CCNA Exploration 4.0
Protocoles et concepts de routage
Manuel de travaux pratiques du participant
CCNA Exploration 4.0
Protocoles et concepts de routage
Manuel de travaux pratiques du participant
CCNA Exploration 4.0
Protocoles et concepts de routage
Manuel de travaux pratiques du participant
Ce document est la propriété exclusive de Cisco Systems, Inc. Il est réservé
exclusivement à l’usage des formateurs du cours CCNA Exploration :
Protocoles et concepts de routage, pour lesquels il peut être imprimé
et copié à des fins de distribution non commerciale dans le cadre d’un
programme officiel Cisco Networking Academy Program.
Travaux pratiques 1.5.1 : câblage d’un réseau et configuration de base
des routeurs
Diagramme de topologie
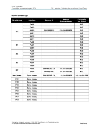
Table d’adressage
Périphérique Interface Adresse IP Masque de sous-réseau Passerelle par défaut
Fa0/0 192.168.1.1 255.255.255.0 s/o
R1
S0/0/0 192.168.2.1 255.255.255.0 s/o
Fa0/0 192.168.3.1 255.255.255.0 s/o
R2
S0/0/0 192.168.2.2 255.255.255.0 s/o
PC1 s/o 192.168.1.10 255.255.255.0 192.168.1.1
PC2 s/o 192.168.3.10 255.255.255.0 192.168.3.1
Objectifs pédagogiques
À l’issue de ces travaux pratiques, vous serez en mesure d’effectuer les tâches suivantes :
• Câbler des périphériques et établir des connexions à une console
• Effacer et recharger les informations des routeurs
• Exécuter des opérations d’interface de ligne de commande IOS de base
• Effectuer une configuration de routeur de base
• Vérifier et tester les configurations en utilisant des commandes show, ping et traceroute
• Créer un fichier de configuration de démarrage
• Recharger un fichier de configuration de démarrage
• Installer un programme d’émulation de terminal
Scénario
Au cours de cet exercice, vous allez réviser des connaissances déjà acquises : câblage des périphériques,
établissement d’une connexion console et commandes basiques de configuration et de fonctionnement
de l’interface de ligne de commande IOS. Vous apprendrez également à enregistrer des fichiers de
configuration et à capturer vos configurations dans un fichier texte. Les compétences présentées dans ces
travaux pratiques sont essentielles à la poursuite du reste du cours. Vous pouvez toutefois choisir la version
condensée, Travaux pratiques 1.5.2 : Configuration de base des routeurs, si votre formateur juge que
vous possédez les connaissances essentielles présentées dans ces travaux pratiques.
Copyright sur l’intégralité du contenu © 1992 – 2007 Cisco Systems, Inc. Tous droits réservés.
Ce document contient des informations publiques Cisco. Page 1 sur 30
CCNA Exploration
Protocoles et concepts de routage :
Présentation du routage et du transfert de paquets Travaux pratiques 1.5.1 : câblage d’un réseau et configuration de base des routeurs
Tâche 1 : câblage des liaisons Ethernet du réseau
Câblez les liaisons Ethernet pour réaliser un réseau similaire à celui du diagramme de topologie.
La sortie utilisée dans ces travaux pratiques provient de routeurs Cisco 1841. Vous pouvez toutefois
utiliser n’importe quel routeur actuel, pourvu qu’il comporte les interfaces nécessaires illustrées dans
la topologie. Pour identifier facilement les interfaces disponibles sur un routeur, il suffit d’entrer la
commande show ip interface brief.
Quels périphériques du diagramme de topologie doivent être reliés par un câble Ethernet ?
_____________________________________________________
Étape 1 : connexion du routeur R1 au commutateur S1
Utilisez un câble Ethernet droit pour connecter l’interface FastEthernet 0/0 du routeur R1 à l’interface
FastEthernet 0/1 du commutateur S1.
Quelle est la couleur du voyant d’état de liaison correspondant à l’interface FastEthernet 0/0 sur R1 ?
_______________
Quelle est la couleur du voyant d’état de liaison correspondant à l’interface FastEthernet 0/1 sur S1 ?
_______________
Étape 2 : connexion de PC1 au commutateur S1
Utilisez un câble Ethernet droit pour connecter la carte réseau de PC1 à l’interface FastEthernet 0/2
du commutateur S1.
Quelle est la couleur du voyant d’état de liaison correspondant à l’interface de la carte réseau sur PC1 ?
_______________
Quelle est la couleur du voyant d’état de liaison correspondant à l’interface FastEthernet 0/2 sur S1 ?
_______________
Si les voyants d’état de liaison ne sont pas verts, patientez un peu, le temps que la liaison entre les deux
périphériques s’établisse. Si les voyants ne deviennent toujours pas verts, vérifiez que vous utilisez un
câble Ethernet droit et que les commutateurs S1 et PC1 sont sous tension.
Étape 3 : connexion de PC2 au routeur R2
Utilisez un câble de croisement Ethernet pour connecter l’interface FastEthernet 0/0 du routeur R2 à la
carte réseau de PC2. Comme il n’existe pas de commutateur entre PC2 et le routeur R2, un câble de
croisement est nécessaire pour établir une liaison directe entre le PC et le routeur.
Quelle est la couleur du voyant d’état de liaison correspondant à l’interface de la carte réseau sur PC2 ?
_______________
Quelle est la couleur du voyant d’état de liaison correspondant à l’interface FastEthernet 0/0 sur R2 ?
_______________
Tâche 2 : câblage de la liaison série entre les routeurs R1 et R2
Dans une connexion étendue (WAN) du monde réel, l’équipement d’abonné, souvent un routeur, est
l’équipement terminal de traitement de données (ETTD). Celui-ci est connecté au fournisseur de services
à l’aide d'un équipement de terminaison de circuit de données (ETCD), en général un modem ou un
périphérique CSU/DSU. Ce périphérique est utilisé pour convertir les données de l’ETTD en un format
acceptable pour le fournisseur de services WAN.
Dans le monde réel, les câbles série ne sont pas connectés dos-à-dos comme pour les besoins de nos
travaux pratiques. En situation réelle, un routeur pourrait se trouver à New York, et un autre à Sydney.
Copyright sur l’intégralité du contenu © 1992 – 2007 Cisco Systems, Inc. Tous droits réservés.
Ce document contient des informations publiques Cisco. Page 2 sur 30
CCNA Exploration
Protocoles et concepts de routage :
Présentation du routage et du transfert de paquets Travaux pratiques 1.5.1 : câblage d’un réseau et configuration de base des routeurs
Un administrateur situé à Sydney devrait se connecter au routeur de New York via le nuage WAN afin
de dépanner le routeur de New York.
Dans la configuration de ces travaux pratiques, les périphériques du nuage WAN sont simulés par les
câbles de connexion directe entre les ETTD et ETCD. La connexion entre l’interface série d’un routeur
et celle d’un autre routeur simule l’ensemble du nuage du circuit.
Étape 1 : création d’un câble série Null pour connecter le routeur R1 au routeur R2
Dans les travaux pratiques, la connexion WAN entre les routeurs s’effectue au moyen d’un câble ETCD
et d’un câble ETTD. La connexion ETCD/ETTD entre les routeurs est appelée câble série Null. Dans ces
travaux pratiques, nous utiliserons un câble ETCD V.35 et un câble ETTD V.35 pour simuler la connexion
WAN. Le connecteur ETCD V.35 est généralement un connecteur V.35 femelle (34 broches). Le câble
ETTD comporte un connecteur V.35 mâle. Les câbles sont également étiquetés DCE (ETCD) ou DTE
(ETTD) à l’extrémité qui se raccorde au routeur.
Les câbles ETTD et ETCD V.35 doivent être raccordés. En tenant une des extrémités V.35 dans chaque
main, examinez les broches et prises ainsi que les connecteurs à vis. Notez qu’il existe une seule façon
de raccorder les câbles. Alignez les broches du câble mâle avec les prises du câble femelle et raccordez-
les doucement. Vous devez exercer une pression modérée. Une fois le raccordement effectué, serrez les
molettes dans le sens des aiguilles d’une montre et fixez les connecteurs.
Étape 2 : connexion de l’extrémité ETCD du câble série Null à l’interface Serial 0/0/0 du routeur R1,
et de l’extrémité ETTD à l’interface Serial 0/0/0 du routeur R2
Avant d’effectuer ces connexions, examinez les informations ci-dessous.
Avant de connecter un des routeurs, examinez le connecteur au niveau du routeur et du câble. Notez que
les connecteurs comportent un détrompeur pour éviter une connexion incorrecte. En tenant le connecteur
dans une main, orientez les connecteurs du câble et du routeur de façon que les embouts coïncident.
Engagez le connecteur du câble dans le connecteur du routeur. Il n’entrera probablement pas à fond
étant donné que les molettes des connecteurs doivent être serrées. En tenant le câble dans une main et
en le poussant doucement contre le routeur, serrez les molettes dans le sens des aiguilles d’une montre,
de 3 ou 4 tours pour engager le filetage. Faites de même avec l’autre molette. Le câble doit être alors
suffisamment engagé pour que vous puissiez libérer vos mains pour serrer les molettes de la même
manière jusqu'à ce que le câble arrive en butée. Ne serrez pas excessivement ces connecteurs.
Tâche 3 : établissement d’une connexion console au routeur R1
Le port console est un port de gestion qui permet l’accès hors bande à un routeur. Il sert à définir
la configuration initiale d’un routeur et à la contrôler.
Un câble de renversement et un adaptateur RJ-45/DB-9 servent à connecter un PC au port console.
Comme vous l’avez appris dans les cours précédents, un logiciel d’émulation de terminal permet de
configurer le routeur sur la connexion console. Le programme Cisco Networking Academy recommande
d’avoir recours à Tera Term. Vous pouvez toutefois préférer HyperTerminal, intégré au système
d’exploitation Windows.
À l’issue de ces travaux pratiques, vous pourrez vous reporter aux trois annexes suivantes, pour plus
d’informations sur ces deux programmes d’émulation de terminal :
• Annexe 1 : Installation et configuration de Tera Term en vue de son utilisation sous Windows XP
• Annexe 2 : Configuration de Tera Term comme client Telnet par défaut sous Windows XP
• Annexe 3 : Accès à HyperTerminal et configuration
Copyright sur l’intégralité du contenu © 1992 – 2007 Cisco Systems, Inc. Tous droits réservés.
Ce document contient des informations publiques Cisco. Page 3 sur 30
CCNA Exploration
Protocoles et concepts de routage :
Présentation du routage et du transfert de paquets Travaux pratiques 1.5.1 : câblage d’un réseau et configuration de base des routeurs
Étape 1 : examen du routeur et identification du connecteur RJ-45 étiqueté Console
Étape 2 : examen de PC1 et identification du port série d’un connecteur mâle 9 broches
Il est possible qu’il soit étiqueté COM1 ou COM2.
Étape 3 : identification du câble de console
Il arrive qu’un adaptateur RJ-45/DB-9 soit intégré à l’extrémité de certains câbles de console. Ce n’est pas
toujours le cas. Repérez un câble de console avec un adaptateur intégré ou comportant un adaptateur
RJ-45/DB-9 connecté à une extrémité.
Étape 4 : connexion du câble de console au routeur et au PC
Commencez par connecter le câble de console au port console du routeur (connecteur RJ-45).
Connectez ensuite l’extrémité DB-9 du câble de console au port série de PC1.
Étape 5 : test de la connexion au routeur
1. Ouvrez votre logiciel d’émulation de terminal (HyperTerminal, Tera Term ou tout autre logiciel
indiqué par votre formateur).
2. Configurez les paramètres logiciels propres à votre application (pour de l’aide supplémentaire,
voir les annexes).
3. Lorsque la fenêtre du terminal est ouverte, appuyez sur la touche Entrée. Le routeur doit
répondre. Dans ce cas, la connexion est réussie. En l’absence de connexion, recherchez
les causes du problème. Par exemple, vérifiez que le routeur est sous tension. Vérifiez
la connexion au port série sur le PC et au port console sur le routeur.
Tâche 4 : rffacement et recharge des informations des routeurs
Étape 1 : dans la session HyperTerminal de la tâche 3, accès au mode EXEC privilégié sur R1
Router>enable
Router#
Étape 2 : effacement de la configuration
Pour effacer la configuration, lancez la commande erase startup-config. Lorsqu'un message
vous y invite, confirmez la commande et répondez no à la demande d’enregistrement des modifications.
Le résultat doit être similaire à celui-ci :
Router#erase startup-config
Erasing the nvram filesystem will remove all files! Continue? [confirm]
[OK]
Erase of nvram: complete
Router#
Étape 3 : rechargement de la configuration
Au retour de l’invite, lancez la commande reload. Lorsqu'un message vous y invite, confirmez la
commande. Dès que le routeur a terminé l’amorçage, choisissez de ne pas utiliser la fonction AutoInstall :
Would you like to enter the initial configuration dialog? [yes/no]: no
Would you like to terminate autoinstall? [yes]:
Press Enter to accept default.
Copyright sur l’intégralité du contenu © 1992 – 2007 Cisco Systems, Inc. Tous droits réservés.
Ce document contient des informations publiques Cisco. Page 4 sur 30
Press RETURN to get started!
CCNA Exploration
Protocoles et concepts de routage :
Présentation du routage et du transfert de paquets Travaux pratiques 1.5.1 : câblage d’un réseau et configuration de base des routeurs
Étape 4 : ouverture d’une session HyperTerminal avec R2
Recommencez les étapes 1 à 3 pour supprimer tout fichier de configuration de démarrage
éventuellement présent.
Tâche 5 : principes élémentaires de la ligne de commande
Étape 1 : ouverture d’une session HyperTerminal avec le routeur R1
Étape 2 : activation du mode EXEC privilégié
Router>enable
Router#
Étape 3 : saisie d’une commande incorrecte et la réponse du routeur
Router#comfigure terminal
^
% Invalid input detected at '^' marker.
Router#
Les erreurs sur la ligne de commande sont principalement des erreurs de frappe. En cas de saisie
incorrecte d’un mot-clé de commande, l’interface utilisateur utilise l’accent circonflexe (^) pour identifier
et isoler l’erreur. Ce signe est inséré dans la chaîne de commande, à l’endroit ou près de l’endroit où
se trouve une commande, un mot-clé ou un argument erroné.
Étape 4 : correction de la commande précédente
Si une commande est entrée incorrectement et que vous appuyez sur la touche Entrée, vous pouvez
appuyer sur la flèche Haut pour répéter la dernière commande. Utilisez les flèches Droite et Gauche
pour placer le curseur à l’emplacement de l’erreur. Effectuez ensuite la correction. Si une suppression
est nécessaire, utilisez la touche Retour arrière. Utilisez les touches de direction et la touche Retour
arrière pour corriger la commande en configure terminal, et appuyez sur Entrée.
Router#configure terminal
Tapez les commandes de configuration (une par ligne). Terminez par
CNTL/Z.
Router(config)#
Étape 5 : retour en mode EXEC privilégié à l’aide de la commande exit
Router(config)# exit
%SYS-5-CONFIG_I: Configured from console by console
Router#
Étape 6 : examen des commandes possibles pour le mode d’exécution privilégié
Si vous entrez un point d’interrogation (?) à l’invite, la liste des commandes disponibles s’affiche.
Router#?
Exec commands:
<1-99> Session number to resume
clear Reset functions
clock Manage the system clock
configure Enter configuration mode
Copyright sur l’intégralité du contenu © 1992 – 2007 Cisco Systems, Inc. Tous droits réservés.
Ce document contient des informations publiques Cisco. Page 5 sur 30
CCNA Exploration
Protocoles et concepts de routage :
Présentation du routage et du transfert de paquets Travaux pratiques 1.5.1 : câblage d’un réseau et configuration de base des routeurs
connect Open a terminal connection
copy Copy from one file to another
debug Debugging functions (see also 'undebug')
delete Delete a file
dir List files on a filesystem
disable Turn off privileged commands
disconnect Disconnect an existing network connection
enable Turn on privileged commands
erase Erase a filesystem
exit Exit from the EXEC
logout Exit from the EXEC
no Disable debugging informations
ping Send echo messages
reload Halt and perform a cold restart
resume Resume an active network connection
setup Run the SETUP command facility
show Show running system information
--More--
Remarquez la ligne --More-- à la fin du résultat de la commande. L’invite --More-- indique que le
résultat comporte plusieurs écrans. Dès que vous voyez une invite --More--, vous pouvez appuyer sur
la touche Espace pour afficher l’écran suivant. Pour afficher uniquement la ligne suivante, appuyez sur
la touche Entrée. Appuyez sur une autre touche pour retourner à l’invite.
Étape 7 : affichage du résultat
Pour afficher le reste du résultat de la commande, appuyez sur la touche Espace. Le reste du résultat
s’affiche à la place de l’invite --More--.
telnet Open a telnet connection
traceroute Trace route to destination
undebug Disable debugging functions (see also 'debug')
vlan Configure VLAN parameters
write Write running configuration to memory, network, or terminal
Étape 8 : désactivation du mode d’exécution privilégié à l’aide de la commande exit
Router#exit
Le résultat suivant doit s’afficher :
Router con0 is now available
Press RETURN to get started.
Étape 9 : utilisation de la touche Entrée pour passer en mode d’exécution utilisateur
L’invite Router> doit être visible.
Étape 10 : saisie d’une commande IOS abrégée
Vous pouvez abréger les commandes IOS, du moment que vous entrez suffisamment de caractères
pour qu’IOS reconnaisse la commande voulue.
Copyright sur l’intégralité du contenu © 1992 – 2007 Cisco Systems, Inc. Tous droits réservés.
Ce document contient des informations publiques Cisco. Page 6 sur 30
CCNA Exploration
Protocoles et concepts de routage :
Présentation du routage et du transfert de paquets Travaux pratiques 1.5.1 : câblage d’un réseau et configuration de base des routeurs
Entrez uniquement le caractère e à l’invite de commande et observez le résultat.
Router>e
% Ambiguous command: "e"
Router>
Entrez à présent en à l’invite de commande et observez le résultat.
Router>en
Router#
La commande abrégée en contient suffisamment de caractères pour qu’IOS puisse distinguer
la commande enable de la commande exit.
Étape 11 : utilisation de la touche Tab après une commande abrégée pour utiliser la fonction
de fin de saisie automatique
Si vous saisissez une commande abrégée, comme conf, puis appuyez sur Tab, le nom partiel de
la commande est complété. Cette fonctionnalité d’IOS porte le nom de fin de saisie automatique.
Entrez la commande abrégée conf, appuyez sur Tab et observez le résultat.
Router#conf
Router#configure
La fonction de fin de saisie automatique est utilisable si vous tapez suffisamment de caractères pour
qu’IOS reconnaisse la commande voulue.
Étape 12 : saisie des commandes IOS dans le mode adapté
Les commandes IOS doivent être entrées dans le mode adapté. Par exemple, vous ne pouvez pas
modifier la configuration en mode privilégié. Essayez d’entrer la commande hostname R1 en mode
privilégié et observez le résultat.
Router#hostname R1
^
% Invalid input detected at '^' marker.
Router#
Tâche 6 : exécution d’une configuration de base du routeur R1
Étape 1 : ouverture d’une session HyperTerminal avec le routeur R1
Étape 2 : activation du mode d’exécution privilégié
Router>enable
Router#
Étape 3 : activation du mode de configuration globale
Router#configure terminal
Tapez les commandes de configuration (une par ligne). Terminez par
CNTL/Z.
Router(config)#
Copyright sur l’intégralité du contenu © 1992 – 2007 Cisco Systems, Inc. Tous droits réservés.
Ce document contient des informations publiques Cisco. Page 7 sur 30
CCNA Exploration
Protocoles et concepts de routage :
Présentation du routage et du transfert de paquets Travaux pratiques 1.5.1 : câblage d’un réseau et configuration de base des routeurs
Étape 4 : configuration du nom du routeur en tant que R1
À l’invite de la commande, entrez hostname R1.
Router(config)#hostname R1
R1(config)#
Étape 5 : désactivation de la recherche DNS avec la commande no ip domain-lookup
R1(config)#no ip domain-lookup
R1(config)#
Pourquoi désactiver la recherche DNS dans des travaux pratiques ?
___________________________________________________________________________________
___________________________________________________________________________________
Que se passerait-il si vous désactiviez la recherche DNS en production ?
___________________________________________________________________________________
___________________________________________________________________________________
Étape 6 : configuration d’un mot de passe pour le mode EXEC
Lancez la commande enable secret mot de passe pour configurer un mot de passe pour
le mode d’exécution. Indiquez class comme mot de passe.
R1(config)#enable secret class
R1(config)#
La commande enable secret offre une couche supplémentaire de sécurité par rapport à la commande
enable password. En effet, elle conserve le mot de passe d’enable secret à l’aide d’une fonction
cryptographique irréversible. La couche de sécurité supplémentaire que procure le chiffrement est utile
dans les environnements où le mot de passe transite par le réseau ou est conservé sur un serveur FTP.
Lorsque les mots de passe d’enable password et d’enable secret sont tous les deux activés, le
Étape 7 : suppression du mot de passe enable password
Comme enable secret est configuré, enable password n’est plus nécessaire. Il est possible
de supprimer les commandes IOS dans la configuration en spécifiant no devant la commande.
R1(config)#no enable password
R1(config)#
Copyright sur l’intégralité du contenu © 1992 – 2007 Cisco Systems, Inc. Tous droits réservés.
Ce document contient des informations publiques Cisco. Page 8 sur 30
CCNA Exploration
Protocoles et concepts de routage :
Présentation du routage et du transfert de paquets Travaux pratiques 1.5.1 : câblage d’un réseau et configuration de base des routeurs
Étape 8 : configuration d’une bannière de message du jour à l’aide de la commande banner motd
R1(config)#banner motd &
Enter TEXT message. End with the character '&'.
********************************
!!!AUTHORIZED ACCESS ONLY!!!
********************************
&
R1(config)#
Quand cette bannière s’affiche-t-elle ?
___________________________________________________________________________________
___________________________________________________________________________________
Pourquoi chaque routeur doit-il avoir une bannière de message du jour ?
___________________________________________________________________________________
___________________________________________________________________________________
Étape 9 : configuration du mot de passe de la console sur le routeur
Entrez le mot de passe cisco. Quittez ensuite le mode de configuration de ligne.
R1(config)#line console 0
R1(config-line)#password cisco
R1(config-line)#login
R1(config-line)#exit
R1(config)#
Étape 10 : configuration du mot de passe pour les lignes de terminal virtuel
Entrez le mot de passe cisco. Quittez ensuite le mode de configuration de ligne.
R1(config)#line vty 0 4
R1(config-line)#password cisco
R1(config-line)#login
R1(config-line)#exit
R1(config)#
Étape 11 : configuration de l’interface FastEthernet 0/0 avec l’adresse IP 192.168.1.1/24
R1(config)#interface fastethernet 0/0
R1(config-if)#ip address 192.168.1.1 255.255.255.0
R1(config-if)#no shutdown
%LINK-5-CHANGED: Interface FastEthernet0/0, changed state to up
%LINEPROTO-5-UPDOWN: Line protocol on Interface FastEthernet0/0, changed
state to up
R1(config-if)#
Étape 12 : utilisation de la commande description pour obtenir une description de cette interface
R1(config-if)#description R1 LAN
R1(config-if)#
Étape 13 : configuration de l’interface Serial0/0/0 avec l’adresse IP 192.168.2.1/24
Réglez la fréquence d'horloge sur 64 000.
Copyright sur l’intégralité du contenu © 1992 – 2007 Cisco Systems, Inc. Tous droits réservés.
Ce document contient des informations publiques Cisco. Page 9 sur 30
CCNA Exploration
Protocoles et concepts de routage :
Présentation du routage et du transfert de paquets Travaux pratiques 1.5.1 : câblage d’un réseau et configuration de base des routeurs
Remarque : puisque les routeurs de ces travaux pratiques ne sont pas connectés à une ligne louée
active, un des routeurs devra se charger de la synchronisation du circuit. Cette synchronisation est
normalement assurée par le fournisseur de services. Pour fournir le signal de synchronisation des
travaux pratiques, un des routeurs doit avoir le rôle d’ETCD sur la connexion. Cette fonction s’obtient
en appliquant la commande clock rate 64000 à l’interface Serial 0/0/0, là où l’extrémité ETCD du
câble Null modem a été connectée. L’intérêt de la commande clock rate est traité ultérieurement
au chapitre 2, « Routes statiques ».
R1(config-if)#interface serial 0/0/0
R1(config-if)#ip address 192.168.2.1 255.255.255.0
R1(config-if)#clock rate 64000
R1(config-if)#no shutdown
R1(config-if)#
Remarque : l’interface n’est pas activée tant que l’interface série de R2 n’est pas configurée et activée.
Étape 14 : utilisation de la commande description pour obtenir une description de cette interface
R1(config-if)#description Link to R2
R1(config-if)#
Étape 15 : utilisation de la commande end pour repasser en mode EXEC privilégié
R1(config-if)#end
R1#
Étape 16 : enregistrement de la configuration de R1
enregistrez la configuration de R1 à l’aide de la commande copy running-config startup-config.
R1#copy running-config startup-config
Building configuration...
[OK]
R1#
Tâche 7 : exécution d’une configuration de base du routeur R2
Étape 1 : répétition des étapes 1 à 10 à partir de la tâche 6 pour R2
Étape 2 : configuration de l’interface Serial 0/0/0 avec l’adresse IP 192.168.2.2/24
R2(config)#interface serial 0/0/0
R2(config-if)#ip address 192.168.2.2 255.255.255.0
R2(config-if)#no shutdown
%LINK-5-CHANGED: Interface Serial0/0/0, changed state to up
%LINEPROTO-5-UPDOWN: Line protocol on Interface Serial0/0/0, changed state
to up
R2(config-if)#
Copyright sur l’intégralité du contenu © 1992 – 2007 Cisco Systems, Inc. Tous droits réservés.
Ce document contient des informations publiques Cisco. Page 10 sur 30
CCNA Exploration
Protocoles et concepts de routage :
Présentation du routage et du transfert de paquets Travaux pratiques 1.5.1 : câblage d’un réseau et configuration de base des routeurs
Étape 3 : utilisation de la commande description pour obtenir une description de cette interface
R1(config-if)#description Link to R1
R1(config-if)#
Étape 4 : configuration de l’interface FastEthernet 0/0 avec l’adresse IP 192.168.3.1/24
R2(config-if)#interface fastethernet 0/0
R2(config-if)#ip address 192.168.3.1 255.255.255.0
R2(config-if)#no shutdown
%LINK-5-CHANGED: Interface FastEthernet0/0, changed state to up
%LINEPROTO-5-UPDOWN: Line protocol on Interface FastEthernet0/0, changed
state to up
R2(config-if)#
Étape 5 : utilisation de la commande description pour obtenir une description de cette interface
R1(config-if)#description R2 LAN
R1(config-if)#
Étape 6 : utilisation de la commande end pour repasser en mode privilégié
R2(config-if)#end
R2#
Étape 7 : enregistrement de la configuration de R2
Enregistrez la configuration de R2 à l’aide de la commande copy running-config startup-config.
R2#copy running-config startup-config
Building configuration...
[OK]
R2#
Tâche 8 : configuration des adresses IP sur les ordinateurs hôtes
Étape 1 : configuration de l’hôte PC1
Configurez l’ordinateur hôte PC1 connecté à R1 avec une adresse IP 192.168.1.10/24 et une passerelle
par défaut 192.168.1.1.
Étape 2 : configuration de l’hôte PC2
Configurez l’ordinateur hôte PC2 connecté à R2 avec une adresse IP 192.168.3.10/24 et une passerelle
par défaut 192.168.3.1.
Tâche 9 : examen des commandes show des routeurs
Il existe de nombreuses commandes show utilisables pour examiner le fonctionnement du routeur. Dans
les modes d’exécution privilégié et utilisateur, la commande show ? présente la liste des commandes
show disponibles. Cette liste est beaucoup plus longue en mode privilégié qu’en mode utilisateur.
Copyright sur l’intégralité du contenu © 1992 – 2007 Cisco Systems, Inc. Tous droits réservés.
Ce document contient des informations publiques Cisco. Page 11 sur 30
CCNA Exploration
Protocoles et concepts de routage :
Présentation du routage et du transfert de paquets Travaux pratiques 1.5.1 : câblage d’un réseau et configuration de base des routeurs
Étape 1 : examen de la commande show running-config
La commande show running-config affiche le contenu du fichier de configuration en cours d’exécution.
En mode d’exécution privilégié sur le routeur R1, examinez le résultat de la commande show running-
config. Si l’invite –-More–- apparaît, appuyez sur la touche Espace pour afficher le reste du résultat.
R1#show running-config
!
version 12.3
!
hostname R1
!
!
enable secret 5 $1$AFDd$0HCi0iYHkEWR4cegQdTQu/
!
no ip domain-lookup
!
interface FastEthernet0/0
description R1 LAN
mac-address 0007.eca7.1511
ip address 192.168.1.1 255.255.255.0
duplex auto
speed auto
!
interface FastEthernet0/1
mac-address 0001.42dd.a220
no ip address
duplex auto
speed auto
shutdown
!
interface Serial0/0
description Link to R2
ip address 192.168.2.1 255.255.255.0
clock rate 64000
!
interface Serial0/1
no ip address
shutdown
!
interface Vlan1
no ip address
shutdown
!
ip classless
!
!
!
!
line con 0
password cisco
line vty 0 4
password cisco
login
!
end
Copyright sur l’intégralité du contenu © 1992 – 2007 Cisco Systems, Inc. Tous droits réservés.
Ce document contient des informations publiques Cisco. Page 12 sur 30
CCNA Exploration
Protocoles et concepts de routage :
Présentation du routage et du transfert de paquets Travaux pratiques 1.5.1 : câblage d’un réseau et configuration de base des routeurs
Étape 2 : examen de la commande show startup-config
La commande show startup-config affiche le fichier de configuration de démarrage en mémoire
NVRAM. En mode d’exécution privilégié sur le routeur R1, examinez le résultat de la commande show
startup-config. Si l’invite –-More-- apparaît, appuyez sur la touche Espace pour afficher le reste
du résultat.
R1#show startup-config
Using 583 bytes
!
version 12.3
!
hostname R1
!
!
no ip domain-lookup
!
interface FastEthernet0/0
description R1 LAN
mac-address 0007.eca7.1511
ip address 192.168.1.1 255.255.255.0
duplex auto
speed auto
!
interface FastEthernet0/1
mac-address 0001.42dd.a220
no ip address
duplex auto
speed auto
shutdown
!
interface Serial0/0
description Link to R2
ip address 192.168.2.1 255.255.255.0
clock rate 64000
!
interface Serial0/1
no ip address
shutdown
!
interface Vlan1
no ip address
shutdown
!
ip classless
!
!
!
!
line con 0
password cisco
line vty 0 4
password cisco
login
!
end
Copyright sur l’intégralité du contenu © 1992 – 2007 Cisco Systems, Inc. Tous droits réservés.
Ce document contient des informations publiques Cisco. Page 13 sur 30
CCNA Exploration
Protocoles et concepts de routage :
Présentation du routage et du transfert de paquets Travaux pratiques 1.5.1 : câblage d’un réseau et configuration de base des routeurs
Étape 3 : examen de la commande show interfaces
La commande show interfaces affiche des statistiques pour toutes les interfaces configurées
sur le routeur. Il est possible d’ajouter une interface donnée à la fin de cette commande pour afficher
uniquement les statistiques pour cette interface. En mode d’exécution privilégié sur le routeur R1,
examinez le résultat de la commande show interfaces fastEthernet0/0. Si l’invite –-More--
apparaît, appuyez sur la touche Espace pour afficher le reste du résultat.
R1# show interfaces fastEthernet 0/0
FastEthernet0/0 is up, line protocol is up (connected)
Hardware is Lance, address is 0007.eca7.1511 (bia 0002.1625.1bea)
Description: R1 LAN
Internet address is 192.168.1.1/24
MTU 1500 bytes, BW 100000 Kbit, DLY 100 usec, rely 255/255, load 1/255
Encapsulation ARPA, loopback not set
ARP type: ARPA, ARP Timeout 04:00:00,
Last input 00:00:08, output 00:00:05, output hang never
Last clearing of "show interface" counters never
Queueing strategy: fifo
Output queue :0/40 (size/max)
5 minute input rate 0 bits/sec, 0 packets/sec
5 minute output rate 0 bits/sec, 0 packets/sec
0 packets input, 0 bytes, 0 no buffer
Received 0 broadcasts, 0 runts, 0 giants, 0 throttles
0 input errors, 0 CRC, 0 frame, 0 overrun, 0 ignored, 0 abort
0 input packets with dribble condition detected
0 packets output, 0 bytes, 0 underruns
0 output errors, 0 collisions, 1 interface resets
0 babbles, 0 late collision, 0 deferred
0 lost carrier, 0 no carrier
0 output buffer failures, 0 output buffers swapped out
R1#
Étape 4 : examen de la commande show version
La commande show version affiche des informations sur la version logicielle actuellement chargée
avec les informations sur le matériel et les périphériques. En mode d’exécution privilégié sur le routeur
R1, examinez le résultat de la commande show version. Si l’invite –-More-- apparaît, appuyez sur
la touche Espace pour afficher le reste du résultat.
R1#show version
Cisco IOS Software, 1841 Software (C1841-IPBASE-M), Version 12.3(14)T7,
RELEASE SOFTWARE (fc2)
Technical Support: http://www.cisco.com/techsupport
Copyright (c) 1986-2006 by Cisco Systems, Inc.
Compiled Mon 15-May-06 14:54 by pt_team
ROM: System Bootstrap, Version 12.3(8r)T8, RELEASE SOFTWARE (fc1)
System returned to ROM by power-on
System image file is "flash:c1841-ipbase-mz.123-14.T7.bin"
This product contains cryptographic features and is subject to United
States and local country laws governing import, export, transfer and
use. Delivery of Cisco cryptographic products does not imply
third-party authority to import, export, distribute or use encryption.
Importers, exporters, distributors and users are responsible for
Copyright sur l’intégralité du contenu © 1992 – 2007 Cisco Systems, Inc. Tous droits réservés.
Ce document contient des informations publiques Cisco. Page 14 sur 30
CCNA Exploration
Protocoles et concepts de routage :
Présentation du routage et du transfert de paquets Travaux pratiques 1.5.1 : câblage d’un réseau et configuration de base des routeurs
compliance with U.S. and local country laws. By using this product you
agree to comply with applicable laws and regulations. If you are unable
to comply with U.S. and local laws, return this product immediately.
A summary of U.S. laws governing Cisco cryptographic products may be found
at:
http://www.cisco.com/wwl/export/crypto/tool/stqrg.html
If you require further assistance please contact us by sending email to
export@cisco.com.
Cisco 1841 (revision 5.0) with 114688K/16384K bytes of memory.
Processor board ID FTX0947Z18E
M860 processor: part number 0, mask 49
2 FastEthernet/IEEE 802.3 interface(s)
2 Low-speed serial(sync/async) network interface(s)
191K bytes of NVRAM.
31360K bytes of ATA CompactFlash (Read/Write)
Configuration register is 0x2102
R1#
Étape 5 : examen de la commande show ip interface brief
La commande show ip interface brief affiche un récapitulatif des informations sur l'état de
chaque interface. En mode d’exécution privilégié sur le routeur R1, examinez le résultat de la commande
show ip interface brief. Si l’invite –-More-- apparaît, appuyez sur la touche Espace pour
afficher le reste du résultat.
R1#show ip interface brief
Interface IP-Address OK? Method Status Protocol
FastEthernet0/0 192.168.1.1 YES manual up up
FastEthernet0/1 unassigned YES manual administratively down down
Serial0/0/0 192.168.2.1 YES manual up up
Serial0/0/1 unassigned YES manual administratively down down
Vlan1 unassigned YES manual administratively down down
R1#
Tâche 10 : utilisation de la commande ping
La commande ping est un outil pratique de dépannage des couches 1 à 3 du modèle de référence
OSI et de diagnostic de la connectivité réseau de base. Vous pouvez exécuter cette commande en mode
utilisateur ou privilégié. La commande ping envoie un paquet ICMP (Internet Control Message Protocol)
au périphérique spécifié et attend une réponse. Vous pouvez envoyer des tests ping depuis un routeur
ou un PC hôte.
Copyright sur l’intégralité du contenu © 1992 – 2007 Cisco Systems, Inc. Tous droits réservés.
Ce document contient des informations publiques Cisco. Page 15 sur 30
CCNA Exploration
Protocoles et concepts de routage :
Présentation du routage et du transfert de paquets Travaux pratiques 1.5.1 : câblage d’un réseau et configuration de base des routeurs
Étape 1 : utilisation de la commande ping pour tester la connectivité entre le routeur R1 et PC1
R1#ping 192.168.1.10
Type escape sequence to abort.
Sending 5, 100-byte ICMP Echos to 192.168.1.10, timeout is 2 seconds:
.!!!!
Success rate is 80 percent (4/5), round-trip min/avg/max = 72/79/91 ms
Chaque point d'exclamation (!) indique un écho réussi. Chaque point (.) indique que l’application sur
le routeur est temporisée pendant qu'elle attend un paquet d'écho d’une cible. Le premier paquet ping
a échoué car le routeur ne disposait pas d’une entrée de table ARP correspondant à l’adresse de
destination du paquet IP. En l’absence d’entrée dans la table ARP, le paquet est abandonné. Le routeur
envoie ensuite une requête ARP, reçoit une réponse et ajoute l’adresse MAC à la table ARP. Le transfert
du paquet ping suivant est réussi.
Étape 2 : nouvelle commande ping entre R1 et PC1
R1#ping 192.168.1.10
Type escape sequence to abort.
Sending 5, 100-byte ICMP Echos to 192.168.1.10, timeout is 2 seconds:
!!!!!
Success rate is 100 percent (5/5), round-trip min/avg/max = 72/83/93 ms
R1#
Dans ce cas, tous les paquets ping ont abouti car le routeur comporte une entrée pour l’adresse IP
de destination dans la table ARP.
Étape 3 : envoi d’un paquet ping étendu entre R1 et PC1
Entrez ping à l’invite d’exécution privilégiée et appuyez sur Entrée. Répondez comme suit aux invites
suivantes :
R1#ping
Protocol [ip]:
Target IP address: 192.168.1.10
Repeat count [5]: 10
Datagram size [100]:
Timeout in seconds [2]:
Extended commands [n]:
Sweep range of sizes [n]:
Type escape sequence to abort.
Sending 10, 100-byte ICMP Echos to 192.168.1.10, timeout is 2 seconds:
!!!!!!!!!!
Success rate is 100 percent (10/10), round-trip min/avg/max = 53/77/94 ms
R1#
Copyright sur l’intégralité du contenu © 1992 – 2007 Cisco Systems, Inc. Tous droits réservés.
Ce document contient des informations publiques Cisco. Page 16 sur 30
CCNA Exploration
Protocoles et concepts de routage :
Présentation du routage et du transfert de paquets Travaux pratiques 1.5.1 : câblage d’un réseau et configuration de base des routeurs
Étape 4 : envoi d’un paquet ping entre PC1 et R1
Sous Windows, choisissez Démarrer > Programmes > Accessoires > Invite de commandes. Dans la
fenêtre Invite de commandes, lancez la commande suivante pour envoyer un paquet ping à R1 :
C:> ping 192.168.1.1
Cette commande doit réussir.
Étape 5 : envoi d’un paquet ping étendu entre PC1 et R1
Entrez la commande suivante à l’invite de commande Windows :
C:>ping 192.168.1.1 –n 10
Cette commande doit renvoyer 10 réponses positives.
Tâche 11 : utilisation de traceroute
La commande traceroute est un excellent utilitaire de dépannage du chemin parcouru par un paquet
dans un interréseau de routeurs. Elle permet d'identifier les liaisons et les routeurs problématiques tout
au long du chemin. Elle utilise des paquets ICMP et les messages d'erreur générés par les routeurs
lorsque la durée de vie d’un paquet est dépassée. Cette commande peut être exécutée en mode
utilisateur ou privilégié. La version Windows de cette commande est tracert.
Étape 1 : utilisation de la commande traceroute à l’invite d’exécution privilégiée sur R1 pour
connaître le chemin que suivra un paquet entre le routeur R1 et PC1
R1#traceroute 192.168.1.10
Type escape sequence to abort.
Tracing the route to 192.168.1.10
1 192.168.1.10 103 msec 81 msec 70 msec
R1#
Étape 2 : utilisation de la commande tracert à l’invite de commande Windows pour connaître
le chemin que suivra un paquet entre le routeur R1 et PC1
C:>tracert 192.168.1.1
Tracing route to 192.168.1.1 over a maximum of 30 hops:
1 71 ms 70 ms 73 ms 192.168.1.1
Trace complete.
C:>
Copyright sur l’intégralité du contenu © 1992 – 2007 Cisco Systems, Inc. Tous droits réservés.
Ce document contient des informations publiques Cisco. Page 17 sur 30
CCNA Exploration
Protocoles et concepts de routage :
Présentation du routage et du transfert de paquets Travaux pratiques 1.5.1 : câblage d’un réseau et configuration de base des routeurs
Tâche 12 : vréation d’un fichier start.txt
Il est possible de capturer la configuration d’un routeur dans un fichier
texte (.txt) que vous enregistrez pour l’utiliser par la suite. Vous pouvez
recopier la configuration dans le routeur pour ne pas avoir à entrer les
commandes une par une.
Étape 1 : utilisation de la commande show running-config pour afficher la configuration actuelle
du routeur
R1#show running-config
!
version 12.3
!
hostname R1
!
!
enable secret 5 $1$J.hq$Ds72Qz86tvpcuW2X3FqBS.
!
no ip domain-lookup
!
interface FastEthernet0/0
description R1 LAN
mac-address 0007.eca7.1511
ip address 192.168.1.1 255.255.255.0
duplex auto
speed auto
!
interface FastEthernet0/1
mac-address 0001.42dd.a220
no ip address
duplex auto
speed auto
shutdown
!
interface Serial0/0
description Link to R2
ip address 192.168.2.1 255.255.255.0
clock rate 64000
!
interface Serial0/1
no ip address
shutdown
!
interface Vlan1
no ip address
shutdown
!
ip classless
!
!
!
!
line con 0
password cisco
Copyright sur l’intégralité du contenu © 1992 – 2007 Cisco Systems, Inc. Tous droits réservés.
Ce document contient des informations publiques Cisco. Page 18 sur 30
CCNA Exploration
Protocoles et concepts de routage :
Présentation du routage et du transfert de paquets Travaux pratiques 1.5.1 : câblage d’un réseau et configuration de base des routeurs
line vty 0 4
password cisco
login
!
end
R1#
Étape 2 : copie du résultat de la commande
Sélectionnez le résultat de la commande. Dans le menu Edition du logiciel HyperTerminal, choisissez
la commande Copier.
Étape 3 : collage du résultat dans le Bloc-notes
Ouvrez le Bloc-notes. Vous le trouvez généralement en sélectionnant Démarrer, puis Tous les
programmes > Accessoires. Dans le menu Edition du Bloc-notes, cliquez sur Coller.
Étape 4 : modification des commandes
Il sera nécessaire de modifier ou d’ajouter certaines commandes pour appliquer le script de démarrage
à un routeur. Voici des exemples de modifications :
• ajouter une commande no shutdown aux interfaces FastEthernet et série utilisées ;
• remplacer le texte chiffré de la commande enable secret par le mot de passe adapté ;
• supprimer la commande mac-address des interfaces ;
• supprimer la commande ip classless ;
• supprimer les interfaces non utilisées.
Procédez comme suit pour modifier le texte dans le fichier du Bloc-notes :
hostname R1
!
!
enable secret class
!
no ip domain-lookup
!
interface FastEthernet0/0
description R1 LAN
ip address 192.168.1.1 255.255.255.0
no shutdown
duplex auto
speed auto
!
interface Serial0/0
description Link to R2
ip address 192.168.2.1 255.255.255.0
clock rate 64000
no shutdown
!
!
Copyright sur l’intégralité du contenu © 1992 – 2007 Cisco Systems, Inc. Tous droits réservés.
Ce document contient des informations publiques Cisco. Page 19 sur 30
CCNA Exploration
Protocoles et concepts de routage :
Présentation du routage et du transfert de paquets Travaux pratiques 1.5.1 : câblage d’un réseau et configuration de base des routeurs
!
!
line con 0
password cisco
line vty 0 4
password cisco
login
!
end
Étape 5 : enregistrement du fichier ouvert dans le Bloc-notes sous le nom start.txt
Tâche 13 : chargement du fichier start.txt sur le routeur R1
Étape 1 : effacement de la configuration de démarrage actuelle de R1
Lorsqu'un message vous y invite, confirmez la commande et répondez no à la demande d’enregistrement
des modifications. Vous devez obtenir un résultat similaire à celui-ci :
R1#erase startup-config
Erasing the nvram filesystem will remove all files! Continue? [confirm]
[OK]
Erase of nvram: complete
Router#
Étape 2 : lancement de la commande reload au nouveau message d’invite
Lorsqu'un message vous y invite, confirmez la commande. Dès que le routeur a terminé l’amorçage,
choisissez de ne pas utiliser la fonction AutoInstall :
Would you like to enter the initial configuration dialog? [yes/no]: no
Would you like to terminate autoinstall? [yes]:
Press Enter to accept default.
Press RETURN to get started!
Étape 3 : activation du mode de configuration globale
Router#configure terminal
Tapez les commandes de configuration (une par ligne). Terminez par
CNTL/Z.
Router(config)#
Étape 4 : copie des commandes
Dans le fichier start.txt créé dans le Bloc-notes, sélectionnez toutes les lignes et choisissez
Édition > Copier.
Étape 5 : choix de la commande Coller vers l’hôte dans le menu Edition du logiciel HyperTerminal
Étape 6 : vérification de la configuration en cours
Lorsque toutes les commandes collées sont appliquées, vérifiez à l’aide de la commande show
running-config que la configuration actuelle est celle voulue.
Copyright sur l’intégralité du contenu © 1992 – 2007 Cisco Systems, Inc. Tous droits réservés.
Ce document contient des informations publiques Cisco. Page 20 sur 30
CCNA Exploration
Protocoles et concepts de routage :
Présentation du routage et du transfert de paquets Travaux pratiques 1.5.1 : câblage d’un réseau et configuration de base des routeurs
Étape 7 : enregistrement de la configuration en cours
Utilisez la commande copy running-config startup-config pour enregistrer la configuration
en cours dans la mémoire NVRAM.
R1#copy running-config startup-config
Building configuration...
[OK]
R1#
Copyright sur l’intégralité du contenu © 1992 – 2007 Cisco Systems, Inc. Tous droits réservés.
Ce document contient des informations publiques Cisco. Page 21 sur 30
CCNA Exploration
Protocoles et concepts de routage :
Présentation du routage et du transfert de paquets Travaux pratiques 1.5.1 : câblage d’un réseau et configuration de base des routeurs
Annexe 1 : installation et configuration de Tera Term en vue de son utilisation
sous Windows XP
Tera Term est un programme d’émulation de terminal gratuit pour Windows. Vous pouvez l’utiliser à la
place de Windows HyperTerminal dans le cadre des travaux pratiques. Vous pouvez vous procurer
Tera Term à l’adresse URL suivante :
http://hp.vector.co.jp/authors/VA002416/teraterm.html
Téléchargez le fichier « ttermp23.zip », décompressez-le et installez Tera Term.
Étape 1 : ouverture du programme Tera Terminal
Étape 2 : attribution d’un port série
Pour utiliser Tera Term pour la connexion à la console du routeur, ouvrez la boîte de dialogue New
connection et sélectionnez le port Serial.
Étape 3 : définition des paramètres du port Serial
Définissez les paramètres voulus pour le port dans la section Serial de la boîte de dialogue Tera
Term:New Connection. Normalement, la connexion s’effectue par COM1. Si vous n’êtes pas sûr
du port à utiliser, demandez à votre formateur.
Étape 4 : configuration des paramètres
Vous pouvez modifier certains paramètres Tera Term pour faciliter son utilisation. Dans le menu Setup >
Terminal, cochez la case Term size = win size. Le résultat de la commande reste ainsi visible lorsque
la fenêtre Tera Term est redimensionnée.
Copyright sur l’intégralité du contenu © 1992 – 2007 Cisco Systems, Inc. Tous droits réservés.
Ce document contient des informations publiques Cisco. Page 22 sur 30
CCNA Exploration
Protocoles et concepts de routage :
Présentation des routeurs
Copyright sur l’intégralité du contenu © 1992 – 2007 Cisco Systems, Inc. Tous droits réservés.
Ce document contient des informations publiques Cisco. Page 23 sur 30
du routage et du transfert de paquets Travaux pratiques 1.5.1 : câblage d’un réseau et configuration de base
Étape 5 : changement du nombre de mémoires tampon de défilement
Dans le menu Setup > Window, modifiez le nombre de lignes de la mémoire tampon de défilement
avec un nombre supérieur à 100. Ce réglage permet de faire défiler et d’afficher les précédentes
commandes avec leur résultat. S’il existe uniquement 100 lignes disponibles en mémoire tampon,
seules les 100 dernières lignes du résultat sont visibles. Dans l’exemple ci-dessous, la mémoire
tampon de défilement est modifiée pour conserver 1000 lignes.
CCNA Exploration
Protocoles et concepts de routage :
Présentation du routage et du transfert de paquets Travaux pratiques 1.5.1 : câblage d’un réseau et configuration de base des routeurs
Annexe 2 : vonfiguration de Tera Term comme client Telnet par défaut sous
Windows XP
Il est possible de configurer Windows pour qu’il utilise par défaut HyperTerminal comme client
Telnet. Vous pouvez également configurer Windows pour qu’il utilise la version DOS de Telnet.
Dans l’environnement NetLab, vous pouvez modifier le client Telnet en client Telnet local, ce qui
signifie que NetLab ouvre le client Telnet par défaut en cours dans Windows. Vous pouvez adopter
HyperTerminal ou la version DOS de Telnet intégrée au système d’exploitation Windows.
Pour que votre client Telnet par défaut soit Tera Term (ou tout autre client Telnet), procédez comme suit :
Étape 1 : affichage des Options des dossiers
Cliquez deux fois sur Poste de travail, puis choisissez Outils > Options des dossiers.
Étape 2 : accès à (AUCUN) URL : Protocole Telnet
Cliquez sur l’onglet Types de fichiers et faites défiler la liste Types de fichiers enregistrés : jusqu’à
ce que vous trouviez l’entrée (AUCUN) URL : Protocole Telnet. Sélectionnez-la et cliquez sur le
bouton Avancé.
Copyright sur l’intégralité du contenu © 1992 – 2007 Cisco Systems, Inc. Tous droits réservés.
Ce document contient des informations publiques Cisco. Page 24 sur 30
CCNA Exploration
Protocoles et concepts de routage :
Présentation du routage et du transfert de paquets Travaux pratiques 1.5.1 : câblage d’un réseau et configuration de base des routeurs
Étape 3 : modification de l’action open
Dans la boîte de dialogue Modification du type de fichier, cliquez sur Modifier pour modifier l’action open.
Étape 4 : modification de l’application
Dans la boîte de dialogue Modification de l’action pour le type : URL : Protocole Telnet, la zone
Application utilisée pour exécuter cette action contient actuellement HyperTerminal. Cliquez sur
Parcourir pour modifier l’application.
Copyright sur l’intégralité du contenu © 1992 – 2007 Cisco Systems, Inc. Tous droits réservés.
Ce document contient des informations publiques Cisco. Page 25 sur 30
CCNA Exploration
Protocoles et concepts de routage :
Présentation du routage et du transfert de paquets Travaux pratiques 1.5.1 : câblage d’un réseau et configuration de base des routeurs
Étape 5 : ouverture de ttermpro.exe
Naviguez jusqu’au dossier d’installation de Tera Term. Cliquez sur le fichier ttermpro.exe pour indiquer
ce programme pour l’action open, puis cliquez sur Ouvrir.
Étape 6 : confirmation de ttermpro.exe et fermeture
Cliquez deux fois sur OK, puis sur Fermer pour fermer la boîte de dialogue Options des dossiers.
Le client Telnet par défaut de Windows est à présent Tera Term.
Copyright sur l’intégralité du contenu © 1992 – 2007 Cisco Systems, Inc. Tous droits réservés.
Ce document contient des informations publiques Cisco. Page 26 sur 30
CCNA Exploration
Protocoles et concepts de routage :
Présentation du routage et d iguration de base des routeurs
Copyright sur l’intégralité du contenu © 1992 – 2007 Cisco Systems, Inc. Tous droits réservés.
Ce document contient des informations publiques Cisco. Page 27 sur 30
u transfert de paquets Travaux pratiques 1.5.1 : câblage d’un réseau et conf
CCNA Exploration
Protocoles et concepts de routage :
Présentation du routage et du transfert de paquets Travaux pratiques 1.5.1 : câblage d’un réseau et configuration de base des routeurs
Annexe 3 : accès à HyperTerminal et configuration
Dans la plupart des versions de Windows, vous pouvez trouver HyperTerminal en naviguant dans
Démarrer > Tous les programmes > Accessoires > Communications > HyperTerminal.
Étape 1 : création d’une connexion
Ouvrez HyperTerminal pour créer une nouvelle connexion avec le routeur. Entrez une description
appropriée dans la boîte de dialogue Description de la connexion, puis cliquez sur OK.
Étape 2 : attribution du port COM1
Dans la boîte de dialogue Connexion, vérifiez que le port série correct est sélectionné dans le champ
Connecter en utilisant. Certains PC sont équipés de plusieurs ports COM. Cliquez sur OK.
Copyright sur l’intégralité du contenu © 1992 – 2007 Cisco Systems, Inc. Tous droits réservés.
Ce document contient des informations publiques Cisco. Page 28 sur 30
CCNA Exploration
Protocoles et concepts de routage :
Présentation du routage et du iguration de base des routeurs
Copyright sur l’intégralité du contenu © 1992 – 2007 Cisco Systems, Inc. Tous droits réservés.
Ce document contient des informations publiques Cisco. Page 29 sur 30
transfert de paquets Travaux pratiques 1.5.1 : câblage d’un réseau et conf
Étape 3 : définition des propriétés de COM1
Dans la boîte de dialogue Propriétés de COM1, dans Paramètres du port, il suffit normalement
de cliquer sur Paramètres par défaut pour définir les propriétés voulues. Si ce n’est pas le cas,
définissez les propriétés d’après les valeurs indiquées dans l’illustration suivante, puis cliquez sur OK.
CCNA Exploration
Protocoles et concepts de routage :
Présentation du routage et du transfert de paquets Travaux pratiques 1.5.1 : câblage d’un réseau et configuration de base des routeurs
Copyright sur l’intégralité du contenu © 1992 – 2007 Cisco Systems, Inc. Tous droits réservés.
Ce document contient des informations publiques Cisco. Page 30 sur 30
Étape 4 : vérification de la connexion
Vous devez alors avoir une connexion console au routeur. Appuyez sur Entrée pour afficher l’invite
du routeur.
Copyright sur l’intégralité du contenu © 1992 – 2007 Cisco Systems, Inc. Tous droits réservés.
Ce document contient des informations publiques Cisco. Page 1 sur 9
Travaux pratiques 1.5.2 : configuration des paramètres de base
d’un routeur
Diagramme de topologie
Table d’adressage
Périphérique Interface Adresse IP Masque de sous-réseau Passerelle par défaut :
R1
Fa0/0 192.168.1.1 255.255.255.0 s/o
S0/0/0 192.168.2.1 255.255.255.0 s/o
R2
Fa0/0 192.168.3.1 255.255.255.0 s/o
S0/0/0 192.168.2.2 255.255.255.0 s/o
PC1 s/o 192.168.1.10 255.255.255.0 192.168.1.1
PC2 s/o 192.168.3.10 255.255.255.0 192.168.3.1
Objectifs pédagogiques
À l’issue de ces travaux pratiques, vous serez en mesure d’effectuer les tâches suivantes :
 Câbler un réseau conformément au diagramme de topologie
 Effacer la configuration de démarrage et recharger un routeur dans son état par défaut
 Exécuter des tâches de configuration de base sur un routeur
 Configurer et activer les interfaces Ethernet
 Tester et vérifier les configurations
 Réfléchir à l’implémentation du réseau et fournir la documentation associée
Scénario
Au cours de cet exercice, vous allez créer un réseau similaire à celui présenté dans le diagramme de
topologie. Commencez par câbler le réseau en respectant le diagramme de topologie. Vous effectuerez
ensuite les configurations initiales des routeurs nécessaires pour la connectivité. Utilisez les adresses IP
fournies dans le diagramme de topologie pour appliquer un système d’adressage aux périphériques
réseau. Lorsque la configuration du réseau est terminée, examinez les tables de routage pour vérifier le
fonctionnement correct du réseau. Ces travaux pratiques sont une version abrégée des Travaux
pratiques 1.5.1 : câblage d’un réseau et configuration de base des routeurs. Vous êtes censé
maîtriser les concepts de câblage de base et de gestion des fichiers de configuration.
CCNA Exploration
Protocoles et concepts de routage : Travaux pratiques 1.5.2 :
Présentation du routage et du transfert de paquets configuration des paramètres de base d’un routeur
Copyright sur l’intégralité du contenu © 1992 – 2007 Cisco Systems, Inc. Tous droits réservés.
Ce document contient des informations publiques Cisco. Page 2 sur 9
Tâche 1 : câblage du réseau
Installez un réseau similaire à celui du diagramme de topologie. La sortie utilisée dans ces travaux
pratiques provient de routeurs 1841. Vous pouvez utiliser n’importe quel routeur des travaux pratiques,
pourvu qu’il comporte les interfaces nécessaires illustrées dans la topologie. Vérifiez que vous utilisez le
type de câble Ethernet voulu pour effectuer les branchements entre hôte et commutateur, commutateur
et routeur, et hôte et routeur. En cas de problème de branchement des périphériques, voir les Travaux
pratiques 1.5.1 : câblage d’un réseau et configuration de base des routeurs. Veillez à bien
connecter le câble ETCD au routeur R1 et le câble série ETTD au routeur R2.
Répondez aux questions suivantes :
Quel type de câble permet de connecter l’interface Ethernet d’un PC hôte à l’interface Ethernet d’un
commutateur ? __________________________
Quel type de câble permet de connecter l’interface Ethernet d’un commutateur à l’interface Ethernet d’un
routeur ? __________________________
Quel type de câble permet de connecter l’interface Ethernet d’un routeur à l’interface Ethernet d’un PC
hôte ? ___________________________________
Tâche 2 : effacement et recharge des informations des routeurs
Étape 1 : ouverture d’une session de terminal avec le routeur R1
Pour plus d’informations sur l’émulation de terminal et la connexion à un routeur, voir les travaux
pratiques 1.5.1, « Câblage d’un réseau et configuration de base des routeurs ».
Étape 2 : activation du mode d’exécution privilégié
Router>enable
Router#
Étape 3 : effacement de la configuration
Pour effacer la configuration, lancez la commande erase startup-config. Lorsque vous êtes invité
à confirmer (via [confirm]) que vous voulez vraiment effacer la configuration actuellement enregistrée
en mémoire NVRAM, appuyez sur Entrée.
Router#erase startup-config
Erasing the nvram filesystem will remove all files! Continue? [confirm]
[OK]
Erase of nvram: complete
Router#
Étape 4 : rechargement de la configuration
Au retour de l’invite, lancez la commande reload. Si vous êtes invité à enregistrer les modifications,
répondez par no.
Que se passerait-il si vous répondiez yes à la question, “System configuration has been
modified. Save?”
_______________________________________________________________________________
_______________________________________________________________________________
CCNA Exploration
Protocoles et concepts de routage : Travaux pratiques 1.5.2 :
Présentation du routage et du transfert de paquets configuration des paramètres de base d’un routeur
Copyright sur l’intégralité du contenu © 1992 – 2007 Cisco Systems, Inc. Tous droits réservés.
Ce document contient des informations publiques Cisco. Page 3 sur 9
Vous devez obtenir un résultat similaire à celui-ci :
Router#reload
System configuration has been modified. Save? [yes/no]: no
Proceed with reload? [confirm]
Lorsque vous êtes invité à confirmer (via [confirm]) que vous voulez vraiment recharger le routeur,
appuyez sur Entrée. Dès que le routeur a terminé l’amorçage, choisissez de ne pas utiliser la fonction
AutoInstall :
Would you like to enter the initial configuration dialog? [yes/no]: no
Would you like to terminate autoinstall? [yes]: [Press Return]
Press Enter to accept default.
Press RETURN to get started!
Étape 5 : répétition des étapes 1 à 4 sur le routeur R2 pour supprimer tout fichier de configuration
de démarrage éventuellement présent
Tâche 3 : exécution d’une configuration de base du routeur R1
Étape 1 : ouverture d’une session HyperTerminal avec le routeur R1
Étape 2 : activation du mode d’exécution privilégié
Router>enable
Router#
Étape 3 : activation du mode de configuration globale
Router#configure terminal
Tapez les commandes de configuration (une par ligne). Terminez par
CNTL/Z.
Router(config)#
Étape 4 : configuration du nom du routeur comme R1
À l’invite de la commande, entrez hostname R1.
Router(config)#hostname R1
R1(config)#
Étape 5 : désactivation de la recherche DNS
Utilisez la commande ip domain-lookup pour désactiver la recherche DNS.
R1(config)#no ip domain-lookup
R1(config)#
CCNA Exploration
Protocoles et concepts de routage : Travaux pratiques 1.5.2 :
Présentation du routage et du transfert de paquets configuration des paramètres de base d’un routeur
Copyright sur l’intégralité du contenu © 1992 – 2007 Cisco Systems, Inc. Tous droits réservés.
Ce document contient des informations publiques Cisco. Page 4 sur 9
Pourquoi désactiver la recherche DNS dans des travaux pratiques ?
_______________________________________________________________________________
_______________________________________________________________________________
Que se passerait-il si vous désactiviez la recherche DNS en production ?
_______________________________________________________________________________
_______________________________________________________________________________
Étape 6 : configuration du mot de passe pour le mode d’exécution
Lancez la commande enable secret mot de passe pour configurer un mot de passe pour le mode
d’exécution. Indiquez class comme mot de passe.
R1(config)#enable secret class
R1(config)#
Pourquoi la commande enable password mot de passe n’est-elle pas nécessaire ?
_______________________________________________________________________________
_______________________________________________________________________________
Étape 7 : configuration d’une bannière du message du jour
Configurez une bannière de message du jour à l’aide de la commande banner motd.
R1(config)#banner motd &
Enter TEXT message. End with the character '&'.
********************************
!!!AUTHORIZED ACCESS ONLY!!!
********************************
&
R1(config)#
Quand cette bannière s’affiche-t-elle ?
_______________________________________________________________________________
Pourquoi chaque routeur doit-il avoir une bannière de message du jour ?
_______________________________________________________________________________
Étape 8 : configuration du mot de passe de la console sur le routeur
Entrez le mot de passe cisco. Quittez ensuite le mode de configuration en ligne.
R1(config)#line console 0
R1(config-line)#password cisco
R1(config-line)#login
R1(config-line)#exit
R1(config)#
CCNA Exploration
Protocoles et concepts de routage : Travaux pratiques 1.5.2 :
Présentation du routage et du transfert de paquets configuration des paramètres de base d’un routeur
Copyright sur l’intégralité du contenu © 1992 – 2007 Cisco Systems, Inc. Tous droits réservés.
Ce document contient des informations publiques Cisco. Page 5 sur 9
Étape 9 : configuration du mot de passe pour les lignes de terminal virtuel
Entrez le mot de passe cisco. Quittez ensuite le mode de configuration en ligne.
R1(config)#line vty 0 4
R1(config-line)#password cisco
R1(config-line)#login
R1(config-line)#exit
R1(config)#
Étape 10 : configuration de l’interface FastEthernet0/0
Configurez l’interface FastEthernet0/0 avec l’adresse IP 192.168.1.1/24.
R1(config)#interface fastethernet 0/0
R1(config-if)#ip address 192.168.1.1 255.255.255.0
R1(config-if)#no shutdown
%LINK-5-CHANGED: Interface FastEthernet0/0, changed state to up
%LINEPROTO-5-UPDOWN: Line protocol on Interface FastEthernet0/0, changed
state to up
R1(config-if)#
Étape 11 : configuration de l’interface Serial0/0/0
Configurez l’interface Serial0/0/0 avec l’adresse IP 192.168.2.1/24. Réglez la fréquence d'horloge
sur 64 000.
Remarque : l’intérêt de la commande clock rate est expliqué au chapitre 2 : Routes statiques.
R1(config-if)#interface serial 0/0/0
R1(config-if)#ip address 192.168.2.1 255.255.255.0
R1(config-if)#clock rate 64000
R1(config-if)#no shutdown
R1(config-if)#
Remarque : l’interface est activée jusqu’à ce que l’interface série de R2 soit configurée et activée.
Étape 12 : retour au mode d’exécution privilégié
Utilisez la commande end pour repasser en mode privilégié.
R1(config-if)#end
R1#
Étape 13 : enregistrement de la configuration de R1
Utilisez la commande running-config startup-config pour enregistrer la configuration de R1.
R1#copy running-config startup-config
Building configuration...
[OK]
R1#
Quelle est la version abrégée de cette commande ? ___________
CCNA Exploration
Protocoles et concepts de routage : Travaux pratiques 1.5.2 :
Présentation du routage et du transfert de paquets configuration des paramètres de base d’un routeur
Copyright sur l’intégralité du contenu © 1992 – 2007 Cisco Systems, Inc. Tous droits réservés.
Ce document contient des informations publiques Cisco. Page 6 sur 9
Tâche 4 : exécution d’une configuration de base du routeur R2
Étape 1 : répétition des étapes 1 à 9 à partir de la tâche 3 pour R2
Étape 2 : configuration de l’interface Serial 0/0/0
Configurez l’interface Serial 0/0/0 avec l’adresse IP 192.168.2.2/24.
R2(config)#interface serial 0/0/0
R2(config-if)#ip address 192.168.2.2 255.255.255.0
R2(config-if)#no shutdown
%LINK-5-CHANGED: Interface Serial0/0/0, changed state to up
%LINEPROTO-5-UPDOWN: Line protocol on Interface Serial0/0/0, changed state
to up
R2(config-if)#
Étape 3 : configuration de l’interface FastEthernet0/0
Configurez l’interface FastEthernet0/0 avec l’adresse IP 192.168.3.1/24.
R2(config-if)#interface fastethernet 0/0
R2(config-if)#ip address 192.168.3.1 255.255.255.0
R2(config-if)#no shutdown
%LINK-5-CHANGED: Interface FastEthernet0/0, changed state to up
%LINEPROTO-5-UPDOWN: Line protocol on Interface FastEthernet0/0, changed
state to up
R2(config-if)#
Étape 4 : retour au mode d’exécution privilégié
Utilisez la commande end pour repasser en mode privilégié.
R2(config-if)#end
R2#
Étape 5 : enregistrement de la configuration de R2
Utilisez la commande running-config startup-config pour enregistrer la configuration de R2.
R2#copy running-config startup-config
Building configuration...
[OK]
R2#
Tâche 5 : configuration des adresses IP sur les ordinateurs hôtes
Étape 1 : configuration de l’hôte PC1
Configurez l’ordinateur hôte PC1 connecté à R1 avec une adresse IP 192.168.1.10/24 et une passerelle
par défaut 192.168.1.1.
Étape 2 : configuration de l’hôte PC2
Configurez l’ordinateur hôte PC2 connecté à R2 avec une adresse IP 192.168.3.10/24 et une passerelle
par défaut 192.168.3.1.
CCNA Exploration
Protocoles et concepts de routage : Travaux pratiques 1.5.2 :
Présentation du routage et du transfert de paquets configuration des paramètres de base d’un routeur
Copyright sur l’intégralité du contenu © 1992 – 2007 Cisco Systems, Inc. Tous droits réservés.
Ce document contient des informations publiques Cisco. Page 7 sur 9
Tâche 6 : vérification et test des configurations
Étape 1 : vérification que les tables de routage contiennent les routes suivantes à l’aide de
la commande show ip route
La commande show ip route et son résultat sont examinés en détail dans les chapitres suivants.
Pour le moment, ce qui vous intéresse est le fait que R1 et R2 ont chacun deux routes. Les deux routes
sont indiquées par la lettre C. Il s’agit des réseaux connectés directement qui ont été activés lorsque
vous avez configuré les interfaces sur chaque routeur. Si deux routes pour chaque routeur ne sont
pas affichées (voir le résultat ci-dessous), passez à l’étape 2.
R1#show ip route
Codes: C - connected, S - static, R - RIP, M - mobile, B - BGP
D - EIGRP, EX - EIGRP external, O - OSPF, IA - OSPF inter area
N1 - OSPF NSSA external type 1, N2 - OSPF NSSA external type 2
E1 - OSPF external type 1, E2 - OSPF external type 2
i - IS-IS, su - IS-IS summary, L1 - IS-IS level-1, L2 - IS-IS level-2
ia - IS-IS inter area, * - candidate default, U - per-user static route
o - ODR, P - periodic downloaded static route
Gateway of last resort is not set
C 192.168.1.0/24 is directly connected, FastEthernet0/0
C 192.168.2.0/24 is directly connected, Serial0/0/0
R1#
R2#show ip route
Codes: C - connected, S - static, R - RIP, M - mobile, B - BGP
D - EIGRP, EX - EIGRP external, O - OSPF, IA - OSPF inter area
N1 - OSPF NSSA external type 1, N2 - OSPF NSSA external type 2
E1 - OSPF external type 1, E2 - OSPF external type 2
i - IS-IS, su - IS-IS summary, L1 - IS-IS level-1, L2 - IS-IS level-2
ia - IS-IS inter area, * - candidate default, U - per-user static route
o - ODR, P - periodic downloaded static route
Gateway of last resort is not set
C 192.168.2.0/24 is directly connected, Serial0/0/0
C 192.168.3.0/24 is directly connected, FastEthernet0/0
R2#
Étape 2 : vérification des configurations des interfaces
Un autre problème courant provient des interfaces des routeurs qui ne sont pas configurées correctement
ou qui ne sont pas activées. Pour vérifier rapidement la configuration des interfaces de chaque routeur,
utilisez la commande show ip interface brief. Le résultat doit être similaire à celui-ci :
R1#show ip interface brief
Interface IP-Address OK? Method Status Protocol
FastEthernet0/0 192.168.1.1 YES manual up up
FastEthernet0/1 unassigned YES unset administratively down down
Serial0/0/0 192.168.2.1 YES manual up up
Serial0/0/1 unassigned YES unset administratively down down
Vlan1 unassigned YES manual administratively down down
CCNA Exploration
Protocoles et concepts de routage : Travaux pratiques 1.5.2 :
Présentation du routage et du transfert de paquets configuration des paramètres de base d’un routeur
Copyright sur l’intégralité du contenu © 1992 – 2007 Cisco Systems, Inc. Tous droits réservés.
Ce document contient des informations publiques Cisco. Page 8 sur 9
R2#show ip interface brief
Interface IP-Address OK? Method Status Protocol
FastEthernet0/0 192.168.3.1 YES manual up up
FastEthernet0/1 unassigned YES unset administratively down down
Serial0/0/0 192.168.2.2 YES manual up up
Serial0/0/1 unassigned YES unset down down
Vlan1 unassigned YES manual administratively down down
Si up et up apparaissent pour les deux interfaces, les deux routes figurent dans la table de routage.
Vérifiez à nouveau ce point avec la commande show ip route.
Étape 3 : test de la connectivité
Testez la connectivité en envoyant des paquets ping à partir de chaque hôte, à destination de
la passerelle par défaut configurée pour lui.
Depuis l’hôte raccordé à R1, est-il possible d’envoyer un paquet ping à la passerelle par défaut ?
__________
Depuis l’hôte raccordé à R2, est-il possible d’envoyer un paquet ping à la passerelle par défaut ?
__________
Si vous obtenez une réponse négative à l’une ou l’autre de ces questions, dépannez les configurations
pour localiser l’erreur en procédant systématiquement comme suit :
1. Vérifiez les PC.
Sont-ils connectés physiquement au routeur correct ? (La connexion peut être directe ou passer
par un commutateur.) __________
Les voyants de liaison clignotent-ils sur tous les ports voulus ? __________
2. Vérifiez la configuration des PC.
Correspondent-elles au diagramme de topologie ? __________
3. Vérifiez les interfaces du routeur avec la commande show ip interface brief.
Les interfaces apparaissent-elles up et up ? __________
Si vous répondez Oui lors de ces trois étapes, vous devez réussir à envoyer un paquet ping à la
passerelle par défaut.
Étape 4 : test de la connectivité entre les routeurs R1 et R2
Depuis le routeur R1, est-il possible d’envoyer un paquet ping à R2 avec la commande ping
192.168.2.2 ? ________
Depuis le routeur R2, est-il possible d’envoyer un paquet ping à R1 avec la commande ping
192.168.2.1 ? ________
Si vous obtenez une réponse négative à ces questions, dépannez les configurations pour localiser
l’erreur en procédant systématiquement comme suit :
1. Vérifiez les branchements.
Les routeurs sont-ils physiquement connectés ? ________
Les voyants de liaison clignotent-ils sur tous les ports voulus ? ________
CCNA Exploration
Protocoles et concepts de routage : Travaux pratiques 1.5.2 :
Présentation du routage et du transfert de paquets configuration des paramètres de base d’un routeur
Copyright sur l’intégralité du contenu © 1992 – 2007 Cisco Systems, Inc. Tous droits réservés.
Ce document contient des informations publiques Cisco. Page 9 sur 9
2. Vérifiez les configurations des routeurs.
Correspondent-elles au diagramme de topologie ? ________
Avez-vous configuré la commande clock rate du côté ETCD de la liaison ? ________
3. Vérifiez les interfaces du routeur avec la commande show ip interface brief.
Les interfaces apparaissent-elles « up » et « up » ? ________
Si vous répondez par Oui lors des trois étapes, vous devez réussir à envoyer un paquet ping de R2 à R1
et de R2 à R3.
Tâche 7 : remarques générales
Étape 1 : tentative d’envoi d’un paquet ping depuis l’hôte connecté à R1 jusqu’à l’hôte connecté à R2
Ce ping doit échouer.
Étape 2 : tentative d’envoi d’un paquet ping depuis l’hôte connecté à R1 jusqu’au routeur R2
Ce ping doit échouer.
Étape 3 : tentative d’envoi d’un paquet ping depuis l’hôte connecté à R2 jusqu’au routeur R1
Ce ping doit échouer.
Que manque-t-il au réseau pour que la communication entre ces périphériques soit possible ?
________________________________________________________________________________
________________________________________________________________________________
Tâche 8 : documentation
Sur chaque routeur, capturez le résultat de la commande suivante dans un fichier texte (.txt)
et enregistrez-le pour y faire référence par la suite.
 show running-config
 show ip route
 show ip interface brief
Si vous voulez revoir les procédures de capture du résultat d’une commande, reportez-vous aux travaux
pratiques 1.5.1, « Câblage d’un réseau et configuration de base des routeurs ».
Tâche 9 : remise en état
Effacez les configurations et rechargez les routeurs. Débranchez les câbles et stockez-les. Pour les
PC hôtes normalement connectés à d’autres réseaux (comme le réseau local du centre de formation
ou Internet), remettez-en place les câblages adaptés et restaurez les paramètres TCP/IP.
Copyright sur l’intégralité du contenu © 1992 – 2007 Cisco Systems, Inc. Tous droits réservés.
Ce document contient des informations publiques Cisco. Page 1 sur 4
Travaux pratiques 1.5.3 : confirmation de configuration des routeurs
Diagramme de topologie
Table d’adressage
Périphérique Interface Adresse IP
Masque de
sous-réseau
Passerelle
par défaut
R1
Fa0/0 s/o
S0/0/0 s/o
R2
Fa0/0 s/o
S0/0/0 s/o
PC1 Carte réseau
PC2 Carte réseau
Objectifs pédagogiques
À l’issue de ces travaux pratiques, vous serez en mesure d’effectuer les tâches suivantes :
 Créer des sous-réseaux dans un espace d’adressage d’après des consignes données
 Attribuer des adresses appropriées aux interfaces et les documenter
 Câbler un réseau conformément au diagramme de topologie
 Effacer la configuration de démarrage et recharger un routeur dans son état par défaut
 Exécuter des tâches de configuration de base sur un routeur
 Configurer et activer les interfaces série et Ethernet
 Tester et vérifier les configurations
 Réfléchir à l’implémentation du réseau et fournir la documentation associée
Scénario
Au cours de cet exercice, vous concevrez et appliquerez un système d’adressage IP pour la topologie
présentée dans le diagramme. Vous recevrez une adresse de classe C que vous devez découper en
sous-réseaux pour fournir un système d’adressage logique au réseau. Vous devez commencer par câbler
le réseau, comme illustré, avant de démarrer la configuration. Une fois le réseau installé, configurez
chaque périphérique avec les commandes de configuration de base appropriées. Les routeurs sont
ensuite prêts pour la configuration d’adressage d’interface en fonction de votre système d’adressage IP.
Lorsque la configuration est terminée, utilisez les commandes IOS appropriées pour vérifier le bon
fonctionnement du réseau.
CCNA Exploration
Protocoles et concepts de routage :
Présentation du routage et du transfert de paquets Travaux pratiques 1.5.3 : confirmation de configuration des routeurs
Copyright sur l’intégralité du contenu © 1992 – 2007 Cisco Systems, Inc. Tous droits réservés.
Ce document contient des informations publiques Cisco. Page 2 sur 4
Tâche 1 : subdivision de l’espace d’adressage
Étape 1 : examen des besoins du réseau
L’espace d’adressage 192.168.1.0/24 est à votre disposition pour la conception de votre réseau.
Le réseau se compose des segments suivants :
 Le réseau connecté au routeur R1 a besoin d’adresses IP en nombre suffisant pour prendre
en charge 20 hôtes.
 Le réseau connecté au routeur R2 a besoin d’adresses IP en nombre suffisant pour prendre
en charge 20 hôtes.
 La liaison entre le routeur R1 et le routeur R2 exige des adresses IP à chacune de ses
extrémités.
(Remarque : n’oubliez pas que les interfaces des périphériques réseau sont également des
adresses IP hôte et figurent dans le modèle d’adressage ci-dessus).
Étape 2 : questions à prendre en comptre lors de la création de votre conception de réseau
Quel est le nombre de sous-réseaux nécessaires à ce réseau ? ____________________
Quel est le masque de sous-réseau de ce réseau au format décimal à point ? ____________________
Quel est le masque de sous-réseau de ce réseau au format avec barre oblique ? ______________
Combien y a-t-il d'hôtes utilisables par sous-réseau ? ____________________
Étape 3 : attribution d'adresses de sous-réseau au diagramme de topologie
1. Affectez le premier sous-réseau (réseau de plus bas niveau) au réseau connecté à R1.
2. Affectez le deuxième sous-réseau à la liaison entre R1 et R2.
3. Affectez le troisième sous-réseau au réseau connecté à R2.
Tâche 2 : détermination des adresses des interfaces
Étape 1 : attribution des adresses appropriées aux interfaces des périphériques
1. Attribuez la première adresse hôte valide du premier sous-réseau à l’interface de réseau
local sur R1.
2. Attribuez la dernière adresse hôte valide du premier sous-réseau à PC1.
3. Attribuez la première adresse hôte valide du deuxième sous-réseau à l’interface de réseau
étendu (WAN) sur R1.
4. Attribuez la dernière adresse hôte valide du deuxième sous-réseau à l’interface de réseau
étendu (WAN) sur R2.
5. Attribuez la première adresse hôte valide du troisième sous-réseau à l’interface de réseau
local de R1.
6. Attribuez la dernière adresse hôte valide du troisième sous-réseau à PC2.
Remarque : le quatrième sous-réseau (niveau le plus élevé) n’est pas indispensable dans cette
topologie.
CCNA Exploration
Protocoles et concepts de routage :
Présentation du routage et du transfert de paquets Travaux pratiques 1.5.3 : confirmation de configuration des routeurs
Copyright sur l’intégralité du contenu © 1992 – 2007 Cisco Systems, Inc. Tous droits réservés.
Ce document contient des informations publiques Cisco. Page 3 sur 4
Étape 2 : documentation des adresses à utiliser dans le tableau fourni sous le diagramme
de topologie
Tâche 3 : préparation du réseau
Étape 1 : installation d’un réseau similaire à celui du diagramme de topologie
Vous pouvez utiliser n’importe quel routeur des travaux pratiques, pourvu qu’il comporte les interfaces
nécessaires illustrées dans la topologie.
Étape 2 : suppression de toute configuration existante sur les routeurs
Tâche 4 : exécution des configurations de base des routeurs
Procédez à une configuration de base des routeurs R1 et R2 en suivant les consignes suivantes :
1. Configurez le nom d’hôte du routeur.
2. Désactivez la recherche DNS.
3. Configurez un mot de passe pour le mode EXEC.
4. Configurez une bannière du message du jour.
5. Configurez un mot de passe pour les connexions console.
6. Configurez un mot de passe pour les connexions VTY.
Tâche 5 : vonfiguration et activation des adresses de série et Ethernet
Étape 1 : vonfiguration des interfaces des routeurs
Configurez les interfaces des routeurs R1 et R2 avec les adresses IP de la conception de votre réseau.
Lorsque vous avez terminé, n’oubliez pas d’enregistrer la configuration en cours d’exécution dans la
mémoire NVRAM du routeur.
Étape 2 : configuration des interfaces des PC
Configurez les interfaces Ethernet de PC1 et PC2 avec les adresses IP et les passerelles par défaut
provenant de la conception de votre réseau.
Tâche 6 : vérification des configurations
Répondez aux questions suivantes pour vérifier que le réseau fonctionne comme prévu.
Depuis l’hôte raccordé à R1, est-il possible d’envoyer un paquet ping à la passerelle par défaut ? ______
Depuis l’hôte raccordé à R2, est-il possible d’envoyer un paquet ping à la passerelle par défaut ? ______
Depuis le routeur R1, est-il possible d’envoyer un paquet ping sur l’interface Serial 0/0/0 de R2 ? ______
Depuis le routeur R2, est-il possible d’envoyer un paquet ping sur l’interface Serial 0/0/0 de R1 ? ______
CCNA Exploration
Protocoles et concepts de routage :
Présentation du routage et du transfert de paquets Travaux pratiques 1.5.3 : confirmation de configuration des routeurs
Copyright sur l’intégralité du contenu © 1992 – 2007 Cisco Systems, Inc. Tous droits réservés.
Ce document contient des informations publiques Cisco. Page 4 sur 4
La réponse aux questions précédentes doit être oui. Si un paquet ping ci-dessus a échoué, vérifiez
les connexions physiques et les configurations. Si nécessaire, voir les travaux pratiques 1.5.2,
« Configuration de base des routeurs ».
Quel est l’état de l’interface FastEthernet 0/0 de R1 ? _____________
Quel est l’état de l’interface Serial 0/0/0 de R1 ? _____________
Quel est l’état de l’interface FastEthernet 0/0 de R2 ? _____________
Quel est l’état de l’interface Serial 0/0/0 de R2 ? _____________
Quelles sont les routes présentes dans la table de routage de R1 ?
__________________________________________________________________________
__________________________________________________________________________
Quelles sont les routes présentes dans la table de routage de R2 ?
__________________________________________________________________________
__________________________________________________________________________
Tâche 7 : remarques générales
Le réseau contient-il des périphériques qui ne peuvent pas s’envoyer mutuellement des paquets ping ?
__________________________________________________________________________
__________________________________________________________________________
Que manque-t-il au réseau pour que la communication entre ces périphériques soit possible ?
__________________________________________________________________________
__________________________________________________________________________
Tâche 8 : description des configurations des routeurs
Sur chaque routeur, capturez le résultat de la commande suivante dans un fichier texte (.txt)
et enregistrez-le pour y faire référence par la suite.
 Configuration en cours
 Table de routage
 Récapitulatif des informations d’état pour chaque interface
1.6.1 : exercice d’intégration des compétences Packet Tracer
Diagramme de topologie
Table d’adressage
Périphérique Interface Adresse IP Masque de sous-réseau
Passerelle
par défaut
Fa0/0 N/D
S0/0/0 N/DHQ
S0/0/1 N/D
Fa0/0 N/D
B1
S0/0/0 N/D
Fa0/0 N/D
B2
S0/0/1 N/D
PC1 Carte réseau
PC2 Carte réseau
PC3 Carte réseau
Copyright sur l'intégralité du contenu © 1992–2007 Cisco Systems, Inc. Tous droits réservés.
Ce document contient des informations publiques Cisco. Page 1 sur 4
CCNA Exploration
Protocoles et concepts de routage :
Présentation du routage et du transfert de paquets Exercice d’intégration des compétences Packet Tracer
Objectifs
• Concevoir et documenter un schéma d’adressage en fonction de conditions requises
• Sélectionner le matériel approprié et câbler les périphériques
• Appliquer une configuration de base aux périphériques
• Vérifier la connectivité entre tous les périphériques de la topologie
• Identifier les adresses de couche 2 et 3 utilisées pour commuter les paquets
Tâche 1 : conception et documentation d’un schéma d’adressage
Étape 1 : conception d’un schéma d’adressage
D’après les spécifications réseau indiquées dans la topologie, concevez un schéma d’adressage
approprié.
(Remarque : n’oubliez pas que les interfaces des périphériques réseau sont également des adresses IP
d’hôte et sont incluses dans les conditions d’adressage ci-dessus.)
• En commençant par le réseau local le plus grand, déterminez la taille de chaque sous-réseau
nécessaire pour répondre aux conditions requises pour l’hôte donné.
• Une fois les adresses de tous les sous-réseaux locaux déterminées, affectez le premier espace
d’adressage disponible à la liaison WAN entre B1 et HQ.
• Affectez ensuite le deuxième espace d’adressage disponible à la liaison WAN entre HQ et B2.
Étape 2 : documentation du schéma d’adressage
• Utilisez les espaces libres de la topologie pour indiquer les adresses réseau au format
points/barres obliques.
• Utilisez le tableau fourni dans les instructions papier pour documenter les adresses IP,
les masques de sous-réseau et les adresses des passerelles par défaut.
Pour les réseaux locaux, affectez la première adresse IP à l’interface du routeur. Affectez
la dernière adresse IP à l’ordinateur.
Pour les liaisons WAN, affectez la première adresse IP à HQ.
Tâche 2 : sélection du matériel et câblage des périphériques
Étape 1 : sélection du matériel nécessaire
Sélectionnez les périphériques restants dont vous aurez besoin et ajoutez-les à l’espace de travail de
Packet Tracer. Utilisez les étiquettes pour savoir où placer les périphériques.
Étape 2 : fin du câblage des périphériques
Câblez les réseaux en fonction de la topologie en veillant à ce que les interfaces correspondent à ce que
vous avez documentez à la tâche 1.
Tâche 3 : application d’une configuration de base
Étape 1 : configuration des routeurs
À l’aide de votre documentation, procédez à la configuration de base des routeurs, y compris l’adressage.
Utilisez cisco comme mot de passe de ligne et class comme mot de passe secret. Utilisez la fréquence
d’horloge 64 000.
Copyright sur l'intégralité du contenu © 1992–2007 Cisco Systems, Inc. Tous droits réservés.
Ce document contient des informations publiques Cisco. Page 2 sur 4
CCNA Exploration
Protocoles et concepts de routage :
Présentation du routage et du transfert de paquets Exercice d’intégration des compétences Packet Tracer
Étape 2 : configuration des ordinateurs
À l’aide de votre documentation, configurez les ordinateurs en leur affectant une adresse IP, un masque
de sous-réseau et une passerelle par défaut.
Tâche 4 : test de la connectivité et examen de la configuration
Étape 1 : test de la connectivité
Le routage RIP a déjà été configuré pour vous. La connectivité de bout en bout doit en principe
être établie.
• PC1 peut-il envoyer une requête ping à PC2 ? ________
• PC1 peut-il envoyer une requête ping à PC3 ? ________
• PC3 peut-il envoyer une requête ping à PC2 ? ________
Corrigez les éventuels problèmes jusqu’à ce que les requêtes ping fonctionnent.
Étape 2 : examen de la configuration
Utilisez les commandes de vérification pour vérifier que vos configurations sont complètes.
Tâche 5 : identification des adresses de couche 2 et 3 utilisées pour commuter les paquets
Étape 1 : création d’un paquet de requêtes ping d’unité de données de protocole simple
• Passez en mode Simulation.
• Utilisez le bouton Add Simple PDU pour créer une requête ping de PC1 à PC3.
• Modifiez « Edit Filters » afin que seul le protocole ICMP soit simulé.
Étape 2 : adresses sur PC1
Indiquez les adresses utilisées par PC1 pour envoyer le paquet de requêtes ping à B1 :
Source de couche 3 : _________________________________________
Destination de couche 3 : _________________________________________
Source de couche 2 : _________________________________________
Destination de couche 2 : _________________________________________
Étape 3 : adresses sur B1
Indiquez les adresses utilisées par B1 pour envoyer le paquet de requêtes ping à HQ :
Source de couche 3 : _________________________________________
Destination de couche 3 : _________________________________________
Source de couche 2 : _________________________________________
Destination de couche 2 : _________________________________________
Copyright sur l'intégralité du contenu © 1992–2007 Cisco Systems, Inc. Tous droits réservés.
Ce document contient des informations publiques Cisco. Page 3 sur 4
CCNA Exploration
Protocoles et concepts de routage :
Présentation du routage et du transfert de paquets Exercice d’intégration des compétences Packet Tracer
Copyright sur l'intégralité du contenu © 1992–2007 Cisco Systems, Inc. Tous droits réservés.
Ce document contient des informations publiques Cisco. Page 4 sur 4
Étape 4 : adresses sur HQ
Indiquez les adresses utilisées par HQ pour envoyer le paquet de requêtes ping à B2 :
Source de couche 3 : _________________________________________
Destination de couche 3 : _________________________________________
Source de couche 2 : _________________________________________
Destination de couche 2 : _________________________________________
Étape 5 : adresses sur B2
Indiquez les adresses utilisées par B2 pour envoyer le paquet de requêtes ping à PC3 :
Source de couche 3 : _________________________________________
Destination de couche 3 : _________________________________________
Source de couche 2 : _________________________________________
Destination de couche 2 : _________________________________________
Travaux pratiques 2.8.1 : configuration de base d’une route statique
Diagramme de topologie
Table d’adressage
Périphérique Interface Adresse IP Masque de sous-réseau Passerelle par défaut
Fa0/0 172.16.3.1 255.255.255.0 s/o
R1
S0/0/0 172.16.2.1 255.255.255.0 s/o
Fa0/0 172.16.1.1 255.255.255.0 s/o
S0/0/0 172.16.2.2 255.255.255.0 s/oR2
S0/0/1 192.168.1.2 255.255.255.0 s/o
FA0/0 192.168.2.1 255.255.255.0 s/o
R3
S0/0/1 192.168.1.1 255.255.255.0 s/o
PC1 Car au 172.16.3.1te rése 172.16.3.10 255.255.255.0
PC2 Carte réseau 172.16.1.10 255.255.255.0 172.16.1.1
PC3 Carte réseau 192.168.2.10 255.255.255.0 192.168.2.1
Copyright sur l’intégralité du contenu © 1992 – 2007 Cisco Systems, Inc. Tous droits réservés.
Ce document contient des informations publiques Cisco. Page 1 sur 21
CCNA Exploration
Protocoles et concepts de routage : Routage statique Travaux pratiques 2.8.1 : configuration de base d’une route statique
Copyright sur l’intégralité du contenu © 1992 – 2007 Cisco Systems, Inc. Tous droits réservés.
Ce document contient des informations publiques Cisco. Page 2 sur 21
Objectifs pédagogiques
À l’issue de ces travaux pratiques, vous serez en mesure d’effectuer les tâches suivantes :
• Câbler un réseau conformément au diagramme de topologie
• Effacer la configuration de démarrage et recharger un routeur dans son état par défaut
• Exécuter des tâches de configuration de base sur un routeur
• Interpréter les résultats de la commande debug ip routing
• Configurer et activer les interfaces série et Ethernet
• Tester la connectivité
• Collecter les informations permettant de déterminer les causes de l’absence de connectivité entre
les périphériques
• Configurer une route statique en utilisant une adresse intermédiaire
• Configurer une route statique en utilisant une interface de sortie
• Comparer une route statique avec adresse intermédiaire à une route statique avec interface
de sortie
• Configurer une route statique par défaut
• Configurer une route statique résumée
• Documenter l’implémentation du réseau
Scénario
Au cours de cet exercice, vous allez créer un réseau similaire à celui présenté dans le diagramme de
topologie. Commencez par câbler le réseau en respectant le diagramme de topologie. Vous effectuerez
ensuite les configurations initiales des routeurs nécessaires pour la connectivité. Utilisez les adresses IP
fournies dans la table d’adressage pour appliquer un système d’adressage aux périphériques réseau.
Lorsque la configuration de base est terminée, testez la connectivité entre les périphériques du réseau.
Testez en premier les connexions entre les périphériques directement connectés, puis entre les
périphériques qui ne sont pas directement connectés. Les routeurs doivent être configurés avec des
routes statiques pour que la communication de bout en bout entre des hôtes du réseau soit possible.
Vous configurez les routes statiques indispensable à la communication entre les hôtes. Chaque fois
que vous ajoutez une route statique, affichez la table de routage pour observer les modifications.
Tâche 1 : installation, suppression et rechargement des routeurs
Étape 1 : installation d’un réseau similaire à celui du diagramme de topologie
Étape 2 : suppression de la configuration sur chaque routeur
Supprimez la configuration sur chaque routeur à l’aide de la commande erase startup-config,
puis rechargez les routeurs. Si vous êtes invité à enregistrer les modifications, répondez par no.
Tâche 2 : configuration de base d’un routeur
Remarque : si une commande utilisée ici vous pose un problème, reportez-vous aux Travaux
pratiques 1.5.1 : câblage d’un réseau et configuration de base du routeur.
CCNA Exploration
Protocoles et concepts de routage : Routage statique Travaux pratiques 2.8.1 : configuration de base d’une route statique
Copyright sur l’intégralité du contenu © 1992 – 2007 Cisco Systems, Inc. Tous droits réservés.
Ce document contient des informations publiques Cisco. Page 3 sur 21
Étape 1 : utilisation des commandes de configuration globale
Sur les routeurs, passez en mode de configuration globale et configurez les commandes de base
suivantes :
• hostname
• no ip domain-lookup
• enable secret
Étape 2 : configuration des mots de passe pour les lignes de terminal virtuel et pour la ligne
console de chaque routeur
• password
• login
Étape 3 : ajout de la commande logging synchronous aux lignes de terminal virtuel
et de console
Cette commande est très utile dans les travaux pratiques et en environnement de production. La syntaxe
est la suivante :
Router(config-line)#logging synchronous
Pour synchroniser les messages et les données de débogage non sollicités avec les informations
du logiciel IOS Cisco sollicitées et les invites d’une ligne de port console donnée, d’une ligne de port
auxiliaire ou d’une ligne de terminal virtuel, il est possible d’utiliser la commande de configuration de ligne
logging synchronous. En d’autres termes, la commande logging synchronous évite que les
messages IOS émis vers la console ou vers les lignes Telnet interrompent vos saisies sur le clavier.
Par exemple, vous avez sans doute rencontré la situation suivante :
Remarque : ne configurez pas encore les interfaces R1.
R1(config)#interface fastethernet 0/0
R1(config-if)#ip address 172.16.3.1 255.255.255.0
R1(config-if)#no shutdown
R1(config-if)#description
*Mar 1 01:16:080,212: %LINK-3-UPDOWN: Interface FastEthernet0/0, changed
state to up
*Mar 1 01:16:090,214: %LINEPROTO-5-UPDOWN: Line protocol on Interface
FastEthernet0/0, changed state to up
R1(config-if)#
Le logiciel IOS envoie des messages non sollicités à la console lorsque vous activez une interface
via la commande no shutdown. Cependant, la saisie de la commande suivante (dans ce cas précis
description) est interrompue par ce message. La commande logging synchronous résout
ce problème en copiant la commande entrée à l’invite suivante du routeur.
R1(config)#interface fastethernet 0/0
R1(config-if)#ip address 172.16.3.1 255.255.255.0
R1(config-if)#no shutdown
R1(config-if)#description
*Mar 1 01:28:040,242: %LINK-3-UPDOWN: Interface FastEthernet0/0, changed
state to up
CCNA Exploration
Protocoles et concepts de routage : Routage statique Travaux pratiques 2.8.1 : configuration de base d’une route statique
Copyright sur l’intégralité du contenu © 1992 – 2007 Cisco Systems, Inc. Tous droits réservés.
Ce document contient des informations publiques Cisco. Page 4 sur 21
*Mar 1 01:28:05.243: %LINEPROTO-5-UPDOWN: Line protocol on Interface
FastEthernet0/0, changed state to up
R1(config-if)#description <-- Saisie clavier copiée après le message
R1 a été choisi à titre d’exemple. Ajoutez la commande logging synchronous aux lignes de terminal
virtuel et de console de tous les routeurs.
R1(config)#line console 0
R1(config-line)#logging synchronous
R1(config-line)#line vty 0 4
R1(config-line)#logging synchronous
Étape 4 : ajout de la commande exec-timeout aux lignes de terminal virtuel et de console
La commande de configuration de ligne exec-timeout définit le délai d'attente de l'interpréteur de
commandes EXEC jusqu'à la détection d'une entrée utilisateur. En l’absence d’entrée, la fonction EXEC
reprend la connexion en cours. En l’absence de toute connexion, la fonction EXEC place le terminal en
mode inactif et déconnecte la session entrante. Cette commande permet de définir le temps d’inactivité
d’une ligne de console ou de terminal virtuel avant l’interruption de la session. La syntaxe est la suivante :
Router(config-line)#exec-timeout minutes [secondes]
Description de la syntaxe :
minutes – valeur numérique indiquant le nombre de minutes.
secondes – (facultatif) intervalle de temps supplémentaire exprimé en secondes.
Dans un environnement expérimental, vous pouvez spécifier « no timeout » (pas de délai d’attente) en
saisissant la commande exec-timeout 0 0. Cette commande est très utile, car le délai d’attente par
défaut est de 10 minutes. En production par contre, pour des raisons de sécurité, les lignes ne sont pas
configurées avec une commande « no timeout ».
R1 a été choisi à titre d’exemple.
Ajoutez la commande exec-timeout 0 0 aux lignes de terminal virtuel et de console de tous
les routeurs.
R1(config)#line console 0
R1(config-line)#exec-timeout 0 0
R1(config-line)#line vty 0 4
R1(config-line)#exec-timeout 0 0
Tâche 3 : interprétation des sorties du routeur
Remarque : si vous avez déjà configuré les adresses IP sur R1, retirez toutes les commandes
interface avant de continuer. R1, R2 et R3 doivent être configurés jusqu’à la tâche 2 sans
configuration d’interface.
Étape 1 : sur R1, en mode privilégié, saisie de la commande debug ip routing
R1#debug ip routing
IP routing debugging is on
La commande debug ip routing indique les routes qui sont ajoutées, modifiées et supprimées de
la table de routage. Par exemple, chaque fois que vous configurez et activez une interface, Cisco IOS
ajoute une route dans la table de routage. L’examen des informations fournies par la commande
debug ip routing permet de vérifier ce processus.
CCNA Exploration
Protocoles et concepts de routage : Routage statique Travaux pratiques 2.8.1 : configuration de base d’une route statique
Copyright sur l’intégralité du contenu © 1992 – 2007 Cisco Systems, Inc. Tous droits réservés.
Ce document contient des informations publiques Cisco. Page 5 sur 21
Étape 2 : activation du mode de configuration d'interface pour l'interface LAN de R1
R1#configure terminal
Tapez les commandes de configuration (une par ligne). Terminez par
CNTL/Z.
R1(config)#interface fastethernet 0/0
Configurez l’adresse IP indiquée dans le diagramme de la topologie.
R1(config-if)#ip address 172.16.3.1 255.255.255.0
is_up: 0 state: 6 sub state: 1 line: 1 has_route: False
Dès que vous appuyez sur la touche Entrée, les informations de débogage Cisco IOS signalent la
présence d’une nouvelle route, mais son état est False. En d’autres termes, la route n’a pas encore
été ajoutée à la table de routage. Pourquoi et quelles sont les mesures à prendre pour que la route
soit effectivement entrée dans la table de routage ?
____________________________________________________________________________
____________________________________________________________________________
Étape 3 : saisie de la commande nécessaire à l’installation de la route dans la table de routage
Si vous n’êtes pas sûr de connaître la commande adaptée, reportez-vous à la rubrique « Examen des
interfaces du routeur » abordée au chapitre 2.2. « Révision de la configuration du routeur ».
Lorsque vous avez entré la commande appropriée, vérifiez les données de débogage. Le résultat peut
être légèrement différent de l’exemple ci-dessous.
is_up: 1 state: 4 sub state: 1 line: 1 has_route: False
RT: add 172.16.3.0/24 via 0.0.0.0, connected metric [0/0]
RT: NET-RED 172.16.3.0/24
RT: NET-RED queued, Queue size 1
RT: interface FastEthernet0/0 added to routing table
%LINK-3-UPDOWN: Interface FastEthernet0/0, changed state to up
is_up: 1 state: 4 sub state: 1 line: 1 has_route: True
%LINEPROTO-5-UPDOWN: Line protocol on Interface FastEthernet0/0, chan
ged state to up
is_up: 1 state: 4 sub state: 1 line: 1 has_route: True
is_up: 1 state: 4 sub state: 1 line: 1 has_route: True
Le nouveau réseau que vous avez configuré sur l’interface du réseau local (LAN) est maintenant ajouté
à la table de routage (partie surlignée du résultat affiché).
Si la route n’est pas ajoutée à la table, cela veut dire que l’interface ne s’est pas affichée. Procédez
systématiquement comme suit pour dépanner la connexion :
1. Vérifiez les branchements physiques vers l’interface LAN.
L’interface raccordée est-elle la bonne ? ________
Le routeur peut avoir plusieurs interfaces LAN. Avez-vous connecté la bonne interface LAN ?
________
Une interface s’affiche uniquement si elle détecte un signal de détection de la porteuse sur la
couche physique d’un autre périphérique. L’interface est-elle connectée à un autre périphérique
(ex. concentrateur, commutateur ou ordinateur) ? ________
2. Vérifiez les voyants de liaison. Les voyants de liaison clignotent-ils tous ? ________
3. Vérifiez les branchements. Les câbles de branchement correspondent-ils aux périphériques ?
________
4. L’interface est-elle activée ? ________
Si vous pouvez répondre oui à toutes ces questions, l’interface doit s’afficher.
CCNA Exploration
Protocoles et concepts de routage : Routage statique Travaux pratiques 2.8.1 : configuration de base d’une route statique
Copyright sur l’intégralité du contenu © 1992 – 2007 Cisco Systems, Inc. Tous droits réservés.
Ce document contient des informations publiques Cisco. Page 6 sur 21
Étape 4 : saisie de la commande permettant de vérifier si la nouvelle route se trouve maintenant
dans la table de routage
Les informations affichées doivent être similaires à celles indiquées ci-dessous. Normalement, la table
de routage indique maintenant une route pour R1. Quelle commande avez-vous utilisée ?
R1#______________________________________
Codes: C - connected, S - static, I - IGRP, R - RIP, M - mobile, B - BGP
D - EIGRP, EX - EIGRP external, O - OSPF, IA - OSPF inter area
N1 - OSPF NSSA external type 1, N2 - OSPF NSSA external type 2
E1 - OSPF external type 1, E2 - OSPF external type 2, E - EGP
i - IS-IS, L1 - IS-IS level-1, L2 - IS-IS level-2, ia - IS-IS inter area
* - candidate default, U - per-user static route, o - ODR
P - periodic downloaded static route
Gateway of last resort is not set
172.16.0.0/24 is subnetted, 1 subnets
C 172.16.3.0 is directly connected, FastEthernet0/0
Étape 5 : activation du mode de configuration d'interface pour l'interface WAN de R1 connectée à R2
R1#configure terminal
Tapez les commandes de configuration (une par ligne). Terminez par
CNTL/Z.
R1(config)#interface Serial 0/0/0
Configurez l’adresse IP indiquée dans le diagramme de la topologie.
R1(config-if)#ip address 172.16.2.1 255.255.255.0
is_up: 0 state: 0 sub state: 1 line: 0 has_route: False
Dès que vous appuyez sur la touche Entrée, les informations de débogage Cisco IOS signalent la
présence d’une nouvelle route, mais son état est False. Étant donné que R1 représente la partie ETCD
de notre environnement expérimental, nous devons indiquer la vitesse de synchronisation des bits entre
R1 et R2.
Étape 6 : saisie de la commande clock rate sur R1
Vous pouvez définir une fréquence d’horloge valide quelconque. Utilisez la fonction ? pour connaître
les fréquences valides. Ici, la fréquence utilisée est 64 000 bits/s.
R1(config-if)#clock rate 64000
is_up: 0 state: 0 sub state: 1 line: 0 has_route: False
Certaines versions du logiciel IOS affichent ces informations toutes les 30 secondes. Pourquoi l’état de
la route est-il encore False ? Quelles sont les mesures à prendre maintenant pour vérifier que l’interface
est entièrement configurée ?
_______________________________________________________________________
Étape 7 : saisie de la commande permettant de vérifier que l’interface est entièrement configurée
Si vous n’êtes pas sûr de connaître la commande adaptée, reportez-vous à la rubrique « Examen des
interfaces du routeur » abordée au chapitre 2.2. « Révision de la configuration du routeur ».
R1(config-if)#_____________________________
CCNA Exploration
Protocoles et concepts de routage : Routage statique Travaux pratiques 2.8.1 : configuration de base d’une route statique
Copyright sur l’intégralité du contenu © 1992 – 2007 Cisco Systems, Inc. Tous droits réservés.
Ce document contient des informations publiques Cisco. Page 7 sur 21
Lorsque vous avez entré la commande corercte, les données de débogage s’affichent comme dans
l’exemple suivant : is_up: 0 state: 0 sub state: 1 line: 0 has_route: False
%LINK-3-UPDOWN: Interface Serial0/0/0, changed state to down
Contrairement à la configuration de l’interface LAN, la configuration complète de l’interface WAN
n’implique pas nécessairement que la route sera ajoutée à la table de routage, même si le câblage
est correct. L’autre extrémité de la liaison WAN doit également être configurée.
Étape 8 : si possible, établissement d’une session de terminal distincte en se connectant à R2 via la
console d’un autre poste de travail. Vous pouvez ainsi observer les informations de débogage sur R1
lorsque vous effectuez des modifications sur R2. Vous pouvez également activer la commande debug
ip routing sur R2.
R2#debug ip routing
IP routing debugging is on
Passez en mode de configuration d'interface pour l'interface WAN de R2 connectée à R1.
R2#configure terminal
Tapez les commandes de configuration (une par ligne). Terminez par
CNTL/Z.
R2(config)#interface serial 0/0/0
Configurez l’adresse IP comme indiqué dans le diagramme de la topologie.
R2(config-if)#ip address 172.16.2.2 255.255.255.0
is_up: 0 state: 6 sub state: 1 line: 0
Étape 9 : saisie de la commande permettant de vérifier que l’interface est entièrement configurée
Si vous n’êtes pas sûr de connaître la commande adaptée, reportez-vous à la rubrique « Examen des
interfaces du routeur » abordée au chapitre 2.2. « Révision de la configuration du routeur ».
R2(config-if)#_____________________________
Lorsque vous avez entré la commande corercte, les données de débogage s’affichent comme dans
l’exemple suivant :
is_up: 0 state: 4 sub state: 1 line: 0
%LINK-3-UPDOWN: Interface Serial0/0/0, changed state to up
is_up: 1 state: 4 sub state: 1 line: 0
RT: add 172.16.2.0/24 via 0.0.0.0, connected metric [0/0]
RT: interface Serial0/0/0 added to routing table
is_up: 1 state: 4 sub state: 1 line: 0
%LINEPROTO-5-UPDOWN: Line protocol on Interface Serial0/0/0, changed state to
up
is_up: 1 state: 4 sub state: 1 line: 0
Le nouveau réseau que vous avez configuré sur l’interface du réseau local (LAN) est maintenant ajouté
à la table de routage (partie surlignée du résultat affiché).
Si la route n’est pas ajoutée à la table, cela veut dire que l’interface ne s’est pas affichée. Procédez
systématiquement comme suit pour dépanner la connexion :
1. Vérifiez les branchements physiques entre les deux interfaces WAN de R1 et R2.
L’interface raccordée est-elle la bonne ? ________
Le routeur a plusieurs interfaces WAN. Avez-vous connecté la bonne interface WAN ? ________
Une interface s’affiche uniquement si elle détecte un battement de liaison sur la couche physique
provenant d’un autre périphérique. L’interface est-elle connectée à l’autre interface du routeur ?
________
CCNA Exploration
Protocoles et concepts de routage : Routage statique Travaux pratiques 2.8.1 : configuration de base d’une route statique
Copyright sur l’intégralité du contenu © 1992 – 2007 Cisco Systems, Inc. Tous droits réservés.
Ce document contient des informations publiques Cisco. Page 8 sur 21
2. Vérifiez les voyants de liaison. Les voyants de liaison clignotent-ils tous ? ________
3. Vérifiez les branchements. La partie ETCD des câbles de R1 doit être branchée et la partie ETTD
des câbles de R2 doit être branchée. Les câbles de branchement sont-ils adaptés aux routeurs ?
________
4. L’interface est-elle activée ? ________
Si vous pouvez répondre oui à toutes ces questions, l’interface doit s’afficher.
Étape 10 : saisie de la commande permettant de vérifier si la nouvelle route se trouve maintenant
dans la table de routage pour R1 et R2
Les informations affichées doivent être similaires à celles indiquées ci-dessous. Normalement, la table
de routage pour R1 indique maintenant deux routes et celle pour R2, une route. Quelle commande
avez-vous utilisée ?
R1#_________________________________
Codes: C - connected, S - static, R - RIP, M - mobile, B - BGP
D - EIGRP, EX - EIGRP external, O - OSPF, IA - OSPF inter area
N1 - OSPF NSSA external type 1, N2 - OSPF NSSA external type 2
E1 - OSPF external type 1, E2 - OSPF external type 2
i - IS-IS, su - IS-IS summary, L1 - IS-IS level-1, L2 - IS-IS level-2
ia - IS-IS inter area, * - candidate default, U - per-user static route
o - ODR, P - periodic downloaded static route
Gateway of last resort is not set
172.16.0.0/24 is subnetted, 2 subnets
C 172.16.2.0 is directly connected, Serial0/0/0
C 172.16.3.0 is directly connected, FastEthernet0/0
R2#_________________________________
Codes: C - connected, S - static, I - IGRP, R - RIP, M - mobile, B - BGP
D - EIGRP, EX - EIGRP external, O - OSPF, IA - OSPF inter area
N1 - OSPF NSSA external type 1, N2 - OSPF NSSA external type 2
E1 - OSPF external type 1, E2 - OSPF external type 2, E - EGP
i - IS-IS, L1 - IS-IS level-1, L2 - IS-IS level-2, ia - IS-IS inter area
* - candidate default, U - per-user static route, o - ODR
P - periodic downloaded static route
Gateway of last resort is not set
172.16.0.0/24 is subnetted, 1 subnets
C 172.16.2.0 is directly connected, Serial0/0/0
CCNA Exploration
Protocoles et concepts de routage : Routage statique Travaux pratiques 2.8.1 : configuration de base d’une route statique
Copyright sur l’intégralité du contenu © 1992 – 2007 Cisco Systems, Inc. Tous droits réservés.
Ce document contient des informations publiques Cisco. Page 9 sur 21
Étape 11 : désactivation du débogage sur les deux routeurs en utilisant la commande no debug
ip routing ou simplement undebug all
R1(config-if)#end
R1#no debug ip routing
IP routing debugging is off
Tâche 4 : fin de la configuration des interfaces de routage
Étape 1 : configuration des interfaces R2 restantes
Terminez la configuration des interfaces restantes sur R2 en fonction du diagramme de la topologie et
de la table d’adressage.
Étape 2 : configuration des interfaces R3
Connectez-vous à R3 à partir de la console et configurez les interfaces nécessaires en fonction
du diagramme de la topologie et de la table d’adressage.
Tâche 5 : configuration des adresses IP sur les ordinateurs hôtes
Étape 1 : configuration de l’hôte PC1
Configurez l’hôte PC1 avec l’adresse IP 172.16.3.10/24 et une passerelle par défaut ayant l’adresse IP
172.16.3.1.
Étape 2 : configuration de l’hôte PC2
Configurez l’hôte PC2 avec l’adresse IP 172.16.1.10/24 et une passerelle par défaut ayant l’adresse IP
172.16.1.1.
Étape 3 : configuration de l’hôte PC3
Configurez l’hôte PC1 avec l’adresse IP 192.168.2.10/24 et une passerelle par défaut ayant l’adresse IP
192.168.2.1.
Tâche 6 : test et vérification des configurations
Étape 1 : test de la connectivité
Testez la connectivité en envoyant des paquets ping à partir de chaque hôte, à destination de
la passerelle par défaut configurée pour lui.
Depuis le PC1 hôte, est-il possible d’envoyer un paquet ping à la passerelle par défaut ? ________
Depuis le PC2 hôte, est-il possible d’envoyer un paquet ping à la passerelle par défaut ? ________
Depuis le PC3 hôte, est-il possible d’envoyer un paquet ping à la passerelle par défaut ? ________
CCNA Exploration
Protocoles et concepts de routage : Routage statique Travaux pratiques 2.8.1 : configuration de base d’une route statique
Copyright sur l’intégralité du contenu © 1992 – 2007 Cisco Systems, Inc. Tous droits réservés.
Ce document contient des informations publiques Cisco. Page 10 sur 21
Si la réponse à une de ces questions est non, vérifiez les configurations pour trouver les erreurs.
Procédez comme suit :
1. Vérifiez les branchements.
Les ordinateurs sont-ils physiquement raccordés au routeur approprié ? ________
(connexion directe ou via un commutateur)
Les voyants de liaison de tous les ports concernés clignotent-ils tous ? ________
2. Vérifiez la configuration des PC. Correspondent-elles au diagramme de topologie ? ________
3. Vérifiez les interfaces du routeur avec la commande show ip interface brief.
Les interfaces concernées sont-elles toutes actives (up et up) ? ________
Si la réponse à ces trois questions est oui, l’envoi du paquet ping vers la passerelle par défaut
doit aboutir.
Étape 2 : utilisation de la commande ping pour tester la connectivité entre des routeurs
directement connectés
À partir du routeur R2, est-il possible d’envoyer un paquet ping à R1 sur 172.16.2.1 ? ________
À partir du routeur R2, est-il possible d’envoyer un paquet ping à R3 sur 192.168.1.1 ? ________
Si la réponse à une de ces questions est non, vérifiez les configurations pour trouver les erreurs.
Procédez comme suit :
1. Vérifiez les branchements.
Les routeurs sont-ils physiquement connectés ? ________
Les voyants de liaison clignotent-ils sur tous les ports concernés ? ________
2. Vérifiez les configurations des routeurs.
Correspondent-elles au diagramme de la topologie ? ________
Avez-vous configuré la commande clock rate du côté ETCD de la liaison ? ________
3. L’interface est-elle activée ? ________
4. Vérifiez les interfaces du routeur avec la commande show ip interface brief.
Les interfaces apparaissent-elles up et up ? ________
Si la réponse à ces trois questions est oui, l’envoi du paquet ping de R2 vers R1 et de R2 vers R3
doit aboutir.
Étape 3 : utilisation de la commande ping pour tester la connectivité entre des périphériques
non directement connectés
À partir de l’hôte PC3, est-il possible d’envoyer un paquet ping à l’hôte PC1 ? ________
À partir de l’hôte PC3, est-il possible d’envoyer un paquet ping à l’hôte PC2 ? ________
À partir de l’hôte PC2, est-il possible d’envoyer un paquet ping à l’hôte PC1 ? ________
À partir du routeur R1, est-il possible d’envoyer un paquet ping au routeur R3 ? ________
Tous ces ping doivent échouer. Pourquoi ?
____________________________________________________________________________
____________________________________________________________________________
____________________________________________________________________________
CCNA Exploration
Protocoles et concepts de routage : Routage statique Travaux pratiques 2.8.1 : configuration de base d’une route statique
Copyright sur l’intégralité du contenu © 1992 – 2007 Cisco Systems, Inc. Tous droits réservés.
Ce document contient des informations publiques Cisco. Page 11 sur 21
Tâche 7 : collecte des informations
Étape 1 : vérification de l’état des interfaces
Vérifiez l’état des interfaces sur chaque routeur à l’aide de la commande show ip interface brief.
Le résultat suivant correspond à R2 :
R2#show ip interface brief
Interface IP-Address OK? Method Status Protocol
FastEthernet0/0 172.16.1.1 YES manual up up
FastEthernet0/1 unassigned YES unset administratively down down
Serial0/0/0 172.16.2.2 YES manual up up
Serial0/0/1 192.168.1.2 YES manual up up
Vlan1 unassigned YES manual administratively down down
Les interfaces correspondantes de chaque routeur sont-elles activées (c’est-à-dire que leur état
est up et up) ? ________
Combien y a-t-il d’interfaces activées sur R1 et R3 ? ________
Pourquoi y a-t-il trois interfaces actives sur R2 ? __________
___________________________________________________________________________________
Étape 2 : affichage des données de la table de routage des trois routeurs
R1#_________________________________
Codes: C - connected, S - static, I - IGRP, R - RIP, M - mobile, B - BGP
D - EIGRP, EX - EIGRP external, O - OSPF, IA - OSPF inter area
N1 - OSPF NSSA external type 1, N2 - OSPF NSSA external type 2
E1 - OSPF external type 1, E2 - OSPF external type 2, E - EGP
i - IS-IS, L1 - IS-IS level-1, L2 - IS-IS level-2, ia - IS-IS inter area
* - candidate default, U - per-user static route, o - ODR
P - periodic downloaded static route
Gateway of last resort is not set
172.16.0.0/24 is subnetted, 2 subnets
C 172.16.2.0 is directly connected, Serial0/0/0
C 172.16.3.0 is directly connected, FastEthernet0/0
Quels sont les réseaux présents dans le diagramme de la topologie, mais pas dans la table de routage
pour R1 ?
___________________________________________________________________________________
R2#_________________________________
Codes: C - connected, S - static, I - IGRP, R - RIP, M - mobile, B - BGP
D - EIGRP, EX - EIGRP external, O - OSPF, IA - OSPF inter area
N1 - OSPF NSSA external type 1, N2 - OSPF NSSA external type 2
E1 - OSPF external type 1, E2 - OSPF external type 2, E - EGP
i - IS-IS, L1 - IS-IS level-1, L2 - IS-IS level-2, * - candidate default
U - per-user static route, o - ODR
Gateway of last resort is not set
172.16.0.0/24 is subnetted, 2 subnets
C 172.16.1.0 is directly connected, FastEthernet0/0
C 172.16.2.0 is directly connected, Serial0/0/0
C 192.168.1.0/24 is directly connected, Serial0/0/1
CCNA Exploration
Protocoles et concepts de routage : Routage statique Travaux pratiques 2.8.1 : configuration de base d’une route statique
Copyright sur l’intégralité du contenu © 1992 – 2007 Cisco Systems, Inc. Tous droits réservés.
Ce document contient des informations publiques Cisco. Page 12 sur 21
Quels sont les réseaux présents dans le diagramme de la topologie, mais pas dans la table de routage
pour R2 ?
_________________________________________________________________________
R3#_________________________________
Codes: C - connected, S - static, I - IGRP, R - RIP, M - mobile, B - BGP
D - EIGRP, EX - EIGRP external, O - OSPF, IA - OSPF inter area
N1 - OSPF NSSA external type 1, N2 - OSPF NSSA external type 2
E1 - OSPF external type 1, E2 - OSPF external type 2, E - EGP
i - IS-IS, L1 - IS-IS level-1, L2 - IS-IS level-2, * - candidate default
U - per-user static route, o - ODR
Gateway of last resort is not set
C 192.168.1.0/24 is directly connected, Serial0/0/1
C 192.168.2.0/24 is directly connected, FastEthernet0/0
Quels sont les réseaux présents dans le diagramme de la topologie, mais pas dans la table de
routage pour R3 ?
_________________________________________________________________________
Pourquoi tous ces réseaux ne se trouvent-ils pas dans les tables de routage des autres routeurs ?
_________________________________________________________________________
_________________________________________________________________________
Que faut-il ajouter au réseau pour que les périphériques qui ne sont pas directement connectés puissent
s’envoyer mutuellement des paquets ping ?
__________________________________________________________________________
Tâche 8 : configuration d’une route statique en utilisant une adresse du tronçon suivant
Étape 1 : utilisation de la syntaxe suivante pour configurer des routes statiques en spécifiant
un tronçon suivant :
Router(config)# ip route adresse du réseau masque du sous-réseau adresse ip
• adresse du réseau : – adresse de destination du réseau distant à ajouter à la table
de routage.
• masque du sous-réseau – masque du sous-réseau du réseau distant à ajouter à la table
de routage. Il est possible de modifier le masque de sous-réseau pour résumer un groupe
de réseaux.
• adresse ip – appelée communément adresse IP du routeur du tronçon suivant.
Sur le routeur R3, configurez une route statique vers le réseau 172.16.1.0 en utilisant l’interface série
0/0/1 de R2 comme adresse du tronçon suivant.
R3(config)#ip route 172.16.1.0 255.255.255.0 192.168.1.2
R3(config)#
CCNA Exploration
Protocoles et concepts de routage : Routage statique Travaux pratiques 2.8.1 : configuration de base d’une route statique
Copyright sur l’intégralité du contenu © 1992 – 2007 Cisco Systems, Inc. Tous droits réservés.
Ce document contient des informations publiques Cisco. Page 13 sur 21
Étape 2 : affichage de la table de routage pour vérifier la nouvelle entrée de la route statique
Remarquez que la route est codée avec un S, ce qui indique qu’il s’agit d’une route statique.
R3#_________________________________
Codes: C - connected, S - static, I - IGRP, R - RIP, M - mobile, B - BGP
D - EIGRP, EX - EIGRP external, O - OSPF, IA - OSPF inter area
N1 - OSPF NSSA external type 1, N2 - OSPF NSSA external type 2
E1 - OSPF external type 1, E2 - OSPF external type 2, E - EGP
i - IS-IS, L1 - IS-IS level-1, L2 - IS-IS level-2, * - candidate default
U - per-user static route, o - ODR
Gateway of last resort is not set
172.16.0.0/24 is subnetted, 1 subnets
S 172.16.1.0 [1/0] via 192.168.1.2
C 192.168.1.0/24 is directly connected, Serial0/0/1
C 192.168.2.0/24 is directly connected, FastEthernet0/0
R3#
Lorsque cette route est introduite dans la table de routage, tous les paquets qui correspondent aux
24 premiers bits les plus à gauche de 172.16.1.0/24 sont transférés vers le routeur du tronçon suivant
sur 192.168.1.2.
Quelle interface R3 va-t-il utiliser pour transférer les paquets vers le réseau 172.16.1.0/24 ?
____________
Supposons que les paquets suivants sont arrivés sur R3 avec l’adresse de destination indiquée. R3 va-t-il
rejeter ou transférer le paquet ? Si R3 transfère le paquet, quelle interface sera utilisée ?
Paquet Adresse IP de destination Rejet ou transfert ? Interface
1 172.16.2.1 _________ _________
2 172.16.1.10 _________ _________
3 192.168.1.2 _________ _________
4 172.16.3.10 _________ _________
5 192.16.2.10 _________ _________
Bien que R3 transfère les paquets vers les destinations pour lesquelles une route a été définie,
cela ne signifie pas que le paquet va parvenir sans problème à sa destination finale.
Étape 3 : utilisation de la commande ping pour tester la connectivité entre l’hôte PC3 et l’hôte PC2
À partir de l’hôte PC3, est-il possible d’envoyer un paquet ping à l’hôte PC2 ? ________
Ces ping doivent échouer. Les paquets ping parviennent au PC2 si vous avez configuré et testé tous
les périphériques comme cela est indiqué à la tâche 6, « Collecte des informations ». Le PC2 envoie
le paquet ping en réponse au PC3. Cependant, la réponse au ping est rejetée sur R2, car aucune route
de retour vers le réseau 192.168.2.0 n’est définie dans la table de routage de R2.
Étape 4 : configuration sur le routeur R2 d’une route statique permettant d’atteindre le réseau
192.168.2.0
Quelle est l’adresse du tronçon suivant à laquelle R2 pourrait envoyer un paquet destiné au réseau
192.168.2.0/24 ?
R2(config)#ip route 192.168.2.0 255.255.255.0 ________________
R2(config)#
CCNA Exploration
Protocoles et concepts de routage : Routage statique Travaux pratiques 2.8.1 : configuration de base d’une route statique
Copyright sur l’intégralité du contenu © 1992 – 2007 Cisco Systems, Inc. Tous droits réservés.
Ce document contient des informations publiques Cisco. Page 14 sur 21
Étape 5 : affichage de la table de routage pour vérifier la nouvelle entrée de la route statique
Remarquez que la route est codée avec un S, ce qui indique qu’il s’agit d’une route statique.
R2#_________________________________
Codes: C - connected, S - static, I - IGRP, R - RIP, M - mobile, B - BGP
D - EIGRP, EX - EIGRP external, O - OSPF, IA - OSPF inter area
N1 - OSPF NSSA external type 1, N2 - OSPF NSSA external type 2
E1 - OSPF external type 1, E2 - OSPF external type 2, E - EGP
i - IS-IS, L1 - IS-IS level-1, L2 - IS-IS level-2, * - candidate default
U - per-user static route, o - ODR
Gateway of last resort is not set
172.16.0.0/24 is subnetted, 2 subnets
C 172.16.1.0 is directly connected, FastEthernet0/0
C 172.16.2.0 is directly connected, Serial0/0/0
C 192.168.1.0/24 is directly connected, Serial0/0/1
S 192.168.2.0/24 [1/0] via 192.168.1.1
R2#
Étape 6 : utilisation de la commande ping pour tester la connectivité entre l’hôte PC3 et l’hôte PC2
À partir de l’hôte PC3, est-il possible d’envoyer un paquet ping à l’hôte PC2 ? ________
Cette commande ping doit réussir.
Tâche 9 : configuration d’une route statique en utilisant une interface de sortie
Utilisez la syntaxe suivante pour configurer des routes statiques en spécifiant une interface de sortie :
Router(config)# ip route adresse du réseau masque du sous-réseau
interface de sortie
• adresse du réseau – adresse de destination du réseau distant à ajouter à la table de routage.
• masque du sous-réseau – masque du sous-réseau du réseau distant à ajouter à la table
de routage. Il est possible de modifier le masque de sous-réseau pour résumer un groupe
de réseaux.
• interface de sortie – interface de sortie utilisée pour transférer des paquets vers
le réseau de destination.
Étape 1 : configuration d’une route statique sur le routeur R3
Sur le routeur R3, configurez une route statique vers le réseau 172.16.2.0 en utilisant l’interface
série 0/0/0 de R3 comme interface de sortie.
R3(config)# ip route 172.16.2.0 255.255.255.0 Serial0/0/1
R3(config)#
Étape 2 : affichage de la table de routage pour vérifier la nouvelle entrée de la route statique
R3#_________________________________
Codes: C - connected, S - static, I - IGRP, R - RIP, M - mobile, B - BGP
D - EIGRP, EX - EIGRP external, O - OSPF, IA - OSPF inter area
N1 - OSPF NSSA external type 1, N2 - OSPF NSSA external type 2
E1 - OSPF external type 1, E2 - OSPF external type 2, E - EGP
i - IS-IS, L1 - IS-IS level-1, L2 - IS-IS level-2, * - candidate default
U - per-user static route, o - ODR
CCNA Exploration
Protocoles et concepts de routage : Routage statique Travaux pratiques 2.8.1 : configuration de base d’une route statique
Copyright sur l’intégralité du contenu © 1992 – 2007 Cisco Systems, Inc. Tous droits réservés.
Ce document contient des informations publiques Cisco. Page 15 sur 21
Gateway of last resort is not set
172.16.0.0/24 is subnetted, 2 subnets
S 172.16.1.0 [1/0] via 192.168.1.2
S 172.16.2.0 is directly connected, Serial0/0/1
C 192.168.1.0/24 is directly connected, Serial0/0/1
C 192.168.2.0/24 is directly connected, FastEthernet0/0
R3#
Utilisez la commande show running-config pour vérifier les routes statiques actuellement
configurées sur R3.
R3#show running-config
Building configuration...
<output omitted>
!
hostname R3
!
interface FastEthernet0/0
ip address 192.168.2.1 255.255.255.0
!
interface Serial0/0/0
no ip address
shutdown
!
interface Serial0/0/1
ip address 192.168.1.1 255.255.255.0
!
ip route 172.16.1.0 255.255.255.0 192.168.1.2
ip route 172.16.2.0 255.255.255.0 Serial0/0/1
!
end
Comment feriez-vous pour supprimer une de ces routes de la configuration ?
_____________________________________________________________________________
Étape 3 : configuration d’une route statique sur le routeur R2
Sur le routeur R2, configurez une route statique vers le réseau 172.16.3.0 en utilisant l’interface
série 0/0/0 de R2 comme interface de sortie.
R2(config)# ip route 172.16.3.0 255.255.255.0 Serial0/0/0
R2(config)#
Étape 4 : affichage de la table de routage pour vérifier la nouvelle entrée de la route statique
R2#_________________________________
Codes: C - connected, S - static, I - IGRP, R - RIP, M - mobile, B - BGP
D - EIGRP, EX - EIGRP external, O - OSPF, IA - OSPF inter area
N1 - OSPF NSSA external type 1, N2 - OSPF NSSA external type 2
E1 - OSPF external type 1, E2 - OSPF external type 2, E - EGP
i - IS-IS, L1 - IS-IS level-1, L2 - IS-IS level-2, * - candidate default
U - per-user static route, o - ODR
CCNA Exploration
Protocoles et concepts de routage : Routage statique Travaux pratiques 2.8.1 : configuration de base d’une route statique
Copyright sur l’intégralité du contenu © 1992 – 2007 Cisco Systems, Inc. Tous droits réservés.
Ce document contient des informations publiques Cisco. Page 16 sur 21
Gateway of last resort is not set
172.16.0.0/24 is subnetted, 3 subnets
C 172.16.1.0 is directly connected, FastEthernet0/0
C 172.16.2.0 is directly connected, Serial0/0/0
S 172.16.3.0 is directly connected, Serial0/0/0
C 192.168.1.0/24 is directly connected, Serial0/0/1
S 192.168.2.0/24 [1/0] via 192.168.1.1
R2#
À ce niveau, R2 dispose d’une table de routage complète, qui contient toutes les routes valides vers les
cinq réseaux mentionnés dans le diagramme de la topologie.
Cela signifie-t-il que R2 peut recevoir des réponses ping de toutes les destinations mentionnées dans
le diagramme de la topologie ? ________
Justifiez votre réponse.
______________________________________________________________________
_______________________________________________________________________
Étape 5 : utilisation de la commande ping pour tester la connectivité entre les hôtes PC2 et PC1
Cette commande ping doit échouer, car aucune route de retour vers le réseau 172.16.1.0 n’est définie
dans la table de routage.
Tâche 10 : configuration d’une route statique par défaut
Dans les étapes précédentes, vous avez configuré le routeur pour des routes de destination précises.
Pourriez-vous faire de même pour toutes les routes sur Internet ? Non. Le routeur serait saturé. Pour
réduire la taille des tables de routage ajoutez une route statique par défaut. Un routeur utilise la route
statique par défaut en l’absence d’une meilleure route, plus précise, vers sa destination.
Au lieu de remplir la table de routage de R1 avec une infinité de routes statiques, nous pouvons supposer
que R1 est un routeur d’extrémité. Cela signifie que R2 est la passerelle par défaut de R1. Si R1 possède
des paquets qui n’appartiennent pas à un de ses réseaux directement connectés, il les envoie vers R2.
Cependant, il convient de configurer explicitement une route par défaut sur R1, avant que ce routeur
envoie les paquets de destination inconnue vers R2. Sinon, R1 rejette les paquets de destination
inconnue.
Pour configurer une route statique par défaut, utilisez la syntaxe suivante :
Router(config)#ip route 0.0.0.0 0.0.0.0 { adresse ip | interface }
Étape 1 : configuration d’une route par défaut sur le routeur R1
Sur le routeur R1, configurez une route par défaut en utilisant l’interface série 0/0/0 de R1 comme
interface du tronçon suivant.
R1(config)#ip route 0.0.0.0 0.0.0.0 172.16.2.2
R1(config)#
Étape 2 : affichage de la table de routage pour vérifier la nouvelle entrée de la route statique
R1#_________________________________
Codes: C - connected, S - static, I - IGRP, R - RIP, M - mobile, B - BGP
D - EIGRP, EX - EIGRP external, O - OSPF, IA - OSPF inter area
N1 - OSPF NSSA external type 1, N2 - OSPF NSSA external type 2
E1 - OSPF external type 1, E2 - OSPF external type 2, E - EGP
CCNA Exploration
Protocoles et concepts de routage : Routage statique Travaux pratiques 2.8.1 : configuration de base d’une route statique
Copyright sur l’intégralité du contenu © 1992 – 2007 Cisco Systems, Inc. Tous droits réservés.
Ce document contient des informations publiques Cisco. Page 17 sur 21
i - IS-IS, L1 - IS-IS level-1, L2 - IS-IS level-2, * - candidate default
U - per-user static route, o - ODR
Gateway of last resort is 172.16.2.2 to network 0.0.0.0
172.16.0.0/24 is subnetted, 2 subnets
C 172.16.2.0 is directly connected, Serial0/0/0
C 172.16.3.0 is directly connected, FastEthernet0/0
S* 0.0.0.0/0 [1/0] via 172.16.2.2
R1#
Remarquez que le routeur R1 possède maintenant une route par défaut, appelée passerelle de dernier
recours (notée dans le script gateway of last resort) et qu’il va transmettre tout le trafic inconnu via
l’interface série 0/0/0 qui est connectée à R2.
Étape 3 : utilisation de la commande ping pour tester la connectivité entre l’hôte PC2 et PC1
Depuis PC2, est-il possible d’envoyer un paquet ping à PC1 ? ________
Cette commande ping doit maintenant aboutir, car le routeur R1 peut renvoyer le paquet en utilisant
la route par défaut.
À partir de l’hôte PC3, est-il possible d’envoyer un paquet ping à l’hôte PC1 ? _______
La table de routage sur R3 contient-elle une route à destination du réseau 172.16.3.0 ? _______
Tâche 11 : Cconfiguration d’une route statique résumée
Il serait possible de configurer une autre route statique sur R3 pour le réseau 172.16.3. Cependant,
il existe déjà deux routes statiques vers les réseaux 172.16.2.0/24 et 172.16.1.0/24. Ces deux réseaux
étant proches l’un de l’autre, ils peuvent être résumés en une seule route. Une fois encore, cette
opération permet de réduite la taille de la table de routage et donc d’améliorer le processus de
recherche de route.
En observant les trois réseaux au niveau binaire, nous pouvons tracer une frontière au niveau du 22e
bit
en partant de la gauche.
172.16.1.0 10101100.00010000.00000001.00000000
172.16.2.0 10101100.00010000.00000010.00000000
172.16.3.0 10101100.00010000.00000011.00000000
Le préfixe comprend 172.16.0.0, car cette adresse correspondrait au préfixe si on désactivait tous les bits
situés à la droite du 22e
bit.
Prefix 172.16.0.0
Pour créer un masque avec les 22 bits les plus à gauche, on utilise un masque dont 22 bits sont activés,
de gauche à droite :
Bit Mask 11111111.11111111.11111100.00000000
Ce masque au format décimal pointé est...
Mask 255.255.252.0
CCNA Exploration
Protocoles et concepts de routage : Routage statique Travaux pratiques 2.8.1 : configuration de base d’une route statique
Copyright sur l’intégralité du contenu © 1992 – 2007 Cisco Systems, Inc. Tous droits réservés.
Ce document contient des informations publiques Cisco. Page 18 sur 21
Étape 1 : configuration de la route statique résumée sur le routeur R3
Le réseau à utiliser dans la route résumée est 172.16.0.0/22.
R3(config)#ip route 172.16.0.0 255.255.252.0 192.168.1.2
Étape 2 : vérification de l’installation de la route résumée dans la table de routage
R3#_________________________________
Codes: C - connected, S - static, I - IGRP, R - RIP, M - mobile, B - BGP
D - EIGRP, EX - EIGRP external, O - OSPF, IA - OSPF inter area
N1 - OSPF NSSA external type 1, N2 - OSPF NSSA external type 2
E1 - OSPF external type 1, E2 - OSPF external type 2, E - EGP
i - IS-IS, L1 - IS-IS level-1, L2 - IS-IS level-2, ia - IS-IS inter area
* - candidate default, U - per-user static route, o - ODR
P - periodic downloaded static route
Gateway of last resort is not set
172.16.0.0/16 is variably subnetted, 3 subnets, 2 masks
S 172.16.0.0/22 [1/0] via 192.168.1.2
S 172.16.1.0/24 [1/0] via 192.168.1.2
S 172.16.2.0/24 is directly connected, Serial0/0/1
C 192.168.1.0/24 is directly connected, Serial0/0/1
C 192.168.2.0/24 is directly connected, FastEthernet0/0
La configuration d’une route résumée sur R3 n’a pas supprimé les routes statiques configurées
auparavant, car elles sont plus spécifiques. Elles utilisent toutes deux le masque /24, alors que la route
résumée utilise le masque /22. Pour réduire la taille de la table de routage, il est maintenant possible
de supprimer les routes plus spécifiques de type /24.
Étape 3 : suppression des routes statiques sur R3
Utilisez la forme « no » de la commande pour supprimer les deux routes statiques actuellement
configurées sur R3.
R3(config)#no ip route 172.16.1.0 255.255.255.0 192.168.1.2
R3(config)#no ip route 172.16.2.0 255.255.255.0 Serial0/0/0
Étape 4 : vérification de la suppression des routes dans la table de routage
R3#_________________________________
Codes: C - connected, S - static, I - IGRP, R - RIP, M - mobile, B - BGP
D - EIGRP, EX - EIGRP external, O - OSPF, IA - OSPF inter area
N1 - OSPF NSSA external type 1, N2 - OSPF NSSA external type 2
E1 - OSPF external type 1, E2 - OSPF external type 2, E - EGP
i - IS-IS, L1 - IS-IS level-1, L2 - IS-IS level-2, ia - IS-IS inter area
* - candidate default, U - per-user static route, o - ODR
P - periodic downloaded static route
Gateway of last resort is not set
172.16.0.0/22 is subnetted, 1 subnets
S 172.16.0.0 [1/0] via 192.168.1.2
C 192.168.1.0/24 is directly connected, Serial0/0/1
C 192.168.2.0/24 is directly connected, FastEthernet0/0
CCNA Exploration
Protocoles et concepts de routage : Routage statique Travaux pratiques 2.8.1 : configuration de base d’une route statique
Copyright sur l’intégralité du contenu © 1992 – 2007 Cisco Systems, Inc. Tous droits réservés.
Ce document contient des informations publiques Cisco. Page 19 sur 21
R3 possède maintenant une seule route à destination de tous les hôtes des réseaux 172.16.0.0/24,
172.16.1.0/24, 172.16.2.0/24 et 172.16.3.0/24. Le trafic destiné à ces réseaux est expédié à R2
sur 192.168.1.2.
Étape 5 : utilisation de la commande ping pour tester la connectivité entre l’hôte PC3 et PC1
À partir de l’hôte PC3, est-il possible d’envoyer un paquet ping à l’hôte PC1 ? ________
Cette commande ping doit maintenant réussir, car le routeur R3 possède une route vers le réseau
172.16.3.0 et R1 peut renvoyer le paquet en utilisant la route par défaut.
Tâche 12 : résumé, remarques générales et documentation
À l’issue de ces travaux pratiques :
• Vous avez configuré votre premier réseau en réalisant un routage statique combiné par défaut
afin d’assurer la connectivité totale de tous les réseaux.
• Vous avez observé le mode d’installation d’une route dans la table de routage lorsqu’une
interface active est correctement configurée.
• Vous avez appris à configurer des routes statiques vers des destinations qui ne sont pas
directement connectées.
• Vous avez appris à configurer une route par défaut utilisée pour transférer les paquets vers des
destinations inconnues.
• Vous avez appris à résumer un groupe de réseaux en une seule route statique afin de réduire
la taille de la table de routage.
Au cours de ces différentes opérations, vous avez certainement rencontré des problèmes, tant au niveau
de l’installation physique que des configurations. Nous espérons que vous avez également appris
à résoudre ces problèmes de manière systématique. Notez ici les remarques et commentaires qui
pourraient vous être utiles dans les prochains travaux pratiques.
_____________________________________________________________________________
_____________________________________________________________________________
_____________________________________________________________________________
_____________________________________________________________________________
Dernier point, vous devez maintenant documenter l’implémentation du réseau. Sur chaque routeur,
capturez le résultat de la commande suivante dans un fichier texte (.txt) et enregistrez-le pour y faire
référence par la suite.
• show running-config
• show ip route
• show ip interface brief
Si vous voulez revoir les procédures de capture des données fournies par une commande, reportez-vous
aux travaux pratiques 1.5.1.
CCNA Exploration
Protocoles et concepts de routage : Routage statique Travaux pratiques 2.8.1 : configuration de base d’une route statique
Copyright sur l’intégralité du contenu © 1992 – 2007 Cisco Systems, Inc. Tous droits réservés.
Ce document contient des informations publiques Cisco. Page 20 sur 21
Tâche 13 : remise en état
Effacez les configurations et rechargez les routeurs. Débranchez les câbles et stockez-les. Pour les PC
hôtes normalement connectés à d’autres réseaux (comme le réseau local du centre de formation ou
Internet), remettez-en place les câblages adaptés et restaurez les paramètres TCP/IP.
Tâche 14 : confirmation
Dans l’exercice suivant, remplissez les blancs afin de documenter le cheminement du paquet ping entre
la source et la destination. Si vous avez besoin d’aide, reportez-vous à la section 1.4 « Détermination
du chemin et fonction de commutation ».
1. La procédure ICMP du PC3 formule une demande d’envoi d’un paquet ping vers PC2 et renvoie
la réponse à la procédure IP.
2. La procédure IP sur PC3 encapsule le paquet ping en ajoutant l'adresse IP source _____et
l'adresse IP de destination ________________.
3. PC3 crée encapsule paquet avec l’adresse MAC source de (indiquer le nom du périphérique)
________ et l’adresse MAC de destination de (indiquer le nom du périphérique)
______________.
4. Ensuite, PC3 envoie la trame sur le support sous forme de trame binaire codée.
5. R3 reçoit la trame binaire sur son interface _____________. Comme l’adresse MAC de
destination correspond à l’adresse MAC de l’interface réceptrice, R3 supprime l’en-tête Ethernet.
6. R3 recherche l’adresse du réseau de destination _______________ dans sa table de routage.
Cette destination possède l’adresse IP du tronçon suivant ________________. L’adresse IP du
tronçon suivant est accessible via l’interface _____________.
7. R3 encapsule le paquet dans la trame HDLC et transfère cette trame via l’interface appropriée.
(Comme il s’agit d’une liaison point-à-point, aucune adresse n’est nécessaire. Cependant,
le champ d’adressage du paquet HDLC contient la valeur 0x8F).
8. R2 reçoit la trame sur son interface ____________. Comme il s’agit d’une trame HDLC,
R2 supprime l’en-tête et recherche l’adresse du réseau __________________ dans sa table de
routage. Cette adresse de destination est directement connectée à l’interface ___________.
9. R2 encapsule le paquet ping dans une trame comprenant l’adresse MAC source de (indiquer
le nom du périphérique) _________ et l’adresse MAC de destination de (indiquer le nom
du périphérique) ________.
10. Ensuite, R2 envoie la trame sur le support sous forme de train binaire codé.
11. PC2 reçoit la trame binaire sur son interface ___________. Comme l’adresse MAC de
destination correspond à l’adresse MAC de PC2, PC2 supprime l’en-tête Ethernet.
12. Le processus IP sur PC2 examine l’adresse IP de ___________ pour vérifier qu’elle correspond
effectivement à sa propre adresse IP. Puis, PC2 transmet les données à la procédure ICMP.
13. La procédure ICMP du PC2 formule une réponse ping vers PC3 et renvoie la réponse
à la procédure IP.
14. La procédure IP sur PC2 encapsule le paquet ping en ajoutant l'adresse IP source
________________ et l'adresse IP de destination ___
15. PC2 crée les trames du paquet avec l’adresse MAC source de (indiquer le nom du périphérique)
__________ et l’adresse MAC de destination de (indiquer le nom du périphérique) __________.
16. Ensuite, PC2 envoie la trame sur le support sous forme de train binaire codé.
17. R2 reçoit la trame binaire sur son interface _____________. Comme l’adresse MAC de
destination correspond à l’adresse MAC de l’interface réceptrice, R2 supprime l’en-tête Ethernet.
CCNA Exploration
Protocoles et concepts de routage : Routage statique Travaux pratiques 2.8.1 : configuration de base d’une route statique
Copyright sur l’intégralité du contenu © 1992 – 2007 Cisco Systems, Inc. Tous droits réservés.
Ce document contient des informations publiques Cisco. Page 21 sur 21
18. R2 recherche l’adresse du réseau de destination _______________ dans sa table de routage.
Cette destination possède l’adresse IP du tronçon suivant ___________. L’adresse IP du tronçon
suivant est accessible via l’interface ____________.
19. R2 encapsule le paquet dans la trame HDLC et transfère la trame via l’interface appropriée.
(Comme il s’agit d’une liaison point-à-point, aucune adresse n’est nécessaire. Cependant,
le champ d’adressage du paquet HDLC contient la valeur 0x8F).
20. R3 reçoit la trame sur son interface ___________. Comme il s’agit d’une trame HDLC,
R3 supprime l’en-tête et recherche l’adresse du réseau ____________ dans sa table de routage.
Cette adresse de destination est directement connectée à l’interface ______________.
21. R3 encapsule le paquet ping dans une trame comprenant l’adresse MAC source de (indiquer
le nom du périphérique) ________ et l’adresse MAC de destination de (indiquer le nom
du périphérique) ________.
22. Ensuite, R3 envoie la trame sur le support sous forme de train binaire codé.
23. PC2 reçoit le train binaire sur son interface _________. Comme l’adresse MAC de destination
correspond à l’adresse MAC de PC3, PC3 supprime l’en-tête Ethernet.
24. La procédure IP sur PC3 examine l’adresse IP de _______ pour vérifier qu’elle correspond
effectivement à sa propre adresse IP. Puis, PC3 transmet les données à la procédure ICMP.
25. ICMP envoie un message de réussite à l’application à l’origine de la demande.
Copyright sur l’intégralité du contenu © 1992 – 2007 Cisco Systems, Inc. Tous droits réservés.
Ce document contient des informations publiques Cisco. Page 1 sur 8
Travaux pratiques 2.8.2 : configuration avancée d’une route statique
Diagramme de topologie
Table d’adressage
Périphérique Interface Adresse IP Masque de sous réseau Passerelle par défaut
BRANCH
Fa0/0 s/o
S0/0/0S0/0/0 s/o
HQ
Fa0/0 s/o
S0/0/0S0/0/0 s/o
S0/0/1S0/0/1 209.165.201.2 255.255.255.252 s/o
ISP
Fa0/0 209.165.200.225 255.255.255.224 s/o
S/0/0S/0/0 209.165.201.1 255.255.255.252 s/o
PC1 Carte réseau
PC2 Carte réseau
Web Server
(Serveur Web)
Carte réseau 209.165.200.253 255.255.255.224 209.165.200.225
CCNA Exploration
Protocoles et concepts de routage : Routage statique Travaux pratiques 2.8.2 : configuration avancée d’une route statique
Copyright sur l’intégralité du contenu © 1992 – 2007 Cisco Systems, Inc. Tous droits réservés.
Ce document contient des informations publiques Cisco. Page 2 sur 8
Objectifs pédagogiques
À l’issue de ces travaux pratiques, vous serez en mesure d’effectuer les tâches suivantes :
 Créer des sous-réseaux dans un espace d’adressage d’après des consignes données
 Attribuer des adresses appropriées aux interfaces et les documenter
 Câbler un réseau conformément au diagramme de topologie
 Effacer la configuration de démarrage et recharger un routeur dans son état par défaut
 Exécuter des tâches de configuration de base sur un routeur
 Configurer et activer les interfaces série et Ethernet
 Déterminer les routes statiques, les résumés et les routes par défaut appropriées
 Tester et vérifier les configurations
 Réfléchir à l’implémentation du réseau et fournir la documentation associée
Scénario
Dans ces travaux pratiques, une adresse réseau vous est attribuée pour laquelle vous devrez créer
des sous-réseaux afin de réaliser l’adressage du réseau représenté dans le diagramme de la topologie.
L’adressage du réseau local (LAN) connecté au routeur ISP et de la liaison entre les routeurs HQ et ISP
est déjà réalisé. Vous devrez également configurer des routes statiques afin que les hôtes qui se trouvent
sur des réseaux non directement connectés puissent communiquer entre eux.
Tâche 1 : subdivision de l’espace d’adressage
Étape 1 : examen des besoins du réseau
L’adressage du réseau local connecté au routeur ISP et de la liaison entre les routeurs HQ et ISP
est déjà réalisé. L’espace d’adressage 192.168.2.0/24 vous a été attribué pour terminer la conception
du réseau. Créez des sous-réseaux, afin de disposer de suffisamment d’adresses IP pour prendre
en charge 60 hôtes.
Étape 2 : questions à prendre en comptre lors de la création de votre conception de réseau
Combien de sous-réseaux faut-il créer à partir du réseau 192.168.2.0/24 ? __________
Quelles sont les adresses réseau des sous-réseaux ?
Sous-réseau 0 : ________________________________________
Sous-réseau 1 : ________________________________________
Sous-réseau 2 : ________________________________________
Sous-réseau 3 : ________________________________________
Quel est le masque de sous-réseau de ces réseaux au format décimal pointé ? ____________________
Quel est le masque de sous-réseau de ce réseau au format avec barre oblique ? __________
Combien y a-t-il d'hôtes utilisables par sous-réseau ? __________
CCNA Exploration
Protocoles et concepts de routage : Routage statique Travaux pratiques 2.8.2 : configuration avancée d’une route statique
Copyright sur l’intégralité du contenu © 1992 – 2007 Cisco Systems, Inc. Tous droits réservés.
Ce document contient des informations publiques Cisco. Page 3 sur 8
Étape 3 : attribution d'adresses de sous-réseau au diagramme de topologie
1. Affectez le sous-réseau 1 au réseau local attaché de HQ.
2. Affectez le sous-réseau 2 à la liaison étendue (WAN) entre HQ et BRANCH.
3. Affectez le sous-réseau 3 au réseau local attaché à BRANCH.
4. Le sous-réseau 0 est disponible pour une extension future.
Tâche 2 : détermination des adresses des interfaces
Étape 1 : attribution des adresses appropriées aux interfaces des périphériques
1. Affectez la première adresse d’hôte valide du sous-réseau 1 à l’interface LAN sur HQ.
2. Affectez la dernière adresse d’hôte valide du réseau 1 au PC2.
3. Affectez la première adresse d’hôte valide du sous-réseau 2 à l’interface WAN sur BRANCH.
4. Affectez la seconde adresse d’hôte valide du sous-réseau 2 à l’interface WAN sur HQ.
5. Affectez la première adresse d’hôte valide du sous-réseau 3 à l’interface LAN de BRANCH.
6. Affectez la dernière adresse d’hôte valide du réseau 3 au PC1.
Étape 2 : documentation des adresses à utiliser dans le tableau fourni sous le diagramme
de topologie
Tâche 3 : préparation du réseau
Étape 1 : installation d’un réseau similaire à celui du diagramme de topologie
Vous pouvez utiliser n’importe quel routeur des travaux pratiques, pourvu qu’il comporte les interfaces
nécessaires illustrées dans la topologie.
Étape 2 : suppression de toute configuration existante sur les routeurs
Tâche 4 : exécution des configurations de base des routeurs
Exécutez la configuration de base des routeurs BRANCH, HQ et ISP en respectant les consignes
suivantes :
1. Configurez le nom d’hôte du routeur.
2. Désactivez la recherche DNS.
3. Configurez un mot de passe pour le mode EXEC.
4. Configurez une bannière du message du jour.
5. Configurez un mot de passe pour les connexions console.
6. Configurez un mot de passe pour les connexions VTY.
7. Synchronisez les messages non sollicités et les résultats de débogage avec les résultats
sollicités et les invites de la console et des lignes du terminal virtuel.
8. Configurez un délai d’attente EXEC de 15 minutes.
CCNA Exploration
Protocoles et concepts de routage : Routage statique Travaux pratiques 2.8.2 : configuration avancée d’une route statique
Copyright sur l’intégralité du contenu © 1992 – 2007 Cisco Systems, Inc. Tous droits réservés.
Ce document contient des informations publiques Cisco. Page 4 sur 8
Tâche 5 : configuration et activation des adresses de série et Ethernet
Étape 1 : configuration des interfaces sur les routeurs BRANCH, HQ et ISP
Configurez les interfaces sur les routeurs BRANCH, HQ et ISP à l'aide des adresses IP de la table sous
le diagramme de la topologie. Lorsque vous avez terminé, n’oubliez pas d’enregistrer la configuration
en cours dans la mémoire NVRAM du routeur.
Étape 2 : configuration des interfaces Ethernet
Configurez les interfaces Ethernet sur PC1, PC2 et le serveur Web à l'aide des adresses IP de la table
d’adressage du diagramme de la topologie.
Tâche 6 : bérification de la connectivité à l’équipement du tronçon suivant
À ce stade, il ne doit pas encore exister de connectivité entre les périphériques finaux. Néanmoins,
vous pouvez tester la connectivité entre deux routeurs et entre un périphérique final et sa passerelle
par défaut.
Étape 1 : bérification de la connectivité de BRANCH et HQ
Vérifiez que le BRANCH peut envoyer un paquet ping vers HQ par l’intermédiaire de la liaison WAN
et que HQ peut transmettre un paquet ping via la liaison WAN qu’il partage avec le FAI.
Étape 2 : bérification de la connectivité de PC1, PC2 et du serveur Web
Vérifiez que PC1, PC2 et le serveur Web peuvent envoyer des paquets ping à leurs passerelles
par défaut.
