REPUBLIQUE DEMOCRATIQUE DU CONGO
ENSEIGNEMENT SUPERIEUR ET UNIVERSITAIRE
« E.S.U. »
UNIVERSITE DE L’ASSOMPTION AU CONGO
« U.A.C. »
E-mail : Contact@Uaconline.Org
Site : WWW.UACONLINE.ORG
BP : 104 BUTEMBO
FACULTE DES Sciences ECONOMIQUES ET DE Gestion
Département DE L'Informatique de Gestion
Réalisé par : KUMBI MIANGEMBA RODDY
Travail de fin de cycle présenté et défendu en vue de
l'obtention du diplôme de graduat en informatique de gestion
Directeur : Assistant NSENGE MPIA Héritier
DÉVELOPPEMENT D’UNE APPLICATION WEB DE
GESTION D’ABONNEMENT PAYANT AUX ARTICLES
PUBLIÉS DANS LA REVUE AFRIQUESPOIR
ANNEE ACADEMIQUE 2019-2020
i
EPIGRAPHE
« Si le web d’hier, le web traditionnel (web 1.0)
était un web des documents et résolument
statique, le web d’aujourd’hui (web 2.0) est un web
social et dynamique. »
Nasreddine Bouhaï
In Internet des objets: Evolutions et innovations
ii
IN MEMORIAM
« Mon fils, répands des pleurs sur un mort, et, comme si tu souffrais cruellement,
commence la lamentation. Puis donne à son corps les soins qui lui sont dus, et ne néglige pas
sa sépulture » (Siracide 38 : 16).
A mon regretté cher Papa KUMBI KAMIANTAKO Ferdinand, dont l’amour et les
actions demeurent toujours présents dans ma vie. L’éducation et la formation reçues, voire les
conseils me prodigués ont fait de moi ce que je suis aujourd'hui et m'ont aidé à accomplir cette
œuvre grandiose.
iii
DEDICACE
A mes chers Parents : KUMBI KAMIANTAKO Ferdinand et DIAMESO Germaine ;
A mes frères : KUMBI Parfait et KUMBI Kijo ;
A mes sœurs : KUMBI Hermeline et LAWU Délivrance ;
A mes très chers Confrères et Formateurs.
iv
REMERCIEMENTS
Avant qu’un mot ne soit dit, il nous est important de remercier, en premier lieu, le Dieu
d’Amour et de Miséricorde pour le don du souffle de vie et des potentialités nécessaires à la
réalisation de notre travail de fin de cycle. Qu’il soit éternellement Béni. A nos chers parents,
KUMBI KAMIANTAKO FERDINAND et DIAMESO GERMAINE, nous disons infiniment
merci pour le don de la vie et à nos chers Frères et Sœurs biologiques.
En plus, que notre Directeur, l’Assistant NSENGE MPIA Héritier, pour son attention à
l’évolution harmonieuse de ce travail, trouve dans ces phrases l’expression de notre gratitude.
Nos remerciements s’adressent également aux autorités académico-administratives et au corps
enseignant du département de l’informatique de gestion qui nous ont accompagné tout au long
de notre parcours académique. Nous tenons aussi à remercier toute la famille Combonienne
surtout ceux de la communauté de Butembo pour leur dévouement continuel au service de notre
formation, nous citons nommément les Pères KALIYA Benoit, Gaspard Di VINCENZO et
CLAUDINO Gomes, et les Frères ELUMA Jacques et Ivan CREMONESI.
A mes confrères de formation : David IDIAKAM, Christophe MUTEBA, Christian
LEBA, Alpha MUMBERE, Joël BADIBANGA, Jean de Dieu BABAYA, Michel BAKODU,
Achille THAUNGULA, Jeanson MATANDA, Honore KAPUKU, pour la vie fraternelle que
nous partageons dans le Christ, nous disons merci.
Que nos bienfaiteurs innombrables et toute personne de bonne volonté grâce à qui nous
avons fait face aux diverses réalités financières trouvent hic et nunc notre profonde
reconnaissance. A tous nos camarades d’auditoire particulièrement : D’Alzon ELCARA, Ange
KAHINDO, Lydie KAHOGYA, Cosmos MOTEMA, KAHINDO SHANGWE, Dominique
MAMBE, Faida VIVIANE, Moise KAMBALE, Dorcas MASIKA, Junior, Rachel
KAMBUMBU, Rachel MUSAVUKA, Ronsard, etc. pour les joies et les peines partagées
ensemble dans un esprit de convivialité, nous exprimons notre sentiment d’amour.
Enfin, que nos ainés scientifiques dont les Assistants Alfred, Julien KABUYAYA,
Elisée trouvent ici l’expression de notre indéfectible attachement et inoubliable mémoire.
Roddy KUMBI MIANGEMBA
v
LISTE DES ABREVIATIONS
 Ae : Afriquespoir
 BD : Bases de Données
 CMS : Content Management System
 CSS : Cascading Style Sheet
 HTML : HyperText Markup Language
 IP : Internet Protocol
 MCCJ : Missionnaires Comboniens du Cœur de Jésus
 PHP : HyperText Preprocessor
 SGBD : Système de Gestion des Bases de Données
 SGBDR : Système de Gestion de Base de Données Relationnels
 SQL: Structured Query Language
 TFC : Travail de Fin de Cycle
 URL : Uniform Ressource Locator
 U.A.C : Université de l’Assomption au Congo
 WWW : World Wide Web
vi
LISTE DES FIGURES
Figure 1 Organigramme........................................................................................................................... 8
Figure 2 Système d’information.............................................................................................................. 9
Figure 3: Acteurs du système................................................................................................................ 18
Figure 4: Diagramme des cas d'utilisation............................................................................................. 20
Figure 5: Diagramme de séquences du cas Consulter le site................................................................ 32
Figure 6: Diagramme de séquences du cas s’inscrire............................................................................ 33
Figure 7: Diagramme de séquence du cas se connecter....................................................................... 34
Figure 8: Diagramme de séquence du cas s’abonner au site via PayPal............................................... 35
Figure 9: Diagramme de séquences Lire un article ............................................................................... 36
Figure 10: Diagramme de séquences Partager un article ..................................................................... 37
Figure 11: Diagramme de séquences du cas commenter un article..................................................... 37
Figure 12: Diagramme de séquence du cas gérer les articles............................................................... 38
Figure 13: Diagramme de séquence du cas gérer les abonnés............................................................. 39
Figure 14: Diagramme de séquence du cas gérer les catégories.......................................................... 40
Figure 15: Diagramme d’activités du cas consulter le site.................................................................... 41
Figure 16: Diagramme d’activités du cas contacter-nous..................................................................... 41
Figure 17: Diagramme d’activités du cas s’inscrire............................................................................... 42
Figure 18: Diagramme d’activités du cas se connecter......................................................................... 43
Figure 19: Diagramme d’activités du cas s’abonner au site via PayPal................................................. 44
Figure 20: Diagramme d’activités du cas lire un article ........................................................................ 45
Figure 21: Diagramme d'activités du cas partager un article................................................................ 45
Figure 22: Diagramme d’activités du cas commenter un article........................................................... 46
Figure 23: Diagramme d’activités du cas gérer les articles................................................................... 46
Figure 24: Diagramme d’activités du cas gérer les abonnés................................................................. 47
Figure 25: Diagramme d’activités du cas gérer les catégories.............................................................. 48
Figure 26: Élaboration du diagramme de classes.................................................................................. 49
Figure 27: Diagramme de déploiement ................................................................................................ 50
Figure 28: Page d’accueil du système ................................................................................................... 53
Figure 29: Page d’inscription................................................................................................................. 54
Figure 30: Page de connexion .............................................................................................................. 54
Figure 31: Page de lecture d’un article.................................................................................................. 55
Figure 32: Page d’abonnement via PayPal............................................................................................ 55
Figure 33: Page d’administration .......................................................................................................... 56
vii
LISTE DES TABLEAUX
Tableau 1: Cahier des charges du projet.............................................................................................. 17
Tableau 2: Cas d'utilisation du système ................................................................................................ 19
Tableau 3: Description textuelle du cas Consulter le site ..................................................................... 21
Tableau 4: Description textuelle du cas contacter-nous...................................................................... 22
Tableau 5: Description textuelle du cas s’inscrire................................................................................. 23
Tableau 6 : Description textuelle du cas se connecter.......................................................................... 24
Tableau 7 : Description textuelle du cas s’abonner au site via PayPal.................................................. 25
Tableau 8: Description textuelle du cas lire un article.......................................................................... 26
Tableau 9: Description textuelle du cas partager un article ................................................................. 27
Tableau 10: Description textuelle du cas commenter un article .......................................................... 28
Tableau 11: Description textuelle du cas publier un article.................................................................. 29
Tableau 12: Description textuelle du cas gérer les abonnés................................................................. 30
Tableau 13: Description textuelle du cas gérer les catégories.............................................................. 31
1
0.INTRODUCTION GENERALE
0.1. ETAT DE LA QUESTION
Il n’est pas inutile de rappeler l’omniprésence de l’informatique dans le monde actuel,
marqué depuis quelques décennies par une large utilisation de l’Internet et par la progression
explosive de sa place dans nos sociétés. Cette évolution de l’informatique et l’apparition de
l’internet sont des phénomènes d’interaction qui offrent des possibilités considérables et
accroissent les chances de communication dans des organisations. Le Web a changé ainsi la
vision d'échange des données dans des entreprises1
.
A vrai dire, plusieurs chercheurs ont eu à proposer des systèmes web aux entreprises. A
titre illustratif, DANADU INIKUTIRO Comboni Raquiël, qui, dans son travail portant sur la
Conception et la réalisation d’un site web dynamique de l’abonnement à une revue en ligne.
Cas de la revue Afriquespoir, a constaté que nombreuses opérations de traitement des données
demeurent encore manuelles dans le service de publication d'Afriquespoir. Il se révèle que ces
opérations soient ennuyeuses et puissent causer des dommages aux administrateurs et aux
abonnés de la revue2
.
Le but de sa recherche était de parvenir à la conception et à la réalisation d’un site web
dynamique connecté à une base de données capable de stocker les informations et en faciliter
l’accès au public et offrir une possibilité d’interagir avec ce dernier. En plus, Adel RAISSI,
dans son mémoire intitulé : Conception et réalisation d’un site de commerce électronique pour
le compte de LSAT Nokia, a estimé que cette société devrait se doter d'une base de données
clientèle, ayant pour cible, ce qu’on appelle le cyberconsommateur, c’est-à-dire le client distant
sur le net. Les objectifs majeurs de son site étaient ainsi la possibilité de présenter les produits
dans une boutique virtuelle à la disposition de tout le monde, de faire des transactions
commerciales, de faciliter la tâche du payement en ligne et de suivre la livraison des produits3
.
Dans cette même perspective, notre observation se tourne vers le problème auquel la
maison d’édition Afriquespoir se confronte, pendant la distribution de ses produits. Nous
remarquons une lenteur par rapport aux distributions des revues. Ces distributions se font en
retard chez les abonnés ; la plupart des abonnés sont souvent désinformés sur de nouvelles
1
Cf. Guillaume PLOUIN, Cloud computing. Sécurité, gouvernance du SI hybride et panorama du marché, 4e
édition, Dunod, Paris, 2016, p.5.
2
Cf. Comboni-Raquiël DANADU INIKUTIRO, Conception d’un site web dynamique de l’abonnement à une
revue en ligne, cas de la revue Afriquespoir, TFC inédit, F.A.B, 2015-2016, p.1.
3
Cf. Adel RAISSI, Conception et développement d’un site web de e-commerce pour le compte de LSAT Nokia,
Mémoire inédit, U.V.T, 2012-2013, p.2.
2
publications. Tenant compte de la lenteur qu’a ce système, nous voulons proposer un système
rapide car nous sommes dans un monde qui oblige de faire mieux et rapide4
.
Les auteurs cités ci-haut ont tenté d’apporter leur contribution pour améliorer la société.
Nous nous joignons à eux en ce qui concerne le stockage des informations et le partage de ces
dernières, ainsi que la facilitation de la gestion des stocks et le libre écoulement des produits
commerciaux. Notre apport spécifique consiste à ajouter un système d’inscription avec mail de
confirmation et un système d’abonnement payant via PayPal.
0.2. PROBLEMATIQUE
L’internet est rapidement devenu ce moyen de communication qui bouleverse sans cesse
l’accès à l’information, les modes d’expression, ainsi que les nombreux aspects liés à la
gouvernance et à la vie économique de tous ses utilisateurs où qu’ils se trouvent. Il s’apparente
aujourd’hui à un marché mondial des idées, des biens et des services5
. Le développement des
objets connectés et communicants ne cesse de progresser et de plus en plus d’objets sont
disponibles sur le marché. Cette évolution de l’Internet engendre davantage de champs à
explorer par les sciences de l’information et de la communication, et renouvelle les enjeux de
ces nouveaux bouleversements technologiques et numériques, dans un monde hyper connecté,
via divers objets connectés, conférant souvent une double capacité : être connecté et
communicant, tout en attendant d’eux qu’ils répondent à des besoins d’usage de plus en plus
exigeants en matière de services, de communication et d’information, tout autant qu’ils en
reçoivent6
.
La publication des statistiques sur le nombre d’utilisateurs d’internet a de la peine à
suivre son rythme de croissance ; dans la plupart des cas, on a à faire de toute évidence à des
données très approximatives. Jusqu’ici c’est le lieu de travail qui a enregistré la plus forte
pénétration.
De ce fait, l’internet est devenu un terme désormais générique qui regroupe toutes les
techniques nécessaires à la production, à la diffusion et à l’échange de contenus à travers le
réseau mondial de communication. Cette assimilation aux technologies de l’information est
récente, mais cet abus de langage, au sens du purisme technique, est justifié par la place centrale
qu’occupe désormais l’Internet dans la vie. Aujourd'hui, l’internet est entré dans notre vie
quotidienne d'une façon que personne ne pouvait imaginer il y a encore quelques années, que
4
Cf. Jean-Louis MULLER, Management d'un projet. 100 questions pour comprendre et agir, AFNOR, Paris,
2005, p.108.
5
Cf. SOUTER, Indicateur de l’UNESCO sur l’université de l’internet : cadre pour évaluer le développement de
l’internet, Ed. UNESCO, sd, p.1.
6
Cf. OECD, Cyber formation les enjeux du partenariat, Ed. OECD, 2001, p.13.
3
ce soit pour payer nos impôts, prévoir des rendez-vous via les réseaux sociaux ou apprendre de
nouvelles choses, etc.7
Face à cette émergence en perpétuelle évolution, qui offre la possibilité d'intervention
considérable d'accroissement et d'épanouissement de la communication à travers un lieu virtuel
qui s’adapte aux besoins et à l’usage de ses visiteurs, il serait souhaitable qu’Afriquespoir
adhère à cette nouvelle formule de diffusion des informations, en informatisant la gestion de
lecture des articles publiés et d’abonnement payant.
Ayant à cœur l’essor phénoménal d’Internet et le besoin que ressentent les lecteurs de
profiter de ses avantages, notre préoccupation se résume en ces questions : Comment
Afriquespoir pourrait-elle interagir facilement avec ses abonnés ? Dans quelle mesure une
application web de gestion de lecture d’articles peut-elle permettre aux abonnés d’Afriquespoir
de conclure l’abonnement aux articles sans contrainte de distance et d’en recevoir les
nouveautés ?
Eu regard à ce questionnaire, notre sujet de recherche s’intitule : « Développement d’une
application web de gestion d’abonnement payant aux articles publiés dans la revue
Afriquespoir ».
0.3. HYPOTHÈSES
L'hypothèse constitue une piste de réponse susceptible de permettre une explication
adéquate des faits étudiés. Elle doit également rendre compte de la nature spécifique, mais aussi
être cohérente avec l’ensemble du domaine scientifique dans lequel elle s’insère8
. Au regard de
notre questionnement, nous avons émis les hypothèses telles que le développement d’une
application web de gestion d’abonnement payant aux articles publiés dans la revue Afriquespoir
pourrait faciliter la communication entre Afriquespoir et ses abonnés et que la mise en place
d’une application web de gestion d’abonnement payant aux articles publiés dans la revue
Afriquespoir permettrait aux Missionnaires Comboniens de présenter Afriquespoir comme la
revue engagée au carrefour des peuples du monde.
7
Cf. Matthieu BONAN, Débuter en informatique avec Windows 7, Simple IT, Paris, 2011, p.99.
8
Cf. Dominique BOURDIN, 100 fiches de culture générale : histoire de la pensée, Bréal, Paris, 2006, p.112.
4
0.4. CHOIX ET INTÉRÊT DU SUJET
Ce sujet frappe d'importance vu les secteurs d'intérêt qu'il procure à la maison Ae et à
nous concepteur de ce projet, à l'université qui a assuré notre formation en matière de gestion
des entreprises :
 A la maison Afriquespoir d'étendre la publication des articles de la revue et d'atteindre
un grand nombre d'abonnés dans un laps de temps où qu'ils se trouvent.
 A nous de trouver une occasion propice pour marier la théorie à la pratique en vue de
mettre en valeur les précieuses connaissances apprises le long de notre premier cycle.
 Ce travail servira de thermomètre à notre université pour se rendre compte de la qualité
du contenu formatif qu'elle offre à ses étudiants.
0.5.MÉTHODE ET TECHNIQUES UTILISEES
0.5.1. Méthode
Dans la recherche scientifique, il existe plusieurs démarches, approches ou méthodes
qu’il convient d'utiliser pour exploiter et analyser les données de recherche. Ainsi, étant donné
que ce travail porte sur la mise en place d'un système informatique, nous avons fait usage du
langage UML afin d'analyser et de concevoir le système de gestion de lecture des revues
publiées en ligne par Afriquespoir.
Précisons qu’UML, par sa capacité de capturer en quelques dessins les grandes lignes
d’une application, est un langage efficace et incontournable pour modéliser un système en
orienté objet9
. UML n’est qu’un langage de modélisation. Nous n’avons pas aujourd’hui dans
la norme, de démarche unifiée pour construire les modèles et conduire un projet mettant en
œuvre UML.10
0.5.2. Techniques
La technique documentaire nous a permis de consulter les ouvrages, les revues, les
articles ainsi que des écrits qui cadrent avec notre sujet de recherche, susceptible de fournir les
informations permettant de l’éclairer davantage. À côté des textes écrits, nous nous sommes
servi également des documents électroniques, précisément de l’internet.
Nous nous sommes également servi de la technique d'interview qui nous a aidé à entrer
en contacts avec les agents de notre milieu d'étude pour déceler plus parfaitement les
insuffisances qu’il faut pallier.
9
Cf. Xavier BLANC et Isabelle MOUNIER, UML2 pour les développeurs, Eyrolles, Paris, 2007, p. 3.
10
Cf. Joseph Gabay et David Gabay, UML2 analyse et conception, mise en œuvre guidée avec études de cas,
Dunod, Paris, 2008, p.111.
5
0.6. DELIMITATION DU SUJET
Ce travail se focalise essentiellement sur l'accès aux différents numéros de la Revue
Afriquespoir. Et, cet accès se fera via l'Internet. Il est question de permettre aux abonnés à cette
Revue de pouvoir s'en procurer les articles en ligne, où qu'ils soient.
Dans le cadre temporel, ce travail porte sur les différents éléments de gestion,
collectées au sein de la Congrégation des Missionnaires Comboniens, en l'année académique
2019-2020.
0.7. SUBDIVISION DU TRAVAIL
Pour résoudre un problème, il existe plusieurs moyens. Pour certains, il suffit de diviser
cela en plusieurs tâches pour enfin résoudre chacune de ses tâches. Sur ce, nous avons pu diviser
notre travail en trois chapitres. Signalons que ce travail aura une introduction et une conclusion
générale, hormis ces trois grands points.
Le premier chapitre est intitulé cadre théorique. Dans ce chapitre, nous avons voulu
faire une brève présentation de notre milieu d'étude qu'est la Congrégation des Missionnaires
Comboniens, et de parler des concepts se référant à la mise en place d'une application web. Le
deuxième chapitre fait l'analyse et la modélisation du système à travers le langage UML. Ce
chapitre est intitulé : Analyse et conception du système. Enfin, dans le troisième chapitre,
portant sur l'implémentation du système, nous allons parler de la présentation des outils de
programmation, du choix de langage de programmation et son importance et enfin faire la
présentation des interfaces d'utilisation.
0.8. DIFFICULTES RENCONTREES
D'emblée, toute œuvre humaine se réalise après un grand effort de travail. Ainsi, la mise
en place de ce projet nous a soumis à de contraintes multiples. Il s'est agi des problèmes d'accès
aux ouvrages sur la mise en place des applications web, de temps suffisant de recherche afin de
bien parfaire ce modeste travail.
6
PREMIER CHAPITRE : CADRE THEORIQUE
I.0. INTRODUCTION
Disposer d'un site web fonctionnel et attrayant contribue nettement à la réussite d’une
entreprise. Pour se distinguer de la concurrence, un site doit être esthétiquement attirant et sa
navigation doit être fluide et efficace. L’ergonomie permet « une mise en évidence efficace et
une lisibilité correcte des informations »11
. Dans ce chapitre, nous présenterons, tout d'abord,
notre entreprise et ses objectifs. Ensuite, nous décrirons brièvement les concepts de base liés à
la réalisation d’une application web et des systèmes d’information.
I.1. PRESENTATION DE L'ENTREPRISE
Afriquespoir est une revue trimestrielle de trente-deux pages qui présente un nouveau
visage de l’Afrique, visage qui parfois reste caché des hommes et des femmes qui luttent pour
construire un monde nouveau. En fait, la presse catholique d’Afrique est fort appréciée par les
populations qui voient en elle une sorte de Voix des sans voix. Afriquespoir s’insère donc dans
ce projet d’être un signe d’espérance et un instrument d’évangélisation.
