANYAK Mohamed Amphi Imam Malik 874 Reportée 1012809 SAOUD MOSINE Amphi Imam Malik 876 Reportée 1107722 SARBIB Youssef Amphi Imam Malik 878 Reportée 1008212 SARFAOUI ISMAIL Amphi Imam Malik 880 Matière1: Introduction au Droit positif Matière2: Introduction au Droit musulman 64/68
  • 161.
    Filière: Droit arabe Facultédes sciences juridiques et Economiques. Marrakech N° Apogée Nom Prénom Local d'examen N° d'examen Matière1 Matière2 Université Cadi Ayyad PV de surveillance: Session de rattrapage Module: Introduction au Droit privé 2012-2013 Semestre1 (nouveau système) 1219801 SARKOUH Soukaina salle 1 2272 1204897 SARNANE Asma salle 1 2274 1212254 SARSARI Charifa salle 1 2276 Reportée 1210401 SAT Mahjoub salle 1 2278 1202347 SAYA Imane salle 1 2280 1202882 SBAI ABASSI Aziz salle 1 2282 1106944 SEGHIR Othmane salle 1 2284 1100399 SELYAN Elyazid salle 1 2286 Reportée 1219563 SEMLALI Abdellatif salle 1 2288 1114167 SERBOUT Zahra salle 1 2290 Reportée 1208801 SERHANE Zakaria salle 1 2292 Reportée 1201294 SETTANI Mohamed Amine salle 1 2294 1105258 SGHIR Yassine salle 1 2296 Reportée 1202785 SID ZAINE Mohamed Ali salle 1 2298 1202067 SIDI Btissam salle 1 2300 Reportée 1201367 SIMAMRI Hasna salle 1 2302 1110502 SIRROU Abdelwahed salle 1 2304 1211251 SLIMANI Ahmed Amine salle 1 2306 Reportée 1204206 SLITINE JINANE salle 1 2308 1201353 SMAITI Mohamed Arafa salle 1 2310 Reportée 1202441 SMAYTI Fatima Ezzahra salle 1 2312 Reportée 1103827 SNABEL Nouhila salle 1 2314 1210782 SNAIBA Khadija salle 1 2316 Reportée 1208190 SNINE DHAB Abdelhakim salle 1 2318 1203164 SOLAHMANI YOUNES salle 1 2320 Reportée 1202979 SOROUR Abderrahim salle 1 2322 Reportée 1109857 SOUABNI Amina salle 1 2324 Reportée 1204608 SOUALEM Abdelhadi salle 1 2326 1104202 SOUDANI Abdelfattah salle 1 2328 1201747 SOUDI Ayoub salle 1 2330 1204052 SOUFIANI Mohamed salle 1 2332 1202434 SOUHAYLE Mina salle 1 2334 1201090 SOUKTI Khadija salle 1 2336 1202183 SOUKTI Zainab salle 1 2338 1100753 SOUSSI Loubna salle 1 2340 Reportée Matière1: Introduction au Droit positif Matière2: Introduction au Droit musulman 65/68
  • 162.
    Filière: Droit arabe Facultédes sciences juridiques et Economiques. Marrakech N° Apogée Nom Prénom Local d'examen N° d'examen Matière1 Matière2 Université Cadi Ayyad PV de surveillance: Session de rattrapage Module: Introduction au Droit privé 2012-2013 Semestre1 (nouveau système) 1210484 SPAISSI Fatiha salle 2 2342 Reportée 1207836 SRAIDI Saida salle 2 2344 1203610 TABAANDOUST Abdellah salle 2 2346 Reportée 1210811 TABARKANTE Asmaa salle 2 2348 Reportée 1111298 TABIIY Mohamed Amine salle 2 2350 Reportée 1106971 TABOUCHTATE Amina salle 2 2352 Reportée 1201169 TACHARET Brahim salle 2 2354 1204025 TADILY Anas salle 2 2356 Reportée 1205884 TAGHZOUT Mohamed salle 2 2358 Reportée 1114319 TAGUENITI Soumia salle 2 2360 Reportée 1219619 TAHDAOUI Halima salle 2 2362 1108253 TAHIN Kamal salle 2 2364 Reportée 1101142 TAHIRI Abderrahim salle 2 2366 1219811 TAHIRI Nadia salle 2 2368 Reportée 1216587 TAHIRY IMAD salle 2 2370 Reportée 1004293 TAHOUR HAMID salle 2 2372 Reportée 1203338 TAHOUR RACHID salle 2 2374 1205081 TAI Fatima Zahra salle 2 2376 1114261 TAIK Fatima salle 2 2378 Reportée 1219362 TAKNY Mariem salle 2 2380 Reportée 1107038 TAKSESSA Aminatou salle 2 2382 1100264 TALAOUI Mohamed salle 2 2384 Reportée 1101006 TALAT Abde Llatif salle 2 2386 Reportée 1114175 TALBI Adil salle 2 2388 Reportée 1203938 TALHI Imad salle 2 2390 1211297 TALIBI Yassine salle 2 2392 1100902 TALILI Omar salle 2 2394 Reportée 1219815 TAMANE NADIA salle 2 2396 1203095 TANGI Mohamed salle 2 2398 Reportée 1110060 TANJI Lalla Mattou salle 2 2400 Reportée 1106742 TAOUBANE Fatima Zahra salle 2 2402 Reportée 1201606 TAOUMI Bachir salle 2 2404 1203783 TAOUSSI KAMAL salle 2 2406 1103834 TAOUSSI SABAH salle 2 2408 1203904 TAOUSSI Siham salle 2 2410 Matière1: Introduction au Droit positif Matière2: Introduction au Droit musulman 66/68
  • 163.
    Filière: Droit arabe Facultédes sciences juridiques et Economiques. Marrakech N° Apogée Nom Prénom Local d'examen N° d'examen Matière1 Matière2 Université Cadi Ayyad PV de surveillance: Session de rattrapage Module: Introduction au Droit privé 2012-2013 Semestre1 (nouveau système) 1220288 TAQI Soukaina salle 3 2412 Reportée 1205845 TARBAOUI Aziza salle 3 2414 Reportée 1220239 TARIB AZIZA salle 3 2416 Reportée 6006700 TARIQ SAADI salle 3 2418 Reportée 1108505 TAZROURT Hanan salle 3 2420 Reportée 1219803 TELILY Ahmed salle 3 2422 Reportée 1219757 TETBAT Wahiba salle 3 2424 1219479 TFIL HAMZA salle 3 2426 1201627 THABIT Soumia salle 3 2428 1110242 THOUKI Souad salle 3 2430 1219657 TIDILI Soukaina salle 3 2432 1205832 TIDLI Ayoub salle 3 2434 1219465 TIFINZI Fatiha salle 3 2436 1105907 TIGHAZI Abdlkarim salle 3 2438 1211311 TIGHAZOUI Walid salle 3 2440 Reportée 1104049 TIHAT Rachid salle 3 2442 Reportée 1202167 TIR Fatima salle 3 2444 1108433 TIRAOUI MARIEM salle 3 2446 Reportée 1202567 TIZIRT Souaad salle 3 2448 1210273 TMADLI Meriem salle 3 2450 1210501 TORRES Zoubida salle 3 2452 1204380 TOUBANI EL ALAMI salle 3 2454 1202029 TOUDAMRINI Elalami salle 3 2456 1201720 TOUIZI Khalil salle 3 2458 1202153 TOUKBANI Salima salle 3 2460 1201698 TOURAB Abdelkader salle 3 2462 Reportée 1202464 TOURAB Asmae salle 3 2464 1202242 TRKMANI Allal salle 3 2466 1204509 WANAIM Achraf salle 3 2468 1202735 WARDI Youssef salle 3 2470 Reportée 1210683 WISSAL Sellami salle 3 2472 1202354 YAFIT Jaouad salle 3 2474 Reportée 1202237 YAHYAOUI Ismail salle 3 2476 1209823 YAKINI Loubna salle 3 2478 Reportée 1204690 YANDAHI Anas salle 3 2480 Matière1: Introduction au Droit positif Matière2: Introduction au Droit musulman 67/68
  • 164.
    Filière: Droit arabe Facultédes sciences juridiques et Economiques. Marrakech N° Apogée Nom Prénom Local d'examen N° d'examen Matière1 Matière2 Université Cadi Ayyad PV de surveillance: Session de rattrapage Module: Introduction au Droit privé 2012-2013 Semestre1 (nouveau système) 1201922 YOUMNI Hasna salle 4 2482 1205733 YOUSSRI Elhassania salle 4 2484 1204793 ZAAMI Naoual salle 4 2486 1204835 ZAFFIK JAMAL-EDDINE salle 4 2488 1210690 ZAGHDANI Saida salle 4 2490 1101989 ZAHIDI Hamza salle 4 2492 Reportée 1219421 ZAHIR Majda salle 4 2494 1201872 ZAHLANE Ibtissam salle 4 2496 1210311 ZAKI HANANE salle 4 2498 Reportée 1108688 ZALMAT Oum Kacem salle 4 2500 Reportée 1114298 ZAOUIA Amine salle 4 2502 1202035 ZAOUINI Abdelmounaim salle 4 2504 1109610 ZARIFI Ez-zahra salle 4 2506 Reportée 1219808 ZAROUALI Naoil salle 4 2508 Reportée 1201308 ZARROUK JIHADE salle 4 2510 Reportée 1204751 ZARTIT Fatima Ezzahra salle 4 2512 Reportée 1203682 ZAYOUD Mohamed salle 4 2514 1202416 ZAYYAD Olaya salle 4 2516 1004762 ZBIDA ISMAIL salle 4 2518 Reportée 1209490 ZBIRI Adil salle 4 2520 Reportée 1106130 ZEBDI Abdelmonaine salle 4 2522 1201723 ZEGLALI Adnane salle 4 2524 Reportée 1004505 ZEGRAOUI HASSAN salle 4 2526 Reportée 1201962 ZERAR Mohamed salle 4 2528 1109989 ZERDAOUI Touria salle 4 2530 Reportée 1107091 ZEROUAL Nabil salle 4 2532 Reportée 1208480 ZEROUALI Mansour salle 4 2534 1201333 ZEROUALI Mohammed salle 4 2536 Reportée 1110749 ZHIRI El Bachir salle 4 2538 Reportée 1204845 ZIANI Hasan salle 4 2540 1220125 ZIATE Mariem salle 4 2542 1220284 ZIDAN Malika salle 4 2544 Reportée 1219002 ZIKRAOUI Hafid salle 4 2546 1006121 ZIRHAM MOHAMED salle 4 2548 Reportée 1205582 ZITOUNI FATIMA EZZAHRA salle 4 2550 1203765 ZITOUNI Wadia salle 4 2552 1204979 ZOUGGAR Naoual salle 4 2554 Reportée 1204285 ZOUHAIR Youssef salle 4 2556 1105200 ZOUHRI Jamila salle 4 2558 Reportée 1202666 ZOUINE Abdelouahed salle 4 25601202666 ZOUINE Abdelouahed salle 4 2560 1201182 ZRIR Hussein salle 4 2562 Matière1: Introduction au Droit positif Matière2: Introduction au Droit musulman 68/68
  • 165.
    Filière: Droit arabe Facultédes sciences juridiques et Economiques. Marrakech N° Apogée Nom Prénom Local d'examen N° d'examen Matière1 Matière2 1114163 AABAYBOU Mohamed Amphi Allal El Fassi 392 Reportée 1110230 AACHIR Yassine Amphi Allal El Fassi 394 Reportée 1219406 AAGUIR NAJIB Amphi Allal El Fassi 396 Reportée 1205092 AAMARA El Mahjoub Amphi Allal El Fassi 398 Reportée 1202987 AARIB Hamid Amphi Allal El Fassi 400 Reportée 1220041 ABARHEGAN Fatimazahra Amphi Allal El Fassi 402 1202937 ABATOURAB Ahmed Amphi Allal El Fassi 404 Reportée 1203323 ABBOUBI Otmane Amphi Allal El Fassi 406 Reportée 1209939 ABDELHAQ Houssam Amphi Allal El Fassi 408 Reportée 1109347 ABDELLAOUI Ibtissam Amphi Allal El Fassi 410 Reportée 1203698 ABDENNASIBE Abdellah Amphi Allal El Fassi 412 Reportée 1202822 ABILILE Abdellah Amphi Allal El Fassi 414 Reportée 1206386 ABIRI Amine Amphi Allal El Fassi 416 Reportée 1205153 ABOU EL MAHASSINE Anass Amphi Allal El Fassi 418 Reportée 1206649 ABOUAM Othmane Amphi Allal El Fassi 420 1203642 ABOUMAJD Mohamed Zouhair Amphi Allal El Fassi 422 Reportée Université Cadi Ayyad PV de surveillance: Session de rattrapage 2012-2013 Module: Introduction aux sciences économiques et de gestion Semestre1 (nouveau système) 1203642 ABOUMAJD Mohamed Zouhair Amphi Allal El Fassi 422 Reportée 1210852 ABOURICHA Soukaina Amphi Allal El Fassi 424 Reportée 1219702 ABOU-SAFA Loubna Amphi Allal El Fassi 426 Reportée 1203008 ABOUSAID Abdelaziz Amphi Allal El Fassi 428 Reportée 1216722 ABZIKER Omar Amphi Allal El Fassi 430 Reportée 1205622 ACHAOUI Elmehdi Amphi Allal El Fassi 432 Reportée 1201035 ADALI Abdellatif Amphi Allal El Fassi 434 Reportée 1218894 ADDADE Chaimae Amphi Allal El Fassi 436 1210462 ADDOU Mariem Amphi Allal El Fassi 438 Reportée 1202972 ADEBBAGH Rabab Amphi Allal El Fassi 440 Reportée 1204250 ADERAI Abdessamad Amphi Allal El Fassi 442 1201658 ADIL Fatima Ezzahra Amphi Allal El Fassi 444 Reportée 1107731 ADLIMI Youness Amphi Allal El Fassi 446 1203267 AFIRI Hamid Amphi Allal El Fassi 448 Reportée 1201903 AFIRRAH Sara Amphi Allal El Fassi 450 1210296 AFKIR Soukaina Amphi Allal El Fassi 452 1202281 AFOUCHAL Ousama Amphi Allal El Fassi 454 1204763 AGDID Meryam Amphi Allal El Fassi 456 1201731 AGDOUZ Fatima Ezzahra Amphi Allal El Fassi 458 1205863 AGHLAMENHOUM Fatima-ezahra Amphi Allal El Fassi 460 Reportée 1208959 AGHOUINITE Zouinouha Amphi Allal El Fassi 462 1205867 AGNAOU Abdelhak Amphi Allal El Fassi 464 1112793 AGNIER Rachid Amphi Allal El Fassi 466 1202833 AGOUZOUR Karima Amphi Allal El Fassi 468 1208976 AHAJGOUN Farah Amphi Allal El Fassi 470 1104257 AHARABOUS Ismail Amphi Allal El Fassi 472 Reportée 1205818 AHAYAR Lamia Amphi Allal El Fassi 474 Reportée 1210315 AHAYK NAAIMA Amphi Allal El Fassi 476 Reportée Matière1: introduction aux sciences économiques Matière2:Introduction aux sciences de gestion 1/54
  • 166.
    Filière: Droit arabe Facultédes sciences juridiques et Economiques. Marrakech N° Apogée Nom Prénom Local d'examen N° d'examen Matière1 Matière2 Université Cadi Ayyad PV de surveillance: Session de rattrapage 2012-2013 Module: Introduction aux sciences économiques et de gestion Semestre1 (nouveau système) 1219790 AHEMRI Saloua Amphi Allal El Fassi 478 1209008 AHL FILALI Maryem Amphi Allal El Fassi 480 Reportée 1203033 AHLADDA Essalaek Amphi Allal El Fassi 482 Reportée 1201750 AHLAM Zouhair Amphi Allal El Fassi 484 1202524 AHLIGUINOU Najia Amphi Allal El Fassi 486 1202309 AHOUAOUI Nourddine Amphi Allal El Fassi 488 1217572 AHRTALOU FATIMA Amphi Allal El Fassi 490 1108711 AIT ABDELLAH Yassine Amphi Allal El Fassi 492 Reportée 1205930 AIT ALI Yassine Amphi Allal El Fassi 494 1203762 AIT ALIOUAT AZEDINE Amphi Allal El Fassi 496 Reportée 1208613 AIT AMEUR Hasna Amphi Allal El Fassi 498 1220895 AIT AMGHAR ABDELLAH Amphi Allal El Fassi 500 1203882 AIT BAADDI Hamza Amphi Allal El Fassi 502 Reportée 1104376 AIT BAHA Mohamed Amphi Allal El Fassi 504 Reportée 1111163 AIT BAHA NAADI Ghizlane Amphi Allal El Fassi 506 Reportée 1203058 AIT BAKOUCH Oussama Amphi Allal El Fassi 508 Reportée1203058 AIT BAKOUCH Oussama Amphi Allal El Fassi 508 Reportée 1219721 AIT BATTASS Achraf Amphi Allal El Fassi 510 1204588 AIT BELLA Mouna Amphi Allal El Fassi 512 Reportée 1207488 AIT BELLA Said Amphi Allal El Fassi 514 Reportée 1216769 AIT BEN ABBOU Hassan Amphi Allal El Fassi 516 Reportée 1211003 AIT BEN AZOUZ Younes Amphi Allal El Fassi 518 Reportée 1203123 AIT BIHI Karim Amphi Allal El Fassi 520 Reportée 1219848 AIT BOUBKER YOUSRA Amphi Allal El Fassi 522 Reportée 1204666 AIT BOUDIA Abdelmounaim Amphi Allal El Fassi 524 1209267 AIT BOURA Nabila Amphi Allal El Fassi 526 1208929 AIT BOURA Zineb Amphi Allal El Fassi 528 1210316 AIT BRAHIM Lamia Amphi Allal El Fassi 530 1111258 AIT BRAHIM Mohamed Amphi Allal El Fassi 532 Reportée 1201264 AIT BRAHIM Said Amphi Allal El Fassi 534 Reportée 1204092 AIT BRAIM Ouiam Amphi Allal El Fassi 536 Reportée 1001344 AIT CHAOU MOHAMED Amphi Allal El Fassi 538 Reportée 1203935 AIT CHHIBA Aissam Amphi Allal El Fassi 540 Reportée 1202127 AIT CHLAOUCHI Leila Amphi Allal El Fassi 542 1203976 AIT DAGHOUS Badr Amphi Allal El Fassi 544 Reportée 1114343 AIT EL HASSAN MERYEM Amphi Allal El Fassi 546 Reportée 1201236 AIT EL KADI Ibtissam Amphi Allal El Fassi 548 Reportée 1219955 AIT ELASRI NOUR EDDINE Amphi Allal El Fassi 550 1210684 AIT ELGHAZI Najib Amphi Allal El Fassi 552 1209037 AIT ELHAMRI Sofiane Amphi Allal El Fassi 554 Reportée 1220434 AIT ELJADIDA KHADIJA Amphi Allal El Fassi 556 1201252 AIT ELMAALLEM Tariq Amphi Allal El Fassi 558 Reportée 1203699 AIT HAMMOU Karim Amphi Allal El Fassi 560 1100267 AIT HAMMOU Mohamed Amphi Allal El Fassi 562 Reportée Matière1: introduction aux sciences économiques Matière2:Introduction aux sciences de gestion 2/54
  • 167.
    Filière: Droit arabe Facultédes sciences juridiques et Economiques. Marrakech N° Apogée Nom Prénom Local d'examen N° d'examen Matière1 Matière2 Université Cadi Ayyad PV de surveillance: Session de rattrapage 2012-2013 Module: Introduction aux sciences économiques et de gestion Semestre1 (nouveau système) 1201918 AIT IDAR Abdel Jalil Amphi Allal El Fassi 564 Reportée 1107534 AIT KHAYOUSSEF ABDELILAH Amphi Allal El Fassi 566 Reportée 1210422 AIT LAAMIM Jihad Amphi Allal El Fassi 568 Reportée 1210384 AIT LAHBIB Khadija Amphi Allal El Fassi 570 1208998 AIT LAMIM Ahmed Amphi Allal El Fassi 572 1205250 AIT MASAOUD Rachid Amphi Allal El Fassi 574 1006663 AIT MBAREK YOUSSEF Amphi Allal El Fassi 576 Reportée 1203113 AIT MENSSOUR Es Said Amphi Allal El Fassi 578 Reportée 1203988 AIT MOUDOUD Badre Amphi Allal El Fassi 580 Reportée Matière1: introduction aux sciences économiques Matière2:Introduction aux sciences de gestion 3/54
  • 168.
    Filière: Droit arabe Facultédes sciences juridiques et Economiques. Marrakech N° Apogée Nom Prénom Local d'examen N° d'examen Matière1 Matière2 Université Cadi Ayyad PV de surveillance: Session de rattrapage 2012-2013 Module: Introduction aux sciences économiques et de gestion Semestre1 (nouveau système) 1210630 AIT MOUSSA Yamna Amphi ibn Rochd 882 Reportée 1203179 AIT NACEUR Fatima Zahra Amphi Ibn Rochd 884 Reportée 1203923 AIT OUCHABOU Abdelmalek Amphi ibn Rochd 886 Reportée 1110458 AIT OUCHENTE Latifa Amphi Ibn Rochd 888 Reportée 1211000 AIT OUFELLA Abdelaziz Amphi ibn Rochd 890 Reportée 1108128 AIT OUISSI Nouhaila Amphi Ibn Rochd 892 Reportée 1203914 AIT OUIZZAN Driss Amphi ibn Rochd 894 Reportée 1203302 AIT OUZNAG Abdellah Amphi Ibn Rochd 896 Reportée 1208974 AIT RAISS Mohcine Amphi ibn Rochd 898 1211017 AIT SAID IMANE Amphi Ibn Rochd 900 1204610 AIT SAIDAT Rachid Amphi ibn Rochd 902 Reportée 1203241 AIT SALM Hajar Amphi Ibn Rochd 904 1205797 AIT SBIHA Nourredine Amphi ibn Rochd 906 Reportée 1207725 AIT TABLALT Hamid Amphi Ibn Rochd 908 Reportée 1202891 AIT TAGADIRT Mohamed Amphi ibn Rochd 910 Reportée 1202721 AIT TAHER Fatima Amphi Ibn Rochd 9121202721 AIT TAHER Fatima Amphi Ibn Rochd 912 1219708 AIT TALEB ABDESSAMAD Amphi ibn Rochd 914 Reportée 1204484 AIT TALEB Dounia Amphi Ibn Rochd 916 Reportée 1205156 AIT TALEB Mustapha Amphi ibn Rochd 918 1202235 AIT THAMI HICHAM Amphi Ibn Rochd 920 Reportée 1103175 AIT TIRITE Abdeslam Amphi ibn Rochd 922 Reportée 1006108 AITBENHDA MARIEM Amphi Ibn Rochd 924 Reportée 1210594 AITBOUHOU Ahlam Amphi ibn Rochd 926 1216737 AITELQADI Yassine Amphi Ibn Rochd 928 Reportée 1219882 AJALID Said Amphi ibn Rochd 930 Reportée 1219471 AJNA AOMAR Amphi Ibn Rochd 932 1201671 AKABLI Majda Amphi ibn Rochd 934 Reportée 1210825 AKARKOUNE Loubna Amphi ibn Rochd 936 Reportée 1201349 AKDIM MOHAMED Amphi Ibn Rochd 938 1211293 AKESBI Mehdi Amphi ibn Rochd 940 Reportée 1205748 AKOURI Mounia Amphi Ibn Rochd 942 1219472 AKRAM Abderrahim Amphi ibn Rochd 944 Reportée 1204504 AL ALAMI Khadija Amphi Ibn Rochd 946 Reportée 1109624 AL ANSARI Hamza Amphi ibn Rochd 948 Reportée 1219880 AL MESKINE Mohsine Amphi Ibn Rochd 950 Reportée 1220306 ALAHYANE Abdeljalil Amphi ibn Rochd 952 1220110 ALFATIMI Imad Amphi Ibn Rochd 954 1202611 ALI BAIBA Lamina Amphi ibn Rochd 956 Reportée 1209954 ALIBADI Kouissa Amphi Ibn Rochd 958 Reportée 80000172 ALILA MILOUD Amphi ibn Rochd 960 Reportée 1101897 ALIOUA Mohamed Amphi Ibn Rochd 962 Reportée 1114365 ALIOUI Abdelghafour Amphi ibn Rochd 964 Reportée 1109644 ALLA Fatiha Amphi ibn Rochd 966 Reportée Matière1: introduction aux sciences économiques Matière2:Introduction aux sciences de gestion 4/54
  • 169.