Tâche 7 : configuration du routage statique sur BRANCH
Étape 1 : réflexion sur le type de routage statique nécessaire sur BRANCH
Quels sont les réseaux qui figurent dans la table de routage de BRANCH ? Dressez la liste des réseaux
en utilisant la notation avec barre oblique.
________________________________________
________________________________________
Quels sont les réseaux absents de la table de routage BRANCH ? Dressez la liste des réseaux
en utilisant la notation avec barre oblique.
________________________________________
________________________________________
________________________________________
Est-il possible de créer une route résumée qui comprend tous les réseaux manquants ? __________
Combien t y a-t-il de routes WAN disponibles pour le trafic sortant du réseau local connecté à
BRANCH ?__________
CCNA Exploration
Protocoles et concepts de routage : Routage statique Travaux pratiques 2.8.2 : configuration avancée d’une route statique
Copyright sur l’intégralité du contenu © 1992 – 2007 Cisco Systems, Inc. Tous droits réservés.
Ce document contient des informations publiques Cisco. Page 5 sur 8
Étape 2 : configuration de BRANCH avec une route statique pointant vers HQ
Étant donné que BRANCH est un routeur d’extrémité, BRANCH doit être configuré avec une route
statique pointant vers HQ. Indiquez la commande permettant de configurer une route statique par
défaut à l’aide de l’interface de sortie appropriée.
________________________________________________________________________________
Étape 3 : affichage de la table de routage de BRANCH pour vérifier la nouvelle entrée de
la route statique
Normalement, une instruction Gateway of Last Resort (passerelle de dernier recours) doit être
active sur BRANCH.
Sans test préalable, pensez-vous que PC1 peut maintenant envoyer une requête vers PC2 ? _________
Justifiez votre réponse.
___________________________________________________________________________________
___________________________________________________________________________________
___________________________________________________________________________________
Tâche 8 : configuration du routage statique sur HQ
Étape 1 : examen du type de routage statique nécessaire pour HQ
Quels sont les réseaux qui figurent dans la table de routage de HQ ? Dressez la liste des réseaux
en utilisant la notation avec barre oblique.
________________________________________
________________________________________
________________________________________
Quels sont les réseaux absents de la table de routage HQ ? Dressez la liste des réseaux en utilisant
la notation avec barre oblique.
________________________________________
________________________________________
Est-il possible de créer une route résumée qui comprend tous les réseaux manquants ? __________
HQ est dans une position unique, puisqu’il s’agit du routeur central (concentrateur) de cette topologie en
étoile de type hub-and-spoke. Le trafic à destination d’Internet provenant du réseau local BRANCH doit
passer par HQ. HQ doit être en mesure d’envoyer tout trafic pour lequel il ne possède pas de routeur
vers ISP. Quel type de route devez-vous configurer sur HQ pour résoudre ce problème ?
___________________________________________________________________________________
HQ sert également d’intermédiaire pour le trafic provenant d’Internet à destination du réseau local
BRANCH. De ce fait, HQ doit pouvoir établir une route vers ce réseau local. Quel type de route
devez-vous configurer sur HQ pour résoudre ce problème ?
___________________________________________________________________________________
CCNA Exploration
Protocoles et concepts de routage : Routage statique Travaux pratiques 2.8.2 : configuration avancée d’une route statique
Copyright sur l’intégralité du contenu © 1992 – 2007 Cisco Systems, Inc. Tous droits réservés.
Ce document contient des informations publiques Cisco. Page 6 sur 8
Étape 2 : configuration d’une deuxième route statique pour HQ
Configurez pour HQ une route statique vers le réseau local BRANCH en utilisant pour sortie l’interface
série 0/0/0 de HQ. Indiquez la commande utilisée.
___________________________________________________________________________________
Étape 3 : configuration d’une deuxième route statique par défaut pour HQ
Configurez pour HQ une route statique par défaut qui pointe vers ISP, en utilisant l’adresse du tronçon
suivant. Indiquez la commande utilisée.
___________________________________________________________________________________
Étape 4 : affichage de la table de routage de HQ pour vérifier les nouvelles entrées de la
route statique
Sans test préalable, pensez-vous que PC1 peut maintenant envoyer une requête vers PC2 ?
__________
Justifiez votre réponse.
___________________________________________________________________________________
___________________________________________________________________________________
Sans test préalable, pensez-vous que PC1 ou PC2 peut maintenant envoyer un paquet ping vers
le serveur Web ? __________
Justifiez votre réponse.
___________________________________________________________________________________
___________________________________________________________________________________
___________________________________________________________________________________
___________________________________________________________________________________
Tâche 9 : vonfiguration du routage statique sur ISP
Dans une implémentation réelle de cette topologie, vous ne configureriez pas le routeur ISP. Toutefois,
votre fournisseur de services Internet (FAI) constitue un partenaire actif lorsqu’il s’agit de répondre à vos
besoins de connectivité. Les administrateurs des fournisseurs de services sont aussi des êtres humains
qui commettent des erreurs. Par conséquent, il est important d’envisager les types d’erreurs que peut
commettre un fournisseur de services Internet et qui sont susceptibles d’entraîner une perte de
connectivité sur vos réseaux.
Étape 1 : réflexion sur le type de routage statique nécessaire sur ISP
Quels sont les réseaux présents dans la table de routage du FAI ? Dressez la liste des réseaux
en utilisant la notation avec barre oblique.
________________________________________
________________________________________
Quels sont les réseaux absents de la table de routage du FAI ? Dressez la liste des réseaux en utilisant
la notation avec barre oblique.
________________________________________
CCNA Exploration
Protocoles et concepts de routage : Routage statique Travaux pratiques 2.8.2 : configuration avancée d’une route statique
Copyright sur l’intégralité du contenu © 1992 – 2007 Cisco Systems, Inc. Tous droits réservés.
Ce document contient des informations publiques Cisco. Page 7 sur 8
________________________________________
________________________________________
Est-il possible de créer une route résumée qui comprend tous les réseaux manquants ? __________
Étape 2 : vonfiguration d’une route statique résumée pour ISP
Configurez une route statique résumée par défaut pour le FAI qui comprend tous les sous-réseaux
manquants dans la table de routage, en utilisant l’adresse IP du tronçon suivant. Indiquez la commande
utilisée.
________________________________________________________________________________
Remarque : le résumé du routage comprend également la route du sous-réseau 0 réservée à une future
extension.
Étape 3 : affichage de la table de routage de R3 pour vérifier la nouvelle entrée de la route statique
Tâche 10 : vérification des configurations
Répondez aux questions suivantes pour vérifier que le réseau fonctionne comme prévu :
À partir de PC2, est-il possible d’envoyer un paquet ping à PC1 ? __________
À partir de PC2, est-il possible d’envoyer un paquet ping au serveur Web ? __________
À partir de PC1, est-il possible d’envoyer un paquet ping au serveur Web ? __________
La réponse à toutes ces questions doit être oui. Si un paquet ping ci-dessus a échoué, vérifiez les
connexions physiques et les configurations. Si vous voulez revoir les techniques de dépannage de base,
reportez-vous aux travaux pratiques 1.5.1 « Câblage d’un réseau et configuration de base du routeur ».
Quelles sont les routes présentes dans la table de routage de BRANCH ?
________________________________________
________________________________________
________________________________________
Quelles sont les routes présentes dans la table de routage de HQ ?
________________________________________
________________________________________
________________________________________
________________________________________
________________________________________
Quelles sont les routes présentes dans la table de routage du FAI ?
________________________________________
________________________________________
________________________________________
CCNA Exploration
Protocoles et concepts de routage : Routage statique Travaux pratiques 2.8.2 : configuration avancée d’une route statique
Copyright sur l’intégralité du contenu © 1992 – 2007 Cisco Systems, Inc. Tous droits réservés.
Ce document contient des informations publiques Cisco. Page 8 sur 8
Tâche 11 : remarques générales
Si une route statique par défaut n’était pas configurée sur BRANCH, combien de routes statiques
individuelles seraient nécessaires pour que les hôtes du réseau local BRANCH puissent communiquer
avec tous les réseaux du diagramme de la topologie ? __________
Si une route statique par défaut n’était pas configurée sur R3, combien de routes statiques individuelles
seraient nécessaires pour que les hôtes du réseau local R3 puissent communiquer avec tous les réseaux
du diagramme de la topologie ? __________
Tâche 12 : focumentation des configurations des routeurs
Sur chaque routeur, capturez le résultat de la commande suivante dans un fichier texte (.txt)
et enregistrez-le pour y faire référence par la suite.
 Configuration en cours
 Table de routage
 Résumé de l’interface
Tâche 13 : temise en état
Effacez les configurations et rechargez les routeurs. Débranchez les câbles et stockez-les. Pour les
PC hôtes normalement connectés à d’autres réseaux (comme le réseau local du centre de formation
ou Internet), remettez-en place les câblages adaptés et restaurez les paramètres TCP/IP.
Travaux pratiques 2.8.3 : dépannage des routes statiques
Diagramme de topologie
Table d’adressage
Périphérique Interface Adresse IP
Masque de
sous-réseau
Passerelle
par défaut
Fa0/0 172.20.1.129 255.255.255.128 s/o
BRANCH
S0/0/0 172.20.1.1 255.255.255.128 s/o
Fa0/0 172.20.0.129 255.255.255.128 s/o
S0/0/0 172.20.1.2 255.255.255.128 s/oHQ
S0/0/1 192.168.38.254 255.255.255.252 s/o
FA0/0 192.168.39.65 255.255.255.192 s/o
ISP
S0/0/1 192.168.38.253 255.255.255.252 s/o
PC1 Carte réseau 172.20.1.135 255.255.255.128 172.20.1.129
PC2 Carte réseau 172.20.0.135 255.255.255.128 172.20.0.129
Web Serveur
(serveur Web
Carte réseau 192.168.39.70 255.255.255.192 192.168.39.65
Objectifs pédagogiques
À l’issue de ces travaux pratiques, vous serez en mesure d’effectuer les tâches suivantes :
• Câbler un réseau conformément au diagramme de topologie
• Effacer la configuration de démarrage et recharger un routeur dans son état par défaut
Copyright sur l’intégralité du contenu © 1992 – 2007 Cisco Systems, Inc. Tous droits réservés.
Ce document contient des informations publiques Cisco. Page 1 sur 9
CCNA Exploration
Protocoles et concepts de routage : Routage statique Travaux pratiques 2.8.3 : dépannage des routes statiques
• Charger les routeurs avec les scripts fournis
• Découvrir les points où le réseau peut ne pas converger
• Collecter des informations relatives aux erreurs sur le réseau
• Proposer des solutions pour les erreurs de réseau
• Mettre en place des solutions pour les erreurs de réseau
• Vérifier le réseau corrigé
Scénario
Dans ces travaux pratiques, vous commencerez par charger les scripts de configuration dans chaque
routeur. Ces scripts contiennent des erreurs qui empêchent les communications de bout en bout sur le
réseau. Vous devrez dépanner chaque routeur pour déterminer les erreurs de configuration, puis utiliser
les commandes appropriées afin de corriger les configurations. Une fois que vous aurez corrigé toutes
les erreurs de configuration, tous les hôtes du réseau doivent pouvoir communiquer entre eux.
Tâche 1 : installation, suppression et rechargement des routeurs
Étape 1 : installation d’un réseau similaire à celui du diagramme de topologie
Étape 2 : suppression de la configuration sur chaque routeur
Effacez la configuration de chaque routeur à l'aide de la commande erase startup-config
et rechargez-les (commande reload). Si vous êtes invité à enregistrer les modifications,
répondez par no.
Tâche 2 : chargement des routeurs à l’aide des scripts fournis
Étape 1 : chargement du script suivant sur le routeur BRANCH :
hostname BRANCH
!
!
no ip domain-lookup
!
interface FastEthernet0/0
ip address 172.20.1.129 255.255.255.128
duplex auto
speed auto
no shutdown
!
interface Serial0/0/0
ip address 172.20.1.1 255.255.255.128
clock rate 64000
no shutdown
!
ip route 0.0.0.0 0.0.0.0 172.20.0.129
!
!
!
!
line con 0
Copyright sur l’intégralité du contenu © 1992 – 2007 Cisco Systems, Inc. Tous droits réservés.
Ce document contient des informations publiques Cisco. Page 2 sur 9
line vty 0 4
CCNA Exploration
Protocoles et concepts de routage : Routage statique Travaux pratiques 2.8.3 : dépannage des routes statiques
password cisco
login
!
end
Étape 2 : chargement du script suivant sur le routeur HQ :
hostname HQ
!
no ip domain-lookup
!
interface FastEthernet0/0
ip address 172.20.0.129 255.255.255.128
duplex auto
speed auto
no shutdown
!
interface Serial0/0/0
ip address 172.20.1.2 255.255.255.128
no shutdown
!
interface Serial0/0/1
ip address 192.168.38.254 255.255.255.252
clock rate 64000
no shutdown
!
ip route 192.168.39.64 255.255.255.192 192.168.38.253
!
line con 0
line vty 0 4
password cisco
login
!
end
Étape 3 : chargement du script suivant sur le routeur ISP :
hostname ISP
!
no ip domain-lookup
!
interface FastEthernet0/0
ip address 192.168.39.65 255.255.255.192
!
interface Serial0/0/1
ip address 192.168.38.253 255.255.255.252
no shutdown
!
ip route 172.20.0.0 255.255.255.0 192.168.38.254
!
line con 0
line vty 0 4
password cisco
login
!
end
Copyright sur l’intégralité du contenu © 1992 – 2007 Cisco Systems, Inc. Tous droits réservés.
Ce document contient des informations publiques Cisco. Page 3 sur 9
CCNA Exploration
Protocoles et concepts de routage : Routage statique Travaux pratiques 2.8.3 : dépannage des routes statiques
Tâche 3 : dépannage du routeur BRANCH
Étape 1 : début du dépannage sur l’hôte connecté au routeur BRANCH
À partir de l’hôte PC1, est-il possible d’envoyer un paquet ping à PC2 ? _______
À partir de l’hôte PC1, est-il possible d’envoyer un paquet ping au réseau local ISP ? _______
À partir de l’hôte PC1, est-il possible d’envoyer un paquet ping à la passerelle par défaut ? _______
Étape 2 : examen du routeur BRANCH afin de détecter d’éventuelles erreurs de configuration
Commencez par examiner le résumé des informations d’état pour chaque interface sur le routeur.
Peut-on déceler un problème au niveau de l’état des interfaces ?
___________________________________________________________________________________
___________________________________________________________________________________
___________________________________________________________________________________
Dans l’affirmative, notez les commandes qui permettent de corriger les erreurs de configuration.
___________________________________________________________________________________
___________________________________________________________________________________
___________________________________________________________________________________
Étape 3 : si vous avez enregistré les commandes ci-dessus, les appliquer maintenant
à la configuration du routeur
Étape 4 : examen du résumé des informations d’état
Si des modifications ont été apportées à la configuration à l'étape précédente, examinez à nouveau
le résumé des informations d'état pour les interfaces du routeur.
Les informations contenues dans le résumé de l’état des interfaces indiquent-elles la présence d’erreurs
de configuration ? _______
Si la réponse est oui, dépannez à nouveau l’état des interfaces.
Étape 5 : dépannage de la configuration de routage statique sur le routeur BRANCH
Commencez par examiner la table de routage.
Quelles routes figurent dans la table de routage ?
___________________________________________________________________________________
___________________________________________________________________________________
___________________________________________________________________________________
Copyright sur l’intégralité du contenu © 1992 – 2007 Cisco Systems, Inc. Tous droits réservés.
Ce document contient des informations publiques Cisco. Page 4 sur 9
CCNA Exploration
Protocoles et concepts de routage : Routage statique Travaux pratiques 2.8.3 : dépannage des routes statiques
La table de routage présente-t-elle des problèmes ?
___________________________________________________________________________________
___________________________________________________________________________________
___________________________________________________________________________________
Si vous décelez des problèmes dans la table de routage, indiquez les commandes qui permettent
de corriger les erreurs de configuration.
___________________________________________________________________________________
___________________________________________________________________________________
___________________________________________________________________________________
Étape 6 : si vous avez enregistré les commandes ci-dessus, les appliquer à la configuration
du routeur maintenant
Étape 7 : affichage des informations de routage
Si des modifications ont été apportées à la configuration à l’étape précédente, examinez à nouveau
la table de routage.
Ces données indiquent-elles des erreurs de configuration ? _______
Si la réponse est oui, dépannez à nouveau la table de routage.
Étape 8 : nouvelle tentative de ping entre les hôtes
À partir de l’hôte PC1, est-il possible d’envoyer un paquet ping à PC2 ? _______
À partir de l’hôte PC1, est-il possible d’envoyer un paquet ping au serveur Web du réseau local ISP ?
_______
À partir du routeur R1, est-il possible d’envoyer un paquet ping à l’interface Serial 0/0/0 de HQ ?
_______
Tâche 4 : dépannage du routeur HQ
Étape 1 : début du dépannage de l’hôte connecté au routeur HQ
À partir de l’hôte, est-il possible d’envoyer un paquet ping à PC1 ? _______
À partir de l’hôte PC2, est-il possible d’envoyer un paquet ping au serveur Web du réseau local ISP ?
_______
À partir de l’hôte PC2 hôte, est-il possible d’envoyer un paquet ping à la passerelle par défaut ? ____
Étape 2 : examen du routeur HQ pour trouver des erreurs de configuration possibles
Commencez par examiner le résumé des informations d’état de chaque interface sur le routeur.
Y a-t-il des problèmes avec l’état des interfaces ?
___________________________________________________________________________________
Copyright sur l’intégralité du contenu © 1992 – 2007 Cisco Systems, Inc. Tous droits réservés.
Ce document contient des informations publiques Cisco. Page 5 sur 9
CCNA Exploration
Protocoles et concepts de routage : Routage statique Travaux pratiques 2.8.3 : dépannage des routes statiques
___________________________________________________________________________________
___________________________________________________________________________________
Si oui, notez les commandes requises pour corriger les erreurs de configuration.
___________________________________________________________________________________
___________________________________________________________________________________
___________________________________________________________________________________
Étape 3 : si vous avez enregistré les commandes ci-dessus, les appliquer à la configuration
du routeur maintenant
Étape 4 : examen du résumé des informations d’état
Si des modifications ont été apportées à la configuration à l'étape précédente, examinez à nouveau
le résumé des informations d'état pour les interfaces du routeur.
Les informations contenues dans le récapitulatif de l’état des interfaces indiquent-elles la présence
d’erreurs de configuration ? _______
Si la réponse est oui, dépannez à nouveau l’état des interfaces.
Étape 5 : dépannage de la configuration de routage statique sur le routeur HQ
Commencez par examiner la table de routage.
Quelles routes figurent dans la table de routage ?
___________________________________________________________________________________
___________________________________________________________________________________
___________________________________________________________________________________
La table de routage présente-t-elle des problèmes ?
___________________________________________________________________________________
___________________________________________________________________________________
___________________________________________________________________________________
Si vous décelez des problèmes au niveau de la table de routage, notez les commandes qui permettent
de corriger les erreurs de configuration.
___________________________________________________________________________________
___________________________________________________________________________________
___________________________________________________________________________________
Copyright sur l’intégralité du contenu © 1992 – 2007 Cisco Systems, Inc. Tous droits réservés.
Ce document contient des informations publiques Cisco. Page 6 sur 9
CCNA Exploration
Protocoles et concepts de routage : Routage statique Travaux pratiques 2.8.3 : dépannage des routes statiques
Étape 6 : si vous avez enregistré les commandes ci-dessus, les appliquer à la configuration
du routeur maintenant
Étape 7 : affichage des informations de routage
Si la configuration a été modifiée à l’étape précédente, affichez à nouveau la table de routage.
Ces données indiquent-elles des erreurs de configuration ? _______
Si la réponse est oui, dépannez à nouveau la table de routage.
Étape 8 : nouvelle tentative de liaison ping entre les hôtes
À partir de l’hôte PC2, est-il possible d’envoyer un paquet ping à PC1 ? _______
À partir de l’hôte PC2, est-il possible d’envoyer un paquet ping à l’interface série 0/0 du routeur ISP ?
_______
À partir de l’hôte PC1, est-il possible d’envoyer un paquet ping au réseau local ISP ? _______
Tâche 5 : dépannage du routeur ISP
Étape 1 : début du dépannage sur l’hôte connecté au routeur ISP
À partir du serveur Web du réseau local ISP, est-il possible d’envoyer un paquet ping à PC1 ? _______
À partir du serveur Web du réseau local ISP, est-il possible d’envoyer un paquet ping à PC2 ? _______
À partir du serveur Web du réseau local ISP, est-il possible d’envoyer un paquet ping à la passerelle
par défaut ? _______
Étape 2 : examen du routeur ISP afin de détecter d’éventuelles erreurs de configuration
Commencez par examiner le résumé des informations d’état pour chaque interface sur le routeur.
Y a-t-il des problèmes avec l’état des interfaces ?
___________________________________________________________________________________
___________________________________________________________________________________
___________________________________________________________________________________
Dans l’affirmative, notez les commandes qui permettent de corriger les erreurs de configuration.
___________________________________________________________________________________
___________________________________________________________________________________
___________________________________________________________________________________
Copyright sur l’intégralité du contenu © 1992 – 2007 Cisco Systems, Inc. Tous droits réservés.
Ce document contient des informations publiques Cisco. Page 7 sur 9
CCNA Exploration
Protocoles et concepts de routage : Routage statique Travaux pratiques 2.8.3 : dépannage des routes statiques
Étape 3 : si vous avez enregistré les commandes ci-dessus, les appliquer à la configuration
du routeur maintenant
Étape 4 : affichage du résumé des informations d’état
Si des modifications ont été apportées à la configuration à l'étape précédente, examinez à nouveau
le résumé des informations d'état pour les interfaces du routeur.
Les informations contenues dans le récapitulatif de l’état des interfaces indiquent-elles la présence
d’erreurs de configuration ? _______
Si la réponse est oui, dépannez à nouveau l’état des interfaces.
Étape 5 : dépannage de la configuration de routage statique sur le routeur ISP
Commencez par examiner la table de routage.
Quelles routes figurent dans la table de routage ?
___________________________________________________________________________________
___________________________________________________________________________________
___________________________________________________________________________________
La table de routage présente-t-elle des problèmes ?
___________________________________________________________________________________
___________________________________________________________________________________
___________________________________________________________________________________
Si vous décelez des problèmes dans la table de routage, notez les commandes qui permettent
de corriger les erreurs de configuration.
___________________________________________________________________________________
___________________________________________________________________________________
___________________________________________________________________________________
Étape 6 : si vous avez enregistré les commandes ci-dessus, les appliquer à la configuration
du routeur maintenant
Étape 7 : affichage des informations de routage
Si la configuration a été modifiée à l’étape précédente, affichez à nouveau la table de routage.
Ces données indiquent-elles des erreurs de configuration ? _______
Si la réponse est oui, dépannez à nouveau la table de routage.
Étape 8 : nouvelle tentative de liaison ping entre les hôtes
À partir du serveur Web du réseau local ISP, est-il possible d’envoyer un paquet ping à PC1 ? _____
Copyright sur l’intégralité du contenu © 1992 – 2007 Cisco Systems, Inc. Tous droits réservés.
Ce document contient des informations publiques Cisco. Page 8 sur 9
CCNA Exploration
Protocoles et concepts de routage : Routage statique Travaux pratiques 2.8.3 : dépannage des routes statiques
Copyright sur l’intégralité du contenu © 1992 – 2007 Cisco Systems, Inc. Tous droits réservés.
Ce document contient des informations publiques Cisco. Page 9 sur 9
À partir du serveur Web du réseau local ISP, est-il possible d’envoyer un paquet ping à PC2 ? _____
À partir du serveur Web du réseau local ISP, est-il possible d’envoyer un paquet ping à l’interface WAN
du routeur BRANCH ? _______
Tâche 6 : remarques générales
Les scripts fournis pour ces travaux pratiques ont présenté plusieurs erreurs de configuration.
Décrivez brièvement ci-dessous les erreurs que vous avez trouvées.
___________________________________________________________________________________
___________________________________________________________________________________
___________________________________________________________________________________
___________________________________________________________________________________
___________________________________________________________________________________
___________________________________________________________________________________
___________________________________________________________________________________
___________________________________________________________________________________
___________________________________________________________________________________
Tâche 7 : documentation
Sur chaque routeur, capturez le résultat de la commande suivante dans un fichier texte (.txt)
et enregistrez-le pour y faire référence par la suite.
• show running-config
• show ip route
• show ip interface brief
Si vous voulez revoir les procédures de capture du résultat d’une commande, reportez-vous aux travaux
pratiques 1.5.1, « Câblage d’un réseau et configuration de base du routeur ».
2.9.1 : exercice d’intégration des compétences Packet Tracer
Objectifs
• Câbler les périphériques
• Appliquer une configuration de base aux périphériques
• Configurer le routage statique et par défaut
• Tester la connectivité et examiner la configuration.
Scénario
Cet exercice porte sur les configurations de base des périphériques et sur le routage statique. Le schéma
d’adressage a déjà été déterminé. Après avoir configuré tous les périphériques, vous devrez tester la
connectivité de bout en bout et examiner votre configuration.
Tâche 1 : câblage des périphériques
Câblez les réseaux en fonction de la topologie en veillant à ce que les interfaces correspondent aux
étiquettes indiquées dans l’exercice. HQ est l'équipement de communication de données (DCE) des
deux liaisons WAN.
Tâche 2 : application d’une configuration de base
Procédez à la configuration de base des routeurs, y compris l’adressage.
• Pour les liaisons WAN, affectez la première adresse à HQ et la deuxième à l’autre routeur.
• Pour les réseaux locaux, affectez la première adresse à l’interface du routeur et l’adresse .10 aux
ordinateurs.
• Utilisez cisco comme mot de passe de ligne et class comme mot de passe secret.
• Utilisez la fréquence d’horloge 64 000.
Tâche 3 : configuration du routage statique et par défaut
• HQ doit avoir deux routes statiques.
• B1 et B2 doivent avoir une route par défaut.
Tâche 4 : test de la connectivité et examen de la configuration
Étape 1 : test de la connectivité
• La connectivité de bout en bout doit maintenant être établie. Testez la connectivité sur le réseau
à l’aide d’une requête ping.
• Corrigez les éventuels problèmes jusqu’à ce que les requêtes ping fonctionnent.
Étape 2 : examen de la configuration
Utilisez les commandes de vérification pour vérifier que vos configurations sont complètes.
Copyright sur l'intégralité du contenu © 1992–2007 Cisco Systems, Inc. Tous droits réservés.
Ce document contient des informations publiques Cisco. Page 1 sur 1
Copyright sur l’intégralité du contenu © 1992 – 2007 Cisco Systems, Inc. Tous droits réservés.
Ce document contient des informations publiques Cisco. Page 1 sur 5
Travaux pratiques 3.5.2 : scénario de découpage en sous-réseaux 1
Diagramme de topologie
Table d’adressage
Périphérique Interface Adresse IP
Masque de
sous-réseau
Passerelle par défaut
HQ
Fa0/1 s/o
S0/0/0 s/o
S0/0/1 s/o
BRANCH1
Fa0/0 s/o
Fa0/1 s/o
S0/0/0 s/o
BRANCH2
Fa0/0 s/o
Fa0/1 s/o
S0/0/1 s/o
PC1 Carte réseau
PC2 Carte réseau
PC3 Carte réseau
PC4 Carte réseau
PC5 Carte réseau
CCNA Exploration
Protocoles et concepts de routage :
Présentation des protocoles de routage dynamique Travaux pratiques 3.5.2 : scénario de découpage en sous-réseaux 1
Copyright sur l’intégralité du contenu © 1992 – 2007 Cisco Systems, Inc. Tous droits réservés.
Ce document contient des informations publiques Cisco. Page 2 sur 5
Objectifs pédagogiques
À l’issue de ces travaux pratiques, vous serez en mesure d’effectuer les tâches suivantes :
 Déterminer le nombre de sous-réseaux nécessaires
 Déterminer le nombre d’hôtes nécessaires
 Concevoir un système d’adressage adapté
 Attribuer des adresses et des paires de masques de sous-réseau aux interfaces des
périphériques et aux hôtes
 Examiner l’utilisation de l’espace d’adressage réseau disponible
 Déterminer comment appliquer le routage statique au réseau
Scénario
Dans ces travaux pratiques, les adresses réseau 192.168.9.0/24 vous ont été attribuées : elles vous
permettront de créer des sous-réseaux et de fournir l’adressage IP du réseau présenté dans le
diagramme de topologie. Le réseau présente les exigences d’adressage suivantes :
 Le réseau local 1 de BRANCH1 a besoin de 10 adresses IP hôtes.
 Le réseau local 2 de BRANCH1 a besoin de 10 adresses IP hôtes.
 Le réseau local 1 de BRANCH2 a besoin de 10 adresses IP hôtes.
 Le réseau local 2 de BRANCH2 a besoin de 10 adresses IP hôtes.
 Le réseau local HQ a besoin de 20 adresses IP hôtes.
 La liaison entre HQ et BRANCH1 nécessite une adresse IP à chaque extrémité.
 La liaison entre HQ et BRANCH2 nécessite une adresse IP à chaque extrémité.
(Remarque : n’oubliez pas que les interfaces des périphériques réseau sont également
des adresses IP hôte et figurent dans les exigences d’adressage ci-dessus).
Tâche 1 : examen de la configuration réseau nécessaire
Examinez la configuration nécessaire et répondez aux questions ci-dessous. N’oubliez pas que
des adresses IP sont nécessaires pour chaque interface de réseau local.
Quel est le nombre de sous-réseaux nécessaires ? __________
Quel est le nombre maximal d’adresses IP nécessaires par sous-réseau ?__________
Quel est le nombre d’adresses IP nécessaires pour chaque réseau local Branch ?__________
Quel est le nombre total d’adresses IP nécessaires ?__________
Tâche 2 : conception d’un système d’adressage IP
Étape 1 : division du le réseau 192.168.9.0 en sous-réseaux
Quel est le masque de sous-réseau pour les sous-réseaux ? __________________________
Combien d’adresses IP d'hôtes sont-elles utilisables par sous-réseau ? __________
CCNA Exploration
Protocoles et concepts de routage :
Présentation des protocoles de routage dynamique Travaux pratiques 3.5.2 : scénario de découpage en sous-réseaux 1
Copyright sur l’intégralité du contenu © 1992 – 2007 Cisco Systems, Inc. Tous droits réservés.
Ce document contient des informations publiques Cisco. Page 3 sur 5
Complétez le tableau ci-dessous avec les informations de sous-réseaux.
N° de
sous-réseau
Adresse de
sous-réseau
Première adresse
hôte utilisable
Dernière adresse
hôte utilisable
Adresse
de diffusion
0
1
2
3
4
5
6
7
Étape 2 : attribution des sous-réseaux au réseau illustré dans le diagramme de topologie
Lorsque vous attribuez les sous-réseaux, n’oubliez pas qu’un routage est nécessaire pour l’envoi des
informations dans l’ensemble du réseau. Cette affectation permet de grouper le routage sur chaque
routeur.
1. Affectez le premier sous-réseau (le plus bas) au réseau local connecté à l’interface Fa0/1 de
BRANCH2. Quelle est l’adresse de sous-réseau ? ____________________
2. Affectez le deuxième sous-réseau au réseau local connecté à l’interface Fa0/1 de BRANCH2.
Quelle est l’adresse de sous-réseau ? ____________________
3. Affectez le troisième sous-réseau au réseau local connecté à l’interface Fa0/0 de BRANCH1.
Quelle est l’adresse de sous-réseau ?____________________
4. Affectez le quatrième sous-réseau au réseau local connecté à l’interface Fa0/1 de BRANCH1.
Quelle est l’adresse de sous-réseau ?____________________
5. Affectez le cinquième sous-réseau à la liaison de réseau étendu entre HQ et BRANCH1. Quelle
est l’adresse de sous-réseau ?____________________
6. Affectez le sixième sous-réseau à la liaison de réseau étendu entre HQ et BRANCH2.
____________________
7. Affectez le septième sous-réseau au réseau local connecté à l’interface Fa0/1 de HQ. Quelle est
l’adresse de sous-réseau ? ____________________
Remarque : Le sous-réseau de plus haut niveau n’est pas indispensable dans cette topologie.
Tâche 3 : attribution d’adresses IP aux périphériques réseau
Attribuez les adresses appropriées aux interfaces des périphériques. Les informations sur les adresses
à utiliser figurent dans le tableau d’adressage sous le diagramme de topologie.
Étape 1 : attribution d’adresses au routeur HQ
1. Attribuez la première adresse hôte valide de sous-réseau du réseau local HQ à l’interface du
réseau local.
2. Attribuez la première adresse hôte valide de la liaison entre HQ et le sous-réseau BRANCH1
à l’interface S0/0/0.
3. Attribuez la première adresse hôte valide de la liaison entre HQ et le sous-réseau BRANCH2
à l’interface S0/0/1.
CCNA Exploration
Protocoles et concepts de routage :
Présentation des protocoles de routage dynamique Travaux pratiques 3.5.2 : scénario de découpage en sous-réseaux 1
Copyright sur l’intégralité du contenu © 1992 – 2007 Cisco Systems, Inc. Tous droits réservés.
Ce document contient des informations publiques Cisco. Page 4 sur 5
Étape 2 : attribution d’adresses au routeur BRANCH1
1. Attribuez la première adresse hôte valide de sous-réseau du réseau local 1 de BRANCH1
à l’interface du réseau local Fa0/0.
2. Attribuez la première adresse hôte valide de sous-réseau du réseau local 2 de BRANCH1
à l’interface du réseau local Fa0/1.
3. Attribuez la première adresse hôte valide de la liaison entre HQ et le sous-réseau de BRANCH1
à l’interface du réseau étendu.
Étape 3 : attribution d’adresses au routeur BRANCH2
1. Attribuez la première adresse hôte valide du sous-réseau du réseau local 1 de BRANCH2
à l’interface du réseau local Fa0/0.
2. Attribuez la première adresse hôte valide du sous-réseau du réseau local 2 de BRANCH2
à l’interface du réseau local Fa0/1.
3. Attribuez la dernière adresse hôte valide de la liaison entre HQ et le sous-réseau de BRANCH2
à l’interface du réseau étendu.
Étape 4 : attribution d’adresses aux PC hôtes
1. Attribuez la dernière adresse hôte valide de sous-réseau du réseau local HQ à PC1.
2. Attribuez la dernière adresse hôte valide de sous-réseau du réseau local 1 de BRANCH1 à PC2.
3. Attribuez la dernière adresse hôte valide du sous-réseau du réseau local 2 de BRANCH1 à PC3.
4. Attribuez la dernière adresse hôte valide de sous-réseau du réseau local 1 de BRANCH2 à PC4.
5. Attribuez la dernière adresse hôte valide de sous-réseau du réseau local 2 de BRANCH2 à PC5.
Tâche 4 : test du modèle de réseau
Appliquez votre modèle d’adressage. Vérifiez que tous les périphériques se trouvant sur les réseaux
connectés en direct peuvent s’envoyer mutuellement des paquets ping.
Tâche 5 : remarques générales
Combien d’adresses IP du réseau 192.168.9.0 sont-elles inutilisées ou inutilisable dans ce modèle ?
__________
Quelle commande permet d’ajouter une route statique par défaut à l’interface de réseau étendu
du routeur BRANCH1 ?
___________________________________________________________________________________
Est-il possible de joindre les deux réseaux de BRANCH1 en une seule route sur le routeur HQ ?
__________
Quelle commande permet d’ajouter ce récapitulatif de routage à la table de routage ?
___________________________________________________________________________________
Est-il possible de joindre les deux réseaux de BRANCH2 en une seule route sur le routeur HQ ?
__________
Quelle commande permet d’ajouter ce récapitulatif de routage à la table de routage ?
___________________________________________________________________________________
CCNA Exploration
Protocoles et concepts de routage :
Présentation des protocoles de routage dynamique Travaux pratiques 3.5.2 : scénario de découpage en sous-réseaux 1
Copyright sur l’intégralité du contenu © 1992 – 2007 Cisco Systems, Inc. Tous droits réservés.
Ce document contient des informations publiques Cisco. Page 5 sur 5
Est-il possible de joindre le réseau local HQ et les deux réseaux de BRANCH1 en une seule route sur
le routeur BRANCH2 ? Ce récapitulatif de routage doit également inclure la liaison entre les routeurs HQ
et BRANCH1.
__________
Quelle commande permet d’ajouter ce récapitulatif de routage à la table de routage ?
___________________________________________________________________________________
Copyright sur l’intégralité du contenu © 1992 – 2007 Cisco Systems, Inc. Tous droits réservés.
Ce document contient des informations publiques Cisco. Page 1 sur 8
Travaux pratiques 3.5.3 : scénario de découpage en sous-réseaux 2
Diagramme de topologie
CCNA Exploration
Protocoles et concepts de routage :
Présentation des protocoles de routage dynamique Exercice 3.5.3 : scénario de découpage en sous-réseaux 2
Copyright sur l’intégralité du contenu © 1992 – 2007 Cisco Systems, Inc. Tous droits réservés.
Ce document contient des informations publiques Cisco. Page 2 sur 8
Table d’adressage
Périphérique Interface Adresse IP Masque de sous-réseau Passerelle par défaut
HQ
Fa0/0 s/o
S0/0/0 s/o
S0/0/1 s/o
S0/0/2 209.165.200.226 255.255.255.224 s/o
West
Fa0/0 s/o
S0/0/0 s/o
S0/0/1 s/o
S0/0/2 s/o
East
Fa0/0 s/o
S0/0/0 s/o
S0/0/1 s/o
S0/0/2 s/o
Branch 1
Fa0/0 s/o
S0/0/0 s/o
S0/0/1 s/o
Branch 2
Fa0/0 s/o
S0/0/0 s/o
S0/0/1 s/o
Branch 3
Fa0/0 s/o
S0/0/0 s/o
S0/0/1 s/o
Branch 4
Fa0/0 s/o
S0/0/0 s/o
S0/0/1 s/o
PC1 Carte réseau
PC2 Carte réseau
PC3 Carte réseau
PC4 Carte réseau
PC5 Carte réseau
PC6 Carte réseau
PC7 Carte réseau
CCNA Exploration
Protocoles et concepts de routage :
Présentation des protocoles de routage dynamique Exercice 3.5.3 : scénario de découpage en sous-réseaux 2
Copyright sur l’intégralité du contenu © 1992 – 2007 Cisco Systems, Inc. Tous droits réservés.
Ce document contient des informations publiques Cisco. Page 3 sur 8
Objectifs pédagogiques
À l’issue de ces travaux pratiques, vous serez en mesure d’effectuer les tâches suivantes :
 Déterminer le nombre de sous-réseaux nécessaires
 Déterminer le nombre d’hôtes nécessaires
 Concevoir un système d’adressage adapté
 Attribuer des adresses et des paires de masques de sous-réseau aux interfaces des
périphériques et aux hôtes
 Examiner l’utilisation de l’espace d’adressage réseau disponible
 Déterminer comment appliquer le routage statique au réseau
Scénario
Dans ces travaux pratiques, les adresses réseau 172.16.0.0/16 vous sont attribuées : elles vous
permettent de créer des sous-réseaux et de fournir l’adressage IP du réseau présenté dans le
diagramme de topologie. Le réseau présente les exigences d’adressage suivantes :
 Le réseau local de Branch1 a besoin de 100 adresses IP hôtes.
 Le réseau local de Branch2 a besoin de 100 adresses IP hôtes.
 Le réseau local de Branch3 a besoin de 100 adresses IP hôtes.
 Le réseau local de Branch4 a besoin de 100 adresses IP hôtes.
 Le réseau local West a besoin de 400 hôtes.
 Le réseau local East a besoin de 400 hôtes.
 Le réseau local HQ a besoin de 500 adresses IP hôtes.
 Les liaisons entre chacun des routeurs exigent une adresse IP par extrémité.
(Remarque : n’oubliez pas que les interfaces des périphériques réseau sont également des
adresses IP hôte et figurent dans les exigences d’adressage ci-dessus).
Les adresses IP pour la liaison entre le routeur HQ et ISP sont déjà attribuées. L’adresse Serial 0/2
du routeur HQ est 209.165.200.226/27. L’adresse IP de Serial 0/0 pour le routeur ISP est
209.165.200.227/27.
Tâche 1 : rxamen de la configuration réseau nécessaire
Examinez la configuration nécessaire et répondez aux questions ci-dessous. N’oubliez pas que des
adresses IP sont nécessaires pour chaque interface de réseau local.
Quel est le nombre de sous-réseaux nécessaires ? __________
Quel est le nombre maximal d’adresses IP nécessaires par sous-réseau ? __________
Quel est le nombre d’adresses IP nécessaires pour chaque réseau local Branch ? __________
Quel est le nombre d’adresses IP nécessaires pour toutes les connexions entre les routeurs ?
__________
Quel est le nombre total d’adresses IP nécessaires ? __________
CCNA Exploration
Protocoles et concepts de routage :
Présentation des protocoles de routage dynamique Exercice 3.5.3 : scénario de découpage en sous-réseaux 2
Copyright sur l’intégralité du contenu © 1992 – 2007 Cisco Systems, Inc. Tous droits réservés.
Ce document contient des informations publiques Cisco. Page 4 sur 8
Tâche 2 : conception d’un système d’adressage IP
Étape 1 : division du réseau 172.16.0.0 en nombre approprié de sous-réseaux
Quel est le masque de sous-réseau des sous-réseaux ? ______________________
Combien d’adresses IP d'hôtes sont-elles utilisables par sous-réseau ? __________
Complétez le tableau ci-dessous avec les informations de sous-réseaux.
N° de
sous-réseau
IP de
sous-réseau
Première adr. IP
hôte utilisable
Dernière adr. IP
hôte utilisable
Adresse
de diffusion
0
1
2
3
4
5
6
7
8
9
10
11
12
13
14
15
Étape 2 : attribution des sous-réseaux au réseau illustré dans le diagramme de topologie
Lorsque vous attribuez les sous-réseaux, n’oubliez pas qu’un routage est nécessaire pour l’envoi des
informations dans l’ensemble du réseau. Cette affectation permet de grouper le routage sur chaque
routeur.
Remarque : le sous-réseau de plus bas niveau (sous-réseau 0) n’est pas attribué dans ces travaux
pratiques. Vous devez commencer par attribuer le deuxième sous-réseau de plus bas niveau
(sous-réseau 1).
1. Attribuez le sous-réseau 1 au sous-réseau du réseau local de Branch1 : ________
2. Attribuez le sous-réseau 2 au sous-réseau du réseau local de Branch2 : ________
3. Attribuez le sous-réseau 3 à la liaison entre les routeurs Branch1 et Branch2 :
____________________
4. Attribuez le sous-réseau 4 à la liaison entre les routeurs Branch1 et West :
____________________
5. Attribuez le sous-réseau 5 à la liaison entre les routeurs Branch2 et West :
____________________
6. Attribuez le sous-réseau 6 au sous-réseau du réseau local West : ____________
7. Attribuez le sous-réseau 7 à la liaison entre les routeurs West et HQ : _________
8. Attribuez le sous-réseau 8 au sous-réseau du réseau local HQ : _____________
9. Attribuez le sous-réseau 9 à la liaison entre les routeurs HQ et de East : _______
CCNA Exploration
Protocoles et concepts de routage :
Présentation des protocoles de routage dynamique Exercice 3.5.3 : scénario de découpage en sous-réseaux 2
Copyright sur l’intégralité du contenu © 1992 – 2007 Cisco Systems, Inc. Tous droits réservés.
Ce document contient des informations publiques Cisco. Page 5 sur 8
10. Attribuez le sous-réseau 10 au sous-réseau du réseau local East : ____________
11. Attribuez le sous-réseau 11 à la liaison entre les routeurs Branch3 et East :
____________________
12. Attribuez le sous-réseau 12 à la liaison entre les routeurs Branch4 et East :
____________________
13. Attribuez le sous-réseau 13 à la liaison entre les routeurs Branch3 et Branch4 :
____________________
14. Attribuez le sous-réseau 14 au sous-réseau de Branch3 : __________________
15. Attribuez le sous-réseau 15 au sous-réseau de Branch4 : __________________
Tâche 3 : attribution d’adresses IP aux périphériques réseau
Attribuez les adresses appropriées aux interfaces des périphériques. Les informations sur les adresses
à utiliser figurent dans le tableau d’adressage sous le diagramme de topologie.
Étape 1 : attribution d’adresses au routeur HQ
1. Attribuez la première adresse hôte valide de sous-réseau du réseau local HQ à l’interface
du réseau local.
2. Attribuez la première adresse hôte valide de la liaison entre HQ et le sous-réseau West
à l’interface S0/0/0.
3. Attribuez la première adresse hôte valide de la liaison entre HQ et le sous-réseau East
à l’interface S0/0/1.
Étape 2 : attribution d’adresses au routeur West
1. Attribuez la première adresse hôte valide de sous-réseau du réseau local West à l’interface
du réseau local.
2. Attribuez la dernière adresse hôte valide de la liaison entre HQ et le sous-réseau West
à l’interface S0/0/0.
3. Attribuez la première adresse hôte valide de la liaison entre West et le sous-réseau Branch1
à l’interface S0/0/1.
4. Attribuez la première adresse hôte valide de la liaison entre West et le sous-réseau Branch2
à l’interface S0/0/2.
Étape 3 : attribution d’adresses au routeur East
1. Attribuez la première adresse hôte valide de sous-réseau du réseau local East à l’interface
du réseau local.
2. Attribuez la dernière adresse hôte valide de la liaison entre HQ et le sous-réseau East
à l’interface S0/0/0.
3. Attribuez la première adresse hôte valide de la liaison entre East et le sous-réseau Branch3
à l’interface S0/0/1.
4. Attribuez la première adresse hôte valide de la liaison entre East et le sous-réseau Branch4
à l’interface S0/0/2.
CCNA Exploration
Protocoles et concepts de routage :
Présentation des protocoles de routage dynamique Exercice 3.5.3 : scénario de découpage en sous-réseaux 2
Copyright sur l’intégralité du contenu © 1992 – 2007 Cisco Systems, Inc. Tous droits réservés.
Ce document contient des informations publiques Cisco. Page 6 sur 8
Étape 4 : attribution d’adresses au routeur Branch1
1. Attribuez la première adresse hôte valide de sous-réseau du réseau local Branch1 à l’interface
du réseau local.
2. Attribuez la dernière adresse hôte valide de la liaison entre West et le sous-réseau Branch1
à l’interface S0/0/0.
3. Attribuez la première adresse hôte valide de la liaison entre les sous-réseaux Branch1
et Branch2 à l’interface S0/0/1.
Étape 5 : attribution d’adresses au routeur Branch2
1. Attribuez la première adresse hôte valide de sous-réseau du réseau local Branch2 à l’interface
du réseau local.
2. Attribuez la dernière adresse hôte valide de la liaison entre West et le sous-réseau Branch2
à l’interface S0/0/0.
3. Attribuez la dernière adresse hôte valide de la liaison entre les sous-réseaux Branch1 et Branch2
à l’interface S0/0/1.
Étape 6 : attribution d’adresses au routeur Branch3
1. Attribuez la première adresse hôte valide de sous-réseau du réseau local Branch3 à l’interface
du réseau local.
2. Attribuez la dernière adresse hôte valide de la liaison entre les sous-réseaux East et Branch3
à l’interface S0/0/0.
3. Attribuez la première adresse hôte valide de la liaison entre les sous-réseaux Branch3
et Branch4 à l’interface S0/0/1.
Étape 7 : attribution d’adresses au routeur Branch4
1. Attribuez la première adresse hôte valide de sous-réseau du réseau local Branch4 à l’interface
du réseau local.
2. Attribuez la dernière adresse hôte valide de la liaison entre les sous-réseaux East et Branch4
à l’interface S0/0/0.
3. Attribuez la dernière adresse hôte valide de la liaison entre les sous-réseaux Branch3 et Branch4
à l’interface S0/0/1.
Étape 8 : attribution d’adresses aux PC hôtes
1. Attribuez la dernière adresse hôte valide de sous-réseau du réseau local HQ à PC1.
2. Attribuez la dernière adresse hôte valide de sous-réseau du réseau local West à PC2.
3. Attribuez la dernière adresse hôte valide de sous-réseau du réseau local East à PC3.
4. Attribuez la dernière adresse hôte valide de sous-réseau du réseau local Branch1 à PC4.
5. Attribuez la dernière adresse hôte valide de sous-réseau du réseau local Branch2 à PC5.
6. Attribuez la dernière adresse hôte valide de sous-réseau du réseau local Branch3 à PC6.
7. Attribuez la dernière adresse hôte valide de sous-réseau du réseau local Branch4 à PC7.
CCNA Exploration
Protocoles et concepts de routage :
Présentation des protocoles de routage dynamique Exercice 3.5.3 : scénario de découpage en sous-réseaux 2
Copyright sur l’intégralité du contenu © 1992 – 2007 Cisco Systems, Inc. Tous droits réservés.
Ce document contient des informations publiques Cisco. Page 7 sur 8
Tâche 4 : test du modèle de réseau
Appliquez votre modèle d’adressage. Vérifiez que tous les périphériques se trouvant sur les réseaux
connectés en direct peuvent s’envoyer mutuellement des paquets ping.
Tâche 5 : remarques générales
Combien d’adresses IP du réseau 172.16.0.0 sont-elles gâchées dans cette conception ? __________
Quelle commande permet d’ajouter une route statique par défaut à l’ensemble du modèle du réseau
entre le routeur HQ et le routeur ISP ?
___________________________________________________________________________________
Les routes des réseaux West, Branch1 et Branch2 peuvent-elles être réunies en une seule route sur le
routeur HQ ? Ce récapitulatif de routage doit également inclure les liaisons série qui relient les routeurs
West, Branch1 et Branch2. __________
Quelle commande permet d’ajouter ce récapitulatif de routage à la table de routage ?
___________________________________________________________________________________
Les routes des réseaux East, Branch3 et Branch4 peuvent-elles être réunies en une seule route sur le
routeur HQ ? Ce récapitulatif de routage doit également inclure les liaisons série qui relient les routeurs
East, Branch3 et Branch4.__________
Quelle commande permet d’ajouter ce récapitulatif de routage à la table de routage ?
___________________________________________________________________________________
Quelle commande permet d’ajouter une route statique par défaut au routeur Wuest pour transférer
le trafic de toutes les destinations inconnues au routeur HQ ?
___________________________________________________________________________________
Quelle commande permet d’ajouter une route statique par défaut au routeur East pour transférer le trafic
de toutes les destinations inconnues au routeur HQ ?
___________________________________________________________________________________
Les routes des réseaux Branch1 et Branch2 peuvent-elles être réunies en une seule route sur le routeur
West ? Ce récapitulatif de routage doit également inclure les liaisons série qui relient les routeurs
Branch1 et Branch2. __________
Quelle commande permet d’ajouter ce récapitulatif de routage à la table de routage ? Utilisez l’interface
S0/0/1 du routeur West comme interface de sortie.
___________________________________________________________________________________
Les routes des réseaux Branch3 et Branch4 peuvent-elles être réunies en une seule route sur le routeur
East ? Ce récapitulatif de routage doit également inclure les liaisons série qui relient les routeurs Branch3
et Branch4. __________
Quelle commande permet d’ajouter ce récapitulatif de routage à la table de routage ? Utilisez l’interface
S0/0/1 du routeur East comme interface de sortie.
CCNA Exploration
Protocoles et concepts de routage :
Présentation des protocoles de routage dynamique Exercice 3.5.3 : scénario de découpage en sous-réseaux 2
Copyright sur l’intégralité du contenu © 1992 – 2007 Cisco Systems, Inc. Tous droits réservés.
Ce document contient des informations publiques Cisco. Page 8 sur 8
___________________________________________________________________________________
Le routeur Branch1 a besoin d’une route statique pour le trafic destiné à Branch2. Le reste du trafic
doit être transféré au routeur West via une route statique par défaut. Quelles commandes permettent
d’effectuer cette opération ?
___________________________________________________________________________________
___________________________________________________________________________________
Le routeur Branch2 a besoin d’une route statique pour le trafic destiné à Branch1. Le reste du trafic
doit être transféré au routeur West via une route statique par défaut. Quelles commandes permettent
d’effectuer cette opération ?
___________________________________________________________________________________
___________________________________________________________________________________
Le routeur Branch3 a besoin d’une route statique pour le trafic destiné à Branch4. Le reste du trafic doit
être transféré au routeur East via une route statique par défaut. Quelles commandes permettent
d’effectuer cette opération ?
___________________________________________________________________________________
___________________________________________________________________________________
Le routeur Branch4 a besoin d’une route statique pour le trafic destiné à Branch3. Le reste du trafic doit
être transféré au routeur East via une route statique par défaut. Quelles commandes permettent
d’effectuer cette opération ?
___________________________________________________________________________________
___________________________________________________________________________________
Copyright sur l’intégralité du contenu © 1992 – 2007 Cisco Systems, Inc. Tous droits réservés.
Ce document contient des informations publiques Cisco. Page 1 sur 3
Travaux pratiques 3.5.4 : scénario de découpage en sous-réseaux 3
Diagramme de topologie
Table d’adressage
Périphérique Interface Adresse IP Masque de sous-réseau Passerelle par défaut
HQ
Fa0/0 s/o
S0/0/0 s/o
S0/0/1 s/o
BRANCH1
Fa0/0 s/o
Fa0/1 s/o
S0/0/0 s/o
S0/0/1 s/o
BRANCH2
Fa0/0 s/o
Fa0/1 s/o
S0/0/0 s/o
S0/0/1 s/o
PC1 Carte réseau
PC2 Carte réseau
PC3 Carte réseau
PC4 Carte réseau
PC5 Carte réseau
CCNA Exploration
Protocoles et concepts de routage :
Présentation des protocoles de routage dynamique Exercice 3.5.4 : scénario de découpage en sous-réseaux 3
Copyright sur l’intégralité du contenu © 1992 – 2007 Cisco Systems, Inc. Tous droits réservés.
Ce document contient des informations publiques Cisco. Page 2 sur 3
Objectifs pédagogiques
À l’issue de ces travaux pratiques, vous serez en mesure d’effectuer les tâches suivantes :
 Déterminer le nombre de sous-réseaux nécessaires
 Déterminer le nombre d’hôtes nécessaires
 Concevoir un système d’adressage adapté
 Imaginer une solution possible
Scénario
Dans ces travaux pratiques, les adresses réseau 192.168.1.0/24 vous sont attribuées : elles vous
permettent de créer des sous-réseaux et de fournir l’adressage IP du réseau présenté dans le
diagramme de topologie. Le réseau présente les exigences d’adressage suivantes :
 Le réseau local 1 de BRANCH1 a besoin de 15 adresses IP hôte.
 Le réseau local 2 de BRANCH1 a besoin de 15 adresses IP hôte.
 Le réseau local 1 de BRANCH2 a besoin de 15 adresses IP hôte.
 Le réseau local 2 de BRANCH2 a besoin de 15 adresses IP hôte.
 Le réseau local HQ a besoin de 30 adresses IP hôte.
 La liaison entre HQ et BRANCH1 nécessite une adresse IP à chaque extrémité.
 La liaison entre HQ et BRANCH2 nécessite une adresse IP à chaque extrémité.
 La liaison entre HQ et BRANCH3 nécessite une adresse IP à chaque extrémité.
(Remarque : n’oubliez pas que les interfaces des périphériques réseau sont également des
adresses IP hôte et figurent dans les exigences d’adressage ci-dessus).
Tâche 1 : examen de la configuration réseau nécessaire
Examinez la configuration nécessaire et répondez aux questions ci-dessous. N’oubliez pas que des
adresses IP sont nécessaires pour chaque interface de réseau local.
Quel est le nombre de sous-réseaux nécessaires ? __________
Quel est le nombre maximal d’adresses IP nécessaires par sous-réseau ? __________
Quel est le nombre d’adresses IP nécessaires pour chaque réseau local de Branch ? __________
Quel est le nombre total d’adresses IP nécessaires ? __________
Tâche 2 : conception d’un système d’adressage IP
Divisez le réseau 192.168.1.0/24 dans le nombre de sous-réseaux approprié.
Est-il possible de diviser le réseau 192.168.1.0/24 en sous-réseaux pour répondre aux exigences
de configuration du réseau ? __________
Si l’exigence sur le « nombre de sous-réseaux » est satisfaite, quel est le nombre maximal d’hôtes
par sous-réseau ? __________
Si l’exigence sur « nombre de sous-réseaux » est satisfaite, quel est le nombre de sous-réseaux
utilisables ? __________
CCNA Exploration
Protocoles et concepts de routage :
Présentation des protocoles de routage dynamique Exercice 3.5.4 : scénario de découpage en sous-réseaux 3
Copyright sur l’intégralité du contenu © 1992 – 2007 Cisco Systems, Inc. Tous droits réservés.
Ce document contient des informations publiques Cisco. Page 3 sur 3
Tâche 3 : remarques générales
L’espace d’adressage du réseau est insuffisant pour mettre en place un modèle d’adressage.
Réfléchissez à ce problème et proposez une solution. L’augmentation de la taille de votre espace
d’adressage d’origine n’est pas une solution acceptable. (Indice : nous traiterons des solutions
à ce problème au chapitre 6).
______________________________________________________________________
______________________________________________________________________
______________________________________________________________________
Essayez de mettre votre solution en pratique. L’implémentation réussie d’une solution implique que :
 Seul l’espace d’adressage 192.168.1.0/24 est utilisé.
 Les PC et les routeurs peuvent envoyer des tests ping à toutes les adresses IP.
3.6.1 : exercice d’intégration des compétences Packet Tracer
Diagramme de topologie
Copyright sur l'intégralité du contenu © 1992–2007 Cisco Systems, Inc. Tous droits réservés.
Ce document contient des informations publiques Cisco. Page 1 sur 4
CCNA Exploration
Protocoles et concepts de routage :
Présentation des protocoles de routage dynamique 3.6.1 : exercice d’intégration des compétences Packet Tracer
Table d’adressage
Périphérique Interface Adresse IP Masque de sous-réseau
Fa0/0
Fa0/1
S0/0/0 10.0.0.1 255.255.255.252
S0/0/1 10.0.0.5 255.255.255.252
S0/1/0 10.0.0.9 255.255.255.252
HQ
S0/1/1 209.165.201.2 255.255.255.252
Fa0/0
Fa0/1
Fa1/0
Fa1/1
B1
S0/0/0 10.0.0.2 255.255.255.252
Fa0/0
Fa0/1
Fa1/0
Fa1/1
B2
S0/0/0 10.0.0.6 255.255.255.252
Fa0/0
Fa0/1
Fa1/0
Fa1/1
B3
S0/0/0 10.0.0.10 255.255.255.252
S0/0/0 209.165.201.1 255.255.255.252
ISP
Fa0/0 209.165.200.225 255.255.255.252
Web Server Carte réseau 209.165.200.226 255.255.255.252
Objectifs
• Concevoir et documenter un schéma d’adressage en fonction de conditions requises
• Sélectionner le matériel approprié et câbler les périphériques
• Appliquer une configuration de base aux périphériques
• Configurer le routage statique et par défaut
• Vérifier la connectivité entre tous les périphériques de la topologie
Copyright sur l'intégralité du contenu © 1992–2007 Cisco Systems, Inc. Tous droits réservés.
Ce document contient des informations publiques Cisco. Page 2 sur 4
CCNA Exploration
Protocoles et concepts de routage :
Présentation des protocoles de routage dynamique 3.6.1 : exercice d’intégration des compétences Packet Tracer
Tâche 1 : conception et documentation d’un schéma d’adressage
Étape 1 : conception d’un schéma d’adressage
D’après les spécifications réseau indiquées dans la topologie, concevez un schéma d’adressage approprié.
• Les routeurs HQ, B1, B2 et B3 ont chacun un espace d’adressage. Subdivisez l’espace d’adressage
en fonction des spécifications de l’hôte.
• Pour chaque espace d’adressage, affectez le sous-réseau 0 au réseau local Fa0/0, le sous-réseau 1
au réseau local Fa0/1, et ainsi de suite.
Étape 2 : documentation du schéma d’adressage
• Documentez les adresses IP et les masques de sous-réseau à l’aide du tableau fourni dans les
instructions papier. Affectez la première adresse IP à l’interface du routeur.
• Pour les liaisons WAN, affectez la première adresse IP à HQ.
Tâche 2 : sélection du matériel et câblage des périphériques
Étape 1 : sélection du matériel nécessaire
Sélectionnez les périphériques restants dont vous aurez besoin et ajoutez-les à l’espace de travail de
Packet Tracer. Utilisez les étiquettes d’interface pour savoir où placer les périphériques.
Étape 2 : fin du câblage des périphériques
Câblez les réseaux en fonction de la topologie et veillez à ce que les interfaces correspondent à la topologie
et à ce que vous avez documenté à la tâche 1. HQ est l’équipement de communication de données (DCE)
de B1, B2 et B3. ISP est l’équipement de communication de données (DCE) pour la liaison à HQ.
Tâche 3 : application d’une configuration de base
À l’aide de votre documentation, procédez à la configuration de base des routeurs, y compris l’adressage.
Utilisez cisco comme mot de passe de ligne et class comme mot de passe secret. Utilisez la fréquence
d’horloge 64 000.
Tâche 4 : configuration du routage statique et par défaut
Configurez le routage statique et par défaut à l’aide de l’argument d’interface de sortie.
• HQ doit avoir trois routes statiques et une route par défaut.
• B1, B2 et B3 doivent avoir une route par défaut.
• ISP doit avoir sept routes statiques. Ceci comprenant les trois liaisons WAN entre HQ et les routeurs
des branches B1, B2 et B3.
Copyright sur l'intégralité du contenu © 1992–2007 Cisco Systems, Inc. Tous droits réservés.
Ce document contient des informations publiques Cisco. Page 3 sur 4
CCNA Exploration
Protocoles et concepts de routage :
Présentation des protocoles de routage dynamique 3.6.1 : exercice d’intégration des compétences Packet Tracer
Copyright sur l'intégralité du contenu © 1992–2007 Cisco Systems, Inc. Tous droits réservés.
Ce document contient des informations publiques Cisco. Page 4 sur 4
Tâche 5 : test de la connectivité et examen de la configuration
Étape 1 : test de la connectivité
La connectivité de bout en bout doit maintenant être établie. Utilisez une requête ping pour tester la
connectivité sur le réseau. Chaque routeur doit pouvoir envoyer une requête ping à toutes les autres
interfaces de routeur et au serveur Web.
Utilisez la commande ping étendue pour tester la connectivité du réseau local avec le serveur Web. Ainsi,
pour tester l'interface Fa0/0 sur B1, procédez comme suit :
B1#ping
Protocol [ip]:
Target IP address: 209.165.200.226
Repeat count [5]:
Datagram size [100]:
Timeout in seconds [2]:
Extended commands [n]: yes
Source address or interface: 192.168.1.1
Type of service [0]:
Set DF bit in IP header? [no]:
Validate reply data? [no]:
Data pattern [0xABCD]:
Loose, Strict, Record, Timestamp, Verbose[none]:
Sweep range of sizes [n]:
Type escape sequence to abort.
Sending 5, 100-byte ICMP Echos to 209 165 200 226, timeout is 2 seconds:
Packet sent with a source address of 192.168.1.1
!!!!!
Success rate is 100 percent (5/5), round-trip min/avg/max = 67/118/138 ms
Corrigez les éventuels problèmes jusqu’à ce que les requêtes ping fonctionnent.
Étape 2 : examen de la configuration
Utilisez les commandes de vérification pour vérifier que vos configurations sont complètes.
Travaux pratiques 4.6.1 : interprétation de la table de routage
Table d’adressage
Périphérique Interface Adresse IP Masque de sous-réseau
HQ
BRANCH1
BRANCH2
Objectifs pédagogiques
À l’issue de ces travaux pratiques, vous serez en mesure d’effectuer les tâches suivantes :
• Interpréter les résultats indiqués par les routeurs
• Identifier les adresses IP de chaque routeur
• Dessiner un diagramme de topologie d’un réseau
• Câbler et configurer un réseau à partir du diagramme de topologie
• Tester et vérifier la connectivité complète
• Réfléchir à l’implémentation du réseau et fournir la documentation associée
Scénario
Dans ces travaux pratiques, vous devez recréer un réseau uniquement à partir des informations fournies
par la commande show ip route. Associez les adresses aux interfaces correspondantes et saisissez
les informations dans la table d'adressage ci-dessus. Configurez le routeur et vérifiez que la connectivité
est correcte. Lorsque vous avez terminé ces opérations, les résultats de la commande show ip route
doivent correspondre exactement aux données fournies. La commande show ip route affiche l'état
actuel de la table de routage.
Copyright sur l’intégralité du contenu © 1992 – 2007 Cisco Systems, Inc. Tous droits réservés.
Ce document contient des informations publiques Cisco. Page 1 sur 6
CCNA Exploration
Protocoles et concepts de routage :
Protocoles de routage à vecteur de distance Travaux pratiques 4.6.1 : interprétation de la table de routage
Tâche 1 : examen des résultats des routeurs
Étape 1 : examen des données du routeur HQ
HQ#show ip route
Codes: C - connected, S - static, I - IGRP, R - RIP, M - mobile, B – BGP
D - EIGRP, EX - EIGRP external, O - OSPF, IA - OSPF inter area
N1 - OSPF NSSA external type 1, N2 - OSPF NSSA external type 2
E1 - OSPF external type 1, E2 - OSPF external type 2, E – EGP
i - IS-IS, L1 - IS-IS level-1, L2 - IS-IS level-2, ia - IS-IS inter area
* - candidate default, U - per-user static route, o – ODR
P - periodic downloaded static route
Gateway of last resort is not set
10.0.0.0/30 is subnetted, 1 subnets
C 10.10.10.252 is directly connected, Serial0/0/0
172.16.0.0/30 is subnetted, 1 subnets
C 172.16.100.0 is directly connected, Serial0/0/1
R 192.168.1.0/24 [120/1] via 10.10.10.254, 00:00:03, Serial0/0/0
R 192.168.2.0/24 [120/1] via 10.10.10.254, 00:00:03, Serial0/0/0
R 192.168.3.0/24 [120/1] via 10.10.10.254, 00:00:03, Serial0/0/0
C 192.168.4.0/24 is directly connected, Loopback0
C 192.168.5.0/24 is directly connected, Loopback1
C 192.168.6.0/24 is directly connected, Loopback2
R 192.168.7.0/24 [120/1] via 172.16.100.2, 00:00:04, Serial0/0/1
R 192.168.8.0/24 [120/1] via 172.16.100.2, 00:00:04, Serial0/0/1
R 192.168.9.0/24 [120/1] via 172.16.100.2, 00:00:04, Serial0/0/1
Étape 2 : examen des données du routeur BRANCH1
BRANCH1#show ip route
Codes: C - connected, S - static, I - IGRP, R - RIP, M - mobile, B – BGP
D - EIGRP, EX - EIGRP external, O - OSPF, IA - OSPF inter area
N1 - OSPF NSSA external type 1, N2 - OSPF NSSA external type 2
E1 - OSPF external type 1, E2 - OSPF external type 2, E – EGP
i - IS-IS, L1 - IS-IS level-1, L2 - IS-IS level-2, ia - IS-IS inter area
* - candidate default, U - per-user static route, o – ODR
P - periodic downloaded static route
Gateway of last resort is not set
10.0.0.0/30 is subnetted, 1 subnets
C 10.10.10.252 is directly connected, Serial0/0/0
R 172.16.0.0/16 [120/1] via 10.10.10.253, 00:00:04, Serial0/0/0
C 192.168.1.0/24 is directly connected, Loopback0
C 192.168.2.0/24 is directly connected, Loopback1
C 192.168.3.0/24 is directly connected, Loopback2
R 192.168.4.0/24 [120/1] via 10.10.10.253, 00:00:04, Serial0/0/0
R 192.168.5.0/24 [120/1] via 10.10.10.253, 00:00:04, Serial0/0/0
Copyright sur l’intégralité du contenu © 1992 – 2007 Cisco Systems, Inc. Tous droits réservés.
Ce document contient des informations publiques Cisco. Page 2 sur 6
CCNA Exploration
Protocoles et concepts de routage :
Protocoles de routage à vecteur de distance Travaux pratiques 4.6.1 : interprétation de la table de routage
R 192.168.6.0/24 [120/1] via 10.10.10.253, 00:00:04, Serial0/0/0
R 192.168.7.0/24 [120/2] via 10.10.10.253, 00:00:04, Serial0/0/0
R 192.168.8.0/24 [120/2] via 10.10.10.253, 00:00:04, Serial0/0/0
R 192.168.9.0/24 [120/2] via 10.10.10.253, 00:00:04, Serial0/0/0
Étape 3 : examen des données du routeur BRANCH2
BRANCH2#show ip route
Codes: C - connected, S - static, I - IGRP, R - RIP, M - mobile, B – BGP
D - EIGRP, EX - EIGRP external, O - OSPF, IA - OSPF inter area
N1 - OSPF NSSA external type 1, N2 - OSPF NSSA external type 2
E1 - OSPF external type 1, E2 - OSPF external type 2, E – EGP
i - IS-IS, L1 - IS-IS level-1, L2 - IS-IS level-2, ia - IS-IS inter area
* - candidate default, U - per-user static route, o – ODR
P - periodic downloaded static route
Gateway of last resort is not set
R 10.0.0.0/8 [120/1] via 172.16.100.1, 00:00:19, Serial0/0/1
172.16.0.0/30 is subnetted, 1 subnets
C 172.16.100.0 is directly connected, Serial0/0/1
R 192.168.1.0/24 [120/2] via 172.16.100.1, 00:00:19, Serial0/0/1
R 192.168.2.0/24 [120/2] via 172.16.100.1, 00:00:19, Serial0/0/1
R 192.168.3.0/24 [120/2] via 172.16.100.1, 00:00:19, Serial0/0/1
R 192.168.4.0/24 [120/1] via 172.16.100.1, 00:00:19, Serial0/0/1
R 192.168.5.0/24 [120/1] via 172.16.100.1, 00:00:19, Serial0/0/1
R 192.168.6.0/24 [120/1] via 172.16.100.1, 00:00:19, Serial0/0/1
C 192.168.7.0/24 is directly connected, Loopback0
C 192.168.8.0/24 is directly connected, Loopback1
C 192.168.9.0/24 is directly connected, Loopback2
Copyright sur l’intégralité du contenu © 1992 – 2007 Cisco Systems, Inc. Tous droits réservés.
Ce document contient des informations publiques Cisco. Page 3 sur 6
CCNA Exploration
Protocoles et concepts de routage :
Protocoles de routage à vecteur de distance Travaux pratiques 4.6.1 : interprétation de la table de routage
Tâche 2 : création d’un diagramme du réseau en fonction des résultats des routeurs
Étape 1 : dessin du diagramme du réseau en fonction de votre interprétation des résultats fournis
par les routeurs
Diagramme de topologie
Copyright sur l’intégralité du contenu © 1992 – 2007 Cisco Systems, Inc. Tous droits réservés.
Ce document contient des informations publiques Cisco. Page 4 sur 6
CCNA Exploration
Protocoles et concepts de routage :
Protocoles de routage à vecteur de distance Travaux pratiques 4.6.1 : interprétation de la table de routage
Étape 2 : inscription des adresses d’interface dans la table d’adressage
Tâche 3 : création du réseau
Étape 1 : installation d’un réseau similaire à celui du diagramme de topologie
Vous pouvez utiliser n’importe quel routeur existant au cours de vos travaux pratiques, pourvu qu'il soit
équipé des interfaces indiquées dans la topologie.
Remarque : si vous utilisez les routeurs 1700, 2500 ou 2600, les sorties des routeurs et les descriptions
des interfaces apparaîtront différemment.
Étape 2 : suppression de toute configuration existante sur les routeurs
Étape 3 : configuration des routeurs HQ, BRANCH1 et BRANCH2
Configurez les interfaces sur les routeurs HQ, BRANCH1 et BRANCH2 à l'aide des adresses IP de la table
d'adressage. Choisissez la fréquence d'horloge et les affectations ETTD et ETCD des interfaces série.
Tâche 4 : configuration du protocole de routage de chaque routeur
Étape 1 : activation du protocole de routage RIP sur le routeur BRANCH1
Le protocole de routage RIP sert à annoncer les réseaux directement connectés aux autres routeurs de
la topologie. La configuration RIP est traitée plus en détail dans d'autres travaux pratiques. Les étapes
de la configuration de base nécessaires aux travaux pratiques sont indiquées ci-dessous.
Pour activer le protocole RIP, passez en mode de configuration et utilisez la commande router rip.
BRANCH1(config)#router rip
BRANCH1(config-router)#
Étape 2 : saisie des adresses réseau par classe de chaque réseau directement connecté
Lorsque vous êtes en mode de configuration du routeur, entrez les adresses réseau par classe de chaque
réseau directement connecté à l'aide de la commande network. Vous trouverez ci-dessous un exemple
d'utilisation de cette commande.
BRANCH1(config-router)#network 192.168.1.0
BRANCH1(config-router)#
Assurez-vous de bien configurer une instruction network par réseau attaché à l'interface série ou
de bouclage du routeur.
Lorsque vous avez terminé la configuration RIP, repassez en mode privilégié et enregistrez la configuration
en cours en mémoire NVRAM.
BRANCH1(config-router)#end
%SYS-5-CONFIG_I: Configured from console by console
BRANCH1#copy run start
Copyright sur l’intégralité du contenu © 1992 – 2007 Cisco Systems, Inc. Tous droits réservés.
Ce document contient des informations publiques Cisco. Page 5 sur 6
CCNA Exploration
Protocoles et concepts de routage :
Protocoles de routage à vecteur de distance Travaux pratiques 4.6.1 : interprétation de la table de routage
Copyright sur l’intégralité du contenu © 1992 – 2007 Cisco Systems, Inc. Tous droits réservés.
Ce document contient des informations publiques Cisco. Page 6 sur 6
Étape 3 : configuration du protocole RIP sur les routeurs HQ et BRANCH2
Utilisez les commandes router rip et network pour configurer les routeurs HQ et BRANCH2 afin qu'ils
annoncent les réseaux directement connectés aux autres routeurs de la topologie.
Lorsque vous avez terminé la configuration RIP, repassez en mode privilégié et enregistrez la configuration
en cours en mémoire NVRAM.
Étape 4 : test et vérification de la connectivité
Utilisez la commande ping pour vérifier que les interfaces du routeur peuvent communiquer entre elles.
Si vous constatez que deux interfaces ne peuvent pas s'envoyer de paquets ping, corrigez l'adressage IP
et la configuration du routeur.
Tâche 5 : documentation des configurations des routeurs
Sur chaque routeur, capturez les informations de commande suivantes dans un fichier texte et enregistrez-les
pour pouvoir les examiner ultérieurement :
• Running configurationConfiguration en cours.
• Table de routage – Les données des routeurs affichées par la commande show ip route doivent être
identiques à celles qui vous ont été fournies.
• Résumé de l’interface.
Tâche 6 : remise en état
Effacez les configurations et rechargez les routeurs. Débranchez les câbles et stockez-les. Pour les PC hôtes
normalement connectés à d’autres réseaux (comme le réseau local du centre de formation ou Internet),
remettez en place les câblages adaptés et restaurez les paramètres TCP/IP.
4.7.1 : exercice d’intégration des compétences Packet Tracer
Diagramme de topologie
Copyright sur l'intégralité du contenu © 1992–2007 Cisco Systems, Inc. Tous droits réservés.
Ce document contient des informations publiques Cisco. Page 1 sur 5
CCNA Exploration
Protocoles et concepts de routage :
Protocoles de routage à vecteur de distance 4.7.1 : exercice d’intégration des compétences Packet Tracer
Table d’adressage
Périphérique Interface Adresse IP Masque de sous-réseau
S0/0
S0/1
S0/2
S0/3
R1
S1/0 209.165.201.2 255.255.255.252
Fa0/0
Fa0/1
Fa1/0
Fa1/1
B1
S0/0
Fa0/0
Fa0/1
Fa1/0
Fa1/1
B2
S0/0
Fa0/0
Fa0/1
Fa1/0
Fa1/1
B3
S0/0
Fa0/0
Fa0/1
Fa1/0
Fa1/1
B4
S0/0
S0/0 209.165.201.1 255.255.255.252
ISP
Fa0/0 209.165.200.225 255.255.255.252
Web Server Carte réseau 209.165.200.226 255.255.255.252
Copyright sur l'intégralité du contenu © 1992–2007 Cisco Systems, Inc. Tous droits réservés.
Ce document contient des informations publiques Cisco. Page 2 sur 5
CCNA Exploration
Protocoles et concepts de routage :
Protocoles de routage à vecteur de distance 4.7.1 : exercice d’intégration des compétences Packet Tracer
Objectifs
• Concevoir et documenter un schéma d’adressage en fonction de conditions requises
• Sélectionner le matériel approprié et câbler les périphériques
• Appliquer une configuration de base aux périphériques
• Configurer le routage statique et par défaut
• Vérifier la connectivité entre tous les périphériques de la topologie
Tâche 1 : conception et documentation d’un schéma d’adressage
Étape 1 : conception d’un schéma d’adressage
À l’aide de la topologie et des spécifications suivantes, concevez un schéma d'adressage :
• La liaison WAN entre R1 et ISP est déjà configurée.
• Pour les liaisons WAN entre R1 et les routeurs des branches B1, B2 et B3, subdivisez l’espace
d’adressage 10.0.1.0/28 pour fournir les sous-réseaux WAN nécessaires. Procédez comme suit
pour l’affectation des sous-réseaux :
• Sous-réseau 0 : R1 <--> B1 ________________________
• Sous-réseau 1 : R1 <--> B2 ________________________
• Sous-réseau 2 : R1 <--> B3 ________________________
• Sous-réseau 3 : R1 <--> B4 ________________________
• Pour les réseaux locaux connectés aux routeurs des branches, divisez l'espace d'adressage
10.1.0.0/16 en quatre sous-réseaux égaux. Procédez comme suit pour l’affectation des
sous-réseaux :
• Sous-réseau 0 : Réseaux locaux B1 ________________________
• Sous-réseau 1 : Réseaux locaux B2 ________________________
• Sous-réseau 2 : Réseaux locaux B3 ________________________
• Sous-réseau 3 : Réseaux locaux B4 ________________________
• Pour chaque routeur de branche, divisez le sous-réseau local du routeur en quatre sous-réseaux
égaux. Procédez comme suit pour l’affectation des sous-réseaux :
• Réseaux locaux B1
• Sous-réseau 0 : Fa0/0 B1 ________________________
• Sous-réseau 1 : Fa0/1 B1 ________________________
• Sous-réseau 2 : Fa1/0 B1 ________________________
• Sous-réseau 3 : Fa1/1 B1 ________________________
• Réseaux locaux B2
Sous-réseau 0 : Fa0/0 B2 ________________________
Sous-réseau 1 : Fa0/1 B2 ________________________
Sous-réseau 2 : Fa1/0 B2 ________________________
Sous-réseau 3 : Fa1/1 B2 ________________________
• Réseaux locaux B3
Sous-réseau 0 : Fa0/0 B3 ________________________
Sous-réseau 1 : Fa0/1 B3 ________________________
Sous-réseau 2 : Fa1/0 B3 ________________________
Sous-réseau 3 : Fa1/1 B3 ________________________
Copyright sur l'intégralité du contenu © 1992–2007 Cisco Systems, Inc. Tous droits réservés.
Ce document contient des informations publiques Cisco. Page 3 sur 5
CCNA Exploration
Protocoles et concepts de routage :
Protocoles de routage à vecteur de distance 4.7.1 : exercice d’intégration des compétences Packet Tracer
• Réseaux locaux B4
Sous-réseau 0 : Fa0/0 B4 ________________________
Sous-réseau 1 : Fa0/1 B4 ________________________
Sous-réseau 2 : Fa1/0 B4 ________________________
Sous-réseau 3 : Fa1/1 B4 ________________________
Étape 2 : documentation du schéma d’adressage
• Dans la topologie, étiquetez chaque sous-réseau dans les espaces libres disponibles.
• Documentez les adresses IP et les masques de sous-réseau à l’aide du tableau fourni dans
les instructions papier. Affectez la première adresse IP à l’interface du routeur.
• Pour les liaisons WAN, affectez la première adresse IP à R1.
Tâche 2 : sélection du matériel et câblage des périphériques
Étape 1 : sélection du matériel nécessaire
• Pour ajouter les routeurs des branches, utilisez l’option « Custom Made Devices » et choisissez
le routeur 2621XM. Ce routeur dispose de quatre interfaces série et quatre interfaces Fast Ethernet
configurées de manière appropriée pour s’assurer que la fonctionnalité « Check Results » fonctionne
correctement pour cet exercice.
• Chaque routeur utilise quatre commutateurs. Les commutateurs ne font pas partie de la fonctionnalité
« Check Results », dès lors n’importe quel commutateur répondra aux conditions d’une liaison LAN
avec le routeur de la branche. Organisez les commutateurs autour de chaque routeur comme indiqué
dans la topologie.
Étape 2 : câblage des périphériques
Câblez les réseaux en respectant la topologie et veillez à ce que les interfaces correspondent à la topologie
et à ce que vous avez documenté à la tâche 1. R1 est l’équipement de communication de données (DCE)
pour B1, B2, B3 et B4. ISP est l’équipement de communication de données (DCE) pour la liaison à R1.
Tâche 3 : application d’une configuration de base
À l’aide de votre documentation, procédez à la configuration de base des routeurs, y compris l’adressage.
Utilisez cisco comme mot de passe de ligne et class comme mot de passe secret. Utilisez la fréquence
d’horloge 64 000.
Tâche 4 : configuration du routage statique et par défaut
Configurez le routage statique et par défaut à l’aide de l’argument d’interface de sortie.
• R1 doit avoir quatre routes statiques et une route par défaut.
• B1, B2, B3 et B4 doivent avoir une route par défaut chacun.
• ISP doit avoir deux routes statiques : une pour l’espace d’adressage WAN et une pour l’espace
d’adressage LAN.
Copyright sur l'intégralité du contenu © 1992–2007 Cisco Systems, Inc. Tous droits réservés.
Ce document contient des informations publiques Cisco. Page 4 sur 5
CCNA Exploration
Protocoles et concepts de routage :
Protocoles de routage à vecteur de distance 4.7.1 : exercice d’intégration des compétences Packet Tracer
Copyright sur l'intégralité du contenu © 1992–2007 Cisco Systems, Inc. Tous droits réservés.
Ce document contient des informations publiques Cisco. Page 5 sur 5
Tâche 5 : test de la connectivité et examen de la configuration
Étape 1 : test de la connectivité
• La connectivité de bout en bout doit maintenant être établie. Utilisez une requête ping pour tester la
connectivité sur le réseau. Chaque routeur doit pouvoir envoyer une requête ping à toutes les autres
interfaces de routeur et au serveur Web.
• Utilisez la commande ping étendue pour tester la connectivité du réseau local avec le serveur Web.
Ainsi, pour tester l'interface Fa0/0 sur B1, procédez comme suit :
B1#ping
Protocol [ip]:
Target IP address: 209.165.200.226
Repeat count [5]:
Datagram size [100]:
Timeout in seconds [2]:
Extended commands [n]: yes
Source address or interface: 10.1.0.1
Type of service [0]:
Set DF bit in IP header? [no]:
Validate reply data? [no]:
Data pattern [0xABCD]:
Loose, Strict, Record, Timestamp, Verbose[none]:
Sweep range of sizes [n]:
Type escape sequence to abort.
Sending 5, 100-byte ICMP Echos to 209 165 200 226, timeout is 2 seconds:
Packet sent with a source address of 10.1.0.1
!!!!!
Success rate is 100 percent (5/5), round-trip min/avg/max = 67/118/138 ms
• Corrigez les éventuels problèmes jusqu’à ce que les requêtes ping fonctionnent.
Étape 2 : examen de la configuration
Utilisez les commandes de vérification pour vérifier que vos configurations sont complètes.
Copyright sur l’intégralité du contenu © 1992 – 2007 Cisco Systems, Inc. Tous droits réservés.
Ce document contient des informations publiques Cisco. Page 1 sur 16
Travaux pratiques 5.6.1 : configuration RIP de base
Diagramme de topologie
Objectifs pédagogiques
À l’issue de ces travaux pratiques, vous serez en mesure d’effectuer les tâches suivantes :
 Câbler un réseau conformément au diagramme de topologie
 Effacer la configuration de démarrage et recharger un routeur dans son état par défaut
 Exécuter des tâches de configuration de base sur un routeur
 Configurer et activer les interfaces
 Configurer le routage RIP sur tous les routeurs
 Vérifier le routage RIP à l’aide des commandes show et debug
 Reconfigurer le réseau pour le rendre contigu
 Observer le récapitulatif automatique sur un routeur de frontière
 Collecter des informations sur la procédure RIP à l’aide de la commande debug ip rip
 Configurer une route statique par défaut
 Propager des routes par défaut vers des voisins RIP
 Documenter la configuration du protocole RIP
CCNA Exploration
Protocoles et concepts de routage : protocole RIP version 1 Travaux pratiques 5.6.1 : configuration RIP de base
Copyright sur l’intégralité du contenu © 1992 – 2007 Cisco Systems, Inc. Tous droits réservés.
Ce document contient des informations publiques Cisco. Page 2 sur 16
Scénarios
Scénario A : exécution du protocole RIPv1 sur des réseaux par classe
 Scénario B : exécution du protocole RIPv1 avec des sous-réseaux et entre des réseaux par classe
 Scénario C : exécution du protocole RIPv1 sur un réseau d'extrémité
Scénario A : exécution du protocole RIPv1 sur des réseaux par classe
Diagramme de topologie
Table d’adressage
Périphérique Interface Adresse IP Masque de sous-réseau Passerelle par défaut
R1
Fa0/0 192.168.1.1 255.255.255.0 s/o
S0/0/0 192.168.2.1 255.255.255.0 s/o
R2
Fa0/0 192.168.3.1 255.255.255.0 s/o
S0/0/0 192.168.2.2 255.255.255.0 s/o
S0/0/1 192.168.4.2 255.255.255.0 s/o
R3
Fa0/0 192.168.5.1 255.255.255.0 s/o
S0/0/1 192.168.4.1 255.255.255.0 s/o
PC1 Carte réseau 192.168.1.10 255.255.255.0 192.168.1.1
PC2 Carte réseau 192.168.3.10 255.255.255.0 192.168.3.1
PC3 Carte réseau 192.168.5.10 255.255.255.0 192.168.5.1
CCNA Exploration
Protocoles et concepts de routage : protocole RIP version 1 Travaux pratiques 5.6.1 : configuration RIP de base
Copyright sur l’intégralité du contenu © 1992 – 2007 Cisco Systems, Inc. Tous droits réservés.
Ce document contient des informations publiques Cisco. Page 3 sur 16
Tâche 1 : préparation du réseau
Étape 1 : installation d’un réseau similaire à celui du diagramme de topologie
Vous pouvez utiliser n’importe quel routeur existant au cours de vos travaux pratiques, pourvu qu'il soit
équipé des interfaces indiquées dans la topologie.
Remarque : si vous utilisez les routeurs 1700, 2500 ou 2600, les sorties des routeurs et les descriptions
des interfaces apparaîtront différemment.
Étape 2 : suppression de toute configuration existante sur les routeurs
Tâche 2 : exécution des configurations de base des routeurs
Exécutez la configuration de base des routeurs R1, R2 et R3 en suivant les directives suivantes :
1. Configurez le nom d’hôte du routeur.
2. Désactivez la recherche DNS.
3. Configurez un mot de passe pour le mode EXEC.
4. Configurez une bannière du message du jour.
5. Configurez un mot de passe pour les connexions console.
6. Configurez un mot de passe pour les connexions VTY.
Tâche 3 : configuration et activation des adresses de série et Ethernet
Étape 1 : configuration des interfaces sur R1, R2 et R3
Configurez les interfaces sur les routeurs R1, R2 et R3 à l’aide des adresses IP de la table sous
le diagramme de topologie.
Étape 2 : vérification de l’adressage IP et des interfaces
Utilisez la commande show ip interface brief pour vérifier que l’adressage IP est correct
et que les interfaces sont actives.
Lorsque vous avez terminé, n’oubliez pas d’enregistrer la configuration en cours dans la mémoire NVRAM
du routeur.
Étape 3 : configuration des interfaces Ethernet de PC1, PC2 et PC3
Configurez les interfaces Ethernet de PC1, PC2 et PC3 à l’aide des adresses IP et des passerelles
par défaut indiquées dans le tableau sous le diagramme de la topologie.
Étape 4 : test de la configuration PC en envoyant un paquet ping à la passerelle par défaut à partir
du PC
CCNA Exploration
Protocoles et concepts de routage : protocole RIP version 1 Travaux pratiques 5.6.1 : configuration RIP de base
Copyright sur l’intégralité du contenu © 1992 – 2007 Cisco Systems, Inc. Tous droits réservés.
Ce document contient des informations publiques Cisco. Page 4 sur 16
Tâche 4 : configuration du protocole RIP
Étape 1 : activation du routage dynamique
Pour activer un protocole dynamique de routage, passez en mode de configuration globale et utilisez
la commande router.
Saisissez router ? à l’invite de configuration globale pour afficher la liste des protocoles de routage
disponibles sur le routeur.
Pour activer le protocole RIP, entrez la commande router rip en mode de configuration globale :
R1(config)#router rip
R1(config-router)#
Étape 2 : saisie des adresses réseau par classe
Lorsque vous êtes en mode de configuration du routeur, entrez les adresses réseau par classe
de chaque réseau directement connecté à l'aide de la commande network.
R1(config-router)#network 192.168.1.0
R1(config-router)#network 192.168.2.0
R1(config-router)#
La commande network :
 Active le protocole RIP sur toutes les interfaces de ce réseau. Elles envoient et reçoivent maintenant
les mises à jour RIP.
 Annonce ce réseau dans les mises à jour de routage RIP envoyées aux autres routeurs toutes les
30 secondes.
Lorsque vous avez terminé la configuration RIP, repassez en mode privilégié et enregistrez
la configuration en cours en mémoire NVRAM.
R1(config-router)#end
%SYS-5-CONFIG_I: Configured from console by console
R1#copy run start
Étape 3 : configuration du protocole RIP sur le routeur R2 à l'aide des commandes router rip
et network
R2(config)#router rip
R2(config-router)#network 192.168.2.0
R2(config-router)#network 192.168.3.0
R2(config-router)#network 192.168.4.0
R2(config-router)#end
%SYS-5-CONFIG_I: Configured from console by console
R2# copy run start
Lorsque vous avez terminé la configuration RIP, repassez en mode privilégié et enregistrez
la configuration en cours en mémoire NVRAM.
CCNA Exploration
Protocoles et concepts de routage : protocole RIP version 1 Travaux pratiques 5.6.1 : configuration RIP de base
Copyright sur l’intégralité du contenu © 1992 – 2007 Cisco Systems, Inc. Tous droits réservés.
Ce document contient des informations publiques Cisco. Page 5 sur 16
Étape 4 : configuration du protocole RIP sur le routeur R3 à l'aide des commandes router rip
et network
R3(config)#router rip
R3(config-router)#network 192.168.4.0
R3(config-router)#network 192.168.5.0
R3(config-router)#end
%SYS-5-CONFIG_I: Configured from console by console
R3# copy run start
Lorsque vous avez terminé la configuration RIP, repassez en mode privilégié et enregistrez
la configuration en cours en mémoire NVRAM.
Tâche 5 : vérification du routage RIP
Étape 1 : utilisation de la commande show ip route pour vérifier que la topologie de la table
de routage de chaque routeur contient tous les réseaux
Les routes acquises via le protocole RIP sont codées avec un R dans la table de routage. Si les tables
ne sont pas convergentes comme cela est indiqué ici, modifiez la configuration. Avez-vous vérifié si les
interfaces configurées sont actives ? Avez-vous configuré correctement le protocole RIP ? Revenez aux
tâches 3 et 4 et recommencez les opérations nécessaires pour obtenir la convergence.
R1#show ip route
Codes: C - connected, S - static, I - IGRP, R - RIP, M - mobile, B - BGP
D - EIGRP, EX - EIGRP external, O - OSPF, IA - OSPF inter area
N1 - OSPF NSSA external type 1, N2 - OSPF NSSA external type 2
E1 - OSPF external type 1, E2 - OSPF external type 2, E - EGP
i - IS-IS, L1 - IS-IS level-1, L2 - IS-IS level-2, ia - IS-IS inter area
* - candidate default, U - per-user static route, o - ODR
P - periodic downloaded static route
Gateway of last resort is not set
C 192.168.1.0/24 is directly connected, FastEthernet0/0
C 192.168.2.0/24 is directly connected, Serial0/0/0
R 192.168.3.0/24 [120/1] via 192.168.2.2, 00:00:04, Serial0/0/0
R 192.168.4.0/24 [120/1] via 192.168.2.2, 00:00:04, Serial0/0/0
R 192.168.5.0/24 [120/2] via 192.168.2.2, 00:00:04, Serial0/0/0
R1#
R2#show ip route
<Output omitted>
R 192.168.1.0/24 [120/1] via 192.168.2.1, 00:00:22, Serial0/0/0
C 192.168.2.0/24 is directly connected, Serial0/0/0
C 192.168.3.0/24 is directly connected, FastEthernet0/0
C 192.168.4.0/24 is directly connected, Serial0/0/1
R 192.168.5.0/24 [120/1] via 192.168.4.1, 00:00:23, Serial0/0/1
R2#
CCNA Exploration
Protocoles et concepts de routage : protocole RIP version 1 Travaux pratiques 5.6.1 : configuration RIP de base
Copyright sur l’intégralité du contenu © 1992 – 2007 Cisco Systems, Inc. Tous droits réservés.
Ce document contient des informations publiques Cisco. Page 6 sur 16
R3#show ip route
<Output omitted>
R 192.168.1.0/24 [120/2] via 192.168.4.2, 00:00:18, Serial0/0/1
R 192.168.2.0/24 [120/1] via 192.168.4.2, 00:00:18, Serial0/0/1
R 192.168.3.0/24 [120/1] via 192.168.4.2, 00:00:18, Serial0/0/1
C 192.168.4.0/24 is directly connected, Serial0/0/1
C 192.168.5.0/24 is directly connected, FastEthernet0/0
R3#
Étape 2 : utilisation de la commande show ip protocols pour afficher les informations relatives
au processus de routage
La commande show ip protocols affiche les informations relatives aux processus de routage qui ont
lieu sur le routeur. Ces données sont utilisables pour vérifier la plupart des paramètres RIP et confirmer
les points suivants :
 Est-ce que RIP est configuré ?
 Est-ce que les interfaces appropriées envoient et reçoivent des mises à jour RIP ?
 Est-ce que le routeur annonce les réseaux appropriés ?
 Les voisins RIP envoient des mises à jour
R1#show ip protocols
Routing Protocol is "rip"
Sending updates every 30 seconds, next due in 16 seconds
Invalid after 180 seconds, hold down 180, flushed after 240
Outgoing update filter list for all interfaces is not set
Incoming update filter list for all interfaces is not set
Redistributing: protocole RIP
Default version control: send version 1, receive any version
Interface Send Recv Triggered RIP Key-chain
FastEthernet0/0 1 2 1
Serial0/0/0 1 2 1
Automatic network summarization is in effect
Maximum path: 4
Routing for Networks:
192.168.1.0
192.168.2.0
Passive Interface(s):
Routing Information Sources:
Gateway Distance Last Update
192.168.2.2 120
Distance: (default is 120)
R1#
R1 est en fait configuré avec RIP. R1 envoie et reçoit des mises à jour RIP sur FastEthernet0/0 et
Serial0/0/0. R1 annonce les réseaux 192.168.1.0 et 192.168.2.0. R1 a une seule source d’information
de routage. R2 envoie les mises à jour à R1.
CCNA Exploration
Protocoles et concepts de routage : protocole RIP version 1 Travaux pratiques 5.6.1 : configuration RIP de base
Copyright sur l’intégralité du contenu © 1992 – 2007 Cisco Systems, Inc. Tous droits réservés.
Ce document contient des informations publiques Cisco. Page 7 sur 16
Étape 3 : utilisation de la commande debug ip rip pour afficher les messages RIP envoyé
et reçus
Les mises à jour RIP sont envoyées toutes les 30 secondes. Vous devrez donc attendre l’affichage des
informations.
R1#debug ip rip
R1#RIP: received v1 update from 192.168.2.2 on Serial0/0/0
192.168.3.0 in 1 hops
192.168.4.0 in 1 hops
192.168.5.0 in 2 hops
RIP: sending v1 update to 255.255.255.255 via FastEthernet0/0 (192.168.1.1)
RIP: build update entries
network 192.168.2.0 metric 1
network 192.168.3.0 metric 2
network 192.168.4.0 metric 2
network 192.168.5.0 metric 3
RIP: sending v1 update to 255.255.255.255 via Serial0/0/0 (192.168.2.1)
RIP: build update entries
network 192.168.1.0 metric 1
Les données de débogage indiquent que R1 reçoit une mise à jour de R2. Remarquez que cette mise
à jour contient tous les réseaux qui ne figurent pas encore de la table de routage de R1. Étant donné
que l’interface FastEthernet0/0 appartient au réseau 192.168.1.0 configuré sous RIP, R1 crée une mise
à jour pour envoyer cette interface. Elle inclut tous les réseaux connus de R1 à l’exception du réseau
de l'interface. Enfin, R1 crée une mise à jour à envoyer à R2. À cause du découpage d'horizon, seul
le réseau 192.168.1.0 est inclus dans la mise à jour de R1.
Étape 4 : arrêt des données de débogage à l’aide de la commande undebug all
R1#undebug all
Tous les débogages possibles sont inactifs.
CCNA Exploration
Protocoles et concepts de routage : protocole RIP version 1 Travaux pratiques 5.6.1 : configuration RIP de base
Copyright sur l’intégralité du contenu © 1992 – 2007 Cisco Systems, Inc. Tous droits réservés.
Ce document contient des informations publiques Cisco. Page 8 sur 16
Scénario B : exécution du protocole RIPv1 avec des sous-réseaux et entre des
réseaux par classe
Diagramme de la topologie
Table d’adressage
Périphérique Interface Adresse IP Masque de sous-réseau Passerelle par défaut
R1
Fa0/0 172.30.1.1 255.255.255.0 s/o
S0/0/0 172.30.2.1 255.255.255.0 s/o
R2
Fa0/0 172.30.3.1 255.255.255.0 s/o
S0/0/0 172.30.2.2 255.255.255.0 s/o
S0/0/1 192.168.4.9 255.255.255.252 s/o
R3
Fa0/0 192.168.5.1 255.255.255.0 s/o
S0/0/1 192.168.4.10 255.255.255.252 s/o
PC1 Carte réseau 172.30.1.10 255.255.255.0 172.30.1.1
PC2 Carte réseau 172.30.3.10 255.255.255.0 172.30.3.1
PC3 Carte réseau 192.168.5.10 255.255.255.0 192.168.5.1
CCNA Exploration
Protocoles et concepts de routage : protocole RIP version 1 Travaux pratiques 5.6.1 : configuration RIP de base
Copyright sur l’intégralité du contenu © 1992 – 2007 Cisco Systems, Inc. Tous droits réservés.
Ce document contient des informations publiques Cisco. Page 9 sur 16
Tâche 1 : modifications pour passer du scénario A au scénario B
Étape 1 : modification de l’adressage IP sur les interfaces illustré dans le diagramme de topologie
et la table d’adressage
Parfois, en changeant l’adresse IP sur une interface série, il vous faut la réinitialiser à l’aide de la
commande shutdown. Attendez ensuite le message LINK-5-CHANGED et utilisez ensuite la commande
shutdown. Cette procédure impose de démarrer le logiciel IOS en utilisant la nouvelle adresse IP.
R1(config)#int s0/0/0
R1(config-if)#ip add 172.30.2.1 255.255.255.0
R1(config-if)#shutdown
%LINK-5-CHANGED: Interface Serial0/0/0, changed state to administratively
down
%LINEPROTO-5-UPDOWN: Line protocol on Interface Serial0/0/0, changed state to
down
R1(config-if)#no shutdown
%LINK-5-CHANGED: Interface Serial0/0/0, changed state to up
R1(config-if)#
%LINEPROTO-5-UPDOWN: Line protocol on Interface Serial0/0/0, changed state to
up
Étape 2 : vérification que les routeurs sont actifs
Une fois que les interfaces des trois routeurs sont toutes reconfigurées, vérifiez que les interfaces
requises sont effectivement actives à l’aide de la commande show ip interface brief.
Étape 3 : rffacement de la configuration RIP de chaque routeur
Bien que vous puissiez effacer les anciennes commandes network à l’aide de la version no, il est plus
efficace de supprimer simplement la configuration RIP et de redémarrer. Supprimez la configuration RIP
de tous les routeurs à l’aide de la commande de configuration globale no router rip. De cette
manière, toutes les commandes de configuration RIP contenant les commandes network sont
supprimées.
R1(config)#no router rip
R2(config)#no router rip
R3(config)#no router rip
Tâche 2 : configuration du protocole RIP
Étape 1 : configuration du routage RIP sur R1 indiqué ci-dessous
R1(config)#router rip
R1(config-router)#network 172.30.0.0
Une seule instruction réseau suffit pour R1. Cette instruction comprend les deux interfaces sur différents
sous-réseaux du réseau principal 172.30.0.0.
CCNA Exploration
Protocoles et concepts de routage : protocole RIP version 1 Travaux pratiques 5.6.1 : configuration RIP de base
Copyright sur l’intégralité du contenu © 1992 – 2007 Cisco Systems, Inc. Tous droits réservés.
Ce document contient des informations publiques Cisco. Page 10 sur 16
Étape 2 : configuration de R1 pour bloquer l’émission de des mises à jour via l’interface
FastEthernet0/0
L’envoi de mises à jour à partir de cette interface consomme inutilement la bande passante et les
ressources de traitement de tous les périphériques du réseau local. De plus, l’annonce des mises à jour sur
un réseau de diffusion constitue un risque pour la sécurité. Les mises à jour RIP peuvent être interceptées
avec un logiciel d’analyse de paquets. Les mises à jour de routage peuvent être modifiées et retournées
au routeur avec des mesures fausses qui corrompent la table de routage et égarent le trafic.
La commande passive-interface fastethernet 0/0 désactive l’envoi des mises à jour RIPv1
via cette interface. Lorsque vous avez terminé la configuration RIP, repassez en mode privilégié et
enregistrez la configuration en cours en mémoire NVRAM.
R1(config-router)#passive-interface fastethernet 0/0
R1(config-router)#end
%SYS-5-CONFIG_I: Configured from console by console
R1# copy run start
Étape 2 : configuration du routage RIP sur R2 indiqué ci-dessous
R2(config)#router rip
R2(config-router)#network 172.30.0.0
R2(config-router)#network 192.168.4.0
R2(config-router)#passive-interface fastethernet 0/0
R2(config-router)#end
%SYS-5-CONFIG_I: Configured from console by console
R2# copy run start
Une fois de plus, une seule instruction réseau suffit pour les deux sous-réseaux de 172.30.0.0. Cette
instruction comprend les deux interfaces sur différents sous-réseaux du réseau principal 172.30.0.0.
Le réseau de la liaison WAN entre R2 et R3 est également configuré.
Lorsque vous avez terminé la configuration RIP, repassez en mode privilégié et enregistrez
la configuration en cours en mémoire NVRAM.
Étape 3 : configuration du routage RIP sur R3 comme indiqué ci-dessous
R3(config)#router rip
R3(config-router)#network 192.168.4.0
R3(config-router)#network 192.168.5.0
R3(config-router)#passive-interface fastethernet 0/0
R3(config-router)#end
%SYS-5-CONFIG_I: Configured from console by console
R3#copy run start
Lorsque vous avez terminé la configuration RIP, repassez en mode privilégié et enregistrez
la configuration en cours en mémoire NVRAM.
Tâche 3 : vérification du routage RIP
Étape 1 : utilisation de la commande show ip route pour vérifier que la topologie de la table
de routage de chaque routeur contient tous les réseaux
R1#show ip route
<Output omitted>
CCNA Exploration
Protocoles et concepts de routage : protocole RIP version 1 Travaux pratiques 5.6.1 : configuration RIP de base
Copyright sur l’intégralité du contenu © 1992 – 2007 Cisco Systems, Inc. Tous droits réservés.
Ce document contient des informations publiques Cisco. Page 11 sur 16
172.30.0.0/24 is subnetted, 3 subnets
C 172.30.1.0 is directly connected, FastEthernet0/0
C 172.30.2.0 is directly connected, Serial0/0/0
R 172.30.3.0 [120/1] via 172.30.2.2, 00:00:22, Serial0/0/0
R 192.168.4.0/24 [120/1] via 172.30.2.2, 00:00:22, Serial0/0/0
R 192.168.5.0/24 [120/2] via 172.30.2.2, 00:00:22, Serial0/0/0
R1#
Remarque : RIPv1 est un protocole de routage par classe. Les protocoles de routage par classe
ne transportent pas les informations de masques de sous-réseau en même temps que le réseau dans
les mises à jour. Par exemple, 172.30.1.0 est envoyé de R2 vers R1 sans informations de masques
de sous-réseau.
R2#show ip route
<Output omitted>
172.30.0.0/24 is subnetted, 3 subnets
R 172.30.1.0 [120/1] via 172.30.2.1, 00:00:04, Serial0/0/0
C 172.30.2.0 is directly connected, Serial0/0/0
C 172.30.3.0 is directly connected, FastEthernet0/0
192.168.4.0/30 is subnetted, 1 subnets
C 192.168.4.8 is directly connected, Serial0/0/1
R 192.168.5.0/24 [120/1] via 192.168.4.10, 00:00:19, Serial0/0/1
R2#
R3#show ip route
<Output omitted>
R 172.30.0.0/16 [120/1] via 192.168.4.9, 00:00:22, Serial0/0/1
192.168.4.0/30 is subnetted, 1 subnets
C 192.168.4.8 is directly connected, Serial0/0/1
C 192.168.5.0/24 is directly connected, FastEthernet0/0
Étape 2 : vérification que toutes les interfaces requises sont actives
Si une ou plusieurs tables de routage ne disposent pas de table de routage convergente, vérifiez en
premier lieu que toutes les interfaces requises sont effectivement actives. Utilisez pour cela la commande
show ip interface brief.
Vérifiez ensuite la configuration RIP à l’aide de la commande show ip protocols. Remarquez
que dans le résultat de cette commande, l’interface FastEthernet0/0 ne se trouve plus sous Interface,
mais sous une nouvelle section : Passive Interface(s).
R1#show ip protocols
Routing Protocol is "rip"
Sending updates every 30 seconds, next due in 20 seconds
Invalid after 180 seconds, hold down 180, flushed after 240
Outgoing update filter list for all interfaces is not set
Incoming update filter list for all interfaces is not set
Redistributing: protocole RIP
Default version control: send version 2, receive 2
Interface Send Recv Triggered RIP Key-chain
Serial0/1/0 2 2
CCNA Exploration
Protocoles et concepts de routage : protocole RIP version 1 Travaux pratiques 5.6.1 : configuration RIP de base
Copyright sur l’intégralité du contenu © 1992 – 2007 Cisco Systems, Inc. Tous droits réservés.
Ce document contient des informations publiques Cisco. Page 12 sur 16
Automatic network summarization is in effect
Maximum path: 4
Routing for Networks:
172.30.0.0
209.165.200.0
Passive Interface(s):
FastEthernet0/0
Routing Information Sources:
Gateway Distance Last Update
209.165.200.229 120 00:00:15
Distance: (default is 120)
Étape 3 : examen des messages envoyés et reçus
Pour consulter les messages RIP envoyés et reçus, utilisez la commande debug ip rip. Remarquez
que les mises à jour RIP ne sont pas envoyées via l’interface fa0/0 à cause de la commande passive-
interface fastethernet 0/0.
R1#debug ip rip
R1#RIP: sending v1 update to 255.255.255.255 via Serial0/0/0 (172.30.2.1)
RIP: build update entries
network 172.30.1.0 metric 1
RIP: received v1 update from 172.30.2.2 on Serial0/0/0
172.30.3.0 in 1 hops
Étape 4 : arrêt des données de débogage à l’aide de la commande undebug all
R1#undebug all
Tous les débogages possibles sont inactifs.
CCNA Exploration
Protocoles et concepts de routage : protocole RIP version 1 Travaux pratiques 5.6.1 : configuration RIP de base
Copyright sur l’intégralité du contenu © 1992 – 2007 Cisco Systems, Inc. Tous droits réservés.
Ce document contient des informations publiques Cisco. Page 13 sur 16
Scénario C : exécution du protocole RIPv1 sur un réseau d'extrémité
Diagramme de topologie
Contexte
Dans ce scénario, nous allons modifier le scénario B, afin d’exécuter le protocole RIP uniquement entre
R1 et R2. Le scénario C est une configuration type pour la majorité des sociétés qui raccordent un réseau
d’extrémité à un routeur HQ ou à un fournisseur de services Internet (FAI). En règle générale, une
société utilise un protocole de routage dynamique (ici, RIPv1) dans le réseau local, mais elle considère
ce type de protocole inutile entre son routeur de passerelle et le FAI. Par exemple, les établissements
scolaires disposant de plusieurs campus exécutent fréquemment un protocole de routage dynamique
entre les sites, mais utilisent un routage par défaut pour accéder à Internet via leur FAI. Dans certains
cas, les campus distants utilisent également un routage par défaut vers le campus principal et choisissent
de limiter le routage dynamique à un usage local.
Pour simplifier notre exemple, nous avons conservé les adressages du scénario B. Supposons
que R3 soit le FAI de la société XYZ, symbolisée par les routeurs R1 et R2 utilisant le réseau principal
172.30.0.0/16 divisé en sous-réseaux avec un masque/24. La société XYZ est un réseau d’extrémité,
ce qui signifie que le réseau principal 172.30.0.0/16 n’a qu’une entrée (via R2, le routeur de passerelle)
et une sortie (R3, le FAI) R2 n’a aucune raison d’envoyer toutes les 30 secondes vers R3 des mises
à jour du réseau 172.30.0.0, car R3 ne peut atteindre 172.30.0.0 que par l’intermédiaire de R2. Il est
préférable de configurer sur R3 une route statique pour le réseau 172.30.0.0/16 qui pointe vers R2.
Qu’en est-il des échanges de la société XYZ avec Internet ? Il n’y a aucune raison pour que R3 envoie
plus de 120 000 routes Internet résumées vers R2. La seule information importante pour R2 est que tout
paquet qui n’est pas destiné à un hôte du réseau 172.30.0.0 doit être envoyé au FAI, c’est-à-dire à R3.
Il en va de même pour tous les autres routeurs de la société XYZ (ici, uniquement R1). Ils doivent
envoyer vers R2 tout ce qui n‘est pas destiné au réseau 172.30.0.0. R2 transfère alors le trafic vers R3.
CCNA Exploration
Protocoles et concepts de routage : protocole RIP version 1 Travaux pratiques 5.6.1 : configuration RIP de base
Copyright sur l’intégralité du contenu © 1992 – 2007 Cisco Systems, Inc. Tous droits réservés.
Ce document contient des informations publiques Cisco. Page 14 sur 16
Tâche 1 : modifications entre le scénario B et le scénario C
Étape 1 : suppression du réseau 192.168.4.0 de la configuration RIP de R2
Supprimez le réseau 192.168.4.0 de la configuration RIP de R2 car il n’est pas nécessaire d’envoyer
des mises à jour entre R2 et R3 et nous ne voulons pas annoncer le réseau 192.168.4.0 à R1.
R2(config)#router rip
R2(config-router)#no network 192.168.4.0
Étape 2 : suppression complète du routage RIP de R3
R3(config)#no router rip
Tâche 2 : configuration de la route statique vers le réseau 172.30.0.0/16 sur R3
Étant donné que R3 et R2 n’échangent pas de mises à jour RIP, il faut configurer sur R3 une route
statique pour le réseau 172.30.0.0/16 de façon à envoyer tout le trafic de 172.30.0.0/16 vers R2.
R3(config)#ip route 172.30.0.0 255.255.252.0 serial0/0/1
Tâche 3 : configuration d’une route statique par défaut sur R2
Étape 1 : configuration de R2 afin d’envoyer le trafic par défaut vers R3
Configurez une route statique par défaut sur R2, qui envoie tout le trafic par défaut (c’est-à-dire les
paquets dont les adresses IP de destination ne correspondent pas à une route donnée dans la table
de routage) vers R3.
R2(config)# ip route 0.0.0.0 0.0.0.0 serial 0/0/1
Étape 2 : configuration de R2 afin d’envoyer les informations de route statique par défaut vers R1
La commande default-information originate permet de configurer R2 afin qu’il ajoute la route
statique par défaut dans les mises à jour RIP. Configurez cette commande sur R2 afin d’envoyer les
informations de route statique par défaut vers R1.
R2(config)#router rip
R2(config-router)#default-information originate
R2(config-router)#
Remarque : parfois, il faut supprimer le processus de routage RIP pour que la commande default-
information originate s’exécute. Entrez d’abord la commande clear ip route * sur les
deux routeurs R1 et R2. Cette commande supprime immédiatement les routes de la table de routage et
déclenche une demande de mise à jour réciproque pour chaque routeur. Parfois, cela ne fonctionne pas
avec le protocole RIP. Si les informations de routage par défaut ne sont toujours pas envoyées vers R1,
enregistrez la configuration sur R1 et R2 et rechargez les routeurs. Cela initialise le matériel et les deux
routeurs redémarrent la procédure de routage RIP.
CCNA Exploration
Protocoles et concepts de routage : protocole RIP version 1 Travaux pratiques 5.6.1 : configuration RIP de base
Copyright sur l’intégralité du contenu © 1992 – 2007 Cisco Systems, Inc. Tous droits réservés.
Ce document contient des informations publiques Cisco. Page 15 sur 16
Tâche 4 : vérification du routage RIP
Étape 1 : utilisation de la commande show ip route pour afficher la table de routage sur R2 et R1
R2#show ip route
Codes: C - connected, S - static, I - IGRP, R - RIP, M - mobile, B - BGP
D - EIGRP, EX - EIGRP external, O - OSPF, IA - OSPF inter area
N1 - OSPF NSSA external type 1, N2 - OSPF NSSA external type 2
E1 - OSPF external type 1, E2 - OSPF external type 2, E - EGP
i - IS-IS, L1 - IS-IS level-1, L2 - IS-IS level-2, ia - IS-IS inter area
* - candidate default, U - per-user static route, o - ODR
P - periodic downloaded static route
Gateway of last resort is 0.0.0.0 to network 0.0.0.0
172.30.0.0/24 is subnetted, 3 subnets
C 172.30.2.0 is directly connected, Serial0/0/0
C 172.30.3.0 is directly connected, FastEthernet0/0
R 172.30.1.0 [120/1] via 172.30.2.1, 00:00:16, Serial0/0/0
192.168.4.0/30 is subnetted, 1 subnets
C 192.168.4.8 is directly connected, Serial0/0/1
S* 0.0.0.0/0 is directly connected, Serial0/0/1
Remarquez que R2 possède maintenant une route statique candidate default.
R1#show ip route
Codes: C - connected, S - static, I - IGRP, R - RIP, M - mobile, B - BGP
D - EIGRP, EX - EIGRP external, O - OSPF, IA - OSPF inter area
N1 - OSPF NSSA external type 1, N2 - OSPF NSSA external type 2
E1 - OSPF external type 1, E2 - OSPF external type 2, E - EGP
i - IS-IS, L1 - IS-IS level-1, L2 - IS-IS level-2, ia - IS-IS inter area
* - candidate default, U - per-user static route, o - ODR
P - periodic downloaded static route
Gateway of last resort is 172.30.2.2 to network 0.0.0.0
172.30.0.0/24 is subnetted, 3 subnets
C 172.30.2.0 is directly connected, Serial0/0/0
R 172.30.3.0 [120/1] via 172.30.2.2, 00:00:05, Serial0/0/0
C 172.30.1.0 is directly connected, FastEthernet0/0
R* 0.0.0.0/0 [120/1] via 172.30.2.2, 00:00:19, Serial0/0/0
Remarquez que R1 possède maintenant une route RIP candidate default. Il s’agit de la route par
défaut « à quatre zéros » envoyée par R2. R1 envoie maintenant le trafic vers Gateway of last resort
au 172.30.2.2, qui est l’adresse IP de R2.
Étape 2 : affichage des mises à jour RIP envoyées et reçues sur R1 avec la commande debug ip rip
R1#debug ip rip
RIP protocol debugging is on
R1#RIP: sending v1 update to 255.255.255.255 via Serial0/0/0 (172.30.2.1)
RIP: build update entries
network 172.30.1.0 metric 1
RIP: received v1 update from 172.30.2.2 on Serial0/0/0
CCNA Exploration
Protocoles et concepts de routage : protocole RIP version 1 Travaux pratiques 5.6.1 : configuration RIP de base
Copyright sur l’intégralité du contenu © 1992 – 2007 Cisco Systems, Inc. Tous droits réservés.
Ce document contient des informations publiques Cisco. Page 16 sur 16
0.0.0.0 in 1 hops
172.30.3.0 in 1 hops
Remarquez que R1 reçoit la route par défaut de R2.
Étape 3 : arrêt des données de débogage à l’aide de la commande undebug all
R1#undebug all
Tous les débogages possibles sont inactifs.
Étape 4 : utilisation de la commande show ip route pour afficher la table de routage sur R3
R3#show ip route
<Output omitted>
S 172.30.0.0/16 is directly connected, Serial0/0/1
192.168.4.0/30 is subnetted, 1 subnets
C 192.168.4.8 is directly connected, Serial0/0/1
C 192.168.5.0/24 is directly connected, FastEthernet0/0
Remarquez que le protocole RIP n’est pas utilisé sur R3. La seule route non connectée directement est
la route statique.
Tâche 5 : documentation des configurations des routeurs
Sur chaque routeur, capturez les informations de commande suivantes dans un fichier texte
et enregistrez-les pour pouvoir les examiner ultérieurement :
 Configuration en cours
 Table de routage
 Résumé de l’interface
 Informations affichées par la commande show ip protocols
Tâche 6 : remise en état
Effacez les configurations et rechargez les routeurs. Débranchez les câbles et stockez-les. Pour les
PC hôtes normalement connectés à d’autres réseaux (comme le réseau local du centre de formation
ou Internet), remettez en place les câblages adaptés et restaurez les paramètres TCP/IP.
Copyright sur l’intégralité du contenu © 1992 – 2007 Cisco Systems, Inc. Tous droits réservés.
Ce document contient des informations publiques Cisco. Page 1 sur 8
Travaux pratiques 5.6.2 : configuration RIP avancée
Diagramme de topologie
Table d’adressage
Périphérique Interface Adresse IP Masque de sous-réseau Passerelle par défaut
BRANCH
Fa0/0 s/o
S0/0/0 s/o
HQ
Fa0/0 s/o
S0/0/0 s/o
S0/0/1 s/o
ISP
Fa0/0 s/o
S0/0/1 s/o
PC1 Carte réseau
PC2 Carte réseau
PC3 Carte réseau
CCNA Exploration
Protocoles et concepts de routage : Protocole RIP version 1 Travaux pratiques 5.6.2 : configuration RIP avancée
Copyright sur l’intégralité du contenu © 1992 – 2007 Cisco Systems, Inc. Tous droits réservés.
Ce document contient des informations publiques Cisco. Page 2 sur 8
Objectifs pédagogiques
À l’issue de ces travaux pratiques, vous serez en mesure d’effectuer les tâches suivantes :
 Créer des sous-réseaux dans un espace d’adressage d’après des consignes données
 Affecter les adresses voulues aux interfaces et les documenter dans la table d'adressage
 Câbler un réseau conformément au diagramme de topologie
 Effacer la configuration de démarrage et recharger un routeur dans son état par défaut
 Configurer le routage RIPv1 sur tous les routeurs
 Configurer et propager une route statique par défaut
 Vérifier le fonctionnement du protocole RIPv1
 Tester et vérifier la connectivité complète
 Réfléchir à l’implémentation du réseau et fournir la documentation associée
Scénario
Dans ces travaux pratiques, une adresse réseau vous est attribuée pour laquelle vous devrez créer des
sous-réseaux afin de réaliser l’adressage du réseau représenté dans le diagramme de topologie. Il faut
pour cela combiner un routage RIPv1 et un routage statique afin que les hôtes qui se trouvent sur des
réseaux non directement connectés puissent communiquer entre eux.
Tâche 1 : subdivision de l’espace d’adressage
Étape 1 : examen des besoins du réseau
L’adressage du réseau doit satisfaire aux conditions suivantes :
 Le réseau local ISP utilise le réseau 209 165 202 128/27.
 La liaison entre le routeur ISP et le routeur HQ utilise le réseau 209.165.200.224/30.
 Le réseau 192.168.1.0/24 doit posséder des sous-réseaux pour être utilisé dans le réseau local
(LAN) HQ et dans la liaison entre les routeurs HQ et BRANCH. Le réseau local HQ a besoin
de 50 adresses IP hôtes.
 Le réseau local de BRANCH utilise le réseau 10.10.2.0/23.
(Remarque : n’oubliez pas que les interfaces des périphériques réseau sont également
des adresses IP hôte et figurent dans les exigences d’adressage ci-dessus).
Étape 2 : questions à prendre en comptre lors de la création de votre conception de réseau
Combien de sous-réseaux faut-il créer à partir du réseau 192.168.1.0/24 ? __________
Quel est le masque de sous-réseau de ce réseau au format décimal pointé ? ____________________
Quel est le masque de sous-réseau de ce réseau au format avec barre oblique ? __________
Quelles sont les adresses réseau des sous-réseaux ?
Sous-réseau 0 : ____________________
Sous-réseau 1 : ____________________
Combien d’adresses IP d'hôtes sont-elles utilisables par sous-réseau ? __________
CCNA Exploration
Protocoles et concepts de routage : Protocole RIP version 1 Travaux pratiques 5.6.2 : configuration RIP avancée
Copyright sur l’intégralité du contenu © 1992 – 2007 Cisco Systems, Inc. Tous droits réservés.
Ce document contient des informations publiques Cisco. Page 3 sur 8
Combien y a-t-il d’adresses IP d'hôtes utilisables disponibles dans le réseau local (LAN) de BRANCH ?
__________
Étape 3 : attribution d'adresses de sous-réseau au diagramme de topologie
1. Affectez le réseau local de niveau le plus bas du réseau 192.168.1.0 à la liaison de réseau
étendu (WAN) entre les routeurs HQ et BRANCH.
2. Affectez le deuxième sous-réseau du réseau 192.168.1.0 au réseau local attaché au routeur HQ.
Tâche 2 : définition des adresses des interfaces
Étape 1 : attribution des adresses appropriées aux interfaces des périphériques
1. Attribuez la première adresse d’hôte valide du réseau 209 165 202 128/27 à l’interface LAN
du routeur ISP.
2. Affectez la dernière adresse d’hôte valide du réseau 209.165.202.128/27 à PC3.
3. Affectez la première adresse d’hôte valide du réseau 209.165.200.224/30 à l’interface WAN
qui se trouve sur le routeur ISP.
4. Affectez la dernière adresse d’hôte valide du réseau 209.165.200.224/30 à l’interface série 0/0/1
qui se trouve sur le routeur HQ.
5. Affectez la première adresse d’hôte valide du réseau local (LAN) HQ à l’interface LAN qui se
trouve sur le routeur HQ.
6. Affectez la dernière adresse d’hôte valide du réseau local HQ à PC2.
7. Affectez la première adresse d’hôte valide de la liaison WAN HQ/BRANCH à l’interface série
0/0/0 qui se trouve sur le routeur HQ.
8. Affectez la dernière adresse d’hôte valide de la liaison WAN HQ/BRANCH à l’interface série 0/0/0
qui se trouve sur le routeur BRANCH.
9. Affectez la première adresse d’hôte valide du réseau 10.10.2.0/23 à l’interface LAN qui se trouve
sur le routeur BRANCH.
10. Affectez la dernière adresse d’hôte valide du réseau 10.10.2.0/23 à PC1.
Étape 2 : documentation des adresses à utiliser dans le tableau fourni sous le diagramme
de topologie
Tâche 3 : préparation du réseau
Étape 1 : installation d’un réseau similaire à celui du diagramme de topologie
Vous pouvez utiliser n’importe quel routeur existant au cours de vos travaux pratiques, pourvu qu'il soit
équipé des interfaces indiquées dans la topologie.
Remarque : si vous utilisez les routeurs 1700, 2500 ou 2600, les sorties des routeurs et les descriptions
des interfaces apparaîtront différemment.
CCNA Exploration
Protocoles et concepts de routage : Protocole RIP version 1 Travaux pratiques 5.6.2 : configuration RIP avancée
Copyright sur l’intégralité du contenu © 1992 – 2007 Cisco Systems, Inc. Tous droits réservés.
Ce document contient des informations publiques Cisco. Page 4 sur 8
Étape 2 : suppression de toute configuration existante sur les routeurs
Tâche 4 : exécution des configurations de base des routeurs
Effectuez la configuration de base des routeurs BRANCH, HQ, et ISP en respectant les consignes
suivantes :
1. Configurez le nom d’hôte du routeur.
2. Désactivez la recherche DNS.
3. Configurez un mot de passe pour le mode EXEC.
4. Configurez une bannière du message du jour.
5. Configurez un mot de passe pour les connexions console.
6. Configurez un mot de passe pour les connexions VTY.
7. Synchronisez les messages non sollicités et les résultats de débogage avec les résultats
sollicités et les invites de la console et des lignes du terminal virtuel.
8. Configurez un délai d’attente EXEC de 15 minutes.
Tâche 5 : configuration et activation des adresses de série et Ethernet
Étape 1 : configuration des routeurs BRANCH, HQ et ISP
Configurez les interfaces sur les routeurs BRANCH, HQ et ISP à l'aide des adresses IP de la table
d'adressage sous le diagramme de topologie.
Lorsque vous avez terminé, n’oubliez pas d’enregistrer la configuration en cours dans la mémoire
NVRAM du routeur.
Étape 2 : configuration des interfaces Ethernet de PC1, PC2 et PC3
Configurez les interfaces Ethernet de PC1, PC2 et PC3 avec les adresses IP figurant dans le tableau
d’adressage situé sous le diagramme de la topologie.
Tâche 6 : vérification de la connectivité à l’équipement du tronçon suivant
À ce stade, il ne doit pas encore exister de connectivité entre les périphériques finaux. Toutefois,
vous pouvez tester la connectivité entre deux routeurs et entre un périphérique final et sa passerelle
par défaut.
Étape 1 : vérification de la connectivité du routeur BRANCH
Vérifiez que le routeur BRANCH peut envoyer un paquet ping sur la liaison WAN à destination du routeur
HQ et que ce dernier peut envoyer un paquet ping sur la liaison qu’il partage avec le routeur ISP.
Étape 2 : vérification de la connectivité de l’interface Ethernet
Vérifiez que PC1, PC2 et PC3 peuvent envoyer un paquet ping à leur passerelle par défaut.
CCNA Exploration
Protocoles et concepts de routage : Protocole RIP version 1 Travaux pratiques 5.6.2 : configuration RIP avancée
Copyright sur l’intégralité du contenu © 1992 – 2007 Cisco Systems, Inc. Tous droits réservés.
Ce document contient des informations publiques Cisco. Page 5 sur 8
Tâche 7 : configuration du routage RIP sur le routeur BRANCH
Considérez les réseaux à ajouter aux mises à jour RIP envoyées par le routeur BRANCH.
Quels sont les réseaux présents dans la table de routage BRANCH avant la configuration du protocole
RIP ? Dressez la liste des réseaux en utilisant la notation avec barre oblique.
____________________________________________________________________________
____________________________________________________________________________
_____________________________________________________________________________
Quelles sont les commandes requises pour activer le protocole RIP version 1 dont les mises à jour
de routage contiennent ces réseaux ?
____________________________________________________________________________
____________________________________________________________________________
_____________________________________________________________________________
Existe-t-il d’autres interfaces de routeur pour lesquelles il n’est pas nécessaire d’envoyer des mises
à jour RIP ? __________
Quelle commande désactive les mises à jour RIP sur cette interface ?
_____________________________________________________________________________
Tâche 8 : configuration du routage RIP et statique sur le routeur HQ
Examinez le type de routage statique nécessaire pour HQ.
Quels sont les réseaux qui figurent dans la table de routage de HQ ? Dressez la liste des réseaux
en utilisant la notation avec barre oblique.
_____________________________________________________________________________
_____________________________________________________________________________
_____________________________________________________________________________
Vous devez configurer une route statique par défaut pour envoyer tous les paquets dont l’adresse
de destination ne se trouve pas dans la table de routage vers ISP. Quelle commande est requise
pour réaliser cette tâche ? Dans cette commande, utilisez l’interface de sortie voulue du routeur HQ.
_____________________________________________________________________________
Quelles sont les commandes requises pour activer le protocole RIPv1 et ajouter le réseau local (LAN)
dans les mises à jour de routage ?
_____________________________________________________________________________
_____________________________________________________________________________
CCNA Exploration
Protocoles et concepts de routage : Protocole RIP version 1 Travaux pratiques 5.6.2 : configuration RIP avancée
Copyright sur l’intégralité du contenu © 1992 – 2007 Cisco Systems, Inc. Tous droits réservés.
Ce document contient des informations publiques Cisco. Page 6 sur 8
Existe-t-il d’autres interfaces de routeur pour lesquelles il n’est pas nécessaire d’envoyer des mises
à jour RIP ? __________
Quelle commande désactive les mises à jour RIP sur cette interface ?
_____________________________________________________________________________
Le routeur HQ doit envoyer les données de routage par défaut au routeur BRANCH dans les mises
à jour RIP. Quelle commande est utilisée pour cette configuration ?
_____________________________________________________________________________
Tâche 9 : configuration du routage statique sur le routeur ISP
Il convient de configurer les routes statiques sur le routeur ISP pour tout le trafic destiné aux adresses
RFC 1918 utilisées sur le réseau local (LAN) de BRANCH, le réseau local (LAN) du HQ et sur la liaison
entre les routeurs BRANCH et HQ.
Pour cela, quelles sont les commandes qui doivent être configurées sur le routeur ISP ?
ISP(config)# ___________________________________________________________________
ISP(config)#____________________________________________________________________
Tâche 10 : vérification des configurations
Répondez aux questions suivantes pour vérifier que le réseau fonctionne comme prévu.
À partir de PC2, est-il possible d’envoyer un paquet ping à PC1 ? __________
À partir de PC2, est-il possible d’envoyer un paquet ping au PC3 ? __________
Est-il possible d’envoyer un paquet ping au PC3 à partir de PC1 ? __________
La réponse aux questions précédentes doit être oui. Si un paquet ping ci-dessus a échoué, vérifiez les
connexions physiques et les configurations. Reportez-vous aux techniques de dépannage de base
utilisées dans les travaux pratiques du chapitre 1.
Quelles sont les routes qui figurent dans la table de routage du routeur BRANCH ?
_____________________________________________________________________________
_____________________________________________________________________________
_____________________________________________________________________________
_____________________________________________________________________________
_____________________________________________________________________________
Quelle est la passerelle de dernier recours dans la table de routage du routeur BRANCH ?
_____________________________________________________________________________
CCNA Exploration
Protocoles et concepts de routage : Protocole RIP version 1 Travaux pratiques 5.6.2 : configuration RIP avancée
Copyright sur l’intégralité du contenu © 1992 – 2007 Cisco Systems, Inc. Tous droits réservés.
Ce document contient des informations publiques Cisco. Page 7 sur 8
Quelles sont les routes qui figurent dans la table de routage du routeur HQ ?
_____________________________________________________________________________
_____________________________________________________________________________
_____________________________________________________________________________
_____________________________________________________________________________
_____________________________________________________________________________
Quelles sont les routes présentes dans la table de routage du routeur ISP ?
_____________________________________________________________________________
_____________________________________________________________________________
_____________________________________________________________________________
_____________________________________________________________________________
_____________________________________________________________________________
Quels sont les réseaux (et leurs mesures) présents dans les mises à jour RIP envoyées par
le routeur HQ ?
_____________________________________________________________________________
_____________________________________________________________________________
Quels sont les réseaux (et leurs mesures) présents dans les mises à jour RIP envoyées par
le routeur BRANCH ?
_____________________________________________________________________________
_____________________________________________________________________________
Tâche 11 : remarques générales
Si un routage statique était utilisé au lieu d’un routage RIP sur le routeur BRANCH, combien de routes
statiques individuelles seraient nécessaires pour que les hôtes du réseau local BRANCH communiquent
avec tous les réseaux du diagramme de topologie ? __________
Tâche 12 : documentation des configurations des routeurs
Sur chaque routeur, capturez les informations de commande suivantes dans un fichier texte
et enregistrez-les pour pouvoir les examiner ultérieurement :
 Configuration en cours.
 Table de routage
 Résumé de l’interface.
CCNA Exploration
Protocoles et concepts de routage : Protocole RIP version 1 Travaux pratiques 5.6.2 : configuration RIP avancée
Copyright sur l’intégralité du contenu © 1992 – 2007 Cisco Systems, Inc. Tous droits réservés.
Ce document contient des informations publiques Cisco. Page 8 sur 8
Tâche 13 : remise en état
Effacez les configurations et rechargez les routeurs. Débranchez les câbles et stockez-les. Pour les
PC hôtes normalement connectés à d’autres réseaux (comme le réseau local du centre de formation
ou Internet), remettez en place les câblages adaptés et restaurez les paramètres TCP/IP.
Travaux pratiques 5.6.3 : dépannage du protocole RIP
Diagramme de topologie
Table d’adressage
Périphérique Interface Adresse IP Masque de sous-réseau Passerelle par défaut
Fa0/0 192.168.1.1 255.255.255.0 s/o
BRANCH
S0/0/0 10.45.1.254 255.255.255.0 s/o
Fa0/0 10.45.2.1 255.255.255.0 s/o
S0/0/0 10.45.1.1 255.255.255.0 s/oHQ
S0/0/1 172.20.20.254 255.255.255.0 s/o
FA0/0 172.16.1.1 255.255.255.0 s/o
ISP
S0/0/1 172.20.20.1 255.255.255.0 s/o
PC1 Carte réseau 192.168.1.254 255.255.255.0 192.168.1.1
PC2 Carte réseau 10.45.2.254 255.255.255.0 10.45.2.1
PC3 Carte réseau 172.16.1.254 255.255.255.0 172.16.1.1
Copyright sur l’intégralité du contenu © 1992 – 2007 Cisco Systems, Inc. Tous droits réservés.
Ce document contient des informations publiques Cisco. Page 1 sur 12
CCNA Exploration
Protocoles et concepts de routage : Protocole RIP version 1 Travaux pratiques 5.6.3 : dépannage du protocole RIP
Objectifs pédagogiques
À l’issue de ces travaux pratiques, vous serez en mesure d’effectuer les tâches suivantes :
• Câbler un réseau conformément au diagramme de topologie
• Effacer la configuration de démarrage et recharger un routeur dans son état par défaut
• Charger les routeurs avec les scripts fournis
• Découvrir les points où la convergence n’est pas réalisée
• Recueillir des informations sur la partie non convergente du réseau et sur les autres erreurs
éventuelles
• Analyser les informations pour déterminer les raisons de la convergence incomplète
• Proposer des solutions pour les erreurs de réseau
• Mettre en place des solutions pour les erreurs de réseau
• Vérifier le réseau corrigé
Scénario
Dans ces travaux pratiques, vous commencerez par charger les scripts de configuration dans chaque
routeur. Ces scripts contiennent des erreurs qui empêchent les communications de bout en bout sur
le réseau. Vous devrez dépanner chaque routeur, détecter les erreurs de configuration, puis utiliser les
commandes appropriées afin de corriger les configurations. Lorsque vous aurez corrigé toutes les
erreurs de configuration, tous les hôtes du réseau devront pouvoir communiquer entre eux.
Le réseau doit aussi respecter les conditions ci-dessous :
• Le routage RIPv1 est configuré sur le routeur BRANCH.
• Le routage RIPv1 est configuré sur le routeur HQ.
• Les mises à jour RIP doivent être désactivées sur les interfaces des réseaux locaux BRANCH et HQ.
• Une route statique par défaut est configurée sur le routeur HQ et elle est partagée avec le routeur
BRANCH via les mises à jour RIP.
• Il convient de configurer des routes statiques pour tous les réseaux HQ et BRANCH sur
le routeur ISP. Les routes doivent être résumées partout où cela est possible.
Tâche 1 : installation, suppression et rechargement des routeurs
Étape 1 : installation d’un réseau
Installation d’un réseau similaire à celui du diagramme de la topologie.
Étape 2 : suppression de la configuration sur chaque routeur
Effacez la configuration de chaque routeur à l'aide de la commande erase startup-config et
rechargez-les (commande reload). Si vous êtes invité à enregistrer les modifications, répondez par no.
Copyright sur l’intégralité du contenu © 1992 – 2007 Cisco Systems, Inc. Tous droits réservés.
Ce document contient des informations publiques Cisco. Page 2 sur 12
CCNA Exploration
Protocoles et concepts de routage : Protocole RIP version 1 Travaux pratiques 5.6.3 : dépannage du protocole RIP
Tâche 2 : chargement des routeurs à l’aide des scripts fournis
Étape 1 : chargement du script suivant sur le routeur BRANCH
hostname BRANCH
!
!
no ip domain-lookup
!
interface FastEthernet0/0
ip address 192.168.1.1 255.255.255.0
duplex auto
speed auto
!
interface Serial0/0/0
ip address 10.45.1.254 255.255.255.0
clock rate 64000
no shutdown
!
router rip
passive-interface FastEthernet0/0
network 10.0.0.0
!
!
!
!
line con 0
line vty 0 4
password cisco
login
!
end
Étape 2 : chargement du script suivant dans le routeur HQ
hostname HQ
!
!
no ip domain-lookup
!
interface FastEthernet0/0
ip address 10.45.2.1 255.255.255.0
duplex auto
speed auto
no shutdown
!
interface Serial0/0/0
ip address 10.45.1.1 255.255.255.0
no shutdown
!
interface Serial0/0/1
ip address 172.20.20.254 255.255.255.0
clock rate 64000
no shutdown
Copyright sur l’intégralité du contenu © 1992 – 2007 Cisco Systems, Inc. Tous droits réservés.
Ce document contient des informations publiques Cisco. Page 3 sur 12
!
CCNA Exploration
Protocoles et concepts de routage : Protocole RIP version 1 Travaux pratiques 5.6.3 : dépannage du protocole RIP
router rip
passive-interface Serial0/0/0
network 10.0.0.0
network 172.0.0.0
!
ip route 0.0.0.0 0.0.0.0 Serial0/0/1
!
!
!
!
line con 0
line vty 0 4
password cisco
login
!
end
Étape 3 : chargement du script suivant dans le routeur ISP
hostname ISP
!
!
no ip domain-lookup
!
interface FastEthernet0/0
ip address 172.16.1.1 255.255.255.0
duplex auto
speed auto
no shutdown
!
interface Serial0/0/1
ip address 172.20.20.1 255.255.255.0
no shutdown
!
ip route 10.45.0.0 255.255.254.0 Serial0/0/1
ip route 192.168.1.0 255.255.255.0 Serial0/0/1
!
!
!
!
line con 0
line vty 0 4
password cisco
login
!
end
Tâche 3 : dépannage du routeur BRANCH
Étape 1 : début du dépannage sur l’hôte connecté au routeur BRANCH
À partir de l’hôte PC1, est-il possible d’envoyer un paquet ping à PC2 ? __________
À partir de l’hôte PC1, est-il possible d’envoyer un paquet ping à PC3? __________
Copyright sur l’intégralité du contenu © 1992 – 2007 Cisco Systems, Inc. Tous droits réservés.
Ce document contient des informations publiques Cisco. Page 4 sur 12
CCNA Exploration
Protocoles et concepts de routage : Protocole RIP version 1 Travaux pratiques 5.6.3 : dépannage du protocole RIP
À partir de l’hôte PC1, est-il possible d’envoyer un paquet ping à la passerelle par défaut ? ________
Étape 2 : examen du routeur BRANCH afin de détecter d’éventuelles erreurs de configuration
Commencez par examiner le résumé des informations d’état pour chaque interface de routeur.
Y a-t-il des problèmes avec l’état des interfaces ?
_________________________________________________________________________________
_________________________________________________________________________________
_________________________________________________________________________________
Dans l’affirmative, notez les commandes qui permettent de corriger les erreurs de configuration.
_________________________________________________________________________________
_________________________________________________________________________________
_________________________________________________________________________________
Étape 3 : si vous avez enregistré les commandes ci-dessus, les appliquer à la configuration
du routeur maintenant
Étape 4 : examen du résumé des informations d’état
Si des modifications ont été apportées à la configuration à l'étape précédente, examinez à nouveau le
résumé des informations d'état pour les interfaces du routeur.
Les informations contenues dans le récapitulatif d’état des interfaces indiquent-elles la présence d’erreurs
de configuration ? __________
Si la réponse est oui, dépannez à nouveau l’état des interfaces.
Étape 5 : dépannage de la configuration de routage sur le routeur BRANCH
Quels sont les réseaux qui figurent dans la table de routage ?
_________________________________________________________________________________
_________________________________________________________________________________
_________________________________________________________________________________
La table de routage présente-t-elle des problèmes ?
____________________________________________________________________________________
____________________________________________________________________________________
Si vous décelez des problèmes dans la table de routage, notez les commandes qui permettent
de corriger les erreurs de configuration.
____________________________________________________________________________________
____________________________________________________________________________________
____________________________________________________________________________________
Copyright sur l’intégralité du contenu © 1992 – 2007 Cisco Systems, Inc. Tous droits réservés.
Ce document contient des informations publiques Cisco. Page 5 sur 12
CCNA Exploration
Protocoles et concepts de routage : Protocole RIP version 1 Travaux pratiques 5.6.3 : dépannage du protocole RIP
Quels sont les réseaux inclus dans les mises à jour RIP ?
____________________________________________________________________________________
____________________________________________________________________________________
____________________________________________________________________________________
Existe-t-il des problèmes au niveau des mises à jour RIP envoyées à partir du routeur ?
____________________________________________________________________________________
____________________________________________________________________________________
____________________________________________________________________________________
Si vous décelez des problèmes au niveau de la configuration RIP, notez les commandes qui permettent
de corriger les erreurs de configuration.
____________________________________________________________________________________
____________________________________________________________________________________
____________________________________________________________________________________
Étape 6 : si vous avez enregistré les commandes ci-dessus, les appliquer maintenant
à la configuration du routeur
Étape 7 : examen des informations de routage
Si des modifications ont été apportées à la configuration au cours des étapes précédentes,
examinez à nouveau les informations de routage.
Les informations contenues dans la table de routage indiquent-elles la présence d’erreurs de
configuration ? __________
Les informations contenues dans les mises à jour RIP indiquent-elles la présence d’erreurs de
configuration ? __________
Si la réponse à l’une de ces questions est oui, dépannez à nouveau la configuration du routage.
Quels sont les réseaux inclus dans les mises à jour RIP ?
____________________________________________________________________________________
___________________________________________________________________________________
___________________________________________________________________________________
Étape 8 : nouvelle tentative de test ping entre les hôtes
À partir de l’hôte PC1, est-il possible d’envoyer un paquet ping à PC2 ? __________
À partir de l’hôte PC1, est-il possible d’envoyer un paquet ping à PC3 ? __________
À partir de l’hôte PC1, est-il possible d’envoyer un paquet ping à l’interface série 0/0 du routeur HQ ?
__________
Copyright sur l’intégralité du contenu © 1992 – 2007 Cisco Systems, Inc. Tous droits réservés.
Ce document contient des informations publiques Cisco. Page 6 sur 12
CCNA Exploration
Protocoles et concepts de routage : Protocole RIP version 1 Travaux pratiques 5.6.3 : dépannage du protocole RIP
Tâche 4 : dépannage du routeur HQ
Étape 1 : début du dépannage sur l’hôte connecté au routeur BRANCH
À partir de l’hôte PC2, est-il possible d’envoyer un paquet ping à PC1 ? __________
À partir de l’hôte PC2, est-il possible d’envoyer un paquet ping à PC3 ? __________
À partir de l’hôte PC2, est-il possible d’envoyer un paquet ping à la passerelle par défaut ? __________
Étape 2 : examen du routeur HQ pour trouver d’éventuelles erreurs de configuration
Commencez par examiner le résumé des informations d’état pour chaque interface sur le routeur.
Y a-t-il des problèmes avec l’état des interfaces ?
________________________________________________________________________________
___________________________________________________________________________________
___________________________________________________________________________________
Dans l’affirmative, notez les commandes qui permettent de corriger les erreurs de configuration.
___________________________________________________________________________________
___________________________________________________________________________________
___________________________________________________________________________________
Étape 3 : si vous avez enregistré les commandes ci-dessus, les appliquer maintenant
à la configuration du routeur
Étape 4 : examen du récapitulatif des informations d’état
Si des modifications ont été apportées à la configuration à l'étape précédente, examinez à nouveau
le résumé des informations d'état pour les interfaces du routeur.
Les informations contenues dans le récapitulatif de l’état des interfaces indiquent-elles la présence
d’erreurs de configuration ? __________
Si la réponse est oui, dépannez à nouveau l’état des interfaces.
Étape 5 : dépannage de la configuration de routage sur le routeur HQ
Quels sont les réseaux qui figurent dans la table de routage ?
___________________________________________________________________________________
___________________________________________________________________________________
___________________________________________________________________________________
___________________________________________________________________________________
Copyright sur l’intégralité du contenu © 1992 – 2007 Cisco Systems, Inc. Tous droits réservés.
Ce document contient des informations publiques Cisco. Page 7 sur 12
CCNA Exploration
Protocoles et concepts de routage : Protocole RIP version 1 Travaux pratiques 5.6.3 : dépannage du protocole RIP
La table de routage présente-t-elle des problèmes ?
___________________________________________________________________________________
___________________________________________________________________________________
___________________________________________________________________________________
Si vous décelez des problèmes dans la table de routage, notez les commandes qui permettent
de corriger les erreurs de configuration.
___________________________________________________________________________________
___________________________________________________________________________________
___________________________________________________________________________________
Quels sont les réseaux inclus dans les mises à jour RIP ?
___________________________________________________________________________________
___________________________________________________________________________________
___________________________________________________________________________________
Existe-t-il des problèmes au niveau des mises à jour RIP envoyées à partir du routeur ?
___________________________________________________________________________________
__________________________________________________________________________________
Si vous décelez des problèmes au niveau de la configuration RIP, notez les commandes qui permettent
de corriger les erreurs de configuration.
___________________________________________________________________________________
___________________________________________________________________________________
___________________________________________________________________________________
___________________________________________________________________________________
Étape 6 : si vous avez enregistré les commandes ci-dessus, les appliquer maintenant
à la configuration du routeur
Étape 7 : examen des informations de routage
Si des modifications ont été apportées à la configuration au cours des étapes précédentes,
examinez à nouveau les informations de routage.
Les informations contenues dans la table de routage indiquent-elles la présence d’erreurs de
configuration ? __________
Les informations contenues dans les mises à jour RIP indiquent-elles la présence d’erreurs de
configuration ? __________
Copyright sur l’intégralité du contenu © 1992 – 2007 Cisco Systems, Inc. Tous droits réservés.
Ce document contient des informations publiques Cisco. Page 8 sur 12
CCNA Exploration
Protocoles et concepts de routage : Protocole RIP version 1 Travaux pratiques 5.6.3 : dépannage du protocole RIP
Si la réponse à l’une de ces questions est oui, dépannez à nouveau la configuration du routage.
Quels sont les réseaux inclus dans les mises à jour RIP ?
___________________________________________________________________________________
___________________________________________________________________________________
____________________________________________________________________________________
Étape 8 : vérification de l’envoi d’une route par défaut du routeur HQ vers le routeur BRANCH
La table de routage de BRANCH contient-elle une route par défaut ? _____________
Sinon, quelles sont les commandes nécessaires pour la configurer sur le routeur HQ ?
___________________________________________________________________________________
___________________________________________________________________________________
___________________________________________________________________________________
Étape 9 : si vous avez noté une commande, appliquez-la maintenant à la configuration du routeur HQ.
Étape 10 : affichage de la table de routage de BRANCH
Si la configuration a été modifiée à l’étape précédente, affichez à nouveau la table de routage
de BRANCH.
La table de routage de BRANCH contient-elle une route par défaut ? __________
Si la réponse est non, dépannez à nouveau la configuration RIP.
Étape 11 : nouvelle tentative de liaison ping entre les hôtes
À partir de l’hôte PC2, est-il possible d’envoyer un paquet ping à PC1 ? __________
À partir de l’hôte PC2, est-il possible d’envoyer un paquet ping à l’interface série 0/1 du routeur ISP ?
__________
À partir de l’hôte PC1, est-il possible d’envoyer un paquet ping à PC3 ? __________
Tâche 5 : dépannage du routeur ISP
Étape 1 : début du dépannage sur l’hôte connecté au routeur ISP
À partir de l’hôte PC3, est-il possible d’envoyer un paquet ping à PC1 ? __________
À partir de l’hôte PC3, est-il possible d’envoyer un paquet ping à PC2 ? __________
À partir de l’hôte PC3, est-il possible d’envoyer un paquet ping à la passerelle par défaut ? __________
Copyright sur l’intégralité du contenu © 1992 – 2007 Cisco Systems, Inc. Tous droits réservés.
Ce document contient des informations publiques Cisco. Page 9 sur 12
CCNA Exploration
Protocoles et concepts de routage : Protocole RIP version 1 Travaux pratiques 5.6.3 : dépannage du protocole RIP
Étape 2 : examen du routeur ISP afin de détecter d’éventuelles erreurs de configuration
Commencez par examiner le résumé des informations d’état pour chaque interface sur le routeur.
Y a-t-il des problèmes avec l’état des interfaces ?
___________________________________________________________________________________
___________________________________________________________________________________
___________________________________________________________________________________
Dans l’affirmative, notez les commandes qui permettent de corriger les erreurs de configuration.
___________________________________________________________________________________
___________________________________________________________________________________
___________________________________________________________________________________
Étape 3 : si vous avez enregistré les commandes ci-dessus, les appliquer à la configuration
du routeur maintenant
Étape 4 : examen du récapitulatif des informations d’état
Si des modifications ont été apportées à la configuration à l'étape précédente, examinez à nouveau
le résumé des informations d'état pour les interfaces du routeur.
Les informations contenues dans le récapitulatif de l’état des interfaces indiquent-elles la présence
d’erreurs de configuration ? __________
Si la réponse est oui, dépannez à nouveau l’état des interfaces.
Étape 5 : dépannage de la configuration de routage statique sur le routeur ISP
Commencez par examiner la table de routage.
Quels sont les réseaux qui figurent dans la table de routage ?
___________________________________________________________________________________
___________________________________________________________________________________
___________________________________________________________________________________
___________________________________________________________________________________
Y a-t-il des erreurs dans la configuration de routage ?
___________________________________________________________________________________
___________________________________________________________________________________
___________________________________________________________________________________
___________________________________________________________________________________
Copyright sur l’intégralité du contenu © 1992 – 2007 Cisco Systems, Inc. Tous droits réservés.
Ce document contient des informations publiques Cisco. Page 10 sur 12
CCNA Exploration
Protocoles et concepts de routage : Protocole RIP version 1 Travaux pratiques 5.6.3 : dépannage du protocole RIP
Si vous décelez des problèmes de configuration du routage, notez les commandes qui permettent de
corriger les erreurs de configuration.
___________________________________________________________________________________
___________________________________________________________________________________
___________________________________________________________________________________
Étape 6 : si vous avez enregistré les commandes ci-dessus, les appliquer maintenant
à la configuration du routeur
Étape 7 : affichage de la table de routage
Si la configuration a été modifiée à l’étape précédente, affichez à nouveau la table de routage.
Ces données indiquent-elles des erreurs de configuration ? __________
Si la réponse est oui, dépannez à nouveau la configuration du routage.
Étape 8 : nouvelle tentative de test ping entre les hôtes
À partir de l’hôte PC3, est-il possible d’envoyer un paquet ping à PC1 ? __________
À partir de l’hôte PC3, est-il possible d’envoyer un paquet ping à PC2 ? __________
À partir de l’hôte PC3, est-il possible d’envoyer un paquet ping à l’interface WAN du routeur BRANCH ?
__________
Tâche 6 : remarques générales
Les scripts fournis pour ces travaux pratiques ont présenté plusieurs erreurs de configuration.
Décrivez brièvement ci-dessous les erreurs que vous avez trouvées.
___________________________________________________________________________________
___________________________________________________________________________________
___________________________________________________________________________________
___________________________________________________________________________________
___________________________________________________________________________________
___________________________________________________________________________________
___________________________________________________________________________________
___________________________________________________________________________________
___________________________________________________________________________________
Copyright sur l’intégralité du contenu © 1992 – 2007 Cisco Systems, Inc. Tous droits réservés.
Ce document contient des informations publiques Cisco. Page 11 sur 12
CCNA Exploration
Protocoles et concepts de routage : Protocole RIP version 1 Travaux pratiques 5.6.3 : dépannage du protocole RIP
Copyright sur l’intégralité du contenu © 1992 – 2007 Cisco Systems, Inc. Tous droits réservés.
Ce document contient des informations publiques Cisco. Page 12 sur 12
Tâche 7 : documentation
Sur chaque routeur, saisissez les données fournies par les commandes dans un ficher texte (.txt)
et enregistrez-les pour pouvoir les réutiliser.
• show running-config
• show ip route
• show ip interface brief
• show ip protocols
Si vous voulez revoir les procédures de saisie des données fournies par une commande, reportez-vous
aux travaux pratiques 1.5.1.
Tâche 8 : remise en état
Effacez les configurations et rechargez les routeurs. Débranchez les câbles et stockez-les. Pour les PC
hôtes normalement connectés à d’autres réseaux (comme le réseau local du centre de formation ou
Internet), remettez en place les câblages adaptés et restaurez les paramètres TCP/IP.
5.7.1 : exercice d’intégration des compétences Packet Tracer
Diagramme de topologie
Copyright sur l'intégralité du contenu © 1992–2007 Cisco Systems, Inc. Tous droits réservés.