Le slogan de la revue est l’Eglise du continent ouvert au monde. Ce qui veut dire que
la revue veut informer les Eglises d’Afrique sur la vie de l’Eglise Universelle et du monde en
toutes ses dimensions et en même temps faire connaitre les Eglises d'Afrique au monde entier,
en mettant à la disposition de ce dernier ses trésors d’Humanité12
.
Cette expression illustre le sens et la force même du nom Afriquespoir : Celui-ci dit
d’emblée que cette revue présente au continent africain des raisons de toujours lutter pour une
Afrique plus heureuse et de faire davantage de ce continent une source d’espérance pour le
monde entier. Elle contrarie et corrige par le fait même d’exister et par l’actualité et la
pertinence de ses contenus, l'impression parfois donnée par l’Église de s’enfermer au sein des
sacristies et ne pas être sensible aux problèmes de la société et du monde.
La ligne éditoriale de cette revue annonce l’Evangile de la vie et de l’espérance par la presse,
par la revue. Les yeux toujours grand-ouverts sur l’actualité du monde, Ae donne des
informations et de la formation dans les domaines sociaux, politiques, économiques, religieux,
culturels… en restant attentive au dialogue œcuménique et interreligieux. Elle prend également
position devant les situations et les problèmes liés à la gestion de l’environnement (notre
planète, notre chère Maison Commune), la situation sécuritaire, les conflits terriers, etc.13
11
Jean-François NOGIER, Ergonomie du logiciel et design web. Le manuel des interfaces utilisateur, 4e
édition,
Dunod, Paris, 2008, p.6.
12
Cf. http://www.comboniane.org/links-fr/sites-publications-missionnaires/afriquespoir
13
Cf. Archives de la revue Afriquespoir.
7
I.1.1. Historique
Née en 1998, Ae a publié son premier numéro le 1er
avril 1998 en noir et blanc. Nous
l’avons dit, Afriquespoir est une revue trimestrielle. Elle est éditée par les provinces
francophones Comboniennes (la République Centrafricaine, le Tchad, le Bénin, le Togo et la
République Démocratique du Congo). Cette revue est éditée par les Missionnaires Comboniens
sur l’Avenue Métallurgie 2369, Quartier KINGABWA, Commune de LIMETE, en Ville
Province de Kinshasa.
La revue Afriquespoir a un statut juridique récépissé de la déclaration de publication :
MIN/CM/LMO/051/2015 Dépôt Légal : n.3.01501-57021. Elle a aussi son édition au Bénin
(Cotonou) plus adaptée à l’Afrique Occidentale francophone. De nos jours, la revue est produite
en couleur, imprimée à 7000 exemplaires et est accessible en divers postes de distribution14
.
I.1.2. Situation géographique
La revue Ae est disponible en RDC en Ville de Kinshasa, dans la maison d’édition sise
sur l’avenue Métallurgie 23609, quartier Kingabwa, Commune de Limete, dans des librairies
Paulines, des librairies AE-Médias Paul, en Commune de Lemba, les Procures des missions.
A Isiro, dans la Paroisse Sainte Anne ; à Kisangani dans la Maison Comboni ; à
Lubumbashi, dans la librairie Saint Paul et à Butembo, dans la Maison Mt. Comboni, MGL,
Congo ya Sika. Cette revue est aussi disponible dans les pays francophones où travaillent les
Instituts Comboniens (Missionnaires Comboniens et Sœurs Missionnaires Combonienne) :
Tchad, Togo, Benin, Cameroun et RCA.
14
Cf. Archives de la revue Afriquespoir.
8
I.1.3. Structures fonctionnelles et organisationnelles
I.1.3.1 Organigramme
I.1.3.2. Description des différents services
 Editeur Responsable : Missionnaires Comboniens qui dirigent tout le fonctionnement
de la revue ; fixent les objectifs à atteindre et coordonnent les autres services.
 Directeur de rédaction : Le directeur de la rédaction est le responsable de l'ensemble
des aspects rédactionnels des publications de la revue.
 Comité de rédaction : Il est constitué de ceux qui sont chargés de la rédaction des
divers articles publiés par la revue.
 Correspondants : Ce sont des journalistes qui préparent des articles sur différents
thèmes indiqués par le Directeur de rédaction ou de leur propre initiative.
 Administration : Dans l'administration, travaillent l'administrateur de la maison
d'édition et ses collaborateurs dans la gestion des divers secteurs de vie de l’entreprise.
 Diffusion : Sous la supervision du directeur, les agents pour la diffusion organisent le
travail pour la vente et la distribution de la revue.
 Imprimerie : Médiaspaul-Kinshasa qui imprime la revue Ae et d’autres publications.
 Points de vente : Ce sont des places qui mobilisent les mécanismes de distribution des
revues et s’occupent du recrutement des abonnés, ainsi que du renouvellement des
abonnements.
Correspondants Collaborateur
s
Imprimerie MEDIASPAUL
Œuvres Pontificales Missionnaires
Administration
Diffusion Comité de rédaction
Directeur de rédaction
Postes de vente
Editeur Responsable
Figure 1 Organigramme
Source : Archives de la revue Afriquespoir
9
I.2. CONSIDERATIONS THEORIQUES
Il est bon, avant de lancer des recherches dans n’importe quel domaine, de commencer
par l’apprentissage des mots clés qui véhiculent la connaissance dans ce domaine. Tel est notre
cas. Dans les points qui suivent de ce chapitre, nous allons clarifier les notions de système
d'information, du système informatique, de site web et de la programmation web. Il s’avère
important de parler aussi de l’impact des applications web dans les entreprises.
I.2.1. Système d'information
Toute entreprise procède à des échanges avec son environnement ; ces échanges sont
souvent représentés par des flux de matière ou de matériel, des flux financiers, des flux humains
et des flux d’informations15
. De ce fait, le système d’information paraît comme l’ensemble des
ressources permettant la collecte, le stockage, la structuration, la modélisation, la gestion, la
manipulation, l’analyse, le transport, l’échange et la diffusion des informations au sein d’une
organisation. Parmi ces ressources informatiques figurent en particulier les fichiers de données,
les bases de données, le système de gestion de bases de données et les infrastructures réseaux.
Il possède quatre fonctions principales dont : la collecte, le traitement, la conservation et la
restitution.
Un système d’information permet aux organisations de lire les données collectées et
traitées sous différentes formes. On peut en citer les listings, les états, les tableaux de bord, les
panneaux d’information (dans les gares ou les aéroports à propos des départs, des arrivées, des
retards). Il est l’ensemble englobant de tout ce qui existe dans une entreprise, il s’appuie sur le
système informatique pour son bon fonctionnement16
. On peut alors représenter le système
d’information sous cet aspect :
15
Cf. Michel BIGANG, Conception des systèmes d’information : modélisation des données. Etudes de cas, Ed.
Technip, Paris, 2006, p1.
16
Cf. Chantal MORLEY, Management d’un projet système d’information. Principes, techniques, mise en œuvre
et outils, 6ème
édition, Dunod, Paris, 2008, p.15.
Figure 2 Système d’information
Source : Chantal MORLEY, Op.cit., p.15.
10
I.2.2. Système informatique
Le système informatique est l’ensemble organisé d’objets techniques dont la mise en
œuvre réalise l’infrastructure d’un système d’information17
. Il est l’ensemble des actifs
matériels et logiciels de l’entreprise ayant pour vocation l’automatisation, le traitement de
l’information et la collecte, le stockage, l’acheminement et la présentation des données.
I.2.3. Stockage des données
Nous précisons tout d’abord que la donnée est une représentation d’un élément
d’information. Il peut s’agir d’un chiffre ou d’un fait, codé dans un format permettant son
stockage et son traitement par ordinateur18
. Ainsi, le stockage des données est un moyen de
garder et de préserver des informations en sécurité. Il existe plusieurs sortes d’architectures de
stockage. La plus courante est de disposer des serveurs en local raccordés directement aux
serveurs de production. On peut aussi utiliser la solution Cloud pour cette fin.
La solution la plus utilisée est celle des bases de données. Une base de données est un
ensemble structuré de données apparentées qui modélisent un univers réel, une collection sur
ordinateur d’une entreprise19
. Précisons que les bases de données sont souvent administrées et
gérées via les SGBD. Ce dernier est un ensemble de logiciels informatiques pour la gestion
d'informations. Le SGBD doit aussi assurer la protection des données en cas de problèmes de
gestion. En plus, le SGBD doit permettre de restaurer les données. Ces opérations sont
généralement réalisées en utilisant des journaux qui enregistrent au fur et à mesure les
opérations faites sur la base20
.
Etant donné que nous allons utiliser une base de données relationnelle, nous pouvons
dire que les SGBD relationnels mettent au premier plan les relations entre les données. Celles-
ci sont organisées en tables à deux dimensions. Les données sont stockées en tant
qu’enregistrement dans des tables, par le biais d’un ensemble de couples attribut/valeur dont
une clé primaire essentielle à la singularisation de chaque enregistrement. Des relations sont
ensuite établies entre les tables par un mécanisme de jonction entre la clé primaire de la
première table et la clé dite étrangère de celle à laquelle on désire la relier21
.
17
Cf. Chantal MORLEY, Op.Cit., p.15.
18
Cf. Gilles ROY, Conception de bases de données avec UML, PUQ, Québec, 2009, p.7.
19
Cf. Georges GARDARIN, Bases de données, Eyrolles, Paris, 2003, pp.3-4.
20
Cf. Nicolas LARROUSSE, Création des bases de données, Pearson education, Paris, 2009, p.16.
21
Cf. Hugues BERSINI, La programmation orientée objet, Eyrolles, Paris, 2009, p.13.
11
I.2.4. Site web
Le mot Web est un mot anglais qui signifie toile d’araignée. Pour ce qui est de
l’informatique, on parle de www. Ce qui se traduit en anglais par World Wide Web. En bref, le
web est une sorte de gigantesque toile d’araignée mondiale22
. Il ressemble à une toile d’araignée
dont les nœuds sont constitués par les diverses interconnexions des ordinateurs à travers le
monde. A chaque nœud il existe un ordinateur qui communique avec les autres.
Le web est imaginaire ainsi, il existe des sites web qui donnent une interface permettant
d’accéder aux services du web. Le site web est l’ensemble des fichiers web contenant des
informations sur un sujet ou un domaine donné hébergé sur un serveur. Le monde évolue et
dans la vie quotidienne, au lieu de la télévision, la téléphonie, le poste, etc., on se sert des sites
web pour trouver les réponses à nos questions, partager, communiquer, s’amuser, etc. On peut
en dénombrer des milliers pour répondre à nos besoins ; pourtant nous les catégorisons en deux :
les sites statiques et les sites dynamiques23
.
I.2.4.1. Site statique
On entend par site statique, non pas un site sans mouvements ou sans animations, mais
un site visible telle qu'il a été conçu. Ces sites peuvent présenter toute forme de contenu,
animations flash, images, musique, vidéo etc.… mais ils sont toujours présentés de la même
façon. Ils ne changent pas et c'est en ce sens qu'ils sont statiques. Pour Mathieu NEBRA, ce
sont des sites qui fonctionnent très bien mais leur contenu ne peut pas être mis à jour
automatiquement : il faut que le webmaster modifie le code source pour y ajouter des
nouveautés24
. Les pages statiques sont plus figées, mais plus simples à réaliser.
I.2.4.2. Site dynamique
En opposition aux sites statiques, le contenu des sites dynamiques ne fait pas partie des
pages, mais est issu de sources de données externes. Cette étape consiste donc à mettre en place
des modules techniques tels que le moteur de recherche, l’affichage d’un catalogue de produits,
la personnalisation 25
. Le contenu d’un site dynamique est issu d'une base de données en
fonction de critères établis par l'internaute puis mis en page en temps réel. C'est le cas par
exemple d'un site e-commerce : présentation des articles par thèmes, couleurs, prix, etc... C'est
également le cas des blogs et des forums où les visiteurs peuvent participer au contenu du site.
22
Cf. Mathieu NEBRA, Comprendre le web, Simple IT, Paris, 2009, p.20.
23
Cf. Comboni Raquiël DANADU INIKUTIRO, Op.Cit, , p.15.
24
Cf. Mathieu NEBRA, Concevez votre site web avec PHP et MySQL 5, Simple IT, Paris, 2012, p.10.
25
Nicolas CHU, Réussir un projet de site web, 4e
édition, Eyrolles, Paris, 2006, p.22.
12
I.2.5. Programmation web
La programmation web fait référence au processus d’écriture d’un site ou d’une page
web dans un langage technique. Il s’agit d’une étape obligatoire pour qu’un contenu soit mis en
ligne et atteigne ses lecteurs26
. Cette programmation repose essentiellement sur l’emploi des
langages HTML, CSS, JavaScript, PHP, JSP, etc. pour écrire des programmes, qui sont ensuite
exécutés par les ordinateurs. Les instructions sont mises en place sur Internet et sont effectuées
sur des serveurs. En fonction des besoins des propriétaires du site ou des pages web, ces peuvent
être constituées uniquement de textes et d’éléments graphiques ressemblant à un document ou
être interactives en affichant des informations qui évoluent (panier d’achats, par exemple).
Signalons que pour un site web dynamique, il y a le client et le serveur. Le client est la
personne ou tout équipement qui sollicite le service d’un site web. Une machine accédant à un
site web ou simplement bénéficiant des services offerts par un site web est client de ce site web.
Par ailleurs, les serveurs sont des ressources offertes aux clients27
.
I.2.5.1. Langage de programmation
Un langage de programmation est un code de communication permettant à un être
humain de dialoguer avec une machine en lui soumettant des instructions et en analysant les
données matérielles fournies par le système, généralement un ordinateur. Le langage permet à
la personne qui rédige un programme, de faire abstraction de certains mécanismes internes,
généralement des activations et désactivations de commutateurs électroniques, qui aboutissent
au résultat désiré. Ils permettent de définir les ensembles d'instructions effectuées par
l'ordinateur lors de l'exécution d'un programme. Il existe des milliers de langages de
programmation, la plupart d'entre eux étant réservés à des domaines spécialisés28
.
En web, il existe des langages du côté client et ceux du côté serveur. Les langages du
côté client permettent de gérer l’interface utilisateur de chaque page à savoir : affichage,
interactions de façon rapide. C’est le navigateur qui s’occupe de tout, sans avoir besoin d’aller
demander des informations supplémentaires au serveur. Parmi lesquels on peut citer HTML et
JavaScript.
HTML et sa variante plus stricte XHTML sont des langages de balisage des pages Web.
Il n’y a pas si longtemps, HTML servait à définir aussi bien la structure des pages que leur
présentation visuelle. Aujourd'hui, ces deux aspects doivent être bien distincts et HTML est
26
Cf. Peter STOCKINGER, Evolutions récentes des technologies web du côté client, Ed. Techniques Ingénieur,
Paris, 2010, p.9.
27
Cf. Matthieu NEBRA, Concevez votre site web avec PHP et MySQL. Op. Cit., p.11.
28
Cf. Peter VAN ROY et Seif HARIDI, Programmation. Concepts, techniques et modèles, Dunod, Paris, 2007,
pp.27-28.
13
destiné uniquement à représenter la structure d’une page : titres, sous-titres, paragraphes,
images, formulaires de saisie, liens hypertextes, etc. C’est la base d’une page Web, parfois la
seule considérée et utilisée par le logiciel qui visite cette page, comme les moteurs de recherche
ou les navigateurs textuels. Tandis que le CSS permet de modifier la présentation des éléments
HTML : couleur, taille, police de caractères, mais aussi position sur la page, largeur, hauteur,
empilement, bref tout ce qui touche à la mise en page d’un document HTML29
.
JavaScript quant à lui est un langage qui est lu et exécuté par le navigateur et qui permet
de créer des réactions en réponse à des événements sur la page ou à des actions de l’utilisateur.
JavaScript est capable lui-même d’écrire le code HTML ou CSS, et donc de modifier totalement
la base d’une page Web.
Quant aux langages du côté serveur, on peut citer le PHP, JSP, ASP, etc. Le PHP est un
langage de programmation qui est lu et exécuté sur le serveur où se trouve la page HTML, avant
que celle-ci ne soit envoyée au navigateur qui en demande l’affichage. Par exemple, vous avez
rempli un formulaire et cliqué sur le bouton, le serveur reçoit les données envoyées par le
navigateur, le code PHP traite ces données et écrit le HTML de la nouvelle page Web que le
serveur Web renvoie ensuite au navigateur. Le code XHTML d’une page peut ainsi être
entièrement écrit à l’aide de code PHP, ou bien le code PHP peut être inséré à un endroit précis
d’une page, pour compléter le code X/HTML, CSS, voire JavaScript30
.
Bref, on qualifie de dynamiques, les pages dont toutes ou certaines parties sont écrites
en PHP ou en un autre langage côté serveur, car un langage de programmation modifie ou
complète le code HTML statique de la page.
I.2.5.3. Commerce électronique
Les revues, les livres et les magazines font partie des dix premiers produits vendus en
ligne. C’est ainsi que nous jugeons d’une grande importance de donner un nom à ce phénomène
avant de clôturer la définition de nos concepts. Le e-commerce ou commerce électronique ou
encore vente à distance désigne l’ensemble des activités visant à vendre des biens matériels ou
immatériels en se servant d’un site internet comme support principal31
. En réalité, dès que l’on
effectue une transaction monétaire par le biais d’un site internet, même d’un site d’enchères en
ligne comme eBay, on participe à l’évolution du e-commerce. Le e-commerce peut être réparti
en quatre catégories principales : B2B, B2C, C2B et C2C.
29
Cf. Nicolas CHU, Op. Cit., p.21.
30
Cf. François-Xavier BOIS, PHP5. Le guide complet. Maitrisez PHP 5 de A à Z ! 3e
édition, Micro Application,
Paris, 2008, pp.14-15.
31
Cf. Delphine BOUTON et alii, Créer un site e-commerce avec Dreamweaver CS4 et PHP/MySQL, 4e
édition,
Pearson education, Paris, 2009, p.1.
14
I.2.6. Impact des applications web dans les entreprises
De nos jours, rares sont les entreprises qui n’ont pas de stratégie digitale. En effet, le
public cherche sur le web ce qu’il cherchait jadis dans les pages jaunes. Alors, pour faire la
différence, il faut non seulement avoir une application web, mais aussi que cette dernière soit
bien placée dans les moteurs de recherche. Les habitudes du public ont changé, peu importe le
bien ou le service demandé, c’est sur le Web que se fait la recherche. Pour ne pas laisser la
chance filer, l’entreprise doit avoir une présence digitale. En d’autres termes, il faut être bien
présent et visible sur Internet et cela commence par la création d’une application Web. La
facilité d’utilisation des technologies web a permis son adoption même par des non
informaticiens32
.
Il faut vivre avec son temps, chaque décennie a ses codes et pour ne pas passer à côté
de marchés juteux, il faut les déchiffrer, les maîtriser et les mettre en pratique. Depuis
l’émergence d’Internet, les critères ont sensiblement changé. Il ne s’agit plus seulement d’être
une entreprise physique, il faut aussi être une entreprise digitale, une entreprise connectée, une
entreprise visible et médiatisée. Un public qui trouve rapidement une entreprise sur le net, se
confie davantage. Un public qui arrive à avoir des informations, des avis et une idée claire sur
l’offre que propose une entreprise, est un public séduit. Un public qui retrouve une entreprise à
partir de simples mots clés, sait qu’il a trouvé la perle rare33
.
Le premier point qui a subi l'impact des applications web est la communication. Le web
a forcé la communication à s’ouvrir et à passer d'une communication unidirectionnelle à une
communication bidirectionnelle. Auparavant l'entreprise s'adressait de façon unidirectionnelle
à un public pour lequel il était presque impossible de réagir ou d'interagir avec le message qui
lui était présenté. Désormais, avec l’application web les entreprises peuvent encore initier une
communication vers un public. Par contre, celui-ci peut maintenant répondre à ce message et
interagir avec l'entreprise. De plus, les individus peuvent aussi être les instigateurs d'une
conversation avec l'entreprise et c'est celle-ci qui doit réagir et interagir aux messages de sa
cible.
Le deuxième aspect de l'impact de l’application web ce sont les campagnes marketing.
En effet, avant l'arrivée des applications web, les campagnes étaient globales et générales, alors
qu'aujourd'hui on peut élaborer des campagnes très ciblées. Auparavant, avec la télévision, les
32
Cf. Guillaume PLOUIN, Op. Cit., p.12.
33
Cf. Joël HAGANS, Livre blanc : Les 3 bonnes raisons de proposer des applications Web via la virtualisation
d’applications, dans https://www.citrix.com/.../top-three-reasons-to-deliver-web-apps-with-app-virtualizati...
15
journaux ou la radio, on s'adressait à de grands groupes d'individus. De plus, à cause des budgets
restreints et de la préparation que l'élaboration de campagnes sur ces médias demandait, on
cherchait à maximiser l'investissement ; alors les entreprises étaient contraintes à présenter des
messages généraux. À l'inverse, l’application web permet de cibler, avec un message adapté,
plusieurs sous-ensembles des groupes de population qui étaient autrefois atteints avec un même
message général. Ainsi, plutôt que de payer un gros montant pour une campagne globale,
l’application web permet de payer quelques montants plus petits pour mener plusieurs
campagnes personnalisées pour les cibles qu'elles visent34
.
En fin, tel que nous venons de le voir, la communication est passée du mode
unidirectionnel au mode bidirectionnel et le pouvoir des consommateurs s'est vu augmenté de
façon à ce qu'ils puissent émettre leurs opinions et interagir avec la marque. Cela a créé pour
les entreprises l’obligation de devenir transparentes. Le web a introduit même ce que l’on
appelle la communauté virtuelle.
En fait, « une communauté virtuelle est un site web qui propose aux internautes un
espace de communication pour échanger, publier, débattre, convaincre autour d’une passion
voire d’une activité commune. Proche d’un portail thématique, la communauté virtuelle s’en
démarque cependant en formant un véritable groupe unique et identifié : ses membres »35
.
