LICENCE SCIENCES ET TECHNIQUES
PHYSIQUE APPLIQUEE
Module:
Composants et instruments optiques
A.EL AZRAK
Année Universitaire 2020-2021
Composants et instruments optiques
Sommaire
Introduction générale
Chapitre1: Les composants optiques
•Les lentilles
•Les miroirs
•Les dioptres
• Applications: Lame à faces parallèles et prisme.
Chapitre 2: Optique matricielle
Chapitre 3 : Les Instruments optiques
• Optométrie: œil et ses défauts
•Loupe et Microscope
•Lunettes d’observations (terrestre et astronomique)
•Téléobjectif……
Chapitre4 : Les interférences et les diffractions
•Interférences non localisées
•Interférences localisées
•diffraction (à l’infinie)
•Les systèmes interférométriques:
•Interféromètre de Michelson
•interféromètre de Mach-Zinder
• interféromètre de Sagnac.
•Chapitre5 : Les réseaux
Chapitre6 : Les lasers et les applications
Introduction générale
1. Onde électromagnétique :
C’est une vibration d’un champ électrique
E couplé à un champ magnétique B.
En tout point M, atteint par l’onde, existe
un E et un B
M
E
B
S
Une onde électromagnétique se caractérise
par :
* sa fréquence de vibration  (Hz),
* ou bien par sa longueur d’onde
  = cT=c/.
Toute les ondes électromagnétique se
déplacent dans le vide à la même vitesse :
 c= 3.108
m/s.
2. Spectre des ondes électromagnétique
• C’est la classification des ondes
électromagnétique en fonction de leurs
fréquences ou de leurs longueurs d’onde.
(m)
R  RX Visible Micro
ondes
Radio
~10-16
~10-9
4.10-6
0,7.10-6
~10-2
~1 ~103
3. La lumière : C’est la partie visible à l’œil
(humain) du spectre des
OEM.
Ordre de grandeur de la fréquence  :
(m)
Violet Bleu Vert Jaune Orange Rouge
0,39 0,45 0,49 0,57 0,59 0,62 0,78
Hz
6.10
0,5.10
3.10
λ
c
alors
m
0,5
λ
Si 14
6
8



 


4. Indice de réfraction optique n d’un milieu.
Dans un milieu transparent donné, la
lumière se propage à la vitesse v (v<c).
Par Définition l’indice de réfraction optique
d’un matériau est :
n est toujours > 1. v
c
n 
5. Dispersion de la lumière :
• Dans un matériau donné v dépende de .
• Ainsi, n dépende de  : n = f().
• En général n diminue lorsque  augmente.
1
n

Indice (moyen) de quelques matériaux
Milieu Indice n
Eau 1,33
Verre 1,50-152
Plexiglas 1,49
Benzène
CS2 1,63
1,50
• Optique géométrique :
La lumière se propage en ligne
droite (rayons lumineux).
• Optique physique (ou ondulatoire) :
La lumière est une onde.
Chapitre1:
Les composants optiques
Les lentilles
formule de Descartes: l’origine est au centre O
f'
1
'
1
p
1



p
Formule de Newton: l’origine est aux foyers
f'
f'
f
A'
F'
FA 2



f'
A'
F'
FA
f'
AB
B'
A'





si l’origine est aux foyers.
Le grandissement
C’est le rapport
Si l’origine est en O
OA
OA'
AB
B'
A'



AB
B'
A'


Construction de l’image d’un objet
Les miroirs
Relation de conjugaison pour un miroir
sphérique
Dans l’approximation de Gauss: I=S, l’Invariant fondamental d’un
miroir sphérique s’écrit:
* Origine au sommet S C
S
A
S
A
S
2
'
1
1


* Origine au centre C
S
C
A
C
A
C
2
'
1
1


'
'
'
CA
CA
SA
SA


Foyers d’un miroir sphérique
* Foyer image (F’)
Définition : F’ est l’image d’un objet situé
à l’infini
A=∞ A’=F’
M
2
'
2
1
'
1 C
S
F
S
C
S
SF





* Foyer objet F
Définition : F’ est un objet qui a pour image
l’infini
F ∞
M
2
'
Donc,
.
2
2
1
1
C
S
F
S
F
S
C
S
F
S
C
S
SF







Grandissement de l’image.
Le grandissement est :
CA
CA
SA
SA
AB
B
A '
'
'
'