Ce document contient des informations publiques Cisco. Page 1 sur 6
CCNA Exploration
Protocoles et concepts de routage : protocole RIP version 1 5.7.1 : exercice d’intégration des compétences Packet Tracer
Table d’adressage pour R1
Périphérique Interface Adresse IP Masque de sous-réseau
S0/0/0
S0/0/1
S0/1/0
R1
S0/1/1 209.165.201.2 255.255.255.252
Fa0/0
Fa0/1
Fa1/0
Fa1/1
B1-R1
S0/0/0
Fa0/0
Fa0/1
Fa1/0
Fa1/1
B2-R1
S0/0/0
Fa0/0
Fa0/1
Fa1/0
Fa1/1
B3-R1
S0/0/0
S0/0/0 209.165.201.1 255.255.255.252
S0/0/1 209.165.201.5 255.255.255.252ISP-R1
Fa0/0 209.165.200.225 255.255.255.252
Web Server 1 Carte réseau 209.165.200.226 255.255.255.252
Copyright sur l'intégralité du contenu © 1992–2007 Cisco Systems, Inc. Tous droits réservés.
Ce document contient des informations publiques Cisco. Page 2 sur 6
CCNA Exploration
Protocoles et concepts de routage : protocole RIP version 1 5.7.1 : Exercice d’intégration des compétences Packet Tracer
Table d’adressage pour R2
Périphérique Interface Adresse IP Masque de sous-réseau
S0/0/0
S0/0/1
S0/1/0
R2
S0/1/1 209.165.201.10 255.255.255.252
Fa0/0
Fa0/1
Fa1/0
Fa1/1
B1-R2
S0/0/0
Fa0/0
Fa0/1
Fa1/0
Fa1/1
B2-R2
S0/0/0
Fa0/0
Fa0/1
Fa1/0
Fa1/1
B3-R2
S0/0/0
S0/0/0 209.165.201.6 255.255.255.252
S0/0/1 209.165.201.9 255.255.255.252ISP-R2
Fa0/0 209.165.200.229 255.255.255.252
Web Server 2 Carte réseau 209.165.200.230 255.255.255.252
Objectifs
• Concevoir et documenter un schéma d’adressage en fonction de conditions requises
• Appliquer une configuration de base aux périphériques
• Configurer le routage statique entre les routeurs ISP
• Configurer le routage RIPv1 pour Region 1 et Region 2
• Désactiver les mises à jour RIP sur les interfaces appropriées
• Configurer les routes par défaut et redistribuer via le protocole RIP
• Vérifier la connectivité entre tous les périphériques de la topologie
Copyright sur l'intégralité du contenu © 1992–2007 Cisco Systems, Inc. Tous droits réservés.
Ce document contient des informations publiques Cisco. Page 3 sur 6
CCNA Exploration
Protocoles et concepts de routage : protocole RIP version 1 5.7.1 : Exercice d’intégration des compétences Packet Tracer
Tâche 1 : conception et documentation d’un schéma d’adressage
Étape 1 : conception d’un schéma d’adressage
À l’aide de la topologie et des spécifications suivantes, concevez un schéma d'adressage :
• Les liaisons WAN entre R1 et R2 et leurs routeurs ISP respectifs sont déjà configurées. En outre,
les liaisons entre les FAI et les serveurs Web sont déjà configurées.
• Le protocole RIPv1 étant un protocole de routage par classe, vous ne pouvez pas implémenter
de masques de sous-réseau de longueur variable (VLSM). Procédez comme suit pour subdiviser
l’espace d’adressage de chaque région :
• Le sous-réseau le plus important de l’espace d’adressage de Region 1 contient
1 000 hôtes. Quel masque de sous-réseau devez-vous utiliser pour l’espace d’adressage
10.1.0.0/16 ? __________________________
• Le sous-réseau le plus important de l’espace d’adressage de Region 2 contient
500 hôtes. Quel masque de sous-réseau devez-vous utiliser pour l’espace d’adressage
172.20.0.0/16 ? __________________________
• Pour les réseaux locaux de Region 1, affectez le sous-réseau 0 au réseau local connecté
à FastEthernet 0/0 sur B1-R1. Continuez à affecter les réseaux locaux les uns après les autres.
Le sous-réseau 1 est affecté au réseau local connecté à FastEthernet 0/1 sur B1-R1 ; le sous-
réseau 2 à FastEthernet 1/0 ; le sous-réseau 3 à FastEthernet 1/1, et ainsi de suite.
• Pour les réseaux étendus de Region 1, affectez le dernier sous-réseau à la liaison entre R1 et
B3-R1, l'avant-dernier sous-réseau à la liaison entre R1 et B2-R1 et l'antépénultième à la liaison
entre R1 et B1-R1.
• Indiquez les affectations de sous-réseau de Region 1 dans le tableau suivant :
Routeur Numéro du sous-réseau Adresse de sous-réseau
B1-R1 Fa0/0 0
>B1-R1 Fa0/1 1
B1-R1 Fa1/0 2
B1-R1 Fa1/1 3
B2-R1 Fa0/0 4
B2-R1 Fa0/1 5
B2-R1 Fa1/0 6
B2-R1 Fa1/1 7
B3-R1 Fa0/0 8
B3-R1 Fa0/1 9
B3-R1 Fa1/0 10
B3-R1 Fa1/1 11
B1-R1 <--> R1 Antépénultième
B2-R1 <--> R1 Avant-dernier
B3-R1 <--> R1 Dernier
Copyright sur l'intégralité du contenu © 1992–2007 Cisco Systems, Inc. Tous droits réservés.
Ce document contient des informations publiques Cisco. Page 4 sur 6
CCNA Exploration
Protocoles et concepts de routage : protocole RIP version 1 5.7.1 : Exercice d’intégration des compétences Packet Tracer
• Pour les réseaux locaux de Region 2, procédez de même que pour les sous-réseaux utilisés
pour Region 1 : affectez le sous-réseau 0 à l’interface Fa0/0 sur B1-R2, le sous sous-réseau 1
à Fa0/1, et ainsi de suite.
• Pour les réseaux étendus de Region 2, affectez le dernier sous-réseau à la liaison entre R2 et
B3-R2, l'avant-dernier sous-réseau à la liaison entre R2 et B2-R2 et l'antépénultième à la liaison
entre R2 et B1-R2.
• Indiquez les affectations de sous-réseau de Region 2 dans le tableau suivant :
Routeur Numéro du sous-réseau
Adresse de
sous-réseau
B1-R2 Fa0/0 0
B1-R2 Fa0/1 1
B1-R2 Fa1/0 2
B1-R2 Fa1/1 3
B2-R2 Fa0/0 4
B2-R2 Fa0/1 5
B2-R2 Fa1/0 6
B2-R2 Fa1/1 7
B3-R2 Fa0/0 8
B3-R2 Fa0/1 9
B3-R2 Fa1/0 10
B3-R2 Fa1/1 11
B1-R2 <--> R2 Antépénultième
B2-R2 <--> R2 Avant-dernier
B3-R2 <--> R2 Dernier
Étape 2 : documentation du schéma d’adressage
• Facultatif : étiquetez chaque sous-réseau dans la topologie. Pour gagner de l’espace, utilisez
uniquement les deux derniers octets, car eux seuls changent.
• Documentez les adresses IP et les masques de sous-réseau à l’aide du tableau fourni dans les
instructions papier. Affectez la première adresse IP à l’interface du routeur.
• Pour les liaisons WAN, affectez la première adresse IP à R1 et R2 pour les liaisons aux routeurs
B1, B2 et B3 respectifs de chaque routeur.
Tâche 3 : application d’une configuration de base
À l’aide de votre documentation, procédez à la configuration de base des routeurs, y compris l’adressage.
Utilisez cisco comme mot de passe de ligne et class comme mot de passe secret. Utilisez la fréquence
d’horloge 64 000.
Copyright sur l'intégralité du contenu © 1992–2007 Cisco Systems, Inc. Tous droits réservés.
Ce document contient des informations publiques Cisco. Page 5 sur 6
CCNA Exploration
Protocoles et concepts de routage : protocole RIP version 1 5.7.1 : Exercice d’intégration des compétences Packet Tracer
Copyright sur l'intégralité du contenu © 1992–2007 Cisco Systems, Inc. Tous droits réservés.
Ce document contient des informations publiques Cisco. Page 6 sur 6
Tâche 4 : configuration du routage statique entre les routeurs ISP
Chaque routeur ISP a déjà deux routes statiques vers les réseaux WAN directement connectés de l'autre
routeur ISP. Implémentez un routage statique sur chaque routeur ISP pour vérifier la connectivité entre
les deux régions.
Tâche 5 : configuration du routage RIPv1 pour Region 1 et Region 2
Configurez le routage RIP sur tous les routeurs locaux. N’oubliez pas que les routeurs ISP utilisent
uniquement le routage statique.
Tâche 6 : désactivation des mises à jour RIP sur les interfaces appropriées
Toutes les interfaces de routeur ne doivent pas envoyer de mises à jour RIP. Désactivez les mises à jour
RIP sur les interfaces appropriées.
Tâche 7 : configuration des routes par défaut et redistribution via le protocole RIP
Déterminez quels routeurs nécessitent une route par défaut. Configurez ensuite le routeur pour qu'il
redistribue la route par défaut aux autres routeurs de la région.
Tâche 8 : vérification de la connectivité entre tous les périphériques de la topologie
Étape 1 : test de la connectivité
• La connectivité de bout en bout doit maintenant être établie. Utilisez une requête ping pour tester
la connectivité sur le réseau. Chaque routeur doit pouvoir envoyer une requête ping à toutes les
autres interfaces de routeur et aux deux serveurs Web.
• Corrigez les éventuels problèmes jusqu’à ce que les requêtes ping fonctionnent.
Étape 2 : examen de la configuration
Utilisez les commandes de vérification pour vérifier que vos configurations sont complètes.
Copyright sur l’intégralité du contenu © 1992 – 2007 Cisco Systems, Inc. Tous droits réservés.
Ce document contient des informations publiques Cisco. Page 1 sur 6
Exercice 6.4.1 : adressage et calcul VLSM (notions élémentaires)
Diagramme de topologie
Table d’adressage
Périphérique Interface Adresse IP Masque de sous-réseau Passerelle par défaut
HQ
Fa0/0 s/o
Fa0/1 s/o
S0/0/0 s/o
S0/0/1 s/o
Branch1
Fa0/0 s/o
Fa0/1 s/o
S0/0/0 s/o
S0/0/1 s/o
Branch2
Fa0/0 s/o
Fa0/1 s/o
S0/0/0 s/o
S0/0/1 s/o
CCNA Exploration
Protocoles et concepts de routage :
VLSM et CIDR Exercice 6.4.1 : adressage et calcul VLSM (notions élémentaires)
Copyright sur l’intégralité du contenu © 1992 – 2007 Cisco Systems, Inc. Tous droits réservés.
Ce document contient des informations publiques Cisco. Page 2 sur 6
Objectifs pédagogiques :
À l’issue de cet exercice, vous serez en mesure d’effectuer les tâches suivantes :
 Déterminer le nombre de sous-réseaux nécessaires
 Déterminer le nombre d’hôtes nécessaires pour chaque sous-réseau
 Concevoir un système d'adressage adapté à l'aide de la technique VLSM
 Attribuer des paires d’adresses et de masques de sous-réseau aux interfaces des périphériques
 Examiner l’utilisation de l’espace d’adressage réseau disponible
Scénario
Dans cet exercice, les adresses réseau 192.168.1.0/24 vous sont attribuées : elles vous permettent de
créer des sous-réseaux et de fournir l’adressage IP du réseau présenté dans le diagramme de topologie.
La technologie VLSM sera utilisée pour répondre aux exigences d’adressage du réseau 192.168.1.0/24.
Le réseau a les exigences d’adressage suivantes :
 Le réseau local LAN1 de HQ a besoin de 50 adresses IP hôtes.
 Le réseau local LAN2 de HQ a besoin de 50 adresses IP hôtes.
 Le réseau local LAN1 de Branch1 a besoin de 20 adresses IP hôtes.
 Le réseau local LAN2 de Branch1 a besoin de 20 adresses IP hôtes.
 Le réseau local LAN1 de Branch2 a besoin de 12 adresses IP hôtes.
 Le réseau local LAN2 de Branch2 a besoin de 12 adresses IP hôtes.
 La liaison entre HQ et Branch1 nécessite une adresse IP à chaque extrémité.
 La liaison entre HQ et Branch2 nécessite une adresse IP à chaque extrémité.
 La liaison entre Branch1 et Branch2 nécessite une adresse IP à chaque extrémité.
(Remarque : n’oubliez pas que les interfaces des périphériques réseau sont également des
adresses IP hôte et figurent dans les exigences d’adressage ci-dessus).
Tâche 1 : examen de la configuration réseau nécessaire
Examinez la configuration nécessaire et répondez aux questions ci-dessous. N’oubliez pas que des
adresses IP sont nécessaires pour chaque interface de réseau local.
1. Quel est le nombre de sous-réseaux nécessaires ? _______
2. Quel est le nombre maximal d’adresses IP nécessaires par sous-réseau ? _______
3. Quel est le nombre d’adresses IP nécessaires pour chacun des réseaux locaux de Branch1 ?
_______
4. Quel est le nombre d’adresses IP nécessaires pour chacun des réseaux locaux de Branch2 ?
_______
5. Quel est le nombre d’adresses IP nécessaires pour chaque liaison de réseau étendu (WAN)
entre les routeurs ? _______
6. Quel est le nombre total d’adresses IP nécessaires ? _______
CCNA Exploration
Protocoles et concepts de routage :
VLSM et CIDR Exercice 6.4.1 : adressage et calcul VLSM (notions élémentaires)
Copyright sur l’intégralité du contenu © 1992 – 2007 Cisco Systems, Inc. Tous droits réservés.
Ce document contient des informations publiques Cisco. Page 3 sur 6
7. Quel est le nombre total d’adresses IP disponibles sur le réseau 192.168.1.0/24 ? _______
8. Les exigences d’adressage réseau peuvent-elles être satisfaites avec le réseau 192.168.1.0/24 ?
_______
Tâche 2 : conception d’un système d’adressage IP
Étape 1 : définition des informations de sous-réseau pour le ou les segments de réseau les
plusétendus
Dans cet exemple, les deux réseaux locaux LAN de HQ sont les sous-réseaux les plus étendus.
1. Quel est le nombre d’adresses IP nécessaires pour chaque réseau local ? _______
2. Quel est le plus petit sous-réseau susceptible de remplir cette condition ? _______
3. Quel est le nombre maximal d’adresses IP pouvant être attribuées dans ce petit sous-réseau ?
_______
Étape 2 : attribution de sous-réseaux aux réseaux locaux de HQ
Commencez au début du réseau 192.168.1.0/24.
1. Attribuez le premier sous-réseau disponible au réseau local LAN1 de HQ.
2. Complétez le tableau ci-dessous avec les informations correctes.
Sous-réseau du réseau local LAN1 de HQ
Adresse
réseau
Masque de
sous-réseau
décimal
Masque de
sous-réseau
CIDR
Première
adresse IP
utilisable
Dernière
adresse IP
utilisable
Adresse
de diffusion
3. Attribuez le sous-réseau disponible suivant au réseau local LAN2 de HQ.
4. Complétez le tableau ci-dessous avec les informations correctes.
Sous-réseau du réseau local LAN2 de HQ
Adresse
réseau
Masque de
sous-réseau
décimal
Masque de
sous-réseau
CIDR
Première
adresse IP
utilisable
Dernière
adresse IP
utilisable
Adresse
de diffusion
Étape 3 : définition des informations de sous-réseau pour le ou les segments de réseau suivants
les plus étendus
Dans cet exemple, les deux réseaux locaux de Branch1 sont les deuxièmes sous-réseaux les
plus étendus.
1. Quel est le nombre d’adresses IP nécessaires pour chaque réseau local ? _______
2. Quel est le plus petit sous-réseau susceptible de remplir cette condition ? _______
3. Quel est le nombre maximal d’adresses IP pouvant être attribuées dans ce petit sous-réseau ?
_______
CCNA Exploration
Protocoles et concepts de routage :
VLSM et CIDR Exercice 6.4.1 : adressage et calcul VLSM (notions élémentaires)
Copyright sur l’intégralité du contenu © 1992 – 2007 Cisco Systems, Inc. Tous droits réservés.
Ce document contient des informations publiques Cisco. Page 4 sur 6
Étape 4 : attribution d’un sous-réseau aux réseaux locaux de BRANCH1
Commencez par l’adresse IP qui suit les sous-réseaux du réseau local de HQ.
1. Attribuez le sous-réseau suivant au réseau local LAN1 de Branch1.
2. Complétez le tableau ci-dessous avec les informations correctes.
Sous-réseau du réseau local LAN1 de Branch1
Adresse
réseau
Masque de
sous-réseau
décimal
Masque de
sous-réseau
CIDR
Première
adresse IP
utilisable
Dernière
adresse IP
utilisable
Adresse
de diffusion
3. Attribuez le sous-réseau disponible suivant au réseau local LAN2 de Branch1.
4. Complétez le tableau ci-dessous avec les informations correctes.
Sous-réseau du réseau local LAN2 de Branch1
Adresse
réseau
Masque de
sous-réseau
décimal
Masque de
sous-réseau
CIDR
Première
adresse IP
utilisable
Dernière
adresse IP
utilisable
Adresse
de diffusion
Étape 5 : céfinition des informations de sous-réseau pour le ou les segments de réseau suivants
les plus étendus
Dans cet exemple, les deux réseaux locaux de Branch2 sont les sous-réseaux les plus étendus.
1. Quel est le nombre d’adresses IP nécessaires pour chaque réseau local ? _______
2. Quel est le plus petit sous-réseau susceptible de remplir cette condition ? _______
3. Quel est le nombre maximal d’adresses IP pouvant être attribuées dans ce petit sous-réseau ?
_______
Étape 6 : attribution des sous-réseaux aux réseaux locaux de BRANCH2
Commencez par l’adresse IP qui suit les sous-réseaux du réseau local de Branch1.
1. Attribuez le sous-réseau suivant au réseau local LAN1 de Branch2. Complétez le tableau
ci-dessous avec les informations correctes.
Sous-réseau du réseau local LAN1 de Branch2
Adresse
réseau
Masque de
sous-réseau
décimal
Masque de
sous-réseau
CIDR
Première
adresse IP
utilisable
Dernière
adresse IP
utilisable
Adresse
de diffusion
2. Attribuez le sous-réseau disponible suivant au réseau local LAN2 de Branch2.
3. Complétez le tableau ci-dessous avec les informations correctes.
CCNA Exploration
Protocoles et concepts de routage :
VLSM et CIDR Exercice 6.4.1 : adressage et calcul VLSM (notions élémentaires)
Copyright sur l’intégralité du contenu © 1992 – 2007 Cisco Systems, Inc. Tous droits réservés.
Ce document contient des informations publiques Cisco. Page 5 sur 6
Sous-réseau du réseau local LAN2 de Branch2
Adresse
réseau
Masque de
sous-réseau
décimal
Masque de
sous-réseau
CIDR
Première
adresse IP
utilisable
Dernière
adresse IP
utilisable
Adresse
de diffusion
Étape 7 : définition des informations de sous-réseau pour les liaisons entre les routeurs
1. Quel est le nombre d’adresses IP nécessaires pour chaque liaison ? _______
2. Quel est le plus petit sous-réseau susceptible de remplir cette condition ? _______
3. Quel est le nombre maximal d’adresses IP pouvant être attribuées dans ce petit sous-réseau ?
_______
Étape 8 : attribution des sous-réseaux aux liaisons
Commencez par l’adresse IP qui suit les sous-réseaux du réseau local de Branch2.
1. Attribuez le sous-réseau disponible suivant à la liaison entre les routeurs HQ et Branch1.
2. Complétez le tableau ci-dessous avec les informations correctes.
Liaison entre HQ et le sous-réseau Branch1
Adresse
réseau
Masque de
sous-réseau
décimal
Masque de
sous-réseau
CIDR
Première
adresse IP
utilisable
Dernière
adresse IP
utilisable
Adresse
de diffusion
3. Attribuez le sous-réseau disponible suivant à la liaison entre les routeurs HQ et Branch2.
4. Complétez le tableau ci-dessous avec les informations correctes.
Liaison entre HQ et le sous-réseau Branch2
Adresse
réseau
Masque de
sous-réseau
décimal
Masque de
sous-réseau
CIDR
Première
adresse IP
utilisable
Dernière
adresse IP
utilisable
Adresse
de diffusion
5. Attribuez le sous-réseau disponible suivant à la liaison entre les routeurs de Branch1 et
de Branch2.
6. Complétez le tableau ci-dessous avec les informations correctes.
Liaison entre les sous-réseaux Branch1 et Branch2
Adresse
réseau
Masque de
sous-réseau
décimal
Masque de
sous-réseau
CIDR
Première
adresse IP
utilisable
Dernière
adresse IP
utilisable
Adresse
de diffusion
CCNA Exploration
Protocoles et concepts de routage :
VLSM et CIDR Exercice 6.4.1 : adressage et calcul VLSM (notions élémentaires)
Copyright sur l’intégralité du contenu © 1992 – 2007 Cisco Systems, Inc. Tous droits réservés.
Ce document contient des informations publiques Cisco. Page 6 sur 6
Tâche 3 : attribution d’adresses IP aux périphériques réseau
Attribuez les adresses appropriées aux interfaces des périphériques. Les informations sur les adresses
à utiliser figurent dans le tableau d’adressage sous le diagramme de topologie.
Étape 1 : attribution d’adresses au routeur HQ
1. Attribuez la première adresse hôte valide de sous-réseau du réseau local LAN1 de HQ
à l’interface du réseau local Fa0/0.
2. Attribuez la première adresse hôte valide de sous-réseau du réseau local LAN2 de HQ
à l’interface du réseau local Fa0/1.
3. Attribuez la première adresse hôte valide de la liaison entre le sous-réseau de HQ et Branch1
à l’interface S0/0/0.
4. Attribuez la première adresse hôte valide de la liaison entre le sous-réseau de HQ et Branch2
à l’interface S0/0/1.
Étape 2 : attribution d’adresses au routeur Branch1
1. Attribuez la première adresse hôte valide de sous-réseau du réseau local LAN1 de Branch1
à l’interface du réseau local Fa0/0.
2. Attribuez la première adresse hôte valide de sous-réseau du réseau local LAN2 de Branch1
à l’interface du réseau local Fa0/1.
3. Attribuez la première adresse hôte valide de la liaison entre le sous-réseau Branch1 et HQ
à l’interface S0/0/0.
4. Attribuez la première adresse hôte valide de la liaison entre les sous-réseaux Branch1
et Branch2 à l’interface S0/0/1.
Étape 3 : attribution des adresses au routeur Branch2
1. Attribuez la première adresse hôte valide de sous-réseau du réseau local LAN1 de Branch2
à l’interface du réseau local Fa0/0.
2. Attribuez la première adresse hôte valide de sous-réseau du réseau local LAN2 de Branch2
à l’interface du réseau local Fa0/1.
3. Attribuez la dernière adresse hôte valide de la liaison entre HQ et le sous-réseau Branch2
à l’interface S0/0/1.
4. Attribuez la dernière adresse hôte valide de la liaison entre les sous-réseaux Branch1 et Branch2
à l’interface S0/0/0.
Copyright sur l’intégralité du contenu © 1992 – 2007 Cisco Systems, Inc. Tous droits réservés.
Ce document contient des informations publiques Cisco. Page 1 sur 13
Exercice 6.4.2 : adressage et calcul VLSM (notions avancées)
Diagramme de topologie
CCNA Exploration
Protocoles et concepts de routage :
VLSM et CIDR Exercice 6.4.2 : adressage et calcul VLSM (notions avancées)
Copyright sur l’intégralité du contenu © 1992 – 2007 Cisco Systems, Inc. Tous droits réservés.
Ce document contient des informations publiques Cisco. Page 2 sur 13
Objectifs pédagogiques :
 Déterminer le nombre de sous-réseaux nécessaires
 Déterminer le nombre d’hôtes nécessaires pour chaque sous-réseau
 Concevoir un système d'adressage adapté à l'aide de la technique VLSM
Scénario
Dans cet exercice, les adresses réseau 172.16.0.0/16 vous sont attribuées : elles vous permettent de
créer des sous-réseaux et de fournir l’adressage IP du réseau présenté dans le diagramme de topologie.
La technologie VLSM est utilisée pour répondre aux exigences d’adressage du réseau 172.16.0.0/16.
Le réseau a les exigences d’adressage suivantes :
 Section du réseau East
 Le réseau LAN1 de N-EAST (Nord-Est) a besoin de 4000 adresses IP hôte.
 Le réseau LAN2 de N-EAST (Nord-Est) a besoin de 4000 adresses IP hôte.
 Le réseau local LAN1 de SE-BR1 (Sud-Est Branch1) a besoin de 1000 adresses IP hôte.
 Le réseau local LAN2 de SE-BR1 (Sud-Est Branch1) a besoin de 1000 adresses IP hôte.
 Le réseau local LAN1 de SE-BR2 (Sud-Est Branch2) a besoin de 500 adresses IP hôte.
 Le réseau local LAN2 de SE-BR2 (Sud-Est Branch2) a besoin de 500 adresses IP hôte.
 Le réseau local LAN1 de SE-ST1 (Sud-Est Satellite1) a besoin de 250 adresses IP hôte.
 Le réseau local LAN2 de SE-ST1 (Sud-Est Satellite1) a besoin de 250 adresses IP hôte.
 Le réseau local LAN1 de SE-ST2 (Sud-Est Satellite1) a besoin de 125 adresses IP hôte.
 Le réseau local LAN2 de SE-ST2 (Sud-Est Satellite1) a besoin de 125 adresses IP hôte.
 Section du réseau West
 Le réseau local LAN1 de S-WEST (Sud-Ouest) a besoin de 4000 adresses IP hôte.
 Le réseau local LAN2 de S-WEST (Sud-Ouest) a besoin de 4000 adresses IP hôte.
 Le réseau local LAN2 de NW-BR1 (Nord-Ouest Branch1) a besoin de 200 adresses IP hôte.
 Le réseau local LAN1 de NW-BR1 (Nord-Ouest Branch1) a besoin de 200 adresses IP hôte.
 Le réseau local LAN1 de NW-BR2 (Nord-Ouest Branch2) a besoin de 1000 adresses IP hôte.
 Le réseau local LAN2 de NW-BR2 (Nord-Ouest Branch2) a besoin de 1000 adresses IP hôte.
 Section du réseau Central
 Le réseau local LAN1 du réseau Central a besoin de 8000 adresses IP hôte.
 Le réseau local LAN2 du réseau Central a besoin de 4000 adresses IP hôte.
 Les liaisons étendues (WAN) entre chaque routeur exigent une adresse IP par extrémité.
(Remarque : n’oubliez pas que les interfaces des périphériques réseau sont également des
adresses IP hôte et figurent dans les exigences d’adressage ci-dessus).
CCNA Exploration
Protocoles et concepts de routage :
VLSM et CIDR Exercice 6.4.2 : adressage et calcul VLSM (notions avancées)
Copyright sur l’intégralité du contenu © 1992 – 2007 Cisco Systems, Inc. Tous droits réservés.
Ce document contient des informations publiques Cisco. Page 3 sur 13
Tâche 1 : examen de la configuration réseau nécessaire
Examinez la configuration nécessaire et répondez aux questions ci-dessous. N’oubliez pas que des
adresses IP sont nécessaires pour chaque interface de réseau local.
1. Combien de sous-réseaux du réseau local sont-ils nécessaires ? _______
2. Quel est le nombre de sous-réseaux nécessaires pour les liaisons WAN entre routeurs ?
_______
3. Quel est le nombre total de sous-réseaux nécessaires ? _______
4. Quel est le nombre maximal d’adresses IP hôte nécessaires pour un seul sous-réseau ?
_______
5. Quel est le nombre minimal d’adresses IP hôte nécessaires pour un seul sous-réseau ? _______
6. Combien d’adresses IP sont nécessaires pour la portion East du réseau ? N’oubliez pas d’inclure
les liaisons WAN entre les routeurs. __________
7. Combien d’adresses IP sont nécessaires pour la portion West du réseau ? N’oubliez pas d’inclure
les liaisons WAN entre les routeurs. __________
8. Combien d’adresses IP sont nécessaires pour la portion Central du réseau ? N’oubliez pas
d’inclure les liaisons WAN entre les routeurs. __________
9. Quel est le nombre total d’adresses IP nécessaires ? __________
10. Quel est le nombre total d’adresses IP disponibles sur le réseau 172.16.0.0/16 ? _________
11. Les exigences d’adressage du réseau peuvent-elles être satisfaites avec le réseau
172.16.0.0/16 ? _______
Tâche 2 : division du réseau en trois sous-réseaux
Étape 1 : définition des informations de sous-réseau pour chaque section du réseau
Pour que les sous-réseaux de chaque grande section du réseau restent contigus, commencez par créer
un sous-réseau principal pour chaque section East, West et Central.
1. Quel est le plus petit sous-réseau susceptible de remplir les conditions d’adressage du réseau
East ? _______
2. Quel est le nombre maximal d’adresses IP pouvant être attribuées dans ce petit sous-réseau ?
_______
3. Quel est le plus petit sous-réseau susceptible de remplir les conditions d’adressage du réseau
West ? _______
4. Quel est le nombre maximal d’adresses IP pouvant être attribuées dans ce petit sous-réseau ?
_______
5. Quel est le plus petit sous-réseau susceptible de remplir les conditions d’adressage du réseau
Central ? _______
6. Quel est le nombre maximal d’adresses IP pouvant être attribuées dans ce petit sous-réseau ?
_______
CCNA Exploration
Protocoles et concepts de routage :
VLSM et CIDR Exercice 6.4.2 : adressage et calcul VLSM (notions avancées)
Copyright sur l’intégralité du contenu © 1992 – 2007 Cisco Systems, Inc. Tous droits réservés.
Ce document contient des informations publiques Cisco. Page 4 sur 13
Étape 2 : attribution des sous-réseaux
1. Démarrez au début du réseau 172.16.0.0/16. Attribuez le premier sous-réseau disponible à la
section East du réseau.
2. Complétez le tableau ci-dessous avec les informations correctes.
Sous-réseau East
Adresse
réseau
Masque de
sous-réseau
décimal
Masque de
sous-réseau
CIDR
Première
adresse IP
utilisable
Dernière
adresse IP
utilisable
Adresse
de diffusion
3. Attribuez le sous-réseau disponible suivant à la section West du réseau.
4. Complétez le tableau ci-dessous avec les informations correctes.
Sous-réseau West
Adresse
réseau
Masque de
sous-réseau
décimal
Masque de
sous-réseau
CIDR
Première
adresse IP
utilisable
Dernière
adresse IP
utilisable
Adresse
de diffusion
5. Attribuez le sous-réseau disponible suivant à la section Central du réseau.
6. Complétez le tableau ci-dessous avec les informations correctes.
Sous-réseau Central
Adresse
réseau
Masque de
sous-réseau
décimal
Masque de
sous-réseau
CIDR
Première
adresse IP
utilisable
Dernière
adresse IP
utilisable
Adresse
de diffusion
Tâche 3 : conception d’un système d’adressage IP pour le réseau Central
Étape 1 : définition des informations de sous-réseau pour le réseau local LAN1 du réseau Central
Utilisez l’espace d’adressage conçu pour le réseau Central au cours de la tâche 1.
1. Quel est le plus petit sous-réseau susceptible de remplir cette condition ? _______
2. Quel est le nombre maximal d’adresses IP pouvant être attribuées dans ce petit sous-réseau ?
_______
Étape 2 : attribution d’un sous-réseau au réseau local LAN1 du réseau Central
Commencez au début de l’espace d’adressage conçu pour le réseau Centre.
1. Attribuez le premier sous-réseau au réseau local LAN1 du réseau Centre.
2. Complétez le tableau ci-dessous avec les informations correctes.
CCNA Exploration
Protocoles et concepts de routage :
VLSM et CIDR Exercice 6.4.2 : adressage et calcul VLSM (notions avancées)
Copyright sur l’intégralité du contenu © 1992 – 2007 Cisco Systems, Inc. Tous droits réservés.
Ce document contient des informations publiques Cisco. Page 5 sur 13
Sous-réseau du réseau local LAN1 du réseau Central
Adresse
réseau
Masque de
sous-réseau
décimal
Masque de
sous-réseau
CIDR
Première
adresse IP
utilisable
Dernière
adresse IP
utilisable
Adresse
de diffusion
Étape 3 : définition des informations de sous-réseau pour le réseau local LAN2 du réseau Central
1. Quel est le plus petit sous-réseau susceptible de remplir cette condition ? _______
2. Quel est le nombre maximal d’adresses IP pouvant être attribuées dans ce petit sous-réseau ?
_______
Étape 4 : attribution d’un sous-réseau au réseau local LAN2 du réseau Central
1. Attribuez le sous-réseau disponible suivant au réseau local LAN2 du réseau Central.
2. Complétez le tableau ci-dessous avec les informations correctes.
Sous-réseau du réseau local LAN2 du réseau Central
Adresse
réseau
Masque de
sous-réseau
décimal
Masque de
sous-réseau
CIDR
Première
adresse IP
utilisable
Dernière
adresse IP
utilisable
Adresse
de diffusion
Étape 5 : définition des informations de sous-réseau pour la liaison WAN entre le routeur Central
et le routeur HQ
1. Quel est le plus petit sous-réseau susceptible de remplir cette condition ? _______
2. Quel est le nombre maximal d’adresses IP pouvant être attribuées dans ce petit sous-réseau ?
_______
Étape 6 : attribution d’un sous-réseau à la liaison WAN
1. Attribuez le sous-réseau disponible suivant à la liaison WAN entre le routeur Central
et le routeur HQ.
2. Complétez le tableau ci-dessous avec les informations correctes.
Liaison WAN entre les sous-réseaux Central et HQ
Adresse
réseau
Masque de
sous-réseau
décimal
Masque de
sous-réseau
CIDR
Première
adresse IP
utilisable
Dernière
adresse IP
utilisable
Adresse
de diffusion
CCNA Exploration
Protocoles et concepts de routage :
VLSM et CIDR Exercice 6.4.2 : adressage et calcul VLSM (notions avancées)
Copyright sur l’intégralité du contenu © 1992 – 2007 Cisco Systems, Inc. Tous droits réservés.
Ce document contient des informations publiques Cisco. Page 6 sur 13
Tâche 4 : conception d’un système d’adressage IP pour le réseau West
Étape 1 : définition des informations de sous-réseau pour le réseau local LAN1 de S-WEST
Utilisez l’espace d’adressage conçu pour le réseau West au cours de la tâche 1.
1. Quel est le plus petit sous-réseau susceptible de remplir cette condition ? _______
2. Quel est le nombre maximal d’adresses IP pouvant être attribuées dans ce petit sous-réseau ?
_______
Étape 2 : attribution d’un sous-réseau au réseau local LAN1 de S-WEST
Commencez au début de l’espace d’adressage conçu pour le réseau West.
1. Attribuez le premier sous-réseau au réseau local LAN1 de S-WEST.
2. Complétez le tableau ci-dessous avec les informations correctes.
Sous-réseau du réseau local LAN1 de S-WEST
Adresse
réseau
Masque de
sous-réseau
décimal
Masque de
sous-réseau
CIDR
Première
adresse IP
utilisable
Dernière
adresse IP
utilisable
Adresse
de diffusion
Étape 3 : définition des informations de sous-réseau pour le réseau local LAN2 de S-WEST
1. Quel est le plus petit sous-réseau susceptible de remplir cette condition ? _______
2. Quel est le nombre maximal d’adresses IP pouvant être attribuées dans ce petit sous-réseau ?
_______
Étape 4 : attribution d’un sous-réseau au réseau local LAN2 de S-WEST
1. Attribuez le sous-réseau disponible suivant au réseau local LAN2 de S-WEST.
2. Complétez le tableau ci-dessous avec les informations correctes.
Sous-réseau du réseau local LAN2 de S-WEST
Adresse
réseau
Masque de
sous-réseau
décimal
Masque de
sous-réseau
CIDR
Première
adresse IP
utilisable
Dernière
adresse IP
utilisable
Adresse
de diffusion
Étape 5 : définition des informations de sous-réseau pour le réseau local LAN1 de NW-BR1
1. Quel est le plus petit sous-réseau susceptible de remplir cette condition ? _______
2. Quel est le nombre maximal d’adresses IP pouvant être attribuées dans ce petit sous-réseau ?
_______
Étape 6 : attribution d’un sous-réseau au réseau local LAN1 de NW-BR1
1. Attribuez le sous-réseau disponible suivant au réseau local LAN1 de NW-BR1.
CCNA Exploration
Protocoles et concepts de routage :
VLSM et CIDR Exercice 6.4.2 : adressage et calcul VLSM (notions avancées)
Copyright sur l’intégralité du contenu © 1992 – 2007 Cisco Systems, Inc. Tous droits réservés.
Ce document contient des informations publiques Cisco. Page 7 sur 13
2. Complétez le tableau ci-dessous avec les informations correctes.
Sous-réseau du réseau local LAN1 de NW-BR1
Adresse
réseau
Masque de
sous-réseau
décimal
Masque de
sous-réseau
CIDR
Première
adresse IP
utilisable
Dernière
adresse IP
utilisable
Adresse
de diffusion
Étape 7 : définition des informations de sous-réseau pour le réseau local LAN2 de NW-BR1
1. Quel est le plus petit sous-réseau susceptible de remplir cette condition ? _______
2. Quel est le nombre maximal d’adresses IP pouvant être attribuées dans ce petit sous-réseau ?
_______
Étape 8 : attribution d’un sous-réseau au réseau local LAN2 de NW-BR1
1. Attribuez le sous-réseau disponible suivant au réseau local LAN2 de NW-BR1.
2. Complétez le tableau ci-dessous avec les informations correctes.
Sous-réseau du réseau local LAN2 de NW-BR1
Adresse
réseau
Masque de
sous-réseau
décimal
Masque de
sous-réseau
CIDR
Première
adresse IP
utilisable
Dernière
adresse IP
utilisable
Adresse
de diffusion
Étape 9 : définition des informations de sous-réseau pour le réseau local LAN1 de NW-BR2
1. Quel est le plus petit sous-réseau susceptible de remplir cette condition ? _______
2. Quel est le nombre maximal d’adresses IP pouvant être attribuées dans ce petit sous-réseau ?
_______
Étape 10 : attribution d’un sous-réseau au réseau local LAN1 de NW-BR2
1. Attribuez le sous-réseau disponible suivant au réseau local LAN1 de NW-BR2.
2. Complétez le tableau ci-dessous avec les informations correctes.
Sous-réseau du réseau local LAN1 de NW-BR2
Adresse
réseau
Masque de
sous-réseau
décimal
Masque de
sous-réseau
CIDR
Première
adresse IP
utilisable
Dernière
adresse IP
utilisable
Adresse
de diffusion
CCNA Exploration
Protocoles et concepts de routage :
VLSM et CIDR Exercice 6.4.2 : adressage et calcul VLSM (notions avancées)
Copyright sur l’intégralité du contenu © 1992 – 2007 Cisco Systems, Inc. Tous droits réservés.
Ce document contient des informations publiques Cisco. Page 8 sur 13
Étape 11 : définition des informations de sous-réseau pour le réseau local LAN2 de NW-BR2
1. Quel est le plus petit sous-réseau susceptible de remplir cette condition ? _______
2. Quel est le nombre maximal d’adresses IP pouvant être attribuées dans ce petit sous-réseau ?
_______
Étape 12 : attribution d’un sous-réseau au réseau local LAN2 de NW-BR2
1. Attribuez le sous-réseau disponible suivant au réseau local LAN2 de NW-BR2.
2. Complétez le tableau ci-dessous avec les informations correctes.
Sous-réseau du réseau local LAN2 de NW-BR2
Adresse
réseau
Masque de
sous-réseau
décimal
Masque de
sous-réseau
CIDR
Première
adresse IP
utilisable
Dernière
adresse IP
utilisable
Adresse
de diffusion
Étape 13 : définition des informations de sous-réseau pour les liaisons WAN entre les routeurs
du réseau West
1. Quel est le nombre de liaisons WAN routeur/routeur dans le réseau West ? _______
2. Quel est le nombre d’adresses IP nécessaires pour chacune de ces liaisons WAN ? _______
3. Quel est le plus petit sous-réseau susceptible de remplir cette condition ? _______
4. Quel est le nombre maximal d’adresses IP pouvant être attribuées dans ce petit sous-réseau ?
_______
Étape 14 : attribution des sous-réseaux aux liaisons WAN
1. Attribuez les sous-réseaux disponibles suivants aux liaisons WAN entre les routeurs.
2. Complétez le tableau ci-dessous avec les informations correctes.
Liaisons WAN entre les routeurs du réseau West
Liaison
WAN
Adresse
réseau
Masque de sous-
réseau décimal
Masque
de sous-
réseau
CIDR
Première
adresse IP
utilisable
Dernière
adresse IP
utilisable
Adresse
de diffusion
HQ vers
WEST
WEST vers
S-WEST
WEST vers
N-WEST
N-WEST
vers
NW-BR1
N-WEST
vers
NW-BR2
CCNA Exploration
Protocoles et concepts de routage :
VLSM et CIDR Exercice 6.4.2 : adressage et calcul VLSM (notions avancées)
Copyright sur l’intégralité du contenu © 1992 – 2007 Cisco Systems, Inc. Tous droits réservés.
Ce document contient des informations publiques Cisco. Page 9 sur 13
Tâche 5 : conception d’un système d’adressage IP pour le réseau East
Étape 1 : définition des informations de sous-réseau pour le réseau local LAN1 de N-EAST
Utilisez l’espace d’adressage conçu pour le réseau East au cours de la tâche 1.
1. Quel est le plus petit sous-réseau susceptible de remplir cette condition ? _______
2. Quel est le nombre maximal d’adresses IP pouvant être attribuées dans ce petit sous-réseau ?
_______
Étape 2 : attribution d’un sous-réseau au réseau local LAN1 de N-EAST
Commencez au début de l’espace d’adressage conçu pour le réseau East.
1. Attribuez le premier sous-réseau au réseau local LAN1 de N-EAST.
2. Complétez le tableau ci-dessous avec les informations correctes.
Sous-réseau du réseau local LAN1 de N-EAST
Adresse
réseau
Masque de
sous-réseau
décimal
Masque de
sous-réseau
CIDR
Première
adresse IP
utilisable
Dernière
adresse IP
utilisable
Adresse
de diffusion
Étape 3 : définition des informations de sous-réseau pour le réseau local LAN2 de N-EAST
1. Quel est le plus petit sous-réseau susceptible de remplir cette condition ? _______
2. Quel est le nombre maximal d’adresses IP pouvant être attribuées dans ce petit sous-réseau ?
_______
Étape 4 : attribution d’un sous-réseau au réseau local LAN2 de N-EAST
1. Attribuez le sous-réseau disponible suivant au réseau local LAN2 de N-EAST.
2. Complétez le tableau ci-dessous avec les informations correctes.
Sous-réseau du réseau local LAN2 de N-EAST
Adresse
réseau
Masque de
sous-réseau
décimal
Masque de
sous-réseau
CIDR
Première
adresse IP
utilisable
Dernière
adresse IP
utilisable
Adresse
de diffusion
Étape 5 : définition des informations de sous-réseau pour le réseau local LAN1 de SE-BR1
1. Quel est le plus petit sous-réseau susceptible de remplir cette condition ? _______
2. Quel est le nombre maximal d’adresses IP pouvant être attribuées dans ce petit sous-réseau ?
_______
CCNA Exploration
Protocoles et concepts de routage :
VLSM et CIDR Exercice 6.4.2 : adressage et calcul VLSM (notions avancées)
Copyright sur l’intégralité du contenu © 1992 – 2007 Cisco Systems, Inc. Tous droits réservés.
Ce document contient des informations publiques Cisco. Page 10 sur 13
Étape 6 : zttribution d’un sous-réseau au réseau local LAN1 de SE-BR1
1. Attribuez le sous-réseau disponible suivant au réseau local LAN1 de SE-BR1.
2. Complétez le tableau ci-dessous avec les informations correctes.
Sous-réseau du réseau local LAN1 de SE-BR1
Adresse
réseau
Masque de
sous-réseau
décimal
Masque de
sous-réseau
CIDR
Première
adresse IP
utilisable
Dernière
adresse IP
utilisable
Adresse
de diffusion
Étape 7 : définition des informations de sous-réseau pour le réseau local LAN2 de SE-BR1
1. Quel est le plus petit sous-réseau susceptible de remplir cette condition ? _______
2. Quel est le nombre maximal d’adresses IP pouvant être attribuées dans ce petit sous-réseau ?
_______
Étape 8 : attribution d’un sous-réseau au réseau local LAN2 de SE-BR1
1. Attribuez le sous-réseau disponible suivant au réseau local LAN2 de SE-BR1.
2. Complétez le tableau ci-dessous avec les informations correctes.
Sous-réseau du réseau local LAN2 de SE-BR1
Adresse
réseau
Masque de
sous-réseau
décimal
Masque de
sous-réseau
CIDR
Première
adresse IP
utilisable
Dernière
adresse IP
utilisable
Adresse
de diffusion
Étape 9 : définition des informations de sous-réseau pour le réseau local LAN1 de SE-BR2
1. Quel est le plus petit sous-réseau susceptible de remplir cette condition ? _______
2. Quel est le nombre maximal d’adresses IP pouvant être attribuées dans ce petit sous-réseau ?
_______
Étape 10 : attribution d’un sous-réseau au réseau local LAN1 de SE-BR2
1. Attribuez le sous-réseau disponible suivant au réseau local LAN1 de SE-BR2.
2. Complétez le tableau ci-dessous avec les informations correctes.
Sous-réseau du réseau local LAN1 de SE-BR2
Adresse
réseau
Masque de
sous-réseau
décimal
Masque de
sous-réseau
CIDR
Première
adresse IP
utilisable
Dernière
adresse IP
utilisable
Adresse
de diffusion
CCNA Exploration
Protocoles et concepts de routage :
VLSM et CIDR Exercice 6.4.2 : adressage et calcul VLSM (notions avancées)
Copyright sur l’intégralité du contenu © 1992 – 2007 Cisco Systems, Inc. Tous droits réservés.
Ce document contient des informations publiques Cisco. Page 11 sur 13
Étape 11 : définition des informations de sous-réseau pour le réseau local LAN2 de SE-BR2
1. Quel est le plus petit sous-réseau susceptible de remplir cette condition ? _______
2. Quel est le nombre maximal d’adresses IP pouvant être attribuées dans ce petit sous-réseau ?
_______
Étape 12 : attribution d’un sous-réseau au réseau local LAN2 de SE-BR2
1. Attribuez le sous-réseau disponible suivant au réseau local LAN2 de SE-BR2.
2. Complétez le tableau ci-dessous avec les informations correctes.
Sous-réseau du réseau local LAN2 de SE-BR2
Adresse
réseau
Masque de
sous-réseau
décimal
Masque de
sous-réseau
CIDR
Première
adresse IP
utilisable
Dernière
adresse IP
utilisable
Adresse
de diffusion
Étape 13 : définition des informations de sous-réseau pour le réseau local LAN1 de SE-ST1
1. Quel est le plus petit sous-réseau susceptible de remplir cette condition ? _______
2. Quel est le nombre maximal d’adresses IP pouvant être attribuées dans ce petit sous-réseau ?
_______
Étape 14 : attribution d’un sous-réseau au réseau local LAN1 de SE-ST1
1. Attribuez le sous-réseau disponible suivant au réseau local LAN1 de SE-ST1.
2. Complétez le tableau ci-dessous avec les informations correctes.
Sous-réseau du réseau local LAN1 de SE-ST1
Adresse
réseau
Masque de
sous-réseau
décimal
Masque de
sous-réseau
CIDR
Première
adresse IP
utilisable
Dernière
adresse IP
utilisable
Adresse
de diffusion
Étape 15 : définition des informations de sous-réseau pour le réseau local LAN2 de SE-ST1
1. Quel est le plus petit sous-réseau susceptible de remplir cette condition ? _______
2. Quel est le nombre maximal d’adresses IP pouvant être attribuées dans ce petit sous-réseau ?
_______
Étape 16 : attribution d’un sous-réseau au réseau local LAN2 de SE-ST1
1. Attribuez le sous-réseau disponible suivant au réseau local LAN2 de SE-ST1.
2. Complétez le tableau ci-dessous avec les informations correctes.
CCNA Exploration
Protocoles et concepts de routage :
VLSM et CIDR Exercice 6.4.2 : adressage et calcul VLSM (notions avancées)
Copyright sur l’intégralité du contenu © 1992 – 2007 Cisco Systems, Inc. Tous droits réservés.
Ce document contient des informations publiques Cisco. Page 12 sur 13
Sous-réseau du réseau local LAN2 de SE-ST1
Adresse
réseau
Masque de
sous-réseau
décimal
Masque de
sous-réseau
CIDR
Première
adresse IP
utilisable
Dernière
adresse IP
utilisable
Adresse
de diffusion
Étape 17 : définition des informations de sous-réseau pour le réseau local LAN1 de SE-ST2
1. Quel est le plus petit sous-réseau susceptible de remplir cette condition ? _______
2. Quel est le nombre maximal d’adresses IP pouvant être attribuées dans ce petit sous-réseau ?
_______
Étape 18 : attribution d’un sous-réseau au réseau local LAN1 de SE-ST2
1. Attribuez le sous-réseau disponible suivant au réseau local LAN1 de SE-ST2.
2. Complétez le tableau ci-dessous avec les informations correctes.
Sous-réseau du réseau local LAN1 de SE-ST2
Adresse
réseau
Masque de
sous-réseau
décimal
Masque de
sous-réseau
CIDR
Première
adresse IP
utilisable
Dernière
adresse IP
utilisable
Adresse
de diffusion
Étape 19 : définition des informations de sous-réseau pour le réseau local LAN2 de SE-ST2
1. Quel est le plus petit sous-réseau susceptible de remplir cette condition ? _______
2. Quel est le nombre maximal d’adresses IP pouvant être attribuées dans ce petit sous-réseau ?
_______
Étape 20 : attribution d’un sous-réseau au réseau local LAN2 de SE-ST2
1. Attribuez le sous-réseau disponible suivant au réseau local LAN2 de SE-ST2.
2. Complétez le tableau ci-dessous avec les informations correctes.
Sous-réseau du réseau local LAN2 de SE-ST2
Adresse
réseau
Masque de
sous-réseau
décimal
Masque de
sous-réseau
CIDR
Première
adresse IP
utilisable
Dernière
adresse IP
utilisable
Adresse
de diffusion
Étape 21 : définition des informations de sous-réseau pour les liaisons WAN entre les routeurs
du réseau East
1. Quel est le nombre de liaisons WAN routeur/routeur dans le réseau East ? _______
2. Quel est le nombre d’adresses IP nécessaires pour chacune de ces liaisons WAN ? _______
3. Quel est le plus petit sous-réseau susceptible de remplir cette condition ? _______
4. Quel est le nombre maximal d’adresses IP pouvant être attribuées dans ce petit sous-réseau ?
_______
CCNA Exploration
Protocoles et concepts de routage :
VLSM et CIDR Exercice 6.4.2 : adressage et calcul VLSM (notions avancées)
Copyright sur l’intégralité du contenu © 1992 – 2007 Cisco Systems, Inc. Tous droits réservés.
Ce document contient des informations publiques Cisco. Page 13 sur 13
Étape 22 : attribution des sous-réseaux aux liaisons WAN
1. Attribuez les sous-réseaux disponibles suivants aux liaisons WAN entre les routeurs.
2. Complétez le tableau ci-dessous avec les informations correctes.
Liaisons WAN entre les routeurs du réseau East
Liaison
WAN
Adresse
réseau
Masque de sous-
réseau décimal
Masque
de sous-
réseau
CIDR
Première
adresse IP
utilisable
Dernière
adresse IP
utilisable
Adresse
de diffusion
HQ vers
EAST
EAST vers
S-EAST
EAST vers
N-EAST
S-EAST
vers
SE-BR1
S-EAST
vers
SE-BR2
SE-BR2
vers
SE-ST1
SE-BR2
vers
SE-ST2
Copyright sur l’intégralité du contenu © 1992 – 2007 Cisco Systems, Inc. Tous droits réservés.
Ce document contient des informations publiques Cisco. Page 1 sur 6
Exercice 6.4.3 : dépannage de la conception d’un adressage VLSM
Diagramme de topologie
Table d’adressage
Sous-réseau
Nombre d’adresses IP
nécessaires
Adresse réseau
Réseau local LAN1 de HQ 16 000 172.16.128.0/19
Réseau local LAN2 de HQ 8 000 172.16.192.0/18
Réseau local LAN1 de Branch1 4 000 172.16.224.0/20
Réseau local LAN2 de Branch1 2 000 172.16.240.0/21
Réseau local LAN1 de Branch2 1 000 172.16.244.0/24
Réseau local LAN2 de Branch2 500 172.16.252.0/23
Liaison de HQ à Branch1 2 172.16.254.0/28
Liaison de HQ à Branch2 2 172.16.154.6/30
Liaison de Branch1 à Branch2 2 172.16.254.8/30
Objectifs pédagogiques :
 Découvrir les erreurs d’une configuration VLSM
 Proposer des solutions aux erreurs de configuration VLSM
 Fournir la documentation relative aux attributions VLSM corrigées
CCNA Exploration
Protocoles et concepts de routage :
VLSM et CIDR Exercice 6.4.3 : dépannage de la conception d’un adressage VLSM
Copyright sur l’intégralité du contenu © 1992 – 2007 Cisco Systems, Inc. Tous droits réservés.
Ce document contient des informations publiques Cisco. Page 2 sur 6
Scénario
Dans ces travaux pratiques, les adresses réseau 172.16.128.0/17 sont utilisées pour fournir l’adressage IP
du réseau présenté dans le diagramme de topologie. La technologie VLSM est incorrectement utilisée pour
définir l’espace d’adressage de sous-réseau. Vous devrez dépanner l’adressage attribué à chaque sous-
réseau pour déterminer où se trouvent des erreurs, puis déterminer les attributions d’adressage correctes,
le cas échéant.
Tâche 1 : examen de l’adressage pour les réseaux locaux LAN de HQ
Étape 1 : examinez l’attribution d’adressage pour le sous-réseau du réseau local LAN1 de HQ
et répondez aux questions suivantes :
1. Quel est le nombre d’adresses IP nécessaires pour le sous-réseau LAN1 de HQ ? __________
2. Quel est le nombre d’adresses IP disponibles dans le sous-réseau actuellement attribué ?
__________
3. Le sous-réseau actuellement attribué suffit-il pour répondre aux besoins de taille du sous-réseau
LAN1 de HQ ? _______
4. Si la réponse à la question précédente est non, proposez un nouveau masque de sous-réseau
qui autorisera le nombre correct d’adresses IP. ________________________________
5. Le sous-réseau chevauchera-t-il l’un des autres réseaux actuellement attribués ?_______
6. Si la réponse à la question précédente est oui, proposez un nouveau masque de sous-réseau
qui autorisera le nombre correct d’adresses IP sans chevaucher d’autres sous-réseaux.
________________________________
Étape 2 : examinez l’attribution d’adressage pour le sous-réseau LAN2 de HQ et répondez aux
questions suivantes :
1. Quel est le nombre d’adresses IP nécessaires pour le sous-réseau LAN2 de HQ ? __________
2. Quel est le nombre d’adresses IP disponibles dans le sous-réseau actuellement attribué ?
__________
3. Le sous-réseau actuellement attribué suffit-il pour répondre aux besoins de taille du sous-réseau
LAN2 de HQ ? _______
4. Si la réponse à la question précédente est non, proposez un nouveau masque de sous-réseau
qui autorisera le nombre correct d’adresses IP. ________________________________
5. Le sous-réseau chevauchera-t-il un des autres réseaux actuellement attribués ?_______
6. Si la réponse à la question précédente est oui, proposez un nouveau masque de sous-réseau
qui autorisera le nombre correct d’adresses IP sans chevaucher d’autres sous-réseaux.
________________________________
Tâche 2 : examen de l’adressage pour les réseaux locaux de Branch1
Étape 1 : examinez l’attribution d’adressage pour le sous-réseau LAN1 de Branch1 et répondez
aux questions suivantes :
1. Quel est le nombre d’adresses IP nécessaires pour le sous-réseau LAN1 de Branch1 ?
__________
CCNA Exploration
Protocoles et concepts de routage :
VLSM et CIDR Exercice 6.4.3 : dépannage de la conception d’un adressage VLSM
Copyright sur l’intégralité du contenu © 1992 – 2007 Cisco Systems, Inc. Tous droits réservés.
Ce document contient des informations publiques Cisco. Page 3 sur 6
2. Quel est le nombre d’adresses IP disponibles dans le sous-réseau actuellement attribué ?
__________
3. Le sous-réseau actuellement attribué suffit-il pour répondre aux besoins de taille du sous-réseau
LAN1 de Branch1 ? _______
4. Si la réponse à la question précédente est non, proposez un nouveau masque de sous-réseau
qui autorisera le nombre correct d’adresses IP. ________________________________
5. Le sous-réseau chevauchera-t-il un des autres réseaux actuellement attribués ?_______
6. Si la réponse à la question précédente est oui, proposez un nouveau masque de sous-réseau
qui autorisera le nombre correct d’adresses IP sans chevaucher d’autres sous-réseaux.
________________________________
Étape 2 : examinez l’attribution d’adressage pour le sous-réseau LAN2 de Branch1 et répondez
aux questions suivantes :
1. Quel est le nombre d’adresses IP nécessaires pour le sous-réseau LAN2 de Branch1 ?
__________
2. Quel est le nombre d’adresses IP disponibles dans le sous-réseau actuellement attribué ?
__________
3. Le sous-réseau actuellement attribué suffit-il pour répondre aux besoins de taille du sous-réseau
LAN2 de Branch1 ? _______
4. Si la réponse à la question précédente est non, proposez un nouveau masque de sous-réseau
qui autorisera le nombre correct d’adresses IP. ________________________________
5. Le sous-réseau chevauchera-t-il un des autres réseaux actuellement attribués ?_______
6. Si la réponse à la question précédente est oui, proposez un nouvelle adresse réseau qui
autorisera le nombre correct d’adresses IP sans chevaucher d’autres sous-réseaux.
________________________________
Tâche 3 : examen de l’adressage pour les réseaux locaux de Branch2
Étape 1 : examinez l’attribution d’adressage pour le sous-réseau LAN1 de Branch2 et répondez
aux questions suivantes :
1. Quel est le nombre d’adresses IP nécessaires pour le sous-réseau LAN1 de Branch2 ?
__________
2. Quel est le nombre d’adresses IP disponibles dans le sous-réseau actuellement attribué ?
__________
3. Le sous-réseau actuellement attribué suffit-il pour répondre aux besoins de taille du sous-réseau
LAN1 de Branch2 ? _______
4. Si la réponse à la question précédente est non, proposez un nouveau masque de sous-réseau
qui autorisera le nombre correct d’adresses IP. ________________________________
5. Le sous-réseau chevauchera-t-il un des autres réseaux actuellement attribués ?_______
6. Si la réponse à la question précédente est oui, proposez un nouveau masque de sous-réseau
qui autorisera le nombre correct d’adresses IP sans chevaucher d’autres sous-réseaux.
________________________________
CCNA Exploration
Protocoles et concepts de routage :
VLSM et CIDR Exercice 6.4.3 : dépannage de la conception d’un adressage VLSM
Copyright sur l’intégralité du contenu © 1992 – 2007 Cisco Systems, Inc. Tous droits réservés.
Ce document contient des informations publiques Cisco. Page 4 sur 6
Étape 2 : examinez l’attribution d’adressage pour le sous-réseau LAN2 de Branch2 et répondez
aux questions suivantes :
1. Quel est le nombre d’adresses IP nécessaires pour le sous-réseau LAN2 de Branch2 ?
__________
2. Quel est le nombre d’adresses IP disponibles dans le sous-réseau actuellement attribué ?
__________
3. Le sous-réseau actuellement attribué suffit-il pour répondre aux besoins de taille du sous-réseau
LAN2 de Branch2 ? _______
4. Si la réponse à la question précédente est non, proposez un nouveau masque de sous-réseau
qui autorisera le nombre correct d’adresses IP. ________________________________
5. Le sous-réseau chevauchera-t-il un des autres réseaux actuellement attribués ?_______
6. Si la réponse à la question précédente est oui, proposez un nouvelle adresse réseau qui
autorisera le nombre correct d’adresses IP sans chevaucher d’autres sous-réseaux.
________________________________
Tâche 4 : examen de l’adressage pour les liaisons entre routeurs
Étape 1 : examinez l’attribution d’adressage pour la liaison entre les routeurs HQ et Branch1,
puis répondez aux questions suivantes.
1. Quel est le nombre d’adresses IP nécessaires pour la liaison entre les routeurs HQ et Branch1 ?
_______
2. Quel est le nombre d’adresses IP disponibles dans le sous-réseau actuellement attribué ?
_______
3. Le sous-réseau actuellement attribué suffit-il pour répondre aux besoins de taille de la liaison
entre les routeurs HQ et Branch1 ? _______
4. Si la réponse à la question précédente est non, proposez un nouveau masque de sous-réseau
qui autorisera le nombre correct d’adresses IP. ________________________________
5. Le sous-réseau chevauchera-t-il un des autres réseaux actuellement attribués ?_______
6. Si la réponse à la question précédente est oui, proposez un nouveau masque de sous-réseau
qui autorisera le nombre correct d’adresses IP sans chevaucher d’autres sous-réseaux.
________________________________
CCNA Exploration
Protocoles et concepts de routage :
VLSM et CIDR Exercice 6.4.3 : dépannage de la conception d’un adressage VLSM
Copyright sur l’intégralité du contenu © 1992 – 2007 Cisco Systems, Inc. Tous droits réservés.
Ce document contient des informations publiques Cisco. Page 5 sur 6
Étape 2 : examinez l’attribution d’adressage pour la liaison entre les routeurs HQ et Branch2,
puis répondez aux questions suivantes.
1. Quel est le nombre d’adresses IP nécessaires pour la liaison entre les routeurs HQ et Branch2 ?
_______
2. Quel est le nombre d’adresses IP disponibles dans le sous-réseau actuellement attribué ?
_______
3. Le sous-réseau actuellement attribué suffit-il pour répondre aux besoins de taille de la liaison
entre les routeurs HQ et Branch2 ? _______
4. Si la réponse à la question précédente est non, proposez un nouveau masque de sous-réseau
qui autorisera le nombre correct d’adresses IP. ________________________________
5. Le sous-réseau chevauchera-t-il un des autres réseaux actuellement attribués ?_______
6. Si la réponse à la question précédente est oui, proposez un nouvelle adresse réseau qui
autorisera le nombre correct d’adresses IP sans chevaucher d’autres sous-réseaux.
________________________________
Étape 3 : examinez l’attribution d’adressage pour la liaison entre les routeurs Branch1 et Branch2,
puis répondez aux questions suivantes.
1. Quel est le nombre d’adresses IP nécessaires pour la liaison entre les routeurs Branch1 et
Branch2 ? _______
2. Quel est le nombre d’adresses IP disponibles dans le sous-réseau actuellement attribué ?
_______
3. Le sous-réseau actuellement attribué suffit-il pour répondre aux besoins de taille de la liaison
entre les routeurs Branch1 et Branch2 ? _______
4. Si la réponse à la question précédente est non, proposez un nouveau masque de sous-réseau
qui autorisera le nombre correct d’adresses IP. ________________________________
5. Le sous-réseau chevauchera-t-il un des autres réseaux actuellement attribués ?_______
6. Si la réponse à la question précédente est oui, proposez un nouveau masque de sous-réseau
qui autorisera le nombre correct d’adresses IP sans chevaucher d’autres sous-réseaux.
________________________________
CCNA Exploration
Protocoles et concepts de routage :
VLSM et CIDR Exercice 6.4.3 : dépannage de la conception d’un adressage VLSM
Copyright sur l’intégralité du contenu © 1992 – 2007 Cisco Systems, Inc. Tous droits réservés.
Ce document contient des informations publiques Cisco. Page 6 sur 6
Tâche 5 : documentation des informations d’adressage corrigées
Enregistrez les informations d’adressage corrigées dans le tableau d’adressage ci-dessous.
Sous-réseau
Nombre d’adresses IP
nécessaires
Adresse réseau
Réseau local LAN1 de HQ 16 000
Réseau local LAN2 de HQ 8 000
Réseau local LAN1 de Branch1 4 000
Réseau local LAN2 de Branch1 2 000
Réseau local LAN1 de Branch2 1 000
Réseau local LAN2 de Branch2 500
Liaison de HQ à Branch1 2
Liaison de HQ à Branch2 2
Liaison de Branch1 à Branch2 2
Copyright sur l’intégralité du contenu © 1992 – 2007 Cisco Systems, Inc. Tous droits réservés.
Ce document contient des informations publiques Cisco. Page 1 sur 4
Exercice 6.4.4 : récapitulatif de routage (notions élémentaires)
Diagramme de topologie
Table d’adressage
Sous-réseau Adresse réseau
Réseau local LAN1 de HQ 172.16.64.0/23
Réseau local LAN2 de HQ 172.16.66.0/23
Réseau local LAN1 d’EAST 172.16.68.0/24
Réseau local LAN2 d’EAST 172.16.69.0/24
Réseau local LAN1 de WEST 172.16.70.0/25
Réseau local LAN2 de WEST 172.16.70.128/25
Liaison de HQ à EAST 172.16.71.4/30
Liaison de HQ à WEST 172.16.71.0/30
Liaison de HQ à ISP 172.16.71.8/30
CCNA Exploration
Protocoles et concepts de routage :
VLSM et CIDR Exercice 6.4.4 : récapitulatif de routage (notions élémentaires)
Copyright sur l’intégralité du contenu © 1992 – 2007 Cisco Systems, Inc. Tous droits réservés.
Ce document contient des informations publiques Cisco. Page 2 sur 4
Objectif pédagogique :
 Déterminer des récapitulatifs de routage qui réduisent la taille des tables de routage
Scénario
Dans cet exercice, vous travaillez avec le réseau illustré dans le diagramme de topologie. Les attributions
de sous-réseaux et d’adresses ont déjà été effectuées pour les segments de réseau. Déterminez des
récapitulatifs de routage permettant de réduire le nombre d’entrées des tables de routage.
Tâche 1 : détermination d’un récapitulatif de routage pour les réseaux locaux LAN de HQ
Étape 1 : désignez le réseau local LAN1 et le réseau local LAN2 de HQ au format binaire.
Réseau local LAN1 __________________________________
Réseau local LAN2 __________________________________
Étape 2 : comptez le nombre de bits en correspondance les plus à gauche pour déterminer
le masque de récapitulatif de routage.
1. Combien de bits en correspondance les plus à gauche sont présents dans les deux réseaux ?
_______
2. Quel est le masque de sous-réseau du récapitulatif de routage au format décimal ?
______________________________________________
Étape 3 : copiez les bits en correspondance, puis ajoutez tous les zéros pour déterminer l’adresse
réseau résumée.
1. Quels sont les bits en correspondance pour les deux réseaux ?
______________________________________________
2. Ajoutez des zéros pour compléter le reste de l’adresse réseau au format binaire.
______________________________________________
3. Quelle est l’adresse réseau du récapitulatif de routage au format décimal ?
______________________________________________
Tâche 2 : détermination du récapitulatif de routage pour les réseaux locaux du réseau EAST
Étape 1 : désignez le réseau local LAN1 et le réseau local LAN2 du réseau EAST au format binaire.
Réseau local LAN1 ____________________________________________
Réseau local LAN2 ____________________________________________
Étape 2 : comptez le nombre de bits en correspondance les plus à gauche pour déterminer
le masque de récapitulatif de routage.
1. Combien de bits en correspondance les plus à gauche sont présents dans les deux réseaux ?
_______
2. Quel est le masque de sous-réseau du récapitulatif de routage au format décimal ?
______________________________________________
CCNA Exploration
Protocoles et concepts de routage :
VLSM et CIDR Exercice 6.4.4 : récapitulatif de routage (notions élémentaires)
Copyright sur l’intégralité du contenu © 1992 – 2007 Cisco Systems, Inc. Tous droits réservés.
Ce document contient des informations publiques Cisco. Page 3 sur 4
Étape 3 : copiez les bits en correspondance, puis ajoutez tous les zéros pour déterminer l’adresse
réseau résumée.
1. Quels sont les bits en correspondance pour les deux réseaux ?
______________________________________________
2. Ajoutez des zéros pour compléter le reste de l’adresse réseau au format binaire.
______________________________________________
3. Quelle est l’adresse réseau du récapitulatif de routage au format décimal ?
______________________________________________
Tâche 3 : détermination du récapitulatif de routage pour les réseaux locaux du réseau WEST
Étape 1 : désignez le réseau local LAN1 et le réseau local LAN2 du réseau WEST au format binaire.
Réseau local LAN1______________________________________________
Réseau local LAN2______________________________________________
Étape 2 : comptez le nombre de bits en correspondance les plus à gauche pour déterminer
le masque de récapitulatif de routage.
1. Combien de bits en correspondance les plus à gauche sont présents dans les deux
réseaux ?_______
2. Quel est le masque de sous-réseau du récapitulatif de routage au format
décimal ?______________________________________________
Étape 3 : copiez les bits en correspondance, puis ajoutez tous les zéros pour déterminer l’adresse
réseau résumée.
1. Quels sont les bits en correspondance pour les deux réseaux ?
______________________________________________
2. Ajoutez des zéros pour compléter le reste de l’adresse réseau au format binaire.
______________________________________________
3. Quelle est l’adresse réseau du récapitulatif de routage au format
décimal ?______________________________________________
Tâche 4 : détermination du récapitulatif de routage pour les réseaux LAN de HQ,
EAST et WEST
Étape 1 : désignez les récapitulatifs de routage pour les réseaux LAN de HQ, EAST et WEST.
Récapitulatif de routage pour HQ______________________________________________
Récapitulatif de routage pour EAST______________________________________________
Récapitulatif de routage pour WEST ______________________________________________
CCNA Exploration
Protocoles et concepts de routage :
VLSM et CIDR Exercice 6.4.4 : récapitulatif de routage (notions élémentaires)
Copyright sur l’intégralité du contenu © 1992 – 2007 Cisco Systems, Inc. Tous droits réservés.
Ce document contient des informations publiques Cisco. Page 4 sur 4
Étape 2 : comptez le nombre de bits en correspondance les plus à gauche pour déterminer
le masque de récapitulatif de routage.
1. Combien de bits en correspondance les plus à gauche sont présents dans les deux
réseaux ?_______
2. Quel est le masque de sous-réseau du récapitulatif de routage au format décimal ?
______________________________________________
Étape 3 : copiez les bits en correspondance, puis ajoutez tous les zéros pour déterminer l’adresse
réseau résumée.
1. Quels sont les bits en correspondance pour les deux réseaux ?
______________________________________________
2. Ajoutez des zéros pour compléter le reste de l’adresse réseau au format binaire.
______________________________________________
3. Quelle est l’adresse réseau du récapitulatif de routage au format décimal ?
______________________________________________
Copyright sur l’intégralité du contenu © 1992 – 2007 Cisco Systems, Inc. Tous droits réservés.
Ce document contient des informations publiques Cisco. Page 1 sur 10
Exercice 6.4.5 : récapitulatif de routage (notions avancées)
Diagramme de topologie
CCNA Exploration
Protocoles et concepts de routage :
VLSM et CIDR Exercice 6.4.5 : récapitulatif de routage (notions avancées)
Copyright sur l’intégralité du contenu © 1992 – 2007 Cisco Systems, Inc. Tous droits réservés.
Ce document contient des informations publiques Cisco. Page 2 sur 10
Table d’adressage
Sous-réseau Adresse réseau
Réseau LAN1 de S-WEST 192.168.7.0/27
Réseau LAN2 de S-WEST 192.168.7.32/27
Liaison de WEST à N-WEST 192.168.7.64/30
Liaison de WEST à S-WEST 192.168.7.68/30
Liaison de HQ à WEST 192.168.7.72/30
Réseau local LAN1 de NW-BR1 192.168.7.128/27
Réseau local LAN2 de NW-BR1 192.168.7.160/27
Réseau local LAN1 de NW-BR2 192.168.7.192/28
Réseau local LAN2 de NW-BR2 192.168.7.208/28
Liaison de N-WEST à NW-BR1 192.168.7.224/30
Liaison N-WEST à NW-BR2 192.168.7.228/30
Réseau local LAN1 de CENTRAL 192.168.6.0/25
Réseau local LAN2 de CENTRAL 192.168.6.128/26
Liaison de HQ à CENTRAL 192.168.6.192/30
Réseau local LAN1 de N-EAST 192.168.5.0/27
Réseau local LAN2 de N-EAST 192.168.5.32/27
Liaison de EAST à N-EAST 192.168.5.192/30
Liaison de EAST vers S-EAST 192.168.5.196/30
Liaison de HQ à EAST 192.168.5.200/30
Réseau local LAN1 de SE-BR1 192.168.4.0/26
Réseau local LAN2 de SE-BR1 192.168.4.64/26
Réseau local LAN1 de SE-BR2 192.168.4.128/27
Réseau local LAN2 de SE-BR2 192.168.4.160/27
Réseau local LAN1 de SE-ST1 192.168.4.192/29
Réseau local LAN2 de SE-ST1 192.168.4.200/29
Réseau local LAN1 de SE-ST2 192.168.4.208/29
Réseau local LAN2 de SE-ST2 192.168.4.216/29
Liaison de SE-BR2 à SE-ST1 192.168.4.224/30
Liaison de SE-BR2 à SE-ST2 192.168.4.228/30
Liaison de S-EAST à SE-BR2 192.168.4.232/30
Liaison de S-EAST à SE-BR1 192.168.4.236/30
CCNA Exploration
Protocoles et concepts de routage :
VLSM et CIDR Exercice 6.4.5 : récapitulatif de routage (notions avancées)
Copyright sur l’intégralité du contenu © 1992 – 2007 Cisco Systems, Inc. Tous droits réservés.
Ce document contient des informations publiques Cisco. Page 3 sur 10
Objectif pédagogique :
 Déterminer des récapitulatifs de routage qui réduisent la taille des tables de routage
Scénario
Dans cet exercice, vous travaillez avec le réseau illustré dans le diagramme de topologie. Les attributions
de sous-réseaux et d’adresses ont déjà été effectuées pour les segments de réseau. Déterminez des
récapitulatifs de routage qui réduisent le nombre d’entrée dans les tables de routage.
Tâche 1 : détermination du récapitulatif de routage pour les réseaux locaux de S-WEST
Étape 1 : désignez le réseau local LAN1 et le réseau local LAN2 de S-WEST au format binaire.
Réseau local LAN1____________________________________________
Réseau local LAN2____________________________________________
Étape 2 : comptez le nombre de bits en correspondance les plus à gauche pour déterminer
le masque du récapitulatif de routage.
1. Combien de bits en correspondance les plus à gauche sont présents dans les deux
réseaux ?_______
2. Quel est le masque de sous-réseau du récapitulatif de routage au format
décimal ?____________________________________________
Étape 3 : copiez les bits en correspondance, puis ajoutez tous les zéros pour déterminer l’adresse
réseau résumée.
1. Quel est le récapitulatif de routage au format binaire ?
____________________________________________
2. Quelle est l’adresse réseau du récapitulatif de routage au format
décimal ?____________________________________________
Tâche 2 : détermination du récapitulatif de routage pour les réseaux locaux de NW-BR1
Étape 1 : désignez le réseau local LAN1 et le réseau local LAN2 de NW-BR1 au format binaire.
Réseau local LAN1____________________________________________
Réseau local LAN2____________________________________________
Étape 2 : comptez le nombre de bits en correspondance les plus à gauche pour déterminer
le masque du récapitulatif de routage.
1. Combien de bits en correspondance les plus à gauche sont présents dans les réseaux ?_______
2. Quel est le masque de sous-réseau du récapitulatif de routage au format
décimal ?____________________________________________
CCNA Exploration
Protocoles et concepts de routage :
VLSM et CIDR Exercice 6.4.5 : récapitulatif de routage (notions avancées)
Copyright sur l’intégralité du contenu © 1992 – 2007 Cisco Systems, Inc. Tous droits réservés.
Ce document contient des informations publiques Cisco. Page 4 sur 10
Étape 3 : copiez les bits en correspondance, puis ajoutez tous les zéros pour déterminer l’adresse
réseau résumée.
1. Quel est le récapitulatif de routage au format binaire ?
____________________________________________
2. Quelle est l’adresse réseau du récapitulatif de routage au format
décimal ?____________________________________________
Tâche 3 : détermination du récapitulatif de routage pour les réseaux locaux de NW-BR2
Étape 1 : désignez le réseau local LAN1 et le réseau local LAN2 de NW-BR2 au format binaire.
Réseau local LAN1____________________________________________
Réseau local LAN2____________________________________________
Étape 2 : comptez le nombre de bits en correspondance les plus à gauche pour déterminer
le masque du récapitulatif de routage.
1. Combien de bits en correspondance les plus à gauche sont présents dans les réseaux ?_______
2. Quel est le masque de sous-réseau du récapitulatif de routage au format
décimal ?____________________________________________
Étape 3 : copiez les bits en correspondance, puis ajoutez tous les zéros pour déterminer l’adresse
réseau résumée.
1. Quel est le récapitulatif de routage au format binaire ?
____________________________________________
2. Quelle est l’adresse réseau du récapitulatif de routage au format
décimal ?____________________________________________
Tâche 4 : détermination du récapitulatif de routage pour la portion N-West du réseau
Utilisez les réseaux répertoriés ci-dessous pour déterminer un récapitulatif de routage pour la portion
N-West du réseau.
Étape 1 : désignez les segments du réseau N-West au format binaire
Récapitulatif de NW-BR1 ____________________________________________
Récapitulatif de NW-BR2 ____________________________________________
Liaison de N-WEST à NW-BR1 ____________________________________________
Liaison de N-WEST à NW-BR2 ____________________________________________
Étape 2 : comptez le nombre de bits en correspondance les plus à gauche pour déterminer
le masque du récapitulatif de routage
1. Combien de bits en correspondance les plus à gauche sont présents dans les réseaux ?_______
2. Quel est le masque de sous-réseau du récapitulatif de routage au format
décimal ?____________________________________________
CCNA Exploration
Protocoles et concepts de routage :
VLSM et CIDR Exercice 6.4.5 : récapitulatif de routage (notions avancées)
Copyright sur l’intégralité du contenu © 1992 – 2007 Cisco Systems, Inc. Tous droits réservés.
Ce document contient des informations publiques Cisco. Page 5 sur 10
Étape 3 : copiez les bits en correspondance, puis ajoutez tous les zéros pour déterminer l’adresse
réseau résumée
1. Quel est le récapitulatif de routage au format binaire ?
____________________________________________
2. Quelle est l’adresse réseau du récapitulatif de routage au format
décimal ?____________________________________________
Tâche 5 : détermination du récapitulatif de routage pour la portion West du réseau
Utilisez les réseaux ci-dessous pour déterminer un résumé de routes pour la portion West du réseau.
Étape 1 : désignez les segments du réseau West au format binaire.
Récapitulatif S-WEST ____________________________________________
Récapitulatif N-WEST ____________________________________________
Liaison de WEST à N-WEST ____________________________________________
Liaison de WEST à S-WEST ____________________________________________
Liaison de HQ à WEST ____________________________________________
Étape 2 : comptez le nombre de bits en correspondance les plus à gauche pour déterminer
le masque du récapitulatif de routage.
1. Combien de bits en correspondance les plus à gauche sont présents dans les réseaux ?_______
2. Quel est le masque de sous-réseau du récapitulatif de routage au format
décimal ?____________________________________________
Étape 3 : copiez les bits en correspondance, puis ajoutez tous les zéros pour déterminer l’adresse
réseau résumée.
1. Quel est le récapitulatif de routage au format binaire ?
____________________________________________
2. Quelle est l’adresse réseau du récapitulatif de routage au format
décimal ?____________________________________________
Tâche 6 : détermination du récapitulatif de routage pour la portion Central du réseau
Utilisez les réseaux indiqués ci-dessous pour déterminer un récapitulatif de routage pour la portion
Central du réseau.
Étape 1 : désignez les segments du réseau Central au format binaire.
Réseau local LAN1 de CENTRAL ____________________________________________
Réseau local LAN2 de CENTRAL ____________________________________________
Liaison de HQ à CENTRAL ____________________________________________
Étape 2 : comptez le nombre de bits en correspondance les plus à gauche pour déterminer
le masque du récapitulatif de routage.
1. Combien de bits en correspondance les plus à gauche sont présents dans les réseaux ?_______
CCNA Exploration
Protocoles et concepts de routage :
VLSM et CIDR Exercice 6.4.5 : récapitulatif de routage (notions avancées)
Copyright sur l’intégralité du contenu © 1992 – 2007 Cisco Systems, Inc. Tous droits réservés.
Ce document contient des informations publiques Cisco. Page 6 sur 10
2. Quel est le masque de sous-réseau du récapitulatif de routage au format
décimal ?____________________________________________
Étape 3 : copiez les bits en correspondance, puis ajoutez tous les zéros pour déterminer l’adresse
réseau résumée.
1. Quel est le récapitulatif de routage au format binaire ?
____________________________________________
2. Quelle est l’adresse réseau du récapitulatif de routage au format
décimal ?____________________________________________
Tâche 7 : détermination du récapitulatif de routage pour les réseaux locaux N-EAST
Étape 1 : désignez le réseau LAN1 et le réseau LAN2 du réseau N-EAST au format binaire.
Réseau local LAN1____________________________________________
Réseau local LAN2____________________________________________
Étape 2 : comptez le nombre de bits en correspondance les plus à gauche pour déterminer
le masque du récapitulatif de routage.
1. Combien de bits en correspondance les plus à gauche sont présents dans les réseaux ?_______
2. Quel est le masque de sous-réseau du récapitulatif de routage au format
décimal ?____________________________________________
Étape 3 : copiez les bits en correspondance, puis ajoutez tous les zéros pour déterminer l’adresse
réseau résumée.
1. Quel est le récapitulatif de routage au format binaire ?
____________________________________________
2. Quelle est l’adresse réseau du récapitulatif de routage au format
décimal ?____________________________________________
Tâche 8 : détermination du récapitulatif de routage pour les réseaux locaux SE-BR1
Étape 1 : désignez le réseau local LAN1 et le réseau local LAN2 du réseau SE-BR1
au format binaire.
Réseau local LAN1____________________________________________
Réseau local LAN2____________________________________________
CCNA Exploration
Protocoles et concepts de routage :
VLSM et CIDR Exercice 6.4.5 : récapitulatif de routage (notions avancées)
Copyright sur l’intégralité du contenu © 1992 – 2007 Cisco Systems, Inc. Tous droits réservés.
Ce document contient des informations publiques Cisco. Page 7 sur 10
Étape 2 : comptez le nombre de bits en correspondance les plus à gauche pour déterminer
le masque du récapitulatif de routage.
1. Combien de bits en correspondance les plus à gauche sont présents dans les réseaux ?_______
2. Quel est le masque de sous-réseau du récapitulatif de routage au format
décimal ?____________________________________________
Étape 3 : copiez les bits en correspondance, puis ajoutez tous les zéros pour déterminer l’adresse
réseau résumée.
1. Quel est le récapitulatif de routage au format binaire ?
____________________________________________
2. Quelle est l’adresse réseau du récapitulatif de routage au format
décimal ?____________________________________________
Tâche 9 : détermination du récapitulatif de routage pour les réseaux locaux SE-BR2
Étape 1 : désignez le réseau local LAN1 et le réseau local LAN2 du réseau SE-BR2
au format binaire.
Réseau local LAN1____________________________________________
Réseau local LAN2____________________________________________
Étape 2 : comptez le nombre de bits en correspondance les plus à gauche pour déterminer
le masque du récapitulatif de routage.
1. Combien de bits en correspondance les plus à gauche sont présents dans les réseaux ?_______
2. Quel est le masque de sous-réseau du récapitulatif de routage au format
décimal ?____________________________________________
Étape 3 : copiez les bits en correspondance, puis ajoutez tous les zéros pour déterminer l’adresse
réseau résumée.
1. Quel est le récapitulatif de routage au format binaire ?
____________________________________________
2. Quelle est l’adresse réseau du récapitulatif de routage au format
décimal ?____________________________________________
Tâche 10 : détermination du récapitulatif de routage pour les réseaux locaux SE-ST1
Étape 1 : désignez le réseau local LAN1 et le réseau local LAN2 du réseau SE-ST1
au format binaire.
Réseau local LAN1____________________________________________
Réseau local LAN2____________________________________________
CCNA Exploration
Protocoles et concepts de routage :
VLSM et CIDR Exercice 6.4.5 : récapitulatif de routage (notions avancées)
Copyright sur l’intégralité du contenu © 1992 – 2007 Cisco Systems, Inc. Tous droits réservés.
Ce document contient des informations publiques Cisco. Page 8 sur 10
Étape 2 : comptez le nombre de bits en correspondance les plus à gauche pour déterminer
le masque du récapitulatif de routage.
1. Combien de bits en correspondance les plus à gauche sont présents dans les réseaux ?_______
2. Quel est le masque de sous-réseau du récapitulatif de routage au format
décimal ?____________________________________________
Étape 3 : copiez les bits en correspondance, puis ajoutez tous les zéros pour déterminer l’adresse
réseau résumée.
1. Quel est le récapitulatif de routage au format binaire ?
____________________________________________
2. 5. Quelle est l’adresse réseau du récapitulatif de routage au format
décimal ?____________________________________________
Tâche 11 : détermination du récapitulatif de routage pour les réseaux locaux SE-ST2
Étape 1 : désignez le réseau local LAN1 et le réseau local LAN2 du réseau SE-ST2
au format binaire.
Réseau local LAN1____________________________________________
Réseau local LAN2____________________________________________
Étape 2 : comptez le nombre de bits en correspondance les plus à gauche pour déterminer
le masque du récapitulatif de routage.
1. Combien de bits en correspondance les plus à gauche sont présents dans les réseaux ?_______
2. Quel est le masque de sous-réseau du récapitulatif de routage au format
décimal ?____________________________________________
Étape 3 : copiez les bits en correspondance, puis ajoutez tous les zéros pour déterminer l’adresse
réseau résumée.
1. Quel est le récapitulatif de routage au format binaire ?
____________________________________________
2. Quelle est l’adresse réseau du récapitulatif de routage au format
décimal ?____________________________________________
Tâche 12 : détermination du récapitulatif de routage pour la portion S-East du réseau
Utilisez les réseaux indiqués ci-dessous pour déterminer un récapitulatif de routage pour la portion
S-East du réseau.
Étape 1 : désignez les segments du réseau S-East au format binaire.
Récapitulatif de SE-BR1 ____________________________________________
Récapitulatif de SE-BR2 ____________________________________________
Récapitulatif de SE-ST1 ____________________________________________
Récapitulatif de SE-ST2 ____________________________________________
CCNA Exploration
Protocoles et concepts de routage :
VLSM et CIDR Exercice 6.4.5 : récapitulatif de routage (notions avancées)
Copyright sur l’intégralité du contenu © 1992 – 2007 Cisco Systems, Inc. Tous droits réservés.
Ce document contient des informations publiques Cisco. Page 9 sur 10
Liaison de SE-BR2 à Satellite1 ____________________________________________
Liaison de SE-BR2 à Satellite2 ____________________________________________
Liaison de S-EAST à SE-BR1 ____________________________________________
Liaison de S-EAST à SE-BR2 ____________________________________________
Étape 2 : comptez le nombre de bits en correspondance les plus à gauche pour déterminer
le masque du récapitulatif de routage.
1. Combien de bits en correspondance les plus à gauche sont présents dans les réseaux ?_______
2. Quel est le masque de sous-réseau du récapitulatif de routage au format
décimal ?____________________________________________
Étape 3 : copiez les bits en correspondance, puis ajoutez tous les zéros pour déterminer l’adresse
réseau résumée.
1. Quel est le récapitulatif de routage au format binaire ?
____________________________________________
2. Quelle est l’adresse réseau du récapitulatif de routage au format
décimal ?____________________________________________
Tâche 13 : détermination du récapitulatif de routage pour la portion East du réseau
Utilisez les réseaux indiqués ci-dessous pour déterminer un récapitulatif de routage pour la portion
East du réseau.
Étape 1 : désignez les segments du réseau East au format binaire.
Récapitulatif de S-EAST ____________________________________________
Récapitulatif de N-EAST ____________________________________________
Liaison de EAST à N-EAST ____________________________________________
Liaison de EAST à S-EAST ____________________________________________
Liaison de HQ à EAST ____________________________________________
Étape 2 : comptez le nombre de bits en correspondance les plus à gauche pour déterminer
le masque du récapitulatif de routage.
1. Combien de bits en correspondance les plus à gauche sont présents dans les réseaux ?_______
2. Quel est le masque de sous-réseau du récapitulatif de routage au format
décimal ?____________________________________________
Étape 3 : copiez les bits en correspondance, puis ajoutez tous les zéros pour déterminer l’adresse
réseau résumée.
1. Quel est le récapitulatif de routage au format binaire ?
____________________________________________
2. Quelle est l’adresse réseau du récapitulatif de routage au format
décimal ?____________________________________________
CCNA Exploration
Protocoles et concepts de routage :
VLSM et CIDR Exercice 6.4.5 : récapitulatif de routage (notions avancées)
Copyright sur l’intégralité du contenu © 1992 – 2007 Cisco Systems, Inc. Tous droits réservés.
Ce document contient des informations publiques Cisco. Page 10 sur 10
Tâche 14 : détermination du récapitulatif de routage pour l’ensemble du réseau
Utilisez les réseaux indiqués ci-dessous pour déterminer un récapitulatif de routage pour l’ensemble
du réseau.
Étape 1 : désignez les récapitulatifs de routage pour les réseaux East, West et Central
au format binaire.
Récapitulatif d’EAST ____________________________________________
Récapitulatif de WEST ____________________________________________
Récapitulatif de CENTRAL ____________________________________________
Étape 2 : comptez le nombre de bits en correspondance les plus à gauche pour déterminer
le masque du récapitulatif de routage.
1. Combien de bits en correspondance les plus à gauche sont présents dans les réseaux ?_______
2. Quel est le masque de sous-réseau du récapitulatif de routage au format
décimal ?____________________________________________
Étape 3 : copiez les bits en correspondance, puis ajoutez tous les zéros pour déterminer l’adresse
réseau résumée.
1. Quel est le récapitulatif de routage au format binaire ?
____________________________________________
2. 5. Quelle est l’adresse réseau du récapitulatif de routage au format
décimal ?____________________________________________
Copyright sur l’intégralité du contenu © 1992 – 2007 Cisco Systems, Inc. Tous droits réservés.
Ce document contient des informations publiques Cisco. Page 1 sur 3
Exercice 6.4.6 : dépannage du récapitulatif de routage
Diagramme de topologie
Table d’adressage
Routeur Résumé du routage Adresse réseau
HQ LAN de WEST 172.16.52.0/21
HQ LAN de EAST 172.16.56.0/23
WEST LAN de HQ 172.16.32.0/19
WEST LAN de EAST 172.16.58.0/23
EAST LAN de HQ 172.16.30.0/20
EAST LAN de WEST 172.16.48.0/21
ISP LAN de HQ, WEST et EAST 172.16.32.0/18
CCNA Exploration
Protocoles et concepts de routage :
VLSM et CIDR Exercice 6.4.6 : dépannage du récapitulatif de routage
Copyright sur l’intégralité du contenu © 1992 – 2007 Cisco Systems, Inc. Tous droits réservés.
Ce document contient des informations publiques Cisco. Page 2 sur 3
Objectifs pédagogiques
À l’issue de cet exercice, vous serez en mesure d’effectuer les tâches suivantes :
 Détecter des erreurs dans le récapitulatif de routage
 Proposer des solutions pour les récapitulatifs de routage
 Fournir la documentation relative aux récapitulatifs de routage corrigés
Scénario
Dans cet exercice, l’adressage IP du réseau local est déjà effectué pour le réseau illustré dans le
diagramme de topologie. La technologie VLSM est utilisée pour définir l’espace d’adressage des
sous­réseaux. Les récapitulatifs de routage présentés dans le tableau d’adressage sous le diagramme
de topologie sont incorrects. Vous devez dépanner les récapitulatifs de routage attribués en identifiant
la nature des erreurs et en déterminant éventuellement les récapitulatifs de routage corrects.
Tâche 1 : examen des récapitulatifs de routage sur le routeur HQ
Étudiez les récapitulatifs de routage du routeur HQ et répondez aux questions suivantes.
1. Quel est le récapitulatif de routage pour les réseaux LAN de WEST ?
________________________________
2. Ce récapitulatif de routage est-il correct ? _______
3. Si ce récapitulatif n’est pas correct, lequel le serait pour les réseaux LAN de WEST ?
________________________________
4. Quel est le récapitulatif de routage pour les réseaux LAN d’EAST ?
________________________________
5. Ce récapitulatif de routage est-il correct ? _______
6. Si ce récapitulatif n’est pas correct, lequel le serait pour les réseaux LAN d’EAST ?
________________________________
Tâche 2 : examen des récapitulatifs de routage sur le routeur WEST
Étudiez les récapitulatifs de routage du routeur WEST et répondez aux questions suivantes.
1. Quel est le récapitulatif de routage pour les réseaux LAN de HQ ?
________________________________
2. Ce récapitulatif de routage est-il correct ? _______
3. Si ce récapitulatif n’est pas correct, lequel le serait pour les réseaux LAN de HQ ?
________________________________
4. Quel est le récapitulatif de routage pour les réseaux LAN d’EAST ?
________________________________
5. Ce récapitulatif de routage est-il correct ? _______
6. Si ce récapitulatif n’est pas correct, lequel le serait pour les réseaux LAN d’EAST ?
________________________________
CCNA Exploration
Protocoles et concepts de routage :
VLSM et CIDR Exercice 6.4.6 : dépannage du récapitulatif de routage
Copyright sur l’intégralité du contenu © 1992 – 2007 Cisco Systems, Inc. Tous droits réservés.
Ce document contient des informations publiques Cisco. Page 3 sur 3
Tâche 3 : examen des récapitulatifs de routage sur le routeur EAST
Étudiez les récapitulatifs de routage du routeur EAST et répondez aux questions suivantes.
1. Quel est le récapitulatif de routage pour les réseaux LAN de WEST ?
________________________________
2. Ce récapitulatif de routage est-il correct ? _______
3. Si ce récapitulatif n’est pas correct, lequel le serait pour les réseaux LAN de WEST ?
________________________________
4. Quel est le récapitulatif de routage pour les réseaux LAN de HQ ?
________________________________
5. Ce récapitulatif de routage est-il correct ? _______
6. Si ce récapitulatif n’est pas correct, lequel le serait pour les réseaux LAN de HQ ?
________________________________
Tâche 4 : examen des récapitulatifs de routage sur le routeur ISP
Étudiez les récapitulatifs de routage du routeur ISP et répondez aux questions suivantes.
1. Quel est le récapitulatif de routage pour les réseaux LAN de HQ, WEST et EAST ?
________________________________
2. Ce récapitulatif de routage est-il correct ? _______
3. Si ce récapitulatif n’est pas correct, lequel le serait pour les réseaux LAN de HQ,
WEST et EAST ? ________________________________
Tâche 5 : documentation sur les récapitulatifs de routage corrigés
Notez les informations sur les récapitulatifs de routage corrigés dans le tableau d’adressage ci-dessous.
Routeur Résumé du routage Adresse réseau
HQ LAN de WEST
HQ LAN de EAST
WEST LAN de HQ
WEST LAN de EAST
EAST LAN de HQ
EAST LAN de WEST
ISP LAN de HQ, WEST et EAST
6.5.1 : exercice d’intégration des compétences Packet Tracer
Diagramme de topologie
Copyright sur l'intégralité du contenu © 1992–2007 Cisco Systems, Inc. Tous droits réservés.
Ce document contient des informations publiques Cisco. Page 1 sur 7
CCNA Exploration
Protocoles et concepts de routage : VLSM et CIDR 6.5.1 : exercice d’intégration des compétences Packet Tracer
Table d’adressage pour R1
Périphérique Interface Adresse IP Masque de sous-réseau
S0/0/0
S0/0/1
S0/1/0
R1
S0/1/1 209.165.201.2 255.255.255.252
Fa0/0
Fa0/1
Fa1/0
Fa1/1
B1-R1
S0/0/0
Fa0/0
Fa0/1
Fa1/0
Fa1/1
B2-R1
S0/0/0
Fa0/0
Fa0/1
Fa1/0
Fa1/1
B3-R1
S0/0/0
S0/0/0 209.165.201.1 255.255.255.252
S0/0/1 209.165.201.5 255.255.255.252ISP-R1
Fa0/0 209.165.200.225 255.255.255.252
Web Server 1 Carte réseau 209.165.200.226 255.255.255.252
Copyright sur l'intégralité du contenu © 1992–2007 Cisco Systems, Inc. Tous droits réservés.
Ce document contient des informations publiques Cisco. Page 2 sur 7
CCNA Exploration
Protocoles et concepts de routage : VLSM et CIDR 6.5.1 : Exercice d’intégration des compétences Packet Tracer
Table d’adressage pour R2
Périphérique Interface Adresse IP
Masque de sous-
réseau
S0/0/0
S0/0/1
S0/1/0
R2
S0/1/1 209.165.201.10 255.255.255.252
Fa0/0
Fa0/1
Fa1/0
Fa1/1
B1-R2
S0/0/0
Fa0/0
Fa0/1
Fa1/0
Fa1/1
B2-R2
S0/0/0
Fa0/0
Fa0/1
Fa1/0
Fa1/1
B3-R2
S0/0/0
S0/0/0 209.165.201.6 255.255.255.252
S0/0/1 209.165.201.9 255.255.255.252ISP-R2
Fa0/0 209.165.200.229 255.255.255.252
Web Server 2 Carte réseau 209.165.200.230 255.255.255.252
Objectifs
• Concevoir et documenter un schéma d’adressage en fonction de conditions requises
• Appliquer une configuration de base aux périphériques
• Configurer le routage statique entre les routeurs ISP
• Configurer le routage RIPv2 dans Region 1 (commandes fournies) et le routage statique
dans Region 2
• Désactiver les mises à jour RIP sur les interfaces appropriées
• Configurer les routes par défaut et redistribuer via le protocole RIP
• Vérifier la connectivité entre tous les périphériques de la topologie
Copyright sur l'intégralité du contenu © 1992–2007 Cisco Systems, Inc. Tous droits réservés.
Ce document contient des informations publiques Cisco. Page 3 sur 7
CCNA Exploration
Protocoles et concepts de routage : VLSM et CIDR 6.5.1 : Exercice d’intégration des compétences Packet Tracer
Tâche 1 : conception et documentation d’un schéma d’adressage
Étape 1 : conception d’un schéma d’adressage
À l’aide de la topologie et des spécifications suivantes, concevez un schéma d'adressage :
• Les liaisons WAN entre R1 et R2 et leurs routeurs ISP respectifs sont déjà configurées. En outre,
les liaisons entre les FAI et les serveurs Web sont déjà configurées.
• L’espace d’adressage de Region 1 est 10.1.0.0/16. Chaque routeur de branche (B1-R1, B2-R1
et B3-R1) doit se voir affecter un espace d’adressage en fonction des spécifications suivantes.
Affectez un espace d'adressage à chaque routeur en commençant par le besoin le plus
important :
B1-R1 a besoin d’un espace d’adressage pour 32 000 hôtes ___________
B2-R1 a besoin d’un espace d’adressage pour 16 000 hôtes ___________
B3-R1 a besoin d’un espace d’adressage pour 8 000 hôtes ____________
• Divisez l’espace d’adressage de chaque routeur de branche en quatre sous-réseaux égaux.
Indiquez les sous-réseaux dans le tableau ci-dessous.
Routeur
Numéro du
sous-réseau
Adresse
de sous-réseau
B1-R1 Fa0/0 0
B1-R1 Fa0/1 1
B1-R1 Fa1/0 2
B1-R1 Fa1/1 3
Routeur
Numéro du
sous-réseau
Adresse
de sous-réseau
B2-R1 Fa0/0 0
B2-R1 Fa0/1 1
B2-R1 Fa1/0 2
B2-R1 Fa1/1 3
Routeur
Numéro du
sous-réseau
Adresse
de sous-réseau
B3-R1 Fa0/0 0
B3-R1 Fa0/1 1
B3-R1 Fa1/0 2
B3-R1 Fa1/1 3
• Pour les réseaux WAN de Region 1, subdivisez l’espace d’adressage 10.1.255.240/28.
Indiquez les sous-réseaux dans le tableau ci-dessous.
Copyright sur l'intégralité du contenu © 1992–2007 Cisco Systems, Inc. Tous droits réservés.
Ce document contient des informations publiques Cisco. Page 4 sur 7
CCNA Exploration
Protocoles et concepts de routage : VLSM et CIDR 6.5.1 : Exercice d’intégration des compétences Packet Tracer
Routeur
Numéro du
sous-réseau
Adresse
de sous-réseau
B1-R1 <--> R1 0
B2-R1 <--> R1 1
B3-R1 <--> R1 2
• L’espace d’adressage de Region 2 est 172.20.0.0/16. Chaque routeur de branche (B1-R2, B2-R2
et B3-R2) doit se voir affecter un espace d’adressage en fonction des spécifications suivantes.
Affectez un espace d'adressage à chaque routeur en commençant par le besoin le plus
important :
B1-R2 a besoin d’un espace d’adressage pour 4 000 hôtes ___________
B2-R2 a besoin d’un espace d’adressage pour 2 000 hôtes ___________
B3-R2 a besoin d’un espace d’adressage pour 1 000 hôtes ___________
• Divisez l’espace d’adressage de chaque routeur de branche en quatre sous-réseaux égaux.
Indiquez les sous-réseaux dans le tableau ci-dessous.
Routeur
Numéro du
sous-réseau
Adresse
de sous-réseau
B1-R2 Fa0/0 0
B1-R2 Fa0/1 1
B1-R2 Fa1/0 2
B1-R2 Fa1/1 3
Routeur
Numéro du
sous-réseau
Adresse
de sous-réseau
B2-R2 Fa0/0 0
B2-R2 Fa0/1 1
B2-R2 Fa1/0 2
B2-R2 Fa1/1 3
Routeur
Numéro du
sous-réseau
Adresse
de sous-réseau
B3-R2 Fa0/0 0
B3-R2 Fa0/1 1
B3-R2 Fa1/0 2
B3-R2 Fa1/1 3
• Pour les réseaux WAN de Region 2, subdivisez l’espace d’adressage 172.20.255.240/28.
Indiquez les sous-réseaux dans le tableau ci-dessous.
Copyright sur l'intégralité du contenu © 1992–2007 Cisco Systems, Inc. Tous droits réservés.
Ce document contient des informations publiques Cisco. Page 5 sur 7
CCNA Exploration
Protocoles et concepts de routage : VLSM et CIDR 6.5.1 : Exercice d’intégration des compétences Packet Tracer
Routeur
Numéro du
sous-réseau
Adresse
de sous-réseau
B1-R2 <--> R2 0
B2-R2 <--> R2 1
B3-R2 <--> R2 2
Étape 2 : documentation du schéma d’adressage
• Facultatif : étiquetez chaque sous-réseau dans la topologie. Pour gagner de l’espace, utilisez
uniquement les deux derniers octets, car eux seuls changent.
• Documentez les adresses IP et les masques de sous-réseau à l’aide du tableau fourni dans
les instructions papier. Affectez la première adresse IP à l’interface du routeur.
• Pour les liaisons WAN, affectez la première adresse IP à R1 et R2 pour les liaisons aux routeurs
B1, B2 et B3 respectifs de chaque routeur.
Tâche 3 : application d’une configuration de base
À l’aide de votre documentation, procédez à la configuration de base des routeurs, y compris l’adressage.
Utilisez cisco comme mot de passe de ligne et class comme mot de passe secret. Utilisez la fréquence
d’horloge 64 000.
Tâche 4 : configuration du routage statique entre les routeurs ISP
Chaque routeur ISP a déjà deux routes statiques vers les réseaux WAN directement connectés de l'autre
routeur ISP. Implémentez un routage statique sur chaque routeur ISP pour vérifier la connectivité entre
les deux régions.
Tâche 5 : configuration du routage RIPv1 dans Region 1 et du routage statique
dans Region 2
Étape 1 : configuration du routage RIPv2 dans Region 1
Configurez tous les routeurs de Region 1 (R1, B1-R1, B2-R1 et B3-R1) avec le protocole RIP comme
protocole de routage dynamique. Afin de tirer le meilleur parti de l’implémentation de votre conception
VLSM dans un environnement de routage dynamique, ajoutez les deux commandes suivantes à vos
configurations RIP :
Router(config-router)#version 2
Router(config-router)#no auto-summary
La commande version 2 active le protocole RIPv2 qui inclut l'envoi d'informations sur les masques de
sous-réseau dans les mises à jour de routage. Tout comme le protocole RIPv1, RIPv2 récapitule par
défaut les mises à jour aux frontières de par classe. La commande no auto-summary désactive la
fonction de récapitulatif automatique. Ces deux commandes seront expliquées plus en détail dans
le chapitre suivant.
Étape 2 : configuration du routage statique dans Region 2
Region 2 n’utilise pas de protocole de routage dynamique. Configurez sur les routeurs les routes
statiques et par défaut nécessaires pour assurer une connectivité complète de bout en bout.
• R2 doit avoir trois routes statiques et une route par défaut.
• B1-R2, B2-R2 et B3-R2 doivent avoir une route par défaut chacun.
Copyright sur l'intégralité du contenu © 1992–2007 Cisco Systems, Inc. Tous droits réservés.
Ce document contient des informations publiques Cisco. Page 6 sur 7
CCNA Exploration
Protocoles et concepts de routage : VLSM et CIDR 6.5.1 : Exercice d’intégration des compétences Packet Tracer
Copyright sur l'intégralité du contenu © 1992–2007 Cisco Systems, Inc. Tous droits réservés.
Ce document contient des informations publiques Cisco. Page 7 sur 7
Tâche 6 : désactivation des mises à jour RIP sur les interfaces appropriées
Toutes les interfaces de routeur ne doivent pas envoyer de mises à jour RIP. Désactivez les mises à jour
RIP sur les interfaces appropriées.
Tâche 7 : configuration des routes par défaut et redistribution via le protocole RIP
Dans Region 1, déterminez quel routeur nécessite une route par défaut. Configurez ensuite le routeur
pour qu'il redistribue la route par défaut aux autres routeurs de la région.
Tâche 8 : vérification de la connectivité entre tous les périphériques de la topologie
Étape 1 : test de la connectivité
• La connectivité de bout en bout doit maintenant être établie. Utilisez une requête ping pour tester
la connectivité sur le réseau. Chaque routeur doit pouvoir envoyer une requête ping à toutes les
autres interfaces de routeur et aux deux serveurs Web.
• Corrigez les éventuels problèmes jusqu’à ce que les requêtes ping fonctionnent.
Étape 2 : examen de la configuration
Utilisez les commandes de vérification pour vérifier que vos configurations sont complètes.
Copyright sur l’intégralité du contenu © 1992 – 2007 Cisco Systems, Inc. Tous droits réservés.
Ce document contient des informations publiques Cisco. Page 1 sur 12
Travaux pratiques 7.5.1 : configuration de base de RIPv2
Diagramme de topologie
Table d’adressage
Périphérique Interface Adresse IP Masque de sous-réseau Passerelle par défaut
R1
Fa0/0 172.30.1.1 255.255.255.0 s/o
Fa0/1 172.30.2.1 255.255.255.0 s/o
S0/0/0 209.165.200.230 255.255.255.252 s/o
R2
Fa0/0 10.1.0.1 255.255.0.0 s/o
S0/0/0 209.165.200.229 255.255.255.252 s/o
S0/0/1 209.165.200.233 255.255.255.252 s/o
R3
Fa0/0 172.30.100.1 255.255.255.0 s/o
S0/0/1 209.165.200.234 255.255.255.252 s/o
Lo0 172.30.110.1 255.255.255.0 s/o
Lo1 172.30.200.17 255.255.255.240 s/o
Lo2 172.30.200.33 255.255.255.240 s/o
PC1 Carte réseau 172.30.1.10 255.255.255.0 172.30.2.1
PC2 Carte réseau 172.30.2.10 255.255.255.0 172.30.1.1
PC3 Carte réseau 10.1.0.10 255.255.0.0 10.1.0.1
PC4 Carte réseau 172.30.100.10 255.255.255.0 172.30.100.1
CCNA Exploration
Protocoles et concepts de routage : RIPv2 Travaux pratiques 7.5.1 : configuration de base de RIPv2
Copyright sur l’intégralité du contenu © 1992 – 2007 Cisco Systems, Inc. Tous droits réservés.
Ce document contient des informations publiques Cisco. Page 2 sur 12
Objectifs pédagogiques
À l’issue de ces travaux pratiques, vous serez en mesure d’effectuer les tâches suivantes :
 Câbler un réseau conformément au diagramme de topologie
 Charger les scripts fournis sur les routeurs
 Examiner l'état actuel du réseau
 Configurer le protocole RIPv2 sur tous les routeurs
 Examiner le récapitulatif automatique des routes
 Examiner les mises à jours de routage avec la commande debug ip rip
 Désactiver les récapitulatifs automatiques
 Examiner les tables de routage
 Vérifier la connectivité du réseau
 Documenter la configuration du protocole RIPv2
Scénario
Le réseau affiché dans le diagramme de topologie contient un réseau non contigu 172.30.0.0. Ce réseau
a été divisé en sous-réseaux à l'aide de VLSM. Les sous-réseaux 172.30.0.0 sont divisés physiquement
et logiquement en au moins un autre réseau principal ou réseau par classe. Ici, il s'agit de deux réseaux
série 209.165.200.228/30 et 209.165.200.232/30. Cette méthode peut poser un problème si le protocole
de routage utilisé ne contient pas suffisamment d'informations permettant de distinguer les différents
sous-réseaux. Le protocole RIPv2 est un protocole de routage sans classe qui permet d'envoyer les
informations de masque de sous-réseau dans les mises à jour de routage. Il est ainsi possible de
diffuser les informations de sous-réseau VLSM sur l'ensemble du réseau.
Tâche 1 : installation, suppression et rechargement des routeurs
Étape 1 : installation d’un réseau
Installation d’un réseau similaire à celui du diagramme de topologie.
Étape 2 : suppression de la configuration sur chaque routeur
Effacez la configuration de chaque routeur à l'aide de la commande erase startup-config et
rechargez-les (commande reload). Si vous êtes invité à enregistrer les modifications, répondez par no.
Tâche 2 : chargement des routeurs à l’aide des scripts fournis
Étape 1 : chargement des scripts suivants sur R1
!
hostname R1
!
!
!
interface FastEthernet0/0
Adresse IP 172.30.1.1 255.255.255.0
duplex auto
CCNA Exploration
Protocoles et concepts de routage : RIPv2 Travaux pratiques 7.5.1 : configuration de base de RIPv2
Copyright sur l’intégralité du contenu © 1992 – 2007 Cisco Systems, Inc. Tous droits réservés.
Ce document contient des informations publiques Cisco. Page 3 sur 12
speed auto
no shutdown
!
interface FastEthernet0/1
ip address 172.30.2.1 255.255.255.0
duplex auto
speed auto
no shutdown
!
interface Serial0/0/0
ip address 209 165 200 230 255.255.255.252
clock rate 64000
no shutdown
!
router rip
passive-interface FastEthernet0/0
passive-interface FastEthernet0/1
network 172.30.0.0
network 209.165.200.0
!
line con 0
line vty 0 4
login
!
end
Étape 2 : chargement des scripts suivants sur R2
hostname R2
!
!
!
interface FastEthernet0/0
ip address 10.1.0.1 255.255.0.0
duplex auto
speed auto
no shutdown
!
interface Serial0/0/0
ip address 209 165 200 229 255.255.255.252
no shutdown
!
interface Serial0/0/1
ip address 209 165 200 233 255.255.255.252
clock rate 64000
no shutdown
!
router rip
passive-interface FastEthernet0/0
network 10.0.0.0
network 209.165.200.0
!
line con 0
line vty 0 4
login
CCNA Exploration
Protocoles et concepts de routage : RIPv2 Travaux pratiques 7.5.1 : configuration de base de RIPv2
Copyright sur l’intégralité du contenu © 1992 – 2007 Cisco Systems, Inc. Tous droits réservés.
Ce document contient des informations publiques Cisco. Page 4 sur 12
!
end
Étape 3 : chargement des scripts suivants sur R3
hostname R3
!
!
!
interface FastEthernet0/0
ip address 172.30.100.1 255.255.255.0
duplex auto
speed auto
no shutdown
!
interface Serial0/0/1
ip address 209 165 200 234 255.255.255.252
no shutdown
!
interface Loopback0
ip address 172.30.110.1 255.255.255.0
!
interface Loopback1
ip address 172.30.200.17 255.255.255.240
!
interface Loopback2
ip address 172.30.200.33 255.255.255.240
!
router rip
passive-interface FastEthernet0/0
network 172.30.0.0
network 209.165.200.0
!
line con 0
line vty 0 4
login
!
end
Tâche 3 : examen de l'état actuel du réseau
Étape 1 : vérification que les deux liaisons série sont actives
La commande show ip interface brief sur R2 permet de vérifier rapidement les deux
liaisons série.
R2#show ip interface brief
Interface IP-Address OK? Method Status Protocol
FastEthernet0/0 10.1.0.1 YES manual up up
FastEthernet0/1 unassigned YES manual administratively down down
Serial0/0/0 209 165 200 229 YES manual up up
Serial0/0/1 209.165.200.233 YES manual up up
Vlan1 unassigned YES manual administratively down down
CCNA Exploration
Protocoles et concepts de routage : RIPv2 Travaux pratiques 7.5.1 : configuration de base de RIPv2
Copyright sur l’intégralité du contenu © 1992 – 2007 Cisco Systems, Inc. Tous droits réservés.
Ce document contient des informations publiques Cisco. Page 5 sur 12
Étape 2 : vérification de la connectivité entre R2 et les hôtes sur les réseaux locaux R1 et R3
À partir du routeur R2, combien de messages ICMP indiquent que le paquet ping envoyé à PC1
a abouti ?
_______________________________________________________________________
À partir du routeur R2, combien de messages ICMP indiquent que le paquet ping envoyé à PC4
a abouti ?
_______________________________________________________________________
Étape 3 : vérification de la connectivité entre les ordinateurs
À partir de PC1, est-il possible d’envoyer un paquet ping à PC2 ? __________
Quel est le taux de réussite ? __________
À partir de PC1, est-il possible d’envoyer un paquet ping à PC3 ? __________
Quel est le taux de réussite ? __________
À partir de PC1, est-il possible d’envoyer un paquet ping à PC4 ? __________
Quel est le taux de réussite ? __________
À partir de PC4, est-il possible d’envoyer un paquet ping à PC2 ? __________
Quel est le taux de réussite ? __________
À partir de PC4, est-il possible d’envoyer un paquet ping à PC3 ? __________
Quel est le taux de réussite ? __________
Étape 4 : affichage de la table de routage sur R2
R1 et R2 sont des routes d’annonce vers le réseau 172.30.0.0/16 ; il y a donc deux entrées dans la
table de routage R2. La table de routage R2 affiche uniquement l’adresse du réseau principal par classe
de 172.30.0.0. Elle n’affiche pas les sous-réseaux utilisés sur les réseaux locaux attachés à R1 et R3.
Étant donné que la mesure du routage est identique pour les deux entrées, le routeur alterne les routes
utilisées lorsqu’il transfère les paquets destinés au réseau 172.30.0.0/16.
R2#show ip route
Output omitted
10.0.0.0/16 is subnetted, 1 subnets
C 10.1.0.0 is directly connected, FastEthernet0/0
R 172.30.0.0/16 [120/1] via 209.165.200.230, 00:00:24, Serial0/0/0
[120/1] via 209.165.200.234, 00:00:15, Serial0/0/1
209.165.200.0/30 is subnetted, 2 subnets
C 209 165 200 228 is directly connected, Serial0/0/0
C 209.165.200.232 is directly connected, Serial0/0/1
CCNA Exploration
Protocoles et concepts de routage : RIPv2 Travaux pratiques 7.5.1 : configuration de base de RIPv2
Copyright sur l’intégralité du contenu © 1992 – 2007 Cisco Systems, Inc. Tous droits réservés.
Ce document contient des informations publiques Cisco. Page 6 sur 12
Étape 5 : examen de la table de routage du routeur R1
R1 et R3 sont configurés avec des interfaces qui se trouvent sur le réseau non contigu 172.30.0.0.
Les sous-réseaux 172.30.0.0 sont divisés physiquement et logiquement par au moins un autre
réseau principal ou réseau par classe. Ici, il s'agit de deux réseaux série 209.165.200.228/30 et
209.165.200.232/30. Les protocoles de routage par classe de type RIPv1 résument les réseaux
aux frontières du réseau principal. R1 et R3 résument tous deux les sous-réseaux 172.30.0.0/24
à 172.30.0.0/16. Étant donné que la route vers 172.30.0.0/16 est directement connectée et sachant
que R1 ne possède pas de route spécifique pour les sous-réseaux 172.30.0.0 sur R3, les paquets
destinés aux réseaux locaux R3 ne sont pas transférés correctement.
R1#show ip route
Output omitted
R 172.30.0.0/8 [120/1] via 209 165 200 229, 00:00:02, Serial0/0/0
172.30.0.0/24 is subnetted, 2 subnets
C 172.30.1.0 is directly connected, FastEthernet0/0
C 172.30.2.0 is directly connected, FastEthernet0/1
209.165.200.0/30 is subnetted, 2 subnets
C 209 165 200 228 is directly connected, Serial0/0/0
R 209 165 200 232 [120/1] via 209 165 200 229, 00:00:02, Serial0/0/0
Étape 6 : examen de la table de routage du routeur R3
R3 affiche uniquement ses propres sous-réseaux pour le réseau 172.30.0.0 : 172.30.100/24,
172.30.110/24, 172.30.200.16/28 et 172.30.200.32/28. R3 ne dispose d’aucune route pour les
sous-réseaux 172.30.0.0 sur R1.
R3#show ip route
Output omitted
R 172.30.0.0/8 [120/1] via 209.165.200.233, 00:00:19, Serial0/0/1
172.30.0.0/16 is variably subnetted, 4 subnets, 2 masks
C 172.30.100.0/24 is directly connected, FastEthernet0/0
C 172.30.110.0/24 is directly connected, Loopback0
C 172.30.200.16/28 is directly connected, Loopback1
C 172.30.200.32/28 is directly connected, Loopback2
209.165.200.0/30 is subnetted, 2 subnets
R 209.165.200.228 [120/1] via 209.165.200.233, 00:00:19, Serial0/0/1
C 209.165.200.232 is directly connected, Serial0/0/1
Étape 7 : examen des paquets RIPv1 qui sont reçus par R2
Utilisez la commande debug ip rip pour afficher les mises à jour de routage RIP.
R2 reçoit la route 172.30.0.0, avec 1 saut, de R1 et de R3. Comme les mesures de coût sont égales,
les deux routes sont ajoutées à la table de routage R2. Étant donné que RIPv1 est un protocole de
routage par classe, les informations de masques de sous-réseau ne sont pas transmises dans la
mise à jour.
R2#debug ip rip
RIP protocol debugging is on
RIP: received v1 update from 209 165 200 234 on Serial0/0/1
CCNA Exploration
Protocoles et concepts de routage : RIPv2 Travaux pratiques 7.5.1 : configuration de base de RIPv2
Copyright sur l’intégralité du contenu © 1992 – 2007 Cisco Systems, Inc. Tous droits réservés.
Ce document contient des informations publiques Cisco. Page 7 sur 12
172.30.0.0 in 1 hops
RIP: received v1 update from 209.165.200.230 on Serial0/0/0
172.30.0.0 in 1 hops
R2 envoie uniquement les routes pour le réseau local 10.0.0.0 et les deux connexions série vers
R1 et R3. R1 et R3 ne reçoivent aucune informations sur les routes du sous-réseau 172.30.0.0.
RIP: sending v1 update to 255.255.255.255 via Serial0/0/1
(209 165 200 233)
RIP: build update entries
network 10.0.0.0 metric 1
network 209 165 200 228 metric 1
RIP: sending v1 update to 255.255.255.255 via Serial0/0/0
(209.165.200.229)
RIP: build update entries
network 10.0.0.0 metric 1
network 209.165.200.232 metric 1
Lorsque vous avez terminé, désactivez le débogage.
R2#undebug all
Tâche 4 : configuration du protocole RIP version 2
Étape 1 : utilisation de la commande version 2 pour activer la version 2 du RIP sur
chaque routeur
R2(config)#router rip
R2(config-router)#version 2
R1(config)#router rip
R1(config-router)#version 2
R3(config)#router rip
R3(config-router)#version 2
Les messages RIPv2 ajoutent le masque de sous-réseau dans un champ des mises à jour de routage.
De cette manière, les sous-réseaux et leurs masques sont ajoutés aux mises à jour de routage.
Cependant, de même que pour RIPv1, RIPv2 résume par défaut les réseaux aux frontières du
réseau principal, à ceci près que le masque de sous-réseau est inclus dans la mise à jour.
Étape 2 : vérification de l’exécution de RIPv2 sur les routeurs
Les commandes debug ip rip, show ip protocols et show run peuvent s’utiliser pour confirmer
que RIPv2 est en cours d’exécution. Le résultat de la commande show ip protocols pour R1 est
affiché ci-dessous.
R1#show ip protocols
Routing Protocol is "rip"
Sending updates every 30 seconds, next due in 7 seconds
Invalid after 180 seconds, hold down 180, flushed after 240
Outgoing update filter list for all interfaces is not set
Incoming update filter list for all interfaces is not set
CCNA Exploration
Protocoles et concepts de routage : RIPv2 Travaux pratiques 7.5.1 : configuration de base de RIPv2
Copyright sur l’intégralité du contenu © 1992 – 2007 Cisco Systems, Inc. Tous droits réservés.
Ce document contient des informations publiques Cisco. Page 8 sur 12
Redistributing: protocole RIP
Default version control: send version 2, receive 2
Interface Send Recv Triggered RIP Key-chain
FastEthernet0/0 2 2
FastEthernet0/1 2 2
Serial0/0/0 2 2
Automatic network summarization is in effect
Maximum path: 4
Routing for Networks:
172.30.0.0
209.165.200.0
Passive Interface(s):
FastEthernet0/0
FastEthernet0/1
Routing Information Sources:
Gateway Distance Last Update
209.165.200.229 120
Distance: (default is 120)
Tâche 5 : examen du récapitulatif automatique des routes
Les réseaux locaux raccordés à R1 et R3 sont toujours composés de réseaux non contigus. R2 affiche
toujours deux chemins de coût égal vers le réseau 172.30.0.0/16 dans la table de routage. R2 affiche
toujours uniquement l’adresse du réseau principal par classe de 172.30.0.0 et n’affiche pas ses
sous-réseaux.
R2#show ip route
Output omitted
10.0.0.0/16 is subnetted, 1 subnets
C 10.1.0.0 is directly connected, FastEthernet0/0
R 172.30.0.0/16 [120/1] via 209.165.200.230, 00:00:07, Serial0/0/0
[120/1] via 209.165.200.234, 00:00:08, Serial0/0/1
209.165.200.0/30 is subnetted, 2 subnets
C 209 165 200 228 is directly connected, Serial0/0/0
C 209.165.200.232 is directly connected, Serial0/0/1
R1 affiche toujours uniquement ses propres sous-réseaux pour le réseau 172.30.0.0. R1 ne dispose
toujours d’aucune route pour les sous-réseaux 172.30.0.0 sur R3.
R1#show ip route
Output omitted
R 172.30.0.0/8 [120/1] via 209 165 200 229, 00:00:09, Serial0/0/0
172.30.0.0/24 is subnetted, 2 subnets
C 172.30.1.0 is directly connected, FastEthernet0/0
C 172.30.2.0 is directly connected, FastEthernet0/1
209.165.200.0/30 is subnetted, 2 subnets
C 209 165 200 228 is directly connected, Serial0/0/0
R 209 165 200 232 [120/1] via 209 165 200 229, 00:00:09, Serial0/0/0
CCNA Exploration
Protocoles et concepts de routage : RIPv2 Travaux pratiques 7.5.1 : configuration de base de RIPv2
Copyright sur l’intégralité du contenu © 1992 – 2007 Cisco Systems, Inc. Tous droits réservés.
Ce document contient des informations publiques Cisco. Page 9 sur 12
R3 affiche toujours uniquement ses propres sous-réseaux pour le réseau 172.30.0.0. R3 ne dispose
toujours d’aucune route pour les sous-réseaux 172.30.0.0 sur R1.
R3#show ip route
Output omitted
R 172.30.0.0/8 [120/1] via 209.165.200.233, 00:00:16, Serial0/0/1
172.30.0.0/16 is variably subnetted, 4 subnets, 2 masks
C 172.30.100.0/24 is directly connected, FastEthernet0/0
C 172.30.110.0/24 is directly connected, Loopback0
C 172.30.200.16/28 is directly connected, Loopback1
C 172.30.200.32/28 is directly connected, Loopback2
209.165.200.0/30 is subnetted, 2 subnets
R 209.165.200.228 [120/1] via 209.165.200.233, 00:00:16, Serial0/0/1
C 209.165.200.232 is directly connected, Serial0/0/1
Utilisez le résultat de la commande debug ip rip pour répondre aux questions suivantes :
Quelles sont les entrées qui figurent dans les mises à jour RIP envoyées à partir de R3 ?
___________________________________
___________________________________
___________________________________
___________________________________
___________________________________
Sur R2, quelles sont les routes qui figurent dans les mises à jour RIP reçues de R3 ?
_____________________________________________
_____________________________________________
_____________________________________________
R3 n’envoie aucun sous-réseau 172.30.0.0 ; il envoie uniquement la route résumée 172.30.0.0/16,
y compris le masque de sous-réseau. C’est pour cette raison que R2 et R1 ne voient pas les
sous-réseaux 172.30.0.0 sur R3.
Tâche 6 : désactivation du récapitulatif automatique
La commande no auto-summary désactive le récapitulatif automatique dans RIPv2. Désactivez le
récapitulatif automatique sur tous les routeurs. Les routeurs ne résument plus les routes aux frontières
du réseau principal.
R2(config)#router rip
R2(config-router)#no auto-summary
R1(config)#router rip
R1(config-router)#no auto-summary
CCNA Exploration
Protocoles et concepts de routage : RIPv2 Travaux pratiques 7.5.1 : configuration de base de RIPv2
Copyright sur l’intégralité du contenu © 1992 – 2007 Cisco Systems, Inc. Tous droits réservés.
Ce document contient des informations publiques Cisco. Page 10 sur 12
R3(config)#router rip
R3(config-router)#no auto-summary
Les commandes show ip route et ping permettent de vérifier la désactivation du récapitulatif
automatique.
Tâche 7 : examen des tables de routage
Les réseaux locaux connectés à R1 et R3 doivent être alors présents dans les trois tables de routage.
R2#show ip route
Output omitted
10.0.0.0/16 is subnetted, 1 subnets
C 10.1.0.0 is directly connected, FastEthernet0/0
172.30.0.0/16 is variably subnetted, 7 subnets, 3 masks
R 172.30.0.0/16 [120/1] via 209.165.200.230, 00:01:28, Serial0/0/0
[120/1] via 209.165.200.234, 00:01:56, Serial0/0/1
R 172.30.1.0/24 [120/1] via 209 165 200 230, 00:00:08, Serial0/0/0
R 172.30.2.0/24 [120/1] via 209 165 200 230, 00:00:08, Serial0/0/0
R 172.30.100.0/24 [120/1] via 209 165 200 234, 00:00:08, Serial0/0/1
R 172.30.110.0/24 [120/1] via 209 165 200 234, 00:00:08, Serial0/0/1
R 172.30.200.16/28 [120/1] via 209 165 200 234, 00:00:08, Serial0/0/1
R 172.30.200.32/28 [120/1] via 209 165 200 234, 00:00:08, Serial0/0/1
209.165.200.0/30 is subnetted, 2 subnets
C 209 165 200 228 is directly connected, Serial0/0/0
C 209.165.200.232 is directly connected, Serial0/0/1
R1#show ip route
Output omitted
10.0.0.0/8 is variably subnetted, 2 subnets, 2 masks
R 172.30.0.0/8 [120/1] via 209 165 200 229, 00:02:13, Serial0/0/0
R 10.1.0.0/16 [120/1] via 209 165 200 229, 00:00:21, Serial0/0/0
172.30.0.0/16 is variably subnetted, 6 subnets, 2 masks
C 172.30.1.0/24 is directly connected, FastEthernet0/0
C 172.30.2.0/24 is directly connected, FastEthernet0/1
R 172.30.100.0/24 [120/2] via 209.165.200.229, 00:00:21, Serial0/0/0
R 172.30.110.0/24 [120/2] via 209.165.200.229, 00:00:21, Serial0/0/0
R 172.30.200.16/28 [120/2] via 209.165.200.229, 00:00:21, Serial0/0/0
R 172.30.200.32/28 [120/2] via 209.165.200.229, 00:00:21, Serial0/0/0
209.165.200.0/30 is subnetted, 2 subnets
C 209 165 200 228 is directly connected, Serial0/0/0
R 209 165 200 232 [120/1] via 209 165 200 229, 00:00:21, Serial0/0/0
R3#show ip route
Output omitted
10.0.0.0/8 is variably subnetted, 2 subnets, 2 masks
R 172.30.0.0/8 [120/1] via 209.165.200.233, 00:02:28, Serial0/0/1
R 10.1.0.0/16 [120/1] via 209.165.200.233, 00:00:08, Serial0/0/1
172.30.0.0/16 is variably subnetted, 6 subnets, 2 masks
CCNA Exploration
Protocoles et concepts de routage : RIPv2 Travaux pratiques 7.5.1 : configuration de base de RIPv2
Copyright sur l’intégralité du contenu © 1992 – 2007 Cisco Systems, Inc. Tous droits réservés.
Ce document contient des informations publiques Cisco. Page 11 sur 12
R 172.30.1.0/24 [120/2] via 209.165.200.233, 00:00:08, Serial0/0/1
R 172.30.2.0/24 [120/2] via 209.165.200.233, 00:00:08, Serial0/0/1
C 172.30.100.0/24 is directly connected, FastEthernet0/0
C 172.30.110.0/24 is directly connected, Loopback0
C 172.30.200.16/28 is directly connected, Loopback1
C 172.30.200.32/28 is directly connected, Loopback2
209.165.200.0/30 is subnetted, 2 subnets
R 209.165.200.228 [120/1] via 209.165.200.233, 00:00:08, Serial0/0/1
C 209.165.200.232 is directly connected, Serial0/0/1
Utilisez le résultat de la commande debug ip rip pour répondre aux questions suivantes :
Quelles sont les entrées qui figurent dans les mises à jour RIP envoyées à partir de R1 ?
_____________________________________________
_____________________________________________
_____________________________________________
Sur R2, quelles sont les routes qui figurent dans les mises à jour RIP reçues de R1 ?
_____________________________________________
_____________________________________________
_____________________________________________
Les masques de sous-réseau sont-ils maintenant présents dans les mises à jour de routage ?
__________
Tâche 8 : vérification de la connectivité du réseau
Étape 1 : vérification de la connectivité entre le routeur R2 et les ordinateurs
À partir de R2, combien de messages ICMP indiquent que le paquet ping envoyé à PC1 a abouti ?
_____________________________________________________
À partir de R2, combien de messages ICMP indiquent que le paquet ping envoyé à PC4 a abouti ?
______________________________________________________
Étape 2 : vérification de la connectivité entre les ordinateurs
À partir de PC1, est-il possible d’envoyer un paquet ping à PC2 ? __________
Quel est le taux de réussite ? __________
À partir de PC1, est-il possible d’envoyer un paquet ping à PC3 ? __________
Quel est le taux de réussite ? __________
CCNA Exploration
Protocoles et concepts de routage : RIPv2 Travaux pratiques 7.5.1 : configuration de base de RIPv2
Copyright sur l’intégralité du contenu © 1992 – 2007 Cisco Systems, Inc. Tous droits réservés.
Ce document contient des informations publiques Cisco. Page 12 sur 12
À partir de PC1, est-il possible d’envoyer un paquet ping à PC4 ? __________
Quel est le taux de réussite ? __________
À partir de PC4, est-il possible d’envoyer un paquet ping à PC2 ? __________
Quel est le taux de réussite ? __________
À partir de PC4, est-il possible d’envoyer un paquet ping à PC3 ? __________
Quel est le taux de réussite ? __________
Tâche 9 : documentation
Sur chaque routeur, capturez le résultat de la commande suivante dans un fichier texte (.txt)
et enregistrez-le pour y faire référence par la suite.
 show running-config
 show ip route
 show ip interface brief
 show ip protocols
Si vous voulez revoir les procédures de saisie des données fournies par une commande, reportez-vous
aux travaux pratique 1.5.1.
Tâche 10 : remise en état
Effacez les configurations et rechargez les routeurs. Débranchez les câbles et stockez-les. Pour les
PC hôtes normalement connectés à d’autres réseaux (comme le réseau local du centre de formation
ou Internet), remettez en place les câblages adaptés et restaurez les paramètres TCP/IP.
Copyright sur l’intégralité du contenu © 1992 – 2007 Cisco Systems, Inc. Tous droits réservés.
Ce document contient des informations publiques Cisco. Page 1 sur 8
Travaux pratiques 7.5.2 : travaux pratiques avancés de configuration
de RIPv2
Diagramme de topologie
Table d’adressage
Périphérique Interface Adresse IP Masque de sous-réseau Passerelle par défaut
BRANCH
Fa0/0 s/o
Fa0/1 s/o
S0/0/0 s/o
HQ
Fa0/0 s/o
Fa0/1 s/o
S0/0/0 s/o
S0/0/1 s/o
ISP
Fa0/0 s/o
S0/0/1 s/o
PC1 Carte réseau
PC2 Carte réseau
PC3 Carte réseau
PC4 Carte réseau
PC5 Carte réseau
CCNA Exploration Travaux pratiques 7.5.2 :
Protocoles et concepts de routage : RIPv2 travaux pratiques avancés de configuration de RIPv2
Copyright sur l’intégralité du contenu © 1992 – 2007 Cisco Systems, Inc. Tous droits réservés.
Ce document contient des informations publiques Cisco. Page 2 sur 8
Objectifs pédagogiques
À l’issue de ces travaux pratiques, vous serez en mesure d’effectuer les tâches suivantes :
 Créer une conception VLSM efficace répondant aux critères définis
 Attribuer des adresses appropriées aux interfaces et noter les adresses
 Câbler un réseau conformément au diagramme de la topologie
 Supprimer la configuration de démarrage et recharger un routeur en lui attribuant les paramètres
par défaut
 Configurer des routeurs, ainsi que le protocole RIP version 2
 Configurer et propager une route statique par défaut
 Vérifier le fonctionnement du protocole RIP version 2
 Tester et vérifier la connectivité complète
 Réfléchir à la mise en œuvre du réseau et en prendre note
Scénario
Dans ces travaux pratiques, vous devrez diviser une adresse réseau en sous-réseaux à l’aide du
masquage de sous-réseau de longueur variable (VLSM) pour procéder à l’adressage du réseau qui est
illustré dans le diagramme de la topologie. Le protocole RIP version 2 et le routage statique devront être
combinés pour permettre aux hôtes de réseaux qui ne sont pas directement connectés de communiquer
entre eux.
Tâche 1 : subdivision de l’espace d’adressage en sous-réseaux
Étape 1 : examen des besoins du réseau
L’adressage du réseau doit satisfaire aux conditions suivantes :
 Le réseau local ISP utilise le réseau 209.165.200.224/27.
 La liaison entre ISP et HQ utilise le réseau 209.165.202.128/27.
 Le réseau 192.168.40.0/24 doit être divisé en sous-réseaux à l’aide du masquage
de sous-réseau de longueur variable pour toutes les autres adresses du réseau.
 Le réseau local HQ LAN1 aura besoin de 50 adresses IP d’hôtes.
 Le réseau local HQ LAN2 aura besoin de 50 adresses IP d’hôtes.
 Le réseau local BRANCH LAN1 aura besoin de 30 adresses IP d’hôtes.
 Le réseau local BRANCH LAN2 aura besoin de 12 adresses IP d’hôtes.
 La liaison entre HQ et BRANCH aura besoin d’une adresse IP à chaque extrémité.
(Remarque : n’oubliez pas que les interfaces des périphériques réseau sont également
des adresses IP d’hôtes et qu’elles font partie des exigences susmentionnées en matière
d’adressage.)
Étape 2 : questions à prendre en comptre lors de la création de votre conception de réseau
Combien de sous-réseaux doivent être créés à partir du réseau 192.168.40.0/24 ? __________
Quel est le nombre total d’adresses IP que le réseau 192.168.40.0/24 doit fournir ? __________
Quel masque de sous-réseau sera utilisé pour le sous-réseau HQ LAN1 ? ____________________
Quel nombre maximal d’adresses hôtes peuvent être utilisées sur ce sous-réseau ? __________
Quel masque de sous-réseau sera utilisé pour le sous-réseau HQ LAN2 ? ____________________
Quel nombre maximal d’adresses hôtes peuvent être utilisées sur ce sous-réseau ? __________
CCNA Exploration Travaux pratiques 7.5.2 :
Protocoles et concepts de routage : RIPv2 travaux pratiques avancés de configuration de RIPv2
Copyright sur l’intégralité du contenu © 1992 – 2007 Cisco Systems, Inc. Tous droits réservés.
Ce document contient des informations publiques Cisco. Page 3 sur 8
Quel masque de sous-réseau sera utilisé pour le sous-réseau BRANCH LAN1 ?
____________________
Quel nombre maximal d’adresses hôtes peuvent être utilisées sur ce sous-réseau ? __________
Quel masque de sous-réseau sera utilisé pour le sous-réseau BRANCH LAN2 ?
____________________
Quel nombre maximal d’adresses hôtes peuvent être utilisées sur ce sous-réseau ? __________
Quel masque de sous-réseau sera utilisé pour la liaison entre les routeurs HQ et BRANCH ?
____________________
Quel nombre maximal d’adresses hôtes peuvent être utilisées sur ce sous-réseau ? __________
Étape 3 : attribution d'adresses de sous-réseau au diagramme de topologie
1. Attribuez le sous-réseau 0 du réseau 192.168.40.0 au sous-réseau HQ LAN1.
Quelle est l’adresse réseau de ce sous-réseau ? ____________________
2. Attribuez le sous-réseau 1 du réseau 192.168.40.0 au sous-réseau HQ LAN2.
Quelle est l’adresse réseau de ce sous-réseau ? ____________________
3. Attribuez le sous-réseau 2 du réseau 192.168.40.0 au sous-réseau BRANCH LAN1.
Quelle est l’adresse réseau de ce sous-réseau ? ____________________
4. Attribuez le sous-réseau 3 du réseau 192.168.40.0 au sous-réseau BRANCH LAN2.
Quelle est l’adresse réseau de ce sous-réseau ? ____________________
5. Attribuez le sous-réseau 4 du réseau 192.168.40.0 à la liaison entre les routeurs HQ et BRANCH.
Quelle est l’adresse réseau de ce sous-réseau ? ____________________
Tâche 2 : définition des adresses des interfaces
Étape 1 : attribution des adresses appropriées aux interfaces des périphériques
1. Attribuez la première adresse d’hôte valide du réseau 209.165.200.224/27 à l’interface LAN
du routeur ISP.
2. Attribuez la dernière adresse d’hôte valide du réseau 209.165.200.224/27 au PC5.
3. Attribuez la première adresse d’hôte valide du réseau 209.165.202.128/27 à l’interface WAN
du routeur ISP.
4. Attribuez la dernière adresse d’hôte valide du réseau 209.165.202.128/27 à l’interface Serial
0/0/1 du routeur HQ.
5. Attribuez la première adresse d’hôte valide du réseau HQ LAN1 à l’interface LAN1 de HQ.
6. Attribuez la dernière adresse d’hôte valide du réseau HQ LAN1 au PC3.
7. Attribuez la première adresse d’hôte valide du réseau HQ LAN2 à l’interface LAN2 de HQ.
8. Attribuez la dernière adresse d’hôte valide du réseau HQ LAN2 au PC4.
9. Attribuez la première adresse d’hôte valide de la liaison WAN entre HQ et BRANCH à l’interface
Serial 0/0/0 du routeur HQ.
10. Attribuez la dernière adresse d’hôte valide de la liaison WAN entre HQ et BRANCH à l’interface
Serial 0/0/0 du routeur BRANCH.
11. Attribuez la première adresse d’hôte valide du réseau BRANCH LAN1 à l’interface LAN1
du routeur HQ.
12. Attribuez la dernière adresse d’hôte valide du réseau BRANCH LAN1 au PC1.
CCNA Exploration Travaux pratiques 7.5.2 :
Protocoles et concepts de routage : RIPv2 travaux pratiques avancés de configuration de RIPv2
Copyright sur l’intégralité du contenu © 1992 – 2007 Cisco Systems, Inc. Tous droits réservés.
Ce document contient des informations publiques Cisco. Page 4 sur 8
13. Attribuez la première adresse d’hôte valide du réseau BRANCH LAN2 à l’interface LAN2
du routeur HQ.
14. Attribuez la dernière adresse d’hôte valide du réseau BRANCH LAN2 au PC2.
Étape 2 : documentation des adresses à utiliser dans le tableau fourni sous le diagramme
de topologie
Tâche 3 : préparation du réseau
Étape 1 : câblage d’un réseau similaire à celui du diagramme de topologie
Vous pouvez utiliser n’importe quel routeur existant dans vos travaux pratiques tant qu’il présente les
interfaces nécessaires telles qu’elles sont illustrées dans la topologie.
Remarque : si vous utilisez les routeurs 1700, 2500 ou 2600, les sorties des routeurs et les descriptions
des interfaces apparaîtront différemment
Étape 2 : suppression des configurations actuelles des routeurs
Tâche 4 : exécution des configurations de base des routeurs
Procédez à la configuration de base des routeurs BRANCH, HQ et ISP conformément à la procédure
suivante :
1. Configurez le nom d’hôte du routeur.
2. Désactivez la recherche DNS.
3. Configurez un mot de passe pour le mode d’exécution.
4. Configurez une bannière du message du jour.
5. Configurez un mot de passe pour les connexions de consoles.
6. Configurez un mot de passe pour les connexions de terminaux virtuels (vty).
7. Synchronisez les messages non sollicités et la sortie de la commande debug avec la sortie
sollicitée et les invites de la console et des lignes du terminal virtuel.
8. Configurez un délai d’attente de 15 minutes pour le mode d’exécution.
Tâche 5 : configuration et activation d’adresses série et Ethernet
Étape 1 : configuration des routeurs BRANCH, HQ et ISP
Configurez les interfaces des routeurs BRANCH, HQ et ISP avec les adresses IP de la table d’adressage
figurant sous le diagramme de topologie.
Enregistrez ensuite la configuration active dans la mémoire vive non volatile du routeur.
Étape 2 : configuration des interfaces Ethernet de PC1, PC2, PC3, PC4 et PC5
Configurez les interfaces Ethernet de PC1, PC2, PC3, PC4 et PC5 avec les adresses IP de la table
d’adressage figurant sous le diagramme de topologie.
Tâche 6 : vérification de la connectivité au périphérique du tronçon suivant
À ce stade, il ne doit pas encore exister de connectivité entre les périphériques finaux. Toutefois,
vous pouvez tester la connectivité entre deux routeurs et entre un périphérique final et sa passerelle
par défaut.
CCNA Exploration Travaux pratiques 7.5.2 :
Protocoles et concepts de routage : RIPv2 travaux pratiques avancés de configuration de RIPv2
Copyright sur l’intégralité du contenu © 1992 – 2007 Cisco Systems, Inc. Tous droits réservés.
Ce document contient des informations publiques Cisco. Page 5 sur 8
Étape 1 : vérification de la connectivité du routeur BRANCH
Vérifiez que le routeur BRANCH peut envoyer une requête ping sur la liaison WAN à destination du
routeur HQ et que ce dernier peut envoyer une requête ping sur la liaison WAN qu’il partage avec le
routeur ISP.
Étape 2 : vérification de l’aptitude de PC1, PC2, PC3, PC4 et PC5 à envoyer une requête ping
à leurs passerelles respectives par défaut
Tâche 7 : configuration du routage RIPv2 sur le routeur BRANCH
Pensez aux réseaux qui doivent être inclus dans les mises à jour RIP envoyées par BRANCH.
Quels sont les réseaux qui figurent dans la table de routage de BRANCH ? Répertoriez les réseaux
comportant des barres obliques.
________________________________________
________________________________________
________________________________________
Quelles commandes permettent d’activer le protocole RIP version 2 et d’inclure les réseaux connectés
dans les mises à jour de routage ?
________________________________________
________________________________________
________________________________________
________________________________________
________________________________________
Existe-t-il d’autres interfaces de routeur pour lesquelles il n’est pas nécessaire d’envoyer des mises
à jour RIP ? _______
Quelle commande permet de désactiver les mises à jour RIP sur ces interfaces ?
________________________________________
________________________________________
Tâche 8 : configuration de RIPv2 et du routage statique sur le routeur HQ
Tenez compte du type de routage statique nécessaire sur le routeur HQ.
Quels réseaux figurent dans la table de routage du routeur HQ ? Répertoriez les réseaux comportant
des barres obliques.
______________________________________________________
______________________________________________________
______________________________________________________
CCNA Exploration Travaux pratiques 7.5.2 :
Protocoles et concepts de routage : RIPv2 travaux pratiques avancés de configuration de RIPv2
Copyright sur l’intégralité du contenu © 1992 – 2007 Cisco Systems, Inc. Tous droits réservés.
Ce document contient des informations publiques Cisco. Page 6 sur 8
Une route statique par défaut devra être configurée pour envoyer au routeur ISP tous les paquets dont
l’adresse de destination ne figure pas dans la table de routage. Quelle commande permet d’y parvenir ?
Dans la commande, indiquez l’interface de sortie appropriée de HQ.
________________________________________
Quelles sont les commandes qui permettent d’activer RIP version 2 et d’inclure les réseaux LAN1
et LAN2, ainsi que la liaison entre HQ et BRANCH, dans les mises à jour de routage ?
______________________________________________________
______________________________________________________
______________________________________________________
______________________________________________________
______________________________________________________
Existe-t-il d’autres interfaces de routeur pour lesquelles il n’est pas nécessaire d’envoyer des mises
à jour RIP ? _______
Quelle commande permet de désactiver les mises à jour RIP sur ces interfaces ?
______________________________________________________
______________________________________________________
HQ doit envoyer les informations de routage par défaut à BRANCH dans les mises à jour RIP.
Quelle commande est utilisée pour cette configuration ?
______________________________________________________
Tâche 9 : configuration du routage statique sur le routeur ISP
Remarque : dans une mise en œuvre réelle de cette topologie, vous ne configureriez pas le routeur ISP.
Toutefois, votre fournisseur de services Internet peut vous aider à résoudre vos problèmes de connectivité.
Les administrateurs des fournisseurs de services sont aussi des êtres humains qui commettent des erreurs.
Par conséquent, il est important de comprendre les types d’erreurs que peut commettre un fournisseur
de services Internet et qui sont susceptible d’entraîner une perte de connectivité sur vos réseaux.
Des routes statiques devront être configurées sur le routeur ISP pour l’ensemble du trafic à destination
des adresses RFC 1918 utilisées sur les réseaux BRANCH LAN, HQ LAN et la liaison entre les routeurs
BRANCH et HQ.
Pour ce faire, quelles sont les commandes qui doivent être configurées sur le routeur ISP ?
__________________________________________________________________________________
__________________________________________________________________________________
CCNA Exploration Travaux pratiques 7.5.2 :
Protocoles et concepts de routage : RIPv2 travaux pratiques avancés de configuration de RIPv2
Copyright sur l’intégralité du contenu © 1992 – 2007 Cisco Systems, Inc. Tous droits réservés.
Ce document contient des informations publiques Cisco. Page 7 sur 8
Tâche 10 : vérification des configurations
Répondez aux questions suivantes pour vérifier que le réseau fonctionne comme prévu :
Est-il possible d’envoyer une requête ping au PC3 à partir du PC1 ? _______
Est-il possible d’envoyer une requête ping au PC5 à partir du PC1 ? _______
Est-il possible d’envoyer une requête ping au PC5 à partir du PC4 ? _______
La réponse aux questions précédentes doit être oui. Si l’une des requêtes ping ci-dessus a échoué,
vérifiez vos connexions physiques et vos configurations. Reportez-vous aux techniques de dépannage
de base utilisées dans les travaux pratiques du chapitre 1.
Quelles sont les routes qui figurent dans la table de routage du routeur BRANCH ?
________________________________________
________________________________________
________________________________________
________________________________________
________________________________________
________________________________________
Quelle est la passerelle de dernier recours dans la table de routage du routeur BRANCH ?
________________________________________
Quelles sont les routes qui figurent dans la table de routage du routeur HQ ?
________________________________________
________________________________________
________________________________________
________________________________________
________________________________________
________________________________________
________________________________________
CCNA Exploration Travaux pratiques 7.5.2 :
Protocoles et concepts de routage : RIPv2 travaux pratiques avancés de configuration de RIPv2
Copyright sur l’intégralité du contenu © 1992 – 2007 Cisco Systems, Inc. Tous droits réservés.
Ce document contient des informations publiques Cisco. Page 8 sur 8
Quels sont les réseaux qui figurent dans la table de routage du routeur ISP ?
________________________________________
________________________________________
________________________________________
Quels sont les réseaux qui figurent dans les mises à jour RIP envoyées à partir du routeur HQ ?
______________________________________________
______________________________________________
______________________________________________
Quels sont les réseaux qui figurent dans les mises à jour RIP envoyées à partir du routeur BRANCH ?
______________________________________________
______________________________________________
Tâche 11 : remarques générales
Pourquoi est-il nécessaire d’utiliser RIPv2 plutôt que RIPv1 dans cette conception de réseau ?
______________________________________________________________________________
______________________________________________________________________________
______________________________________________________________________________
Tâche 12 : description des configurations de routeurs
Sur chaque routeur, capturez la sortie de commande suivante dans un fichier texte (.txt) et enregistrez-la
pour pouvoir la consulter ultérieurement :
 Running configuration
 Routing table
 Interface summarization
Tâche 13 : remise en état
Supprimez les configurations et rechargez les routeurs. Déconnectez et rangez les câbles. Pour les hôtes
PC qui sont habituellement connectés à d’autres réseaux (comme un réseau local scolaire ou Internet),
reconnectez les câbles appropriés et restaurez les paramètres TCP/IP.
Copyright sur l’intégralité du contenu © 1992 – 2007 Cisco Systems, Inc. Tous droits réservés.
Ce document contient des informations publiques Cisco. Page 1 sur 13
Travaux pratiques 7.5.3 : dépannage de RIPv2
Diagramme de topologie
Table d’adressage
Périphérique Interface Adresse IP Masque de sous-réseau Passerelle par défaut
HQ
Fa0/0 192.168.1.1 255.255.255.128 s/o
Fa0/1 192.168.1.129 255.255.255.192 s/o
S0/0/0 209.165.200.225 255.255.255.252 s/o
S0/0/1 209.165.200.229 255.255.255.252 s/o
BRANCH1
Fa0/0 172.16.0.1 255.255.254.0 s/o
Fa0/1 172.16.2.1 255.255.254.0 s/o
S0/0/0 209.165.200.226 255.255.255.252 s/o
BRANCH2
Fa0/0 172.16.4.1 255.255.255.128 s/o
Fa0/1 172.16.4.129 255.255.255.128 s/o
S0/0/1 209.165.200.230 255.255.255.252 s/o
PC1 Carte réseau 172.16.0.10 255.255.254.0 172.16.0.1
PC2 Carte réseau 172.16.2.10 255.255.254.0 172.16.2.1
PC3 Carte réseau 192.168.1.10 255.255.255.128 192.168.1.1
PC4 Carte réseau 192.168.1.138 255.255.255.192 192.168.1.129
PC5 Carte réseau 172.16.4.10 255.255.255.128 172.16.4.1
PC6 Carte réseau 172.16.4.138 255.255.255.128 172.16.4.129
CCNA Exploration
Protocoles et concepts de routage : RIPv2 Travaux pratiques 7.5.3 : dépannage de RIPv2
Copyright sur l’intégralité du contenu © 1992 – 2007 Cisco Systems, Inc. Tous droits réservés.
Ce document contient des informations publiques Cisco. Page 2 sur 13
Objectifs pédagogiques
À l’issue de ces travaux pratiques, vous serez en mesure d’effectuer les tâches suivantes :
 Câbler un réseau conformément au diagramme de la topologie
 Supprimer la configuration de démarrage et recharger un routeur en lui attribuant les paramètres
par défaut
 Charger les routeurs avec les scripts fournis
 Recueillir des informations sur la partie non convergente du réseau et sur les autres erreurs
éventuelles
 Analyser les informations pour déterminer les raisons de la convergence incomplète
 Proposer des solutions pour résoudre les erreurs de réseau
 Mettre en place des solutions pour résoudre les erreurs de réseau
 Documenter le réseau corrigé
Scénario
Dans ces travaux pratiques, vous commencerez par charger des scripts de configuration sur chacun des
routeurs. Ces scripts contiennent des erreurs qui empêcheront une communication de bout en bout sur le
réseau. Vous devrez dépanner chaque routeur pour déterminer les erreurs de configuration, puis utiliser
les commandes appropriées afin de corriger les configurations. Une fois que vous aurez corrigé toutes
les erreurs de configuration, tous les hôtes du réseau devraient pouvoir communiquer les uns avec
les autres.
Par ailleurs, le réseau doit satisfaire aux conditions suivantes :
 Le routage RIPv2 est configuré sur le routeur BRANCH1.
 Le routage RIPv2 est configuré sur le routeur BRANCH2.
 Le routage RIPv2 est configuré sur le routeur HQ.
 Les mises à jour RIP doivent être désactivées sur les interfaces LAN de BRANCH1,
BRANCH2 et HQ.
Tâche 1 : câblage, suppression et rechargement des routeurs
Étape 1 : câblage d’un réseau
Câblez un réseau similaire à celui du diagramme de la topologie.
Étape 2 : suppression de la configuration sur chaque routeur
Supprimez la configuration sur chaque routeur à l’aide de la commande erase startup-config,
puis rechargez les routeurs à l’aide de la commande reload. Répondez non si une fenêtre vous
demande d’enregistrer les modifications.