I.2.7. CONCLUSION PARTIELLE
Le but de ce chapitre a été de présenter notre milieu d’étude et d’éclaircir certains
concepts relatifs au système d’information, au système informatique, au site statique, au site
dynamique, à la notion de la programmation web et au commerce électronique. Après cette
littérature, nous avons essayé de monter l’impact des applications web dans des entreprises.
Ceci nous permet maintenant de passer au deuxième chapitre de notre travail qui porte
sur l’analyse et la conception du système futur.
34
Cf. Joël HAGANS, Livre blanc : Les 3 bonnes raisons de proposer des applications Web via la virtualisation
d’applications, dans https://www.citrix.com/.../top-three-reasons-to-deliver-web-apps-with-app-virtualizati...
35
Nicolas CHU, Op. Cit., p.3.
16
DEUXIÈME CHAPITRE : ANALYSE ET CONCEPTION DU SYSTÈME
II. 0. INTRODUCTION
L’analyse et la conception d’un projet informatique nécessitent l’utilisation d’un
langage de modélisation approprié de développement. Les outils du langage aident à la
conception, permettent la description du système logiciel et une meilleure compréhension de
celui-ci par les acteurs. Nous avons utilisé le langage de modélisation UML dans ce chapitre
afin de modéliser notre système. C’est une notation qui permet de modéliser un problème de
façon standard. Ce langage est né de la fusion de plusieurs méthodes existantes auparavant et il
est devenu une référence en termes de modélisation objet, à tel point que sa connaissance est
devenue indispensable pour un développeur36
.
Dans ce chapitre, nous faisons l'élaboration du cahier des charges, l'identification des
acteurs et leurs rôles, identification des cas d'utilisation, l'élaboration du diagramme des cas
d’utilisation, les descriptions textuelles des cas d'utilisation, le diagramme des séquences, le
diagramme d'activités, le diagramme de classes et le diagramme de déploiement.
36
Cf. Xavier BLANC et Isabelle MOUNIER, Op.Cit, p.5.
17
II.1. ÉTUDE PRÉLIMINAIRE
II.1.1. Élaboration du cahier des charges
II.1.2. Identification des acteurs et leurs rôles
La première étape de modélisation consiste à définir le périmètre du système et le
contour de l’organisation et à le modéliser. Toute entité qui est en dehors de cette organisation
et qui interagit avec elle est appelé acteur selon UML. Un acteur est un utilisateur type ayant
toujours le même comportement vis-à-vis d’un cas d’utilisation37
. Ainsi les utilisateurs d’un
système appartiennent à une ou plusieurs classes d’acteurs selon les rôles qu’ils tiennent par
37
Cf. Joseph GABAY et David GABAY, UML2. Analyse et conception. Mise en œuvre guidée avec études de cas,
Dunod, Paris, 2008, p.62.
Les Missionnaires Comboniens du Cœur de Jésus (MCCJ) trouvent une difficulté dans leurs
systèmes de vente des revues et à l’égard de l’abonnement. Ainsi, ils souhaitent se doter d'une une
application web performant afin de répondre aux besoins ci-après :
1. BESOINS FONCTIONNELS
 Gestion d’abonnement aux articles de la revue en ligne ;
 Connaissance automatique des articles publiés ;
 Présentation de la revue Afriquespoir sur le carrefour de la rencontre des différents
peuples du monde ;
 L’énumération d’articles des revues vendus pendant une période ;
 L’identification de tous les clients.
2. BESOINS OPERATIONNELS
 L’abonnement aux articles de la revue en temps réel ;
 L’authentification obligatoire avant l’accès aux articles.
3. CHOIX TECHNIQUES
 Langage de programmation : PHP et JAVASCRIPT
 SGBD : MYSQL
 Langage de modélisation : UML
 Architecture du système : client/serveur (3-Tiers)
Tableau 1: Cahier des charges du projet
18
rapport au système. Une même personne physique peut se comporter en autant d’acteurs
différents que le nombre de rôles qu’elle joue vis-à-vis du système. Les acteurs qui
interviennent dans notre système sont repris dans la figure ci-dessous avec leurs rôles :
Figure 3: Acteurs du système
19
II.1.3. Identification des cas d'utilisation
En analysant les besoins exprimés dans notre cahier de charges, nous avons déduit les
cas d'utilisation suivants :
II.2. CONCEPTION DYNAMIQUE DU SYSTEME
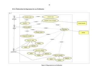
II.2.1 Diagramme des cas d'utilisation
Le diagramme des cas d’utilisation représente la structure des fonctionnalités
nécessaires aux utilisateurs du système. Il est utilisé dans les deux étapes de capture des besoins
fonctionnels et techniques. Il donne une vision globale du comportement fonctionnel d’un
système logiciel.
Cas d’utilisation Description
Consulter le site Donne la possibilité à n’importe quel internaute d’accéder au site
Créer un compte Vise l’enregistrement d'un nouvel abonné au site de la revue. Le compte
n'est créé qu'au cas où les informations données par un internaute intéressé
sont valides.
Lire un article On est abonné lorsqu’on est inscrit dans le site. L’abonné a la possibilité de
lire les articles ; il est conditionné de s’abonner au site (avoir un compte
premium) avant de lire l’article dans sa totalité.
S’abonner au site L’abonné peut à tout moment lire les articles à condition d’avoir un compte
premium c’est-à-dire s’abonner.
Partager l’article Permet à tous les abonnés de partager le lien d'un article dans les réseaux
sociaux.
Commenter un article Octroie à l’abonné la possibilité de donner son avis sur un article.
S’authentifier Condition préalable pour accéder à certaines ressources protégées du site
de la revue. Ce cas concerne donc l’administrateur et les abonnés au site.
Gérer les articles L’administrateur a le droit d’ajouter, modifier et de supprimer des articles.
Gérer les abonnés L’administrateur a le droit de faire la mise à jour sur les abonnés
Gérer les catégories Le système octroie l’administrateur le droit d’ajouter, modifier et supprimer
une catégorie d’article.
Contacter-nous L’internaute et l’abonné peuvent entrer en contact avec Afriquespoir grâce
à ce cas d’utilisation
Tableau 2: Cas d'utilisation du système
20
II.2.2. Élaboration du diagramme des cas d'utilisation
Figure 4: Diagramme des cas d'utilisation
21
II.2.3. Description textuelle des cas d'utilisation
Pour documenter les cas d’utilisation, la description textuelle est indispensable. Elle
permet de communiquer facilement avec les utilisateurs et de s’entendre sur la terminologie
métier employée.
II.2.3.1. Description textuelle du cas Consulter le site
IDENTIFICATION
Nom : Consulter le site.
Résumé : Ce cas permet à l’internaute (celui qui n’a pas un compte) de consulter uniquement
la page d’accueil du site.
Acteur : Internaute, l’abonné et l’administrateur.
Date de création : 13/08/2019
Date de la mise à jour : 15/09/2019
Responsable : KUMBI MIANGEMBA RODDY
Version : 1.0
SÉQUENCEMENT
 Précondition
Être internaute ou abonné.
 Enchaînement
1. L’internaute saisit l'adresse Url du site.
2. Le système affiche la page d’accueil.
 Post condition
Site consulté.
Tableau 3: Description textuelle du cas Consulter le site
22
II.2.3.2. Description textuelle du cas contacter-nous
IDENTIFICATION
Nom : Contacter-nous.
Résumé : Le Contacter-nous permet aux abonnés et internautes de contacter ou déposer une
réclamation, à l’administration.
Acteur : Internaute et l’abonné
Date de création : 13/08/2019
Date de la mise à jour : 15/09/2019
Responsable : KUMBI MIANGEMBA RODDY
Version : 1.0
SÉQUENCEMENT
 Précondition
Être connecté à l’application web.
 Enchaînement
A. Séquence nominale
1. L’internaute ou l’abonné choisit le menu contacter-nous.
2. Le système affiche le formulaire de message.
3. L’internaute ou l’abonné remplit le formulaire et valide.
4. Le système vérifie et envoie le message.
B. Séquence alternative
SA4 : Si l’internaute ou l’abonné n’a pas rempli tous les champs un message
d’erreur s’affiche.
 Post condition
- Le message peut être envoyé ou pas envoyé.
Tableau 4: Description textuelle du cas contacter-nous
23
II.2.3.3. Description textuelle du cas S’inscrire
IDENTIFICATION
Nom : Créer un compte
Résumé : Ce cas vise l’enregistrement d'un nouvel abonné au site de la revue. Le compte
n'est créé qu'au cas où les informations données par un visiteur intéressé sont valides.
Acteur : internaute
Date de création : 13/08/2019
Date de la mise à jour : 15/09/2019
Responsable : KUMBI MIANGEMBA RODDY
Version : 1.0
SÉQUENCEMENT
 Précondition
Être connecté à l’application web.
-
 Enchaînement

A. Séquence nominale
1. L’internaute choisit de s’inscrire.
2. Le système affiche le formulaire correspondant.
3. L’internaute remplit le formulaire.
4. Le système vérifie les données saisies.
5. Le système envoie un message avec le lien de confirmation de compte via l’adresse
e-mail saisie par l’internaute.
6. L’internaute confirme son compte via son adresse e-mail.
7. Le système affiche l’espace du nouvel abonné.
B. Séquence d’erreur
 SA6 : Si un champ lui manque ou présente une erreur de saisie, le système affiche
un message d’erreur : « Veuillez corriger les erreurs SVP ! »
 SA8 : Si le message de confirmation dépasse l’attente d’une journée, pendant la
confirmation, le système affiche un message d’erreur : « Le lien de confirmation est
expirée »
 Post condition
Enregistrement du nouveau compte
Tableau 5: Description textuelle du cas s’inscrire.
24
II.2.3.4. Description textuelle du cas se connecter
IDENTIFICATION
Nom : Se connecter
Résumé : c’est la condition préalable pour accéder à certaines ressources protégées du site
de la revue. Ce cas concerne donc l’administrateur et les abonnés au site de la revue.
L'abonné entre son identifiant et son mot de passe. Le système procède à la validation des
données insérées et dans le cas de non validité des données entrées, le système renvoie un
message. Dans le cas contraire, l'accès aux ressources privées propres à l'utilisateur en
question est accordé.
Acteur : Abonné et administrateur
Date de création : 13/08/2019
Date de création : 13/08/2019
Date de la mise à jour : 15/09/2019
Responsable : KUMBI MIANGEMBA RODDY
Version : 1.0
SÉQUENCEMENT
 Précondition
Être connecté à l’application web.
 Enchaînement
A. Séquence nominale
1. L’abonné demande de se connecter.
2. Le système affiche le formulaire d’authentification.
3. L’abonné saisit le login et le mot de passe.
4. Le système valide, ouvre la session et affiche la page d’accueil.
B. Séquence alternative
 S.A.3 : Le système demande d’essayer à nouveau : « login ou le mot de passe
incorrecte »
 Post condition
L’abonné est soit authentifié ou non.
Tableau 6 : Description textuelle du cas se connecter
25
II.2.3.5. Description textuelle du s’abonner au site via PayPal
IDENTIFICATION
Nom : S’abonner au site via PayPal.
Résumé : L’abonné doit avoir un compte premium pour avoir accès à tous les articles
publiés dans le site, en cela il doit s’abonner au site via son compte PayPal.
Acteur : Abonné
Date de création : 13/08/2019
Date de la mise à jour : 15/09/2019
Responsable : KUMBI MIANGEMBA RODDY
Version : 1.0
SÉQUENCEMENT
 Précondition
- Être connecté à l’application web.
- L’abonné doit s’authentifier.
 Enchaînement
A. Séquence nominale
1. L’abonné choisit de s’abonner.
2. Le système affiche le formulaire d’abonnement avec différent prix.
3. L’abonné choisit son abonnement préféré (1mois, 3mois et 12mois).
4. Le système affiche la page PayPal.
5. L’abonné confirme l’abonnement.
6. Le système vérifie et affiche la page d’accueil.
B. Séquence d’erreur
 S.A.6 : Erreur d’abonnement.
 Post condition
- L’abonnement effectué.
- L’échec d’abonnement.
Tableau 7 : Description textuelle du cas s’abonner au site via PayPal
26
II.2.3.6. Description textuelle du cas lire un article
IDENTIFICATION
Nom : Lire un article.
Résumé : Après l’abonnement au site via le compte PayPal, l’abonné peut lire l’article (les
articles qu’il préfère).
Acteur : abonné
Date de création : 13/08/2019
Date de la mise à jour : 15/09/2019
Responsable : KUMBI MIANGEMBA RODDY
Version : 1.0
SÉQUENCEMENT
 Précondition
- Être connecté à son compte.
- Avoir un compte premium (c’est-à-dire s’abonner au site).
- Choisir de lire l’article.
 Enchaînement
A. Séquence nominale
1. L’abonné demande de lire l’article.
2. Le système affiche la page de lecture.
B. Séquence alternative
SA1 : Si l’abonner n’a pas un compte premium (c’est-à-dire avoir l’abonnement),
le système affiche la page d’abonnement, afin que l’abonner puisse avoir un
compte premium, avant de lire l’article.
 Post condition
L’abonné lit l’article.
Tableau 8: Description textuelle du cas lire un article
27
II.2.3.7. Description textuelle du cas partager un article
IDENTIFICATION
Nom : Partager un article
Résumé : L’abonné peut partager le lien d'un article dans les réseaux sociaux.
Acteur : Abonné
Date de création : 13/08/2019
Date de la mise à jour : 15/09/2019
Responsable : KUMBI MIANGEMBA RODDY
Version : 1.0
SÉQUENCEMENT
 Précondition
- Être connecté à l’application web.
- Être connecté à son compte.
- Choisir de lire l’article.
 Enchaînement
A. Séquence nominale
1. L’abonné clique sur l’icône d’un réseau social (Facebook, WhatsApp, Twitter,
Pinterest, Google…) pour partager l’article.
2. Le système confirme le partage.
 Post condition
L’article partage
Tableau 9: Description textuelle du cas partager un article
28
II.2.3.8. Description textuelle du cas commenter un article
IDENTIFICATION
Nom : Commenter un article
Résumé : Ce cas octroie à l’abonné la possibilité de donner son avis sur un article.
Acteur : Abonné
Date de création : 13/02/2019
Date de la mise à jour : 15/09/2019
Responsable : KUMBI MIANGEMBA RODDY
Version : 1.0
SÉQUENCEMENT
 Précondition
- L’abonné doit avoir un compte premium (c’est-à-dire s’abonner au site).
- Et Choisir de lire l’article.
 Enchaînement
A. Séquence nominale
1. L’abonné choisit de commenter sur un article.
2. Le système affiche un champ de commentaire de l’article.
3. L’abonné saisit son commentaire et valide.
4. Le système valide la publication du commentaire.
B. Séquence alternative
SA3 : Si l’abonné n’a pas rempli un champ, un message d’erreur s’affiche.
 Post condition
- Le commentaire publié.
Tableau 10: Description textuelle du cas commenter un article
29
II.2.3.9. Description textuelle du cas Gérer les articles
IDENTIFICATION
Nom : Gérer les articles.
Résumé : Seul l’administrateur a le droit d’ajouter, modifier et de supprimer des articles.
Acteur : l’Administrateur
Date de création : 13/08/2019
Date de la mise à jour : 15/09/2019
Responsable : KUMBI MIANGEMBA RODDY
Version : 1.0
SÉQUENCEMENT
 Précondition
- Être connecté à l’application web.
- L’administrateur doit s’authentifier.
 Enchaînement
A. Séquence nominale
1. L’administrateur saisit l’url d’accès dans la partie d’administration.
2. Le système affiche la partie d’administration.
3. L’administrateur saisit l’article et choisit la photo puis valide la publication (il
peut ajouter, modifier et supprimer un article).
4. Le système valide l’action et notifie l’accusé de la publication.
B. Séquence alternative
SA1 : Si le système ne reconnait pas l’administrateur le système affiche un
message d’erreur.
 Post condition
L’article publié
Tableau 11: Description textuelle du cas publier un article.
30
II.2.3.10. Description textuelle du cas gérer les abonnés
IDENTIFICATION
Nom : Gérer les abonnés.
Résumé : Il accorde à l’administrateur d’avoir un contrôle total sur les abonnés.
Acteur : Administrateur.
Date de création : 13/08/2019
Date de la mise à jour : 15/09/2019
Responsable : KUMBI MIANGEMBA RODDY
Version : 1.0
SÉQUENCEMENT
 Précondition

- Être connecté à l’application web.
- S’authentifier au préalable.
-
 Enchaînement

A. Séquence nominale
1. L’administrateur demande d’ajouter, modifier ou supprimer un abonné.
2. Le système affiche le formulaire ou la liste des abonnés.
3. L’administrateur remplie le formulaire et valide.
4. Le système vérifie et confirme.
B. Séquence alternative
SA4 : Si l’administrateur n’a pas rempli tous les champs un message d’erreur
s’affiche.
 Post condition
Mise à jour effectuée ou non effectuée.
Tableau 12: Description textuelle du cas gérer les abonnés.
31
II.2.3.11. Description textuelle du cas gérer les catégories
II.2.4. DIAGRAMME DES SÉQUENCES
Le diagramme des séquences permet de décrire les scénarios de chaque cas
d’utilisation en mettant l’accent sur la chronologie des opérations en interaction avec les
objets38
. Il va nous permettre de décrire les scénarios des cas d’utilisation du diagramme des
cas d’utilisation.
38
Cf. Joseph GABAY et David GABAY, Op.Cit, p.165.
IDENTIFICATION
Nom : Gérer les catégories.
Résumé : Il permet à l’administrateur d’ajouter, de modifier ou supprimer une catégorie des
articles publiés.
Acteur : Administrateur.
Date de création : 13/08/2019
Date de la mise à jour : 15/09/2019
Responsable : KUMBI MIANGEMBA RODDY
Version : 1.0
SÉQUENCEMENT
 Précondition

- Être connecté à l’application web.
- S’authentifier au préalable.
-
 Enchaînement

A. Séquence nominale
1. L’administrateur choisit de mettre à jour une catégorie.
2. Le système affiche le formulaire ou la liste des catégories.
3. L’administrateur remplie le formulaire et valide.
4. Le système vérifie et confirme.
B. Séquence alternative
SA4 : Si l’administrateur n’a pas rempli tous les champs un message d’erreur
s’affiche.
 Post condition.
Mise à jour effectuée ou non effectuée.
Tableau 13: Description textuelle du cas gérer les catégories.
32
II.2.4.1. Diagramme de séquences du cas Consulter le site
II.2.4.2. Diagramme de séquences du cas contacter-nous
Figure N° 6 : Diagramme de séquences du cas contacter-nous
Figure 5: Diagramme de séquences du cas Consulter le site
33
Figure 6: Diagramme de séquences du cas s’inscrire
II.2.4.3. Diagramme de séquences du cas s’inscrire
34
II.2.4.4. Diagramme de séquence du cas se connecter
Figure 7: Diagramme de séquence du cas se connecter
35
II.2.4.5. Diagramme de séquence du cas s’abonner au site via PayPal
Figure 8: Diagramme de séquence du cas s’abonner au site via PayPal
36
II.2.4.6. Diagramme de séquences du cas lire un article
Figure 9: Diagramme de séquences Lire un article
37
II.2.4.7. Diagramme de séquences du cas partager un article
II.2.4.8. Diagramme de séquences du cas commenter un article
Figure 10: Diagramme de séquences Partager un article
Figure 11: Diagramme de séquences du cas commenter un article
38
II.2.4.9. Diagramme de séquence du cas gérer les articles
Figure 12: Diagramme de séquence du cas gérer les articles
39
II.2.4.10. Diagramme de séquence du cas gérer les abonnés
Figure 13: Diagramme de séquence du cas gérer les abonnés
40
II.2.4.11. Diagramme de séquence du cas gérer les catégories
II.2. 5. Diagramme d'activités
Le diagramme d'activités est attaché à une catégorie de classe et décrit le déroulement
des activités de cette catégorie. Le déroulement s’appelle flot de contrôle. Il indique la part prise
par chaque objet dans l'exécution d'un travail. En outre, il permet de représenter le
déclenchement d'événements en fonction des états du système et de modéliser des
comportements parallélisables. C’est une variante des diagrammes d’états-transitions, organisé
par rapport aux actions et principalement destiné à représenter le comportement interne d’un
cas d’utilisation39
.
39
Pierre Alain Muller, Modélisation objet avec UML, Paris, Eyrolles, p.182.