    Filière: Droit arabe Facultédes sciences juridiques et Economiques. Marrakech N° Apogée Nom Prénom Local d'examen N° d'examen Matière1 Matière2 Université Cadi Ayyad PV de surveillance: Session de rattrapage 2012-2013 Module: Introduction aux sciences économiques et de gestion Semestre1 (nouveau système) 1202473 ALMOUSSOUNI Malika Amphi Ibn Rochd 968 1209075 ALOUATE Fatima Ez-zahra Amphi ibn Rochd 970 Reportée 1209226 AMACH El Khazraje Amphi Ibn Rochd 972 Reportée 1209286 AMANE Abderrahman Amphi ibn Rochd 974 1219412 AMANZOU AMINE Amphi Ibn Rochd 976 1219879 AMARIGH Fatima Amphi ibn Rochd 978 Reportée 1219065 AMDJAR Hafida Amphi Ibn Rochd 980 Reportée 1204103 AMEUR HAMZA Amphi ibn Rochd 982 Reportée 1211008 AMEUR HADAD Baibbat Amphi Ibn Rochd 984 Reportée 1202266 AMEZAOUROU Imane Amphi ibn Rochd 986 Reportée 1004564 AMGHAR IKRAM Amphi Ibn Rochd 988 Reportée 1204259 AMINE Ayoub Amphi ibn Rochd 990 Reportée 1220068 AMINE Hamza Amphi Ibn Rochd 992 Reportée 1011310 AMIR ABDELLATIF Amphi ibn Rochd 994 Reportée 1204414 AMJAHDI Issam Amphi ibn Rochd 996 Reportée 1209321 AMKOUR Kamal Amphi Ibn Rochd 998 Reportée1209321 AMKOUR Kamal Amphi Ibn Rochd 998 Reportée 1108522 AMMAR Bouchra Amphi ibn Rochd 1000 Reportée 1202796 AMOUDAYEN Khaoula Amphi Ibn Rochd 1002 Reportée 1201133 AMRO Abdlouhabe Amphi ibn Rochd 1004 Reportée 1201096 AMZIL Abdenacer Amphi Ibn Rochd 1006 Reportée 1115694 AMZIL Asmaa Amphi ibn Rochd 1008 Reportée 1201936 ANAYNIAA Rajae Amphi Ibn Rochd 1010 1202593 ANCHAD Aabla Amphi ibn Rochd 1012 1205783 ANGUAR LOUBNA Amphi Ibn Rochd 1014 Reportée 1202308 AOUINI NEZHA Amphi ibn Rochd 1016 1211304 AOUNZI Ismail Amphi Ibn Rochd 1018 Reportée 1203675 AOUSSAR Brahim Amphi ibn Rochd 1020 1203211 AQBLI Abdelwahd Amphi Ibn Rochd 1022 1104970 ARCHANE ABD ERRAZAK Amphi ibn Rochd 1024 Reportée 1203822 ARFAOUI Najib Amphi Ibn Rochd 1026 Reportée 1204076 ARHLIDA Abdelhakim Amphi ibn Rochd 1028 Reportée 1204453 ASSAD Leila Amphi Ibn Rochd 1030 1203961 ATIFI Zine Elaabidine Amphi ibn Rochd 1032 Reportée 1202938 ATTAR Mohamed Amphi Ibn Rochd 1034 Reportée 1204444 ATYQ Brahim Amphi ibn Rochd 1036 Reportée 1205103 AYACHE Mohamed Amphi Ibn Rochd 1038 1203358 AZALMAD Mohamed Amphi ibn Rochd 1040 Reportée 1209539 AZAOUI MOUNINA Amphi Ibn Rochd 1042 Reportée 1203345 AZEGGAGH Abd Errahmane Amphi ibn Rochd 1044 Reportée 1203106 AZEKKAR Salah Amphi Ibn Rochd 1046 Reportée 1211324 AZELMAD Malika Amphi ibn Rochd 1048 Reportée 1204593 AZIZ Ali Amphi Ibn Rochd 1050 Reportée 1201280 AZNAG FAICAL Amphi ibn Rochd 1052 Reportée Matière1: introduction aux sciences économiques Matière2:Introduction aux sciences de gestion 5/54
  • 170.
    Filière: Droit arabe Facultédes sciences juridiques et Economiques. Marrakech N° Apogée Nom Prénom Local d'examen N° d'examen Matière1 Matière2 Université Cadi Ayyad PV de surveillance: Session de rattrapage 2012-2013 Module: Introduction aux sciences économiques et de gestion Semestre1 (nouveau système) 1204632 AZNAG Kamal Amphi Ibn Rochd 1054 Reportée 1207514 AZNAG Mohamed Amphi ibn Rochd 1056 1220242 AZNAGUE Mohammed Amine Amphi Ibn Rochd 1058 Reportée 1110253 AZNAQ Abdelhai Amphi ibn Rochd 1060 Reportée 1220886 AZROUAL MERIEM Amphi Ibn Rochd 1062 Reportée 1205672 BAABBOU Dounia Amphi ibn Rochd 1064 Reportée 1004140 BAADDI RACHID Amphi Ibn Rochd 1066 Reportée 1210914 BAALI Rabha Amphi ibn Rochd 1068 Reportée 1203025 BAALI Samah Amphi ibn Rochd 1070 Reportée 1204238 BAALLAL Zakaria Amphi Ibn Rochd 1072 Reportée 1208817 BABIT Othmane Amphi ibn Rochd 1074 Reportée 1203063 BACH Mohamed Amphi Ibn Rochd 1076 Reportée 1107140 BADJI Badre Amphi ibn Rochd 1078 Reportée 1203816 BADREDDINE Laayati Amphi Ibn Rochd 1080 Reportée 1201071 BADYS Abdellatif Amphi ibn Rochd 1082 Reportée 1204587 BAHAJOUB Otman Amphi Ibn Rochd 1084 Reportée1204587 BAHAJOUB Otman Amphi Ibn Rochd 1084 Reportée 1204071 BAHAMMOU Abdellah Amphi ibn Rochd 1086 Reportée 1216344 BAHAMMOU Ayoub Amphi Ibn Rochd 1088 Reportée 1210450 BAHIL Mariem Amphi ibn Rochd 1090 Reportée 1202618 BAHJANI Abdelfattah Amphi Ibn Rochd 1092 Reportée 1102663 BAHOU Hayat Amphi ibn Rochd 1094 1006070 BAHZAZ YASSINE Amphi Ibn Rochd 1096 Reportée 1201124 BAIGA Elhassan Amphi ibn Rochd 1098 Reportée 1216335 BAIROUK Khadija Amphi ibn Rochd 1100 Reportée Matière1: introduction aux sciences économiques Matière2:Introduction aux sciences de gestion 6/54
  • 171.
    Filière: Droit arabe Facultédes sciences juridiques et Economiques. Marrakech N° Apogée Nom Prénom Local d'examen N° d'examen Matière1 Matière2 Université Cadi Ayyad PV de surveillance: Session de rattrapage 2012-2013 Module: Introduction aux sciences économiques et de gestion Semestre1 (nouveau système) 1201247 BAJOUDI Ayoub Amphi Mohamed El Fassi 1102 Reportée 1209131 BAKARDOUCH Abderrahim Amphi Mohamed El Fassi 1104 Reportée 1210492 BAKHACH Hicham Amphi Mohamed El Fassi 1106 Reportée 1209199 BAKHACHOU Yassine Amphi Mohamed El Fassi 1108 1201756 BAKHMAJ Abdessamad Amphi Mohamed El Fassi 1110 1217405 BAKHOUYA AIMAD Amphi Mohamed El Fassi 1112 Reportée 1204202 BAKZIZ KARIM Amphi Mohamed El Fassi 1114 Reportée 1203138 BALLA El Hassan Amphi Mohamed El Fassi 1116 Reportée 1109146 BANI Noureddine Amphi Mohamed El Fassi 1118 Reportée 1202388 BANI Somia Amphi Mohamed El Fassi 1120 1109571 BANTOUR Issam Amphi Mohamed El Fassi 1122 Reportée 1102201 BAQQA Mohamed Amphi Mohamed El Fassi 1124 Reportée 1201781 BARAZOUK Houda Amphi Mohamed El Fassi 1126 1209429 BARIKA-LLAH Amina Amphi Mohamed El Fassi 1128 Reportée 1209168 BARIKALLAH Zouina Amphi Mohamed El Fassi 1130 Reportée 1203712 BASIRI El Habib Amphi Mohamed El Fassi 1132 Reportée1203712 BASIRI El Habib Amphi Mohamed El Fassi 1132 Reportée 1203166 BASSIM Keltoum Amphi Mohamed El Fassi 1134 Reportée 1202673 BATTACH MERYEME Amphi Mohamed El Fassi 1136 1210435 BEJDI Meriem Amphi Mohamed El Fassi 1138 1205054 BEKKAR Morad Amphi Mohamed El Fassi 1140 Reportée 1202784 BEL FAQUIR Abdelhafid Amphi Mohamed El Fassi 1142 1115942 BEL HOUTI GHIZLANE Amphi Mohamed El Fassi 1144 Reportée 1219752 BEL KAROUI ABDELAALI Amphi Mohamed El Fassi 1146 1219424 BEL MAANI ABDESSALAM Amphi Mohamed El Fassi 1148 Reportée 1108495 BELAARROUCHI Abdelhalim Amphi Mohamed El Fassi 1150 Reportée 1201263 BELAICHA Mohamed Amphi Mohamed El Fassi 1152 1216697 BELFADIL Brahim Amphi Mohamed El Fassi 1154 1004687 BELFAKIR ABDELALI Amphi Mohamed El Fassi 1156 Reportée 1206890 BELGHITI Lamia Amphi Mohamed El Fassi 1158 Reportée 1208939 BELGOUT Hamza Amphi Mohamed El Fassi 1160 1202534 BELGUMHA Yassmina Amphi Mohamed El Fassi 1162 1204901 BELHAIBA Abdeladim Amphi Mohamed El Fassi 1164 Reportée 1205170 BELHAITE Khalid Amphi Mohamed El Fassi 1166 Reportée 1200976 BELHAJ ABDELLAH Amphi Mohamed El Fassi 1168 1205034 BELHI Fouad Amphi Mohamed El Fassi 1170 1205036 BELICH Hafida Amphi Mohamed El Fassi 1172 Reportée 1213643 BELKABOUS Fatima Ezzahra Amphi Mohamed El Fassi 1174 1201210 BELKADI Nadia Amphi Mohamed El Fassi 1176 1211070 BELKHALFI Mustapha Amphi Mohamed El Fassi 1178 Reportée 1201797 BELKHAOUDA Fakhr-eddine Amphi Mohamed El Fassi 1180 1205135 BELLA ABDLKARIM Amphi Mohamed El Fassi 1182 Reportée 1201586 BELLAFQUIH Abdelkerim Amphi Mohamed El Fassi 1184 Reportée 1203310 BELLAKHA Othmane Amphi Mohamed El Fassi 1186 Matière1: introduction aux sciences économiques Matière2:Introduction aux sciences de gestion 7/54
  • 172.
    Filière: Droit arabe Facultédes sciences juridiques et Economiques. Marrakech N° Apogée Nom Prénom Local d'examen N° d'examen Matière1 Matière2 Université Cadi Ayyad PV de surveillance: Session de rattrapage 2012-2013 Module: Introduction aux sciences économiques et de gestion Semestre1 (nouveau système) 1111607 BELLAL LARHZAL Abdelkarim Amphi Mohamed El Fassi 1188 Reportée 1201021 BELLGMMAH Abd Elwahed Amphi Mohamed El Fassi 1190 1210026 BELMALAH Sara Amphi Mohamed El Fassi 1192 1219956 BEN AAMAR Fatim Ezzahra Amphi Mohamed El Fassi 1194 1202947 BEN AAMAR Khamissa Amphi Mohamed El Fassi 1196 Reportée 1210485 BEN ARGANE Ghita Amphi Mohamed El Fassi 1198 1207562 BEN AZZOUZ Youssef Amphi Mohamed El Fassi 1200 Reportée 1203163 BEN DIDI Abed El Rrafik Amphi Mohamed El Fassi 1202 Reportée 1203055 BEN DLALA Abdelhamyd Amphi Mohamed El Fassi 1204 Reportée 1203348 BEN HADIA Mohamed Amphi Mohamed El Fassi 1206 Reportée 1209737 BEN JADOUR Khaoula Amphi Mohamed El Fassi 1208 Reportée 1211358 BEN LAAOURA Fatiha Amphi Mohamed El Fassi 1210 Reportée 1215067 BEN MOUSA Rabia Amphi Mohamed El Fassi 1212 1202911 BEN RAOUI Zakaria Amphi Mohamed El Fassi 1214 1201219 BEN YAMNA Soukaina Amphi Mohamed El Fassi 1216 1201536 BEN ZIDANE Sanae Amphi Mohamed El Fassi 12181201536 BEN ZIDANE Sanae Amphi Mohamed El Fassi 1218 1114371 BENABBOU Ayoub Amphi Mohamed El Fassi 1220 Reportée 1204457 BENABDELLAH Mohamed Amphi Mohamed El Fassi 1222 Reportée 1219670 BENABDSSELAM ZAKARIA Amphi Mohamed El Fassi 1224 Reportée 1202100 BENABLA Khalid Amphi Mohamed El Fassi 1226 Reportée 1207465 BENAISSA Said Amphi Mohamed El Fassi 1228 Reportée 1203795 BENARAB Mustapha Amphi Mohamed El Fassi 1230 Reportée 1201777 BENBAHIA Amina Amphi Mohamed El Fassi 1232 97033938 BENBARI ZAKARIA Amphi Mohamed El Fassi 1234 Reportée 1114328 BENBICH Zakaria Amphi Mohamed El Fassi 1236 Reportée 1207343 BENCHOUK Hassan Amphi Mohamed El Fassi 1238 1209880 BENEDRIOUCH Nadia Amphi Mohamed El Fassi 1240 1202208 BENELFELLAH Younes Amphi Mohamed El Fassi 1242 Reportée 1106857 BENELHAOUZI Otmane Amphi Mohamed El Fassi 1244 Reportée 1201786 BENELHOMS Houria Amphi Mohamed El Fassi 1246 1216713 BENELMFIRIQ Hamza Amphi Mohamed El Fassi 1248 Reportée 1205729 BENHAKKOUM Mohamed Amphi Mohamed El Fassi 1250 Reportée 1205578 BENJED Youssef Amphi Mohamed El Fassi 1252 Reportée 1209602 BENKARKOUB Maryam Amphi Mohamed El Fassi 1254 Reportée 1219545 BENKHALLOUK Sabah Amphi Mohamed El Fassi 1256 1204338 BENKHOUIRA Tarik Amphi Mohamed El Fassi 1258 Reportée 1218839 BENMOUSSA Raja Amphi Mohamed El Fassi 1260 1210550 BENNAR Khadija Amphi Mohamed El Fassi 1262 Reportée 1216702 BENNAY AOUATIF Amphi Mohamed El Fassi 1264 1203264 BENNAY Nadia Amphi Mohamed El Fassi 1266 Reportée 1110232 BENNOUNA Jalila Amphi Mohamed El Fassi 1268 Reportée 1210687 BENNOUS KHAOULA Amphi Mohamed El Fassi 1270 Reportée 1219613 BENSAHMOUD Ouafa Amphi Mohamed El Fassi 1272 Matière1: introduction aux sciences économiques Matière2:Introduction aux sciences de gestion 8/54
  • 173.
    Filière: Droit arabe Facultédes sciences juridiques et Economiques. Marrakech N° Apogée Nom Prénom Local d'examen N° d'examen Matière1 Matière2 Université Cadi Ayyad PV de surveillance: Session de rattrapage 2012-2013 Module: Introduction aux sciences économiques et de gestion Semestre1 (nouveau système) 1202604 BENZALIM Ayoub Amphi Mohamed El Fassi 1274 1206958 BENZBIRI Sara Amphi Mohamed El Fassi 1276 Reportée 1115717 BESSI Mohamad Amphi Mohamed El Fassi 1278 Reportée 1006023 BIJABER MOHAMED Amphi Mohamed El Fassi 1280 Reportée 1200984 BISSBISS Elmehdi Amphi Mohamed El Fassi 1282 Reportée 1100634 BISSKNA NADIA Amphi Mohamed El Fassi 1284 Reportée 1111252 BITI Youssef Amphi Mohamed El Fassi 1286 Reportée 1216331 BOHALS Maalainin Amphi Mohamed El Fassi 1288 Reportée 1204109 BOUABBAD Abderrahim Amphi Mohamed El Fassi 1290 Reportée 1114306 BOUABD Ismail Amphi Mohamed El Fassi 1292 1201369 BOUADDI Inasse Amphi Mohamed El Fassi 1294 1203158 BOUAHBI Mohammed Amphi Mohamed El Fassi 1296 1209333 BOUAICHI Ichraq Amphi Mohamed El Fassi 1298 1201645 BOUALAM Sara Amphi Mohamed El Fassi 1300 Reportée 1217365 BOUAMAMA TFARAH Amphi Mohamed El Fassi 1302 Reportée 1202341 BOUAMOUD ABOUBAKERE Amphi Mohamed El Fassi 13041202341 BOUAMOUD ABOUBAKERE Amphi Mohamed El Fassi 1304 1114283 BOUAMOUD BANTAKHOUALHA Amphi Mohamed El Fassi 1306 Reportée 1203609 BOUAMOUD Mohamed Amphi Mohamed El Fassi 1308 1203259 BOUAOUI Mouad Amphi Mohamed El Fassi 1310 Reportée 1204789 BOUAOULATINE Fouad Amphi Mohamed El Fassi 1312 Reportée 1210598 BOUBAKKAR Halima Amphi Mohamed El Fassi 1314 Reportée 1105375 BOUBEDDARA Meriem Amphi Mohamed El Fassi 1316 Reportée 1107807 BOUBEKRI Maryem Amphi Mohamed El Fassi 1318 Reportée 1202402 BOUCHAIB Aicha Amphi Mohamed El Fassi 1320 1205826 BOUCHAIB Benabed Amphi Mohamed El Fassi 1322 Reportée 1104550 BOUCHATER Ahmed Amphi Mohamed El Fassi 1324 Reportée 1219617 BOUCHBOURA Kamal Amphi Mohamed El Fassi 1326 1219416 BOUCHEJRA Najat Amphi Mohamed El Fassi 1328 Reportée 1202552 BOUDALAà Sabah Amphi Mohamed El Fassi 1330 Reportée 1202969 BOUDAR Oualid Amphi Mohamed El Fassi 1332 Reportée 1209611 BOUDEBOUSS Slima Amphi Mohamed El Fassi 1334 Reportée 1219732 BOUDEN Nezha Amphi Mohamed El Fassi 1336 Reportée 1216380 BOUFAYDA Rachid Amphi Mohamed El Fassi 1338 Reportée 1217419 BOUFOUS FATIMA-ZAHRA Amphi Mohamed El Fassi 1340 Reportée 1114535 BOUFRAYOUA NOUREDDINE Amphi Mohamed El Fassi 1342 Reportée 1203297 BOUGATAIA Elmahjoub Amphi Mohamed El Fassi 1344 1219396 BOUGLA JALILA Amphi Mohamed El Fassi 1346 1209868 BOUGNINE Aomar Amphi Mohamed El Fassi 1348 1220016 BOUGOULA Nora Amphi Mohamed El Fassi 1350 1207031 BOUGRINE Hamza Amphi Mohamed El Fassi 1352 Reportée 7026214 BOUGTAYA JAMAL Amphi Mohamed El Fassi 1354 Reportée 94300026 BOUGUEJDI HAMID Amphi Mohamed El Fassi 1356 Reportée 1202638 BOUH Moh Amphi Mohamed El Fassi 1358 Reportée Matière1: introduction aux sciences économiques Matière2:Introduction aux sciences de gestion 9/54
  • 174.
    Filière: Droit arabe Facultédes sciences juridiques et Economiques. Marrakech N° Apogée Nom Prénom Local d'examen N° d'examen Matière1 Matière2 Université Cadi Ayyad PV de surveillance: Session de rattrapage 2012-2013 Module: Introduction aux sciences économiques et de gestion Semestre1 (nouveau système) 1201704 BOUHAFA Ayoub Amphi Mohamed El Fassi 1360 Reportée 1202687 BOUHAIDA Abdeljbbar Amphi Mohamed El Fassi 1362 Reportée 1216787 BOUHATOUS Omar Amphi Mohamed El Fassi 1364 Reportée 1204123 BOUHID Nour-eddine Amphi Mohamed El Fassi 1366 Reportée 1208379 BOUHMAIDA MOUHAMMED Amphi Mohamed El Fassi 1368 Reportée 1101289 BOUHMID Khadija Amphi Mohamed El Fassi 1370 Reportée 1201370 BOUHRAOUA Younes Amphi Mohamed El Fassi 1372 1208956 BOUIATRAS Rochdi Amphi Mohamed El Fassi 1374 Reportée 1201946 BOUIJI Mohamed Amphi Mohamed El Fassi 1376 1210414 BOUIMHIM Rachida Amphi Mohamed El Fassi 1378 Reportée 1105086 BOUJENOUI Youssef Amphi Mohamed El Fassi 1380 Reportée 1202529 BOUJI Fatiha Amphi Mohamed El Fassi 1382 Reportée 1211214 BOUKAJ Khalid Amphi Mohamed El Fassi 1384 Reportée 1202453 BOUKCHOUCH Zakaria Amphi Mohamed El Fassi 1386 1219856 BOUKDIR YOUNES Amphi Mohamed El Fassi 1388 Reportée 1216598 BOUKHAL MOHAMMED Amphi Mohamed El Fassi 13901216598 BOUKHAL MOHAMMED Amphi Mohamed El Fassi 1390 Matière1: introduction aux sciences économiques Matière2:Introduction aux sciences de gestion 10/54
  • 175.