Tâche 2 : chargement des routeurs avec les scripts fournis
Étape 1 : chargement du script suivant sur le routeur BRANCH1 :
hostname BRANCH1
!
interface FastEthernet0/0
ip address 172.16.0.1 255.255.254.0
duplex auto
speed auto
CCNA Exploration
Protocoles et concepts de routage : RIPv2 Travaux pratiques 7.5.3 : dépannage de RIPv2
Copyright sur l’intégralité du contenu © 1992 – 2007 Cisco Systems, Inc. Tous droits réservés.
Ce document contient des informations publiques Cisco. Page 3 sur 13
no shutdown
!
interface FastEthernet0/1
ip address 172.16.2.1 255.255.254.0
duplex auto
speed auto
no shutdown
!
interface Serial0/0/0
ip address 209.165.200.226 255.255.255.252
clock rate 64000
no shutdown
!
router rip
passive-interface FastEthernet0/0
passive-interface FastEthernet0/1
network 172.16.0.0
network 209.165.200.0
!
ip classless
!
line con 0
line vty 0 4
login
!
end
Étape 2 : chargement du script suivant sur le routeur BRANCH2
hostname BRANCH2
!
interface FastEthernet0/0
ip address 172.16.4.129 255.255.255.128
duplex auto
speed auto
no shutdown
!
interface FastEthernet0/1
ip address 172.16.4.1 255.255.255.128
duplex auto
speed auto
no shutdown
!
interface Serial0/0/1
ip address 209.165.200.230 255.255.255.252
no shutdown
!
router rip
version 2
passive-interface FastEthernet0/0
passive-interface FastEthernet0/1
network 209.165.200.0
!
ip classless
!
line con 0
CCNA Exploration
Protocoles et concepts de routage : RIPv2 Travaux pratiques 7.5.3 : dépannage de RIPv2
Copyright sur l’intégralité du contenu © 1992 – 2007 Cisco Systems, Inc. Tous droits réservés.
Ce document contient des informations publiques Cisco. Page 4 sur 13
line vty 0 4
login
!
end
Étape 3 : chargement du script suivant sur le routeur HQ
hostname HQ
!
interface FastEthernet0/0
ip address 192.168.1.1 255.255.255.128
duplex auto
speed auto
no shutdown
!
interface FastEthernet0/1
ip address 192.168.1.129 255.255.255.192
duplex auto
speed auto
no shutdown
!
interface Serial0/0/0
ip address 209.165.200.225 255.255.255.252
no shutdown
!
interface Serial0/0/1
ip address 209.165.200.229 255.255.255.252
clock rate 64000
no shutdown
!
router rip
version 2
passive-interface FastEthernet0/0
passive-interface FastEthernet0/1
network 192.168.1.0
network 209.165.200.0
!
ip classless
!
line con 0
line vty 0 4
login
!
end
Tâche 3 : dépannage du routeur BRANCH1
Étape 1 : dépannage préalable de l’hôte connecté au routeur BRANCH1
Est-il possible d’envoyer une requête ping au PC2 à partir du PC1 hôte ? _______
Est-il possible d’envoyer une requête ping au PC3 à partir du PC1 hôte ? _________
Est-il possible d’envoyer une requête ping au PC5 à partir du PC1 hôte ? _________
Est-il possible d’envoyer une requête ping à la passerelle par défaut à partir du PC1 hôte ? _______
CCNA Exploration
Protocoles et concepts de routage : RIPv2 Travaux pratiques 7.5.3 : dépannage de RIPv2
Copyright sur l’intégralité du contenu © 1992 – 2007 Cisco Systems, Inc. Tous droits réservés.
Ce document contient des informations publiques Cisco. Page 5 sur 13
Étape 2 : examen du routeur BRANCH1 à la recherche d’éventuelles erreurs de configuration
Commencez par consulter le résumé des informations d’état relatives à chaque interface du routeur.
La configuration des interfaces présente-t-elle des problèmes ?
____________________________________________________________________________________
____________________________________________________________________________________
____________________________________________________________________________________
Si la configuration des interfaces présente des problèmes, enregistrez les commandes qui permettront
de corriger ces erreurs.
____________________________________________________________________________________
____________________________________________________________________________________
____________________________________________________________________________________
Étape 3 : si les commandes ci-dessus ont été enregistrées, les appliquer maintenant à la
configuration du routeur
Étape 4 : affichage du résumé des informations d’état
Si la configuration a été modifiée à l’étape précédente, consultez de nouveau le résumé des informations
d'état relatives aux interfaces du routeur.
Les informations du résumé de l’état des interfaces indiquent-elles la présence d’erreurs
de configuration ? _________
Si la réponse est oui, dépannez de nouveau l’état des interfaces.
Étape 5 : dépannage de la configuration du routage sur le routeur BRANCH1
Quels réseaux et routes figurent dans la table de routage ?
____________________________________________________________________________________
____________________________________________________________________________________
____________________________________________________________________________________
____________________________________________________________________________________
____________________________________________________________________________________
____________________________________________________________________________________
____________________________________________________________________________________
La table de routage présente-t-elle des problèmes ?
____________________________________________________________________________________
____________________________________________________________________________________
____________________________________________________________________________________
CCNA Exploration
Protocoles et concepts de routage : RIPv2 Travaux pratiques 7.5.3 : dépannage de RIPv2
Copyright sur l’intégralité du contenu © 1992 – 2007 Cisco Systems, Inc. Tous droits réservés.
Ce document contient des informations publiques Cisco. Page 6 sur 13
Si vous décelez des problèmes de configuration du routage, notez les commandes qui permettront
de corriger les erreurs de configuration.
____________________________________________________________________________________
____________________________________________________________________________________
____________________________________________________________________________________
Parmi les problèmes que présente la table de routage, certains d’entre eux pourraient-ils provenir
d’erreurs affectant d’autres parties du réseau ?
____________________________________________________________________________________
____________________________________________________________________________________
____________________________________________________________________________________
____________________________________________________________________________________
Quels réseaux sont inclus dans les mises à jour RIP envoyées à partir du routeur BRANCH1 ?
____________________________________________________________________________________
____________________________________________________________________________________
____________________________________________________________________________________
Les mises à jour RIP envoyées à partir du routeur présentent-elles des problèmes ?
____________________________________________________________________________________
____________________________________________________________________________________
____________________________________________________________________________________
Si vous décelez d’autres problèmes liés à la configuration RIP, notez les commandes qui permettront
de corriger ces erreurs.
____________________________________________________________________________________
____________________________________________________________________________________
____________________________________________________________________________________
Étape 6 : si les commandes ci-dessus ont été enregistrées, les appliquer à la configuration
du routeur maintenant
Étape 7 : consultation des informations de routage
Si la configuration a été modifiée au cours des étapes précédentes, consultez de nouveau les
informations de routage.
Les informations de la table de routage indiquent-elles la présence d’erreurs de configuration ?
_________
Les informations des mises à jour RIP indiquent-elles la présence d’erreurs de configuration ? _________
Si la réponse à l’une de ces questions est oui, dépannez de nouveau la configuration du routage.
CCNA Exploration
Protocoles et concepts de routage : RIPv2 Travaux pratiques 7.5.3 : dépannage de RIPv2
Copyright sur l’intégralité du contenu © 1992 – 2007 Cisco Systems, Inc. Tous droits réservés.
Ce document contient des informations publiques Cisco. Page 7 sur 13
Quels réseaux et routes figurent dans la table de routage ?
____________________________________________________________________________________
____________________________________________________________________________________
____________________________________________________________________________________
____________________________________________________________________________________
____________________________________________________________________________________
____________________________________________________________________________________
Étape 8 : nouvelle tentative de liaison ping entre les hôtes
Est-il possible d’envoyer une requête ping au PC3 à partir du PC1 hôte ? _______
Est-il possible d’envoyer une requête ping au PC4 à partir de l’hôte PC1 ? _______
Est-il possible d’envoyer une requête ping à l’interface Serial 0/0/1 du routeur HQ à partir du PC1 hôte ?
_______
Tâche 4 : dépannage du routeur HQ
Étape 1 : dépannage préalable de l’hôte PC3
Est-il possible d’envoyer une requête ping au PC1 à partir du PC3 hôte ? _______
Est-il possible d’envoyer une requête ping au PC5 à partir du PC3 hôte ? _________
Est-il possible d’envoyer une requête ping à la passerelle par défaut à partir du PC3 hôte ? _______
Étape 2 : examen du routeur HQ à la recherche d’éventuelles erreurs de configuration
Commencez par consulter le résumé des informations d’état relatives à chaque interface du routeur.
La configuration des interfaces présente-t-elle des problèmes ?
____________________________________________________________________________________
___________________________________________________________________________________
Si la configuration des interfaces présente des problèmes, enregistrez les commandes qui permettront
de corriger ces erreurs.
___________________________________________________________________________
___________________________________________________________________________
___________________________________________________________________________
Étape 3 : di les commandes ci-dessus ont été enregistrées, les appliquer maintenant à la
configuration du routeur
CCNA Exploration
Protocoles et concepts de routage : RIPv2 Travaux pratiques 7.5.3 : dépannage de RIPv2
Copyright sur l’intégralité du contenu © 1992 – 2007 Cisco Systems, Inc. Tous droits réservés.
Ce document contient des informations publiques Cisco. Page 8 sur 13
Étape 4 : dépannage de la configuration du routage sur le routeur BRANCH2
Quels réseaux et routes figurent dans la table de routage ?
___________________________________________________________________________________
___________________________________________________________________________________
___________________________________________________________________________________
___________________________________________________________________________________
___________________________________________________________________________________
___________________________________________________________________________________
___________________________________________________________________________________
La table de routage présente-t-elle des problèmes ?
___________________________________________________________________________________
____________________________________________________________________________________
____________________________________________________________________________________
Si vous décelez des problèmes dans la table de routage, notez les commandes qui permettront
de corriger les erreurs de configuration.
___________________________________________________________________________________
___________________________________________________________________________________
___________________________________________________________________________________
Quels sont les réseaux qui sont inclus dans les mises à jour RIP ?
___________________________________________________________________________________
___________________________________________________________________________________
___________________________________________________________________________________
Est-ce que les mises à jour RIP envoyées à partir du routeur HQ présentent des problèmes ?
___________________________________________________________________________________
____________________________________________________________________________________
Si vous décelez des problèmes de configuration RIP, notez les commandes qui permettront de corriger
ces erreurs.
____________________________________________________________________________________
____________________________________________________________________________________
____________________________________________________________________________________
CCNA Exploration
Protocoles et concepts de routage : RIPv2 Travaux pratiques 7.5.3 : dépannage de RIPv2
Copyright sur l’intégralité du contenu © 1992 – 2007 Cisco Systems, Inc. Tous droits réservés.
Ce document contient des informations publiques Cisco. Page 9 sur 13
Étape 5 : si les commandes ci-dessus ont été enregistrées, les appliquer maintenant à la
configuration du routeur
Étape 6 : consultation des informations de routage
Si la configuration a été modifiée au cours des étapes précédentes, consultez de nouveau les
informations de routage.
Les informations de la table de routage indiquent-elles la présence d’erreurs de configuration sur
le routeur HQ ? _________
Les mises à jour RIP envoyées comportent-elles des informations qui indiquent la présence d’erreurs
de configuration sur le routeur HQ ? _________
Si la réponse à l’une de ces questions est oui, dépannez de nouveau la configuration du routage.
Étape 7 : nouvelle tentative de liaison ping entre les hôtes
Est-il possible d’envoyer une requête ping au PC1 à partir du PC3 hôte ? _______
Est-il possible d’envoyer une requête ping au PC5 à partir du PC3 hôte ? _________
Est-il possible d’envoyer une requête ping à la passerelle par défaut à partir du PC3 hôte ? _______
Tâche 5 : dépannage du routeur BRANCH2
Étape 1 : dépannage préalable de l’hôte PC5
Est-il possible d’envoyer une requête ping au PC6 à partir du PC5 hôte ? _________
Est-il possible d’envoyer une requête ping au PC1 à partir du PC5 hôte ? _________
Est-il possible d’envoyer une requête ping à la passerelle par défaut à partir du PC3 hôte ? ________
Étape 2 : examen du routeur BRANCH2 à la recherche d’éventuelles erreurs de configuration
Commencez par consulter le résumé des informations d’état relatives à chaque interface du routeur.
La configuration des interfaces présente-t-elle des problèmes ?
___________________________________________________________________________________
___________________________________________________________________________________
___________________________________________________________________________________
___________________________________________________________________________________
Si la configuration des interfaces présente des problèmes, enregistrez les commandes qui permettront
de corriger ces erreurs.
___________________________________________________________________________________
___________________________________________________________________________________
___________________________________________________________________________________
___________________________________________________________________________________
___________________________________________________________________________________
CCNA Exploration
Protocoles et concepts de routage : RIPv2 Travaux pratiques 7.5.3 : dépannage de RIPv2
Copyright sur l’intégralité du contenu © 1992 – 2007 Cisco Systems, Inc. Tous droits réservés.
Ce document contient des informations publiques Cisco. Page 10 sur 13
___________________________________________________________________________________
___________________________________________________________________________________
___________________________________________________________________________________
___________________________________________________________________________________
___________________________________________________________________________________
___________________________________________________________________________________
Étape 3 : si les commandes ci-dessus ont été enregistrées, les appliquer maintenant à la
configuration du routeur
Étape 4 : consultation du résumé des informations d’état
Si la configuration a été modifiée à l’étape précédente, consultez de nouveau le résumé des informations
d'état relatives aux interfaces du routeur.
Les informations du résumé de l’état des interfaces indiquent-elles la présence d’erreurs de
configuration ? _________
Si la réponse est oui, dépannez de nouveau l’état des interfaces.
Étape 5 : dépannage de la configuration du routage sur le routeur BRANCH2
Commencez par consulter la table de routage.
Quels réseaux et routes figurent dans la table de routage ?
__________________________________________________________________________________
__________________________________________________________________________________
__________________________________________________________________________________
__________________________________________________________________________________
__________________________________________________________________________________
__________________________________________________________________________________
__________________________________________________________________________________
__________________________________________________________________________________
Étape 6 : examen des routes envoyées dans les mises à jour de routage à partir
du routeur BRANCH2
Existe-t-il des problèmes dans ces mises à jour de routage ?
__________________________________________________________________________________
____________________________________________________________________________________
CCNA Exploration
Protocoles et concepts de routage : RIPv2 Travaux pratiques 7.5.3 : dépannage de RIPv2
Copyright sur l’intégralité du contenu © 1992 – 2007 Cisco Systems, Inc. Tous droits réservés.
Ce document contient des informations publiques Cisco. Page 11 sur 13
Si vous décelez des problèmes de configuration du routage, notez les commandes qui permettront
de corriger les erreurs de configuration.
__________________________________________________________________________________
__________________________________________________________________________________
__________________________________________________________________________________
Étape 7 : si les commandes ci-dessus ont été enregistrées, les appliquer maintenant à la
configuration du routeur
Étape 8 : nouvelle tentative d’envoi de requête ping aux hôtes
Est-il possible d’envoyer une requête ping au PC6 à partir du PC5 hôte ? _______
Est-il possible d’envoyer une requête ping au PC1 à partir du PC5 hôte ? _______
Est-il possible d’envoyer une requête ping à la passerelle par défaut à partir du PC3 hôte ? _______
Est-il possible d’envoyer une requête ping au PC1 à partir du routeur HQ ? ____________
Est-il possible d’envoyer une requête ping au PC5 à partir du routeur HQ ? ____________
Étape 9 : examen des mises à jour de routage reçues sur le routeur BRANCH2
Quels sont les réseaux qui sont reçus dans les mises à jour RIP ?
__________________________________________________________________________________
__________________________________________________________________________________
__________________________________________________________________________________
Existe-t-il des problèmes dans ces mises à jour de routage ?
____________________________________________________________________________________
____________________________________________________________________________________
____________________________________________________________________________________
Si vous décelez des problèmes de configuration du routage, notez les commandes qui permettront
de corriger les erreurs de configuration.
____________________________________________________________________________________
____________________________________________________________________________________
____________________________________________________________________________________
Ces commandes doivent-elles être appliquées uniquement à BRANCH2 ou également aux autres
routeurs du réseau ?
____________________________________________________________________________________
____________________________________________________________________________________
____________________________________________________________________________________
CCNA Exploration
Protocoles et concepts de routage : RIPv2 Travaux pratiques 7.5.3 : dépannage de RIPv2
Copyright sur l’intégralité du contenu © 1992 – 2007 Cisco Systems, Inc. Tous droits réservés.
Ce document contient des informations publiques Cisco. Page 12 sur 13
Étape 10 : si les commandes ci-dessus ont été enregistrées, les appliquer maintenant à la
configuration du routeur
Étape 11 : consultation des informations de routage
Si la configuration a été modifiée à l’étape précédente, affichez de nouveau la table de routage.
Les informations de la table de routage ou les mises à jour de routage indiquent-elles la présence
d’erreurs de configuration ? _________
Si la réponse est oui, dépannez de nouveau la configuration du routage.
Étape 12 : nouvelle tentative de liaison ping entre les hôtes
Est-il possible d’envoyer une requête ping au PC6 à partir du PC5 hôte ? _______
Est-il possible d’envoyer une requête ping au PC1 à partir du PC5 hôte ? _______
Est-il possible d’envoyer une requête ping au PC3 à partir du PC5 hôte ? _______
Est-il possible d’envoyer une requête ping au PC3 à partir du PC1 hôte ? _______
Est-il possible d’envoyer une requête ping au PC1 à partir du routeur HQ ? __________
Est-il possible d’envoyer une requête ping au PC5 à partir du routeur HQ ? _______
Tâche 6 : remarques générales
Les scripts fournis pour ces travaux pratiques ont présenté plusieurs erreurs de configuration.
Utilisez l’espace ci-dessous pour décrire brièvement les erreurs que vous avez trouvées.
___________________________________________________________________________________
___________________________________________________________________________________
___________________________________________________________________________________
___________________________________________________________________________________
___________________________________________________________________________________
___________________________________________________________________________________
___________________________________________________________________________________
___________________________________________________________________________________
Tâche 7 : documentation
Sur chaque routeur, capturez la sortie de commande suivante dans un fichier texte (.txt) et enregistrez-la
pour pouvoir la consulter ultérieurement :
 show running-config
 show ip route
 show ip interface brief
 show ip protocols
Si vous devez revoir les procédures de capture d’informations de commandes, consultez les travaux
pratiques 1.5.1.
CCNA Exploration
Protocoles et concepts de routage : RIPv2 Travaux pratiques 7.5.3 : dépannage de RIPv2
Copyright sur l’intégralité du contenu © 1992 – 2007 Cisco Systems, Inc. Tous droits réservés.
Ce document contient des informations publiques Cisco. Page 13 sur 13
Tâche 8 : remise en état
Supprimez les configurations et rechargez les routeurs. Déconnectez et rangez les câbles. Pour les hôtes
PC qui sont habituellement connectés à d’autres réseaux (comme un réseau local scolaire ou Internet),
reconnectez les câbles appropriés et restaurez les paramètres TCP/IP.
7.6.1 : exercice d’intégration des compétences Packet Tracer
Diagramme de topologie
Copyright sur l'intégralité du contenu © 1992–2007 Cisco Systems, Inc. Tous droits réservés.
Ce document contient des informations publiques Cisco. Page 1 sur 4
CCNA Exploration
Protocoles et concepts de routage : RIPv2 7.6.1 : exercice d’intégration des compétences Packet Tracer
Table d’adressage
Périphérique Interface Adresse IP
Masque
de sous-réseau
Passerelle
par défaut
Fa0/0 N/D
Fa0/1 N/D
S0/0/0 209.165.201.2 255.255.255.252 N/D
S0/0/1 N/D
S0/1/0 N/D
HQ
S0/1/1 N/D
Fa0/0 N/D
Fa0/1 N/DB1
S0/0/0 N/D
Fa0/0 N/D
Fa0/1 N/DB2
S0/0/0 N/D
Fa0/0 N/D
Fa0/1 N/DB3
S0/0/0 N/D
Fa0/0 209.165.202.129 255.255.255.252 N/D
ISP
S0/0/0 209.165.201.1 255.255.255.252 N/D
Web Server Carte réseau 209.165.202.130 255.255.255.252 209.165.202.129
PC1 Carte réseau
PC2 Carte réseau
PC3 Carte réseau
PC4 Carte réseau
PC5 Carte réseau
PC6 Carte réseau
PC7 Carte réseau
PC8 Carte réseau
Copyright sur l'intégralité du contenu © 1992–2007 Cisco Systems, Inc. Tous droits réservés.
Ce document contient des informations publiques Cisco. Page 2 sur 4
CCNA Exploration
Protocoles et concepts de routage : RIPv2 7.6.1 : exercice d’intégration des compétences Packet Tracer
Objectifs
• Concevoir et documenter un schéma d’adressage en fonction de conditions requises
• Sélectionner le matériel approprié et câbler les périphériques
• Appliquer une configuration de base aux périphériques
• Tester la connectivité entre les périphériques directement connectés
• Configurer le routage RIPv2
• Configurer le routage statique et par défaut pour l’accès Internet
• Vérifier la connectivité entre tous les périphériques de la topologie
Tâche 1 : conception et documentation d’un schéma d’adressage
Étape 1 : conception d’un schéma d’adressage
Établissez un schéma d’adressage approprié en fonction des spécifications réseau indiquées dans
la topologie.
Étape 2 : documentation du schéma d’adressage
• Utilisez les espaces libres de la topologie pour indiquer les adresses réseau au format
points/barres obliques.
• Utilisez le tableau fourni dans les instructions papier pour documenter les adresses IP,
les masques de sous-réseau et les adresses des passerelles par défaut.
Tâche 2 : sélection du matériel et câblage des périphériques
Étape 1 : sélection du matériel nécessaire
Sélectionnez les périphériques restants dont vous aurez besoin et ajoutez-les à l’espace de travail
de Packet Tracer.
Étape 2 : fin du câblage des périphériques
Câblez les réseaux en fonction de la topologie en veillant à ce que les interfaces correspondent à ce
que vous avez documentez à la tâche 1.
Tâche 3 : application d’une configuration de base
Étape 1 : configuration des routeurs
À l’aide de votre documentation, procédez à la configuration de base des routeurs.
Étape 2 : configuration des ordinateurs
À l’aide de votre documentation, configurez les ordinateurs en leur affectant une adresse IP, un masque
de sous-réseau et une passerelle par défaut.
Tâche 4 : test de la connectivité
Avant de continuer, assurez-vous que chaque périphérique peut envoyer une requête ping à son voisin
directement connecté.
Copyright sur l'intégralité du contenu © 1992–2007 Cisco Systems, Inc. Tous droits réservés.
Ce document contient des informations publiques Cisco. Page 3 sur 4
CCNA Exploration
Protocoles et concepts de routage : RIPv2 7.6.1 : exercice d’intégration des compétences Packet Tracer
Copyright sur l'intégralité du contenu © 1992–2007 Cisco Systems, Inc. Tous droits réservés.
Ce document contient des informations publiques Cisco. Page 4 sur 4
Tâche 5 : configuration et vérification du routage RIPv2
Étape 1 : configuration du protocole RIPv2
Configurez tous les périphériques pour le routage RIPv2. Dans votre configuration, veillez à effectuer
les opérations suivantes :
• Désactivez la fonction de récapitulatif automatique.
• Arrêtez les mises à jour de routage sur les interfaces qui ne sont pas connectées aux voisins RIP.
Étape 2 : vérification du protocole RIPv2
Utilisez les commandes de vérification pour vérifier votre configuration. Tous les routeurs doivent être
convergents sur tous les sous-réseaux 10.2.0.0/24 et 172.17.1.224/28.
Tâche 6 : configuration du routage statique et par défaut
Tâche 7 : test de la connectivité et examen de la configuration
Testez la connectivité et examinez la configuration.
CCNA Exploration
Protocoles et concepts de routage : table de routage : examen détaillé 8.5.1 : Exercice d’intégration des compétences Packet Tracer
Copyright sur l'intégralité du contenu © 1992–2007 Cisco Systems, Inc. Tous droits réservés.
Ce document contient des informations publiques Cisco. Page 7 sur 7
Tâche 8 : vérification de la connectivité entre tous les périphériques de la topologie
Étape 1 : test de la connectivité
• La connectivité de bout en bout doit maintenant être établie. Utilisez une requête ping pour tester
la connectivité sur le réseau. Chaque routeur doit pouvoir envoyer une requête ping à toutes les
autres interfaces de routeur et aux deux serveurs Web.
• Corrigez les éventuels problèmes jusqu’à ce que les requêtes ping fonctionnent.
Étape 2 : examen de la configuration
Utilisez les commandes de vérification pour vérifier que vos configurations sont complètes.
Copyright sur l’intégralité du contenu © 1992 – 2007 Cisco Systems, Inc. Tous droits réservés.
Ce document contient des informations publiques Cisco. Page 1 sur 11
Travaux pratiques 8.4.1 : localisation du processus de recherche
dans la table de routage
Objectifs pédagogiques
À l’issue de ces travaux pratiques, vous serez en mesure d’effectuer les tâches suivantes :
 Câbler un réseau conformément au diagramme de topologie
 Supprimer la configuration de démarrage et recharger un routeur en lui attribuant les
paramètres par défaut
 Effectuer des tâches de configuration de base sur un routeur
 Déterminer des routes de niveaux 1 et 2
 Modifier la configuration pour y représenter le routage statique et par défaut
 Activer le routage par classe et étudier son comportement
 Activer le routage sans classe et étudier son comportement
Scénarios
Ces travaux pratiques comprennent deux scénarios distincts. Dans le premier, vous allez examiner
les routes de niveaux 1 et 2 dans la table de routage. Dans le second, vous allez examiner le
comportement du routage par classe et sans classe.
 Scénario A : routes de niveaux 1 et 2
 Scénario B : comportement du routage par classe et sans classe
CCNA Exploration
Protocoles et concepts de routage : Travaux pratiques 8.4.1 :
la table de routage : examen détaillé localisation du processus de recherche dans la table de routage
Copyright sur l’intégralité du contenu © 1992 – 2007 Cisco Systems, Inc. Tous droits réservés.
Ce document contient des informations publiques Cisco. Page 2 sur 11
Scénario A : routes de niveaux 1 et 2
Diagramme de topologie
Table d’adressage
Périphérique Interface Adresse IP
Masque de
sous-réseau
Passerelle
par défaut
R1
Fa0/0 172.16.1.1 255.255.255.0 s/o
S0/0/0 172.16.2.1 255.255.255.0 s/o
R2
Fa0/0 172.16.3.1 255.255.255.0 s/o
S0/0/0 172.16.2.2 255.255.255.0 s/o
S0/0/1 192.168.1.1 255.255.255.0 s/o
R3
Fa0/0 172.16.4.1 255.255.255.0 s/o
S0/0/1 192.168.1.2 255.255.255.0 s/o
PC1 Carte réseau 172.16.1.10 255.255.255.0 172.16.1.1
PC2 Carte réseau 172.16.3.10 255.255.255.0 172.16.3.1
PC3 Carte réseau 172.16.4.10 255.255.255.0 172.16.4.1
Tâche 1 : préparation du réseau
Étape 1 : câblage d’un réseau similaire à celui du diagramme de topologie
Vous pouvez utiliser n’importe quel routeur durant les travaux pratiques, pourvu qu'il soit équipé
des interfaces indiquées dans la topologie.
Remarque : si vous utilisez les routeurs 1700, 2500 ou 2600, les sorties des routeurs et les
descriptions des interfaces apparaîtront différemment.
CCNA Exploration
Protocoles et concepts de routage : Travaux pratiques 8.4.1 :
la table de routage : examen détaillé localisation du processus de recherche dans la table de routage
Copyright sur l’intégralité du contenu © 1992 – 2007 Cisco Systems, Inc. Tous droits réservés.
Ce document contient des informations publiques Cisco. Page 3 sur 11
Étape 2 : suppression des configurations actuelles des routeurs
Tâche 2 : exécution des configurations de base des routeurs
Exécutez la configuration de base des routeurs R1, R2 et R3 en suivant les directives suivantes :
1. Configurez le nom d’hôte du routeur.
2. Désactivez la recherche DNS.
3. Configurez un mot de passe pour le mode d’exécution.
4. Configurez une bannière du message du jour.
5. Configurez un mot de passe pour les connexions de consoles.
6. Configurez un mot de passe pour les connexions de terminaux virtuels (vty).
Tâche 3 : configuration et activation des adresses série et Ethernet
Étape 1 : configuration des interfaces sur R1, R2 et R3
Configurez les interfaces des routeurs R1, R2 et R3 avec les adresses IP de la table figurant sous
le diagramme de topologie.
Étape 2 : vérification de l’adressage IP et des interfaces
Utilisez la commande show ip interface brief pour vérifier que l’adressage IP est correct
et que les interfaces sont actives.
Enregistrez ensuite la configuration active dans la mémoire vive non volatile du routeur.
Étape 3 : configuration des interfaces Ethernet de PC1, PC2 et PC3
Configurez les interfaces Ethernet de PC1, PC2 et PC3 avec les adresses IP et les passerelles par
défaut indiquées dans la table figurant sous le diagramme de topologie.
Étape 4 : test de la configuration du PC en envoyant une requête ping à la passerelle par
défaut à partir du PC
Tâche 4 : configuration du protocole RIP
Configurez le routage RIP version 1 sur chacun des routeurs. Incluez des instructions network pour
chaque réseau directement connecté.
CCNA Exploration
Protocoles et concepts de routage : Travaux pratiques 8.4.1 :
la table de routage : examen détaillé localisation du processus de recherche dans la table de routage
Copyright sur l’intégralité du contenu © 1992 – 2007 Cisco Systems, Inc. Tous droits réservés.
Ce document contient des informations publiques Cisco. Page 4 sur 11
Tâche 5 : examen des routes supprimées et ajoutées dans la table de routage
Étape 1 : affichage de la table de routage sur le routeur R1
Quels réseaux figurent dans la table de routage ?
________________________________________________________________
________________________________________________________________
________________________________________________________________
________________________________________________________________
________________________________________________________________
Étape 2 : utilisation de la commande debug ip routing pour observer les modifications dans
la table de routage à mesure qu’elles se produisent sur le routeur R1
R1#debug ip routing
IP routing debugging is on
Étape 3 : fermeture de l’interface Serial0/0/0 et examen de la sortie du débogage
R1(config-if)#shutdown
%LINK-5-CHANGED: Interface Serial0/0/0, changed state to administratively
down
RT: interface Serial0/0/0 removed from routing table
%LINEPROTO-5-UPDOWN: Line protocol on Interface Serial0/0/0, changed state
to down
RT: del 172.16.2.0 via 0.0.0.0, connected metric [0/0]
RT: delete network route to 172.16.2.0
RT: NET-RED 172.16.2.0/24
RT: del 172.16.3.0 via 172.16.2.2, rip metric [120/1]
RT: delete network route to 172.16.3.0
RT: NET-RED 172.16.3.0/24
RT: del 192.168.1.0 via 172.16.2.2, rip metric [120/1]
RT: delete network route to 192.168.1.0
RT: NET-RED 192.168.1.0/24
Étape 4 : affichage de la table de routage du routeur R1 et examen des modifications qui
se sont produites après la désactivation de l’interface Serial0/0/0
R1#show ip route
<Output omitted>
Gateway of last resort is not set
172.16.0.0/24 is subnetted, 1 subnets
C 172.16.1.0 is directly connected, FastEthernet0/0
R1#
CCNA Exploration
Protocoles et concepts de routage : Travaux pratiques 8.4.1 :
la table de routage : examen détaillé localisation du processus de recherche dans la table de routage
Copyright sur l’intégralité du contenu © 1992 – 2007 Cisco Systems, Inc. Tous droits réservés.
Ce document contient des informations publiques Cisco. Page 5 sur 11
Étape 5 : activation de l’interface Serial0/0/0 et examen de la sortie du débogage
R1(config-if)#no shutdown
RT: SET_LAST_RDB for 172.16.2.0/24
NEW rdb: is directly connected
RT: add 172.16.2.0/24 via 0.0.0.0, connected metric [0/0]
RT: NET-RED 172.16.2.0/24RT: SET_LAST_RDB for 172.16.0.0/16
NEW rdb: via 172.16.2.2
RT: add 172.16.3.0/24 via 172.16.2.2, rip metric [120/1]
RT: NET-RED 172.16.3.0/24RT: SET_LAST_RDB for 192.168.1.0/24
NEW rdb: via 172.16.2.2
RT: add 192.168.1.0/24 via 172.16.2.2, rip metric [120/1]
RT: NET-RED 192.168.1.0/24
Pourquoi la route à destination de 172.16.2.0/24 est-elle la première ajoutée ?
_________________________________________________________________________
Pourquoi un certain temps s’écoule avant que les autres routes soient ajoutées ?
_________________________________________________________________________
Étape 6 : désactivation de la sortie du débogage à l’aide de la commande no debug ip routing
ou undebug allTâche 6 : identification des routes de niveaux 1 et 2
Étape 1 : examen de la table de routage de R1
R1#show ip route
<Output ommited>
Gateway of last resort is not set
172.16.0.0/24 is subnetted, 3 subnets
C 172.16.1.0/24 is directly connected, FastEthernet0/0
C 172.16.2.0/24 is directly connected, Serial0/0/0
R 172.16.3.0/24 [120/1] via 172.16.2.2, 00:00:14, Serial0/0/0
R 192.168.1.0/24 [120/1] via 172.16.2.2, 00:00:14, Serial0/0/0
R1#
CCNA Exploration
Protocoles et concepts de routage : Travaux pratiques 8.4.1 :
la table de routage : examen détaillé localisation du processus de recherche dans la table de routage
Copyright sur l’intégralité du contenu © 1992 – 2007 Cisco Systems, Inc. Tous droits réservés.
Ce document contient des informations publiques Cisco. Page 6 sur 11
Parmi les routes suivantes, quelles sont celles qui appartiennent au niveau 1 ?
________________________________________________________________
________________________________________________________________
________________________________________________________________
________________________________________________________________
En quoi ces routes appartiennent-elles au niveau 1 ?
________________________________________________________________
________________________________________________________________
Parmi les routes de niveau 1, en existe-t-il de meilleures ?
________________________________________________________________
________________________________________________________________
________________________________________________________________
En quoi cette route est-elle meilleure ?
_____________________________________________________________________________
_____________________________________________________________________________
Parmi les routes de niveau 1, existe-t-il des routes parent ?
________________________________________________________________
________________________________________________________________
________________________________________________________________
En quoi cette route est-elle une route parent de niveau 1 ?
_____________________________________________________________________________
_____________________________________________________________________________
CCNA Exploration
Protocoles et concepts de routage : Travaux pratiques 8.4.1 :
la table de routage : examen détaillé localisation du processus de recherche dans la table de routage
Copyright sur l’intégralité du contenu © 1992 – 2007 Cisco Systems, Inc. Tous droits réservés.
Ce document contient des informations publiques Cisco. Page 7 sur 11
Parmi les différentes routes, quelles sont celles de niveau 2 ?
________________________________________________________________
________________________________________________________________
________________________________________________________________
En quoi ces routes appartiennent-elles au niveau 2 ?
_____________________________________________________________________________
_____________________________________________________________________________
CCNA Exploration
Protocoles et concepts de routage : Travaux pratiques 8.4.1 :
la table de routage : examen détaillé localisation du processus de recherche dans la table de routage
Copyright sur l’intégralité du contenu © 1992 – 2007 Cisco Systems, Inc. Tous droits réservés.
Ce document contient des informations publiques Cisco. Page 8 sur 11
Scénario B : comportement du routage par classe et sans classe
Diagramme de topologie
Tâche 1 : modifications entre le scénario A et le scénario B
Étape 1 : suppression de la configuration RIP du routeur R3 et configuration d’une route
statique à destination de 172.16.0.0/16
R3(config)#no router rip
R3(config)#ip route 172.16.0.0 255.255.0.0 Serial0/0/1
Étape 2 : suppression du réseau 192.168.1.0 de la configuration RIP du routeur R2
R2(config)#router rip
R2(config-router)#no network 192.168.1.0
Étape 3 : ajout d’une route statique par défaut à destination de R3 sur le routeur R2
Incluez la commande default-information originate dans la configuration pour inclure
la route statique par défaut dans les mises à jour RIP.
R2(config)#ip route 0.0.0.0 0.0.0.0 Serial0/0/1
R2(config)#router rip
R2(config-router)#default-information originate
CCNA Exploration
Protocoles et concepts de routage : Travaux pratiques 8.4.1 :
la table de routage : examen détaillé localisation du processus de recherche dans la table de routage
Copyright sur l’intégralité du contenu © 1992 – 2007 Cisco Systems, Inc. Tous droits réservés.
Ce document contient des informations publiques Cisco. Page 9 sur 11
Tâche 2 : activation du comportement de routage par classe sur les routeurs
Étape 1 : utilisation de la commande no ip classless pour configurer le processus
de recherche de route et utiliser les recherches de route par classe
R1
R1(config)#no ip classless
R2
R2(config)#no ip classless
R3
R3(config)#no ip classless
Étape 2 : examen de la table de routage du routeur R2
R2#show ip route
<output omitted>
172.16.0.0/24 is subnetted, 4 subnets
R 172.16.1.0 [120/1] via 172.16.2.1, 00:00:00, Serial0/0/0
C 172.16.2.0 is directly connected, Serial0/0/0
C 172.16.3.0 is directly connected, FastEthernet0/0
C 192.168.1.0/24 is directly connected, Serial0/0/1
R2#
Étape 3 : envoi d’une requête ping du routeur R2 au PC3 et examen des résultats
R2#ping 172.16.4.10
Type escape sequence to abort.
Sending 5, 100-byte ICMP Echos to 172.16.4.10, timeout is 2 seconds:
.....
Success rate is 0 percent (0/5 )
La requête ping n’a pas abouti, car le routeur utilise le comportement de routage par classe.
Le processus de recherche de route sur le routeur R2 effectue une recherche dans la table de
routage et découvre que les 16 premiers bits de l’adresse de destination correspondent à la route
parent 172.16.0.0/16. L’adresse de destination correspondant à la route parent, les routes enfant
sont vérifiées.
Quelles sont les routes enfant du réseau parent 172.16.0.0/16 ?
________________________________________________________________
________________________________________________________________
CCNA Exploration
Protocoles et concepts de routage : Travaux pratiques 8.4.1 :
la table de routage : examen détaillé localisation du processus de recherche dans la table de routage
Copyright sur l’intégralité du contenu © 1992 – 2007 Cisco Systems, Inc. Tous droits réservés.
Ce document contient des informations publiques Cisco. Page 10 sur 11
Combien de bits doivent correspondre dans l’adresse de destination pour qu’un paquet soit
transféré en empruntant l’une des routes enfant ? ________
L’adresse de destination des paquets de requêtes ping correspond-elle à l’une des routes enfant
de 172.16.0.0/16 ? ________
La commande no ip classless ayant été utilisée pour configurer le routeur R2 de sorte
qu’il utilise le comportement de routage par classe, dès qu’une correspondance de niveau 1 est
trouvée, le routeur ne recherche pas de correspondance de degré moindre au-delà des routes
enfant. Même si une route statique par défaut a été configurée, celle-ci n'est pas utilisée et
le paquet est abandonné.
Tâche 3 : activation du comportement de routage sans classe sur les routeurs
Étape 1 : utilisation de la commande ip classless command pour réactiver le routage
sans classe
R1
R1(config)#ip classless
R2
R2(config)#ip classless
R3
R3(config)#ip classless
Étape 2 : examen de la table de routage du routeur R2
Sachez que la table de routage demeure inchangée bien que la configuration du routeur ait été
modifiée de sorte à utiliser le comportement de routage sans classe.
R2#show ip route
<output omitted>
Gateway of last resort is 0.0.0.0 to network 0.0.0.0
172.16.0.0/24 is subnetted, 4 subnets
R 172.16.1.0 [120/1] via 172.16.2.1, 00:00:00, Serial0/0/0
C 172.16.2.0 is directly connected, Serial0/0/0
C 172.16.3.0 is directly connected, FastEthernet0/0
C 192.168.1.0/24 is directly connected, Serial0/0/1
S* 0.0.0.0/0 is directly connected, Serial0/0/1
R2#
Étape 3 : répétition de requête ping du routeur R2 au PC3 et examen des résultats
R2#ping 172.16.4.10
Type escape sequence to abort.
Sending 5, 100-byte ICMP Echos to 172.16.4.10, timeout is 2 seconds:
!!!!!
Success rate is 100 percent, round-trip min/avg/max = 28/28/28 ms
CCNA Exploration
Protocoles et concepts de routage : Travaux pratiques 8.4.1 :
la table de routage : examen détaillé localisation du processus de recherche dans la table de routage
Copyright sur l’intégralité du contenu © 1992 – 2007 Cisco Systems, Inc. Tous droits réservés.
Ce document contient des informations publiques Cisco. Page 11 sur 11
Cette fois, la requête ping a abouti, car le routeur utilise le comportement de routage sans classe.
L’adresse de destination du paquet correspond à la route parent de niveau 1 172.16.0.0/16,
mais ne correspond à aucune des routes enfant de cette route parent.
Le comportement sans classe étant configuré, le routeur continue de rechercher dans la table
de routage une route dont le nombre de bits correspondants est inférieur, mais qui représente
toutefois une correspondance. Le masque d’une route par défaut est /0, ce qui signifie qu’il n’y
aucune exigence quant à la correspondance de bits. Dans le comportement de routage sans
classe, si aucune autre route ne correspond, la route par défaut correspond invariablement.
S* 0.0.0.0/0 is directly connected, Serial0/0/1
Étant donné qu’une route par défaut a été configurée sur le routeur R2, cette route est utilisée
pour transférer les paquets vers le PC3.
Étape 4 : examen de la table de routage du routeur R3 pour déterminer comment le trafic
généré par la commande ping est renvoyé au routeur R2
R3#show ip route
<output omitted>
Gateway of last resort is not set
172.16.0.0/16 is variably subnetted, 2 subnets, 2 masks
S 172.16.0.0/16 is directly connected, Serial0/0/1
C 172.16.4.0/24 is directly connected, FastEthernet0/0
C 192.168.1.0/24 is directly connected, Serial0/0/1
R3#
Notez que dans la table de routage du routeur R3, la route de sous-réseau 172.16.4.0/24 et la
route de réseau par classe 172.16.0.0/16 sont des routes enfant de niveau 2 de la route parent
172.16.0.0/16. Dans ce cas, R3 utilise la route enfant 172.16.0.0/16 et transfère le trafic retour
de S0/0/1 vers R2.
Copyright sur l’intégralité du contenu © 1992 – 2007 Cisco Systems, Inc. Tous droits réservés.
Ce document contient des informations publiques Cisco. Page 1 sur 7
Travaux pratiques 8.4.2 : travaux pratiques avancés sur show ip route
Table d’adressage
Périphérique Interface Adresse IP Masque de sous-réseau
R1
R2
R3
R4
R5
Objectifs pédagogiques
À l’issue de ces travaux pratiques, vous serez en mesure d’effectuer les tâches suivantes :
 Déterminer la topologie du réseau en fonction des sorties de la commande show ip route
 Câbler un réseau conformément au diagramme de topologie
 Déterminer l’adressage d’interface des routeurs en fonction des sorties
 Effectuer des tâches de configuration de base sur un routeur
 Déterminer des routes de niveaux 1 et 2
CCNA Exploration
Protocoles et concepts de routage :
la table de routage : examen détaillé Travaux pratiques 8.4.2 : travaux pratiques avancés sur show ip route
Copyright sur l’intégralité du contenu © 1992 – 2007 Cisco Systems, Inc. Tous droits réservés.
Ce document contient des informations publiques Cisco. Page 2 sur 7
Scénario
Dans le cadre de ces travaux pratiques, vous allez déterminer la topologie d’un réseau à partir des sorties
de la commande show ip route. Vous devez tracer un diagramme de topologie et déterminer l’adressage
d’interface sur chaque routeur. Vous devez ensuite construire et configurer le réseau en fonction des sorties.
Vous êtes libre d’affecter ou non l’ETTD et le DCE. Lorsque vous aurez terminé, les sorties de votre réseau
doivent correspondre à celles présentées ci-dessous.
Tâche 1 : examen des sorties des routeurs
Étape 1 : examen de la sortie du routeur R1
R1#show ip route
Codes: C - connected, S - static, I - IGRP, R - RIP, M - mobile, B – BGP
D - EIGRP, EX - EIGRP external, O - OSPF, IA - OSPF inter area
N1 - OSPF NSSA external type 1, N2 - OSPF NSSA external type 2
E1 - OSPF external type 1, E2 - OSPF external type 2, E – EGP
i - IS-IS, L1 - IS-IS level-1, L2 - IS-IS level-2, ia - IS-IS inter area
* - candidate default, U - per-user static route, o – ODR
P - periodic downloaded static route
Gateway of last resort is not set
10.0.0.0/30 is subnetted, 4 subnets
R 10.10.10.0 [120/1] via 10.10.10.6, 00:00:09, Serial0/0/0
C 10.10.10.4 is directly connected, Serial0/0/0
C 10.10.10.8 is directly connected, Serial0/0/1
R 10.10.10.12 [120/1] via 10.10.10.10, 00:00:09, Serial0/0/1
172.16.0.0/16 is variably subnetted, 10 subnets, 5 masks
C 172.16.1.0/27 is directly connected, FastEthernet0/0
R 172.16.1.32/28 [120/2] via 10.10.10.10, 00:00:09, Serial0/0/1
R 172.16.1.192/26 [120/1] via 10.10.10.6, 00:00:09, Serial0/0/0
R 172.16.2.0/26 [120/2] via 10.10.10.6, 00:00:09, Serial0/0/0
R 172.16.2.64/27 [120/1] via 10.10.10.10, 00:00:09, Serial0/0/1
C 172.16.3.0/25 is directly connected, FastEthernet0/1
R 172.16.3.128/26 [120/1] via 10.10.10.6, 00:00:09, Serial0/0/0
R 172.16.3.192/29 [120/2] via 10.10.10.6, 00:00:09, Serial0/0/0
R 172.16.4.0/27 [120/1] via 10.10.10.10, 00:00:09, Serial0/0/1
R 172.16.4.128/25 [120/2] via 10.10.10.10, 00:00:09, Serial0/0/1
C 192.168.1.0/24 is directly connected, Loopback0
S* 0.0.0.0/0 is directly connected, Loopback0
Étape 2 : examen de la sortie du routeur R2
R2#show ip route
Codes: C - connected, S - static, I - IGRP, R - RIP, M - mobile, B – BGP
D - EIGRP, EX - EIGRP external, O - OSPF, IA - OSPF inter area
N1 - OSPF NSSA external type 1, N2 - OSPF NSSA external type 2
E1 - OSPF external type 1, E2 - OSPF external type 2, E – EGP
i - IS-IS, L1 - IS-IS level-1, L2 - IS-IS level-2, ia - IS-IS inter area
* - candidate default, U - per-user static route, o – ODR
CCNA Exploration
Protocoles et concepts de routage :
la table de routage : examen détaillé Travaux pratiques 8.4.2 : travaux pratiques avancés sur show ip route
Copyright sur l’intégralité du contenu © 1992 – 2007 Cisco Systems, Inc. Tous droits réservés.
Ce document contient des informations publiques Cisco. Page 3 sur 7
P - periodic downloaded static route
Gateway of last resort is 10.10.10.2 to network 0.0.0.0
10.0.0.0/30 is subnetted, 4 subnets
C 10.10.10.0 is directly connected, Serial0/0/0
R 10.10.10.4 [120/1] via 10.10.10.2, 00:00:04, Serial0/0/0
R 10.10.10.8 [120/2] via 10.10.10.2, 00:00:04, Serial0/0/0
R 10.10.10.12 [120/3] via 10.10.10.2, 00:00:04, Serial0/0/0
172.16.0.0/16 is variably subnetted, 10 subnets, 5 masks
R 172.16.1.0/27 [120/2] via 10.10.10.2, 00:00:04, Serial0/0/0
R 172.16.1.32/28 [120/4] via 10.10.10.2, 00:00:04, Serial0/0/0
R 172.16.1.192/26 [120/1] via 10.10.10.2, 00:00:04, Serial0/0/0
C 172.16.2.0/26 is directly connected, FastEthernet0/0
R 172.16.2.64/27 [120/3] via 10.10.10.2, 00:00:04, Serial0/0/0
R 172.16.3.0/25 [120/2] via 10.10.10.2, 00:00:04, Serial0/0/0
R 172.16.3.128/26 [120/1] via 10.10.10.2, 00:00:04, Serial0/0/0
C 172.16.3.192/29 is directly connected, FastEthernet0/1
R 172.16.4.0/27 [120/3] via 10.10.10.2, 00:00:04, Serial0/0/0
R 172.16.4.128/25 [120/4] via 10.10.10.2, 00:00:04, Serial0/0/0
R 192.168.1.0/24 [120/2] via 10.10.10.2, 00:00:04, Serial0/0/0
R* 0.0.0.0/0 [120/2] via 10.10.10.2, 00:00:04, Serial0/0/0
Étape 3 : examen de la sortie du routeur R3
R3#show ip route
Codes: C - connected, S - static, I - IGRP, R - RIP, M - mobile, B – BGP
D - EIGRP, EX - EIGRP external, O - OSPF, IA - OSPF inter area
N1 - OSPF NSSA external type 1, N2 - OSPF NSSA external type 2
E1 - OSPF external type 1, E2 - OSPF external type 2, E – EGP
i - IS-IS, L1 - IS-IS level-1, L2 - IS-IS level-2, ia - IS-IS inter area
* - candidate default, U - per-user static route, o – ODR
P - periodic downloaded static route
Gateway of last resort is 10.10.10.5 to network 0.0.0.0
10.0.0.0/30 is subnetted, 4 subnets
C 10.10.10.0 is directly connected, Serial0/0/1
C 10.10.10.4 is directly connected, Serial0/0/0
R 10.10.10.8 [120/1] via 10.10.10.5, 00:00:04, Serial0/0/0
R 10.10.10.12 [120/2] via 10.10.10.5, 00:00:04, Serial0/0/0
172.16.0.0/16 is variably subnetted, 10 subnets, 5 masks
R 172.16.1.0/27 [120/1] via 10.10.10.5, 00:00:04, Serial0/0/0
R 172.16.1.32/28 [120/3] via 10.10.10.5, 00:00:04, Serial0/0/0
C 172.16.1.192/26 is directly connected, FastEthernet0/1
R 172.16.2.0/26 [120/1] via 10.10.10.1, 00:00:03, Serial0/0/1
R 172.16.2.64/27 [120/2] via 10.10.10.5, 00:00:04, Serial0/0/0
R 172.16.3.0/25 [120/1] via 10.10.10.5, 00:00:04, Serial0/0/0
C 172.16.3.128/26 is directly connected, FastEthernet0/0
R 172.16.3.192/29 [120/1] via 10.10.10.1, 00:00:03, Serial0/0/1
R 172.16.4.0/27 [120/2] via 10.10.10.5, 00:00:04, Serial0/0/0
R 172.16.4.128/25 [120/3] via 10.10.10.5, 00:00:04, Serial0/0/0
R 192.168.1.0/24 [120/1] via 10.10.10.5, 00:00:04, Serial0/0/0
R* 0.0.0.0/0 [120/1] via 10.10.10.5, 00:00:04, Serial0/0/0
CCNA Exploration
Protocoles et concepts de routage :
la table de routage : examen détaillé Travaux pratiques 8.4.2 : travaux pratiques avancés sur show ip route
Copyright sur l’intégralité du contenu © 1992 – 2007 Cisco Systems, Inc. Tous droits réservés.
Ce document contient des informations publiques Cisco. Page 4 sur 7
Étape 4 : rxamen de la sortie du routeur R4
R4#show ip route
Codes: C - connected, S - static, I - IGRP, R - RIP, M - mobile, B – BGP
D - EIGRP, EX - EIGRP external, O - OSPF, IA - OSPF inter area
N1 - OSPF NSSA external type 1, N2 - OSPF NSSA external type 2
E1 - OSPF external type 1, E2 - OSPF external type 2, E – EGP
i - IS-IS, L1 - IS-IS level-1, L2 - IS-IS level-2, ia - IS-IS inter area
* - candidate default, U - per-user static route, o – ODR
P - periodic downloaded static route
Gateway of last resort is 10.10.10.9 to network 0.0.0.0
10.0.0.0/30 is subnetted, 4 subnets
R 10.10.10.0 [120/2] via 10.10.10.9, 00:00:14, Serial0/0/0
R 10.10.10.4 [120/1] via 10.10.10.9, 00:00:14, Serial0/0/0
C 10.10.10.8 is directly connected, Serial0/0/0
C 10.10.10.12 is directly connected, Serial0/0/1
172.16.0.0/16 is variably subnetted, 10 subnets, 5 masks
R 172.16.1.0/27 [120/1] via 10.10.10.9, 00:00:14, Serial0/0/0
R 172.16.1.32/28 [120/1] via 10.10.10.14, 00:00:17, Serial0/0/1
R 172.16.1.192/26 [120/2] via 10.10.10.9, 00:00:14, Serial0/0/0
R 172.16.2.0/26 [120/3] via 10.10.10.9, 00:00:14, Serial0/0/0
C 172.16.2.64/27 is directly connected, FastEthernet0/1
R 172.16.3.0/25 [120/1] via 10.10.10.9, 00:00:14, Serial0/0/0
R 172.16.3.128/26 [120/2] via 10.10.10.9, 00:00:14, Serial0/0/0
R 172.16.3.192/29 [120/3] via 10.10.10.9, 00:00:14, Serial0/0/0
C 172.16.4.0/27 is directly connected, FastEthernet0/0
R 172.16.4.128/25 [120/1] via 10.10.10.14, 00:00:17, Serial0/0/1
R 192.168.1.0/24 [120/1] via 10.10.10.9, 00:00:14, Serial0/0/0
R* 0.0.0.0/0 [120/1] via 10.10.10.9, 00:00:14, Serial0/0/0
Étape 5 : examen de la sortie du routeur R5
R5#show ip route
Codes: C - connected, S - static, I - IGRP, R - RIP, M - mobile, B – BGP
D - EIGRP, EX - EIGRP external, O - OSPF, IA - OSPF inter area
N1 - OSPF NSSA external type 1, N2 - OSPF NSSA external type 2
E1 - OSPF external type 1, E2 - OSPF external type 2, E – EGP
i - IS-IS, L1 - IS-IS level-1, L2 - IS-IS level-2, ia - IS-IS inter area
* - candidate default, U - per-user static route, o – ODR
P - periodic downloaded static route
Gateway of last resort is 10.10.10.13 to network 0.0.0.0
CCNA Exploration
Protocoles et concepts de routage :
la table de routage : examen détaillé Travaux pratiques 8.4.2 : travaux pratiques avancés sur show ip route
Copyright sur l’intégralité du contenu © 1992 – 2007 Cisco Systems, Inc. Tous droits réservés.
Ce document contient des informations publiques Cisco. Page 5 sur 7
10.0.0.0/30 is subnetted, 4 subnets
R 10.10.10.0 [120/3] via 10.10.10.13, 00:00:21, Serial0/0/0
R 10.10.10.4 [120/2] via 10.10.10.13, 00:00:21, Serial0/0/0
R 10.10.10.8 [120/1] via 10.10.10.13, 00:00:21, Serial0/0/0
C 10.10.10.12 is directly connected, Serial0/0/0
172.16.0.0/16 is variably subnetted, 10 subnets, 5 masks
R 172.16.1.0/27 [120/2] via 10.10.10.13, 00:00:21, Serial0/0/0
C 172.16.1.32/28 is directly connected, FastEthernet0/1
R 172.16.1.192/26 [120/3] via 10.10.10.13, 00:00:21, Serial0/0/0
R 172.16.2.0/26 [120/4] via 10.10.10.13, 00:00:21, Serial0/0/0
R 172.16.2.64/27 [120/1] via 10.10.10.13, 00:00:21, Serial0/0/0
R 172.16.3.0/25 [120/2] via 10.10.10.13, 00:00:21, Serial0/0/0
R 172.16.3.128/26 [120/3] via 10.10.10.13, 00:00:21, Serial0/0/0
R 172.16.3.192/29 [120/4] via 10.10.10.13, 00:00:21, Serial0/0/0
R 172.16.4.0/27 [120/1] via 10.10.10.13, 00:00:21, Serial0/0/0
C 172.16.4.128/25 is directly connected, FastEthernet0/0
R 192.168.1.0/24 [120/2] via 10.10.10.13, 00:00:21, Serial0/0/0
R* 0.0.0.0/0 [120/2] via 10.10.10.13, 00:00:21, Serial0/0/0
Tâche 2 : création d’un diagramme du réseau en fonction des sorties des routeurs
Étape 1 : traçage d’un diagramme du réseau en fonction de votre interprétation des sorties des
routeurs dans l’espace fourni ci-après
Étape 2 : inscription des adresses d’interface dans la table d’adressage
CCNA Exploration
Protocoles et concepts de routage :
la table de routage : examen détaillé Travaux pratiques 8.4.2 : travaux pratiques avancés sur show ip route
Copyright sur l’intégralité du contenu © 1992 – 2007 Cisco Systems, Inc. Tous droits réservés.
Ce document contient des informations publiques Cisco. Page 6 sur 7
Tâche 3 : construction et configuration du diagramme à l’aide de Packet Tracer
Étape 1 : construction du diagramme de topologie dans Packet Tracer Vous pouvez utiliser les
routeurs 1841 ou 2811
Étape 2 : configuration des interfaces avec l’adresse IP et le masque de sous-réseau appropriés
Étape 3 : configuration du protocole de routage adapté à chaque routeur et annonce de tous les
réseaux directement connectés
Étape 4 : vérification que les configurations correspondent aux sorties des routeurs à l’issue de
la tâche 1
Tâche 4 : identification des processus de routage
Étape 1 : examen de la table de routage de R1
Quelles sont les adresses IP des voisins directement connectés du routeur R1 ?
_________________________________________________________________
_________________________________________________________________
_________________________________________________________________
Quelles sont les routes que R1 a découvertes par le biais des voisins directement connectés ?
_________________________________________________________________
_________________________________________________________________
_________________________________________________________________
_________________________________________________________________
_________________________________________________________________
_________________________________________________________________
_________________________________________________________________
_________________________________________________________________
_________________________________________________________________
_________________________________________________________________
Étape 2 : examen de la table de routage de R2
Quel est le nombre total de réseaux/sous-réseaux que R2 a découvert par le biais de ses voisins ?
__________
Où est-ce que le routeur R2 enverrait des paquets destinés à des réseaux qui ne figurent pas actuellement
dans sa table de routage ? Pourquoi ?
______________________________________________________________________________________
_______________________________________________________________________________________
CCNA Exploration
Protocoles et concepts de routage :
la table de routage : examen détaillé Travaux pratiques 8.4.2 : travaux pratiques avancés sur show ip route
Copyright sur l’intégralité du contenu © 1992 – 2007 Cisco Systems, Inc. Tous droits réservés.
Ce document contient des informations publiques Cisco. Page 7 sur 7
Que représente l’instruction « R* 0.0.0.0/0 [120/2] via 10.10.10.2, 00:00:04, Serial0/0/0 » à la fin de la table
de routage de R2 ?
______________________________________________________________________________________
Étape 3 : examen de la table de routage de R3
Quelles sont les routes de niveau 2 que le routeur R3 a découvertes par le biais de ses voisins ?
_________________________________________________________________
_________________________________________________________________
_________________________________________________________________
_________________________________________________________________
_________________________________________________________________
_________________________________________________________________
_________________________________________________________________
_________________________________________________________________
_________________________________________________________________
_________________________________________________________________
_________________________________________________________________
Quels sont les réseaux qui sont directement connectés au routeur R3 ?
______________________________________________________________________________________
______________________________________________________________________________________
______________________________________________________________________________________
Étape 4 : examen de la table de routage de R4
Quel est le réseau le plus distant du routeur R4 et combien de sauts les séparent ?
_____________________________________________________________
Quel est le nombre d’adresses d’hôte utilisables dont dispose le réseau le plus éloigné du routeur R4 ?
__________
Étape 5 : examen de la table de routage de R5
Par combien de routeurs un paquet doit-il transiter pour aller du routeur R5 au réseau 172.16.2.0/26 ?
__________
Pour quelle raison la passerelle de dernier recours (« Gateway of last resort ») du routeur R5 est-elle
associée à l’adresse 10.10.10.13 ?
_____________________________________________________________
8.5.1 : Exercice d’intégration des compétences Packet Tracer
Diagramme de topologie
Copyright sur l'intégralité du contenu © 1992–2007 Cisco Systems, Inc. Tous droits réservés. Ce document contient des informations publiques Cisco. Page 1 sur 7
CCNA Exploration
Protocoles et concepts de routage : table de routage : examen détaillé 8.5.1 : Exercice d’intégration des compétences Packet Tracer
Table d’adressage pour R1
Périphérique Interface Adresse IP
Masque de
sous-réseau
S0/0/0
S0/0/1
S0/1/0
R1
S0/1/1 209.165.201.2 255.255.255.252
Fa0/0
Fa0/1
Fa1/0
Fa1/1
B1-R1
S0/0/0
Fa0/0
Fa0/1
Fa1/0
Fa1/1
B2-R1
S0/0/0
Fa0/0
Fa0/1
Fa1/0
Fa1/1
B3-R1
S0/0/0
S0/0/0 209.165.201.1 255.255.255.252
S0/0/1 209.165.201.5 255.255.255.252ISP-R1
Fa0/0 209.165.200.225 255.255.255.252
Web Server 1 Carte réseau 209.165.200.226 255.255.255.252
Copyright sur l'intégralité du contenu © 1992–2007 Cisco Systems, Inc. Tous droits réservés.
Ce document contient des informations publiques Cisco. Page 2 sur 7
CCNA Exploration
Protocoles et concepts de routage : table de routage : examen détaillé 8.5.1 : Exercice d’intégration des compétences Packet Tracer
Table d’adressage pour R2
Périphérique Interface Adresse IP Masque de sous-réseau
S0/0/0
S0/0/1
S0/1/0
R2
S0/1/1 209.165.201.10 255.255.255.252
Fa0/0
Fa0/1
Fa1/0
Fa1/1
B1-R2
S0/0/0
Fa0/0
Fa0/1
Fa1/0
Fa1/1
B2-R2
S0/0/0
Fa0/0
Fa0/1
Fa1/0
Fa1/1
B3-R2
S0/0/0
S0/0/0 209.165.201.6 255.255.255.252
S0/0/1 209.165.201.9 255.255.255.252ISP-R2
Fa0/0 209.165.200.229 255.255.255.252
Web Server 2 Carte réseau 209.165.200.230 255.255.255.252
Objectifs
• Concevoir et documenter un schéma d’adressage en fonction de conditions requises
• Appliquer une configuration de base aux périphériques
• Configurer le routage statique entre les routeurs ISP
• Configurer le routage RIPv2 dans Region 1 (commandes fournies) et le routage statique
dans Region 2
• Désactiver les mises à jour RIP sur les interfaces appropriées
• Configurer les routes par défaut et redistribuer via le protocole RIP
• Vérifier la connectivité entre tous les périphériques de la topologie
Copyright sur l'intégralité du contenu © 1992–2007 Cisco Systems, Inc. Tous droits réservés.
Ce document contient des informations publiques Cisco. Page 3 sur 7
CCNA Exploration
Protocoles et concepts de routage : table de routage : examen détaillé 8.5.1 : Exercice d’intégration des compétences Packet Tracer
Tâche 1 : conception et documentation d’un schéma d’adressage
Étape 1 : conception d’un schéma d’adressage
À l’aide de la topologie et des spécifications suivantes, concevez un schéma d'adressage :
• Les liaisons WAN entre R1, R2 et leurs routeurs ISP respectifs sont déjà configurées. Les
liaisons entre les FAI et les serveurs Web sont également déjà configurées.
• L’espace d’adressage de Region 1 est 10.1.0.0/16. Chaque routeur de branche (B1-R1, B2-R1
et B3-R1) doit se voir affecter un espace d’adressage en fonction des spécifications suivantes.
Affectez un espace d'adressage à chaque routeur en commençant par le besoin le plus
important :
• B1-R1 a besoin d’un espace pour 16 000 hôtes ______________________
• B2-R1 a besoin d’un espace d’adressage pour 8 000 hôtes _____________
• B3-R1 a besoin d’un espace d’adressage pour 4 000 hôtes _____________
• Divisez l’espace d’adressage de chaque routeur de branche en quatre sous-réseaux égaux.
Indiquez les sous-réseaux dans le tableau ci-dessous.
Routeur
Numéro du
sous-réseau
Adresse
de sous-réseau
B1-R1 Fa0/0 0
B1-R1 Fa0/1 1
B1-R1 Fa1/0 2
B1-R1 Fa1/1 3
Routeur
Numéro du
sous-réseau
Adresse
de sous-réseau
B2-R1 Fa0/0 0
B2-R1 Fa0/1 1
B2-R1 Fa1/0 2
B2-R1 Fa1/1 3
Routeur
Numéro du
sous-réseau
Adresse
de sous-réseau
B3-R1 Fa0/0 0
B3-R1 Fa0/1 1
B3-R1 Fa1/0 2
B3-R1 Fa1/1 3
• Pour les réseaux étendus de Region 1, subdivisez l’espace d’adressage 10.1.128.0/28.
Indiquez les sous-réseaux dans le tableau ci-dessous.
Copyright sur l'intégralité du contenu © 1992–2007 Cisco Systems, Inc. Tous droits réservés.
Ce document contient des informations publiques Cisco. Page 4 sur 7
CCNA Exploration
Protocoles et concepts de routage : table de routage : examen détaillé 8.5.1 : Exercice d’intégration des compétences Packet Tracer
Routeur
Numéro du
sous-réseau
Adresse
de sous-réseau
B1-R1 <--> R1B1-R1 <--> R1 0
B2-R1 <--> R1B2-R1 <--> R1 1
B3-R1 <--> R1B3-R1 <--> R1 2
• L’espace d’adressage de Region 2 est 172.20.0.0/16. Chaque routeur de branche (B1-R2, B2-R2
et B3-R2) doit se voir affecter un espace d’adressage en fonction des spécifications suivantes.
Affectez un espace d'adressage à chaque routeur en commençant par le besoin le plus
important :
B1-R2 a besoin d’un espace pour 1 000 hôtes __________________
B2-R2 a besoin d’un espace pour 500 hôtes ____________________
B3-R2 a besoin d’un espace pour 200 hôtes ____________________
• Divisez l’espace d’adressage de chaque routeur de branche en quatre sous-réseaux égaux.
Indiquez les sous-réseaux dans le tableau ci-dessous.
Routeur
Numéro du
sous-réseau
Adresse
de sous-réseau
B1-R2 Fa0/0 0
B1-R2 Fa0/1 1
B1-R2 Fa1/0 2
B1-R2 Fa1/1 3
Routeur
Numéro du
sous-réseau
Adresse
de sous-réseau
B2-R2 Fa0/0 0
B2-R2 Fa0/1 1
B2-R2 Fa1/0 2
B2-R2 Fa1/1 3
Routeur
Numéro du
sous-réseau
Adresse
de sous-réseau
B3-R2 Fa0/0 0
B3-R2 Fa0/1 1
B3-R2 Fa1/0 2
B3-R2 Fa1/1 3
• Pour les réseaux étendus de Region 2, subdivisez l’espace d’adressage 172.20.255.240/28.
Indiquez les sous-réseaux dans le tableau ci-dessous.
Copyright sur l'intégralité du contenu © 1992–2007 Cisco Systems, Inc. Tous droits réservés.
Ce document contient des informations publiques Cisco. Page 5 sur 7
CCNA Exploration
Protocoles et concepts de routage : table de routage : examen détaillé 8.5.1 : Exercice d’intégration des compétences Packet Tracer
Routeur
Numéro du
sous-réseau
Adresse
de sous-réseau
B1-R2 <--> R2 0
B2-R2 <--> R2 1
B3-R2 <--> R2 2
Étape 2 : documentation du schéma d’adressage
• Facultatif : étiquetez chaque sous-réseau dans la topologie. Pour gagner de l’espace, utilisez
uniquement les deux derniers octets, car eux seuls changent.
• Documentez les adresses IP et les masques de sous-réseau à l’aide du tableau fourni dans
les instructions papier. Affectez la première adresse IP à l’interface du routeur.
• Pour les liaisons WAN, affectez la première adresse IP à R1 et R2 pour les liaisons aux routeurs
B1, B2 et B3 respectifs de chaque routeur.
Tâche 3 : application d’une configuration de base
À l’aide de votre documentation, procédez à la configuration de base des routeurs, y compris l’adressage.
Utilisez cisco comme mot de passe de ligne et class comme mot de passe secret. Utilisez la fréquence
d’horloge 64 000.
Tâche 4 : configuration du routage statique entre les routeurs ISP
Chaque routeur ISP a déjà deux routes statiques vers les réseaux étendus directement connectés de
l'autre routeur ISP. Implémentez un routage statique sur chaque routeur ISP pour vérifier la connectivité
entre les deux régions.
Tâche 5 : configuration du routage RIPv2 dans les deux régions
Configurez le protocole RIPv2 comme protocole de routage dynamique pour chacun des routeurs des
deux régions. Désactivez la fonction de récapitulatif automatique.
Tâche 6 : désactivation des mises à jour RIP sur les interfaces appropriées
Toutes les interfaces de routeur ne doivent pas envoyer de mises à jour RIP. Désactivez les mises à jour
RIP sur les interfaces appropriées.
Tâche 7 : configuration des routes par défaut et redistribution via le protocole RIP
• Dans Region 1, déterminez quel routeur nécessite une route par défaut. Configurez une route
par défaut sur ce routeur, puis configurez-le pour redistribuer cette route par défaut aux autres
routeurs de la région.
• Dans Region 2, déterminez quel routeur nécessite une route par défaut. Configurez une route
par défaut sur ce routeur, puis configurez-le pour redistribuer cette route par défaut aux autres
routeurs de la région.
Copyright sur l'intégralité du contenu © 1992–2007 Cisco Systems, Inc. Tous droits réservés.
Ce document contient des informations publiques Cisco. Page 6 sur 7
Copyright sur l’intégralité du contenu © 1992–2007 Cisco Systems, Inc. Tous droits réservés.
Ce document contient des informations publiques Cisco. Page 1 sur 15
Travaux pratiques 9.6.1 : travaux pratiques de configuration EIGRP
de base
Diagramme de topologie
Table d’adressage
Périphérique Interface Adresse IP Masque de sous-réseau
Passerelle
par défaut
R1
Fa0/0 172.16.1.1 255.255.255.0 s/o
S0/0/0 172.16.3.1 255.255.255.252 s/o
S0/0/1 192.168.10.5 255.255.255.252 s/o
R2
Fa0/0 172.16.2.1 255.255.255.0 s/o
S0/0/0 172.16.3.2 255.255.255.252 s/o
S0/0/1 192.168.10.9 255.255.255.252 s/o
Lo1 10.1.1.1 255.255.255.252 s/o
R3
Fa0/0 192.168.1.1 255.255.255.0 s/o
S0/0/0 192.168.10.6 255.255.255.252 s/o
S0/0/1 192.168.10.10 255.255.255.252 s/o
PC1 Carte réseau 172.16.1.10 255.255.255.0 172.16.1.1
PC2 Carte réseau 172.16.2.10 255.255.255.0 172.16.2.1
PC3 Carte réseau 192.168.1.10 255.255.255.0 192.168.1.1
CCNA Exploration Travaux pratiques 9.6.1 :
Protocoles et concepts de routage : protocole EIGRP travaux pratiques de configuration EIGRP de base
Copyright sur l’intégralité du contenu © 1992–2007 Cisco Systems, Inc. Tous droits réservés.
Ce document contient des informations publiques Cisco. Page 2 sur 15
Objectifs pédagogiques
À l’issue de ces travaux pratiques, vous serez en mesure d’effectuer les tâches suivantes :
 Câbler un réseau conformément au diagramme de topologie
 Supprimer la configuration de démarrage et recharger un routeur en lui attribuant les paramètres
par défaut
 Effectuer des tâches de configuration de base sur un routeur
 Configurer et activer des interfaces
 Configurer le routage EIGRP sur tous les routeurs
 Vérifier le routage EIGRP à l’aide des commandes show
 Désactiver le récapitulatif automatique
 Configurer le récapitulatif manuel
 Configurer une route statique par défaut
 Propager la route par défaut aux voisins EIGRP
 Documenter la configuration du protocole EIGRP
Scénario
Dans le cadre de ces travaux pratiques, vous allez apprendre à configurer le protocole de routage EIGRP
en utilisant le réseau illustré dans le diagramme de topologie. Une adresse de bouclage sera utilisée sur
le routeur R2 pour simuler une connexion à un fournisseur de services Internet, auquel sera envoyé
l’ensemble du trafic non destiné au réseau local. Certains segments du réseau ont été divisés en sous-
réseaux par le biais de la technique de masquage de sous-réseau de longueur variable. EIGRP est un
protocole de routage sans classe qui peut être utilisé pour fournir des informations de masque de sous-
réseau dans les mises à jour de routage. Les informations de sous-réseau VLSM pourront ainsi être
propagées sur l'ensemble du réseau.
Tâche 1 : préparation du réseau
Étape 1 : câblage d’un réseau similaire à celui du diagramme de topologie
Vous pouvez utiliser n’importe quel routeur durant les travaux pratiques, pourvu qu'il soit équipé des
interfaces indiquées dans la topologie.
Étape 2 : suppression des configurations actuelles des routeurs
Tâche 2 : configuration de base des routeurs
Exécutez la configuration de base des routeurs R1, R2 et R3 en suivant les directives suivantes :
1. Configurez le nom d’hôte du routeur.
2. Désactivez la recherche DNS.
3. Configurez un mot de passe pour le mode d’exécution.
4. Configurez une bannière du message du jour.
5. Configurez un mot de passe pour les connexions de consoles.
6. Configurez un mot de passe pour les connexions de terminaux virtuels (vty).
CCNA Exploration Travaux pratiques 9.6.1 :
Protocoles et concepts de routage : protocole EIGRP travaux pratiques de configuration EIGRP de base
Copyright sur l’intégralité du contenu © 1992–2007 Cisco Systems, Inc. Tous droits réservés.
Ce document contient des informations publiques Cisco. Page 3 sur 15
Tâche 3 : configuration et activation des adresses série et Ethernet
Étape 1 : configuration des interfaces des routeurs R1, R2 et R3
Configurez les interfaces des routeurs R1, R2 et R3 avec les adresses IP de la table figurant sous
le diagramme de topologie.
Étape 2 : vérification de l’adressage IP et des interfaces
Utilisez la commande show ip interface brief pour vérifier que l’adressage IP est correct et
que les interfaces sont actives.
Enregistrez ensuite la configuration active dans la mémoire vive non volatile du routeur.
Étape 3 : configuration des interfaces Ethernet de PC1, PC2 et PC3
Configurez les interfaces Ethernet de PC1, PC2 et PC3 avec les adresses IP et les passerelles par
défaut indiquées dans la table figurant sous le diagramme de topologie.
Tâche 4 : configuration du protocole EIGRP sur le routeur R1
Étape 1 : activation du protocole EIGRP
Utilisez la commande router eigrp en mode de configuration globale pour activer le protocole EIGRP
sur le routeur R1. Attribuez l’ID de processus 1 au paramètre système autonome.
R1(config)#router eigrp 1
R1(config-router)#
Étape 2 : configuration du réseau par classe 172.16.0.0
Une fois en sous-mode de configuration Router EIGRP, configurez le réseau par classe 172.16.0.0
de telle sorte qu’il soit inclus dans les mises à jour EIGRP envoyées par le routeur R1.
R1(config-router)#network 172.16.0.0
R1(config-router)#
Le routeur commencera à envoyer des messages de mise à jour EIGRP à partir de chaque interface
appartenant au réseau 172.16.0.0. Les mises à jour EIGRP seront envoyées à partir des interfaces
FastEthernet0/0 et Serial0/0/0, car toutes deux se trouvent sur les sous-réseaux du réseau 172.16.0.0.
Étape 3 : configuration du routeur pour annoncer le réseau 192.168.10.4/30 connecté
à l’interface Serial0/0/1
Utilisez l’option masque-générique avec la commande network pour annoncer uniquement le sous-
réseau et non l’intégralité du réseau par classe 192.168.10.0.
Remarque : considérez un masque générique comme l’inverse d’un masque de sous-réseau. L’inverse
du masque de sous-réseau 255.255.255.252 est 0.0.0.3. Pour calculer l’inverse du masque de sous-
réseau, soustrayez le masque de sous-réseau de 255.255.255.255 :
255.255.255.255
– 255.255.255.252 Soustrayez le masque de sous-réseau
-------------------
0. 0. 0. 3 Masque générique
R1(config-router)# network 192.168.10.4 0.0.0.3
R1(config-router)#
CCNA Exploration Travaux pratiques 9.6.1 :
Protocoles et concepts de routage : protocole EIGRP travaux pratiques de configuration EIGRP de base
Copyright sur l’intégralité du contenu © 1992–2007 Cisco Systems, Inc. Tous droits réservés.
Ce document contient des informations publiques Cisco. Page 4 sur 15
À l’issue de la configuration du protocole EIGRP pour le routeur R1, repassez en mode d’exécution
privilégié et enregistrez la configuration active dans la mémoire vive non volatile.
R1(config-router)#end
%SYS-5-CONFIG_I: Configured from console by console
R1#
Tâche 5 : configuration du protocole EIGRP sur les routeurs R2 et R3
Étape 1 : activation du routage EIGRP sur le routeur R2 à l’aide de la commande router eigrp
Utilisez l’ID de processus 1.
R2(config)#router eigrp 1
R2(config-router)#
Étape 2 : utilisation de l’adresse par classe 172.16.0.0 de façon à inclure le réseau pour l’interface
FastEthernet0/0
R2(config-router)#network 172.16.0.0
R2(config-router)#
%DUAL-5-NBRCHANGE: IP-EIGRP 1: Neighbor 172.16.3.1 (Serial0/0/0) is up:
new adjacency
Sachez que l’algorithme DUAL envoie un message de notification à la console indiquant qu’une relation
de voisinage a été établie avec un autre routeur EIGRP.
Quelle est l’adresse IP du routeur voisin EIGRP ?
________________________________________
À quelle interface du routeur R2 le voisin est-il adjacent ?
________________________________________
Étape 3 : configuration du routeur R2 pour qu’il annonce le réseau 192.168.10.8/30 rattaché
à l’interface Serial0/0/1
1. Utilisez l’option masque-générique avec la commande network pour annoncer uniquement
le sous-réseau et non l’intégralité du réseau par classe 192.168.10.0.
2. Une fois la configuration terminée, repassez en mode d’exécution privilégié.
R2(config-router)#network 192.168.10.8 0.0.0.3
R2(config-router)#end
%SYS-5-CONFIG_I: Configured from console by console
R2#
Étape 4 : configuration du protocole EIGRP sur le routeur R3 à l’aide des commandes router
eigrp et network
1. Utilisez l’ID de processus 1.
2. Utilisez l’adresse du réseau par classe rattaché à l’interface FastEthernet0/0.
3. Incluez les masques génériques des sous-réseaux rattachés aux interfaces Serial0/0/0
et Serial 0/0/1.
4. Une fois la configuration terminée, repassez en mode d’exécution privilégié.
R3(config)#router eigrp 1
R3(config-router)#network 192.168.1.0
R3(config-router)#network 192.168.10.4 0.0.0.3
CCNA Exploration Travaux pratiques 9.6.1 :
Protocoles et concepts de routage : protocole EIGRP travaux pratiques de configuration EIGRP de base
Copyright sur l’intégralité du contenu © 1992–2007 Cisco Systems, Inc. Tous droits réservés.
Ce document contient des informations publiques Cisco. Page 5 sur 15
R3(config-router)#
%DUAL-5-NBRCHANGE: IP-EIGRP 1: Neighbor 192.168.10.5 (Serial0/0/0) is up:
new adjacency
R3(config-router)#network 192.168.10.8 0.0.0.3
R3(config-router)#
%DUAL-5-NBRCHANGE: IP-EIGRP 1: Neighbor 192.168.10.9 (Serial0/0/1) is up:
new adjacency
R3(config-router)#end
%SYS-5-CONFIG_I: Configured from console by console
R3#
Vous remarquerez que lorsque les réseaux des liaisons série des routeurs R3 à R1 et R3 à R2 sont
ajoutés à la configuration EIGRP, l’algorithme DUAL envoie un message de notification à la console
indiquant qu’une relation de voisinage a été établie avec un autre routeur EIGRP.
Tâche 6 : vérification du fonctionnement de EIGRP
Étape 1 : affichage des voisins
Sur le routeur R1, utilisez la commande show ip eigrp neighbors pour afficher la table des voisins
et vérifier que EIGRP a établi une contiguïté avec les routeurs R2 et R3. Vous devriez être en mesure de
voir l’adresse IP de chaque routeur adjacent et l’interface qu’utilise R1 pour atteindre ce voisin EIGRP.
R1#show ip eigrp neighbors
IP-EIGRP neighbors for process 1
H Address Interface Hold Uptime SRTT RTO Q Seq
(sec) (ms) Cnt Num
0 172.16.3.2 Ser0/0/0 10 00:36:51 40 500 0 13
1 192.168.10.6 Ser0/0/1 11 00:26:51 40 500 0 4
R1#
Étape 2 : consultation des informations relatives au protocole de routage
Sur le routeur R1, utilisez la commande show ip protocols pour visualiser les informations liées au
fonctionnement du protocole de routage. Vous remarquerez que les informations que vous avez
configurées au cours de la tâche 5, notamment le protocole, l’ID de processus et les réseaux,
apparaissent dans la sortie. Les adresses IP des voisins contigus apparaissent également.
R1#show ip protocols
Routing Protocol is "eigrp 1 "
Outgoing update filter list for all interfaces is not set
Incoming update filter list for all interfaces is not set
Default networks flagged in outgoing updates
Default networks accepted from incoming updates
EIGRP metric weight K1=1, K2=0, K3=1, K4=0, K5=0
EIGRP maximum hopcount 100
EIGRP maximum metric variance 1
Redistributing: eigrp 1
Automatic network summarization is in effect
Automatic address summarization:
Maximum path: 4
Routing for Networks:
172.16.0.0
192.168.10.4/30
CCNA Exploration Travaux pratiques 9.6.1 :
Protocoles et concepts de routage : protocole EIGRP travaux pratiques de configuration EIGRP de base
Copyright sur l’intégralité du contenu © 1992–2007 Cisco Systems, Inc. Tous droits réservés.
Ce document contient des informations publiques Cisco. Page 6 sur 15
Routing Information Sources:
Gateway Distance Last Update
172.16.3.2 90 4811399
192.168.10.6 90 5411677
Distance: internal 90 external 170
Comme vous pouvez le constater, la sortie indique l’ID de processus utilisé par EIGRP. N’oubliez pas
que l’ID de processus doit être identique sur tous les routeurs pour que EIGRP puisse établir des
contiguïtés et partager des informations de routage.
Tâche 7 : examen des routes EIGRP dans les tables de routage
Étape 1 : affichage de la table de routage sur le routeur R1
Les routes EIGRP sont désignées dans la table de routage par la lettre D, qui signifie DUAL
(Diffusing Update Algorithm), c’est-à-dire l’algorithme de routage utilisé par le protocole EIGRP.
R1#show ip route
Codes : C - connected, S - static, I - IGRP, R - RIP, M - mobile, B - BGP
D - EIGRP, EX - EIGRP external, O - OSPF, IA - OSPF inter area
N1 - OSPF NSSA external type 1, N2 - OSPF NSSA external type 2
E1 - OSPF external type 1, E2 - OSPF external type 2, E - EGP
i - IS-IS, L1 - IS-IS level-1, L2 - IS-IS level-2, ia - IS-IS inter area
* - candidate default, U - per-user static route, o - ODR
P - periodic downloaded static route
Gateway of last resort is not set
172.16.0.0/16 is variably subnetted, 4 subnets, 3 masks
D 172.16.0.0/16 is a summary, 01:16:19, Null0
C 172.16.1.0/24 is directly connected, FastEthernet0/0
D 172.16.2.0/24 [90/2172416] via 172.16.3.2, 01:16:20, Serial0/0/0
C 172.16.3.0/30 is directly connected, Serial0/0/0
D 192.168.1.0/24 [90/2172416] via 192.168.10.6, 01:06:18, Serial0/0/1
192.168.10.0/24 is variably subnetted, 3 subnets, 2 masks
D 192.168.10.0/24 is a summary, 01:06:07, Null0
C 192.168.10.4/30 is directly connected, Serial0/0/1
D 192.168.10.8/30 [90/2681856] via 192.168.10.6, 01:06:07, Serial0/0/1
R1#
Vous remarquerez que le réseau parent 172.16.0.0/16 est divisé de manière variable en sous-réseaux
avec trois routes utilisant un masque /24 ou /30. De même, EIGRP a automatiquement inclus un résumé
du routage à destination de Null0 pour le réseau 172.16.0.0/16. La route 172.16.0.0/16 ne représente pas
réellement un chemin d’accès au réseau parent 172.16.0.0/16. Si un paquet destiné à 172.16.0.0/16 ne
correspond pas à l’une des routes enfant de niveau 2, il est envoyé à l’interface Null0.
172.16.0.0/16 is variably subnetted, 4 subnets, 3 masks
D 172.16.0.0/16 is a summary, 01:16:19, Null0
C 172.16.1.0/24 is directly connected, FastEthernet0/0
D 172.16.2.0/24 [90/2172416] via 172.16.3.2, 01:16:20, Serial0/0/0
C 172.16.3.0/30 is directly connected, Serial0/0/0
Le réseau 192.168.10.0/24 est également divisé de manière variable en sous-réseaux et inclut
une route Null0.
192.168.10.0/24 is variably subnetted, 3 subnets, 2 masks
D 192.168.10.0/24 is a summary, 01:06:07, Null0
C 192.168.10.4/30 is directly connected, Serial0/0/1
D 192.168.10.8/30 [90/2681856] via 192.168.10.6, 01:06:07, Serial0/0/1
CCNA Exploration Travaux pratiques 9.6.1 :
Protocoles et concepts de routage : protocole EIGRP travaux pratiques de configuration EIGRP de base
Copyright sur l’intégralité du contenu © 1992–2007 Cisco Systems, Inc. Tous droits réservés.
Ce document contient des informations publiques Cisco. Page 7 sur 15
Étape 2 : affichage de la table de routage sur le routeur R3
La table de routage de R3 indique que R1 et R2 résument automatiquement le réseau 172.16.0.0/16 et
l’envoient en tant que mise à jour de routage unique. En présence du récapitulatif automatique, R1 et R2
ne propagent pas individuellement chaque sous-réseau. Étant donné que R3 obtient deux routes à coût
égal pour 172.16.0.0/16 de la part de R1 et R2, les deux routes sont incluses dans la table de routage.
R3#show ip route
<output omitted>
D 172.16.0.0/16 [90/2172416] via 192.168.10.5, 01:15:35, Serial0/0/0
[90/2172416] via 192.168.10.9, 01:15:22, Serial0/0/1
C 192.168.1.0/24 is directly connected, FastEthernet0/0
192.168.10.0/24 is variably subnetted, 3 subnets, 2 masks
D 192.168.10.0/24 is a summary, 01:15:22, Null0
C 192.168.10.4/30 is directly connected, Serial0/0/0
C 192.168.10.8/30 is directly connected, Serial0/0/1
R3#
Tâche 8 : configuration des mesures EIGRP
Étape 1 : consultation des informations relatives aux mesures EIGRP
Utilisez la commande show ip interface pour afficher les mesures EIGRP de l’interface Serial0/0/0
du routeur R1. Remarquez les valeurs de bande passante (BW), de délai (DLY), de fiabilité (rely) et de
chargement (load).
R1#show interface serial0/0/0
Serial0/0/0 is up, line protocol is up (connected)
Hardware is HD64570
Internet address is 172.16.3.1/30
MTU 1500 bytes, BW 1544 Kbit, DLY 20000 usec, rely 255/255, load 1/255
Encapsulation HDLC, loopback not set, keepalive set (10 sec)
<output omitted>
Étape 2 : modification de la bande passante des interfaces Serial
Sur la plupart des liaisons série, la métrique de bande passante a par défaut une valeur de 1 544 Kbits/s.
S’il ne s’agit pas de la bande passante réelle de la liaison série, la bande passante doit être modifiée pour
que la mesure EIGRP puisse être calculée correctement.
Dans le cadre de ces travaux pratiques, la liaison entre R1 et R2 sera configurée avec une bande passante
de 64 Kbits/s, tandis que la liaison entre R2 et R3 sera configurée avec une bande passante de 1 024 Kbits/s.
Utilisez la commande bandwidth pour modifier la bande passante des interfaces Serial de chaque routeur.
Routeur R1 :
R1(config)#interface serial0/0/0
R1(config-if)#bandwidth 64
Routeur R2 :
R2(config)#interface serial0/0/0
R2(config-if)#bandwidth 64
R2(config)#interface serial0/0/1
R2(config-if)#bandwidth 1024
Routeur R3 :
R3(config)#interface serial0/0/1
R3(config-if)#bandwidth 1024
CCNA Exploration Travaux pratiques 9.6.1 :
Protocoles et concepts de routage : protocole EIGRP travaux pratiques de configuration EIGRP de base
Copyright sur l’intégralité du contenu © 1992–2007 Cisco Systems, Inc. Tous droits réservés.
Ce document contient des informations publiques Cisco. Page 8 sur 15
Remarque : la commande bandwidth ne modifie que la mesure de bande passante utilisée par les
protocoles de routage, et non la bande passante physique de la liaison.
Étape 3 : vérification des modifications de la bande passante
Utilisez la commande show ip interface pour vérifier que la valeur de bande passante de chaque
liaison a bien été modifiée.
R1#show interface serial0/0/0
Serial0/0/0 is up, line protocol is up (connected)
Hardware is HD64570
Internet address is 172.16.3.1/30
MTU 1500 bytes, BW 64 Kbit, DLY 20000 usec, rely 255/255, load 1/255
Encapsulation HDLC, loopback not set, keepalive set (10 sec)
<output omitted>
R2#show interface serial0/0/0
Serial0/0/0 is up, line protocol is up (connected)
Hardware is HD64570
Internet address is 172.16.3.2/30
MTU 1500 bytes, BW 64 Kbit, DLY 20000 usec, rely 255/255, load 1/255
Encapsulation HDLC, loopback not set, keepalive set (10 sec)
<output omitted>
R3#show interface serial0/0/1
Serial0/0/1 is up, line protocol is up (connected)
Hardware is HD64570
Internet address is 192.168.10.10/30
MTU 1500 bytes, BW 1024 Kbit, DLY 20000 usec, rely 255/255, load 1/255
Encapsulation HDLC, loopback not set, keepalive set (10 sec)
<output omitted>
Remarque : utilisez la commande de configuration d’interface no bandwidth pour rétablir la valeur de
bande passante par défaut.
Tâche 9 : examen des successeurs et des distances de faisabilité
Étape 1 : examen des successeurs et des distances de faisabilité dans la table de routage de R2
R2#show ip route
<output omitted>
10.0.0.0/30 is subnetted, 1 subnets
C 10.1.1.0 is directly connected, Loopback1
172.16.0.0/16 is variably subnetted, 4 subnets, 3 masks
D 172.16.0.0/16 is a summary, 00:00:52, Null0
D 172.16.1.0/24 [90/40514560] via 172.16.3.1, 00:00:52, Serial0/0/0
C 172.16.2.0/24 is directly connected, FastEthernet0/0
C 172.16.3.0/30 is directly connected, Serial0/0/0
D 192.168.1.0/24 [90/3014400] via 192.168.10.10, 00:00:11, Serial0/0/1
192.168.10.0/24 is variably subnetted, 3 subnets, 2 masks
D 192.168.10.0/24 is a summary, 00:00:11, Null0
D 192.168.10.4/30 [90/3523840] via 192.168.10.10, 00:00:11,
CCNA Exploration Travaux pratiques 9.6.1 :
Protocoles et concepts de routage : protocole EIGRP travaux pratiques de configuration EIGRP de base
Copyright sur l’intégralité du contenu © 1992–2007 Cisco Systems, Inc. Tous droits réservés.
Ce document contient des informations publiques Cisco. Page 9 sur 15
Serial0/0/1
C 192.168.10.8/30 is directly connected, Serial0/0/1
R2#
Étape 2 : réponse aux questions suivantes :
Quel est le meilleur chemin pour accéder à PC1 ?
____________________________________________________________________________________
Un successeur est un routeur voisin utilisé pour le transfert de paquets. Un successeur est la route
à moindre coût permettant d’accéder au réseau de destination. L’adresse IP d’un successeur est
indiquée dans une entrée de table de routage après le mot « via ».
Quels sont l’adresse IP et le nom du routeur successeur dans cette route ?
________________________________________
La distance de faisabilité (FD) est la mesure calculée la plus basse pour atteindre cette destination. Dans
l’entrée de la table de routage, FD est la mesure qui correspond au deuxième nombre entre crochets.
Quelle est la distance de faisabilité entre le PC1 et le réseau ?
________________________________________
Tâche 10 : identification éventuelle de R1 comme un successeur potentiel de la route
séparant R2 et le réseau 192.168.1.0
Un successeur potentiel est un voisin qui présente un chemin de secours viable pour accéder au même
réseau que le successeur. Pour être un successeur potentiel, le routeur R1 doit satisfaire à la condition
de faisabilité. La condition de faisabilité (FC) est remplie lorsque la distance annoncée (RD) qui sépare
un voisin d’un réseau est inférieure à la distance de faisabilité qui sépare le routeur local de ce même
réseau de destination.
Étape 1 : examen de la table de routage du routeur R1
R1#show ip route
<output omitted>
172.16.0.0/16 is variably subnetted, 4 subnets, 3 masks
D 172.16.0.0/16 is a summary, 00:42:59, Null0
C 172.16.1.0/24 is directly connected, FastEthernet0/0
D 172.16.2.0/24 [90/40514560] via 172.16.3.2, 00:43:00, Serial0/0/0
C 172.16.3.0/30 is directly connected, Serial0/0/0
D 192.168.1.0/24 [90/2172416] via 192.168.10.6, 00:42:26, Serial0/0/1
192.168.10.0/24 is variably subnetted, 3 subnets, 2 masks
D 192.168.10.0/24 is a summary, 00:42:20, Null0
C 192.168.10.4/30 is directly connected, Serial0/0/1
D 192.168.10.8/30 [90/3523840] via 192.168.10.6, 00:42:20,
Serial0/0/1
R1#
Quelle est la distance annoncée jusqu’au réseau 192.168.1.0 ?
________________________________________
CCNA Exploration Travaux pratiques 9.6.1 :
Protocoles et concepts de routage : protocole EIGRP travaux pratiques de configuration EIGRP de base
Copyright sur l’intégralité du contenu © 1992–2007 Cisco Systems, Inc. Tous droits réservés.
Ce document contient des informations publiques Cisco. Page 10 sur 15
Étape 2 : examen de la table de routage du routeur R2
R2#show ip route
<output omitted>
10.0.0.0/30 is subnetted, 1 subnets
C 10.1.1.0 is directly connected, Loopback1
172.16.0.0/16 is variably subnetted, 4 subnets, 3 masks
D 172.16.0.0/16 is a summary, 00:00:52, Null0
D 172.16.1.0/24 [90/40514560] via 172.16.3.1, 00:00:52, Serial0/0/0
C 172.16.2.0/24 is directly connected, FastEthernet0/0
C 172.16.3.0/30 is directly connected, Serial0/0/0
D 192.168.1.0/24 [90/3014400] via 192.168.10.10, 00:00:11, Serial0/0/1
192.168.10.0/24 is variably subnetted, 3 subnets, 2 masks
D 192.168.10.0/24 is a summary, 00:00:11, Null0
D 192.168.10.4/30 [90/3523840] via 192.168.10.10, 00:00:11, Serial0/0/1
C 192.168.10.8/30 is directly connected, Serial0/0/1
R2#
Quelle est la distance de faisabilité jusqu’au réseau 192.168.1.0 ?
________________________________________
Est-ce que le routeur R2 pourrait considérer R1 comme un successeur potentiel pour accéder au
réseau 192.168.1.0 ? _______
Tâche 11 : examen de la table topologique EIGRP
Étape 1 : affichage de la table topologique EIGRP
Utilisez la commande show ip eigrp topology pour afficher la table topologique EIGRP du routeur R2.
R2#show ip eigrp topology
IP-EIGRP Topology Table for AS 1
Codes : P - Passive, A - Active, U - Update, Q - Query, R - Reply,
r - Reply status
P 172.16.2.0/24, 1 successors, FD is 28160
via Connected, FastEthernet0/0
P 172.16.3.0/30, 1 successors, FD is 40512000
via Connected, Serial0/0/0
P 192.168.10.8/30, 1 successors, FD is 3011840
via Connected, Serial0/0/1
P 172.16.0.0/16, 1 successors, FD is 28160
via Summary (28160/0), Null0
P 192.168.10.0/24, 1 successors, FD is 3011840
via Summary (3011840/0), Null0
P 172.16.1.0/24, 1 successors, FD is 40514560
via 172.16.3.1 (40514560/28160), Serial0/0/0
P 192.168.1.0/24, 1 successors, FD is 3014400
via 192.168.10.10 (3014400/28160), Serial0/0/1
via 172.16.3.1 (41026560/2172416), Serial0/0/0
P 192.168.10.4/30, 1 successors, FD is 3523840
via 192.168.10.10 (3523840/2169856), Serial0/0/1
R2#
CCNA Exploration Travaux pratiques 9.6.1 :
Protocoles et concepts de routage : protocole EIGRP travaux pratiques de configuration EIGRP de base
Copyright sur l’intégralité du contenu © 1992–2007 Cisco Systems, Inc. Tous droits réservés.
Ce document contient des informations publiques Cisco. Page 11 sur 15
Étape 2 : affichage d’informations détaillées sur la topologie EIGRP
Utilisez le paramètre [réseau] de la commande show ip eigrp topology pour afficher des
informations détaillées sur la topologie EIGRP pour le réseau 192.16.0.0.
R2#show ip eigrp topology 192.168.1.0
IP-EIGRP (AS 1): Topology entry for 192.168.1.0/24
State is Passive, Query origin flag is 1, 1 Successor(s), FD is 3014400
Routing Descriptor Blocks:
192.168.10.10 (Serial0/0/1), from 192.168.10.10, Send flag is 0x0
Composite metric is (3014400/28160), Route is Internal
Vector metric:
Minimum bandwidth is 1024 Kbit
Total delay is 20100 microseconds
Reliability is 255/255
Load is 1/255
Minimum MTU is 1500
Hop count is 1
172.16.3.1 (Serial0/0/0), from 172.16.3.1, Send flag is 0x0
Composite metric is (41026560/2172416), Route is Internal
Vector metric:
Minimum bandwidth is 64 Kbit
Total delay is 40100 microseconds
Reliability is 255/255
Load is 1/255
Minimum MTU is 1500
Hop count is 2
R2#
Combien de successeurs existe-t-il pour ce réseau ?
________________________________________
Quelle est la distance de faisabilité jusqu’à ce réseau ?
________________________________________
Quelle est l’adresse IP du successeur potentiel ?
________________________________________
Quelle est la distance annoncée entre le successeur potentiel et 192.168.1.0 ?
________________________________________
Quelle serait la distance de faisabilité jusqu’à 192.168.1.0 si le routeur R1 devenait le successeur ?
________________________________________
Tâche 12 : désactivation du récapitulatif automatique du protocole EIGRP
Étape 1 : examen de la table de routage du routeur R3
Comme vous pouvez le constater, le routeur R3 ne reçoit pas de routes individuelles pour les sous-
réseaux 172.16.1.0/24, 172.16.2.0/24 et 172.16.3.0/24. En revanche, la table de routage ne contient
qu’un résumé du routage vers l’adresse réseau par classe de 172.16.0.0/16 via le routeur R1. De ce fait,
les paquets destinés au réseau 172.16.2.0/24 transitent par le routeur R1 au lieu d’être envoyés
directement au routeur R2.
CCNA Exploration Travaux pratiques 9.6.1 :
Protocoles et concepts de routage : protocole EIGRP travaux pratiques de configuration EIGRP de base
Copyright sur l’intégralité du contenu © 1992–2007 Cisco Systems, Inc. Tous droits réservés.
Ce document contient des informations publiques Cisco. Page 12 sur 15
R3#show ip route
<output omitted>
D 172.16.0.0/16 [90/2172416] via 192.168.10.5, 01:21:54, Serial0/0/0
C 192.168.1.0/24 is directly connected, FastEthernet0/0
192.168.10.0/24 is variably subnetted, 3 subnets, 2 masks
D 192.168.10.0/24 is a summary, 01:21:47, Null0
C 192.168.10.4/30 is directly connected, Serial0/0/0
C 192.168.10.8/30 is directly connected, Serial0/0/1
R3#
Pourquoi le routeur R1 (192.168.10.5) est-il l’unique successeur pour la route à destination du réseau
172.16.0.0/16 ?
____________________________________________________________________________________
____________________________________________________________________________________
____________________________________________________________________________________
Étape 2 : examen de la table topologique EIGRP du routeur R3
Remarquez que la distance annoncée à partir du routeur R2 est supérieure à la distance de faisabilité
à partir du routeur R1.
R3#show ip eigrp topology
IP-EIGRP Topology Table for AS 1
Codes : P - Passive, A - Active, U - Update, Q - Query, R - Reply,
r - Reply status
P 192.168.1.0/24, 1 successors, FD is 28160
via Connected, FastEthernet0/0
P 192.168.10.4/30, 1 successors, FD is 2169856
via Connected, Serial0/0/0
P 192.168.10.0/24, 1 successors, FD is 2169856
via Summary (2169856/0), Null0
P 172.16.0.0/16, 1 successors, FD is 2172416
via 192.168.10.5 (2172416/28160), Serial0/0/0
via 192.168.10.9 (3014400/28160), Serial0/0/1
P 192.168.10.8/30, 1 successors, FD is 3011840
via Connected, Serial0/0/1
Étape 3 : désactivation du récapitulatif automatique sur les trois routeurs à l'aide de la commande
no auto-summary
R1(config)#router eigrp 1
R1(config-router)#no auto-summary
R2(config)#router eigrp 1
R2(config-router)#no auto-summary
R3(config)#router eigrp 1
R3(config-router)#no auto-summary
CCNA Exploration Travaux pratiques 9.6.1 :
Protocoles et concepts de routage : protocole EIGRP travaux pratiques de configuration EIGRP de base
Copyright sur l’intégralité du contenu © 1992–2007 Cisco Systems, Inc. Tous droits réservés.
Ce document contient des informations publiques Cisco. Page 13 sur 15
Étape 4 : nouvelle consultation de la table de routage du routeur R1
Vous constaterez que les routes individuelles pour les sous-réseaux 172.16.1.0/24, 172.16.2.0/24 et
172.16.3.0/24 sont maintenant indiquées, tandis que la route de récapitulatif Null n’est plus répertoriée.
R3#show ip route
<output omitted>
172.16.0.0/16 is variably subnetted, 4 subnets, 3 masks
D 172.16.1.0/24 [90/2172416] via 192.168.10.5, 00:02:37, Serial0/0/0
D 172.16.2.0/24 [90/3014400] via 192.168.10.9, 00:02:39, Serial0/0/1
D 172.16.3.0/30 [90/41024000] via 192.168.10.9, 00:02:39, Serial0/0/1
[90/41024000] via 192.168.10.5, 00:02:37, Serial0/0/0
C 192.168.1.0/24 is directly connected, FastEthernet0/0
192.168.10.0/24 is variably subnetted, 3 subnets, 2 masks
C 192.168.10.4/30 is directly connected, Serial0/0/0
C 192.168.10.8/30 is directly connected, Serial0/0/1
R3#
Tâche 13 : configuration du récapitulatif manuel
Étape 1 : ajout d’adresses de bouclage à destination du routeur R3
Ajoutez deux adresses de bouclage, 192.168.2.1/24 et 192.168.3.1/24, à destination du routeur R3.
Ces interfaces virtuelles seront utilisées pour représenter les réseaux à résumer manuellement avec
le réseau local 192.168.1.0/24.
R3(config)#interface loopback1
%LINK-5-CHANGED: Interface Loopback1, changed state to up
%LINEPROTO-5-UPDOWN: Line protocol on Interface Loopback1, changed state
to upR3(config-if)#ip address 192.168.2.1 255.255.255.0
R3(config-if)#interface loopback2
%LINK-5-CHANGED: Interface Loopback2, changed state to up
%LINEPROTO-5-UPDOWN: Line protocol on Interface Loopback2, changed state
to up
R3(config-if)#ip address 192.168.3.1 255.255.255.0
R3(config-if)#
Étape 2 : ajout des réseaux 192.168.2.0 et 192.168.3.0 à la configuration EIGRP du routeur R3
R3(config)#router eigrp 1
R3(config-router)#network 192.168.2.0
R3(config-router)#network 192.168.3.0
Étape 3 : vérification des nouvelles routes
Consultez la table de routage de R1 pour vérifier que les nouvelles routes figurent dans les mises à jour
EIGRP envoyées par R3.
R1#show ip route
<output omitted>
CCNA Exploration Travaux pratiques 9.6.1 :
Protocoles et concepts de routage : protocole EIGRP travaux pratiques de configuration EIGRP de base
Copyright sur l’intégralité du contenu © 1992–2007 Cisco Systems, Inc. Tous droits réservés.
Ce document contient des informations publiques Cisco. Page 14 sur 15
172.16.0.0/16 is variably subnetted, 4 subnets, 3 masks
C 172.16.1.0/24 is directly connected, FastEthernet0/0
D 172.16.2.0/24 [90/3526400] via 192.168.10.6, 00:15:07, Serial0/0/1
C 172.16.3.0/30 is directly connected, Serial0/0/0
D 192.168.1.0/24 [90/2172416] via 192.168.10.6, 00:15:07, Serial0/0/1
D 192.168.2.0/24 [90/2297856] via 192.168.10.6, 00:01:07, Serial0/0/1
D 192.168.3.0/24 [90/2297856] via 192.168.10.6, 00:00:57, Serial0/0/1
192.168.10.0/24 is variably subnetted, 3 subnets, 2 masks
C 192.168.10.4/30 is directly connected, Serial0/0/1
D 192.168.10.8/30 [90/3523840] via 192.168.10.6, 00:15:07, Serial0/0/1
R1#
Étape 4 : application du récapitulatif manuel aux interfaces de sortie
Les routes à destination des réseaux 192.168.1.0/24, 192.168.2.0/24 et 192.168.3.0/24 peuvent être
résumées dans le réseau unique 192.168.0.0/22. Utilisez la commande ip summary-address eigrp en
tant que numéro d’adresse réseau-masque de sous-réseau pour configurer le récapitulatif manuel sur
chacune des interfaces de sortie connectées aux voisins EIGRP.
R3(config)#interface serial0/0/0
R3(config-if)#ip summary-address eigrp 1 192.168.0.0 255.255.252.0
R3(config-if)#interface serial0/0/1
R3(config-if)#ip summary-address eigrp 1 192.168.0.0 255.255.252.0
R3(config-if)#
Étape 5 : vérification du résumé du routage
Consultez la table de routage du routeur R1 pour vérifier que le résumé du routage figure dans les mises
à jour EIGRP envoyées par R3.
R1#show ip route
<output omitted>
172.16.0.0/16 is variably subnetted, 4 subnets, 3 masks
C 172.16.1.0/24 is directly connected, FastEthernet0/0
D 172.16.2.0/24 [90/3526400] via 192.168.10.6, 00:15:07, Serial0/0/1
C 172.16.3.0/30 is directly connected, Serial0/0/0
D 192.168.0.0/22 [90/2172416] via 192.168.10.6, 00:01:11, Serial0/0/1
192.168.10.0/24 is variably subnetted, 3 subnets, 2 masks
C 192.168.10.4/30 is directly connected, Serial0/0/1
D 192.168.10.8/30 [90/3523840] via 192.168.10.6, 00:15:07, Serial0/0/1
R1#
Tâche 14 : configuration et distribution d’une route statique par défaut
Étape 1 : configuration d’une route statique par défaut sur le routeur R2
Utilisez l'adresse de bouclage qui a été configurée pour simuler une liaison vers un FAI comme interface
de sortie.
R2(config)#ip route 0.0.0.0 0.0.0.0 loopback1
R2(config)#
CCNA Exploration Travaux pratiques 9.6.1 :
Protocoles et concepts de routage : protocole EIGRP travaux pratiques de configuration EIGRP de base
Copyright sur l’intégralité du contenu © 1992–2007 Cisco Systems, Inc. Tous droits réservés.
Ce document contient des informations publiques Cisco. Page 15 sur 15
Étape 2 : inclusion de la route statique dans les mises à jour EIGRP
Utilisez la commande redistribute static pour inclure la route statique dans les mises à jour
EIGRP envoyées à partir du routeur R2.
R2(config)#router eigrp 1
R2(config-router)#redistribute static
R2(config-router)#
Étape 3 : vérification de la route statique par défaut
Consultez la table de routage du routeur R1 pour vérifier que la route statique par défaut est redistribuée
via EIGRP.
R1#show ip route
<output omitted>
Gateway of last resort is 192.168.10.6 to network 0.0.0.0
192.168.10.0/30 is subnetted, 2 subnets
C 192.168.10.4 is directly connected, Serial0/0/1
D 192.168.10.8 [90/3523840] via 192.168.10.6, 01:06:01, Serial0/0/1
172.16.0.0/16 is variably subnetted, 3 subnets, 2 masks
C 172.16.1.0/24 is directly connected, FastEthernet0/0
D 172.16.2.0/24 [90/3526400] via 192.168.10.6, 01:05:39, Serial0/0/1
C 172.16.3.0/30 is directly connected, Serial0/0/0
D*EX 0.0.0.0/0 [170/3651840] via 192.168.10.6, 00:02:14, Serial0/0/1
D 192.168.0.0/22 [90/2172416] via 192.168.10.6, 01:05:38, Serial0/0/1
Tâche 15 : documentation
Sur chaque routeur, capturez la sortie de commande suivante dans un fichier texte (.txt) et enregistrez-la
pour pouvoir la consulter ultérieurement :
 show running-config
 show ip route
 show ip interface brief
 show ip protocols
Tâche 16 : remise en état
Supprimez les configurations et rechargez les routeurs. Déconnectez et rangez les câbles. Pour les hôtes
PC qui sont habituellement connectés à d’autres réseaux (comme un réseau local scolaire ou Internet),
reconnectez les câbles appropriés et restaurez les paramètres TCP/IP.
Copyright sur l’intégralité du contenu © 1992–2007 Cisco Systems, Inc. Tous droits réservés.
Ce document contient des informations publiques Cisco. Page 1 sur 8
Travaux pratiques 9.6.2 : confirmation de configuration EIGRP
Diagramme de topologie
Table d’adressage
Périphérique Interface Adresse IP
Masque
de sous-réseau
Passerelle
par défaut
HQ
Fa0/0 N/A
S0/0/0 N/A
S0/0/1 N/A
Lo1 N/A
BRANCH1
Fa0/0 N/A
S0/0/0 N/A
S0/0/1 N/A
BRANCH2
Fa0/0 N/A
S0/0/0 N/A
S0/0/1 N/A
PC1 Carte réseau
PC2 Carte réseau
PC3 Carte réseau
CCNA Exploration
Protocoles et concepts de routage : protocole EIGRP Travaux pratiques 9.6.2 : confirmation de configuration EIGRP
Copyright sur l’intégralité du contenu © 1992–2007 Cisco Systems, Inc. Tous droits réservés.
Ce document contient des informations publiques Cisco. Page 2 sur 8
Objectifs pédagogiques
À l’issue de ces travaux pratiques, vous serez en mesure d’effectuer les tâches suivantes :
 Créer une conception VLSM (masque de sous-réseau de longueur variable) efficace conforme
aux spécifications
 Attribuer des adresses appropriées aux interfaces et les documenter
 Câbler un réseau conformément au diagramme de topologie
 Supprimer la configuration de démarrage et recharger un routeur en lui attribuant les paramètres
par défaut
 Configurer des routeurs qui intègrent le protocole EIGRP
 Configurer et propager une route statique par défaut
 Vérifier le fonctionnement du protocole EIGRP
 Tester et vérifier la connectivité complète
 Réfléchir à la mise en œuvre du réseau et en prendre note
Scénario
Dans ces travaux pratiques, vous devrez diviser une adresse réseau en sous-réseaux à l’aide des
masques de sous-réseau de longueur variable (VLSM) pour procéder à l’adressage du réseau qui est
illustré dans le diagramme de topologie. Le routage EIGRP et le routage statique devront être combinés
pour permettre aux hôtes de réseaux n’étant pas directement connectés de communiquer entre eux.
Le protocole EIGRP doit être configuré de telle sorte que l’ensemble du trafic IP emprunte le chemin
le plus court pour atteindre l’adresse de destination.
Tâche 1 : subdivision de l’espace d’adressage en sous-réseaux
Étape 1 : examen des besoins du réseau
L’adressage du réseau doit satisfaire aux conditions suivantes :
 Le réseau 172.16.0.0/16 doit être divisé en sous-réseaux pour fournir des adresses aux trois
réseaux locaux.
 Le réseau local de HQ aura besoin de 500 adresses.
 Le réseau local de BRANCH1 aura besoin de 200 adresses.
 Le réseau local de BRANCH2 aura besoin de 100 adresses.
 L’adresse de bouclage représentant la liaison entre le routeur HQ et le FAI utilisera le réseau
209.165.200.224/30.
 L’espace d’adressage 192.168.1.16/28 doit être divisé en sous-réseaux pour obtenir les adresses
des liaisons entre les trois routeurs.
Étape 2 : examen des questions suivantes lors de la conception de votre réseau
Combien de sous-réseaux doivent être créés à partir du réseau 172.16.0.0/16 ? _______
Combien d’adresses IP sont nécessaires à partir du réseau 172.16.0.0/16 ? _______
Quel masque de sous-réseau sera utilisé pour le sous-réseau du réseau local de HQ ?
______________________
Quel nombre maximal d’adresses hôtes peuvent être utilisées sur ce sous-réseau ? _______
Quel masque de sous-réseau sera utilisé pour le sous-réseau du réseau local de BRANCH1 ?
________________
Quel nombre maximal d’adresses hôtes peuvent être utilisées sur ce sous-réseau ? _______
CCNA Exploration
Protocoles et concepts de routage : protocole EIGRP Travaux pratiques 9.6.2 : confirmation de configuration EIGRP
Copyright sur l’intégralité du contenu © 1992–2007 Cisco Systems, Inc. Tous droits réservés.
Ce document contient des informations publiques Cisco. Page 3 sur 8
Quel masque de sous-réseau sera utilisé pour le sous-réseau du réseau local de BRANCH2 ?
______________
Quel nombre maximal d’adresses hôtes peuvent être utilisées sur ce sous-réseau ? _______
Quel masque de sous-réseau sera utilisé pour les liaisons entre les trois routeurs ? ________
Quel est le nombre maximal d’adresses hôtes pouvant être utilisées sur chacun de ces sous-réseaux ?
_____
Étape 3 : attribution d'adresses de sous-réseau au diagramme de topologie
1. Attribuez le sous-réseau 0 du réseau 172.16.0.0/16 au sous-réseau du réseau local de HQ.
Quelle est l’adresse réseau de ce sous-réseau ? ________________________
2. Attribuez le sous-réseau 1 du réseau 172.16.0.0/16 au sous-réseau du réseau local de BRANCH1.
Quelle est l’adresse réseau de ce sous-réseau ? ___________________________
3. Attribuez le sous-réseau 2 du réseau 172.16.0.0/16 au sous-réseau du réseau local de BRANCH2.
Quelle est l’adresse réseau de ce sous-réseau ? ___________________________
4. Attribuez le sous-réseau 0 du réseau 192.168.1.16/28 à la liaison entre les routeurs HQ
et BRANCH1.
Quelle est l’adresse réseau de ce sous-réseau ? ________________________
5. Attribuez le sous-réseau 1 du réseau 192.168.1.16/28 à la liaison entre les routeurs HQ
et BRANCH2.
Quelle est l’adresse réseau de ce sous-réseau ? ________________________
6. Attribuez le sous-réseau 2 du réseau 192.168.1.16/28 à la liaison entre les routeurs BRANCH1
et BRANCH2. Quelle est l’adresse réseau de ce sous-réseau ? ____________
Tâche 2 : détermination des adresses des interfaces
Étape 1 : allocation d’adresses appropriées aux interfaces des périphériques
1. Attribuez la première adresse d’hôte valide du réseau 209.165.200.224/30 à l’interface de
bouclage du routeur HQ.
2. Allouez la première adresse IP valide du réseau LAN de HQ à l’interface LAN du routeur HQ.
3. Allouez la dernière adresse IP valide du réseau LAN HQ au PC2.
4. Attribuez la première adresse IP valide du réseau local de BRANCH1 à l’interface LAN du
routeur BRANCH1.
5. Attribuez la dernière adresse IP valide du réseau local de BRANCH1 au PC1.
6. Attribuez la première adresse IP valide du réseau local de BRANCH2 à l’interface LAN du
routeur BRANCH2.
7. Attribuez la dernière adresse IP valide du réseau local de BRANCH2 au PC3.
8. Attribuez la première adresse IP valide de la liaison réseau entre HQ et BRANCH1 à l’interface
Serial 0/0/0 du routeur HQ.
9. Attribuez la dernière adresse IP valide de la liaison réseau entre HQ et BRANCH1 à l’interface
Serial 0/0/0 du routeur BRANCH.
10. Attribuez la première adresse IP valide de la liaison réseau entre HQ et BRANCH2 à l’interface
Serial 0/0/1 du routeur HQ.
11. Attribuez la dernière adresse IP valide de la liaison réseau entre HQ et BRANCH2 à l’interface
Serial 0/0/1 du routeur BRANCH.
CCNA Exploration
Protocoles et concepts de routage : protocole EIGRP Travaux pratiques 9.6.2 : confirmation de configuration EIGRP
Copyright sur l’intégralité du contenu © 1992–2007 Cisco Systems, Inc. Tous droits réservés.
Ce document contient des informations publiques Cisco. Page 4 sur 8
12. Attribuez la première adresse IP valide de la liaison réseau entre BRANCH1 et BRANCH2
à l’interface Serial 0/0/1 du routeur BRANCH1.
13. Attribuez la dernière adresse IP valide de la liaison réseau entre BRANCH1 et BRANCH2
à l’interface Serial 0/0/0 du routeur BRANCH2.
Étape 2 : documentation des adresses à utiliser dans le tableau fourni sous le diagramme
de topologie
Tâche 3 : préparation du réseau
Étape 1 : câblage d’un réseau similaire à celui du diagramme de topologie
Vous pouvez utiliser n’importe quel routeur durant les travaux pratiques, pourvu qu'il soit équipé des
interfaces indiquées dans la topologie.
Étape 2 : suppression des configurations actuelles des routeurs
Tâche 4 : exécution des configurations de base des routeurs
Définissez une configuration de base pour les routeurs BRANCH1, BRANCH2, HQ et ISP en procédant
comme suit :
1. Configurez le nom d’hôte du routeur.
2. Désactivez la recherche DNS.
3. Configurez un mot de passe pour le mode d’exécution.
4. Configurez une bannière du message du jour.
5. Configurez un mot de passe pour les connexions de consoles.
6. Configurez un mot de passe pour les connexions de terminaux virtuels (vty).
7. Synchronisez les messages non sollicités et la sortie de la commande debug avec la sortie
sollicitée et les invites de la console et des lignes du terminal virtuel.
8. Configurez un délai d’attente de 15 minutes pour le mode d’exécution.
Tâche 5 : configuration et activation des adresses séries et Ethernet
Étape 1 : configuration des interfaces des routeurs HQ, BRANCH1 et BRANCH2
Configurez les interfaces sur les routeurs HQ, BRANCH1 et BRANCH2 avec les adresses IP du tableau
figurant sous le diagramme de topologie.
Enregistrez ensuite la configuration active dans la mémoire vive non volatile du routeur.
Étape 2 : configuration des interfaces Ethernet
Configurez les interfaces Ethernet de PC1, PC2 et PC3 avec les adresses IP de la table d’adressage
figurant sous le diagramme de topologie.
Tâche 6 : vérification de la connectivité au périphérique du tronçon suivant
À ce stade, il ne doit pas encore exister de connectivité entre les périphériques finaux. Toutefois, vous
pouvez tester la connectivité entre deux routeurs et entre un périphérique final et sa passerelle par défaut.
CCNA Exploration
Protocoles et concepts de routage : protocole EIGRP Travaux pratiques 9.6.2 : confirmation de configuration EIGRP
Copyright sur l’intégralité du contenu © 1992–2007 Cisco Systems, Inc. Tous droits réservés.
Ce document contient des informations publiques Cisco. Page 5 sur 8
Étape 1 : vérification de la connectivité des routeurs
Vérifiez que les routeurs HQ, BRANCH1 et BRANCH2 peuvent envoyer des requêtes ping à chaque
routeur voisin via les liaisons WAN.
Étape 2 : vérification de la connectivité des PC
Vérifiez que PC1, PC2 et PC3 peuvent envoyer une requête ping à leur passerelle par défaut.
Tâche 7 : configuration du routage EIGRP sur le routeur BRANCH1
Pensez aux réseaux qui doivent être inclus dans les mises à jour EIGRP envoyées par le routeur BRANCH1.
Quels réseaux directement connectés figurent dans la table de routage de BRANCH1 ?
________________________________________
________________________________________
________________________________________
Les informations de masque de sous-réseau de ces réseaux devront-elles figurer dans les instructions
réseau ? __________
Quelles sont les commandes nécessaires pour activer EIGRP et inclure les réseaux connectés dans
les mises à jour de routage ?
________________________________________
________________________________________
________________________________________
________________________________________
Quelle commande permet à EIGRP d’inclure des informations VLSM au lieu de résumer des routes
à la périphérie du réseau par classe ?
________________________________________
Existe-t-il d’autres interfaces de routeur qui ne nécessitent pas l’envoi de mises à jour EIGRP ?
__________
Quelle est la commande qui permet de désactiver les mises à jour EIGRP sur ces interfaces ?
________________________________________
Tâche 8 : configuration du protocole EIGRP et du routage statique sur le routeur HQ
Tenez compte du type de routage statique nécessaire sur le routeur HQ.
Une route statique par défaut devra être configurée pour envoyer tous les paquets avec des adresses de
destination qui ne sont pas dans la table de routage à l’adresse de bouclage représentant la liaison entre
le routeur HQ et le FAI. Quelle commande permet d’y parvenir ?
________________________________________
Quels réseaux directement connectés figurent dans la table de routage du routeur HQ ?
________________________________________
________________________________________
CCNA Exploration
Protocoles et concepts de routage : protocole EIGRP Travaux pratiques 9.6.2 : confirmation de configuration EIGRP
Copyright sur l’intégralité du contenu © 1992–2007 Cisco Systems, Inc. Tous droits réservés.
Ce document contient des informations publiques Cisco. Page 6 sur 8
________________________________________
________________________________________
Les informations de masque de sous-réseau des réseaux du réseau local de HQ et des liaisons entre les
routeurs BRANCH1 et BRANCH2 devront-elles figurer dans les instructions réseau ? __________
Quelles sont les commandes nécessaires pour activer EIGRP et inclure les réseaux appropriés dans
les mises à jour de routage ?
________________________________________
________________________________________
________________________________________
________________________________________
Quelle commande permet à EIGRP d’inclure des informations VLSM au lieu de résumer des routes
à la périphérie du réseau par classe ?
________________________________________
Existe-t-il d’autres interfaces de routeur qui ne nécessitent pas l’envoi de mises à jour EIGRP ?
__________
Quelle est la commande qui permet de désactiver les mises à jour EIGRP sur cette interface ?
________________________________________
Le routeur HQ doit envoyer les informations de route par défaut aux routeurs BRANCH1 et BRANCH2
dans les mises à jour EIGRP. Quelle commande est utilisée pour cette configuration ?
________________________________________
Tâche 9 : configuration du routage EIGRP sur le routeur BRANCH2
Pensez aux réseaux qui doivent être inclus dans les mises à jour EIGRP envoyées par le routeur BRANCH2.
Quels réseaux directement connectés figurent dans la table de routage de BRANCH2 ?
________________________________________
________________________________________
________________________________________
Les informations de masque de sous-réseau de ces réseaux devront-elles figurer dans les instructions
réseau ? __________
Quelles sont les commandes nécessaires pour activer EIGRP et inclure les réseaux connectés dans
les mises à jour de routage ?
________________________________________
________________________________________
________________________________________
________________________________________
CCNA Exploration
Protocoles et concepts de routage : protocole EIGRP Travaux pratiques 9.6.2 : confirmation de configuration EIGRP
Copyright sur l’intégralité du contenu © 1992–2007 Cisco Systems, Inc. Tous droits réservés.
Ce document contient des informations publiques Cisco. Page 7 sur 8
Quelle commande permet à EIGRP d’inclure des informations VLSM au lieu de résumer des routes
à la périphérie du réseau par classe ?
________________________________________
Existe-t-il d’autres interfaces de routeur qui ne nécessitent pas l’envoi de mises à jour EIGRP ?
__________
Quelle est la commande qui permet de désactiver les mises à jour EIGRP sur ces interfaces ?
________________________________________
Tâche 10 : vérification des configurations
Répondez aux questions suivantes pour vérifier que le réseau fonctionne comme prévu :
Est-il possible d’envoyer une requête ping au PC2 à partir du PC1 ? __________
Est-il possible d’envoyer une requête ping au PC3 à partir du PC1 ? __________
La réponse aux questions précédentes doit être oui. Si l’une des requêtes ping ci-dessus a échoué,
vérifiez vos connexions physiques et vos configurations. Reportez-vous aux techniques de dépannage
de base utilisées dans les travaux pratiques du chapitre 1.
Quelles routes EIGRP figurent dans la table de routage du routeur BRANCH1 ?
________________________________________
________________________________________
________________________________________
________________________________________
Quelle est la passerelle de dernier recours dans la table de routage du routeur BRANCH1 ?
________________________________________
Quelles routes EIGRP figurent dans la table de routage du routeur HQ ?
________________________________________
________________________________________
________________________________________
Quelle est la passerelle de dernier recours dans la table de routage du routeur HQ ?
________________________________________
Quelles routes EIGRP figurent dans la table de routage du routeur BRANCH2 ?
________________________________________
________________________________________
________________________________________
________________________________________
Quelle est la passerelle de dernier recours dans la table de routage du routeur BRANCH2 ?
________________________________________
CCNA Exploration
Protocoles et concepts de routage : protocole EIGRP Travaux pratiques 9.6.2 : confirmation de configuration EIGRP
Copyright sur l’intégralité du contenu © 1992–2007 Cisco Systems, Inc. Tous droits réservés.
Ce document contient des informations publiques Cisco. Page 8 sur 8
Tâche 11 : remarques générales
Pourquoi faut-il désactiver le récapitulatif automatique dans cette conception de réseau ?
____________________________________________________________________________________
____________________________________________________________________________________
____________________________________________________________________________________
Tâche 12 : description des configurations des routeurs
Sur chaque routeur, capturez la sortie de commande suivante dans un fichier texte (.txt) et enregistrez-la
pour pouvoir la consulter ultérieurement :
 Running configuration
 Routing table
 Interface summarization
Tâche 13 : remise en état
Supprimez les configurations et rechargez les routeurs. Déconnectez et rangez les câbles. Pour les hôtes
PC qui sont habituellement connectés à d’autres réseaux (comme un réseau local scolaire ou Internet),
reconnectez les câbles appropriés et restaurez les paramètres TCP/IP.
Copyright sur l’intégralité du contenu © 1992–2007 Cisco Systems, Inc. Tous droits réservés.
Ce document contient des informations publiques Cisco. Page 1 sur 12
Travaux pratiques 9.6.3 : travaux pratiques de dépannage EIGRP
Diagramme de topologie
Table d’adressage
Périphérique Interface Adresse IP Masque de sous-réseau
Passerelle
par défaut
HQ
Fa0/0 172.18.64.1 255.255.192.0 s/o
S0/0/0 209.165.202.129 255.255.255.252 s/o
S0/0/1 209.165.202.133 255.255.255.252 s/o
BRANCH1
Fa0/0 172.18.129.1 255.255.255.240 s/o
S0/0/0 209.165.202.130 255.255.255.252 s/o
S0/0/1 209.165.202.137 255.255.255.252 s/o
BRANCH2
Fa0/0 172.18.128.1 255.255.255.0 s/o
S0/0/0 209.165.202.138 255.255.255.252 s/o
S0/0/1 209.165.202.134 255.255.255.252 s/o
PC1 Carte réseau 172.18.129.14 255.255.255.240 172.18.129.1
PC2 Carte réseau 172.18.100.100 255.255.192.0 172.18.64.1
PC3 Carte réseau 172.18.128.10 255.255.255.0 172.18.128.1
CCNA Exploration
Protocoles et concepts de routage : Travaux pratiques 9.6.3 :
protocole EIGRP travaux pratiques de dépannage EIGRP
Copyright sur l’intégralité du contenu © 1992–2007 Cisco Systems, Inc. Tous droits réservés.
Ce document contient des informations publiques Cisco. Page 2 sur 12
Objectifs pédagogiques
À l’issue de ces travaux pratiques, vous serez en mesure d’effectuer les tâches suivantes :
 Câbler un réseau conformément au diagramme de topologie
 Supprimer la configuration de démarrage et recharger un routeur en lui attribuant les paramètres
par défaut
 Charger les routeurs avec les scripts fournis
 Détecter rapidement les communications impossibles
 Réunir des informations sur la partie mal configurée du réseau, ainsi que toute autre erreur
 Analyser les informations pour déterminer pourquoi la communication n’est pas possible
 Proposer des solutions pour résoudre les erreurs de réseau
 Mettre en place des solutions pour résoudre les erreurs de réseau
 Documenter le réseau corrigé
Scénario
Dans ces travaux pratiques, vous commencerez par charger des scripts de configuration sur chacun des
routeurs. Ces scripts contiennent des erreurs qui empêcheront une communication de bout en bout sur
le réseau. Vous devrez dépanner chaque routeur pour déterminer les erreurs de configuration, puis
utiliser les commandes appropriées afin de corriger les configurations. Une fois que vous aurez corrigé
toutes les erreurs de configuration, tous les hôtes du réseau devraient pouvoir communiquer les uns
avec les autres.
Le réseau doit aussi présenter la configuration suivante :
 Le routage EIGRP est configuré sur le routeur BRANCH1.
 Le routage EIGRP est configuré sur le routeur BRANCH2.
 Le routage EIGRP est configuré sur le routeur HQ.
 Les mises à jour EIGRP doivent être désactivées sur les interfaces LAN de BRANCH1,
BRANCH2 et HQ.
 Tous les routeurs EIGRP doivent utiliser un ID de processus d’une valeur de 1.
Tâche 1 : câblage, suppression et rechargement des routeurs
Étape 1 : câblage d’un réseau
Câblez un réseau similaire à celui du diagramme de topologie.
Étape 2 : suppression de la configuration sur chaque routeur
Supprimez la configuration sur chaque routeur à l’aide de la commande erase startup-config, puis
rechargez les routeurs à l’aide de la commande reload. Répondez non si une fenêtre vous demande
d’enregistrer les modifications.
Tâche 2 : chargement des routeurs à l’aide des scripts fournis
Étape 1 : chargement du script suivant sur le routeur BRANCH1 :
hostname BRANCH1
!
no ip domain-lookup
!
CCNA Exploration
Protocoles et concepts de routage : Travaux pratiques 9.6.3 :
protocole EIGRP travaux pratiques de dépannage EIGRP
Copyright sur l’intégralité du contenu © 1992–2007 Cisco Systems, Inc. Tous droits réservés.
Ce document contient des informations publiques Cisco. Page 3 sur 12
interface FastEthernet0/0
ip address 172.18.129.1 255.255.255.240
duplex auto
speed auto
!
interface Serial0/0/0
ip address 209.165.202.130 255.255.255.252
clock rate 64000
no shutdown
!
interface Serial0/0/1
ip address 209 165 202 137 255.255.255.252
no shutdown
!
router eigrp 2
passive-interface FastEthernet0/0
network 209.165.202.128 0.0.0.3
network 209.165.202.136 0.0.0.3
network 172.18.129.0 0.0.0.7
no auto-summary
!
ip classless
!
line con 0
line vty 0 4
login
!
end
Étape 2 : chargement du script suivant sur le routeur BRANCH2
hostname BRANCH2
!
no ip domain-lookup
!
interface FastEthernet0/0
ip address 172.18.128.1 255.255.255.0
duplex auto
speed auto
no shutdown
!
interface Serial0/0/0
ip address 209.165.202.138 255.255.255.252
clock rate 64000
no shutdown
!
interface Serial0/0/1
ip address 209.165.202.134 255.255.255.252
no shutdown
!
router eigrp 1
passive-interface FastEthernet0/0
network 172.18.128.0 0.0.0.255
network 209.165.202.132 0.0.0.3
network 209.165.202.136 0.0.0.3
CCNA Exploration
Protocoles et concepts de routage : Travaux pratiques 9.6.3 :
protocole EIGRP travaux pratiques de dépannage EIGRP
Copyright sur l’intégralité du contenu © 1992–2007 Cisco Systems, Inc. Tous droits réservés.
Ce document contient des informations publiques Cisco. Page 4 sur 12
!
ip classless
!
line con 0
line vty 0 4
login
!
end
Étape 3 : chargement du script suivant sur le routeur HQ :
hostname HQ
!
no ip domain-lookup
!
interface FastEthernet0/0
ip address 172.18.64.1 255.255.192.0
duplex auto
speed auto
no shutdown
!
interface Serial0/0/0
ip address 209.165.202.129 255.255.255.252
no shutdown
!
interface Serial0/0/1
ip address 209.165.202.133 255.255.255.252
clock rate 64000
no shutdown
!
router eigrp 1
passive-interface Serial0/0/0
network 172.18.64.0
network 209.165.202.128 0.0.0.3
network 209.165.202.132 0.0.0.3
no auto-summary
!
ip classless
!
line con 0
line vty 0 4
login
!
end
Tâche 3 : dépannage du routeur BRANCH1
Étape 1 : dépannage préalable de l’hôte connecté au routeur BRANCH1
Est-il possible d’envoyer une requête ping au PC2 à partir du PC1 hôte ? _______
Est-il possible d’envoyer une requête ping au PC3 à partir du PC1 hôte ? _______
Est-il possible d’envoyer une requête ping à la passerelle par défaut à partir du PC1 hôte ? _______
CCNA Exploration
Protocoles et concepts de routage : Travaux pratiques 9.6.3 :
protocole EIGRP travaux pratiques de dépannage EIGRP
Copyright sur l’intégralité du contenu © 1992–2007 Cisco Systems, Inc. Tous droits réservés.
Ce document contient des informations publiques Cisco. Page 5 sur 12
Étape 2 : examen du routeur BRANCH1 à la recherche d’éventuelles erreurs de configuration
Commencez par consulter le résumé des informations d’état relatives à chaque interface du routeur.
La configuration des interfaces présente-t-elle des problèmes ?
____________________________________________________________________________________
____________________________________________________________________________________
Si la configuration des interfaces présente des problèmes, enregistrez les commandes qui permettront
de corriger ces erreurs.
_____________________________________________
_____________________________________________
_____________________________________________
Étape 3 : si les commandes ci-dessus ont été enregistrées, les appliquer maintenant à la
configuration du routeur
Étape 4 : affichage du résumé des informations d’état
Si la configuration a été modifiée à l’étape précédente, consultez de nouveau le résumé des informations
d'état relatives aux interfaces du routeur.
Les informations figurant dans le récapitulatif de l’état des interfaces indiquent-elles la présence d’erreurs
de configuration sur le routeur BRANCH1 ? _______
Si la réponse est oui, dépannez de nouveau l’état des interfaces.
Étape 5 : dépannage de la configuration du routage sur le routeur BRANCH1
Quelles routes apparaissent dans la table de routage ?
_____________________________________________
_____________________________________________
_____________________________________________
La table de routage ou la configuration EIGRP présentent-elles des problèmes ?
____________________________________________________________________________________
____________________________________________________________________________________
Si vous décelez des problèmes affectant la configuration du protocole EIGRP, notez les commandes qui
permettront de corriger ces erreurs.
_____________________________________________
_____________________________________________
_____________________________________________
_____________________________________________
_____________________________________________
_____________________________________________
CCNA Exploration
Protocoles et concepts de routage : Travaux pratiques 9.6.3 :
protocole EIGRP travaux pratiques de dépannage EIGRP
Copyright sur l’intégralité du contenu © 1992–2007 Cisco Systems, Inc. Tous droits réservés.
Ce document contient des informations publiques Cisco. Page 6 sur 12
_____________________________________________
Existe-t-il des problèmes de connectivité qui pourraient être liés à des erreurs sur d’autres parties
du réseau ?
____________________________________________________________________________________
____________________________________________________________________________________
Quels sont les réseaux connectés qui figurent dans la table topologique EIGRP du routeur BRANCH1 ?
_____________________________________________
_____________________________________________
_____________________________________________
Est-ce que les réseaux connectés figurant dans la table topologique EIGRP présentent des problèmes ?
_________________________________________________________________________________
____________________________________________________________________________________
Étape 6 : si les commandes ci-dessus ont été enregistrées, les appliquer maintenant à la
configuration du routeur
Étape 7 : consultation des informations de routage
Si la configuration a été modifiée au cours des étapes précédentes, consultez de nouveau les
informations de routage.
Les informations figurant dans la table de routage indiquent-elles la présence d’erreurs de configuration
sur le routeur BRANCH1 ? _______
Les informations figurant dans la table topologique EIGRP indiquent-elles la présence d’erreurs de
configuration sur le routeur BRANCH1 ? _______
Si la réponse à l’une de ces questions est oui, dépannez de nouveau la configuration du routage.
Quelles routes apparaissent dans la table de routage ?
_________________________________________________
_________________________________________________
_________________________________________________
_________________________________________________
Étape 8 : nouvelle tentative de liaison ping entre les hôtes
Est-il possible d’envoyer une requête ping au PC2 à partir du PC1 hôte ? _______
Est-il possible d’envoyer une requête ping au PC3 à partir du PC1 hôte ? _______
Est-il possible d’envoyer une requête ping à l’interface Serial 0/0/0 du routeur HQ à partir du PC1 hôte ?
_______
Est-il possible d’envoyer une requête ping à l’interface Serial 0/0/1 du routeur HQ à partir du PC1 hôte ?
_______
CCNA Exploration
Protocoles et concepts de routage : Travaux pratiques 9.6.3 :
protocole EIGRP travaux pratiques de dépannage EIGRP
Copyright sur l’intégralité du contenu © 1992–2007 Cisco Systems, Inc. Tous droits réservés.
Ce document contient des informations publiques Cisco. Page 7 sur 12
Tâche 4 : dépannage du routeur HQ
Étape 1 : lancement du dépannage sur le PC2 hôte.
Est-il possible d’envoyer une requête ping au PC1 à partir du PC2 hôte ? _______
Est-il possible d’envoyer une requête ping au PC3 à partir du PC2 hôte ? _______
Est-il possible d’envoyer une requête ping à la passerelle par défaut à partir du PC2 hôte ? _______
Étape 2 : examen du routeur HQ à la recherche d’éventuelles erreurs de configuration
Commencez par consulter le résumé des informations d’état relatives à chaque interface du routeur.
La configuration des interfaces présente-t-elle des problèmes ?
Commencez par consulter le résumé des informations d’état relatives à chaque interface du routeur.
Existe-t-il des problèmes de configuration des interfaces ?
____________________________________________________________________________________
____________________________________________________________________________________
____________________________________________________________________________________
Si la configuration des interfaces présente des problèmes, enregistrez les commandes qui permettront de
corriger ces erreurs.
____________________________________________________________________________________
____________________________________________________________________________________
____________________________________________________________________________________
Étape 3 : si les commandes ci-dessus ont été enregistrées, les appliquer maintenant à la
configuration du routeur
Étape 4 : affichage du résumé des informations d’état
Si la configuration a été modifiée à l’étape précédente, consultez de nouveau le résumé des informations
d'état relatives aux interfaces du routeur.
Les informations du résumé de l’état de l’interface indiquent-elles des erreurs de configuration sur le
routeur HQ ? _______
Si la réponse est oui, dépannez de nouveau l’état des interfaces.
Étape 5 : dépannage de la configuration de routage sur le routeur HQ
Quelles routes apparaissent dans la table de routage ?
______________________________________________
______________________________________________
______________________________________________
______________________________________________
______________________________________________
CCNA Exploration
Protocoles et concepts de routage : Travaux pratiques 9.6.3 :
protocole EIGRP travaux pratiques de dépannage EIGRP
Copyright sur l’intégralité du contenu © 1992–2007 Cisco Systems, Inc. Tous droits réservés.
Ce document contient des informations publiques Cisco. Page 8 sur 12
La table de routage ou la configuration EIGRP présentent-elles des problèmes ?
____________________________________________________________________________________
____________________________________________________________________________________
____________________________________________________________________________________
____________________________________________________________________________________
____________________________________________________________________________________
Si vous décelez des problèmes affectant la configuration du protocole EIGRP, notez les commandes qui
permettront de corriger ces erreurs.
________________________________________________
________________________________________________
________________________________________________
________________________________________________
________________________________________________
Existe-t-il des problèmes de connectivité qui pourraient être liés à des erreurs sur d’autres parties du réseau ?
_________________________________________________________________________________
____________________________________________________________________________________
____________________________________________________________________________________
Quels sont les réseaux connectés qui figurent dans la table topologique EIGRP du routeur HQ ?
________________________________________________
________________________________________________
________________________________________________
________________________________________________
________________________________________________
Est-ce que les réseaux connectés figurant dans la table topologique EIGRP présentent des problèmes ?
____________________________________________________________________________________
____________________________________________________________________________________
Étape 6 : si les commandes ci-dessus ont été enregistrées, les appliquer maintenant à la
configuration du routeur
Étape 7 : consultation des informations de routage
Si la configuration a été modifiée au cours des étapes précédentes, consultez de nouveau les
informations de routage.
Les informations de la table de routage indiquent-elles des erreurs de configuration sur le routeur HQ ?
_______
Les informations figurant dans la table topologique EIGRP indiquent-elles la présence d’erreurs de
configuration sur le routeur HQ ? _______
Si la réponse à l’une de ces questions est oui, dépannez de nouveau la configuration du routage.
CCNA Exploration
Protocoles et concepts de routage : Travaux pratiques 9.6.3 :
protocole EIGRP travaux pratiques de dépannage EIGRP
Copyright sur l’intégralité du contenu © 1992–2007 Cisco Systems, Inc. Tous droits réservés.
Ce document contient des informations publiques Cisco. Page 9 sur 12
Étape 8 : nouvelle tentative de liaison ping entre les hôtes
Est-il possible d’envoyer une requête ping au PC1 à partir du PC2 hôte ? _______
Est-il possible d’envoyer une requête ping au PC3 à partir du PC2 hôte ? _______
Est-il possible d’envoyer une requête ping à l’interface Serial 0/0/0 du routeur BRANCH2 à partir
du PC2 hôte ? _______
Est-il possible d’envoyer une requête ping à l’interface Serial 0/0/1 du routeur BRANCH2 à partir
du PC2 hôte ? _______
Tâche 5 : dépannage du routeur BRANCH2
Étape 1 : début du dépannage sur le PC3 hôte
Est-il possible d’envoyer une requête ping au PC1 à partir du PC3 hôte ? _______
Est-il possible d’envoyer une requête ping au PC2 à partir du PC3 hôte ? _______
Est-il possible d’envoyer une requête ping à la passerelle par défaut à partir du PC3 hôte ? _______
Étape 2 : examen du routeur BRANCH2 à la recherche d’éventuelles erreurs de configuration
La configuration des interfaces présente-t-elle des problèmes ?
_________________________________________________________________________________
____________________________________________________________________________________
____________________________________________________________________________________
Si la configuration des interfaces présente des problèmes, enregistrez les commandes qui permettront de
corriger ces erreurs.
____________________________________________
_________________________________________________
_________________________________________________
Étape 3 : si les commandes ci-dessus ont été enregistrées, les appliquer maintenant à la
configuration du routeur
Étape 4 : affichage du résumé des informations d’état
Si la configuration a été modifiée à l’étape précédente, consultez de nouveau le résumé des informations
d'état relatives aux interfaces du routeur.
Les informations figurant dans le résumé de l’état des interfaces indiquent-elles la présence d’erreurs de
configuration sur le routeur BRANCH2 ? _______
Si la réponse est oui, dépannez de nouveau l’état des interfaces.
Étape 5 : dépannage de la configuration du routage sur le routeur BRANCH2
Quelles routes apparaissent dans la table de routage ?
________________________________________________
________________________________________________
________________________________________________
________________________________________________
CCNA Exploration
Protocoles et concepts de routage : Travaux pratiques 9.6.3 :
protocole EIGRP travaux pratiques de dépannage EIGRP
Copyright sur l’intégralité du contenu © 1992–2007 Cisco Systems, Inc. Tous droits réservés.
Ce document contient des informations publiques Cisco. Page 10 sur 12
________________________________________________
________________________________________________
________________________________________________
________________________________________________
La table de routage ou la configuration EIGRP présentent-elles des problèmes ?
____________________________________________________________________________________
____________________________________________________________________________________
Si vous décelez des problèmes affectant la configuration du protocole EIGRP, notez les commandes qui
permettront de corriger ces erreurs.
________________________________________________
________________________________________________
________________________________________________
Existe-t-il des problèmes de connectivité qui pourraient être liés à des erreurs sur d’autres parties
du réseau ?
____________________________________________________________________________________
____________________________________________________________________________________
____________________________________________________________________________________
Quels réseaux connectés figurent dans la table topologique EIGRP du routeur BRANCH2 ?
________________________________________________
________________________________________________
________________________________________________
Est-ce que les réseaux connectés figurant dans la table topologique EIGRP présentent des problèmes ?
____________________________________________________________________________________
____________________________________________________________________________________
Étape 6 : si les commandes ci-dessus ont été enregistrées, les appliquer maintenant à la
configuration du routeur
Étape 7 : consultation des informations de routage
Si la configuration a été modifiée au cours des étapes précédentes, consultez de nouveau les
informations de routage.
Les informations figurant dans la table de routage indiquent-elles la présence d’erreurs de configuration
sur le routeur BRANCH2 ? _______
Les informations figurant dans la table topologique EIGRP indiquent-elles la présence d’erreurs de
configuration sur le routeur BRANCH2 ? _______
Si la réponse à l’une de ces questions est oui, dépannez de nouveau la configuration du routage.
CCNA Exploration
Protocoles et concepts de routage : Travaux pratiques 9.6.3 :
protocole EIGRP travaux pratiques de dépannage EIGRP
Copyright sur l’intégralité du contenu © 1992–2007 Cisco Systems, Inc. Tous droits réservés.
Ce document contient des informations publiques Cisco. Page 11 sur 12
Quelles routes apparaissent dans la table de routage ?
________________________________________________
________________________________________________
________________________________________________
________________________________________________
________________________________________________
________________________________________________
________________________________________________
________________________________________________
Étape 8 : nouvelle tentative de liaison ping entre les hôtes
Est-il possible d’envoyer une requête ping au PC1 à partir du PC3 hôte ? _______
Est-il possible d’envoyer une requête ping au PC2 à partir du PC3 hôte ? _______
Est-il possible d’envoyer une requête ping à l’interface Serial 0/0/0 du routeur BRANCH1 à partir
du PC3 hôte ? _______
Est-il possible d’envoyer une requête ping à l’interface Serial 0/0/1 du routeur BRANCH1 à partir
du PC3 hôte ? _______
Tâche 6 : remarques générales
Les scripts fournis pour ces travaux pratiques ont présenté plusieurs erreurs de configuration.
Utilisez l’espace ci-dessous pour décrire brièvement les erreurs que vous avez trouvées.
___________________________________________________________________________________
___________________________________________________________________________________
___________________________________________________________________________________
___________________________________________________________________________________
___________________________________________________________________________________
___________________________________________________________________________________
___________________________________________________________________________________
___________________________________________________________________________________
CCNA Exploration
Protocoles et concepts de routage : Travaux pratiques 9.6.3 :
protocole EIGRP travaux pratiques de dépannage EIGRP
Copyright sur l’intégralité du contenu © 1992–2007 Cisco Systems, Inc. Tous droits réservés.
Ce document contient des informations publiques Cisco. Page 12 sur 12
Tâche 7 : documentation
Sur chaque routeur, capturez la sortie de commande suivante dans un fichier texte (.txt) et enregistrez-la
pour pouvoir la consulter ultérieurement :
 show running-config
 show ip route
 show ip interface brief
 show ip protocols
Si vous devez revoir les procédures de capture d’informations de commandes, consultez les travaux
pratiques 1.5.1.
Tâche 8 : remise en état
Supprimez les configurations et rechargez les routeurs. Déconnectez et rangez les câbles. Pour les hôtes
PC qui sont habituellement connectés à d’autres réseaux (comme un réseau local scolaire ou Internet),
reconnectez les câbles appropriés et restaurez les paramètres TCP/IP.
9.7.1 : exercice d’intégration des compétences Packet Tracer
Diagramme de topologie
Objectifs pédagogiques :
• Concevoir et documenter un schéma d’adressage en fonction de conditions requises
• Appliquer une configuration de base aux périphériques
• Tester la connectivité entre les périphériques directement connectés
• Configurer et vérifier le routage EIGRP
• Configurer des routes de récapitulatif EIGRP
• Ajuster le protocole EIGRP
• Configurer le routage statique et par défaut pour l’accès Internet
• Vérifier la connectivité entre tous les périphériques de la topologie
Copyright sur l'intégralité du contenu © 1992–2007 Cisco Systems, Inc. Tous droits réservés.
Ce document contient des informations publiques Cisco. Page 1 sur 4
CCNA Exploration
Protocoles et concepts de routage : protocole EIGRP 9.7.1 : exercice d’intégration des compétences Packet Tracer
Table d’adressage
Périphérique Interface Adresse IP Masque de sous-réseau
Passerelle
par défaut
Fa0/0 N/D
Fa0/1 N/D
S0/0/0 209.165.201.2 255.255.255.252 N/D
S0/0/1 N/D
S0/1/0 N/D
HQ
S0/1/1 N/D
Fa0/0 N/D
Fa0/1 N/D
S0/0/0 N/D
B1
S0/0/1 N/D
Fa0/0 N/D
Fa0/1 N/D
S0/0/0 N/D
S0/0/1 N/D
B2
S0/1/0 N/D
Fa0/0 N/D
Fa0/1 N/D
S0/0/0 N/D
B3B3
S0/0/1 N/D
Fa0/0 209.165.202.129 255.255.255.252 N/D
ISP
S0/0/0 209.165.201.1 255.255.255.252 N/D
Web Server Carte réseau 209.165.202.130 255.255.255.252 209.165.202.129
PC1 Carte réseau
PC2 Carte réseau
PC3 Carte réseau
PC4 Carte réseau
PC5 Carte réseau
PC6 Carte réseau
PC7 Carte réseau
PC8 Carte réseau
Copyright sur l'intégralité du contenu © 1992–2007 Cisco Systems, Inc. Tous droits réservés.
Ce document contient des informations publiques Cisco. Page 2 sur 4
CCNA Exploration
Protocoles et concepts de routage : protocole EIGRP 9.7.1 : exercice d’intégration des compétences Packet Tracer
Tâche 1 : conception et documentation d’un schéma d’adressage
Étape 1 : conception d’un schéma d’adressage
D’après les conditions réseau indiquées dans la topologie, concevez un schéma d’adressage approprié.
• Pour les réseaux locaux, utilisez l’espace d’adressage 10.1.32.0/22. Affectez les sous-réseaux
par ordre dans l’ensemble de la topologie en commençant par les sous-réseaux de B1 ayant
les besoins les plus importants.
• Pour les réseaux étendus, utilisez l’espace d’adressage 172.20.0.0/27. Affectez les sous-réseaux
locaux en fonction des spécifications suivantes :
Sous-réseau 0 pour la liaison WAN entre HQ et B1
Sous-réseau 1 pour la liaison WAN entre HQ et B2
Sous-réseau 2 pour la liaison WAN entre HQ et B3
Sous-réseau 3 pour la liaison WAN entre B1 et B2
Sous-réseau 4 pour la liaison WAN entre B2 et B3
Étape 2 : documentation du schéma d’adressage
• Utilisez les espaces libres de la topologie pour indiquer les adresses réseau au format
points/barres obliques.
• Utilisez le tableau fourni dans les instructions papier pour documenter les adresses IP,
les masques de sous-réseau et les adresses des passerelles par défaut.
Pour les réseaux locaux, affectez la première adresse IP à l’interface du routeur.
Affectez la dernière adresse IP à l’ordinateur.
Pour les liaisons WAN vers HQ, affectez la première adresse au routeur HQ.
Pour les liaisons WAN entre les routeurs des branches :
• Affectez la première adresse à B1 pour la liaison entre B1 et B2.
• Affectez la première adresse à B2 pour la liaison entre B2 et B3.
Tâche 2 : application d’une configuration de base
Étape 1 : configuration des routeurs
À l’aide de votre documentation, procédez à la configuration de base des routeurs.
Étape 2 : configuration des ordinateurs
À l’aide de votre documentation, configurez les ordinateurs en leur affectant une adresse IP, un masque
de sous-réseau et une passerelle par défaut.
Tâche 3 : test de la connectivité
Avant de continuer, assurez-vous que chaque périphérique peut envoyer une requête ping à son voisin
directement connecté.
Copyright sur l'intégralité du contenu © 1992–2007 Cisco Systems, Inc. Tous droits réservés.
Ce document contient des informations publiques Cisco. Page 3 sur 4
CCNA Exploration
Protocoles et concepts de routage : protocole EIGRP 9.7.1 : exercice d’intégration des compétences Packet Tracer
Copyright sur l'intégralité du contenu © 1992–2007 Cisco Systems, Inc. Tous droits réservés.
Ce document contient des informations publiques Cisco. Page 4 sur 4
Tâche 4 : configuration et vérification du routage EIGRP
Étape 1 : configuration du protocole EIGRP
Configurez le routage EIGRP sur tous les périphériques. Dans votre configuration, veillez à effectuer
les opérations suivantes :
• Désactivez la fonction de récapitulatif automatique.
• Arrêtez les mises à jour de routage sur les interfaces qui ne sont pas connectées à des
voisins EIGRP.