Figure 14: Diagramme de séquence du cas gérer les catégories
41
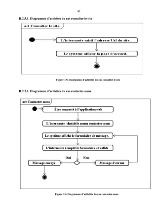
II.2.5.1. Diagramme d’activités du cas consulter le site
II.2.5.2. Diagramme d’activités du cas contacter-nous
Figure 15: Diagramme d’activités du cas consulter le site
Figure 16: Diagramme d’activités du cas contacter-nous
42
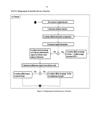
II.2.5.3. Diagramme d’activités du cas s’inscrire
Figure 17: Diagramme d’activités du cas s’inscrire
43
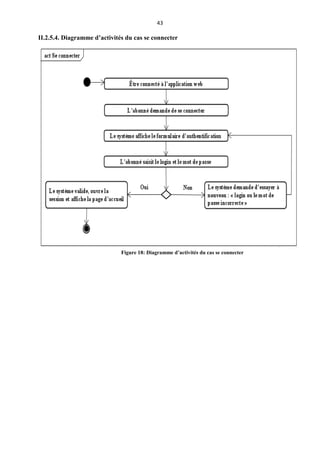
II.2.5.4. Diagramme d’activités du cas se connecter
Figure 18: Diagramme d’activités du cas se connecter
44
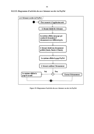
II.2.5.5. Diagramme d’activités du cas s’abonner au site via PayPal
Figure 19: Diagramme d’activités du cas s’abonner au site via PayPal
45
II.2.5.6. Diagramme d’activités du cas lire un article
II.2.5.7. Diagramme d'activités du cas partager un article
Figure 21: Diagramme d'activités du cas partager un article
Figure 20: Diagramme d’activités du cas lire un article
46
II.2.5.8. Diagramme d’activités du cas commenter un article
II.2.5.9. Diagramme d’activités du cas gérer les articles
Figure 22: Diagramme d’activités du cas commenter un article
Figure 23: Diagramme d’activités du cas gérer les articles
47
II.2.5.10. Diagramme d’activités du cas gérer les abonnés
Figure 24: Diagramme d’activités du cas gérer les abonnés
48
II.2.5.11. Diagramme d’activités du cas gérer les catégories
II.3. LA CONCEPTION DU SYSTÈME STATIQUE
II.3.1. Diagramme des classes
Un diagramme de classes montre une abstraction de la réalité.40
Il est généralement
considéré comme le plus important dans un développement orienté objet. Ce diagramme est
prévu pour développer la structure des entités manipulées par les utilisateurs du point de vue
fonctionnel. Il exprime de manière générale la structure statique d’un système, en termes de
classes et de relations entre ces classes. Une classe permet de décrire un ensemble d’objets
(attributs et comportement).
40
Cf. Pierre Alain Muller, Modélisation objet avec UML, Paris, Eyrolles, p.48.
Figure 25: Diagramme d’activités du cas gérer les catégories
49
II.3.1.1 Élaboration du diagramme de classes
Figure 26: Élaboration du diagramme de classes
50
II.3.1.2. Schéma relationnel
Le schéma relationnel est l'ensemble des relations qui modélisent le monde réel, c’est
une manière de modéliser les relations existantes entre plusieurs informations, et de les
ordonner entre elles.
Users (user_id, firstname, lastname, Ville, Commune, Quartier, Avenue, Numero,
Telephone, username, mail, password, created, lastlogin, active, role, end_subscribtion)
Transactions (id, price, tax, txnid, action, amount, created, name, country, city, address,
#user_id)
Categories (category_id, name, slug, post_count)
Posts (post_id, name, slug, content, type, created, online, #category_id, #user_id)
Medias (id, type, name, url, #post_id)
Comments (id, username, mail, content, created, #post_id, `#user_id)
II.3.2. Diagramme de déploiement
Le diagramme de déploiement permet de représenter l’architecture physique
supportant l’exploitation du système. Cette architecture comprend des nœuds correspondant
aux supports physiques (serveurs, routeurs…) ainsi que la répartition des artefacts logiciels
(bibliothèques, exécutables…) sur ces nœuds.
Figure 27: Diagramme de déploiement
51
II.4. CONCLUSION PARTIELLE
Nous venons de terminer le deuxième chapitre de notre travail qui consistait à faire
l’analyse et la conception du système. Signalons que cette analyse a été réalisée à travers le
langage UML qui est un langage de modélisation graphique à base de pictogrammes conçu pour
fournir une méthode normalisée pour visualiser la conception d'un système. Dans le troisième
chapitre, nous allons aborder la dernière partie qui représente la réalisation de notre site web,
en nous basant sur les mécanismes et les solutions déterminés dans la phase de conception.
52
TROISIEME CHAPITRE : L'IMPLÉMENTATION DU SYSTÈME
III.0. INTRODUCTION
L’implémentation regroupe toutes les activités de conception détaillée, le codage et
tests unitaires41
. Dans ce chapitre, nous présenterons, tout d'abord, les outils de programmation
et quelques interfaces de l’application.
III.1. PRÉSENTATION DES OUTILS DE PROGRAMMATION
III.1.1. Choix du langage de programmation et son importance
La programmation que nous avons entreprise matérialise les théories que nous avions
évoquées dans le premier chapitre sur la programmation du coté serveur. En faites, nous avons
besoin des langages standards pour la programmation des sites (HTML, CSS, JAVASCRIPT
qui créent uniquement des sites statiques) qui s’occupent de la présentation des sites. Les
mécanismes qui font fonctionner intérieurement notre site nécessitent un langage du coté
serveur pour générer automatiquement les pages. Nous avons utilisé PHP.
Le langage PHP est un langage open source développé depuis 1994. Au départ, le
programmeur groenlandais et canadien Rasmus LERDORF a inventé la première version du
langage pour son site web. Au fil du temps PHP s’est développé et a pris une autre dimension42
.
De nos jours, il existe de nombreux langages de programmation à choisir pour le développement
Web, tels que : ASP, JSP, Perl, Ruby, CGI et PHP qui est le langage de programmation le plus
utilisé par rapport aux autres langages en raison de sa simplicité offerte aux développeurs, qui
peuvent apprendre ce langage de script facilement. Les éléments que nous ne connaissons pas
sont expliqués grâce à une excellente documentation en ligne et de nombreux ouvrages de
grande qualité.
Le PHP gère très bien, depuis les origines, les requêtes SQL. Nous pouvons donc
facilement écrire des programmes qui affichent des données extraites de bases SQL, ou qui
stockent des données postées par un formulaire dans une table SQL. Il sait communiquer avec
presque tous les SGBD de la création (Oracle, MySQL, DB2, Informix, Ingres, PostgreSQL,
SQL Server, Access etc…). En effet un très grand nombre de sites internet a recours à ce
langage depuis. Pour les plus populaires, on peut citer Facebook, Wikipédia ou encore Yahoo.
Pour coder en PHP différente alternative s’offrent à nous, on peut travailler en local,
c’est-à-dire en hébergeant nous-mêmes tous les fichiers sur notre propre machine ou encore
hors ligne, soit en production c’est-à-dire sur des fichiers qui sont hébergés sur un serveur
41
Pierre-Alain Muller, Modélisation obje avec UML,
42
Cf. Rasmus LERDORF, PHP. Précis et concis, 2ème édition, O ’Reilly Media, 2003, p.1.
53
distant. Lors de la phase de développement d’un site ou dans des phases de test ou de débogage
et sauf cas exceptionnels, un bon développeur préférera travailler en local afin de ne pas
impacter le fonctionnement normal d’un site web.
Il nous faut donc recréer une architecture serveur sur notre propre machine avec les
logiciels adaptés afin de pouvoir tester nos codes PHP. Un serveur dispose de différents
programmes lui permettant de lire et de comprendre certains langages informatiques que notre
ordinateur ne peut pas lire.43
Il existe des logiciels regroupant tous les programmes nécessaires
pour travailler en local, sous Windows nous avons utilisé WampServer qui est un
environnement comprenant trois serveurs (Apache, MySQL et MariaDB), un interpréteur de
script (PHP), ainsi que phpMyAdmin pour l'administration Web des bases MySQL.
III.2. QUELQUES INTERFACES DE L’APPLICATION
III.2.1. Page d’accueil
43
Jérôme LAFOSSE, Java EE : guide de développement d'applications web en Java, ENI, Paris, 2009, p. 52.
Figure 28: Page d’accueil du système
54
III.2.2. Page d’inscription
III.2.3. Page de connexion
Figure 29: Page d’inscription
Figure 30: Page de connexion
55
III.2.4. Page de lecture d’un article
III.2.5. Page d’abonnement via PayPal
Figure 31: Page de lecture d’un article
Figure 32: Page d’abonnement via PayPal
56
III.2.6. Page d’administration
III.3. CONCLUSION PARTIELLE
Il était question dans ce chapitre de présenter l’implémentation du système qui est
la réalisation, l'exécution ou la mise en pratique d'un plan, d'une méthode ou bien d'un concept,
d'une idée, d'un modèle, d'une spécification, d'une norme ou d'une règle dans un but précis.
L'implémentation est donc l'action qui doit suivre une réflexion pour la concrétiser.
Figure 33: Page d’administration
57
CONCLUSION GENERALE
Dans le monde des humains, plusieurs chercheurs sont en quête de moyens pour
révolutionner le traitement des données dans leurs système d’informations. Nous nous joignons
à eux pour affirmer que les applications web révolutionnent le présent et le futur du travail, car
les banques, les douanes, les hôpitaux, … ne cessent de les intégrer dans leur S.I. Quant à nous
l’idée maîtresse de notre travail s’articule sur le « Développement d’une application web de
gestion d’abonnement payant aux articles publiés dans la revue Afriquespoir ». C’est ce que
sous forme de question nous pouvons résumer en :
Comment Ae pourrait-elle interagir facilement avec ses abonnés ?
Dans quelle mesure une application web de gestion de lecture d’articles peut-elle
permettre aux abonnés de conclure l’abonnement aux articles au-delà les contraintes de temps
et d’espace ?
Admettons que diviser pour mieux régner peut s’appliquer à notre recherche. Nous
avons ramifié notre travail en trois chapitres que nous allons détailler plus tard. Ce qui nous
attire à l’instant c’est de vous mettre au courant des stimulus qui nous ont poussé à rédiger ce
travail. D’abord le désir d’offrir à la maison Ae l’outil idéal pour révolutionner sa manière
d’interagir avec ses abonnés. Ensuite notre objectif c’est de perfectionner nos connaissances
du premier cycle en matière de gestion des entreprises et particulièrement au moyen des
applications web. Enfin valoriser la formation qu’offre l’université de l’Assomption au Congo.
Nos hypothèses nous ont poussé à nous servir de langage UML vu sa large capacité
de conception des systèmes informatiques dans le but de construire des classes. Ces classes sont
des matières premières pour la programmation orientée objet. Soulignons que la technique
documentaire et d’interview ont préparé le terrain de cultivation au langage UML.
A présent, voici les chapitres de notre travail :
Le premier chapitre est le cadre théorique ou nous avons décrit notre milieu d’étude
et quelques notions des concepts de la programmation web. Le deuxième chapitre est la
conception du système. Ici nous avons conçu le plan de notre système informatique. Le
troisième chapitre consiste dans l’implémentation du système conçu dans le chapitre deuxième ;
nous avons débuté l’étude préliminaire par l’élaboration du cahier des charges. Il était question
d’établir les besoins fonctionnels de l’entreprise, nos besoins opérationnels et nos choix
techniques (Cfr. Tableau 1 : cahier des charges du projet). Et aussi l’établissement des cas
d’utilisation du système (tableau N°2).
Vous trouverez sur la figure 4 l’amorçage de la conception dynamique de notre
système informatique, que suivent les descriptions contextuelles, les diagrammes des séquences
58
(figure 8-14) et les diagrammes d’activités. Le point saillant de ce grand labeur était
l’élaboration du diagramme de classes : c’est l’ossature de notre système. Désormais, cette
analyse nous projette tout droit à l’implémentation du système. Dans ce troisième chapitre,
nous avons regroupé toutes les activités de conception détaillée, le codage et le test unitaire.
Nous justifions de même les outils de programmation que nous avons utilisés et quelques
captures d’écran qui confirment nos hypothèses.
En un mot, les démarches entreprises depuis l’introduction de ce travail ne sont pas
vaines. Nos hypothèses ne trahissent pas notre visée première. Les tests unitaires confirment
que le développement d’une application web de gestion d’abonnement va permettre aux MCCJ
de présenter Ae au carrefour des peuples du monde.
59
BIBLIOGRAPHIE
I. OUVRAGES
1. BERSINI Hugues, La programmation orientée objet, Eyrolles, Paris, 2009.
2. BIGANG Michel, Conception des systèmes d’information : modélisation des données.
Etudes de cas, Technip, Paris, 2006.
3. BLANC Xavier et MOUNIER Isabelle, UML 2 pour les développeurs, Eyrolles,
Paris,2006.
4. BOIS François-Xavier, PHP5. Le guide complet. Maitrisez PHP 5 de A à Z ! 3e
édition,
Micro Application, Paris, 2008.
5. BONAN Matthieu, Débuter en informatique avec Windows 7, Simple IT, Paris, 2011.
6. BOURDIN Dominique, 100 fiches de culture générale. Histoire de la pensée, Bréal,
2006.
7. BOUTON Delphine et alii, Créer un site e-commerce avec Dreamweaver CS4 et
PHP/MySQL, 4e
édition, Pearson education, Paris, 2009.
8. CHU Nicolas, Réussir un projet de site web, 4e
édition, Eyrolles, Paris, 2006.
9. GABAY Joseph et GABAY Joseph, UML 2. Analyse et conception. Mise en œuvre
guidée avec études de cas, Dunod, Paris, 2008.
10. GARDARIN Georges, Bases de données, Eyrolles, Paris, 2003.
11. LAFOSSE Jérôme, Java EE. Guide de développement d'applications web en Java, ENI,
Paris, 2009.
12. LARROUSSE Nicolas, Création des bases de données, Pearson éducation, Paris, 2009.
13. LERDORF Rasmus, PHP. Précis et concis, 2e
édition, États-Unis, Ed. O ’Reilly Media,
2003.
14. MORLEY Chantal, Management d’un projet système d’information. Principes,
techniques, mise en œuvre et outils, 6ème
édition, Dunod, Paris, 2008.
15. MULLER Jean-Louis, Management d'un projet. 100 questions pour comprendre et
agir, AFNOR, Paris, 2005.
16. MULLER Pierre-Alain, Modélisation objet avec UML, Paris, Eyrolles
17. NEBRA Mathieu, Comprendre le web, Simple IT, Paris, 2009.
18. NEBRA Mathieu, Concevez votre site web avec PHP et MySQL, Simple IT, Paris, 2013.
19. NOGIER Jean-François, Ergonomie du logiciel et design web. Le manuel des interfaces
utilisateur, 4e
édition, Dunod, Paris, 2008.
20. OECD, Cyber formation les enjeux du partenariat, OECD, 2001.
60
21. PLOUIN Guillaume, Cloud computing. Sécurité, gouvernance du SI hybride et
panorama du marché, 4e
édition, Dunod, Paris, 2016.
22. ROY Gilles, Conception de bases de données avec UML, PUQ, Québec, 2009.
23. SOUTER, Indicateur de l’UNESCO sur l’université de l’internet : cadre pour évaluer
le développement de l’internet, UNESCO, Tunis, 2019.
24. STOCKINGER Peter, Évolutions récentes des technologies web du côté client,
Techniques Ingénieur, Paris, 2010.
25. VAN ROY Peter et HARIDI Seif, Programmation. Concepts, techniques et modèles,
Dunod, Paris, 2007.
II. TRAVAUX DE FIN DE CYCLE ET MEMOIRES
26. DANADU INIKUTIRO Comboni Raquiël, Conception d’un site web dynamique de
l’abonnement à une revue en ligne, cas de la revue Afriquespoir, TFC inédit, F.A.B,
2015-2016.
27. RAISSI Adel, Conception et développement d’un site web de e-commerce pour le
compte de LSAT Nokia, Mémoire inédit, U.V.T, 2012-2013.
III. WEBOGRAPHIE
1. http://www.comboniane.org/links-fr/sites-publications-missionnaires/afriquespoir
2. https://www.citrix.com/.../top-three-reasons-to-deliver-web-apps-with-app
virtualizati...
61
TABLE DES MATIÈRES
EPIGRAPHE ............................................................................................................................................... i
IN MEMORIAM......................................................................................................................................ii
DEDICACE ................................................................................................................................................iii
REMERCIEMENTS ...............................................................................................................................iv
LISTE DES ABREVIATIONS .........................................................................................................................v
0.INTRODUCTION GENERALE.......................................................................................................... 1
0.1. ETAT DE LA QUESTION .............................................................................................................. 1
0.2. PROBLEMATIQUE ................................................................................................................... 2
0.3. HYPOTHÈSES ........................................................................................................................... 3
0.4. CHOIX ET INTÉRÊT DU SUJET.............................................................................................. 4
0.5. MÉTHODE ET TECHNIQUES UTILISEES............................................................................. 4
0.5.1. Méthode......................................................................................................................................... 4
0.5.2. Techniques .................................................................................................................................... 4
0.6. DELIMITATION DU SUJET..................................................................................................... 5
0.7. SUBDIVISION DU TRAVAIL .................................................................................................. 5
0.8. DIFFICULTES RENCONTREES .............................................................................................. 5
PREMIER CHAPITRE : CADRE THEORIQUE................................................................................... 6
I.0. INTRODUCTION ............................................................................................................................ 6
I.1. PRESENTATION DE L'ENTREPRISE........................................................................................... 6
I.1.1. Historique....................................................................................................................................... 7
I.1.2. Situation géographique .................................................................................................................. 7
I.1.3. Structures fonctionnelles et organisationnelles.............................................................................. 8
I.1.3.1 Organigramme ............................................................................................................................. 8
I.1.3.2. Description des différents services.............................................................................................. 8
I.2. CONSIDERATIONS THEORIQUES.............................................................................................. 9
I.2.1. Système d'information ................................................................................................................... 9
I.2.2. Système informatique .................................................................................................................. 10
62
I.2.4. Site web........................................................................................................................................ 11
I.2.4.1. Site statique............................................................................................................................... 11
I.2.4.2. Site dynamique.......................................................................................................................... 11
I.2.5. Programmation web..................................................................................................................... 12
I.2.5.1. Langage de programmation ...................................................................................................... 12
I.2.5.3. Commerce électronique ............................................................................................................ 13
I.2.6. Impact des applications web dans les entreprises ........................................................................ 14
I.2.7. CONCLUSION PARTIELLE...................................................................................................... 15
DEUXIÈME CHAPITRE : ANALYSE ET CONCEPTION DU SYSTÈME...................................... 16
II. 0. INTRODUCTION ........................................................................................................................ 16
II.1. ÉTUDE PRÉLIMINAIRE............................................................................................................. 17
II.1.1. Élaboration du cahier des charges .............................................................................................. 17
II.1.2. Identification des acteurs et leurs rôles....................................................................................... 17
II.1.3. Identification des cas d'utilisation............................................................................................... 19
II.2. CONCEPTION DYNAMIQUE DU SYSTEME .......................................................................... 19
II.2.1 Diagramme des cas d'utilisation .................................................................................................. 19
II.2.2. Élaboration du diagramme des cas d'utilisation.......................................................................... 20
II.2.3. Description textuelle des cas d'utilisation................................................................................... 21
II.2.3.1. Description textuelle du cas Consulter le site.......................................................................... 21
II.2.3.2. Description textuelle du cas contacter-nous ............................................................................ 22
II.2.3.3. Description textuelle du cas S’inscrire .................................................................................... 23
II.2.3.4. Description textuelle du cas se connecter............................................................................... 24
II.2.3.5. Description textuelle du s’abonner au site via PayPal............................................................ 25
II.2.3.6. Description textuelle du cas lire un article.............................................................................. 26
II.2.3.7. Description textuelle du cas partager un article...................................................................... 27
II.2.3.8. Description textuelle du cas commenter un article................................................................. 28
II.2.3.9. Description textuelle du cas Gérer les articles........................................................................ 29
II.2.3.10. Description textuelle du cas gérer les abonnés ...................................................................... 30
63
II.2.3.11. Description textuelle du cas gérer les catégories................................................................... 31
II.2.4. DIAGRAMME DES SÉQUENCES........................................................................................... 31
II.2.4.1. Diagramme de séquences du cas Consulter le site.................................................................. 32
II.2.4.2. Diagramme de séquences du cas contacter-nous..................................................................... 32
II.2.4.3. Diagramme de séquences du cas s’inscrire.............................................................................. 33
II.2.4.4. Diagramme de séquence du cas se connecter .......................................................................... 34
II.2.4.5. Diagramme de séquence du cas s’abonner au site via PayPal................................................. 35
II.2.4.6. Diagramme de séquences du cas lire un article ....................................................................... 36
II.2.4.7. Diagramme de séquences du cas partager un article .............................................................. 37
II.2.4.8. Diagramme de séquences du cas commenter un article.......................................................... 37
II.2.4.9. Diagramme de séquence du cas gérer les articles.................................................................... 38
II.2.4.10. Diagramme de séquence du cas gérer les abonnés ................................................................ 39
II.2.4.11. Diagramme de séquence du cas gérer les catégories ............................................................. 40
II.2. 5. Diagramme d'activités ............................................................................................................... 40
II.2.5.1. Diagramme d’activités du cas consulter le site........................................................................ 41
II.2.5.2. Diagramme d’activités du cas contacter-nous ......................................................................... 41
II.2.5.3. Diagramme d’activités du cas s’inscrire.................................................................................. 42
II.2.5.4. Diagramme d’activités du cas se connecter............................................................................. 43
II.2.5.5. Diagramme d’activités du cas s’abonner au site via PayPal.................................................... 44
II.2.5.6. Diagramme d’activités du cas lire un article............................................................................ 45
II.2.5.7. Diagramme d'activités du cas partager un article .................................................................... 45
II.2.5.8. Diagramme d’activités du cas commenter un article.............................................................. 46
II.2.5.9. Diagramme d’activités du cas gérer les articles....................................................................... 46
II.2.5.10. Diagramme d’activités du cas gérer les abonnés................................................................... 47
II.2.5.11. Diagramme d’activités du cas gérer les catégories................................................................ 48
II.3. LA CONCEPTION DU SYSTÈME STATIQUE ......................................................................... 48
II.3.1. Diagramme des classes............................................................................................................... 48
II.3.1.1 Élaboration du diagramme de classes....................................................................................... 49
64
II.3.1.2. Schéma relationnel................................................................................................................... 50
II.3.2. Diagramme de déploiement........................................................................................................ 50
II.4. CONCLUSION PARTIELLE ....................................................................................................... 51
TROISIEME CHAPITRE : L'IMPLÉMENTATION DU SYSTÈME ................................................. 52
III.0. INTRODUCTION........................................................................................................................ 52
III.1. PRÉSENTATION DES OUTILS DE PROGRAMMATION...................................................... 52
III.1.1. Choix du langage de programmation et son importance........................................................... 52
III.2. QUELQUES INTERFACES DE L’APPLICATION................................................................... 53
III.2.1. Page d’accueil............................................................................................................................ 53
III.2.2. Page d’inscription...................................................................................................................... 54
III.2.3. Page de connexion..................................................................................................................... 54
III.2.4. Page de lecture d’un article ....................................................................................................... 55
III.2.5. Page d’abonnement via PayPal ................................................................................................. 55
III.2.6. Page d’administration................................................................................................................ 56
III.3. CONCLUSION PARTIELLE...................................................................................................... 56
CONCLUSION GENERALE ............................................................................................................... 57
BIBLIOGRAPHIE ................................................................................................................................ 59
I. OUVRAGES ................................................................................................................................. 59
II. TRAVAUX DE FIN DE CYCLE ET MEMOIRES......................................................................... 60
III. WEBOGRAPHIE............................................................................................................................ 60

Développement d'une application de gestion d'abonnement payant aux articles publiés dans la revue Afriquespoir

  • 1.
