Contenu connexe
PDF
PPT
PDF
Presentaciondefinitivabogotamito 101110180854-phpapp02 PPT
PPT
PDF
Portfolio de servicios de Knowledge investors PPT
PPT
En vedette
PDF
PPT
Lipdub et image de marque d'une organisation DOCX
Fiche de révision chap 2 svt DOC
Perfil exportaciones de textiles colombianos 2004 mayo 2010 PAGES
PDF
Holydays Open Academy - Edition 2015 PDF
Guia edos nres_tor_sug_apl_mativ_uca_jalg PDF
50 astuces de productivité PDF
La cocina de la estructura de Daniel Cassany PPS
L'Ensaia : le tout en images PPT
PDF
Concours respyrations 2011 ODP
PDF
PDF
PPTX
PPT
PDF
Comment gérer ses données de marketing digital dans un environnement multic... PPTX
CodeCamp 2010 | FBI- Fácil Business Intelligence PPT
Dernier
PDF
Présentation de lancement SAE203 - MMI1 S2 PPTX
les gjjjouts et les preferences IPT.pptx PDF
B2/ C1- FLE - RACONTER UN CONTE AU PASSÉ.pdf PDF
GRAND TÉMOIN | Les nouveaux facteurs de l’attractivité territoriale PPTX
Principales ressources cartographiques et statistiques Centre GéoStat (GGR-46... PDF
Diaporama de lancement de la SAE105 MMI "production web" PDF
La Chandeleur en secondaire fiche d'exercises.pdf PDF
POO exception java orientée objet throw throws try catch PPTX
MICROSOFT WORD 2016 MICROSOFT WORD 2016 MICROSOFT WORD 2016 MICROSOFT WORD 20... PDF
Activités pour célébrer la chandeleur .pdf PPTX
présentation du module 6.pptx - 4ème année primaire PDF
CONCLUSIONS | Quelle posture pour piloter l’attractivité territoriale ? PPTX
CONDUCTANCE ET CONDUCTIVITÉ. Cellule conductimétrique PDF
TEMPS 4 – Attractivité économique : nouveaux modèles, nouveaux leviers PDF
Le passé simple (B2/C1) : formation, verbes irréguliers et emplois PDF
TEMPS 2 – Attractivité touristique : l’hospitalité désormais sobre et heureuse PPTX
présentation Module n°4 - 4ème année.pptx PDF
TEMPS 3 – Attractivité étudiante : universités, recherche et nouvelles allian... PDF
Pro Training support presentation webinaire version VP.pdf PDF
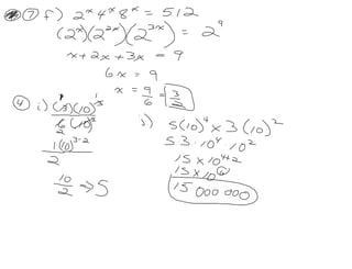
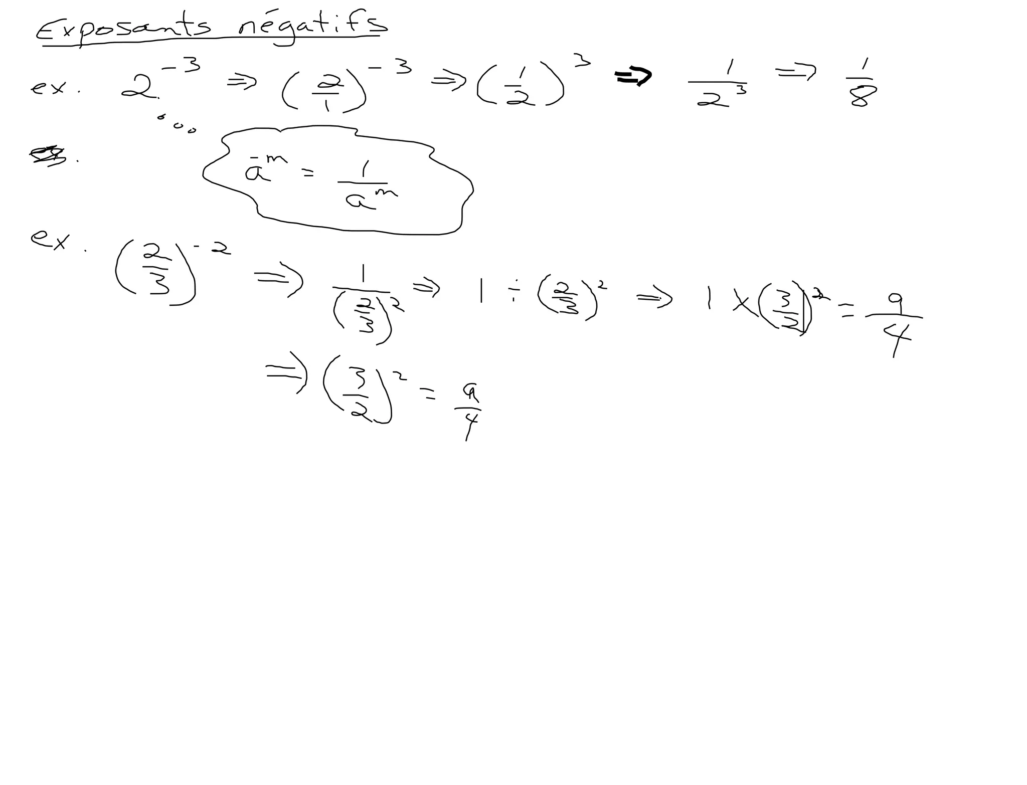
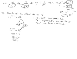
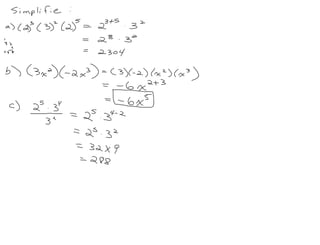
TEMPS 1 – Culture et patrimoine : le récit territorial contemporain M2,L1: Révision exposants entiers