Étape 2 : vérification du protocole EIGRP
Utilisez les commandes de vérification pour vérifier votre configuration. Tous les routeurs doivent
être convergents sur tous les sous-réseaux 10.1.32.0/22 et 172.20.0.0/27
Tâche 6 : ajustement du protocole EIGRP
Étape 1 : réglage des valeurs de bande passante utilisées pour calculer les mesures
Les liaisons entre les routeurs de branche (B1 vers B2 et B2 vers B3) sont uniquement destinées
à la sauvegarde. Configurez les valeurs de bande passante de manière à ce qu’elles correspondent
à la bande passante réelle afin que le protocole EIGRP n’attribue pas une charge à coût égal aux
liaisons T1 vers HQ et aux liaisons de sauvegarde vers le routeur de branche voisin.
Étape 2 : réglage des intervalles Hello pour les liaisons plus lentes
Modifiez les intervalles Hello des liaisons à 64 Kbits/s sur 60 secondes.
Tâche 7 : configuration du routage statique et par défaut
Dans la mesure où Packet Tracer ne prend pas en charge la redistribution des routes par défaut,
tous les routeurs à l'exception des routeurs ISP nécessiteront une route par défaut.
Tâche 8 : test de la connectivité et examen de la configuration
Testez la connectivité et examinez la configuration.
10.3.1 : exercice d’intégration des compétences Packet Tracer
Diagramme de topologie
Copyright sur l'intégralité du contenu © 1992–2007 Cisco Systems, Inc. Tous droits réservés. Ce document contient des informations publiques Cisco. Page 1 sur 7
CCNA Exploration
Protocoles et concepts de routage : 10.3.1 : exercice d’intégration des compétences Packet Tracer
protocoles de routage d'état des liaisons
Table d’adressage pour R1
Périphérique Interface Adresse IP
Masque
de sous-réseau
S0/0/0
S0/0/1
S0/1/0
R1
S0/1/1 209.165.201.2 255.255.255.252
Fa0/0
Fa0/1
Fa1/0
Fa1/1
B1-R1
S0/0/0
Fa0/0
Fa0/1
Fa1/0
Fa1/1
B2-R1
S0/0/0
Fa0/0
Fa0/1
Fa1/0
Fa1/1
B3-R1
S0/0/0
S0/0/0 209.165.201.1 255.255.255.252
S0/0/1 209.165.201.5 255.255.255.252ISP-R1
Fa0/0 209.165.200.225 255.255.255.252
Web Server 1 Carte réseau 209.165.200.226 255.255.255.252
Copyright sur l'intégralité du contenu © 1992–2007 Cisco Systems, Inc. Tous droits réservés.
Ce document contient des informations publiques Cisco. Page 2 sur 7
CCNA Exploration
Protocoles et concepts de routage : 10.3.1 : Exercice d’intégration des compétences Packet Tracer
protocoles de routage d'état des liaisons
Table d’adressage pour R2
Périphérique Interface Adresse IP Masque de sous-réseau
S0/0/0
S0/0/1
S0/1/0
R2
S0/1/1 209.165.201.10 255.255.255.252
Fa0/0
Fa0/1
Fa1/0
Fa1/1
B1-R2
S0/0/0
Fa0/0
Fa0/1
Fa1/0
Fa1/1
B2-R2
S0/0/0
Fa0/0
Fa0/1
Fa1/0
Fa1/1
B3-R2
S0/0/0
S0/0/0 209.165.201.6 255.255.255.252
S0/0/1 209.165.201.9 255.255.255.252ISP-R2
Fa0/0 209.165.200.229 255.255.255.252
Web Server 2 Carte réseau 209.165.200.230 255.255.255.252
Objectifs
• Concevoir et documenter un schéma d’adressage en fonction de conditions requises
• Appliquer une configuration de base aux périphériques
• Configurer le routage statique entre les routeurs ISP
• Configurer le routage EIGRP dans Region 1 et le routage RIPv2 dans Region 2
• Désactiver les mises à jour de routage sur les interfaces appropriées
• Configurer et redistribuer les routes par défaut
• Vérifier la connectivité entre tous les périphériques de la topologie
Copyright sur l'intégralité du contenu © 1992–2007 Cisco Systems, Inc. Tous droits réservés.
Ce document contient des informations publiques Cisco. Page 3 sur 7
CCNA Exploration
Protocoles et concepts de routage : 10.3.1 : Exercice d’intégration des compétences Packet Tracer
protocoles de routage d'état des liaisons
Tâche 1 : conception et documentation d’un schéma d’adressage
Étape 1 : conception d’un schéma d’adressage
À l’aide de la topologie et des spécifications suivantes, concevez un schéma d'adressage :
• Les liaisons WAN entre R1 et R2 et leurs routeurs ISP respectifs sont déjà configurées. En outre,
les liaisons entre les FAI et les serveurs Web sont déjà configurées.
• L’espace d’adressage de Region 1 est 10.1.0.0/16. Chaque routeur de branche (B1-R1, B2-R1
et B3-R1) doit se voir affecter un espace d’adressage en fonction des spécifications suivantes.
Affectez un espace d'adressage à chaque routeur en commençant par le besoin le plus important :
B1-R1 a besoin d’un espace pour 8 000 hôtes _______________________
B2-R1 a besoin d’un espace d’adressage pour 4 000 hôtes _____________
B3-R1 a besoin d’un espace d’adressage pour 2 000 hôtes _____________
• Divisez l’espace d’adressage de chaque routeur de branche en quatre sous-réseaux égaux.
Indiquez les sous-réseaux dans le tableau ci-dessous.
Routeur
Numéro du
sous-réseau
Adresse
de sous-réseau
B1-R1 Fa0/0 0
B1-R1 Fa0/1 1
B1-R1 Fa1/0 2
B1-R1 Fa1/1 3
Routeur
Numéro du
sous-réseau
Adresse de sous-
réseau
B2-R1 Fa0/0 0
B2-R1 Fa0/1 1
B2-R1 Fa1/0 2
B2-R1 Fa1/1 3
Routeur
Numéro du
sous-réseau
Adresse
de sous-réseau
B3-R1 Fa0/0 0
B3-R1 Fa0/1 1
B3-R1 Fa1/0 2
B3-R1 Fa1/1 3
• Pour les réseaux étendus de Region 1, subdivisez l’espace d’adressage 10.1.64.0/28.
Indiquez les sous-réseaux dans le tableau ci-dessous.
Copyright sur l'intégralité du contenu © 1992–2007 Cisco Systems, Inc. Tous droits réservés.
Ce document contient des informations publiques Cisco. Page 4 sur 7
CCNA Exploration
Protocoles et concepts de routage : 10.3.1 : Exercice d’intégration des compétences Packet Tracer
protocoles de routage d'état des liaisons
Routeur
Numéro du
sous-réseau
Adresse
de sous-réseau
B1-R1 <--> R1B1-R1 <--> R1 0
B2-R1 <--> R1B2-R1 <--> R1 1
B3-R1 <--> R1B3-R1 <--> R1 2
• L’espace d’adressage de Region 2 est 172.20.0.0/16. Chaque routeur de branche (B1-R2, B2-R2
et B3-R2) doit se voir affecter un espace d’adressage en fonction des spécifications suivantes.
Affectez un espace d'adressage à chaque routeur en commençant par le besoin le plus
important :
B1-R2 a besoin d’un espace pour 500 hôtes ____________________
B2-R2 a besoin d’un espace pour 200 hôtes ____________________
B3-R2 a besoin d’un espace pour 100 hôtes ____________________
• Divisez l’espace d’adressage de chaque routeur de branche en quatre sous-réseaux égaux.
Indiquez les sous-réseaux dans le tableau ci-dessous.
Routeur
Numéro du
sous-réseau
Adresse
de sous-réseau
B1-R2 Fa0/0 0
B1-R2 Fa0/1 1
B1-R2 Fa1/0 2
B1-R2 Fa1/1 3
Routeur
Numéro du
sous-réseau
Adresse
de sous-réseau
B2-R2 Fa0/0 0
B2-R2 Fa0/1 1
B2-R2 Fa1/0 2
B2-R2 Fa1/1 3
Routeur
Numéro du
sous-réseau
Adresse
de sous-réseau
B3-R2 Fa0/0 0
B3-R2 Fa0/1 1
B3-R2 Fa1/0 2
B3-R2 Fa1/1 3
• Pour les réseaux étendus de Region 2, subdivisez l’espace d’adressage 172.20.255.240/28.
Indiquez les sous-réseaux dans le tableau ci-dessous.
Copyright sur l'intégralité du contenu © 1992–2007 Cisco Systems, Inc. Tous droits réservés.
Ce document contient des informations publiques Cisco. Page 5 sur 7
CCNA Exploration
Protocoles et concepts de routage : 10.3.1 : Exercice d’intégration des compétences Packet Tracer
protocoles de routage d'état des liaisons
Routeur
Numéro du
sous-réseau
Adresse
de sous-réseau
B1-R2 <--> R2B1-R2 <--> R2 0
B2-R2 <--> R2B2-R2 <--> R2 1
B3-R2 <--> R2B3-R2 <--> R2 2
Étape 2 : documentation du schéma d’adressage
• Facultatif : étiquetez chaque sous-réseau dans la topologie. Pour gagner de l’espace, utilisez
uniquement les deux derniers octets, car eux seuls changent.
• Documentez les adresses IP et les masques de sous-réseau à l’aide du tableau fourni dans les
instructions papier. Affectez la première adresse IP à l’interface du routeur.
• Pour les liaisons WAN, affectez la première adresse IP à R1 et R2 pour les liaisons aux routeurs
B1, B2 et B3 respectifs de chaque routeur.
Tâche 3 : application d’une configuration de base
À l’aide de votre documentation, procédez à la configuration de base des routeurs, y compris l’adressage.
Utilisez cisco comme mot de passe de ligne et class comme mot de passe secret. Utilisez la fréquence
d’horloge 64 000.
Tâche 4 : configuration du routage statique entre les routeurs ISP
Chaque routeur ISP a déjà deux routes statiques vers les réseaux étendus directement connectés de
l'autre routeur ISP. Implémentez un routage statique sur chaque routeur ISP pour vérifier la connectivité
entre les deux régions.
Tâche 5 : configuration du routage EIGRP dans Region 1 et du routage RIPv2 dans Region 2
Étape 1 : configuration du routage EIGRP dans Region 1
Configurez tous les routeurs de Region 1 (R1, B1-R1, B2-R1 et B3-R1) avec le protocole EIGRP comme
protocole de routage dynamique.
• Utilisez 1 comme ID de processus pour le protocole EIGRP.
• Désactivez la fonction de récapitulatif automatique.
• Effectuez un récapitulatif manuel des routes annoncées par les routeurs de branche sur R1
afin qu'une seule route soit envoyée (Remarque : la version actuelle de Packet Tracer permet
la configuration de la commande de récapitulatif. Cependant, les tables de routage s’affichent
toujours comme si la fonction de récapitulatif n’avait pas été configurée. Il s’agit d’un bogue
connu qui sera corrigé dans une version ultérieure).
• Configurez les intervalles Hello des routeurs de branche sur 30 secondes.
Étape 2 : configuration du routage RIPv2 dans Region 2
Configurez tous les routeurs de Region 2 (R2, B1-R2, B2-R2 et B3-R2) avec le protocole RIPv2 comme
protocole de routage dynamique. Désactivez la fonction de récapitulatif automatique.
Tâche 6 : désactivation des mises à jour de routage sur les interfaces appropriées
Toutes les interfaces de routeur ne doivent pas envoyer des mises à jour de routage. Désactivez les
mises à jour de routage sur les interfaces appropriées.
Copyright sur l'intégralité du contenu © 1992–2007 Cisco Systems, Inc. Tous droits réservés.
Ce document contient des informations publiques Cisco. Page 6 sur 7
CCNA Exploration
Protocoles et concepts de routage : 10.3.1 : Exercice d’intégration des compétences Packet Tracer
protocoles de routage d'état des liaisons
Copyright sur l'intégralité du contenu © 1992–2007 Cisco Systems, Inc. Tous droits réservés.
Ce document contient des informations publiques Cisco. Page 7 sur 7
Tâche 7 : configuration et redistribution des routes par défaut
• Packet Tracer ne prend pas encore en charge la redistribution des routes statiques par défaut
avec le protocole EIGRP. Vous devez dès lors configurer une route par défaut pour chacun des
routeurs de Region 1. Utilisez l’argument d’interface de sortie.
• Configurez une route par défaut pour le routeur de Region 2 approprié. Configurez ensuite ce
routeur pour qu'il redistribue la route par défaut vers tous les autres routeurs de la région.
Tâche 8 : vérification de la connectivité entre tous les périphériques de la topologie
Étape 1 : test de la connectivité
• La connectivité de bout en bout doit maintenant être établie. Utilisez une requête ping pour tester
la connectivité sur le réseau. Chaque routeur doit pouvoir envoyer une requête ping à toutes les
autres interfaces de routeur et aux deux serveurs Web.
• Corrigez les éventuels problèmes jusqu’à ce que les requêtes ping fonctionnent.
Étape 2 : examen de la configuration.
Utilisez les commandes de vérification pour vérifier que vos configurations sont complètes.
Travaux pratiques 11.6.1 : configuration OSPF de base
Objectifs pédagogiques
À l’issue de ces travaux pratiques, vous serez en mesure d’effectuer les tâches suivantes :
• Installer un réseau conformément au diagramme de topologie
• Supprimer la configuration de démarrage et recharger un routeur pour revenir aux
paramètres par défaut
• Exécuter des tâches de configuration de base sur un routeur
• Configurer et activer des interfaces
• Configurer le routage OSPF sur tous les routeurs
• Configurer les identifiants des routeurs OSPF
• Vérifier le routage OSPF à l’aide des commandes show
• Configurer une route statique par défaut
• Transmettre les informations de route par défaut aux voisins OSPF
• Configurer les compteurs Hello et d’arrêt OSPF
• Configurer le protocole OSPF sur un réseau à accès multiple
• Configurer la priorité OSPF
• Comprendre le processus de sélection OSPF
• Décrire la configuration OSPF
Scénarios
Ces travaux pratiques comprennent deux scénarios distincts. Dans le premier, vous apprendrez
à configurer le protocole de routage OSPF à l’aide du réseau indiqué dans le diagramme de
topologie du scénario A. Les segments du réseau ont été subdivisés à l’aide de la technique
VLSM. Le protocole OSPF est un protocole de routage sans classe qui permet de fournir des
informations sur les masques de sous-réseau dans les mises à jour de routage. Les informations
de sous-réseau VLSM peuvent ainsi être diffusées dans l’ensemble du réseau.
Dans le deuxième scénario, vous apprendrez à configurer le protocole OSPF sur un réseau
à accès multiple. Vous apprendrez aussi à utiliser le processus de sélection OSPF pour
déterminer les états du routeur désigné (DR), du routeur désigné de sauvegarde (BDR)
et du routeur DRother.
Copyright sur l’intégralité du contenu © 1992 – 2007 Cisco Systems, Inc. Tous droits réservés.
Ce document contient des informations publiques Cisco. Page 1 sur 24
CCNA Exploration
Protocoles et concepts de routage : Protocole OSPF Travaux pratiques 11.6.1 : configuration OSPF de base
Scénario A : configuration OSPF de base
Diagramme de topologie
Table d’adressage
Périphérique Interface Adresse IP
Masque de
sous-réseau
Passerelle
par défaut
Fa0/0 172.16.1.17 255.255.255.240 N/D
S0/0/0 192.168.10.1 255.255.255.252 N/DR1
S0/0/1 192.168.10.5 255.255.255.252 N/D
Fa0/0 10.10.10.1 255.255.255.0 N/D
S0/0/0 192.168.10.2 255.255.255.252 N/DR2
S0/0/1 192.168.10.9 255.255.255.252 N/D
Fa0/0 172.16.1.33 255.255.255.248 N/D
S0/0/0 192.168.10.6 255.255.255.252 N/DR3
S0/0/1 192.168.10.10 255.255.255.252 N/D
PC1 Carte réseau 172.16.1.20 255.255.255.240 172.16.1.17
PC2 Carte réseau 10.10.10.10 255.255.255.0 10.10.10.1
PC3 Carte réseau 172.16.1.35 255.255.255.248 172.16.1.33
Tâche 1 : préparation du réseau
Étape 1 : installation d’un réseau similaire à celui du diagramme de topologie
Pour ces travaux pratiques, vous pouvez utiliser le routeur existant de votre choix pour autant
qu’il soit équipé des interfaces indiquées dans la topologie.
Copyright sur l’intégralité du contenu © 1992 – 2007 Cisco Systems, Inc. Tous droits réservés.
Ce document contient des informations publiques Cisco. Page 2 sur 24
CCNA Exploration
Protocoles et concepts de routage : Protocole OSPF Travaux pratiques 11.6.1 : configuration OSPF de base
Remarque : si vous utilisez les routeurs 1700, 2500 ou 2600, les résultats des routeurs et les
descriptions d’interface seront différents.
Étape 2 : suppression de toute configuration existante sur les routeurs
Tâche 2 : exécution de configurations de base sur les routeurs
Exécutez la configuration de base des routeurs R1, R2 et R3 en procédant comme suit :
1. Configurez le nom d’hôte du routeur.
2. Désactivez la recherche DNS.
3. Configurez un mot de passe de mode d’exécution privilégié.
4. Configurez une bannière de message du jour.
5. Configurez un mot de passe pour les connexions console.
6. Configurez un mot de passe pour les connexions VTY.
Tâche 3 : configuration et activation des adresses série et Ethernet
Étape 1 : configuration des interfaces sur R1, R2 et R3
Configurez les interfaces sur les routeurs R1, R2 et R3 à l’aide des adresses IP du tableau sous
le diagramme de topologie.
Étape 2 : vérification de l’adressage IP et des interfaces
Utilisez la commande show ip interface brief pour vérifier que l’adressage IP est correct
et que les interfaces sont actives.
Lorsque vous avez terminé, veillez à enregistrer la configuration en cours dans la mémoire vive
non volatile du routeur.
Étape 3 : configuration des interfaces Ethernet de PC1, PC2 et PC3
Configurez les interfaces Ethernet de PC1, PC2 et PC3 à l’aide des adresses IP et des
passerelles par défaut indiquées dans le tableau sous le diagramme de topologie.
Étape 4 : test de la configuration de l’ordinateur par l’exécution d’une requête ping sur
la passerelle par défaut depuis l’ordinateur
Tâche 4 : configuration du protocole OSPF sur le routeur R1
Étape 1 : utilisation de la commande router ospf en mode de configuration globale pour
activer le protocole OSPF sur le routeur R1. Entrez 1 comme ID de processus pour le
paramètre process-ID.
R1(config)#router ospf 1
R1(config-router)#
Étape 2 : configuration de l’instruction network pour le réseau local
Une fois dans le sous-mode de configuration Router OSPF, configurez le réseau local
172.16.1.16/28 afin de l’inclure dans les mises à jour OSPF envoyées depuis R1.
Copyright sur l’intégralité du contenu © 1992 – 2007 Cisco Systems, Inc. Tous droits réservés.
Ce document contient des informations publiques Cisco. Page 3 sur 24
CCNA Exploration
Protocoles et concepts de routage : Protocole OSPF Travaux pratiques 11.6.1 : configuration OSPF de base
La commande OSPF network utilise une combinaison adresse réseau et masque
générique similaire à celle qu’utilise parfois le protocole EIGRP. Contrairement au
protocole EIGRP, le protocole OSPF nécessite obligatoirement le masque générique.
Utilisez 0 comme ID de zone pour le paramètre OSPF area-id. L’ID de zone OSPF aura
la valeur 0 dans toutes les instructions network de cette topologie.
R1(config-router)#network 172.16.1.16 0.0.0.15 area 0
R1(config-router)#
Étape 3 : configuration du routeur pour annoncer le réseau 192.168.10.0/30 connecté
à l’interface Serial0/0/0
R1(config-router)#network 192.168.10.0 0.0.0.3 area 0
R1(config-router)#
Étape 4 : configuration du routeur pour annoncer le réseau 192.168.10.4/30 connecté
à l’interface Serial0/0/1
R1(config-router)#network 192.168.10.4 0.0.0.3 area 0
R1(config-router)#
Étape 5 : lorsque vous avez terminé la configuration OSPF pour R1, repassez en mode
d’exécution privilégié
R1(config-router)#end
%SYS-5-CONFIG_I: Configured from console by console
R1#
Tâche 5 : configuration du protocole OSPF sur les routeurs R2 et R3
Étape 1 : activation du routage OSPF sur le routeur R2 à l’aide de la commande router ospf
Utilisez l’ID de processus 1.
R2(config)#router ospf 1
R2(config-router)#
Étape 2 : configuration du routeur pour annoncer le réseau local 10.10.10.0/24 dans les
mises à jour OSPF
R2(config-router)#network 10.10.10.0 0.0.0.255 area 0
R2(config-router)#
Étape 3 : configuration du routeur pour annoncer le réseau 192.168.10.0/30 connecté
à l’interface Serial0/0/0
R2(config-router)#network 192.168.10.0 0.0.0.3 area 0
R2(config-router)#
00:07:27: %OSPF-5-ADJCHG: Process 1, Nbr 192.168.10.5 on Serial0/0/0
from EXCHANGE to FULL, Exchange Done
Notez que lors de l’ajout du réseau de la liaison série entre R1 et R2 à la configuration OSPF,
le routeur envoie un message de notification à la console indiquant qu’une relation de voisinage
avec un autre routeur OSPF a été établie.
Copyright sur l’intégralité du contenu © 1992 – 2007 Cisco Systems, Inc. Tous droits réservés.
Ce document contient des informations publiques Cisco. Page 4 sur 24
CCNA Exploration
Protocoles et concepts de routage : Protocole OSPF Travaux pratiques 11.6.1 : configuration OSPF de base
Étape 4 : configuration du routeur pour annoncer le réseau 192.168.10.8/30 connecté
à l’interface Serial0/0/1
Une fois la configuration terminée, repassez en mode d’exécution privilégié.
R2(config-router)#network 192.168.10.0 0.0.0.3 area 0
R2(config-router)#end
%SYS-5-CONFIG_I: Configured from console by console
R2#
Étape 5 : configuration du protocole OSPF sur le routeur R3 à l’aide des commandes
router ospf et network
Utilisez l’ID de processus 1. Configurez le routeur pour annoncer les trois réseaux connectés
directement. Une fois la configuration terminée, repassez en mode d’exécution privilégié.
R3(config)#router ospf 1
R3(config-router)#network 172.16.1.32 0.0.0.7 area 0
R3(config-router)#network 192.168.10.4 0.0.0.3 area 0
R3(config-router)#
00:17:46: %OSPF-5-ADJCHG: Process 1, Nbr 192.168.10.5 on Serial0/0/0
from LOADING to FULL, Loading Done
R3(config-router)#network 192.168.10.0 0.0.0.3 area 0
R3(config-router)#
00:18:01: %OSPF-5-ADJCHG: Process 1, Nbr 192.168.10.9 on Serial0/0/1
from EXCHANGE to FULL, Exchange Done
R3(config-router)#end
%SYS-5-CONFIG_I: Configured from console by console
R3#
Notez que lors de l’ajout des réseaux des liaisons séries entre R3 et R1 et entre R3 et R2 à la
configuration OSPF, le routeur envoie un message de notification à la console indiquant qu’une
relation de voisinage avec un autre routeur OSPF a été établie.
Tâche 6 : configuration des ID des routeurs OSPF
L’ID de routeur OSPF permet d’identifier le routeur de façon unique dans le domaine de
routage OSPF. L’ID de routeur est en fait une adresse IP. Les routeurs Cisco créent l’ID
de routeur de l’une des trois méthodes suivantes et dans l’ordre de priorité ci-dessous :
1. Adresse IP configurée avec la commande OSPF router-id.
2. Adresse IP la plus haute des adresses de bouclage du routeur.
3. Adresse IP active la plus haute des interfaces physiques du routeur.
Étape 1 : examen des ID de routeur actuels dans la topologie
Étant donné qu’aucun ID de routeur et qu’aucune interface de bouclage n’a été configuré sur
les trois routeurs, l’ID de chaque routeur est déterminé par l’adresse IP la plus élevée de toute
interface active.
Quel est l’ID de routeur de R1 ? ____________________
Quel est l’ID de routeur de R2 ? ____________________
Quel est l’ID de routeur de R3 ? ____________________
Copyright sur l’intégralité du contenu © 1992 – 2007 Cisco Systems, Inc. Tous droits réservés.
Ce document contient des informations publiques Cisco. Page 5 sur 24
CCNA Exploration
Protocoles et concepts de routage : Protocole OSPF Travaux pratiques 11.6.1 : configuration OSPF de base
L’ID de routeur s’affiche également dans le résultat des commandes show ip protocols,
show ip ospf et show ip ospf interfaces.
R3#show ip protocols
Routing Protocol is "ospf 1"
Outgoing update filter list for all interfaces is not set
Incoming update filter list for all interfaces is not set
Router ID 192.168.10.10
Number of areas in this router is 1. 1 normal 0 stub 0 nssa
Maximum path: 4
<output omitted>
R3#show ip ospf
Routing Process "ospf 1" with ID 192.168.10.10
Supports only single TOS(TOS0) routes
Supports opaque LSA
SPF schedule delay 5 secs, Hold time between two SPFs 10 secs
<output omitted>
R3#show ip ospf interface
FastEthernet0/0 is up, line protocol is up
Internet address is 172.16.1.33/29, Area 0
Process ID 1, Router ID 192.168.10.10, Network Type BROADCAST, Cost:
1
Transmit Delay is 1 sec, State DR, Priority 1
Designated Router (ID) 192.168.10.10, Interface address 172.16.1.33
No backup designated router on this network
Timer intervals configured, Hello 10, Dead 40, Wait 40, Retransmit 5
Hello due in 00:00:00
Index 1/1, flood queue length 0
Next 0x0(0)/0x0(0)
Last flood scan length is 1, maximum is 1
Last flood scan time is 0 msec, maximum is 0 msec
Neighbor Count is 0, Adjacent neighbor count is 0
Suppress hello for 0 neighbor(s)
<output omitted>
R3#
Étape 2 : utilisation des adresses de bouclage pour modifier les ID des routeurs
de la topologie
R1(config)#interface loopback 0
R1(config-if)#ip address 10.1.1.1 255.255.255.255
R2(config)#interface loopback 0
R2(config-if)#ip address 10.2.2.2 255.255.255.255
R3(config)#interface loopback 0
R3(config-if)#ip address 10.3.3.3 255.255.255.255
Copyright sur l’intégralité du contenu © 1992 – 2007 Cisco Systems, Inc. Tous droits réservés.
Ce document contient des informations publiques Cisco. Page 6 sur 24
CCNA Exploration
Protocoles et concepts de routage : Protocole OSPF Travaux pratiques 11.6.1 : configuration OSPF de base
Étape 3 : rechargement des routeurs pour forcer l’utilisation des nouveaux ID de routeur
Lorsqu’un nouvel ID de routeur est configuré, il n’est utilisé qu’au redémarrage du processus
OSPF. Veillez à enregistrer la configuration actuelle dans la mémoire non volatile, puis utilisez
la commande reload pour redémarrer chaque routeur.
Une fois le routeur rechargé, quel est l’ID de routeur de R1 ? ____________________
Une fois le routeur rechargé, quel est l’ID de routeur de R2 ? ____________________
Une fois le routeur rechargé, quel est l’ID de routeur de R3 ? ____________________
Étape 4 : utilisation de la commande show ip ospf neighbors pour vérifier que les ID
de routeur ont été modifiés
R1#show ip ospf neighbor
Neighbor ID Pri State Dead Time Address
Interface
10.3.3.3 0 FULL/- 00:00:30 192.168.10.6
Serial0/0/1
10.2.2.2 0 FULL/- 00:00:33 192.168.10.2
Serial0/0/0
R2#show ip ospf neighbor
Neighbor ID Pri State Dead Time Address
Interface
10.3.3.3 0 FULL/ - 00:00:36 192.168.10.10
Serial0/0/1
10.1.1.1 0 FULL/ - 00:00:37 192.168.10.1
Serial0/0/0
R3#show ip ospf neighbor
Neighbor ID Pri State Dead Time Address
Interface
10.2.2.2 0 FULL/ - 00:00:34 192.168.10.9
Serial0/0/1
10.1.1.1 0 FULL/ - 00:00:38 192.168.10.5
Serial0/0/0
Étape 5 : utilisation de la commande router-id pour changer l’ID de routeur sur le routeur R1
Remarque : certaines versions d’IOS ne prennent pas en charge la commande router-id.
Si cette commande n’est pas disponible, passez à la tâche 7.
R1(config)#router ospf 1
R1(config-router)#router-id 10.4.4.4
Reload or use “clear ip ospf process” command, for this to take effect
Copyright sur l’intégralité du contenu © 1992 – 2007 Cisco Systems, Inc. Tous droits réservés.
Ce document contient des informations publiques Cisco. Page 7 sur 24
CCNA Exploration
Protocoles et concepts de routage : Protocole OSPF Travaux pratiques 11.6.1 : configuration OSPF de base
Si cette commande est utilisée dans un processus de routeur OSPF déjà actif (qui a des voisins),
le nouvel ID de routeur est utilisé au prochain rechargement ou lors d’un redémarrage manuel
du processus OSPF. Pour redémarrer manuellement le processus OSPF, utilisez la commande
clear ip ospf process.
R1#(config-router)#end
R1# clear ip ospf process
Reset ALL OSPF processes? [no]:yes
R1#
Étape 6 : utilisation de la commande show ip ospf neighbor sur le routeur R2 pour vérifier
que l’ID de routeur de R1 a bien été modifié
R2#show ip ospf neighbor
Neighbor ID Pri State Dead Time Address
Interface
10.3.3.3 0 FULL/ - 00:00:36 192.168.10.10
Serial0/0/1
10.4.4.4 0 FULL/ - 00:00:37 192.168.10.1
Serial0/0/0
Étape 7 : suppression de l’ID de routeur configuré avec la forme no de la commande
router-id
R1(config)#router ospf 1
R1(config-router)#router-id 10.4.4.4
Reload or use “clear ip ospf process” command, for this to take effect
Étape 8 : redémarrage du processus OSPF à l’aide de la commande clear ip ospf process
Le redémarrage du processus OSPF force le routeur à utiliser l’adresse IP configurée sur
l’interface de bouclage 0 comme ID de routeur.
R1(config-router)#end
R1# clear ip ospf process
Reset ALL OSPF processes? [no]:yes
R1#
Tâche 7 : vérification du fonctionnement du routeur OSPF
Étape 1 : sur le routeur R1, utilisation de la commande show ip ospf neighbor pour
afficher les informations sur les routeurs R2 et R3 OSPF voisins. L’ID et l’adresse IP du
routeur voisin de chaque routeur adjacent doivent s’afficher ainsi que l’interface qu’utilise le
routeur R1 pour accéder à ce voisin OSPF.
R1#show ip ospf neighbor
Neighbor ID Pri State Dead Time Address
Interface
10.2.2.2 0 FULL/- 00:00:32 192.168.10.2
Serial0/0/0
Copyright sur l’intégralité du contenu © 1992 – 2007 Cisco Systems, Inc. Tous droits réservés.
Ce document contient des informations publiques Cisco. Page 8 sur 24
CCNA Exploration
Protocoles et concepts de routage : Protocole OSPF Travaux pratiques 11.6.1 : configuration OSPF de base
10.3.3.3 0 FULL/- 00:00:32 192.168.10.6
Serial0/0/1
R1#
Étape 2 : utilisation, sur le routeur R1, de la commande show ip protocols pour afficher
les informations relatives au fonctionnement du protocole de routage
Notez que les informations configurées dans les tâches précédentes, telles que le protocole, l’ID de
processus, l’ID de routeur voisin et les réseaux, apparaissent dans les résultats. Les adresses IP
des voisins adjacents apparaissent également.
R1#show ip protocols
Routing Protocol is "ospf 1"
Outgoing update filter list for all interfaces is not set
Incoming update filter list for all interfaces is not set
Router ID 10.1.1.1
Number of areas in this router is 1. 1 normal 0 stub 0 nssa
Maximum path: 4
Routing for Networks:
172.16.1.16 0.0.0.15 area 0
192.168.10.0 0.0.0.3 area 0
192.168.10.4 0.0.0.3 area 0
Routing Information Sources:
Gateway Distance Last Update
10.2.2.2 110 00:11:43
10.3.3.3 110 00:11:43
Distance: (default is 110)
R1#
Notez que le résultat indique l’ID de processus utilisé par le protocole OSPF. N’oubliez pas que
l’ID de processus doit être le même sur tous les routeurs pour que le protocole OSPF puisse
établir des contiguïtés entre voisins et partager les informations de routage.
Tâche 8 : examen des routes OSPF dans les tables de routage
Affichez la table de routage du routeur R1. Les routes OSPF sont signalées par un « O » dans
la table de routage.
R1#show ip route
Codes: C - connected, S - static, I - IGRP, R - RIP, M - mobile, B -
BGP
D - EIGRP, EX - EIGRP external, O - OSPF, IA - OSPF inter area
N1 - OSPF NSSA external type 1, N2 - OSPF NSSA external type 2
E1 - OSPF external type 1, E2 - OSPF external type 2, E - EGP
i - IS-IS, L1 - IS-IS level-1, L2 - IS-IS level-2, ia - IS-IS
inter area
* - candidate default, U - per-user static route, o - ODR
P - periodic downloaded static route
Gateway of last resort is not set
10.0.0.0/8 is variably subnetted, 2 subnets, 2 masks
C 10.1.1.1/32 is directly connected, Loopback0
Copyright sur l’intégralité du contenu © 1992 – 2007 Cisco Systems, Inc. Tous droits réservés.
Ce document contient des informations publiques Cisco. Page 9 sur 24
CCNA Exploration
Protocoles et concepts de routage : Protocole OSPF Travaux pratiques 11.6.1 : configuration OSPF de base
O 10.10.10.0/24 [110/65] via 192.168.10.2, 00:01:02, Serial0/0/0
172.16.0.0/16 is variably subnetted, 2 subnets, 2 masks
C 172.16.1.16/28 is directly connected, FastEthernet0/0
O 172.16.1.32/29 [110/65] via 192.168.10.6, 00:01:12, Serial0/0/1
192.168.10.0/30 is subnetted, 3 subnets
C 192.168.10.0 is directly connected, Serial0/0/0
C 192.168.10.4 is directly connected, Serial0/0/1
O 192.168.10.8 [110/128] via 192.168.10.6, 00:01:12, Serial0/0/1
[110/128] via 192.168.10.2, 00:01:02, Serial0/0/0
R1#
Notez que, contrairement aux protocoles RIPv2 et EIGRP, OSPF ne récapitule pas
automatiquement les principales limites du réseau.
Tâche 9 : configuration du coût OSPF
Étape 1 : utilisation de la commande show ip route sur le routeur R1 pour afficher
le coût OSPF pour atteindre le réseau 10.10.10.0/24
R1#show ip route
<output omitted>
10.0.0.0/8 is variably subnetted, 2 subnets, 2 masks
C 10.1.1.1/32 is directly connected, Loopback0
O 10.10.10.0/24 [110/65] via 192.168.10.2, 00:16:56, Serial0/0/0
172.16.0.0/16 is variably subnetted, 2 subnets, 2 masks
C 172.16.1.16/28 is directly connected, FastEthernet0/0
O 172.16.1.32/29 [110/65] via 192.168.10.6, 00:17:06, Serial0/0/1
192.168.10.0/30 is subnetted, 3 subnets
C 192.168.10.0 is directly connected, Serial0/0/0
C 192.168.10.4 is directly connected, Serial0/0/1
O 192.168.10.8 [110/128] via 192.168.10.6, 00:17:06, Serial0/0/1
[110/128] via 192.168.10.2, 00:16:56, Serial0/0/0
R1#
Étape 2 : utilisation de la commande show interfaces serial0/0/0 sur le routeur R1
pour afficher la bande passante de l’interface Serial0/0/0
R1#show interfaces serial0/0/0
Serial0/0/0 is up, line protocol is up (connected)
Hardware is HD64570
Internet address is 192.168.10.1/30
MTU 1500 bytes, BW 1544 Kbit, DLY 20000 usec, rely 255/255, load
1/255
Encapsulation HDLC, loopback not set, keepalive set (10 sec)
Last input never, output never, output hang never
Last clearing of "show interface" counters never
Input queue: 0/75/0 (size/max/drops); Total output drops: 0
<output omitted>
Copyright sur l’intégralité du contenu © 1992 – 2007 Cisco Systems, Inc. Tous droits réservés.
Ce document contient des informations publiques Cisco. Page 10 sur 24
CCNA Exploration
Protocoles et concepts de routage : Protocole OSPF Travaux pratiques 11.6.1 : configuration OSPF de base
Sur la plupart des liaisons en série, la mesure de bande passante par défaut est de 1 544 Kbits.
Si cette valeur ne correspond pas à la bande passante de la liaison en série, celle-ci doit être
modifiée afin de permettre le calcul correct du coût OSPF.
Étape 3 : utilisation de la commande bandwidth pour modifier la bande passante
des interfaces série des routeurs R1 et R2 sur la valeur réelle, soit 64 Kbits/s
Routeur R1 :
R1(config)#interface serial0/0/0
R1(config-if)#bandwidth 64
R1(config-if)#interface serial0/0/1
R1(config-if)#bandwidth 64
Routeur R2 :
R2(config)#interface serial0/0/0
R2(config-if)#bandwidth 64
R2(config)#interface serial0/0/1
R2(config-if)#bandwidth 64
Étape 4 : utilisation de la commande show ip ospf interface sur le routeur R1 pour
vérifier le coût des liaisons séries
Le coût de chaque liaison série est maintenant de 1 562, résultat de calcul : 108/64 000 bits/s.
R1#show ip ospf interface
<output omitted>
Serial0/0/0 is up, line protocol is up
Internet address is 192.168.10.1/30, Area 0
Process ID 1, Router ID 10.1.1.1, Network Type POINT-TO-POINT, Cost:
1562
Transmit Delay is 1 sec, State POINT-TO-POINT,
Timer intervals configured, Hello 10, Dead 40, Wait 40, Retransmit 5
Hello due in 00:00:05
Index 2/2, flood queue length 0
Next 0x0(0)/0x0(0)
Last flood scan length is 1, maximum is 1
Last flood scan time is 0 msec, maximum is 0 msec
Neighbor Count is 1, Adjacent neighbor count is 1
Adjacent with neighbor 10.2.2.2
Suppress hello for 0 neighbor(s)
Serial0/0/1 is up, line protocol is up
Internet address is 192.168.10.5/30, Area 0
Process ID 1, Router ID 10.1.1.1, Network Type POINT-TO-POINT, Cost:
1562
Transmit Delay is 1 sec, State POINT-TO-POINT,
<output omitted>
Copyright sur l’intégralité du contenu © 1992 – 2007 Cisco Systems, Inc. Tous droits réservés.
Ce document contient des informations publiques Cisco. Page 11 sur 24
CCNA Exploration
Protocoles et concepts de routage : Protocole OSPF Travaux pratiques 11.6.1 : configuration OSPF de base
Étape 5 : utilisation de la commande ip ospf cost pour configurer le coût OSPF sur
le routeur R3
Outre la commande bandwidth, vous pouvez utiliser la commande ip ospf cost qui permet
de configurer directement le coût. Utilisez la commande ip ospf cost pour définir la bande
passante des interfaces séries du routeur R3 sur 1562.
R3(config)#interface serial0/0/0
R3(config-if)#ip ospf cost 1562
R3(config-if)#interface serial0/0/1
R3(config-if)#ip ospf cost 1562
Étape 6 : utilisation de la commande show ip ospf interface sur le routeur R3 pour
vérifier que le coût de chaque liaison série est désormais de 1562
R3#show ip ospf interface
<output omitted>
Serial0/0/1 is up, line protocol is up
Internet address is 192.168.10.10/30, Area 0
Process ID 1, Router ID 10.3.3.3, Network Type POINT-TO-POINT, Cost:
1562
Transmit Delay is 1 sec, State POINT-TO-POINT,
Timer intervals configured, Hello 10, Dead 40, Wait 40, Retransmit 5
Hello due in 00:00:06
Index 2/2, flood queue length 0
Next 0x0(0)/0x0(0)
Last flood scan length is 1, maximum is 1
Last flood scan time is 0 msec, maximum is 0 msec
Neighbor Count is 1, Adjacent neighbor count is 1
Adjacent with neighbor 10.2.2.2
Suppress hello for 0 neighbor(s)
Serial0/0/0 is up, line protocol is up
Internet address is 192.168.10.6/30, Area 0
Process ID 1, Router ID 10.3.3.3, Network Type POINT-TO-POINT, Cost:
1562
Transmit Delay is 1 sec, State POINT-TO-POINT,
<output omitted>
Tâche 10 : redistribution d’une route OSPF par défaut
Étape 1 : configuration d’une adresse de bouclage sur le routeur R1 pour simuler
une liaison avec un FAI
R1(config)#interface loopback1
%LINK-5-CHANGED: Interface Loopback1, changed state to up
%LINEPROTO-5-UPDOWN: Line protocol on Interface Loopback1, changed
state to up
R1(config-if)#ip address 172.30.1.1 255.255.255.252
Copyright sur l’intégralité du contenu © 1992 – 2007 Cisco Systems, Inc. Tous droits réservés.
Ce document contient des informations publiques Cisco. Page 12 sur 24
CCNA Exploration
Protocoles et concepts de routage : Protocole OSPF Travaux pratiques 11.6.1 : configuration OSPF de base
Étape 2 : configuration d’une route statique par défaut sur le routeur R1
Utilisez l’adresse de bouclage configurée pour simuler une liaison avec un FAI comme interface
de sortie.
R1(config)#ip route 0.0.0.0 0.0.0.0 loopback1
R1(config)#
Étape 3 : utilisation de la commande default-information originate pour inclure
la route statique dans les mises à jour OSPF envoyées depuis le routeur R1
R1(config)#router ospf 1
R1(config-router)#default-information originate
R1(config-router)#
Étape 4 : consultation de la table de routage du routeur R2 pour vérifier que la route
statique par défaut est redistribuée via OSPF
R2#show ip route
<output omitted>
Gateway of last resort is 192.168.10.1 to network 0.0.0.0
10.0.0.0/8 is variably subnetted, 2 subnets, 2 masks
C 10.2.2.2/32 is directly connected, Loopback0
C 10.10.10.0/24 is directly connected, FastEthernet0/0
172.16.0.0/16 is variably subnetted, 2 subnets, 2 masks
O 172.16.1.16/28 [110/1563] via 192.168.10.1, 00:29:28,
Serial0/0/0
O 172.16.1.32/29 [110/1563] via 192.168.10.10, 00:29:28,
Serial0/0/1
192.168.10.0/30 is subnetted, 3 subnets
C 192.168.10.0 is directly connected, Serial0/0/0
O 192.168.10.4 [110/3124] via 192.168.10.10, 00:25:56,
Serial0/0/1
[110/3124] via 192.168.10.1, 00:25:56, Serial0/0/0
C 192.168.10.8 is directly connected, Serial0/0/1
O*E2 0.0.0.0/0 [110/1] via 192.168.10.1, 00:01:11, Serial0/0/0
R2#
Tâche 11 : configuration de fonctions OSPF supplémentaires
Étape 1 : utilisation de la commande auto-cost reference-bandwidth pour définir
la valeur de la bande passante de référence
Augmentez la bande passante de référence à 10 000 pour simuler des vitesses de 10 GigE.
Configurez cette commande sur tous les routeurs dans le domaine de routage OSPF.
R1(config-router)#auto-cost reference-bandwidth 10000
% OSPF: Reference bandwidth is changed.
Assurez-vous que la bande passante de référence est la même sur
tous les routeurs.
Copyright sur l’intégralité du contenu © 1992 – 2007 Cisco Systems, Inc. Tous droits réservés.
Ce document contient des informations publiques Cisco. Page 13 sur 24
CCNA Exploration
Protocoles et concepts de routage : Protocole OSPF Travaux pratiques 11.6.1 : configuration OSPF de base
R2(config-router)#auto-cost reference-bandwidth 10000
% OSPF: Reference bandwidth is changed.
Assurez-vous que la bande passante de référence est la même sur
tous les routeurs.
R3(config-router)#auto-cost reference-bandwidth 10000
% OSPF: Reference bandwidth is changed.
Assurez-vous que la bande passante de référence est la même sur
tous les routeurs.
Étape 2 : consultation de la table de routage du routeur R1 pour vérifier la modification
de la mesure du coût OSPF
Notez que les valeurs de coût sont beaucoup plus élevées pour les routes OSPF.
R1#show ip route
<output omitted>
Gateway of last resort is 0.0.0.0 to network 0.0.0.0
10.0.0.0/8 is variably subnetted, 2 subnets, 2 masks
C 10.1.1.1/32 is directly connected, Loopback0
O 10.10.10.0/24 [110/65635] via 192.168.10.2, 00:01:01,
Serial0/0/0
172.16.0.0/16 is variably subnetted, 2 subnets, 2 masks
C 172.16.1.16/28 is directly connected, FastEthernet0/0
O 172.16.1.32/29 [110/65635] via 192.168.10.6, 00:00:51,
Serial0/0/1
172.30.0.0/30 is subnetted, 1 subnets
C 172.30.1.0 is directly connected, Loopback1
192.168.10.0/30 is subnetted, 3 subnets
C 192.168.10.0 is directly connected, Serial0/0/0
C 192.168.10.4 is directly connected, Serial0/0/1
O 192.168.10.8 [110/67097] via 192.168.10.2, 00:01:01,
Serial0/0/0
S* 0.0.0.0/0 is directly connected, Loopback1
R1#
Étape 3 : utilisation de la commande show ip ospf neighbor sur le routeur R1 pour
afficher le compteur d’arrêt
Le compteur d’arrêt déclenche un compte à rebours à partir de l’intervalle par défaut de
40 secondes.
R1#show ip ospf neighbor
Neighbor ID Pri State Dead Time Address
Interface
10.2.2.2 0 FULL/- 00:00:34 192.168.10.2
Serial0/0/0
10.3.3.3 0 FULL/- 00:00:34 192.168.10.6
Serial0/0/1
Copyright sur l’intégralité du contenu © 1992 – 2007 Cisco Systems, Inc. Tous droits réservés.
Ce document contient des informations publiques Cisco. Page 14 sur 24
CCNA Exploration
Protocoles et concepts de routage : Protocole OSPF Travaux pratiques 11.6.1 : configuration OSPF de base
Étape 4 : configuration des intervalles HELLO et d’arrêt OSPF
Les intervalles Hello et d’arrêt OSPF peuvent être modifiés manuellement à l’aide des
commandes d’interface ip ospf hello-interval et ip ospf dead-interval.
Utilisez ces commandes pour modifier l’intervalle Hello sur 5 secondes et l’intervalle
d’arrêt sur 20 secondes sur l’interface Serial0/0/0 du routeur R1.
R1(config)#interface serial0/0/0
R1(config-if)#ip ospf hello-interval 5
R1(config-if)#ip ospf dead-interval 20
R1(config-if)#
01:09:04: %OSPF-5-ADJCHG: Process 1, Nbr 10.2.2.2 on Serial0/0/0 from
FULL to DOWN, Neighbor Down: Dead timer expired
01:09:04: %OSPF-5-ADJCHG: Process 1, Nbr 10.2.2.2 on Serial0/0/0 from
FULL to Down: Interface down or detached
Au bout de 20 secondes, le compteur d’arrêt expire sur R1. R1 et R2 perdent leur contiguïté car
le compteur d’arrêt et le compteur Hello doivent être configurés à l’identique à chaque extrémité
de la liaison série entre R1 et R2.
Étape 5 : modification des intervalles des compteurs d’arrêt et Hello
Modifiez les intervalles des compteurs d’arrêt et Hello sur l’interface Serial0/0/0 du routeur R2
de manière à ce qu’ils correspondent aux intervalles configurés sur l’interface Serial0/0/0 du
routeur R1.
R2(config)#interface serial0/0/0
R2(config-if)#ip ospf hello-interval 5
R2(config-if)#ip ospf dead-interval 20
R2(config-if)#
01:12:10: %OSPF-5-ADJCHG: Process 1, Nbr 10.1.1.1 on Serial0/0/0 from
EXCHANGE to FULL, Exchange Done
Notez que l’IOS affiche un message d’établissement de la contiguïté avec l’état Full.
Étape 6 : utilisation de la commande show ip ospf interface serial0/0/0 pour
vérifier que les intervalles des compteurs Hello et d’arrêt ont été modifiés
R2#show ip ospf interface serial0/0/0
Serial0/0/0 is up, line protocol is up
Internet address is 192.168.10.2/30, Area 0
Process ID 1, Router ID 10.2.2.2, Network Type POINT-TO-POINT, Cost:
1562
Transmit Delay is 1 sec, State POINT-TO-POINT,
Timer intervals configured, Hello 5, Dead 20, Wait 20, Retransmit 5
Hello due in 00:00:00
Index 3/3, flood queue length 0
Next 0x0(0)/0x0(0)
Last flood scan length is 1, maximum is 1
Last flood scan time is 0 msec, maximum is 0 msec
Neighbor Count is 1, Adjacent neighbor count is 1
Adjacent with neighbor 10.1.1.1
Suppress hello for 0 neighbor(s)
R2#
Copyright sur l’intégralité du contenu © 1992 – 2007 Cisco Systems, Inc. Tous droits réservés.
Ce document contient des informations publiques Cisco. Page 15 sur 24
CCNA Exploration
Protocoles et concepts de routage : Protocole OSPF Travaux pratiques 11.6.1 : configuration OSPF de base
Étape 7 : utilisation de la commande show ip ospf neighbor sur le routeur R1 pour
vérifier que la contiguïté de voisins avec R2 a été rétablie
Notez que le temps d’arrêt pour l’interface Serial0/0/0 est sensiblement inférieur étant donné qu’il
déclenche le compte à rebours à partir de 20 secondes au lieu des 40 secondes par défaut.
L’interface Serial0/0/1 a conservé ses compteurs par défaut.
R1#show ip ospf neighbor
Neighbor ID Pri State Dead Time Address
Interface
10.2.2.2 0 FULL/- 00:00:19 192.168.10.2
Serial0/0/0
10.3.3.3 0 FULL/- 00:00:34 192.168.10.6
Serial0/0/1
R1#
Tâche 12 : description des configurations des routeurs
Sur chaque routeur, consignez les informations de commande suivantes dans un fichier texte
pour référence ultérieure :
• Configuration en cours
• Table de routage
• Récapitulatif de l’interface
• Résultat de la commande show ip protocols
Tâche 11 : remise en état
Supprimez les configurations et rechargez les routeurs. Débranchez et rangez les câbles.
Pour les hôtes PC habituellement connectés à d’autres réseaux (comme le réseau local
de l’établissement scolaire ou Internet), rebranchez les câbles appropriés et restaurez les
paramètres TCP/IP.
Copyright sur l’intégralité du contenu © 1992 – 2007 Cisco Systems, Inc. Tous droits réservés.
Ce document contient des informations publiques Cisco. Page 16 sur 24
CCNA Exploration
Protocoles et concepts de routage : Protocole OSPF Travaux pratiques 11.6.1 : configuration OSPF de base
Scénario B : configuration du protocole OSPF sur un réseau à accès multiple
Diagramme de topologie
Périphérique Interface Adresse IP
Masque de
sous-réseau
Passerelle
par défaut
Fa0/0 192.168.1.1 255.255.255.0 N/D
R1
Loopback1 192.168.31.11 255.255.255.255 N/D
Fa0/0 192.168.1.2 255.255.255.0 N/D
R2
Loopback1 192.168.31.22 255.255.255.255 N/D
Fa0/0 192.168.1.3 255.255.255.0 N/D
R3
Loopback1 192.168.31.33 255.255.255.255 N/D
Tâche 1 : préparation du réseau
Étape 1 : mise en place d’un réseau similaire à celui du diagramme de topologie
Pour ces travaux pratiques, vous pouvez utiliser le routeur existant de votre choix pour autant
qu’il soit équipé des interfaces indiquées dans la topologie.
Remarque : si vous utilisez les routeurs 1700, 2500 ou 2600, les résultats des routeurs et les
descriptions d’interface seront différents.
Dans cette topologie, nous avons trois routeurs partageant un réseau Ethernet à accès multiple
commun, 192.168.1.0/24. Chaque routeur sera configuré avec une adresse IP sur l’interface
Fast Ethernet et une adresse de bouclage pour l’ID de routeur.
Étape 2 : suppression de toute configuration existante sur les routeurs
Copyright sur l’intégralité du contenu © 1992 – 2007 Cisco Systems, Inc. Tous droits réservés.
Ce document contient des informations publiques Cisco. Page 17 sur 24
CCNA Exploration
Protocoles et concepts de routage : Protocole OSPF Travaux pratiques 11.6.1 : configuration OSPF de base
Tâche 2 : exécution de configurations de routeur de base
Exécutez la configuration de base des routeurs R1, R2 et R3 en procédant comme suit :
1. Configurez le nom d’hôte du routeur.
2. Désactivez la recherche DNS.
3. Configurez un mot de passe de mode d’exécution privilégié.
4. Configurez une bannière de message du jour.
5. Configurez un mot de passe pour les connexions console.
6. Configurez un mot de passe pour les connexions VTY
Tâche 3 : configuration et activation des adresses Ethernet et de bouclage
Étape 1 : configuration des interfaces sur R1, R2 et R3
Configurez les interfaces Ethernet et de bouclage sur les routeurs R1, R2 et R3 avec les
adresses IP du tableau sous le diagramme de topologie. Utilisez la commande show ip
interface brief pour vérifier que l’adressage IP est correct. Lorsque vous avez terminé,
veillez à enregistrer la configuration en cours dans la mémoire vive non volatile du routeur.
Étape 2 : vérification de l’adressage IP et des interfaces
Utilisez la commande show ip interface brief pour vérifier que l’adressage IP est correct et que
les interfaces sont actives.
Lorsque vous avez terminé, veillez à enregistrer la configuration en cours dans la mémoire vive
non volatile du routeur.
Tâche 4 : configuration du protocole OSPF sur le routeur désigné
Le processus de sélection des routeurs désignés (DR) et le processus des routeurs désignés de
sauvegarde (BDR) s’enclenchent lors de l’activation de l’interface du premier routeur sur le réseau
à accès multiple. Ceci peut se produire lors de la mise sous tension des routeurs ou lors de la
configuration de la commande OSPF network pour l’interface en question. Si un nouveau routeur
se joint au réseau une fois le routeur désigné et le routeur désigné de sauvegarde choisi, il ne
pourra jouer aucun de ces deux rôles même si sa priorité d’interface OSPF ou son ID de routeur est
supérieur à celui du routeur désigné ou du routeur désigné de sauvegarde actuel. Configurez le
processus OSPF sur le routeur dont l’ID est le plus élevé pour vous assurer qu’il devienne le
routeur désigné.
Étape 1 : utilisation de la commande router ospf en mode de configuration globale pour
activer le protocole OSPF sur le routeur R3
Entrez 1 comme ID de processus pour le paramètre process-ID. Configurez le routeur pour
annoncer le réseau 192.168.1.0/24. Dans l’instruction network, utilisez un ID de 0 pour le
paramètre OSPF area-id.
R3(config)#router ospf 1
R3(config-router)#network 192.168.1.0 0.0.0.255 area 0
R3(config-router)#end
R3#
Copyright sur l’intégralité du contenu © 1992 – 2007 Cisco Systems, Inc. Tous droits réservés.
Ce document contient des informations publiques Cisco. Page 18 sur 24
CCNA Exploration
Protocoles et concepts de routage : Protocole OSPF Travaux pratiques 11.6.1 : configuration OSPF de base
Étape 2 : utilisation de la commande show ip ospf interface pour vérifier que
le protocole OSPF a été correctement configuré et que R3 est le routeur désigné
R3#show ip ospf interface
FastEthernet0/0 is up, line protocol is up
Internet address is 192.168.1.3/24, Area 0
Process ID 1, Router ID 192.168.31.33, Network Type BROADCAST, Cost:
1
Transmit Delay is 1 sec, State DR, Priority 1
Designated Router (ID) 192.168.31.33, Interface address 192.168.1.3
No backup designated router on this network
Timer intervals configured, Hello 10, Dead 40, Wait 40, Retransmit 5
Hello due in 00:00:07
Index 1/1, flood queue length 0
Next 0x0(0)/0x0(0)
Last flood scan length is 1, maximum is 1
Last flood scan time is 0 msec, maximum is 0 msec
Neighbor Count is 0, Adjacent neighbor count is 0
Suppress hello for 0 neighbor(s)
R3#
Tâche 5 : configuration du protocole OSPF sur le routeur désigné de sauvegarde
Configurez ensuite le processus OSPF sur le routeur dont l’ID est le deuxième plus élevé pour
vous assurer que ce routeur devienne le routeur désigné de sauvegarde.
Étape 1 : utilisation de la commande router ospf en mode de configuration globale pour
activer le protocole OSPF sur le routeur R2
Entrez 1 comme ID de processus pour le paramètre process-ID. Configurez le routeur pour
annoncer le réseau 192.168.1.0/24. Dans l’instruction network, utilisez un ID de 0 pour le
paramètre OSPF area-id.
R2(config)#router ospf 1
R2(config-router)#network 192.168.1.0 0.0.0.255 area 0
R2(config-router)#end
%SYS-5-CONFIG_I: Configured from console by console
R2#
00:08:51: %OSPF-5-ADJCHG: Process 1, Nbr 192.168.31.33 on
FastEthernet0/0 from LOADING to FULL, Loading Done
Notez qu’une contiguïté se crée avec le routeur R3. Il se peut qu’il faille jusqu’à 40 secondes
au routeur R3 pour envoyer un paquet Hello. Une fois ce paquet reçu, la relation de voisinage
est établie.
Étape 2 : utilisation de la commande show ip ospf interface pour vérifier que le protocole
OSPF a été correctement configuré et que R2 est le routeur désigné de sauvegarde
R2#show ip ospf interface
FastEthernet0/0 is up, line protocol is up
Internet address is 192.168.1.2/24, Area 0
Process ID 1, Router ID 192.168.31.22, Network Type BROADCAST, Cost:
1
Transmit Delay is 1 sec, State BDR, Priority 1
Designated Router (ID) 192.168.31.33, Interface address 192.168.1.3
Copyright sur l’intégralité du contenu © 1992 – 2007 Cisco Systems, Inc. Tous droits réservés.
Ce document contient des informations publiques Cisco. Page 19 sur 24
CCNA Exploration
Protocoles et concepts de routage : Protocole OSPF Travaux pratiques 11.6.1 : configuration OSPF de base
Backup Designated Router (ID) 192.168.31.22, Interface address
192.168.1.2
Timer intervals configured, Hello 10, Dead 40, Wait 40, Retransmit 5
Hello due in 00:00:03
Index 1/1, flood queue length 0
Next 0x0(0)/0x0(0)
Last flood scan length is 1, maximum is 1
Last flood scan time is 0 msec, maximum is 0 msec
Neighbor Count is 1, Adjacent neighbor count is 1
Adjacent with neighbor 192.168.1.3 (Designated Router)
Suppress hello for 0 neighbor(s)
R2#
Étape 3 : utilisation de la commande show ip ospf neighbors pour afficher des informations sur les
autres routeurs dans la zone OSPF
Notez que le routeur R3 est le routeur désigné.
R2#show ip ospf neighbor
Neighbor ID Pri State Dead Time Address
Interface
192.168.31.33 1 FULL/DR 00:00:33 192.168.1.3
FastEthernet0/0
Tâche 6 : configuration du protocole OSPF sur le routeur DRother
Configurez le processus OSPF sur le routeur dont l’ID est le plus faible en dernier. Ce routeur
sera désigné DRother au lieu de DR (routeur désigné) ou BDR (routeur désigné de sauvegarde).
Étape 1 : utilisation de la commande router ospf en mode de configuration globale pour
activer le protocole OSPF sur le routeur R1
Entrez 1 comme ID de processus pour le paramètre process-ID. Configurez le routeur
pour annoncer le réseau 192.168.1.0/24. Dans l’instruction network, utilisez un ID de 0 pour
le paramètre OSPF area-id.
R1(config)#router ospf 1
R1(config-router)#network 192.168.1.0 0.0.0.255 area 0
R1(config-router)#end
%SYS-5-CONFIG_I: Configured from console by console
R1#
00:16:08: %OSPF-5-ADJCHG: Process 1, Nbr 192.168.31.22 on
FastEthernet0/0 from LOADING to FULL, Loading Done
00:16:12: %OSPF-5-ADJCHG: Process 1, Nbr 192.168.31.33 on
FastEthernet0/0 from EXCHANGE to FULL, Exchange Done
Notez qu’une contiguïté se crée avec les routeurs R2 et R3. Il se peut qu’il faille jusqu’à
40 secondes aux routeurs R2 et R3 pour envoyer un paquet Hello.
Étape 2 : utilisation de la commande show ip ospf interface pour vérifier que le
protocole OSPF a été correctement configuré et que R1 est un routeur DRother
R1#show ip ospf interface
FastEthernet0/0 is up, line protocol is up
Internet address is 192.168.1.1/24, Area 0
Copyright sur l’intégralité du contenu © 1992 – 2007 Cisco Systems, Inc. Tous droits réservés.
Ce document contient des informations publiques Cisco. Page 20 sur 24
CCNA Exploration
Protocoles et concepts de routage : Protocole OSPF Travaux pratiques 11.6.1 : configuration OSPF de base
Process ID 1, Router ID 192.168.31.11, Network Type BROADCAST, Cost:
1
Transmit Delay is 1 sec, State DROTHER, Priority 1
Designated Router (ID) 192.168.31.33, Interface address 192.168.1.3
Backup Designated Router (ID) 192.168.31.22, Interface address
192.168.1.2
Timer intervals configured, Hello 10, Dead 40, Wait 40, Retransmit 5
Hello due in 00:00:00
Index 1/1, flood queue length 0
Next 0x0(0)/0x0(0)
Last flood scan length is 1, maximum is 1
Last flood scan time is 0 msec, maximum is 0 msec
Neighbor Count is 2, Adjacent neighbor count is 2
Adjacent with neighbor 192.168.31.33 (Designated Router)
Adjacent with neighbor 192.168.31.22 (Backup Designated Router)
Suppress hello for 0 neighbor(s)
R1#
Étape 3 : utilisation de la commande show ip ospf neighbors pour afficher des
informations sur les autres routeurs dans la zone OSPF
Notez que R3 est le routeur désigné (DR) et que R2 est le routeur désigné de sauvegarde (BDR).
R1#show ip ospf neighbor
Neighbor ID Pri State Dead Time Address
Interface
192.168.31.22 1 FULL/BDR 00:00:35 192.168.1.2
FastEthernet0/0
192.168.31.33 1 FULL/DR 00:00:30 192.168.1.3
FastEthernet0/0
Tâche 7 : utilisation de la priorité OSPF pour déterminer le routeur désigné (DR)
et le routeur désigné de sauvegarde (BDR)
Étape 1 : utilisation de la commande d’interface ip ospf priority pour paramétrer la
priorité OSPF du routeur R1 sur 255
Il s’agit de la priorité la plus élevée possible.
R1(config)#interface fastEthernet0/0
R1(config-if)#ip ospf priority 255
R1(config-if)#end
Étape 2 : utilisation de la commande d’interface ip ospf priority pour paramétrer la priorité
OSPF du routeur R3 sur 100
R3(config)#interface fastEthernet0/0
R3(config-if)#ip ospf priority 100
R3(config-if)#end
Copyright sur l’intégralité du contenu © 1992 – 2007 Cisco Systems, Inc. Tous droits réservés.
Ce document contient des informations publiques Cisco. Page 21 sur 24
CCNA Exploration
Protocoles et concepts de routage : Protocole OSPF Travaux pratiques 11.6.1 : configuration OSPF de base
Étape 3 : utilisation de la commande d’interface ip ospf priority pour paramétrer la priorité
OSPF du routeur R2 sur 0
Le routeur dont la priorité est de 0 ne peut pas participer à la sélection OSPF pour devenir
routeur désigné ou routeur désigné de sauvegarde.
R2(config)#interface fastEthernet0/0
R2(config-if)#ip ospf priority 0
R2(config-if)#end
Étape 4 : arrêt et réactivation des interfaces FastEthernet0/0 pour forcer une sélection OSPF
Les interfaces FastEthernet0/0 de chaque routeur peuvent être arrêtées et ensuite réactivées
pour forcer une sélection OSPF. Arrêtez l’interface FastEthernet0/0 sur chacun des trois routeurs.
Notez que lorsque les interfaces sont arrêtées, les contiguïtés OSPF sont perdues.
R1 :
R1(config)#interface fastethernet0/0
R1(config-if)#shutdown
%LINK-5-CHANGED: Interface FastEthernet0/0, changed state to
administratively down
%LINEPROTO-5-UPDOWN: Line protocol on Interface FastEthernet0/0,
changed state to down
02:17:22: %OSPF-5-ADJCHG: Process 1, Nbr 192.168.31.22 on
FastEthernet0/0 from FULL to Down: Interface down or detached
02:17:22: %OSPF-5-ADJCHG: Process 1, Nbr 192.168.31.33 on
FastEthernet0/0 from FULL to Down: Interface down or detached
R2 :
R2(config)#interface fastethernet0/0
R2(config-if)#shutdown
%LINK-5-CHANGED: Interface FastEthernet0/0, changed state to
administratively down
%LINEPROTO-5-UPDOWN: Line protocol on Interface FastEthernet0/0,
changed state to down
02:17:06: %OSPF-5-ADJCHG: Process 1, Nbr 192.168.31.33 on
FastEthernet0/0 from FULL to Down: Interface down or detached
02:17:06: %OSPF-5-ADJCHG: Process 1, Nbr 192.168.31.11 on
FastEthernet0/0 from FULL to Down: Interface down or detached
R3 :
R3(config)#interface fastethernet0/0
R3(config-if)#shutdown
%LINK-5-CHANGED: Interface FastEthernet0/0, changed state to
administratively down
%LINEPROTO-5-UPDOWN: Line protocol on Interface FastEthernet0/0,
changed state to down
02:17:22: %OSPF-5-ADJCHG: Process 1, Nbr 192.168.31.22 on
FastEthernet0/0 from FULL to Down: Interface down or detached
02:17:22: %OSPF-5-ADJCHG: Process 1, Nbr 192.168.31.11 on
FastEthernet0/0 from FULL to Down: Interface down or detached
Copyright sur l’intégralité du contenu © 1992 – 2007 Cisco Systems, Inc. Tous droits réservés.
Ce document contient des informations publiques Cisco. Page 22 sur 24
CCNA Exploration
Protocoles et concepts de routage : Protocole OSPF Travaux pratiques 11.6.1 : configuration OSPF de base
Étape 5 : réactivation de l’interface FastEthernet0/0 sur le routeur R2
R2(config-if)#no shut
R2(config-if)#end
%SYS-5-CONFIG_I: Configured from console by console
R2#
Étape 6 : réactivation de l’interface FastEthernet0/0 sur le routeur R1
Notez qu’une contiguïté se crée avec le routeur R2. Il se peut qu’il faille jusqu’à 40 secondes au
routeur R2 pour envoyer un paquet Hello.
R1(config-if)#no shutdown
%LINK-5-CHANGED: Interface FastEthernet0/0, changed state to up
%LINEPROTO-5-UPDOWN: Line protocol on Interface FastEthernet0/0,
changed state to up
R1(config-if)#end
%SYS-5-CONFIG_I: Configured from console by console
R1#
02:31:43: %OSPF-5-ADJCHG: Process 1, Nbr 192.168.31.22 on
FastEthernet0/0 from EXCHANGE to FULL, Exchange Done
Étape 7 : utilisation de la commande ip ospf neighbor sur le routeur R1 pour consulter
les informations des voisins OSPF du routeur
Notez que même si l’ID de routeur de R2 est supérieur à celui de R1, R2 a l’état DRother car
la priorité OSPF est définie sur 0.
R1#show ip ospf neighbor
Neighbor ID Pri State Dead Time Address
Interface
192.168.31.22 0 FULL/DROTHER 00:00:33 192.168.1.2
FastEthernet0/0
R1#
Étape 8 : réactivation de l’interface FastEthernet0/0 sur le routeur R3
Notez qu’une contiguïté se crée avec les routeurs R1 et R2. Il se peut qu’il faille jusqu’à
40 secondes aux routeurs R1 et R2 pour envoyer un paquet Hello.
R3(config-if)#no shutdown
%LINK-5-CHANGED: Interface FastEthernet0/0, changed state to up
%LINEPROTO-5-UPDOWN: Line protocol on Interface FastEthernet0/0,
changed state to up
R3(config-if)#end
%SYS-5-CONFIG_I: Configured from console by console
02:37:32: %OSPF-5-ADJCHG: Process 1, Nbr 192.168.31.11 on
FastEthernet0/0 from LOADING to FULL, Loading Done
02:37:36: %OSPF-5-ADJCHG: Process 1, Nbr 192.168.31.22 on
FastEthernet0/0 from EXCHANGE to FULL, Exchange Done
Copyright sur l’intégralité du contenu © 1992 – 2007 Cisco Systems, Inc. Tous droits réservés.
Ce document contient des informations publiques Cisco. Page 23 sur 24
CCNA Exploration
Protocoles et concepts de routage : Protocole OSPF Travaux pratiques 11.6.1 : configuration OSPF de base
Copyright sur l’intégralité du contenu © 1992 – 2007 Cisco Systems, Inc. Tous droits réservés.
Ce document contient des informations publiques Cisco. Page 24 sur 24
Étape 9 : utilisation de la commande show ip ospf interface sur le routeur R3 pour vérifier
que R3 est devenu le routeur désigné de sauvegarde
R3#show ip ospf interface
FastEthernet0/0 is up, line protocol is up
Internet address is 192.168.1.3/24, Area 0
Process ID 1, Router ID 192.168.31.33, Network Type BROADCAST, Cost:
1
Transmit Delay is 1 sec, State BDR, Priority 100
Designated Router (ID) 192.168.31.11, Interface address 192.168.1.1
<output omitted>
Tâche 8 : description des configurations des routeurs
Sur chaque routeur, consignez les informations de commande suivantes dans un fichier texte
pour référence ultérieure :
• Configuration en cours
• Table de routage
• Récapitulatif de l’interface
• Résultat de la commande show ip protocols
Tâche 9 : remise en état
Supprimez les configurations et rechargez les routeurs. Débranchez et rangez les câbles.
Pour les hôtes PC habituellement connectés à d’autres réseaux (comme le réseau local de
l’établissement scolaire ou Internet), rebranchez les câbles appropriés et restaurez les
paramètres TCP/IP.
Travaux pratiques 11.6.2 : configuration OSPF avancée
Diagramme de topologie
Table d’adressage
Périphérique Interface Adresse IP
Masque de
sous-réseau
Passerelle
par défaut
Fa0/0 N/D
S0/0/0 N/D
S0/0/1 N/D
HQ
Lo1 10.10.10.1 255.255.255.252 N/D
Fa0/0 N/D
S0/0/0 N/DBranch1
S0/0/1 N/D
Fa0/0 N/D
S0/0/0 N/DBranch2
S0/0/1 N/D
PC1 Carte réseau
PC2 Carte réseau
PC3 Carte réseau
Copyright sur l’intégralité du contenu © 1992 – 2007 Cisco Systems, Inc. Tous droits réservés.
Ce document contient des informations publiques Cisco. Page 1 sur 10
CCNA Exploration
Protocoles et concepts de routage : Protocole OSPF Travaux pratiques 11.6.2 : configuration OSPF avancée
Objectifs pédagogiques
À l'issue de ces travaux pratiques, vous serez en mesure d'effectuer les tâches suivantes :
• Créer une conception VLSM efficace en fonction de conditions requises
• Affecter des adresses appropriées aux interfaces et les documenter
• Câbler un réseau conformément au diagramme de topologie
• Supprimer la configuration de démarrage et recharger un routeur pour revenir aux
paramètres par défaut
• Configurer des routeurs, y compris le protocole OSPF
• Configurer et diffuser une route statique par défaut
• Vérifier le fonctionnement du protocole OSPF
• Tester et vérifier l’ensemble des connexions
• Analyser et documenter l’implémentation du réseau
Scénario
Dans ces travaux pratiques, vous aurez une adresse réseau à mettre en sous-réseau à l’aide
du masquage de sous-réseau de longueur variable (VLSM) afin de mettre en place l’adressage
du réseau illustré dans le diagramme de topologie. Afin de permettre aux hôtes des réseaux qui
ne sont pas directement connectés de communiquer entre eux, il sera nécessaire de combiner
le routage OSPF et le routage statique. Dans toutes les configurations OSPF, l’ID de zone OSPF
aura la valeur 0 et l’ID de processus la valeur 1.
Tâche 1 : mise en sous-réseau de l’espace d’adressage
Étape 1 : examen des spécifications du réseau
L’adressage du réseau répond aux spécifications suivantes.
• Le réseau 172.20.0.0/16 doit être subdivisé pour fournir des adresses aux réseaux
locaux et aux liaisons série.
o Le réseau local de HQ nécessite 8 000 adresses
o Le réseau local de Branch1 nécessite 4 000 adresses
o Le réseau local de Branch2 nécessite 2 000 adresses
o Les liaisons entre les routeurs nécessitent deux adresses par liaison
• L’adresse de bouclage représentant la liaison entre le routeur HQ et le FAI utilisera
le réseau 10.10.10.0/30.
Étape 2 : questions à prendre en compte lors de la conception de votre réseau
Combien de sous-réseaux faut-il créer à partir du réseau 172.20.0.0/16 ? _______
Combien d’adresses IP sont nécessaires à partir du réseau 172.20.0.0/16 ? ________
Quel sera le masque de sous-réseau du sous-réseau local de HQ ? ______
Combien d’adresses d’hôtes peuvent être utilisées sur ce sous-réseau au maximum ? ____
Quel sera le masque de sous-réseau du sous-réseau local de Branch1 ? _____
Copyright sur l’intégralité du contenu © 1992 – 2007 Cisco Systems, Inc. Tous droits réservés.
Ce document contient des informations publiques Cisco. Page 2 sur 10
CCNA Exploration
Protocoles et concepts de routage : Protocole OSPF Travaux pratiques 11.6.2 : configuration OSPF avancée
Combien d’adresses d’hôtes peuvent être utilisées sur ce sous-réseau au maximum ? ________
Quel sera le masque de sous-réseau du sous-réseau local de Branch2 ? ______
Combien d’adresses d’hôtes peuvent être utilisées sur ce sous-réseau au maximum ? ________
Quel masque de sous-réseau sera utilisé pour les liaisons entre les trois routeurs ? ________
Combien d’adresses d’hôtes, au maximum, peuvent être utilisées sur chacun de ces
sous-réseaux ? ________
Étape 3 : affectation d'adresses de sous-réseau au diagramme de topologie
1. Affectez le sous-réseau 0 du réseau 172.20.0.0/16 au sous-réseau local de HQ.
Quelle est l’adresse réseau de ce sous-réseau ? ________
2. Affectez le sous-réseau 1 du réseau 172.20.0.0/16 au sous-réseau local de Branch1.
Quelle est l’adresse réseau de ce sous-réseau ? ________
3. Affectez le sous-réseau 2 du réseau 172.20.0.0/16 au sous-réseau local de Branch2.
Quelle est l’adresse réseau de ce sous-réseau ? ________
4. Affectez le sous-réseau 3 du réseau 172.20.0.0/16 à la liaison entre les routeurs HQ
et Branch1. Quelle est l’adresse réseau de ce sous-réseau ? ________
5. Affectez le sous-réseau 4 du réseau 172.20.0.0/16 à la liaison entre les routeurs HQ
et Branch2. Quelle est l’adresse réseau de ce sous-réseau ? ________
6. Affectez le sous-réseau 5 du réseau 172.20.0.0/16 à la liaison entre les routeurs Branch1
et Branch2. Quelle est l’adresse réseau de ce sous-réseau ? ________
Tâche 2 : détermination des adresses des interfaces
Affectez les adresses appropriées aux interfaces des périphériques.
1. Affectez la première adresse d’hôte valide du réseau 10.10.10.0/30 à l’interface
Loopback 1 du routeur HQ.
2. Affectez la première adresse IP valide du réseau local de HQ à l’interface de réseau local
du routeur HQ.
3. Affectez la dernière adresse IP valide du réseau local de HQ à PC2.
4. Affectez la première adresse IP valide du réseau local de Branch1 à l’interface de réseau
local du routeur Branch1.
5. Affectez la dernière adresse IP valide du réseau local de Branch1 à PC1.
6. Affectez la première adresse IP valide du réseau local de Branch2 à l’interface de réseau
local du routeur Branch2.
7. Affectez la dernière adresse IP valide du réseau local de Branch2 à PC3.
Copyright sur l’intégralité du contenu © 1992 – 2007 Cisco Systems, Inc. Tous droits réservés.
Ce document contient des informations publiques Cisco. Page 3 sur 10
CCNA Exploration
Protocoles et concepts de routage : Protocole OSPF Travaux pratiques 11.6.2 : configuration OSPF avancée
8. Affectez la première adresse IP valide du réseau de liaison entre HQ et Branch1
à l’interface Serial0/0/0 du routeur HQ.
9. Affectez la dernière adresse IP valide du réseau de liaison entre HQ et Branch1
à l’interface Serial0/0/0 du routeur Branch1.
10. Affectez la première adresse IP valide du réseau de liaison entre HQet Branch2
à l’interface Serial0/0/1 du routeur HQ.
11. Affectez la dernière adresse IP valide du réseau de liaison entre HQ et Branch2
à l’interface Serial0/0/1 du routeur Branch2.
12. Affectez la première adresse IP valide du réseau de liaison entre Branch1 et Branch2
à l’interface Serial0/0/1 du routeur Branch1.
13. Affectez la dernière adresse IP valide du réseau de liaison entre Branch1 et Branch2
à l’interface Serial0/0/0 du routeur Branch2.
Documentez les adresses à utiliser dans le tableau fourni sous le diagramme de topologie.
Tâche 3 : préparation du réseau
Étape 1 : mise en place d'un réseau similaire à celui du diagramme de topologie
Pour ces travaux pratiques, vous pouvez utiliser le routeur existant de votre choix pour autant
qu'il soit équipé des interfaces indiquées dans la topologie.
Étape 2 : suppression des configurations existantes sur les routeurs
Tâche 4 : exécution de configurations de routeur de base
Exécutez une configuration de base sur les routeurs BRANCH, HQ et ISP en procédant
comme suit :
1. Configurez le nom d’hôte du routeur.
2. Désactivez la recherche DNS.
3. Configurez un mot de passe pour le mode d’exécution.
4. Configurez une bannière de message du jour.
5. Configurez un mot de passe pour les connexions console.
6. Configurez un mot de passe pour les connexions VTY.
7. Synchronisez les messages et les informations de débogage non sollicités avec les
informations et les invites sollicitées pour les lignes de terminal virtuel et de console.
8. Configurez un délai d’expiration d’exécution de 15 minutes.
Copyright sur l’intégralité du contenu © 1992 – 2007 Cisco Systems, Inc. Tous droits réservés.
Ce document contient des informations publiques Cisco. Page 4 sur 10
CCNA Exploration
Protocoles et concepts de routage : Protocole OSPF Travaux pratiques 11.6.2 : configuration OSPF avancée
Tâche 5 : configuration et activation des adresses série et Ethernet
Étape 1 : configuration des interfaces des routeurs HQ, Branch1 et Branch2 avec les
adresses IP du tableau fourni sous le diagramme de topologie
Lorsque vous avez terminé, veillez à enregistrer la configuration en cours dans la mémoire
vive non volatile du routeur.
Étape 2 : configuration des interfaces Ethernet de PC1, PC2 et PC3 avec les adresses IP
du tableau fourni sous le diagramme de topologie
Étape 3 : configuration de la bande passante appropriée pour les interfaces série
du routeur Branch1
Quelles sont les commandes nécessaires pour effectuer cette tâche ?
_____________________________________________________________________________
_____________________________________________________________________________
_____________________________________________________________________________
_____________________________________________________________________________
_____________________________________________________________________________
_____________________________________________________________________________
Étape 4 : configuration de la bande passante appropriée pour les interfaces série
du routeur Branch2
Quelles sont les commandes nécessaires pour effectuer cette tâche ?
_____________________________________________________________________________
_____________________________________________________________________________
_____________________________________________________________________________
_____________________________________________________________________________
_____________________________________________________________________________
_____________________________________________________________________________
Copyright sur l’intégralité du contenu © 1992 – 2007 Cisco Systems, Inc. Tous droits réservés.
Ce document contient des informations publiques Cisco. Page 5 sur 10
CCNA Exploration
Protocoles et concepts de routage : Protocole OSPF Travaux pratiques 11.6.2 : configuration OSPF avancée
Étape 5 : configuration de la bande passante appropriée pour les interfaces série
du routeur HQ
Quelles sont les commandes nécessaires pour effectuer cette tâche ?
_____________________________________________________________________________
_____________________________________________________________________________
_____________________________________________________________________________
_____________________________________________________________________________
_____________________________________________________________________________
_____________________________________________________________________________
Tâche 6 : vérification de la connectivité au périphérique du tronçon suivant
Les périphériques finaux NE doivent PAS encore être connectés. Vous pouvez cependant tester
la connectivité entre deux routeurs et entre un périphérique final et sa passerelle par défaut.
Étape 1 : vérification que les routeurs HQ, Branch1 et Branch2 peuvent envoyer une
requête ping à chaque routeur voisin via les liaisons WAN
Étape 2 : vérification que PC1, PC2 et PC3 peuvent envoyer des requêtes ping via leur
passerelle par défaut respective
Tâche 7 : configuration du routage OSPF sur le routeur Branch1
Étape 1 : détermination des routeurs à inclure dans les mises à jour OSPF envoyées par
le routeur Branch1
Quels réseaux directement connectés contient la table de routage de Branch1 ?
_____________________________________________________________________________
_____________________________________________________________________________
_____________________________________________________________________________
Quelles sont les commandes nécessaires pour activer le protocole OSPF et inclure les réseaux
connectés dans les mises à jour de routage ?
_____________________________________________________________________________
_____________________________________________________________________________
_____________________________________________________________________________
_____________________________________________________________________________
Copyright sur l’intégralité du contenu © 1992 – 2007 Cisco Systems, Inc. Tous droits réservés.
Ce document contient des informations publiques Cisco. Page 6 sur 10
CCNA Exploration
Protocoles et concepts de routage : Protocole OSPF Travaux pratiques 11.6.2 : configuration OSPF avancée
Y a-t-il des interfaces de routeur qui ne doivent pas envoyer de mises à jour OSPF ? _______
Quelle commande permet de désactiver les mises à jour OSPF sur ces interfaces ?
_____________________________________________________________________________
Tâche 8 : configuration du routage OSPF et statique sur le routeur HQ
Étape 1 : détermination du type de routage statique nécessaire sur HQ
Une route statique par défaut doit être configurée pour envoyer tous les paquets avec
des adresses de destination non reprises dans la table de routage à l’adresse de bouclage
représentant la liaison entre le routeur HQ et le FAI. Quelle est la commande nécessaire
pour effectuer cette tâche ?
_____________________________________________________________________________
Quels réseaux directement connectés contient la table de routage de HQ ?
_____________________________________________________________________________
_____________________________________________________________________________
_____________________________________________________________________________
_____________________________________________________________________________
_____________________________________________________________________________
Les informations de masque de sous-réseau des réseaux du réseau local de HQ et des liaisons
entre les routeurs Branch1 et Branch2 doivent-elles apparaître dans les instructions réseau ?
________
Quelles sont les commandes nécessaires pour activer le protocole OSPF et inclure les réseaux
appropriés dans les mises à jour de routage ?
_____________________________________________________________________________
_____________________________________________________________________________
_____________________________________________________________________________
_____________________________________________________________________________
_____________________________________________________________________________
_____________________________________________________________________________
Y a-t-il des interfaces de routeur qui ne doivent pas envoyer de mises à jour OSPF ? _______
Copyright sur l’intégralité du contenu © 1992 – 2007 Cisco Systems, Inc. Tous droits réservés.
Ce document contient des informations publiques Cisco. Page 7 sur 10
CCNA Exploration
Protocoles et concepts de routage : Protocole OSPF Travaux pratiques 11.6.2 : configuration OSPF avancée
Quelle commande permet de désactiver les mises à jour OSPF sur ces interfaces ?
_____________________________________________________________________________
_____________________________________________________________________________
Le routeur HQ doit envoyer aux routeurs Branch1 et Branch2 les informations relatives à la route
par défaut dans les mises à jour OSPF. Quelle commande permet d’effectuer cette configuration ?
_____________________________________________________________________________
Tâche 9 : configuration du routage OSPF sur le routeur Branch2
Étape 1 : détermination des réseaux à inclure dans les mises à jour OSPF envoyées par
le routeur Branch2
Quels réseaux directement connectés contient la table de routage Branch2 ?
_____________________________________________________________________________
_____________________________________________________________________________
_____________________________________________________________________________
Quelles sont les commandes nécessaires pour activer le protocole OSPF et inclure les réseaux
connectés dans les mises à jour de routage ?
_____________________________________________________________________________
_____________________________________________________________________________
_____________________________________________________________________________
_____________________________________________________________________________
_____________________________________________________________________________
Y a-t-il des interfaces de routeur qui ne doivent pas envoyer de mises à jour OSPF ? _______
Quelle commande permet de désactiver les mises à jour OSPF sur ces interfaces ?
_____________________________________________________________________________
Tâche 10 : vérification des configurations
Répondez aux questions suivantes pour vérifier que le réseau fonctionne correctement.
Est-il possible d’envoyer une requête ping de PC1 à PC2 ? ____________
Est-il possible d’envoyer une requête ping de PC1 à PC3 ? ____________
Copyright sur l’intégralité du contenu © 1992 – 2007 Cisco Systems, Inc. Tous droits réservés.
Ce document contient des informations publiques Cisco. Page 8 sur 10
CCNA Exploration
Protocoles et concepts de routage : Protocole OSPF Travaux pratiques 11.6.2 : configuration OSPF avancée
La réponse aux questions ci-dessus doit être « Oui ». Si l’une des requêtes ping ci-dessus
échoue, vérifiez vos connexions physiques et vos configurations. Reportez-vous aux techniques
élémentaires de dépannage utilisées dans les travaux pratiques [Chapitre 1].
Quelles routes OSPF contient la table de routage du routeur Branch1 ?
_____________________________________________________________________________
_____________________________________________________________________________
_____________________________________________________________________________
_____________________________________________________________________________
_____________________________________________________________________________
Quelle passerelle de dernier recours contient la table de routage du routeur Branch1 ?
_____________________________________________________________________________
Quelles routes OSPF contient la table de routage du routeur HQ ?
_____________________________________________________________________________
_____________________________________________________________________________
_____________________________________________________________________________
_____________________________________________________________________________
_____________________________________________________________________________
Quelle passerelle de dernier recours contient la table de routage du routeur HQ ?
_____________________________________________________________________________
Quelles routes OSPF contient la table de routage du routeur Branch2 ?
_____________________________________________________________________________
_____________________________________________________________________________
_____________________________________________________________________________
_____________________________________________________________________________
_____________________________________________________________________________
Quelle passerelle de dernier recours contient la table de routage du routeur Branch2 ?
_____________________________________________________________________________
Copyright sur l’intégralité du contenu © 1992 – 2007 Cisco Systems, Inc. Tous droits réservés.
Ce document contient des informations publiques Cisco. Page 9 sur 10
CCNA Exploration
Protocoles et concepts de routage : Protocole OSPF Travaux pratiques 11.6.2 : configuration OSPF avancée
Copyright sur l’intégralité du contenu © 1992 – 2007 Cisco Systems, Inc. Tous droits réservés.
Ce document contient des informations publiques Cisco. Page 10 sur 10
Tâche 11 : remarques générales
Sur PC1, utilisez la commande tracert pour examiner la route utilisée entre PC1 et PC3.
Quels sont les sauts de la route vers PC3 ?
_____________________________________________________________________________
_____________________________________________________________________________
_____________________________________________________________________________
_____________________________________________________________________________
Est-ce le plus petit nombre de sauts possible pour atteindre PC3 ? ____________
Si la réponse est « Non », pourquoi un chemin composé de plus de sauts que le minimum
est-il utilisé ?
_____________________________________________________________________________
_____________________________________________________________________________
_____________________________________________________________________________
_____________________________________________________________________________
_____________________________________________________________________________
_____________________________________________________________________________
Tâche 12 : documentation
Sur chaque routeur, enregistrez les informations de commande suivantes dans un fichier texte
(.txt) pour référence ultérieure :
• show running-config
• show ip route
• show ip interface brief
• show ip protocols
Pour savoir comment capturer le résultat d’une commande, reportez-vous aux travaux
pratiques 1.5.1.
Tâche 13 : remise en état
Supprimez les configurations et rechargez les routeurs. Débranchez et rangez les câbles.
Pour les hôtes PC habituellement connectés à d’autres réseaux (comme le réseau local de
l’établissement ou Internet), rebranchez les câbles appropriés et restaurez les paramètres TCP/IP.
Copyright sur l’intégralité du contenu © 1992 – 2007 Cisco Systems, Inc. Tous droits réservés.
Ce document contient des informations publiques Cisco. Page 1 sur 12
Travaux pratiques 11.6.3 : dépannage OSPF
Diagramme de topologie
Table d’adressage
Périphérique Interface Adresse IP Masque de sous-réseau
Passerelle
par défaut
HQ
Fa0/0 10.10.0.1 255.255.252.0 N/D
S0/0/0 172.16.7.1 255.255.255.252 N/D
S0/0/1 172.16.7.5 255.255.255.252 N/D
Lo1 209.165.202.129 255.255.255.252 N/D
Branch1
Fa0/0 10.10.4.1 255.255.254.0 N/D
S0/0/0 172.16.7.2 255.255.255.252 N/D
S0/0/1 172.16.7.9 255.255.255.252 N/D
Branch2
Fa0/0 10.10.6.1 255.255.254.0 N/D
S0/0/0 172.16.7.10 255.255.255.252 N/D
S0/0/1 172.16.7.6 255.255.255.252 N/D
PC1 Carte réseau 10.10.5.254 255.255.254.0 10.10.4.1
PC2 Carte réseau 10.10.3.254 255.255.252.0 10.10.0.1
PC3 Carte réseau 10.10.7.254 255.255.254.0 10.10.6.1
CCNA Exploration
Protocoles et concepts de routage : protocole OSPF Travaux pratiques 11.6.3 : dépannage OSPF
Copyright sur l’intégralité du contenu © 1992–2007 Cisco Systems, Inc. Tous droits réservés.
Ce document contient des informations publiques Cisco. Page 2 sur 12
Objectifs pédagogiques
À l'issue de ces travaux pratiques, vous serez en mesure d'effectuer les tâches suivantes :
 Câbler un réseau conformément au diagramme de topologie
 Supprimer la configuration de démarrage et recharger un routeur à son état par défaut
 Charger les routeurs avec les scripts fournis
 Détecter où les communications ne sont pas possibles
 Réunir des informations sur la partie mal configurée du réseau, ainsi que toute autre erreur
 Analyser des informations afin de déterminer pourquoi la communication n’est pas possible
 Proposer des solutions aux erreurs de réseau
 Implémenter des solutions pour les erreurs de réseau
 Documenter le réseau corrigé
Scénario
Dans ces travaux pratiques, vous commencerez par charger les scripts de configuration sur chacun
des routeurs. Ces scripts contiennent des erreurs qui empêcheront la communication de bout en bout
sur le réseau. Vous devrez dépanner chaque routeur afin de déterminer les erreurs de configuration,
puis utiliser les commandes appropriées pour les corriger. Une fois que toutes les erreurs de
configuration auront été résolues, tous les hôtes du réseau devront être à même de communiquer
les uns avec les autres.
Le réseau doit répondre aux conditions suivantes :
 Le routage OSPF est configuré sur le routeur Branch1.
 Le routage OSPF est configuré sur le routeur Branch2.
 Le routage OSPF est configuré sur le routeur HQ.
 Les mises à jour OSPF doivent être désactivées sur le réseau local et les interfaces de bouclage.
 Le routeur HQ doit redistribuer la route par défaut vers l’interface de bouclage dans les mises
à jour de routage.
 Tous les routeurs OSPF doivent utiliser un ID de processus de 1.
 Tous les routeurs OSPF doivent se trouver dans la zone 0.
Tâche 1 : câblage, suppression et rechargement des routeurs
Étape 1 : câblage d’un réseau
Câblez un réseau similaire à celui du diagramme de topologie.
Étape 2 : suppression de la configuration sur chaque routeur
Supprimez la configuration sur chaque routeur à l’aide de la commande erase startup-config,
puis rechargez les routeurs. Répondez non si une fenêtre vous demande si vous souhaitez enregistrer
les modifications.
CCNA Exploration
Protocoles et concepts de routage : protocole OSPF Travaux pratiques 11.6.3 : dépannage OSPF
Copyright sur l’intégralité du contenu © 1992–2007 Cisco Systems, Inc. Tous droits réservés.
Ce document contient des informations publiques Cisco. Page 3 sur 12
Tâche 2 : chargement des routeurs avec les scripts fournis
Étape 1 : chargement du script suivant sur le routeur Branch1 :
hostname Branch1
!
no ip domain-lookup
!
interface FastEthernet0/0
ip address 10.10.4.1 255.255.254.0
duplex auto
speed auto
no shutdown
!
interface Serial0/0/0
ip address 172.16.7.2 255.255.255.252
clock rate 64000
no shutdown
!
interface Serial0/0/1
ip address 172.16.7.9 255.255.255.252
no shutdown
!
router ospf 1
passive-interface FastEthernet0/0
network 10.10.4.0 0.0.1.255 area 0
network 172.16.7.0 0.0.0.3 area 0
network 172.16.7.8 0.0.0.3 area 0
!
ip classless
!
line con 0
line vty 0 4
login
!
end
Étape 2 : chargement du script suivant sur le routeur Branch2
hostname Branch2
!
interface FastEthernet0/0
ip address 10.10.6.1 255.255.254.0
duplex auto
speed auto
no shutdown
!
interface Serial0/0/0
ip address 172.16.7.10 255.255.255.252
clock rate 64000
no shutdown
!
interface Serial0/0/1
ip address 172.16.7.6 255.255.255.252
CCNA Exploration
Protocoles et concepts de routage : protocole OSPF Travaux pratiques 11.6.3 : dépannage OSPF
Copyright sur l’intégralité du contenu © 1992–2007 Cisco Systems, Inc. Tous droits réservés.
Ce document contient des informations publiques Cisco. Page 4 sur 12
!
router ospf 1
log-adjacency-changes
passive-interface Serial0/0/1
network 172.16.7.4 0.0.0.3 area 0
network 172.16.7.8 0.0.0.3 area 0
network 10.10.6.0 0.0.3.255 area 0
!
ip classless
!
line con 0
line vty 0 4
login
!
!
end
Étape 3 : chargement du script suivant sur le routeur HQ
hostname HQ
!
no ip domain-lookup
!
interface FastEthernet0/0
ip address 10.10.10.1 255.255.252.0
duplex auto
speed auto
no shutdown
!
interface Serial0/0/0
ip address 172.16.7.1 255.255.255.252
no shutdown
!
interface Serial0/0/1
ip address 172.16.7.5 255.255.255.252
clock rate 64000
no shutdown
!
interface Loopback1
ip address 209.165.202.129 255.255.255.252
!
router ospf 1
log-adjacency-changes
passive-interface FastEthernet0/0
passive-interface Loopback1
network 172.16.7.0 0.0.0.3 area 0
network 172.16.7.4 0.0.0.3 area 0
network 10.10.0.0 0.0.7.255 area 0
!
ip classless
ip route 0.0.0.0 0.0.0.0 loopback1
!
line con 0
line vty 0 4
login
!
CCNA Exploration
Protocoles et concepts de routage : protocole OSPF Travaux pratiques 11.6.3 : dépannage OSPF
Copyright sur l’intégralité du contenu © 1992–2007 Cisco Systems, Inc. Tous droits réservés.
Ce document contient des informations publiques Cisco. Page 5 sur 12
end
Tâche 3 : dépannage du routeur Branch1
Étape 1 : début du dépannage sur l’hôte connecté au routeur Branch1
Est-il possible d’envoyer une requête ping de PC1 à PC2 ? __________
Est-il possible d’envoyer une requête ping de PC1 à PC3 ? __________
Est-il possible d’envoyer une requête ping à la passerelle par défaut depuis le PC1 hôte ? _________
Étape 2 : examen du routeur Branch1 à la recherche d’éventuelles erreurs de configuration
Commencez par examiner le résumé des informations d’état de chacune des interfaces du routeur.
Y a-t-il des problèmes au niveau de l’état des interfaces ?
____________________________________________________________________________________
____________________________________________________________________________________
En cas de problème de configuration des interfaces, indiquez les commandes nécessaires pour corriger
les erreurs de configuration.
____________________________________________________________________________________
__________________________________________________________________________________
__________________________________________________________________________________
Étape 3 : si vous avez indiqué des commandes à la question précédente, les appliquer maintenant
à la configuration du routeur
Étape 4 : examen du résumé des informations d’état
Si des modifications ont été apportées à la configuration à l'étape précédente, examinez à nouveau
le résumé des informations d'état des interfaces du routeur.
Ces informations indiquent-elles des erreurs de configuration sur le routeur Branch1 ? __________
Si la réponse est oui, dépannez à nouveau l’état des interfaces.
Étape 5 : dépannage de la configuration de routage sur le routeur Branch1
Quelles routes apparaissent dans la table de routage ?
____________________________________________________________________________________
____________________________________________________________________________________
____________________________________________________________________________________
____________________________________________________________________________________
____________________________________________________________________________________
____________________________________________________________________________________
CCNA Exploration
Protocoles et concepts de routage : protocole OSPF Travaux pratiques 11.6.3 : dépannage OSPF
Copyright sur l’intégralité du contenu © 1992–2007 Cisco Systems, Inc. Tous droits réservés.
Ce document contient des informations publiques Cisco. Page 6 sur 12
La table de routage présente-t-elle des problèmes ?
____________________________________________________________________________________
____________________________________________________________________________________
____________________________________________________________________________________
____________________________________________________________________________________
Les informations de la table de routage indiquent-elles des erreurs de configuration sur le routeur
Branch1 ou sera-t-il nécessaire de dépanner les configurations sur les deux autres routeurs pour
corriger les erreurs ?
____________________________________________________________________________________
____________________________________________________________________________________
____________________________________________________________________________________
Étape 6 : nouvelle tentative de requête ping entre les hôtes
Est-il possible d’envoyer une requête ping de PC1 à PC2 ? __________
Est-il possible d’envoyer une requête ping de PC1 à PC3 ? __________
Est-il possible d’envoyer une requête ping à l’interface Serial0/0/0 du routeur HQ depuis le PC1 hôte ?
__________
Est-il possible d’envoyer une requête ping à l’interface Serial0/0/1 du routeur HQ depuis le PC1 hôte ?
__________
Tâche 4 : dépannage du routeur HQ
Étape 1 : début du dépannage sur le PC2 hôte
Est-il possible d’envoyer une requête ping de PC2 à PC1 ? __________
Est-il possible d’envoyer une requête ping à PC3 depuis le PC2 hôte ? __________
Est-il possible d’envoyer une requête ping à la passerelle par défaut depuis le PC2 hôte ? __________
Étape 2 : examen du routeur HQ à la recherche d’éventuelles erreurs de configuration
Commencez par examiner le résumé des informations d’état de chacune des interfaces du routeur.
Y a-t-il des problèmes au niveau de l’état des interfaces ?
____________________________________________________________________________________
____________________________________________________________________________________
____________________________________________________________________________________
En cas de problème de configuration des interfaces, indiquez les commandes nécessaires pour corriger
les erreurs de configuration.
____________________________________________________________________________________
____________________________________________________________________________________
CCNA Exploration
Protocoles et concepts de routage : protocole OSPF Travaux pratiques 11.6.3 : dépannage OSPF
Copyright sur l’intégralité du contenu © 1992–2007 Cisco Systems, Inc. Tous droits réservés.
Ce document contient des informations publiques Cisco. Page 7 sur 12
____________________________________________________________________________________
Y a-t-il des problèmes au niveau de l’état d’interface susceptibles d’être dus à des erreurs survenues
dans d'autres parties du réseau ?
____________________________________________________________________________________
____________________________________________________________________________________
____________________________________________________________________________________
Étape 3 : si vous avez indiqué des commandes à la question précédente, les appliquer maintenant
à la configuration du routeur
Étape 4 : examen du résumé des informations d’état
Si des modifications ont été apportées à la configuration à l'étape précédente, examinez à nouveau
le résumé des informations d'état des interfaces du routeur.
Ces informations indiquent-elles des erreurs de configuration sur le routeur HQ ? __________
Si la réponse est oui, dépannez à nouveau l’état des interfaces.
Étape 5 : dépannage de la configuration de routage sur le routeur HQ
Quelles routes apparaissent dans la table de routage ?
____________________________________________________________________________________
____________________________________________________________________________________
____________________________________________________________________________________
____________________________________________________________________________________
____________________________________________________________________________________
____________________________________________________________________________________
____________________________________________________________________________________
____________________________________________________________________________________
La table de routage présente-t-elle des problèmes ?
____________________________________________________________________________________
____________________________________________________________________________________
____________________________________________________________________________________
Utilisez les commandes show running-configuration, show ip protocols et show ip ospf
neighbor pour afficher les informations sur la configuration OSPF du routeur HQ. La configuration OSPF
présente-t-elle d’autres problèmes ?
____________________________________________________________________________________
____________________________________________________________________________________
CCNA Exploration
Protocoles et concepts de routage : protocole OSPF Travaux pratiques 11.6.3 : dépannage OSPF
Copyright sur l’intégralité du contenu © 1992–2007 Cisco Systems, Inc. Tous droits réservés.
Ce document contient des informations publiques Cisco. Page 8 sur 12
____________________________________________________________________________________
____________________________________________________________________________________
S’il y a d’autres problèmes au niveau de la configuration OSPF, indiquez les commandes nécessaires
pour corriger les erreurs de configuration.
____________________________________________________________________________________
____________________________________________________________________________________
____________________________________________________________________________________
____________________________________________________________________________________
____________________________________________________________________________________
____________________________________________________________________________________
Le routeur HQ présente-t-il des problèmes susceptibles d’être dus à des erreurs survenues dans d'autres
parties du réseau ?
____________________________________________________________________________________
____________________________________________________________________________________
____________________________________________________________________________________
____________________________________________________________________________________
Étape 6 : si vous avez indiqué des commandes à la question précédente, les appliquer maintenant
à la configuration du routeur
Étape 7 : affichage des informations de routage
Si des modifications ont été apportées à la configuration au cours des étapes précédentes, examinez
à nouveau les informations de routage.
Les informations de la table de routage indiquent-elles des erreurs de configuration sur le routeur HQ ?
__________
Si la réponse à cette question est oui, vérifiez à nouveau la configuration du routage.
Étape 8 : nouvelle tentative de requête ping entre les hôtes
Est-il possible d’envoyer une requête ping de PC2 à PC1 ? __________
Est-il possible d’envoyer une requête ping à PC3 depuis le PC2 hôte ? __________
Est-il possible d’envoyer une requête ping à l’interface Serial0/0/0 du routeur Branch2 depuis
le PC2 hôte ? __________
Est-il possible d’envoyer une requête ping à l’interface Serial0/0/1 du routeur Branch2 depuis
le PC2 hôte ? __________
CCNA Exploration
Protocoles et concepts de routage : protocole OSPF Travaux pratiques 11.6.3 : dépannage OSPF
Copyright sur l’intégralité du contenu © 1992–2007 Cisco Systems, Inc. Tous droits réservés.
Ce document contient des informations publiques Cisco. Page 9 sur 12
Tâche 5 : dépannage du routeur Branch2
Étape 1 : début du dépannage sur le PC3 hôte
Est-il possible d’envoyer une requête ping à PC1 depuis le PC3 hôte ? __________
Est-il possible d’envoyer une requête ping à PC2 depuis le PC3 hôte ? __________
Est-il possible d’envoyer une requête ping à la passerelle par défaut depuis le PC3 hôte ? __________
Est-il possible d’envoyer une requête ping à l’interface Serial0/0/1 du routeur Branch2 depuis le PC3
hôte ? __________
Étape 2 : examen du routeur Branch2 à la recherche d’éventuelles erreurs de configuration
Commencez par examiner le résumé des informations d’état de chacune des interfaces du routeur.
Y a-t-il des problèmes au niveau de l’état des interfaces ?
____________________________________________________________________________________
____________________________________________________________________________________
En cas de problème de configuration des interfaces, indiquez les commandes nécessaires pour corriger
les erreurs de configuration.
____________________________________________________________________________________
____________________________________________________________________________________
____________________________________________________________________________________
____________________________________________________________________________________
Étape 3 : si vous avez indiqué des commandes à la question précédente, les appliquer maintenant
à la configuration du routeur
Étape 4 : examen du résumé des informations d’état
Si des modifications ont été apportées à la configuration à l'étape précédente, examinez à nouveau
le résumé des informations d'état des interfaces du routeur.
Ces informations indiquent-elles des erreurs de configuration sur le routeur Branch2 ? __________
Si la réponse est oui, dépannez à nouveau l’état des interfaces.
Étape 5 : dépannage de la configuration du routage sur le routeur Branch2
Quelles routes apparaissent dans la table de routage ?
____________________________________________________________________________________
____________________________________________________________________________________
____________________________________________________________________________________
____________________________________________________________________________________
____________________________________________________________________________________
____________________________________________________________________________________
CCNA Exploration
Protocoles et concepts de routage : protocole OSPF Travaux pratiques 11.6.3 : dépannage OSPF
Copyright sur l’intégralité du contenu © 1992–2007 Cisco Systems, Inc. Tous droits réservés.
Ce document contient des informations publiques Cisco. Page 10 sur 12
____________________________________________________________________________________
La table de routage présente-t-elle des problèmes ?
____________________________________________________________________________________
____________________________________________________________________________________
Utilisez les commandes show running-configuration, show ip protocols et show ip
ospf neighbor pour afficher les informations relatives à la configuration OSPF du routeur Branch2.
La configuration OSPF présente-t-elle des problèmes ?
____________________________________________________________________________________
____________________________________________________________________________________
____________________________________________________________________________________
____________________________________________________________________________________
____________________________________________________________________________________
S’il y a d’autres problèmes au niveau de la configuration OSPF, indiquez les commandes nécessaires
pour corriger les erreurs de configuration.
____________________________________________________________________________________
____________________________________________________________________________________
____________________________________________________________________________________
____________________________________________________________________________________
____________________________________________________________________________________
____________________________________________________________________________________
Étape 6 : si vous avez indiqué des commandes à la question précédente, les appliquer maintenant
à la configuration du routeur
Étape 7 : affichage des informations de routage
Si des modifications ont été apportées à la configuration au cours des étapes précédentes, examinez
à nouveau les informations de routage.
Ces informations indiquent-elles des erreurs de configuration sur le routeur Branch2 ? __________
Si la réponse à cette question est oui, dépannez à nouveau la configuration du routage.
Quelles routes apparaissent dans la table de routage ?
____________________________________________________________________________________
CCNA Exploration
Protocoles et concepts de routage : protocole OSPF Travaux pratiques 11.6.3 : dépannage OSPF
Copyright sur l’intégralité du contenu © 1992–2007 Cisco Systems, Inc. Tous droits réservés.
Ce document contient des informations publiques Cisco. Page 11 sur 12
____________________________________________________________________________________
____________________________________________________________________________________
____________________________________________________________________________________
____________________________________________________________________________________
____________________________________________________________________________________
____________________________________________________________________________________
____________________________________________________________________________________
____________________________________________________________________________________
____________________________________________________________________________________
Étape 8 : nouvelle tentative de requête ping entre les hôtes
Est-il possible d’envoyer une requête ping à PC1 depuis le PC3 hôte ? __________
Est-il possible d’envoyer une requête ping à PC2 depuis le PC3 hôte ? __________
Est-il possible d’envoyer une requête ping à l’interface Serial0/0/0 du routeur Branch1 depuis le PC3
hôte ? __________
Est-il possible d’envoyer une requête ping à l’interface Serial0/0/1 du routeur Branch1 depuis le PC3
hôte ? __________
Tâche 6 : remarques générales
Les scripts fournis pour ces travaux pratiques comportaient des erreurs de configuration. Indiquez
ci-dessous une brève description des erreurs que vous avez relevées.
___________________________________________________________________________________
___________________________________________________________________________________
___________________________________________________________________________________
___________________________________________________________________________________
___________________________________________________________________________________
___________________________________________________________________________________
___________________________________________________________________________________
___________________________________________________________________________________
___________________________________________________________________________________
CCNA Exploration
Protocoles et concepts de routage : protocole OSPF Travaux pratiques 11.6.3 : dépannage OSPF
Copyright sur l’intégralité du contenu © 1992–2007 Cisco Systems, Inc. Tous droits réservés.
Ce document contient des informations publiques Cisco. Page 12 sur 12
Tâche 7 : documentation
Sur chaque routeur, enregistrez les informations de commande suivantes dans un fichier texte (.txt)
pour référence ultérieure :
 show running-config
 show ip route
 show ip interface brief
 show ip protocols
Pour savoir comment capturer le résultat d’une commande, reportez-vous aux travaux pratiques 1.5.1.
Tâche 8 : remise en état
Supprimez les configurations et rechargez les routeurs. Débranchez et rangez les câbles. Pour les hôtes
PC habituellement connectés à d’autres réseaux (comme le réseau local de l’établissement scolaire ou
Internet), rebranchez les câbles appropriés et restaurez les paramètres TCP/IP.
11.7.1 : exercice d’intégration des compétences Packet Tracer
Diagramme de topologie
Copyright sur l'intégralité du contenu © 1992–2007 Cisco Systems, Inc. Tous droits réservés. Ce document contient des informations publiques Cisco. Page 1 sur 4
CCNA Exploration
Protocoles et concepts de routage : protocole OSPF 11.7.1 : exercice d’intégration des compétences Packet Tracer
Table d’adressage
Périphérique Interface Adresse IP Masque de sous-réseau
Fa0/0 10.10.10.1 255.255.255.248R1
Loopback0 1.1.1.1 255.255.255.255
Fa0/0 10.10.10.2 255.255.255.248
Fa0/1
R2
S0/0/0
Fa0/0 10.10.10.3 255.255.255.248R3
Fa0/1
Fa0/0 10.10.10.4 255.255.255.248
Fa0/1
R4
S0/0/0 172.16.52.133 255.255.255.252
Fa0/0
Fa0/1
R5
S0/0/0 172.16.52.129 255.255.255.252
Fa0/0
Fa0/1
R6
S0/0/0 172.16.52.134 255.255.255.252
Objectifs pédagogiques :
• Concevoir et documenter un schéma d’adressage en fonction de conditions requises
• Appliquer une configuration de base aux périphériques
• Configurer une priorité de routeur et un ID de routeur
• Configurer le routage OSPF
Copyright sur l'intégralité du contenu © 1992–2007 Cisco Systems, Inc. Tous droits réservés.
Ce document contient des informations publiques Cisco. Page 2 sur 4
CCNA Exploration
Protocoles et concepts de routage : protocole OSPF 11.7.1 : exercice d’intégration des compétences Packet Tracer
• Désactiver les mises à jour de routage sur les interfaces appropriées
• Vérifier la connectivité entre tous les périphériques de la topologie
Tâche 1 : conception et documentation d’un schéma d’adressage
Utilisez le 172.16.0.0/16 pour créer un schéma d’adressage efficace répondant aux conditions suivantes :
Nom d’hôte Interface Nombre d'hôtes
R2 Fa0/1 1000
R3 Fa0/1 400
R4 Fa0/1 120
R5 Fa0/1 6000
R5 Fa0/0 800
R6 Fa0/1 2000
R6 Fa0/0 500
REMARQUE : l’interface Fa0/0 a été préconfigurée sur R1, R2, R3 et R4.
Tâche 2 : application d’une configuration de base
Étape 1 : exécutez des configurations élémentaires sur chacun des routeurs à l’aide du tableau
ci-dessous.
Mot de passe
de console
Mot de
passe VTY
Mot de passe
secret actif
Fréquence d’horloge
(le cas échéant)
cisco cisco cisco 56 000
Tâche 3 : configuration du routage OSPF
Étape 1 : configurez le routage OSPF sur chaque routeur.
Étape 2 : vérifiez que tous les routeurs ont été appris.
Tâche 4 : réglage du protocole OSPF
Étape 1 : exécutez cette tâche en fonction des indications ci-dessous :
• R1 ne participe à aucune élection de routeur désigné (DR)/routeur désigné de sauvegarde (BDR).
100).
rs (BDR).
E DÉFINIES SUR FA0/0.
Étape 2 : forcez la sélection d’un routeur désigné (DR) et d’un routeur désigné de sauvegarde (BDR).
• R2 devient toujours le routeur désigné (DR)
• R3 et R4 ont tous les deux la même priorité (
• R4 doit toujours devenir le routeur désigné de secou
REMARQUE : TOUTES LES PRIORITÉS DOIVENT ÊTR
Copyright sur l'intégralité du contenu © 1992–2007 Cisco Systems, Inc. Tous droits réservés.
Ce document contient des informations publiques Cisco. Page 3 sur 4
CCNA Exploration
Protocoles et concepts de routage : protocole OSPF 11.7.1 : exercice d’intégration des compétences Packet Tracer
Copyright sur l'intégralité du contenu © 1992–2007 Cisco Systems, Inc. Tous droits réservés.
Ce document contient des informations publiques Cisco. Page 4 sur 4
Tâche 5 : configuration d’un bouclage
Étape 1 : configurez un bouclage avec une adresse 1.1.1.1/32 sur R1.
Étape 2 : créez une route par défaut vers le bouclage.
Étape 3 : propagez la route dans les mises à jour OSPF.
Tâche 6 : affichage des mises à jour OSPF
Étape 1 : activez le mode Simulation.
Étape 2 : sélectionnez uniquement le protocole OSPF dans le filtre.
Étape 3 : affichez les mises à jour.

Cisco routing slm v40

  • 1.
    CCNA Exploration 4.0 Protocoleset concepts de routage Manuel de travaux pratiques du participant CCNA Exploration 4.0 Protocoles et concepts de routage Manuel de travaux pratiques du participant CCNA Exploration 4.0 Protocoles et concepts de routage Manuel de travaux pratiques du participant Ce document est la propriété exclusive de Cisco Systems, Inc. Il est réservé exclusivement à l’usage des formateurs du cours CCNA Exploration : Protocoles et concepts de routage, pour lesquels il peut être imprimé et copié à des fins de distribution non commerciale dans le cadre d’un programme officiel Cisco Networking Academy Program.
  • 2.
    Travaux pratiques 1.5.1: câblage d’un réseau et configuration de base des routeurs Diagramme de topologie Table d’adressage Périphérique Interface Adresse IP Masque de sous-réseau Passerelle par défaut Fa0/0 192.168.1.1 255.255.255.0 s/o R1 S0/0/0 192.168.2.1 255.255.255.0 s/o Fa0/0 192.168.3.1 255.255.255.0 s/o R2 S0/0/0 192.168.2.2 255.255.255.0 s/o PC1 s/o 192.168.1.10 255.255.255.0 192.168.1.1 PC2 s/o 192.168.3.10 255.255.255.0 192.168.3.1 Objectifs pédagogiques À l’issue de ces travaux pratiques, vous serez en mesure d’effectuer les tâches suivantes : • Câbler des périphériques et établir des connexions à une console • Effacer et recharger les informations des routeurs • Exécuter des opérations d’interface de ligne de commande IOS de base • Effectuer une configuration de routeur de base • Vérifier et tester les configurations en utilisant des commandes show, ping et traceroute • Créer un fichier de configuration de démarrage • Recharger un fichier de configuration de démarrage • Installer un programme d’émulation de terminal Scénario Au cours de cet exercice, vous allez réviser des connaissances déjà acquises : câblage des périphériques, établissement d’une connexion console et commandes basiques de configuration et de fonctionnement de l’interface de ligne de commande IOS. Vous apprendrez également à enregistrer des fichiers de configuration et à capturer vos configurations dans un fichier texte. Les compétences présentées dans ces travaux pratiques sont essentielles à la poursuite du reste du cours. Vous pouvez toutefois choisir la version condensée, Travaux pratiques 1.5.2 : Configuration de base des routeurs, si votre formateur juge que vous possédez les connaissances essentielles présentées dans ces travaux pratiques. Copyright sur l’intégralité du contenu © 1992 – 2007 Cisco Systems, Inc. Tous droits réservés. Ce document contient des informations publiques Cisco. Page 1 sur 30
  • 3.
    CCNA Exploration Protocoles etconcepts de routage : Présentation du routage et du transfert de paquets Travaux pratiques 1.5.1 : câblage d’un réseau et configuration de base des routeurs Tâche 1 : câblage des liaisons Ethernet du réseau Câblez les liaisons Ethernet pour réaliser un réseau similaire à celui du diagramme de topologie. La sortie utilisée dans ces travaux pratiques provient de routeurs Cisco 1841. Vous pouvez toutefois utiliser n’importe quel routeur actuel, pourvu qu’il comporte les interfaces nécessaires illustrées dans la topologie. Pour identifier facilement les interfaces disponibles sur un routeur, il suffit d’entrer la commande show ip interface brief. Quels périphériques du diagramme de topologie doivent être reliés par un câble Ethernet ? _____________________________________________________ Étape 1 : connexion du routeur R1 au commutateur S1 Utilisez un câble Ethernet droit pour connecter l’interface FastEthernet 0/0 du routeur R1 à l’interface FastEthernet 0/1 du commutateur S1. Quelle est la couleur du voyant d’état de liaison correspondant à l’interface FastEthernet 0/0 sur R1 ? _______________ Quelle est la couleur du voyant d’état de liaison correspondant à l’interface FastEthernet 0/1 sur S1 ? _______________ Étape 2 : connexion de PC1 au commutateur S1 Utilisez un câble Ethernet droit pour connecter la carte réseau de PC1 à l’interface FastEthernet 0/2 du commutateur S1. Quelle est la couleur du voyant d’état de liaison correspondant à l’interface de la carte réseau sur PC1 ? _______________ Quelle est la couleur du voyant d’état de liaison correspondant à l’interface FastEthernet 0/2 sur S1 ? _______________ Si les voyants d’état de liaison ne sont pas verts, patientez un peu, le temps que la liaison entre les deux périphériques s’établisse. Si les voyants ne deviennent toujours pas verts, vérifiez que vous utilisez un câble Ethernet droit et que les commutateurs S1 et PC1 sont sous tension. Étape 3 : connexion de PC2 au routeur R2 Utilisez un câble de croisement Ethernet pour connecter l’interface FastEthernet 0/0 du routeur R2 à la carte réseau de PC2. Comme il n’existe pas de commutateur entre PC2 et le routeur R2, un câble de croisement est nécessaire pour établir une liaison directe entre le PC et le routeur. Quelle est la couleur du voyant d’état de liaison correspondant à l’interface de la carte réseau sur PC2 ? _______________ Quelle est la couleur du voyant d’état de liaison correspondant à l’interface FastEthernet 0/0 sur R2 ? _______________ Tâche 2 : câblage de la liaison série entre les routeurs R1 et R2 Dans une connexion étendue (WAN) du monde réel, l’équipement d’abonné, souvent un routeur, est l’équipement terminal de traitement de données (ETTD). Celui-ci est connecté au fournisseur de services à l’aide d'un équipement de terminaison de circuit de données (ETCD), en général un modem ou un périphérique CSU/DSU. Ce périphérique est utilisé pour convertir les données de l’ETTD en un format acceptable pour le fournisseur de services WAN. Dans le monde réel, les câbles série ne sont pas connectés dos-à-dos comme pour les besoins de nos travaux pratiques. En situation réelle, un routeur pourrait se trouver à New York, et un autre à Sydney. Copyright sur l’intégralité du contenu © 1992 – 2007 Cisco Systems, Inc. Tous droits réservés. Ce document contient des informations publiques Cisco. Page 2 sur 30
  • 4.
    CCNA Exploration Protocoles etconcepts de routage : Présentation du routage et du transfert de paquets Travaux pratiques 1.5.1 : câblage d’un réseau et configuration de base des routeurs Un administrateur situé à Sydney devrait se connecter au routeur de New York via le nuage WAN afin de dépanner le routeur de New York. Dans la configuration de ces travaux pratiques, les périphériques du nuage WAN sont simulés par les câbles de connexion directe entre les ETTD et ETCD. La connexion entre l’interface série d’un routeur et celle d’un autre routeur simule l’ensemble du nuage du circuit. Étape 1 : création d’un câble série Null pour connecter le routeur R1 au routeur R2 Dans les travaux pratiques, la connexion WAN entre les routeurs s’effectue au moyen d’un câble ETCD et d’un câble ETTD. La connexion ETCD/ETTD entre les routeurs est appelée câble série Null. Dans ces travaux pratiques, nous utiliserons un câble ETCD V.35 et un câble ETTD V.35 pour simuler la connexion WAN. Le connecteur ETCD V.35 est généralement un connecteur V.35 femelle (34 broches). Le câble ETTD comporte un connecteur V.35 mâle. Les câbles sont également étiquetés DCE (ETCD) ou DTE (ETTD) à l’extrémité qui se raccorde au routeur. Les câbles ETTD et ETCD V.35 doivent être raccordés. En tenant une des extrémités V.35 dans chaque main, examinez les broches et prises ainsi que les connecteurs à vis. Notez qu’il existe une seule façon de raccorder les câbles. Alignez les broches du câble mâle avec les prises du câble femelle et raccordez- les doucement. Vous devez exercer une pression modérée. Une fois le raccordement effectué, serrez les molettes dans le sens des aiguilles d’une montre et fixez les connecteurs. Étape 2 : connexion de l’extrémité ETCD du câble série Null à l’interface Serial 0/0/0 du routeur R1, et de l’extrémité ETTD à l’interface Serial 0/0/0 du routeur R2 Avant d’effectuer ces connexions, examinez les informations ci-dessous. Avant de connecter un des routeurs, examinez le connecteur au niveau du routeur et du câble. Notez que les connecteurs comportent un détrompeur pour éviter une connexion incorrecte. En tenant le connecteur dans une main, orientez les connecteurs du câble et du routeur de façon que les embouts coïncident. Engagez le connecteur du câble dans le connecteur du routeur. Il n’entrera probablement pas à fond étant donné que les molettes des connecteurs doivent être serrées. En tenant le câble dans une main et en le poussant doucement contre le routeur, serrez les molettes dans le sens des aiguilles d’une montre, de 3 ou 4 tours pour engager le filetage. Faites de même avec l’autre molette. Le câble doit être alors suffisamment engagé pour que vous puissiez libérer vos mains pour serrer les molettes de la même manière jusqu'à ce que le câble arrive en butée. Ne serrez pas excessivement ces connecteurs. Tâche 3 : établissement d’une connexion console au routeur R1 Le port console est un port de gestion qui permet l’accès hors bande à un routeur. Il sert à définir la configuration initiale d’un routeur et à la contrôler. Un câble de renversement et un adaptateur RJ-45/DB-9 servent à connecter un PC au port console. Comme vous l’avez appris dans les cours précédents, un logiciel d’émulation de terminal permet de configurer le routeur sur la connexion console. Le programme Cisco Networking Academy recommande d’avoir recours à Tera Term. Vous pouvez toutefois préférer HyperTerminal, intégré au système d’exploitation Windows. À l’issue de ces travaux pratiques, vous pourrez vous reporter aux trois annexes suivantes, pour plus d’informations sur ces deux programmes d’émulation de terminal : • Annexe 1 : Installation et configuration de Tera Term en vue de son utilisation sous Windows XP • Annexe 2 : Configuration de Tera Term comme client Telnet par défaut sous Windows XP • Annexe 3 : Accès à HyperTerminal et configuration Copyright sur l’intégralité du contenu © 1992 – 2007 Cisco Systems, Inc. Tous droits réservés. Ce document contient des informations publiques Cisco. Page 3 sur 30
  • 5.
    CCNA Exploration Protocoles etconcepts de routage : Présentation du routage et du transfert de paquets Travaux pratiques 1.5.1 : câblage d’un réseau et configuration de base des routeurs Étape 1 : examen du routeur et identification du connecteur RJ-45 étiqueté Console Étape 2 : examen de PC1 et identification du port série d’un connecteur mâle 9 broches Il est possible qu’il soit étiqueté COM1 ou COM2. Étape 3 : identification du câble de console Il arrive qu’un adaptateur RJ-45/DB-9 soit intégré à l’extrémité de certains câbles de console. Ce n’est pas toujours le cas. Repérez un câble de console avec un adaptateur intégré ou comportant un adaptateur RJ-45/DB-9 connecté à une extrémité. Étape 4 : connexion du câble de console au routeur et au PC Commencez par connecter le câble de console au port console du routeur (connecteur RJ-45). Connectez ensuite l’extrémité DB-9 du câble de console au port série de PC1. Étape 5 : test de la connexion au routeur 1. Ouvrez votre logiciel d’émulation de terminal (HyperTerminal, Tera Term ou tout autre logiciel indiqué par votre formateur). 2. Configurez les paramètres logiciels propres à votre application (pour de l’aide supplémentaire, voir les annexes). 3. Lorsque la fenêtre du terminal est ouverte, appuyez sur la touche Entrée. Le routeur doit répondre. Dans ce cas, la connexion est réussie. En l’absence de connexion, recherchez les causes du problème. Par exemple, vérifiez que le routeur est sous tension. Vérifiez la connexion au port série sur le PC et au port console sur le routeur. Tâche 4 : rffacement et recharge des informations des routeurs Étape 1 : dans la session HyperTerminal de la tâche 3, accès au mode EXEC privilégié sur R1 Router>enable Router# Étape 2 : effacement de la configuration Pour effacer la configuration, lancez la commande erase startup-config. Lorsqu'un message vous y invite, confirmez la commande et répondez no à la demande d’enregistrement des modifications. Le résultat doit être similaire à celui-ci : Router#erase startup-config Erasing the nvram filesystem will remove all files! Continue? [confirm] [OK] Erase of nvram: complete Router# Étape 3 : rechargement de la configuration Au retour de l’invite, lancez la commande reload. Lorsqu'un message vous y invite, confirmez la commande. Dès que le routeur a terminé l’amorçage, choisissez de ne pas utiliser la fonction AutoInstall : Would you like to enter the initial configuration dialog? [yes/no]: no Would you like to terminate autoinstall? [yes]: Press Enter to accept default. Copyright sur l’intégralité du contenu © 1992 – 2007 Cisco Systems, Inc. Tous droits réservés. Ce document contient des informations publiques Cisco. Page 4 sur 30 Press RETURN to get started!
  • 6.
    CCNA Exploration Protocoles etconcepts de routage : Présentation du routage et du transfert de paquets Travaux pratiques 1.5.1 : câblage d’un réseau et configuration de base des routeurs Étape 4 : ouverture d’une session HyperTerminal avec R2 Recommencez les étapes 1 à 3 pour supprimer tout fichier de configuration de démarrage éventuellement présent. Tâche 5 : principes élémentaires de la ligne de commande Étape 1 : ouverture d’une session HyperTerminal avec le routeur R1 Étape 2 : activation du mode EXEC privilégié Router>enable Router# Étape 3 : saisie d’une commande incorrecte et la réponse du routeur Router#comfigure terminal ^ % Invalid input detected at '^' marker. Router# Les erreurs sur la ligne de commande sont principalement des erreurs de frappe. En cas de saisie incorrecte d’un mot-clé de commande, l’interface utilisateur utilise l’accent circonflexe (^) pour identifier et isoler l’erreur. Ce signe est inséré dans la chaîne de commande, à l’endroit ou près de l’endroit où se trouve une commande, un mot-clé ou un argument erroné. Étape 4 : correction de la commande précédente Si une commande est entrée incorrectement et que vous appuyez sur la touche Entrée, vous pouvez appuyer sur la flèche Haut pour répéter la dernière commande. Utilisez les flèches Droite et Gauche pour placer le curseur à l’emplacement de l’erreur. Effectuez ensuite la correction. Si une suppression est nécessaire, utilisez la touche Retour arrière. Utilisez les touches de direction et la touche Retour arrière pour corriger la commande en configure terminal, et appuyez sur Entrée. Router#configure terminal Tapez les commandes de configuration (une par ligne). Terminez par CNTL/Z. Router(config)# Étape 5 : retour en mode EXEC privilégié à l’aide de la commande exit Router(config)# exit %SYS-5-CONFIG_I: Configured from console by console Router# Étape 6 : examen des commandes possibles pour le mode d’exécution privilégié Si vous entrez un point d’interrogation (?) à l’invite, la liste des commandes disponibles s’affiche. Router#? Exec commands: <1-99> Session number to resume clear Reset functions clock Manage the system clock configure Enter configuration mode Copyright sur l’intégralité du contenu © 1992 – 2007 Cisco Systems, Inc. Tous droits réservés. Ce document contient des informations publiques Cisco. Page 5 sur 30
  • 7.
    CCNA Exploration Protocoles etconcepts de routage : Présentation du routage et du transfert de paquets Travaux pratiques 1.5.1 : câblage d’un réseau et configuration de base des routeurs connect Open a terminal connection copy Copy from one file to another debug Debugging functions (see also 'undebug') delete Delete a file dir List files on a filesystem disable Turn off privileged commands disconnect Disconnect an existing network connection enable Turn on privileged commands erase Erase a filesystem exit Exit from the EXEC logout Exit from the EXEC no Disable debugging informations ping Send echo messages reload Halt and perform a cold restart resume Resume an active network connection setup Run the SETUP command facility show Show running system information --More-- Remarquez la ligne --More-- à la fin du résultat de la commande. L’invite --More-- indique que le résultat comporte plusieurs écrans. Dès que vous voyez une invite --More--, vous pouvez appuyer sur la touche Espace pour afficher l’écran suivant. Pour afficher uniquement la ligne suivante, appuyez sur la touche Entrée. Appuyez sur une autre touche pour retourner à l’invite. Étape 7 : affichage du résultat Pour afficher le reste du résultat de la commande, appuyez sur la touche Espace. Le reste du résultat s’affiche à la place de l’invite --More--. telnet Open a telnet connection traceroute Trace route to destination undebug Disable debugging functions (see also 'debug') vlan Configure VLAN parameters write Write running configuration to memory, network, or terminal Étape 8 : désactivation du mode d’exécution privilégié à l’aide de la commande exit Router#exit Le résultat suivant doit s’afficher : Router con0 is now available Press RETURN to get started. Étape 9 : utilisation de la touche Entrée pour passer en mode d’exécution utilisateur L’invite Router> doit être visible. Étape 10 : saisie d’une commande IOS abrégée Vous pouvez abréger les commandes IOS, du moment que vous entrez suffisamment de caractères pour qu’IOS reconnaisse la commande voulue. Copyright sur l’intégralité du contenu © 1992 – 2007 Cisco Systems, Inc. Tous droits réservés. Ce document contient des informations publiques Cisco. Page 6 sur 30
  • 8.
    CCNA Exploration Protocoles etconcepts de routage : Présentation du routage et du transfert de paquets Travaux pratiques 1.5.1 : câblage d’un réseau et configuration de base des routeurs Entrez uniquement le caractère e à l’invite de commande et observez le résultat. Router>e % Ambiguous command: "e" Router> Entrez à présent en à l’invite de commande et observez le résultat. Router>en Router# La commande abrégée en contient suffisamment de caractères pour qu’IOS puisse distinguer la commande enable de la commande exit. Étape 11 : utilisation de la touche Tab après une commande abrégée pour utiliser la fonction de fin de saisie automatique Si vous saisissez une commande abrégée, comme conf, puis appuyez sur Tab, le nom partiel de la commande est complété. Cette fonctionnalité d’IOS porte le nom de fin de saisie automatique. Entrez la commande abrégée conf, appuyez sur Tab et observez le résultat. Router#conf Router#configure La fonction de fin de saisie automatique est utilisable si vous tapez suffisamment de caractères pour qu’IOS reconnaisse la commande voulue. Étape 12 : saisie des commandes IOS dans le mode adapté Les commandes IOS doivent être entrées dans le mode adapté. Par exemple, vous ne pouvez pas modifier la configuration en mode privilégié. Essayez d’entrer la commande hostname R1 en mode privilégié et observez le résultat. Router#hostname R1 ^ % Invalid input detected at '^' marker. Router# Tâche 6 : exécution d’une configuration de base du routeur R1 Étape 1 : ouverture d’une session HyperTerminal avec le routeur R1 Étape 2 : activation du mode d’exécution privilégié Router>enable Router# Étape 3 : activation du mode de configuration globale Router#configure terminal Tapez les commandes de configuration (une par ligne). Terminez par CNTL/Z. Router(config)# Copyright sur l’intégralité du contenu © 1992 – 2007 Cisco Systems, Inc. Tous droits réservés. Ce document contient des informations publiques Cisco. Page 7 sur 30
  • 9.
    CCNA Exploration Protocoles etconcepts de routage : Présentation du routage et du transfert de paquets Travaux pratiques 1.5.1 : câblage d’un réseau et configuration de base des routeurs Étape 4 : configuration du nom du routeur en tant que R1 À l’invite de la commande, entrez hostname R1. Router(config)#hostname R1 R1(config)# Étape 5 : désactivation de la recherche DNS avec la commande no ip domain-lookup R1(config)#no ip domain-lookup R1(config)# Pourquoi désactiver la recherche DNS dans des travaux pratiques ? ___________________________________________________________________________________ ___________________________________________________________________________________ Que se passerait-il si vous désactiviez la recherche DNS en production ? ___________________________________________________________________________________ ___________________________________________________________________________________ Étape 6 : configuration d’un mot de passe pour le mode EXEC Lancez la commande enable secret mot de passe pour configurer un mot de passe pour le mode d’exécution. Indiquez class comme mot de passe. R1(config)#enable secret class R1(config)# La commande enable secret offre une couche supplémentaire de sécurité par rapport à la commande enable password. En effet, elle conserve le mot de passe d’enable secret à l’aide d’une fonction cryptographique irréversible. La couche de sécurité supplémentaire que procure le chiffrement est utile dans les environnements où le mot de passe transite par le réseau ou est conservé sur un serveur FTP. Lorsque les mots de passe d’enable password et d’enable secret sont tous les deux activés, le Étape 7 : suppression du mot de passe enable password Comme enable secret est configuré, enable password n’est plus nécessaire. Il est possible de supprimer les commandes IOS dans la configuration en spécifiant no devant la commande. R1(config)#no enable password R1(config)# Copyright sur l’intégralité du contenu © 1992 – 2007 Cisco Systems, Inc. Tous droits réservés. Ce document contient des informations publiques Cisco. Page 8 sur 30
  • 10.
    CCNA Exploration Protocoles etconcepts de routage : Présentation du routage et du transfert de paquets Travaux pratiques 1.5.1 : câblage d’un réseau et configuration de base des routeurs Étape 8 : configuration d’une bannière de message du jour à l’aide de la commande banner motd R1(config)#banner motd & Enter TEXT message. End with the character '&'. ******************************** !!!AUTHORIZED ACCESS ONLY!!! ******************************** & R1(config)# Quand cette bannière s’affiche-t-elle ? ___________________________________________________________________________________ ___________________________________________________________________________________ Pourquoi chaque routeur doit-il avoir une bannière de message du jour ? ___________________________________________________________________________________ ___________________________________________________________________________________ Étape 9 : configuration du mot de passe de la console sur le routeur Entrez le mot de passe cisco. Quittez ensuite le mode de configuration de ligne. R1(config)#line console 0 R1(config-line)#password cisco R1(config-line)#login R1(config-line)#exit R1(config)# Étape 10 : configuration du mot de passe pour les lignes de terminal virtuel Entrez le mot de passe cisco. Quittez ensuite le mode de configuration de ligne. R1(config)#line vty 0 4 R1(config-line)#password cisco R1(config-line)#login R1(config-line)#exit R1(config)# Étape 11 : configuration de l’interface FastEthernet 0/0 avec l’adresse IP 192.168.1.1/24 R1(config)#interface fastethernet 0/0 R1(config-if)#ip address 192.168.1.1 255.255.255.0 R1(config-if)#no shutdown %LINK-5-CHANGED: Interface FastEthernet0/0, changed state to up %LINEPROTO-5-UPDOWN: Line protocol on Interface FastEthernet0/0, changed state to up R1(config-if)# Étape 12 : utilisation de la commande description pour obtenir une description de cette interface R1(config-if)#description R1 LAN R1(config-if)# Étape 13 : configuration de l’interface Serial0/0/0 avec l’adresse IP 192.168.2.1/24 Réglez la fréquence d'horloge sur 64 000. Copyright sur l’intégralité du contenu © 1992 – 2007 Cisco Systems, Inc. Tous droits réservés. Ce document contient des informations publiques Cisco. Page 9 sur 30
  • 11.
    CCNA Exploration Protocoles etconcepts de routage : Présentation du routage et du transfert de paquets Travaux pratiques 1.5.1 : câblage d’un réseau et configuration de base des routeurs Remarque : puisque les routeurs de ces travaux pratiques ne sont pas connectés à une ligne louée active, un des routeurs devra se charger de la synchronisation du circuit. Cette synchronisation est normalement assurée par le fournisseur de services. Pour fournir le signal de synchronisation des travaux pratiques, un des routeurs doit avoir le rôle d’ETCD sur la connexion. Cette fonction s’obtient en appliquant la commande clock rate 64000 à l’interface Serial 0/0/0, là où l’extrémité ETCD du câble Null modem a été connectée. L’intérêt de la commande clock rate est traité ultérieurement au chapitre 2, « Routes statiques ». R1(config-if)#interface serial 0/0/0 R1(config-if)#ip address 192.168.2.1 255.255.255.0 R1(config-if)#clock rate 64000 R1(config-if)#no shutdown R1(config-if)# Remarque : l’interface n’est pas activée tant que l’interface série de R2 n’est pas configurée et activée. Étape 14 : utilisation de la commande description pour obtenir une description de cette interface R1(config-if)#description Link to R2 R1(config-if)# Étape 15 : utilisation de la commande end pour repasser en mode EXEC privilégié R1(config-if)#end R1# Étape 16 : enregistrement de la configuration de R1 enregistrez la configuration de R1 à l’aide de la commande copy running-config startup-config. R1#copy running-config startup-config Building configuration... [OK] R1# Tâche 7 : exécution d’une configuration de base du routeur R2 Étape 1 : répétition des étapes 1 à 10 à partir de la tâche 6 pour R2 Étape 2 : configuration de l’interface Serial 0/0/0 avec l’adresse IP 192.168.2.2/24 R2(config)#interface serial 0/0/0 R2(config-if)#ip address 192.168.2.2 255.255.255.0 R2(config-if)#no shutdown %LINK-5-CHANGED: Interface Serial0/0/0, changed state to up %LINEPROTO-5-UPDOWN: Line protocol on Interface Serial0/0/0, changed state to up R2(config-if)# Copyright sur l’intégralité du contenu © 1992 – 2007 Cisco Systems, Inc. Tous droits réservés. Ce document contient des informations publiques Cisco. Page 10 sur 30
  • 12.
    CCNA Exploration Protocoles etconcepts de routage : Présentation du routage et du transfert de paquets Travaux pratiques 1.5.1 : câblage d’un réseau et configuration de base des routeurs Étape 3 : utilisation de la commande description pour obtenir une description de cette interface R1(config-if)#description Link to R1 R1(config-if)# Étape 4 : configuration de l’interface FastEthernet 0/0 avec l’adresse IP 192.168.3.1/24 R2(config-if)#interface fastethernet 0/0 R2(config-if)#ip address 192.168.3.1 255.255.255.0 R2(config-if)#no shutdown %LINK-5-CHANGED: Interface FastEthernet0/0, changed state to up %LINEPROTO-5-UPDOWN: Line protocol on Interface FastEthernet0/0, changed state to up R2(config-if)# Étape 5 : utilisation de la commande description pour obtenir une description de cette interface R1(config-if)#description R2 LAN R1(config-if)# Étape 6 : utilisation de la commande end pour repasser en mode privilégié R2(config-if)#end R2# Étape 7 : enregistrement de la configuration de R2 Enregistrez la configuration de R2 à l’aide de la commande copy running-config startup-config. R2#copy running-config startup-config Building configuration... [OK] R2# Tâche 8 : configuration des adresses IP sur les ordinateurs hôtes Étape 1 : configuration de l’hôte PC1 Configurez l’ordinateur hôte PC1 connecté à R1 avec une adresse IP 192.168.1.10/24 et une passerelle par défaut 192.168.1.1. Étape 2 : configuration de l’hôte PC2 Configurez l’ordinateur hôte PC2 connecté à R2 avec une adresse IP 192.168.3.10/24 et une passerelle par défaut 192.168.3.1. Tâche 9 : examen des commandes show des routeurs Il existe de nombreuses commandes show utilisables pour examiner le fonctionnement du routeur. Dans les modes d’exécution privilégié et utilisateur, la commande show ? présente la liste des commandes show disponibles. Cette liste est beaucoup plus longue en mode privilégié qu’en mode utilisateur. Copyright sur l’intégralité du contenu © 1992 – 2007 Cisco Systems, Inc. Tous droits réservés. Ce document contient des informations publiques Cisco. Page 11 sur 30
  • 13.
    CCNA Exploration Protocoles etconcepts de routage : Présentation du routage et du transfert de paquets Travaux pratiques 1.5.1 : câblage d’un réseau et configuration de base des routeurs Étape 1 : examen de la commande show running-config La commande show running-config affiche le contenu du fichier de configuration en cours d’exécution. En mode d’exécution privilégié sur le routeur R1, examinez le résultat de la commande show running- config. Si l’invite –-More–- apparaît, appuyez sur la touche Espace pour afficher le reste du résultat. R1#show running-config ! version 12.3 ! hostname R1 ! ! enable secret 5 $1$AFDd$0HCi0iYHkEWR4cegQdTQu/ ! no ip domain-lookup ! interface FastEthernet0/0 description R1 LAN mac-address 0007.eca7.1511 ip address 192.168.1.1 255.255.255.0 duplex auto speed auto ! interface FastEthernet0/1 mac-address 0001.42dd.a220 no ip address duplex auto speed auto shutdown ! interface Serial0/0 description Link to R2 ip address 192.168.2.1 255.255.255.0 clock rate 64000 ! interface Serial0/1 no ip address shutdown ! interface Vlan1 no ip address shutdown ! ip classless ! ! ! ! line con 0 password cisco line vty 0 4 password cisco login ! end Copyright sur l’intégralité du contenu © 1992 – 2007 Cisco Systems, Inc. Tous droits réservés. Ce document contient des informations publiques Cisco. Page 12 sur 30
  • 14.
    CCNA Exploration Protocoles etconcepts de routage : Présentation du routage et du transfert de paquets Travaux pratiques 1.5.1 : câblage d’un réseau et configuration de base des routeurs Étape 2 : examen de la commande show startup-config La commande show startup-config affiche le fichier de configuration de démarrage en mémoire NVRAM. En mode d’exécution privilégié sur le routeur R1, examinez le résultat de la commande show startup-config. Si l’invite –-More-- apparaît, appuyez sur la touche Espace pour afficher le reste du résultat. R1#show startup-config Using 583 bytes ! version 12.3 ! hostname R1 ! ! no ip domain-lookup ! interface FastEthernet0/0 description R1 LAN mac-address 0007.eca7.1511 ip address 192.168.1.1 255.255.255.0 duplex auto speed auto ! interface FastEthernet0/1 mac-address 0001.42dd.a220 no ip address duplex auto speed auto shutdown ! interface Serial0/0 description Link to R2 ip address 192.168.2.1 255.255.255.0 clock rate 64000 ! interface Serial0/1 no ip address shutdown ! interface Vlan1 no ip address shutdown ! ip classless ! ! ! ! line con 0 password cisco line vty 0 4 password cisco login ! end Copyright sur l’intégralité du contenu © 1992 – 2007 Cisco Systems, Inc. Tous droits réservés. Ce document contient des informations publiques Cisco. Page 13 sur 30
  • 15.
    CCNA Exploration Protocoles etconcepts de routage : Présentation du routage et du transfert de paquets Travaux pratiques 1.5.1 : câblage d’un réseau et configuration de base des routeurs Étape 3 : examen de la commande show interfaces La commande show interfaces affiche des statistiques pour toutes les interfaces configurées sur le routeur. Il est possible d’ajouter une interface donnée à la fin de cette commande pour afficher uniquement les statistiques pour cette interface. En mode d’exécution privilégié sur le routeur R1, examinez le résultat de la commande show interfaces fastEthernet0/0. Si l’invite –-More-- apparaît, appuyez sur la touche Espace pour afficher le reste du résultat. R1# show interfaces fastEthernet 0/0 FastEthernet0/0 is up, line protocol is up (connected) Hardware is Lance, address is 0007.eca7.1511 (bia 0002.1625.1bea) Description: R1 LAN Internet address is 192.168.1.1/24 MTU 1500 bytes, BW 100000 Kbit, DLY 100 usec, rely 255/255, load 1/255 Encapsulation ARPA, loopback not set ARP type: ARPA, ARP Timeout 04:00:00, Last input 00:00:08, output 00:00:05, output hang never Last clearing of "show interface" counters never Queueing strategy: fifo Output queue :0/40 (size/max) 5 minute input rate 0 bits/sec, 0 packets/sec 5 minute output rate 0 bits/sec, 0 packets/sec 0 packets input, 0 bytes, 0 no buffer Received 0 broadcasts, 0 runts, 0 giants, 0 throttles 0 input errors, 0 CRC, 0 frame, 0 overrun, 0 ignored, 0 abort 0 input packets with dribble condition detected 0 packets output, 0 bytes, 0 underruns 0 output errors, 0 collisions, 1 interface resets 0 babbles, 0 late collision, 0 deferred 0 lost carrier, 0 no carrier 0 output buffer failures, 0 output buffers swapped out R1# Étape 4 : examen de la commande show version La commande show version affiche des informations sur la version logicielle actuellement chargée avec les informations sur le matériel et les périphériques. En mode d’exécution privilégié sur le routeur R1, examinez le résultat de la commande show version. Si l’invite –-More-- apparaît, appuyez sur la touche Espace pour afficher le reste du résultat. R1#show version Cisco IOS Software, 1841 Software (C1841-IPBASE-M), Version 12.3(14)T7, RELEASE SOFTWARE (fc2) Technical Support: http://www.cisco.com/techsupport Copyright (c) 1986-2006 by Cisco Systems, Inc. Compiled Mon 15-May-06 14:54 by pt_team ROM: System Bootstrap, Version 12.3(8r)T8, RELEASE SOFTWARE (fc1) System returned to ROM by power-on System image file is "flash:c1841-ipbase-mz.123-14.T7.bin" This product contains cryptographic features and is subject to United States and local country laws governing import, export, transfer and use. Delivery of Cisco cryptographic products does not imply third-party authority to import, export, distribute or use encryption. Importers, exporters, distributors and users are responsible for Copyright sur l’intégralité du contenu © 1992 – 2007 Cisco Systems, Inc. Tous droits réservés. Ce document contient des informations publiques Cisco. Page 14 sur 30
  • 16.
    CCNA Exploration Protocoles etconcepts de routage : Présentation du routage et du transfert de paquets Travaux pratiques 1.5.1 : câblage d’un réseau et configuration de base des routeurs compliance with U.S. and local country laws. By using this product you agree to comply with applicable laws and regulations. If you are unable to comply with U.S. and local laws, return this product immediately. A summary of U.S. laws governing Cisco cryptographic products may be found at: http://www.cisco.com/wwl/export/crypto/tool/stqrg.html If you require further assistance please contact us by sending email to export@cisco.com. Cisco 1841 (revision 5.0) with 114688K/16384K bytes of memory. Processor board ID FTX0947Z18E M860 processor: part number 0, mask 49 2 FastEthernet/IEEE 802.3 interface(s) 2 Low-speed serial(sync/async) network interface(s) 191K bytes of NVRAM. 31360K bytes of ATA CompactFlash (Read/Write) Configuration register is 0x2102 R1# Étape 5 : examen de la commande show ip interface brief La commande show ip interface brief affiche un récapitulatif des informations sur l'état de chaque interface. En mode d’exécution privilégié sur le routeur R1, examinez le résultat de la commande show ip interface brief. Si l’invite –-More-- apparaît, appuyez sur la touche Espace pour afficher le reste du résultat. R1#show ip interface brief Interface IP-Address OK? Method Status Protocol FastEthernet0/0 192.168.1.1 YES manual up up FastEthernet0/1 unassigned YES manual administratively down down Serial0/0/0 192.168.2.1 YES manual up up Serial0/0/1 unassigned YES manual administratively down down Vlan1 unassigned YES manual administratively down down R1# Tâche 10 : utilisation de la commande ping La commande ping est un outil pratique de dépannage des couches 1 à 3 du modèle de référence OSI et de diagnostic de la connectivité réseau de base. Vous pouvez exécuter cette commande en mode utilisateur ou privilégié. La commande ping envoie un paquet ICMP (Internet Control Message Protocol) au périphérique spécifié et attend une réponse. Vous pouvez envoyer des tests ping depuis un routeur ou un PC hôte. Copyright sur l’intégralité du contenu © 1992 – 2007 Cisco Systems, Inc. Tous droits réservés. Ce document contient des informations publiques Cisco. Page 15 sur 30
  • 17.
    CCNA Exploration Protocoles etconcepts de routage : Présentation du routage et du transfert de paquets Travaux pratiques 1.5.1 : câblage d’un réseau et configuration de base des routeurs Étape 1 : utilisation de la commande ping pour tester la connectivité entre le routeur R1 et PC1 R1#ping 192.168.1.10 Type escape sequence to abort. Sending 5, 100-byte ICMP Echos to 192.168.1.10, timeout is 2 seconds: .!!!! Success rate is 80 percent (4/5), round-trip min/avg/max = 72/79/91 ms Chaque point d'exclamation (!) indique un écho réussi. Chaque point (.) indique que l’application sur le routeur est temporisée pendant qu'elle attend un paquet d'écho d’une cible. Le premier paquet ping a échoué car le routeur ne disposait pas d’une entrée de table ARP correspondant à l’adresse de destination du paquet IP. En l’absence d’entrée dans la table ARP, le paquet est abandonné. Le routeur envoie ensuite une requête ARP, reçoit une réponse et ajoute l’adresse MAC à la table ARP. Le transfert du paquet ping suivant est réussi. Étape 2 : nouvelle commande ping entre R1 et PC1 R1#ping 192.168.1.10 Type escape sequence to abort. Sending 5, 100-byte ICMP Echos to 192.168.1.10, timeout is 2 seconds: !!!!! Success rate is 100 percent (5/5), round-trip min/avg/max = 72/83/93 ms R1# Dans ce cas, tous les paquets ping ont abouti car le routeur comporte une entrée pour l’adresse IP de destination dans la table ARP. Étape 3 : envoi d’un paquet ping étendu entre R1 et PC1 Entrez ping à l’invite d’exécution privilégiée et appuyez sur Entrée. Répondez comme suit aux invites suivantes : R1#ping Protocol [ip]: Target IP address: 192.168.1.10 Repeat count [5]: 10 Datagram size [100]: Timeout in seconds [2]: Extended commands [n]: Sweep range of sizes [n]: Type escape sequence to abort. Sending 10, 100-byte ICMP Echos to 192.168.1.10, timeout is 2 seconds: !!!!!!!!!! Success rate is 100 percent (10/10), round-trip min/avg/max = 53/77/94 ms R1# Copyright sur l’intégralité du contenu © 1992 – 2007 Cisco Systems, Inc. Tous droits réservés. Ce document contient des informations publiques Cisco. Page 16 sur 30
  • 18.
    CCNA Exploration Protocoles etconcepts de routage : Présentation du routage et du transfert de paquets Travaux pratiques 1.5.1 : câblage d’un réseau et configuration de base des routeurs Étape 4 : envoi d’un paquet ping entre PC1 et R1 Sous Windows, choisissez Démarrer > Programmes > Accessoires > Invite de commandes. Dans la fenêtre Invite de commandes, lancez la commande suivante pour envoyer un paquet ping à R1 : C:> ping 192.168.1.1 Cette commande doit réussir. Étape 5 : envoi d’un paquet ping étendu entre PC1 et R1 Entrez la commande suivante à l’invite de commande Windows : C:>ping 192.168.1.1 –n 10 Cette commande doit renvoyer 10 réponses positives. Tâche 11 : utilisation de traceroute La commande traceroute est un excellent utilitaire de dépannage du chemin parcouru par un paquet dans un interréseau de routeurs. Elle permet d'identifier les liaisons et les routeurs problématiques tout au long du chemin. Elle utilise des paquets ICMP et les messages d'erreur générés par les routeurs lorsque la durée de vie d’un paquet est dépassée. Cette commande peut être exécutée en mode utilisateur ou privilégié. La version Windows de cette commande est tracert. Étape 1 : utilisation de la commande traceroute à l’invite d’exécution privilégiée sur R1 pour connaître le chemin que suivra un paquet entre le routeur R1 et PC1 R1#traceroute 192.168.1.10 Type escape sequence to abort. Tracing the route to 192.168.1.10 1 192.168.1.10 103 msec 81 msec 70 msec R1# Étape 2 : utilisation de la commande tracert à l’invite de commande Windows pour connaître le chemin que suivra un paquet entre le routeur R1 et PC1 C:>tracert 192.168.1.1 Tracing route to 192.168.1.1 over a maximum of 30 hops: 1 71 ms 70 ms 73 ms 192.168.1.1 Trace complete. C:> Copyright sur l’intégralité du contenu © 1992 – 2007 Cisco Systems, Inc. Tous droits réservés. Ce document contient des informations publiques Cisco. Page 17 sur 30
  • 19.
    CCNA Exploration Protocoles etconcepts de routage : Présentation du routage et du transfert de paquets Travaux pratiques 1.5.1 : câblage d’un réseau et configuration de base des routeurs Tâche 12 : vréation d’un fichier start.txt Il est possible de capturer la configuration d’un routeur dans un fichier texte (.txt) que vous enregistrez pour l’utiliser par la suite. Vous pouvez recopier la configuration dans le routeur pour ne pas avoir à entrer les commandes une par une. Étape 1 : utilisation de la commande show running-config pour afficher la configuration actuelle du routeur R1#show running-config ! version 12.3 ! hostname R1 ! ! enable secret 5 $1$J.hq$Ds72Qz86tvpcuW2X3FqBS. ! no ip domain-lookup ! interface FastEthernet0/0 description R1 LAN mac-address 0007.eca7.1511 ip address 192.168.1.1 255.255.255.0 duplex auto speed auto ! interface FastEthernet0/1 mac-address 0001.42dd.a220 no ip address duplex auto speed auto shutdown ! interface Serial0/0 description Link to R2 ip address 192.168.2.1 255.255.255.0 clock rate 64000 ! interface Serial0/1 no ip address shutdown ! interface Vlan1 no ip address shutdown ! ip classless ! ! ! ! line con 0 password cisco Copyright sur l’intégralité du contenu © 1992 – 2007 Cisco Systems, Inc. Tous droits réservés. Ce document contient des informations publiques Cisco. Page 18 sur 30
  • 20.