    Filière: Droit arabe Facultédes sciences juridiques et Economiques. Marrakech N° Apogée Nom Prénom Local d'examen N° d'examen Matière1 Matière2 Université Cadi Ayyad PV de surveillance: Session de rattrapage 2012-2013 Module: Introduction aux sciences économiques et de gestion Semestre1 (nouveau système) 1208897 BOUKHRISS Hasna Amphi A 1392 Reportée 1201605 BOUKRAB M'barka Amphi A 1394 1105482 BOULAHCEN Lhoussein Amphi A 1396 1216622 BOULMANE JAMILA Amphi A 1398 Reportée 1209991 BOUMAAZA Fatima Amphi A 1400 Reportée 1111037 BOUMAAZAH Ayoub Amphi A 1402 Reportée 1204840 BOUMAHDI ABDALLAHI Amphi A 1404 Reportée 1219405 BOUMAHDI MAHASSINE Amphi A 1406 Reportée 1220366 BOUMDIANE Noureddine Amphi A 1408 Reportée 1219855 BOUMEHA ILHAM Amphi A 1410 Reportée 1202625 BOUMMANE Meryem Amphi A 1412 Reportée 1209860 BOUMOUGAY Yassine Amphi A 1414 Reportée 1219642 BOUNGOUL Abdelkrim Amphi A 1416 Reportée 1202288 BOUNHAR Khadija Amphi A 1418 Reportée 1208965 BOUNIT Khaoula Amphi A 1420 1205682 BOUNNIT Soukaina Amphi A 1422 Reportée1205682 BOUNNIT Soukaina Amphi A 1422 Reportée 1201769 BOUREGBA Youssef Amphi A 1424 1100252 BOURTA Jamal Amphi A 1426 Reportée 1219948 BOUSSOLA Chrifa Amphi A 1428 Reportée 1219537 BOU-TAJANOUIT Ayoub Amphi A 1430 Reportée 1203168 BOUTARBOUCH Abdeldim Amphi A 1432 Reportée 1205252 BOUTBIR Mohamed Amphi A 1434 Reportée 1220493 BOUTLMOUNT ABAID Amphi A 1436 1207212 BOUTSBIH Hanna Amphi A 1438 Reportée 1201721 BOUUISENGAREN Fatiha Amphi A 1440 Reportée 1204866 BOUYZOURAN Fatiha Amphi A 1442 Reportée 1204857 BOUZHER Brahim Amphi A 1444 Reportée 1220987 BOUZOUNE MINA Amphi A 1446 Reportée 1103510 BRIER Jaouad Amphi A 1448 Reportée 1203159 BRIKTI Yassine Amphi A 1450 Reportée 1111070 BYAH Abdeltif Amphi A 1452 Reportée 1216260 CHAAIBI Mohamed Amphi A 1454 Reportée 1101712 CHAAIJ Salwa Amphi A 1456 1219675 CHAARANI Abderrahim Amphi A 1458 1001241 CHAARANI FATIMA- ZAHRA Amphi A 1460 Reportée 1219715 CHABBOUBAT Amal Amphi A 1462 Reportée 1205851 CHADID Abdelhaq Amphi A 1464 Reportée 1111047 CHAFIQ Houssam Amphi A 1466 1203833 CHAHBOUN Idriss Amphi A 1468 Reportée 1219656 CHAHMD MOHAMED Amphi A 1470 Reportée 1207446 CHAHMOUT Ouahiba Amphi A 1472 Reportée 1101481 CHAJARI Noureddine Amphi A 1474 Reportée Matière1: introduction aux sciences économiques Matière2:Introduction aux sciences de gestion 11/54
  • 176.
    Filière: Droit arabe Facultédes sciences juridiques et Economiques. Marrakech N° Apogée Nom Prénom Local d'examen N° d'examen Matière1 Matière2 Université Cadi Ayyad PV de surveillance: Session de rattrapage 2012-2013 Module: Introduction aux sciences économiques et de gestion Semestre1 (nouveau système) 1208370 CHAKIR El Mustapha Amphi B 1476 Reportée 1114204 CHAKIR Kamal Amphi B 1478 Reportée 1106802 CHAKIR Zineb Amphi B 1480 Reportée 1203088 CHAMGHOURI Ali Amphi B 1482 Reportée 1204063 CHAOUAY Bouchra Amphi B 1484 Reportée 1204530 CHAOUI Oumaima Amphi B 1486 Reportée 1202119 CHAOUKI Bouchra Amphi B 1488 Reportée 1201013 CHAOUKI Mohammed Amphi B 1490 Reportée 1104942 CHAOUQUI Kawtar Amphi B 1492 Reportée 1202118 CHARAQ Soukaina Amphi B 1494 Reportée 1219840 CHAYBOUB SOUAD Amphi B 1496 Reportée 1218837 CHEBAKI Keltoum Amphi B 1498 Reportée 1211088 CHELBIKH Abdelkarim Amphi B 1500 Reportée 1202420 CHELLAH Khaoula Amphi B 1502 1204952 CHEMS EDDINE Mohssine Amphi B 1504 Reportée 1210988 CHENNAOUI Hanane Amphi B 1506 Reportée1210988 CHENNAOUI Hanane Amphi B 1506 Reportée 1115927 CHERIF ZAOUI KAMILIA Amphi B 1508 1203852 CHIGRE M'barek Amphi B 1510 Reportée 1205188 CHIKHAOUI Abdelkader Amphi B 1512 1205803 CHOUGDALI Hicham Amphi B 1514 Reportée 1204680 CHOUKRI Abdennabi Amphi B 1516 Reportée 1219821 CHRRHA HAIBA Amphi B 1518 Reportée Matière1: introduction aux sciences économiques Matière2:Introduction aux sciences de gestion 12/54
  • 177.
    Filière: Droit arabe Facultédes sciences juridiques et Economiques. Marrakech N° Apogée Nom Prénom Local d'examen N° d'examen Matière1 Matière2 Université Cadi Ayyad PV de surveillance: Session de rattrapage 2012-2013 Module: Introduction aux sciences économiques et de gestion Semestre1 (nouveau système) 1203151 DAANOUN Rachid Amphi Cadi Ayyad 2 Reportée 1203637 DADA Erragragui Amphi Cadi Ayyad 4 Reportée 1204400 DADAN Said Amphi Cadi Ayyad 6 Reportée 1104584 DADDAS Mohamed Amine Amphi Cadi Ayyad 8 Reportée 1201107 DAGDAG Zineb Amphi Cadi Ayyad 10 Reportée 1202925 DAHANI Hanane Amphi Cadi Ayyad 12 Reportée 1210895 DAHANI Younes Amphi Cadi Ayyad 14 Reportée 1201531 DAHAOUI Abdelghani Amphi Cadi Ayyad 16 Reportée 1208964 DAHBI Abdelkarim Amphi Cadi Ayyad 18 Reportée 1113291 DAHBI SAMIRA Amphi Cadi Ayyad 20 1202009 DAHHIOUI Asmae Amphi Cadi Ayyad 22 Reportée 1202427 DAHI Mahmoud Amphi Cadi Ayyad 24 Reportée 1220244 DAHROU Badia Amphi Cadi Ayyad 26 Reportée 1205573 DAIFI ELMEHDI Amphi Cadi Ayyad 28 Reportée 1219952 DALOUI Sara Amphi Cadi Ayyad 30 Reportée 1220108 DAMINE Nour Eddine Amphi Cadi Ayyad 32 Reportée1220108 DAMINE Nour Eddine Amphi Cadi Ayyad 32 Reportée 1201670 DANINE Youssef Amphi Cadi Ayyad 34 Reportée 1219639 DAOU Abdellelah Amphi Cadi Ayyad 36 Reportée 1204146 DAOUD Ismail Amphi Cadi Ayyad 38 Reportée 1204172 DAOUD Khalid Amphi Cadi Ayyad 40 Reportée 1203029 DAOUDI Hamza Amphi Cadi Ayyad 42 Reportée 1110274 DARDOUCH NAZHA Amphi Cadi Ayyad 44 Reportée 1203971 DARIA Abdessamad Amphi Cadi Ayyad 46 Reportée 1111087 DARID Amina Amphi Cadi Ayyad 48 Reportée 1202184 DARIF Mohamed Amphi Cadi Ayyad 50 Reportée 1203805 DARIF Yassine Amphi Cadi Ayyad 52 Reportée 1205204 DEBBAB Said Amphi Cadi Ayyad 54 Reportée 1210980 DEBBAGH Zakaria Amphi Cadi Ayyad 56 Reportée 1211285 DENDIL ANOUAR Amphi Cadi Ayyad 58 Reportée 1209281 DERDARI Anas Amphi Cadi Ayyad 60 Reportée 1203022 DEROUNE Yassine Amphi Cadi Ayyad 62 Reportée 1203927 DERSI HOUSSAM Amphi Cadi Ayyad 64 Reportée 1219428 DHIBI Nizar Amphi Cadi Ayyad 66 Reportée 1201572 DHIMI Abla Amphi Cadi Ayyad 68 Reportée 1203798 DIB Hassan Amphi Cadi Ayyad 70 Reportée 1204647 DOUA Azzddine Amphi Cadi Ayyad 72 Reportée 1209854 DOUABY Abdennabi Amphi Cadi Ayyad 74 Reportée 1210848 DOUALI Chaimae Amphi Cadi Ayyad 76 1219568 DOUBLALI Abdallah Amphi Cadi Ayyad 78 Reportée 1216742 DOUICH Mohammed Amphi Cadi Ayyad 80 Reportée 1204204 DOUIHI Moustapha Amphi Cadi Ayyad 82 Reportée 1100397 DOUIKSI Mohamed Amphi Cadi Ayyad 84 Reportée 1219751 DOUMANY FATIMATOU Amphi Cadi Ayyad 86 Reportée Matière1: introduction aux sciences économiques Matière2:Introduction aux sciences de gestion 13/54
  • 178.
    Filière: Droit arabe Facultédes sciences juridiques et Economiques. Marrakech N° Apogée Nom Prénom Local d'examen N° d'examen Matière1 Matière2 Université Cadi Ayyad PV de surveillance: Session de rattrapage 2012-2013 Module: Introduction aux sciences économiques et de gestion Semestre1 (nouveau système) 1211188 DOUNYA Safaa Amphi Cadi Ayyad 88 Reportée 1208909 DOURHANI Sana Amphi Cadi Ayyad 90 Reportée 1203120 DRAOUI Mourad Amphi Cadi Ayyad 92 Reportée 1201687 DRIOUCH Ghizlan Amphi Cadi Ayyad 94 Reportée 1202533 ECHAB Najat Amphi Cadi Ayyad 96 Reportée 1201790 ECHAFI Faissel Amphi Cadi Ayyad 98 1207891 ECHAIN Hamza Amphi Cadi Ayyad 100 Reportée 1203577 ECHARKAOUI Hicham Amphi Cadi Ayyad 102 Reportée 1203097 ECHATAR Rachid Amphi Cadi Ayyad 104 Reportée 1211176 ECH-CHATOUI Lahcen Amphi Cadi Ayyad 106 Reportée 5028585 ECHICHAOUI LAILA Amphi Cadi Ayyad 108 Reportée 1202361 ECHIHI Mustapha Amphi Cadi Ayyad 110 Reportée 1204135 ED.DAFALI Jaouad Amphi Cadi Ayyad 112 Reportée 1111306 EDDAH Lahouidia Amphi Cadi Ayyad 114 Reportée 1204991 ED-DAHANI Fatima Amphi Cadi Ayyad 116 Reportée 1220791 ED-DAHBI ABDELKHALEK Amphi Cadi Ayyad 118 Reportée1220791 ED-DAHBI ABDELKHALEK Amphi Cadi Ayyad 118 Reportée 1103479 EDDAHI Elbachir Amphi Cadi Ayyad 120 Reportée 1114325 EDDAHMANY Touriia Amphi Cadi Ayyad 122 Reportée 1203367 EDDAKI Brahim Amphi Cadi Ayyad 124 Reportée 1101852 EDDAOUDI Errabab Amphi Cadi Ayyad 126 Reportée 1204956 EDDAOUI Omar Amphi Cadi Ayyad 128 Reportée 1204868 EDDARAI Hassna Amphi Cadi Ayyad 130 Reportée 1111492 EDDIBES Souad Amphi Cadi Ayyad 132 Reportée 1203203 ED-DIREA Abdelghani Amphi Cadi Ayyad 134 Reportée 1203350 EDDNADNI Nabil Amphi Cadi Ayyad 136 Reportée 1111300 ED-DRIEF Hassane Amphi Cadi Ayyad 138 Reportée 1219863 EDDRIF Loubna Amphi Cadi Ayyad 140 Reportée 1209174 EDEFFARI Yassin Amphi Cadi Ayyad 142 Reportée 1201380 EDRAOUI Abdelouahed Amphi Cadi Ayyad 144 Reportée 1105125 EKHOUIRA Mohamed Amphi Cadi Ayyad 146 Reportée 1203844 EL AATTARI Othman Amphi Cadi Ayyad 148 Reportée 1107573 EL AABDOUNI Abdelati Amphi Cadi Ayyad 150 Reportée 1218895 EL AAOUD Laila Amphi Cadi Ayyad 152 1202956 EL ABBADY Ayoub Amphi Cadi Ayyad 154 Reportée 1109002 EL ABBASSI SOUKAINA Amphi Cadi Ayyad 156 1210670 EL ABDELLAOUI Fatima Amphi Cadi Ayyad 158 Reportée 1203913 EL ABYAD Abderrazzak Amphi Cadi Ayyad 160 Reportée 1210136 EL ABYAD Hanane Amphi Cadi Ayyad 162 Reportée 1219680 EL ADAB Ayoub Amphi Cadi Ayyad 164 Reportée 1205611 EL ADDALI YOUNESS Amphi Cadi Ayyad 166 Reportée 1203811 EL AHMADI Mohamed Amphi Cadi Ayyad 168 Reportée 1210851 EL AIBOUD Anas Amphi Cadi Ayyad 170 Reportée 1201032 EL AIMECH Mohamed Amphi Cadi Ayyad 172 Reportée Matière1: introduction aux sciences économiques Matière2:Introduction aux sciences de gestion 14/54
  • 179.
    Filière: Droit arabe Facultédes sciences juridiques et Economiques. Marrakech N° Apogée Nom Prénom Local d'examen N° d'examen Matière1 Matière2 Université Cadi Ayyad PV de surveillance: Session de rattrapage 2012-2013 Module: Introduction aux sciences économiques et de gestion Semestre1 (nouveau système) 1102043 EL AISSAOUI Said Amphi Cadi Ayyad 174 Reportée 1203245 EL AKKAOUI Mohamed Amin Amphi Cadi Ayyad 176 Reportée 1108820 EL ALAOUI SALKA Amphi Cadi Ayyad 178 1202129 EL ALLAOUI Ali Amphi Cadi Ayyad 180 Reportée 1203074 EL AMMARI Anass Amphi Cadi Ayyad 182 1106914 EL AMRANI SOUKAINA Amphi Cadi Ayyad 184 Reportée 1205744 EL AMRAOUI Hicham Amphi Cadi Ayyad 186 Reportée 1203343 EL AMRI Ismail Amphi Cadi Ayyad 188 Reportée 1219990 EL ANKAOUI Taib Amphi Cadi Ayyad 190 Reportée 1202669 EL ANSARI Omar Amphi Cadi Ayyad 192 Reportée 1204752 EL ANYA Salma Amphi Cadi Ayyad 194 Reportée 1209521 EL AOUAME Othmane Amphi Cadi Ayyad 196 Reportée 1201798 EL AOUD Mustapha Amphi Cadi Ayyad 198 Reportée 1201688 EL ARAJI Souad Amphi Cadi Ayyad 200 Matière1: introduction aux sciences économiques Matière2:Introduction aux sciences de gestion 15/54
  • 180.
    Filière: Droit arabe Facultédes sciences juridiques et Economiques. Marrakech N° Apogée Nom Prénom Local d'examen N° d'examen Matière1 Matière2 Université Cadi Ayyad PV de surveillance: Session de rattrapage 2012-2013 Module: Introduction aux sciences économiques et de gestion Semestre1 (nouveau système) 1216752 EL ARBI Hafid Amphi Abou El Abbass Essabti 202 Reportée 1106188 EL ARNOUQI Asma Amphi Abou El Abbass Essabti 204 Reportée 1208837 EL ASLAOUI Abdeljalil Amphi Abou El Abbass Essabti 206 Reportée 1219423 EL ASSAL Yassine Amphi Abou El Abbass Essabti 208 Reportée 1219431 EL ASSALI Afaf Amphi Abou El Abbass Essabti 210 Reportée 1106908 EL ASSAOUI Hayat Amphi Abou El Abbass Essabti 212 Reportée 1204970 EL ATIFI Kaoutar Amphi Abou El Abbass Essabti 214 Reportée 1100500 EL ATRACH Soulaiman Amphi Abou El Abbass Essabti 216 Reportée 1219628 EL ATRANE Mbarek Amphi Abou El Abbass Essabti 218 Reportée 1208966 EL ATTAQ Ayoub Amphi Abou El Abbass Essabti 220 Reportée 1202369 EL ATTAR Jaouad Amphi Abou El Abbass Essabti 222 Reportée 1202318 EL AYADY Atef Amphi Abou El Abbass Essabti 224 Reportée 1203289 EL AZHAR IDRISSI Imane Amphi Abou El Abbass Essabti 226 Reportée 1201409 EL AZHARI Soukaina Amphi Abou El Abbass Essabti 228 Reportée 1219552 EL AZIZI IBTISSAM Amphi Abou El Abbass Essabti 230 Reportée 1219648 EL AZZABI Asmaa Amphi Abou El Abbass Essabti 232 Reportée1219648 EL AZZABI Asmaa Amphi Abou El Abbass Essabti 232 Reportée 1207124 EL BACHRAOUI Ibtissame Amphi Abou El Abbass Essabti 234 Reportée 1203897 EL BADAOUI Abd El Ali Amphi Abou El Abbass Essabti 236 Reportée 1204585 EL BADDAZI Mustapha Amphi Abou El Abbass Essabti 238 Reportée 1202187 EL BADSSI Nour Eddine Amphi Abou El Abbass Essabti 240 Reportée 1114554 EL BAGAR HASNA Amphi Abou El Abbass Essabti 242 Reportée 1210663 EL BAHANOURI YASSINE Amphi Abou El Abbass Essabti 244 Reportée 1203679 EL BAHHAZ Nabil Amphi Abou El Abbass Essabti 246 Reportée 1204409 EL BAHI Hicham Amphi Abou El Abbass Essabti 248 Reportée 1210453 EL BAHJI Rabab Amphi Abou El Abbass Essabti 250 Reportée 1102900 EL BAHRDADI Ramzi Amphi Abou El Abbass Essabti 252 Reportée 1203364 EL BALLOUTI MOHAMMED EL HABIB Amphi Abou El Abbass Essabti 254 Reportée 1202458 EL BANDAHI Mustapha Amphi Abou El Abbass Essabti 256 Reportée 1203572 EL BANDAKI Mohamed Amphi Abou El Abbass Essabti 258 Reportée 1206212 EL BARAKA Aicha Amphi Abou El Abbass Essabti 260 Reportée 1204959 EL BARBOUCHI Yahdih Amphi Abou El Abbass Essabti 262 Reportée 1104458 EL BARDAOUI Ayoub Amphi Abou El Abbass Essabti 264 Reportée 1101794 EL BARI Aamro Amphi Abou El Abbass Essabti 266 Reportée 1220024 EL BAZ Fatima Zouhra Amphi Abou El Abbass Essabti 268 Reportée 1219842 EL BAZ Rachida Amphi Abou El Abbass Essabti 270 Reportée 1219870 EL BBAZ Rkia Amphi Abou El Abbass Essabti 272 Reportée 1204890 EL BERKAOUI Souad Amphi Abou El Abbass Essabti 274 Reportée 1201402 EL BOUALAMI Abdelilah Amphi Abou El Abbass Essabti 276 Reportée 1220128 EL BOUANANI SOUMIA Amphi Abou El Abbass Essabti 278 Reportée 1204716 EL BOUAZZAOUI Abdennabi Amphi Abou El Abbass Essabti 280 Reportée 1110154 EL BOUGHDADI Mina Amphi Abou El Abbass Essabti 282 Reportée 1201153 EL BOUHANE Abdelkarim Amphi Abou El Abbass Essabti 284 Reportée 1202621 EL BOUKY Mohamed Amphi Abou El Abbass Essabti 286 Reportée Matière1: introduction aux sciences économiques Matière2:Introduction aux sciences de gestion 16/54
  • 181.
    Filière: Droit arabe Facultédes sciences juridiques et Economiques. Marrakech N° Apogée Nom Prénom Local d'examen N° d'examen Matière1 Matière2 Université Cadi Ayyad PV de surveillance: Session de rattrapage 2012-2013 Module: Introduction aux sciences économiques et de gestion Semestre1 (nouveau système) 1100891 EL BOUZIDI Salah Eddine Amphi Abou El Abbass Essabti 288 Reportée 1208830 EL BZAR Youssef Amphi Abou El Abbass Essabti 290 1201094 EL FAHIM Ayoub Amphi Abou El Abbass Essabti 292 1216645 EL FAHIM Salah Amphi Abou El Abbass Essabti 294 Reportée 1114402 EL FAHIRI Hasna Amphi Abou El Abbass Essabti 296 Reportée 1203917 EL FAITAH Khalid Amphi Abou El Abbass Essabti 298 1203996 EL FAJJAJ Youssef Amphi Abou El Abbass Essabti 300 1219558 EL FANNICHE Mhamed Amphi Abou El Abbass Essabti 302 Reportée 1005071 EL FAOUAL SLIMAN Amphi Abou El Abbass Essabti 304 Reportée 1202314 EL FARAJY Ayoub Amphi Abou El Abbass Essabti 306 Reportée 1204974 EL FATIHI YOUNES Amphi Abou El Abbass Essabti 308 Reportée 1209555 EL FATIMI Mouhssine Amphi Abou El Abbass Essabti 310 Reportée 1101684 EL FATIMI Ouafa Amphi Abou El Abbass Essabti 312 Reportée 1205648 EL FISSI Meryam Amphi Abou El Abbass Essabti 314 Reportée 1202122 EL GAABOUR Ghizlane Amphi Abou El Abbass Essabti 316 Reportée 1101399 EL GABI ABDELILAH Amphi Abou El Abbass Essabti 318 Reportée1101399 EL GABI ABDELILAH Amphi Abou El Abbass Essabti 318 Reportée 1219805 EL GALLAF YOUNES Amphi Abou El Abbass Essabti 320 Reportée 1003517 EL GANDOULI WAFAE Amphi Abou El Abbass Essabti 322 Reportée 1202158 EL GARBA Mina Amphi Abou El Abbass Essabti 324 Reportée 1209798 EL GARNAOUI Rachid Amphi Abou El Abbass Essabti 326 1203255 EL GAROUR Marouane Amphi Abou El Abbass Essabti 328 1102015 EL GAZZAR Safae Amphi Abou El Abbass Essabti 330 Reportée 1211185 EL GHAZAOUI Siham Amphi Abou El Abbass Essabti 332 Reportée 1202750 EL GHAZI Hamza Amphi Abou El Abbass Essabti 334 Reportée 1201630 EL GOURI Hind Amphi Abou El Abbass Essabti 336 Reportée 1204078 EL GUANA KHADIJA Amphi Abou El Abbass Essabti 338 Reportée 1211204 EL GUASMI Maryeam Amphi Abou El Abbass Essabti 340 1102013 EL GUEDDASY HANAN Amphi Abou El Abbass Essabti 342 Reportée 1219003 EL GUEROUANI Anas Amphi Abou El Abbass Essabti 344 Reportée 1201611 EL GUESSAB Jebrane Amphi Abou El Abbass Essabti 346 1219796 EL HADRY Noura Amphi Abou El Abbass Essabti 348 1203710 EL HAFIANE ABDELFATTAH Amphi Abou El Abbass Essabti 350 Reportée 1219582 EL HAICHAMI Imane Amphi Abou El Abbass Essabti 352 Reportée 1102395 EL HAKIOUI Zaid Amphi Abou El Abbass Essabti 354 Reportée 1205019 EL HAMDAOUI Abdellatif Amphi Abou El Abbass Essabti 356 Reportée 1209683 EL HAMDI Zahra Amphi Abou El Abbass Essabti 358 Reportée 1103503 EL HAMDOU Mohssine Amphi Abou El Abbass Essabti 360 Reportée 1204438 EL HAMIDY Samira Amphi Abou El Abbass Essabti 362 Reportée 1004974 EL HAMILI KAMAL Amphi Abou El Abbass Essabti 364 Reportée 1202605 EL HAMOUNI Abderrahman Amphi Abou El Abbass Essabti 366 Reportée 1111337 EL HANCHAR Fatima Zahra Amphi Abou El Abbass Essabti 368 Reportée 1204360 EL HANOUNI Bouchaib Amphi Abou El Abbass Essabti 370 Reportée 1207943 EL HAOUARI ABDELWAHED Amphi Abou El Abbass Essabti 372 Reportée Matière1: introduction aux sciences économiques Matière2:Introduction aux sciences de gestion 17/54
  • 182.
