Contenu connexe
PDF
Personnalisation dans l'esprit de la dédicace PPTX
PPT
Savoie Angels : Une force de frappe de 2 millions d'Euros pour l'économie de... PDF
PPTX
PPTX
La publicité digitale locale – Booster vos ventes avec Buzzboard PPTX
PDF
En vedette
PPTX
Unidad 1º pai 4 introducción PPTX
PDF
LUXEMBOURG CREATIVE 2015-05-05 : E-commerce : l'innovation au service de la t... ODP
PDF
PARCOURS-BCPP_infos_2016-17 PDF
LUXEMBOURG CREATIVE 2015-09-17 : agriculture et entrepreneuriat social ODP
DOC
ODP
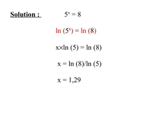
DéRivation De Fonctions Logarithmique PDF
Réseaux URL / IRL - comment les relier ? PPT
L'intervention de Ludovic Dublanchet PPTX
PPTX
DOC
PPT
Formation Soigner ses TIC ccommunautaires - AGIR, novembre 2011 PPS
Plus de atire
PDF
PDF
PDF
PDF
PDF
PDF
ODP
ODP
ODP
ODP
ODP
ODP
ODP
ODP
ODP
ODP
ODP
ODP
ODP
ODP
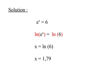
Equatio Nutilisant Des Exponentielles