    REPUBLIQUE DEMOCRATIQUE DUCONGO ENSEIGNEMENT SUPERIEUR ET UNIVERSITAIRE « E.S.U. » UNIVERSITE DE L’ASSOMPTION AU CONGO « U.A.C. » E-mail : Contact@Uaconline.Org Site : WWW.UACONLINE.ORG BP : 104 BUTEMBO FACULTE DES Sciences ECONOMIQUES ET DE Gestion Département DE L'Informatique de Gestion Réalisé par : KUMBI MIANGEMBA RODDY Travail de fin de cycle présenté et défendu en vue de l'obtention du diplôme de graduat en informatique de gestion Directeur : Assistant NSENGE MPIA Héritier DÉVELOPPEMENT D’UNE APPLICATION WEB DE GESTION D’ABONNEMENT PAYANT AUX ARTICLES PUBLIÉS DANS LA REVUE AFRIQUESPOIR ANNEE ACADEMIQUE 2019-2020
  • 2.
    i EPIGRAPHE « Si leweb d’hier, le web traditionnel (web 1.0) était un web des documents et résolument statique, le web d’aujourd’hui (web 2.0) est un web social et dynamique. » Nasreddine Bouhaï In Internet des objets: Evolutions et innovations
  • 3.
    ii IN MEMORIAM « Monfils, répands des pleurs sur un mort, et, comme si tu souffrais cruellement, commence la lamentation. Puis donne à son corps les soins qui lui sont dus, et ne néglige pas sa sépulture » (Siracide 38 : 16). A mon regretté cher Papa KUMBI KAMIANTAKO Ferdinand, dont l’amour et les actions demeurent toujours présents dans ma vie. L’éducation et la formation reçues, voire les conseils me prodigués ont fait de moi ce que je suis aujourd'hui et m'ont aidé à accomplir cette œuvre grandiose.
  • 4.
    iii DEDICACE A mes chersParents : KUMBI KAMIANTAKO Ferdinand et DIAMESO Germaine ; A mes frères : KUMBI Parfait et KUMBI Kijo ; A mes sœurs : KUMBI Hermeline et LAWU Délivrance ; A mes très chers Confrères et Formateurs.
  • 5.
    iv REMERCIEMENTS Avant qu’un motne soit dit, il nous est important de remercier, en premier lieu, le Dieu d’Amour et de Miséricorde pour le don du souffle de vie et des potentialités nécessaires à la réalisation de notre travail de fin de cycle. Qu’il soit éternellement Béni. A nos chers parents, KUMBI KAMIANTAKO FERDINAND et DIAMESO GERMAINE, nous disons infiniment merci pour le don de la vie et à nos chers Frères et Sœurs biologiques. En plus, que notre Directeur, l’Assistant NSENGE MPIA Héritier, pour son attention à l’évolution harmonieuse de ce travail, trouve dans ces phrases l’expression de notre gratitude. Nos remerciements s’adressent également aux autorités académico-administratives et au corps enseignant du département de l’informatique de gestion qui nous ont accompagné tout au long de notre parcours académique. Nous tenons aussi à remercier toute la famille Combonienne surtout ceux de la communauté de Butembo pour leur dévouement continuel au service de notre formation, nous citons nommément les Pères KALIYA Benoit, Gaspard Di VINCENZO et CLAUDINO Gomes, et les Frères ELUMA Jacques et Ivan CREMONESI. A mes confrères de formation : David IDIAKAM, Christophe MUTEBA, Christian LEBA, Alpha MUMBERE, Joël BADIBANGA, Jean de Dieu BABAYA, Michel BAKODU, Achille THAUNGULA, Jeanson MATANDA, Honore KAPUKU, pour la vie fraternelle que nous partageons dans le Christ, nous disons merci. Que nos bienfaiteurs innombrables et toute personne de bonne volonté grâce à qui nous avons fait face aux diverses réalités financières trouvent hic et nunc notre profonde reconnaissance. A tous nos camarades d’auditoire particulièrement : D’Alzon ELCARA, Ange KAHINDO, Lydie KAHOGYA, Cosmos MOTEMA, KAHINDO SHANGWE, Dominique MAMBE, Faida VIVIANE, Moise KAMBALE, Dorcas MASIKA, Junior, Rachel KAMBUMBU, Rachel MUSAVUKA, Ronsard, etc. pour les joies et les peines partagées ensemble dans un esprit de convivialité, nous exprimons notre sentiment d’amour. Enfin, que nos ainés scientifiques dont les Assistants Alfred, Julien KABUYAYA, Elisée trouvent ici l’expression de notre indéfectible attachement et inoubliable mémoire. Roddy KUMBI MIANGEMBA
  • 6.
    v LISTE DES ABREVIATIONS Ae : Afriquespoir  BD : Bases de Données  CMS : Content Management System  CSS : Cascading Style Sheet  HTML : HyperText Markup Language  IP : Internet Protocol  MCCJ : Missionnaires Comboniens du Cœur de Jésus  PHP : HyperText Preprocessor  SGBD : Système de Gestion des Bases de Données  SGBDR : Système de Gestion de Base de Données Relationnels  SQL: Structured Query Language  TFC : Travail de Fin de Cycle  URL : Uniform Ressource Locator  U.A.C : Université de l’Assomption au Congo  WWW : World Wide Web
  • 7.
    vi LISTE DES FIGURES Figure1 Organigramme........................................................................................................................... 8 Figure 2 Système d’information.............................................................................................................. 9 Figure 3: Acteurs du système................................................................................................................ 18 Figure 4: Diagramme des cas d'utilisation............................................................................................. 20 Figure 5: Diagramme de séquences du cas Consulter le site................................................................ 32 Figure 6: Diagramme de séquences du cas s’inscrire............................................................................ 33 Figure 7: Diagramme de séquence du cas se connecter....................................................................... 34 Figure 8: Diagramme de séquence du cas s’abonner au site via PayPal............................................... 35 Figure 9: Diagramme de séquences Lire un article ............................................................................... 36 Figure 10: Diagramme de séquences Partager un article ..................................................................... 37 Figure 11: Diagramme de séquences du cas commenter un article..................................................... 37 Figure 12: Diagramme de séquence du cas gérer les articles............................................................... 38 Figure 13: Diagramme de séquence du cas gérer les abonnés............................................................. 39 Figure 14: Diagramme de séquence du cas gérer les catégories.......................................................... 40 Figure 15: Diagramme d’activités du cas consulter le site.................................................................... 41 Figure 16: Diagramme d’activités du cas contacter-nous..................................................................... 41 Figure 17: Diagramme d’activités du cas s’inscrire............................................................................... 42 Figure 18: Diagramme d’activités du cas se connecter......................................................................... 43 Figure 19: Diagramme d’activités du cas s’abonner au site via PayPal................................................. 44 Figure 20: Diagramme d’activités du cas lire un article ........................................................................ 45 Figure 21: Diagramme d'activités du cas partager un article................................................................ 45 Figure 22: Diagramme d’activités du cas commenter un article........................................................... 46 Figure 23: Diagramme d’activités du cas gérer les articles................................................................... 46 Figure 24: Diagramme d’activités du cas gérer les abonnés................................................................. 47 Figure 25: Diagramme d’activités du cas gérer les catégories.............................................................. 48 Figure 26: Élaboration du diagramme de classes.................................................................................. 49 Figure 27: Diagramme de déploiement ................................................................................................ 50 Figure 28: Page d’accueil du système ................................................................................................... 53 Figure 29: Page d’inscription................................................................................................................. 54 Figure 30: Page de connexion .............................................................................................................. 54 Figure 31: Page de lecture d’un article.................................................................................................. 55 Figure 32: Page d’abonnement via PayPal............................................................................................ 55 Figure 33: Page d’administration .......................................................................................................... 56
  • 8.
    vii LISTE DES TABLEAUX Tableau1: Cahier des charges du projet.............................................................................................. 17 Tableau 2: Cas d'utilisation du système ................................................................................................ 19 Tableau 3: Description textuelle du cas Consulter le site ..................................................................... 21 Tableau 4: Description textuelle du cas contacter-nous...................................................................... 22 Tableau 5: Description textuelle du cas s’inscrire................................................................................. 23 Tableau 6 : Description textuelle du cas se connecter.......................................................................... 24 Tableau 7 : Description textuelle du cas s’abonner au site via PayPal.................................................. 25 Tableau 8: Description textuelle du cas lire un article.......................................................................... 26 Tableau 9: Description textuelle du cas partager un article ................................................................. 27 Tableau 10: Description textuelle du cas commenter un article .......................................................... 28 Tableau 11: Description textuelle du cas publier un article.................................................................. 29 Tableau 12: Description textuelle du cas gérer les abonnés................................................................. 30 Tableau 13: Description textuelle du cas gérer les catégories.............................................................. 31
  • 9.
    1 0.INTRODUCTION GENERALE 0.1. ETATDE LA QUESTION Il n’est pas inutile de rappeler l’omniprésence de l’informatique dans le monde actuel, marqué depuis quelques décennies par une large utilisation de l’Internet et par la progression explosive de sa place dans nos sociétés. Cette évolution de l’informatique et l’apparition de l’internet sont des phénomènes d’interaction qui offrent des possibilités considérables et accroissent les chances de communication dans des organisations. Le Web a changé ainsi la vision d'échange des données dans des entreprises1 . A vrai dire, plusieurs chercheurs ont eu à proposer des systèmes web aux entreprises. A titre illustratif, DANADU INIKUTIRO Comboni Raquiël, qui, dans son travail portant sur la Conception et la réalisation d’un site web dynamique de l’abonnement à une revue en ligne. Cas de la revue Afriquespoir, a constaté que nombreuses opérations de traitement des données demeurent encore manuelles dans le service de publication d'Afriquespoir. Il se révèle que ces opérations soient ennuyeuses et puissent causer des dommages aux administrateurs et aux abonnés de la revue2 . Le but de sa recherche était de parvenir à la conception et à la réalisation d’un site web dynamique connecté à une base de données capable de stocker les informations et en faciliter l’accès au public et offrir une possibilité d’interagir avec ce dernier. En plus, Adel RAISSI, dans son mémoire intitulé : Conception et réalisation d’un site de commerce électronique pour le compte de LSAT Nokia, a estimé que cette société devrait se doter d'une base de données clientèle, ayant pour cible, ce qu’on appelle le cyberconsommateur, c’est-à-dire le client distant sur le net. Les objectifs majeurs de son site étaient ainsi la possibilité de présenter les produits dans une boutique virtuelle à la disposition de tout le monde, de faire des transactions commerciales, de faciliter la tâche du payement en ligne et de suivre la livraison des produits3 . Dans cette même perspective, notre observation se tourne vers le problème auquel la maison d’édition Afriquespoir se confronte, pendant la distribution de ses produits. Nous remarquons une lenteur par rapport aux distributions des revues. Ces distributions se font en retard chez les abonnés ; la plupart des abonnés sont souvent désinformés sur de nouvelles 1 Cf. Guillaume PLOUIN, Cloud computing. Sécurité, gouvernance du SI hybride et panorama du marché, 4e édition, Dunod, Paris, 2016, p.5. 2 Cf. Comboni-Raquiël DANADU INIKUTIRO, Conception d’un site web dynamique de l’abonnement à une revue en ligne, cas de la revue Afriquespoir, TFC inédit, F.A.B, 2015-2016, p.1. 3 Cf. Adel RAISSI, Conception et développement d’un site web de e-commerce pour le compte de LSAT Nokia, Mémoire inédit, U.V.T, 2012-2013, p.2.
  • 10.
    2 publications. Tenant comptede la lenteur qu’a ce système, nous voulons proposer un système rapide car nous sommes dans un monde qui oblige de faire mieux et rapide4 . Les auteurs cités ci-haut ont tenté d’apporter leur contribution pour améliorer la société. Nous nous joignons à eux en ce qui concerne le stockage des informations et le partage de ces dernières, ainsi que la facilitation de la gestion des stocks et le libre écoulement des produits commerciaux. Notre apport spécifique consiste à ajouter un système d’inscription avec mail de confirmation et un système d’abonnement payant via PayPal. 0.2. PROBLEMATIQUE L’internet est rapidement devenu ce moyen de communication qui bouleverse sans cesse l’accès à l’information, les modes d’expression, ainsi que les nombreux aspects liés à la gouvernance et à la vie économique de tous ses utilisateurs où qu’ils se trouvent. Il s’apparente aujourd’hui à un marché mondial des idées, des biens et des services5 . Le développement des objets connectés et communicants ne cesse de progresser et de plus en plus d’objets sont disponibles sur le marché. Cette évolution de l’Internet engendre davantage de champs à explorer par les sciences de l’information et de la communication, et renouvelle les enjeux de ces nouveaux bouleversements technologiques et numériques, dans un monde hyper connecté, via divers objets connectés, conférant souvent une double capacité : être connecté et communicant, tout en attendant d’eux qu’ils répondent à des besoins d’usage de plus en plus exigeants en matière de services, de communication et d’information, tout autant qu’ils en reçoivent6 . La publication des statistiques sur le nombre d’utilisateurs d’internet a de la peine à suivre son rythme de croissance ; dans la plupart des cas, on a à faire de toute évidence à des données très approximatives. Jusqu’ici c’est le lieu de travail qui a enregistré la plus forte pénétration. De ce fait, l’internet est devenu un terme désormais générique qui regroupe toutes les techniques nécessaires à la production, à la diffusion et à l’échange de contenus à travers le réseau mondial de communication. Cette assimilation aux technologies de l’information est récente, mais cet abus de langage, au sens du purisme technique, est justifié par la place centrale qu’occupe désormais l’Internet dans la vie. Aujourd'hui, l’internet est entré dans notre vie quotidienne d'une façon que personne ne pouvait imaginer il y a encore quelques années, que 4 Cf. Jean-Louis MULLER, Management d'un projet. 100 questions pour comprendre et agir, AFNOR, Paris, 2005, p.108. 5 Cf. SOUTER, Indicateur de l’UNESCO sur l’université de l’internet : cadre pour évaluer le développement de l’internet, Ed. UNESCO, sd, p.1. 6 Cf. OECD, Cyber formation les enjeux du partenariat, Ed. OECD, 2001, p.13.
  • 11.
    3 ce soit pourpayer nos impôts, prévoir des rendez-vous via les réseaux sociaux ou apprendre de nouvelles choses, etc.7 Face à cette émergence en perpétuelle évolution, qui offre la possibilité d'intervention considérable d'accroissement et d'épanouissement de la communication à travers un lieu virtuel qui s’adapte aux besoins et à l’usage de ses visiteurs, il serait souhaitable qu’Afriquespoir adhère à cette nouvelle formule de diffusion des informations, en informatisant la gestion de lecture des articles publiés et d’abonnement payant. Ayant à cœur l’essor phénoménal d’Internet et le besoin que ressentent les lecteurs de profiter de ses avantages, notre préoccupation se résume en ces questions : Comment Afriquespoir pourrait-elle interagir facilement avec ses abonnés ? Dans quelle mesure une application web de gestion de lecture d’articles peut-elle permettre aux abonnés d’Afriquespoir de conclure l’abonnement aux articles sans contrainte de distance et d’en recevoir les nouveautés ? Eu regard à ce questionnaire, notre sujet de recherche s’intitule : « Développement d’une application web de gestion d’abonnement payant aux articles publiés dans la revue Afriquespoir ». 0.3. HYPOTHÈSES L'hypothèse constitue une piste de réponse susceptible de permettre une explication adéquate des faits étudiés. Elle doit également rendre compte de la nature spécifique, mais aussi être cohérente avec l’ensemble du domaine scientifique dans lequel elle s’insère8 . Au regard de notre questionnement, nous avons émis les hypothèses telles que le développement d’une application web de gestion d’abonnement payant aux articles publiés dans la revue Afriquespoir pourrait faciliter la communication entre Afriquespoir et ses abonnés et que la mise en place d’une application web de gestion d’abonnement payant aux articles publiés dans la revue Afriquespoir permettrait aux Missionnaires Comboniens de présenter Afriquespoir comme la revue engagée au carrefour des peuples du monde. 7 Cf. Matthieu BONAN, Débuter en informatique avec Windows 7, Simple IT, Paris, 2011, p.99. 8 Cf. Dominique BOURDIN, 100 fiches de culture générale : histoire de la pensée, Bréal, Paris, 2006, p.112.
  • 12.
    4 0.4. CHOIX ETINTÉRÊT DU SUJET Ce sujet frappe d'importance vu les secteurs d'intérêt qu'il procure à la maison Ae et à nous concepteur de ce projet, à l'université qui a assuré notre formation en matière de gestion des entreprises :  A la maison Afriquespoir d'étendre la publication des articles de la revue et d'atteindre un grand nombre d'abonnés dans un laps de temps où qu'ils se trouvent.  A nous de trouver une occasion propice pour marier la théorie à la pratique en vue de mettre en valeur les précieuses connaissances apprises le long de notre premier cycle.  Ce travail servira de thermomètre à notre université pour se rendre compte de la qualité du contenu formatif qu'elle offre à ses étudiants. 0.5.MÉTHODE ET TECHNIQUES UTILISEES 0.5.1. Méthode Dans la recherche scientifique, il existe plusieurs démarches, approches ou méthodes qu’il convient d'utiliser pour exploiter et analyser les données de recherche. Ainsi, étant donné que ce travail porte sur la mise en place d'un système informatique, nous avons fait usage du langage UML afin d'analyser et de concevoir le système de gestion de lecture des revues publiées en ligne par Afriquespoir. Précisons qu’UML, par sa capacité de capturer en quelques dessins les grandes lignes d’une application, est un langage efficace et incontournable pour modéliser un système en orienté objet9 . UML n’est qu’un langage de modélisation. Nous n’avons pas aujourd’hui dans la norme, de démarche unifiée pour construire les modèles et conduire un projet mettant en œuvre UML.10 0.5.2. Techniques La technique documentaire nous a permis de consulter les ouvrages, les revues, les articles ainsi que des écrits qui cadrent avec notre sujet de recherche, susceptible de fournir les informations permettant de l’éclairer davantage. À côté des textes écrits, nous nous sommes servi également des documents électroniques, précisément de l’internet. Nous nous sommes également servi de la technique d'interview qui nous a aidé à entrer en contacts avec les agents de notre milieu d'étude pour déceler plus parfaitement les insuffisances qu’il faut pallier. 9 Cf. Xavier BLANC et Isabelle MOUNIER, UML2 pour les développeurs, Eyrolles, Paris, 2007, p. 3. 10 Cf. Joseph Gabay et David Gabay, UML2 analyse et conception, mise en œuvre guidée avec études de cas, Dunod, Paris, 2008, p.111.
  • 13.
    5 0.6. DELIMITATION DUSUJET Ce travail se focalise essentiellement sur l'accès aux différents numéros de la Revue Afriquespoir. Et, cet accès se fera via l'Internet. Il est question de permettre aux abonnés à cette Revue de pouvoir s'en procurer les articles en ligne, où qu'ils soient. Dans le cadre temporel, ce travail porte sur les différents éléments de gestion, collectées au sein de la Congrégation des Missionnaires Comboniens, en l'année académique 2019-2020. 0.7. SUBDIVISION DU TRAVAIL Pour résoudre un problème, il existe plusieurs moyens. Pour certains, il suffit de diviser cela en plusieurs tâches pour enfin résoudre chacune de ses tâches. Sur ce, nous avons pu diviser notre travail en trois chapitres. Signalons que ce travail aura une introduction et une conclusion générale, hormis ces trois grands points. Le premier chapitre est intitulé cadre théorique. Dans ce chapitre, nous avons voulu faire une brève présentation de notre milieu d'étude qu'est la Congrégation des Missionnaires Comboniens, et de parler des concepts se référant à la mise en place d'une application web. Le deuxième chapitre fait l'analyse et la modélisation du système à travers le langage UML. Ce chapitre est intitulé : Analyse et conception du système. Enfin, dans le troisième chapitre, portant sur l'implémentation du système, nous allons parler de la présentation des outils de programmation, du choix de langage de programmation et son importance et enfin faire la présentation des interfaces d'utilisation. 0.8. DIFFICULTES RENCONTREES D'emblée, toute œuvre humaine se réalise après un grand effort de travail. Ainsi, la mise en place de ce projet nous a soumis à de contraintes multiples. Il s'est agi des problèmes d'accès aux ouvrages sur la mise en place des applications web, de temps suffisant de recherche afin de bien parfaire ce modeste travail.
  • 14.
