Intégrer la présentation
Télécharger en tant que PDF, PPTX






































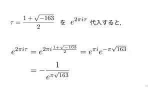
Le document semble contenir une série d'étapes numérotées et des références à des chiffres. Il mentionne des séquences et des transformations de nombres, peut-être en rapport avec un processus ou un algorithme. Cependant, le contenu est peu clair et nécessite plus de contexte pour une compréhension complète.




