    Filière: Droit arabe Facultédes sciences juridiques et Economiques. Marrakech N° Apogée Nom Prénom Local d'examen N° d'examen Matière1 Matière2 Université Cadi Ayyad PV de surveillance: Session de rattrapage 2012-2013 Module: Introduction aux sciences économiques et de gestion Semestre1 (nouveau système) 1202339 EL HAOUARI Abdessadek Amphi Abou El Abbass Essabti 374 Reportée 1216373 EL HAOUARI Khadija Amphi Abou El Abbass Essabti 376 Reportée 1208077 EL HARAS Jamila Amphi Abou El Abbass Essabti 378 1201637 EL HARCHAOUI Sana Amphi Abou El Abbass Essabti 380 1101259 EL HASSAD Aouatif Amphi Abou El Abbass Essabti 382 Reportée 1204311 EL HASSAN Echarghi Amphi Abou El Abbass Essabti 384 1201398 EL HASSANI Younes Amphi Abou El Abbass Essabti 386 1002323 EL HBIRIK ZAHRA Amphi Abou El Abbass Essabti 388 Reportée 1204441 EL HORRE Nassima Amphi Abou El Abbass Essabti 390 Reportée Matière1: introduction aux sciences économiques Matière2:Introduction aux sciences de gestion 18/54
  • 183.
    Filière: Droit arabe Facultédes sciences juridiques et Economiques. Marrakech N° Apogée Nom Prénom Local d'examen N° d'examen Matière1 Matière2 Université Cadi Ayyad PV de surveillance: Session de rattrapage 2012-2013 Module: Introduction aux sciences économiques et de gestion Semestre1 (nouveau système) 1216736 EL HOUJAIMI Abderrazak Amphi Imam Malik 582 1210014 EL HROUM Widad Amphi Imam Malik 584 Reportée 1201578 EL IDRISSI BOUCHAIB Amphi Imam Malik 586 1204843 EL IDRISSI Bouchra Amphi Imam Malik 588 1208942 EL IDRISSI Mohamed Amphi Imam Malik 590 1204764 EL IDRISSI Soukaina Amphi Imam Malik 592 1205018 EL IDRISSI Yassine Amphi Imam Malik 594 1205857 EL IDRISSI LAAOUINI Yassine Amphi Imam Malik 596 1102785 EL IDRISSY Laila Amphi Imam Malik 598 Reportée 1210037 EL IDRYSY Hasna Amphi Imam Malik 600 1204240 EL IZARI Khalid Amphi Imam Malik 602 Reportée 1208496 EL JAMI Najwa Amphi Imam Malik 604 1219543 EL KADRI Halima Amphi Imam Malik 606 1220410 EL KAHLAOUI CHEROUK Amphi Imam Malik 608 Reportée 1106461 EL KAMHI Mohamed Amphi Imam Malik 610 Reportée 1205176 EL KANIT El Mekki Amphi Imam Malik 612 Reportée1205176 EL KANIT El Mekki Amphi Imam Malik 612 Reportée 1201289 EL KARAM Imad Amphi Imam Malik 614 Reportée 1203292 EL KARIMI Youness Amphi Imam Malik 616 Reportée 1107177 EL KAROUMI Mohammed Amphi Imam Malik 618 Reportée 1203165 EL KASSIOUI Elhassan Amphi Imam Malik 620 Reportée 1204876 EL KHADIRI Amal Amphi Imam Malik 622 Reportée 1102022 EL KHAJRAJI Hayat Amphi Imam Malik 624 Reportée 1203948 EL KHALILI Yassine Amphi Imam Malik 626 1201909 EL KHALLOUQY Fatima Amphi Imam Malik 628 Reportée 1107567 EL KHAMARI Amal Amphi Imam Malik 630 Reportée 1220257 EL KHIRAOUI ABDELMOUNAIM Amphi Imam Malik 632 Reportée 1104167 EL KHOURCHI Hmadou Amphi Imam Malik 634 Reportée 1210834 EL KIHAL HASSANIA Amphi Imam Malik 636 Reportée 1110036 EL KOUFI Kamal Amphi Imam Malik 638 Reportée 1106557 EL KOUZATI Lahcen Amphi Imam Malik 640 Reportée 1203717 EL MAAZOUZI Abdelghafour Amphi Imam Malik 642 1208795 EL MACHMACHI Ghariba Amphi Imam Malik 644 1220336 EL MAHFOUDY ABDELFATTAH Amphi Imam Malik 646 Reportée 1205001 EL MAJNAOUI Rida Amphi Imam Malik 648 1201410 EL MARDI Khalid Amphi Imam Malik 650 Reportée 1219664 EL MARDI Nezha Amphi Imam Malik 652 Reportée 1201557 EL MASKYNY Fatiha Amphi Imam Malik 654 Reportée 1201906 EL MASMOUDI Mouloud Amphi Imam Malik 656 Reportée 1203371 EL MAYAZE Karim Amphi Imam Malik 658 Reportée 1201093 EL MEJDI Imane Amphi Imam Malik 660 Reportée 1205033 EL MEJHED Houria Amphi Imam Malik 662 Reportée 1203082 EL MEJNAOUI Mohamed Rabie Amphi Imam Malik 664 1205228 EL MEKKA Najat Amphi Imam Malik 666 Reportée Matière1: introduction aux sciences économiques Matière2:Introduction aux sciences de gestion 19/54
  • 184.
    Filière: Droit arabe Facultédes sciences juridiques et Economiques. Marrakech N° Apogée Nom Prénom Local d'examen N° d'examen Matière1 Matière2 Université Cadi Ayyad PV de surveillance: Session de rattrapage 2012-2013 Module: Introduction aux sciences économiques et de gestion Semestre1 (nouveau système) 1219820 EL MELLAH Aziz Amphi Imam Malik 668 Reportée 1203324 EL MESBAHI AATIK Younes Amphi Imam Malik 670 Reportée 1213569 EL MESLOHI Bouchra Amphi Imam Malik 672 Reportée 1209242 EL MEZOUARI ABDELLATIF Amphi Imam Malik 674 Reportée 1204833 EL MIALE Soukaina Amphi Imam Malik 676 Reportée 1210083 EL MIMOUNI Khaoula Amphi Imam Malik 678 Reportée 1202640 EL MIMOUNI Loubna Amphi Imam Malik 680 1220313 EL MODAFFAR BOUZEKRI Amphi Imam Malik 682 Reportée 1205169 EL MOJAHID Mina Amphi Imam Malik 684 1203969 EL MOJAHID Mohammed Amphi Imam Malik 686 Reportée 1201143 EL MOJAHID Najat Amphi Imam Malik 688 Reportée 1202170 EL MOOTASIM Khadija Amphi Imam Malik 690 1203858 EL MOUAINI Abdelmottalib Amphi Imam Malik 692 Reportée 1114556 EL MOUDA AATIQA Amphi Imam Malik 694 Reportée 1203775 EL MOUDAA Abdelkarim Amphi Imam Malik 696 1203047 EL MOUEDIN Mohamed Oussama Amphi Imam Malik 6981203047 EL MOUEDIN Mohamed Oussama Amphi Imam Malik 698 1201027 EL MOUEFFAK Najia Amphi Imam Malik 700 Reportée 1219722 EL MOUHI Imad Amphi Imam Malik 702 Reportée 1201253 EL MOUJIB Zohra Amphi Imam Malik 704 Reportée 1206897 EL MOUMENE Fatima-ezzahra Amphi Imam Malik 706 Reportée 1201396 EL MOUMNI Nezha Amphi Imam Malik 708 Reportée 1115941 EL MOUNTASSIR AHMED Amphi Imam Malik 710 Reportée 1220426 EL MOUNTASSIR SABIR Amphi Imam Malik 712 1006288 EL MOURATTIL ADIL Amphi Imam Malik 714 Reportée 1202992 EL MOUTAOIKIL Youssef Amphi Imam Malik 716 Reportée 1201635 EL MOUTAOUAKIL Fatima Ezzahra Amphi Imam Malik 718 Reportée 1204872 EL MOUTAOUAKIL Rachida Amphi Imam Malik 720 1208921 EL MOUTAOUAKKAL Wafae Amphi Imam Malik 722 Reportée 1205168 EL MRABET Aazeddine Amphi Imam Malik 724 Reportée 1203062 EL OMARI Driss Amphi Imam Malik 726 1201778 EL ORCH Mohamed Amphi Imam Malik 728 Reportée 1219750 EL OTMANY Khalid Amphi Imam Malik 730 Reportée 1205002 EL OUAFI Karima Amphi Imam Malik 732 Reportée 1219707 EL OUAHABI Salwa Amphi Imam Malik 734 Reportée 1107095 EL OUAHHABI Said Amphi Imam Malik 736 Reportée 1220941 EL OUAHMANI EL OUANNAT Amphi Imam Malik 738 1202248 EL OUALI Abdel Moumene Amphi Imam Malik 740 Reportée 1111121 EL OUALID EL KOUCHI Amphi Imam Malik 742 Reportée 1208944 EL OUARAT Raja Amphi Imam Malik 744 Reportée 1203357 EL OUARDI Amine Amphi Imam Malik 746 Reportée 1203135 EL OUARGA Younes Amphi Imam Malik 748 Reportée 1220880 EL OUARITI RACHID Amphi Imam Malik 750 Reportée 1204424 EL OUATANE Fouzia Amphi Imam Malik 752 Reportée Matière1: introduction aux sciences économiques Matière2:Introduction aux sciences de gestion 20/54
  • 185.
    Filière: Droit arabe Facultédes sciences juridiques et Economiques. Marrakech N° Apogée Nom Prénom Local d'examen N° d'examen Matière1 Matière2 Université Cadi Ayyad PV de surveillance: Session de rattrapage 2012-2013 Module: Introduction aux sciences économiques et de gestion Semestre1 (nouveau système) 1219912 EL OUATANI SOUKAINA Amphi Imam Malik 754 Reportée 1202665 EL OUATIK Touria Amphi Imam Malik 756 Reportée 1217548 EL OURES ABDELHAK Amphi Imam Malik 758 Reportée 1110751 EL QALAANI Loubna Amphi Imam Malik 760 Reportée 1202229 EL QARBALI Hassan Amphi Imam Malik 762 Reportée 1211206 EL QAZOUINI Houda Amphi Imam Malik 764 Reportée 1202219 EL QORI Mohammed Amphi Imam Malik 766 Reportée 1210326 EL RHAZI Hanan Amphi Imam Malik 768 Reportée 1203347 EL RHOURBA Badreddine Amphi Imam Malik 770 Reportée 1204913 EL RHOURBA Khalid Amphi Imam Malik 772 Reportée 1204957 EL WARZAZI Sabah Amphi Imam Malik 774 1204630 EL YAQOUTY Ghita Amphi Imam Malik 776 Reportée 1217460 EL YASMINE RIDA Amphi Imam Malik 778 Reportée 1105341 EL YASSINI Samir Amphi Imam Malik 780 Reportée 1204106 EL YOUSSOUFI Fouzia Amphi Imam Malik 782 Reportée 1115117 EL YOUSSOUFI Mohamed Amphi Imam Malik 784 Reportée1115117 EL YOUSSOUFI Mohamed Amphi Imam Malik 784 Reportée 1201576 ELAABBADI Mustapha Amphi Imam Malik 786 1210505 ELAABBAR Ilham Amphi Imam Malik 788 1003630 ELAALLAM ABDELMALEK Amphi Imam Malik 790 Reportée 1111119 ELAALLAOUI Imane Amphi Imam Malik 792 Reportée 1202269 ELAARIOUI Manale Amphi Imam Malik 794 Reportée 1202330 ELAATFAOUI Rajaa Amphi Imam Malik 796 Reportée 1106482 ELABBOUCHI Brahim Amphi Imam Malik 798 1201392 ELABSSANI Amin Amphi Imam Malik 800 Reportée 1220054 ELAICH Halima Amphi Imam Malik 802 1209254 ELALAMY RACHID Amphi Imam Malik 804 Reportée 1006084 ELALAOUI BTISSAM Amphi Imam Malik 806 Reportée 1204903 ELALAOUI Latifa Amphi Imam Malik 808 Reportée 1219874 ELALAOUI LASMAILI Hajar Amphi Imam Malik 810 Reportée 1202463 EL-ALLALI Souad Amphi Imam Malik 812 Reportée 1204980 ELALY Hassane Amphi Imam Malik 814 1209219 ELAMILI Outmane Amphi Imam Malik 816 Reportée 1201142 EL-AMMARI Mohamed Amphi Imam Malik 818 Reportée 1203807 ELAMRAOUI Ayoub Amphi Imam Malik 820 Reportée 1201185 ELAMRI Abdellah Amphi Imam Malik 822 Reportée 1208658 ELARGANE Hamza Amphi Imam Malik 824 1202915 ELASRI Khadija Amphi Imam Malik 826 Reportée 1004546 ELASRI MOHAMED Amphi Imam Malik 828 Reportée 1201618 ELATTAR Anas Amphi Imam Malik 830 Reportée 1203274 ELAYACHI Ali Amphi Imam Malik 832 Reportée 1107542 ELAZAOUI Laila Amphi Imam Malik 834 Reportée 1214609 ELAZHARI Zahra Amphi Imam Malik 836 1206523 ELBAAZIZI Abdelghani Amphi Imam Malik 838 Reportée Matière1: introduction aux sciences économiques Matière2:Introduction aux sciences de gestion 21/54
  • 186.
    Filière: Droit arabe Facultédes sciences juridiques et Economiques. Marrakech N° Apogée Nom Prénom Local d'examen N° d'examen Matière1 Matière2 Université Cadi Ayyad PV de surveillance: Session de rattrapage 2012-2013 Module: Introduction aux sciences économiques et de gestion Semestre1 (nouveau système) 1203873 ELBACHLAOUI KAWTAR Amphi Imam Malik 840 Reportée 1203751 EL-BADAOUI Khaled Amphi Imam Malik 842 Reportée 1211408 ELBAHIRA Brahim Amphi Imam Malik 844 Reportée 1208975 ELBAJI Noura Amphi Imam Malik 846 Reportée 1210286 ELBALILI Noura Amphi Imam Malik 848 Reportée 1203030 ELBANAN Sofiane Amphi Imam Malik 850 1109768 ELBANNAOUY Lhoucine Amphi Imam Malik 852 Reportée 1113790 ELBARDANI Hassnae Amphi Imam Malik 854 Reportée 1209105 ELBARDI Youssef Amphi Imam Malik 856 Reportée 1005644 ELBARIKI AHMED Amphi Imam Malik 858 Reportée 1201870 ELBARRIK Az-eddine Amphi Imam Malik 860 Reportée 1219430 ELBAZ SIHAM Amphi Imam Malik 862 Reportée 1212150 ELBAZAR Mohamed Amphi Imam Malik 864 Reportée 1106630 ELBELDI Iliasse Amphi Imam Malik 866 Reportée 1216727 ELBELDI Outmane Amphi Imam Malik 868 Reportée 1219928 ELBENNAI Hamid Amphi Imam Malik 870 Reportée1219928 ELBENNAI Hamid Amphi Imam Malik 870 Reportée 1111625 ELBERD SAID Amphi Imam Malik 872 Reportée 1208749 ELBIKAM Fattou Amphi Imam Malik 874 Reportée 1220219 ELBIKRA NOUREDDINE Amphi Imam Malik 876 Reportée 1001240 ELBOUAICHI ISMAIL Amphi Imam Malik 878 Reportée 1216320 ELBOUCHANI Youssef Amphi Imam Malik 880 Reportée Matière1: introduction aux sciences économiques Matière2:Introduction aux sciences de gestion 22/54
  • 187.
    Filière: Droit arabe Facultédes sciences juridiques et Economiques. Marrakech N° Apogée Nom Prénom Local d'examen N° d'examen Matière1 Matière2 Université Cadi Ayyad PV de surveillance: Session de rattrapage 2012-2013 Module: Introduction aux sciences économiques et de gestion Semestre1 (nouveau système) 1219711 ELBOUHTOURI Nezha salle 1 2272 Reportée 1204518 ELFAIZ Karim salle 1 2274 Reportée 1210467 ELFAKIR Jihane salle 1 2276 Reportée 1204000 ELFAQRI Soufiane salle 1 2278 Reportée 1005780 EL-FARHAOUI YOUNES salle 1 2280 Reportée 1205919 ELFATIMY Imad salle 1 2282 1114148 ELFEJOUJY Jaouad salle 1 2284 Reportée 1201237 ELGASMI Aziza salle 1 2286 Reportée 1201347 EL-GHALI Mohamed salle 1 2288 Reportée 1004322 ELGHAMRI ABDESLAM salle 1 2290 Reportée 1219978 EL-GLITI TAHA MOHAMED salle 1 2292 Reportée 1201202 ELGUANA Abd Elmajid salle 1 2294 1208855 ELGURIBI Souad salle 1 2296 Reportée 1108571 EL-HACHEMY Atika salle 1 2298 Reportée 1205175 ELHADAR Sanaa salle 1 2300 Reportée 1208281 ELHAFIDI Abdelmoula salle 1 2302 Reportée1208281 ELHAFIDI Abdelmoula salle 1 2302 Reportée 1203895 ELHAFYANI Rahhal salle 1 2304 Reportée 1204885 ELHAIL Youssef salle 1 2306 Reportée 1105463 ELHAIMAR Mouloud salle 1 2308 Reportée 1202730 ELHAJAJI Hassan salle 1 2310 Reportée 1220018 ELHALOUANE Omar salle 1 2312 Reportée 1005647 ELHALOUI SAID salle 1 2314 Reportée 1115647 ELHAMEIM OMER salle 1 2316 Reportée 1201120 ELHAMMI Abdelaziz salle 1 2318 1204579 ELHAMRI Latifa salle 1 2320 Reportée 1211200 ELHAMZAOUI Fatima salle 1 2322 1210266 ELHAMZAOUI Mareym salle 1 2324 Reportée 1113792 ELHANTIFI Naima salle 1 2326 Reportée 1101042 ELHAOUASSI Moulay salle 1 2328 Reportée 1205173 ELHAOUASSI Samya salle 1 2330 1207223 ELHARAS Mouhssine salle 1 2332 Reportée 1201730 EL-HARCHI Rajaa salle 1 2334 Reportée 1204301 ELHARNOUSSI Youssef salle 1 2336 1105193 ELHAROUCHY Hanane salle 1 2338 Reportée 1211081 ELHASSANY Somayya salle 1 2340 Reportée Matière1: introduction aux sciences économiques Matière2:Introduction aux sciences de gestion 23/54
  • 188.
    Filière: Droit arabe Facultédes sciences juridiques et Economiques. Marrakech N° Apogée Nom Prénom Local d'examen N° d'examen Matière1 Matière2 Université Cadi Ayyad PV de surveillance: Session de rattrapage 2012-2013 Module: Introduction aux sciences économiques et de gestion Semestre1 (nouveau système) 1201212 ELHASSARI Zoheir salle 2 2342 Reportée 1101120 ELHASSOUNI Zakaria salle 2 2344 Reportée 1210586 ELHITAR LEILA salle 2 2346 Reportée 1218801 ELHOR MINA salle 2 2348 Reportée 1220307 ELHOUST Karima salle 2 2350 Reportée 1114185 EL-IBRAHIMI Fatma salle 2 2352 Reportée 1203276 EL-IBRAHYMY Latifa salle 2 2354 Reportée 1202107 ELIDRISSI Mourad salle 2 2356 Reportée 1220281 ELIDRISSI Souad salle 2 2358 Reportée 1211296 ELIDRISSI DAFALI ABDENACER salle 2 2360 1004465 ELIFGHANI IBTISSAM salle 2 2362 Reportée 1205646 EL-JABIRY Redouane salle 2 2364 1202359 ELJADDI Nadia salle 2 2366 Reportée 1201773 ELJAKANI Toufiq salle 2 2368 Reportée 1217465 ELKABOURI ABDELMOULA salle 2 2370 Reportée 1203041 ELKABOUS Ismail salle 2 2372 Reportée1203041 ELKABOUS Ismail salle 2 2372 Reportée 1216695 ELKABRITI Meriem salle 2 2374 Reportée 1204011 ELKADRI Rabab salle 2 2376 Reportée 1208628 ELKAFRAOUI Najia salle 2 2378 Reportée 1206221 ELKAHL Youssef salle 2 2380 Reportée 1103867 ELKANTAOUI Sanaa salle 2 2382 Reportée 1211275 ELKASSOUABI Abdelilah salle 2 2384 Reportée 1210738 ELKAYROUH Brahim salle 2 2386 Reportée 1209190 ELKENTI Ismail salle 2 2388 Reportée 1210600 ELKHADIRI Khadija salle 2 2390 Reportée 1106382 ELKHAHIRI Jihad salle 2 2392 Reportée 1205174 ELKHAL NAOUAL salle 2 2394 Reportée 1107781 ELKHALDI Hassane salle 2 2396 Reportée 1207785 ELKHAOUA Siham salle 2 2398 Reportée 1201640 ELKHARTA MOHAMMED salle 2 2400 Reportée 1216667 ELKHOURI MARHRA Fatima Zahra salle 2 2402 Reportée 1202342 ELKOREICHI Khadija salle 2 2404 Reportée 1208985 ELKOUCH Imane salle 2 2406 1211018 ELKOUCHMI Khalid salle 2 2408 1204896 ELKOURCHI Imane salle 2 2410 Reportée Matière1: introduction aux sciences économiques Matière2:Introduction aux sciences de gestion 24/54
  • 189.