    6 PREMIER CHAPITRE :CADRE THEORIQUE I.0. INTRODUCTION Disposer d'un site web fonctionnel et attrayant contribue nettement à la réussite d’une entreprise. Pour se distinguer de la concurrence, un site doit être esthétiquement attirant et sa navigation doit être fluide et efficace. L’ergonomie permet « une mise en évidence efficace et une lisibilité correcte des informations »11 . Dans ce chapitre, nous présenterons, tout d'abord, notre entreprise et ses objectifs. Ensuite, nous décrirons brièvement les concepts de base liés à la réalisation d’une application web et des systèmes d’information. I.1. PRESENTATION DE L'ENTREPRISE Afriquespoir est une revue trimestrielle de trente-deux pages qui présente un nouveau visage de l’Afrique, visage qui parfois reste caché des hommes et des femmes qui luttent pour construire un monde nouveau. En fait, la presse catholique d’Afrique est fort appréciée par les populations qui voient en elle une sorte de Voix des sans voix. Afriquespoir s’insère donc dans ce projet d’être un signe d’espérance et un instrument d’évangélisation. Le slogan de la revue est l’Eglise du continent ouvert au monde. Ce qui veut dire que la revue veut informer les Eglises d’Afrique sur la vie de l’Eglise Universelle et du monde en toutes ses dimensions et en même temps faire connaitre les Eglises d'Afrique au monde entier, en mettant à la disposition de ce dernier ses trésors d’Humanité12 . Cette expression illustre le sens et la force même du nom Afriquespoir : Celui-ci dit d’emblée que cette revue présente au continent africain des raisons de toujours lutter pour une Afrique plus heureuse et de faire davantage de ce continent une source d’espérance pour le monde entier. Elle contrarie et corrige par le fait même d’exister et par l’actualité et la pertinence de ses contenus, l'impression parfois donnée par l’Église de s’enfermer au sein des sacristies et ne pas être sensible aux problèmes de la société et du monde. La ligne éditoriale de cette revue annonce l’Evangile de la vie et de l’espérance par la presse, par la revue. Les yeux toujours grand-ouverts sur l’actualité du monde, Ae donne des informations et de la formation dans les domaines sociaux, politiques, économiques, religieux, culturels… en restant attentive au dialogue œcuménique et interreligieux. Elle prend également position devant les situations et les problèmes liés à la gestion de l’environnement (notre planète, notre chère Maison Commune), la situation sécuritaire, les conflits terriers, etc.13 11 Jean-François NOGIER, Ergonomie du logiciel et design web. Le manuel des interfaces utilisateur, 4e édition, Dunod, Paris, 2008, p.6. 12 Cf. http://www.comboniane.org/links-fr/sites-publications-missionnaires/afriquespoir 13 Cf. Archives de la revue Afriquespoir.
  • 15.
    7 I.1.1. Historique Née en1998, Ae a publié son premier numéro le 1er avril 1998 en noir et blanc. Nous l’avons dit, Afriquespoir est une revue trimestrielle. Elle est éditée par les provinces francophones Comboniennes (la République Centrafricaine, le Tchad, le Bénin, le Togo et la République Démocratique du Congo). Cette revue est éditée par les Missionnaires Comboniens sur l’Avenue Métallurgie 2369, Quartier KINGABWA, Commune de LIMETE, en Ville Province de Kinshasa. La revue Afriquespoir a un statut juridique récépissé de la déclaration de publication : MIN/CM/LMO/051/2015 Dépôt Légal : n.3.01501-57021. Elle a aussi son édition au Bénin (Cotonou) plus adaptée à l’Afrique Occidentale francophone. De nos jours, la revue est produite en couleur, imprimée à 7000 exemplaires et est accessible en divers postes de distribution14 . I.1.2. Situation géographique La revue Ae est disponible en RDC en Ville de Kinshasa, dans la maison d’édition sise sur l’avenue Métallurgie 23609, quartier Kingabwa, Commune de Limete, dans des librairies Paulines, des librairies AE-Médias Paul, en Commune de Lemba, les Procures des missions. A Isiro, dans la Paroisse Sainte Anne ; à Kisangani dans la Maison Comboni ; à Lubumbashi, dans la librairie Saint Paul et à Butembo, dans la Maison Mt. Comboni, MGL, Congo ya Sika. Cette revue est aussi disponible dans les pays francophones où travaillent les Instituts Comboniens (Missionnaires Comboniens et Sœurs Missionnaires Combonienne) : Tchad, Togo, Benin, Cameroun et RCA. 14 Cf. Archives de la revue Afriquespoir.
  • 16.
    8 I.1.3. Structures fonctionnelleset organisationnelles I.1.3.1 Organigramme I.1.3.2. Description des différents services  Editeur Responsable : Missionnaires Comboniens qui dirigent tout le fonctionnement de la revue ; fixent les objectifs à atteindre et coordonnent les autres services.  Directeur de rédaction : Le directeur de la rédaction est le responsable de l'ensemble des aspects rédactionnels des publications de la revue.  Comité de rédaction : Il est constitué de ceux qui sont chargés de la rédaction des divers articles publiés par la revue.  Correspondants : Ce sont des journalistes qui préparent des articles sur différents thèmes indiqués par le Directeur de rédaction ou de leur propre initiative.  Administration : Dans l'administration, travaillent l'administrateur de la maison d'édition et ses collaborateurs dans la gestion des divers secteurs de vie de l’entreprise.  Diffusion : Sous la supervision du directeur, les agents pour la diffusion organisent le travail pour la vente et la distribution de la revue.  Imprimerie : Médiaspaul-Kinshasa qui imprime la revue Ae et d’autres publications.  Points de vente : Ce sont des places qui mobilisent les mécanismes de distribution des revues et s’occupent du recrutement des abonnés, ainsi que du renouvellement des abonnements. Correspondants Collaborateur s Imprimerie MEDIASPAUL Œuvres Pontificales Missionnaires Administration Diffusion Comité de rédaction Directeur de rédaction Postes de vente Editeur Responsable Figure 1 Organigramme Source : Archives de la revue Afriquespoir
  • 17.
    9 I.2. CONSIDERATIONS THEORIQUES Ilest bon, avant de lancer des recherches dans n’importe quel domaine, de commencer par l’apprentissage des mots clés qui véhiculent la connaissance dans ce domaine. Tel est notre cas. Dans les points qui suivent de ce chapitre, nous allons clarifier les notions de système d'information, du système informatique, de site web et de la programmation web. Il s’avère important de parler aussi de l’impact des applications web dans les entreprises. I.2.1. Système d'information Toute entreprise procède à des échanges avec son environnement ; ces échanges sont souvent représentés par des flux de matière ou de matériel, des flux financiers, des flux humains et des flux d’informations15 . De ce fait, le système d’information paraît comme l’ensemble des ressources permettant la collecte, le stockage, la structuration, la modélisation, la gestion, la manipulation, l’analyse, le transport, l’échange et la diffusion des informations au sein d’une organisation. Parmi ces ressources informatiques figurent en particulier les fichiers de données, les bases de données, le système de gestion de bases de données et les infrastructures réseaux. Il possède quatre fonctions principales dont : la collecte, le traitement, la conservation et la restitution. Un système d’information permet aux organisations de lire les données collectées et traitées sous différentes formes. On peut en citer les listings, les états, les tableaux de bord, les panneaux d’information (dans les gares ou les aéroports à propos des départs, des arrivées, des retards). Il est l’ensemble englobant de tout ce qui existe dans une entreprise, il s’appuie sur le système informatique pour son bon fonctionnement16 . On peut alors représenter le système d’information sous cet aspect : 15 Cf. Michel BIGANG, Conception des systèmes d’information : modélisation des données. Etudes de cas, Ed. Technip, Paris, 2006, p1. 16 Cf. Chantal MORLEY, Management d’un projet système d’information. Principes, techniques, mise en œuvre et outils, 6ème édition, Dunod, Paris, 2008, p.15. Figure 2 Système d’information Source : Chantal MORLEY, Op.cit., p.15.
  • 18.
    10 I.2.2. Système informatique Lesystème informatique est l’ensemble organisé d’objets techniques dont la mise en œuvre réalise l’infrastructure d’un système d’information17 . Il est l’ensemble des actifs matériels et logiciels de l’entreprise ayant pour vocation l’automatisation, le traitement de l’information et la collecte, le stockage, l’acheminement et la présentation des données. I.2.3. Stockage des données Nous précisons tout d’abord que la donnée est une représentation d’un élément d’information. Il peut s’agir d’un chiffre ou d’un fait, codé dans un format permettant son stockage et son traitement par ordinateur18 . Ainsi, le stockage des données est un moyen de garder et de préserver des informations en sécurité. Il existe plusieurs sortes d’architectures de stockage. La plus courante est de disposer des serveurs en local raccordés directement aux serveurs de production. On peut aussi utiliser la solution Cloud pour cette fin. La solution la plus utilisée est celle des bases de données. Une base de données est un ensemble structuré de données apparentées qui modélisent un univers réel, une collection sur ordinateur d’une entreprise19 . Précisons que les bases de données sont souvent administrées et gérées via les SGBD. Ce dernier est un ensemble de logiciels informatiques pour la gestion d'informations. Le SGBD doit aussi assurer la protection des données en cas de problèmes de gestion. En plus, le SGBD doit permettre de restaurer les données. Ces opérations sont généralement réalisées en utilisant des journaux qui enregistrent au fur et à mesure les opérations faites sur la base20 . Etant donné que nous allons utiliser une base de données relationnelle, nous pouvons dire que les SGBD relationnels mettent au premier plan les relations entre les données. Celles- ci sont organisées en tables à deux dimensions. Les données sont stockées en tant qu’enregistrement dans des tables, par le biais d’un ensemble de couples attribut/valeur dont une clé primaire essentielle à la singularisation de chaque enregistrement. Des relations sont ensuite établies entre les tables par un mécanisme de jonction entre la clé primaire de la première table et la clé dite étrangère de celle à laquelle on désire la relier21 . 17 Cf. Chantal MORLEY, Op.Cit., p.15. 18 Cf. Gilles ROY, Conception de bases de données avec UML, PUQ, Québec, 2009, p.7. 19 Cf. Georges GARDARIN, Bases de données, Eyrolles, Paris, 2003, pp.3-4. 20 Cf. Nicolas LARROUSSE, Création des bases de données, Pearson education, Paris, 2009, p.16. 21 Cf. Hugues BERSINI, La programmation orientée objet, Eyrolles, Paris, 2009, p.13.
  • 19.
    11 I.2.4. Site web Lemot Web est un mot anglais qui signifie toile d’araignée. Pour ce qui est de l’informatique, on parle de www. Ce qui se traduit en anglais par World Wide Web. En bref, le web est une sorte de gigantesque toile d’araignée mondiale22 . Il ressemble à une toile d’araignée dont les nœuds sont constitués par les diverses interconnexions des ordinateurs à travers le monde. A chaque nœud il existe un ordinateur qui communique avec les autres. Le web est imaginaire ainsi, il existe des sites web qui donnent une interface permettant d’accéder aux services du web. Le site web est l’ensemble des fichiers web contenant des informations sur un sujet ou un domaine donné hébergé sur un serveur. Le monde évolue et dans la vie quotidienne, au lieu de la télévision, la téléphonie, le poste, etc., on se sert des sites web pour trouver les réponses à nos questions, partager, communiquer, s’amuser, etc. On peut en dénombrer des milliers pour répondre à nos besoins ; pourtant nous les catégorisons en deux : les sites statiques et les sites dynamiques23 . I.2.4.1. Site statique On entend par site statique, non pas un site sans mouvements ou sans animations, mais un site visible telle qu'il a été conçu. Ces sites peuvent présenter toute forme de contenu, animations flash, images, musique, vidéo etc.… mais ils sont toujours présentés de la même façon. Ils ne changent pas et c'est en ce sens qu'ils sont statiques. Pour Mathieu NEBRA, ce sont des sites qui fonctionnent très bien mais leur contenu ne peut pas être mis à jour automatiquement : il faut que le webmaster modifie le code source pour y ajouter des nouveautés24 . Les pages statiques sont plus figées, mais plus simples à réaliser. I.2.4.2. Site dynamique En opposition aux sites statiques, le contenu des sites dynamiques ne fait pas partie des pages, mais est issu de sources de données externes. Cette étape consiste donc à mettre en place des modules techniques tels que le moteur de recherche, l’affichage d’un catalogue de produits, la personnalisation 25 . Le contenu d’un site dynamique est issu d'une base de données en fonction de critères établis par l'internaute puis mis en page en temps réel. C'est le cas par exemple d'un site e-commerce : présentation des articles par thèmes, couleurs, prix, etc... C'est également le cas des blogs et des forums où les visiteurs peuvent participer au contenu du site. 22 Cf. Mathieu NEBRA, Comprendre le web, Simple IT, Paris, 2009, p.20. 23 Cf. Comboni Raquiël DANADU INIKUTIRO, Op.Cit, , p.15. 24 Cf. Mathieu NEBRA, Concevez votre site web avec PHP et MySQL 5, Simple IT, Paris, 2012, p.10. 25 Nicolas CHU, Réussir un projet de site web, 4e édition, Eyrolles, Paris, 2006, p.22.
  • 20.
    12 I.2.5. Programmation web Laprogrammation web fait référence au processus d’écriture d’un site ou d’une page web dans un langage technique. Il s’agit d’une étape obligatoire pour qu’un contenu soit mis en ligne et atteigne ses lecteurs26 . Cette programmation repose essentiellement sur l’emploi des langages HTML, CSS, JavaScript, PHP, JSP, etc. pour écrire des programmes, qui sont ensuite exécutés par les ordinateurs. Les instructions sont mises en place sur Internet et sont effectuées sur des serveurs. En fonction des besoins des propriétaires du site ou des pages web, ces peuvent être constituées uniquement de textes et d’éléments graphiques ressemblant à un document ou être interactives en affichant des informations qui évoluent (panier d’achats, par exemple). Signalons que pour un site web dynamique, il y a le client et le serveur. Le client est la personne ou tout équipement qui sollicite le service d’un site web. Une machine accédant à un site web ou simplement bénéficiant des services offerts par un site web est client de ce site web. Par ailleurs, les serveurs sont des ressources offertes aux clients27 . I.2.5.1. Langage de programmation Un langage de programmation est un code de communication permettant à un être humain de dialoguer avec une machine en lui soumettant des instructions et en analysant les données matérielles fournies par le système, généralement un ordinateur. Le langage permet à la personne qui rédige un programme, de faire abstraction de certains mécanismes internes, généralement des activations et désactivations de commutateurs électroniques, qui aboutissent au résultat désiré. Ils permettent de définir les ensembles d'instructions effectuées par l'ordinateur lors de l'exécution d'un programme. Il existe des milliers de langages de programmation, la plupart d'entre eux étant réservés à des domaines spécialisés28 . En web, il existe des langages du côté client et ceux du côté serveur. Les langages du côté client permettent de gérer l’interface utilisateur de chaque page à savoir : affichage, interactions de façon rapide. C’est le navigateur qui s’occupe de tout, sans avoir besoin d’aller demander des informations supplémentaires au serveur. Parmi lesquels on peut citer HTML et JavaScript. HTML et sa variante plus stricte XHTML sont des langages de balisage des pages Web. Il n’y a pas si longtemps, HTML servait à définir aussi bien la structure des pages que leur présentation visuelle. Aujourd'hui, ces deux aspects doivent être bien distincts et HTML est 26 Cf. Peter STOCKINGER, Evolutions récentes des technologies web du côté client, Ed. Techniques Ingénieur, Paris, 2010, p.9. 27 Cf. Matthieu NEBRA, Concevez votre site web avec PHP et MySQL. Op. Cit., p.11. 28 Cf. Peter VAN ROY et Seif HARIDI, Programmation. Concepts, techniques et modèles, Dunod, Paris, 2007, pp.27-28.
  • 21.
    13 destiné uniquement àreprésenter la structure d’une page : titres, sous-titres, paragraphes, images, formulaires de saisie, liens hypertextes, etc. C’est la base d’une page Web, parfois la seule considérée et utilisée par le logiciel qui visite cette page, comme les moteurs de recherche ou les navigateurs textuels. Tandis que le CSS permet de modifier la présentation des éléments HTML : couleur, taille, police de caractères, mais aussi position sur la page, largeur, hauteur, empilement, bref tout ce qui touche à la mise en page d’un document HTML29 . JavaScript quant à lui est un langage qui est lu et exécuté par le navigateur et qui permet de créer des réactions en réponse à des événements sur la page ou à des actions de l’utilisateur. JavaScript est capable lui-même d’écrire le code HTML ou CSS, et donc de modifier totalement la base d’une page Web. Quant aux langages du côté serveur, on peut citer le PHP, JSP, ASP, etc. Le PHP est un langage de programmation qui est lu et exécuté sur le serveur où se trouve la page HTML, avant que celle-ci ne soit envoyée au navigateur qui en demande l’affichage. Par exemple, vous avez rempli un formulaire et cliqué sur le bouton, le serveur reçoit les données envoyées par le navigateur, le code PHP traite ces données et écrit le HTML de la nouvelle page Web que le serveur Web renvoie ensuite au navigateur. Le code XHTML d’une page peut ainsi être entièrement écrit à l’aide de code PHP, ou bien le code PHP peut être inséré à un endroit précis d’une page, pour compléter le code X/HTML, CSS, voire JavaScript30 . Bref, on qualifie de dynamiques, les pages dont toutes ou certaines parties sont écrites en PHP ou en un autre langage côté serveur, car un langage de programmation modifie ou complète le code HTML statique de la page. I.2.5.3. Commerce électronique Les revues, les livres et les magazines font partie des dix premiers produits vendus en ligne. C’est ainsi que nous jugeons d’une grande importance de donner un nom à ce phénomène avant de clôturer la définition de nos concepts. Le e-commerce ou commerce électronique ou encore vente à distance désigne l’ensemble des activités visant à vendre des biens matériels ou immatériels en se servant d’un site internet comme support principal31 . En réalité, dès que l’on effectue une transaction monétaire par le biais d’un site internet, même d’un site d’enchères en ligne comme eBay, on participe à l’évolution du e-commerce. Le e-commerce peut être réparti en quatre catégories principales : B2B, B2C, C2B et C2C. 29 Cf. Nicolas CHU, Op. Cit., p.21. 30 Cf. François-Xavier BOIS, PHP5. Le guide complet. Maitrisez PHP 5 de A à Z ! 3e édition, Micro Application, Paris, 2008, pp.14-15. 31 Cf. Delphine BOUTON et alii, Créer un site e-commerce avec Dreamweaver CS4 et PHP/MySQL, 4e édition, Pearson education, Paris, 2009, p.1.
  • 22.
    14 I.2.6. Impact desapplications web dans les entreprises De nos jours, rares sont les entreprises qui n’ont pas de stratégie digitale. En effet, le public cherche sur le web ce qu’il cherchait jadis dans les pages jaunes. Alors, pour faire la différence, il faut non seulement avoir une application web, mais aussi que cette dernière soit bien placée dans les moteurs de recherche. Les habitudes du public ont changé, peu importe le bien ou le service demandé, c’est sur le Web que se fait la recherche. Pour ne pas laisser la chance filer, l’entreprise doit avoir une présence digitale. En d’autres termes, il faut être bien présent et visible sur Internet et cela commence par la création d’une application Web. La facilité d’utilisation des technologies web a permis son adoption même par des non informaticiens32 . Il faut vivre avec son temps, chaque décennie a ses codes et pour ne pas passer à côté de marchés juteux, il faut les déchiffrer, les maîtriser et les mettre en pratique. Depuis l’émergence d’Internet, les critères ont sensiblement changé. Il ne s’agit plus seulement d’être une entreprise physique, il faut aussi être une entreprise digitale, une entreprise connectée, une entreprise visible et médiatisée. Un public qui trouve rapidement une entreprise sur le net, se confie davantage. Un public qui arrive à avoir des informations, des avis et une idée claire sur l’offre que propose une entreprise, est un public séduit. Un public qui retrouve une entreprise à partir de simples mots clés, sait qu’il a trouvé la perle rare33 . Le premier point qui a subi l'impact des applications web est la communication. Le web a forcé la communication à s’ouvrir et à passer d'une communication unidirectionnelle à une communication bidirectionnelle. Auparavant l'entreprise s'adressait de façon unidirectionnelle à un public pour lequel il était presque impossible de réagir ou d'interagir avec le message qui lui était présenté. Désormais, avec l’application web les entreprises peuvent encore initier une communication vers un public. Par contre, celui-ci peut maintenant répondre à ce message et interagir avec l'entreprise. De plus, les individus peuvent aussi être les instigateurs d'une conversation avec l'entreprise et c'est celle-ci qui doit réagir et interagir aux messages de sa cible. Le deuxième aspect de l'impact de l’application web ce sont les campagnes marketing. En effet, avant l'arrivée des applications web, les campagnes étaient globales et générales, alors qu'aujourd'hui on peut élaborer des campagnes très ciblées. Auparavant, avec la télévision, les 32 Cf. Guillaume PLOUIN, Op. Cit., p.12. 33 Cf. Joël HAGANS, Livre blanc : Les 3 bonnes raisons de proposer des applications Web via la virtualisation d’applications, dans https://www.citrix.com/.../top-three-reasons-to-deliver-web-apps-with-app-virtualizati...
  • 23.