    CCNA Exploration Protocoles etconcepts de routage : Présentation du routage et du transfert de paquets Travaux pratiques 1.5.1 : câblage d’un réseau et configuration de base des routeurs line vty 0 4 password cisco login ! end R1# Étape 2 : copie du résultat de la commande Sélectionnez le résultat de la commande. Dans le menu Edition du logiciel HyperTerminal, choisissez la commande Copier. Étape 3 : collage du résultat dans le Bloc-notes Ouvrez le Bloc-notes. Vous le trouvez généralement en sélectionnant Démarrer, puis Tous les programmes > Accessoires. Dans le menu Edition du Bloc-notes, cliquez sur Coller. Étape 4 : modification des commandes Il sera nécessaire de modifier ou d’ajouter certaines commandes pour appliquer le script de démarrage à un routeur. Voici des exemples de modifications : • ajouter une commande no shutdown aux interfaces FastEthernet et série utilisées ; • remplacer le texte chiffré de la commande enable secret par le mot de passe adapté ; • supprimer la commande mac-address des interfaces ; • supprimer la commande ip classless ; • supprimer les interfaces non utilisées. Procédez comme suit pour modifier le texte dans le fichier du Bloc-notes : hostname R1 ! ! enable secret class ! no ip domain-lookup ! interface FastEthernet0/0 description R1 LAN ip address 192.168.1.1 255.255.255.0 no shutdown duplex auto speed auto ! interface Serial0/0 description Link to R2 ip address 192.168.2.1 255.255.255.0 clock rate 64000 no shutdown ! ! Copyright sur l’intégralité du contenu © 1992 – 2007 Cisco Systems, Inc. Tous droits réservés. Ce document contient des informations publiques Cisco. Page 19 sur 30
  • 21.
    CCNA Exploration Protocoles etconcepts de routage : Présentation du routage et du transfert de paquets Travaux pratiques 1.5.1 : câblage d’un réseau et configuration de base des routeurs ! ! line con 0 password cisco line vty 0 4 password cisco login ! end Étape 5 : enregistrement du fichier ouvert dans le Bloc-notes sous le nom start.txt Tâche 13 : chargement du fichier start.txt sur le routeur R1 Étape 1 : effacement de la configuration de démarrage actuelle de R1 Lorsqu'un message vous y invite, confirmez la commande et répondez no à la demande d’enregistrement des modifications. Vous devez obtenir un résultat similaire à celui-ci : R1#erase startup-config Erasing the nvram filesystem will remove all files! Continue? [confirm] [OK] Erase of nvram: complete Router# Étape 2 : lancement de la commande reload au nouveau message d’invite Lorsqu'un message vous y invite, confirmez la commande. Dès que le routeur a terminé l’amorçage, choisissez de ne pas utiliser la fonction AutoInstall : Would you like to enter the initial configuration dialog? [yes/no]: no Would you like to terminate autoinstall? [yes]: Press Enter to accept default. Press RETURN to get started! Étape 3 : activation du mode de configuration globale Router#configure terminal Tapez les commandes de configuration (une par ligne). Terminez par CNTL/Z. Router(config)# Étape 4 : copie des commandes Dans le fichier start.txt créé dans le Bloc-notes, sélectionnez toutes les lignes et choisissez Édition > Copier. Étape 5 : choix de la commande Coller vers l’hôte dans le menu Edition du logiciel HyperTerminal Étape 6 : vérification de la configuration en cours Lorsque toutes les commandes collées sont appliquées, vérifiez à l’aide de la commande show running-config que la configuration actuelle est celle voulue. Copyright sur l’intégralité du contenu © 1992 – 2007 Cisco Systems, Inc. Tous droits réservés. Ce document contient des informations publiques Cisco. Page 20 sur 30
  • 22.
    CCNA Exploration Protocoles etconcepts de routage : Présentation du routage et du transfert de paquets Travaux pratiques 1.5.1 : câblage d’un réseau et configuration de base des routeurs Étape 7 : enregistrement de la configuration en cours Utilisez la commande copy running-config startup-config pour enregistrer la configuration en cours dans la mémoire NVRAM. R1#copy running-config startup-config Building configuration... [OK] R1# Copyright sur l’intégralité du contenu © 1992 – 2007 Cisco Systems, Inc. Tous droits réservés. Ce document contient des informations publiques Cisco. Page 21 sur 30
  • 23.
    CCNA Exploration Protocoles etconcepts de routage : Présentation du routage et du transfert de paquets Travaux pratiques 1.5.1 : câblage d’un réseau et configuration de base des routeurs Annexe 1 : installation et configuration de Tera Term en vue de son utilisation sous Windows XP Tera Term est un programme d’émulation de terminal gratuit pour Windows. Vous pouvez l’utiliser à la place de Windows HyperTerminal dans le cadre des travaux pratiques. Vous pouvez vous procurer Tera Term à l’adresse URL suivante : http://hp.vector.co.jp/authors/VA002416/teraterm.html Téléchargez le fichier « ttermp23.zip », décompressez-le et installez Tera Term. Étape 1 : ouverture du programme Tera Terminal Étape 2 : attribution d’un port série Pour utiliser Tera Term pour la connexion à la console du routeur, ouvrez la boîte de dialogue New connection et sélectionnez le port Serial. Étape 3 : définition des paramètres du port Serial Définissez les paramètres voulus pour le port dans la section Serial de la boîte de dialogue Tera Term:New Connection. Normalement, la connexion s’effectue par COM1. Si vous n’êtes pas sûr du port à utiliser, demandez à votre formateur. Étape 4 : configuration des paramètres Vous pouvez modifier certains paramètres Tera Term pour faciliter son utilisation. Dans le menu Setup > Terminal, cochez la case Term size = win size. Le résultat de la commande reste ainsi visible lorsque la fenêtre Tera Term est redimensionnée. Copyright sur l’intégralité du contenu © 1992 – 2007 Cisco Systems, Inc. Tous droits réservés. Ce document contient des informations publiques Cisco. Page 22 sur 30
  • 24.
    CCNA Exploration Protocoles etconcepts de routage : Présentation des routeurs Copyright sur l’intégralité du contenu © 1992 – 2007 Cisco Systems, Inc. Tous droits réservés. Ce document contient des informations publiques Cisco. Page 23 sur 30 du routage et du transfert de paquets Travaux pratiques 1.5.1 : câblage d’un réseau et configuration de base Étape 5 : changement du nombre de mémoires tampon de défilement Dans le menu Setup > Window, modifiez le nombre de lignes de la mémoire tampon de défilement avec un nombre supérieur à 100. Ce réglage permet de faire défiler et d’afficher les précédentes commandes avec leur résultat. S’il existe uniquement 100 lignes disponibles en mémoire tampon, seules les 100 dernières lignes du résultat sont visibles. Dans l’exemple ci-dessous, la mémoire tampon de défilement est modifiée pour conserver 1000 lignes.
  • 25.
    CCNA Exploration Protocoles etconcepts de routage : Présentation du routage et du transfert de paquets Travaux pratiques 1.5.1 : câblage d’un réseau et configuration de base des routeurs Annexe 2 : vonfiguration de Tera Term comme client Telnet par défaut sous Windows XP Il est possible de configurer Windows pour qu’il utilise par défaut HyperTerminal comme client Telnet. Vous pouvez également configurer Windows pour qu’il utilise la version DOS de Telnet. Dans l’environnement NetLab, vous pouvez modifier le client Telnet en client Telnet local, ce qui signifie que NetLab ouvre le client Telnet par défaut en cours dans Windows. Vous pouvez adopter HyperTerminal ou la version DOS de Telnet intégrée au système d’exploitation Windows. Pour que votre client Telnet par défaut soit Tera Term (ou tout autre client Telnet), procédez comme suit : Étape 1 : affichage des Options des dossiers Cliquez deux fois sur Poste de travail, puis choisissez Outils > Options des dossiers. Étape 2 : accès à (AUCUN) URL : Protocole Telnet Cliquez sur l’onglet Types de fichiers et faites défiler la liste Types de fichiers enregistrés : jusqu’à ce que vous trouviez l’entrée (AUCUN) URL : Protocole Telnet. Sélectionnez-la et cliquez sur le bouton Avancé. Copyright sur l’intégralité du contenu © 1992 – 2007 Cisco Systems, Inc. Tous droits réservés. Ce document contient des informations publiques Cisco. Page 24 sur 30
  • 26.
    CCNA Exploration Protocoles etconcepts de routage : Présentation du routage et du transfert de paquets Travaux pratiques 1.5.1 : câblage d’un réseau et configuration de base des routeurs Étape 3 : modification de l’action open Dans la boîte de dialogue Modification du type de fichier, cliquez sur Modifier pour modifier l’action open. Étape 4 : modification de l’application Dans la boîte de dialogue Modification de l’action pour le type : URL : Protocole Telnet, la zone Application utilisée pour exécuter cette action contient actuellement HyperTerminal. Cliquez sur Parcourir pour modifier l’application. Copyright sur l’intégralité du contenu © 1992 – 2007 Cisco Systems, Inc. Tous droits réservés. Ce document contient des informations publiques Cisco. Page 25 sur 30
  • 27.
    CCNA Exploration Protocoles etconcepts de routage : Présentation du routage et du transfert de paquets Travaux pratiques 1.5.1 : câblage d’un réseau et configuration de base des routeurs Étape 5 : ouverture de ttermpro.exe Naviguez jusqu’au dossier d’installation de Tera Term. Cliquez sur le fichier ttermpro.exe pour indiquer ce programme pour l’action open, puis cliquez sur Ouvrir. Étape 6 : confirmation de ttermpro.exe et fermeture Cliquez deux fois sur OK, puis sur Fermer pour fermer la boîte de dialogue Options des dossiers. Le client Telnet par défaut de Windows est à présent Tera Term. Copyright sur l’intégralité du contenu © 1992 – 2007 Cisco Systems, Inc. Tous droits réservés. Ce document contient des informations publiques Cisco. Page 26 sur 30
  • 28.
    CCNA Exploration Protocoles etconcepts de routage : Présentation du routage et d iguration de base des routeurs Copyright sur l’intégralité du contenu © 1992 – 2007 Cisco Systems, Inc. Tous droits réservés. Ce document contient des informations publiques Cisco. Page 27 sur 30 u transfert de paquets Travaux pratiques 1.5.1 : câblage d’un réseau et conf
  • 29.
    CCNA Exploration Protocoles etconcepts de routage : Présentation du routage et du transfert de paquets Travaux pratiques 1.5.1 : câblage d’un réseau et configuration de base des routeurs Annexe 3 : accès à HyperTerminal et configuration Dans la plupart des versions de Windows, vous pouvez trouver HyperTerminal en naviguant dans Démarrer > Tous les programmes > Accessoires > Communications > HyperTerminal. Étape 1 : création d’une connexion Ouvrez HyperTerminal pour créer une nouvelle connexion avec le routeur. Entrez une description appropriée dans la boîte de dialogue Description de la connexion, puis cliquez sur OK. Étape 2 : attribution du port COM1 Dans la boîte de dialogue Connexion, vérifiez que le port série correct est sélectionné dans le champ Connecter en utilisant. Certains PC sont équipés de plusieurs ports COM. Cliquez sur OK. Copyright sur l’intégralité du contenu © 1992 – 2007 Cisco Systems, Inc. Tous droits réservés. Ce document contient des informations publiques Cisco. Page 28 sur 30
  • 30.
    CCNA Exploration Protocoles etconcepts de routage : Présentation du routage et du iguration de base des routeurs Copyright sur l’intégralité du contenu © 1992 – 2007 Cisco Systems, Inc. Tous droits réservés. Ce document contient des informations publiques Cisco. Page 29 sur 30 transfert de paquets Travaux pratiques 1.5.1 : câblage d’un réseau et conf Étape 3 : définition des propriétés de COM1 Dans la boîte de dialogue Propriétés de COM1, dans Paramètres du port, il suffit normalement de cliquer sur Paramètres par défaut pour définir les propriétés voulues. Si ce n’est pas le cas, définissez les propriétés d’après les valeurs indiquées dans l’illustration suivante, puis cliquez sur OK.
  • 31.
    CCNA Exploration Protocoles etconcepts de routage : Présentation du routage et du transfert de paquets Travaux pratiques 1.5.1 : câblage d’un réseau et configuration de base des routeurs Copyright sur l’intégralité du contenu © 1992 – 2007 Cisco Systems, Inc. Tous droits réservés. Ce document contient des informations publiques Cisco. Page 30 sur 30 Étape 4 : vérification de la connexion Vous devez alors avoir une connexion console au routeur. Appuyez sur Entrée pour afficher l’invite du routeur.
  • 32.
    Copyright sur l’intégralitédu contenu © 1992 – 2007 Cisco Systems, Inc. Tous droits réservés. Ce document contient des informations publiques Cisco. Page 1 sur 9 Travaux pratiques 1.5.2 : configuration des paramètres de base d’un routeur Diagramme de topologie Table d’adressage Périphérique Interface Adresse IP Masque de sous-réseau Passerelle par défaut : R1 Fa0/0 192.168.1.1 255.255.255.0 s/o S0/0/0 192.168.2.1 255.255.255.0 s/o R2 Fa0/0 192.168.3.1 255.255.255.0 s/o S0/0/0 192.168.2.2 255.255.255.0 s/o PC1 s/o 192.168.1.10 255.255.255.0 192.168.1.1 PC2 s/o 192.168.3.10 255.255.255.0 192.168.3.1 Objectifs pédagogiques À l’issue de ces travaux pratiques, vous serez en mesure d’effectuer les tâches suivantes :  Câbler un réseau conformément au diagramme de topologie  Effacer la configuration de démarrage et recharger un routeur dans son état par défaut  Exécuter des tâches de configuration de base sur un routeur  Configurer et activer les interfaces Ethernet  Tester et vérifier les configurations  Réfléchir à l’implémentation du réseau et fournir la documentation associée Scénario Au cours de cet exercice, vous allez créer un réseau similaire à celui présenté dans le diagramme de topologie. Commencez par câbler le réseau en respectant le diagramme de topologie. Vous effectuerez ensuite les configurations initiales des routeurs nécessaires pour la connectivité. Utilisez les adresses IP fournies dans le diagramme de topologie pour appliquer un système d’adressage aux périphériques réseau. Lorsque la configuration du réseau est terminée, examinez les tables de routage pour vérifier le fonctionnement correct du réseau. Ces travaux pratiques sont une version abrégée des Travaux pratiques 1.5.1 : câblage d’un réseau et configuration de base des routeurs. Vous êtes censé maîtriser les concepts de câblage de base et de gestion des fichiers de configuration.
  • 33.
    CCNA Exploration Protocoles etconcepts de routage : Travaux pratiques 1.5.2 : Présentation du routage et du transfert de paquets configuration des paramètres de base d’un routeur Copyright sur l’intégralité du contenu © 1992 – 2007 Cisco Systems, Inc. Tous droits réservés. Ce document contient des informations publiques Cisco. Page 2 sur 9 Tâche 1 : câblage du réseau Installez un réseau similaire à celui du diagramme de topologie. La sortie utilisée dans ces travaux pratiques provient de routeurs 1841. Vous pouvez utiliser n’importe quel routeur des travaux pratiques, pourvu qu’il comporte les interfaces nécessaires illustrées dans la topologie. Vérifiez que vous utilisez le type de câble Ethernet voulu pour effectuer les branchements entre hôte et commutateur, commutateur et routeur, et hôte et routeur. En cas de problème de branchement des périphériques, voir les Travaux pratiques 1.5.1 : câblage d’un réseau et configuration de base des routeurs. Veillez à bien connecter le câble ETCD au routeur R1 et le câble série ETTD au routeur R2. Répondez aux questions suivantes : Quel type de câble permet de connecter l’interface Ethernet d’un PC hôte à l’interface Ethernet d’un commutateur ? __________________________ Quel type de câble permet de connecter l’interface Ethernet d’un commutateur à l’interface Ethernet d’un routeur ? __________________________ Quel type de câble permet de connecter l’interface Ethernet d’un routeur à l’interface Ethernet d’un PC hôte ? ___________________________________ Tâche 2 : effacement et recharge des informations des routeurs Étape 1 : ouverture d’une session de terminal avec le routeur R1 Pour plus d’informations sur l’émulation de terminal et la connexion à un routeur, voir les travaux pratiques 1.5.1, « Câblage d’un réseau et configuration de base des routeurs ». Étape 2 : activation du mode d’exécution privilégié Router>enable Router# Étape 3 : effacement de la configuration Pour effacer la configuration, lancez la commande erase startup-config. Lorsque vous êtes invité à confirmer (via [confirm]) que vous voulez vraiment effacer la configuration actuellement enregistrée en mémoire NVRAM, appuyez sur Entrée. Router#erase startup-config Erasing the nvram filesystem will remove all files! Continue? [confirm] [OK] Erase of nvram: complete Router# Étape 4 : rechargement de la configuration Au retour de l’invite, lancez la commande reload. Si vous êtes invité à enregistrer les modifications, répondez par no. Que se passerait-il si vous répondiez yes à la question, “System configuration has been modified. Save?” _______________________________________________________________________________ _______________________________________________________________________________
  • 34.
    CCNA Exploration Protocoles etconcepts de routage : Travaux pratiques 1.5.2 : Présentation du routage et du transfert de paquets configuration des paramètres de base d’un routeur Copyright sur l’intégralité du contenu © 1992 – 2007 Cisco Systems, Inc. Tous droits réservés. Ce document contient des informations publiques Cisco. Page 3 sur 9 Vous devez obtenir un résultat similaire à celui-ci : Router#reload System configuration has been modified. Save? [yes/no]: no Proceed with reload? [confirm] Lorsque vous êtes invité à confirmer (via [confirm]) que vous voulez vraiment recharger le routeur, appuyez sur Entrée. Dès que le routeur a terminé l’amorçage, choisissez de ne pas utiliser la fonction AutoInstall : Would you like to enter the initial configuration dialog? [yes/no]: no Would you like to terminate autoinstall? [yes]: [Press Return] Press Enter to accept default. Press RETURN to get started! Étape 5 : répétition des étapes 1 à 4 sur le routeur R2 pour supprimer tout fichier de configuration de démarrage éventuellement présent Tâche 3 : exécution d’une configuration de base du routeur R1 Étape 1 : ouverture d’une session HyperTerminal avec le routeur R1 Étape 2 : activation du mode d’exécution privilégié Router>enable Router# Étape 3 : activation du mode de configuration globale Router#configure terminal Tapez les commandes de configuration (une par ligne). Terminez par CNTL/Z. Router(config)# Étape 4 : configuration du nom du routeur comme R1 À l’invite de la commande, entrez hostname R1. Router(config)#hostname R1 R1(config)# Étape 5 : désactivation de la recherche DNS Utilisez la commande ip domain-lookup pour désactiver la recherche DNS. R1(config)#no ip domain-lookup R1(config)#
  • 35.
    CCNA Exploration Protocoles etconcepts de routage : Travaux pratiques 1.5.2 : Présentation du routage et du transfert de paquets configuration des paramètres de base d’un routeur Copyright sur l’intégralité du contenu © 1992 – 2007 Cisco Systems, Inc. Tous droits réservés. Ce document contient des informations publiques Cisco. Page 4 sur 9 Pourquoi désactiver la recherche DNS dans des travaux pratiques ? _______________________________________________________________________________ _______________________________________________________________________________ Que se passerait-il si vous désactiviez la recherche DNS en production ? _______________________________________________________________________________ _______________________________________________________________________________ Étape 6 : configuration du mot de passe pour le mode d’exécution Lancez la commande enable secret mot de passe pour configurer un mot de passe pour le mode d’exécution. Indiquez class comme mot de passe. R1(config)#enable secret class R1(config)# Pourquoi la commande enable password mot de passe n’est-elle pas nécessaire ? _______________________________________________________________________________ _______________________________________________________________________________ Étape 7 : configuration d’une bannière du message du jour Configurez une bannière de message du jour à l’aide de la commande banner motd. R1(config)#banner motd & Enter TEXT message. End with the character '&'. ******************************** !!!AUTHORIZED ACCESS ONLY!!! ******************************** & R1(config)# Quand cette bannière s’affiche-t-elle ? _______________________________________________________________________________ Pourquoi chaque routeur doit-il avoir une bannière de message du jour ? _______________________________________________________________________________ Étape 8 : configuration du mot de passe de la console sur le routeur Entrez le mot de passe cisco. Quittez ensuite le mode de configuration en ligne. R1(config)#line console 0 R1(config-line)#password cisco R1(config-line)#login R1(config-line)#exit R1(config)#
  • 36.
    CCNA Exploration Protocoles etconcepts de routage : Travaux pratiques 1.5.2 : Présentation du routage et du transfert de paquets configuration des paramètres de base d’un routeur Copyright sur l’intégralité du contenu © 1992 – 2007 Cisco Systems, Inc. Tous droits réservés. Ce document contient des informations publiques Cisco. Page 5 sur 9 Étape 9 : configuration du mot de passe pour les lignes de terminal virtuel Entrez le mot de passe cisco. Quittez ensuite le mode de configuration en ligne. R1(config)#line vty 0 4 R1(config-line)#password cisco R1(config-line)#login R1(config-line)#exit R1(config)# Étape 10 : configuration de l’interface FastEthernet0/0 Configurez l’interface FastEthernet0/0 avec l’adresse IP 192.168.1.1/24. R1(config)#interface fastethernet 0/0 R1(config-if)#ip address 192.168.1.1 255.255.255.0 R1(config-if)#no shutdown %LINK-5-CHANGED: Interface FastEthernet0/0, changed state to up %LINEPROTO-5-UPDOWN: Line protocol on Interface FastEthernet0/0, changed state to up R1(config-if)# Étape 11 : configuration de l’interface Serial0/0/0 Configurez l’interface Serial0/0/0 avec l’adresse IP 192.168.2.1/24. Réglez la fréquence d'horloge sur 64 000. Remarque : l’intérêt de la commande clock rate est expliqué au chapitre 2 : Routes statiques. R1(config-if)#interface serial 0/0/0 R1(config-if)#ip address 192.168.2.1 255.255.255.0 R1(config-if)#clock rate 64000 R1(config-if)#no shutdown R1(config-if)# Remarque : l’interface est activée jusqu’à ce que l’interface série de R2 soit configurée et activée. Étape 12 : retour au mode d’exécution privilégié Utilisez la commande end pour repasser en mode privilégié. R1(config-if)#end R1# Étape 13 : enregistrement de la configuration de R1 Utilisez la commande running-config startup-config pour enregistrer la configuration de R1. R1#copy running-config startup-config Building configuration... [OK] R1# Quelle est la version abrégée de cette commande ? ___________
  • 37.
    CCNA Exploration Protocoles etconcepts de routage : Travaux pratiques 1.5.2 : Présentation du routage et du transfert de paquets configuration des paramètres de base d’un routeur Copyright sur l’intégralité du contenu © 1992 – 2007 Cisco Systems, Inc. Tous droits réservés. Ce document contient des informations publiques Cisco. Page 6 sur 9 Tâche 4 : exécution d’une configuration de base du routeur R2 Étape 1 : répétition des étapes 1 à 9 à partir de la tâche 3 pour R2 Étape 2 : configuration de l’interface Serial 0/0/0 Configurez l’interface Serial 0/0/0 avec l’adresse IP 192.168.2.2/24. R2(config)#interface serial 0/0/0 R2(config-if)#ip address 192.168.2.2 255.255.255.0 R2(config-if)#no shutdown %LINK-5-CHANGED: Interface Serial0/0/0, changed state to up %LINEPROTO-5-UPDOWN: Line protocol on Interface Serial0/0/0, changed state to up R2(config-if)# Étape 3 : configuration de l’interface FastEthernet0/0 Configurez l’interface FastEthernet0/0 avec l’adresse IP 192.168.3.1/24. R2(config-if)#interface fastethernet 0/0 R2(config-if)#ip address 192.168.3.1 255.255.255.0 R2(config-if)#no shutdown %LINK-5-CHANGED: Interface FastEthernet0/0, changed state to up %LINEPROTO-5-UPDOWN: Line protocol on Interface FastEthernet0/0, changed state to up R2(config-if)# Étape 4 : retour au mode d’exécution privilégié Utilisez la commande end pour repasser en mode privilégié. R2(config-if)#end R2# Étape 5 : enregistrement de la configuration de R2 Utilisez la commande running-config startup-config pour enregistrer la configuration de R2. R2#copy running-config startup-config Building configuration... [OK] R2# Tâche 5 : configuration des adresses IP sur les ordinateurs hôtes Étape 1 : configuration de l’hôte PC1 Configurez l’ordinateur hôte PC1 connecté à R1 avec une adresse IP 192.168.1.10/24 et une passerelle par défaut 192.168.1.1. Étape 2 : configuration de l’hôte PC2 Configurez l’ordinateur hôte PC2 connecté à R2 avec une adresse IP 192.168.3.10/24 et une passerelle par défaut 192.168.3.1.
  • 38.
    CCNA Exploration Protocoles etconcepts de routage : Travaux pratiques 1.5.2 : Présentation du routage et du transfert de paquets configuration des paramètres de base d’un routeur Copyright sur l’intégralité du contenu © 1992 – 2007 Cisco Systems, Inc. Tous droits réservés. Ce document contient des informations publiques Cisco. Page 7 sur 9 Tâche 6 : vérification et test des configurations Étape 1 : vérification que les tables de routage contiennent les routes suivantes à l’aide de la commande show ip route La commande show ip route et son résultat sont examinés en détail dans les chapitres suivants. Pour le moment, ce qui vous intéresse est le fait que R1 et R2 ont chacun deux routes. Les deux routes sont indiquées par la lettre C. Il s’agit des réseaux connectés directement qui ont été activés lorsque vous avez configuré les interfaces sur chaque routeur. Si deux routes pour chaque routeur ne sont pas affichées (voir le résultat ci-dessous), passez à l’étape 2. R1#show ip route Codes: C - connected, S - static, R - RIP, M - mobile, B - BGP D - EIGRP, EX - EIGRP external, O - OSPF, IA - OSPF inter area N1 - OSPF NSSA external type 1, N2 - OSPF NSSA external type 2 E1 - OSPF external type 1, E2 - OSPF external type 2 i - IS-IS, su - IS-IS summary, L1 - IS-IS level-1, L2 - IS-IS level-2 ia - IS-IS inter area, * - candidate default, U - per-user static route o - ODR, P - periodic downloaded static route Gateway of last resort is not set C 192.168.1.0/24 is directly connected, FastEthernet0/0 C 192.168.2.0/24 is directly connected, Serial0/0/0 R1# R2#show ip route Codes: C - connected, S - static, R - RIP, M - mobile, B - BGP D - EIGRP, EX - EIGRP external, O - OSPF, IA - OSPF inter area N1 - OSPF NSSA external type 1, N2 - OSPF NSSA external type 2 E1 - OSPF external type 1, E2 - OSPF external type 2 i - IS-IS, su - IS-IS summary, L1 - IS-IS level-1, L2 - IS-IS level-2 ia - IS-IS inter area, * - candidate default, U - per-user static route o - ODR, P - periodic downloaded static route Gateway of last resort is not set C 192.168.2.0/24 is directly connected, Serial0/0/0 C 192.168.3.0/24 is directly connected, FastEthernet0/0 R2# Étape 2 : vérification des configurations des interfaces Un autre problème courant provient des interfaces des routeurs qui ne sont pas configurées correctement ou qui ne sont pas activées. Pour vérifier rapidement la configuration des interfaces de chaque routeur, utilisez la commande show ip interface brief. Le résultat doit être similaire à celui-ci : R1#show ip interface brief Interface IP-Address OK? Method Status Protocol FastEthernet0/0 192.168.1.1 YES manual up up FastEthernet0/1 unassigned YES unset administratively down down Serial0/0/0 192.168.2.1 YES manual up up Serial0/0/1 unassigned YES unset administratively down down Vlan1 unassigned YES manual administratively down down
  • 39.
    CCNA Exploration Protocoles etconcepts de routage : Travaux pratiques 1.5.2 : Présentation du routage et du transfert de paquets configuration des paramètres de base d’un routeur Copyright sur l’intégralité du contenu © 1992 – 2007 Cisco Systems, Inc. Tous droits réservés. Ce document contient des informations publiques Cisco. Page 8 sur 9 R2#show ip interface brief Interface IP-Address OK? Method Status Protocol FastEthernet0/0 192.168.3.1 YES manual up up FastEthernet0/1 unassigned YES unset administratively down down Serial0/0/0 192.168.2.2 YES manual up up Serial0/0/1 unassigned YES unset down down Vlan1 unassigned YES manual administratively down down Si up et up apparaissent pour les deux interfaces, les deux routes figurent dans la table de routage. Vérifiez à nouveau ce point avec la commande show ip route. Étape 3 : test de la connectivité Testez la connectivité en envoyant des paquets ping à partir de chaque hôte, à destination de la passerelle par défaut configurée pour lui. Depuis l’hôte raccordé à R1, est-il possible d’envoyer un paquet ping à la passerelle par défaut ? __________ Depuis l’hôte raccordé à R2, est-il possible d’envoyer un paquet ping à la passerelle par défaut ? __________ Si vous obtenez une réponse négative à l’une ou l’autre de ces questions, dépannez les configurations pour localiser l’erreur en procédant systématiquement comme suit : 1. Vérifiez les PC. Sont-ils connectés physiquement au routeur correct ? (La connexion peut être directe ou passer par un commutateur.) __________ Les voyants de liaison clignotent-ils sur tous les ports voulus ? __________ 2. Vérifiez la configuration des PC. Correspondent-elles au diagramme de topologie ? __________ 3. Vérifiez les interfaces du routeur avec la commande show ip interface brief. Les interfaces apparaissent-elles up et up ? __________ Si vous répondez Oui lors de ces trois étapes, vous devez réussir à envoyer un paquet ping à la passerelle par défaut. Étape 4 : test de la connectivité entre les routeurs R1 et R2 Depuis le routeur R1, est-il possible d’envoyer un paquet ping à R2 avec la commande ping 192.168.2.2 ? ________ Depuis le routeur R2, est-il possible d’envoyer un paquet ping à R1 avec la commande ping 192.168.2.1 ? ________ Si vous obtenez une réponse négative à ces questions, dépannez les configurations pour localiser l’erreur en procédant systématiquement comme suit : 1. Vérifiez les branchements. Les routeurs sont-ils physiquement connectés ? ________ Les voyants de liaison clignotent-ils sur tous les ports voulus ? ________
  • 40.
    CCNA Exploration Protocoles etconcepts de routage : Travaux pratiques 1.5.2 : Présentation du routage et du transfert de paquets configuration des paramètres de base d’un routeur Copyright sur l’intégralité du contenu © 1992 – 2007 Cisco Systems, Inc. Tous droits réservés. Ce document contient des informations publiques Cisco. Page 9 sur 9 2. Vérifiez les configurations des routeurs. Correspondent-elles au diagramme de topologie ? ________ Avez-vous configuré la commande clock rate du côté ETCD de la liaison ? ________ 3. Vérifiez les interfaces du routeur avec la commande show ip interface brief. Les interfaces apparaissent-elles « up » et « up » ? ________ Si vous répondez par Oui lors des trois étapes, vous devez réussir à envoyer un paquet ping de R2 à R1 et de R2 à R3. Tâche 7 : remarques générales Étape 1 : tentative d’envoi d’un paquet ping depuis l’hôte connecté à R1 jusqu’à l’hôte connecté à R2 Ce ping doit échouer. Étape 2 : tentative d’envoi d’un paquet ping depuis l’hôte connecté à R1 jusqu’au routeur R2 Ce ping doit échouer. Étape 3 : tentative d’envoi d’un paquet ping depuis l’hôte connecté à R2 jusqu’au routeur R1 Ce ping doit échouer. Que manque-t-il au réseau pour que la communication entre ces périphériques soit possible ? ________________________________________________________________________________ ________________________________________________________________________________ Tâche 8 : documentation Sur chaque routeur, capturez le résultat de la commande suivante dans un fichier texte (.txt) et enregistrez-le pour y faire référence par la suite.  show running-config  show ip route  show ip interface brief Si vous voulez revoir les procédures de capture du résultat d’une commande, reportez-vous aux travaux pratiques 1.5.1, « Câblage d’un réseau et configuration de base des routeurs ». Tâche 9 : remise en état Effacez les configurations et rechargez les routeurs. Débranchez les câbles et stockez-les. Pour les PC hôtes normalement connectés à d’autres réseaux (comme le réseau local du centre de formation ou Internet), remettez-en place les câblages adaptés et restaurez les paramètres TCP/IP.
  • 41.
    Copyright sur l’intégralitédu contenu © 1992 – 2007 Cisco Systems, Inc. Tous droits réservés. Ce document contient des informations publiques Cisco. Page 1 sur 4 Travaux pratiques 1.5.3 : confirmation de configuration des routeurs Diagramme de topologie Table d’adressage Périphérique Interface Adresse IP Masque de sous-réseau Passerelle par défaut R1 Fa0/0 s/o S0/0/0 s/o R2 Fa0/0 s/o S0/0/0 s/o PC1 Carte réseau PC2 Carte réseau Objectifs pédagogiques À l’issue de ces travaux pratiques, vous serez en mesure d’effectuer les tâches suivantes :  Créer des sous-réseaux dans un espace d’adressage d’après des consignes données  Attribuer des adresses appropriées aux interfaces et les documenter  Câbler un réseau conformément au diagramme de topologie  Effacer la configuration de démarrage et recharger un routeur dans son état par défaut  Exécuter des tâches de configuration de base sur un routeur  Configurer et activer les interfaces série et Ethernet  Tester et vérifier les configurations  Réfléchir à l’implémentation du réseau et fournir la documentation associée Scénario Au cours de cet exercice, vous concevrez et appliquerez un système d’adressage IP pour la topologie présentée dans le diagramme. Vous recevrez une adresse de classe C que vous devez découper en sous-réseaux pour fournir un système d’adressage logique au réseau. Vous devez commencer par câbler le réseau, comme illustré, avant de démarrer la configuration. Une fois le réseau installé, configurez chaque périphérique avec les commandes de configuration de base appropriées. Les routeurs sont ensuite prêts pour la configuration d’adressage d’interface en fonction de votre système d’adressage IP. Lorsque la configuration est terminée, utilisez les commandes IOS appropriées pour vérifier le bon fonctionnement du réseau.
  • 42.
    CCNA Exploration Protocoles etconcepts de routage : Présentation du routage et du transfert de paquets Travaux pratiques 1.5.3 : confirmation de configuration des routeurs Copyright sur l’intégralité du contenu © 1992 – 2007 Cisco Systems, Inc. Tous droits réservés. Ce document contient des informations publiques Cisco. Page 2 sur 4 Tâche 1 : subdivision de l’espace d’adressage Étape 1 : examen des besoins du réseau L’espace d’adressage 192.168.1.0/24 est à votre disposition pour la conception de votre réseau. Le réseau se compose des segments suivants :  Le réseau connecté au routeur R1 a besoin d’adresses IP en nombre suffisant pour prendre en charge 20 hôtes.  Le réseau connecté au routeur R2 a besoin d’adresses IP en nombre suffisant pour prendre en charge 20 hôtes.  La liaison entre le routeur R1 et le routeur R2 exige des adresses IP à chacune de ses extrémités. (Remarque : n’oubliez pas que les interfaces des périphériques réseau sont également des adresses IP hôte et figurent dans le modèle d’adressage ci-dessus). Étape 2 : questions à prendre en comptre lors de la création de votre conception de réseau Quel est le nombre de sous-réseaux nécessaires à ce réseau ? ____________________ Quel est le masque de sous-réseau de ce réseau au format décimal à point ? ____________________ Quel est le masque de sous-réseau de ce réseau au format avec barre oblique ? ______________ Combien y a-t-il d'hôtes utilisables par sous-réseau ? ____________________ Étape 3 : attribution d'adresses de sous-réseau au diagramme de topologie 1. Affectez le premier sous-réseau (réseau de plus bas niveau) au réseau connecté à R1. 2. Affectez le deuxième sous-réseau à la liaison entre R1 et R2. 3. Affectez le troisième sous-réseau au réseau connecté à R2. Tâche 2 : détermination des adresses des interfaces Étape 1 : attribution des adresses appropriées aux interfaces des périphériques 1. Attribuez la première adresse hôte valide du premier sous-réseau à l’interface de réseau local sur R1. 2. Attribuez la dernière adresse hôte valide du premier sous-réseau à PC1. 3. Attribuez la première adresse hôte valide du deuxième sous-réseau à l’interface de réseau étendu (WAN) sur R1. 4. Attribuez la dernière adresse hôte valide du deuxième sous-réseau à l’interface de réseau étendu (WAN) sur R2. 5. Attribuez la première adresse hôte valide du troisième sous-réseau à l’interface de réseau local de R1. 6. Attribuez la dernière adresse hôte valide du troisième sous-réseau à PC2. Remarque : le quatrième sous-réseau (niveau le plus élevé) n’est pas indispensable dans cette topologie.
  • 43.
    CCNA Exploration Protocoles etconcepts de routage : Présentation du routage et du transfert de paquets Travaux pratiques 1.5.3 : confirmation de configuration des routeurs Copyright sur l’intégralité du contenu © 1992 – 2007 Cisco Systems, Inc. Tous droits réservés. Ce document contient des informations publiques Cisco. Page 3 sur 4 Étape 2 : documentation des adresses à utiliser dans le tableau fourni sous le diagramme de topologie Tâche 3 : préparation du réseau Étape 1 : installation d’un réseau similaire à celui du diagramme de topologie Vous pouvez utiliser n’importe quel routeur des travaux pratiques, pourvu qu’il comporte les interfaces nécessaires illustrées dans la topologie. Étape 2 : suppression de toute configuration existante sur les routeurs Tâche 4 : exécution des configurations de base des routeurs Procédez à une configuration de base des routeurs R1 et R2 en suivant les consignes suivantes : 1. Configurez le nom d’hôte du routeur. 2. Désactivez la recherche DNS. 3. Configurez un mot de passe pour le mode EXEC. 4. Configurez une bannière du message du jour. 5. Configurez un mot de passe pour les connexions console. 6. Configurez un mot de passe pour les connexions VTY. Tâche 5 : vonfiguration et activation des adresses de série et Ethernet Étape 1 : vonfiguration des interfaces des routeurs Configurez les interfaces des routeurs R1 et R2 avec les adresses IP de la conception de votre réseau. Lorsque vous avez terminé, n’oubliez pas d’enregistrer la configuration en cours d’exécution dans la mémoire NVRAM du routeur. Étape 2 : configuration des interfaces des PC Configurez les interfaces Ethernet de PC1 et PC2 avec les adresses IP et les passerelles par défaut provenant de la conception de votre réseau. Tâche 6 : vérification des configurations Répondez aux questions suivantes pour vérifier que le réseau fonctionne comme prévu. Depuis l’hôte raccordé à R1, est-il possible d’envoyer un paquet ping à la passerelle par défaut ? ______ Depuis l’hôte raccordé à R2, est-il possible d’envoyer un paquet ping à la passerelle par défaut ? ______ Depuis le routeur R1, est-il possible d’envoyer un paquet ping sur l’interface Serial 0/0/0 de R2 ? ______ Depuis le routeur R2, est-il possible d’envoyer un paquet ping sur l’interface Serial 0/0/0 de R1 ? ______
  • 44.
    CCNA Exploration Protocoles etconcepts de routage : Présentation du routage et du transfert de paquets Travaux pratiques 1.5.3 : confirmation de configuration des routeurs Copyright sur l’intégralité du contenu © 1992 – 2007 Cisco Systems, Inc. Tous droits réservés. Ce document contient des informations publiques Cisco. Page 4 sur 4 La réponse aux questions précédentes doit être oui. Si un paquet ping ci-dessus a échoué, vérifiez les connexions physiques et les configurations. Si nécessaire, voir les travaux pratiques 1.5.2, « Configuration de base des routeurs ». Quel est l’état de l’interface FastEthernet 0/0 de R1 ? _____________ Quel est l’état de l’interface Serial 0/0/0 de R1 ? _____________ Quel est l’état de l’interface FastEthernet 0/0 de R2 ? _____________ Quel est l’état de l’interface Serial 0/0/0 de R2 ? _____________ Quelles sont les routes présentes dans la table de routage de R1 ? __________________________________________________________________________ __________________________________________________________________________ Quelles sont les routes présentes dans la table de routage de R2 ? __________________________________________________________________________ __________________________________________________________________________ Tâche 7 : remarques générales Le réseau contient-il des périphériques qui ne peuvent pas s’envoyer mutuellement des paquets ping ? __________________________________________________________________________ __________________________________________________________________________ Que manque-t-il au réseau pour que la communication entre ces périphériques soit possible ? __________________________________________________________________________ __________________________________________________________________________ Tâche 8 : description des configurations des routeurs Sur chaque routeur, capturez le résultat de la commande suivante dans un fichier texte (.txt) et enregistrez-le pour y faire référence par la suite.  Configuration en cours  Table de routage  Récapitulatif des informations d’état pour chaque interface
  • 45.
    1.6.1 : exerciced’intégration des compétences Packet Tracer Diagramme de topologie Table d’adressage Périphérique Interface Adresse IP Masque de sous-réseau Passerelle par défaut Fa0/0 N/D S0/0/0 N/DHQ S0/0/1 N/D Fa0/0 N/D B1 S0/0/0 N/D Fa0/0 N/D B2 S0/0/1 N/D PC1 Carte réseau PC2 Carte réseau PC3 Carte réseau Copyright sur l'intégralité du contenu © 1992–2007 Cisco Systems, Inc. Tous droits réservés. Ce document contient des informations publiques Cisco. Page 1 sur 4
  • 46.
    CCNA Exploration Protocoles etconcepts de routage : Présentation du routage et du transfert de paquets Exercice d’intégration des compétences Packet Tracer Objectifs • Concevoir et documenter un schéma d’adressage en fonction de conditions requises • Sélectionner le matériel approprié et câbler les périphériques • Appliquer une configuration de base aux périphériques • Vérifier la connectivité entre tous les périphériques de la topologie • Identifier les adresses de couche 2 et 3 utilisées pour commuter les paquets Tâche 1 : conception et documentation d’un schéma d’adressage Étape 1 : conception d’un schéma d’adressage D’après les spécifications réseau indiquées dans la topologie, concevez un schéma d’adressage approprié. (Remarque : n’oubliez pas que les interfaces des périphériques réseau sont également des adresses IP d’hôte et sont incluses dans les conditions d’adressage ci-dessus.) • En commençant par le réseau local le plus grand, déterminez la taille de chaque sous-réseau nécessaire pour répondre aux conditions requises pour l’hôte donné. • Une fois les adresses de tous les sous-réseaux locaux déterminées, affectez le premier espace d’adressage disponible à la liaison WAN entre B1 et HQ. • Affectez ensuite le deuxième espace d’adressage disponible à la liaison WAN entre HQ et B2. Étape 2 : documentation du schéma d’adressage • Utilisez les espaces libres de la topologie pour indiquer les adresses réseau au format points/barres obliques. • Utilisez le tableau fourni dans les instructions papier pour documenter les adresses IP, les masques de sous-réseau et les adresses des passerelles par défaut. Pour les réseaux locaux, affectez la première adresse IP à l’interface du routeur. Affectez la dernière adresse IP à l’ordinateur. Pour les liaisons WAN, affectez la première adresse IP à HQ. Tâche 2 : sélection du matériel et câblage des périphériques Étape 1 : sélection du matériel nécessaire Sélectionnez les périphériques restants dont vous aurez besoin et ajoutez-les à l’espace de travail de Packet Tracer. Utilisez les étiquettes pour savoir où placer les périphériques. Étape 2 : fin du câblage des périphériques Câblez les réseaux en fonction de la topologie en veillant à ce que les interfaces correspondent à ce que vous avez documentez à la tâche 1. Tâche 3 : application d’une configuration de base Étape 1 : configuration des routeurs À l’aide de votre documentation, procédez à la configuration de base des routeurs, y compris l’adressage. Utilisez cisco comme mot de passe de ligne et class comme mot de passe secret. Utilisez la fréquence d’horloge 64 000. Copyright sur l'intégralité du contenu © 1992–2007 Cisco Systems, Inc. Tous droits réservés. Ce document contient des informations publiques Cisco. Page 2 sur 4
  • 47.
    CCNA Exploration Protocoles etconcepts de routage : Présentation du routage et du transfert de paquets Exercice d’intégration des compétences Packet Tracer Étape 2 : configuration des ordinateurs À l’aide de votre documentation, configurez les ordinateurs en leur affectant une adresse IP, un masque de sous-réseau et une passerelle par défaut. Tâche 4 : test de la connectivité et examen de la configuration Étape 1 : test de la connectivité Le routage RIP a déjà été configuré pour vous. La connectivité de bout en bout doit en principe être établie. • PC1 peut-il envoyer une requête ping à PC2 ? ________ • PC1 peut-il envoyer une requête ping à PC3 ? ________ • PC3 peut-il envoyer une requête ping à PC2 ? ________ Corrigez les éventuels problèmes jusqu’à ce que les requêtes ping fonctionnent. Étape 2 : examen de la configuration Utilisez les commandes de vérification pour vérifier que vos configurations sont complètes. Tâche 5 : identification des adresses de couche 2 et 3 utilisées pour commuter les paquets Étape 1 : création d’un paquet de requêtes ping d’unité de données de protocole simple • Passez en mode Simulation. • Utilisez le bouton Add Simple PDU pour créer une requête ping de PC1 à PC3. • Modifiez « Edit Filters » afin que seul le protocole ICMP soit simulé. Étape 2 : adresses sur PC1 Indiquez les adresses utilisées par PC1 pour envoyer le paquet de requêtes ping à B1 : Source de couche 3 : _________________________________________ Destination de couche 3 : _________________________________________ Source de couche 2 : _________________________________________ Destination de couche 2 : _________________________________________ Étape 3 : adresses sur B1 Indiquez les adresses utilisées par B1 pour envoyer le paquet de requêtes ping à HQ : Source de couche 3 : _________________________________________ Destination de couche 3 : _________________________________________ Source de couche 2 : _________________________________________ Destination de couche 2 : _________________________________________ Copyright sur l'intégralité du contenu © 1992–2007 Cisco Systems, Inc. Tous droits réservés. Ce document contient des informations publiques Cisco. Page 3 sur 4
  • 48.
    CCNA Exploration Protocoles etconcepts de routage : Présentation du routage et du transfert de paquets Exercice d’intégration des compétences Packet Tracer Copyright sur l'intégralité du contenu © 1992–2007 Cisco Systems, Inc. Tous droits réservés. Ce document contient des informations publiques Cisco. Page 4 sur 4 Étape 4 : adresses sur HQ Indiquez les adresses utilisées par HQ pour envoyer le paquet de requêtes ping à B2 : Source de couche 3 : _________________________________________ Destination de couche 3 : _________________________________________ Source de couche 2 : _________________________________________ Destination de couche 2 : _________________________________________ Étape 5 : adresses sur B2 Indiquez les adresses utilisées par B2 pour envoyer le paquet de requêtes ping à PC3 : Source de couche 3 : _________________________________________ Destination de couche 3 : _________________________________________ Source de couche 2 : _________________________________________ Destination de couche 2 : _________________________________________
  • 49.
    Travaux pratiques 2.8.1: configuration de base d’une route statique Diagramme de topologie Table d’adressage Périphérique Interface Adresse IP Masque de sous-réseau Passerelle par défaut Fa0/0 172.16.3.1 255.255.255.0 s/o R1 S0/0/0 172.16.2.1 255.255.255.0 s/o Fa0/0 172.16.1.1 255.255.255.0 s/o S0/0/0 172.16.2.2 255.255.255.0 s/oR2 S0/0/1 192.168.1.2 255.255.255.0 s/o FA0/0 192.168.2.1 255.255.255.0 s/o R3 S0/0/1 192.168.1.1 255.255.255.0 s/o PC1 Car au 172.16.3.1te rése 172.16.3.10 255.255.255.0 PC2 Carte réseau 172.16.1.10 255.255.255.0 172.16.1.1 PC3 Carte réseau 192.168.2.10 255.255.255.0 192.168.2.1 Copyright sur l’intégralité du contenu © 1992 – 2007 Cisco Systems, Inc. Tous droits réservés. Ce document contient des informations publiques Cisco. Page 1 sur 21
  • 50.
    CCNA Exploration Protocoles etconcepts de routage : Routage statique Travaux pratiques 2.8.1 : configuration de base d’une route statique Copyright sur l’intégralité du contenu © 1992 – 2007 Cisco Systems, Inc. Tous droits réservés. Ce document contient des informations publiques Cisco. Page 2 sur 21 Objectifs pédagogiques À l’issue de ces travaux pratiques, vous serez en mesure d’effectuer les tâches suivantes : • Câbler un réseau conformément au diagramme de topologie • Effacer la configuration de démarrage et recharger un routeur dans son état par défaut • Exécuter des tâches de configuration de base sur un routeur • Interpréter les résultats de la commande debug ip routing • Configurer et activer les interfaces série et Ethernet • Tester la connectivité • Collecter les informations permettant de déterminer les causes de l’absence de connectivité entre les périphériques • Configurer une route statique en utilisant une adresse intermédiaire • Configurer une route statique en utilisant une interface de sortie • Comparer une route statique avec adresse intermédiaire à une route statique avec interface de sortie • Configurer une route statique par défaut • Configurer une route statique résumée • Documenter l’implémentation du réseau Scénario Au cours de cet exercice, vous allez créer un réseau similaire à celui présenté dans le diagramme de topologie. Commencez par câbler le réseau en respectant le diagramme de topologie. Vous effectuerez ensuite les configurations initiales des routeurs nécessaires pour la connectivité. Utilisez les adresses IP fournies dans la table d’adressage pour appliquer un système d’adressage aux périphériques réseau. Lorsque la configuration de base est terminée, testez la connectivité entre les périphériques du réseau. Testez en premier les connexions entre les périphériques directement connectés, puis entre les périphériques qui ne sont pas directement connectés. Les routeurs doivent être configurés avec des routes statiques pour que la communication de bout en bout entre des hôtes du réseau soit possible. Vous configurez les routes statiques indispensable à la communication entre les hôtes. Chaque fois que vous ajoutez une route statique, affichez la table de routage pour observer les modifications. Tâche 1 : installation, suppression et rechargement des routeurs Étape 1 : installation d’un réseau similaire à celui du diagramme de topologie Étape 2 : suppression de la configuration sur chaque routeur Supprimez la configuration sur chaque routeur à l’aide de la commande erase startup-config, puis rechargez les routeurs. Si vous êtes invité à enregistrer les modifications, répondez par no. Tâche 2 : configuration de base d’un routeur Remarque : si une commande utilisée ici vous pose un problème, reportez-vous aux Travaux pratiques 1.5.1 : câblage d’un réseau et configuration de base du routeur.
  • 51.
    CCNA Exploration Protocoles etconcepts de routage : Routage statique Travaux pratiques 2.8.1 : configuration de base d’une route statique Copyright sur l’intégralité du contenu © 1992 – 2007 Cisco Systems, Inc. Tous droits réservés. Ce document contient des informations publiques Cisco. Page 3 sur 21 Étape 1 : utilisation des commandes de configuration globale Sur les routeurs, passez en mode de configuration globale et configurez les commandes de base suivantes : • hostname • no ip domain-lookup • enable secret Étape 2 : configuration des mots de passe pour les lignes de terminal virtuel et pour la ligne console de chaque routeur • password • login Étape 3 : ajout de la commande logging synchronous aux lignes de terminal virtuel et de console Cette commande est très utile dans les travaux pratiques et en environnement de production. La syntaxe est la suivante : Router(config-line)#logging synchronous Pour synchroniser les messages et les données de débogage non sollicités avec les informations du logiciel IOS Cisco sollicitées et les invites d’une ligne de port console donnée, d’une ligne de port auxiliaire ou d’une ligne de terminal virtuel, il est possible d’utiliser la commande de configuration de ligne logging synchronous. En d’autres termes, la commande logging synchronous évite que les messages IOS émis vers la console ou vers les lignes Telnet interrompent vos saisies sur le clavier. Par exemple, vous avez sans doute rencontré la situation suivante : Remarque : ne configurez pas encore les interfaces R1. R1(config)#interface fastethernet 0/0 R1(config-if)#ip address 172.16.3.1 255.255.255.0 R1(config-if)#no shutdown R1(config-if)#description *Mar 1 01:16:080,212: %LINK-3-UPDOWN: Interface FastEthernet0/0, changed state to up *Mar 1 01:16:090,214: %LINEPROTO-5-UPDOWN: Line protocol on Interface FastEthernet0/0, changed state to up R1(config-if)# Le logiciel IOS envoie des messages non sollicités à la console lorsque vous activez une interface via la commande no shutdown. Cependant, la saisie de la commande suivante (dans ce cas précis description) est interrompue par ce message. La commande logging synchronous résout ce problème en copiant la commande entrée à l’invite suivante du routeur. R1(config)#interface fastethernet 0/0 R1(config-if)#ip address 172.16.3.1 255.255.255.0 R1(config-if)#no shutdown R1(config-if)#description *Mar 1 01:28:040,242: %LINK-3-UPDOWN: Interface FastEthernet0/0, changed state to up
  • 52.
    CCNA Exploration Protocoles etconcepts de routage : Routage statique Travaux pratiques 2.8.1 : configuration de base d’une route statique Copyright sur l’intégralité du contenu © 1992 – 2007 Cisco Systems, Inc. Tous droits réservés. Ce document contient des informations publiques Cisco. Page 4 sur 21 *Mar 1 01:28:05.243: %LINEPROTO-5-UPDOWN: Line protocol on Interface FastEthernet0/0, changed state to up R1(config-if)#description <-- Saisie clavier copiée après le message R1 a été choisi à titre d’exemple. Ajoutez la commande logging synchronous aux lignes de terminal virtuel et de console de tous les routeurs. R1(config)#line console 0 R1(config-line)#logging synchronous R1(config-line)#line vty 0 4 R1(config-line)#logging synchronous Étape 4 : ajout de la commande exec-timeout aux lignes de terminal virtuel et de console La commande de configuration de ligne exec-timeout définit le délai d'attente de l'interpréteur de commandes EXEC jusqu'à la détection d'une entrée utilisateur. En l’absence d’entrée, la fonction EXEC reprend la connexion en cours. En l’absence de toute connexion, la fonction EXEC place le terminal en mode inactif et déconnecte la session entrante. Cette commande permet de définir le temps d’inactivité d’une ligne de console ou de terminal virtuel avant l’interruption de la session. La syntaxe est la suivante : Router(config-line)#exec-timeout minutes [secondes] Description de la syntaxe : minutes – valeur numérique indiquant le nombre de minutes. secondes – (facultatif) intervalle de temps supplémentaire exprimé en secondes. Dans un environnement expérimental, vous pouvez spécifier « no timeout » (pas de délai d’attente) en saisissant la commande exec-timeout 0 0. Cette commande est très utile, car le délai d’attente par défaut est de 10 minutes. En production par contre, pour des raisons de sécurité, les lignes ne sont pas configurées avec une commande « no timeout ». R1 a été choisi à titre d’exemple. Ajoutez la commande exec-timeout 0 0 aux lignes de terminal virtuel et de console de tous les routeurs. R1(config)#line console 0 R1(config-line)#exec-timeout 0 0 R1(config-line)#line vty 0 4 R1(config-line)#exec-timeout 0 0 Tâche 3 : interprétation des sorties du routeur Remarque : si vous avez déjà configuré les adresses IP sur R1, retirez toutes les commandes interface avant de continuer. R1, R2 et R3 doivent être configurés jusqu’à la tâche 2 sans configuration d’interface. Étape 1 : sur R1, en mode privilégié, saisie de la commande debug ip routing R1#debug ip routing IP routing debugging is on La commande debug ip routing indique les routes qui sont ajoutées, modifiées et supprimées de la table de routage. Par exemple, chaque fois que vous configurez et activez une interface, Cisco IOS ajoute une route dans la table de routage. L’examen des informations fournies par la commande debug ip routing permet de vérifier ce processus.
  • 53.
    CCNA Exploration Protocoles etconcepts de routage : Routage statique Travaux pratiques 2.8.1 : configuration de base d’une route statique Copyright sur l’intégralité du contenu © 1992 – 2007 Cisco Systems, Inc. Tous droits réservés. Ce document contient des informations publiques Cisco. Page 5 sur 21 Étape 2 : activation du mode de configuration d'interface pour l'interface LAN de R1 R1#configure terminal Tapez les commandes de configuration (une par ligne). Terminez par CNTL/Z. R1(config)#interface fastethernet 0/0 Configurez l’adresse IP indiquée dans le diagramme de la topologie. R1(config-if)#ip address 172.16.3.1 255.255.255.0 is_up: 0 state: 6 sub state: 1 line: 1 has_route: False Dès que vous appuyez sur la touche Entrée, les informations de débogage Cisco IOS signalent la présence d’une nouvelle route, mais son état est False. En d’autres termes, la route n’a pas encore été ajoutée à la table de routage. Pourquoi et quelles sont les mesures à prendre pour que la route soit effectivement entrée dans la table de routage ? ____________________________________________________________________________ ____________________________________________________________________________ Étape 3 : saisie de la commande nécessaire à l’installation de la route dans la table de routage Si vous n’êtes pas sûr de connaître la commande adaptée, reportez-vous à la rubrique « Examen des interfaces du routeur » abordée au chapitre 2.2. « Révision de la configuration du routeur ». Lorsque vous avez entré la commande appropriée, vérifiez les données de débogage. Le résultat peut être légèrement différent de l’exemple ci-dessous. is_up: 1 state: 4 sub state: 1 line: 1 has_route: False RT: add 172.16.3.0/24 via 0.0.0.0, connected metric [0/0] RT: NET-RED 172.16.3.0/24 RT: NET-RED queued, Queue size 1 RT: interface FastEthernet0/0 added to routing table %LINK-3-UPDOWN: Interface FastEthernet0/0, changed state to up is_up: 1 state: 4 sub state: 1 line: 1 has_route: True %LINEPROTO-5-UPDOWN: Line protocol on Interface FastEthernet0/0, chan ged state to up is_up: 1 state: 4 sub state: 1 line: 1 has_route: True is_up: 1 state: 4 sub state: 1 line: 1 has_route: True Le nouveau réseau que vous avez configuré sur l’interface du réseau local (LAN) est maintenant ajouté à la table de routage (partie surlignée du résultat affiché). Si la route n’est pas ajoutée à la table, cela veut dire que l’interface ne s’est pas affichée. Procédez systématiquement comme suit pour dépanner la connexion : 1. Vérifiez les branchements physiques vers l’interface LAN. L’interface raccordée est-elle la bonne ? ________ Le routeur peut avoir plusieurs interfaces LAN. Avez-vous connecté la bonne interface LAN ? ________ Une interface s’affiche uniquement si elle détecte un signal de détection de la porteuse sur la couche physique d’un autre périphérique. L’interface est-elle connectée à un autre périphérique (ex. concentrateur, commutateur ou ordinateur) ? ________ 2. Vérifiez les voyants de liaison. Les voyants de liaison clignotent-ils tous ? ________ 3. Vérifiez les branchements. Les câbles de branchement correspondent-ils aux périphériques ? ________ 4. L’interface est-elle activée ? ________ Si vous pouvez répondre oui à toutes ces questions, l’interface doit s’afficher.
  • 54.
    CCNA Exploration Protocoles etconcepts de routage : Routage statique Travaux pratiques 2.8.1 : configuration de base d’une route statique Copyright sur l’intégralité du contenu © 1992 – 2007 Cisco Systems, Inc. Tous droits réservés. Ce document contient des informations publiques Cisco. Page 6 sur 21 Étape 4 : saisie de la commande permettant de vérifier si la nouvelle route se trouve maintenant dans la table de routage Les informations affichées doivent être similaires à celles indiquées ci-dessous. Normalement, la table de routage indique maintenant une route pour R1. Quelle commande avez-vous utilisée ? R1#______________________________________ Codes: C - connected, S - static, I - IGRP, R - RIP, M - mobile, B - BGP D - EIGRP, EX - EIGRP external, O - OSPF, IA - OSPF inter area N1 - OSPF NSSA external type 1, N2 - OSPF NSSA external type 2 E1 - OSPF external type 1, E2 - OSPF external type 2, E - EGP i - IS-IS, L1 - IS-IS level-1, L2 - IS-IS level-2, ia - IS-IS inter area * - candidate default, U - per-user static route, o - ODR P - periodic downloaded static route Gateway of last resort is not set 172.16.0.0/24 is subnetted, 1 subnets C 172.16.3.0 is directly connected, FastEthernet0/0 Étape 5 : activation du mode de configuration d'interface pour l'interface WAN de R1 connectée à R2 R1#configure terminal Tapez les commandes de configuration (une par ligne). Terminez par CNTL/Z. R1(config)#interface Serial 0/0/0 Configurez l’adresse IP indiquée dans le diagramme de la topologie. R1(config-if)#ip address 172.16.2.1 255.255.255.0 is_up: 0 state: 0 sub state: 1 line: 0 has_route: False Dès que vous appuyez sur la touche Entrée, les informations de débogage Cisco IOS signalent la présence d’une nouvelle route, mais son état est False. Étant donné que R1 représente la partie ETCD de notre environnement expérimental, nous devons indiquer la vitesse de synchronisation des bits entre R1 et R2. Étape 6 : saisie de la commande clock rate sur R1 Vous pouvez définir une fréquence d’horloge valide quelconque. Utilisez la fonction ? pour connaître les fréquences valides. Ici, la fréquence utilisée est 64 000 bits/s. R1(config-if)#clock rate 64000 is_up: 0 state: 0 sub state: 1 line: 0 has_route: False Certaines versions du logiciel IOS affichent ces informations toutes les 30 secondes. Pourquoi l’état de la route est-il encore False ? Quelles sont les mesures à prendre maintenant pour vérifier que l’interface est entièrement configurée ? _______________________________________________________________________ Étape 7 : saisie de la commande permettant de vérifier que l’interface est entièrement configurée Si vous n’êtes pas sûr de connaître la commande adaptée, reportez-vous à la rubrique « Examen des interfaces du routeur » abordée au chapitre 2.2. « Révision de la configuration du routeur ». R1(config-if)#_____________________________
  • 55.
    CCNA Exploration Protocoles etconcepts de routage : Routage statique Travaux pratiques 2.8.1 : configuration de base d’une route statique Copyright sur l’intégralité du contenu © 1992 – 2007 Cisco Systems, Inc. Tous droits réservés. Ce document contient des informations publiques Cisco. Page 7 sur 21 Lorsque vous avez entré la commande corercte, les données de débogage s’affichent comme dans l’exemple suivant : is_up: 0 state: 0 sub state: 1 line: 0 has_route: False %LINK-3-UPDOWN: Interface Serial0/0/0, changed state to down Contrairement à la configuration de l’interface LAN, la configuration complète de l’interface WAN n’implique pas nécessairement que la route sera ajoutée à la table de routage, même si le câblage est correct. L’autre extrémité de la liaison WAN doit également être configurée. Étape 8 : si possible, établissement d’une session de terminal distincte en se connectant à R2 via la console d’un autre poste de travail. Vous pouvez ainsi observer les informations de débogage sur R1 lorsque vous effectuez des modifications sur R2. Vous pouvez également activer la commande debug ip routing sur R2. R2#debug ip routing IP routing debugging is on Passez en mode de configuration d'interface pour l'interface WAN de R2 connectée à R1. R2#configure terminal Tapez les commandes de configuration (une par ligne). Terminez par CNTL/Z. R2(config)#interface serial 0/0/0 Configurez l’adresse IP comme indiqué dans le diagramme de la topologie. R2(config-if)#ip address 172.16.2.2 255.255.255.0 is_up: 0 state: 6 sub state: 1 line: 0 Étape 9 : saisie de la commande permettant de vérifier que l’interface est entièrement configurée Si vous n’êtes pas sûr de connaître la commande adaptée, reportez-vous à la rubrique « Examen des interfaces du routeur » abordée au chapitre 2.2. « Révision de la configuration du routeur ». R2(config-if)#_____________________________ Lorsque vous avez entré la commande corercte, les données de débogage s’affichent comme dans l’exemple suivant : is_up: 0 state: 4 sub state: 1 line: 0 %LINK-3-UPDOWN: Interface Serial0/0/0, changed state to up is_up: 1 state: 4 sub state: 1 line: 0 RT: add 172.16.2.0/24 via 0.0.0.0, connected metric [0/0] RT: interface Serial0/0/0 added to routing table is_up: 1 state: 4 sub state: 1 line: 0 %LINEPROTO-5-UPDOWN: Line protocol on Interface Serial0/0/0, changed state to up is_up: 1 state: 4 sub state: 1 line: 0 Le nouveau réseau que vous avez configuré sur l’interface du réseau local (LAN) est maintenant ajouté à la table de routage (partie surlignée du résultat affiché). Si la route n’est pas ajoutée à la table, cela veut dire que l’interface ne s’est pas affichée. Procédez systématiquement comme suit pour dépanner la connexion : 1. Vérifiez les branchements physiques entre les deux interfaces WAN de R1 et R2. L’interface raccordée est-elle la bonne ? ________ Le routeur a plusieurs interfaces WAN. Avez-vous connecté la bonne interface WAN ? ________ Une interface s’affiche uniquement si elle détecte un battement de liaison sur la couche physique provenant d’un autre périphérique. L’interface est-elle connectée à l’autre interface du routeur ? ________
  • 56.
    CCNA Exploration Protocoles etconcepts de routage : Routage statique Travaux pratiques 2.8.1 : configuration de base d’une route statique Copyright sur l’intégralité du contenu © 1992 – 2007 Cisco Systems, Inc. Tous droits réservés. Ce document contient des informations publiques Cisco. Page 8 sur 21 2. Vérifiez les voyants de liaison. Les voyants de liaison clignotent-ils tous ? ________ 3. Vérifiez les branchements. La partie ETCD des câbles de R1 doit être branchée et la partie ETTD des câbles de R2 doit être branchée. Les câbles de branchement sont-ils adaptés aux routeurs ? ________ 4. L’interface est-elle activée ? ________ Si vous pouvez répondre oui à toutes ces questions, l’interface doit s’afficher. Étape 10 : saisie de la commande permettant de vérifier si la nouvelle route se trouve maintenant dans la table de routage pour R1 et R2 Les informations affichées doivent être similaires à celles indiquées ci-dessous. Normalement, la table de routage pour R1 indique maintenant deux routes et celle pour R2, une route. Quelle commande avez-vous utilisée ? R1#_________________________________ Codes: C - connected, S - static, R - RIP, M - mobile, B - BGP D - EIGRP, EX - EIGRP external, O - OSPF, IA - OSPF inter area N1 - OSPF NSSA external type 1, N2 - OSPF NSSA external type 2 E1 - OSPF external type 1, E2 - OSPF external type 2 i - IS-IS, su - IS-IS summary, L1 - IS-IS level-1, L2 - IS-IS level-2 ia - IS-IS inter area, * - candidate default, U - per-user static route o - ODR, P - periodic downloaded static route Gateway of last resort is not set 172.16.0.0/24 is subnetted, 2 subnets C 172.16.2.0 is directly connected, Serial0/0/0 C 172.16.3.0 is directly connected, FastEthernet0/0 R2#_________________________________ Codes: C - connected, S - static, I - IGRP, R - RIP, M - mobile, B - BGP D - EIGRP, EX - EIGRP external, O - OSPF, IA - OSPF inter area N1 - OSPF NSSA external type 1, N2 - OSPF NSSA external type 2 E1 - OSPF external type 1, E2 - OSPF external type 2, E - EGP i - IS-IS, L1 - IS-IS level-1, L2 - IS-IS level-2, ia - IS-IS inter area * - candidate default, U - per-user static route, o - ODR P - periodic downloaded static route Gateway of last resort is not set 172.16.0.0/24 is subnetted, 1 subnets C 172.16.2.0 is directly connected, Serial0/0/0
  • 57.
    CCNA Exploration Protocoles etconcepts de routage : Routage statique Travaux pratiques 2.8.1 : configuration de base d’une route statique Copyright sur l’intégralité du contenu © 1992 – 2007 Cisco Systems, Inc. Tous droits réservés. Ce document contient des informations publiques Cisco. Page 9 sur 21 Étape 11 : désactivation du débogage sur les deux routeurs en utilisant la commande no debug ip routing ou simplement undebug all R1(config-if)#end R1#no debug ip routing IP routing debugging is off Tâche 4 : fin de la configuration des interfaces de routage Étape 1 : configuration des interfaces R2 restantes Terminez la configuration des interfaces restantes sur R2 en fonction du diagramme de la topologie et de la table d’adressage. Étape 2 : configuration des interfaces R3 Connectez-vous à R3 à partir de la console et configurez les interfaces nécessaires en fonction du diagramme de la topologie et de la table d’adressage. Tâche 5 : configuration des adresses IP sur les ordinateurs hôtes Étape 1 : configuration de l’hôte PC1 Configurez l’hôte PC1 avec l’adresse IP 172.16.3.10/24 et une passerelle par défaut ayant l’adresse IP 172.16.3.1. Étape 2 : configuration de l’hôte PC2 Configurez l’hôte PC2 avec l’adresse IP 172.16.1.10/24 et une passerelle par défaut ayant l’adresse IP 172.16.1.1. Étape 3 : configuration de l’hôte PC3 Configurez l’hôte PC1 avec l’adresse IP 192.168.2.10/24 et une passerelle par défaut ayant l’adresse IP 192.168.2.1. Tâche 6 : test et vérification des configurations Étape 1 : test de la connectivité Testez la connectivité en envoyant des paquets ping à partir de chaque hôte, à destination de la passerelle par défaut configurée pour lui. Depuis le PC1 hôte, est-il possible d’envoyer un paquet ping à la passerelle par défaut ? ________ Depuis le PC2 hôte, est-il possible d’envoyer un paquet ping à la passerelle par défaut ? ________ Depuis le PC3 hôte, est-il possible d’envoyer un paquet ping à la passerelle par défaut ? ________
  • 58.
    CCNA Exploration Protocoles etconcepts de routage : Routage statique Travaux pratiques 2.8.1 : configuration de base d’une route statique Copyright sur l’intégralité du contenu © 1992 – 2007 Cisco Systems, Inc. Tous droits réservés. Ce document contient des informations publiques Cisco. Page 10 sur 21 Si la réponse à une de ces questions est non, vérifiez les configurations pour trouver les erreurs. Procédez comme suit : 1. Vérifiez les branchements. Les ordinateurs sont-ils physiquement raccordés au routeur approprié ? ________ (connexion directe ou via un commutateur) Les voyants de liaison de tous les ports concernés clignotent-ils tous ? ________ 2. Vérifiez la configuration des PC. Correspondent-elles au diagramme de topologie ? ________ 3. Vérifiez les interfaces du routeur avec la commande show ip interface brief. Les interfaces concernées sont-elles toutes actives (up et up) ? ________ Si la réponse à ces trois questions est oui, l’envoi du paquet ping vers la passerelle par défaut doit aboutir. Étape 2 : utilisation de la commande ping pour tester la connectivité entre des routeurs directement connectés À partir du routeur R2, est-il possible d’envoyer un paquet ping à R1 sur 172.16.2.1 ? ________ À partir du routeur R2, est-il possible d’envoyer un paquet ping à R3 sur 192.168.1.1 ? ________ Si la réponse à une de ces questions est non, vérifiez les configurations pour trouver les erreurs. Procédez comme suit : 1. Vérifiez les branchements. Les routeurs sont-ils physiquement connectés ? ________ Les voyants de liaison clignotent-ils sur tous les ports concernés ? ________ 2. Vérifiez les configurations des routeurs. Correspondent-elles au diagramme de la topologie ? ________ Avez-vous configuré la commande clock rate du côté ETCD de la liaison ? ________ 3. L’interface est-elle activée ? ________ 4. Vérifiez les interfaces du routeur avec la commande show ip interface brief. Les interfaces apparaissent-elles up et up ? ________ Si la réponse à ces trois questions est oui, l’envoi du paquet ping de R2 vers R1 et de R2 vers R3 doit aboutir. Étape 3 : utilisation de la commande ping pour tester la connectivité entre des périphériques non directement connectés À partir de l’hôte PC3, est-il possible d’envoyer un paquet ping à l’hôte PC1 ? ________ À partir de l’hôte PC3, est-il possible d’envoyer un paquet ping à l’hôte PC2 ? ________ À partir de l’hôte PC2, est-il possible d’envoyer un paquet ping à l’hôte PC1 ? ________ À partir du routeur R1, est-il possible d’envoyer un paquet ping au routeur R3 ? ________ Tous ces ping doivent échouer. Pourquoi ? ____________________________________________________________________________ ____________________________________________________________________________ ____________________________________________________________________________
  • 59.
    CCNA Exploration Protocoles etconcepts de routage : Routage statique Travaux pratiques 2.8.1 : configuration de base d’une route statique Copyright sur l’intégralité du contenu © 1992 – 2007 Cisco Systems, Inc. Tous droits réservés. Ce document contient des informations publiques Cisco. Page 11 sur 21 Tâche 7 : collecte des informations Étape 1 : vérification de l’état des interfaces Vérifiez l’état des interfaces sur chaque routeur à l’aide de la commande show ip interface brief. Le résultat suivant correspond à R2 : R2#show ip interface brief Interface IP-Address OK? Method Status Protocol FastEthernet0/0 172.16.1.1 YES manual up up FastEthernet0/1 unassigned YES unset administratively down down Serial0/0/0 172.16.2.2 YES manual up up Serial0/0/1 192.168.1.2 YES manual up up Vlan1 unassigned YES manual administratively down down Les interfaces correspondantes de chaque routeur sont-elles activées (c’est-à-dire que leur état est up et up) ? ________ Combien y a-t-il d’interfaces activées sur R1 et R3 ? ________ Pourquoi y a-t-il trois interfaces actives sur R2 ? __________ ___________________________________________________________________________________ Étape 2 : affichage des données de la table de routage des trois routeurs R1#_________________________________ Codes: C - connected, S - static, I - IGRP, R - RIP, M - mobile, B - BGP D - EIGRP, EX - EIGRP external, O - OSPF, IA - OSPF inter area N1 - OSPF NSSA external type 1, N2 - OSPF NSSA external type 2 E1 - OSPF external type 1, E2 - OSPF external type 2, E - EGP i - IS-IS, L1 - IS-IS level-1, L2 - IS-IS level-2, ia - IS-IS inter area * - candidate default, U - per-user static route, o - ODR P - periodic downloaded static route Gateway of last resort is not set 172.16.0.0/24 is subnetted, 2 subnets C 172.16.2.0 is directly connected, Serial0/0/0 C 172.16.3.0 is directly connected, FastEthernet0/0 Quels sont les réseaux présents dans le diagramme de la topologie, mais pas dans la table de routage pour R1 ? ___________________________________________________________________________________ R2#_________________________________ Codes: C - connected, S - static, I - IGRP, R - RIP, M - mobile, B - BGP D - EIGRP, EX - EIGRP external, O - OSPF, IA - OSPF inter area N1 - OSPF NSSA external type 1, N2 - OSPF NSSA external type 2 E1 - OSPF external type 1, E2 - OSPF external type 2, E - EGP i - IS-IS, L1 - IS-IS level-1, L2 - IS-IS level-2, * - candidate default U - per-user static route, o - ODR Gateway of last resort is not set 172.16.0.0/24 is subnetted, 2 subnets C 172.16.1.0 is directly connected, FastEthernet0/0 C 172.16.2.0 is directly connected, Serial0/0/0 C 192.168.1.0/24 is directly connected, Serial0/0/1
  • 60.
    CCNA Exploration Protocoles etconcepts de routage : Routage statique Travaux pratiques 2.8.1 : configuration de base d’une route statique Copyright sur l’intégralité du contenu © 1992 – 2007 Cisco Systems, Inc. Tous droits réservés. Ce document contient des informations publiques Cisco. Page 12 sur 21 Quels sont les réseaux présents dans le diagramme de la topologie, mais pas dans la table de routage pour R2 ? _________________________________________________________________________ R3#_________________________________ Codes: C - connected, S - static, I - IGRP, R - RIP, M - mobile, B - BGP D - EIGRP, EX - EIGRP external, O - OSPF, IA - OSPF inter area N1 - OSPF NSSA external type 1, N2 - OSPF NSSA external type 2 E1 - OSPF external type 1, E2 - OSPF external type 2, E - EGP i - IS-IS, L1 - IS-IS level-1, L2 - IS-IS level-2, * - candidate default U - per-user static route, o - ODR Gateway of last resort is not set C 192.168.1.0/24 is directly connected, Serial0/0/1 C 192.168.2.0/24 is directly connected, FastEthernet0/0 Quels sont les réseaux présents dans le diagramme de la topologie, mais pas dans la table de routage pour R3 ? _________________________________________________________________________ Pourquoi tous ces réseaux ne se trouvent-ils pas dans les tables de routage des autres routeurs ? _________________________________________________________________________ _________________________________________________________________________ Que faut-il ajouter au réseau pour que les périphériques qui ne sont pas directement connectés puissent s’envoyer mutuellement des paquets ping ? __________________________________________________________________________ Tâche 8 : configuration d’une route statique en utilisant une adresse du tronçon suivant Étape 1 : utilisation de la syntaxe suivante pour configurer des routes statiques en spécifiant un tronçon suivant : Router(config)# ip route adresse du réseau masque du sous-réseau adresse ip • adresse du réseau : – adresse de destination du réseau distant à ajouter à la table de routage. • masque du sous-réseau – masque du sous-réseau du réseau distant à ajouter à la table de routage. Il est possible de modifier le masque de sous-réseau pour résumer un groupe de réseaux. • adresse ip – appelée communément adresse IP du routeur du tronçon suivant. Sur le routeur R3, configurez une route statique vers le réseau 172.16.1.0 en utilisant l’interface série 0/0/1 de R2 comme adresse du tronçon suivant. R3(config)#ip route 172.16.1.0 255.255.255.0 192.168.1.2 R3(config)#
  • 61.
    CCNA Exploration Protocoles etconcepts de routage : Routage statique Travaux pratiques 2.8.1 : configuration de base d’une route statique Copyright sur l’intégralité du contenu © 1992 – 2007 Cisco Systems, Inc. Tous droits réservés. Ce document contient des informations publiques Cisco. Page 13 sur 21 Étape 2 : affichage de la table de routage pour vérifier la nouvelle entrée de la route statique Remarquez que la route est codée avec un S, ce qui indique qu’il s’agit d’une route statique. R3#_________________________________ Codes: C - connected, S - static, I - IGRP, R - RIP, M - mobile, B - BGP D - EIGRP, EX - EIGRP external, O - OSPF, IA - OSPF inter area N1 - OSPF NSSA external type 1, N2 - OSPF NSSA external type 2 E1 - OSPF external type 1, E2 - OSPF external type 2, E - EGP i - IS-IS, L1 - IS-IS level-1, L2 - IS-IS level-2, * - candidate default U - per-user static route, o - ODR Gateway of last resort is not set 172.16.0.0/24 is subnetted, 1 subnets S 172.16.1.0 [1/0] via 192.168.1.2 C 192.168.1.0/24 is directly connected, Serial0/0/1 C 192.168.2.0/24 is directly connected, FastEthernet0/0 R3# Lorsque cette route est introduite dans la table de routage, tous les paquets qui correspondent aux 24 premiers bits les plus à gauche de 172.16.1.0/24 sont transférés vers le routeur du tronçon suivant sur 192.168.1.2. Quelle interface R3 va-t-il utiliser pour transférer les paquets vers le réseau 172.16.1.0/24 ? ____________ Supposons que les paquets suivants sont arrivés sur R3 avec l’adresse de destination indiquée. R3 va-t-il rejeter ou transférer le paquet ? Si R3 transfère le paquet, quelle interface sera utilisée ? Paquet Adresse IP de destination Rejet ou transfert ? Interface 1 172.16.2.1 _________ _________ 2 172.16.1.10 _________ _________ 3 192.168.1.2 _________ _________ 4 172.16.3.10 _________ _________ 5 192.16.2.10 _________ _________ Bien que R3 transfère les paquets vers les destinations pour lesquelles une route a été définie, cela ne signifie pas que le paquet va parvenir sans problème à sa destination finale. Étape 3 : utilisation de la commande ping pour tester la connectivité entre l’hôte PC3 et l’hôte PC2 À partir de l’hôte PC3, est-il possible d’envoyer un paquet ping à l’hôte PC2 ? ________ Ces ping doivent échouer. Les paquets ping parviennent au PC2 si vous avez configuré et testé tous les périphériques comme cela est indiqué à la tâche 6, « Collecte des informations ». Le PC2 envoie le paquet ping en réponse au PC3. Cependant, la réponse au ping est rejetée sur R2, car aucune route de retour vers le réseau 192.168.2.0 n’est définie dans la table de routage de R2. Étape 4 : configuration sur le routeur R2 d’une route statique permettant d’atteindre le réseau 192.168.2.0 Quelle est l’adresse du tronçon suivant à laquelle R2 pourrait envoyer un paquet destiné au réseau 192.168.2.0/24 ? R2(config)#ip route 192.168.2.0 255.255.255.0 ________________ R2(config)#
  • 62.
    CCNA Exploration Protocoles etconcepts de routage : Routage statique Travaux pratiques 2.8.1 : configuration de base d’une route statique Copyright sur l’intégralité du contenu © 1992 – 2007 Cisco Systems, Inc. Tous droits réservés. Ce document contient des informations publiques Cisco. Page 14 sur 21 Étape 5 : affichage de la table de routage pour vérifier la nouvelle entrée de la route statique Remarquez que la route est codée avec un S, ce qui indique qu’il s’agit d’une route statique. R2#_________________________________ Codes: C - connected, S - static, I - IGRP, R - RIP, M - mobile, B - BGP D - EIGRP, EX - EIGRP external, O - OSPF, IA - OSPF inter area N1 - OSPF NSSA external type 1, N2 - OSPF NSSA external type 2 E1 - OSPF external type 1, E2 - OSPF external type 2, E - EGP i - IS-IS, L1 - IS-IS level-1, L2 - IS-IS level-2, * - candidate default U - per-user static route, o - ODR Gateway of last resort is not set 172.16.0.0/24 is subnetted, 2 subnets C 172.16.1.0 is directly connected, FastEthernet0/0 C 172.16.2.0 is directly connected, Serial0/0/0 C 192.168.1.0/24 is directly connected, Serial0/0/1 S 192.168.2.0/24 [1/0] via 192.168.1.1 R2# Étape 6 : utilisation de la commande ping pour tester la connectivité entre l’hôte PC3 et l’hôte PC2 À partir de l’hôte PC3, est-il possible d’envoyer un paquet ping à l’hôte PC2 ? ________ Cette commande ping doit réussir. Tâche 9 : configuration d’une route statique en utilisant une interface de sortie Utilisez la syntaxe suivante pour configurer des routes statiques en spécifiant une interface de sortie : Router(config)# ip route adresse du réseau masque du sous-réseau interface de sortie • adresse du réseau – adresse de destination du réseau distant à ajouter à la table de routage. • masque du sous-réseau – masque du sous-réseau du réseau distant à ajouter à la table de routage. Il est possible de modifier le masque de sous-réseau pour résumer un groupe de réseaux. • interface de sortie – interface de sortie utilisée pour transférer des paquets vers le réseau de destination. Étape 1 : configuration d’une route statique sur le routeur R3 Sur le routeur R3, configurez une route statique vers le réseau 172.16.2.0 en utilisant l’interface série 0/0/0 de R3 comme interface de sortie. R3(config)# ip route 172.16.2.0 255.255.255.0 Serial0/0/1 R3(config)# Étape 2 : affichage de la table de routage pour vérifier la nouvelle entrée de la route statique R3#_________________________________ Codes: C - connected, S - static, I - IGRP, R - RIP, M - mobile, B - BGP D - EIGRP, EX - EIGRP external, O - OSPF, IA - OSPF inter area N1 - OSPF NSSA external type 1, N2 - OSPF NSSA external type 2 E1 - OSPF external type 1, E2 - OSPF external type 2, E - EGP i - IS-IS, L1 - IS-IS level-1, L2 - IS-IS level-2, * - candidate default U - per-user static route, o - ODR
  • 63.
    CCNA Exploration Protocoles etconcepts de routage : Routage statique Travaux pratiques 2.8.1 : configuration de base d’une route statique Copyright sur l’intégralité du contenu © 1992 – 2007 Cisco Systems, Inc. Tous droits réservés. Ce document contient des informations publiques Cisco. Page 15 sur 21 Gateway of last resort is not set 172.16.0.0/24 is subnetted, 2 subnets S 172.16.1.0 [1/0] via 192.168.1.2 S 172.16.2.0 is directly connected, Serial0/0/1 C 192.168.1.0/24 is directly connected, Serial0/0/1 C 192.168.2.0/24 is directly connected, FastEthernet0/0 R3# Utilisez la commande show running-config pour vérifier les routes statiques actuellement configurées sur R3. R3#show running-config Building configuration... <output omitted> ! hostname R3 ! interface FastEthernet0/0 ip address 192.168.2.1 255.255.255.0 ! interface Serial0/0/0 no ip address shutdown ! interface Serial0/0/1 ip address 192.168.1.1 255.255.255.0 ! ip route 172.16.1.0 255.255.255.0 192.168.1.2 ip route 172.16.2.0 255.255.255.0 Serial0/0/1 ! end Comment feriez-vous pour supprimer une de ces routes de la configuration ? _____________________________________________________________________________ Étape 3 : configuration d’une route statique sur le routeur R2 Sur le routeur R2, configurez une route statique vers le réseau 172.16.3.0 en utilisant l’interface série 0/0/0 de R2 comme interface de sortie. R2(config)# ip route 172.16.3.0 255.255.255.0 Serial0/0/0 R2(config)# Étape 4 : affichage de la table de routage pour vérifier la nouvelle entrée de la route statique R2#_________________________________ Codes: C - connected, S - static, I - IGRP, R - RIP, M - mobile, B - BGP D - EIGRP, EX - EIGRP external, O - OSPF, IA - OSPF inter area N1 - OSPF NSSA external type 1, N2 - OSPF NSSA external type 2 E1 - OSPF external type 1, E2 - OSPF external type 2, E - EGP i - IS-IS, L1 - IS-IS level-1, L2 - IS-IS level-2, * - candidate default U - per-user static route, o - ODR
  • 64.
    CCNA Exploration Protocoles etconcepts de routage : Routage statique Travaux pratiques 2.8.1 : configuration de base d’une route statique Copyright sur l’intégralité du contenu © 1992 – 2007 Cisco Systems, Inc. Tous droits réservés. Ce document contient des informations publiques Cisco. Page 16 sur 21 Gateway of last resort is not set 172.16.0.0/24 is subnetted, 3 subnets C 172.16.1.0 is directly connected, FastEthernet0/0 C 172.16.2.0 is directly connected, Serial0/0/0 S 172.16.3.0 is directly connected, Serial0/0/0 C 192.168.1.0/24 is directly connected, Serial0/0/1 S 192.168.2.0/24 [1/0] via 192.168.1.1 R2# À ce niveau, R2 dispose d’une table de routage complète, qui contient toutes les routes valides vers les cinq réseaux mentionnés dans le diagramme de la topologie. Cela signifie-t-il que R2 peut recevoir des réponses ping de toutes les destinations mentionnées dans le diagramme de la topologie ? ________ Justifiez votre réponse. ______________________________________________________________________ _______________________________________________________________________ Étape 5 : utilisation de la commande ping pour tester la connectivité entre les hôtes PC2 et PC1 Cette commande ping doit échouer, car aucune route de retour vers le réseau 172.16.1.0 n’est définie dans la table de routage. Tâche 10 : configuration d’une route statique par défaut Dans les étapes précédentes, vous avez configuré le routeur pour des routes de destination précises. Pourriez-vous faire de même pour toutes les routes sur Internet ? Non. Le routeur serait saturé. Pour réduire la taille des tables de routage ajoutez une route statique par défaut. Un routeur utilise la route statique par défaut en l’absence d’une meilleure route, plus précise, vers sa destination. Au lieu de remplir la table de routage de R1 avec une infinité de routes statiques, nous pouvons supposer que R1 est un routeur d’extrémité. Cela signifie que R2 est la passerelle par défaut de R1. Si R1 possède des paquets qui n’appartiennent pas à un de ses réseaux directement connectés, il les envoie vers R2. Cependant, il convient de configurer explicitement une route par défaut sur R1, avant que ce routeur envoie les paquets de destination inconnue vers R2. Sinon, R1 rejette les paquets de destination inconnue. Pour configurer une route statique par défaut, utilisez la syntaxe suivante : Router(config)#ip route 0.0.0.0 0.0.0.0 { adresse ip | interface } Étape 1 : configuration d’une route par défaut sur le routeur R1 Sur le routeur R1, configurez une route par défaut en utilisant l’interface série 0/0/0 de R1 comme interface du tronçon suivant. R1(config)#ip route 0.0.0.0 0.0.0.0 172.16.2.2 R1(config)# Étape 2 : affichage de la table de routage pour vérifier la nouvelle entrée de la route statique R1#_________________________________ Codes: C - connected, S - static, I - IGRP, R - RIP, M - mobile, B - BGP D - EIGRP, EX - EIGRP external, O - OSPF, IA - OSPF inter area N1 - OSPF NSSA external type 1, N2 - OSPF NSSA external type 2 E1 - OSPF external type 1, E2 - OSPF external type 2, E - EGP
  • 65.
    CCNA Exploration Protocoles etconcepts de routage : Routage statique Travaux pratiques 2.8.1 : configuration de base d’une route statique Copyright sur l’intégralité du contenu © 1992 – 2007 Cisco Systems, Inc. Tous droits réservés. Ce document contient des informations publiques Cisco. Page 17 sur 21 i - IS-IS, L1 - IS-IS level-1, L2 - IS-IS level-2, * - candidate default U - per-user static route, o - ODR Gateway of last resort is 172.16.2.2 to network 0.0.0.0 172.16.0.0/24 is subnetted, 2 subnets C 172.16.2.0 is directly connected, Serial0/0/0 C 172.16.3.0 is directly connected, FastEthernet0/0 S* 0.0.0.0/0 [1/0] via 172.16.2.2 R1# Remarquez que le routeur R1 possède maintenant une route par défaut, appelée passerelle de dernier recours (notée dans le script gateway of last resort) et qu’il va transmettre tout le trafic inconnu via l’interface série 0/0/0 qui est connectée à R2. Étape 3 : utilisation de la commande ping pour tester la connectivité entre l’hôte PC2 et PC1 Depuis PC2, est-il possible d’envoyer un paquet ping à PC1 ? ________ Cette commande ping doit maintenant aboutir, car le routeur R1 peut renvoyer le paquet en utilisant la route par défaut. À partir de l’hôte PC3, est-il possible d’envoyer un paquet ping à l’hôte PC1 ? _______ La table de routage sur R3 contient-elle une route à destination du réseau 172.16.3.0 ? _______ Tâche 11 : Cconfiguration d’une route statique résumée Il serait possible de configurer une autre route statique sur R3 pour le réseau 172.16.3. Cependant, il existe déjà deux routes statiques vers les réseaux 172.16.2.0/24 et 172.16.1.0/24. Ces deux réseaux étant proches l’un de l’autre, ils peuvent être résumés en une seule route. Une fois encore, cette opération permet de réduite la taille de la table de routage et donc d’améliorer le processus de recherche de route. En observant les trois réseaux au niveau binaire, nous pouvons tracer une frontière au niveau du 22e bit en partant de la gauche. 172.16.1.0 10101100.00010000.00000001.00000000 172.16.2.0 10101100.00010000.00000010.00000000 172.16.3.0 10101100.00010000.00000011.00000000 Le préfixe comprend 172.16.0.0, car cette adresse correspondrait au préfixe si on désactivait tous les bits situés à la droite du 22e bit. Prefix 172.16.0.0 Pour créer un masque avec les 22 bits les plus à gauche, on utilise un masque dont 22 bits sont activés, de gauche à droite : Bit Mask 11111111.11111111.11111100.00000000 Ce masque au format décimal pointé est... Mask 255.255.252.0
  • 66.
    CCNA Exploration Protocoles etconcepts de routage : Routage statique Travaux pratiques 2.8.1 : configuration de base d’une route statique Copyright sur l’intégralité du contenu © 1992 – 2007 Cisco Systems, Inc. Tous droits réservés. Ce document contient des informations publiques Cisco. Page 18 sur 21 Étape 1 : configuration de la route statique résumée sur le routeur R3 Le réseau à utiliser dans la route résumée est 172.16.0.0/22. R3(config)#ip route 172.16.0.0 255.255.252.0 192.168.1.2 Étape 2 : vérification de l’installation de la route résumée dans la table de routage R3#_________________________________ Codes: C - connected, S - static, I - IGRP, R - RIP, M - mobile, B - BGP D - EIGRP, EX - EIGRP external, O - OSPF, IA - OSPF inter area N1 - OSPF NSSA external type 1, N2 - OSPF NSSA external type 2 E1 - OSPF external type 1, E2 - OSPF external type 2, E - EGP i - IS-IS, L1 - IS-IS level-1, L2 - IS-IS level-2, ia - IS-IS inter area * - candidate default, U - per-user static route, o - ODR P - periodic downloaded static route Gateway of last resort is not set 172.16.0.0/16 is variably subnetted, 3 subnets, 2 masks S 172.16.0.0/22 [1/0] via 192.168.1.2 S 172.16.1.0/24 [1/0] via 192.168.1.2 S 172.16.2.0/24 is directly connected, Serial0/0/1 C 192.168.1.0/24 is directly connected, Serial0/0/1 C 192.168.2.0/24 is directly connected, FastEthernet0/0 La configuration d’une route résumée sur R3 n’a pas supprimé les routes statiques configurées auparavant, car elles sont plus spécifiques. Elles utilisent toutes deux le masque /24, alors que la route résumée utilise le masque /22. Pour réduire la taille de la table de routage, il est maintenant possible de supprimer les routes plus spécifiques de type /24. Étape 3 : suppression des routes statiques sur R3 Utilisez la forme « no » de la commande pour supprimer les deux routes statiques actuellement configurées sur R3. R3(config)#no ip route 172.16.1.0 255.255.255.0 192.168.1.2 R3(config)#no ip route 172.16.2.0 255.255.255.0 Serial0/0/0 Étape 4 : vérification de la suppression des routes dans la table de routage R3#_________________________________ Codes: C - connected, S - static, I - IGRP, R - RIP, M - mobile, B - BGP D - EIGRP, EX - EIGRP external, O - OSPF, IA - OSPF inter area N1 - OSPF NSSA external type 1, N2 - OSPF NSSA external type 2 E1 - OSPF external type 1, E2 - OSPF external type 2, E - EGP i - IS-IS, L1 - IS-IS level-1, L2 - IS-IS level-2, ia - IS-IS inter area * - candidate default, U - per-user static route, o - ODR P - periodic downloaded static route Gateway of last resort is not set 172.16.0.0/22 is subnetted, 1 subnets S 172.16.0.0 [1/0] via 192.168.1.2 C 192.168.1.0/24 is directly connected, Serial0/0/1 C 192.168.2.0/24 is directly connected, FastEthernet0/0
  • 67.
    CCNA Exploration Protocoles etconcepts de routage : Routage statique Travaux pratiques 2.8.1 : configuration de base d’une route statique Copyright sur l’intégralité du contenu © 1992 – 2007 Cisco Systems, Inc. Tous droits réservés. Ce document contient des informations publiques Cisco. Page 19 sur 21 R3 possède maintenant une seule route à destination de tous les hôtes des réseaux 172.16.0.0/24, 172.16.1.0/24, 172.16.2.0/24 et 172.16.3.0/24. Le trafic destiné à ces réseaux est expédié à R2 sur 192.168.1.2. Étape 5 : utilisation de la commande ping pour tester la connectivité entre l’hôte PC3 et PC1 À partir de l’hôte PC3, est-il possible d’envoyer un paquet ping à l’hôte PC1 ? ________ Cette commande ping doit maintenant réussir, car le routeur R3 possède une route vers le réseau 172.16.3.0 et R1 peut renvoyer le paquet en utilisant la route par défaut. Tâche 12 : résumé, remarques générales et documentation À l’issue de ces travaux pratiques : • Vous avez configuré votre premier réseau en réalisant un routage statique combiné par défaut afin d’assurer la connectivité totale de tous les réseaux. • Vous avez observé le mode d’installation d’une route dans la table de routage lorsqu’une interface active est correctement configurée. • Vous avez appris à configurer des routes statiques vers des destinations qui ne sont pas directement connectées. • Vous avez appris à configurer une route par défaut utilisée pour transférer les paquets vers des destinations inconnues. • Vous avez appris à résumer un groupe de réseaux en une seule route statique afin de réduire la taille de la table de routage. Au cours de ces différentes opérations, vous avez certainement rencontré des problèmes, tant au niveau de l’installation physique que des configurations. Nous espérons que vous avez également appris à résoudre ces problèmes de manière systématique. Notez ici les remarques et commentaires qui pourraient vous être utiles dans les prochains travaux pratiques. _____________________________________________________________________________ _____________________________________________________________________________ _____________________________________________________________________________ _____________________________________________________________________________ Dernier point, vous devez maintenant documenter l’implémentation du réseau. Sur chaque routeur, capturez le résultat de la commande suivante dans un fichier texte (.txt) et enregistrez-le pour y faire référence par la suite. • show running-config • show ip route • show ip interface brief Si vous voulez revoir les procédures de capture des données fournies par une commande, reportez-vous aux travaux pratiques 1.5.1.
  • 68.
    CCNA Exploration Protocoles etconcepts de routage : Routage statique Travaux pratiques 2.8.1 : configuration de base d’une route statique Copyright sur l’intégralité du contenu © 1992 – 2007 Cisco Systems, Inc. Tous droits réservés. Ce document contient des informations publiques Cisco. Page 20 sur 21 Tâche 13 : remise en état Effacez les configurations et rechargez les routeurs. Débranchez les câbles et stockez-les. Pour les PC hôtes normalement connectés à d’autres réseaux (comme le réseau local du centre de formation ou Internet), remettez-en place les câblages adaptés et restaurez les paramètres TCP/IP. Tâche 14 : confirmation Dans l’exercice suivant, remplissez les blancs afin de documenter le cheminement du paquet ping entre la source et la destination. Si vous avez besoin d’aide, reportez-vous à la section 1.4 « Détermination du chemin et fonction de commutation ». 1. La procédure ICMP du PC3 formule une demande d’envoi d’un paquet ping vers PC2 et renvoie la réponse à la procédure IP. 2. La procédure IP sur PC3 encapsule le paquet ping en ajoutant l'adresse IP source _____et l'adresse IP de destination ________________. 3. PC3 crée encapsule paquet avec l’adresse MAC source de (indiquer le nom du périphérique) ________ et l’adresse MAC de destination de (indiquer le nom du périphérique) ______________. 4. Ensuite, PC3 envoie la trame sur le support sous forme de trame binaire codée. 5. R3 reçoit la trame binaire sur son interface _____________. Comme l’adresse MAC de destination correspond à l’adresse MAC de l’interface réceptrice, R3 supprime l’en-tête Ethernet. 6. R3 recherche l’adresse du réseau de destination _______________ dans sa table de routage. Cette destination possède l’adresse IP du tronçon suivant ________________. L’adresse IP du tronçon suivant est accessible via l’interface _____________. 7. R3 encapsule le paquet dans la trame HDLC et transfère cette trame via l’interface appropriée. (Comme il s’agit d’une liaison point-à-point, aucune adresse n’est nécessaire. Cependant, le champ d’adressage du paquet HDLC contient la valeur 0x8F). 8. R2 reçoit la trame sur son interface ____________. Comme il s’agit d’une trame HDLC, R2 supprime l’en-tête et recherche l’adresse du réseau __________________ dans sa table de routage. Cette adresse de destination est directement connectée à l’interface ___________. 9. R2 encapsule le paquet ping dans une trame comprenant l’adresse MAC source de (indiquer le nom du périphérique) _________ et l’adresse MAC de destination de (indiquer le nom du périphérique) ________. 10. Ensuite, R2 envoie la trame sur le support sous forme de train binaire codé. 11. PC2 reçoit la trame binaire sur son interface ___________. Comme l’adresse MAC de destination correspond à l’adresse MAC de PC2, PC2 supprime l’en-tête Ethernet. 12. Le processus IP sur PC2 examine l’adresse IP de ___________ pour vérifier qu’elle correspond effectivement à sa propre adresse IP. Puis, PC2 transmet les données à la procédure ICMP. 13. La procédure ICMP du PC2 formule une réponse ping vers PC3 et renvoie la réponse à la procédure IP. 14. La procédure IP sur PC2 encapsule le paquet ping en ajoutant l'adresse IP source ________________ et l'adresse IP de destination ___ 15. PC2 crée les trames du paquet avec l’adresse MAC source de (indiquer le nom du périphérique) __________ et l’adresse MAC de destination de (indiquer le nom du périphérique) __________. 16. Ensuite, PC2 envoie la trame sur le support sous forme de train binaire codé. 17. R2 reçoit la trame binaire sur son interface _____________. Comme l’adresse MAC de destination correspond à l’adresse MAC de l’interface réceptrice, R2 supprime l’en-tête Ethernet.
  • 69.
    CCNA Exploration Protocoles etconcepts de routage : Routage statique Travaux pratiques 2.8.1 : configuration de base d’une route statique Copyright sur l’intégralité du contenu © 1992 – 2007 Cisco Systems, Inc. Tous droits réservés. Ce document contient des informations publiques Cisco. Page 21 sur 21 18. R2 recherche l’adresse du réseau de destination _______________ dans sa table de routage. Cette destination possède l’adresse IP du tronçon suivant ___________. L’adresse IP du tronçon suivant est accessible via l’interface ____________. 19. R2 encapsule le paquet dans la trame HDLC et transfère la trame via l’interface appropriée. (Comme il s’agit d’une liaison point-à-point, aucune adresse n’est nécessaire. Cependant, le champ d’adressage du paquet HDLC contient la valeur 0x8F). 20. R3 reçoit la trame sur son interface ___________. Comme il s’agit d’une trame HDLC, R3 supprime l’en-tête et recherche l’adresse du réseau ____________ dans sa table de routage. Cette adresse de destination est directement connectée à l’interface ______________. 21. R3 encapsule le paquet ping dans une trame comprenant l’adresse MAC source de (indiquer le nom du périphérique) ________ et l’adresse MAC de destination de (indiquer le nom du périphérique) ________. 22. Ensuite, R3 envoie la trame sur le support sous forme de train binaire codé. 23. PC2 reçoit le train binaire sur son interface _________. Comme l’adresse MAC de destination correspond à l’adresse MAC de PC3, PC3 supprime l’en-tête Ethernet. 24. La procédure IP sur PC3 examine l’adresse IP de _______ pour vérifier qu’elle correspond effectivement à sa propre adresse IP. Puis, PC3 transmet les données à la procédure ICMP. 25. ICMP envoie un message de réussite à l’application à l’origine de la demande.
  • 70.
    Copyright sur l’intégralitédu contenu © 1992 – 2007 Cisco Systems, Inc. Tous droits réservés. Ce document contient des informations publiques Cisco. Page 1 sur 8 Travaux pratiques 2.8.2 : configuration avancée d’une route statique Diagramme de topologie Table d’adressage Périphérique Interface Adresse IP Masque de sous réseau Passerelle par défaut BRANCH Fa0/0 s/o S0/0/0S0/0/0 s/o HQ Fa0/0 s/o S0/0/0S0/0/0 s/o S0/0/1S0/0/1 209.165.201.2 255.255.255.252 s/o ISP Fa0/0 209.165.200.225 255.255.255.224 s/o S/0/0S/0/0 209.165.201.1 255.255.255.252 s/o PC1 Carte réseau PC2 Carte réseau Web Server (Serveur Web) Carte réseau 209.165.200.253 255.255.255.224 209.165.200.225
  • 71.
    CCNA Exploration Protocoles etconcepts de routage : Routage statique Travaux pratiques 2.8.2 : configuration avancée d’une route statique Copyright sur l’intégralité du contenu © 1992 – 2007 Cisco Systems, Inc. Tous droits réservés. Ce document contient des informations publiques Cisco. Page 2 sur 8 Objectifs pédagogiques À l’issue de ces travaux pratiques, vous serez en mesure d’effectuer les tâches suivantes :  Créer des sous-réseaux dans un espace d’adressage d’après des consignes données  Attribuer des adresses appropriées aux interfaces et les documenter  Câbler un réseau conformément au diagramme de topologie  Effacer la configuration de démarrage et recharger un routeur dans son état par défaut  Exécuter des tâches de configuration de base sur un routeur  Configurer et activer les interfaces série et Ethernet  Déterminer les routes statiques, les résumés et les routes par défaut appropriées  Tester et vérifier les configurations  Réfléchir à l’implémentation du réseau et fournir la documentation associée Scénario Dans ces travaux pratiques, une adresse réseau vous est attribuée pour laquelle vous devrez créer des sous-réseaux afin de réaliser l’adressage du réseau représenté dans le diagramme de la topologie. L’adressage du réseau local (LAN) connecté au routeur ISP et de la liaison entre les routeurs HQ et ISP est déjà réalisé. Vous devrez également configurer des routes statiques afin que les hôtes qui se trouvent sur des réseaux non directement connectés puissent communiquer entre eux. Tâche 1 : subdivision de l’espace d’adressage Étape 1 : examen des besoins du réseau L’adressage du réseau local connecté au routeur ISP et de la liaison entre les routeurs HQ et ISP est déjà réalisé. L’espace d’adressage 192.168.2.0/24 vous a été attribué pour terminer la conception du réseau. Créez des sous-réseaux, afin de disposer de suffisamment d’adresses IP pour prendre en charge 60 hôtes. Étape 2 : questions à prendre en comptre lors de la création de votre conception de réseau Combien de sous-réseaux faut-il créer à partir du réseau 192.168.2.0/24 ? __________ Quelles sont les adresses réseau des sous-réseaux ? Sous-réseau 0 : ________________________________________ Sous-réseau 1 : ________________________________________ Sous-réseau 2 : ________________________________________ Sous-réseau 3 : ________________________________________ Quel est le masque de sous-réseau de ces réseaux au format décimal pointé ? ____________________ Quel est le masque de sous-réseau de ce réseau au format avec barre oblique ? __________ Combien y a-t-il d'hôtes utilisables par sous-réseau ? __________
  • 72.
    CCNA Exploration Protocoles etconcepts de routage : Routage statique Travaux pratiques 2.8.2 : configuration avancée d’une route statique Copyright sur l’intégralité du contenu © 1992 – 2007 Cisco Systems, Inc. Tous droits réservés. Ce document contient des informations publiques Cisco. Page 3 sur 8 Étape 3 : attribution d'adresses de sous-réseau au diagramme de topologie 1. Affectez le sous-réseau 1 au réseau local attaché de HQ. 2. Affectez le sous-réseau 2 à la liaison étendue (WAN) entre HQ et BRANCH. 3. Affectez le sous-réseau 3 au réseau local attaché à BRANCH. 4. Le sous-réseau 0 est disponible pour une extension future. Tâche 2 : détermination des adresses des interfaces Étape 1 : attribution des adresses appropriées aux interfaces des périphériques 1. Affectez la première adresse d’hôte valide du sous-réseau 1 à l’interface LAN sur HQ. 2. Affectez la dernière adresse d’hôte valide du réseau 1 au PC2. 3. Affectez la première adresse d’hôte valide du sous-réseau 2 à l’interface WAN sur BRANCH. 4. Affectez la seconde adresse d’hôte valide du sous-réseau 2 à l’interface WAN sur HQ. 5. Affectez la première adresse d’hôte valide du sous-réseau 3 à l’interface LAN de BRANCH. 6. Affectez la dernière adresse d’hôte valide du réseau 3 au PC1. Étape 2 : documentation des adresses à utiliser dans le tableau fourni sous le diagramme de topologie Tâche 3 : préparation du réseau Étape 1 : installation d’un réseau similaire à celui du diagramme de topologie Vous pouvez utiliser n’importe quel routeur des travaux pratiques, pourvu qu’il comporte les interfaces nécessaires illustrées dans la topologie. Étape 2 : suppression de toute configuration existante sur les routeurs Tâche 4 : exécution des configurations de base des routeurs Exécutez la configuration de base des routeurs BRANCH, HQ et ISP en respectant les consignes suivantes : 1. Configurez le nom d’hôte du routeur. 2. Désactivez la recherche DNS. 3. Configurez un mot de passe pour le mode EXEC. 4. Configurez une bannière du message du jour. 5. Configurez un mot de passe pour les connexions console. 6. Configurez un mot de passe pour les connexions VTY. 7. Synchronisez les messages non sollicités et les résultats de débogage avec les résultats sollicités et les invites de la console et des lignes du terminal virtuel. 8. Configurez un délai d’attente EXEC de 15 minutes.
  • 73.
    CCNA Exploration Protocoles etconcepts de routage : Routage statique Travaux pratiques 2.8.2 : configuration avancée d’une route statique Copyright sur l’intégralité du contenu © 1992 – 2007 Cisco Systems, Inc. Tous droits réservés. Ce document contient des informations publiques Cisco. Page 4 sur 8 Tâche 5 : configuration et activation des adresses de série et Ethernet Étape 1 : configuration des interfaces sur les routeurs BRANCH, HQ et ISP Configurez les interfaces sur les routeurs BRANCH, HQ et ISP à l'aide des adresses IP de la table sous le diagramme de la topologie. Lorsque vous avez terminé, n’oubliez pas d’enregistrer la configuration en cours dans la mémoire NVRAM du routeur. Étape 2 : configuration des interfaces Ethernet Configurez les interfaces Ethernet sur PC1, PC2 et le serveur Web à l'aide des adresses IP de la table d’adressage du diagramme de la topologie. Tâche 6 : bérification de la connectivité à l’équipement du tronçon suivant À ce stade, il ne doit pas encore exister de connectivité entre les périphériques finaux. Néanmoins, vous pouvez tester la connectivité entre deux routeurs et entre un périphérique final et sa passerelle par défaut. Étape 1 : bérification de la connectivité de BRANCH et HQ Vérifiez que le BRANCH peut envoyer un paquet ping vers HQ par l’intermédiaire de la liaison WAN et que HQ peut transmettre un paquet ping via la liaison WAN qu’il partage avec le FAI. Étape 2 : bérification de la connectivité de PC1, PC2 et du serveur Web Vérifiez que PC1, PC2 et le serveur Web peuvent envoyer des paquets ping à leurs passerelles par défaut. Tâche 7 : configuration du routage statique sur BRANCH Étape 1 : réflexion sur le type de routage statique nécessaire sur BRANCH Quels sont les réseaux qui figurent dans la table de routage de BRANCH ? Dressez la liste des réseaux en utilisant la notation avec barre oblique. ________________________________________ ________________________________________ Quels sont les réseaux absents de la table de routage BRANCH ? Dressez la liste des réseaux en utilisant la notation avec barre oblique. ________________________________________ ________________________________________ ________________________________________ Est-il possible de créer une route résumée qui comprend tous les réseaux manquants ? __________ Combien t y a-t-il de routes WAN disponibles pour le trafic sortant du réseau local connecté à BRANCH ?__________
  • 74.
    CCNA Exploration Protocoles etconcepts de routage : Routage statique Travaux pratiques 2.8.2 : configuration avancée d’une route statique Copyright sur l’intégralité du contenu © 1992 – 2007 Cisco Systems, Inc. Tous droits réservés. Ce document contient des informations publiques Cisco. Page 5 sur 8 Étape 2 : configuration de BRANCH avec une route statique pointant vers HQ Étant donné que BRANCH est un routeur d’extrémité, BRANCH doit être configuré avec une route statique pointant vers HQ. Indiquez la commande permettant de configurer une route statique par défaut à l’aide de l’interface de sortie appropriée. ________________________________________________________________________________ Étape 3 : affichage de la table de routage de BRANCH pour vérifier la nouvelle entrée de la route statique Normalement, une instruction Gateway of Last Resort (passerelle de dernier recours) doit être active sur BRANCH. Sans test préalable, pensez-vous que PC1 peut maintenant envoyer une requête vers PC2 ? _________ Justifiez votre réponse. ___________________________________________________________________________________ ___________________________________________________________________________________ ___________________________________________________________________________________ Tâche 8 : configuration du routage statique sur HQ Étape 1 : examen du type de routage statique nécessaire pour HQ Quels sont les réseaux qui figurent dans la table de routage de HQ ? Dressez la liste des réseaux en utilisant la notation avec barre oblique. ________________________________________ ________________________________________ ________________________________________ Quels sont les réseaux absents de la table de routage HQ ? Dressez la liste des réseaux en utilisant la notation avec barre oblique. ________________________________________ ________________________________________ Est-il possible de créer une route résumée qui comprend tous les réseaux manquants ? __________ HQ est dans une position unique, puisqu’il s’agit du routeur central (concentrateur) de cette topologie en étoile de type hub-and-spoke. Le trafic à destination d’Internet provenant du réseau local BRANCH doit passer par HQ. HQ doit être en mesure d’envoyer tout trafic pour lequel il ne possède pas de routeur vers ISP. Quel type de route devez-vous configurer sur HQ pour résoudre ce problème ? ___________________________________________________________________________________ HQ sert également d’intermédiaire pour le trafic provenant d’Internet à destination du réseau local BRANCH. De ce fait, HQ doit pouvoir établir une route vers ce réseau local. Quel type de route devez-vous configurer sur HQ pour résoudre ce problème ? ___________________________________________________________________________________
  • 75.
    CCNA Exploration Protocoles etconcepts de routage : Routage statique Travaux pratiques 2.8.2 : configuration avancée d’une route statique Copyright sur l’intégralité du contenu © 1992 – 2007 Cisco Systems, Inc. Tous droits réservés. Ce document contient des informations publiques Cisco. Page 6 sur 8 Étape 2 : configuration d’une deuxième route statique pour HQ Configurez pour HQ une route statique vers le réseau local BRANCH en utilisant pour sortie l’interface série 0/0/0 de HQ. Indiquez la commande utilisée. ___________________________________________________________________________________ Étape 3 : configuration d’une deuxième route statique par défaut pour HQ Configurez pour HQ une route statique par défaut qui pointe vers ISP, en utilisant l’adresse du tronçon suivant. Indiquez la commande utilisée. ___________________________________________________________________________________ Étape 4 : affichage de la table de routage de HQ pour vérifier les nouvelles entrées de la route statique Sans test préalable, pensez-vous que PC1 peut maintenant envoyer une requête vers PC2 ? __________ Justifiez votre réponse. ___________________________________________________________________________________ ___________________________________________________________________________________ Sans test préalable, pensez-vous que PC1 ou PC2 peut maintenant envoyer un paquet ping vers le serveur Web ? __________ Justifiez votre réponse. ___________________________________________________________________________________ ___________________________________________________________________________________ ___________________________________________________________________________________ ___________________________________________________________________________________ Tâche 9 : vonfiguration du routage statique sur ISP Dans une implémentation réelle de cette topologie, vous ne configureriez pas le routeur ISP. Toutefois, votre fournisseur de services Internet (FAI) constitue un partenaire actif lorsqu’il s’agit de répondre à vos besoins de connectivité. Les administrateurs des fournisseurs de services sont aussi des êtres humains qui commettent des erreurs. Par conséquent, il est important d’envisager les types d’erreurs que peut commettre un fournisseur de services Internet et qui sont susceptibles d’entraîner une perte de connectivité sur vos réseaux. Étape 1 : réflexion sur le type de routage statique nécessaire sur ISP Quels sont les réseaux présents dans la table de routage du FAI ? Dressez la liste des réseaux en utilisant la notation avec barre oblique. ________________________________________ ________________________________________ Quels sont les réseaux absents de la table de routage du FAI ? Dressez la liste des réseaux en utilisant la notation avec barre oblique. ________________________________________
  • 76.
    CCNA Exploration Protocoles etconcepts de routage : Routage statique Travaux pratiques 2.8.2 : configuration avancée d’une route statique Copyright sur l’intégralité du contenu © 1992 – 2007 Cisco Systems, Inc. Tous droits réservés. Ce document contient des informations publiques Cisco. Page 7 sur 8 ________________________________________ ________________________________________ Est-il possible de créer une route résumée qui comprend tous les réseaux manquants ? __________ Étape 2 : vonfiguration d’une route statique résumée pour ISP Configurez une route statique résumée par défaut pour le FAI qui comprend tous les sous-réseaux manquants dans la table de routage, en utilisant l’adresse IP du tronçon suivant. Indiquez la commande utilisée. ________________________________________________________________________________ Remarque : le résumé du routage comprend également la route du sous-réseau 0 réservée à une future extension. Étape 3 : affichage de la table de routage de R3 pour vérifier la nouvelle entrée de la route statique Tâche 10 : vérification des configurations Répondez aux questions suivantes pour vérifier que le réseau fonctionne comme prévu : À partir de PC2, est-il possible d’envoyer un paquet ping à PC1 ? __________ À partir de PC2, est-il possible d’envoyer un paquet ping au serveur Web ? __________ À partir de PC1, est-il possible d’envoyer un paquet ping au serveur Web ? __________ La réponse à toutes ces questions doit être oui. Si un paquet ping ci-dessus a échoué, vérifiez les connexions physiques et les configurations. Si vous voulez revoir les techniques de dépannage de base, reportez-vous aux travaux pratiques 1.5.1 « Câblage d’un réseau et configuration de base du routeur ». Quelles sont les routes présentes dans la table de routage de BRANCH ? ________________________________________ ________________________________________ ________________________________________ Quelles sont les routes présentes dans la table de routage de HQ ? ________________________________________ ________________________________________ ________________________________________ ________________________________________ ________________________________________ Quelles sont les routes présentes dans la table de routage du FAI ? ________________________________________ ________________________________________ ________________________________________
  • 77.
    CCNA Exploration Protocoles etconcepts de routage : Routage statique Travaux pratiques 2.8.2 : configuration avancée d’une route statique Copyright sur l’intégralité du contenu © 1992 – 2007 Cisco Systems, Inc. Tous droits réservés. Ce document contient des informations publiques Cisco. Page 8 sur 8 Tâche 11 : remarques générales Si une route statique par défaut n’était pas configurée sur BRANCH, combien de routes statiques individuelles seraient nécessaires pour que les hôtes du réseau local BRANCH puissent communiquer avec tous les réseaux du diagramme de la topologie ? __________ Si une route statique par défaut n’était pas configurée sur R3, combien de routes statiques individuelles seraient nécessaires pour que les hôtes du réseau local R3 puissent communiquer avec tous les réseaux du diagramme de la topologie ? __________ Tâche 12 : focumentation des configurations des routeurs Sur chaque routeur, capturez le résultat de la commande suivante dans un fichier texte (.txt) et enregistrez-le pour y faire référence par la suite.  Configuration en cours  Table de routage  Résumé de l’interface Tâche 13 : temise en état Effacez les configurations et rechargez les routeurs. Débranchez les câbles et stockez-les. Pour les PC hôtes normalement connectés à d’autres réseaux (comme le réseau local du centre de formation ou Internet), remettez-en place les câblages adaptés et restaurez les paramètres TCP/IP.
  • 78.
    Travaux pratiques 2.8.3: dépannage des routes statiques Diagramme de topologie Table d’adressage Périphérique Interface Adresse IP Masque de sous-réseau Passerelle par défaut Fa0/0 172.20.1.129 255.255.255.128 s/o BRANCH S0/0/0 172.20.1.1 255.255.255.128 s/o Fa0/0 172.20.0.129 255.255.255.128 s/o S0/0/0 172.20.1.2 255.255.255.128 s/oHQ S0/0/1 192.168.38.254 255.255.255.252 s/o FA0/0 192.168.39.65 255.255.255.192 s/o ISP S0/0/1 192.168.38.253 255.255.255.252 s/o PC1 Carte réseau 172.20.1.135 255.255.255.128 172.20.1.129 PC2 Carte réseau 172.20.0.135 255.255.255.128 172.20.0.129 Web Serveur (serveur Web Carte réseau 192.168.39.70 255.255.255.192 192.168.39.65 Objectifs pédagogiques À l’issue de ces travaux pratiques, vous serez en mesure d’effectuer les tâches suivantes : • Câbler un réseau conformément au diagramme de topologie • Effacer la configuration de démarrage et recharger un routeur dans son état par défaut Copyright sur l’intégralité du contenu © 1992 – 2007 Cisco Systems, Inc. Tous droits réservés. Ce document contient des informations publiques Cisco. Page 1 sur 9
  • 79.
    CCNA Exploration Protocoles etconcepts de routage : Routage statique Travaux pratiques 2.8.3 : dépannage des routes statiques • Charger les routeurs avec les scripts fournis • Découvrir les points où le réseau peut ne pas converger • Collecter des informations relatives aux erreurs sur le réseau • Proposer des solutions pour les erreurs de réseau • Mettre en place des solutions pour les erreurs de réseau • Vérifier le réseau corrigé Scénario Dans ces travaux pratiques, vous commencerez par charger les scripts de configuration dans chaque routeur. Ces scripts contiennent des erreurs qui empêchent les communications de bout en bout sur le réseau. Vous devrez dépanner chaque routeur pour déterminer les erreurs de configuration, puis utiliser les commandes appropriées afin de corriger les configurations. Une fois que vous aurez corrigé toutes les erreurs de configuration, tous les hôtes du réseau doivent pouvoir communiquer entre eux. Tâche 1 : installation, suppression et rechargement des routeurs Étape 1 : installation d’un réseau similaire à celui du diagramme de topologie Étape 2 : suppression de la configuration sur chaque routeur Effacez la configuration de chaque routeur à l'aide de la commande erase startup-config et rechargez-les (commande reload). Si vous êtes invité à enregistrer les modifications, répondez par no. Tâche 2 : chargement des routeurs à l’aide des scripts fournis Étape 1 : chargement du script suivant sur le routeur BRANCH : hostname BRANCH ! ! no ip domain-lookup ! interface FastEthernet0/0 ip address 172.20.1.129 255.255.255.128 duplex auto speed auto no shutdown ! interface Serial0/0/0 ip address 172.20.1.1 255.255.255.128 clock rate 64000 no shutdown ! ip route 0.0.0.0 0.0.0.0 172.20.0.129 ! ! ! ! line con 0 Copyright sur l’intégralité du contenu © 1992 – 2007 Cisco Systems, Inc. Tous droits réservés. Ce document contient des informations publiques Cisco. Page 2 sur 9 line vty 0 4
  • 80.
    CCNA Exploration Protocoles etconcepts de routage : Routage statique Travaux pratiques 2.8.3 : dépannage des routes statiques password cisco login ! end Étape 2 : chargement du script suivant sur le routeur HQ : hostname HQ ! no ip domain-lookup ! interface FastEthernet0/0 ip address 172.20.0.129 255.255.255.128 duplex auto speed auto no shutdown ! interface Serial0/0/0 ip address 172.20.1.2 255.255.255.128 no shutdown ! interface Serial0/0/1 ip address 192.168.38.254 255.255.255.252 clock rate 64000 no shutdown ! ip route 192.168.39.64 255.255.255.192 192.168.38.253 ! line con 0 line vty 0 4 password cisco login ! end Étape 3 : chargement du script suivant sur le routeur ISP : hostname ISP ! no ip domain-lookup ! interface FastEthernet0/0 ip address 192.168.39.65 255.255.255.192 ! interface Serial0/0/1 ip address 192.168.38.253 255.255.255.252 no shutdown ! ip route 172.20.0.0 255.255.255.0 192.168.38.254 ! line con 0 line vty 0 4 password cisco login ! end Copyright sur l’intégralité du contenu © 1992 – 2007 Cisco Systems, Inc. Tous droits réservés. Ce document contient des informations publiques Cisco. Page 3 sur 9
  • 81.
    CCNA Exploration Protocoles etconcepts de routage : Routage statique Travaux pratiques 2.8.3 : dépannage des routes statiques Tâche 3 : dépannage du routeur BRANCH Étape 1 : début du dépannage sur l’hôte connecté au routeur BRANCH À partir de l’hôte PC1, est-il possible d’envoyer un paquet ping à PC2 ? _______ À partir de l’hôte PC1, est-il possible d’envoyer un paquet ping au réseau local ISP ? _______ À partir de l’hôte PC1, est-il possible d’envoyer un paquet ping à la passerelle par défaut ? _______ Étape 2 : examen du routeur BRANCH afin de détecter d’éventuelles erreurs de configuration Commencez par examiner le résumé des informations d’état pour chaque interface sur le routeur. Peut-on déceler un problème au niveau de l’état des interfaces ? ___________________________________________________________________________________ ___________________________________________________________________________________ ___________________________________________________________________________________ Dans l’affirmative, notez les commandes qui permettent de corriger les erreurs de configuration. ___________________________________________________________________________________ ___________________________________________________________________________________ ___________________________________________________________________________________ Étape 3 : si vous avez enregistré les commandes ci-dessus, les appliquer maintenant à la configuration du routeur Étape 4 : examen du résumé des informations d’état Si des modifications ont été apportées à la configuration à l'étape précédente, examinez à nouveau le résumé des informations d'état pour les interfaces du routeur. Les informations contenues dans le résumé de l’état des interfaces indiquent-elles la présence d’erreurs de configuration ? _______ Si la réponse est oui, dépannez à nouveau l’état des interfaces. Étape 5 : dépannage de la configuration de routage statique sur le routeur BRANCH Commencez par examiner la table de routage. Quelles routes figurent dans la table de routage ? ___________________________________________________________________________________ ___________________________________________________________________________________ ___________________________________________________________________________________ Copyright sur l’intégralité du contenu © 1992 – 2007 Cisco Systems, Inc. Tous droits réservés. Ce document contient des informations publiques Cisco. Page 4 sur 9
  • 82.
    CCNA Exploration Protocoles etconcepts de routage : Routage statique Travaux pratiques 2.8.3 : dépannage des routes statiques La table de routage présente-t-elle des problèmes ? ___________________________________________________________________________________ ___________________________________________________________________________________ ___________________________________________________________________________________ Si vous décelez des problèmes dans la table de routage, indiquez les commandes qui permettent de corriger les erreurs de configuration. ___________________________________________________________________________________ ___________________________________________________________________________________ ___________________________________________________________________________________ Étape 6 : si vous avez enregistré les commandes ci-dessus, les appliquer à la configuration du routeur maintenant Étape 7 : affichage des informations de routage Si des modifications ont été apportées à la configuration à l’étape précédente, examinez à nouveau la table de routage. Ces données indiquent-elles des erreurs de configuration ? _______ Si la réponse est oui, dépannez à nouveau la table de routage. Étape 8 : nouvelle tentative de ping entre les hôtes À partir de l’hôte PC1, est-il possible d’envoyer un paquet ping à PC2 ? _______ À partir de l’hôte PC1, est-il possible d’envoyer un paquet ping au serveur Web du réseau local ISP ? _______ À partir du routeur R1, est-il possible d’envoyer un paquet ping à l’interface Serial 0/0/0 de HQ ? _______ Tâche 4 : dépannage du routeur HQ Étape 1 : début du dépannage de l’hôte connecté au routeur HQ À partir de l’hôte, est-il possible d’envoyer un paquet ping à PC1 ? _______ À partir de l’hôte PC2, est-il possible d’envoyer un paquet ping au serveur Web du réseau local ISP ? _______ À partir de l’hôte PC2 hôte, est-il possible d’envoyer un paquet ping à la passerelle par défaut ? ____ Étape 2 : examen du routeur HQ pour trouver des erreurs de configuration possibles Commencez par examiner le résumé des informations d’état de chaque interface sur le routeur. Y a-t-il des problèmes avec l’état des interfaces ? ___________________________________________________________________________________ Copyright sur l’intégralité du contenu © 1992 – 2007 Cisco Systems, Inc. Tous droits réservés. Ce document contient des informations publiques Cisco. Page 5 sur 9
  • 83.
    CCNA Exploration Protocoles etconcepts de routage : Routage statique Travaux pratiques 2.8.3 : dépannage des routes statiques ___________________________________________________________________________________ ___________________________________________________________________________________ Si oui, notez les commandes requises pour corriger les erreurs de configuration. ___________________________________________________________________________________ ___________________________________________________________________________________ ___________________________________________________________________________________ Étape 3 : si vous avez enregistré les commandes ci-dessus, les appliquer à la configuration du routeur maintenant Étape 4 : examen du résumé des informations d’état Si des modifications ont été apportées à la configuration à l'étape précédente, examinez à nouveau le résumé des informations d'état pour les interfaces du routeur. Les informations contenues dans le récapitulatif de l’état des interfaces indiquent-elles la présence d’erreurs de configuration ? _______ Si la réponse est oui, dépannez à nouveau l’état des interfaces. Étape 5 : dépannage de la configuration de routage statique sur le routeur HQ Commencez par examiner la table de routage. Quelles routes figurent dans la table de routage ? ___________________________________________________________________________________ ___________________________________________________________________________________ ___________________________________________________________________________________ La table de routage présente-t-elle des problèmes ? ___________________________________________________________________________________ ___________________________________________________________________________________ ___________________________________________________________________________________ Si vous décelez des problèmes au niveau de la table de routage, notez les commandes qui permettent de corriger les erreurs de configuration. ___________________________________________________________________________________ ___________________________________________________________________________________ ___________________________________________________________________________________ Copyright sur l’intégralité du contenu © 1992 – 2007 Cisco Systems, Inc. Tous droits réservés. Ce document contient des informations publiques Cisco. Page 6 sur 9
  • 84.
    CCNA Exploration Protocoles etconcepts de routage : Routage statique Travaux pratiques 2.8.3 : dépannage des routes statiques Étape 6 : si vous avez enregistré les commandes ci-dessus, les appliquer à la configuration du routeur maintenant Étape 7 : affichage des informations de routage Si la configuration a été modifiée à l’étape précédente, affichez à nouveau la table de routage. Ces données indiquent-elles des erreurs de configuration ? _______ Si la réponse est oui, dépannez à nouveau la table de routage. Étape 8 : nouvelle tentative de liaison ping entre les hôtes À partir de l’hôte PC2, est-il possible d’envoyer un paquet ping à PC1 ? _______ À partir de l’hôte PC2, est-il possible d’envoyer un paquet ping à l’interface série 0/0 du routeur ISP ? _______ À partir de l’hôte PC1, est-il possible d’envoyer un paquet ping au réseau local ISP ? _______ Tâche 5 : dépannage du routeur ISP Étape 1 : début du dépannage sur l’hôte connecté au routeur ISP À partir du serveur Web du réseau local ISP, est-il possible d’envoyer un paquet ping à PC1 ? _______ À partir du serveur Web du réseau local ISP, est-il possible d’envoyer un paquet ping à PC2 ? _______ À partir du serveur Web du réseau local ISP, est-il possible d’envoyer un paquet ping à la passerelle par défaut ? _______ Étape 2 : examen du routeur ISP afin de détecter d’éventuelles erreurs de configuration Commencez par examiner le résumé des informations d’état pour chaque interface sur le routeur. Y a-t-il des problèmes avec l’état des interfaces ? ___________________________________________________________________________________ ___________________________________________________________________________________ ___________________________________________________________________________________ Dans l’affirmative, notez les commandes qui permettent de corriger les erreurs de configuration. ___________________________________________________________________________________ ___________________________________________________________________________________ ___________________________________________________________________________________ Copyright sur l’intégralité du contenu © 1992 – 2007 Cisco Systems, Inc. Tous droits réservés. Ce document contient des informations publiques Cisco. Page 7 sur 9
  • 85.
    CCNA Exploration Protocoles etconcepts de routage : Routage statique Travaux pratiques 2.8.3 : dépannage des routes statiques Étape 3 : si vous avez enregistré les commandes ci-dessus, les appliquer à la configuration du routeur maintenant Étape 4 : affichage du résumé des informations d’état Si des modifications ont été apportées à la configuration à l'étape précédente, examinez à nouveau le résumé des informations d'état pour les interfaces du routeur. Les informations contenues dans le récapitulatif de l’état des interfaces indiquent-elles la présence d’erreurs de configuration ? _______ Si la réponse est oui, dépannez à nouveau l’état des interfaces. Étape 5 : dépannage de la configuration de routage statique sur le routeur ISP Commencez par examiner la table de routage. Quelles routes figurent dans la table de routage ? ___________________________________________________________________________________ ___________________________________________________________________________________ ___________________________________________________________________________________ La table de routage présente-t-elle des problèmes ? ___________________________________________________________________________________ ___________________________________________________________________________________ ___________________________________________________________________________________ Si vous décelez des problèmes dans la table de routage, notez les commandes qui permettent de corriger les erreurs de configuration. ___________________________________________________________________________________ ___________________________________________________________________________________ ___________________________________________________________________________________ Étape 6 : si vous avez enregistré les commandes ci-dessus, les appliquer à la configuration du routeur maintenant Étape 7 : affichage des informations de routage Si la configuration a été modifiée à l’étape précédente, affichez à nouveau la table de routage. Ces données indiquent-elles des erreurs de configuration ? _______ Si la réponse est oui, dépannez à nouveau la table de routage. Étape 8 : nouvelle tentative de liaison ping entre les hôtes À partir du serveur Web du réseau local ISP, est-il possible d’envoyer un paquet ping à PC1 ? _____ Copyright sur l’intégralité du contenu © 1992 – 2007 Cisco Systems, Inc. Tous droits réservés. Ce document contient des informations publiques Cisco. Page 8 sur 9
  • 86.
    CCNA Exploration Protocoles etconcepts de routage : Routage statique Travaux pratiques 2.8.3 : dépannage des routes statiques Copyright sur l’intégralité du contenu © 1992 – 2007 Cisco Systems, Inc. Tous droits réservés. Ce document contient des informations publiques Cisco. Page 9 sur 9 À partir du serveur Web du réseau local ISP, est-il possible d’envoyer un paquet ping à PC2 ? _____ À partir du serveur Web du réseau local ISP, est-il possible d’envoyer un paquet ping à l’interface WAN du routeur BRANCH ? _______ Tâche 6 : remarques générales Les scripts fournis pour ces travaux pratiques ont présenté plusieurs erreurs de configuration. Décrivez brièvement ci-dessous les erreurs que vous avez trouvées. ___________________________________________________________________________________ ___________________________________________________________________________________ ___________________________________________________________________________________ ___________________________________________________________________________________ ___________________________________________________________________________________ ___________________________________________________________________________________ ___________________________________________________________________________________ ___________________________________________________________________________________ ___________________________________________________________________________________ Tâche 7 : documentation Sur chaque routeur, capturez le résultat de la commande suivante dans un fichier texte (.txt) et enregistrez-le pour y faire référence par la suite. • show running-config • show ip route • show ip interface brief Si vous voulez revoir les procédures de capture du résultat d’une commande, reportez-vous aux travaux pratiques 1.5.1, « Câblage d’un réseau et configuration de base du routeur ».
  • 87.
    2.9.1 : exerciced’intégration des compétences Packet Tracer Objectifs • Câbler les périphériques • Appliquer une configuration de base aux périphériques • Configurer le routage statique et par défaut • Tester la connectivité et examiner la configuration. Scénario Cet exercice porte sur les configurations de base des périphériques et sur le routage statique. Le schéma d’adressage a déjà été déterminé. Après avoir configuré tous les périphériques, vous devrez tester la connectivité de bout en bout et examiner votre configuration. Tâche 1 : câblage des périphériques Câblez les réseaux en fonction de la topologie en veillant à ce que les interfaces correspondent aux étiquettes indiquées dans l’exercice. HQ est l'équipement de communication de données (DCE) des deux liaisons WAN. Tâche 2 : application d’une configuration de base Procédez à la configuration de base des routeurs, y compris l’adressage. • Pour les liaisons WAN, affectez la première adresse à HQ et la deuxième à l’autre routeur. • Pour les réseaux locaux, affectez la première adresse à l’interface du routeur et l’adresse .10 aux ordinateurs. • Utilisez cisco comme mot de passe de ligne et class comme mot de passe secret. • Utilisez la fréquence d’horloge 64 000. Tâche 3 : configuration du routage statique et par défaut • HQ doit avoir deux routes statiques. • B1 et B2 doivent avoir une route par défaut. Tâche 4 : test de la connectivité et examen de la configuration Étape 1 : test de la connectivité • La connectivité de bout en bout doit maintenant être établie. Testez la connectivité sur le réseau à l’aide d’une requête ping. • Corrigez les éventuels problèmes jusqu’à ce que les requêtes ping fonctionnent. Étape 2 : examen de la configuration Utilisez les commandes de vérification pour vérifier que vos configurations sont complètes. Copyright sur l'intégralité du contenu © 1992–2007 Cisco Systems, Inc. Tous droits réservés. Ce document contient des informations publiques Cisco. Page 1 sur 1
  • 88.
    Copyright sur l’intégralitédu contenu © 1992 – 2007 Cisco Systems, Inc. Tous droits réservés. Ce document contient des informations publiques Cisco. Page 1 sur 5 Travaux pratiques 3.5.2 : scénario de découpage en sous-réseaux 1 Diagramme de topologie Table d’adressage Périphérique Interface Adresse IP Masque de sous-réseau Passerelle par défaut HQ Fa0/1 s/o S0/0/0 s/o S0/0/1 s/o BRANCH1 Fa0/0 s/o Fa0/1 s/o S0/0/0 s/o BRANCH2 Fa0/0 s/o Fa0/1 s/o S0/0/1 s/o PC1 Carte réseau PC2 Carte réseau PC3 Carte réseau PC4 Carte réseau PC5 Carte réseau
  • 89.
    CCNA Exploration Protocoles etconcepts de routage : Présentation des protocoles de routage dynamique Travaux pratiques 3.5.2 : scénario de découpage en sous-réseaux 1 Copyright sur l’intégralité du contenu © 1992 – 2007 Cisco Systems, Inc. Tous droits réservés. Ce document contient des informations publiques Cisco. Page 2 sur 5 Objectifs pédagogiques À l’issue de ces travaux pratiques, vous serez en mesure d’effectuer les tâches suivantes :  Déterminer le nombre de sous-réseaux nécessaires  Déterminer le nombre d’hôtes nécessaires  Concevoir un système d’adressage adapté  Attribuer des adresses et des paires de masques de sous-réseau aux interfaces des périphériques et aux hôtes  Examiner l’utilisation de l’espace d’adressage réseau disponible  Déterminer comment appliquer le routage statique au réseau Scénario Dans ces travaux pratiques, les adresses réseau 192.168.9.0/24 vous ont été attribuées : elles vous permettront de créer des sous-réseaux et de fournir l’adressage IP du réseau présenté dans le diagramme de topologie. Le réseau présente les exigences d’adressage suivantes :  Le réseau local 1 de BRANCH1 a besoin de 10 adresses IP hôtes.  Le réseau local 2 de BRANCH1 a besoin de 10 adresses IP hôtes.  Le réseau local 1 de BRANCH2 a besoin de 10 adresses IP hôtes.  Le réseau local 2 de BRANCH2 a besoin de 10 adresses IP hôtes.  Le réseau local HQ a besoin de 20 adresses IP hôtes.  La liaison entre HQ et BRANCH1 nécessite une adresse IP à chaque extrémité.  La liaison entre HQ et BRANCH2 nécessite une adresse IP à chaque extrémité. (Remarque : n’oubliez pas que les interfaces des périphériques réseau sont également des adresses IP hôte et figurent dans les exigences d’adressage ci-dessus). Tâche 1 : examen de la configuration réseau nécessaire Examinez la configuration nécessaire et répondez aux questions ci-dessous. N’oubliez pas que des adresses IP sont nécessaires pour chaque interface de réseau local. Quel est le nombre de sous-réseaux nécessaires ? __________ Quel est le nombre maximal d’adresses IP nécessaires par sous-réseau ?__________ Quel est le nombre d’adresses IP nécessaires pour chaque réseau local Branch ?__________ Quel est le nombre total d’adresses IP nécessaires ?__________ Tâche 2 : conception d’un système d’adressage IP Étape 1 : division du le réseau 192.168.9.0 en sous-réseaux Quel est le masque de sous-réseau pour les sous-réseaux ? __________________________ Combien d’adresses IP d'hôtes sont-elles utilisables par sous-réseau ? __________
  • 90.
    CCNA Exploration Protocoles etconcepts de routage : Présentation des protocoles de routage dynamique Travaux pratiques 3.5.2 : scénario de découpage en sous-réseaux 1 Copyright sur l’intégralité du contenu © 1992 – 2007 Cisco Systems, Inc. Tous droits réservés. Ce document contient des informations publiques Cisco. Page 3 sur 5 Complétez le tableau ci-dessous avec les informations de sous-réseaux. N° de sous-réseau Adresse de sous-réseau Première adresse hôte utilisable Dernière adresse hôte utilisable Adresse de diffusion 0 1 2 3 4 5 6 7 Étape 2 : attribution des sous-réseaux au réseau illustré dans le diagramme de topologie Lorsque vous attribuez les sous-réseaux, n’oubliez pas qu’un routage est nécessaire pour l’envoi des informations dans l’ensemble du réseau. Cette affectation permet de grouper le routage sur chaque routeur. 1. Affectez le premier sous-réseau (le plus bas) au réseau local connecté à l’interface Fa0/1 de BRANCH2. Quelle est l’adresse de sous-réseau ? ____________________ 2. Affectez le deuxième sous-réseau au réseau local connecté à l’interface Fa0/1 de BRANCH2. Quelle est l’adresse de sous-réseau ? ____________________ 3. Affectez le troisième sous-réseau au réseau local connecté à l’interface Fa0/0 de BRANCH1. Quelle est l’adresse de sous-réseau ?____________________ 4. Affectez le quatrième sous-réseau au réseau local connecté à l’interface Fa0/1 de BRANCH1. Quelle est l’adresse de sous-réseau ?____________________ 5. Affectez le cinquième sous-réseau à la liaison de réseau étendu entre HQ et BRANCH1. Quelle est l’adresse de sous-réseau ?____________________ 6. Affectez le sixième sous-réseau à la liaison de réseau étendu entre HQ et BRANCH2. ____________________ 7. Affectez le septième sous-réseau au réseau local connecté à l’interface Fa0/1 de HQ. Quelle est l’adresse de sous-réseau ? ____________________ Remarque : Le sous-réseau de plus haut niveau n’est pas indispensable dans cette topologie. Tâche 3 : attribution d’adresses IP aux périphériques réseau Attribuez les adresses appropriées aux interfaces des périphériques. Les informations sur les adresses à utiliser figurent dans le tableau d’adressage sous le diagramme de topologie. Étape 1 : attribution d’adresses au routeur HQ 1. Attribuez la première adresse hôte valide de sous-réseau du réseau local HQ à l’interface du réseau local. 2. Attribuez la première adresse hôte valide de la liaison entre HQ et le sous-réseau BRANCH1 à l’interface S0/0/0. 3. Attribuez la première adresse hôte valide de la liaison entre HQ et le sous-réseau BRANCH2 à l’interface S0/0/1.
  • 91.
    CCNA Exploration Protocoles etconcepts de routage : Présentation des protocoles de routage dynamique Travaux pratiques 3.5.2 : scénario de découpage en sous-réseaux 1 Copyright sur l’intégralité du contenu © 1992 – 2007 Cisco Systems, Inc. Tous droits réservés. Ce document contient des informations publiques Cisco. Page 4 sur 5 Étape 2 : attribution d’adresses au routeur BRANCH1 1. Attribuez la première adresse hôte valide de sous-réseau du réseau local 1 de BRANCH1 à l’interface du réseau local Fa0/0. 2. Attribuez la première adresse hôte valide de sous-réseau du réseau local 2 de BRANCH1 à l’interface du réseau local Fa0/1. 3. Attribuez la première adresse hôte valide de la liaison entre HQ et le sous-réseau de BRANCH1 à l’interface du réseau étendu. Étape 3 : attribution d’adresses au routeur BRANCH2 1. Attribuez la première adresse hôte valide du sous-réseau du réseau local 1 de BRANCH2 à l’interface du réseau local Fa0/0. 2. Attribuez la première adresse hôte valide du sous-réseau du réseau local 2 de BRANCH2 à l’interface du réseau local Fa0/1. 3. Attribuez la dernière adresse hôte valide de la liaison entre HQ et le sous-réseau de BRANCH2 à l’interface du réseau étendu. Étape 4 : attribution d’adresses aux PC hôtes 1. Attribuez la dernière adresse hôte valide de sous-réseau du réseau local HQ à PC1. 2. Attribuez la dernière adresse hôte valide de sous-réseau du réseau local 1 de BRANCH1 à PC2. 3. Attribuez la dernière adresse hôte valide du sous-réseau du réseau local 2 de BRANCH1 à PC3. 4. Attribuez la dernière adresse hôte valide de sous-réseau du réseau local 1 de BRANCH2 à PC4. 5. Attribuez la dernière adresse hôte valide de sous-réseau du réseau local 2 de BRANCH2 à PC5. Tâche 4 : test du modèle de réseau Appliquez votre modèle d’adressage. Vérifiez que tous les périphériques se trouvant sur les réseaux connectés en direct peuvent s’envoyer mutuellement des paquets ping. Tâche 5 : remarques générales Combien d’adresses IP du réseau 192.168.9.0 sont-elles inutilisées ou inutilisable dans ce modèle ? __________ Quelle commande permet d’ajouter une route statique par défaut à l’interface de réseau étendu du routeur BRANCH1 ? ___________________________________________________________________________________ Est-il possible de joindre les deux réseaux de BRANCH1 en une seule route sur le routeur HQ ? __________ Quelle commande permet d’ajouter ce récapitulatif de routage à la table de routage ? ___________________________________________________________________________________ Est-il possible de joindre les deux réseaux de BRANCH2 en une seule route sur le routeur HQ ? __________ Quelle commande permet d’ajouter ce récapitulatif de routage à la table de routage ? ___________________________________________________________________________________
  • 92.
    CCNA Exploration Protocoles etconcepts de routage : Présentation des protocoles de routage dynamique Travaux pratiques 3.5.2 : scénario de découpage en sous-réseaux 1 Copyright sur l’intégralité du contenu © 1992 – 2007 Cisco Systems, Inc. Tous droits réservés. Ce document contient des informations publiques Cisco. Page 5 sur 5 Est-il possible de joindre le réseau local HQ et les deux réseaux de BRANCH1 en une seule route sur le routeur BRANCH2 ? Ce récapitulatif de routage doit également inclure la liaison entre les routeurs HQ et BRANCH1. __________ Quelle commande permet d’ajouter ce récapitulatif de routage à la table de routage ? ___________________________________________________________________________________
  • 93.
    Copyright sur l’intégralitédu contenu © 1992 – 2007 Cisco Systems, Inc. Tous droits réservés. Ce document contient des informations publiques Cisco. Page 1 sur 8 Travaux pratiques 3.5.3 : scénario de découpage en sous-réseaux 2 Diagramme de topologie
  • 94.
    CCNA Exploration Protocoles etconcepts de routage : Présentation des protocoles de routage dynamique Exercice 3.5.3 : scénario de découpage en sous-réseaux 2 Copyright sur l’intégralité du contenu © 1992 – 2007 Cisco Systems, Inc. Tous droits réservés. Ce document contient des informations publiques Cisco. Page 2 sur 8 Table d’adressage Périphérique Interface Adresse IP Masque de sous-réseau Passerelle par défaut HQ Fa0/0 s/o S0/0/0 s/o S0/0/1 s/o S0/0/2 209.165.200.226 255.255.255.224 s/o West Fa0/0 s/o S0/0/0 s/o S0/0/1 s/o S0/0/2 s/o East Fa0/0 s/o S0/0/0 s/o S0/0/1 s/o S0/0/2 s/o Branch 1 Fa0/0 s/o S0/0/0 s/o S0/0/1 s/o Branch 2 Fa0/0 s/o S0/0/0 s/o S0/0/1 s/o Branch 3 Fa0/0 s/o S0/0/0 s/o S0/0/1 s/o Branch 4 Fa0/0 s/o S0/0/0 s/o S0/0/1 s/o PC1 Carte réseau PC2 Carte réseau PC3 Carte réseau PC4 Carte réseau PC5 Carte réseau PC6 Carte réseau PC7 Carte réseau
  • 95.
    CCNA Exploration Protocoles etconcepts de routage : Présentation des protocoles de routage dynamique Exercice 3.5.3 : scénario de découpage en sous-réseaux 2 Copyright sur l’intégralité du contenu © 1992 – 2007 Cisco Systems, Inc. Tous droits réservés. Ce document contient des informations publiques Cisco. Page 3 sur 8 Objectifs pédagogiques À l’issue de ces travaux pratiques, vous serez en mesure d’effectuer les tâches suivantes :  Déterminer le nombre de sous-réseaux nécessaires  Déterminer le nombre d’hôtes nécessaires  Concevoir un système d’adressage adapté  Attribuer des adresses et des paires de masques de sous-réseau aux interfaces des périphériques et aux hôtes  Examiner l’utilisation de l’espace d’adressage réseau disponible  Déterminer comment appliquer le routage statique au réseau Scénario Dans ces travaux pratiques, les adresses réseau 172.16.0.0/16 vous sont attribuées : elles vous permettent de créer des sous-réseaux et de fournir l’adressage IP du réseau présenté dans le diagramme de topologie. Le réseau présente les exigences d’adressage suivantes :  Le réseau local de Branch1 a besoin de 100 adresses IP hôtes.  Le réseau local de Branch2 a besoin de 100 adresses IP hôtes.  Le réseau local de Branch3 a besoin de 100 adresses IP hôtes.  Le réseau local de Branch4 a besoin de 100 adresses IP hôtes.  Le réseau local West a besoin de 400 hôtes.  Le réseau local East a besoin de 400 hôtes.  Le réseau local HQ a besoin de 500 adresses IP hôtes.  Les liaisons entre chacun des routeurs exigent une adresse IP par extrémité. (Remarque : n’oubliez pas que les interfaces des périphériques réseau sont également des adresses IP hôte et figurent dans les exigences d’adressage ci-dessus). Les adresses IP pour la liaison entre le routeur HQ et ISP sont déjà attribuées. L’adresse Serial 0/2 du routeur HQ est 209.165.200.226/27. L’adresse IP de Serial 0/0 pour le routeur ISP est 209.165.200.227/27. Tâche 1 : rxamen de la configuration réseau nécessaire Examinez la configuration nécessaire et répondez aux questions ci-dessous. N’oubliez pas que des adresses IP sont nécessaires pour chaque interface de réseau local. Quel est le nombre de sous-réseaux nécessaires ? __________ Quel est le nombre maximal d’adresses IP nécessaires par sous-réseau ? __________ Quel est le nombre d’adresses IP nécessaires pour chaque réseau local Branch ? __________ Quel est le nombre d’adresses IP nécessaires pour toutes les connexions entre les routeurs ? __________ Quel est le nombre total d’adresses IP nécessaires ? __________
  • 96.
    CCNA Exploration Protocoles etconcepts de routage : Présentation des protocoles de routage dynamique Exercice 3.5.3 : scénario de découpage en sous-réseaux 2 Copyright sur l’intégralité du contenu © 1992 – 2007 Cisco Systems, Inc. Tous droits réservés. Ce document contient des informations publiques Cisco. Page 4 sur 8 Tâche 2 : conception d’un système d’adressage IP Étape 1 : division du réseau 172.16.0.0 en nombre approprié de sous-réseaux Quel est le masque de sous-réseau des sous-réseaux ? ______________________ Combien d’adresses IP d'hôtes sont-elles utilisables par sous-réseau ? __________ Complétez le tableau ci-dessous avec les informations de sous-réseaux. N° de sous-réseau IP de sous-réseau Première adr. IP hôte utilisable Dernière adr. IP hôte utilisable Adresse de diffusion 0 1 2 3 4 5 6 7 8 9 10 11 12 13 14 15 Étape 2 : attribution des sous-réseaux au réseau illustré dans le diagramme de topologie Lorsque vous attribuez les sous-réseaux, n’oubliez pas qu’un routage est nécessaire pour l’envoi des informations dans l’ensemble du réseau. Cette affectation permet de grouper le routage sur chaque routeur. Remarque : le sous-réseau de plus bas niveau (sous-réseau 0) n’est pas attribué dans ces travaux pratiques. Vous devez commencer par attribuer le deuxième sous-réseau de plus bas niveau (sous-réseau 1). 1. Attribuez le sous-réseau 1 au sous-réseau du réseau local de Branch1 : ________ 2. Attribuez le sous-réseau 2 au sous-réseau du réseau local de Branch2 : ________ 3. Attribuez le sous-réseau 3 à la liaison entre les routeurs Branch1 et Branch2 : ____________________ 4. Attribuez le sous-réseau 4 à la liaison entre les routeurs Branch1 et West : ____________________ 5. Attribuez le sous-réseau 5 à la liaison entre les routeurs Branch2 et West : ____________________ 6. Attribuez le sous-réseau 6 au sous-réseau du réseau local West : ____________ 7. Attribuez le sous-réseau 7 à la liaison entre les routeurs West et HQ : _________ 8. Attribuez le sous-réseau 8 au sous-réseau du réseau local HQ : _____________ 9. Attribuez le sous-réseau 9 à la liaison entre les routeurs HQ et de East : _______
  • 97.