    Filière: Droit arabe Facultédes sciences juridiques et Economiques. Marrakech N° Apogée Nom Prénom Local d'examen N° d'examen Matière1 Matière2 Université Cadi Ayyad PV de surveillance: Session de rattrapage 2012-2013 Module: Introduction aux sciences économiques et de gestion Semestre1 (nouveau système) 1203585 ELKOUSTALANI ABDELMOUNAIM salle 3 2412 Reportée 1000710 ELKRAYFI NOUR EDDINE salle 3 2414 Reportée 1203999 ELLAITI Hasna salle 3 2416 Reportée 1201305 ELLAOU Lamnia salle 3 2418 Reportée 1203351 ELLAOUD Esalek salle 3 2420 Reportée 1200999 ELMACHICHI Nadia salle 3 2422 Reportée 1219725 ELMAHDAOUY Amal salle 3 2424 Reportée 1204166 ELMAHJOUBI Lamia salle 3 2426 Reportée 1101606 ELMAJDAOUI Charaf salle 3 2428 Reportée 1209761 ELMALATI Said salle 3 2430 Reportée 1211959 ELMALLOULI Aziza salle 3 2432 1104084 ELMANDAOUI Hassan salle 3 2434 Reportée 1208104 ELMANSOURI Abderrahim salle 3 2436 Reportée 1216665 ELMANSOURI Sara salle 3 2438 Reportée 1204390 ELMARBOUH Jamila salle 3 2440 Reportée 1210104 ELMASMOUDI Yousra salle 3 2442 Reportée1210104 ELMASMOUDI Yousra salle 3 2442 Reportée 1202423 ELMECHYLY Zakaria salle 3 2444 Reportée 1203229 ELMEDIANI Mohamed salle 3 2446 Reportée 1202903 ELMETTYJY Ayoub salle 3 2448 Reportée 1219733 ELMEZOUARI Abderrahman salle 3 2450 Reportée 1100617 ELMEZOUARI Elyas salle 3 2452 Reportée 1201015 ELMIKH Mohamed salle 3 2454 Reportée 1205212 ELMILOUAY Houria salle 3 2456 Reportée 1201084 ELMONKARI Youssef salle 3 2458 Reportée 1201204 ELMONTASER Laila salle 3 2460 Reportée 1210721 ELMOSAIF Soumyia salle 3 2462 1203946 ELMOUADDINE Elhassan salle 3 2464 Reportée 1003930 ELMOUATASSIM SAMIR salle 3 2466 Reportée 1204760 ELMOURABIT Hasna salle 3 2468 Reportée 1201317 ELMOURABIT SOUFIANE salle 3 2470 1113514 ELMOURSLI Maryem salle 3 2472 Reportée 1103518 ELOIRDA Jaouad salle 3 2474 Reportée 1209187 ELORFI Elhoucein salle 3 2476 Reportée 1209087 ELOUAABANI Yassine salle 3 2478 1219540 ELOUAHMANI Mohamed salle 3 2480 Matière1: introduction aux sciences économiques Matière2:Introduction aux sciences de gestion 25/54
  • 190.
    Filière: Droit arabe Facultédes sciences juridiques et Economiques. Marrakech N° Apogée Nom Prénom Local d'examen N° d'examen Matière1 Matière2 Université Cadi Ayyad PV de surveillance: Session de rattrapage 2012-2013 Module: Introduction aux sciences économiques et de gestion Semestre1 (nouveau système) 1210275 ELOUARANI Abdelahak salle 4 2482 Reportée 1114213 ELOUASSILI Outman salle 4 2484 Reportée 1114646 EL-OUATQI Khaoula salle 4 2486 1219484 ELQAMI OMAR salle 4 2488 Reportée 1108371 ELQAR Fatima Ezzahra salle 4 2490 Reportée 1219439 EL-QASEMY Fadoua salle 4 2492 Reportée 1216297 ELSOULDI Naima salle 4 2494 Reportée 1207694 EL-TAHELY Sana salle 4 2496 Reportée 1205152 ELYAKOUBI Fadma salle 4 2498 Reportée 1201595 ENANI Hicham salle 4 2500 Reportée 1220889 ENHILI ABDELILAH salle 4 2502 1203629 ENNAB Saida salle 4 2504 1204325 ENNACHAT Ayyoub salle 4 2506 Reportée 1203799 ENNACIRI Faical salle 4 2508 Reportée 1214053 ENNACIRI Naima salle 4 2510 Reportée 1110992 ENNACIRI Rabab salle 4 2512 Reportée1110992 ENNACIRI Rabab salle 4 2512 Reportée 1210894 ENNADIFI Kenza salle 4 2514 1115589 ENNAFAA SIDI AHMED salle 4 2516 Reportée 1219517 ENNAHDI Khalid salle 4 2518 Reportée 1102771 ENNAIM Ferdaous salle 4 2520 Reportée 1219739 ENNAIM Siham salle 4 2522 Reportée 1001116 ENNAJARI SANA salle 4 2524 Reportée 1101164 ENNAJI Asma salle 4 2526 Reportée 1205898 ENNAOURI Dounia salle 4 2528 Reportée 1216936 ENNASIRY Soukaina salle 4 2530 1207714 ENNAY Touria salle 4 2532 Reportée 1201075 ENNAZI Wafaa salle 4 2534 Reportée 1201385 EN-NEJMAOUI Abdelilah salle 4 2536 Reportée 1217503 ENNOUIDRATE MOHAMED LARBI salle 4 2538 Reportée 1217494 EN-NOUIFI OUSSAMA salle 4 2540 Reportée 1109384 ENOIR HAFCA salle 4 2542 Reportée 1201070 ER RAHHALI Fairouz salle 4 2544 Reportée 1220127 ER RAHHALY Loubna salle 4 2546 Reportée 1106669 ERRACHIDI Nezha salle 4 2548 Reportée 1211085 ERRACHIDI Rabiaa salle 4 2550 Reportée Matière1: introduction aux sciences économiques Matière2:Introduction aux sciences de gestion 26/54
  • 191.
    Filière: Droit arabe Facultédes sciences juridiques et Economiques. Marrakech N° Apogée Nom Prénom Local d'examen N° d'examen Matière1 Matière2 Université Cadi Ayyad PV de surveillance: Session de rattrapage 2012-2013 Module: Introduction aux sciences économiques et de gestion Semestre1 (nouveau système) 1209059 ERRACHIDI Samir salle 5 2552 Reportée 1201330 ERRAGADI Anas salle 5 2554 Reportée 1207007 ERRAHALI ABDELMAJID salle 5 2556 Reportée 1106702 ERRAHILI Fatima-zahra salle 5 2558 Reportée 1208153 ERRAHILI Hassan salle 5 2560 Reportée 1207062 ER-RAHMAOUY Saida salle 5 2562 Reportée 1220382 ERRAIS Abderrazak salle 5 2564 1206799 ER-RAMCHANY Rachida salle 5 2566 Reportée 1114405 ERRANNA MOHAMED ALI salle 5 2568 Reportée 1202836 ER-REBAA Yassine salle 5 2570 Reportée 1201083 ERRERHAOUI Soukaina salle 5 2572 Reportée 1108268 ER-RGUI Latifa salle 5 2574 Reportée 1204117 ERRIDA Raja salle 5 2576 Reportée 1105558 ERRIM Karima salle 5 2578 Reportée 7026950 ERROUBAI YOUSSEF A SAISIR salle 5 2580 Reportée 1207088 ERROUSY Aziz salle 5 2582 Reportée1207088 ERROUSY Aziz salle 5 2582 Reportée 1203734 ERZIQI Zouhir salle 5 2584 Reportée 1206417 ES SINNANI Youness salle 5 2586 Reportée 1205635 ESAHIB Jaouad salle 5 2588 Reportée 1210330 ESSAAFADI Fatima Ezzahra salle 5 2590 Reportée 1202071 ESSABBATI Soumia salle 5 2592 Reportée 1201254 ESSABHI Bouchra salle 5 2594 Reportée 1201316 ESSABHI Nadia salle 5 2596 Reportée 1100639 ES-SADEQY Fouad salle 5 2598 Reportée 1004170 ESSAFI SANA salle 5 2600 Reportée 1102163 ES-SAHL Aziz salle 5 2602 Reportée 1201088 ESSAHRAOUI Rahhal salle 5 2604 1201306 ESSAKHI AISSA salle 5 2606 Reportée 1219836 ESSAKOUTA Ayoub salle 5 2608 1216775 ESSALHI Abdelilah salle 5 2610 Reportée 1111586 ESSALHI Naima salle 5 2612 1100480 ES-SAMID Chamesed-dine salle 5 2614 Reportée 1219784 ESSAOUDI Soufiane salle 5 2616 Reportée 1205184 ESSARRAOUI Mohammed salle 5 2618 1219523 ESSARRAR Mouad salle 5 2620 Reportée Matière1: introduction aux sciences économiques Matière2:Introduction aux sciences de gestion 27/54
  • 192.
    Filière: Droit arabe Facultédes sciences juridiques et Economiques. Marrakech N° Apogée Nom Prénom Local d'examen N° d'examen Matière1 Matière2 Université Cadi Ayyad PV de surveillance: Session de rattrapage 2012-2013 Module: Introduction aux sciences économiques et de gestion Semestre1 (nouveau système) 1207986 ESSARRARR Nejma salle 7 2622 Reportée 1205187 ESSARSAR Wafa salle 7 2624 1201363 ESSEHARI Said salle 7 2626 1204082 ESSELLAMI Abdelghani salle 7 2628 Reportée 1108746 ES-SEMGANY Fatima salle 7 2630 Reportée 6025464 ESSENAK ABDELLAH A SAISIR salle 7 2632 Reportée 1202959 ESSERRAKH Iatimad salle 7 2634 Reportée 1108465 ESSERSAR Ahmad salle 7 2636 Reportée 1202751 ES-SIAD Sara salle 7 2638 Reportée 1106963 ESSIDDIQI Mounir salle 7 2640 Reportée 1213716 ES-SOHBANI Abdelouahed salle 7 2642 Reportée 1201271 ESSOUAFE Younes salle 7 2644 Reportée 1214836 ESSOULLAMI Mohamed Rida salle 7 2646 Reportée 1220015 ES-SOURNI Mohamed salle 7 2648 Reportée 1209399 ESSOURNI Akram salle 7 2650 Reportée 1203353 ETAYIBI Ahmed salle 7 2652 Reportée1203353 ETAYIBI Ahmed salle 7 2652 Reportée 1217557 ETOUYSI KHAOULA salle 7 2654 Reportée 1201686 ET-TAHIRI ABDELMOUTTALIB salle 7 2656 Reportée 1203841 ETTAHIRY Jaouad salle 7 2658 1100382 ETTAIA Ghizlane salle 7 2660 Reportée 1204955 ETTAIEB Abderrahim salle 7 2662 Reportée 1201664 ETTAKAFFOULI Wahiba salle 7 2664 1103756 ET-TALBI Wassila salle 7 2666 Reportée 1203150 ETTALBI Mohamed salle 7 2668 1202758 ETTALBI Mohammad salle 7 2670 Reportée 1205146 ETTALIE Marwa salle 7 2672 1201992 ET-TAMRY Hajar salle 7 2674 Reportée 1203215 ETTANATY M'BAREK salle 7 2676 Reportée 1210182 ET-TAOUAF Najia salle 7 2678 Reportée 1108660 ETTARFASS Mailamnine salle 7 2680 Reportée 1203650 EZ ZARFI Hicham salle 7 2682 Reportée 1202898 EZERRAF Aziza salle 7 2684 Reportée 1207314 EZRIA Ismail salle 7 2686 Reportée 1203661 EZRIBATE Zakariae salle 7 2688 Reportée 1003733 EZ-ZAARI RACHID salle 7 2690 Reportée 1204142 EZ-ZAARY Zakaria salle 7 2692 Reportée 1202967 EZZAHARI Donya salle 7 2694 Reportée 1109231 EZ-ZAHHAR Yassin salle 7 2696 Reportée 1220395 EZZAHIRE Abdellah salle 7 2698 Reportée 1217347 EZZAHIRI Aatika salle 7 2700 1204767 EZZAIGHI Nawal salle 7 2702 Reportée 1115610 EZZAKI Mohcine salle 7 2704 Reportée 1208606 EZZAOUI Souad salle 7 2706 Matière1: introduction aux sciences économiques Matière2:Introduction aux sciences de gestion 28/54
  • 193.
    Filière: Droit arabe Facultédes sciences juridiques et Economiques. Marrakech N° Apogée Nom Prénom Local d'examen N° d'examen Matière1 Matière2 Université Cadi Ayyad PV de surveillance: Session de rattrapage 2012-2013 Module: Introduction aux sciences économiques et de gestion Semestre1 (nouveau système) 1111065 EZZEROUAL Karima salle 7 2708 Reportée 1218951 EZZIYADI Ilham salle 7 2710 Reportée 1209364 EZ-ZLIGUI Ali salle 7 2712 Reportée Matière1: introduction aux sciences économiques Matière2:Introduction aux sciences de gestion 29/54
  • 194.
    Filière: Droit arabe Facultédes sciences juridiques et Economiques. Marrakech N° Apogée Nom Prénom Local d'examen N° d'examen Matière1 Matière2 Université Cadi Ayyad PV de surveillance: Session de rattrapage 2012-2013 Module: Introduction aux sciences économiques et de gestion Semestre1 (nouveau système) 1204478 FADAD Ghizlane Amphi allal El Fassi 392 1219953 FADLANE Naima Amphi allal El Fassi 394 Reportée 1104626 FAGHRI BACHIR Amphi allal El Fassi 396 1209151 FAHIM Rabiaa Amphi allal El Fassi 398 Reportée 1209026 FAHMI Said Amphi allal El Fassi 400 Reportée 1220113 FAIDA Noura Amphi allal El Fassi 402 Reportée 1203075 FAIK Ismail Amphi allal El Fassi 404 1204828 FAKIR Kaoutar Amphi allal El Fassi 406 Reportée 1100337 FALFACH Ettalmidi Amphi allal El Fassi 408 Reportée 1102778 FALIH Soumia Amphi allal El Fassi 410 Reportée 1204902 FARAH Manal Amphi allal El Fassi 412 Reportée 1201561 FARAH Nabil Amphi allal El Fassi 414 Reportée 1211191 FARAH Zahira Amphi allal El Fassi 416 Reportée 1209624 FARASSI NAIMA Amphi allal El Fassi 418 Reportée 1201406 FAREH Khalid Amphi allal El Fassi 420 Reportée 1203288 FARES Soufyane Amphi allal El Fassi 422 Reportée1203288 FARES Soufyane Amphi allal El Fassi 422 Reportée 1201932 FARHAT Aziz Amphi allal El Fassi 424 Reportée 1208267 FARHAT Fayrouz Amphi allal El Fassi 426 Reportée 1204925 FARHI Abdlbarr Amphi allal El Fassi 428 Reportée 1210701 FARHI Khalid Amphi allal El Fassi 430 Reportée 1205186 FARIS Hasnaa Amphi allal El Fassi 432 Reportée 1203162 FARNOUSSE Saida Amphi allal El Fassi 434 Reportée 1216595 FAROUK MOHAMED Amphi allal El Fassi 436 Reportée 1204946 FATHELLAH Moad Amphi allal El Fassi 438 Reportée 1204547 FATHI Iman Amphi allal El Fassi 440 Reportée 1202375 FENNAN Hanane Amphi allal El Fassi 442 Reportée 1201047 FERDOUS SOKAYNA Amphi allal El Fassi 444 Reportée 1203306 FERHAN Hamid Amphi allal El Fassi 446 1101404 FGHIRE Soukaina Amphi allal El Fassi 448 Reportée 1203634 FIHAM Salwa Amphi allal El Fassi 450 Reportée 1201691 FIKRI Mouhcine Amphi allal El Fassi 452 Reportée 1204410 FILALI Mohamed Amphi allal El Fassi 454 Reportée 1107103 FILLALI Hasna Amphi allal El Fassi 456 Reportée 1201569 FNIDOU MOHAMED Amphi allal El Fassi 458 Reportée 1204278 FODIL Salah Amphi allal El Fassi 460 1204889 FOUNDOU Brahim Amphi allal El Fassi 462 Reportée 1201187 FOUNTI Aouatif Amphi allal El Fassi 464 Reportée 1204080 FOUQANI NOUR-EDDINE Amphi allal El Fassi 466 1201913 FRAIHATE Essaid Amphi allal El Fassi 468 Reportée 1219651 FRAIJA Otmane Amphi allal El Fassi 470 Reportée 1219607 FRIKHA Mohammed Amphi allal El Fassi 472 Reportée 1101619 GABARDI Samia Amphi allal El Fassi 474 Reportée 1201742 GADOUMY Raja Amphi allal El Fassi 476 Reportée Matière1: introduction aux sciences économiques Matière2:Introduction aux sciences de gestion 30/54
  • 195.
    Filière: Droit arabe Facultédes sciences juridiques et Economiques. Marrakech N° Apogée Nom Prénom Local d'examen N° d'examen Matière1 Matière2 Université Cadi Ayyad PV de surveillance: Session de rattrapage 2012-2013 Module: Introduction aux sciences économiques et de gestion Semestre1 (nouveau système) 1007481 GAJDAD ALI Amphi allal El Fassi 478 Reportée 1220792 GANOUNI RKIA Amphi allal El Fassi 480 Reportée 1203919 GARICH Ramzi Amphi allal El Fassi 482 Reportée 1201783 GASMI Soumia Amphi allal El Fassi 484 Reportée 1220052 GASMILI Mohamed Amphi allal El Fassi 486 Reportée 1001257 GDIEL SOUKAINA Amphi allal El Fassi 488 Reportée 1202286 GHAJJANE Mouhssine Amphi allal El Fassi 490 1205202 GHALBANE Mohamed Amphi allal El Fassi 492 Reportée 1201025 GHALIOUCHE Zouhir Amphi allal El Fassi 494 Reportée 1202509 GHALMI Intissar Amphi allal El Fassi 496 1219950 GHAMBI Amal Amphi allal El Fassi 498 Reportée 1204838 GHANAMI Noura Amphi allal El Fassi 500 Reportée 1203569 GHANDOUR Nizar Amphi allal El Fassi 502 Reportée 1220296 GHANIM Abdelilah Amphi allal El Fassi 504 1219441 GHANIM Hamza Amphi allal El Fassi 506 1202927 GHARIB Abdelmoughit Amphi allal El Fassi 5081202927 GHARIB Abdelmoughit Amphi allal El Fassi 508 1009182 GHASSAN KHAOULA Amphi allal El Fassi 510 Reportée 1114212 GHAZAL Leila Amphi allal El Fassi 512 Reportée 1202302 GHAZAOUAT Khadija Amphi allal El Fassi 514 Reportée 1219481 GHEZALA Hicham Amphi allal El Fassi 516 Reportée 1109633 GHIYAB Lahcen Amphi allal El Fassi 518 Reportée 1110789 GHOULAM Kamal Amphi allal El Fassi 520 Reportée 1217554 GOUBRAIM ISSAM Amphi allal El Fassi 522 Reportée 1202203 GOUCHGUE Kamal Amphi allal El Fassi 524 Reportée 1201998 GOUFAL Safaa Amphi allal El Fassi 526 Reportée 1111685 GOUGOU Yassin Amphi allal El Fassi 528 Reportée 1203813 GOULLA Achraf Amphi allal El Fassi 530 Reportée 1203681 GOUMNACEF Ilyas Amphi allal El Fassi 532 Reportée 1114517 GOURBI ABDELMOUNAIM Amphi allal El Fassi 534 Reportée 1220017 GREBIS Fala Amphi allal El Fassi 536 Reportée 1108103 GUACHOUR Mouad Amphi allal El Fassi 538 Reportée 1201665 GUELLI Redouane Amphi allal El Fassi 540 Reportée 1219902 GUESSAB Ahmed Amphi allal El Fassi 542 Reportée 1111067 GUIDAM Abdelhakim Amphi allal El Fassi 544 Reportée 1108503 GUOUAYCH Abdelali Amphi allal El Fassi 546 Reportée 1219291 GZOULI Youssef Amphi allal El Fassi 548 Reportée 1201759 GZOUMI Merieme Amphi allal El Fassi 550 Reportée 1210395 HABAL Sara Amphi allal El Fassi 552 Reportée 1201174 HABBOUCH Soufia Amphi allal El Fassi 554 Reportée 1202791 HACHIMI Monir Amphi allal El Fassi 556 Reportée 1219511 HADDADI RACHIDA Amphi allal El Fassi 558 Reportée 1202124 HADDI Maeleinine Amphi allal El Fassi 560 Reportée 1201318 HADDI Soufyane Amphi allal El Fassi 562 Reportée Matière1: introduction aux sciences économiques Matière2:Introduction aux sciences de gestion 31/54
  • 196.
    Filière: Droit arabe Facultédes sciences juridiques et Economiques. Marrakech N° Apogée Nom Prénom Local d'examen N° d'examen Matière1 Matière2 Université Cadi Ayyad PV de surveillance: Session de rattrapage 2012-2013 Module: Introduction aux sciences économiques et de gestion Semestre1 (nouveau système) 1202202 HADDOUCH Hichame Amphi allal El Fassi 564 Reportée 1216649 HADOUAR Raja Amphi allal El Fassi 566 Reportée 1209072 HADOUCH Youssef Amphi allal El Fassi 568 Reportée 1202292 HAFID Imane Amphi allal El Fassi 570 1112014 HAFIR Mustapha Amphi allal El Fassi 572 Reportée 1201842 HAIDA Hicham Amphi allal El Fassi 574 Reportée 1203197 HAIDA Mohammed Amphi allal El Fassi 576 Reportée 1212489 HAIDANE Mohamed Yeslem Amphi allal El Fassi 578 Reportée 1114439 HAIDOUR MOURAD Amphi allal El Fassi 580 Reportée Matière1: introduction aux sciences économiques Matière2:Introduction aux sciences de gestion 32/54
  • 197.
    Filière: Droit arabe Facultédes sciences juridiques et Economiques. Marrakech N° Apogée Nom Prénom Local d'examen N° d'examen Matière1 Matière2 Université Cadi Ayyad PV de surveillance: Session de rattrapage 2012-2013 Module: Introduction aux sciences économiques et de gestion Semestre1 (nouveau système) 1202344 HAIDOURI Soufiane Amphi ibn Rochd 882 Reportée 1210042 HAIDOUS Soukaina Amphi ibn Rochd 884 Reportée 1101389 HAINANE Fatima Ezzahra Amphi ibn Rochd 886 Reportée 1216749 HAJAJ YASSINE Amphi ibn Rochd 888 Reportée 1204190 HAJJAJI Abdelilah Amphi ibn Rochd 890 Reportée 1209050 HAJJI MOHAMED Amphi ibn Rochd 892 Reportée 1203825 HAJMANI El Mehdi Amphi ibn Rochd 894 Reportée 1201949 HAKIM Ayoub Amphi ibn Rochd 896 1106689 HALAB Hafid Amphi ibn Rochd 898 Reportée 1111208 HAL-EL FADL Aida Amphi ibn Rochd 900 Reportée 1204531 HALLAB Abdellah Amphi ibn Rochd 902 Reportée 1204412 HALLI Monir Amphi ibn Rochd 904 Reportée 1208760 HALLOUTA El Mahdi Amphi ibn Rochd 906 Reportée 1106486 HALOUACH Hamza Amphi ibn Rochd 908 Reportée 1202970 HALYM Noureddine Amphi ibn Rochd 910 Reportée 1201550 HAMADI Karima Amphi ibn Rochd 9121201550 HAMADI Karima Amphi ibn Rochd 912 1219554 HAMAMA Sara Amphi ibn Rochd 914 Reportée 1202316 HAMDAD Karima Amphi ibn Rochd 916 Reportée 1201690 HAMDI Berray Amphi ibn Rochd 918 Reportée 1114372 HAMIDI Lahcen Amphi ibn Rochd 920 Reportée 1111380 HAMIM Meryem Amphi ibn Rochd 922 Reportée 1004727 HAMMADI MOHAMMED Amphi ibn Rochd 924 Reportée 1107704 HAMMAZ Hanane Amphi ibn Rochd 926 Reportée 1201146 HAMMI Mustapha Amphi ibn Rochd 928 Reportée 1203998 HAMMIM Hicham Amphi ibn Rochd 930 Reportée 1201616 HAMMOUALI Abdelilah Amphi ibn Rochd 932 Reportée 1111331 HAMMOUDI Mohamed Amphi ibn Rochd 934 Reportée 1205226 HAMOU ESSALEK Amphi ibn Rochd 936 Reportée 1204915 HAMZA AOMAR Amphi ibn Rochd 938 Reportée 1201285 HAMZA Jellali Amphi ibn Rochd 940 Reportée 1204036 HAND Soukaina Amphi ibn Rochd 942 Reportée 1207825 HANDAOUI Oumaima Amphi ibn Rochd 944 Reportée 1201258 HANI Youness Amphi ibn Rochd 946 Reportée 1108117 HANINE Abdelkarim Amphi ibn Rochd 948 Reportée 1209108 HANTOUM Hamid Amphi ibn Rochd 950 Reportée 1205640 HAOUA Mohamed Amphi ibn Rochd 952 Reportée 1004421 HAOUASSE NEZHA Amphi ibn Rochd 954 Reportée 1203778 HAOUISS Jamal Amphi ibn Rochd 956 Reportée 5006264 HARAKATI BENNACEUR Amphi ibn Rochd 958 1201046 HARDAN Abdelmalik Amphi ibn Rochd 960 1204121 HARGUI Fatima Amphi ibn Rochd 962 1106860 HARI Mina Amphi ibn Rochd 964 1101960 HARIM Asmaa Amphi ibn Rochd 966 Reportée Matière1: introduction aux sciences économiques Matière2:Introduction aux sciences de gestion 33/54
  • 198.