    15 journaux ou laradio, on s'adressait à de grands groupes d'individus. De plus, à cause des budgets restreints et de la préparation que l'élaboration de campagnes sur ces médias demandait, on cherchait à maximiser l'investissement ; alors les entreprises étaient contraintes à présenter des messages généraux. À l'inverse, l’application web permet de cibler, avec un message adapté, plusieurs sous-ensembles des groupes de population qui étaient autrefois atteints avec un même message général. Ainsi, plutôt que de payer un gros montant pour une campagne globale, l’application web permet de payer quelques montants plus petits pour mener plusieurs campagnes personnalisées pour les cibles qu'elles visent34 . En fin, tel que nous venons de le voir, la communication est passée du mode unidirectionnel au mode bidirectionnel et le pouvoir des consommateurs s'est vu augmenté de façon à ce qu'ils puissent émettre leurs opinions et interagir avec la marque. Cela a créé pour les entreprises l’obligation de devenir transparentes. Le web a introduit même ce que l’on appelle la communauté virtuelle. En fait, « une communauté virtuelle est un site web qui propose aux internautes un espace de communication pour échanger, publier, débattre, convaincre autour d’une passion voire d’une activité commune. Proche d’un portail thématique, la communauté virtuelle s’en démarque cependant en formant un véritable groupe unique et identifié : ses membres »35 . I.2.7. CONCLUSION PARTIELLE Le but de ce chapitre a été de présenter notre milieu d’étude et d’éclaircir certains concepts relatifs au système d’information, au système informatique, au site statique, au site dynamique, à la notion de la programmation web et au commerce électronique. Après cette littérature, nous avons essayé de monter l’impact des applications web dans des entreprises. Ceci nous permet maintenant de passer au deuxième chapitre de notre travail qui porte sur l’analyse et la conception du système futur. 34 Cf. Joël HAGANS, Livre blanc : Les 3 bonnes raisons de proposer des applications Web via la virtualisation d’applications, dans https://www.citrix.com/.../top-three-reasons-to-deliver-web-apps-with-app-virtualizati... 35 Nicolas CHU, Op. Cit., p.3.
  • 24.
    16 DEUXIÈME CHAPITRE :ANALYSE ET CONCEPTION DU SYSTÈME II. 0. INTRODUCTION L’analyse et la conception d’un projet informatique nécessitent l’utilisation d’un langage de modélisation approprié de développement. Les outils du langage aident à la conception, permettent la description du système logiciel et une meilleure compréhension de celui-ci par les acteurs. Nous avons utilisé le langage de modélisation UML dans ce chapitre afin de modéliser notre système. C’est une notation qui permet de modéliser un problème de façon standard. Ce langage est né de la fusion de plusieurs méthodes existantes auparavant et il est devenu une référence en termes de modélisation objet, à tel point que sa connaissance est devenue indispensable pour un développeur36 . Dans ce chapitre, nous faisons l'élaboration du cahier des charges, l'identification des acteurs et leurs rôles, identification des cas d'utilisation, l'élaboration du diagramme des cas d’utilisation, les descriptions textuelles des cas d'utilisation, le diagramme des séquences, le diagramme d'activités, le diagramme de classes et le diagramme de déploiement. 36 Cf. Xavier BLANC et Isabelle MOUNIER, Op.Cit, p.5.
  • 25.
    17 II.1. ÉTUDE PRÉLIMINAIRE II.1.1.Élaboration du cahier des charges II.1.2. Identification des acteurs et leurs rôles La première étape de modélisation consiste à définir le périmètre du système et le contour de l’organisation et à le modéliser. Toute entité qui est en dehors de cette organisation et qui interagit avec elle est appelé acteur selon UML. Un acteur est un utilisateur type ayant toujours le même comportement vis-à-vis d’un cas d’utilisation37 . Ainsi les utilisateurs d’un système appartiennent à une ou plusieurs classes d’acteurs selon les rôles qu’ils tiennent par 37 Cf. Joseph GABAY et David GABAY, UML2. Analyse et conception. Mise en œuvre guidée avec études de cas, Dunod, Paris, 2008, p.62. Les Missionnaires Comboniens du Cœur de Jésus (MCCJ) trouvent une difficulté dans leurs systèmes de vente des revues et à l’égard de l’abonnement. Ainsi, ils souhaitent se doter d'une une application web performant afin de répondre aux besoins ci-après : 1. BESOINS FONCTIONNELS  Gestion d’abonnement aux articles de la revue en ligne ;  Connaissance automatique des articles publiés ;  Présentation de la revue Afriquespoir sur le carrefour de la rencontre des différents peuples du monde ;  L’énumération d’articles des revues vendus pendant une période ;  L’identification de tous les clients. 2. BESOINS OPERATIONNELS  L’abonnement aux articles de la revue en temps réel ;  L’authentification obligatoire avant l’accès aux articles. 3. CHOIX TECHNIQUES  Langage de programmation : PHP et JAVASCRIPT  SGBD : MYSQL  Langage de modélisation : UML  Architecture du système : client/serveur (3-Tiers) Tableau 1: Cahier des charges du projet
  • 26.
    18 rapport au système.Une même personne physique peut se comporter en autant d’acteurs différents que le nombre de rôles qu’elle joue vis-à-vis du système. Les acteurs qui interviennent dans notre système sont repris dans la figure ci-dessous avec leurs rôles : Figure 3: Acteurs du système
  • 27.
    19 II.1.3. Identification descas d'utilisation En analysant les besoins exprimés dans notre cahier de charges, nous avons déduit les cas d'utilisation suivants : II.2. CONCEPTION DYNAMIQUE DU SYSTEME II.2.1 Diagramme des cas d'utilisation Le diagramme des cas d’utilisation représente la structure des fonctionnalités nécessaires aux utilisateurs du système. Il est utilisé dans les deux étapes de capture des besoins fonctionnels et techniques. Il donne une vision globale du comportement fonctionnel d’un système logiciel. Cas d’utilisation Description Consulter le site Donne la possibilité à n’importe quel internaute d’accéder au site Créer un compte Vise l’enregistrement d'un nouvel abonné au site de la revue. Le compte n'est créé qu'au cas où les informations données par un internaute intéressé sont valides. Lire un article On est abonné lorsqu’on est inscrit dans le site. L’abonné a la possibilité de lire les articles ; il est conditionné de s’abonner au site (avoir un compte premium) avant de lire l’article dans sa totalité. S’abonner au site L’abonné peut à tout moment lire les articles à condition d’avoir un compte premium c’est-à-dire s’abonner. Partager l’article Permet à tous les abonnés de partager le lien d'un article dans les réseaux sociaux. Commenter un article Octroie à l’abonné la possibilité de donner son avis sur un article. S’authentifier Condition préalable pour accéder à certaines ressources protégées du site de la revue. Ce cas concerne donc l’administrateur et les abonnés au site. Gérer les articles L’administrateur a le droit d’ajouter, modifier et de supprimer des articles. Gérer les abonnés L’administrateur a le droit de faire la mise à jour sur les abonnés Gérer les catégories Le système octroie l’administrateur le droit d’ajouter, modifier et supprimer une catégorie d’article. Contacter-nous L’internaute et l’abonné peuvent entrer en contact avec Afriquespoir grâce à ce cas d’utilisation Tableau 2: Cas d'utilisation du système
  • 28.
    20 II.2.2. Élaboration dudiagramme des cas d'utilisation Figure 4: Diagramme des cas d'utilisation
  • 29.
    21 II.2.3. Description textuelledes cas d'utilisation Pour documenter les cas d’utilisation, la description textuelle est indispensable. Elle permet de communiquer facilement avec les utilisateurs et de s’entendre sur la terminologie métier employée. II.2.3.1. Description textuelle du cas Consulter le site IDENTIFICATION Nom : Consulter le site. Résumé : Ce cas permet à l’internaute (celui qui n’a pas un compte) de consulter uniquement la page d’accueil du site. Acteur : Internaute, l’abonné et l’administrateur. Date de création : 13/08/2019 Date de la mise à jour : 15/09/2019 Responsable : KUMBI MIANGEMBA RODDY Version : 1.0 SÉQUENCEMENT  Précondition Être internaute ou abonné.  Enchaînement 1. L’internaute saisit l'adresse Url du site. 2. Le système affiche la page d’accueil.  Post condition Site consulté. Tableau 3: Description textuelle du cas Consulter le site
  • 30.
    22 II.2.3.2. Description textuelledu cas contacter-nous IDENTIFICATION Nom : Contacter-nous. Résumé : Le Contacter-nous permet aux abonnés et internautes de contacter ou déposer une réclamation, à l’administration. Acteur : Internaute et l’abonné Date de création : 13/08/2019 Date de la mise à jour : 15/09/2019 Responsable : KUMBI MIANGEMBA RODDY Version : 1.0 SÉQUENCEMENT  Précondition Être connecté à l’application web.  Enchaînement A. Séquence nominale 1. L’internaute ou l’abonné choisit le menu contacter-nous. 2. Le système affiche le formulaire de message. 3. L’internaute ou l’abonné remplit le formulaire et valide. 4. Le système vérifie et envoie le message. B. Séquence alternative SA4 : Si l’internaute ou l’abonné n’a pas rempli tous les champs un message d’erreur s’affiche.  Post condition - Le message peut être envoyé ou pas envoyé. Tableau 4: Description textuelle du cas contacter-nous
  • 31.
    23 II.2.3.3. Description textuelledu cas S’inscrire IDENTIFICATION Nom : Créer un compte Résumé : Ce cas vise l’enregistrement d'un nouvel abonné au site de la revue. Le compte n'est créé qu'au cas où les informations données par un visiteur intéressé sont valides. Acteur : internaute Date de création : 13/08/2019 Date de la mise à jour : 15/09/2019 Responsable : KUMBI MIANGEMBA RODDY Version : 1.0 SÉQUENCEMENT  Précondition Être connecté à l’application web. -  Enchaînement  A. Séquence nominale 1. L’internaute choisit de s’inscrire. 2. Le système affiche le formulaire correspondant. 3. L’internaute remplit le formulaire. 4. Le système vérifie les données saisies. 5. Le système envoie un message avec le lien de confirmation de compte via l’adresse e-mail saisie par l’internaute. 6. L’internaute confirme son compte via son adresse e-mail. 7. Le système affiche l’espace du nouvel abonné. B. Séquence d’erreur  SA6 : Si un champ lui manque ou présente une erreur de saisie, le système affiche un message d’erreur : « Veuillez corriger les erreurs SVP ! »  SA8 : Si le message de confirmation dépasse l’attente d’une journée, pendant la confirmation, le système affiche un message d’erreur : « Le lien de confirmation est expirée »  Post condition Enregistrement du nouveau compte Tableau 5: Description textuelle du cas s’inscrire.
  • 32.
    24 II.2.3.4. Description textuelledu cas se connecter IDENTIFICATION Nom : Se connecter Résumé : c’est la condition préalable pour accéder à certaines ressources protégées du site de la revue. Ce cas concerne donc l’administrateur et les abonnés au site de la revue. L'abonné entre son identifiant et son mot de passe. Le système procède à la validation des données insérées et dans le cas de non validité des données entrées, le système renvoie un message. Dans le cas contraire, l'accès aux ressources privées propres à l'utilisateur en question est accordé. Acteur : Abonné et administrateur Date de création : 13/08/2019 Date de création : 13/08/2019 Date de la mise à jour : 15/09/2019 Responsable : KUMBI MIANGEMBA RODDY Version : 1.0 SÉQUENCEMENT  Précondition Être connecté à l’application web.  Enchaînement A. Séquence nominale 1. L’abonné demande de se connecter. 2. Le système affiche le formulaire d’authentification. 3. L’abonné saisit le login et le mot de passe. 4. Le système valide, ouvre la session et affiche la page d’accueil. B. Séquence alternative  S.A.3 : Le système demande d’essayer à nouveau : « login ou le mot de passe incorrecte »  Post condition L’abonné est soit authentifié ou non. Tableau 6 : Description textuelle du cas se connecter
  • 33.
    25 II.2.3.5. Description textuelledu s’abonner au site via PayPal IDENTIFICATION Nom : S’abonner au site via PayPal. Résumé : L’abonné doit avoir un compte premium pour avoir accès à tous les articles publiés dans le site, en cela il doit s’abonner au site via son compte PayPal. Acteur : Abonné Date de création : 13/08/2019 Date de la mise à jour : 15/09/2019 Responsable : KUMBI MIANGEMBA RODDY Version : 1.0 SÉQUENCEMENT  Précondition - Être connecté à l’application web. - L’abonné doit s’authentifier.  Enchaînement A. Séquence nominale 1. L’abonné choisit de s’abonner. 2. Le système affiche le formulaire d’abonnement avec différent prix. 3. L’abonné choisit son abonnement préféré (1mois, 3mois et 12mois). 4. Le système affiche la page PayPal. 5. L’abonné confirme l’abonnement. 6. Le système vérifie et affiche la page d’accueil. B. Séquence d’erreur  S.A.6 : Erreur d’abonnement.  Post condition - L’abonnement effectué. - L’échec d’abonnement. Tableau 7 : Description textuelle du cas s’abonner au site via PayPal
  • 34.
    26 II.2.3.6. Description textuelledu cas lire un article IDENTIFICATION Nom : Lire un article. Résumé : Après l’abonnement au site via le compte PayPal, l’abonné peut lire l’article (les articles qu’il préfère). Acteur : abonné Date de création : 13/08/2019 Date de la mise à jour : 15/09/2019 Responsable : KUMBI MIANGEMBA RODDY Version : 1.0 SÉQUENCEMENT  Précondition - Être connecté à son compte. - Avoir un compte premium (c’est-à-dire s’abonner au site). - Choisir de lire l’article.  Enchaînement A. Séquence nominale 1. L’abonné demande de lire l’article. 2. Le système affiche la page de lecture. B. Séquence alternative SA1 : Si l’abonner n’a pas un compte premium (c’est-à-dire avoir l’abonnement), le système affiche la page d’abonnement, afin que l’abonner puisse avoir un compte premium, avant de lire l’article.  Post condition L’abonné lit l’article. Tableau 8: Description textuelle du cas lire un article
  • 35.
    27 II.2.3.7. Description textuelledu cas partager un article IDENTIFICATION Nom : Partager un article Résumé : L’abonné peut partager le lien d'un article dans les réseaux sociaux. Acteur : Abonné Date de création : 13/08/2019 Date de la mise à jour : 15/09/2019 Responsable : KUMBI MIANGEMBA RODDY Version : 1.0 SÉQUENCEMENT  Précondition - Être connecté à l’application web. - Être connecté à son compte. - Choisir de lire l’article.  Enchaînement A. Séquence nominale 1. L’abonné clique sur l’icône d’un réseau social (Facebook, WhatsApp, Twitter, Pinterest, Google…) pour partager l’article. 2. Le système confirme le partage.  Post condition L’article partage Tableau 9: Description textuelle du cas partager un article
  • 36.
    28 II.2.3.8. Description textuelledu cas commenter un article IDENTIFICATION Nom : Commenter un article Résumé : Ce cas octroie à l’abonné la possibilité de donner son avis sur un article. Acteur : Abonné Date de création : 13/02/2019 Date de la mise à jour : 15/09/2019 Responsable : KUMBI MIANGEMBA RODDY Version : 1.0 SÉQUENCEMENT  Précondition - L’abonné doit avoir un compte premium (c’est-à-dire s’abonner au site). - Et Choisir de lire l’article.  Enchaînement A. Séquence nominale 1. L’abonné choisit de commenter sur un article. 2. Le système affiche un champ de commentaire de l’article. 3. L’abonné saisit son commentaire et valide. 4. Le système valide la publication du commentaire. B. Séquence alternative SA3 : Si l’abonné n’a pas rempli un champ, un message d’erreur s’affiche.  Post condition - Le commentaire publié. Tableau 10: Description textuelle du cas commenter un article
  • 37.
    29 II.2.3.9. Description textuelledu cas Gérer les articles IDENTIFICATION Nom : Gérer les articles. Résumé : Seul l’administrateur a le droit d’ajouter, modifier et de supprimer des articles. Acteur : l’Administrateur Date de création : 13/08/2019 Date de la mise à jour : 15/09/2019 Responsable : KUMBI MIANGEMBA RODDY Version : 1.0 SÉQUENCEMENT  Précondition - Être connecté à l’application web. - L’administrateur doit s’authentifier.  Enchaînement A. Séquence nominale 1. L’administrateur saisit l’url d’accès dans la partie d’administration. 2. Le système affiche la partie d’administration. 3. L’administrateur saisit l’article et choisit la photo puis valide la publication (il peut ajouter, modifier et supprimer un article). 4. Le système valide l’action et notifie l’accusé de la publication. B. Séquence alternative SA1 : Si le système ne reconnait pas l’administrateur le système affiche un message d’erreur.  Post condition L’article publié Tableau 11: Description textuelle du cas publier un article.
  • 38.
    30 II.2.3.10. Description textuelledu cas gérer les abonnés IDENTIFICATION Nom : Gérer les abonnés. Résumé : Il accorde à l’administrateur d’avoir un contrôle total sur les abonnés. Acteur : Administrateur. Date de création : 13/08/2019 Date de la mise à jour : 15/09/2019 Responsable : KUMBI MIANGEMBA RODDY Version : 1.0 SÉQUENCEMENT  Précondition  - Être connecté à l’application web. - S’authentifier au préalable. -  Enchaînement  A. Séquence nominale 1. L’administrateur demande d’ajouter, modifier ou supprimer un abonné. 2. Le système affiche le formulaire ou la liste des abonnés. 3. L’administrateur remplie le formulaire et valide. 4. Le système vérifie et confirme. B. Séquence alternative SA4 : Si l’administrateur n’a pas rempli tous les champs un message d’erreur s’affiche.  Post condition Mise à jour effectuée ou non effectuée. Tableau 12: Description textuelle du cas gérer les abonnés.
  • 39.
    31 II.2.3.11. Description textuelledu cas gérer les catégories II.2.4. DIAGRAMME DES SÉQUENCES Le diagramme des séquences permet de décrire les scénarios de chaque cas d’utilisation en mettant l’accent sur la chronologie des opérations en interaction avec les objets38 . Il va nous permettre de décrire les scénarios des cas d’utilisation du diagramme des cas d’utilisation. 38 Cf. Joseph GABAY et David GABAY, Op.Cit, p.165. IDENTIFICATION Nom : Gérer les catégories. Résumé : Il permet à l’administrateur d’ajouter, de modifier ou supprimer une catégorie des articles publiés. Acteur : Administrateur. Date de création : 13/08/2019 Date de la mise à jour : 15/09/2019 Responsable : KUMBI MIANGEMBA RODDY Version : 1.0 SÉQUENCEMENT  Précondition  - Être connecté à l’application web. - S’authentifier au préalable. -  Enchaînement  A. Séquence nominale 1. L’administrateur choisit de mettre à jour une catégorie. 2. Le système affiche le formulaire ou la liste des catégories. 3. L’administrateur remplie le formulaire et valide. 4. Le système vérifie et confirme. B. Séquence alternative SA4 : Si l’administrateur n’a pas rempli tous les champs un message d’erreur s’affiche.  Post condition. Mise à jour effectuée ou non effectuée. Tableau 13: Description textuelle du cas gérer les catégories.
  • 40.
    32 II.2.4.1. Diagramme deséquences du cas Consulter le site II.2.4.2. Diagramme de séquences du cas contacter-nous Figure N° 6 : Diagramme de séquences du cas contacter-nous Figure 5: Diagramme de séquences du cas Consulter le site
  • 41.
    33 Figure 6: Diagrammede séquences du cas s’inscrire II.2.4.3. Diagramme de séquences du cas s’inscrire
  • 42.
    34 II.2.4.4. Diagramme deséquence du cas se connecter Figure 7: Diagramme de séquence du cas se connecter
  • 43.
    35 II.2.4.5. Diagramme deséquence du cas s’abonner au site via PayPal Figure 8: Diagramme de séquence du cas s’abonner au site via PayPal
  • 44.
    36 II.2.4.6. Diagramme deséquences du cas lire un article Figure 9: Diagramme de séquences Lire un article
  • 45.
    37 II.2.4.7. Diagramme deséquences du cas partager un article II.2.4.8. Diagramme de séquences du cas commenter un article Figure 10: Diagramme de séquences Partager un article Figure 11: Diagramme de séquences du cas commenter un article
  • 46.
    38 II.2.4.9. Diagramme deséquence du cas gérer les articles Figure 12: Diagramme de séquence du cas gérer les articles
  • 47.
    39 II.2.4.10. Diagramme deséquence du cas gérer les abonnés Figure 13: Diagramme de séquence du cas gérer les abonnés
  • 48.
    40 II.2.4.11. Diagramme deséquence du cas gérer les catégories II.2. 5. Diagramme d'activités Le diagramme d'activités est attaché à une catégorie de classe et décrit le déroulement des activités de cette catégorie. Le déroulement s’appelle flot de contrôle. Il indique la part prise par chaque objet dans l'exécution d'un travail. En outre, il permet de représenter le déclenchement d'événements en fonction des états du système et de modéliser des comportements parallélisables. C’est une variante des diagrammes d’états-transitions, organisé par rapport aux actions et principalement destiné à représenter le comportement interne d’un cas d’utilisation39 . 39 Pierre Alain Muller, Modélisation objet avec UML, Paris, Eyrolles, p.182. Figure 14: Diagramme de séquence du cas gérer les catégories
  • 49.
    41 II.2.5.1. Diagramme d’activitésdu cas consulter le site II.2.5.2. Diagramme d’activités du cas contacter-nous Figure 15: Diagramme d’activités du cas consulter le site Figure 16: Diagramme d’activités du cas contacter-nous
  • 50.
    42 II.2.5.3. Diagramme d’activitésdu cas s’inscrire Figure 17: Diagramme d’activités du cas s’inscrire
  • 51.
    43 II.2.5.4. Diagramme d’activitésdu cas se connecter Figure 18: Diagramme d’activités du cas se connecter
  • 52.
    44 II.2.5.5. Diagramme d’activitésdu cas s’abonner au site via PayPal Figure 19: Diagramme d’activités du cas s’abonner au site via PayPal
  • 53.
    45 II.2.5.6. Diagramme d’activitésdu cas lire un article II.2.5.7. Diagramme d'activités du cas partager un article Figure 21: Diagramme d'activités du cas partager un article Figure 20: Diagramme d’activités du cas lire un article
  • 54.
    46 II.2.5.8. Diagramme d’activitésdu cas commenter un article II.2.5.9. Diagramme d’activités du cas gérer les articles Figure 22: Diagramme d’activités du cas commenter un article Figure 23: Diagramme d’activités du cas gérer les articles
  • 55.
    47 II.2.5.10. Diagramme d’activitésdu cas gérer les abonnés Figure 24: Diagramme d’activités du cas gérer les abonnés
  • 56.