    CCNA Exploration Protocoles etconcepts de routage : Présentation des protocoles de routage dynamique Exercice 3.5.3 : scénario de découpage en sous-réseaux 2 Copyright sur l’intégralité du contenu © 1992 – 2007 Cisco Systems, Inc. Tous droits réservés. Ce document contient des informations publiques Cisco. Page 5 sur 8 10. Attribuez le sous-réseau 10 au sous-réseau du réseau local East : ____________ 11. Attribuez le sous-réseau 11 à la liaison entre les routeurs Branch3 et East : ____________________ 12. Attribuez le sous-réseau 12 à la liaison entre les routeurs Branch4 et East : ____________________ 13. Attribuez le sous-réseau 13 à la liaison entre les routeurs Branch3 et Branch4 : ____________________ 14. Attribuez le sous-réseau 14 au sous-réseau de Branch3 : __________________ 15. Attribuez le sous-réseau 15 au sous-réseau de Branch4 : __________________ Tâche 3 : attribution d’adresses IP aux périphériques réseau Attribuez les adresses appropriées aux interfaces des périphériques. Les informations sur les adresses à utiliser figurent dans le tableau d’adressage sous le diagramme de topologie. Étape 1 : attribution d’adresses au routeur HQ 1. Attribuez la première adresse hôte valide de sous-réseau du réseau local HQ à l’interface du réseau local. 2. Attribuez la première adresse hôte valide de la liaison entre HQ et le sous-réseau West à l’interface S0/0/0. 3. Attribuez la première adresse hôte valide de la liaison entre HQ et le sous-réseau East à l’interface S0/0/1. Étape 2 : attribution d’adresses au routeur West 1. Attribuez la première adresse hôte valide de sous-réseau du réseau local West à l’interface du réseau local. 2. Attribuez la dernière adresse hôte valide de la liaison entre HQ et le sous-réseau West à l’interface S0/0/0. 3. Attribuez la première adresse hôte valide de la liaison entre West et le sous-réseau Branch1 à l’interface S0/0/1. 4. Attribuez la première adresse hôte valide de la liaison entre West et le sous-réseau Branch2 à l’interface S0/0/2. Étape 3 : attribution d’adresses au routeur East 1. Attribuez la première adresse hôte valide de sous-réseau du réseau local East à l’interface du réseau local. 2. Attribuez la dernière adresse hôte valide de la liaison entre HQ et le sous-réseau East à l’interface S0/0/0. 3. Attribuez la première adresse hôte valide de la liaison entre East et le sous-réseau Branch3 à l’interface S0/0/1. 4. Attribuez la première adresse hôte valide de la liaison entre East et le sous-réseau Branch4 à l’interface S0/0/2.
  • 98.
    CCNA Exploration Protocoles etconcepts de routage : Présentation des protocoles de routage dynamique Exercice 3.5.3 : scénario de découpage en sous-réseaux 2 Copyright sur l’intégralité du contenu © 1992 – 2007 Cisco Systems, Inc. Tous droits réservés. Ce document contient des informations publiques Cisco. Page 6 sur 8 Étape 4 : attribution d’adresses au routeur Branch1 1. Attribuez la première adresse hôte valide de sous-réseau du réseau local Branch1 à l’interface du réseau local. 2. Attribuez la dernière adresse hôte valide de la liaison entre West et le sous-réseau Branch1 à l’interface S0/0/0. 3. Attribuez la première adresse hôte valide de la liaison entre les sous-réseaux Branch1 et Branch2 à l’interface S0/0/1. Étape 5 : attribution d’adresses au routeur Branch2 1. Attribuez la première adresse hôte valide de sous-réseau du réseau local Branch2 à l’interface du réseau local. 2. Attribuez la dernière adresse hôte valide de la liaison entre West et le sous-réseau Branch2 à l’interface S0/0/0. 3. Attribuez la dernière adresse hôte valide de la liaison entre les sous-réseaux Branch1 et Branch2 à l’interface S0/0/1. Étape 6 : attribution d’adresses au routeur Branch3 1. Attribuez la première adresse hôte valide de sous-réseau du réseau local Branch3 à l’interface du réseau local. 2. Attribuez la dernière adresse hôte valide de la liaison entre les sous-réseaux East et Branch3 à l’interface S0/0/0. 3. Attribuez la première adresse hôte valide de la liaison entre les sous-réseaux Branch3 et Branch4 à l’interface S0/0/1. Étape 7 : attribution d’adresses au routeur Branch4 1. Attribuez la première adresse hôte valide de sous-réseau du réseau local Branch4 à l’interface du réseau local. 2. Attribuez la dernière adresse hôte valide de la liaison entre les sous-réseaux East et Branch4 à l’interface S0/0/0. 3. Attribuez la dernière adresse hôte valide de la liaison entre les sous-réseaux Branch3 et Branch4 à l’interface S0/0/1. Étape 8 : attribution d’adresses aux PC hôtes 1. Attribuez la dernière adresse hôte valide de sous-réseau du réseau local HQ à PC1. 2. Attribuez la dernière adresse hôte valide de sous-réseau du réseau local West à PC2. 3. Attribuez la dernière adresse hôte valide de sous-réseau du réseau local East à PC3. 4. Attribuez la dernière adresse hôte valide de sous-réseau du réseau local Branch1 à PC4. 5. Attribuez la dernière adresse hôte valide de sous-réseau du réseau local Branch2 à PC5. 6. Attribuez la dernière adresse hôte valide de sous-réseau du réseau local Branch3 à PC6. 7. Attribuez la dernière adresse hôte valide de sous-réseau du réseau local Branch4 à PC7.
  • 99.
    CCNA Exploration Protocoles etconcepts de routage : Présentation des protocoles de routage dynamique Exercice 3.5.3 : scénario de découpage en sous-réseaux 2 Copyright sur l’intégralité du contenu © 1992 – 2007 Cisco Systems, Inc. Tous droits réservés. Ce document contient des informations publiques Cisco. Page 7 sur 8 Tâche 4 : test du modèle de réseau Appliquez votre modèle d’adressage. Vérifiez que tous les périphériques se trouvant sur les réseaux connectés en direct peuvent s’envoyer mutuellement des paquets ping. Tâche 5 : remarques générales Combien d’adresses IP du réseau 172.16.0.0 sont-elles gâchées dans cette conception ? __________ Quelle commande permet d’ajouter une route statique par défaut à l’ensemble du modèle du réseau entre le routeur HQ et le routeur ISP ? ___________________________________________________________________________________ Les routes des réseaux West, Branch1 et Branch2 peuvent-elles être réunies en une seule route sur le routeur HQ ? Ce récapitulatif de routage doit également inclure les liaisons série qui relient les routeurs West, Branch1 et Branch2. __________ Quelle commande permet d’ajouter ce récapitulatif de routage à la table de routage ? ___________________________________________________________________________________ Les routes des réseaux East, Branch3 et Branch4 peuvent-elles être réunies en une seule route sur le routeur HQ ? Ce récapitulatif de routage doit également inclure les liaisons série qui relient les routeurs East, Branch3 et Branch4.__________ Quelle commande permet d’ajouter ce récapitulatif de routage à la table de routage ? ___________________________________________________________________________________ Quelle commande permet d’ajouter une route statique par défaut au routeur Wuest pour transférer le trafic de toutes les destinations inconnues au routeur HQ ? ___________________________________________________________________________________ Quelle commande permet d’ajouter une route statique par défaut au routeur East pour transférer le trafic de toutes les destinations inconnues au routeur HQ ? ___________________________________________________________________________________ Les routes des réseaux Branch1 et Branch2 peuvent-elles être réunies en une seule route sur le routeur West ? Ce récapitulatif de routage doit également inclure les liaisons série qui relient les routeurs Branch1 et Branch2. __________ Quelle commande permet d’ajouter ce récapitulatif de routage à la table de routage ? Utilisez l’interface S0/0/1 du routeur West comme interface de sortie. ___________________________________________________________________________________ Les routes des réseaux Branch3 et Branch4 peuvent-elles être réunies en une seule route sur le routeur East ? Ce récapitulatif de routage doit également inclure les liaisons série qui relient les routeurs Branch3 et Branch4. __________ Quelle commande permet d’ajouter ce récapitulatif de routage à la table de routage ? Utilisez l’interface S0/0/1 du routeur East comme interface de sortie.
  • 100.
    CCNA Exploration Protocoles etconcepts de routage : Présentation des protocoles de routage dynamique Exercice 3.5.3 : scénario de découpage en sous-réseaux 2 Copyright sur l’intégralité du contenu © 1992 – 2007 Cisco Systems, Inc. Tous droits réservés. Ce document contient des informations publiques Cisco. Page 8 sur 8 ___________________________________________________________________________________ Le routeur Branch1 a besoin d’une route statique pour le trafic destiné à Branch2. Le reste du trafic doit être transféré au routeur West via une route statique par défaut. Quelles commandes permettent d’effectuer cette opération ? ___________________________________________________________________________________ ___________________________________________________________________________________ Le routeur Branch2 a besoin d’une route statique pour le trafic destiné à Branch1. Le reste du trafic doit être transféré au routeur West via une route statique par défaut. Quelles commandes permettent d’effectuer cette opération ? ___________________________________________________________________________________ ___________________________________________________________________________________ Le routeur Branch3 a besoin d’une route statique pour le trafic destiné à Branch4. Le reste du trafic doit être transféré au routeur East via une route statique par défaut. Quelles commandes permettent d’effectuer cette opération ? ___________________________________________________________________________________ ___________________________________________________________________________________ Le routeur Branch4 a besoin d’une route statique pour le trafic destiné à Branch3. Le reste du trafic doit être transféré au routeur East via une route statique par défaut. Quelles commandes permettent d’effectuer cette opération ? ___________________________________________________________________________________ ___________________________________________________________________________________
  • 101.
    Copyright sur l’intégralitédu contenu © 1992 – 2007 Cisco Systems, Inc. Tous droits réservés. Ce document contient des informations publiques Cisco. Page 1 sur 3 Travaux pratiques 3.5.4 : scénario de découpage en sous-réseaux 3 Diagramme de topologie Table d’adressage Périphérique Interface Adresse IP Masque de sous-réseau Passerelle par défaut HQ Fa0/0 s/o S0/0/0 s/o S0/0/1 s/o BRANCH1 Fa0/0 s/o Fa0/1 s/o S0/0/0 s/o S0/0/1 s/o BRANCH2 Fa0/0 s/o Fa0/1 s/o S0/0/0 s/o S0/0/1 s/o PC1 Carte réseau PC2 Carte réseau PC3 Carte réseau PC4 Carte réseau PC5 Carte réseau
  • 102.
    CCNA Exploration Protocoles etconcepts de routage : Présentation des protocoles de routage dynamique Exercice 3.5.4 : scénario de découpage en sous-réseaux 3 Copyright sur l’intégralité du contenu © 1992 – 2007 Cisco Systems, Inc. Tous droits réservés. Ce document contient des informations publiques Cisco. Page 2 sur 3 Objectifs pédagogiques À l’issue de ces travaux pratiques, vous serez en mesure d’effectuer les tâches suivantes :  Déterminer le nombre de sous-réseaux nécessaires  Déterminer le nombre d’hôtes nécessaires  Concevoir un système d’adressage adapté  Imaginer une solution possible Scénario Dans ces travaux pratiques, les adresses réseau 192.168.1.0/24 vous sont attribuées : elles vous permettent de créer des sous-réseaux et de fournir l’adressage IP du réseau présenté dans le diagramme de topologie. Le réseau présente les exigences d’adressage suivantes :  Le réseau local 1 de BRANCH1 a besoin de 15 adresses IP hôte.  Le réseau local 2 de BRANCH1 a besoin de 15 adresses IP hôte.  Le réseau local 1 de BRANCH2 a besoin de 15 adresses IP hôte.  Le réseau local 2 de BRANCH2 a besoin de 15 adresses IP hôte.  Le réseau local HQ a besoin de 30 adresses IP hôte.  La liaison entre HQ et BRANCH1 nécessite une adresse IP à chaque extrémité.  La liaison entre HQ et BRANCH2 nécessite une adresse IP à chaque extrémité.  La liaison entre HQ et BRANCH3 nécessite une adresse IP à chaque extrémité. (Remarque : n’oubliez pas que les interfaces des périphériques réseau sont également des adresses IP hôte et figurent dans les exigences d’adressage ci-dessus). Tâche 1 : examen de la configuration réseau nécessaire Examinez la configuration nécessaire et répondez aux questions ci-dessous. N’oubliez pas que des adresses IP sont nécessaires pour chaque interface de réseau local. Quel est le nombre de sous-réseaux nécessaires ? __________ Quel est le nombre maximal d’adresses IP nécessaires par sous-réseau ? __________ Quel est le nombre d’adresses IP nécessaires pour chaque réseau local de Branch ? __________ Quel est le nombre total d’adresses IP nécessaires ? __________ Tâche 2 : conception d’un système d’adressage IP Divisez le réseau 192.168.1.0/24 dans le nombre de sous-réseaux approprié. Est-il possible de diviser le réseau 192.168.1.0/24 en sous-réseaux pour répondre aux exigences de configuration du réseau ? __________ Si l’exigence sur le « nombre de sous-réseaux » est satisfaite, quel est le nombre maximal d’hôtes par sous-réseau ? __________ Si l’exigence sur « nombre de sous-réseaux » est satisfaite, quel est le nombre de sous-réseaux utilisables ? __________
  • 103.
    CCNA Exploration Protocoles etconcepts de routage : Présentation des protocoles de routage dynamique Exercice 3.5.4 : scénario de découpage en sous-réseaux 3 Copyright sur l’intégralité du contenu © 1992 – 2007 Cisco Systems, Inc. Tous droits réservés. Ce document contient des informations publiques Cisco. Page 3 sur 3 Tâche 3 : remarques générales L’espace d’adressage du réseau est insuffisant pour mettre en place un modèle d’adressage. Réfléchissez à ce problème et proposez une solution. L’augmentation de la taille de votre espace d’adressage d’origine n’est pas une solution acceptable. (Indice : nous traiterons des solutions à ce problème au chapitre 6). ______________________________________________________________________ ______________________________________________________________________ ______________________________________________________________________ Essayez de mettre votre solution en pratique. L’implémentation réussie d’une solution implique que :  Seul l’espace d’adressage 192.168.1.0/24 est utilisé.  Les PC et les routeurs peuvent envoyer des tests ping à toutes les adresses IP.
  • 104.
    3.6.1 : exerciced’intégration des compétences Packet Tracer Diagramme de topologie Copyright sur l'intégralité du contenu © 1992–2007 Cisco Systems, Inc. Tous droits réservés. Ce document contient des informations publiques Cisco. Page 1 sur 4
  • 105.
    CCNA Exploration Protocoles etconcepts de routage : Présentation des protocoles de routage dynamique 3.6.1 : exercice d’intégration des compétences Packet Tracer Table d’adressage Périphérique Interface Adresse IP Masque de sous-réseau Fa0/0 Fa0/1 S0/0/0 10.0.0.1 255.255.255.252 S0/0/1 10.0.0.5 255.255.255.252 S0/1/0 10.0.0.9 255.255.255.252 HQ S0/1/1 209.165.201.2 255.255.255.252 Fa0/0 Fa0/1 Fa1/0 Fa1/1 B1 S0/0/0 10.0.0.2 255.255.255.252 Fa0/0 Fa0/1 Fa1/0 Fa1/1 B2 S0/0/0 10.0.0.6 255.255.255.252 Fa0/0 Fa0/1 Fa1/0 Fa1/1 B3 S0/0/0 10.0.0.10 255.255.255.252 S0/0/0 209.165.201.1 255.255.255.252 ISP Fa0/0 209.165.200.225 255.255.255.252 Web Server Carte réseau 209.165.200.226 255.255.255.252 Objectifs • Concevoir et documenter un schéma d’adressage en fonction de conditions requises • Sélectionner le matériel approprié et câbler les périphériques • Appliquer une configuration de base aux périphériques • Configurer le routage statique et par défaut • Vérifier la connectivité entre tous les périphériques de la topologie Copyright sur l'intégralité du contenu © 1992–2007 Cisco Systems, Inc. Tous droits réservés. Ce document contient des informations publiques Cisco. Page 2 sur 4
  • 106.
    CCNA Exploration Protocoles etconcepts de routage : Présentation des protocoles de routage dynamique 3.6.1 : exercice d’intégration des compétences Packet Tracer Tâche 1 : conception et documentation d’un schéma d’adressage Étape 1 : conception d’un schéma d’adressage D’après les spécifications réseau indiquées dans la topologie, concevez un schéma d’adressage approprié. • Les routeurs HQ, B1, B2 et B3 ont chacun un espace d’adressage. Subdivisez l’espace d’adressage en fonction des spécifications de l’hôte. • Pour chaque espace d’adressage, affectez le sous-réseau 0 au réseau local Fa0/0, le sous-réseau 1 au réseau local Fa0/1, et ainsi de suite. Étape 2 : documentation du schéma d’adressage • Documentez les adresses IP et les masques de sous-réseau à l’aide du tableau fourni dans les instructions papier. Affectez la première adresse IP à l’interface du routeur. • Pour les liaisons WAN, affectez la première adresse IP à HQ. Tâche 2 : sélection du matériel et câblage des périphériques Étape 1 : sélection du matériel nécessaire Sélectionnez les périphériques restants dont vous aurez besoin et ajoutez-les à l’espace de travail de Packet Tracer. Utilisez les étiquettes d’interface pour savoir où placer les périphériques. Étape 2 : fin du câblage des périphériques Câblez les réseaux en fonction de la topologie et veillez à ce que les interfaces correspondent à la topologie et à ce que vous avez documenté à la tâche 1. HQ est l’équipement de communication de données (DCE) de B1, B2 et B3. ISP est l’équipement de communication de données (DCE) pour la liaison à HQ. Tâche 3 : application d’une configuration de base À l’aide de votre documentation, procédez à la configuration de base des routeurs, y compris l’adressage. Utilisez cisco comme mot de passe de ligne et class comme mot de passe secret. Utilisez la fréquence d’horloge 64 000. Tâche 4 : configuration du routage statique et par défaut Configurez le routage statique et par défaut à l’aide de l’argument d’interface de sortie. • HQ doit avoir trois routes statiques et une route par défaut. • B1, B2 et B3 doivent avoir une route par défaut. • ISP doit avoir sept routes statiques. Ceci comprenant les trois liaisons WAN entre HQ et les routeurs des branches B1, B2 et B3. Copyright sur l'intégralité du contenu © 1992–2007 Cisco Systems, Inc. Tous droits réservés. Ce document contient des informations publiques Cisco. Page 3 sur 4
  • 107.
    CCNA Exploration Protocoles etconcepts de routage : Présentation des protocoles de routage dynamique 3.6.1 : exercice d’intégration des compétences Packet Tracer Copyright sur l'intégralité du contenu © 1992–2007 Cisco Systems, Inc. Tous droits réservés. Ce document contient des informations publiques Cisco. Page 4 sur 4 Tâche 5 : test de la connectivité et examen de la configuration Étape 1 : test de la connectivité La connectivité de bout en bout doit maintenant être établie. Utilisez une requête ping pour tester la connectivité sur le réseau. Chaque routeur doit pouvoir envoyer une requête ping à toutes les autres interfaces de routeur et au serveur Web. Utilisez la commande ping étendue pour tester la connectivité du réseau local avec le serveur Web. Ainsi, pour tester l'interface Fa0/0 sur B1, procédez comme suit : B1#ping Protocol [ip]: Target IP address: 209.165.200.226 Repeat count [5]: Datagram size [100]: Timeout in seconds [2]: Extended commands [n]: yes Source address or interface: 192.168.1.1 Type of service [0]: Set DF bit in IP header? [no]: Validate reply data? [no]: Data pattern [0xABCD]: Loose, Strict, Record, Timestamp, Verbose[none]: Sweep range of sizes [n]: Type escape sequence to abort. Sending 5, 100-byte ICMP Echos to 209 165 200 226, timeout is 2 seconds: Packet sent with a source address of 192.168.1.1 !!!!! Success rate is 100 percent (5/5), round-trip min/avg/max = 67/118/138 ms Corrigez les éventuels problèmes jusqu’à ce que les requêtes ping fonctionnent. Étape 2 : examen de la configuration Utilisez les commandes de vérification pour vérifier que vos configurations sont complètes.
  • 108.
    Travaux pratiques 4.6.1: interprétation de la table de routage Table d’adressage Périphérique Interface Adresse IP Masque de sous-réseau HQ BRANCH1 BRANCH2 Objectifs pédagogiques À l’issue de ces travaux pratiques, vous serez en mesure d’effectuer les tâches suivantes : • Interpréter les résultats indiqués par les routeurs • Identifier les adresses IP de chaque routeur • Dessiner un diagramme de topologie d’un réseau • Câbler et configurer un réseau à partir du diagramme de topologie • Tester et vérifier la connectivité complète • Réfléchir à l’implémentation du réseau et fournir la documentation associée Scénario Dans ces travaux pratiques, vous devez recréer un réseau uniquement à partir des informations fournies par la commande show ip route. Associez les adresses aux interfaces correspondantes et saisissez les informations dans la table d'adressage ci-dessus. Configurez le routeur et vérifiez que la connectivité est correcte. Lorsque vous avez terminé ces opérations, les résultats de la commande show ip route doivent correspondre exactement aux données fournies. La commande show ip route affiche l'état actuel de la table de routage. Copyright sur l’intégralité du contenu © 1992 – 2007 Cisco Systems, Inc. Tous droits réservés. Ce document contient des informations publiques Cisco. Page 1 sur 6
  • 109.
    CCNA Exploration Protocoles etconcepts de routage : Protocoles de routage à vecteur de distance Travaux pratiques 4.6.1 : interprétation de la table de routage Tâche 1 : examen des résultats des routeurs Étape 1 : examen des données du routeur HQ HQ#show ip route Codes: C - connected, S - static, I - IGRP, R - RIP, M - mobile, B – BGP D - EIGRP, EX - EIGRP external, O - OSPF, IA - OSPF inter area N1 - OSPF NSSA external type 1, N2 - OSPF NSSA external type 2 E1 - OSPF external type 1, E2 - OSPF external type 2, E – EGP i - IS-IS, L1 - IS-IS level-1, L2 - IS-IS level-2, ia - IS-IS inter area * - candidate default, U - per-user static route, o – ODR P - periodic downloaded static route Gateway of last resort is not set 10.0.0.0/30 is subnetted, 1 subnets C 10.10.10.252 is directly connected, Serial0/0/0 172.16.0.0/30 is subnetted, 1 subnets C 172.16.100.0 is directly connected, Serial0/0/1 R 192.168.1.0/24 [120/1] via 10.10.10.254, 00:00:03, Serial0/0/0 R 192.168.2.0/24 [120/1] via 10.10.10.254, 00:00:03, Serial0/0/0 R 192.168.3.0/24 [120/1] via 10.10.10.254, 00:00:03, Serial0/0/0 C 192.168.4.0/24 is directly connected, Loopback0 C 192.168.5.0/24 is directly connected, Loopback1 C 192.168.6.0/24 is directly connected, Loopback2 R 192.168.7.0/24 [120/1] via 172.16.100.2, 00:00:04, Serial0/0/1 R 192.168.8.0/24 [120/1] via 172.16.100.2, 00:00:04, Serial0/0/1 R 192.168.9.0/24 [120/1] via 172.16.100.2, 00:00:04, Serial0/0/1 Étape 2 : examen des données du routeur BRANCH1 BRANCH1#show ip route Codes: C - connected, S - static, I - IGRP, R - RIP, M - mobile, B – BGP D - EIGRP, EX - EIGRP external, O - OSPF, IA - OSPF inter area N1 - OSPF NSSA external type 1, N2 - OSPF NSSA external type 2 E1 - OSPF external type 1, E2 - OSPF external type 2, E – EGP i - IS-IS, L1 - IS-IS level-1, L2 - IS-IS level-2, ia - IS-IS inter area * - candidate default, U - per-user static route, o – ODR P - periodic downloaded static route Gateway of last resort is not set 10.0.0.0/30 is subnetted, 1 subnets C 10.10.10.252 is directly connected, Serial0/0/0 R 172.16.0.0/16 [120/1] via 10.10.10.253, 00:00:04, Serial0/0/0 C 192.168.1.0/24 is directly connected, Loopback0 C 192.168.2.0/24 is directly connected, Loopback1 C 192.168.3.0/24 is directly connected, Loopback2 R 192.168.4.0/24 [120/1] via 10.10.10.253, 00:00:04, Serial0/0/0 R 192.168.5.0/24 [120/1] via 10.10.10.253, 00:00:04, Serial0/0/0 Copyright sur l’intégralité du contenu © 1992 – 2007 Cisco Systems, Inc. Tous droits réservés. Ce document contient des informations publiques Cisco. Page 2 sur 6
  • 110.
    CCNA Exploration Protocoles etconcepts de routage : Protocoles de routage à vecteur de distance Travaux pratiques 4.6.1 : interprétation de la table de routage R 192.168.6.0/24 [120/1] via 10.10.10.253, 00:00:04, Serial0/0/0 R 192.168.7.0/24 [120/2] via 10.10.10.253, 00:00:04, Serial0/0/0 R 192.168.8.0/24 [120/2] via 10.10.10.253, 00:00:04, Serial0/0/0 R 192.168.9.0/24 [120/2] via 10.10.10.253, 00:00:04, Serial0/0/0 Étape 3 : examen des données du routeur BRANCH2 BRANCH2#show ip route Codes: C - connected, S - static, I - IGRP, R - RIP, M - mobile, B – BGP D - EIGRP, EX - EIGRP external, O - OSPF, IA - OSPF inter area N1 - OSPF NSSA external type 1, N2 - OSPF NSSA external type 2 E1 - OSPF external type 1, E2 - OSPF external type 2, E – EGP i - IS-IS, L1 - IS-IS level-1, L2 - IS-IS level-2, ia - IS-IS inter area * - candidate default, U - per-user static route, o – ODR P - periodic downloaded static route Gateway of last resort is not set R 10.0.0.0/8 [120/1] via 172.16.100.1, 00:00:19, Serial0/0/1 172.16.0.0/30 is subnetted, 1 subnets C 172.16.100.0 is directly connected, Serial0/0/1 R 192.168.1.0/24 [120/2] via 172.16.100.1, 00:00:19, Serial0/0/1 R 192.168.2.0/24 [120/2] via 172.16.100.1, 00:00:19, Serial0/0/1 R 192.168.3.0/24 [120/2] via 172.16.100.1, 00:00:19, Serial0/0/1 R 192.168.4.0/24 [120/1] via 172.16.100.1, 00:00:19, Serial0/0/1 R 192.168.5.0/24 [120/1] via 172.16.100.1, 00:00:19, Serial0/0/1 R 192.168.6.0/24 [120/1] via 172.16.100.1, 00:00:19, Serial0/0/1 C 192.168.7.0/24 is directly connected, Loopback0 C 192.168.8.0/24 is directly connected, Loopback1 C 192.168.9.0/24 is directly connected, Loopback2 Copyright sur l’intégralité du contenu © 1992 – 2007 Cisco Systems, Inc. Tous droits réservés. Ce document contient des informations publiques Cisco. Page 3 sur 6
  • 111.
    CCNA Exploration Protocoles etconcepts de routage : Protocoles de routage à vecteur de distance Travaux pratiques 4.6.1 : interprétation de la table de routage Tâche 2 : création d’un diagramme du réseau en fonction des résultats des routeurs Étape 1 : dessin du diagramme du réseau en fonction de votre interprétation des résultats fournis par les routeurs Diagramme de topologie Copyright sur l’intégralité du contenu © 1992 – 2007 Cisco Systems, Inc. Tous droits réservés. Ce document contient des informations publiques Cisco. Page 4 sur 6
  • 112.
    CCNA Exploration Protocoles etconcepts de routage : Protocoles de routage à vecteur de distance Travaux pratiques 4.6.1 : interprétation de la table de routage Étape 2 : inscription des adresses d’interface dans la table d’adressage Tâche 3 : création du réseau Étape 1 : installation d’un réseau similaire à celui du diagramme de topologie Vous pouvez utiliser n’importe quel routeur existant au cours de vos travaux pratiques, pourvu qu'il soit équipé des interfaces indiquées dans la topologie. Remarque : si vous utilisez les routeurs 1700, 2500 ou 2600, les sorties des routeurs et les descriptions des interfaces apparaîtront différemment. Étape 2 : suppression de toute configuration existante sur les routeurs Étape 3 : configuration des routeurs HQ, BRANCH1 et BRANCH2 Configurez les interfaces sur les routeurs HQ, BRANCH1 et BRANCH2 à l'aide des adresses IP de la table d'adressage. Choisissez la fréquence d'horloge et les affectations ETTD et ETCD des interfaces série. Tâche 4 : configuration du protocole de routage de chaque routeur Étape 1 : activation du protocole de routage RIP sur le routeur BRANCH1 Le protocole de routage RIP sert à annoncer les réseaux directement connectés aux autres routeurs de la topologie. La configuration RIP est traitée plus en détail dans d'autres travaux pratiques. Les étapes de la configuration de base nécessaires aux travaux pratiques sont indiquées ci-dessous. Pour activer le protocole RIP, passez en mode de configuration et utilisez la commande router rip. BRANCH1(config)#router rip BRANCH1(config-router)# Étape 2 : saisie des adresses réseau par classe de chaque réseau directement connecté Lorsque vous êtes en mode de configuration du routeur, entrez les adresses réseau par classe de chaque réseau directement connecté à l'aide de la commande network. Vous trouverez ci-dessous un exemple d'utilisation de cette commande. BRANCH1(config-router)#network 192.168.1.0 BRANCH1(config-router)# Assurez-vous de bien configurer une instruction network par réseau attaché à l'interface série ou de bouclage du routeur. Lorsque vous avez terminé la configuration RIP, repassez en mode privilégié et enregistrez la configuration en cours en mémoire NVRAM. BRANCH1(config-router)#end %SYS-5-CONFIG_I: Configured from console by console BRANCH1#copy run start Copyright sur l’intégralité du contenu © 1992 – 2007 Cisco Systems, Inc. Tous droits réservés. Ce document contient des informations publiques Cisco. Page 5 sur 6
  • 113.
    CCNA Exploration Protocoles etconcepts de routage : Protocoles de routage à vecteur de distance Travaux pratiques 4.6.1 : interprétation de la table de routage Copyright sur l’intégralité du contenu © 1992 – 2007 Cisco Systems, Inc. Tous droits réservés. Ce document contient des informations publiques Cisco. Page 6 sur 6 Étape 3 : configuration du protocole RIP sur les routeurs HQ et BRANCH2 Utilisez les commandes router rip et network pour configurer les routeurs HQ et BRANCH2 afin qu'ils annoncent les réseaux directement connectés aux autres routeurs de la topologie. Lorsque vous avez terminé la configuration RIP, repassez en mode privilégié et enregistrez la configuration en cours en mémoire NVRAM. Étape 4 : test et vérification de la connectivité Utilisez la commande ping pour vérifier que les interfaces du routeur peuvent communiquer entre elles. Si vous constatez que deux interfaces ne peuvent pas s'envoyer de paquets ping, corrigez l'adressage IP et la configuration du routeur. Tâche 5 : documentation des configurations des routeurs Sur chaque routeur, capturez les informations de commande suivantes dans un fichier texte et enregistrez-les pour pouvoir les examiner ultérieurement : • Running configurationConfiguration en cours. • Table de routage – Les données des routeurs affichées par la commande show ip route doivent être identiques à celles qui vous ont été fournies. • Résumé de l’interface. Tâche 6 : remise en état Effacez les configurations et rechargez les routeurs. Débranchez les câbles et stockez-les. Pour les PC hôtes normalement connectés à d’autres réseaux (comme le réseau local du centre de formation ou Internet), remettez en place les câblages adaptés et restaurez les paramètres TCP/IP.
  • 114.
    4.7.1 : exerciced’intégration des compétences Packet Tracer Diagramme de topologie Copyright sur l'intégralité du contenu © 1992–2007 Cisco Systems, Inc. Tous droits réservés. Ce document contient des informations publiques Cisco. Page 1 sur 5
  • 115.
    CCNA Exploration Protocoles etconcepts de routage : Protocoles de routage à vecteur de distance 4.7.1 : exercice d’intégration des compétences Packet Tracer Table d’adressage Périphérique Interface Adresse IP Masque de sous-réseau S0/0 S0/1 S0/2 S0/3 R1 S1/0 209.165.201.2 255.255.255.252 Fa0/0 Fa0/1 Fa1/0 Fa1/1 B1 S0/0 Fa0/0 Fa0/1 Fa1/0 Fa1/1 B2 S0/0 Fa0/0 Fa0/1 Fa1/0 Fa1/1 B3 S0/0 Fa0/0 Fa0/1 Fa1/0 Fa1/1 B4 S0/0 S0/0 209.165.201.1 255.255.255.252 ISP Fa0/0 209.165.200.225 255.255.255.252 Web Server Carte réseau 209.165.200.226 255.255.255.252 Copyright sur l'intégralité du contenu © 1992–2007 Cisco Systems, Inc. Tous droits réservés. Ce document contient des informations publiques Cisco. Page 2 sur 5
  • 116.
    CCNA Exploration Protocoles etconcepts de routage : Protocoles de routage à vecteur de distance 4.7.1 : exercice d’intégration des compétences Packet Tracer Objectifs • Concevoir et documenter un schéma d’adressage en fonction de conditions requises • Sélectionner le matériel approprié et câbler les périphériques • Appliquer une configuration de base aux périphériques • Configurer le routage statique et par défaut • Vérifier la connectivité entre tous les périphériques de la topologie Tâche 1 : conception et documentation d’un schéma d’adressage Étape 1 : conception d’un schéma d’adressage À l’aide de la topologie et des spécifications suivantes, concevez un schéma d'adressage : • La liaison WAN entre R1 et ISP est déjà configurée. • Pour les liaisons WAN entre R1 et les routeurs des branches B1, B2 et B3, subdivisez l’espace d’adressage 10.0.1.0/28 pour fournir les sous-réseaux WAN nécessaires. Procédez comme suit pour l’affectation des sous-réseaux : • Sous-réseau 0 : R1 <--> B1 ________________________ • Sous-réseau 1 : R1 <--> B2 ________________________ • Sous-réseau 2 : R1 <--> B3 ________________________ • Sous-réseau 3 : R1 <--> B4 ________________________ • Pour les réseaux locaux connectés aux routeurs des branches, divisez l'espace d'adressage 10.1.0.0/16 en quatre sous-réseaux égaux. Procédez comme suit pour l’affectation des sous-réseaux : • Sous-réseau 0 : Réseaux locaux B1 ________________________ • Sous-réseau 1 : Réseaux locaux B2 ________________________ • Sous-réseau 2 : Réseaux locaux B3 ________________________ • Sous-réseau 3 : Réseaux locaux B4 ________________________ • Pour chaque routeur de branche, divisez le sous-réseau local du routeur en quatre sous-réseaux égaux. Procédez comme suit pour l’affectation des sous-réseaux : • Réseaux locaux B1 • Sous-réseau 0 : Fa0/0 B1 ________________________ • Sous-réseau 1 : Fa0/1 B1 ________________________ • Sous-réseau 2 : Fa1/0 B1 ________________________ • Sous-réseau 3 : Fa1/1 B1 ________________________ • Réseaux locaux B2 Sous-réseau 0 : Fa0/0 B2 ________________________ Sous-réseau 1 : Fa0/1 B2 ________________________ Sous-réseau 2 : Fa1/0 B2 ________________________ Sous-réseau 3 : Fa1/1 B2 ________________________ • Réseaux locaux B3 Sous-réseau 0 : Fa0/0 B3 ________________________ Sous-réseau 1 : Fa0/1 B3 ________________________ Sous-réseau 2 : Fa1/0 B3 ________________________ Sous-réseau 3 : Fa1/1 B3 ________________________ Copyright sur l'intégralité du contenu © 1992–2007 Cisco Systems, Inc. Tous droits réservés. Ce document contient des informations publiques Cisco. Page 3 sur 5
  • 117.
    CCNA Exploration Protocoles etconcepts de routage : Protocoles de routage à vecteur de distance 4.7.1 : exercice d’intégration des compétences Packet Tracer • Réseaux locaux B4 Sous-réseau 0 : Fa0/0 B4 ________________________ Sous-réseau 1 : Fa0/1 B4 ________________________ Sous-réseau 2 : Fa1/0 B4 ________________________ Sous-réseau 3 : Fa1/1 B4 ________________________ Étape 2 : documentation du schéma d’adressage • Dans la topologie, étiquetez chaque sous-réseau dans les espaces libres disponibles. • Documentez les adresses IP et les masques de sous-réseau à l’aide du tableau fourni dans les instructions papier. Affectez la première adresse IP à l’interface du routeur. • Pour les liaisons WAN, affectez la première adresse IP à R1. Tâche 2 : sélection du matériel et câblage des périphériques Étape 1 : sélection du matériel nécessaire • Pour ajouter les routeurs des branches, utilisez l’option « Custom Made Devices » et choisissez le routeur 2621XM. Ce routeur dispose de quatre interfaces série et quatre interfaces Fast Ethernet configurées de manière appropriée pour s’assurer que la fonctionnalité « Check Results » fonctionne correctement pour cet exercice. • Chaque routeur utilise quatre commutateurs. Les commutateurs ne font pas partie de la fonctionnalité « Check Results », dès lors n’importe quel commutateur répondra aux conditions d’une liaison LAN avec le routeur de la branche. Organisez les commutateurs autour de chaque routeur comme indiqué dans la topologie. Étape 2 : câblage des périphériques Câblez les réseaux en respectant la topologie et veillez à ce que les interfaces correspondent à la topologie et à ce que vous avez documenté à la tâche 1. R1 est l’équipement de communication de données (DCE) pour B1, B2, B3 et B4. ISP est l’équipement de communication de données (DCE) pour la liaison à R1. Tâche 3 : application d’une configuration de base À l’aide de votre documentation, procédez à la configuration de base des routeurs, y compris l’adressage. Utilisez cisco comme mot de passe de ligne et class comme mot de passe secret. Utilisez la fréquence d’horloge 64 000. Tâche 4 : configuration du routage statique et par défaut Configurez le routage statique et par défaut à l’aide de l’argument d’interface de sortie. • R1 doit avoir quatre routes statiques et une route par défaut. • B1, B2, B3 et B4 doivent avoir une route par défaut chacun. • ISP doit avoir deux routes statiques : une pour l’espace d’adressage WAN et une pour l’espace d’adressage LAN. Copyright sur l'intégralité du contenu © 1992–2007 Cisco Systems, Inc. Tous droits réservés. Ce document contient des informations publiques Cisco. Page 4 sur 5
  • 118.
    CCNA Exploration Protocoles etconcepts de routage : Protocoles de routage à vecteur de distance 4.7.1 : exercice d’intégration des compétences Packet Tracer Copyright sur l'intégralité du contenu © 1992–2007 Cisco Systems, Inc. Tous droits réservés. Ce document contient des informations publiques Cisco. Page 5 sur 5 Tâche 5 : test de la connectivité et examen de la configuration Étape 1 : test de la connectivité • La connectivité de bout en bout doit maintenant être établie. Utilisez une requête ping pour tester la connectivité sur le réseau. Chaque routeur doit pouvoir envoyer une requête ping à toutes les autres interfaces de routeur et au serveur Web. • Utilisez la commande ping étendue pour tester la connectivité du réseau local avec le serveur Web. Ainsi, pour tester l'interface Fa0/0 sur B1, procédez comme suit : B1#ping Protocol [ip]: Target IP address: 209.165.200.226 Repeat count [5]: Datagram size [100]: Timeout in seconds [2]: Extended commands [n]: yes Source address or interface: 10.1.0.1 Type of service [0]: Set DF bit in IP header? [no]: Validate reply data? [no]: Data pattern [0xABCD]: Loose, Strict, Record, Timestamp, Verbose[none]: Sweep range of sizes [n]: Type escape sequence to abort. Sending 5, 100-byte ICMP Echos to 209 165 200 226, timeout is 2 seconds: Packet sent with a source address of 10.1.0.1 !!!!! Success rate is 100 percent (5/5), round-trip min/avg/max = 67/118/138 ms • Corrigez les éventuels problèmes jusqu’à ce que les requêtes ping fonctionnent. Étape 2 : examen de la configuration Utilisez les commandes de vérification pour vérifier que vos configurations sont complètes.
  • 119.
    Copyright sur l’intégralitédu contenu © 1992 – 2007 Cisco Systems, Inc. Tous droits réservés. Ce document contient des informations publiques Cisco. Page 1 sur 16 Travaux pratiques 5.6.1 : configuration RIP de base Diagramme de topologie Objectifs pédagogiques À l’issue de ces travaux pratiques, vous serez en mesure d’effectuer les tâches suivantes :  Câbler un réseau conformément au diagramme de topologie  Effacer la configuration de démarrage et recharger un routeur dans son état par défaut  Exécuter des tâches de configuration de base sur un routeur  Configurer et activer les interfaces  Configurer le routage RIP sur tous les routeurs  Vérifier le routage RIP à l’aide des commandes show et debug  Reconfigurer le réseau pour le rendre contigu  Observer le récapitulatif automatique sur un routeur de frontière  Collecter des informations sur la procédure RIP à l’aide de la commande debug ip rip  Configurer une route statique par défaut  Propager des routes par défaut vers des voisins RIP  Documenter la configuration du protocole RIP
  • 120.
    CCNA Exploration Protocoles etconcepts de routage : protocole RIP version 1 Travaux pratiques 5.6.1 : configuration RIP de base Copyright sur l’intégralité du contenu © 1992 – 2007 Cisco Systems, Inc. Tous droits réservés. Ce document contient des informations publiques Cisco. Page 2 sur 16 Scénarios Scénario A : exécution du protocole RIPv1 sur des réseaux par classe  Scénario B : exécution du protocole RIPv1 avec des sous-réseaux et entre des réseaux par classe  Scénario C : exécution du protocole RIPv1 sur un réseau d'extrémité Scénario A : exécution du protocole RIPv1 sur des réseaux par classe Diagramme de topologie Table d’adressage Périphérique Interface Adresse IP Masque de sous-réseau Passerelle par défaut R1 Fa0/0 192.168.1.1 255.255.255.0 s/o S0/0/0 192.168.2.1 255.255.255.0 s/o R2 Fa0/0 192.168.3.1 255.255.255.0 s/o S0/0/0 192.168.2.2 255.255.255.0 s/o S0/0/1 192.168.4.2 255.255.255.0 s/o R3 Fa0/0 192.168.5.1 255.255.255.0 s/o S0/0/1 192.168.4.1 255.255.255.0 s/o PC1 Carte réseau 192.168.1.10 255.255.255.0 192.168.1.1 PC2 Carte réseau 192.168.3.10 255.255.255.0 192.168.3.1 PC3 Carte réseau 192.168.5.10 255.255.255.0 192.168.5.1
  • 121.
    CCNA Exploration Protocoles etconcepts de routage : protocole RIP version 1 Travaux pratiques 5.6.1 : configuration RIP de base Copyright sur l’intégralité du contenu © 1992 – 2007 Cisco Systems, Inc. Tous droits réservés. Ce document contient des informations publiques Cisco. Page 3 sur 16 Tâche 1 : préparation du réseau Étape 1 : installation d’un réseau similaire à celui du diagramme de topologie Vous pouvez utiliser n’importe quel routeur existant au cours de vos travaux pratiques, pourvu qu'il soit équipé des interfaces indiquées dans la topologie. Remarque : si vous utilisez les routeurs 1700, 2500 ou 2600, les sorties des routeurs et les descriptions des interfaces apparaîtront différemment. Étape 2 : suppression de toute configuration existante sur les routeurs Tâche 2 : exécution des configurations de base des routeurs Exécutez la configuration de base des routeurs R1, R2 et R3 en suivant les directives suivantes : 1. Configurez le nom d’hôte du routeur. 2. Désactivez la recherche DNS. 3. Configurez un mot de passe pour le mode EXEC. 4. Configurez une bannière du message du jour. 5. Configurez un mot de passe pour les connexions console. 6. Configurez un mot de passe pour les connexions VTY. Tâche 3 : configuration et activation des adresses de série et Ethernet Étape 1 : configuration des interfaces sur R1, R2 et R3 Configurez les interfaces sur les routeurs R1, R2 et R3 à l’aide des adresses IP de la table sous le diagramme de topologie. Étape 2 : vérification de l’adressage IP et des interfaces Utilisez la commande show ip interface brief pour vérifier que l’adressage IP est correct et que les interfaces sont actives. Lorsque vous avez terminé, n’oubliez pas d’enregistrer la configuration en cours dans la mémoire NVRAM du routeur. Étape 3 : configuration des interfaces Ethernet de PC1, PC2 et PC3 Configurez les interfaces Ethernet de PC1, PC2 et PC3 à l’aide des adresses IP et des passerelles par défaut indiquées dans le tableau sous le diagramme de la topologie. Étape 4 : test de la configuration PC en envoyant un paquet ping à la passerelle par défaut à partir du PC
  • 122.
    CCNA Exploration Protocoles etconcepts de routage : protocole RIP version 1 Travaux pratiques 5.6.1 : configuration RIP de base Copyright sur l’intégralité du contenu © 1992 – 2007 Cisco Systems, Inc. Tous droits réservés. Ce document contient des informations publiques Cisco. Page 4 sur 16 Tâche 4 : configuration du protocole RIP Étape 1 : activation du routage dynamique Pour activer un protocole dynamique de routage, passez en mode de configuration globale et utilisez la commande router. Saisissez router ? à l’invite de configuration globale pour afficher la liste des protocoles de routage disponibles sur le routeur. Pour activer le protocole RIP, entrez la commande router rip en mode de configuration globale : R1(config)#router rip R1(config-router)# Étape 2 : saisie des adresses réseau par classe Lorsque vous êtes en mode de configuration du routeur, entrez les adresses réseau par classe de chaque réseau directement connecté à l'aide de la commande network. R1(config-router)#network 192.168.1.0 R1(config-router)#network 192.168.2.0 R1(config-router)# La commande network :  Active le protocole RIP sur toutes les interfaces de ce réseau. Elles envoient et reçoivent maintenant les mises à jour RIP.  Annonce ce réseau dans les mises à jour de routage RIP envoyées aux autres routeurs toutes les 30 secondes. Lorsque vous avez terminé la configuration RIP, repassez en mode privilégié et enregistrez la configuration en cours en mémoire NVRAM. R1(config-router)#end %SYS-5-CONFIG_I: Configured from console by console R1#copy run start Étape 3 : configuration du protocole RIP sur le routeur R2 à l'aide des commandes router rip et network R2(config)#router rip R2(config-router)#network 192.168.2.0 R2(config-router)#network 192.168.3.0 R2(config-router)#network 192.168.4.0 R2(config-router)#end %SYS-5-CONFIG_I: Configured from console by console R2# copy run start Lorsque vous avez terminé la configuration RIP, repassez en mode privilégié et enregistrez la configuration en cours en mémoire NVRAM.
  • 123.
    CCNA Exploration Protocoles etconcepts de routage : protocole RIP version 1 Travaux pratiques 5.6.1 : configuration RIP de base Copyright sur l’intégralité du contenu © 1992 – 2007 Cisco Systems, Inc. Tous droits réservés. Ce document contient des informations publiques Cisco. Page 5 sur 16 Étape 4 : configuration du protocole RIP sur le routeur R3 à l'aide des commandes router rip et network R3(config)#router rip R3(config-router)#network 192.168.4.0 R3(config-router)#network 192.168.5.0 R3(config-router)#end %SYS-5-CONFIG_I: Configured from console by console R3# copy run start Lorsque vous avez terminé la configuration RIP, repassez en mode privilégié et enregistrez la configuration en cours en mémoire NVRAM. Tâche 5 : vérification du routage RIP Étape 1 : utilisation de la commande show ip route pour vérifier que la topologie de la table de routage de chaque routeur contient tous les réseaux Les routes acquises via le protocole RIP sont codées avec un R dans la table de routage. Si les tables ne sont pas convergentes comme cela est indiqué ici, modifiez la configuration. Avez-vous vérifié si les interfaces configurées sont actives ? Avez-vous configuré correctement le protocole RIP ? Revenez aux tâches 3 et 4 et recommencez les opérations nécessaires pour obtenir la convergence. R1#show ip route Codes: C - connected, S - static, I - IGRP, R - RIP, M - mobile, B - BGP D - EIGRP, EX - EIGRP external, O - OSPF, IA - OSPF inter area N1 - OSPF NSSA external type 1, N2 - OSPF NSSA external type 2 E1 - OSPF external type 1, E2 - OSPF external type 2, E - EGP i - IS-IS, L1 - IS-IS level-1, L2 - IS-IS level-2, ia - IS-IS inter area * - candidate default, U - per-user static route, o - ODR P - periodic downloaded static route Gateway of last resort is not set C 192.168.1.0/24 is directly connected, FastEthernet0/0 C 192.168.2.0/24 is directly connected, Serial0/0/0 R 192.168.3.0/24 [120/1] via 192.168.2.2, 00:00:04, Serial0/0/0 R 192.168.4.0/24 [120/1] via 192.168.2.2, 00:00:04, Serial0/0/0 R 192.168.5.0/24 [120/2] via 192.168.2.2, 00:00:04, Serial0/0/0 R1# R2#show ip route <Output omitted> R 192.168.1.0/24 [120/1] via 192.168.2.1, 00:00:22, Serial0/0/0 C 192.168.2.0/24 is directly connected, Serial0/0/0 C 192.168.3.0/24 is directly connected, FastEthernet0/0 C 192.168.4.0/24 is directly connected, Serial0/0/1 R 192.168.5.0/24 [120/1] via 192.168.4.1, 00:00:23, Serial0/0/1 R2#
  • 124.
    CCNA Exploration Protocoles etconcepts de routage : protocole RIP version 1 Travaux pratiques 5.6.1 : configuration RIP de base Copyright sur l’intégralité du contenu © 1992 – 2007 Cisco Systems, Inc. Tous droits réservés. Ce document contient des informations publiques Cisco. Page 6 sur 16 R3#show ip route <Output omitted> R 192.168.1.0/24 [120/2] via 192.168.4.2, 00:00:18, Serial0/0/1 R 192.168.2.0/24 [120/1] via 192.168.4.2, 00:00:18, Serial0/0/1 R 192.168.3.0/24 [120/1] via 192.168.4.2, 00:00:18, Serial0/0/1 C 192.168.4.0/24 is directly connected, Serial0/0/1 C 192.168.5.0/24 is directly connected, FastEthernet0/0 R3# Étape 2 : utilisation de la commande show ip protocols pour afficher les informations relatives au processus de routage La commande show ip protocols affiche les informations relatives aux processus de routage qui ont lieu sur le routeur. Ces données sont utilisables pour vérifier la plupart des paramètres RIP et confirmer les points suivants :  Est-ce que RIP est configuré ?  Est-ce que les interfaces appropriées envoient et reçoivent des mises à jour RIP ?  Est-ce que le routeur annonce les réseaux appropriés ?  Les voisins RIP envoient des mises à jour R1#show ip protocols Routing Protocol is "rip" Sending updates every 30 seconds, next due in 16 seconds Invalid after 180 seconds, hold down 180, flushed after 240 Outgoing update filter list for all interfaces is not set Incoming update filter list for all interfaces is not set Redistributing: protocole RIP Default version control: send version 1, receive any version Interface Send Recv Triggered RIP Key-chain FastEthernet0/0 1 2 1 Serial0/0/0 1 2 1 Automatic network summarization is in effect Maximum path: 4 Routing for Networks: 192.168.1.0 192.168.2.0 Passive Interface(s): Routing Information Sources: Gateway Distance Last Update 192.168.2.2 120 Distance: (default is 120) R1# R1 est en fait configuré avec RIP. R1 envoie et reçoit des mises à jour RIP sur FastEthernet0/0 et Serial0/0/0. R1 annonce les réseaux 192.168.1.0 et 192.168.2.0. R1 a une seule source d’information de routage. R2 envoie les mises à jour à R1.
  • 125.
    CCNA Exploration Protocoles etconcepts de routage : protocole RIP version 1 Travaux pratiques 5.6.1 : configuration RIP de base Copyright sur l’intégralité du contenu © 1992 – 2007 Cisco Systems, Inc. Tous droits réservés. Ce document contient des informations publiques Cisco. Page 7 sur 16 Étape 3 : utilisation de la commande debug ip rip pour afficher les messages RIP envoyé et reçus Les mises à jour RIP sont envoyées toutes les 30 secondes. Vous devrez donc attendre l’affichage des informations. R1#debug ip rip R1#RIP: received v1 update from 192.168.2.2 on Serial0/0/0 192.168.3.0 in 1 hops 192.168.4.0 in 1 hops 192.168.5.0 in 2 hops RIP: sending v1 update to 255.255.255.255 via FastEthernet0/0 (192.168.1.1) RIP: build update entries network 192.168.2.0 metric 1 network 192.168.3.0 metric 2 network 192.168.4.0 metric 2 network 192.168.5.0 metric 3 RIP: sending v1 update to 255.255.255.255 via Serial0/0/0 (192.168.2.1) RIP: build update entries network 192.168.1.0 metric 1 Les données de débogage indiquent que R1 reçoit une mise à jour de R2. Remarquez que cette mise à jour contient tous les réseaux qui ne figurent pas encore de la table de routage de R1. Étant donné que l’interface FastEthernet0/0 appartient au réseau 192.168.1.0 configuré sous RIP, R1 crée une mise à jour pour envoyer cette interface. Elle inclut tous les réseaux connus de R1 à l’exception du réseau de l'interface. Enfin, R1 crée une mise à jour à envoyer à R2. À cause du découpage d'horizon, seul le réseau 192.168.1.0 est inclus dans la mise à jour de R1. Étape 4 : arrêt des données de débogage à l’aide de la commande undebug all R1#undebug all Tous les débogages possibles sont inactifs.
  • 126.
    CCNA Exploration Protocoles etconcepts de routage : protocole RIP version 1 Travaux pratiques 5.6.1 : configuration RIP de base Copyright sur l’intégralité du contenu © 1992 – 2007 Cisco Systems, Inc. Tous droits réservés. Ce document contient des informations publiques Cisco. Page 8 sur 16 Scénario B : exécution du protocole RIPv1 avec des sous-réseaux et entre des réseaux par classe Diagramme de la topologie Table d’adressage Périphérique Interface Adresse IP Masque de sous-réseau Passerelle par défaut R1 Fa0/0 172.30.1.1 255.255.255.0 s/o S0/0/0 172.30.2.1 255.255.255.0 s/o R2 Fa0/0 172.30.3.1 255.255.255.0 s/o S0/0/0 172.30.2.2 255.255.255.0 s/o S0/0/1 192.168.4.9 255.255.255.252 s/o R3 Fa0/0 192.168.5.1 255.255.255.0 s/o S0/0/1 192.168.4.10 255.255.255.252 s/o PC1 Carte réseau 172.30.1.10 255.255.255.0 172.30.1.1 PC2 Carte réseau 172.30.3.10 255.255.255.0 172.30.3.1 PC3 Carte réseau 192.168.5.10 255.255.255.0 192.168.5.1
  • 127.
    CCNA Exploration Protocoles etconcepts de routage : protocole RIP version 1 Travaux pratiques 5.6.1 : configuration RIP de base Copyright sur l’intégralité du contenu © 1992 – 2007 Cisco Systems, Inc. Tous droits réservés. Ce document contient des informations publiques Cisco. Page 9 sur 16 Tâche 1 : modifications pour passer du scénario A au scénario B Étape 1 : modification de l’adressage IP sur les interfaces illustré dans le diagramme de topologie et la table d’adressage Parfois, en changeant l’adresse IP sur une interface série, il vous faut la réinitialiser à l’aide de la commande shutdown. Attendez ensuite le message LINK-5-CHANGED et utilisez ensuite la commande shutdown. Cette procédure impose de démarrer le logiciel IOS en utilisant la nouvelle adresse IP. R1(config)#int s0/0/0 R1(config-if)#ip add 172.30.2.1 255.255.255.0 R1(config-if)#shutdown %LINK-5-CHANGED: Interface Serial0/0/0, changed state to administratively down %LINEPROTO-5-UPDOWN: Line protocol on Interface Serial0/0/0, changed state to down R1(config-if)#no shutdown %LINK-5-CHANGED: Interface Serial0/0/0, changed state to up R1(config-if)# %LINEPROTO-5-UPDOWN: Line protocol on Interface Serial0/0/0, changed state to up Étape 2 : vérification que les routeurs sont actifs Une fois que les interfaces des trois routeurs sont toutes reconfigurées, vérifiez que les interfaces requises sont effectivement actives à l’aide de la commande show ip interface brief. Étape 3 : rffacement de la configuration RIP de chaque routeur Bien que vous puissiez effacer les anciennes commandes network à l’aide de la version no, il est plus efficace de supprimer simplement la configuration RIP et de redémarrer. Supprimez la configuration RIP de tous les routeurs à l’aide de la commande de configuration globale no router rip. De cette manière, toutes les commandes de configuration RIP contenant les commandes network sont supprimées. R1(config)#no router rip R2(config)#no router rip R3(config)#no router rip Tâche 2 : configuration du protocole RIP Étape 1 : configuration du routage RIP sur R1 indiqué ci-dessous R1(config)#router rip R1(config-router)#network 172.30.0.0 Une seule instruction réseau suffit pour R1. Cette instruction comprend les deux interfaces sur différents sous-réseaux du réseau principal 172.30.0.0.
  • 128.
    CCNA Exploration Protocoles etconcepts de routage : protocole RIP version 1 Travaux pratiques 5.6.1 : configuration RIP de base Copyright sur l’intégralité du contenu © 1992 – 2007 Cisco Systems, Inc. Tous droits réservés. Ce document contient des informations publiques Cisco. Page 10 sur 16 Étape 2 : configuration de R1 pour bloquer l’émission de des mises à jour via l’interface FastEthernet0/0 L’envoi de mises à jour à partir de cette interface consomme inutilement la bande passante et les ressources de traitement de tous les périphériques du réseau local. De plus, l’annonce des mises à jour sur un réseau de diffusion constitue un risque pour la sécurité. Les mises à jour RIP peuvent être interceptées avec un logiciel d’analyse de paquets. Les mises à jour de routage peuvent être modifiées et retournées au routeur avec des mesures fausses qui corrompent la table de routage et égarent le trafic. La commande passive-interface fastethernet 0/0 désactive l’envoi des mises à jour RIPv1 via cette interface. Lorsque vous avez terminé la configuration RIP, repassez en mode privilégié et enregistrez la configuration en cours en mémoire NVRAM. R1(config-router)#passive-interface fastethernet 0/0 R1(config-router)#end %SYS-5-CONFIG_I: Configured from console by console R1# copy run start Étape 2 : configuration du routage RIP sur R2 indiqué ci-dessous R2(config)#router rip R2(config-router)#network 172.30.0.0 R2(config-router)#network 192.168.4.0 R2(config-router)#passive-interface fastethernet 0/0 R2(config-router)#end %SYS-5-CONFIG_I: Configured from console by console R2# copy run start Une fois de plus, une seule instruction réseau suffit pour les deux sous-réseaux de 172.30.0.0. Cette instruction comprend les deux interfaces sur différents sous-réseaux du réseau principal 172.30.0.0. Le réseau de la liaison WAN entre R2 et R3 est également configuré. Lorsque vous avez terminé la configuration RIP, repassez en mode privilégié et enregistrez la configuration en cours en mémoire NVRAM. Étape 3 : configuration du routage RIP sur R3 comme indiqué ci-dessous R3(config)#router rip R3(config-router)#network 192.168.4.0 R3(config-router)#network 192.168.5.0 R3(config-router)#passive-interface fastethernet 0/0 R3(config-router)#end %SYS-5-CONFIG_I: Configured from console by console R3#copy run start Lorsque vous avez terminé la configuration RIP, repassez en mode privilégié et enregistrez la configuration en cours en mémoire NVRAM. Tâche 3 : vérification du routage RIP Étape 1 : utilisation de la commande show ip route pour vérifier que la topologie de la table de routage de chaque routeur contient tous les réseaux R1#show ip route <Output omitted>
  • 129.
    CCNA Exploration Protocoles etconcepts de routage : protocole RIP version 1 Travaux pratiques 5.6.1 : configuration RIP de base Copyright sur l’intégralité du contenu © 1992 – 2007 Cisco Systems, Inc. Tous droits réservés. Ce document contient des informations publiques Cisco. Page 11 sur 16 172.30.0.0/24 is subnetted, 3 subnets C 172.30.1.0 is directly connected, FastEthernet0/0 C 172.30.2.0 is directly connected, Serial0/0/0 R 172.30.3.0 [120/1] via 172.30.2.2, 00:00:22, Serial0/0/0 R 192.168.4.0/24 [120/1] via 172.30.2.2, 00:00:22, Serial0/0/0 R 192.168.5.0/24 [120/2] via 172.30.2.2, 00:00:22, Serial0/0/0 R1# Remarque : RIPv1 est un protocole de routage par classe. Les protocoles de routage par classe ne transportent pas les informations de masques de sous-réseau en même temps que le réseau dans les mises à jour. Par exemple, 172.30.1.0 est envoyé de R2 vers R1 sans informations de masques de sous-réseau. R2#show ip route <Output omitted> 172.30.0.0/24 is subnetted, 3 subnets R 172.30.1.0 [120/1] via 172.30.2.1, 00:00:04, Serial0/0/0 C 172.30.2.0 is directly connected, Serial0/0/0 C 172.30.3.0 is directly connected, FastEthernet0/0 192.168.4.0/30 is subnetted, 1 subnets C 192.168.4.8 is directly connected, Serial0/0/1 R 192.168.5.0/24 [120/1] via 192.168.4.10, 00:00:19, Serial0/0/1 R2# R3#show ip route <Output omitted> R 172.30.0.0/16 [120/1] via 192.168.4.9, 00:00:22, Serial0/0/1 192.168.4.0/30 is subnetted, 1 subnets C 192.168.4.8 is directly connected, Serial0/0/1 C 192.168.5.0/24 is directly connected, FastEthernet0/0 Étape 2 : vérification que toutes les interfaces requises sont actives Si une ou plusieurs tables de routage ne disposent pas de table de routage convergente, vérifiez en premier lieu que toutes les interfaces requises sont effectivement actives. Utilisez pour cela la commande show ip interface brief. Vérifiez ensuite la configuration RIP à l’aide de la commande show ip protocols. Remarquez que dans le résultat de cette commande, l’interface FastEthernet0/0 ne se trouve plus sous Interface, mais sous une nouvelle section : Passive Interface(s). R1#show ip protocols Routing Protocol is "rip" Sending updates every 30 seconds, next due in 20 seconds Invalid after 180 seconds, hold down 180, flushed after 240 Outgoing update filter list for all interfaces is not set Incoming update filter list for all interfaces is not set Redistributing: protocole RIP Default version control: send version 2, receive 2 Interface Send Recv Triggered RIP Key-chain Serial0/1/0 2 2
  • 130.
    CCNA Exploration Protocoles etconcepts de routage : protocole RIP version 1 Travaux pratiques 5.6.1 : configuration RIP de base Copyright sur l’intégralité du contenu © 1992 – 2007 Cisco Systems, Inc. Tous droits réservés. Ce document contient des informations publiques Cisco. Page 12 sur 16 Automatic network summarization is in effect Maximum path: 4 Routing for Networks: 172.30.0.0 209.165.200.0 Passive Interface(s): FastEthernet0/0 Routing Information Sources: Gateway Distance Last Update 209.165.200.229 120 00:00:15 Distance: (default is 120) Étape 3 : examen des messages envoyés et reçus Pour consulter les messages RIP envoyés et reçus, utilisez la commande debug ip rip. Remarquez que les mises à jour RIP ne sont pas envoyées via l’interface fa0/0 à cause de la commande passive- interface fastethernet 0/0. R1#debug ip rip R1#RIP: sending v1 update to 255.255.255.255 via Serial0/0/0 (172.30.2.1) RIP: build update entries network 172.30.1.0 metric 1 RIP: received v1 update from 172.30.2.2 on Serial0/0/0 172.30.3.0 in 1 hops Étape 4 : arrêt des données de débogage à l’aide de la commande undebug all R1#undebug all Tous les débogages possibles sont inactifs.
  • 131.
    CCNA Exploration Protocoles etconcepts de routage : protocole RIP version 1 Travaux pratiques 5.6.1 : configuration RIP de base Copyright sur l’intégralité du contenu © 1992 – 2007 Cisco Systems, Inc. Tous droits réservés. Ce document contient des informations publiques Cisco. Page 13 sur 16 Scénario C : exécution du protocole RIPv1 sur un réseau d'extrémité Diagramme de topologie Contexte Dans ce scénario, nous allons modifier le scénario B, afin d’exécuter le protocole RIP uniquement entre R1 et R2. Le scénario C est une configuration type pour la majorité des sociétés qui raccordent un réseau d’extrémité à un routeur HQ ou à un fournisseur de services Internet (FAI). En règle générale, une société utilise un protocole de routage dynamique (ici, RIPv1) dans le réseau local, mais elle considère ce type de protocole inutile entre son routeur de passerelle et le FAI. Par exemple, les établissements scolaires disposant de plusieurs campus exécutent fréquemment un protocole de routage dynamique entre les sites, mais utilisent un routage par défaut pour accéder à Internet via leur FAI. Dans certains cas, les campus distants utilisent également un routage par défaut vers le campus principal et choisissent de limiter le routage dynamique à un usage local. Pour simplifier notre exemple, nous avons conservé les adressages du scénario B. Supposons que R3 soit le FAI de la société XYZ, symbolisée par les routeurs R1 et R2 utilisant le réseau principal 172.30.0.0/16 divisé en sous-réseaux avec un masque/24. La société XYZ est un réseau d’extrémité, ce qui signifie que le réseau principal 172.30.0.0/16 n’a qu’une entrée (via R2, le routeur de passerelle) et une sortie (R3, le FAI) R2 n’a aucune raison d’envoyer toutes les 30 secondes vers R3 des mises à jour du réseau 172.30.0.0, car R3 ne peut atteindre 172.30.0.0 que par l’intermédiaire de R2. Il est préférable de configurer sur R3 une route statique pour le réseau 172.30.0.0/16 qui pointe vers R2. Qu’en est-il des échanges de la société XYZ avec Internet ? Il n’y a aucune raison pour que R3 envoie plus de 120 000 routes Internet résumées vers R2. La seule information importante pour R2 est que tout paquet qui n’est pas destiné à un hôte du réseau 172.30.0.0 doit être envoyé au FAI, c’est-à-dire à R3. Il en va de même pour tous les autres routeurs de la société XYZ (ici, uniquement R1). Ils doivent envoyer vers R2 tout ce qui n‘est pas destiné au réseau 172.30.0.0. R2 transfère alors le trafic vers R3.
  • 132.
    CCNA Exploration Protocoles etconcepts de routage : protocole RIP version 1 Travaux pratiques 5.6.1 : configuration RIP de base Copyright sur l’intégralité du contenu © 1992 – 2007 Cisco Systems, Inc. Tous droits réservés. Ce document contient des informations publiques Cisco. Page 14 sur 16 Tâche 1 : modifications entre le scénario B et le scénario C Étape 1 : suppression du réseau 192.168.4.0 de la configuration RIP de R2 Supprimez le réseau 192.168.4.0 de la configuration RIP de R2 car il n’est pas nécessaire d’envoyer des mises à jour entre R2 et R3 et nous ne voulons pas annoncer le réseau 192.168.4.0 à R1. R2(config)#router rip R2(config-router)#no network 192.168.4.0 Étape 2 : suppression complète du routage RIP de R3 R3(config)#no router rip Tâche 2 : configuration de la route statique vers le réseau 172.30.0.0/16 sur R3 Étant donné que R3 et R2 n’échangent pas de mises à jour RIP, il faut configurer sur R3 une route statique pour le réseau 172.30.0.0/16 de façon à envoyer tout le trafic de 172.30.0.0/16 vers R2. R3(config)#ip route 172.30.0.0 255.255.252.0 serial0/0/1 Tâche 3 : configuration d’une route statique par défaut sur R2 Étape 1 : configuration de R2 afin d’envoyer le trafic par défaut vers R3 Configurez une route statique par défaut sur R2, qui envoie tout le trafic par défaut (c’est-à-dire les paquets dont les adresses IP de destination ne correspondent pas à une route donnée dans la table de routage) vers R3. R2(config)# ip route 0.0.0.0 0.0.0.0 serial 0/0/1 Étape 2 : configuration de R2 afin d’envoyer les informations de route statique par défaut vers R1 La commande default-information originate permet de configurer R2 afin qu’il ajoute la route statique par défaut dans les mises à jour RIP. Configurez cette commande sur R2 afin d’envoyer les informations de route statique par défaut vers R1. R2(config)#router rip R2(config-router)#default-information originate R2(config-router)# Remarque : parfois, il faut supprimer le processus de routage RIP pour que la commande default- information originate s’exécute. Entrez d’abord la commande clear ip route * sur les deux routeurs R1 et R2. Cette commande supprime immédiatement les routes de la table de routage et déclenche une demande de mise à jour réciproque pour chaque routeur. Parfois, cela ne fonctionne pas avec le protocole RIP. Si les informations de routage par défaut ne sont toujours pas envoyées vers R1, enregistrez la configuration sur R1 et R2 et rechargez les routeurs. Cela initialise le matériel et les deux routeurs redémarrent la procédure de routage RIP.
  • 133.
    CCNA Exploration Protocoles etconcepts de routage : protocole RIP version 1 Travaux pratiques 5.6.1 : configuration RIP de base Copyright sur l’intégralité du contenu © 1992 – 2007 Cisco Systems, Inc. Tous droits réservés. Ce document contient des informations publiques Cisco. Page 15 sur 16 Tâche 4 : vérification du routage RIP Étape 1 : utilisation de la commande show ip route pour afficher la table de routage sur R2 et R1 R2#show ip route Codes: C - connected, S - static, I - IGRP, R - RIP, M - mobile, B - BGP D - EIGRP, EX - EIGRP external, O - OSPF, IA - OSPF inter area N1 - OSPF NSSA external type 1, N2 - OSPF NSSA external type 2 E1 - OSPF external type 1, E2 - OSPF external type 2, E - EGP i - IS-IS, L1 - IS-IS level-1, L2 - IS-IS level-2, ia - IS-IS inter area * - candidate default, U - per-user static route, o - ODR P - periodic downloaded static route Gateway of last resort is 0.0.0.0 to network 0.0.0.0 172.30.0.0/24 is subnetted, 3 subnets C 172.30.2.0 is directly connected, Serial0/0/0 C 172.30.3.0 is directly connected, FastEthernet0/0 R 172.30.1.0 [120/1] via 172.30.2.1, 00:00:16, Serial0/0/0 192.168.4.0/30 is subnetted, 1 subnets C 192.168.4.8 is directly connected, Serial0/0/1 S* 0.0.0.0/0 is directly connected, Serial0/0/1 Remarquez que R2 possède maintenant une route statique candidate default. R1#show ip route Codes: C - connected, S - static, I - IGRP, R - RIP, M - mobile, B - BGP D - EIGRP, EX - EIGRP external, O - OSPF, IA - OSPF inter area N1 - OSPF NSSA external type 1, N2 - OSPF NSSA external type 2 E1 - OSPF external type 1, E2 - OSPF external type 2, E - EGP i - IS-IS, L1 - IS-IS level-1, L2 - IS-IS level-2, ia - IS-IS inter area * - candidate default, U - per-user static route, o - ODR P - periodic downloaded static route Gateway of last resort is 172.30.2.2 to network 0.0.0.0 172.30.0.0/24 is subnetted, 3 subnets C 172.30.2.0 is directly connected, Serial0/0/0 R 172.30.3.0 [120/1] via 172.30.2.2, 00:00:05, Serial0/0/0 C 172.30.1.0 is directly connected, FastEthernet0/0 R* 0.0.0.0/0 [120/1] via 172.30.2.2, 00:00:19, Serial0/0/0 Remarquez que R1 possède maintenant une route RIP candidate default. Il s’agit de la route par défaut « à quatre zéros » envoyée par R2. R1 envoie maintenant le trafic vers Gateway of last resort au 172.30.2.2, qui est l’adresse IP de R2. Étape 2 : affichage des mises à jour RIP envoyées et reçues sur R1 avec la commande debug ip rip R1#debug ip rip RIP protocol debugging is on R1#RIP: sending v1 update to 255.255.255.255 via Serial0/0/0 (172.30.2.1) RIP: build update entries network 172.30.1.0 metric 1 RIP: received v1 update from 172.30.2.2 on Serial0/0/0
  • 134.
    CCNA Exploration Protocoles etconcepts de routage : protocole RIP version 1 Travaux pratiques 5.6.1 : configuration RIP de base Copyright sur l’intégralité du contenu © 1992 – 2007 Cisco Systems, Inc. Tous droits réservés. Ce document contient des informations publiques Cisco. Page 16 sur 16 0.0.0.0 in 1 hops 172.30.3.0 in 1 hops Remarquez que R1 reçoit la route par défaut de R2. Étape 3 : arrêt des données de débogage à l’aide de la commande undebug all R1#undebug all Tous les débogages possibles sont inactifs. Étape 4 : utilisation de la commande show ip route pour afficher la table de routage sur R3 R3#show ip route <Output omitted> S 172.30.0.0/16 is directly connected, Serial0/0/1 192.168.4.0/30 is subnetted, 1 subnets C 192.168.4.8 is directly connected, Serial0/0/1 C 192.168.5.0/24 is directly connected, FastEthernet0/0 Remarquez que le protocole RIP n’est pas utilisé sur R3. La seule route non connectée directement est la route statique. Tâche 5 : documentation des configurations des routeurs Sur chaque routeur, capturez les informations de commande suivantes dans un fichier texte et enregistrez-les pour pouvoir les examiner ultérieurement :  Configuration en cours  Table de routage  Résumé de l’interface  Informations affichées par la commande show ip protocols Tâche 6 : remise en état Effacez les configurations et rechargez les routeurs. Débranchez les câbles et stockez-les. Pour les PC hôtes normalement connectés à d’autres réseaux (comme le réseau local du centre de formation ou Internet), remettez en place les câblages adaptés et restaurez les paramètres TCP/IP.
  • 135.
    Copyright sur l’intégralitédu contenu © 1992 – 2007 Cisco Systems, Inc. Tous droits réservés. Ce document contient des informations publiques Cisco. Page 1 sur 8 Travaux pratiques 5.6.2 : configuration RIP avancée Diagramme de topologie Table d’adressage Périphérique Interface Adresse IP Masque de sous-réseau Passerelle par défaut BRANCH Fa0/0 s/o S0/0/0 s/o HQ Fa0/0 s/o S0/0/0 s/o S0/0/1 s/o ISP Fa0/0 s/o S0/0/1 s/o PC1 Carte réseau PC2 Carte réseau PC3 Carte réseau
  • 136.
    CCNA Exploration Protocoles etconcepts de routage : Protocole RIP version 1 Travaux pratiques 5.6.2 : configuration RIP avancée Copyright sur l’intégralité du contenu © 1992 – 2007 Cisco Systems, Inc. Tous droits réservés. Ce document contient des informations publiques Cisco. Page 2 sur 8 Objectifs pédagogiques À l’issue de ces travaux pratiques, vous serez en mesure d’effectuer les tâches suivantes :  Créer des sous-réseaux dans un espace d’adressage d’après des consignes données  Affecter les adresses voulues aux interfaces et les documenter dans la table d'adressage  Câbler un réseau conformément au diagramme de topologie  Effacer la configuration de démarrage et recharger un routeur dans son état par défaut  Configurer le routage RIPv1 sur tous les routeurs  Configurer et propager une route statique par défaut  Vérifier le fonctionnement du protocole RIPv1  Tester et vérifier la connectivité complète  Réfléchir à l’implémentation du réseau et fournir la documentation associée Scénario Dans ces travaux pratiques, une adresse réseau vous est attribuée pour laquelle vous devrez créer des sous-réseaux afin de réaliser l’adressage du réseau représenté dans le diagramme de topologie. Il faut pour cela combiner un routage RIPv1 et un routage statique afin que les hôtes qui se trouvent sur des réseaux non directement connectés puissent communiquer entre eux. Tâche 1 : subdivision de l’espace d’adressage Étape 1 : examen des besoins du réseau L’adressage du réseau doit satisfaire aux conditions suivantes :  Le réseau local ISP utilise le réseau 209 165 202 128/27.  La liaison entre le routeur ISP et le routeur HQ utilise le réseau 209.165.200.224/30.  Le réseau 192.168.1.0/24 doit posséder des sous-réseaux pour être utilisé dans le réseau local (LAN) HQ et dans la liaison entre les routeurs HQ et BRANCH. Le réseau local HQ a besoin de 50 adresses IP hôtes.  Le réseau local de BRANCH utilise le réseau 10.10.2.0/23. (Remarque : n’oubliez pas que les interfaces des périphériques réseau sont également des adresses IP hôte et figurent dans les exigences d’adressage ci-dessus). Étape 2 : questions à prendre en comptre lors de la création de votre conception de réseau Combien de sous-réseaux faut-il créer à partir du réseau 192.168.1.0/24 ? __________ Quel est le masque de sous-réseau de ce réseau au format décimal pointé ? ____________________ Quel est le masque de sous-réseau de ce réseau au format avec barre oblique ? __________ Quelles sont les adresses réseau des sous-réseaux ? Sous-réseau 0 : ____________________ Sous-réseau 1 : ____________________ Combien d’adresses IP d'hôtes sont-elles utilisables par sous-réseau ? __________
  • 137.
    CCNA Exploration Protocoles etconcepts de routage : Protocole RIP version 1 Travaux pratiques 5.6.2 : configuration RIP avancée Copyright sur l’intégralité du contenu © 1992 – 2007 Cisco Systems, Inc. Tous droits réservés. Ce document contient des informations publiques Cisco. Page 3 sur 8 Combien y a-t-il d’adresses IP d'hôtes utilisables disponibles dans le réseau local (LAN) de BRANCH ? __________ Étape 3 : attribution d'adresses de sous-réseau au diagramme de topologie 1. Affectez le réseau local de niveau le plus bas du réseau 192.168.1.0 à la liaison de réseau étendu (WAN) entre les routeurs HQ et BRANCH. 2. Affectez le deuxième sous-réseau du réseau 192.168.1.0 au réseau local attaché au routeur HQ. Tâche 2 : définition des adresses des interfaces Étape 1 : attribution des adresses appropriées aux interfaces des périphériques 1. Attribuez la première adresse d’hôte valide du réseau 209 165 202 128/27 à l’interface LAN du routeur ISP. 2. Affectez la dernière adresse d’hôte valide du réseau 209.165.202.128/27 à PC3. 3. Affectez la première adresse d’hôte valide du réseau 209.165.200.224/30 à l’interface WAN qui se trouve sur le routeur ISP. 4. Affectez la dernière adresse d’hôte valide du réseau 209.165.200.224/30 à l’interface série 0/0/1 qui se trouve sur le routeur HQ. 5. Affectez la première adresse d’hôte valide du réseau local (LAN) HQ à l’interface LAN qui se trouve sur le routeur HQ. 6. Affectez la dernière adresse d’hôte valide du réseau local HQ à PC2. 7. Affectez la première adresse d’hôte valide de la liaison WAN HQ/BRANCH à l’interface série 0/0/0 qui se trouve sur le routeur HQ. 8. Affectez la dernière adresse d’hôte valide de la liaison WAN HQ/BRANCH à l’interface série 0/0/0 qui se trouve sur le routeur BRANCH. 9. Affectez la première adresse d’hôte valide du réseau 10.10.2.0/23 à l’interface LAN qui se trouve sur le routeur BRANCH. 10. Affectez la dernière adresse d’hôte valide du réseau 10.10.2.0/23 à PC1. Étape 2 : documentation des adresses à utiliser dans le tableau fourni sous le diagramme de topologie Tâche 3 : préparation du réseau Étape 1 : installation d’un réseau similaire à celui du diagramme de topologie Vous pouvez utiliser n’importe quel routeur existant au cours de vos travaux pratiques, pourvu qu'il soit équipé des interfaces indiquées dans la topologie. Remarque : si vous utilisez les routeurs 1700, 2500 ou 2600, les sorties des routeurs et les descriptions des interfaces apparaîtront différemment.
  • 138.
    CCNA Exploration Protocoles etconcepts de routage : Protocole RIP version 1 Travaux pratiques 5.6.2 : configuration RIP avancée Copyright sur l’intégralité du contenu © 1992 – 2007 Cisco Systems, Inc. Tous droits réservés. Ce document contient des informations publiques Cisco. Page 4 sur 8 Étape 2 : suppression de toute configuration existante sur les routeurs Tâche 4 : exécution des configurations de base des routeurs Effectuez la configuration de base des routeurs BRANCH, HQ, et ISP en respectant les consignes suivantes : 1. Configurez le nom d’hôte du routeur. 2. Désactivez la recherche DNS. 3. Configurez un mot de passe pour le mode EXEC. 4. Configurez une bannière du message du jour. 5. Configurez un mot de passe pour les connexions console. 6. Configurez un mot de passe pour les connexions VTY. 7. Synchronisez les messages non sollicités et les résultats de débogage avec les résultats sollicités et les invites de la console et des lignes du terminal virtuel. 8. Configurez un délai d’attente EXEC de 15 minutes. Tâche 5 : configuration et activation des adresses de série et Ethernet Étape 1 : configuration des routeurs BRANCH, HQ et ISP Configurez les interfaces sur les routeurs BRANCH, HQ et ISP à l'aide des adresses IP de la table d'adressage sous le diagramme de topologie. Lorsque vous avez terminé, n’oubliez pas d’enregistrer la configuration en cours dans la mémoire NVRAM du routeur. Étape 2 : configuration des interfaces Ethernet de PC1, PC2 et PC3 Configurez les interfaces Ethernet de PC1, PC2 et PC3 avec les adresses IP figurant dans le tableau d’adressage situé sous le diagramme de la topologie. Tâche 6 : vérification de la connectivité à l’équipement du tronçon suivant À ce stade, il ne doit pas encore exister de connectivité entre les périphériques finaux. Toutefois, vous pouvez tester la connectivité entre deux routeurs et entre un périphérique final et sa passerelle par défaut. Étape 1 : vérification de la connectivité du routeur BRANCH Vérifiez que le routeur BRANCH peut envoyer un paquet ping sur la liaison WAN à destination du routeur HQ et que ce dernier peut envoyer un paquet ping sur la liaison qu’il partage avec le routeur ISP. Étape 2 : vérification de la connectivité de l’interface Ethernet Vérifiez que PC1, PC2 et PC3 peuvent envoyer un paquet ping à leur passerelle par défaut.
  • 139.
    CCNA Exploration Protocoles etconcepts de routage : Protocole RIP version 1 Travaux pratiques 5.6.2 : configuration RIP avancée Copyright sur l’intégralité du contenu © 1992 – 2007 Cisco Systems, Inc. Tous droits réservés. Ce document contient des informations publiques Cisco. Page 5 sur 8 Tâche 7 : configuration du routage RIP sur le routeur BRANCH Considérez les réseaux à ajouter aux mises à jour RIP envoyées par le routeur BRANCH. Quels sont les réseaux présents dans la table de routage BRANCH avant la configuration du protocole RIP ? Dressez la liste des réseaux en utilisant la notation avec barre oblique. ____________________________________________________________________________ ____________________________________________________________________________ _____________________________________________________________________________ Quelles sont les commandes requises pour activer le protocole RIP version 1 dont les mises à jour de routage contiennent ces réseaux ? ____________________________________________________________________________ ____________________________________________________________________________ _____________________________________________________________________________ Existe-t-il d’autres interfaces de routeur pour lesquelles il n’est pas nécessaire d’envoyer des mises à jour RIP ? __________ Quelle commande désactive les mises à jour RIP sur cette interface ? _____________________________________________________________________________ Tâche 8 : configuration du routage RIP et statique sur le routeur HQ Examinez le type de routage statique nécessaire pour HQ. Quels sont les réseaux qui figurent dans la table de routage de HQ ? Dressez la liste des réseaux en utilisant la notation avec barre oblique. _____________________________________________________________________________ _____________________________________________________________________________ _____________________________________________________________________________ Vous devez configurer une route statique par défaut pour envoyer tous les paquets dont l’adresse de destination ne se trouve pas dans la table de routage vers ISP. Quelle commande est requise pour réaliser cette tâche ? Dans cette commande, utilisez l’interface de sortie voulue du routeur HQ. _____________________________________________________________________________ Quelles sont les commandes requises pour activer le protocole RIPv1 et ajouter le réseau local (LAN) dans les mises à jour de routage ? _____________________________________________________________________________ _____________________________________________________________________________
  • 140.
    CCNA Exploration Protocoles etconcepts de routage : Protocole RIP version 1 Travaux pratiques 5.6.2 : configuration RIP avancée Copyright sur l’intégralité du contenu © 1992 – 2007 Cisco Systems, Inc. Tous droits réservés. Ce document contient des informations publiques Cisco. Page 6 sur 8 Existe-t-il d’autres interfaces de routeur pour lesquelles il n’est pas nécessaire d’envoyer des mises à jour RIP ? __________ Quelle commande désactive les mises à jour RIP sur cette interface ? _____________________________________________________________________________ Le routeur HQ doit envoyer les données de routage par défaut au routeur BRANCH dans les mises à jour RIP. Quelle commande est utilisée pour cette configuration ? _____________________________________________________________________________ Tâche 9 : configuration du routage statique sur le routeur ISP Il convient de configurer les routes statiques sur le routeur ISP pour tout le trafic destiné aux adresses RFC 1918 utilisées sur le réseau local (LAN) de BRANCH, le réseau local (LAN) du HQ et sur la liaison entre les routeurs BRANCH et HQ. Pour cela, quelles sont les commandes qui doivent être configurées sur le routeur ISP ? ISP(config)# ___________________________________________________________________ ISP(config)#____________________________________________________________________ Tâche 10 : vérification des configurations Répondez aux questions suivantes pour vérifier que le réseau fonctionne comme prévu. À partir de PC2, est-il possible d’envoyer un paquet ping à PC1 ? __________ À partir de PC2, est-il possible d’envoyer un paquet ping au PC3 ? __________ Est-il possible d’envoyer un paquet ping au PC3 à partir de PC1 ? __________ La réponse aux questions précédentes doit être oui. Si un paquet ping ci-dessus a échoué, vérifiez les connexions physiques et les configurations. Reportez-vous aux techniques de dépannage de base utilisées dans les travaux pratiques du chapitre 1. Quelles sont les routes qui figurent dans la table de routage du routeur BRANCH ? _____________________________________________________________________________ _____________________________________________________________________________ _____________________________________________________________________________ _____________________________________________________________________________ _____________________________________________________________________________ Quelle est la passerelle de dernier recours dans la table de routage du routeur BRANCH ? _____________________________________________________________________________
  • 141.
    CCNA Exploration Protocoles etconcepts de routage : Protocole RIP version 1 Travaux pratiques 5.6.2 : configuration RIP avancée Copyright sur l’intégralité du contenu © 1992 – 2007 Cisco Systems, Inc. Tous droits réservés. Ce document contient des informations publiques Cisco. Page 7 sur 8 Quelles sont les routes qui figurent dans la table de routage du routeur HQ ? _____________________________________________________________________________ _____________________________________________________________________________ _____________________________________________________________________________ _____________________________________________________________________________ _____________________________________________________________________________ Quelles sont les routes présentes dans la table de routage du routeur ISP ? _____________________________________________________________________________ _____________________________________________________________________________ _____________________________________________________________________________ _____________________________________________________________________________ _____________________________________________________________________________ Quels sont les réseaux (et leurs mesures) présents dans les mises à jour RIP envoyées par le routeur HQ ? _____________________________________________________________________________ _____________________________________________________________________________ Quels sont les réseaux (et leurs mesures) présents dans les mises à jour RIP envoyées par le routeur BRANCH ? _____________________________________________________________________________ _____________________________________________________________________________ Tâche 11 : remarques générales Si un routage statique était utilisé au lieu d’un routage RIP sur le routeur BRANCH, combien de routes statiques individuelles seraient nécessaires pour que les hôtes du réseau local BRANCH communiquent avec tous les réseaux du diagramme de topologie ? __________ Tâche 12 : documentation des configurations des routeurs Sur chaque routeur, capturez les informations de commande suivantes dans un fichier texte et enregistrez-les pour pouvoir les examiner ultérieurement :  Configuration en cours.  Table de routage  Résumé de l’interface.
  • 142.
    CCNA Exploration Protocoles etconcepts de routage : Protocole RIP version 1 Travaux pratiques 5.6.2 : configuration RIP avancée Copyright sur l’intégralité du contenu © 1992 – 2007 Cisco Systems, Inc. Tous droits réservés. Ce document contient des informations publiques Cisco. Page 8 sur 8 Tâche 13 : remise en état Effacez les configurations et rechargez les routeurs. Débranchez les câbles et stockez-les. Pour les PC hôtes normalement connectés à d’autres réseaux (comme le réseau local du centre de formation ou Internet), remettez en place les câblages adaptés et restaurez les paramètres TCP/IP.
  • 143.
    Travaux pratiques 5.6.3: dépannage du protocole RIP Diagramme de topologie Table d’adressage Périphérique Interface Adresse IP Masque de sous-réseau Passerelle par défaut Fa0/0 192.168.1.1 255.255.255.0 s/o BRANCH S0/0/0 10.45.1.254 255.255.255.0 s/o Fa0/0 10.45.2.1 255.255.255.0 s/o S0/0/0 10.45.1.1 255.255.255.0 s/oHQ S0/0/1 172.20.20.254 255.255.255.0 s/o FA0/0 172.16.1.1 255.255.255.0 s/o ISP S0/0/1 172.20.20.1 255.255.255.0 s/o PC1 Carte réseau 192.168.1.254 255.255.255.0 192.168.1.1 PC2 Carte réseau 10.45.2.254 255.255.255.0 10.45.2.1 PC3 Carte réseau 172.16.1.254 255.255.255.0 172.16.1.1 Copyright sur l’intégralité du contenu © 1992 – 2007 Cisco Systems, Inc. Tous droits réservés. Ce document contient des informations publiques Cisco. Page 1 sur 12
  • 144.
    CCNA Exploration Protocoles etconcepts de routage : Protocole RIP version 1 Travaux pratiques 5.6.3 : dépannage du protocole RIP Objectifs pédagogiques À l’issue de ces travaux pratiques, vous serez en mesure d’effectuer les tâches suivantes : • Câbler un réseau conformément au diagramme de topologie • Effacer la configuration de démarrage et recharger un routeur dans son état par défaut • Charger les routeurs avec les scripts fournis • Découvrir les points où la convergence n’est pas réalisée • Recueillir des informations sur la partie non convergente du réseau et sur les autres erreurs éventuelles • Analyser les informations pour déterminer les raisons de la convergence incomplète • Proposer des solutions pour les erreurs de réseau • Mettre en place des solutions pour les erreurs de réseau • Vérifier le réseau corrigé Scénario Dans ces travaux pratiques, vous commencerez par charger les scripts de configuration dans chaque routeur. Ces scripts contiennent des erreurs qui empêchent les communications de bout en bout sur le réseau. Vous devrez dépanner chaque routeur, détecter les erreurs de configuration, puis utiliser les commandes appropriées afin de corriger les configurations. Lorsque vous aurez corrigé toutes les erreurs de configuration, tous les hôtes du réseau devront pouvoir communiquer entre eux. Le réseau doit aussi respecter les conditions ci-dessous : • Le routage RIPv1 est configuré sur le routeur BRANCH. • Le routage RIPv1 est configuré sur le routeur HQ. • Les mises à jour RIP doivent être désactivées sur les interfaces des réseaux locaux BRANCH et HQ. • Une route statique par défaut est configurée sur le routeur HQ et elle est partagée avec le routeur BRANCH via les mises à jour RIP. • Il convient de configurer des routes statiques pour tous les réseaux HQ et BRANCH sur le routeur ISP. Les routes doivent être résumées partout où cela est possible. Tâche 1 : installation, suppression et rechargement des routeurs Étape 1 : installation d’un réseau Installation d’un réseau similaire à celui du diagramme de la topologie. Étape 2 : suppression de la configuration sur chaque routeur Effacez la configuration de chaque routeur à l'aide de la commande erase startup-config et rechargez-les (commande reload). Si vous êtes invité à enregistrer les modifications, répondez par no. Copyright sur l’intégralité du contenu © 1992 – 2007 Cisco Systems, Inc. Tous droits réservés. Ce document contient des informations publiques Cisco. Page 2 sur 12
  • 145.
    CCNA Exploration Protocoles etconcepts de routage : Protocole RIP version 1 Travaux pratiques 5.6.3 : dépannage du protocole RIP Tâche 2 : chargement des routeurs à l’aide des scripts fournis Étape 1 : chargement du script suivant sur le routeur BRANCH hostname BRANCH ! ! no ip domain-lookup ! interface FastEthernet0/0 ip address 192.168.1.1 255.255.255.0 duplex auto speed auto ! interface Serial0/0/0 ip address 10.45.1.254 255.255.255.0 clock rate 64000 no shutdown ! router rip passive-interface FastEthernet0/0 network 10.0.0.0 ! ! ! ! line con 0 line vty 0 4 password cisco login ! end Étape 2 : chargement du script suivant dans le routeur HQ hostname HQ ! ! no ip domain-lookup ! interface FastEthernet0/0 ip address 10.45.2.1 255.255.255.0 duplex auto speed auto no shutdown ! interface Serial0/0/0 ip address 10.45.1.1 255.255.255.0 no shutdown ! interface Serial0/0/1 ip address 172.20.20.254 255.255.255.0 clock rate 64000 no shutdown Copyright sur l’intégralité du contenu © 1992 – 2007 Cisco Systems, Inc. Tous droits réservés. Ce document contient des informations publiques Cisco. Page 3 sur 12 !
  • 146.
    CCNA Exploration Protocoles etconcepts de routage : Protocole RIP version 1 Travaux pratiques 5.6.3 : dépannage du protocole RIP router rip passive-interface Serial0/0/0 network 10.0.0.0 network 172.0.0.0 ! ip route 0.0.0.0 0.0.0.0 Serial0/0/1 ! ! ! ! line con 0 line vty 0 4 password cisco login ! end Étape 3 : chargement du script suivant dans le routeur ISP hostname ISP ! ! no ip domain-lookup ! interface FastEthernet0/0 ip address 172.16.1.1 255.255.255.0 duplex auto speed auto no shutdown ! interface Serial0/0/1 ip address 172.20.20.1 255.255.255.0 no shutdown ! ip route 10.45.0.0 255.255.254.0 Serial0/0/1 ip route 192.168.1.0 255.255.255.0 Serial0/0/1 ! ! ! ! line con 0 line vty 0 4 password cisco login ! end Tâche 3 : dépannage du routeur BRANCH Étape 1 : début du dépannage sur l’hôte connecté au routeur BRANCH À partir de l’hôte PC1, est-il possible d’envoyer un paquet ping à PC2 ? __________ À partir de l’hôte PC1, est-il possible d’envoyer un paquet ping à PC3? __________ Copyright sur l’intégralité du contenu © 1992 – 2007 Cisco Systems, Inc. Tous droits réservés. Ce document contient des informations publiques Cisco. Page 4 sur 12
  • 147.
    CCNA Exploration Protocoles etconcepts de routage : Protocole RIP version 1 Travaux pratiques 5.6.3 : dépannage du protocole RIP À partir de l’hôte PC1, est-il possible d’envoyer un paquet ping à la passerelle par défaut ? ________ Étape 2 : examen du routeur BRANCH afin de détecter d’éventuelles erreurs de configuration Commencez par examiner le résumé des informations d’état pour chaque interface de routeur. Y a-t-il des problèmes avec l’état des interfaces ? _________________________________________________________________________________ _________________________________________________________________________________ _________________________________________________________________________________ Dans l’affirmative, notez les commandes qui permettent de corriger les erreurs de configuration. _________________________________________________________________________________ _________________________________________________________________________________ _________________________________________________________________________________ Étape 3 : si vous avez enregistré les commandes ci-dessus, les appliquer à la configuration du routeur maintenant Étape 4 : examen du résumé des informations d’état Si des modifications ont été apportées à la configuration à l'étape précédente, examinez à nouveau le résumé des informations d'état pour les interfaces du routeur. Les informations contenues dans le récapitulatif d’état des interfaces indiquent-elles la présence d’erreurs de configuration ? __________ Si la réponse est oui, dépannez à nouveau l’état des interfaces. Étape 5 : dépannage de la configuration de routage sur le routeur BRANCH Quels sont les réseaux qui figurent dans la table de routage ? _________________________________________________________________________________ _________________________________________________________________________________ _________________________________________________________________________________ La table de routage présente-t-elle des problèmes ? ____________________________________________________________________________________ ____________________________________________________________________________________ Si vous décelez des problèmes dans la table de routage, notez les commandes qui permettent de corriger les erreurs de configuration. ____________________________________________________________________________________ ____________________________________________________________________________________ ____________________________________________________________________________________ Copyright sur l’intégralité du contenu © 1992 – 2007 Cisco Systems, Inc. Tous droits réservés. Ce document contient des informations publiques Cisco. Page 5 sur 12
  • 148.
    CCNA Exploration Protocoles etconcepts de routage : Protocole RIP version 1 Travaux pratiques 5.6.3 : dépannage du protocole RIP Quels sont les réseaux inclus dans les mises à jour RIP ? ____________________________________________________________________________________ ____________________________________________________________________________________ ____________________________________________________________________________________ Existe-t-il des problèmes au niveau des mises à jour RIP envoyées à partir du routeur ? ____________________________________________________________________________________ ____________________________________________________________________________________ ____________________________________________________________________________________ Si vous décelez des problèmes au niveau de la configuration RIP, notez les commandes qui permettent de corriger les erreurs de configuration. ____________________________________________________________________________________ ____________________________________________________________________________________ ____________________________________________________________________________________ Étape 6 : si vous avez enregistré les commandes ci-dessus, les appliquer maintenant à la configuration du routeur Étape 7 : examen des informations de routage Si des modifications ont été apportées à la configuration au cours des étapes précédentes, examinez à nouveau les informations de routage. Les informations contenues dans la table de routage indiquent-elles la présence d’erreurs de configuration ? __________ Les informations contenues dans les mises à jour RIP indiquent-elles la présence d’erreurs de configuration ? __________ Si la réponse à l’une de ces questions est oui, dépannez à nouveau la configuration du routage. Quels sont les réseaux inclus dans les mises à jour RIP ? ____________________________________________________________________________________ ___________________________________________________________________________________ ___________________________________________________________________________________ Étape 8 : nouvelle tentative de test ping entre les hôtes À partir de l’hôte PC1, est-il possible d’envoyer un paquet ping à PC2 ? __________ À partir de l’hôte PC1, est-il possible d’envoyer un paquet ping à PC3 ? __________ À partir de l’hôte PC1, est-il possible d’envoyer un paquet ping à l’interface série 0/0 du routeur HQ ? __________ Copyright sur l’intégralité du contenu © 1992 – 2007 Cisco Systems, Inc. Tous droits réservés. Ce document contient des informations publiques Cisco. Page 6 sur 12
  • 149.
    CCNA Exploration Protocoles etconcepts de routage : Protocole RIP version 1 Travaux pratiques 5.6.3 : dépannage du protocole RIP Tâche 4 : dépannage du routeur HQ Étape 1 : début du dépannage sur l’hôte connecté au routeur BRANCH À partir de l’hôte PC2, est-il possible d’envoyer un paquet ping à PC1 ? __________ À partir de l’hôte PC2, est-il possible d’envoyer un paquet ping à PC3 ? __________ À partir de l’hôte PC2, est-il possible d’envoyer un paquet ping à la passerelle par défaut ? __________ Étape 2 : examen du routeur HQ pour trouver d’éventuelles erreurs de configuration Commencez par examiner le résumé des informations d’état pour chaque interface sur le routeur. Y a-t-il des problèmes avec l’état des interfaces ? ________________________________________________________________________________ ___________________________________________________________________________________ ___________________________________________________________________________________ Dans l’affirmative, notez les commandes qui permettent de corriger les erreurs de configuration. ___________________________________________________________________________________ ___________________________________________________________________________________ ___________________________________________________________________________________ Étape 3 : si vous avez enregistré les commandes ci-dessus, les appliquer maintenant à la configuration du routeur Étape 4 : examen du récapitulatif des informations d’état Si des modifications ont été apportées à la configuration à l'étape précédente, examinez à nouveau le résumé des informations d'état pour les interfaces du routeur. Les informations contenues dans le récapitulatif de l’état des interfaces indiquent-elles la présence d’erreurs de configuration ? __________ Si la réponse est oui, dépannez à nouveau l’état des interfaces. Étape 5 : dépannage de la configuration de routage sur le routeur HQ Quels sont les réseaux qui figurent dans la table de routage ? ___________________________________________________________________________________ ___________________________________________________________________________________ ___________________________________________________________________________________ ___________________________________________________________________________________ Copyright sur l’intégralité du contenu © 1992 – 2007 Cisco Systems, Inc. Tous droits réservés. Ce document contient des informations publiques Cisco. Page 7 sur 12
  • 150.
    CCNA Exploration Protocoles etconcepts de routage : Protocole RIP version 1 Travaux pratiques 5.6.3 : dépannage du protocole RIP La table de routage présente-t-elle des problèmes ? ___________________________________________________________________________________ ___________________________________________________________________________________ ___________________________________________________________________________________ Si vous décelez des problèmes dans la table de routage, notez les commandes qui permettent de corriger les erreurs de configuration. ___________________________________________________________________________________ ___________________________________________________________________________________ ___________________________________________________________________________________ Quels sont les réseaux inclus dans les mises à jour RIP ? ___________________________________________________________________________________ ___________________________________________________________________________________ ___________________________________________________________________________________ Existe-t-il des problèmes au niveau des mises à jour RIP envoyées à partir du routeur ? ___________________________________________________________________________________ __________________________________________________________________________________ Si vous décelez des problèmes au niveau de la configuration RIP, notez les commandes qui permettent de corriger les erreurs de configuration. ___________________________________________________________________________________ ___________________________________________________________________________________ ___________________________________________________________________________________ ___________________________________________________________________________________ Étape 6 : si vous avez enregistré les commandes ci-dessus, les appliquer maintenant à la configuration du routeur Étape 7 : examen des informations de routage Si des modifications ont été apportées à la configuration au cours des étapes précédentes, examinez à nouveau les informations de routage. Les informations contenues dans la table de routage indiquent-elles la présence d’erreurs de configuration ? __________ Les informations contenues dans les mises à jour RIP indiquent-elles la présence d’erreurs de configuration ? __________ Copyright sur l’intégralité du contenu © 1992 – 2007 Cisco Systems, Inc. Tous droits réservés. Ce document contient des informations publiques Cisco. Page 8 sur 12
  • 151.
    CCNA Exploration Protocoles etconcepts de routage : Protocole RIP version 1 Travaux pratiques 5.6.3 : dépannage du protocole RIP Si la réponse à l’une de ces questions est oui, dépannez à nouveau la configuration du routage. Quels sont les réseaux inclus dans les mises à jour RIP ? ___________________________________________________________________________________ ___________________________________________________________________________________ ____________________________________________________________________________________ Étape 8 : vérification de l’envoi d’une route par défaut du routeur HQ vers le routeur BRANCH La table de routage de BRANCH contient-elle une route par défaut ? _____________ Sinon, quelles sont les commandes nécessaires pour la configurer sur le routeur HQ ? ___________________________________________________________________________________ ___________________________________________________________________________________ ___________________________________________________________________________________ Étape 9 : si vous avez noté une commande, appliquez-la maintenant à la configuration du routeur HQ. Étape 10 : affichage de la table de routage de BRANCH Si la configuration a été modifiée à l’étape précédente, affichez à nouveau la table de routage de BRANCH. La table de routage de BRANCH contient-elle une route par défaut ? __________ Si la réponse est non, dépannez à nouveau la configuration RIP. Étape 11 : nouvelle tentative de liaison ping entre les hôtes À partir de l’hôte PC2, est-il possible d’envoyer un paquet ping à PC1 ? __________ À partir de l’hôte PC2, est-il possible d’envoyer un paquet ping à l’interface série 0/1 du routeur ISP ? __________ À partir de l’hôte PC1, est-il possible d’envoyer un paquet ping à PC3 ? __________ Tâche 5 : dépannage du routeur ISP Étape 1 : début du dépannage sur l’hôte connecté au routeur ISP À partir de l’hôte PC3, est-il possible d’envoyer un paquet ping à PC1 ? __________ À partir de l’hôte PC3, est-il possible d’envoyer un paquet ping à PC2 ? __________ À partir de l’hôte PC3, est-il possible d’envoyer un paquet ping à la passerelle par défaut ? __________ Copyright sur l’intégralité du contenu © 1992 – 2007 Cisco Systems, Inc. Tous droits réservés. Ce document contient des informations publiques Cisco. Page 9 sur 12
  • 152.
    CCNA Exploration Protocoles etconcepts de routage : Protocole RIP version 1 Travaux pratiques 5.6.3 : dépannage du protocole RIP Étape 2 : examen du routeur ISP afin de détecter d’éventuelles erreurs de configuration Commencez par examiner le résumé des informations d’état pour chaque interface sur le routeur. Y a-t-il des problèmes avec l’état des interfaces ? ___________________________________________________________________________________ ___________________________________________________________________________________ ___________________________________________________________________________________ Dans l’affirmative, notez les commandes qui permettent de corriger les erreurs de configuration. ___________________________________________________________________________________ ___________________________________________________________________________________ ___________________________________________________________________________________ Étape 3 : si vous avez enregistré les commandes ci-dessus, les appliquer à la configuration du routeur maintenant Étape 4 : examen du récapitulatif des informations d’état Si des modifications ont été apportées à la configuration à l'étape précédente, examinez à nouveau le résumé des informations d'état pour les interfaces du routeur. Les informations contenues dans le récapitulatif de l’état des interfaces indiquent-elles la présence d’erreurs de configuration ? __________ Si la réponse est oui, dépannez à nouveau l’état des interfaces. Étape 5 : dépannage de la configuration de routage statique sur le routeur ISP Commencez par examiner la table de routage. Quels sont les réseaux qui figurent dans la table de routage ? ___________________________________________________________________________________ ___________________________________________________________________________________ ___________________________________________________________________________________ ___________________________________________________________________________________ Y a-t-il des erreurs dans la configuration de routage ? ___________________________________________________________________________________ ___________________________________________________________________________________ ___________________________________________________________________________________ ___________________________________________________________________________________ Copyright sur l’intégralité du contenu © 1992 – 2007 Cisco Systems, Inc. Tous droits réservés. Ce document contient des informations publiques Cisco. Page 10 sur 12
  • 153.
    CCNA Exploration Protocoles etconcepts de routage : Protocole RIP version 1 Travaux pratiques 5.6.3 : dépannage du protocole RIP Si vous décelez des problèmes de configuration du routage, notez les commandes qui permettent de corriger les erreurs de configuration. ___________________________________________________________________________________ ___________________________________________________________________________________ ___________________________________________________________________________________ Étape 6 : si vous avez enregistré les commandes ci-dessus, les appliquer maintenant à la configuration du routeur Étape 7 : affichage de la table de routage Si la configuration a été modifiée à l’étape précédente, affichez à nouveau la table de routage. Ces données indiquent-elles des erreurs de configuration ? __________ Si la réponse est oui, dépannez à nouveau la configuration du routage. Étape 8 : nouvelle tentative de test ping entre les hôtes À partir de l’hôte PC3, est-il possible d’envoyer un paquet ping à PC1 ? __________ À partir de l’hôte PC3, est-il possible d’envoyer un paquet ping à PC2 ? __________ À partir de l’hôte PC3, est-il possible d’envoyer un paquet ping à l’interface WAN du routeur BRANCH ? __________ Tâche 6 : remarques générales Les scripts fournis pour ces travaux pratiques ont présenté plusieurs erreurs de configuration. Décrivez brièvement ci-dessous les erreurs que vous avez trouvées. ___________________________________________________________________________________ ___________________________________________________________________________________ ___________________________________________________________________________________ ___________________________________________________________________________________ ___________________________________________________________________________________ ___________________________________________________________________________________ ___________________________________________________________________________________ ___________________________________________________________________________________ ___________________________________________________________________________________ Copyright sur l’intégralité du contenu © 1992 – 2007 Cisco Systems, Inc. Tous droits réservés. Ce document contient des informations publiques Cisco. Page 11 sur 12
  • 154.
    CCNA Exploration Protocoles etconcepts de routage : Protocole RIP version 1 Travaux pratiques 5.6.3 : dépannage du protocole RIP Copyright sur l’intégralité du contenu © 1992 – 2007 Cisco Systems, Inc. Tous droits réservés. Ce document contient des informations publiques Cisco. Page 12 sur 12 Tâche 7 : documentation Sur chaque routeur, saisissez les données fournies par les commandes dans un ficher texte (.txt) et enregistrez-les pour pouvoir les réutiliser. • show running-config • show ip route • show ip interface brief • show ip protocols Si vous voulez revoir les procédures de saisie des données fournies par une commande, reportez-vous aux travaux pratiques 1.5.1. Tâche 8 : remise en état Effacez les configurations et rechargez les routeurs. Débranchez les câbles et stockez-les. Pour les PC hôtes normalement connectés à d’autres réseaux (comme le réseau local du centre de formation ou Internet), remettez en place les câblages adaptés et restaurez les paramètres TCP/IP.
  • 155.
    5.7.1 : exerciced’intégration des compétences Packet Tracer Diagramme de topologie Copyright sur l'intégralité du contenu © 1992–2007 Cisco Systems, Inc. Tous droits réservés. Ce document contient des informations publiques Cisco. Page 1 sur 6
  • 156.
    CCNA Exploration Protocoles etconcepts de routage : protocole RIP version 1 5.7.1 : exercice d’intégration des compétences Packet Tracer Table d’adressage pour R1 Périphérique Interface Adresse IP Masque de sous-réseau S0/0/0 S0/0/1 S0/1/0 R1 S0/1/1 209.165.201.2 255.255.255.252 Fa0/0 Fa0/1 Fa1/0 Fa1/1 B1-R1 S0/0/0 Fa0/0 Fa0/1 Fa1/0 Fa1/1 B2-R1 S0/0/0 Fa0/0 Fa0/1 Fa1/0 Fa1/1 B3-R1 S0/0/0 S0/0/0 209.165.201.1 255.255.255.252 S0/0/1 209.165.201.5 255.255.255.252ISP-R1 Fa0/0 209.165.200.225 255.255.255.252 Web Server 1 Carte réseau 209.165.200.226 255.255.255.252 Copyright sur l'intégralité du contenu © 1992–2007 Cisco Systems, Inc. Tous droits réservés. Ce document contient des informations publiques Cisco. Page 2 sur 6
  • 157.
    CCNA Exploration Protocoles etconcepts de routage : protocole RIP version 1 5.7.1 : Exercice d’intégration des compétences Packet Tracer Table d’adressage pour R2 Périphérique Interface Adresse IP Masque de sous-réseau S0/0/0 S0/0/1 S0/1/0 R2 S0/1/1 209.165.201.10 255.255.255.252 Fa0/0 Fa0/1 Fa1/0 Fa1/1 B1-R2 S0/0/0 Fa0/0 Fa0/1 Fa1/0 Fa1/1 B2-R2 S0/0/0 Fa0/0 Fa0/1 Fa1/0 Fa1/1 B3-R2 S0/0/0 S0/0/0 209.165.201.6 255.255.255.252 S0/0/1 209.165.201.9 255.255.255.252ISP-R2 Fa0/0 209.165.200.229 255.255.255.252 Web Server 2 Carte réseau 209.165.200.230 255.255.255.252 Objectifs • Concevoir et documenter un schéma d’adressage en fonction de conditions requises • Appliquer une configuration de base aux périphériques • Configurer le routage statique entre les routeurs ISP • Configurer le routage RIPv1 pour Region 1 et Region 2 • Désactiver les mises à jour RIP sur les interfaces appropriées • Configurer les routes par défaut et redistribuer via le protocole RIP • Vérifier la connectivité entre tous les périphériques de la topologie Copyright sur l'intégralité du contenu © 1992–2007 Cisco Systems, Inc. Tous droits réservés. Ce document contient des informations publiques Cisco. Page 3 sur 6
  • 158.
    CCNA Exploration Protocoles etconcepts de routage : protocole RIP version 1 5.7.1 : Exercice d’intégration des compétences Packet Tracer Tâche 1 : conception et documentation d’un schéma d’adressage Étape 1 : conception d’un schéma d’adressage À l’aide de la topologie et des spécifications suivantes, concevez un schéma d'adressage : • Les liaisons WAN entre R1 et R2 et leurs routeurs ISP respectifs sont déjà configurées. En outre, les liaisons entre les FAI et les serveurs Web sont déjà configurées. • Le protocole RIPv1 étant un protocole de routage par classe, vous ne pouvez pas implémenter de masques de sous-réseau de longueur variable (VLSM). Procédez comme suit pour subdiviser l’espace d’adressage de chaque région : • Le sous-réseau le plus important de l’espace d’adressage de Region 1 contient 1 000 hôtes. Quel masque de sous-réseau devez-vous utiliser pour l’espace d’adressage 10.1.0.0/16 ? __________________________ • Le sous-réseau le plus important de l’espace d’adressage de Region 2 contient 500 hôtes. Quel masque de sous-réseau devez-vous utiliser pour l’espace d’adressage 172.20.0.0/16 ? __________________________ • Pour les réseaux locaux de Region 1, affectez le sous-réseau 0 au réseau local connecté à FastEthernet 0/0 sur B1-R1. Continuez à affecter les réseaux locaux les uns après les autres. Le sous-réseau 1 est affecté au réseau local connecté à FastEthernet 0/1 sur B1-R1 ; le sous- réseau 2 à FastEthernet 1/0 ; le sous-réseau 3 à FastEthernet 1/1, et ainsi de suite. • Pour les réseaux étendus de Region 1, affectez le dernier sous-réseau à la liaison entre R1 et B3-R1, l'avant-dernier sous-réseau à la liaison entre R1 et B2-R1 et l'antépénultième à la liaison entre R1 et B1-R1. • Indiquez les affectations de sous-réseau de Region 1 dans le tableau suivant : Routeur Numéro du sous-réseau Adresse de sous-réseau B1-R1 Fa0/0 0 >B1-R1 Fa0/1 1 B1-R1 Fa1/0 2 B1-R1 Fa1/1 3 B2-R1 Fa0/0 4 B2-R1 Fa0/1 5 B2-R1 Fa1/0 6 B2-R1 Fa1/1 7 B3-R1 Fa0/0 8 B3-R1 Fa0/1 9 B3-R1 Fa1/0 10 B3-R1 Fa1/1 11 B1-R1 <--> R1 Antépénultième B2-R1 <--> R1 Avant-dernier B3-R1 <--> R1 Dernier Copyright sur l'intégralité du contenu © 1992–2007 Cisco Systems, Inc. Tous droits réservés. Ce document contient des informations publiques Cisco. Page 4 sur 6
  • 159.
    CCNA Exploration Protocoles etconcepts de routage : protocole RIP version 1 5.7.1 : Exercice d’intégration des compétences Packet Tracer • Pour les réseaux locaux de Region 2, procédez de même que pour les sous-réseaux utilisés pour Region 1 : affectez le sous-réseau 0 à l’interface Fa0/0 sur B1-R2, le sous sous-réseau 1 à Fa0/1, et ainsi de suite. • Pour les réseaux étendus de Region 2, affectez le dernier sous-réseau à la liaison entre R2 et B3-R2, l'avant-dernier sous-réseau à la liaison entre R2 et B2-R2 et l'antépénultième à la liaison entre R2 et B1-R2. • Indiquez les affectations de sous-réseau de Region 2 dans le tableau suivant : Routeur Numéro du sous-réseau Adresse de sous-réseau B1-R2 Fa0/0 0 B1-R2 Fa0/1 1 B1-R2 Fa1/0 2 B1-R2 Fa1/1 3 B2-R2 Fa0/0 4 B2-R2 Fa0/1 5 B2-R2 Fa1/0 6 B2-R2 Fa1/1 7 B3-R2 Fa0/0 8 B3-R2 Fa0/1 9 B3-R2 Fa1/0 10 B3-R2 Fa1/1 11 B1-R2 <--> R2 Antépénultième B2-R2 <--> R2 Avant-dernier B3-R2 <--> R2 Dernier Étape 2 : documentation du schéma d’adressage • Facultatif : étiquetez chaque sous-réseau dans la topologie. Pour gagner de l’espace, utilisez uniquement les deux derniers octets, car eux seuls changent. • Documentez les adresses IP et les masques de sous-réseau à l’aide du tableau fourni dans les instructions papier. Affectez la première adresse IP à l’interface du routeur. • Pour les liaisons WAN, affectez la première adresse IP à R1 et R2 pour les liaisons aux routeurs B1, B2 et B3 respectifs de chaque routeur. Tâche 3 : application d’une configuration de base À l’aide de votre documentation, procédez à la configuration de base des routeurs, y compris l’adressage. Utilisez cisco comme mot de passe de ligne et class comme mot de passe secret. Utilisez la fréquence d’horloge 64 000. Copyright sur l'intégralité du contenu © 1992–2007 Cisco Systems, Inc. Tous droits réservés. Ce document contient des informations publiques Cisco. Page 5 sur 6
  • 160.
    CCNA Exploration Protocoles etconcepts de routage : protocole RIP version 1 5.7.1 : Exercice d’intégration des compétences Packet Tracer Copyright sur l'intégralité du contenu © 1992–2007 Cisco Systems, Inc. Tous droits réservés. Ce document contient des informations publiques Cisco. Page 6 sur 6 Tâche 4 : configuration du routage statique entre les routeurs ISP Chaque routeur ISP a déjà deux routes statiques vers les réseaux WAN directement connectés de l'autre routeur ISP. Implémentez un routage statique sur chaque routeur ISP pour vérifier la connectivité entre les deux régions. Tâche 5 : configuration du routage RIPv1 pour Region 1 et Region 2 Configurez le routage RIP sur tous les routeurs locaux. N’oubliez pas que les routeurs ISP utilisent uniquement le routage statique. Tâche 6 : désactivation des mises à jour RIP sur les interfaces appropriées Toutes les interfaces de routeur ne doivent pas envoyer de mises à jour RIP. Désactivez les mises à jour RIP sur les interfaces appropriées. Tâche 7 : configuration des routes par défaut et redistribution via le protocole RIP Déterminez quels routeurs nécessitent une route par défaut. Configurez ensuite le routeur pour qu'il redistribue la route par défaut aux autres routeurs de la région. Tâche 8 : vérification de la connectivité entre tous les périphériques de la topologie Étape 1 : test de la connectivité • La connectivité de bout en bout doit maintenant être établie. Utilisez une requête ping pour tester la connectivité sur le réseau. Chaque routeur doit pouvoir envoyer une requête ping à toutes les autres interfaces de routeur et aux deux serveurs Web. • Corrigez les éventuels problèmes jusqu’à ce que les requêtes ping fonctionnent. Étape 2 : examen de la configuration Utilisez les commandes de vérification pour vérifier que vos configurations sont complètes.
  • 161.
    Copyright sur l’intégralitédu contenu © 1992 – 2007 Cisco Systems, Inc. Tous droits réservés. Ce document contient des informations publiques Cisco. Page 1 sur 6 Exercice 6.4.1 : adressage et calcul VLSM (notions élémentaires) Diagramme de topologie Table d’adressage Périphérique Interface Adresse IP Masque de sous-réseau Passerelle par défaut HQ Fa0/0 s/o Fa0/1 s/o S0/0/0 s/o S0/0/1 s/o Branch1 Fa0/0 s/o Fa0/1 s/o S0/0/0 s/o S0/0/1 s/o Branch2 Fa0/0 s/o Fa0/1 s/o S0/0/0 s/o S0/0/1 s/o
  • 162.
    CCNA Exploration Protocoles etconcepts de routage : VLSM et CIDR Exercice 6.4.1 : adressage et calcul VLSM (notions élémentaires) Copyright sur l’intégralité du contenu © 1992 – 2007 Cisco Systems, Inc. Tous droits réservés. Ce document contient des informations publiques Cisco. Page 2 sur 6 Objectifs pédagogiques : À l’issue de cet exercice, vous serez en mesure d’effectuer les tâches suivantes :  Déterminer le nombre de sous-réseaux nécessaires  Déterminer le nombre d’hôtes nécessaires pour chaque sous-réseau  Concevoir un système d'adressage adapté à l'aide de la technique VLSM  Attribuer des paires d’adresses et de masques de sous-réseau aux interfaces des périphériques  Examiner l’utilisation de l’espace d’adressage réseau disponible Scénario Dans cet exercice, les adresses réseau 192.168.1.0/24 vous sont attribuées : elles vous permettent de créer des sous-réseaux et de fournir l’adressage IP du réseau présenté dans le diagramme de topologie. La technologie VLSM sera utilisée pour répondre aux exigences d’adressage du réseau 192.168.1.0/24. Le réseau a les exigences d’adressage suivantes :  Le réseau local LAN1 de HQ a besoin de 50 adresses IP hôtes.  Le réseau local LAN2 de HQ a besoin de 50 adresses IP hôtes.  Le réseau local LAN1 de Branch1 a besoin de 20 adresses IP hôtes.  Le réseau local LAN2 de Branch1 a besoin de 20 adresses IP hôtes.  Le réseau local LAN1 de Branch2 a besoin de 12 adresses IP hôtes.  Le réseau local LAN2 de Branch2 a besoin de 12 adresses IP hôtes.  La liaison entre HQ et Branch1 nécessite une adresse IP à chaque extrémité.  La liaison entre HQ et Branch2 nécessite une adresse IP à chaque extrémité.  La liaison entre Branch1 et Branch2 nécessite une adresse IP à chaque extrémité. (Remarque : n’oubliez pas que les interfaces des périphériques réseau sont également des adresses IP hôte et figurent dans les exigences d’adressage ci-dessus). Tâche 1 : examen de la configuration réseau nécessaire Examinez la configuration nécessaire et répondez aux questions ci-dessous. N’oubliez pas que des adresses IP sont nécessaires pour chaque interface de réseau local. 1. Quel est le nombre de sous-réseaux nécessaires ? _______ 2. Quel est le nombre maximal d’adresses IP nécessaires par sous-réseau ? _______ 3. Quel est le nombre d’adresses IP nécessaires pour chacun des réseaux locaux de Branch1 ? _______ 4. Quel est le nombre d’adresses IP nécessaires pour chacun des réseaux locaux de Branch2 ? _______ 5. Quel est le nombre d’adresses IP nécessaires pour chaque liaison de réseau étendu (WAN) entre les routeurs ? _______ 6. Quel est le nombre total d’adresses IP nécessaires ? _______
  • 163.
    CCNA Exploration Protocoles etconcepts de routage : VLSM et CIDR Exercice 6.4.1 : adressage et calcul VLSM (notions élémentaires) Copyright sur l’intégralité du contenu © 1992 – 2007 Cisco Systems, Inc. Tous droits réservés. Ce document contient des informations publiques Cisco. Page 3 sur 6 7. Quel est le nombre total d’adresses IP disponibles sur le réseau 192.168.1.0/24 ? _______ 8. Les exigences d’adressage réseau peuvent-elles être satisfaites avec le réseau 192.168.1.0/24 ? _______ Tâche 2 : conception d’un système d’adressage IP Étape 1 : définition des informations de sous-réseau pour le ou les segments de réseau les plusétendus Dans cet exemple, les deux réseaux locaux LAN de HQ sont les sous-réseaux les plus étendus. 1. Quel est le nombre d’adresses IP nécessaires pour chaque réseau local ? _______ 2. Quel est le plus petit sous-réseau susceptible de remplir cette condition ? _______ 3. Quel est le nombre maximal d’adresses IP pouvant être attribuées dans ce petit sous-réseau ? _______ Étape 2 : attribution de sous-réseaux aux réseaux locaux de HQ Commencez au début du réseau 192.168.1.0/24. 1. Attribuez le premier sous-réseau disponible au réseau local LAN1 de HQ. 2. Complétez le tableau ci-dessous avec les informations correctes. Sous-réseau du réseau local LAN1 de HQ Adresse réseau Masque de sous-réseau décimal Masque de sous-réseau CIDR Première adresse IP utilisable Dernière adresse IP utilisable Adresse de diffusion 3. Attribuez le sous-réseau disponible suivant au réseau local LAN2 de HQ. 4. Complétez le tableau ci-dessous avec les informations correctes. Sous-réseau du réseau local LAN2 de HQ Adresse réseau Masque de sous-réseau décimal Masque de sous-réseau CIDR Première adresse IP utilisable Dernière adresse IP utilisable Adresse de diffusion Étape 3 : définition des informations de sous-réseau pour le ou les segments de réseau suivants les plus étendus Dans cet exemple, les deux réseaux locaux de Branch1 sont les deuxièmes sous-réseaux les plus étendus. 1. Quel est le nombre d’adresses IP nécessaires pour chaque réseau local ? _______ 2. Quel est le plus petit sous-réseau susceptible de remplir cette condition ? _______ 3. Quel est le nombre maximal d’adresses IP pouvant être attribuées dans ce petit sous-réseau ? _______
  • 164.
    CCNA Exploration Protocoles etconcepts de routage : VLSM et CIDR Exercice 6.4.1 : adressage et calcul VLSM (notions élémentaires) Copyright sur l’intégralité du contenu © 1992 – 2007 Cisco Systems, Inc. Tous droits réservés. Ce document contient des informations publiques Cisco. Page 4 sur 6 Étape 4 : attribution d’un sous-réseau aux réseaux locaux de BRANCH1 Commencez par l’adresse IP qui suit les sous-réseaux du réseau local de HQ. 1. Attribuez le sous-réseau suivant au réseau local LAN1 de Branch1. 2. Complétez le tableau ci-dessous avec les informations correctes. Sous-réseau du réseau local LAN1 de Branch1 Adresse réseau Masque de sous-réseau décimal Masque de sous-réseau CIDR Première adresse IP utilisable Dernière adresse IP utilisable Adresse de diffusion 3. Attribuez le sous-réseau disponible suivant au réseau local LAN2 de Branch1. 4. Complétez le tableau ci-dessous avec les informations correctes. Sous-réseau du réseau local LAN2 de Branch1 Adresse réseau Masque de sous-réseau décimal Masque de sous-réseau CIDR Première adresse IP utilisable Dernière adresse IP utilisable Adresse de diffusion Étape 5 : céfinition des informations de sous-réseau pour le ou les segments de réseau suivants les plus étendus Dans cet exemple, les deux réseaux locaux de Branch2 sont les sous-réseaux les plus étendus. 1. Quel est le nombre d’adresses IP nécessaires pour chaque réseau local ? _______ 2. Quel est le plus petit sous-réseau susceptible de remplir cette condition ? _______ 3. Quel est le nombre maximal d’adresses IP pouvant être attribuées dans ce petit sous-réseau ? _______ Étape 6 : attribution des sous-réseaux aux réseaux locaux de BRANCH2 Commencez par l’adresse IP qui suit les sous-réseaux du réseau local de Branch1. 1. Attribuez le sous-réseau suivant au réseau local LAN1 de Branch2. Complétez le tableau ci-dessous avec les informations correctes. Sous-réseau du réseau local LAN1 de Branch2 Adresse réseau Masque de sous-réseau décimal Masque de sous-réseau CIDR Première adresse IP utilisable Dernière adresse IP utilisable Adresse de diffusion 2. Attribuez le sous-réseau disponible suivant au réseau local LAN2 de Branch2. 3. Complétez le tableau ci-dessous avec les informations correctes.
  • 165.
    CCNA Exploration Protocoles etconcepts de routage : VLSM et CIDR Exercice 6.4.1 : adressage et calcul VLSM (notions élémentaires) Copyright sur l’intégralité du contenu © 1992 – 2007 Cisco Systems, Inc. Tous droits réservés. Ce document contient des informations publiques Cisco. Page 5 sur 6 Sous-réseau du réseau local LAN2 de Branch2 Adresse réseau Masque de sous-réseau décimal Masque de sous-réseau CIDR Première adresse IP utilisable Dernière adresse IP utilisable Adresse de diffusion Étape 7 : définition des informations de sous-réseau pour les liaisons entre les routeurs 1. Quel est le nombre d’adresses IP nécessaires pour chaque liaison ? _______ 2. Quel est le plus petit sous-réseau susceptible de remplir cette condition ? _______ 3. Quel est le nombre maximal d’adresses IP pouvant être attribuées dans ce petit sous-réseau ? _______ Étape 8 : attribution des sous-réseaux aux liaisons Commencez par l’adresse IP qui suit les sous-réseaux du réseau local de Branch2. 1. Attribuez le sous-réseau disponible suivant à la liaison entre les routeurs HQ et Branch1. 2. Complétez le tableau ci-dessous avec les informations correctes. Liaison entre HQ et le sous-réseau Branch1 Adresse réseau Masque de sous-réseau décimal Masque de sous-réseau CIDR Première adresse IP utilisable Dernière adresse IP utilisable Adresse de diffusion 3. Attribuez le sous-réseau disponible suivant à la liaison entre les routeurs HQ et Branch2. 4. Complétez le tableau ci-dessous avec les informations correctes. Liaison entre HQ et le sous-réseau Branch2 Adresse réseau Masque de sous-réseau décimal Masque de sous-réseau CIDR Première adresse IP utilisable Dernière adresse IP utilisable Adresse de diffusion 5. Attribuez le sous-réseau disponible suivant à la liaison entre les routeurs de Branch1 et de Branch2. 6. Complétez le tableau ci-dessous avec les informations correctes. Liaison entre les sous-réseaux Branch1 et Branch2 Adresse réseau Masque de sous-réseau décimal Masque de sous-réseau CIDR Première adresse IP utilisable Dernière adresse IP utilisable Adresse de diffusion
  • 166.
    CCNA Exploration Protocoles etconcepts de routage : VLSM et CIDR Exercice 6.4.1 : adressage et calcul VLSM (notions élémentaires) Copyright sur l’intégralité du contenu © 1992 – 2007 Cisco Systems, Inc. Tous droits réservés. Ce document contient des informations publiques Cisco. Page 6 sur 6 Tâche 3 : attribution d’adresses IP aux périphériques réseau Attribuez les adresses appropriées aux interfaces des périphériques. Les informations sur les adresses à utiliser figurent dans le tableau d’adressage sous le diagramme de topologie. Étape 1 : attribution d’adresses au routeur HQ 1. Attribuez la première adresse hôte valide de sous-réseau du réseau local LAN1 de HQ à l’interface du réseau local Fa0/0. 2. Attribuez la première adresse hôte valide de sous-réseau du réseau local LAN2 de HQ à l’interface du réseau local Fa0/1. 3. Attribuez la première adresse hôte valide de la liaison entre le sous-réseau de HQ et Branch1 à l’interface S0/0/0. 4. Attribuez la première adresse hôte valide de la liaison entre le sous-réseau de HQ et Branch2 à l’interface S0/0/1. Étape 2 : attribution d’adresses au routeur Branch1 1. Attribuez la première adresse hôte valide de sous-réseau du réseau local LAN1 de Branch1 à l’interface du réseau local Fa0/0. 2. Attribuez la première adresse hôte valide de sous-réseau du réseau local LAN2 de Branch1 à l’interface du réseau local Fa0/1. 3. Attribuez la première adresse hôte valide de la liaison entre le sous-réseau Branch1 et HQ à l’interface S0/0/0. 4. Attribuez la première adresse hôte valide de la liaison entre les sous-réseaux Branch1 et Branch2 à l’interface S0/0/1. Étape 3 : attribution des adresses au routeur Branch2 1. Attribuez la première adresse hôte valide de sous-réseau du réseau local LAN1 de Branch2 à l’interface du réseau local Fa0/0. 2. Attribuez la première adresse hôte valide de sous-réseau du réseau local LAN2 de Branch2 à l’interface du réseau local Fa0/1. 3. Attribuez la dernière adresse hôte valide de la liaison entre HQ et le sous-réseau Branch2 à l’interface S0/0/1. 4. Attribuez la dernière adresse hôte valide de la liaison entre les sous-réseaux Branch1 et Branch2 à l’interface S0/0/0.
  • 167.
    Copyright sur l’intégralitédu contenu © 1992 – 2007 Cisco Systems, Inc. Tous droits réservés. Ce document contient des informations publiques Cisco. Page 1 sur 13 Exercice 6.4.2 : adressage et calcul VLSM (notions avancées) Diagramme de topologie
  • 168.
    CCNA Exploration Protocoles etconcepts de routage : VLSM et CIDR Exercice 6.4.2 : adressage et calcul VLSM (notions avancées) Copyright sur l’intégralité du contenu © 1992 – 2007 Cisco Systems, Inc. Tous droits réservés. Ce document contient des informations publiques Cisco. Page 2 sur 13 Objectifs pédagogiques :  Déterminer le nombre de sous-réseaux nécessaires  Déterminer le nombre d’hôtes nécessaires pour chaque sous-réseau  Concevoir un système d'adressage adapté à l'aide de la technique VLSM Scénario Dans cet exercice, les adresses réseau 172.16.0.0/16 vous sont attribuées : elles vous permettent de créer des sous-réseaux et de fournir l’adressage IP du réseau présenté dans le diagramme de topologie. La technologie VLSM est utilisée pour répondre aux exigences d’adressage du réseau 172.16.0.0/16. Le réseau a les exigences d’adressage suivantes :  Section du réseau East  Le réseau LAN1 de N-EAST (Nord-Est) a besoin de 4000 adresses IP hôte.  Le réseau LAN2 de N-EAST (Nord-Est) a besoin de 4000 adresses IP hôte.  Le réseau local LAN1 de SE-BR1 (Sud-Est Branch1) a besoin de 1000 adresses IP hôte.  Le réseau local LAN2 de SE-BR1 (Sud-Est Branch1) a besoin de 1000 adresses IP hôte.  Le réseau local LAN1 de SE-BR2 (Sud-Est Branch2) a besoin de 500 adresses IP hôte.  Le réseau local LAN2 de SE-BR2 (Sud-Est Branch2) a besoin de 500 adresses IP hôte.  Le réseau local LAN1 de SE-ST1 (Sud-Est Satellite1) a besoin de 250 adresses IP hôte.  Le réseau local LAN2 de SE-ST1 (Sud-Est Satellite1) a besoin de 250 adresses IP hôte.  Le réseau local LAN1 de SE-ST2 (Sud-Est Satellite1) a besoin de 125 adresses IP hôte.  Le réseau local LAN2 de SE-ST2 (Sud-Est Satellite1) a besoin de 125 adresses IP hôte.  Section du réseau West  Le réseau local LAN1 de S-WEST (Sud-Ouest) a besoin de 4000 adresses IP hôte.  Le réseau local LAN2 de S-WEST (Sud-Ouest) a besoin de 4000 adresses IP hôte.  Le réseau local LAN2 de NW-BR1 (Nord-Ouest Branch1) a besoin de 200 adresses IP hôte.  Le réseau local LAN1 de NW-BR1 (Nord-Ouest Branch1) a besoin de 200 adresses IP hôte.  Le réseau local LAN1 de NW-BR2 (Nord-Ouest Branch2) a besoin de 1000 adresses IP hôte.  Le réseau local LAN2 de NW-BR2 (Nord-Ouest Branch2) a besoin de 1000 adresses IP hôte.  Section du réseau Central  Le réseau local LAN1 du réseau Central a besoin de 8000 adresses IP hôte.  Le réseau local LAN2 du réseau Central a besoin de 4000 adresses IP hôte.  Les liaisons étendues (WAN) entre chaque routeur exigent une adresse IP par extrémité. (Remarque : n’oubliez pas que les interfaces des périphériques réseau sont également des adresses IP hôte et figurent dans les exigences d’adressage ci-dessus).
  • 169.
    CCNA Exploration Protocoles etconcepts de routage : VLSM et CIDR Exercice 6.4.2 : adressage et calcul VLSM (notions avancées) Copyright sur l’intégralité du contenu © 1992 – 2007 Cisco Systems, Inc. Tous droits réservés. Ce document contient des informations publiques Cisco. Page 3 sur 13 Tâche 1 : examen de la configuration réseau nécessaire Examinez la configuration nécessaire et répondez aux questions ci-dessous. N’oubliez pas que des adresses IP sont nécessaires pour chaque interface de réseau local. 1. Combien de sous-réseaux du réseau local sont-ils nécessaires ? _______ 2. Quel est le nombre de sous-réseaux nécessaires pour les liaisons WAN entre routeurs ? _______ 3. Quel est le nombre total de sous-réseaux nécessaires ? _______ 4. Quel est le nombre maximal d’adresses IP hôte nécessaires pour un seul sous-réseau ? _______ 5. Quel est le nombre minimal d’adresses IP hôte nécessaires pour un seul sous-réseau ? _______ 6. Combien d’adresses IP sont nécessaires pour la portion East du réseau ? N’oubliez pas d’inclure les liaisons WAN entre les routeurs. __________ 7. Combien d’adresses IP sont nécessaires pour la portion West du réseau ? N’oubliez pas d’inclure les liaisons WAN entre les routeurs. __________ 8. Combien d’adresses IP sont nécessaires pour la portion Central du réseau ? N’oubliez pas d’inclure les liaisons WAN entre les routeurs. __________ 9. Quel est le nombre total d’adresses IP nécessaires ? __________ 10. Quel est le nombre total d’adresses IP disponibles sur le réseau 172.16.0.0/16 ? _________ 11. Les exigences d’adressage du réseau peuvent-elles être satisfaites avec le réseau 172.16.0.0/16 ? _______ Tâche 2 : division du réseau en trois sous-réseaux Étape 1 : définition des informations de sous-réseau pour chaque section du réseau Pour que les sous-réseaux de chaque grande section du réseau restent contigus, commencez par créer un sous-réseau principal pour chaque section East, West et Central. 1. Quel est le plus petit sous-réseau susceptible de remplir les conditions d’adressage du réseau East ? _______ 2. Quel est le nombre maximal d’adresses IP pouvant être attribuées dans ce petit sous-réseau ? _______ 3. Quel est le plus petit sous-réseau susceptible de remplir les conditions d’adressage du réseau West ? _______ 4. Quel est le nombre maximal d’adresses IP pouvant être attribuées dans ce petit sous-réseau ? _______ 5. Quel est le plus petit sous-réseau susceptible de remplir les conditions d’adressage du réseau Central ? _______ 6. Quel est le nombre maximal d’adresses IP pouvant être attribuées dans ce petit sous-réseau ? _______
  • 170.
    CCNA Exploration Protocoles etconcepts de routage : VLSM et CIDR Exercice 6.4.2 : adressage et calcul VLSM (notions avancées) Copyright sur l’intégralité du contenu © 1992 – 2007 Cisco Systems, Inc. Tous droits réservés. Ce document contient des informations publiques Cisco. Page 4 sur 13 Étape 2 : attribution des sous-réseaux 1. Démarrez au début du réseau 172.16.0.0/16. Attribuez le premier sous-réseau disponible à la section East du réseau. 2. Complétez le tableau ci-dessous avec les informations correctes. Sous-réseau East Adresse réseau Masque de sous-réseau décimal Masque de sous-réseau CIDR Première adresse IP utilisable Dernière adresse IP utilisable Adresse de diffusion 3. Attribuez le sous-réseau disponible suivant à la section West du réseau. 4. Complétez le tableau ci-dessous avec les informations correctes. Sous-réseau West Adresse réseau Masque de sous-réseau décimal Masque de sous-réseau CIDR Première adresse IP utilisable Dernière adresse IP utilisable Adresse de diffusion 5. Attribuez le sous-réseau disponible suivant à la section Central du réseau. 6. Complétez le tableau ci-dessous avec les informations correctes. Sous-réseau Central Adresse réseau Masque de sous-réseau décimal Masque de sous-réseau CIDR Première adresse IP utilisable Dernière adresse IP utilisable Adresse de diffusion Tâche 3 : conception d’un système d’adressage IP pour le réseau Central Étape 1 : définition des informations de sous-réseau pour le réseau local LAN1 du réseau Central Utilisez l’espace d’adressage conçu pour le réseau Central au cours de la tâche 1. 1. Quel est le plus petit sous-réseau susceptible de remplir cette condition ? _______ 2. Quel est le nombre maximal d’adresses IP pouvant être attribuées dans ce petit sous-réseau ? _______ Étape 2 : attribution d’un sous-réseau au réseau local LAN1 du réseau Central Commencez au début de l’espace d’adressage conçu pour le réseau Centre. 1. Attribuez le premier sous-réseau au réseau local LAN1 du réseau Centre. 2. Complétez le tableau ci-dessous avec les informations correctes.
  • 171.
    CCNA Exploration Protocoles etconcepts de routage : VLSM et CIDR Exercice 6.4.2 : adressage et calcul VLSM (notions avancées) Copyright sur l’intégralité du contenu © 1992 – 2007 Cisco Systems, Inc. Tous droits réservés. Ce document contient des informations publiques Cisco. Page 5 sur 13 Sous-réseau du réseau local LAN1 du réseau Central Adresse réseau Masque de sous-réseau décimal Masque de sous-réseau CIDR Première adresse IP utilisable Dernière adresse IP utilisable Adresse de diffusion Étape 3 : définition des informations de sous-réseau pour le réseau local LAN2 du réseau Central 1. Quel est le plus petit sous-réseau susceptible de remplir cette condition ? _______ 2. Quel est le nombre maximal d’adresses IP pouvant être attribuées dans ce petit sous-réseau ? _______ Étape 4 : attribution d’un sous-réseau au réseau local LAN2 du réseau Central 1. Attribuez le sous-réseau disponible suivant au réseau local LAN2 du réseau Central. 2. Complétez le tableau ci-dessous avec les informations correctes. Sous-réseau du réseau local LAN2 du réseau Central Adresse réseau Masque de sous-réseau décimal Masque de sous-réseau CIDR Première adresse IP utilisable Dernière adresse IP utilisable Adresse de diffusion Étape 5 : définition des informations de sous-réseau pour la liaison WAN entre le routeur Central et le routeur HQ 1. Quel est le plus petit sous-réseau susceptible de remplir cette condition ? _______ 2. Quel est le nombre maximal d’adresses IP pouvant être attribuées dans ce petit sous-réseau ? _______ Étape 6 : attribution d’un sous-réseau à la liaison WAN 1. Attribuez le sous-réseau disponible suivant à la liaison WAN entre le routeur Central et le routeur HQ. 2. Complétez le tableau ci-dessous avec les informations correctes. Liaison WAN entre les sous-réseaux Central et HQ Adresse réseau Masque de sous-réseau décimal Masque de sous-réseau CIDR Première adresse IP utilisable Dernière adresse IP utilisable Adresse de diffusion
  • 172.
    CCNA Exploration Protocoles etconcepts de routage : VLSM et CIDR Exercice 6.4.2 : adressage et calcul VLSM (notions avancées) Copyright sur l’intégralité du contenu © 1992 – 2007 Cisco Systems, Inc. Tous droits réservés. Ce document contient des informations publiques Cisco. Page 6 sur 13 Tâche 4 : conception d’un système d’adressage IP pour le réseau West Étape 1 : définition des informations de sous-réseau pour le réseau local LAN1 de S-WEST Utilisez l’espace d’adressage conçu pour le réseau West au cours de la tâche 1. 1. Quel est le plus petit sous-réseau susceptible de remplir cette condition ? _______ 2. Quel est le nombre maximal d’adresses IP pouvant être attribuées dans ce petit sous-réseau ? _______ Étape 2 : attribution d’un sous-réseau au réseau local LAN1 de S-WEST Commencez au début de l’espace d’adressage conçu pour le réseau West. 1. Attribuez le premier sous-réseau au réseau local LAN1 de S-WEST. 2. Complétez le tableau ci-dessous avec les informations correctes. Sous-réseau du réseau local LAN1 de S-WEST Adresse réseau Masque de sous-réseau décimal Masque de sous-réseau CIDR Première adresse IP utilisable Dernière adresse IP utilisable Adresse de diffusion Étape 3 : définition des informations de sous-réseau pour le réseau local LAN2 de S-WEST 1. Quel est le plus petit sous-réseau susceptible de remplir cette condition ? _______ 2. Quel est le nombre maximal d’adresses IP pouvant être attribuées dans ce petit sous-réseau ? _______ Étape 4 : attribution d’un sous-réseau au réseau local LAN2 de S-WEST 1. Attribuez le sous-réseau disponible suivant au réseau local LAN2 de S-WEST. 2. Complétez le tableau ci-dessous avec les informations correctes. Sous-réseau du réseau local LAN2 de S-WEST Adresse réseau Masque de sous-réseau décimal Masque de sous-réseau CIDR Première adresse IP utilisable Dernière adresse IP utilisable Adresse de diffusion Étape 5 : définition des informations de sous-réseau pour le réseau local LAN1 de NW-BR1 1. Quel est le plus petit sous-réseau susceptible de remplir cette condition ? _______ 2. Quel est le nombre maximal d’adresses IP pouvant être attribuées dans ce petit sous-réseau ? _______ Étape 6 : attribution d’un sous-réseau au réseau local LAN1 de NW-BR1 1. Attribuez le sous-réseau disponible suivant au réseau local LAN1 de NW-BR1.
  • 173.
    CCNA Exploration Protocoles etconcepts de routage : VLSM et CIDR Exercice 6.4.2 : adressage et calcul VLSM (notions avancées) Copyright sur l’intégralité du contenu © 1992 – 2007 Cisco Systems, Inc. Tous droits réservés. Ce document contient des informations publiques Cisco. Page 7 sur 13 2. Complétez le tableau ci-dessous avec les informations correctes. Sous-réseau du réseau local LAN1 de NW-BR1 Adresse réseau Masque de sous-réseau décimal Masque de sous-réseau CIDR Première adresse IP utilisable Dernière adresse IP utilisable Adresse de diffusion Étape 7 : définition des informations de sous-réseau pour le réseau local LAN2 de NW-BR1 1. Quel est le plus petit sous-réseau susceptible de remplir cette condition ? _______ 2. Quel est le nombre maximal d’adresses IP pouvant être attribuées dans ce petit sous-réseau ? _______ Étape 8 : attribution d’un sous-réseau au réseau local LAN2 de NW-BR1 1. Attribuez le sous-réseau disponible suivant au réseau local LAN2 de NW-BR1. 2. Complétez le tableau ci-dessous avec les informations correctes. Sous-réseau du réseau local LAN2 de NW-BR1 Adresse réseau Masque de sous-réseau décimal Masque de sous-réseau CIDR Première adresse IP utilisable Dernière adresse IP utilisable Adresse de diffusion Étape 9 : définition des informations de sous-réseau pour le réseau local LAN1 de NW-BR2 1. Quel est le plus petit sous-réseau susceptible de remplir cette condition ? _______ 2. Quel est le nombre maximal d’adresses IP pouvant être attribuées dans ce petit sous-réseau ? _______ Étape 10 : attribution d’un sous-réseau au réseau local LAN1 de NW-BR2 1. Attribuez le sous-réseau disponible suivant au réseau local LAN1 de NW-BR2. 2. Complétez le tableau ci-dessous avec les informations correctes. Sous-réseau du réseau local LAN1 de NW-BR2 Adresse réseau Masque de sous-réseau décimal Masque de sous-réseau CIDR Première adresse IP utilisable Dernière adresse IP utilisable Adresse de diffusion
  • 174.
    CCNA Exploration Protocoles etconcepts de routage : VLSM et CIDR Exercice 6.4.2 : adressage et calcul VLSM (notions avancées) Copyright sur l’intégralité du contenu © 1992 – 2007 Cisco Systems, Inc. Tous droits réservés. Ce document contient des informations publiques Cisco. Page 8 sur 13 Étape 11 : définition des informations de sous-réseau pour le réseau local LAN2 de NW-BR2 1. Quel est le plus petit sous-réseau susceptible de remplir cette condition ? _______ 2. Quel est le nombre maximal d’adresses IP pouvant être attribuées dans ce petit sous-réseau ? _______ Étape 12 : attribution d’un sous-réseau au réseau local LAN2 de NW-BR2 1. Attribuez le sous-réseau disponible suivant au réseau local LAN2 de NW-BR2. 2. Complétez le tableau ci-dessous avec les informations correctes. Sous-réseau du réseau local LAN2 de NW-BR2 Adresse réseau Masque de sous-réseau décimal Masque de sous-réseau CIDR Première adresse IP utilisable Dernière adresse IP utilisable Adresse de diffusion Étape 13 : définition des informations de sous-réseau pour les liaisons WAN entre les routeurs du réseau West 1. Quel est le nombre de liaisons WAN routeur/routeur dans le réseau West ? _______ 2. Quel est le nombre d’adresses IP nécessaires pour chacune de ces liaisons WAN ? _______ 3. Quel est le plus petit sous-réseau susceptible de remplir cette condition ? _______ 4. Quel est le nombre maximal d’adresses IP pouvant être attribuées dans ce petit sous-réseau ? _______ Étape 14 : attribution des sous-réseaux aux liaisons WAN 1. Attribuez les sous-réseaux disponibles suivants aux liaisons WAN entre les routeurs. 2. Complétez le tableau ci-dessous avec les informations correctes. Liaisons WAN entre les routeurs du réseau West Liaison WAN Adresse réseau Masque de sous- réseau décimal Masque de sous- réseau CIDR Première adresse IP utilisable Dernière adresse IP utilisable Adresse de diffusion HQ vers WEST WEST vers S-WEST WEST vers N-WEST N-WEST vers NW-BR1 N-WEST vers NW-BR2
  • 175.
    CCNA Exploration Protocoles etconcepts de routage : VLSM et CIDR Exercice 6.4.2 : adressage et calcul VLSM (notions avancées) Copyright sur l’intégralité du contenu © 1992 – 2007 Cisco Systems, Inc. Tous droits réservés. Ce document contient des informations publiques Cisco. Page 9 sur 13 Tâche 5 : conception d’un système d’adressage IP pour le réseau East Étape 1 : définition des informations de sous-réseau pour le réseau local LAN1 de N-EAST Utilisez l’espace d’adressage conçu pour le réseau East au cours de la tâche 1. 1. Quel est le plus petit sous-réseau susceptible de remplir cette condition ? _______ 2. Quel est le nombre maximal d’adresses IP pouvant être attribuées dans ce petit sous-réseau ? _______ Étape 2 : attribution d’un sous-réseau au réseau local LAN1 de N-EAST Commencez au début de l’espace d’adressage conçu pour le réseau East. 1. Attribuez le premier sous-réseau au réseau local LAN1 de N-EAST. 2. Complétez le tableau ci-dessous avec les informations correctes. Sous-réseau du réseau local LAN1 de N-EAST Adresse réseau Masque de sous-réseau décimal Masque de sous-réseau CIDR Première adresse IP utilisable Dernière adresse IP utilisable Adresse de diffusion Étape 3 : définition des informations de sous-réseau pour le réseau local LAN2 de N-EAST 1. Quel est le plus petit sous-réseau susceptible de remplir cette condition ? _______ 2. Quel est le nombre maximal d’adresses IP pouvant être attribuées dans ce petit sous-réseau ? _______ Étape 4 : attribution d’un sous-réseau au réseau local LAN2 de N-EAST 1. Attribuez le sous-réseau disponible suivant au réseau local LAN2 de N-EAST. 2. Complétez le tableau ci-dessous avec les informations correctes. Sous-réseau du réseau local LAN2 de N-EAST Adresse réseau Masque de sous-réseau décimal Masque de sous-réseau CIDR Première adresse IP utilisable Dernière adresse IP utilisable Adresse de diffusion Étape 5 : définition des informations de sous-réseau pour le réseau local LAN1 de SE-BR1 1. Quel est le plus petit sous-réseau susceptible de remplir cette condition ? _______ 2. Quel est le nombre maximal d’adresses IP pouvant être attribuées dans ce petit sous-réseau ? _______
  • 176.
    CCNA Exploration Protocoles etconcepts de routage : VLSM et CIDR Exercice 6.4.2 : adressage et calcul VLSM (notions avancées) Copyright sur l’intégralité du contenu © 1992 – 2007 Cisco Systems, Inc. Tous droits réservés. Ce document contient des informations publiques Cisco. Page 10 sur 13 Étape 6 : zttribution d’un sous-réseau au réseau local LAN1 de SE-BR1 1. Attribuez le sous-réseau disponible suivant au réseau local LAN1 de SE-BR1. 2. Complétez le tableau ci-dessous avec les informations correctes. Sous-réseau du réseau local LAN1 de SE-BR1 Adresse réseau Masque de sous-réseau décimal Masque de sous-réseau CIDR Première adresse IP utilisable Dernière adresse IP utilisable Adresse de diffusion Étape 7 : définition des informations de sous-réseau pour le réseau local LAN2 de SE-BR1 1. Quel est le plus petit sous-réseau susceptible de remplir cette condition ? _______ 2. Quel est le nombre maximal d’adresses IP pouvant être attribuées dans ce petit sous-réseau ? _______ Étape 8 : attribution d’un sous-réseau au réseau local LAN2 de SE-BR1 1. Attribuez le sous-réseau disponible suivant au réseau local LAN2 de SE-BR1. 2. Complétez le tableau ci-dessous avec les informations correctes. Sous-réseau du réseau local LAN2 de SE-BR1 Adresse réseau Masque de sous-réseau décimal Masque de sous-réseau CIDR Première adresse IP utilisable Dernière adresse IP utilisable Adresse de diffusion Étape 9 : définition des informations de sous-réseau pour le réseau local LAN1 de SE-BR2 1. Quel est le plus petit sous-réseau susceptible de remplir cette condition ? _______ 2. Quel est le nombre maximal d’adresses IP pouvant être attribuées dans ce petit sous-réseau ? _______ Étape 10 : attribution d’un sous-réseau au réseau local LAN1 de SE-BR2 1. Attribuez le sous-réseau disponible suivant au réseau local LAN1 de SE-BR2. 2. Complétez le tableau ci-dessous avec les informations correctes. Sous-réseau du réseau local LAN1 de SE-BR2 Adresse réseau Masque de sous-réseau décimal Masque de sous-réseau CIDR Première adresse IP utilisable Dernière adresse IP utilisable Adresse de diffusion
  • 177.
    CCNA Exploration Protocoles etconcepts de routage : VLSM et CIDR Exercice 6.4.2 : adressage et calcul VLSM (notions avancées) Copyright sur l’intégralité du contenu © 1992 – 2007 Cisco Systems, Inc. Tous droits réservés. Ce document contient des informations publiques Cisco. Page 11 sur 13 Étape 11 : définition des informations de sous-réseau pour le réseau local LAN2 de SE-BR2 1. Quel est le plus petit sous-réseau susceptible de remplir cette condition ? _______ 2. Quel est le nombre maximal d’adresses IP pouvant être attribuées dans ce petit sous-réseau ? _______ Étape 12 : attribution d’un sous-réseau au réseau local LAN2 de SE-BR2 1. Attribuez le sous-réseau disponible suivant au réseau local LAN2 de SE-BR2. 2. Complétez le tableau ci-dessous avec les informations correctes. Sous-réseau du réseau local LAN2 de SE-BR2 Adresse réseau Masque de sous-réseau décimal Masque de sous-réseau CIDR Première adresse IP utilisable Dernière adresse IP utilisable Adresse de diffusion Étape 13 : définition des informations de sous-réseau pour le réseau local LAN1 de SE-ST1 1. Quel est le plus petit sous-réseau susceptible de remplir cette condition ? _______ 2. Quel est le nombre maximal d’adresses IP pouvant être attribuées dans ce petit sous-réseau ? _______ Étape 14 : attribution d’un sous-réseau au réseau local LAN1 de SE-ST1 1. Attribuez le sous-réseau disponible suivant au réseau local LAN1 de SE-ST1. 2. Complétez le tableau ci-dessous avec les informations correctes. Sous-réseau du réseau local LAN1 de SE-ST1 Adresse réseau Masque de sous-réseau décimal Masque de sous-réseau CIDR Première adresse IP utilisable Dernière adresse IP utilisable Adresse de diffusion Étape 15 : définition des informations de sous-réseau pour le réseau local LAN2 de SE-ST1 1. Quel est le plus petit sous-réseau susceptible de remplir cette condition ? _______ 2. Quel est le nombre maximal d’adresses IP pouvant être attribuées dans ce petit sous-réseau ? _______ Étape 16 : attribution d’un sous-réseau au réseau local LAN2 de SE-ST1 1. Attribuez le sous-réseau disponible suivant au réseau local LAN2 de SE-ST1. 2. Complétez le tableau ci-dessous avec les informations correctes.