    Filière: Droit arabe Facultédes sciences juridiques et Economiques. Marrakech N° Apogée Nom Prénom Local d'examen N° d'examen Matière1 Matière2 Université Cadi Ayyad PV de surveillance: Session de rattrapage 2012-2013 Module: Introduction aux sciences économiques et de gestion Semestre1 (nouveau système) 1100476 HAROUAK HOUDA Amphi ibn Rochd 968 Reportée 1220273 HAROUCH Khadija Amphi ibn Rochd 970 Reportée 1106503 HAROUK Abdellatif Amphi ibn Rochd 972 Reportée 1216654 HARRATI Abdelhakim Amphi ibn Rochd 974 Reportée 1111134 HARROUCHI FATIMA EZZAHRAE Amphi ibn Rochd 976 Reportée 1114493 HARTFI HASNA Amphi ibn Rochd 978 Reportée 1003473 HARTOUF YOUSSEF Amphi ibn Rochd 980 Reportée 1216718 HASNAOUI Iliass Amphi ibn Rochd 982 Reportée 1219508 HASSANI El Habib Amphi ibn Rochd 984 Reportée 1205616 HASSAR Ayoub Amphi ibn Rochd 986 Reportée 1204948 HASSIK Taoufiq Amphi ibn Rochd 988 Reportée 1201024 HAYAT Bouchra Amphi ibn Rochd 990 1204735 HAZIM Zahra Amphi ibn Rochd 992 Reportée 1201315 HCINE Karam-eddine Amphi ibn Rochd 994 1202228 HERTAL Amina Amphi ibn Rochd 996 Reportée 1202260 HERTAL Loubna Amphi ibn Rochd 998 Reportée1202260 HERTAL Loubna Amphi ibn Rochd 998 Reportée 1006176 HIDANE MOHAMED Amphi ibn Rochd 1000 Reportée 1210295 HILAL Mohamed Amphi ibn Rochd 1002 Reportée 1210728 HILMI Samira Amphi ibn Rochd 1004 Reportée 1111143 HISSE Younes Amphi ibn Rochd 1006 Reportée 1202904 HJAJI Azzedine Amphi ibn Rochd 1008 Reportée 1204452 HLILOU Khalid Amphi ibn Rochd 1010 Reportée 1113649 HMAIMA HAMID Amphi ibn Rochd 1012 1205072 HMAYDANE Halima Amphi ibn Rochd 1014 1208950 HMIDOUCH Ouafa Amphi ibn Rochd 1016 1203320 HMIMID ABDELAZIZ Amphi ibn Rochd 1018 Reportée 1203964 HMIMOU Mohamed Amphi ibn Rochd 1020 1203651 HOUDALI Anass Amphi ibn Rochd 1022 Reportée 1202325 HOULMANE Mohammed Amphi ibn Rochd 1024 Reportée 1009609 HOUSNI HATIM Amphi ibn Rochd 1026 Reportée 1201762 HSSINI Ihsane Amphi ibn Rochd 1028 Reportée 1202190 HYAYOU Charaf Amphi ibn Rochd 1030 Reportée 1211004 IAAZZA Soukaina Amphi ibn Rochd 1032 Reportée 1203957 IARABEN Yassine Amphi ibn Rochd 1034 1202221 IBARZAQ Youssef Amphi ibn Rochd 1036 1107564 IBENATAALLAH MUSTAPHA Amphi ibn Rochd 1038 Reportée 1100620 IBISSI Ismail Amphi ibn Rochd 1040 Reportée 1004120 IBN ELOTHMANI SANA Amphi ibn Rochd 1042 Reportée 1216716 IBN RAZZOUQ HANANE Amphi ibn Rochd 1044 Reportée 1106755 IBNOU EL ARAB Jaouad Amphi ibn Rochd 1046 Reportée 1202224 IBNOU ZAHER Anas Amphi ibn Rochd 1048 Reportée 1201356 ICHAIBI Azeddine Amphi ibn Rochd 1050 Reportée 1210053 ICHEREM Saida Amphi ibn Rochd 1052 Reportée Matière1: introduction aux sciences économiques Matière2:Introduction aux sciences de gestion 34/54
  • 199.
    Filière: Droit arabe Facultédes sciences juridiques et Economiques. Marrakech N° Apogée Nom Prénom Local d'examen N° d'examen Matière1 Matière2 Université Cadi Ayyad PV de surveillance: Session de rattrapage 2012-2013 Module: Introduction aux sciences économiques et de gestion Semestre1 (nouveau système) 1219693 ID MESSAOUD Soufiane Amphi ibn Rochd 1054 Reportée 1201933 IDARDAR Mohamed Amphi ibn Rochd 1056 Reportée 1219575 IDHAKI Saida Amphi ibn Rochd 1058 1219477 ID-HMMOU-OU HYA Yassine Amphi ibn Rochd 1060 Reportée 1204882 IDLAHSEN Nadia Amphi ibn Rochd 1062 Reportée 1203313 IDOUAKASS Sana Amphi ibn Rochd 1064 1202201 IGARDY Abdellah Amphi ibn Rochd 1066 Reportée 1111041 IGDEM Aicha Amphi ibn Rochd 1068 Reportée 1201924 IGHRAN Naoufal Amphi ibn Rochd 1070 Reportée 1201171 IGLISE Khadija Amphi ibn Rochd 1072 Reportée 1209086 IHCHACH Abdeljabbar Amphi ibn Rochd 1074 1203024 IHENKI Mohamed Amphi ibn Rochd 1076 Reportée 1217122 IHSANE Abdelghani Amphi ibn Rochd 1078 Reportée 1205762 IJJIG Sana Amphi ibn Rochd 1080 1209053 IKBANE Youssef Amphi ibn Rochd 1082 Reportée 1208881 IKEN Fatima Amphi ibn Rochd 1084 Reportée1208881 IKEN Fatima Amphi ibn Rochd 1084 Reportée 1108284 IKROU Sana Amphi ibn Rochd 1086 Reportée 1208761 ILALEN Soukaina Amphi ibn Rochd 1088 Reportée 1218841 ILALOUANI Khadija Amphi ibn Rochd 1090 Reportée 1209569 IMADIDENE Fatima Zahra Amphi ibn Rochd 1092 Reportée 1208845 IMASSADAN Bilal Amphi ibn Rochd 1094 Reportée 1206953 IMASSADAN Mustapha Amphi ibn Rochd 1096 Reportée 1205706 IMEDRANE Ayoub Amphi ibn Rochd 1098 Reportée 1201314 IMOULA Soukaina Amphi ibn Rochd 1100 Reportée Matière1: introduction aux sciences économiques Matière2:Introduction aux sciences de gestion 35/54
  • 200.
    Filière: Droit arabe Facultédes sciences juridiques et Economiques. Marrakech N° Apogée Nom Prénom Local d'examen N° d'examen Matière1 Matière2 Université Cadi Ayyad PV de surveillance: Session de rattrapage 2012-2013 Module: Introduction aux sciences économiques et de gestion Semestre1 (nouveau système) 1109162 IMRRAYNE Khalid Amphi mohamed El Fassi 1102 Reportée 1216763 IMZILNE Khadija Amphi mohamed El Fassi 1104 Reportée 1210306 INJAR Faiza Amphi mohamed El Fassi 1106 1114475 IRAOUI EL MOSTAFA Amphi mohamed El Fassi 1108 Reportée 1219688 IRHBOULA Rachid Amphi mohamed El Fassi 1110 Reportée 1008414 ISMAILI KHADIJATOU Amphi mohamed El Fassi 1112 Reportée 1201189 ISRA Yassin Amphi mohamed El Fassi 1114 Reportée 1106850 IZALMADEN Khalid Amphi mohamed El Fassi 1116 Reportée 1203612 JAA Omar Amphi mohamed El Fassi 1118 Reportée 1203666 JAAFAR M'hamed Amphi mohamed El Fassi 1120 Reportée 1112453 JAAFARI Abdelkarim Amphi mohamed El Fassi 1122 Reportée 1205217 JABBARY Laila Amphi mohamed El Fassi 1124 Reportée 1216739 JABBOUR Kamal Amphi mohamed El Fassi 1126 Reportée 1220894 JABER LAHCEN Amphi mohamed El Fassi 1128 Reportée 1203597 JABOUNE EL HOUSSAINE Amphi mohamed El Fassi 1130 Reportée 1204621 JABRANE Noura Amphi mohamed El Fassi 1132 Reportée1204621 JABRANE Noura Amphi mohamed El Fassi 1132 Reportée 1201255 JABRAOUI Abdelwahed Amphi mohamed El Fassi 1134 Reportée 1203801 JAD YASSINE Amphi mohamed El Fassi 1136 Reportée 1205139 JADIDI Abdessalam Amphi mohamed El Fassi 1138 Reportée 1210829 JAGUIGUIR Faysal Amphi mohamed El Fassi 1140 Reportée 1202192 JALAL Khadija Amphi mohamed El Fassi 1142 Reportée 1202044 JALLOUL Aziz Amphi mohamed El Fassi 1144 Reportée 1219849 JAMALEDDIN Essaid Amphi mohamed El Fassi 1146 Reportée 1204423 JANADI Hamza Amphi mohamed El Fassi 1148 Reportée 1208487 JANANE Redouane Amphi mohamed El Fassi 1150 Reportée 1201709 JAOUAD Lagribi Amphi mohamed El Fassi 1152 1105328 JAOUHARI Siham Amphi mohamed El Fassi 1154 Reportée 1216699 JARDOUNI Hana Amphi mohamed El Fassi 1156 Reportée 1216602 JARI AIT M'BAREK ABDESSAMADE Amphi mohamed El Fassi 1158 Reportée 1204724 JARID Abderrazzak Amphi mohamed El Fassi 1160 Reportée 1203222 JARRAF Hicham Amphi mohamed El Fassi 1162 Reportée 1102582 JAYED Ali Amphi mohamed El Fassi 1164 Reportée 1202536 JDAIA Soumia Amphi mohamed El Fassi 1166 Reportée 1107116 JDARI Hamid Amphi mohamed El Fassi 1168 Reportée 1205074 JDAY Fala Amphi mohamed El Fassi 1170 Reportée 1203174 JDDARH Abderrahim Amphi mohamed El Fassi 1172 Reportée 1217506 JELOUANE MOUHIEDDINE Amphi mohamed El Fassi 1174 Reportée 1108727 JIAD Hassna Amphi mohamed El Fassi 1176 Reportée 1101184 JIDER Chadia Amphi mohamed El Fassi 1178 Reportée 1105869 JILO Saloua Amphi mohamed El Fassi 1180 Reportée 1111293 JNAH Amine Amphi mohamed El Fassi 1182 Reportée 1203936 JNAHI Lahcen Amphi mohamed El Fassi 1184 Reportée 1103574 JNIDATE Aziza Amphi mohamed El Fassi 1186 Reportée Matière1: introduction aux sciences économiques Matière2:Introduction aux sciences de gestion 36/54
  • 201.
    Filière: Droit arabe Facultédes sciences juridiques et Economiques. Marrakech N° Apogée Nom Prénom Local d'examen N° d'examen Matière1 Matière2 Université Cadi Ayyad PV de surveillance: Session de rattrapage 2012-2013 Module: Introduction aux sciences économiques et de gestion Semestre1 (nouveau système) 1205917 JOHAR Mohamed Amphi mohamed El Fassi 1188 1202507 JOMAR Abderrahim Amphi mohamed El Fassi 1190 Reportée 1205088 JOUAL Amal Amphi mohamed El Fassi 1192 Reportée 1219918 JOUANI Sana Amphi mohamed El Fassi 1194 Reportée 1202703 JOUAOUI Narimane Amphi mohamed El Fassi 1196 Reportée 1110480 JOUHA Sanaa Amphi mohamed El Fassi 1198 Reportée 1203280 JOUIDI Abdelilah Amphi mohamed El Fassi 1200 Reportée 1101129 KAAB Fatima Zahra Amphi mohamed El Fassi 1202 Reportée 1210431 KAABI Kaoutar Amphi mohamed El Fassi 1204 Reportée 1210242 KABADI El Hassania Amphi mohamed El Fassi 1206 Reportée 1204437 KABIL Ayoub Amphi mohamed El Fassi 1208 Reportée 1104158 KABIRI Abdessalam Amphi mohamed El Fassi 1210 Reportée 1101241 KADIRI Issam Amphi mohamed El Fassi 1212 Reportée 1204930 KADIRY Abdelkarim Amphi mohamed El Fassi 1214 Reportée 1217018 KADRI Nassima Amphi mohamed El Fassi 1216 Reportée 1203210 KAHAF Mohamed Amphi mohamed El Fassi 1218 Reportée1203210 KAHAF Mohamed Amphi mohamed El Fassi 1218 Reportée 1219758 KAHKAH MOHAMED ALI Amphi mohamed El Fassi 1220 Reportée 1106585 KAIKAT Simohamed Amphi mohamed El Fassi 1222 Reportée 1210111 KAMEL Asma Amphi mohamed El Fassi 1224 1006978 KAMOUNI MOHAMED Amphi mohamed El Fassi 1226 Reportée 1202812 KANBOUA Ahmed Amphi mohamed El Fassi 1228 Reportée 1202961 KANTARI Abdelkarim Amphi mohamed El Fassi 1230 1103334 KARA Siyadtou Amphi mohamed El Fassi 1232 Reportée 1221024 KARA ZAKARIA Amphi mohamed El Fassi 1234 Reportée 1109953 KARAALILE Fatima Zahra Amphi mohamed El Fassi 1236 Reportée 1108774 KARAMI Safa Amphi mohamed El Fassi 1238 Reportée 1204936 KARIFI Loubna Amphi mohamed El Fassi 1240 Reportée 1217266 KARIM SOUKAINA Amphi mohamed El Fassi 1242 Reportée 1203613 KARNAMI Hicham Amphi mohamed El Fassi 1244 Reportée 1208689 KAROUAL Mohammed Amphi mohamed El Fassi 1246 Reportée 1106572 KARROUM Fatima Ezahra Amphi mohamed El Fassi 1248 Reportée 1202194 KASBI Asmaa Amphi mohamed El Fassi 1250 Reportée 1220245 KASSI Soufiane Amphi mohamed El Fassi 1252 Reportée 1102609 KENTAOUI Mariem Amphi mohamed El Fassi 1254 Reportée 1106797 KENTOUR Mohamed Amphi mohamed El Fassi 1256 Reportée 1201875 KERF Soukaina Amphi mohamed El Fassi 1258 Reportée 1004664 KERMELE REDA MOHAMED Amphi mohamed El Fassi 1260 Reportée 1204862 KETTAFE Fatima-ezzahra Amphi mohamed El Fassi 1262 Reportée 1201978 KEZDOUFI Said Amphi mohamed El Fassi 1264 Reportée 1201207 KEZZAR Khalid Amphi mohamed El Fassi 1266 Reportée 1205003 KHABAB Ghizlan Amphi mohamed El Fassi 1268 Reportée 1203218 KHABAL Zakaria Amphi mohamed El Fassi 1270 Reportée 1105020 KHACHIA ERRAHMAN Zahira Amphi mohamed El Fassi 1272 Reportée Matière1: introduction aux sciences économiques Matière2:Introduction aux sciences de gestion 37/54
  • 202.
    Filière: Droit arabe Facultédes sciences juridiques et Economiques. Marrakech N° Apogée Nom Prénom Local d'examen N° d'examen Matière1 Matière2 Université Cadi Ayyad PV de surveillance: Session de rattrapage 2012-2013 Module: Introduction aux sciences économiques et de gestion Semestre1 (nouveau système) 1202244 KHADDAD AYACHE Amphi mohamed El Fassi 1274 Reportée 1219464 KHADDOURI Nadira Amphi mohamed El Fassi 1276 Reportée 1210169 KHADIR Fatima Amphi mohamed El Fassi 1278 Reportée 1107131 KHADNOUCHI Halima Amphi mohamed El Fassi 1280 Reportée 1219857 KHAFIF Ikram Amphi mohamed El Fassi 1282 Reportée 1111211 KHAIRAT Bouchra Amphi mohamed El Fassi 1284 Reportée 1219919 KHAL Othmane Amphi mohamed El Fassi 1286 Reportée 1109550 KHALDI Fatima Amphi mohamed El Fassi 1288 Reportée 1101760 KHALDOUNI Soukaina Amphi mohamed El Fassi 1290 Reportée 1220381 KHALID MOHAMAD AMINE Amphi mohamed El Fassi 1292 Reportée 1220409 KHALIJ HAMZA Amphi mohamed El Fassi 1294 Reportée 1202493 KHALILI BRAHIM Amphi mohamed El Fassi 1296 Reportée 1201321 KHALIS ES-SAID Amphi mohamed El Fassi 1298 Reportée 1202599 KHALJALI Khadija Amphi mohamed El Fassi 1300 1211267 KHALLASSI Ali Amphi mohamed El Fassi 1302 Reportée 1219850 KHALLOUFI AFAF Amphi mohamed El Fassi 1304 Reportée1219850 KHALLOUFI AFAF Amphi mohamed El Fassi 1304 Reportée 1207099 KHALLOUK Salaheddine Amphi mohamed El Fassi 1306 Reportée 1111830 KHASMANI Siham Amphi mohamed El Fassi 1308 Reportée 1111908 KHASSAL Sabah Amphi mohamed El Fassi 1310 Reportée 1201244 KHATIR Mohamed Amphi mohamed El Fassi 1312 Reportée 1201771 KHATRANI Elmustapha Amphi mohamed El Fassi 1314 Reportée 1202087 KHATRANI Saida Amphi mohamed El Fassi 1316 Reportée 1114463 KHAYATI SALAH Amphi mohamed El Fassi 1318 Reportée 1109099 KHAYI Tariq Amphi mohamed El Fassi 1320 Reportée 1201178 KHERROU Khalid Amphi mohamed El Fassi 1322 Reportée 1204883 KHII Safae Amphi mohamed El Fassi 1324 Reportée 1203787 KHIRI Abdelkarim Amphi mohamed El Fassi 1326 Reportée 1210808 KHIROU MALIKA Amphi mohamed El Fassi 1328 Reportée 1201968 KHIZZIOUI Anas Amphi mohamed El Fassi 1330 Reportée 1202954 KHOUKHI Mohammed Amphi mohamed El Fassi 1332 Reportée 1210699 KHOUYA Fatiha Amphi mohamed El Fassi 1334 Reportée 1202263 KHOUYA Hasnaa Amphi mohamed El Fassi 1336 Reportée 1207053 KHOUYA Jaouad Amphi mohamed El Fassi 1338 Reportée 1202451 KHOUYI Mounssif Amphi mohamed El Fassi 1340 Reportée 1201095 KICHA Hicham Amphi mohamed El Fassi 1342 Reportée 1210582 KIJJI Nezha Amphi mohamed El Fassi 1344 Reportée 1205093 KILALI Ahmed Amphi mohamed El Fassi 1346 Reportée 1203238 KMACH Hassan Amphi mohamed El Fassi 1348 Reportée 1111049 KONSOU SOUFIANE Amphi mohamed El Fassi 1350 Reportée 1209806 KORAàCH Imane Amphi mohamed El Fassi 1352 Reportée 1203878 KORRAY Naoual Amphi mohamed El Fassi 1354 Reportée 1216765 KOUALAL Noura Amphi mohamed El Fassi 1356 Reportée 1204257 KOUBAIL Abdsamad Amphi mohamed El Fassi 1358 Reportée Matière1: introduction aux sciences économiques Matière2:Introduction aux sciences de gestion 38/54
  • 203.
    Filière: Droit arabe Facultédes sciences juridiques et Economiques. Marrakech N° Apogée Nom Prénom Local d'examen N° d'examen Matière1 Matière2 Université Cadi Ayyad PV de surveillance: Session de rattrapage 2012-2013 Module: Introduction aux sciences économiques et de gestion Semestre1 (nouveau système) 1219843 KOUCHAD Mohamed Amphi mohamed El Fassi 1360 Reportée 1201352 KOUIHEL Mehdi Amphi mohamed El Fassi 1362 Reportée 1201092 KOUISSI Sabrine Amphi mohamed El Fassi 1364 Reportée 1203722 KOUJOUTE Hicham Amphi mohamed El Fassi 1366 1202147 KOURD SARA Amphi mohamed El Fassi 1368 Reportée 1210892 KOURKACH Abderrahim Amphi mohamed El Fassi 1370 Reportée 1105901 KRATES Mehdi El Khir Amphi mohamed El Fassi 1372 Reportée 1203317 KSIKES Mohamed Elmehdi Amphi mohamed El Fassi 1374 Reportée 1218835 LAABABSI Zinab Amphi mohamed El Fassi 1376 Reportée 1105852 LAABAD Imad Amphi mohamed El Fassi 1378 Reportée 1202471 LAADYAME Hanane Amphi mohamed El Fassi 1380 Reportée 1208840 LAAFISSI ABDERRAHIM Amphi mohamed El Fassi 1382 Reportée 1202298 LAAGUIDI Soufyane Amphi mohamed El Fassi 1384 Reportée 1203298 LAALAYLI Soufiane Amphi mohamed El Fassi 1386 Reportée 1203726 LAAMIRI Moaad Amphi mohamed El Fassi 1388 Reportée 1220166 LAAMMARI Majdouline Amphi mohamed El Fassi 1390 Reportée1220166 LAAMMARI Majdouline Amphi mohamed El Fassi 1390 Reportée Matière1: introduction aux sciences économiques Matière2:Introduction aux sciences de gestion 39/54
  • 204.