    48 II.2.5.11. Diagramme d’activitésdu cas gérer les catégories II.3. LA CONCEPTION DU SYSTÈME STATIQUE II.3.1. Diagramme des classes Un diagramme de classes montre une abstraction de la réalité.40 Il est généralement considéré comme le plus important dans un développement orienté objet. Ce diagramme est prévu pour développer la structure des entités manipulées par les utilisateurs du point de vue fonctionnel. Il exprime de manière générale la structure statique d’un système, en termes de classes et de relations entre ces classes. Une classe permet de décrire un ensemble d’objets (attributs et comportement). 40 Cf. Pierre Alain Muller, Modélisation objet avec UML, Paris, Eyrolles, p.48. Figure 25: Diagramme d’activités du cas gérer les catégories
  • 57.
    49 II.3.1.1 Élaboration dudiagramme de classes Figure 26: Élaboration du diagramme de classes
  • 58.
    50 II.3.1.2. Schéma relationnel Leschéma relationnel est l'ensemble des relations qui modélisent le monde réel, c’est une manière de modéliser les relations existantes entre plusieurs informations, et de les ordonner entre elles. Users (user_id, firstname, lastname, Ville, Commune, Quartier, Avenue, Numero, Telephone, username, mail, password, created, lastlogin, active, role, end_subscribtion) Transactions (id, price, tax, txnid, action, amount, created, name, country, city, address, #user_id) Categories (category_id, name, slug, post_count) Posts (post_id, name, slug, content, type, created, online, #category_id, #user_id) Medias (id, type, name, url, #post_id) Comments (id, username, mail, content, created, #post_id, `#user_id) II.3.2. Diagramme de déploiement Le diagramme de déploiement permet de représenter l’architecture physique supportant l’exploitation du système. Cette architecture comprend des nœuds correspondant aux supports physiques (serveurs, routeurs…) ainsi que la répartition des artefacts logiciels (bibliothèques, exécutables…) sur ces nœuds. Figure 27: Diagramme de déploiement
  • 59.
    51 II.4. CONCLUSION PARTIELLE Nousvenons de terminer le deuxième chapitre de notre travail qui consistait à faire l’analyse et la conception du système. Signalons que cette analyse a été réalisée à travers le langage UML qui est un langage de modélisation graphique à base de pictogrammes conçu pour fournir une méthode normalisée pour visualiser la conception d'un système. Dans le troisième chapitre, nous allons aborder la dernière partie qui représente la réalisation de notre site web, en nous basant sur les mécanismes et les solutions déterminés dans la phase de conception.
  • 60.
    52 TROISIEME CHAPITRE :L'IMPLÉMENTATION DU SYSTÈME III.0. INTRODUCTION L’implémentation regroupe toutes les activités de conception détaillée, le codage et tests unitaires41 . Dans ce chapitre, nous présenterons, tout d'abord, les outils de programmation et quelques interfaces de l’application. III.1. PRÉSENTATION DES OUTILS DE PROGRAMMATION III.1.1. Choix du langage de programmation et son importance La programmation que nous avons entreprise matérialise les théories que nous avions évoquées dans le premier chapitre sur la programmation du coté serveur. En faites, nous avons besoin des langages standards pour la programmation des sites (HTML, CSS, JAVASCRIPT qui créent uniquement des sites statiques) qui s’occupent de la présentation des sites. Les mécanismes qui font fonctionner intérieurement notre site nécessitent un langage du coté serveur pour générer automatiquement les pages. Nous avons utilisé PHP. Le langage PHP est un langage open source développé depuis 1994. Au départ, le programmeur groenlandais et canadien Rasmus LERDORF a inventé la première version du langage pour son site web. Au fil du temps PHP s’est développé et a pris une autre dimension42 . De nos jours, il existe de nombreux langages de programmation à choisir pour le développement Web, tels que : ASP, JSP, Perl, Ruby, CGI et PHP qui est le langage de programmation le plus utilisé par rapport aux autres langages en raison de sa simplicité offerte aux développeurs, qui peuvent apprendre ce langage de script facilement. Les éléments que nous ne connaissons pas sont expliqués grâce à une excellente documentation en ligne et de nombreux ouvrages de grande qualité. Le PHP gère très bien, depuis les origines, les requêtes SQL. Nous pouvons donc facilement écrire des programmes qui affichent des données extraites de bases SQL, ou qui stockent des données postées par un formulaire dans une table SQL. Il sait communiquer avec presque tous les SGBD de la création (Oracle, MySQL, DB2, Informix, Ingres, PostgreSQL, SQL Server, Access etc…). En effet un très grand nombre de sites internet a recours à ce langage depuis. Pour les plus populaires, on peut citer Facebook, Wikipédia ou encore Yahoo. Pour coder en PHP différente alternative s’offrent à nous, on peut travailler en local, c’est-à-dire en hébergeant nous-mêmes tous les fichiers sur notre propre machine ou encore hors ligne, soit en production c’est-à-dire sur des fichiers qui sont hébergés sur un serveur 41 Pierre-Alain Muller, Modélisation obje avec UML, 42 Cf. Rasmus LERDORF, PHP. Précis et concis, 2ème édition, O ’Reilly Media, 2003, p.1.
  • 61.
    53 distant. Lors dela phase de développement d’un site ou dans des phases de test ou de débogage et sauf cas exceptionnels, un bon développeur préférera travailler en local afin de ne pas impacter le fonctionnement normal d’un site web. Il nous faut donc recréer une architecture serveur sur notre propre machine avec les logiciels adaptés afin de pouvoir tester nos codes PHP. Un serveur dispose de différents programmes lui permettant de lire et de comprendre certains langages informatiques que notre ordinateur ne peut pas lire.43 Il existe des logiciels regroupant tous les programmes nécessaires pour travailler en local, sous Windows nous avons utilisé WampServer qui est un environnement comprenant trois serveurs (Apache, MySQL et MariaDB), un interpréteur de script (PHP), ainsi que phpMyAdmin pour l'administration Web des bases MySQL. III.2. QUELQUES INTERFACES DE L’APPLICATION III.2.1. Page d’accueil 43 Jérôme LAFOSSE, Java EE : guide de développement d'applications web en Java, ENI, Paris, 2009, p. 52. Figure 28: Page d’accueil du système
  • 62.
    54 III.2.2. Page d’inscription III.2.3.Page de connexion Figure 29: Page d’inscription Figure 30: Page de connexion
  • 63.
    55 III.2.4. Page delecture d’un article III.2.5. Page d’abonnement via PayPal Figure 31: Page de lecture d’un article Figure 32: Page d’abonnement via PayPal
  • 64.
    56 III.2.6. Page d’administration III.3.CONCLUSION PARTIELLE Il était question dans ce chapitre de présenter l’implémentation du système qui est la réalisation, l'exécution ou la mise en pratique d'un plan, d'une méthode ou bien d'un concept, d'une idée, d'un modèle, d'une spécification, d'une norme ou d'une règle dans un but précis. L'implémentation est donc l'action qui doit suivre une réflexion pour la concrétiser. Figure 33: Page d’administration
  • 65.
    57 CONCLUSION GENERALE Dans lemonde des humains, plusieurs chercheurs sont en quête de moyens pour révolutionner le traitement des données dans leurs système d’informations. Nous nous joignons à eux pour affirmer que les applications web révolutionnent le présent et le futur du travail, car les banques, les douanes, les hôpitaux, … ne cessent de les intégrer dans leur S.I. Quant à nous l’idée maîtresse de notre travail s’articule sur le « Développement d’une application web de gestion d’abonnement payant aux articles publiés dans la revue Afriquespoir ». C’est ce que sous forme de question nous pouvons résumer en : Comment Ae pourrait-elle interagir facilement avec ses abonnés ? Dans quelle mesure une application web de gestion de lecture d’articles peut-elle permettre aux abonnés de conclure l’abonnement aux articles au-delà les contraintes de temps et d’espace ? Admettons que diviser pour mieux régner peut s’appliquer à notre recherche. Nous avons ramifié notre travail en trois chapitres que nous allons détailler plus tard. Ce qui nous attire à l’instant c’est de vous mettre au courant des stimulus qui nous ont poussé à rédiger ce travail. D’abord le désir d’offrir à la maison Ae l’outil idéal pour révolutionner sa manière d’interagir avec ses abonnés. Ensuite notre objectif c’est de perfectionner nos connaissances du premier cycle en matière de gestion des entreprises et particulièrement au moyen des applications web. Enfin valoriser la formation qu’offre l’université de l’Assomption au Congo. Nos hypothèses nous ont poussé à nous servir de langage UML vu sa large capacité de conception des systèmes informatiques dans le but de construire des classes. Ces classes sont des matières premières pour la programmation orientée objet. Soulignons que la technique documentaire et d’interview ont préparé le terrain de cultivation au langage UML. A présent, voici les chapitres de notre travail : Le premier chapitre est le cadre théorique ou nous avons décrit notre milieu d’étude et quelques notions des concepts de la programmation web. Le deuxième chapitre est la conception du système. Ici nous avons conçu le plan de notre système informatique. Le troisième chapitre consiste dans l’implémentation du système conçu dans le chapitre deuxième ; nous avons débuté l’étude préliminaire par l’élaboration du cahier des charges. Il était question d’établir les besoins fonctionnels de l’entreprise, nos besoins opérationnels et nos choix techniques (Cfr. Tableau 1 : cahier des charges du projet). Et aussi l’établissement des cas d’utilisation du système (tableau N°2). Vous trouverez sur la figure 4 l’amorçage de la conception dynamique de notre système informatique, que suivent les descriptions contextuelles, les diagrammes des séquences
  • 66.
    58 (figure 8-14) etles diagrammes d’activités. Le point saillant de ce grand labeur était l’élaboration du diagramme de classes : c’est l’ossature de notre système. Désormais, cette analyse nous projette tout droit à l’implémentation du système. Dans ce troisième chapitre, nous avons regroupé toutes les activités de conception détaillée, le codage et le test unitaire. Nous justifions de même les outils de programmation que nous avons utilisés et quelques captures d’écran qui confirment nos hypothèses. En un mot, les démarches entreprises depuis l’introduction de ce travail ne sont pas vaines. Nos hypothèses ne trahissent pas notre visée première. Les tests unitaires confirment que le développement d’une application web de gestion d’abonnement va permettre aux MCCJ de présenter Ae au carrefour des peuples du monde.
  • 67.
    59 BIBLIOGRAPHIE I. OUVRAGES 1. BERSINIHugues, La programmation orientée objet, Eyrolles, Paris, 2009. 2. BIGANG Michel, Conception des systèmes d’information : modélisation des données. Etudes de cas, Technip, Paris, 2006. 3. BLANC Xavier et MOUNIER Isabelle, UML 2 pour les développeurs, Eyrolles, Paris,2006. 4. BOIS François-Xavier, PHP5. Le guide complet. Maitrisez PHP 5 de A à Z ! 3e édition, Micro Application, Paris, 2008. 5. BONAN Matthieu, Débuter en informatique avec Windows 7, Simple IT, Paris, 2011. 6. BOURDIN Dominique, 100 fiches de culture générale. Histoire de la pensée, Bréal, 2006. 7. BOUTON Delphine et alii, Créer un site e-commerce avec Dreamweaver CS4 et PHP/MySQL, 4e édition, Pearson education, Paris, 2009. 8. CHU Nicolas, Réussir un projet de site web, 4e édition, Eyrolles, Paris, 2006. 9. GABAY Joseph et GABAY Joseph, UML 2. Analyse et conception. Mise en œuvre guidée avec études de cas, Dunod, Paris, 2008. 10. GARDARIN Georges, Bases de données, Eyrolles, Paris, 2003. 11. LAFOSSE Jérôme, Java EE. Guide de développement d'applications web en Java, ENI, Paris, 2009. 12. LARROUSSE Nicolas, Création des bases de données, Pearson éducation, Paris, 2009. 13. LERDORF Rasmus, PHP. Précis et concis, 2e édition, États-Unis, Ed. O ’Reilly Media, 2003. 14. MORLEY Chantal, Management d’un projet système d’information. Principes, techniques, mise en œuvre et outils, 6ème édition, Dunod, Paris, 2008. 15. MULLER Jean-Louis, Management d'un projet. 100 questions pour comprendre et agir, AFNOR, Paris, 2005. 16. MULLER Pierre-Alain, Modélisation objet avec UML, Paris, Eyrolles 17. NEBRA Mathieu, Comprendre le web, Simple IT, Paris, 2009. 18. NEBRA Mathieu, Concevez votre site web avec PHP et MySQL, Simple IT, Paris, 2013. 19. NOGIER Jean-François, Ergonomie du logiciel et design web. Le manuel des interfaces utilisateur, 4e édition, Dunod, Paris, 2008. 20. OECD, Cyber formation les enjeux du partenariat, OECD, 2001.
  • 68.
    60 21. PLOUIN Guillaume,Cloud computing. Sécurité, gouvernance du SI hybride et panorama du marché, 4e édition, Dunod, Paris, 2016. 22. ROY Gilles, Conception de bases de données avec UML, PUQ, Québec, 2009. 23. SOUTER, Indicateur de l’UNESCO sur l’université de l’internet : cadre pour évaluer le développement de l’internet, UNESCO, Tunis, 2019. 24. STOCKINGER Peter, Évolutions récentes des technologies web du côté client, Techniques Ingénieur, Paris, 2010. 25. VAN ROY Peter et HARIDI Seif, Programmation. Concepts, techniques et modèles, Dunod, Paris, 2007. II. TRAVAUX DE FIN DE CYCLE ET MEMOIRES 26. DANADU INIKUTIRO Comboni Raquiël, Conception d’un site web dynamique de l’abonnement à une revue en ligne, cas de la revue Afriquespoir, TFC inédit, F.A.B, 2015-2016. 27. RAISSI Adel, Conception et développement d’un site web de e-commerce pour le compte de LSAT Nokia, Mémoire inédit, U.V.T, 2012-2013. III. WEBOGRAPHIE 1. http://www.comboniane.org/links-fr/sites-publications-missionnaires/afriquespoir 2. https://www.citrix.com/.../top-three-reasons-to-deliver-web-apps-with-app virtualizati...
  • 69.
    61 TABLE DES MATIÈRES EPIGRAPHE............................................................................................................................................... i IN MEMORIAM......................................................................................................................................ii DEDICACE ................................................................................................................................................iii REMERCIEMENTS ...............................................................................................................................iv LISTE DES ABREVIATIONS .........................................................................................................................v 0.INTRODUCTION GENERALE.......................................................................................................... 1 0.1. ETAT DE LA QUESTION .............................................................................................................. 1 0.2. PROBLEMATIQUE ................................................................................................................... 2 0.3. HYPOTHÈSES ........................................................................................................................... 3 0.4. CHOIX ET INTÉRÊT DU SUJET.............................................................................................. 4 0.5. MÉTHODE ET TECHNIQUES UTILISEES............................................................................. 4 0.5.1. Méthode......................................................................................................................................... 4 0.5.2. Techniques .................................................................................................................................... 4 0.6. DELIMITATION DU SUJET..................................................................................................... 5 0.7. SUBDIVISION DU TRAVAIL .................................................................................................. 5 0.8. DIFFICULTES RENCONTREES .............................................................................................. 5 PREMIER CHAPITRE : CADRE THEORIQUE................................................................................... 6 I.0. INTRODUCTION ............................................................................................................................ 6 I.1. PRESENTATION DE L'ENTREPRISE........................................................................................... 6 I.1.1. Historique....................................................................................................................................... 7 I.1.2. Situation géographique .................................................................................................................. 7 I.1.3. Structures fonctionnelles et organisationnelles.............................................................................. 8 I.1.3.1 Organigramme ............................................................................................................................. 8 I.1.3.2. Description des différents services.............................................................................................. 8 I.2. CONSIDERATIONS THEORIQUES.............................................................................................. 9 I.2.1. Système d'information ................................................................................................................... 9 I.2.2. Système informatique .................................................................................................................. 10
  • 70.
    62 I.2.4. Site web........................................................................................................................................11 I.2.4.1. Site statique............................................................................................................................... 11 I.2.4.2. Site dynamique.......................................................................................................................... 11 I.2.5. Programmation web..................................................................................................................... 12 I.2.5.1. Langage de programmation ...................................................................................................... 12 I.2.5.3. Commerce électronique ............................................................................................................ 13 I.2.6. Impact des applications web dans les entreprises ........................................................................ 14 I.2.7. CONCLUSION PARTIELLE...................................................................................................... 15 DEUXIÈME CHAPITRE : ANALYSE ET CONCEPTION DU SYSTÈME...................................... 16 II. 0. INTRODUCTION ........................................................................................................................ 16 II.1. ÉTUDE PRÉLIMINAIRE............................................................................................................. 17 II.1.1. Élaboration du cahier des charges .............................................................................................. 17 II.1.2. Identification des acteurs et leurs rôles....................................................................................... 17 II.1.3. Identification des cas d'utilisation............................................................................................... 19 II.2. CONCEPTION DYNAMIQUE DU SYSTEME .......................................................................... 19 II.2.1 Diagramme des cas d'utilisation .................................................................................................. 19 II.2.2. Élaboration du diagramme des cas d'utilisation.......................................................................... 20 II.2.3. Description textuelle des cas d'utilisation................................................................................... 21 II.2.3.1. Description textuelle du cas Consulter le site.......................................................................... 21 II.2.3.2. Description textuelle du cas contacter-nous ............................................................................ 22 II.2.3.3. Description textuelle du cas S’inscrire .................................................................................... 23 II.2.3.4. Description textuelle du cas se connecter............................................................................... 24 II.2.3.5. Description textuelle du s’abonner au site via PayPal............................................................ 25 II.2.3.6. Description textuelle du cas lire un article.............................................................................. 26 II.2.3.7. Description textuelle du cas partager un article...................................................................... 27 II.2.3.8. Description textuelle du cas commenter un article................................................................. 28 II.2.3.9. Description textuelle du cas Gérer les articles........................................................................ 29 II.2.3.10. Description textuelle du cas gérer les abonnés ...................................................................... 30
  • 71.
    63 II.2.3.11. Description textuelledu cas gérer les catégories................................................................... 31 II.2.4. DIAGRAMME DES SÉQUENCES........................................................................................... 31 II.2.4.1. Diagramme de séquences du cas Consulter le site.................................................................. 32 II.2.4.2. Diagramme de séquences du cas contacter-nous..................................................................... 32 II.2.4.3. Diagramme de séquences du cas s’inscrire.............................................................................. 33 II.2.4.4. Diagramme de séquence du cas se connecter .......................................................................... 34 II.2.4.5. Diagramme de séquence du cas s’abonner au site via PayPal................................................. 35 II.2.4.6. Diagramme de séquences du cas lire un article ....................................................................... 36 II.2.4.7. Diagramme de séquences du cas partager un article .............................................................. 37 II.2.4.8. Diagramme de séquences du cas commenter un article.......................................................... 37 II.2.4.9. Diagramme de séquence du cas gérer les articles.................................................................... 38 II.2.4.10. Diagramme de séquence du cas gérer les abonnés ................................................................ 39 II.2.4.11. Diagramme de séquence du cas gérer les catégories ............................................................. 40 II.2. 5. Diagramme d'activités ............................................................................................................... 40 II.2.5.1. Diagramme d’activités du cas consulter le site........................................................................ 41 II.2.5.2. Diagramme d’activités du cas contacter-nous ......................................................................... 41 II.2.5.3. Diagramme d’activités du cas s’inscrire.................................................................................. 42 II.2.5.4. Diagramme d’activités du cas se connecter............................................................................. 43 II.2.5.5. Diagramme d’activités du cas s’abonner au site via PayPal.................................................... 44 II.2.5.6. Diagramme d’activités du cas lire un article............................................................................ 45 II.2.5.7. Diagramme d'activités du cas partager un article .................................................................... 45 II.2.5.8. Diagramme d’activités du cas commenter un article.............................................................. 46 II.2.5.9. Diagramme d’activités du cas gérer les articles....................................................................... 46 II.2.5.10. Diagramme d’activités du cas gérer les abonnés................................................................... 47 II.2.5.11. Diagramme d’activités du cas gérer les catégories................................................................ 48 II.3. LA CONCEPTION DU SYSTÈME STATIQUE ......................................................................... 48 II.3.1. Diagramme des classes............................................................................................................... 48 II.3.1.1 Élaboration du diagramme de classes....................................................................................... 49
  • 72.
    64 II.3.1.2. Schéma relationnel...................................................................................................................50 II.3.2. Diagramme de déploiement........................................................................................................ 50 II.4. CONCLUSION PARTIELLE ....................................................................................................... 51 TROISIEME CHAPITRE : L'IMPLÉMENTATION DU SYSTÈME ................................................. 52 III.0. INTRODUCTION........................................................................................................................ 52 III.1. PRÉSENTATION DES OUTILS DE PROGRAMMATION...................................................... 52 III.1.1. Choix du langage de programmation et son importance........................................................... 52 III.2. QUELQUES INTERFACES DE L’APPLICATION................................................................... 53 III.2.1. Page d’accueil............................................................................................................................ 53 III.2.2. Page d’inscription...................................................................................................................... 54 III.2.3. Page de connexion..................................................................................................................... 54 III.2.4. Page de lecture d’un article ....................................................................................................... 55 III.2.5. Page d’abonnement via PayPal ................................................................................................. 55 III.2.6. Page d’administration................................................................................................................ 56 III.3. CONCLUSION PARTIELLE...................................................................................................... 56 CONCLUSION GENERALE ............................................................................................................... 57 BIBLIOGRAPHIE ................................................................................................................................ 59 I. OUVRAGES ................................................................................................................................. 59 II. TRAVAUX DE FIN DE CYCLE ET MEMOIRES......................................................................... 60 III. WEBOGRAPHIE............................................................................................................................ 60