Construction de l’image d’un objet
Les dioptres
Relation de conjugaison pour un dioptre sphérique
* Origine au Sommet S
-n1/SA + n2/SA’ = (n2-n1)/SC
 = A’B’/AB = n1/n2(SA’/SA)
•Origine au centre
n2/CA -n1/CA’ = (n2-n1)/CS
 = A’B’/AB = CA’/CA
Foyer principal d’un dioptre
Si A est à l’infini, A’ coïncide avec F’ donc la F.C. s’écrit :
n2/SF’ = (n2-n1)/SC
c’est à dire f’ = SC.n2/(n2-n1)
De même si A coïncide avec F , A’ est à l’infini, et la FC
s’écrit : -n1/SF = (n2-n1)/SC
c’est-à-dire f = -SC.n1/(n2-n1)
On remarque que f + f’ = SC et f/f’ = -n1/n2
un dioptre est dit convergent si f’>0 et divergent dans le
cas contraire
La formule de Newton s’écrit:
FA.F’A’ = ff’
Application du dioptre plan: lame à faces
parallèles
1 -Définition
Une lame à faces parallèles est un milieu
homogène et transparent limité par deux dioptres
plans et parallèles.
La lame est d’épaisseur e, d’indice n et placée
dans l’air d’indice 1.
2 - Marche d’un rayon lumineux
Un rayon qui traverse une lame à faces parallèles
n’est pas dévier mais subit une translation égale
à = e. sin(i-r)/cosr, où i et r sont respectivement
angle d’incidence et de réfraction sur la première
face de la lame
3 - Image d’un point objet
A donne une image A1 à travers le premier
dioptre, A1 joue le rôle d’objet pour le second
dioptre, qui en donne une image définitive A’ .
On montre que AA’ = e.(n-1)/n.
dans le cas de petits  = AA’.i
Application du dioptre plan: prisme
Définition
Un prisme est un milieu transparent d’indice
absolu n, limité par deux dioptres plans non
parallèles P et P’, appelés faces du prisme.
L’angle A, formé par P et P’, est appelé l’angle du
prisme.
sin i = n sin r (1)
sin i’ = n sin r’ (2)
A = r + r’ (3)
D = i + i’ - A (4)
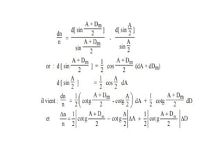
* Variation de D avec la longueur d’onde 
Dans le visible l’indice n dépend de  selon la loi de
Cauchy qui peut s’écrire: n = a + b / ²
donc n augmente si diminue, et par conséquent
D augmente si la longueur d’onde  diminue:
C à d en passant du rouge (0,8 ) au violet (0,4).