    Filière: Droit arabe Facultédes sciences juridiques et Economiques. Marrakech N° Apogée Nom Prénom Local d'examen N° d'examen Matière1 Matière2 Université Cadi Ayyad PV de surveillance: Session de rattrapage 2012-2013 Module: Introduction aux sciences économiques et de gestion Semestre1 (nouveau système) 1219797 LAANANI Abdekhaq Amphi A 1392 Reportée 1202749 LAàNANI Mariem Amphi A 1394 Reportée 1202928 LAANAYA Hasna Amphi A 1396 Reportée 1219839 LAANAYA Zineb Amphi A 1398 Reportée 1205013 LAANIBRI Abderrahim Amphi A 1400 1220040 LAAOUINI Khadija Amphi A 1402 1205044 LAARAF Abdelkarim Amphi A 1404 1205051 LAARAGUE Moustapha Amphi A 1406 1202654 LAARAICHY Fatima Amphi A 1408 Reportée 1205659 LAARAJ Latifa Amphi A 1410 Reportée 1202563 LAAROUB Yassine Amphi A 1412 1108754 LAAROUD Mariam Amphi A 1414 Reportée 1209997 LAAROUSSI Khadija Amphi A 1416 Reportée 1201138 LAASSARI Amal Amphi A 1418 1102668 LAASSILIA MOHAMMED Amphi A 1420 Reportée 1204968 LAASSIRA Amal Amphi A 1422 Reportée1204968 LAASSIRA Amal Amphi A 1422 Reportée 1219949 LAASSIRI M'barka Alina Amphi A 1424 Reportée 1111113 LABANE Youssef Amphi A 1426 Reportée 1202117 LABBAIH Ahmed Baba Amphi A 1428 Reportée 1208813 LABHIH Khalid Amphi A 1430 Reportée 1201988 LABIAD Fatima Zahra Amphi A 1432 Reportée 1201154 LABIB Rida Amphi A 1434 Reportée 1208018 LABKAM Hayat Amphi A 1436 Reportée 1201217 LABRADAAI Mohamed Amphi A 1438 Reportée 1101014 LABROUMI Ahmed Amphi A 1440 Reportée 1104105 LABYAD Fatima-zahra Amphi A 1442 Reportée 1202997 LABYAD Mohamed Amphi A 1444 Reportée 1202256 LABYB Hicham Amphi A 1446 Reportée 1201928 LABZIOUI Safa Amphi A 1448 Reportée 1108725 LACHGAR Laila Amphi A 1450 Reportée 1111256 LACHHAB Karim Amphi A 1452 Reportée 1203621 LACHHAB Mahmoud Amphi A 1454 Reportée 1209971 LACHHEB AFAF Amphi A 1456 Reportée 1203300 LACHOIANI Hicham Amphi A 1458 Reportée 1220949 LADO HELLEN BULLEN Amphi A 1460 Reportée 1211170 LAFDALI Imane Amphi A 1462 Reportée 1203649 LAFKIHI Hayat Amphi A 1464 Reportée 1219562 LAFNASSI Houria Amphi A 1466 Reportée 1219397 LAFRIHI MAJDA Amphi A 1468 Reportée 1209098 LAFSI Lotfi Amphi A 1470 Reportée 1220042 LAFTAH Laaziza Amphi A 1472 Reportée 1219452 LAGDIH MARIAM Amphi A 1474 Reportée Matière1: introduction aux sciences économiques Matière2:Introduction aux sciences de gestion 40/54
  • 205.
    Filière: Droit arabe Facultédes sciences juridiques et Economiques. Marrakech N° Apogée Nom Prénom Local d'examen N° d'examen Matière1 Matière2 Université Cadi Ayyad PV de surveillance: Session de rattrapage 2012-2013 Module: Introduction aux sciences économiques et de gestion Semestre1 (nouveau système) 1110951 LAGHDACH Latifa Amphi B 1476 Reportée 1105319 LAGHZAOUI Es-said Amphi B 1478 Reportée 1202965 LAGRAMATE Mouatassim Amphi B 1480 Reportée 1210320 LAGRANE Hanane Amphi B 1482 Reportée 1111149 LAGRAOUI Rhizlane Amphi B 1484 Reportée 1203356 LAGRARI Khalid Amphi B 1486 Reportée 1219288 LAGSIMI Ilham Amphi B 1488 Reportée 1004851 LAGSIR RACHID Amphi B 1490 Reportée 1205249 LAHBABI Kamal Amphi B 1492 Reportée 1203177 LAHDILI Abdelftah Amphi B 1494 Reportée 1202408 LAHJILI Amine Amphi B 1496 Reportée 1201745 LAHJOUJ Fatima Ezzahra Amphi B 1498 Reportée 1207072 LAHJOUJY Hicham Amphi B 1500 Reportée 1205205 LAHKIM Rachid Amphi B 1502 Reportée 1204061 LAHLIOUI Hayam Amphi B 1504 Reportée 1201313 LAHLOU Rachid Amphi B 1506 Reportée1201313 LAHLOU Rachid Amphi B 1506 Reportée 1205673 LAHMADI Abd Ellah Amphi B 1508 Reportée 1106718 LAHMAICH Fadoua Amphi B 1510 Reportée 1219690 LAHMAM Rachid Amphi B 1512 Reportée 1114577 LAHMDI ABDELGHAFOUR Amphi B 1514 1110766 LAHMICHE Majda Amphi B 1516 Reportée 1209842 LAHMIDI Semai Amphi B 1518 Reportée 1204037 LAHNAOUI Mohamed Amine Amphi B 1520 Reportée 1219578 LAHNINE Abdessamad Amphi B 1522 1205235 LAHOUI Amina Amphi B 1524 Reportée 1108164 LAHRA Loubna Amphi B 1526 Reportée 1101140 LAHRACH Ilham Amphi B 1528 Reportée 1210309 LAHROUR Kholoud Amphi B 1530 Reportée 1201938 LAHSINI EL MUSTAPHA Amphi B 1532 Reportée 1216785 LAHYANE AZDINE Amphi B 1534 Reportée 1218996 LAIAS El Houcine Amphi B 1536 Reportée 1219402 LAKHAL EL MUSTAPHA Amphi B 1538 Reportée 1114573 LAKHDAR ACHRAF Amphi B 1540 Reportée 1205011 LAKHRIB Amina Amphi B 1542 Reportée 1100799 LAKLAI Tarik Amphi B 1544 Reportée 1220948 LAKO ARNES FAULO Amphi B 1546 Reportée 1219667 LAKOUABLI Fatima Zahra Amphi B 1548 Reportée 1209692 LAKOUAS Mohamed Amphi B 1550 Reportée 1219834 LAKOUIS Fadwa Amphi B 1552 Reportée 1203002 LAKRAD Youssef Amphi B 1554 Reportée 1201726 LAKRAD Zineb Amphi B 1556 Reportée 1111282 LAKRIMI Youssef Amphi B 1558 Reportée Matière1: introduction aux sciences économiques Matière2:Introduction aux sciences de gestion 41/54
  • 206.
    Filière: Droit arabe Facultédes sciences juridiques et Economiques. Marrakech N° Apogée Nom Prénom Local d'examen N° d'examen Matière1 Matière2 Université Cadi Ayyad PV de surveillance: Session de rattrapage 2012-2013 Module: Introduction aux sciences économiques et de gestion Semestre1 (nouveau système) 1101330 LAKTAM Abdel-jalil Amphi C 1560 Reportée 1204464 LAKTIB Majda Amphi C 1562 Reportée 1220080 LAMAIZI Elaziza Amphi C 1564 Reportée 1204931 LAMCHANDAG Hassan Amphi C 1566 Reportée 1201754 LAMFNEN Bouchra Amphi C 1568 Reportée 1204898 LAMIRAT Morad Amphi C 1570 Reportée 1210869 LAMKHOUBAL Hiba Amphi C 1572 Reportée 1219942 LAMLESS DOUNIA Amphi C 1574 Reportée 1209960 LAMOUSSI Fatima Ezzahra Amphi C 1576 Reportée 1219609 LAMRINI Mohamed Amphi C 1578 Reportée 1203330 LAMRIQCHI Mostapha Amphi C 1580 Reportée 1201011 LAMSAIRHRI Mustapha Amphi C 1582 Reportée 1204718 LAMSARNY SIHAME Amphi C 1584 Reportée 1204477 LAMSIKIN Ilham Amphi C 1586 1204981 LAMSSATTEF Zohra Amphi C 1588 Reportée 1107727 LAMZAOUAK Abderrazzak Amphi C 1590 Reportée1107727 LAMZAOUAK Abderrazzak Amphi C 1590 Reportée 1202643 LANSARI Ismail Amphi C 1592 Reportée 1104803 LANSARI Salah Eddine Amphi C 1594 Reportée 1209060 LANTIR Jaouad Amphi C 1596 Reportée 1202487 LAOUIBI Badia Amphi C 1598 1204446 LAOUID M'bark Amphi C 1600 Reportée 1204871 LAQDADRA BADREDDINE Amphi C 1602 Reportée 1219636 LAQRAA Hassna Amphi C 1604 Reportée 1216738 LAQRAA Khadija Amphi C 1606 1114561 LAQTIB SAID Amphi C 1608 Reportée 1100760 LARAICHI AMAL Amphi C 1610 Reportée 1210114 LARCHE Sana Amphi C 1612 Reportée 1114281 LARHRIB SAIDA Amphi C 1614 Reportée 1201622 LARHRISSI Laila Amphi C 1616 Reportée 1204358 LATIFI Abd El Ali Amphi C 1618 1202456 LATRACHE Halima Amphi C 1620 Reportée 1204152 LAZMAT Zakaria Amphi C 1622 Reportée 1205816 LBARANI Hamza Amphi C 1624 Reportée 1202568 LBECRAOUI Ibtissam Amphi C 1626 Reportée 1004764 LECHGUER YASSINE Amphi C 1628 Reportée 1219812 LEDRHEM Mohamed Amphi C 1630 Reportée 1109600 LEHMAD Mohamed Amphi C 1632 Reportée 1203580 LEMRHARI SALAH-EDDINE Amphi C 1634 Reportée 1210957 LEMZOUGUI Takia Amphi C 1636 Reportée 1205772 LGZOULI Fadila Amphi C 1638 Reportée 1201186 LIHMAD Ahmed Amphi C 1640 Reportée 1220697 LMOUDEN Samiha Amphi C 1642 Reportée 1202913 LOTFI Mohamed Amphi C 1644 Reportée Matière1: introduction aux sciences économiques Matière2:Introduction aux sciences de gestion 42/54
  • 207.
    Filière: Droit arabe Facultédes sciences juridiques et Economiques. Marrakech N° Apogée Nom Prénom Local d'examen N° d'examen Matière1 Matière2 Université Cadi Ayyad PV de surveillance: Session de rattrapage 2012-2013 Module: Introduction aux sciences économiques et de gestion Semestre1 (nouveau système) 1203832 LOUJAB Abdelhafid Amphi C 1646 Reportée 1200289 LOULOUD Kamal Amphi C 1648 Reportée 1001329 LOURIDI ZAHIRA Amphi C 1650 Reportée 1219696 LOUTFI Zine Elabidine Amphi C 1652 Reportée 1209538 LYAZIDI Fouad Amphi C 1654 Reportée Matière1: introduction aux sciences économiques Matière2:Introduction aux sciences de gestion 43/54
  • 208.
    Filière: Droit arabe Facultédes sciences juridiques et Economiques. Marrakech N° Apogée Nom Prénom Local d'examen N° d'examen Matière1 Matière2 Université Cadi Ayyad PV de surveillance: Session de rattrapage 2012-2013 Module: Introduction aux sciences économiques et de gestion Semestre1 (nouveau système) 1210251 MAASOU Youssef Amphi Cadi Ayyad 2 Reportée 1202222 MAASSOU Hafsa Amphi Cadi Ayyad 4 Reportée 1106839 MABCHOUR Noureddine Amphi Cadi Ayyad 6 Reportée 1201157 MABROUK Imane Amphi Cadi Ayyad 8 Reportée 1202135 MABROUK Mohamed Amphi Cadi Ayyad 10 Reportée 1110567 MACHEHOUR Karim Amphi Cadi Ayyad 12 Reportée 1219497 MACHIT ABDELILAH Amphi Cadi Ayyad 14 Reportée 1204705 MACHMACH Brahim Amphi Cadi Ayyad 16 Reportée 1203888 MADIH Anass Amphi Cadi Ayyad 18 1204837 MADIL Nadia Amphi Cadi Ayyad 20 Reportée 1209031 MAGNA Elmahdi Amphi Cadi Ayyad 22 Reportée 1200996 MAHASSINE Omar Amphi Cadi Ayyad 24 1200978 MAHMOUD Lahcen Amphi Cadi Ayyad 26 Reportée 1103864 MAJDAR Oufaa Amphi Cadi Ayyad 28 Reportée 1203115 MAKROUM Tarik Amphi Cadi Ayyad 30 Reportée 1219806 MALIKA Nait Khouya Mouh Amphi Cadi Ayyad 32 Reportée1219806 MALIKA Nait Khouya Mouh Amphi Cadi Ayyad 32 Reportée 1204003 MALKOUN Aziza Amphi Cadi Ayyad 34 1219618 MALLOUKI ABDESSAMAD Amphi Cadi Ayyad 36 Reportée 1208326 MAMAS Imane Amphi Cadi Ayyad 38 Reportée 1103370 MANETTA Mustapha Amphi Cadi Ayyad 40 Reportée 1219742 MANHIR Hanane Amphi Cadi Ayyad 42 Reportée 1203719 MARGOUL Redouane Amphi Cadi Ayyad 44 Reportée 1208778 MARIAM Kairoumi Amphi Cadi Ayyad 46 Reportée 1218995 MARICHANE Mouna Amphi Cadi Ayyad 48 Reportée 1202619 MARZAK Taha Amphi Cadi Ayyad 50 1005594 MARZOUQ MOHAMED Amphi Cadi Ayyad 52 Reportée 1203052 MASLIK Anouar Amphi Cadi Ayyad 54 1103709 MASSASSE Abderrazak Amphi Cadi Ayyad 56 1201710 MAYARA Ahmadnah Amphi Cadi Ayyad 58 1203979 MAYARA Cheikh Amphi Cadi Ayyad 60 1209594 MAYATI LEILA Amphi Cadi Ayyad 62 Reportée 1210179 MAYYAH Abdelhanine Amphi Cadi Ayyad 64 Reportée 1202360 MAZOUZ Dounia Amphi Cadi Ayyad 66 Reportée 1202111 MAZOUZ Ouafa Amphi Cadi Ayyad 68 Reportée 1201904 MCHILA Youssef Amphi Cadi Ayyad 70 Reportée 1210676 MEBROUK Ouissal Amphi Cadi Ayyad 72 Reportée 1111004 MEFTAH-ELKHAIR Abdelilah Amphi Cadi Ayyad 74 Reportée 1004057 MEGHROUSS HAFIDA Amphi Cadi Ayyad 76 Reportée 1219885 MEHRACH Hind Amphi Cadi Ayyad 78 1111045 MEJD Mohammed Amphi Cadi Ayyad 80 Reportée 1219559 MEJDOUBI Hala Amphi Cadi Ayyad 82 1112443 MEKHCHOUN Kamal Amphi Cadi Ayyad 84 Reportée 1201653 MELLAL Dalal Amphi Cadi Ayyad 86 Matière1: introduction aux sciences économiques Matière2:Introduction aux sciences de gestion 44/54
  • 209.
    Filière: Droit arabe Facultédes sciences juridiques et Economiques. Marrakech N° Apogée Nom Prénom Local d'examen N° d'examen Matière1 Matière2 Université Cadi Ayyad PV de surveillance: Session de rattrapage 2012-2013 Module: Introduction aux sciences économiques et de gestion Semestre1 (nouveau système) 1205724 MENTAGUI Chaimaa Amphi Cadi Ayyad 88 1204617 MERZOUG Mounia Amphi Cadi Ayyad 90 Reportée 1207845 MESKOUR Rajaa Amphi Cadi Ayyad 92 Reportée 1204905 MESNAOUI Naima Amphi Cadi Ayyad 94 Reportée 1202319 M'GHIMIMA ABBA CHEIKH Amphi Cadi Ayyad 96 1219548 MGHYRA Jamila Amphi Cadi Ayyad 98 Reportée 1206447 MHILIL Redouane Amphi Cadi Ayyad 100 Reportée 1201589 MIFDAL Meriem Amphi Cadi Ayyad 102 1211315 MIFTAH EL KHEIR Fouad Amphi Cadi Ayyad 104 Reportée 1210891 MIMI Aziza Amphi Cadi Ayyad 106 1202559 MIMI Mohamed Amphi Cadi Ayyad 108 9293833 MIMIDE MARWANE Amphi Cadi Ayyad 110 Reportée 1210253 MIMOUN Karima Amphi Cadi Ayyad 112 1201116 MISSAOUI Sara Amphi Cadi Ayyad 114 1209076 MOHA Nabila Amphi Cadi Ayyad 116 Reportée 1203326 MOHAMED Sakine Amphi Cadi Ayyad 118 Reportée1203326 MOHAMED Sakine Amphi Cadi Ayyad 118 Reportée 1109385 MOJAHID Nora Amphi Cadi Ayyad 120 1210604 MOLYN Chaima Amphi Cadi Ayyad 122 1204589 MONTASSIR Ahmed Amphi Cadi Ayyad 124 Reportée 1203247 MORADI Hassan Amphi Cadi Ayyad 126 Reportée 1202920 MORO Farid Amphi Cadi Ayyad 128 Reportée 1205024 MOSLIH Amine Amphi Cadi Ayyad 130 Reportée 1202872 MOSLIH Dounia Amphi Cadi Ayyad 132 Reportée 1204782 MOSSAOUI Hanan Amphi Cadi Ayyad 134 1109883 MOTAHHIR Hind Amphi Cadi Ayyad 136 Reportée 1207741 MOUAKITI Mebarek Amphi Cadi Ayyad 138 1004538 MOUALIMI NOZHA Amphi Cadi Ayyad 140 Reportée 1203188 MOUDDEN Youness Amphi Cadi Ayyad 142 Reportée 1202757 MOUDNIB Youssef Amphi Cadi Ayyad 144 1108119 MOUFTAKHIR ASMA Amphi Cadi Ayyad 146 1205800 MOUGHAMI Lamia Amphi Cadi Ayyad 148 Reportée 1205787 MOUGHAMI Samia Amphi Cadi Ayyad 150 1201383 MOUGHFIR Khadija Amphi Cadi Ayyad 152 1203227 MOUHCINE Khadija Amphi Cadi Ayyad 154 1202841 MOUJAN Wasim Amphi Cadi Ayyad 156 1210580 MOUJID Fatima Ezzahra Amphi Cadi Ayyad 158 1203129 MOULAY ETALEB Fatima Ezzahra Amphi Cadi Ayyad 160 Reportée 1113602 MOULOUD Zineb Amphi Cadi Ayyad 162 Reportée 1204568 MOUMSSIK Fatima Amphi Cadi Ayyad 164 Reportée 1102017 MOUNTABIH Abdellatif Amphi Cadi Ayyad 166 1202225 MOUNTASSER Mohamed Amphi Cadi Ayyad 168 Reportée 1203856 MOUNTIR Mohammed Amphi Cadi Ayyad 170 Reportée 1000455 MOURIH CHAIMA Amphi Cadi Ayyad 172 Reportée Matière1: introduction aux sciences économiques Matière2:Introduction aux sciences de gestion 45/54
  • 210.
    Filière: Droit arabe Facultédes sciences juridiques et Economiques. Marrakech N° Apogée Nom Prénom Local d'examen N° d'examen Matière1 Matière2 Université Cadi Ayyad PV de surveillance: Session de rattrapage 2012-2013 Module: Introduction aux sciences économiques et de gestion Semestre1 (nouveau système) 1203207 MOUSSAHIM Youssef Amphi Cadi Ayyad 174 Reportée 1205113 MOUSSAYF Fouzia Amphi Cadi Ayyad 176 Reportée 1201566 MOUSTALI Soukayna Amphi Cadi Ayyad 178 Reportée 1002829 MOUTALI MOHAMMED Amphi Cadi Ayyad 180 Reportée 1210086 MOUTIA Hanane Amphi Cadi Ayyad 182 Reportée 1208140 MOUZARIA Hamza Amphi Cadi Ayyad 184 Reportée 1202033 MOUZOUNE Imad Amphi Cadi Ayyad 186 1106619 MRIDA Bouchra Amphi Cadi Ayyad 188 Reportée 1208811 MRIFEK Mohamed Amine Amphi Cadi Ayyad 190 Reportée 1205676 MRIOUDAT Bouchra Amphi Cadi Ayyad 192 1201703 MRIZIGU Rababe Amphi Cadi Ayyad 194 1204810 M'SOU Mohcine Amphi Cadi Ayyad 196 Reportée 1216317 MSSAAD Abderrazzak Amphi Cadi Ayyad 198 1210099 MTOUGGUI Hiba Amphi Cadi Ayyad 200 Matière1: introduction aux sciences économiques Matière2:Introduction aux sciences de gestion 46/54
  • 211.
    Filière: Droit arabe Facultédes sciences juridiques et Economiques. Marrakech N° Apogée Nom Prénom Local d'examen N° d'examen Matière1 Matière2 Université Cadi Ayyad PV de surveillance: Session de rattrapage 2012-2013 Module: Introduction aux sciences économiques et de gestion Semestre1 (nouveau système) 1203269 MYAL Ismail Amphi Abou El Abbass Essebti 202 Reportée 1108294 MZOUER Abdelmajid Amphi Abou El Abbass Essebti 204 Reportée 1202859 NACHAT Youssef Amphi Abou El Abbass Essebti 206 Reportée 1106695 NACHITE Mohamed Amphi Abou El Abbass Essebti 208 Reportée 1109591 NADIM Souad Amphi Abou El Abbass Essebti 210 Reportée 1203639 NADIR Mourade Amphi Abou El Abbass Essebti 212 Reportée 1203954 NAHI Younes Amphi Abou El Abbass Essebti 214 Reportée 1219361 NAILI Soufiane Amphi Abou El Abbass Essebti 216 1204971 NAIM Meryem Amphi Abou El Abbass Essebti 218 Reportée 1111678 NAIM Rachid Amphi Abou El Abbass Essebti 220 1201792 NAINIA Ibtissam Amphi Abou El Abbass Essebti 222 Reportée 1202810 NAIT ZARAI Sana Amphi Abou El Abbass Essebti 224 Reportée 1115559 NAJAY Youness Amphi Abou El Abbass Essebti 226 Reportée 1102002 NAJAY Youssef Amphi Abou El Abbass Essebti 228 Reportée 1203152 NAJI Hafid Amphi Abou El Abbass Essebti 230 Reportée 1207093 NAJIH Abdellatif Amphi Abou El Abbass Essebti 2321207093 NAJIH Abdellatif Amphi Abou El Abbass Essebti 232 1219728 NASSER Meriam Amphi Abou El Abbass Essebti 234 Reportée 1201744 NASSIF Jamila Amphi Abou El Abbass Essebti 236 1220103 NATOUR Mohamed Amphi Abou El Abbass Essebti 238 Reportée 1219980 NAZIH HASNA Amphi Abou El Abbass Essebti 240 1108578 N'CILA Khadija Amphi Abou El Abbass Essebti 242 1105947 NEBBAG Hicham Amphi Abou El Abbass Essebti 244 Reportée 1204053 NESSI Laila Amphi Abou El Abbass Essebti 246 Reportée 1210005 N'GHIMA Najiya Amphi Abou El Abbass Essebti 248 1204911 NITIFI Manal Amphi Abou El Abbass Essebti 250 1201148 NKIRA Nezha Amphi Abou El Abbass Essebti 252 Reportée 1105733 NOUAMANI Yousra Amphi Abou El Abbass Essebti 254 Reportée 1201735 NOUBOUGH Youness Amphi Abou El Abbass Essebti 256 Reportée 1219817 OBIBA Abdel-ilah Amphi Abou El Abbass Essebti 258 Reportée 1204154 OIKHMAJJA Abdelmonim Amphi Abou El Abbass Essebti 260 Reportée 1204749 OKDA Mohammed Amphi Abou El Abbass Essebti 262 1219571 OMAIRY Jaouad Amphi Abou El Abbass Essebti 264 Reportée 1205049 OMOUIH Ayoub Amphi Abou El Abbass Essebti 266 1205206 OMRANI Hamza Amphi Abou El Abbass Essebti 268 Reportée 1004428 OUAABBOU YOUSSEF Amphi Abou El Abbass Essebti 270 Reportée 1203311 OUAALI Zouhair Amphi Abou El Abbass Essebti 272 Reportée 1211136 OUACHIKH Raja Amphi Abou El Abbass Essebti 274 1202366 OUACHOU Mohamed Amphi Abou El Abbass Essebti 276 1203953 OUACHT Saber Amphi Abou El Abbass Essebti 278 Reportée 1104937 OUADATE Salaheddine Amphi Abou El Abbass Essebti 280 Reportée 1206292 OUAGAG Khadija Amphi Abou El Abbass Essebti 282 1202211 OUAGHI Samir Amphi Abou El Abbass Essebti 284 Reportée 1219286 OUAKRIM Mohamed Amphi Abou El Abbass Essebti 286 Matière1: introduction aux sciences économiques Matière2:Introduction aux sciences de gestion 47/54
  • 212.
