Contenu connexe
PDF
La Formation des Apprentis - RH PPT
L'intervention de Loic Hay PDF
La convergence des technologies pour aboutir au digital workspace. Des exempl... PDF
Les Trois Rois (une tradition catalane et espagnole) PPT
PPTX
PPT
Présentation Wiki cornafrique PDF
Homenaje a la virgen de la candelaria partitura y partes En vedette
PPT
Endossement de la Carte Imagine R PPT
Presentation Terrela Olympiades PDF
PDF
Newsletter printemps 2015 al DOC
Généralités en maladie infectieuses PDF
16. fadel abdellaoui fleet performance ignite mars 2010 PDF
Les Acouphènes : Chroniques Santé BIORL PDF
ODP
PPT
French immigration seminar PPTX
ODP
PDF
2015 tutorial 2 agregar actividades en e ditor PPT
Intervention de Guy Raffour PDF
Présentation Signal'Ethik Workshop 2015 PDF
PPTX
PPTX
PDF
Plus de atire
PDF
PDF
PDF
PDF
PDF
PDF
ODP
ODP
ODP
ODP
ODP
ODP
ODP
ODP
ODP
ODP
ODP
ODP
ODP
ODP
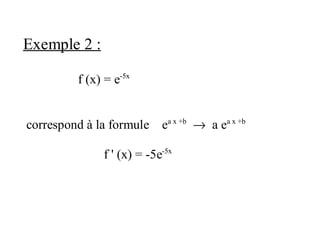
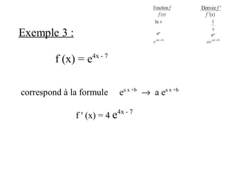
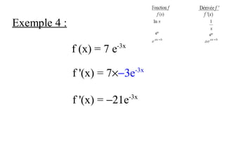
DéRivation De Fonctions Logarithmique
- 1.
- 2.
- 3.
- 4.
- 5.
- 6.
- 7.
- 8.
- 9.
- 10.
- 11.