chapitre1-Rappel doptique géométrique.ppt

  • 1.
    LICENCE SCIENCES ETTECHNIQUES PHYSIQUE APPLIQUEE Module: Composants et instruments optiques A.EL AZRAK Année Universitaire 2020-2021
  • 2.
    Composants et instrumentsoptiques Sommaire Introduction générale Chapitre1: Les composants optiques •Les lentilles •Les miroirs •Les dioptres • Applications: Lame à faces parallèles et prisme. Chapitre 2: Optique matricielle Chapitre 3 : Les Instruments optiques • Optométrie: œil et ses défauts •Loupe et Microscope •Lunettes d’observations (terrestre et astronomique) •Téléobjectif…… Chapitre4 : Les interférences et les diffractions •Interférences non localisées •Interférences localisées •diffraction (à l’infinie) •Les systèmes interférométriques: •Interféromètre de Michelson •interféromètre de Mach-Zinder • interféromètre de Sagnac. •Chapitre5 : Les réseaux Chapitre6 : Les lasers et les applications
  • 3.
    Introduction générale 1. Ondeélectromagnétique : C’est une vibration d’un champ électrique E couplé à un champ magnétique B. En tout point M, atteint par l’onde, existe un E et un B M E B S
  • 4.
    Une onde électromagnétiquese caractérise par : * sa fréquence de vibration  (Hz), * ou bien par sa longueur d’onde   = cT=c/. Toute les ondes électromagnétique se déplacent dans le vide à la même vitesse :  c= 3.108 m/s.
  • 5.
    2. Spectre desondes électromagnétique • C’est la classification des ondes électromagnétique en fonction de leurs fréquences ou de leurs longueurs d’onde. (m) R  RX Visible Micro ondes Radio ~10-16 ~10-9 4.10-6 0,7.10-6 ~10-2 ~1 ~103
  • 6.
    3. La lumière: C’est la partie visible à l’œil (humain) du spectre des OEM. Ordre de grandeur de la fréquence  : (m) Violet Bleu Vert Jaune Orange Rouge 0,39 0,45 0,49 0,57 0,59 0,62 0,78 Hz 6.10 0,5.10 3.10 λ c alors m 0,5 λ Si 14 6 8       
  • 7.
    4. Indice deréfraction optique n d’un milieu. Dans un milieu transparent donné, la lumière se propage à la vitesse v (v<c). Par Définition l’indice de réfraction optique d’un matériau est : n est toujours > 1. v c n 
  • 8.
    5. Dispersion dela lumière : • Dans un matériau donné v dépende de . • Ainsi, n dépende de  : n = f(). • En général n diminue lorsque  augmente. 1 n 
  • 9.
    Indice (moyen) dequelques matériaux Milieu Indice n Eau 1,33 Verre 1,50-152 Plexiglas 1,49 Benzène CS2 1,63 1,50
  • 10.
    • Optique géométrique: La lumière se propage en ligne droite (rayons lumineux). • Optique physique (ou ondulatoire) : La lumière est une onde.
  • 11.
  • 12.
    Les lentilles formule deDescartes: l’origine est au centre O f' 1 ' 1 p 1    p Formule de Newton: l’origine est aux foyers f' f' f A' F' FA 2   
  • 13.
    f' A' F' FA f' AB B' A'      si l’origine estaux foyers. Le grandissement C’est le rapport Si l’origine est en O OA OA' AB B' A'    AB B' A'  
  • 14.
  • 16.
    Les miroirs Relation deconjugaison pour un miroir sphérique Dans l’approximation de Gauss: I=S, l’Invariant fondamental d’un miroir sphérique s’écrit: * Origine au sommet S C S A S A S 2 ' 1 1   * Origine au centre C S C A C A C 2 ' 1 1   ' ' ' CA CA SA SA  
  • 17.
    Foyers d’un miroirsphérique * Foyer image (F’) Définition : F’ est l’image d’un objet situé à l’infini A=∞ A’=F’ M 2 ' 2 1 ' 1 C S F S C S SF     
  • 18.
    * Foyer objetF Définition : F’ est un objet qui a pour image l’infini F ∞ M 2 ' Donc, . 2 2 1 1 C S F S F S C S F S C S SF       
  • 19.
    Grandissement de l’image. Legrandissement est : CA CA SA SA AB B A ' ' ' '     
  • 20.
  • 21.
    Les dioptres Relation deconjugaison pour un dioptre sphérique * Origine au Sommet S -n1/SA + n2/SA’ = (n2-n1)/SC  = A’B’/AB = n1/n2(SA’/SA) •Origine au centre n2/CA -n1/CA’ = (n2-n1)/CS  = A’B’/AB = CA’/CA
  • 22.
    Foyer principal d’undioptre Si A est à l’infini, A’ coïncide avec F’ donc la F.C. s’écrit : n2/SF’ = (n2-n1)/SC c’est à dire f’ = SC.n2/(n2-n1) De même si A coïncide avec F , A’ est à l’infini, et la FC s’écrit : -n1/SF = (n2-n1)/SC c’est-à-dire f = -SC.n1/(n2-n1) On remarque que f + f’ = SC et f/f’ = -n1/n2 un dioptre est dit convergent si f’>0 et divergent dans le cas contraire La formule de Newton s’écrit: FA.F’A’ = ff’
  • 23.
    Application du dioptreplan: lame à faces parallèles 1 -Définition Une lame à faces parallèles est un milieu homogène et transparent limité par deux dioptres plans et parallèles. La lame est d’épaisseur e, d’indice n et placée dans l’air d’indice 1.
  • 24.
    2 - Marched’un rayon lumineux Un rayon qui traverse une lame à faces parallèles n’est pas dévier mais subit une translation égale à = e. sin(i-r)/cosr, où i et r sont respectivement angle d’incidence et de réfraction sur la première face de la lame
  • 25.
    3 - Imaged’un point objet A donne une image A1 à travers le premier dioptre, A1 joue le rôle d’objet pour le second dioptre, qui en donne une image définitive A’ . On montre que AA’ = e.(n-1)/n. dans le cas de petits  = AA’.i
  • 26.
    Application du dioptreplan: prisme Définition Un prisme est un milieu transparent d’indice absolu n, limité par deux dioptres plans non parallèles P et P’, appelés faces du prisme. L’angle A, formé par P et P’, est appelé l’angle du prisme.
  • 27.
    sin i =n sin r (1) sin i’ = n sin r’ (2) A = r + r’ (3) D = i + i’ - A (4)
  • 30.
    * Variation deD avec la longueur d’onde  Dans le visible l’indice n dépend de  selon la loi de Cauchy qui peut s’écrire: n = a + b / ² donc n augmente si diminue, et par conséquent D augmente si la longueur d’onde  diminue: C à d en passant du rouge (0,8 ) au violet (0,4).