    Filière: Droit arabe Facultédes sciences juridiques et Economiques. Marrakech N° Apogée Nom Prénom Local d'examen N° d'examen Matière1 Matière2 Université Cadi Ayyad PV de surveillance: Session de rattrapage 2012-2013 Module: Introduction aux sciences économiques et de gestion Semestre1 (nouveau système) 1203986 OUAMMI Khalid Amphi Abou El Abbass Essebti 288 1209710 OUAMOU Hasna Amphi Abou El Abbass Essebti 290 1107547 OUARBIA SAMIRA Amphi Abou El Abbass Essebti 292 1107161 OUAROUARID Yassine Amphi Abou El Abbass Essebti 294 Reportée 1204794 OUASKAR Fatima Amphi Abou El Abbass Essebti 296 Reportée 1208671 OUASKAR Raquia Amphi Abou El Abbass Essebti 298 1219704 OUASSIFA HASNAE Amphi Abou El Abbass Essebti 300 Reportée 1202217 OUATTA Hamza Amphi Abou El Abbass Essebti 302 Reportée 1201017 OUATTA Mustapha Amphi Abou El Abbass Essebti 304 Reportée 1203817 OUBAKKALA Aziz Amphi Abou El Abbass Essebti 306 1206198 OUBIDA Imane Amphi Abou El Abbass Essebti 308 Reportée 1203124 OUBLA Mustapha Amphi Abou El Abbass Essebti 310 1203196 OUBLAL Mohamed Amphi Abou El Abbass Essebti 312 1203092 OUBOKSSIM Rachida Amphi Abou El Abbass Essebti 314 1205021 OUBOUHSS Ilham Amphi Abou El Abbass Essebti 316 1210656 OUBOUHSS Ilhame Amphi Abou El Abbass Essebti 3181210656 OUBOUHSS Ilhame Amphi Abou El Abbass Essebti 318 1209081 OUCHIKHE RACHID Amphi Abou El Abbass Essebti 320 Reportée 1202875 OUDANGA Malika Amphi Abou El Abbass Essebti 322 Reportée 1205848 OUDEMNATE Malika Amphi Abou El Abbass Essebti 324 1205248 OUELD AADOU YOUSSEF Amphi Abou El Abbass Essebti 326 1202081 OUFRIT Hasnae Amphi Abou El Abbass Essebti 328 1203272 OUGAZDIR YASSINE Amphi Abou El Abbass Essebti 330 1203727 OUHMAD ABDELLAH Amphi Abou El Abbass Essebti 332 Reportée 1000529 OUHOUGUA ABDELLAH Amphi Abou El Abbass Essebti 334 Reportée 1211260 OUJAA Mohamed Amphi Abou El Abbass Essebti 336 Reportée 1201711 OUJAA Said Amphi Abou El Abbass Essebti 338 Reportée 1210444 OUKHOUYA Hanane Amphi Abou El Abbass Essebti 340 Reportée 1203592 OULAD SALH Mohamed Amphi Abou El Abbass Essebti 342 Reportée 1203301 OULADI Abdelaziz Amphi Abou El Abbass Essebti 344 1218840 OULASSRI Aicha Amphi Abou El Abbass Essebti 346 1110915 OULED BABA Charaf Eddine Amphi Abou El Abbass Essebti 348 1205805 OULFARSI Youssef Amphi Abou El Abbass Essebti 350 1219831 OULGOUR Tariq Amphi Abou El Abbass Essebti 352 Reportée 1106776 OULHANOU Latifa Amphi Abou El Abbass Essebti 354 Reportée 1107982 OULIDI Es-said Amphi Abou El Abbass Essebti 356 1219399 OULLA BTISSAM Amphi Abou El Abbass Essebti 358 Reportée 1114145 OUMAMA Karima Amphi Abou El Abbass Essebti 360 1111605 OURAHOU Zahra Amphi Abou El Abbass Essebti 362 Reportée 1106993 OURBAA Ahmed Amphi Abou El Abbass Essebti 364 1212495 OUSSAKT Youssef Amphi Abou El Abbass Essebti 366 Reportée 1205814 OUSSIDI Ahmad Amphi Abou El Abbass Essebti 368 Reportée 1200995 OUTAGHZOUT Youness Amphi Abou El Abbass Essebti 370 Reportée 1114162 OUTALATE MOURAD Amphi Abou El Abbass Essebti 372 Reportée Matière1: introduction aux sciences économiques Matière2:Introduction aux sciences de gestion 48/54
  • 213.
    Filière: Droit arabe Facultédes sciences juridiques et Economiques. Marrakech N° Apogée Nom Prénom Local d'examen N° d'examen Matière1 Matière2 Université Cadi Ayyad PV de surveillance: Session de rattrapage 2012-2013 Module: Introduction aux sciences économiques et de gestion Semestre1 (nouveau système) 1220180 OUZANE Latifa Amphi Abou El Abbass Essebti 374 Reportée 1204921 OUZIDANE Said Amphi Abou El Abbass Essebti 376 1205583 QABLI Abdelhadi Amphi Abou El Abbass Essebti 378 Reportée 1211033 QASSID Chorouk Amphi Abou El Abbass Essebti 380 1201617 RABBOUH Essaid Amphi Abou El Abbass Essebti 382 Reportée 1201394 RABEH Hicham Amphi Abou El Abbass Essebti 384 Reportée 1204939 RABICHI Kamal Amphi Abou El Abbass Essebti 386 Reportée 1102399 RABIE Youssef Amphi Abou El Abbass Essebti 388 Reportée 1202276 RACHDAN Faissel Amphi Abou El Abbass Essebti 390 Matière1: introduction aux sciences économiques Matière2:Introduction aux sciences de gestion 49/54
  • 214.
    Filière: Droit arabe Facultédes sciences juridiques et Economiques. Marrakech N° Apogée Nom Prénom Local d'examen N° d'examen Matière1 Matière2 Université Cadi Ayyad PV de surveillance: Session de rattrapage 2012-2013 Module: Introduction aux sciences économiques et de gestion Semestre1 (nouveau système) 1109112 RACHDAOUI Abdellah Amphi Imam Malik 582 Reportée 1104982 RADI Naim Moubarik Amphi Imam Malik 584 Reportée 1208212 RADOUANE Brahim Amphi Imam Malik 586 1219875 RAFIQ Sakina Amphi Imam Malik 588 Reportée 1210579 RAFYA Wafa Amphi Imam Malik 590 Reportée 1114544 RAHILI ABDALLAH Amphi Imam Malik 592 Reportée 1108075 RAHILI Mona Amphi Imam Malik 594 1102937 RAHOUI Hasnaa Amphi Imam Malik 596 Reportée 1210735 RAJAH Meriam Amphi Imam Malik 598 Reportée 1201016 RAMI Soufiane Amphi Imam Malik 600 Reportée 1209509 RAOUI Amina Amphi Imam Malik 602 Reportée 1103986 RASSAM Brahim Amphi Imam Malik 604 1103693 RAZGUI Abd Hay Amphi Imam Malik 606 Reportée 1211254 R'BIBE Rabia Amphi Imam Malik 608 Reportée 1203046 RCHID Mustapha Amphi Imam Malik 610 1201216 RGUIBI Abdessadek Amphi Imam Malik 612 Reportée1201216 RGUIBI Abdessadek Amphi Imam Malik 612 Reportée 1204397 RGUIBI Mohamed Amphi Imam Malik 614 Reportée 1219557 RHAZAL Amina Amphi Imam Malik 616 Reportée 1103782 RHAZZAIFOU Bouchra Amphi Imam Malik 618 Reportée 1101580 RHIBA Salma Amphi Imam Malik 620 Reportée 1220418 RIAD Abdelghani Amphi Imam Malik 622 Reportée 1206818 RIAHI Soukaina Amphi Imam Malik 624 Reportée 1205687 RIBHY Rida Amphi Imam Malik 626 Reportée 1210302 RIDA Ntiçar Amphi Imam Malik 628 Reportée 1208600 RIDOUANE Khalid Amphi Imam Malik 630 Reportée 1202321 RIMAH Karima Amphi Imam Malik 632 1205006 RIYANI Abderrahim Amphi Imam Malik 634 Reportée 1201764 RMOUQUE Noura Amphi Imam Malik 636 1205224 ROMANI HABIBA Amphi Imam Malik 638 Reportée 1204953 ROUEBA Moussa Amphi Imam Malik 640 Reportée 1109577 ROUGGANY Mehdi Amphi Imam Malik 642 Reportée 1201776 ROUHI Achrafe Amphi Imam Malik 644 Reportée 1203109 ROUIBAA Isam Amphi Imam Malik 646 Reportée 1201873 SAADALLAOUI Naji Amphi Imam Malik 648 Reportée 1201127 SAADEN Fatima Zahra Amphi Imam Malik 650 Reportée 1205709 SAADI Fadoua Amphi Imam Malik 652 Reportée 1202078 SAADOUNI YOUSSEF Amphi Imam Malik 654 Reportée 1115567 SAAFADI Rabab Amphi Imam Malik 656 1204265 SAB Yassine Amphi Imam Malik 658 Reportée 1210290 SABAR Jamal Amphi Imam Malik 660 1208937 SABIR Mohamed Amphi Imam Malik 662 1203018 SABIR Youssef Amphi Imam Malik 664 1215867 SABOUA Abdelmalik Amphi Imam Malik 666 Reportée Matière1: introduction aux sciences économiques Matière2:Introduction aux sciences de gestion 50/54
  • 215.
    Filière: Droit arabe Facultédes sciences juridiques et Economiques. Marrakech N° Apogée Nom Prénom Local d'examen N° d'examen Matière1 Matière2 Université Cadi Ayyad PV de surveillance: Session de rattrapage 2012-2013 Module: Introduction aux sciences économiques et de gestion Semestre1 (nouveau système) 1205837 SABRAOUI Youssef Amphi Imam Malik 668 1220023 SABRI Imane Amphi Imam Malik 670 1108511 SABRI Kaoutar Amphi Imam Malik 672 1004745 SABRI MOSTAFA Amphi Imam Malik 674 Reportée 1210985 SABT Younes Amphi Imam Malik 676 Reportée 1220942 SADDIKI KHADIJA Amphi Imam Malik 678 Reportée 1203671 SADIK Abderrahim Amphi Imam Malik 680 1210971 SADIQ Houria Amphi Imam Malik 682 Reportée 1202446 SADIQ Mouna Amphi Imam Malik 684 Reportée 1204954 SADIQ Youssef Amphi Imam Malik 686 1100797 SADOUR Ahmed Amphi Imam Malik 688 1210675 SAFADI Btissam Amphi Imam Malik 690 Reportée 1201030 SAFADI Najoua Amphi Imam Malik 692 1104278 SAFOUANE Nadia Amphi Imam Malik 694 Reportée 1109143 SAGOUM Meriem Amphi Imam Malik 696 Reportée 1202897 SAHMOUDA Mouna Amphi Imam Malik 698 Reportée1202897 SAHMOUDA Mouna Amphi Imam Malik 698 Reportée 1209561 SAIDI Fouad Amphi Imam Malik 700 Reportée 1107622 SAIH Abdallah Amphi Imam Malik 702 Reportée 1204315 SAIH Jamila Amphi Imam Malik 704 Reportée 1003663 SAKAM NAJAT Amphi Imam Malik 706 1100484 SAKKAF Sara Amphi Imam Malik 708 Reportée 1101193 SALGHAF Mohamed Amphi Imam Malik 710 Reportée 1202150 SALLAM Bouchra Amphi Imam Malik 712 1200988 SALLAM Hassan Amphi Imam Malik 714 Reportée 1203226 SALLAMOUN Said Amphi Imam Malik 716 Reportée 1219662 SALLAMY Abderrahim Amphi Imam Malik 718 Reportée 1202924 SAMOUT Achraf Amphi Imam Malik 720 1203853 SAOUIBA Jaouad Amphi Imam Malik 722 1203654 SAOUIR Jalal Amphi Imam Malik 724 1107722 SARBIB Youssef Amphi Imam Malik 726 1219801 SARKOUH Soukaina Amphi Imam Malik 728 Reportée 1210401 SAT Mahjoub Amphi Imam Malik 730 1202347 SAYA Imane Amphi Imam Malik 732 Reportée 1204739 SAYLLAL Fatiha Amphi Imam Malik 734 Reportée 1202337 SAYOU Khalid Amphi Imam Malik 736 1210328 SBIK Abdelaali Amphi Imam Malik 738 Reportée 1204511 SDY Raja Amphi Imam Malik 740 Reportée 1219059 SEDKI Fouzia Amphi Imam Malik 742 1100399 SELYAN Elyazid Amphi Imam Malik 744 Reportée 1114167 SERBOUT Zahra Amphi Imam Malik 746 Reportée 1108116 SERKOUH Hsaine Amphi Imam Malik 748 Reportée 1210960 SIDI ALI Mohamed Amphi Imam Malik 750 Reportée 1201367 SIMAMRI Hasna Amphi Imam Malik 752 Reportée Matière1: introduction aux sciences économiques Matière2:Introduction aux sciences de gestion 51/54
  • 216.
    Filière: Droit arabe Facultédes sciences juridiques et Economiques. Marrakech N° Apogée Nom Prénom Local d'examen N° d'examen Matière1 Matière2 Université Cadi Ayyad PV de surveillance: Session de rattrapage 2012-2013 Module: Introduction aux sciences économiques et de gestion Semestre1 (nouveau système) 1203916 SIYAD Youssef Amphi Imam Malik 754 Reportée 1204206 SLITINE JINANE Amphi Imam Malik 756 Reportée 1103827 SNABEL Nouhila Amphi Imam Malik 758 Reportée 1203164 SOLAHMANI YOUNES Amphi Imam Malik 760 1204608 SOUALEM Abdelhadi Amphi Imam Malik 762 Reportée 1206916 SOUBAI Fatima-ezzahra Amphi Imam Malik 764 Reportée 1204052 SOUFIANI Mohamed Amphi Imam Malik 766 Reportée 1201612 SOUKAINA Marrah Amphi Imam Malik 768 1202183 SOUKTI Zainab Amphi Imam Malik 770 1209114 SRABOU Ghalla Amphi Imam Malik 772 1113152 SRHILFI Fatima Zahra Amphi Imam Malik 774 Reportée 1203610 TABAANDOUST Abdellah Amphi Imam Malik 776 Reportée 1005011 TABIAI MOAD Amphi Imam Malik 778 Reportée 1104022 TAGHZAOUI Younes Amphi Imam Malik 780 Reportée 1104118 TAGOURRAMT ABDESALAM Amphi Imam Malik 782 Reportée 1114319 TAGUENITI Soumia Amphi Imam Malik 784 Reportée1114319 TAGUENITI Soumia Amphi Imam Malik 784 Reportée 1219619 TAHDAOUI Halima Amphi Imam Malik 786 Reportée 1111100 TAHDAOUI Rachid Amphi Imam Malik 788 Reportée 1210946 TAHNI Soukayna Amphi Imam Malik 790 1203344 TAHOUR BRAHIM Amphi Imam Malik 792 Reportée 1203338 TAHOUR RACHID Amphi Imam Malik 794 Reportée 1209169 TAHRI Mohamed Amphi Imam Malik 796 1205081 TAI Fatima Zahra Amphi Imam Malik 798 Reportée 1205137 TAIA Youssef Amphi Imam Malik 800 1111036 TAICHA IAMAD Amphi Imam Malik 802 Reportée 1114261 TAIK Fatima Amphi Imam Malik 804 Reportée 1204345 TAISSIR Yassine Amphi Imam Malik 806 Reportée 1219964 TAKI Taoufik Amphi Imam Malik 808 Reportée 1202457 TAKNANT Mariam Amphi Imam Malik 810 1203213 TAKRIMCHA Mohamed Amphi Imam Malik 812 1211297 TALIBI Yassine Amphi Imam Malik 814 1201100 TAMI Hnia Amphi Imam Malik 816 Reportée 1107779 TAMI Imad Amphi Imam Malik 818 Reportée 1203846 TANDOUFT Hicham Amphi Imam Malik 820 Reportée 1000601 TANTAOUI MARWANE Amphi Imam Malik 822 Reportée 1005699 TANTAOUI SOUFIANE Amphi Imam Malik 824 Reportée 1108944 TAOUFIKALLAH Amal Amphi Imam Malik 826 1220124 TAOUFIQ Samira Amphi Imam Malik 828 1219783 TAOUMI Abdllatif Amphi Imam Malik 830 Reportée 1201606 TAOUMI Bachir Amphi Imam Malik 832 Reportée 1220227 TARIB Abdessamia Amphi Imam Malik 834 1220239 TARIB AZIZA Amphi Imam Malik 836 Reportée 1202595 TARIK Sana Amphi Imam Malik 838 Reportée Matière1: introduction aux sciences économiques Matière2:Introduction aux sciences de gestion 52/54
  • 217.
    Filière: Droit arabe Facultédes sciences juridiques et Economiques. Marrakech N° Apogée Nom Prénom Local d'examen N° d'examen Matière1 Matière2 Université Cadi Ayyad PV de surveillance: Session de rattrapage 2012-2013 Module: Introduction aux sciences économiques et de gestion Semestre1 (nouveau système) 1108505 TAZROURT Hanan Amphi Imam Malik 840 Reportée 1220386 TEMRI Fatima Ezzahra Amphi Imam Malik 842 1219757 TETBAT Wahiba Amphi Imam Malik 844 Reportée 1220427 TIGHOULA SAID Amphi Imam Malik 846 Reportée 1108433 TIRAOUI MARIEM Amphi Imam Malik 848 Reportée 1102162 TIZZA Meriem Amphi Imam Malik 850 Reportée 1210273 TMADLI Meriem Amphi Imam Malik 852 Reportée 1210638 TOUCHANI Majda Amphi Imam Malik 854 Reportée 1201715 TOUGUI Kanza Amphi Imam Malik 856 1201720 TOUIZI Khalil Amphi Imam Malik 858 Reportée 1202153 TOUKBANI Salima Amphi Imam Malik 860 1202464 TOURAB Asmae Amphi Imam Malik 862 Reportée 1202323 TYAMAZI Aadil Amphi Imam Malik 864 Reportée 1211274 YAHYAOUI Mohamed Amphi Imam Malik 866 1209823 YAKINI Loubna Amphi Imam Malik 868 1205056 YAKOUBI Youssef Amphi Imam Malik 870 Reportée1205056 YAKOUBI Youssef Amphi Imam Malik 870 Reportée 1204525 YAMMEL Abdelhakim Amphi Imam Malik 872 Reportée 1203989 YOUSSEF Ouballa Amphi Imam Malik 874 Reportée 1114217 YOUSSOFI OUAFAE Amphi Imam Malik 876 Reportée 1217566 YOUZALEN BAHIJA Amphi Imam Malik 878 Reportée 1204793 ZAAMI Naoual Amphi Imam Malik 880 Matière1: introduction aux sciences économiques Matière2:Introduction aux sciences de gestion 53/54
  • 218.
    Filière: Droit arabe Facultédes sciences juridiques et Economiques. Marrakech N° Apogée Nom Prénom Local d'examen N° d'examen Matière1 Matière2 Université Cadi Ayyad PV de surveillance: Session de rattrapage 2012-2013 Module: Introduction aux sciences économiques et de gestion Semestre1 (nouveau système) 1111043 ZAAZAA El Mahdi salle 1 2272 Reportée 1202232 ZAHER Abderazzak salle 1 2274 1201574 ZAHIM Abdelmoghit salle 1 2276 Reportée 1103909 ZAHIR Khadija salle 1 2278 Reportée 1219421 ZAHIR Majda salle 1 2280 Reportée 1209530 ZAHIR Nadia salle 1 2282 1208289 ZAHIR Zakia salle 1 2284 Reportée 1201872 ZAHLANE Ibtissam salle 1 2286 Reportée 1205831 ZAKARIA Maa salle 1 2288 Reportée 1111510 ZAKKARI Abdessalem salle 1 2290 Reportée 1202035 ZAOUINI Abdelmounaim salle 1 2292 1209648 ZAROUAL Khadija salle 1 2294 Reportée 1204751 ZARTIT Fatima Ezzahra salle 1 2296 Reportée 1203682 ZAYOUD Mohamed salle 1 2298 Reportée 1203994 ZAZZA Ahmed salle 1 2300 1106130 ZEBDI Abdelmonaine salle 1 2302 Reportée1106130 ZEBDI Abdelmonaine salle 1 2302 Reportée 1201723 ZEGLALI Adnane salle 1 2304 Reportée 1210731 ZEHOUA Mohamed salle 1 2306 Reportée 9292803 ZEHOUANI MOHAMED AMINE salle 1 2308 Reportée 1219646 ZEHZOUHI ZAGHLOUL Salim salle 1 2310 1201962 ZERAR Mohamed salle 1 2312 Reportée 1109989 ZERDAOUI Touria salle 1 2314 Reportée 1210977 ZEROUAL Haytam salle 1 2316 Reportée 1107091 ZEROUAL Nabil salle 1 2318 Reportée 1107752 ZEROUALI Fatima-ezzahra salle 1 2320 Reportée 1208480 ZEROUALI Mansour salle 1 2322 1202828 ZIABAT Youness salle 1 2324 1204845 ZIANI Hasan salle 1 2326 1220125 ZIATE Mariem salle 1 2328 1217551 ZIDANE JIHAD salle 1 2330 1107048 ZIDOUNI Amal salle 1 2332 Reportée 1219002 ZIKRAOUI Hafid salle 1 2334 1204842 ZIOUI Khaoula salle 1 2336 Reportée 1203765 ZITOUNI Wadia salle 1 2338 Reportée 1203291 ZOIUNE Mohamed salle 1 2340 1204979 ZOUGGAR Naoual salle 1 2342 1107165 ZOUITA Oussama salle 1 2344 1202476 ZOUIZI Kaotar salle 1 2346 Reportée 1201101 ZOULITE Mimoune salle 1 2348 Reportée 1101656 ZROUKI Soufiane salle 1 2350 Reportée 1203208 ZYATE Hamza salle 1 2352 Matière1: introduction aux sciences économiques Matière2:Introduction aux sciences de gestion 54/54