  • 178.
    CCNA Exploration Protocoles etconcepts de routage : VLSM et CIDR Exercice 6.4.2 : adressage et calcul VLSM (notions avancées) Copyright sur l’intégralité du contenu © 1992 – 2007 Cisco Systems, Inc. Tous droits réservés. Ce document contient des informations publiques Cisco. Page 12 sur 13 Sous-réseau du réseau local LAN2 de SE-ST1 Adresse réseau Masque de sous-réseau décimal Masque de sous-réseau CIDR Première adresse IP utilisable Dernière adresse IP utilisable Adresse de diffusion Étape 17 : définition des informations de sous-réseau pour le réseau local LAN1 de SE-ST2 1. Quel est le plus petit sous-réseau susceptible de remplir cette condition ? _______ 2. Quel est le nombre maximal d’adresses IP pouvant être attribuées dans ce petit sous-réseau ? _______ Étape 18 : attribution d’un sous-réseau au réseau local LAN1 de SE-ST2 1. Attribuez le sous-réseau disponible suivant au réseau local LAN1 de SE-ST2. 2. Complétez le tableau ci-dessous avec les informations correctes. Sous-réseau du réseau local LAN1 de SE-ST2 Adresse réseau Masque de sous-réseau décimal Masque de sous-réseau CIDR Première adresse IP utilisable Dernière adresse IP utilisable Adresse de diffusion Étape 19 : définition des informations de sous-réseau pour le réseau local LAN2 de SE-ST2 1. Quel est le plus petit sous-réseau susceptible de remplir cette condition ? _______ 2. Quel est le nombre maximal d’adresses IP pouvant être attribuées dans ce petit sous-réseau ? _______ Étape 20 : attribution d’un sous-réseau au réseau local LAN2 de SE-ST2 1. Attribuez le sous-réseau disponible suivant au réseau local LAN2 de SE-ST2. 2. Complétez le tableau ci-dessous avec les informations correctes. Sous-réseau du réseau local LAN2 de SE-ST2 Adresse réseau Masque de sous-réseau décimal Masque de sous-réseau CIDR Première adresse IP utilisable Dernière adresse IP utilisable Adresse de diffusion Étape 21 : définition des informations de sous-réseau pour les liaisons WAN entre les routeurs du réseau East 1. Quel est le nombre de liaisons WAN routeur/routeur dans le réseau East ? _______ 2. Quel est le nombre d’adresses IP nécessaires pour chacune de ces liaisons WAN ? _______ 3. Quel est le plus petit sous-réseau susceptible de remplir cette condition ? _______ 4. Quel est le nombre maximal d’adresses IP pouvant être attribuées dans ce petit sous-réseau ? _______
  • 179.
    CCNA Exploration Protocoles etconcepts de routage : VLSM et CIDR Exercice 6.4.2 : adressage et calcul VLSM (notions avancées) Copyright sur l’intégralité du contenu © 1992 – 2007 Cisco Systems, Inc. Tous droits réservés. Ce document contient des informations publiques Cisco. Page 13 sur 13 Étape 22 : attribution des sous-réseaux aux liaisons WAN 1. Attribuez les sous-réseaux disponibles suivants aux liaisons WAN entre les routeurs. 2. Complétez le tableau ci-dessous avec les informations correctes. Liaisons WAN entre les routeurs du réseau East Liaison WAN Adresse réseau Masque de sous- réseau décimal Masque de sous- réseau CIDR Première adresse IP utilisable Dernière adresse IP utilisable Adresse de diffusion HQ vers EAST EAST vers S-EAST EAST vers N-EAST S-EAST vers SE-BR1 S-EAST vers SE-BR2 SE-BR2 vers SE-ST1 SE-BR2 vers SE-ST2
  • 180.
    Copyright sur l’intégralitédu contenu © 1992 – 2007 Cisco Systems, Inc. Tous droits réservés. Ce document contient des informations publiques Cisco. Page 1 sur 6 Exercice 6.4.3 : dépannage de la conception d’un adressage VLSM Diagramme de topologie Table d’adressage Sous-réseau Nombre d’adresses IP nécessaires Adresse réseau Réseau local LAN1 de HQ 16 000 172.16.128.0/19 Réseau local LAN2 de HQ 8 000 172.16.192.0/18 Réseau local LAN1 de Branch1 4 000 172.16.224.0/20 Réseau local LAN2 de Branch1 2 000 172.16.240.0/21 Réseau local LAN1 de Branch2 1 000 172.16.244.0/24 Réseau local LAN2 de Branch2 500 172.16.252.0/23 Liaison de HQ à Branch1 2 172.16.254.0/28 Liaison de HQ à Branch2 2 172.16.154.6/30 Liaison de Branch1 à Branch2 2 172.16.254.8/30 Objectifs pédagogiques :  Découvrir les erreurs d’une configuration VLSM  Proposer des solutions aux erreurs de configuration VLSM  Fournir la documentation relative aux attributions VLSM corrigées
  • 181.
    CCNA Exploration Protocoles etconcepts de routage : VLSM et CIDR Exercice 6.4.3 : dépannage de la conception d’un adressage VLSM Copyright sur l’intégralité du contenu © 1992 – 2007 Cisco Systems, Inc. Tous droits réservés. Ce document contient des informations publiques Cisco. Page 2 sur 6 Scénario Dans ces travaux pratiques, les adresses réseau 172.16.128.0/17 sont utilisées pour fournir l’adressage IP du réseau présenté dans le diagramme de topologie. La technologie VLSM est incorrectement utilisée pour définir l’espace d’adressage de sous-réseau. Vous devrez dépanner l’adressage attribué à chaque sous- réseau pour déterminer où se trouvent des erreurs, puis déterminer les attributions d’adressage correctes, le cas échéant. Tâche 1 : examen de l’adressage pour les réseaux locaux LAN de HQ Étape 1 : examinez l’attribution d’adressage pour le sous-réseau du réseau local LAN1 de HQ et répondez aux questions suivantes : 1. Quel est le nombre d’adresses IP nécessaires pour le sous-réseau LAN1 de HQ ? __________ 2. Quel est le nombre d’adresses IP disponibles dans le sous-réseau actuellement attribué ? __________ 3. Le sous-réseau actuellement attribué suffit-il pour répondre aux besoins de taille du sous-réseau LAN1 de HQ ? _______ 4. Si la réponse à la question précédente est non, proposez un nouveau masque de sous-réseau qui autorisera le nombre correct d’adresses IP. ________________________________ 5. Le sous-réseau chevauchera-t-il l’un des autres réseaux actuellement attribués ?_______ 6. Si la réponse à la question précédente est oui, proposez un nouveau masque de sous-réseau qui autorisera le nombre correct d’adresses IP sans chevaucher d’autres sous-réseaux. ________________________________ Étape 2 : examinez l’attribution d’adressage pour le sous-réseau LAN2 de HQ et répondez aux questions suivantes : 1. Quel est le nombre d’adresses IP nécessaires pour le sous-réseau LAN2 de HQ ? __________ 2. Quel est le nombre d’adresses IP disponibles dans le sous-réseau actuellement attribué ? __________ 3. Le sous-réseau actuellement attribué suffit-il pour répondre aux besoins de taille du sous-réseau LAN2 de HQ ? _______ 4. Si la réponse à la question précédente est non, proposez un nouveau masque de sous-réseau qui autorisera le nombre correct d’adresses IP. ________________________________ 5. Le sous-réseau chevauchera-t-il un des autres réseaux actuellement attribués ?_______ 6. Si la réponse à la question précédente est oui, proposez un nouveau masque de sous-réseau qui autorisera le nombre correct d’adresses IP sans chevaucher d’autres sous-réseaux. ________________________________ Tâche 2 : examen de l’adressage pour les réseaux locaux de Branch1 Étape 1 : examinez l’attribution d’adressage pour le sous-réseau LAN1 de Branch1 et répondez aux questions suivantes : 1. Quel est le nombre d’adresses IP nécessaires pour le sous-réseau LAN1 de Branch1 ? __________
  • 182.
    CCNA Exploration Protocoles etconcepts de routage : VLSM et CIDR Exercice 6.4.3 : dépannage de la conception d’un adressage VLSM Copyright sur l’intégralité du contenu © 1992 – 2007 Cisco Systems, Inc. Tous droits réservés. Ce document contient des informations publiques Cisco. Page 3 sur 6 2. Quel est le nombre d’adresses IP disponibles dans le sous-réseau actuellement attribué ? __________ 3. Le sous-réseau actuellement attribué suffit-il pour répondre aux besoins de taille du sous-réseau LAN1 de Branch1 ? _______ 4. Si la réponse à la question précédente est non, proposez un nouveau masque de sous-réseau qui autorisera le nombre correct d’adresses IP. ________________________________ 5. Le sous-réseau chevauchera-t-il un des autres réseaux actuellement attribués ?_______ 6. Si la réponse à la question précédente est oui, proposez un nouveau masque de sous-réseau qui autorisera le nombre correct d’adresses IP sans chevaucher d’autres sous-réseaux. ________________________________ Étape 2 : examinez l’attribution d’adressage pour le sous-réseau LAN2 de Branch1 et répondez aux questions suivantes : 1. Quel est le nombre d’adresses IP nécessaires pour le sous-réseau LAN2 de Branch1 ? __________ 2. Quel est le nombre d’adresses IP disponibles dans le sous-réseau actuellement attribué ? __________ 3. Le sous-réseau actuellement attribué suffit-il pour répondre aux besoins de taille du sous-réseau LAN2 de Branch1 ? _______ 4. Si la réponse à la question précédente est non, proposez un nouveau masque de sous-réseau qui autorisera le nombre correct d’adresses IP. ________________________________ 5. Le sous-réseau chevauchera-t-il un des autres réseaux actuellement attribués ?_______ 6. Si la réponse à la question précédente est oui, proposez un nouvelle adresse réseau qui autorisera le nombre correct d’adresses IP sans chevaucher d’autres sous-réseaux. ________________________________ Tâche 3 : examen de l’adressage pour les réseaux locaux de Branch2 Étape 1 : examinez l’attribution d’adressage pour le sous-réseau LAN1 de Branch2 et répondez aux questions suivantes : 1. Quel est le nombre d’adresses IP nécessaires pour le sous-réseau LAN1 de Branch2 ? __________ 2. Quel est le nombre d’adresses IP disponibles dans le sous-réseau actuellement attribué ? __________ 3. Le sous-réseau actuellement attribué suffit-il pour répondre aux besoins de taille du sous-réseau LAN1 de Branch2 ? _______ 4. Si la réponse à la question précédente est non, proposez un nouveau masque de sous-réseau qui autorisera le nombre correct d’adresses IP. ________________________________ 5. Le sous-réseau chevauchera-t-il un des autres réseaux actuellement attribués ?_______ 6. Si la réponse à la question précédente est oui, proposez un nouveau masque de sous-réseau qui autorisera le nombre correct d’adresses IP sans chevaucher d’autres sous-réseaux. ________________________________
  • 183.
    CCNA Exploration Protocoles etconcepts de routage : VLSM et CIDR Exercice 6.4.3 : dépannage de la conception d’un adressage VLSM Copyright sur l’intégralité du contenu © 1992 – 2007 Cisco Systems, Inc. Tous droits réservés. Ce document contient des informations publiques Cisco. Page 4 sur 6 Étape 2 : examinez l’attribution d’adressage pour le sous-réseau LAN2 de Branch2 et répondez aux questions suivantes : 1. Quel est le nombre d’adresses IP nécessaires pour le sous-réseau LAN2 de Branch2 ? __________ 2. Quel est le nombre d’adresses IP disponibles dans le sous-réseau actuellement attribué ? __________ 3. Le sous-réseau actuellement attribué suffit-il pour répondre aux besoins de taille du sous-réseau LAN2 de Branch2 ? _______ 4. Si la réponse à la question précédente est non, proposez un nouveau masque de sous-réseau qui autorisera le nombre correct d’adresses IP. ________________________________ 5. Le sous-réseau chevauchera-t-il un des autres réseaux actuellement attribués ?_______ 6. Si la réponse à la question précédente est oui, proposez un nouvelle adresse réseau qui autorisera le nombre correct d’adresses IP sans chevaucher d’autres sous-réseaux. ________________________________ Tâche 4 : examen de l’adressage pour les liaisons entre routeurs Étape 1 : examinez l’attribution d’adressage pour la liaison entre les routeurs HQ et Branch1, puis répondez aux questions suivantes. 1. Quel est le nombre d’adresses IP nécessaires pour la liaison entre les routeurs HQ et Branch1 ? _______ 2. Quel est le nombre d’adresses IP disponibles dans le sous-réseau actuellement attribué ? _______ 3. Le sous-réseau actuellement attribué suffit-il pour répondre aux besoins de taille de la liaison entre les routeurs HQ et Branch1 ? _______ 4. Si la réponse à la question précédente est non, proposez un nouveau masque de sous-réseau qui autorisera le nombre correct d’adresses IP. ________________________________ 5. Le sous-réseau chevauchera-t-il un des autres réseaux actuellement attribués ?_______ 6. Si la réponse à la question précédente est oui, proposez un nouveau masque de sous-réseau qui autorisera le nombre correct d’adresses IP sans chevaucher d’autres sous-réseaux. ________________________________
  • 184.
    CCNA Exploration Protocoles etconcepts de routage : VLSM et CIDR Exercice 6.4.3 : dépannage de la conception d’un adressage VLSM Copyright sur l’intégralité du contenu © 1992 – 2007 Cisco Systems, Inc. Tous droits réservés. Ce document contient des informations publiques Cisco. Page 5 sur 6 Étape 2 : examinez l’attribution d’adressage pour la liaison entre les routeurs HQ et Branch2, puis répondez aux questions suivantes. 1. Quel est le nombre d’adresses IP nécessaires pour la liaison entre les routeurs HQ et Branch2 ? _______ 2. Quel est le nombre d’adresses IP disponibles dans le sous-réseau actuellement attribué ? _______ 3. Le sous-réseau actuellement attribué suffit-il pour répondre aux besoins de taille de la liaison entre les routeurs HQ et Branch2 ? _______ 4. Si la réponse à la question précédente est non, proposez un nouveau masque de sous-réseau qui autorisera le nombre correct d’adresses IP. ________________________________ 5. Le sous-réseau chevauchera-t-il un des autres réseaux actuellement attribués ?_______ 6. Si la réponse à la question précédente est oui, proposez un nouvelle adresse réseau qui autorisera le nombre correct d’adresses IP sans chevaucher d’autres sous-réseaux. ________________________________ Étape 3 : examinez l’attribution d’adressage pour la liaison entre les routeurs Branch1 et Branch2, puis répondez aux questions suivantes. 1. Quel est le nombre d’adresses IP nécessaires pour la liaison entre les routeurs Branch1 et Branch2 ? _______ 2. Quel est le nombre d’adresses IP disponibles dans le sous-réseau actuellement attribué ? _______ 3. Le sous-réseau actuellement attribué suffit-il pour répondre aux besoins de taille de la liaison entre les routeurs Branch1 et Branch2 ? _______ 4. Si la réponse à la question précédente est non, proposez un nouveau masque de sous-réseau qui autorisera le nombre correct d’adresses IP. ________________________________ 5. Le sous-réseau chevauchera-t-il un des autres réseaux actuellement attribués ?_______ 6. Si la réponse à la question précédente est oui, proposez un nouveau masque de sous-réseau qui autorisera le nombre correct d’adresses IP sans chevaucher d’autres sous-réseaux. ________________________________
  • 185.
    CCNA Exploration Protocoles etconcepts de routage : VLSM et CIDR Exercice 6.4.3 : dépannage de la conception d’un adressage VLSM Copyright sur l’intégralité du contenu © 1992 – 2007 Cisco Systems, Inc. Tous droits réservés. Ce document contient des informations publiques Cisco. Page 6 sur 6 Tâche 5 : documentation des informations d’adressage corrigées Enregistrez les informations d’adressage corrigées dans le tableau d’adressage ci-dessous. Sous-réseau Nombre d’adresses IP nécessaires Adresse réseau Réseau local LAN1 de HQ 16 000 Réseau local LAN2 de HQ 8 000 Réseau local LAN1 de Branch1 4 000 Réseau local LAN2 de Branch1 2 000 Réseau local LAN1 de Branch2 1 000 Réseau local LAN2 de Branch2 500 Liaison de HQ à Branch1 2 Liaison de HQ à Branch2 2 Liaison de Branch1 à Branch2 2
  • 186.
    Copyright sur l’intégralitédu contenu © 1992 – 2007 Cisco Systems, Inc. Tous droits réservés. Ce document contient des informations publiques Cisco. Page 1 sur 4 Exercice 6.4.4 : récapitulatif de routage (notions élémentaires) Diagramme de topologie Table d’adressage Sous-réseau Adresse réseau Réseau local LAN1 de HQ 172.16.64.0/23 Réseau local LAN2 de HQ 172.16.66.0/23 Réseau local LAN1 d’EAST 172.16.68.0/24 Réseau local LAN2 d’EAST 172.16.69.0/24 Réseau local LAN1 de WEST 172.16.70.0/25 Réseau local LAN2 de WEST 172.16.70.128/25 Liaison de HQ à EAST 172.16.71.4/30 Liaison de HQ à WEST 172.16.71.0/30 Liaison de HQ à ISP 172.16.71.8/30
  • 187.
    CCNA Exploration Protocoles etconcepts de routage : VLSM et CIDR Exercice 6.4.4 : récapitulatif de routage (notions élémentaires) Copyright sur l’intégralité du contenu © 1992 – 2007 Cisco Systems, Inc. Tous droits réservés. Ce document contient des informations publiques Cisco. Page 2 sur 4 Objectif pédagogique :  Déterminer des récapitulatifs de routage qui réduisent la taille des tables de routage Scénario Dans cet exercice, vous travaillez avec le réseau illustré dans le diagramme de topologie. Les attributions de sous-réseaux et d’adresses ont déjà été effectuées pour les segments de réseau. Déterminez des récapitulatifs de routage permettant de réduire le nombre d’entrées des tables de routage. Tâche 1 : détermination d’un récapitulatif de routage pour les réseaux locaux LAN de HQ Étape 1 : désignez le réseau local LAN1 et le réseau local LAN2 de HQ au format binaire. Réseau local LAN1 __________________________________ Réseau local LAN2 __________________________________ Étape 2 : comptez le nombre de bits en correspondance les plus à gauche pour déterminer le masque de récapitulatif de routage. 1. Combien de bits en correspondance les plus à gauche sont présents dans les deux réseaux ? _______ 2. Quel est le masque de sous-réseau du récapitulatif de routage au format décimal ? ______________________________________________ Étape 3 : copiez les bits en correspondance, puis ajoutez tous les zéros pour déterminer l’adresse réseau résumée. 1. Quels sont les bits en correspondance pour les deux réseaux ? ______________________________________________ 2. Ajoutez des zéros pour compléter le reste de l’adresse réseau au format binaire. ______________________________________________ 3. Quelle est l’adresse réseau du récapitulatif de routage au format décimal ? ______________________________________________ Tâche 2 : détermination du récapitulatif de routage pour les réseaux locaux du réseau EAST Étape 1 : désignez le réseau local LAN1 et le réseau local LAN2 du réseau EAST au format binaire. Réseau local LAN1 ____________________________________________ Réseau local LAN2 ____________________________________________ Étape 2 : comptez le nombre de bits en correspondance les plus à gauche pour déterminer le masque de récapitulatif de routage. 1. Combien de bits en correspondance les plus à gauche sont présents dans les deux réseaux ? _______ 2. Quel est le masque de sous-réseau du récapitulatif de routage au format décimal ? ______________________________________________
  • 188.
    CCNA Exploration Protocoles etconcepts de routage : VLSM et CIDR Exercice 6.4.4 : récapitulatif de routage (notions élémentaires) Copyright sur l’intégralité du contenu © 1992 – 2007 Cisco Systems, Inc. Tous droits réservés. Ce document contient des informations publiques Cisco. Page 3 sur 4 Étape 3 : copiez les bits en correspondance, puis ajoutez tous les zéros pour déterminer l’adresse réseau résumée. 1. Quels sont les bits en correspondance pour les deux réseaux ? ______________________________________________ 2. Ajoutez des zéros pour compléter le reste de l’adresse réseau au format binaire. ______________________________________________ 3. Quelle est l’adresse réseau du récapitulatif de routage au format décimal ? ______________________________________________ Tâche 3 : détermination du récapitulatif de routage pour les réseaux locaux du réseau WEST Étape 1 : désignez le réseau local LAN1 et le réseau local LAN2 du réseau WEST au format binaire. Réseau local LAN1______________________________________________ Réseau local LAN2______________________________________________ Étape 2 : comptez le nombre de bits en correspondance les plus à gauche pour déterminer le masque de récapitulatif de routage. 1. Combien de bits en correspondance les plus à gauche sont présents dans les deux réseaux ?_______ 2. Quel est le masque de sous-réseau du récapitulatif de routage au format décimal ?______________________________________________ Étape 3 : copiez les bits en correspondance, puis ajoutez tous les zéros pour déterminer l’adresse réseau résumée. 1. Quels sont les bits en correspondance pour les deux réseaux ? ______________________________________________ 2. Ajoutez des zéros pour compléter le reste de l’adresse réseau au format binaire. ______________________________________________ 3. Quelle est l’adresse réseau du récapitulatif de routage au format décimal ?______________________________________________ Tâche 4 : détermination du récapitulatif de routage pour les réseaux LAN de HQ, EAST et WEST Étape 1 : désignez les récapitulatifs de routage pour les réseaux LAN de HQ, EAST et WEST. Récapitulatif de routage pour HQ______________________________________________ Récapitulatif de routage pour EAST______________________________________________ Récapitulatif de routage pour WEST ______________________________________________
  • 189.
    CCNA Exploration Protocoles etconcepts de routage : VLSM et CIDR Exercice 6.4.4 : récapitulatif de routage (notions élémentaires) Copyright sur l’intégralité du contenu © 1992 – 2007 Cisco Systems, Inc. Tous droits réservés. Ce document contient des informations publiques Cisco. Page 4 sur 4 Étape 2 : comptez le nombre de bits en correspondance les plus à gauche pour déterminer le masque de récapitulatif de routage. 1. Combien de bits en correspondance les plus à gauche sont présents dans les deux réseaux ?_______ 2. Quel est le masque de sous-réseau du récapitulatif de routage au format décimal ? ______________________________________________ Étape 3 : copiez les bits en correspondance, puis ajoutez tous les zéros pour déterminer l’adresse réseau résumée. 1. Quels sont les bits en correspondance pour les deux réseaux ? ______________________________________________ 2. Ajoutez des zéros pour compléter le reste de l’adresse réseau au format binaire. ______________________________________________ 3. Quelle est l’adresse réseau du récapitulatif de routage au format décimal ? ______________________________________________
  • 190.
    Copyright sur l’intégralitédu contenu © 1992 – 2007 Cisco Systems, Inc. Tous droits réservés. Ce document contient des informations publiques Cisco. Page 1 sur 10 Exercice 6.4.5 : récapitulatif de routage (notions avancées) Diagramme de topologie
  • 191.
    CCNA Exploration Protocoles etconcepts de routage : VLSM et CIDR Exercice 6.4.5 : récapitulatif de routage (notions avancées) Copyright sur l’intégralité du contenu © 1992 – 2007 Cisco Systems, Inc. Tous droits réservés. Ce document contient des informations publiques Cisco. Page 2 sur 10 Table d’adressage Sous-réseau Adresse réseau Réseau LAN1 de S-WEST 192.168.7.0/27 Réseau LAN2 de S-WEST 192.168.7.32/27 Liaison de WEST à N-WEST 192.168.7.64/30 Liaison de WEST à S-WEST 192.168.7.68/30 Liaison de HQ à WEST 192.168.7.72/30 Réseau local LAN1 de NW-BR1 192.168.7.128/27 Réseau local LAN2 de NW-BR1 192.168.7.160/27 Réseau local LAN1 de NW-BR2 192.168.7.192/28 Réseau local LAN2 de NW-BR2 192.168.7.208/28 Liaison de N-WEST à NW-BR1 192.168.7.224/30 Liaison N-WEST à NW-BR2 192.168.7.228/30 Réseau local LAN1 de CENTRAL 192.168.6.0/25 Réseau local LAN2 de CENTRAL 192.168.6.128/26 Liaison de HQ à CENTRAL 192.168.6.192/30 Réseau local LAN1 de N-EAST 192.168.5.0/27 Réseau local LAN2 de N-EAST 192.168.5.32/27 Liaison de EAST à N-EAST 192.168.5.192/30 Liaison de EAST vers S-EAST 192.168.5.196/30 Liaison de HQ à EAST 192.168.5.200/30 Réseau local LAN1 de SE-BR1 192.168.4.0/26 Réseau local LAN2 de SE-BR1 192.168.4.64/26 Réseau local LAN1 de SE-BR2 192.168.4.128/27 Réseau local LAN2 de SE-BR2 192.168.4.160/27 Réseau local LAN1 de SE-ST1 192.168.4.192/29 Réseau local LAN2 de SE-ST1 192.168.4.200/29 Réseau local LAN1 de SE-ST2 192.168.4.208/29 Réseau local LAN2 de SE-ST2 192.168.4.216/29 Liaison de SE-BR2 à SE-ST1 192.168.4.224/30 Liaison de SE-BR2 à SE-ST2 192.168.4.228/30 Liaison de S-EAST à SE-BR2 192.168.4.232/30 Liaison de S-EAST à SE-BR1 192.168.4.236/30
  • 192.
    CCNA Exploration Protocoles etconcepts de routage : VLSM et CIDR Exercice 6.4.5 : récapitulatif de routage (notions avancées) Copyright sur l’intégralité du contenu © 1992 – 2007 Cisco Systems, Inc. Tous droits réservés. Ce document contient des informations publiques Cisco. Page 3 sur 10 Objectif pédagogique :  Déterminer des récapitulatifs de routage qui réduisent la taille des tables de routage Scénario Dans cet exercice, vous travaillez avec le réseau illustré dans le diagramme de topologie. Les attributions de sous-réseaux et d’adresses ont déjà été effectuées pour les segments de réseau. Déterminez des récapitulatifs de routage qui réduisent le nombre d’entrée dans les tables de routage. Tâche 1 : détermination du récapitulatif de routage pour les réseaux locaux de S-WEST Étape 1 : désignez le réseau local LAN1 et le réseau local LAN2 de S-WEST au format binaire. Réseau local LAN1____________________________________________ Réseau local LAN2____________________________________________ Étape 2 : comptez le nombre de bits en correspondance les plus à gauche pour déterminer le masque du récapitulatif de routage. 1. Combien de bits en correspondance les plus à gauche sont présents dans les deux réseaux ?_______ 2. Quel est le masque de sous-réseau du récapitulatif de routage au format décimal ?____________________________________________ Étape 3 : copiez les bits en correspondance, puis ajoutez tous les zéros pour déterminer l’adresse réseau résumée. 1. Quel est le récapitulatif de routage au format binaire ? ____________________________________________ 2. Quelle est l’adresse réseau du récapitulatif de routage au format décimal ?____________________________________________ Tâche 2 : détermination du récapitulatif de routage pour les réseaux locaux de NW-BR1 Étape 1 : désignez le réseau local LAN1 et le réseau local LAN2 de NW-BR1 au format binaire. Réseau local LAN1____________________________________________ Réseau local LAN2____________________________________________ Étape 2 : comptez le nombre de bits en correspondance les plus à gauche pour déterminer le masque du récapitulatif de routage. 1. Combien de bits en correspondance les plus à gauche sont présents dans les réseaux ?_______ 2. Quel est le masque de sous-réseau du récapitulatif de routage au format décimal ?____________________________________________
  • 193.
    CCNA Exploration Protocoles etconcepts de routage : VLSM et CIDR Exercice 6.4.5 : récapitulatif de routage (notions avancées) Copyright sur l’intégralité du contenu © 1992 – 2007 Cisco Systems, Inc. Tous droits réservés. Ce document contient des informations publiques Cisco. Page 4 sur 10 Étape 3 : copiez les bits en correspondance, puis ajoutez tous les zéros pour déterminer l’adresse réseau résumée. 1. Quel est le récapitulatif de routage au format binaire ? ____________________________________________ 2. Quelle est l’adresse réseau du récapitulatif de routage au format décimal ?____________________________________________ Tâche 3 : détermination du récapitulatif de routage pour les réseaux locaux de NW-BR2 Étape 1 : désignez le réseau local LAN1 et le réseau local LAN2 de NW-BR2 au format binaire. Réseau local LAN1____________________________________________ Réseau local LAN2____________________________________________ Étape 2 : comptez le nombre de bits en correspondance les plus à gauche pour déterminer le masque du récapitulatif de routage. 1. Combien de bits en correspondance les plus à gauche sont présents dans les réseaux ?_______ 2. Quel est le masque de sous-réseau du récapitulatif de routage au format décimal ?____________________________________________ Étape 3 : copiez les bits en correspondance, puis ajoutez tous les zéros pour déterminer l’adresse réseau résumée. 1. Quel est le récapitulatif de routage au format binaire ? ____________________________________________ 2. Quelle est l’adresse réseau du récapitulatif de routage au format décimal ?____________________________________________ Tâche 4 : détermination du récapitulatif de routage pour la portion N-West du réseau Utilisez les réseaux répertoriés ci-dessous pour déterminer un récapitulatif de routage pour la portion N-West du réseau. Étape 1 : désignez les segments du réseau N-West au format binaire Récapitulatif de NW-BR1 ____________________________________________ Récapitulatif de NW-BR2 ____________________________________________ Liaison de N-WEST à NW-BR1 ____________________________________________ Liaison de N-WEST à NW-BR2 ____________________________________________ Étape 2 : comptez le nombre de bits en correspondance les plus à gauche pour déterminer le masque du récapitulatif de routage 1. Combien de bits en correspondance les plus à gauche sont présents dans les réseaux ?_______ 2. Quel est le masque de sous-réseau du récapitulatif de routage au format décimal ?____________________________________________
  • 194.
    CCNA Exploration Protocoles etconcepts de routage : VLSM et CIDR Exercice 6.4.5 : récapitulatif de routage (notions avancées) Copyright sur l’intégralité du contenu © 1992 – 2007 Cisco Systems, Inc. Tous droits réservés. Ce document contient des informations publiques Cisco. Page 5 sur 10 Étape 3 : copiez les bits en correspondance, puis ajoutez tous les zéros pour déterminer l’adresse réseau résumée 1. Quel est le récapitulatif de routage au format binaire ? ____________________________________________ 2. Quelle est l’adresse réseau du récapitulatif de routage au format décimal ?____________________________________________ Tâche 5 : détermination du récapitulatif de routage pour la portion West du réseau Utilisez les réseaux ci-dessous pour déterminer un résumé de routes pour la portion West du réseau. Étape 1 : désignez les segments du réseau West au format binaire. Récapitulatif S-WEST ____________________________________________ Récapitulatif N-WEST ____________________________________________ Liaison de WEST à N-WEST ____________________________________________ Liaison de WEST à S-WEST ____________________________________________ Liaison de HQ à WEST ____________________________________________ Étape 2 : comptez le nombre de bits en correspondance les plus à gauche pour déterminer le masque du récapitulatif de routage. 1. Combien de bits en correspondance les plus à gauche sont présents dans les réseaux ?_______ 2. Quel est le masque de sous-réseau du récapitulatif de routage au format décimal ?____________________________________________ Étape 3 : copiez les bits en correspondance, puis ajoutez tous les zéros pour déterminer l’adresse réseau résumée. 1. Quel est le récapitulatif de routage au format binaire ? ____________________________________________ 2. Quelle est l’adresse réseau du récapitulatif de routage au format décimal ?____________________________________________ Tâche 6 : détermination du récapitulatif de routage pour la portion Central du réseau Utilisez les réseaux indiqués ci-dessous pour déterminer un récapitulatif de routage pour la portion Central du réseau. Étape 1 : désignez les segments du réseau Central au format binaire. Réseau local LAN1 de CENTRAL ____________________________________________ Réseau local LAN2 de CENTRAL ____________________________________________ Liaison de HQ à CENTRAL ____________________________________________ Étape 2 : comptez le nombre de bits en correspondance les plus à gauche pour déterminer le masque du récapitulatif de routage. 1. Combien de bits en correspondance les plus à gauche sont présents dans les réseaux ?_______
  • 195.
    CCNA Exploration Protocoles etconcepts de routage : VLSM et CIDR Exercice 6.4.5 : récapitulatif de routage (notions avancées) Copyright sur l’intégralité du contenu © 1992 – 2007 Cisco Systems, Inc. Tous droits réservés. Ce document contient des informations publiques Cisco. Page 6 sur 10 2. Quel est le masque de sous-réseau du récapitulatif de routage au format décimal ?____________________________________________ Étape 3 : copiez les bits en correspondance, puis ajoutez tous les zéros pour déterminer l’adresse réseau résumée. 1. Quel est le récapitulatif de routage au format binaire ? ____________________________________________ 2. Quelle est l’adresse réseau du récapitulatif de routage au format décimal ?____________________________________________ Tâche 7 : détermination du récapitulatif de routage pour les réseaux locaux N-EAST Étape 1 : désignez le réseau LAN1 et le réseau LAN2 du réseau N-EAST au format binaire. Réseau local LAN1____________________________________________ Réseau local LAN2____________________________________________ Étape 2 : comptez le nombre de bits en correspondance les plus à gauche pour déterminer le masque du récapitulatif de routage. 1. Combien de bits en correspondance les plus à gauche sont présents dans les réseaux ?_______ 2. Quel est le masque de sous-réseau du récapitulatif de routage au format décimal ?____________________________________________ Étape 3 : copiez les bits en correspondance, puis ajoutez tous les zéros pour déterminer l’adresse réseau résumée. 1. Quel est le récapitulatif de routage au format binaire ? ____________________________________________ 2. Quelle est l’adresse réseau du récapitulatif de routage au format décimal ?____________________________________________ Tâche 8 : détermination du récapitulatif de routage pour les réseaux locaux SE-BR1 Étape 1 : désignez le réseau local LAN1 et le réseau local LAN2 du réseau SE-BR1 au format binaire. Réseau local LAN1____________________________________________ Réseau local LAN2____________________________________________
  • 196.
    CCNA Exploration Protocoles etconcepts de routage : VLSM et CIDR Exercice 6.4.5 : récapitulatif de routage (notions avancées) Copyright sur l’intégralité du contenu © 1992 – 2007 Cisco Systems, Inc. Tous droits réservés. Ce document contient des informations publiques Cisco. Page 7 sur 10 Étape 2 : comptez le nombre de bits en correspondance les plus à gauche pour déterminer le masque du récapitulatif de routage. 1. Combien de bits en correspondance les plus à gauche sont présents dans les réseaux ?_______ 2. Quel est le masque de sous-réseau du récapitulatif de routage au format décimal ?____________________________________________ Étape 3 : copiez les bits en correspondance, puis ajoutez tous les zéros pour déterminer l’adresse réseau résumée. 1. Quel est le récapitulatif de routage au format binaire ? ____________________________________________ 2. Quelle est l’adresse réseau du récapitulatif de routage au format décimal ?____________________________________________ Tâche 9 : détermination du récapitulatif de routage pour les réseaux locaux SE-BR2 Étape 1 : désignez le réseau local LAN1 et le réseau local LAN2 du réseau SE-BR2 au format binaire. Réseau local LAN1____________________________________________ Réseau local LAN2____________________________________________ Étape 2 : comptez le nombre de bits en correspondance les plus à gauche pour déterminer le masque du récapitulatif de routage. 1. Combien de bits en correspondance les plus à gauche sont présents dans les réseaux ?_______ 2. Quel est le masque de sous-réseau du récapitulatif de routage au format décimal ?____________________________________________ Étape 3 : copiez les bits en correspondance, puis ajoutez tous les zéros pour déterminer l’adresse réseau résumée. 1. Quel est le récapitulatif de routage au format binaire ? ____________________________________________ 2. Quelle est l’adresse réseau du récapitulatif de routage au format décimal ?____________________________________________ Tâche 10 : détermination du récapitulatif de routage pour les réseaux locaux SE-ST1 Étape 1 : désignez le réseau local LAN1 et le réseau local LAN2 du réseau SE-ST1 au format binaire. Réseau local LAN1____________________________________________ Réseau local LAN2____________________________________________
  • 197.
    CCNA Exploration Protocoles etconcepts de routage : VLSM et CIDR Exercice 6.4.5 : récapitulatif de routage (notions avancées) Copyright sur l’intégralité du contenu © 1992 – 2007 Cisco Systems, Inc. Tous droits réservés. Ce document contient des informations publiques Cisco. Page 8 sur 10 Étape 2 : comptez le nombre de bits en correspondance les plus à gauche pour déterminer le masque du récapitulatif de routage. 1. Combien de bits en correspondance les plus à gauche sont présents dans les réseaux ?_______ 2. Quel est le masque de sous-réseau du récapitulatif de routage au format décimal ?____________________________________________ Étape 3 : copiez les bits en correspondance, puis ajoutez tous les zéros pour déterminer l’adresse réseau résumée. 1. Quel est le récapitulatif de routage au format binaire ? ____________________________________________ 2. 5. Quelle est l’adresse réseau du récapitulatif de routage au format décimal ?____________________________________________ Tâche 11 : détermination du récapitulatif de routage pour les réseaux locaux SE-ST2 Étape 1 : désignez le réseau local LAN1 et le réseau local LAN2 du réseau SE-ST2 au format binaire. Réseau local LAN1____________________________________________ Réseau local LAN2____________________________________________ Étape 2 : comptez le nombre de bits en correspondance les plus à gauche pour déterminer le masque du récapitulatif de routage. 1. Combien de bits en correspondance les plus à gauche sont présents dans les réseaux ?_______ 2. Quel est le masque de sous-réseau du récapitulatif de routage au format décimal ?____________________________________________ Étape 3 : copiez les bits en correspondance, puis ajoutez tous les zéros pour déterminer l’adresse réseau résumée. 1. Quel est le récapitulatif de routage au format binaire ? ____________________________________________ 2. Quelle est l’adresse réseau du récapitulatif de routage au format décimal ?____________________________________________ Tâche 12 : détermination du récapitulatif de routage pour la portion S-East du réseau Utilisez les réseaux indiqués ci-dessous pour déterminer un récapitulatif de routage pour la portion S-East du réseau. Étape 1 : désignez les segments du réseau S-East au format binaire. Récapitulatif de SE-BR1 ____________________________________________ Récapitulatif de SE-BR2 ____________________________________________ Récapitulatif de SE-ST1 ____________________________________________ Récapitulatif de SE-ST2 ____________________________________________
  • 198.
    CCNA Exploration Protocoles etconcepts de routage : VLSM et CIDR Exercice 6.4.5 : récapitulatif de routage (notions avancées) Copyright sur l’intégralité du contenu © 1992 – 2007 Cisco Systems, Inc. Tous droits réservés. Ce document contient des informations publiques Cisco. Page 9 sur 10 Liaison de SE-BR2 à Satellite1 ____________________________________________ Liaison de SE-BR2 à Satellite2 ____________________________________________ Liaison de S-EAST à SE-BR1 ____________________________________________ Liaison de S-EAST à SE-BR2 ____________________________________________ Étape 2 : comptez le nombre de bits en correspondance les plus à gauche pour déterminer le masque du récapitulatif de routage. 1. Combien de bits en correspondance les plus à gauche sont présents dans les réseaux ?_______ 2. Quel est le masque de sous-réseau du récapitulatif de routage au format décimal ?____________________________________________ Étape 3 : copiez les bits en correspondance, puis ajoutez tous les zéros pour déterminer l’adresse réseau résumée. 1. Quel est le récapitulatif de routage au format binaire ? ____________________________________________ 2. Quelle est l’adresse réseau du récapitulatif de routage au format décimal ?____________________________________________ Tâche 13 : détermination du récapitulatif de routage pour la portion East du réseau Utilisez les réseaux indiqués ci-dessous pour déterminer un récapitulatif de routage pour la portion East du réseau. Étape 1 : désignez les segments du réseau East au format binaire. Récapitulatif de S-EAST ____________________________________________ Récapitulatif de N-EAST ____________________________________________ Liaison de EAST à N-EAST ____________________________________________ Liaison de EAST à S-EAST ____________________________________________ Liaison de HQ à EAST ____________________________________________ Étape 2 : comptez le nombre de bits en correspondance les plus à gauche pour déterminer le masque du récapitulatif de routage. 1. Combien de bits en correspondance les plus à gauche sont présents dans les réseaux ?_______ 2. Quel est le masque de sous-réseau du récapitulatif de routage au format décimal ?____________________________________________ Étape 3 : copiez les bits en correspondance, puis ajoutez tous les zéros pour déterminer l’adresse réseau résumée. 1. Quel est le récapitulatif de routage au format binaire ? ____________________________________________ 2. Quelle est l’adresse réseau du récapitulatif de routage au format décimal ?____________________________________________
  • 199.
    CCNA Exploration Protocoles etconcepts de routage : VLSM et CIDR Exercice 6.4.5 : récapitulatif de routage (notions avancées) Copyright sur l’intégralité du contenu © 1992 – 2007 Cisco Systems, Inc. Tous droits réservés. Ce document contient des informations publiques Cisco. Page 10 sur 10 Tâche 14 : détermination du récapitulatif de routage pour l’ensemble du réseau Utilisez les réseaux indiqués ci-dessous pour déterminer un récapitulatif de routage pour l’ensemble du réseau. Étape 1 : désignez les récapitulatifs de routage pour les réseaux East, West et Central au format binaire. Récapitulatif d’EAST ____________________________________________ Récapitulatif de WEST ____________________________________________ Récapitulatif de CENTRAL ____________________________________________ Étape 2 : comptez le nombre de bits en correspondance les plus à gauche pour déterminer le masque du récapitulatif de routage. 1. Combien de bits en correspondance les plus à gauche sont présents dans les réseaux ?_______ 2. Quel est le masque de sous-réseau du récapitulatif de routage au format décimal ?____________________________________________ Étape 3 : copiez les bits en correspondance, puis ajoutez tous les zéros pour déterminer l’adresse réseau résumée. 1. Quel est le récapitulatif de routage au format binaire ? ____________________________________________ 2. 5. Quelle est l’adresse réseau du récapitulatif de routage au format décimal ?____________________________________________
  • 200.
    Copyright sur l’intégralitédu contenu © 1992 – 2007 Cisco Systems, Inc. Tous droits réservés. Ce document contient des informations publiques Cisco. Page 1 sur 3 Exercice 6.4.6 : dépannage du récapitulatif de routage Diagramme de topologie Table d’adressage Routeur Résumé du routage Adresse réseau HQ LAN de WEST 172.16.52.0/21 HQ LAN de EAST 172.16.56.0/23 WEST LAN de HQ 172.16.32.0/19 WEST LAN de EAST 172.16.58.0/23 EAST LAN de HQ 172.16.30.0/20 EAST LAN de WEST 172.16.48.0/21 ISP LAN de HQ, WEST et EAST 172.16.32.0/18
  • 201.
    CCNA Exploration Protocoles etconcepts de routage : VLSM et CIDR Exercice 6.4.6 : dépannage du récapitulatif de routage Copyright sur l’intégralité du contenu © 1992 – 2007 Cisco Systems, Inc. Tous droits réservés. Ce document contient des informations publiques Cisco. Page 2 sur 3 Objectifs pédagogiques À l’issue de cet exercice, vous serez en mesure d’effectuer les tâches suivantes :  Détecter des erreurs dans le récapitulatif de routage  Proposer des solutions pour les récapitulatifs de routage  Fournir la documentation relative aux récapitulatifs de routage corrigés Scénario Dans cet exercice, l’adressage IP du réseau local est déjà effectué pour le réseau illustré dans le diagramme de topologie. La technologie VLSM est utilisée pour définir l’espace d’adressage des sous­réseaux. Les récapitulatifs de routage présentés dans le tableau d’adressage sous le diagramme de topologie sont incorrects. Vous devez dépanner les récapitulatifs de routage attribués en identifiant la nature des erreurs et en déterminant éventuellement les récapitulatifs de routage corrects. Tâche 1 : examen des récapitulatifs de routage sur le routeur HQ Étudiez les récapitulatifs de routage du routeur HQ et répondez aux questions suivantes. 1. Quel est le récapitulatif de routage pour les réseaux LAN de WEST ? ________________________________ 2. Ce récapitulatif de routage est-il correct ? _______ 3. Si ce récapitulatif n’est pas correct, lequel le serait pour les réseaux LAN de WEST ? ________________________________ 4. Quel est le récapitulatif de routage pour les réseaux LAN d’EAST ? ________________________________ 5. Ce récapitulatif de routage est-il correct ? _______ 6. Si ce récapitulatif n’est pas correct, lequel le serait pour les réseaux LAN d’EAST ? ________________________________ Tâche 2 : examen des récapitulatifs de routage sur le routeur WEST Étudiez les récapitulatifs de routage du routeur WEST et répondez aux questions suivantes. 1. Quel est le récapitulatif de routage pour les réseaux LAN de HQ ? ________________________________ 2. Ce récapitulatif de routage est-il correct ? _______ 3. Si ce récapitulatif n’est pas correct, lequel le serait pour les réseaux LAN de HQ ? ________________________________ 4. Quel est le récapitulatif de routage pour les réseaux LAN d’EAST ? ________________________________ 5. Ce récapitulatif de routage est-il correct ? _______ 6. Si ce récapitulatif n’est pas correct, lequel le serait pour les réseaux LAN d’EAST ? ________________________________
  • 202.
    CCNA Exploration Protocoles etconcepts de routage : VLSM et CIDR Exercice 6.4.6 : dépannage du récapitulatif de routage Copyright sur l’intégralité du contenu © 1992 – 2007 Cisco Systems, Inc. Tous droits réservés. Ce document contient des informations publiques Cisco. Page 3 sur 3 Tâche 3 : examen des récapitulatifs de routage sur le routeur EAST Étudiez les récapitulatifs de routage du routeur EAST et répondez aux questions suivantes. 1. Quel est le récapitulatif de routage pour les réseaux LAN de WEST ? ________________________________ 2. Ce récapitulatif de routage est-il correct ? _______ 3. Si ce récapitulatif n’est pas correct, lequel le serait pour les réseaux LAN de WEST ? ________________________________ 4. Quel est le récapitulatif de routage pour les réseaux LAN de HQ ? ________________________________ 5. Ce récapitulatif de routage est-il correct ? _______ 6. Si ce récapitulatif n’est pas correct, lequel le serait pour les réseaux LAN de HQ ? ________________________________ Tâche 4 : examen des récapitulatifs de routage sur le routeur ISP Étudiez les récapitulatifs de routage du routeur ISP et répondez aux questions suivantes. 1. Quel est le récapitulatif de routage pour les réseaux LAN de HQ, WEST et EAST ? ________________________________ 2. Ce récapitulatif de routage est-il correct ? _______ 3. Si ce récapitulatif n’est pas correct, lequel le serait pour les réseaux LAN de HQ, WEST et EAST ? ________________________________ Tâche 5 : documentation sur les récapitulatifs de routage corrigés Notez les informations sur les récapitulatifs de routage corrigés dans le tableau d’adressage ci-dessous. Routeur Résumé du routage Adresse réseau HQ LAN de WEST HQ LAN de EAST WEST LAN de HQ WEST LAN de EAST EAST LAN de HQ EAST LAN de WEST ISP LAN de HQ, WEST et EAST
  • 203.
    6.5.1 : exerciced’intégration des compétences Packet Tracer Diagramme de topologie Copyright sur l'intégralité du contenu © 1992–2007 Cisco Systems, Inc. Tous droits réservés. Ce document contient des informations publiques Cisco. Page 1 sur 7
  • 204.
    CCNA Exploration Protocoles etconcepts de routage : VLSM et CIDR 6.5.1 : exercice d’intégration des compétences Packet Tracer Table d’adressage pour R1 Périphérique Interface Adresse IP Masque de sous-réseau S0/0/0 S0/0/1 S0/1/0 R1 S0/1/1 209.165.201.2 255.255.255.252 Fa0/0 Fa0/1 Fa1/0 Fa1/1 B1-R1 S0/0/0 Fa0/0 Fa0/1 Fa1/0 Fa1/1 B2-R1 S0/0/0 Fa0/0 Fa0/1 Fa1/0 Fa1/1 B3-R1 S0/0/0 S0/0/0 209.165.201.1 255.255.255.252 S0/0/1 209.165.201.5 255.255.255.252ISP-R1 Fa0/0 209.165.200.225 255.255.255.252 Web Server 1 Carte réseau 209.165.200.226 255.255.255.252 Copyright sur l'intégralité du contenu © 1992–2007 Cisco Systems, Inc. Tous droits réservés. Ce document contient des informations publiques Cisco. Page 2 sur 7
  • 205.
    CCNA Exploration Protocoles etconcepts de routage : VLSM et CIDR 6.5.1 : Exercice d’intégration des compétences Packet Tracer Table d’adressage pour R2 Périphérique Interface Adresse IP Masque de sous- réseau S0/0/0 S0/0/1 S0/1/0 R2 S0/1/1 209.165.201.10 255.255.255.252 Fa0/0 Fa0/1 Fa1/0 Fa1/1 B1-R2 S0/0/0 Fa0/0 Fa0/1 Fa1/0 Fa1/1 B2-R2 S0/0/0 Fa0/0 Fa0/1 Fa1/0 Fa1/1 B3-R2 S0/0/0 S0/0/0 209.165.201.6 255.255.255.252 S0/0/1 209.165.201.9 255.255.255.252ISP-R2 Fa0/0 209.165.200.229 255.255.255.252 Web Server 2 Carte réseau 209.165.200.230 255.255.255.252 Objectifs • Concevoir et documenter un schéma d’adressage en fonction de conditions requises • Appliquer une configuration de base aux périphériques • Configurer le routage statique entre les routeurs ISP • Configurer le routage RIPv2 dans Region 1 (commandes fournies) et le routage statique dans Region 2 • Désactiver les mises à jour RIP sur les interfaces appropriées • Configurer les routes par défaut et redistribuer via le protocole RIP • Vérifier la connectivité entre tous les périphériques de la topologie Copyright sur l'intégralité du contenu © 1992–2007 Cisco Systems, Inc. Tous droits réservés. Ce document contient des informations publiques Cisco. Page 3 sur 7
  • 206.
    CCNA Exploration Protocoles etconcepts de routage : VLSM et CIDR 6.5.1 : Exercice d’intégration des compétences Packet Tracer Tâche 1 : conception et documentation d’un schéma d’adressage Étape 1 : conception d’un schéma d’adressage À l’aide de la topologie et des spécifications suivantes, concevez un schéma d'adressage : • Les liaisons WAN entre R1 et R2 et leurs routeurs ISP respectifs sont déjà configurées. En outre, les liaisons entre les FAI et les serveurs Web sont déjà configurées. • L’espace d’adressage de Region 1 est 10.1.0.0/16. Chaque routeur de branche (B1-R1, B2-R1 et B3-R1) doit se voir affecter un espace d’adressage en fonction des spécifications suivantes. Affectez un espace d'adressage à chaque routeur en commençant par le besoin le plus important : B1-R1 a besoin d’un espace d’adressage pour 32 000 hôtes ___________ B2-R1 a besoin d’un espace d’adressage pour 16 000 hôtes ___________ B3-R1 a besoin d’un espace d’adressage pour 8 000 hôtes ____________ • Divisez l’espace d’adressage de chaque routeur de branche en quatre sous-réseaux égaux. Indiquez les sous-réseaux dans le tableau ci-dessous. Routeur Numéro du sous-réseau Adresse de sous-réseau B1-R1 Fa0/0 0 B1-R1 Fa0/1 1 B1-R1 Fa1/0 2 B1-R1 Fa1/1 3 Routeur Numéro du sous-réseau Adresse de sous-réseau B2-R1 Fa0/0 0 B2-R1 Fa0/1 1 B2-R1 Fa1/0 2 B2-R1 Fa1/1 3 Routeur Numéro du sous-réseau Adresse de sous-réseau B3-R1 Fa0/0 0 B3-R1 Fa0/1 1 B3-R1 Fa1/0 2 B3-R1 Fa1/1 3 • Pour les réseaux WAN de Region 1, subdivisez l’espace d’adressage 10.1.255.240/28. Indiquez les sous-réseaux dans le tableau ci-dessous. Copyright sur l'intégralité du contenu © 1992–2007 Cisco Systems, Inc. Tous droits réservés. Ce document contient des informations publiques Cisco. Page 4 sur 7
  • 207.
    CCNA Exploration Protocoles etconcepts de routage : VLSM et CIDR 6.5.1 : Exercice d’intégration des compétences Packet Tracer Routeur Numéro du sous-réseau Adresse de sous-réseau B1-R1 <--> R1 0 B2-R1 <--> R1 1 B3-R1 <--> R1 2 • L’espace d’adressage de Region 2 est 172.20.0.0/16. Chaque routeur de branche (B1-R2, B2-R2 et B3-R2) doit se voir affecter un espace d’adressage en fonction des spécifications suivantes. Affectez un espace d'adressage à chaque routeur en commençant par le besoin le plus important : B1-R2 a besoin d’un espace d’adressage pour 4 000 hôtes ___________ B2-R2 a besoin d’un espace d’adressage pour 2 000 hôtes ___________ B3-R2 a besoin d’un espace d’adressage pour 1 000 hôtes ___________ • Divisez l’espace d’adressage de chaque routeur de branche en quatre sous-réseaux égaux. Indiquez les sous-réseaux dans le tableau ci-dessous. Routeur Numéro du sous-réseau Adresse de sous-réseau B1-R2 Fa0/0 0 B1-R2 Fa0/1 1 B1-R2 Fa1/0 2 B1-R2 Fa1/1 3 Routeur Numéro du sous-réseau Adresse de sous-réseau B2-R2 Fa0/0 0 B2-R2 Fa0/1 1 B2-R2 Fa1/0 2 B2-R2 Fa1/1 3 Routeur Numéro du sous-réseau Adresse de sous-réseau B3-R2 Fa0/0 0 B3-R2 Fa0/1 1 B3-R2 Fa1/0 2 B3-R2 Fa1/1 3 • Pour les réseaux WAN de Region 2, subdivisez l’espace d’adressage 172.20.255.240/28. Indiquez les sous-réseaux dans le tableau ci-dessous. Copyright sur l'intégralité du contenu © 1992–2007 Cisco Systems, Inc. Tous droits réservés. Ce document contient des informations publiques Cisco. Page 5 sur 7
  • 208.
    CCNA Exploration Protocoles etconcepts de routage : VLSM et CIDR 6.5.1 : Exercice d’intégration des compétences Packet Tracer Routeur Numéro du sous-réseau Adresse de sous-réseau B1-R2 <--> R2 0 B2-R2 <--> R2 1 B3-R2 <--> R2 2 Étape 2 : documentation du schéma d’adressage • Facultatif : étiquetez chaque sous-réseau dans la topologie. Pour gagner de l’espace, utilisez uniquement les deux derniers octets, car eux seuls changent. • Documentez les adresses IP et les masques de sous-réseau à l’aide du tableau fourni dans les instructions papier. Affectez la première adresse IP à l’interface du routeur. • Pour les liaisons WAN, affectez la première adresse IP à R1 et R2 pour les liaisons aux routeurs B1, B2 et B3 respectifs de chaque routeur. Tâche 3 : application d’une configuration de base À l’aide de votre documentation, procédez à la configuration de base des routeurs, y compris l’adressage. Utilisez cisco comme mot de passe de ligne et class comme mot de passe secret. Utilisez la fréquence d’horloge 64 000. Tâche 4 : configuration du routage statique entre les routeurs ISP Chaque routeur ISP a déjà deux routes statiques vers les réseaux WAN directement connectés de l'autre routeur ISP. Implémentez un routage statique sur chaque routeur ISP pour vérifier la connectivité entre les deux régions. Tâche 5 : configuration du routage RIPv1 dans Region 1 et du routage statique dans Region 2 Étape 1 : configuration du routage RIPv2 dans Region 1 Configurez tous les routeurs de Region 1 (R1, B1-R1, B2-R1 et B3-R1) avec le protocole RIP comme protocole de routage dynamique. Afin de tirer le meilleur parti de l’implémentation de votre conception VLSM dans un environnement de routage dynamique, ajoutez les deux commandes suivantes à vos configurations RIP : Router(config-router)#version 2 Router(config-router)#no auto-summary La commande version 2 active le protocole RIPv2 qui inclut l'envoi d'informations sur les masques de sous-réseau dans les mises à jour de routage. Tout comme le protocole RIPv1, RIPv2 récapitule par défaut les mises à jour aux frontières de par classe. La commande no auto-summary désactive la fonction de récapitulatif automatique. Ces deux commandes seront expliquées plus en détail dans le chapitre suivant. Étape 2 : configuration du routage statique dans Region 2 Region 2 n’utilise pas de protocole de routage dynamique. Configurez sur les routeurs les routes statiques et par défaut nécessaires pour assurer une connectivité complète de bout en bout. • R2 doit avoir trois routes statiques et une route par défaut. • B1-R2, B2-R2 et B3-R2 doivent avoir une route par défaut chacun. Copyright sur l'intégralité du contenu © 1992–2007 Cisco Systems, Inc. Tous droits réservés. Ce document contient des informations publiques Cisco. Page 6 sur 7
  • 209.
    CCNA Exploration Protocoles etconcepts de routage : VLSM et CIDR 6.5.1 : Exercice d’intégration des compétences Packet Tracer Copyright sur l'intégralité du contenu © 1992–2007 Cisco Systems, Inc. Tous droits réservés. Ce document contient des informations publiques Cisco. Page 7 sur 7 Tâche 6 : désactivation des mises à jour RIP sur les interfaces appropriées Toutes les interfaces de routeur ne doivent pas envoyer de mises à jour RIP. Désactivez les mises à jour RIP sur les interfaces appropriées. Tâche 7 : configuration des routes par défaut et redistribution via le protocole RIP Dans Region 1, déterminez quel routeur nécessite une route par défaut. Configurez ensuite le routeur pour qu'il redistribue la route par défaut aux autres routeurs de la région. Tâche 8 : vérification de la connectivité entre tous les périphériques de la topologie Étape 1 : test de la connectivité • La connectivité de bout en bout doit maintenant être établie. Utilisez une requête ping pour tester la connectivité sur le réseau. Chaque routeur doit pouvoir envoyer une requête ping à toutes les autres interfaces de routeur et aux deux serveurs Web. • Corrigez les éventuels problèmes jusqu’à ce que les requêtes ping fonctionnent. Étape 2 : examen de la configuration Utilisez les commandes de vérification pour vérifier que vos configurations sont complètes.
  • 210.
    Copyright sur l’intégralitédu contenu © 1992 – 2007 Cisco Systems, Inc. Tous droits réservés. Ce document contient des informations publiques Cisco. Page 1 sur 12 Travaux pratiques 7.5.1 : configuration de base de RIPv2 Diagramme de topologie Table d’adressage Périphérique Interface Adresse IP Masque de sous-réseau Passerelle par défaut R1 Fa0/0 172.30.1.1 255.255.255.0 s/o Fa0/1 172.30.2.1 255.255.255.0 s/o S0/0/0 209.165.200.230 255.255.255.252 s/o R2 Fa0/0 10.1.0.1 255.255.0.0 s/o S0/0/0 209.165.200.229 255.255.255.252 s/o S0/0/1 209.165.200.233 255.255.255.252 s/o R3 Fa0/0 172.30.100.1 255.255.255.0 s/o S0/0/1 209.165.200.234 255.255.255.252 s/o Lo0 172.30.110.1 255.255.255.0 s/o Lo1 172.30.200.17 255.255.255.240 s/o Lo2 172.30.200.33 255.255.255.240 s/o PC1 Carte réseau 172.30.1.10 255.255.255.0 172.30.2.1 PC2 Carte réseau 172.30.2.10 255.255.255.0 172.30.1.1 PC3 Carte réseau 10.1.0.10 255.255.0.0 10.1.0.1 PC4 Carte réseau 172.30.100.10 255.255.255.0 172.30.100.1
  • 211.
    CCNA Exploration Protocoles etconcepts de routage : RIPv2 Travaux pratiques 7.5.1 : configuration de base de RIPv2 Copyright sur l’intégralité du contenu © 1992 – 2007 Cisco Systems, Inc. Tous droits réservés. Ce document contient des informations publiques Cisco. Page 2 sur 12 Objectifs pédagogiques À l’issue de ces travaux pratiques, vous serez en mesure d’effectuer les tâches suivantes :  Câbler un réseau conformément au diagramme de topologie  Charger les scripts fournis sur les routeurs  Examiner l'état actuel du réseau  Configurer le protocole RIPv2 sur tous les routeurs  Examiner le récapitulatif automatique des routes  Examiner les mises à jours de routage avec la commande debug ip rip  Désactiver les récapitulatifs automatiques  Examiner les tables de routage  Vérifier la connectivité du réseau  Documenter la configuration du protocole RIPv2 Scénario Le réseau affiché dans le diagramme de topologie contient un réseau non contigu 172.30.0.0. Ce réseau a été divisé en sous-réseaux à l'aide de VLSM. Les sous-réseaux 172.30.0.0 sont divisés physiquement et logiquement en au moins un autre réseau principal ou réseau par classe. Ici, il s'agit de deux réseaux série 209.165.200.228/30 et 209.165.200.232/30. Cette méthode peut poser un problème si le protocole de routage utilisé ne contient pas suffisamment d'informations permettant de distinguer les différents sous-réseaux. Le protocole RIPv2 est un protocole de routage sans classe qui permet d'envoyer les informations de masque de sous-réseau dans les mises à jour de routage. Il est ainsi possible de diffuser les informations de sous-réseau VLSM sur l'ensemble du réseau. Tâche 1 : installation, suppression et rechargement des routeurs Étape 1 : installation d’un réseau Installation d’un réseau similaire à celui du diagramme de topologie. Étape 2 : suppression de la configuration sur chaque routeur Effacez la configuration de chaque routeur à l'aide de la commande erase startup-config et rechargez-les (commande reload). Si vous êtes invité à enregistrer les modifications, répondez par no. Tâche 2 : chargement des routeurs à l’aide des scripts fournis Étape 1 : chargement des scripts suivants sur R1 ! hostname R1 ! ! ! interface FastEthernet0/0 Adresse IP 172.30.1.1 255.255.255.0 duplex auto
  • 212.
    CCNA Exploration Protocoles etconcepts de routage : RIPv2 Travaux pratiques 7.5.1 : configuration de base de RIPv2 Copyright sur l’intégralité du contenu © 1992 – 2007 Cisco Systems, Inc. Tous droits réservés. Ce document contient des informations publiques Cisco. Page 3 sur 12 speed auto no shutdown ! interface FastEthernet0/1 ip address 172.30.2.1 255.255.255.0 duplex auto speed auto no shutdown ! interface Serial0/0/0 ip address 209 165 200 230 255.255.255.252 clock rate 64000 no shutdown ! router rip passive-interface FastEthernet0/0 passive-interface FastEthernet0/1 network 172.30.0.0 network 209.165.200.0 ! line con 0 line vty 0 4 login ! end Étape 2 : chargement des scripts suivants sur R2 hostname R2 ! ! ! interface FastEthernet0/0 ip address 10.1.0.1 255.255.0.0 duplex auto speed auto no shutdown ! interface Serial0/0/0 ip address 209 165 200 229 255.255.255.252 no shutdown ! interface Serial0/0/1 ip address 209 165 200 233 255.255.255.252 clock rate 64000 no shutdown ! router rip passive-interface FastEthernet0/0 network 10.0.0.0 network 209.165.200.0 ! line con 0 line vty 0 4 login
  • 213.
    CCNA Exploration Protocoles etconcepts de routage : RIPv2 Travaux pratiques 7.5.1 : configuration de base de RIPv2 Copyright sur l’intégralité du contenu © 1992 – 2007 Cisco Systems, Inc. Tous droits réservés. Ce document contient des informations publiques Cisco. Page 4 sur 12 ! end Étape 3 : chargement des scripts suivants sur R3 hostname R3 ! ! ! interface FastEthernet0/0 ip address 172.30.100.1 255.255.255.0 duplex auto speed auto no shutdown ! interface Serial0/0/1 ip address 209 165 200 234 255.255.255.252 no shutdown ! interface Loopback0 ip address 172.30.110.1 255.255.255.0 ! interface Loopback1 ip address 172.30.200.17 255.255.255.240 ! interface Loopback2 ip address 172.30.200.33 255.255.255.240 ! router rip passive-interface FastEthernet0/0 network 172.30.0.0 network 209.165.200.0 ! line con 0 line vty 0 4 login ! end Tâche 3 : examen de l'état actuel du réseau Étape 1 : vérification que les deux liaisons série sont actives La commande show ip interface brief sur R2 permet de vérifier rapidement les deux liaisons série. R2#show ip interface brief Interface IP-Address OK? Method Status Protocol FastEthernet0/0 10.1.0.1 YES manual up up FastEthernet0/1 unassigned YES manual administratively down down Serial0/0/0 209 165 200 229 YES manual up up Serial0/0/1 209.165.200.233 YES manual up up Vlan1 unassigned YES manual administratively down down
  • 214.
    CCNA Exploration Protocoles etconcepts de routage : RIPv2 Travaux pratiques 7.5.1 : configuration de base de RIPv2 Copyright sur l’intégralité du contenu © 1992 – 2007 Cisco Systems, Inc. Tous droits réservés. Ce document contient des informations publiques Cisco. Page 5 sur 12 Étape 2 : vérification de la connectivité entre R2 et les hôtes sur les réseaux locaux R1 et R3 À partir du routeur R2, combien de messages ICMP indiquent que le paquet ping envoyé à PC1 a abouti ? _______________________________________________________________________ À partir du routeur R2, combien de messages ICMP indiquent que le paquet ping envoyé à PC4 a abouti ? _______________________________________________________________________ Étape 3 : vérification de la connectivité entre les ordinateurs À partir de PC1, est-il possible d’envoyer un paquet ping à PC2 ? __________ Quel est le taux de réussite ? __________ À partir de PC1, est-il possible d’envoyer un paquet ping à PC3 ? __________ Quel est le taux de réussite ? __________ À partir de PC1, est-il possible d’envoyer un paquet ping à PC4 ? __________ Quel est le taux de réussite ? __________ À partir de PC4, est-il possible d’envoyer un paquet ping à PC2 ? __________ Quel est le taux de réussite ? __________ À partir de PC4, est-il possible d’envoyer un paquet ping à PC3 ? __________ Quel est le taux de réussite ? __________ Étape 4 : affichage de la table de routage sur R2 R1 et R2 sont des routes d’annonce vers le réseau 172.30.0.0/16 ; il y a donc deux entrées dans la table de routage R2. La table de routage R2 affiche uniquement l’adresse du réseau principal par classe de 172.30.0.0. Elle n’affiche pas les sous-réseaux utilisés sur les réseaux locaux attachés à R1 et R3. Étant donné que la mesure du routage est identique pour les deux entrées, le routeur alterne les routes utilisées lorsqu’il transfère les paquets destinés au réseau 172.30.0.0/16. R2#show ip route Output omitted 10.0.0.0/16 is subnetted, 1 subnets C 10.1.0.0 is directly connected, FastEthernet0/0 R 172.30.0.0/16 [120/1] via 209.165.200.230, 00:00:24, Serial0/0/0 [120/1] via 209.165.200.234, 00:00:15, Serial0/0/1 209.165.200.0/30 is subnetted, 2 subnets C 209 165 200 228 is directly connected, Serial0/0/0 C 209.165.200.232 is directly connected, Serial0/0/1
  • 215.
    CCNA Exploration Protocoles etconcepts de routage : RIPv2 Travaux pratiques 7.5.1 : configuration de base de RIPv2 Copyright sur l’intégralité du contenu © 1992 – 2007 Cisco Systems, Inc. Tous droits réservés. Ce document contient des informations publiques Cisco. Page 6 sur 12 Étape 5 : examen de la table de routage du routeur R1 R1 et R3 sont configurés avec des interfaces qui se trouvent sur le réseau non contigu 172.30.0.0. Les sous-réseaux 172.30.0.0 sont divisés physiquement et logiquement par au moins un autre réseau principal ou réseau par classe. Ici, il s'agit de deux réseaux série 209.165.200.228/30 et 209.165.200.232/30. Les protocoles de routage par classe de type RIPv1 résument les réseaux aux frontières du réseau principal. R1 et R3 résument tous deux les sous-réseaux 172.30.0.0/24 à 172.30.0.0/16. Étant donné que la route vers 172.30.0.0/16 est directement connectée et sachant que R1 ne possède pas de route spécifique pour les sous-réseaux 172.30.0.0 sur R3, les paquets destinés aux réseaux locaux R3 ne sont pas transférés correctement. R1#show ip route Output omitted R 172.30.0.0/8 [120/1] via 209 165 200 229, 00:00:02, Serial0/0/0 172.30.0.0/24 is subnetted, 2 subnets C 172.30.1.0 is directly connected, FastEthernet0/0 C 172.30.2.0 is directly connected, FastEthernet0/1 209.165.200.0/30 is subnetted, 2 subnets C 209 165 200 228 is directly connected, Serial0/0/0 R 209 165 200 232 [120/1] via 209 165 200 229, 00:00:02, Serial0/0/0 Étape 6 : examen de la table de routage du routeur R3 R3 affiche uniquement ses propres sous-réseaux pour le réseau 172.30.0.0 : 172.30.100/24, 172.30.110/24, 172.30.200.16/28 et 172.30.200.32/28. R3 ne dispose d’aucune route pour les sous-réseaux 172.30.0.0 sur R1. R3#show ip route Output omitted R 172.30.0.0/8 [120/1] via 209.165.200.233, 00:00:19, Serial0/0/1 172.30.0.0/16 is variably subnetted, 4 subnets, 2 masks C 172.30.100.0/24 is directly connected, FastEthernet0/0 C 172.30.110.0/24 is directly connected, Loopback0 C 172.30.200.16/28 is directly connected, Loopback1 C 172.30.200.32/28 is directly connected, Loopback2 209.165.200.0/30 is subnetted, 2 subnets R 209.165.200.228 [120/1] via 209.165.200.233, 00:00:19, Serial0/0/1 C 209.165.200.232 is directly connected, Serial0/0/1 Étape 7 : examen des paquets RIPv1 qui sont reçus par R2 Utilisez la commande debug ip rip pour afficher les mises à jour de routage RIP. R2 reçoit la route 172.30.0.0, avec 1 saut, de R1 et de R3. Comme les mesures de coût sont égales, les deux routes sont ajoutées à la table de routage R2. Étant donné que RIPv1 est un protocole de routage par classe, les informations de masques de sous-réseau ne sont pas transmises dans la mise à jour. R2#debug ip rip RIP protocol debugging is on RIP: received v1 update from 209 165 200 234 on Serial0/0/1
  • 216.
    CCNA Exploration Protocoles etconcepts de routage : RIPv2 Travaux pratiques 7.5.1 : configuration de base de RIPv2 Copyright sur l’intégralité du contenu © 1992 – 2007 Cisco Systems, Inc. Tous droits réservés. Ce document contient des informations publiques Cisco. Page 7 sur 12 172.30.0.0 in 1 hops RIP: received v1 update from 209.165.200.230 on Serial0/0/0 172.30.0.0 in 1 hops R2 envoie uniquement les routes pour le réseau local 10.0.0.0 et les deux connexions série vers R1 et R3. R1 et R3 ne reçoivent aucune informations sur les routes du sous-réseau 172.30.0.0. RIP: sending v1 update to 255.255.255.255 via Serial0/0/1 (209 165 200 233) RIP: build update entries network 10.0.0.0 metric 1 network 209 165 200 228 metric 1 RIP: sending v1 update to 255.255.255.255 via Serial0/0/0 (209.165.200.229) RIP: build update entries network 10.0.0.0 metric 1 network 209.165.200.232 metric 1 Lorsque vous avez terminé, désactivez le débogage. R2#undebug all Tâche 4 : configuration du protocole RIP version 2 Étape 1 : utilisation de la commande version 2 pour activer la version 2 du RIP sur chaque routeur R2(config)#router rip R2(config-router)#version 2 R1(config)#router rip R1(config-router)#version 2 R3(config)#router rip R3(config-router)#version 2 Les messages RIPv2 ajoutent le masque de sous-réseau dans un champ des mises à jour de routage. De cette manière, les sous-réseaux et leurs masques sont ajoutés aux mises à jour de routage. Cependant, de même que pour RIPv1, RIPv2 résume par défaut les réseaux aux frontières du réseau principal, à ceci près que le masque de sous-réseau est inclus dans la mise à jour. Étape 2 : vérification de l’exécution de RIPv2 sur les routeurs Les commandes debug ip rip, show ip protocols et show run peuvent s’utiliser pour confirmer que RIPv2 est en cours d’exécution. Le résultat de la commande show ip protocols pour R1 est affiché ci-dessous. R1#show ip protocols Routing Protocol is "rip" Sending updates every 30 seconds, next due in 7 seconds Invalid after 180 seconds, hold down 180, flushed after 240 Outgoing update filter list for all interfaces is not set Incoming update filter list for all interfaces is not set
  • 217.
    CCNA Exploration Protocoles etconcepts de routage : RIPv2 Travaux pratiques 7.5.1 : configuration de base de RIPv2 Copyright sur l’intégralité du contenu © 1992 – 2007 Cisco Systems, Inc. Tous droits réservés. Ce document contient des informations publiques Cisco. Page 8 sur 12 Redistributing: protocole RIP Default version control: send version 2, receive 2 Interface Send Recv Triggered RIP Key-chain FastEthernet0/0 2 2 FastEthernet0/1 2 2 Serial0/0/0 2 2 Automatic network summarization is in effect Maximum path: 4 Routing for Networks: 172.30.0.0 209.165.200.0 Passive Interface(s): FastEthernet0/0 FastEthernet0/1 Routing Information Sources: Gateway Distance Last Update 209.165.200.229 120 Distance: (default is 120) Tâche 5 : examen du récapitulatif automatique des routes Les réseaux locaux raccordés à R1 et R3 sont toujours composés de réseaux non contigus. R2 affiche toujours deux chemins de coût égal vers le réseau 172.30.0.0/16 dans la table de routage. R2 affiche toujours uniquement l’adresse du réseau principal par classe de 172.30.0.0 et n’affiche pas ses sous-réseaux. R2#show ip route Output omitted 10.0.0.0/16 is subnetted, 1 subnets C 10.1.0.0 is directly connected, FastEthernet0/0 R 172.30.0.0/16 [120/1] via 209.165.200.230, 00:00:07, Serial0/0/0 [120/1] via 209.165.200.234, 00:00:08, Serial0/0/1 209.165.200.0/30 is subnetted, 2 subnets C 209 165 200 228 is directly connected, Serial0/0/0 C 209.165.200.232 is directly connected, Serial0/0/1 R1 affiche toujours uniquement ses propres sous-réseaux pour le réseau 172.30.0.0. R1 ne dispose toujours d’aucune route pour les sous-réseaux 172.30.0.0 sur R3. R1#show ip route Output omitted R 172.30.0.0/8 [120/1] via 209 165 200 229, 00:00:09, Serial0/0/0 172.30.0.0/24 is subnetted, 2 subnets C 172.30.1.0 is directly connected, FastEthernet0/0 C 172.30.2.0 is directly connected, FastEthernet0/1 209.165.200.0/30 is subnetted, 2 subnets C 209 165 200 228 is directly connected, Serial0/0/0 R 209 165 200 232 [120/1] via 209 165 200 229, 00:00:09, Serial0/0/0
  • 218.
    CCNA Exploration Protocoles etconcepts de routage : RIPv2 Travaux pratiques 7.5.1 : configuration de base de RIPv2 Copyright sur l’intégralité du contenu © 1992 – 2007 Cisco Systems, Inc. Tous droits réservés. Ce document contient des informations publiques Cisco. Page 9 sur 12 R3 affiche toujours uniquement ses propres sous-réseaux pour le réseau 172.30.0.0. R3 ne dispose toujours d’aucune route pour les sous-réseaux 172.30.0.0 sur R1. R3#show ip route Output omitted R 172.30.0.0/8 [120/1] via 209.165.200.233, 00:00:16, Serial0/0/1 172.30.0.0/16 is variably subnetted, 4 subnets, 2 masks C 172.30.100.0/24 is directly connected, FastEthernet0/0 C 172.30.110.0/24 is directly connected, Loopback0 C 172.30.200.16/28 is directly connected, Loopback1 C 172.30.200.32/28 is directly connected, Loopback2 209.165.200.0/30 is subnetted, 2 subnets R 209.165.200.228 [120/1] via 209.165.200.233, 00:00:16, Serial0/0/1 C 209.165.200.232 is directly connected, Serial0/0/1 Utilisez le résultat de la commande debug ip rip pour répondre aux questions suivantes : Quelles sont les entrées qui figurent dans les mises à jour RIP envoyées à partir de R3 ? ___________________________________ ___________________________________ ___________________________________ ___________________________________ ___________________________________ Sur R2, quelles sont les routes qui figurent dans les mises à jour RIP reçues de R3 ? _____________________________________________ _____________________________________________ _____________________________________________ R3 n’envoie aucun sous-réseau 172.30.0.0 ; il envoie uniquement la route résumée 172.30.0.0/16, y compris le masque de sous-réseau. C’est pour cette raison que R2 et R1 ne voient pas les sous-réseaux 172.30.0.0 sur R3. Tâche 6 : désactivation du récapitulatif automatique La commande no auto-summary désactive le récapitulatif automatique dans RIPv2. Désactivez le récapitulatif automatique sur tous les routeurs. Les routeurs ne résument plus les routes aux frontières du réseau principal. R2(config)#router rip R2(config-router)#no auto-summary R1(config)#router rip R1(config-router)#no auto-summary
  • 219.
    CCNA Exploration Protocoles etconcepts de routage : RIPv2 Travaux pratiques 7.5.1 : configuration de base de RIPv2 Copyright sur l’intégralité du contenu © 1992 – 2007 Cisco Systems, Inc. Tous droits réservés. Ce document contient des informations publiques Cisco. Page 10 sur 12 R3(config)#router rip R3(config-router)#no auto-summary Les commandes show ip route et ping permettent de vérifier la désactivation du récapitulatif automatique. Tâche 7 : examen des tables de routage Les réseaux locaux connectés à R1 et R3 doivent être alors présents dans les trois tables de routage. R2#show ip route Output omitted 10.0.0.0/16 is subnetted, 1 subnets C 10.1.0.0 is directly connected, FastEthernet0/0 172.30.0.0/16 is variably subnetted, 7 subnets, 3 masks R 172.30.0.0/16 [120/1] via 209.165.200.230, 00:01:28, Serial0/0/0 [120/1] via 209.165.200.234, 00:01:56, Serial0/0/1 R 172.30.1.0/24 [120/1] via 209 165 200 230, 00:00:08, Serial0/0/0 R 172.30.2.0/24 [120/1] via 209 165 200 230, 00:00:08, Serial0/0/0 R 172.30.100.0/24 [120/1] via 209 165 200 234, 00:00:08, Serial0/0/1 R 172.30.110.0/24 [120/1] via 209 165 200 234, 00:00:08, Serial0/0/1 R 172.30.200.16/28 [120/1] via 209 165 200 234, 00:00:08, Serial0/0/1 R 172.30.200.32/28 [120/1] via 209 165 200 234, 00:00:08, Serial0/0/1 209.165.200.0/30 is subnetted, 2 subnets C 209 165 200 228 is directly connected, Serial0/0/0 C 209.165.200.232 is directly connected, Serial0/0/1 R1#show ip route Output omitted 10.0.0.0/8 is variably subnetted, 2 subnets, 2 masks R 172.30.0.0/8 [120/1] via 209 165 200 229, 00:02:13, Serial0/0/0 R 10.1.0.0/16 [120/1] via 209 165 200 229, 00:00:21, Serial0/0/0 172.30.0.0/16 is variably subnetted, 6 subnets, 2 masks C 172.30.1.0/24 is directly connected, FastEthernet0/0 C 172.30.2.0/24 is directly connected, FastEthernet0/1 R 172.30.100.0/24 [120/2] via 209.165.200.229, 00:00:21, Serial0/0/0 R 172.30.110.0/24 [120/2] via 209.165.200.229, 00:00:21, Serial0/0/0 R 172.30.200.16/28 [120/2] via 209.165.200.229, 00:00:21, Serial0/0/0 R 172.30.200.32/28 [120/2] via 209.165.200.229, 00:00:21, Serial0/0/0 209.165.200.0/30 is subnetted, 2 subnets C 209 165 200 228 is directly connected, Serial0/0/0 R 209 165 200 232 [120/1] via 209 165 200 229, 00:00:21, Serial0/0/0 R3#show ip route Output omitted 10.0.0.0/8 is variably subnetted, 2 subnets, 2 masks R 172.30.0.0/8 [120/1] via 209.165.200.233, 00:02:28, Serial0/0/1 R 10.1.0.0/16 [120/1] via 209.165.200.233, 00:00:08, Serial0/0/1 172.30.0.0/16 is variably subnetted, 6 subnets, 2 masks
  • 220.
    CCNA Exploration Protocoles etconcepts de routage : RIPv2 Travaux pratiques 7.5.1 : configuration de base de RIPv2 Copyright sur l’intégralité du contenu © 1992 – 2007 Cisco Systems, Inc. Tous droits réservés. Ce document contient des informations publiques Cisco. Page 11 sur 12 R 172.30.1.0/24 [120/2] via 209.165.200.233, 00:00:08, Serial0/0/1 R 172.30.2.0/24 [120/2] via 209.165.200.233, 00:00:08, Serial0/0/1 C 172.30.100.0/24 is directly connected, FastEthernet0/0 C 172.30.110.0/24 is directly connected, Loopback0 C 172.30.200.16/28 is directly connected, Loopback1 C 172.30.200.32/28 is directly connected, Loopback2 209.165.200.0/30 is subnetted, 2 subnets R 209.165.200.228 [120/1] via 209.165.200.233, 00:00:08, Serial0/0/1 C 209.165.200.232 is directly connected, Serial0/0/1 Utilisez le résultat de la commande debug ip rip pour répondre aux questions suivantes : Quelles sont les entrées qui figurent dans les mises à jour RIP envoyées à partir de R1 ? _____________________________________________ _____________________________________________ _____________________________________________ Sur R2, quelles sont les routes qui figurent dans les mises à jour RIP reçues de R1 ? _____________________________________________ _____________________________________________ _____________________________________________ Les masques de sous-réseau sont-ils maintenant présents dans les mises à jour de routage ? __________ Tâche 8 : vérification de la connectivité du réseau Étape 1 : vérification de la connectivité entre le routeur R2 et les ordinateurs À partir de R2, combien de messages ICMP indiquent que le paquet ping envoyé à PC1 a abouti ? _____________________________________________________ À partir de R2, combien de messages ICMP indiquent que le paquet ping envoyé à PC4 a abouti ? ______________________________________________________ Étape 2 : vérification de la connectivité entre les ordinateurs À partir de PC1, est-il possible d’envoyer un paquet ping à PC2 ? __________ Quel est le taux de réussite ? __________ À partir de PC1, est-il possible d’envoyer un paquet ping à PC3 ? __________ Quel est le taux de réussite ? __________
  • 221.
    CCNA Exploration Protocoles etconcepts de routage : RIPv2 Travaux pratiques 7.5.1 : configuration de base de RIPv2 Copyright sur l’intégralité du contenu © 1992 – 2007 Cisco Systems, Inc. Tous droits réservés. Ce document contient des informations publiques Cisco. Page 12 sur 12 À partir de PC1, est-il possible d’envoyer un paquet ping à PC4 ? __________ Quel est le taux de réussite ? __________ À partir de PC4, est-il possible d’envoyer un paquet ping à PC2 ? __________ Quel est le taux de réussite ? __________ À partir de PC4, est-il possible d’envoyer un paquet ping à PC3 ? __________ Quel est le taux de réussite ? __________ Tâche 9 : documentation Sur chaque routeur, capturez le résultat de la commande suivante dans un fichier texte (.txt) et enregistrez-le pour y faire référence par la suite.  show running-config  show ip route  show ip interface brief  show ip protocols Si vous voulez revoir les procédures de saisie des données fournies par une commande, reportez-vous aux travaux pratique 1.5.1. Tâche 10 : remise en état Effacez les configurations et rechargez les routeurs. Débranchez les câbles et stockez-les. Pour les PC hôtes normalement connectés à d’autres réseaux (comme le réseau local du centre de formation ou Internet), remettez en place les câblages adaptés et restaurez les paramètres TCP/IP.
  • 222.
    Copyright sur l’intégralitédu contenu © 1992 – 2007 Cisco Systems, Inc. Tous droits réservés. Ce document contient des informations publiques Cisco. Page 1 sur 8 Travaux pratiques 7.5.2 : travaux pratiques avancés de configuration de RIPv2 Diagramme de topologie Table d’adressage Périphérique Interface Adresse IP Masque de sous-réseau Passerelle par défaut BRANCH Fa0/0 s/o Fa0/1 s/o S0/0/0 s/o HQ Fa0/0 s/o Fa0/1 s/o S0/0/0 s/o S0/0/1 s/o ISP Fa0/0 s/o S0/0/1 s/o PC1 Carte réseau PC2 Carte réseau PC3 Carte réseau PC4 Carte réseau PC5 Carte réseau
  • 223.
    CCNA Exploration Travauxpratiques 7.5.2 : Protocoles et concepts de routage : RIPv2 travaux pratiques avancés de configuration de RIPv2 Copyright sur l’intégralité du contenu © 1992 – 2007 Cisco Systems, Inc. Tous droits réservés. Ce document contient des informations publiques Cisco. Page 2 sur 8 Objectifs pédagogiques À l’issue de ces travaux pratiques, vous serez en mesure d’effectuer les tâches suivantes :  Créer une conception VLSM efficace répondant aux critères définis  Attribuer des adresses appropriées aux interfaces et noter les adresses  Câbler un réseau conformément au diagramme de la topologie  Supprimer la configuration de démarrage et recharger un routeur en lui attribuant les paramètres par défaut  Configurer des routeurs, ainsi que le protocole RIP version 2  Configurer et propager une route statique par défaut  Vérifier le fonctionnement du protocole RIP version 2  Tester et vérifier la connectivité complète  Réfléchir à la mise en œuvre du réseau et en prendre note Scénario Dans ces travaux pratiques, vous devrez diviser une adresse réseau en sous-réseaux à l’aide du masquage de sous-réseau de longueur variable (VLSM) pour procéder à l’adressage du réseau qui est illustré dans le diagramme de la topologie. Le protocole RIP version 2 et le routage statique devront être combinés pour permettre aux hôtes de réseaux qui ne sont pas directement connectés de communiquer entre eux. Tâche 1 : subdivision de l’espace d’adressage en sous-réseaux Étape 1 : examen des besoins du réseau L’adressage du réseau doit satisfaire aux conditions suivantes :  Le réseau local ISP utilise le réseau 209.165.200.224/27.  La liaison entre ISP et HQ utilise le réseau 209.165.202.128/27.  Le réseau 192.168.40.0/24 doit être divisé en sous-réseaux à l’aide du masquage de sous-réseau de longueur variable pour toutes les autres adresses du réseau.  Le réseau local HQ LAN1 aura besoin de 50 adresses IP d’hôtes.  Le réseau local HQ LAN2 aura besoin de 50 adresses IP d’hôtes.  Le réseau local BRANCH LAN1 aura besoin de 30 adresses IP d’hôtes.  Le réseau local BRANCH LAN2 aura besoin de 12 adresses IP d’hôtes.  La liaison entre HQ et BRANCH aura besoin d’une adresse IP à chaque extrémité. (Remarque : n’oubliez pas que les interfaces des périphériques réseau sont également des adresses IP d’hôtes et qu’elles font partie des exigences susmentionnées en matière d’adressage.) Étape 2 : questions à prendre en comptre lors de la création de votre conception de réseau Combien de sous-réseaux doivent être créés à partir du réseau 192.168.40.0/24 ? __________ Quel est le nombre total d’adresses IP que le réseau 192.168.40.0/24 doit fournir ? __________ Quel masque de sous-réseau sera utilisé pour le sous-réseau HQ LAN1 ? ____________________ Quel nombre maximal d’adresses hôtes peuvent être utilisées sur ce sous-réseau ? __________ Quel masque de sous-réseau sera utilisé pour le sous-réseau HQ LAN2 ? ____________________ Quel nombre maximal d’adresses hôtes peuvent être utilisées sur ce sous-réseau ? __________
  • 224.
    CCNA Exploration Travauxpratiques 7.5.2 : Protocoles et concepts de routage : RIPv2 travaux pratiques avancés de configuration de RIPv2 Copyright sur l’intégralité du contenu © 1992 – 2007 Cisco Systems, Inc. Tous droits réservés. Ce document contient des informations publiques Cisco. Page 3 sur 8 Quel masque de sous-réseau sera utilisé pour le sous-réseau BRANCH LAN1 ? ____________________ Quel nombre maximal d’adresses hôtes peuvent être utilisées sur ce sous-réseau ? __________ Quel masque de sous-réseau sera utilisé pour le sous-réseau BRANCH LAN2 ? ____________________ Quel nombre maximal d’adresses hôtes peuvent être utilisées sur ce sous-réseau ? __________ Quel masque de sous-réseau sera utilisé pour la liaison entre les routeurs HQ et BRANCH ? ____________________ Quel nombre maximal d’adresses hôtes peuvent être utilisées sur ce sous-réseau ? __________ Étape 3 : attribution d'adresses de sous-réseau au diagramme de topologie 1. Attribuez le sous-réseau 0 du réseau 192.168.40.0 au sous-réseau HQ LAN1. Quelle est l’adresse réseau de ce sous-réseau ? ____________________ 2. Attribuez le sous-réseau 1 du réseau 192.168.40.0 au sous-réseau HQ LAN2. Quelle est l’adresse réseau de ce sous-réseau ? ____________________ 3. Attribuez le sous-réseau 2 du réseau 192.168.40.0 au sous-réseau BRANCH LAN1. Quelle est l’adresse réseau de ce sous-réseau ? ____________________ 4. Attribuez le sous-réseau 3 du réseau 192.168.40.0 au sous-réseau BRANCH LAN2. Quelle est l’adresse réseau de ce sous-réseau ? ____________________ 5. Attribuez le sous-réseau 4 du réseau 192.168.40.0 à la liaison entre les routeurs HQ et BRANCH. Quelle est l’adresse réseau de ce sous-réseau ? ____________________ Tâche 2 : définition des adresses des interfaces Étape 1 : attribution des adresses appropriées aux interfaces des périphériques 1. Attribuez la première adresse d’hôte valide du réseau 209.165.200.224/27 à l’interface LAN du routeur ISP. 2. Attribuez la dernière adresse d’hôte valide du réseau 209.165.200.224/27 au PC5. 3. Attribuez la première adresse d’hôte valide du réseau 209.165.202.128/27 à l’interface WAN du routeur ISP. 4. Attribuez la dernière adresse d’hôte valide du réseau 209.165.202.128/27 à l’interface Serial 0/0/1 du routeur HQ. 5. Attribuez la première adresse d’hôte valide du réseau HQ LAN1 à l’interface LAN1 de HQ. 6. Attribuez la dernière adresse d’hôte valide du réseau HQ LAN1 au PC3. 7. Attribuez la première adresse d’hôte valide du réseau HQ LAN2 à l’interface LAN2 de HQ. 8. Attribuez la dernière adresse d’hôte valide du réseau HQ LAN2 au PC4. 9. Attribuez la première adresse d’hôte valide de la liaison WAN entre HQ et BRANCH à l’interface Serial 0/0/0 du routeur HQ. 10. Attribuez la dernière adresse d’hôte valide de la liaison WAN entre HQ et BRANCH à l’interface Serial 0/0/0 du routeur BRANCH. 11. Attribuez la première adresse d’hôte valide du réseau BRANCH LAN1 à l’interface LAN1 du routeur HQ. 12. Attribuez la dernière adresse d’hôte valide du réseau BRANCH LAN1 au PC1.
  • 225.
    CCNA Exploration Travauxpratiques 7.5.2 : Protocoles et concepts de routage : RIPv2 travaux pratiques avancés de configuration de RIPv2 Copyright sur l’intégralité du contenu © 1992 – 2007 Cisco Systems, Inc. Tous droits réservés. Ce document contient des informations publiques Cisco. Page 4 sur 8 13. Attribuez la première adresse d’hôte valide du réseau BRANCH LAN2 à l’interface LAN2 du routeur HQ. 14. Attribuez la dernière adresse d’hôte valide du réseau BRANCH LAN2 au PC2. Étape 2 : documentation des adresses à utiliser dans le tableau fourni sous le diagramme de topologie Tâche 3 : préparation du réseau Étape 1 : câblage d’un réseau similaire à celui du diagramme de topologie Vous pouvez utiliser n’importe quel routeur existant dans vos travaux pratiques tant qu’il présente les interfaces nécessaires telles qu’elles sont illustrées dans la topologie. Remarque : si vous utilisez les routeurs 1700, 2500 ou 2600, les sorties des routeurs et les descriptions des interfaces apparaîtront différemment Étape 2 : suppression des configurations actuelles des routeurs Tâche 4 : exécution des configurations de base des routeurs Procédez à la configuration de base des routeurs BRANCH, HQ et ISP conformément à la procédure suivante : 1. Configurez le nom d’hôte du routeur. 2. Désactivez la recherche DNS. 3. Configurez un mot de passe pour le mode d’exécution. 4. Configurez une bannière du message du jour. 5. Configurez un mot de passe pour les connexions de consoles. 6. Configurez un mot de passe pour les connexions de terminaux virtuels (vty). 7. Synchronisez les messages non sollicités et la sortie de la commande debug avec la sortie sollicitée et les invites de la console et des lignes du terminal virtuel. 8. Configurez un délai d’attente de 15 minutes pour le mode d’exécution. Tâche 5 : configuration et activation d’adresses série et Ethernet Étape 1 : configuration des routeurs BRANCH, HQ et ISP Configurez les interfaces des routeurs BRANCH, HQ et ISP avec les adresses IP de la table d’adressage figurant sous le diagramme de topologie. Enregistrez ensuite la configuration active dans la mémoire vive non volatile du routeur. Étape 2 : configuration des interfaces Ethernet de PC1, PC2, PC3, PC4 et PC5 Configurez les interfaces Ethernet de PC1, PC2, PC3, PC4 et PC5 avec les adresses IP de la table d’adressage figurant sous le diagramme de topologie. Tâche 6 : vérification de la connectivité au périphérique du tronçon suivant À ce stade, il ne doit pas encore exister de connectivité entre les périphériques finaux. Toutefois, vous pouvez tester la connectivité entre deux routeurs et entre un périphérique final et sa passerelle par défaut.
  • 226.
    CCNA Exploration Travauxpratiques 7.5.2 : Protocoles et concepts de routage : RIPv2 travaux pratiques avancés de configuration de RIPv2 Copyright sur l’intégralité du contenu © 1992 – 2007 Cisco Systems, Inc. Tous droits réservés. Ce document contient des informations publiques Cisco. Page 5 sur 8 Étape 1 : vérification de la connectivité du routeur BRANCH Vérifiez que le routeur BRANCH peut envoyer une requête ping sur la liaison WAN à destination du routeur HQ et que ce dernier peut envoyer une requête ping sur la liaison WAN qu’il partage avec le routeur ISP. Étape 2 : vérification de l’aptitude de PC1, PC2, PC3, PC4 et PC5 à envoyer une requête ping à leurs passerelles respectives par défaut Tâche 7 : configuration du routage RIPv2 sur le routeur BRANCH Pensez aux réseaux qui doivent être inclus dans les mises à jour RIP envoyées par BRANCH. Quels sont les réseaux qui figurent dans la table de routage de BRANCH ? Répertoriez les réseaux comportant des barres obliques. ________________________________________ ________________________________________ ________________________________________ Quelles commandes permettent d’activer le protocole RIP version 2 et d’inclure les réseaux connectés dans les mises à jour de routage ? ________________________________________ ________________________________________ ________________________________________ ________________________________________ ________________________________________ Existe-t-il d’autres interfaces de routeur pour lesquelles il n’est pas nécessaire d’envoyer des mises à jour RIP ? _______ Quelle commande permet de désactiver les mises à jour RIP sur ces interfaces ? ________________________________________ ________________________________________ Tâche 8 : configuration de RIPv2 et du routage statique sur le routeur HQ Tenez compte du type de routage statique nécessaire sur le routeur HQ. Quels réseaux figurent dans la table de routage du routeur HQ ? Répertoriez les réseaux comportant des barres obliques. ______________________________________________________ ______________________________________________________ ______________________________________________________
  • 227.
    CCNA Exploration Travauxpratiques 7.5.2 : Protocoles et concepts de routage : RIPv2 travaux pratiques avancés de configuration de RIPv2 Copyright sur l’intégralité du contenu © 1992 – 2007 Cisco Systems, Inc. Tous droits réservés. Ce document contient des informations publiques Cisco. Page 6 sur 8 Une route statique par défaut devra être configurée pour envoyer au routeur ISP tous les paquets dont l’adresse de destination ne figure pas dans la table de routage. Quelle commande permet d’y parvenir ? Dans la commande, indiquez l’interface de sortie appropriée de HQ. ________________________________________ Quelles sont les commandes qui permettent d’activer RIP version 2 et d’inclure les réseaux LAN1 et LAN2, ainsi que la liaison entre HQ et BRANCH, dans les mises à jour de routage ? ______________________________________________________ ______________________________________________________ ______________________________________________________ ______________________________________________________ ______________________________________________________ Existe-t-il d’autres interfaces de routeur pour lesquelles il n’est pas nécessaire d’envoyer des mises à jour RIP ? _______ Quelle commande permet de désactiver les mises à jour RIP sur ces interfaces ? ______________________________________________________ ______________________________________________________ HQ doit envoyer les informations de routage par défaut à BRANCH dans les mises à jour RIP. Quelle commande est utilisée pour cette configuration ? ______________________________________________________ Tâche 9 : configuration du routage statique sur le routeur ISP Remarque : dans une mise en œuvre réelle de cette topologie, vous ne configureriez pas le routeur ISP. Toutefois, votre fournisseur de services Internet peut vous aider à résoudre vos problèmes de connectivité. Les administrateurs des fournisseurs de services sont aussi des êtres humains qui commettent des erreurs. Par conséquent, il est important de comprendre les types d’erreurs que peut commettre un fournisseur de services Internet et qui sont susceptible d’entraîner une perte de connectivité sur vos réseaux. Des routes statiques devront être configurées sur le routeur ISP pour l’ensemble du trafic à destination des adresses RFC 1918 utilisées sur les réseaux BRANCH LAN, HQ LAN et la liaison entre les routeurs BRANCH et HQ. Pour ce faire, quelles sont les commandes qui doivent être configurées sur le routeur ISP ? __________________________________________________________________________________ __________________________________________________________________________________
  • 228.
    CCNA Exploration Travauxpratiques 7.5.2 : Protocoles et concepts de routage : RIPv2 travaux pratiques avancés de configuration de RIPv2 Copyright sur l’intégralité du contenu © 1992 – 2007 Cisco Systems, Inc. Tous droits réservés. Ce document contient des informations publiques Cisco. Page 7 sur 8 Tâche 10 : vérification des configurations Répondez aux questions suivantes pour vérifier que le réseau fonctionne comme prévu : Est-il possible d’envoyer une requête ping au PC3 à partir du PC1 ? _______ Est-il possible d’envoyer une requête ping au PC5 à partir du PC1 ? _______ Est-il possible d’envoyer une requête ping au PC5 à partir du PC4 ? _______ La réponse aux questions précédentes doit être oui. Si l’une des requêtes ping ci-dessus a échoué, vérifiez vos connexions physiques et vos configurations. Reportez-vous aux techniques de dépannage de base utilisées dans les travaux pratiques du chapitre 1. Quelles sont les routes qui figurent dans la table de routage du routeur BRANCH ? ________________________________________ ________________________________________ ________________________________________ ________________________________________ ________________________________________ ________________________________________ Quelle est la passerelle de dernier recours dans la table de routage du routeur BRANCH ? ________________________________________ Quelles sont les routes qui figurent dans la table de routage du routeur HQ ? ________________________________________ ________________________________________ ________________________________________ ________________________________________ ________________________________________ ________________________________________ ________________________________________
  • 229.
    CCNA Exploration Travauxpratiques 7.5.2 : Protocoles et concepts de routage : RIPv2 travaux pratiques avancés de configuration de RIPv2 Copyright sur l’intégralité du contenu © 1992 – 2007 Cisco Systems, Inc. Tous droits réservés. Ce document contient des informations publiques Cisco. Page 8 sur 8 Quels sont les réseaux qui figurent dans la table de routage du routeur ISP ? ________________________________________ ________________________________________ ________________________________________ Quels sont les réseaux qui figurent dans les mises à jour RIP envoyées à partir du routeur HQ ? ______________________________________________ ______________________________________________ ______________________________________________ Quels sont les réseaux qui figurent dans les mises à jour RIP envoyées à partir du routeur BRANCH ? ______________________________________________ ______________________________________________ Tâche 11 : remarques générales Pourquoi est-il nécessaire d’utiliser RIPv2 plutôt que RIPv1 dans cette conception de réseau ? ______________________________________________________________________________ ______________________________________________________________________________ ______________________________________________________________________________ Tâche 12 : description des configurations de routeurs Sur chaque routeur, capturez la sortie de commande suivante dans un fichier texte (.txt) et enregistrez-la pour pouvoir la consulter ultérieurement :  Running configuration  Routing table  Interface summarization Tâche 13 : remise en état Supprimez les configurations et rechargez les routeurs. Déconnectez et rangez les câbles. Pour les hôtes PC qui sont habituellement connectés à d’autres réseaux (comme un réseau local scolaire ou Internet), reconnectez les câbles appropriés et restaurez les paramètres TCP/IP.
  • 230.
    Copyright sur l’intégralitédu contenu © 1992 – 2007 Cisco Systems, Inc. Tous droits réservés. Ce document contient des informations publiques Cisco. Page 1 sur 13 Travaux pratiques 7.5.3 : dépannage de RIPv2 Diagramme de topologie Table d’adressage Périphérique Interface Adresse IP Masque de sous-réseau Passerelle par défaut HQ Fa0/0 192.168.1.1 255.255.255.128 s/o Fa0/1 192.168.1.129 255.255.255.192 s/o S0/0/0 209.165.200.225 255.255.255.252 s/o S0/0/1 209.165.200.229 255.255.255.252 s/o BRANCH1 Fa0/0 172.16.0.1 255.255.254.0 s/o Fa0/1 172.16.2.1 255.255.254.0 s/o S0/0/0 209.165.200.226 255.255.255.252 s/o BRANCH2 Fa0/0 172.16.4.1 255.255.255.128 s/o Fa0/1 172.16.4.129 255.255.255.128 s/o S0/0/1 209.165.200.230 255.255.255.252 s/o PC1 Carte réseau 172.16.0.10 255.255.254.0 172.16.0.1 PC2 Carte réseau 172.16.2.10 255.255.254.0 172.16.2.1 PC3 Carte réseau 192.168.1.10 255.255.255.128 192.168.1.1 PC4 Carte réseau 192.168.1.138 255.255.255.192 192.168.1.129 PC5 Carte réseau 172.16.4.10 255.255.255.128 172.16.4.1 PC6 Carte réseau 172.16.4.138 255.255.255.128 172.16.4.129
  • 231.
    CCNA Exploration Protocoles etconcepts de routage : RIPv2 Travaux pratiques 7.5.3 : dépannage de RIPv2 Copyright sur l’intégralité du contenu © 1992 – 2007 Cisco Systems, Inc. Tous droits réservés. Ce document contient des informations publiques Cisco. Page 2 sur 13 Objectifs pédagogiques À l’issue de ces travaux pratiques, vous serez en mesure d’effectuer les tâches suivantes :  Câbler un réseau conformément au diagramme de la topologie  Supprimer la configuration de démarrage et recharger un routeur en lui attribuant les paramètres par défaut  Charger les routeurs avec les scripts fournis  Recueillir des informations sur la partie non convergente du réseau et sur les autres erreurs éventuelles  Analyser les informations pour déterminer les raisons de la convergence incomplète  Proposer des solutions pour résoudre les erreurs de réseau  Mettre en place des solutions pour résoudre les erreurs de réseau  Documenter le réseau corrigé Scénario Dans ces travaux pratiques, vous commencerez par charger des scripts de configuration sur chacun des routeurs. Ces scripts contiennent des erreurs qui empêcheront une communication de bout en bout sur le réseau. Vous devrez dépanner chaque routeur pour déterminer les erreurs de configuration, puis utiliser les commandes appropriées afin de corriger les configurations. Une fois que vous aurez corrigé toutes les erreurs de configuration, tous les hôtes du réseau devraient pouvoir communiquer les uns avec les autres. Par ailleurs, le réseau doit satisfaire aux conditions suivantes :  Le routage RIPv2 est configuré sur le routeur BRANCH1.  Le routage RIPv2 est configuré sur le routeur BRANCH2.  Le routage RIPv2 est configuré sur le routeur HQ.  Les mises à jour RIP doivent être désactivées sur les interfaces LAN de BRANCH1, BRANCH2 et HQ. Tâche 1 : câblage, suppression et rechargement des routeurs Étape 1 : câblage d’un réseau Câblez un réseau similaire à celui du diagramme de la topologie. Étape 2 : suppression de la configuration sur chaque routeur Supprimez la configuration sur chaque routeur à l’aide de la commande erase startup-config, puis rechargez les routeurs à l’aide de la commande reload. Répondez non si une fenêtre vous demande d’enregistrer les modifications. Tâche 2 : chargement des routeurs avec les scripts fournis Étape 1 : chargement du script suivant sur le routeur BRANCH1 : hostname BRANCH1 ! interface FastEthernet0/0 ip address 172.16.0.1 255.255.254.0 duplex auto speed auto
  • 232.
    CCNA Exploration Protocoles etconcepts de routage : RIPv2 Travaux pratiques 7.5.3 : dépannage de RIPv2 Copyright sur l’intégralité du contenu © 1992 – 2007 Cisco Systems, Inc. Tous droits réservés. Ce document contient des informations publiques Cisco. Page 3 sur 13 no shutdown ! interface FastEthernet0/1 ip address 172.16.2.1 255.255.254.0 duplex auto speed auto no shutdown ! interface Serial0/0/0 ip address 209.165.200.226 255.255.255.252 clock rate 64000 no shutdown ! router rip passive-interface FastEthernet0/0 passive-interface FastEthernet0/1 network 172.16.0.0 network 209.165.200.0 ! ip classless ! line con 0 line vty 0 4 login ! end Étape 2 : chargement du script suivant sur le routeur BRANCH2 hostname BRANCH2 ! interface FastEthernet0/0 ip address 172.16.4.129 255.255.255.128 duplex auto speed auto no shutdown ! interface FastEthernet0/1 ip address 172.16.4.1 255.255.255.128 duplex auto speed auto no shutdown ! interface Serial0/0/1 ip address 209.165.200.230 255.255.255.252 no shutdown ! router rip version 2 passive-interface FastEthernet0/0 passive-interface FastEthernet0/1 network 209.165.200.0 ! ip classless ! line con 0
  • 233.
    CCNA Exploration Protocoles etconcepts de routage : RIPv2 Travaux pratiques 7.5.3 : dépannage de RIPv2 Copyright sur l’intégralité du contenu © 1992 – 2007 Cisco Systems, Inc. Tous droits réservés. Ce document contient des informations publiques Cisco. Page 4 sur 13 line vty 0 4 login ! end Étape 3 : chargement du script suivant sur le routeur HQ hostname HQ ! interface FastEthernet0/0 ip address 192.168.1.1 255.255.255.128 duplex auto speed auto no shutdown ! interface FastEthernet0/1 ip address 192.168.1.129 255.255.255.192 duplex auto speed auto no shutdown ! interface Serial0/0/0 ip address 209.165.200.225 255.255.255.252 no shutdown ! interface Serial0/0/1 ip address 209.165.200.229 255.255.255.252 clock rate 64000 no shutdown ! router rip version 2 passive-interface FastEthernet0/0 passive-interface FastEthernet0/1 network 192.168.1.0 network 209.165.200.0 ! ip classless ! line con 0 line vty 0 4 login ! end Tâche 3 : dépannage du routeur BRANCH1 Étape 1 : dépannage préalable de l’hôte connecté au routeur BRANCH1 Est-il possible d’envoyer une requête ping au PC2 à partir du PC1 hôte ? _______ Est-il possible d’envoyer une requête ping au PC3 à partir du PC1 hôte ? _________ Est-il possible d’envoyer une requête ping au PC5 à partir du PC1 hôte ? _________ Est-il possible d’envoyer une requête ping à la passerelle par défaut à partir du PC1 hôte ? _______
  • 234.
    CCNA Exploration Protocoles etconcepts de routage : RIPv2 Travaux pratiques 7.5.3 : dépannage de RIPv2 Copyright sur l’intégralité du contenu © 1992 – 2007 Cisco Systems, Inc. Tous droits réservés. Ce document contient des informations publiques Cisco. Page 5 sur 13 Étape 2 : examen du routeur BRANCH1 à la recherche d’éventuelles erreurs de configuration Commencez par consulter le résumé des informations d’état relatives à chaque interface du routeur. La configuration des interfaces présente-t-elle des problèmes ? ____________________________________________________________________________________ ____________________________________________________________________________________ ____________________________________________________________________________________ Si la configuration des interfaces présente des problèmes, enregistrez les commandes qui permettront de corriger ces erreurs. ____________________________________________________________________________________ ____________________________________________________________________________________ ____________________________________________________________________________________ Étape 3 : si les commandes ci-dessus ont été enregistrées, les appliquer maintenant à la configuration du routeur Étape 4 : affichage du résumé des informations d’état Si la configuration a été modifiée à l’étape précédente, consultez de nouveau le résumé des informations d'état relatives aux interfaces du routeur. Les informations du résumé de l’état des interfaces indiquent-elles la présence d’erreurs de configuration ? _________ Si la réponse est oui, dépannez de nouveau l’état des interfaces. Étape 5 : dépannage de la configuration du routage sur le routeur BRANCH1 Quels réseaux et routes figurent dans la table de routage ? ____________________________________________________________________________________ ____________________________________________________________________________________ ____________________________________________________________________________________ ____________________________________________________________________________________ ____________________________________________________________________________________ ____________________________________________________________________________________ ____________________________________________________________________________________ La table de routage présente-t-elle des problèmes ? ____________________________________________________________________________________ ____________________________________________________________________________________ ____________________________________________________________________________________
  • 235.
    CCNA Exploration Protocoles etconcepts de routage : RIPv2 Travaux pratiques 7.5.3 : dépannage de RIPv2 Copyright sur l’intégralité du contenu © 1992 – 2007 Cisco Systems, Inc. Tous droits réservés. Ce document contient des informations publiques Cisco. Page 6 sur 13 Si vous décelez des problèmes de configuration du routage, notez les commandes qui permettront de corriger les erreurs de configuration. ____________________________________________________________________________________ ____________________________________________________________________________________ ____________________________________________________________________________________ Parmi les problèmes que présente la table de routage, certains d’entre eux pourraient-ils provenir d’erreurs affectant d’autres parties du réseau ? ____________________________________________________________________________________ ____________________________________________________________________________________ ____________________________________________________________________________________ ____________________________________________________________________________________ Quels réseaux sont inclus dans les mises à jour RIP envoyées à partir du routeur BRANCH1 ? ____________________________________________________________________________________ ____________________________________________________________________________________ ____________________________________________________________________________________ Les mises à jour RIP envoyées à partir du routeur présentent-elles des problèmes ? ____________________________________________________________________________________ ____________________________________________________________________________________ ____________________________________________________________________________________ Si vous décelez d’autres problèmes liés à la configuration RIP, notez les commandes qui permettront de corriger ces erreurs. ____________________________________________________________________________________ ____________________________________________________________________________________ ____________________________________________________________________________________ Étape 6 : si les commandes ci-dessus ont été enregistrées, les appliquer à la configuration du routeur maintenant Étape 7 : consultation des informations de routage Si la configuration a été modifiée au cours des étapes précédentes, consultez de nouveau les informations de routage. Les informations de la table de routage indiquent-elles la présence d’erreurs de configuration ? _________ Les informations des mises à jour RIP indiquent-elles la présence d’erreurs de configuration ? _________ Si la réponse à l’une de ces questions est oui, dépannez de nouveau la configuration du routage.
  • 236.
    CCNA Exploration Protocoles etconcepts de routage : RIPv2 Travaux pratiques 7.5.3 : dépannage de RIPv2 Copyright sur l’intégralité du contenu © 1992 – 2007 Cisco Systems, Inc. Tous droits réservés. Ce document contient des informations publiques Cisco. Page 7 sur 13 Quels réseaux et routes figurent dans la table de routage ? ____________________________________________________________________________________ ____________________________________________________________________________________ ____________________________________________________________________________________ ____________________________________________________________________________________ ____________________________________________________________________________________ ____________________________________________________________________________________ Étape 8 : nouvelle tentative de liaison ping entre les hôtes Est-il possible d’envoyer une requête ping au PC3 à partir du PC1 hôte ? _______ Est-il possible d’envoyer une requête ping au PC4 à partir de l’hôte PC1 ? _______ Est-il possible d’envoyer une requête ping à l’interface Serial 0/0/1 du routeur HQ à partir du PC1 hôte ? _______ Tâche 4 : dépannage du routeur HQ Étape 1 : dépannage préalable de l’hôte PC3 Est-il possible d’envoyer une requête ping au PC1 à partir du PC3 hôte ? _______ Est-il possible d’envoyer une requête ping au PC5 à partir du PC3 hôte ? _________ Est-il possible d’envoyer une requête ping à la passerelle par défaut à partir du PC3 hôte ? _______ Étape 2 : examen du routeur HQ à la recherche d’éventuelles erreurs de configuration Commencez par consulter le résumé des informations d’état relatives à chaque interface du routeur. La configuration des interfaces présente-t-elle des problèmes ? ____________________________________________________________________________________ ___________________________________________________________________________________ Si la configuration des interfaces présente des problèmes, enregistrez les commandes qui permettront de corriger ces erreurs. ___________________________________________________________________________ ___________________________________________________________________________ ___________________________________________________________________________ Étape 3 : di les commandes ci-dessus ont été enregistrées, les appliquer maintenant à la configuration du routeur
  • 237.
    CCNA Exploration Protocoles etconcepts de routage : RIPv2 Travaux pratiques 7.5.3 : dépannage de RIPv2 Copyright sur l’intégralité du contenu © 1992 – 2007 Cisco Systems, Inc. Tous droits réservés. Ce document contient des informations publiques Cisco. Page 8 sur 13 Étape 4 : dépannage de la configuration du routage sur le routeur BRANCH2 Quels réseaux et routes figurent dans la table de routage ? ___________________________________________________________________________________ ___________________________________________________________________________________ ___________________________________________________________________________________ ___________________________________________________________________________________ ___________________________________________________________________________________ ___________________________________________________________________________________ ___________________________________________________________________________________ La table de routage présente-t-elle des problèmes ? ___________________________________________________________________________________ ____________________________________________________________________________________ ____________________________________________________________________________________ Si vous décelez des problèmes dans la table de routage, notez les commandes qui permettront de corriger les erreurs de configuration. ___________________________________________________________________________________ ___________________________________________________________________________________ ___________________________________________________________________________________ Quels sont les réseaux qui sont inclus dans les mises à jour RIP ? ___________________________________________________________________________________ ___________________________________________________________________________________ ___________________________________________________________________________________ Est-ce que les mises à jour RIP envoyées à partir du routeur HQ présentent des problèmes ? ___________________________________________________________________________________ ____________________________________________________________________________________ Si vous décelez des problèmes de configuration RIP, notez les commandes qui permettront de corriger ces erreurs. ____________________________________________________________________________________ ____________________________________________________________________________________ ____________________________________________________________________________________
  • 238.
    CCNA Exploration Protocoles etconcepts de routage : RIPv2 Travaux pratiques 7.5.3 : dépannage de RIPv2 Copyright sur l’intégralité du contenu © 1992 – 2007 Cisco Systems, Inc. Tous droits réservés. Ce document contient des informations publiques Cisco. Page 9 sur 13 Étape 5 : si les commandes ci-dessus ont été enregistrées, les appliquer maintenant à la configuration du routeur Étape 6 : consultation des informations de routage Si la configuration a été modifiée au cours des étapes précédentes, consultez de nouveau les informations de routage. Les informations de la table de routage indiquent-elles la présence d’erreurs de configuration sur le routeur HQ ? _________ Les mises à jour RIP envoyées comportent-elles des informations qui indiquent la présence d’erreurs de configuration sur le routeur HQ ? _________ Si la réponse à l’une de ces questions est oui, dépannez de nouveau la configuration du routage. Étape 7 : nouvelle tentative de liaison ping entre les hôtes Est-il possible d’envoyer une requête ping au PC1 à partir du PC3 hôte ? _______ Est-il possible d’envoyer une requête ping au PC5 à partir du PC3 hôte ? _________ Est-il possible d’envoyer une requête ping à la passerelle par défaut à partir du PC3 hôte ? _______ Tâche 5 : dépannage du routeur BRANCH2 Étape 1 : dépannage préalable de l’hôte PC5 Est-il possible d’envoyer une requête ping au PC6 à partir du PC5 hôte ? _________ Est-il possible d’envoyer une requête ping au PC1 à partir du PC5 hôte ? _________ Est-il possible d’envoyer une requête ping à la passerelle par défaut à partir du PC3 hôte ? ________ Étape 2 : examen du routeur BRANCH2 à la recherche d’éventuelles erreurs de configuration Commencez par consulter le résumé des informations d’état relatives à chaque interface du routeur. La configuration des interfaces présente-t-elle des problèmes ? ___________________________________________________________________________________ ___________________________________________________________________________________ ___________________________________________________________________________________ ___________________________________________________________________________________ Si la configuration des interfaces présente des problèmes, enregistrez les commandes qui permettront de corriger ces erreurs. ___________________________________________________________________________________ ___________________________________________________________________________________ ___________________________________________________________________________________ ___________________________________________________________________________________ ___________________________________________________________________________________
  • 239.
    CCNA Exploration Protocoles etconcepts de routage : RIPv2 Travaux pratiques 7.5.3 : dépannage de RIPv2 Copyright sur l’intégralité du contenu © 1992 – 2007 Cisco Systems, Inc. Tous droits réservés. Ce document contient des informations publiques Cisco. Page 10 sur 13 ___________________________________________________________________________________ ___________________________________________________________________________________ ___________________________________________________________________________________ ___________________________________________________________________________________ ___________________________________________________________________________________ ___________________________________________________________________________________ Étape 3 : si les commandes ci-dessus ont été enregistrées, les appliquer maintenant à la configuration du routeur Étape 4 : consultation du résumé des informations d’état Si la configuration a été modifiée à l’étape précédente, consultez de nouveau le résumé des informations d'état relatives aux interfaces du routeur. Les informations du résumé de l’état des interfaces indiquent-elles la présence d’erreurs de configuration ? _________ Si la réponse est oui, dépannez de nouveau l’état des interfaces. Étape 5 : dépannage de la configuration du routage sur le routeur BRANCH2 Commencez par consulter la table de routage. Quels réseaux et routes figurent dans la table de routage ? __________________________________________________________________________________ __________________________________________________________________________________ __________________________________________________________________________________ __________________________________________________________________________________ __________________________________________________________________________________ __________________________________________________________________________________ __________________________________________________________________________________ __________________________________________________________________________________ Étape 6 : examen des routes envoyées dans les mises à jour de routage à partir du routeur BRANCH2 Existe-t-il des problèmes dans ces mises à jour de routage ? __________________________________________________________________________________ ____________________________________________________________________________________
  • 240.
    CCNA Exploration Protocoles etconcepts de routage : RIPv2 Travaux pratiques 7.5.3 : dépannage de RIPv2 Copyright sur l’intégralité du contenu © 1992 – 2007 Cisco Systems, Inc. Tous droits réservés. Ce document contient des informations publiques Cisco. Page 11 sur 13 Si vous décelez des problèmes de configuration du routage, notez les commandes qui permettront de corriger les erreurs de configuration. __________________________________________________________________________________ __________________________________________________________________________________ __________________________________________________________________________________ Étape 7 : si les commandes ci-dessus ont été enregistrées, les appliquer maintenant à la configuration du routeur Étape 8 : nouvelle tentative d’envoi de requête ping aux hôtes Est-il possible d’envoyer une requête ping au PC6 à partir du PC5 hôte ? _______ Est-il possible d’envoyer une requête ping au PC1 à partir du PC5 hôte ? _______ Est-il possible d’envoyer une requête ping à la passerelle par défaut à partir du PC3 hôte ? _______ Est-il possible d’envoyer une requête ping au PC1 à partir du routeur HQ ? ____________ Est-il possible d’envoyer une requête ping au PC5 à partir du routeur HQ ? ____________ Étape 9 : examen des mises à jour de routage reçues sur le routeur BRANCH2 Quels sont les réseaux qui sont reçus dans les mises à jour RIP ? __________________________________________________________________________________ __________________________________________________________________________________ __________________________________________________________________________________ Existe-t-il des problèmes dans ces mises à jour de routage ? ____________________________________________________________________________________ ____________________________________________________________________________________ ____________________________________________________________________________________ Si vous décelez des problèmes de configuration du routage, notez les commandes qui permettront de corriger les erreurs de configuration. ____________________________________________________________________________________ ____________________________________________________________________________________ ____________________________________________________________________________________ Ces commandes doivent-elles être appliquées uniquement à BRANCH2 ou également aux autres routeurs du réseau ? ____________________________________________________________________________________ ____________________________________________________________________________________ ____________________________________________________________________________________
  • 241.
    CCNA Exploration Protocoles etconcepts de routage : RIPv2 Travaux pratiques 7.5.3 : dépannage de RIPv2 Copyright sur l’intégralité du contenu © 1992 – 2007 Cisco Systems, Inc. Tous droits réservés. Ce document contient des informations publiques Cisco. Page 12 sur 13 Étape 10 : si les commandes ci-dessus ont été enregistrées, les appliquer maintenant à la configuration du routeur Étape 11 : consultation des informations de routage Si la configuration a été modifiée à l’étape précédente, affichez de nouveau la table de routage. Les informations de la table de routage ou les mises à jour de routage indiquent-elles la présence d’erreurs de configuration ? _________ Si la réponse est oui, dépannez de nouveau la configuration du routage. Étape 12 : nouvelle tentative de liaison ping entre les hôtes Est-il possible d’envoyer une requête ping au PC6 à partir du PC5 hôte ? _______ Est-il possible d’envoyer une requête ping au PC1 à partir du PC5 hôte ? _______ Est-il possible d’envoyer une requête ping au PC3 à partir du PC5 hôte ? _______ Est-il possible d’envoyer une requête ping au PC3 à partir du PC1 hôte ? _______ Est-il possible d’envoyer une requête ping au PC1 à partir du routeur HQ ? __________ Est-il possible d’envoyer une requête ping au PC5 à partir du routeur HQ ? _______ Tâche 6 : remarques générales Les scripts fournis pour ces travaux pratiques ont présenté plusieurs erreurs de configuration. Utilisez l’espace ci-dessous pour décrire brièvement les erreurs que vous avez trouvées. ___________________________________________________________________________________ ___________________________________________________________________________________ ___________________________________________________________________________________ ___________________________________________________________________________________ ___________________________________________________________________________________ ___________________________________________________________________________________ ___________________________________________________________________________________ ___________________________________________________________________________________ Tâche 7 : documentation Sur chaque routeur, capturez la sortie de commande suivante dans un fichier texte (.txt) et enregistrez-la pour pouvoir la consulter ultérieurement :  show running-config  show ip route  show ip interface brief  show ip protocols Si vous devez revoir les procédures de capture d’informations de commandes, consultez les travaux pratiques 1.5.1.
  • 242.
    CCNA Exploration Protocoles etconcepts de routage : RIPv2 Travaux pratiques 7.5.3 : dépannage de RIPv2 Copyright sur l’intégralité du contenu © 1992 – 2007 Cisco Systems, Inc. Tous droits réservés. Ce document contient des informations publiques Cisco. Page 13 sur 13 Tâche 8 : remise en état Supprimez les configurations et rechargez les routeurs. Déconnectez et rangez les câbles. Pour les hôtes PC qui sont habituellement connectés à d’autres réseaux (comme un réseau local scolaire ou Internet), reconnectez les câbles appropriés et restaurez les paramètres TCP/IP.
  • 243.
    7.6.1 : exerciced’intégration des compétences Packet Tracer Diagramme de topologie Copyright sur l'intégralité du contenu © 1992–2007 Cisco Systems, Inc. Tous droits réservés. Ce document contient des informations publiques Cisco. Page 1 sur 4
  • 244.
    CCNA Exploration Protocoles etconcepts de routage : RIPv2 7.6.1 : exercice d’intégration des compétences Packet Tracer Table d’adressage Périphérique Interface Adresse IP Masque de sous-réseau Passerelle par défaut Fa0/0 N/D Fa0/1 N/D S0/0/0 209.165.201.2 255.255.255.252 N/D S0/0/1 N/D S0/1/0 N/D HQ S0/1/1 N/D Fa0/0 N/D Fa0/1 N/DB1 S0/0/0 N/D Fa0/0 N/D Fa0/1 N/DB2 S0/0/0 N/D Fa0/0 N/D Fa0/1 N/DB3 S0/0/0 N/D Fa0/0 209.165.202.129 255.255.255.252 N/D ISP S0/0/0 209.165.201.1 255.255.255.252 N/D Web Server Carte réseau 209.165.202.130 255.255.255.252 209.165.202.129 PC1 Carte réseau PC2 Carte réseau PC3 Carte réseau PC4 Carte réseau PC5 Carte réseau PC6 Carte réseau PC7 Carte réseau PC8 Carte réseau Copyright sur l'intégralité du contenu © 1992–2007 Cisco Systems, Inc. Tous droits réservés. Ce document contient des informations publiques Cisco. Page 2 sur 4
  • 245.
    CCNA Exploration Protocoles etconcepts de routage : RIPv2 7.6.1 : exercice d’intégration des compétences Packet Tracer Objectifs • Concevoir et documenter un schéma d’adressage en fonction de conditions requises • Sélectionner le matériel approprié et câbler les périphériques • Appliquer une configuration de base aux périphériques • Tester la connectivité entre les périphériques directement connectés • Configurer le routage RIPv2 • Configurer le routage statique et par défaut pour l’accès Internet • Vérifier la connectivité entre tous les périphériques de la topologie Tâche 1 : conception et documentation d’un schéma d’adressage Étape 1 : conception d’un schéma d’adressage Établissez un schéma d’adressage approprié en fonction des spécifications réseau indiquées dans la topologie. Étape 2 : documentation du schéma d’adressage • Utilisez les espaces libres de la topologie pour indiquer les adresses réseau au format points/barres obliques. • Utilisez le tableau fourni dans les instructions papier pour documenter les adresses IP, les masques de sous-réseau et les adresses des passerelles par défaut. Tâche 2 : sélection du matériel et câblage des périphériques Étape 1 : sélection du matériel nécessaire Sélectionnez les périphériques restants dont vous aurez besoin et ajoutez-les à l’espace de travail de Packet Tracer. Étape 2 : fin du câblage des périphériques Câblez les réseaux en fonction de la topologie en veillant à ce que les interfaces correspondent à ce que vous avez documentez à la tâche 1. Tâche 3 : application d’une configuration de base Étape 1 : configuration des routeurs À l’aide de votre documentation, procédez à la configuration de base des routeurs. Étape 2 : configuration des ordinateurs À l’aide de votre documentation, configurez les ordinateurs en leur affectant une adresse IP, un masque de sous-réseau et une passerelle par défaut. Tâche 4 : test de la connectivité Avant de continuer, assurez-vous que chaque périphérique peut envoyer une requête ping à son voisin directement connecté. Copyright sur l'intégralité du contenu © 1992–2007 Cisco Systems, Inc. Tous droits réservés. Ce document contient des informations publiques Cisco. Page 3 sur 4
  • 246.
    CCNA Exploration Protocoles etconcepts de routage : RIPv2 7.6.1 : exercice d’intégration des compétences Packet Tracer Copyright sur l'intégralité du contenu © 1992–2007 Cisco Systems, Inc. Tous droits réservés. Ce document contient des informations publiques Cisco. Page 4 sur 4 Tâche 5 : configuration et vérification du routage RIPv2 Étape 1 : configuration du protocole RIPv2 Configurez tous les périphériques pour le routage RIPv2. Dans votre configuration, veillez à effectuer les opérations suivantes : • Désactivez la fonction de récapitulatif automatique. • Arrêtez les mises à jour de routage sur les interfaces qui ne sont pas connectées aux voisins RIP. Étape 2 : vérification du protocole RIPv2 Utilisez les commandes de vérification pour vérifier votre configuration. Tous les routeurs doivent être convergents sur tous les sous-réseaux 10.2.0.0/24 et 172.17.1.224/28. Tâche 6 : configuration du routage statique et par défaut Tâche 7 : test de la connectivité et examen de la configuration Testez la connectivité et examinez la configuration.
  • 247.
    CCNA Exploration Protocoles etconcepts de routage : table de routage : examen détaillé 8.5.1 : Exercice d’intégration des compétences Packet Tracer Copyright sur l'intégralité du contenu © 1992–2007 Cisco Systems, Inc. Tous droits réservés. Ce document contient des informations publiques Cisco. Page 7 sur 7 Tâche 8 : vérification de la connectivité entre tous les périphériques de la topologie Étape 1 : test de la connectivité • La connectivité de bout en bout doit maintenant être établie. Utilisez une requête ping pour tester la connectivité sur le réseau. Chaque routeur doit pouvoir envoyer une requête ping à toutes les autres interfaces de routeur et aux deux serveurs Web. • Corrigez les éventuels problèmes jusqu’à ce que les requêtes ping fonctionnent. Étape 2 : examen de la configuration Utilisez les commandes de vérification pour vérifier que vos configurations sont complètes.
  • 248.
    Copyright sur l’intégralitédu contenu © 1992 – 2007 Cisco Systems, Inc. Tous droits réservés. Ce document contient des informations publiques Cisco. Page 1 sur 11 Travaux pratiques 8.4.1 : localisation du processus de recherche dans la table de routage Objectifs pédagogiques À l’issue de ces travaux pratiques, vous serez en mesure d’effectuer les tâches suivantes :  Câbler un réseau conformément au diagramme de topologie  Supprimer la configuration de démarrage et recharger un routeur en lui attribuant les paramètres par défaut  Effectuer des tâches de configuration de base sur un routeur  Déterminer des routes de niveaux 1 et 2  Modifier la configuration pour y représenter le routage statique et par défaut  Activer le routage par classe et étudier son comportement  Activer le routage sans classe et étudier son comportement Scénarios Ces travaux pratiques comprennent deux scénarios distincts. Dans le premier, vous allez examiner les routes de niveaux 1 et 2 dans la table de routage. Dans le second, vous allez examiner le comportement du routage par classe et sans classe.  Scénario A : routes de niveaux 1 et 2  Scénario B : comportement du routage par classe et sans classe
  • 249.
    CCNA Exploration Protocoles etconcepts de routage : Travaux pratiques 8.4.1 : la table de routage : examen détaillé localisation du processus de recherche dans la table de routage Copyright sur l’intégralité du contenu © 1992 – 2007 Cisco Systems, Inc. Tous droits réservés. Ce document contient des informations publiques Cisco. Page 2 sur 11 Scénario A : routes de niveaux 1 et 2 Diagramme de topologie Table d’adressage Périphérique Interface Adresse IP Masque de sous-réseau Passerelle par défaut R1 Fa0/0 172.16.1.1 255.255.255.0 s/o S0/0/0 172.16.2.1 255.255.255.0 s/o R2 Fa0/0 172.16.3.1 255.255.255.0 s/o S0/0/0 172.16.2.2 255.255.255.0 s/o S0/0/1 192.168.1.1 255.255.255.0 s/o R3 Fa0/0 172.16.4.1 255.255.255.0 s/o S0/0/1 192.168.1.2 255.255.255.0 s/o PC1 Carte réseau 172.16.1.10 255.255.255.0 172.16.1.1 PC2 Carte réseau 172.16.3.10 255.255.255.0 172.16.3.1 PC3 Carte réseau 172.16.4.10 255.255.255.0 172.16.4.1 Tâche 1 : préparation du réseau Étape 1 : câblage d’un réseau similaire à celui du diagramme de topologie Vous pouvez utiliser n’importe quel routeur durant les travaux pratiques, pourvu qu'il soit équipé des interfaces indiquées dans la topologie. Remarque : si vous utilisez les routeurs 1700, 2500 ou 2600, les sorties des routeurs et les descriptions des interfaces apparaîtront différemment.
  • 250.
    CCNA Exploration Protocoles etconcepts de routage : Travaux pratiques 8.4.1 : la table de routage : examen détaillé localisation du processus de recherche dans la table de routage Copyright sur l’intégralité du contenu © 1992 – 2007 Cisco Systems, Inc. Tous droits réservés. Ce document contient des informations publiques Cisco. Page 3 sur 11 Étape 2 : suppression des configurations actuelles des routeurs Tâche 2 : exécution des configurations de base des routeurs Exécutez la configuration de base des routeurs R1, R2 et R3 en suivant les directives suivantes : 1. Configurez le nom d’hôte du routeur. 2. Désactivez la recherche DNS. 3. Configurez un mot de passe pour le mode d’exécution. 4. Configurez une bannière du message du jour. 5. Configurez un mot de passe pour les connexions de consoles. 6. Configurez un mot de passe pour les connexions de terminaux virtuels (vty). Tâche 3 : configuration et activation des adresses série et Ethernet Étape 1 : configuration des interfaces sur R1, R2 et R3 Configurez les interfaces des routeurs R1, R2 et R3 avec les adresses IP de la table figurant sous le diagramme de topologie. Étape 2 : vérification de l’adressage IP et des interfaces Utilisez la commande show ip interface brief pour vérifier que l’adressage IP est correct et que les interfaces sont actives. Enregistrez ensuite la configuration active dans la mémoire vive non volatile du routeur. Étape 3 : configuration des interfaces Ethernet de PC1, PC2 et PC3 Configurez les interfaces Ethernet de PC1, PC2 et PC3 avec les adresses IP et les passerelles par défaut indiquées dans la table figurant sous le diagramme de topologie. Étape 4 : test de la configuration du PC en envoyant une requête ping à la passerelle par défaut à partir du PC Tâche 4 : configuration du protocole RIP Configurez le routage RIP version 1 sur chacun des routeurs. Incluez des instructions network pour chaque réseau directement connecté.
  • 251.
    CCNA Exploration Protocoles etconcepts de routage : Travaux pratiques 8.4.1 : la table de routage : examen détaillé localisation du processus de recherche dans la table de routage Copyright sur l’intégralité du contenu © 1992 – 2007 Cisco Systems, Inc. Tous droits réservés. Ce document contient des informations publiques Cisco. Page 4 sur 11 Tâche 5 : examen des routes supprimées et ajoutées dans la table de routage Étape 1 : affichage de la table de routage sur le routeur R1 Quels réseaux figurent dans la table de routage ? ________________________________________________________________ ________________________________________________________________ ________________________________________________________________ ________________________________________________________________ ________________________________________________________________ Étape 2 : utilisation de la commande debug ip routing pour observer les modifications dans la table de routage à mesure qu’elles se produisent sur le routeur R1 R1#debug ip routing IP routing debugging is on Étape 3 : fermeture de l’interface Serial0/0/0 et examen de la sortie du débogage R1(config-if)#shutdown %LINK-5-CHANGED: Interface Serial0/0/0, changed state to administratively down RT: interface Serial0/0/0 removed from routing table %LINEPROTO-5-UPDOWN: Line protocol on Interface Serial0/0/0, changed state to down RT: del 172.16.2.0 via 0.0.0.0, connected metric [0/0] RT: delete network route to 172.16.2.0 RT: NET-RED 172.16.2.0/24 RT: del 172.16.3.0 via 172.16.2.2, rip metric [120/1] RT: delete network route to 172.16.3.0 RT: NET-RED 172.16.3.0/24 RT: del 192.168.1.0 via 172.16.2.2, rip metric [120/1] RT: delete network route to 192.168.1.0 RT: NET-RED 192.168.1.0/24 Étape 4 : affichage de la table de routage du routeur R1 et examen des modifications qui se sont produites après la désactivation de l’interface Serial0/0/0 R1#show ip route <Output omitted> Gateway of last resort is not set 172.16.0.0/24 is subnetted, 1 subnets C 172.16.1.0 is directly connected, FastEthernet0/0 R1#
  • 252.
    CCNA Exploration Protocoles etconcepts de routage : Travaux pratiques 8.4.1 : la table de routage : examen détaillé localisation du processus de recherche dans la table de routage Copyright sur l’intégralité du contenu © 1992 – 2007 Cisco Systems, Inc. Tous droits réservés. Ce document contient des informations publiques Cisco. Page 5 sur 11 Étape 5 : activation de l’interface Serial0/0/0 et examen de la sortie du débogage R1(config-if)#no shutdown RT: SET_LAST_RDB for 172.16.2.0/24 NEW rdb: is directly connected RT: add 172.16.2.0/24 via 0.0.0.0, connected metric [0/0] RT: NET-RED 172.16.2.0/24RT: SET_LAST_RDB for 172.16.0.0/16 NEW rdb: via 172.16.2.2 RT: add 172.16.3.0/24 via 172.16.2.2, rip metric [120/1] RT: NET-RED 172.16.3.0/24RT: SET_LAST_RDB for 192.168.1.0/24 NEW rdb: via 172.16.2.2 RT: add 192.168.1.0/24 via 172.16.2.2, rip metric [120/1] RT: NET-RED 192.168.1.0/24 Pourquoi la route à destination de 172.16.2.0/24 est-elle la première ajoutée ? _________________________________________________________________________ Pourquoi un certain temps s’écoule avant que les autres routes soient ajoutées ? _________________________________________________________________________ Étape 6 : désactivation de la sortie du débogage à l’aide de la commande no debug ip routing ou undebug allTâche 6 : identification des routes de niveaux 1 et 2 Étape 1 : examen de la table de routage de R1 R1#show ip route <Output ommited> Gateway of last resort is not set 172.16.0.0/24 is subnetted, 3 subnets C 172.16.1.0/24 is directly connected, FastEthernet0/0 C 172.16.2.0/24 is directly connected, Serial0/0/0 R 172.16.3.0/24 [120/1] via 172.16.2.2, 00:00:14, Serial0/0/0 R 192.168.1.0/24 [120/1] via 172.16.2.2, 00:00:14, Serial0/0/0 R1#
  • 253.
    CCNA Exploration Protocoles etconcepts de routage : Travaux pratiques 8.4.1 : la table de routage : examen détaillé localisation du processus de recherche dans la table de routage Copyright sur l’intégralité du contenu © 1992 – 2007 Cisco Systems, Inc. Tous droits réservés. Ce document contient des informations publiques Cisco. Page 6 sur 11 Parmi les routes suivantes, quelles sont celles qui appartiennent au niveau 1 ? ________________________________________________________________ ________________________________________________________________ ________________________________________________________________ ________________________________________________________________ En quoi ces routes appartiennent-elles au niveau 1 ? ________________________________________________________________ ________________________________________________________________ Parmi les routes de niveau 1, en existe-t-il de meilleures ? ________________________________________________________________ ________________________________________________________________ ________________________________________________________________ En quoi cette route est-elle meilleure ? _____________________________________________________________________________ _____________________________________________________________________________ Parmi les routes de niveau 1, existe-t-il des routes parent ? ________________________________________________________________ ________________________________________________________________ ________________________________________________________________ En quoi cette route est-elle une route parent de niveau 1 ? _____________________________________________________________________________ _____________________________________________________________________________
  • 254.
    CCNA Exploration Protocoles etconcepts de routage : Travaux pratiques 8.4.1 : la table de routage : examen détaillé localisation du processus de recherche dans la table de routage Copyright sur l’intégralité du contenu © 1992 – 2007 Cisco Systems, Inc. Tous droits réservés. Ce document contient des informations publiques Cisco. Page 7 sur 11 Parmi les différentes routes, quelles sont celles de niveau 2 ? ________________________________________________________________ ________________________________________________________________ ________________________________________________________________ En quoi ces routes appartiennent-elles au niveau 2 ? _____________________________________________________________________________ _____________________________________________________________________________
  • 255.
    CCNA Exploration Protocoles etconcepts de routage : Travaux pratiques 8.4.1 : la table de routage : examen détaillé localisation du processus de recherche dans la table de routage Copyright sur l’intégralité du contenu © 1992 – 2007 Cisco Systems, Inc. Tous droits réservés. Ce document contient des informations publiques Cisco. Page 8 sur 11 Scénario B : comportement du routage par classe et sans classe Diagramme de topologie Tâche 1 : modifications entre le scénario A et le scénario B Étape 1 : suppression de la configuration RIP du routeur R3 et configuration d’une route statique à destination de 172.16.0.0/16 R3(config)#no router rip R3(config)#ip route 172.16.0.0 255.255.0.0 Serial0/0/1 Étape 2 : suppression du réseau 192.168.1.0 de la configuration RIP du routeur R2 R2(config)#router rip R2(config-router)#no network 192.168.1.0 Étape 3 : ajout d’une route statique par défaut à destination de R3 sur le routeur R2 Incluez la commande default-information originate dans la configuration pour inclure la route statique par défaut dans les mises à jour RIP. R2(config)#ip route 0.0.0.0 0.0.0.0 Serial0/0/1 R2(config)#router rip R2(config-router)#default-information originate
  • 256.
    CCNA Exploration Protocoles etconcepts de routage : Travaux pratiques 8.4.1 : la table de routage : examen détaillé localisation du processus de recherche dans la table de routage Copyright sur l’intégralité du contenu © 1992 – 2007 Cisco Systems, Inc. Tous droits réservés. Ce document contient des informations publiques Cisco. Page 9 sur 11 Tâche 2 : activation du comportement de routage par classe sur les routeurs Étape 1 : utilisation de la commande no ip classless pour configurer le processus de recherche de route et utiliser les recherches de route par classe R1 R1(config)#no ip classless R2 R2(config)#no ip classless R3 R3(config)#no ip classless Étape 2 : examen de la table de routage du routeur R2 R2#show ip route <output omitted> 172.16.0.0/24 is subnetted, 4 subnets R 172.16.1.0 [120/1] via 172.16.2.1, 00:00:00, Serial0/0/0 C 172.16.2.0 is directly connected, Serial0/0/0 C 172.16.3.0 is directly connected, FastEthernet0/0 C 192.168.1.0/24 is directly connected, Serial0/0/1 R2# Étape 3 : envoi d’une requête ping du routeur R2 au PC3 et examen des résultats R2#ping 172.16.4.10 Type escape sequence to abort. Sending 5, 100-byte ICMP Echos to 172.16.4.10, timeout is 2 seconds: ..... Success rate is 0 percent (0/5 ) La requête ping n’a pas abouti, car le routeur utilise le comportement de routage par classe. Le processus de recherche de route sur le routeur R2 effectue une recherche dans la table de routage et découvre que les 16 premiers bits de l’adresse de destination correspondent à la route parent 172.16.0.0/16. L’adresse de destination correspondant à la route parent, les routes enfant sont vérifiées. Quelles sont les routes enfant du réseau parent 172.16.0.0/16 ? ________________________________________________________________ ________________________________________________________________
  • 257.
    CCNA Exploration Protocoles etconcepts de routage : Travaux pratiques 8.4.1 : la table de routage : examen détaillé localisation du processus de recherche dans la table de routage Copyright sur l’intégralité du contenu © 1992 – 2007 Cisco Systems, Inc. Tous droits réservés. Ce document contient des informations publiques Cisco. Page 10 sur 11 Combien de bits doivent correspondre dans l’adresse de destination pour qu’un paquet soit transféré en empruntant l’une des routes enfant ? ________ L’adresse de destination des paquets de requêtes ping correspond-elle à l’une des routes enfant de 172.16.0.0/16 ? ________ La commande no ip classless ayant été utilisée pour configurer le routeur R2 de sorte qu’il utilise le comportement de routage par classe, dès qu’une correspondance de niveau 1 est trouvée, le routeur ne recherche pas de correspondance de degré moindre au-delà des routes enfant. Même si une route statique par défaut a été configurée, celle-ci n'est pas utilisée et le paquet est abandonné. Tâche 3 : activation du comportement de routage sans classe sur les routeurs Étape 1 : utilisation de la commande ip classless command pour réactiver le routage sans classe R1 R1(config)#ip classless R2 R2(config)#ip classless R3 R3(config)#ip classless Étape 2 : examen de la table de routage du routeur R2 Sachez que la table de routage demeure inchangée bien que la configuration du routeur ait été modifiée de sorte à utiliser le comportement de routage sans classe. R2#show ip route <output omitted> Gateway of last resort is 0.0.0.0 to network 0.0.0.0 172.16.0.0/24 is subnetted, 4 subnets R 172.16.1.0 [120/1] via 172.16.2.1, 00:00:00, Serial0/0/0 C 172.16.2.0 is directly connected, Serial0/0/0 C 172.16.3.0 is directly connected, FastEthernet0/0 C 192.168.1.0/24 is directly connected, Serial0/0/1 S* 0.0.0.0/0 is directly connected, Serial0/0/1 R2# Étape 3 : répétition de requête ping du routeur R2 au PC3 et examen des résultats R2#ping 172.16.4.10 Type escape sequence to abort. Sending 5, 100-byte ICMP Echos to 172.16.4.10, timeout is 2 seconds: !!!!! Success rate is 100 percent, round-trip min/avg/max = 28/28/28 ms
  • 258.
    CCNA Exploration Protocoles etconcepts de routage : Travaux pratiques 8.4.1 : la table de routage : examen détaillé localisation du processus de recherche dans la table de routage Copyright sur l’intégralité du contenu © 1992 – 2007 Cisco Systems, Inc. Tous droits réservés. Ce document contient des informations publiques Cisco. Page 11 sur 11 Cette fois, la requête ping a abouti, car le routeur utilise le comportement de routage sans classe. L’adresse de destination du paquet correspond à la route parent de niveau 1 172.16.0.0/16, mais ne correspond à aucune des routes enfant de cette route parent. Le comportement sans classe étant configuré, le routeur continue de rechercher dans la table de routage une route dont le nombre de bits correspondants est inférieur, mais qui représente toutefois une correspondance. Le masque d’une route par défaut est /0, ce qui signifie qu’il n’y aucune exigence quant à la correspondance de bits. Dans le comportement de routage sans classe, si aucune autre route ne correspond, la route par défaut correspond invariablement. S* 0.0.0.0/0 is directly connected, Serial0/0/1 Étant donné qu’une route par défaut a été configurée sur le routeur R2, cette route est utilisée pour transférer les paquets vers le PC3. Étape 4 : examen de la table de routage du routeur R3 pour déterminer comment le trafic généré par la commande ping est renvoyé au routeur R2 R3#show ip route <output omitted> Gateway of last resort is not set 172.16.0.0/16 is variably subnetted, 2 subnets, 2 masks S 172.16.0.0/16 is directly connected, Serial0/0/1 C 172.16.4.0/24 is directly connected, FastEthernet0/0 C 192.168.1.0/24 is directly connected, Serial0/0/1 R3# Notez que dans la table de routage du routeur R3, la route de sous-réseau 172.16.4.0/24 et la route de réseau par classe 172.16.0.0/16 sont des routes enfant de niveau 2 de la route parent 172.16.0.0/16. Dans ce cas, R3 utilise la route enfant 172.16.0.0/16 et transfère le trafic retour de S0/0/1 vers R2.
  • 259.
    Copyright sur l’intégralitédu contenu © 1992 – 2007 Cisco Systems, Inc. Tous droits réservés. Ce document contient des informations publiques Cisco. Page 1 sur 7 Travaux pratiques 8.4.2 : travaux pratiques avancés sur show ip route Table d’adressage Périphérique Interface Adresse IP Masque de sous-réseau R1 R2 R3 R4 R5 Objectifs pédagogiques À l’issue de ces travaux pratiques, vous serez en mesure d’effectuer les tâches suivantes :  Déterminer la topologie du réseau en fonction des sorties de la commande show ip route  Câbler un réseau conformément au diagramme de topologie  Déterminer l’adressage d’interface des routeurs en fonction des sorties  Effectuer des tâches de configuration de base sur un routeur  Déterminer des routes de niveaux 1 et 2
  • 260.
    CCNA Exploration Protocoles etconcepts de routage : la table de routage : examen détaillé Travaux pratiques 8.4.2 : travaux pratiques avancés sur show ip route Copyright sur l’intégralité du contenu © 1992 – 2007 Cisco Systems, Inc. Tous droits réservés. Ce document contient des informations publiques Cisco. Page 2 sur 7 Scénario Dans le cadre de ces travaux pratiques, vous allez déterminer la topologie d’un réseau à partir des sorties de la commande show ip route. Vous devez tracer un diagramme de topologie et déterminer l’adressage d’interface sur chaque routeur. Vous devez ensuite construire et configurer le réseau en fonction des sorties. Vous êtes libre d’affecter ou non l’ETTD et le DCE. Lorsque vous aurez terminé, les sorties de votre réseau doivent correspondre à celles présentées ci-dessous. Tâche 1 : examen des sorties des routeurs Étape 1 : examen de la sortie du routeur R1 R1#show ip route Codes: C - connected, S - static, I - IGRP, R - RIP, M - mobile, B – BGP D - EIGRP, EX - EIGRP external, O - OSPF, IA - OSPF inter area N1 - OSPF NSSA external type 1, N2 - OSPF NSSA external type 2 E1 - OSPF external type 1, E2 - OSPF external type 2, E – EGP i - IS-IS, L1 - IS-IS level-1, L2 - IS-IS level-2, ia - IS-IS inter area * - candidate default, U - per-user static route, o – ODR P - periodic downloaded static route Gateway of last resort is not set 10.0.0.0/30 is subnetted, 4 subnets R 10.10.10.0 [120/1] via 10.10.10.6, 00:00:09, Serial0/0/0 C 10.10.10.4 is directly connected, Serial0/0/0 C 10.10.10.8 is directly connected, Serial0/0/1 R 10.10.10.12 [120/1] via 10.10.10.10, 00:00:09, Serial0/0/1 172.16.0.0/16 is variably subnetted, 10 subnets, 5 masks C 172.16.1.0/27 is directly connected, FastEthernet0/0 R 172.16.1.32/28 [120/2] via 10.10.10.10, 00:00:09, Serial0/0/1 R 172.16.1.192/26 [120/1] via 10.10.10.6, 00:00:09, Serial0/0/0 R 172.16.2.0/26 [120/2] via 10.10.10.6, 00:00:09, Serial0/0/0 R 172.16.2.64/27 [120/1] via 10.10.10.10, 00:00:09, Serial0/0/1 C 172.16.3.0/25 is directly connected, FastEthernet0/1 R 172.16.3.128/26 [120/1] via 10.10.10.6, 00:00:09, Serial0/0/0 R 172.16.3.192/29 [120/2] via 10.10.10.6, 00:00:09, Serial0/0/0 R 172.16.4.0/27 [120/1] via 10.10.10.10, 00:00:09, Serial0/0/1 R 172.16.4.128/25 [120/2] via 10.10.10.10, 00:00:09, Serial0/0/1 C 192.168.1.0/24 is directly connected, Loopback0 S* 0.0.0.0/0 is directly connected, Loopback0 Étape 2 : examen de la sortie du routeur R2 R2#show ip route Codes: C - connected, S - static, I - IGRP, R - RIP, M - mobile, B – BGP D - EIGRP, EX - EIGRP external, O - OSPF, IA - OSPF inter area N1 - OSPF NSSA external type 1, N2 - OSPF NSSA external type 2 E1 - OSPF external type 1, E2 - OSPF external type 2, E – EGP i - IS-IS, L1 - IS-IS level-1, L2 - IS-IS level-2, ia - IS-IS inter area * - candidate default, U - per-user static route, o – ODR
  • 261.
    CCNA Exploration Protocoles etconcepts de routage : la table de routage : examen détaillé Travaux pratiques 8.4.2 : travaux pratiques avancés sur show ip route Copyright sur l’intégralité du contenu © 1992 – 2007 Cisco Systems, Inc. Tous droits réservés. Ce document contient des informations publiques Cisco. Page 3 sur 7 P - periodic downloaded static route Gateway of last resort is 10.10.10.2 to network 0.0.0.0 10.0.0.0/30 is subnetted, 4 subnets C 10.10.10.0 is directly connected, Serial0/0/0 R 10.10.10.4 [120/1] via 10.10.10.2, 00:00:04, Serial0/0/0 R 10.10.10.8 [120/2] via 10.10.10.2, 00:00:04, Serial0/0/0 R 10.10.10.12 [120/3] via 10.10.10.2, 00:00:04, Serial0/0/0 172.16.0.0/16 is variably subnetted, 10 subnets, 5 masks R 172.16.1.0/27 [120/2] via 10.10.10.2, 00:00:04, Serial0/0/0 R 172.16.1.32/28 [120/4] via 10.10.10.2, 00:00:04, Serial0/0/0 R 172.16.1.192/26 [120/1] via 10.10.10.2, 00:00:04, Serial0/0/0 C 172.16.2.0/26 is directly connected, FastEthernet0/0 R 172.16.2.64/27 [120/3] via 10.10.10.2, 00:00:04, Serial0/0/0 R 172.16.3.0/25 [120/2] via 10.10.10.2, 00:00:04, Serial0/0/0 R 172.16.3.128/26 [120/1] via 10.10.10.2, 00:00:04, Serial0/0/0 C 172.16.3.192/29 is directly connected, FastEthernet0/1 R 172.16.4.0/27 [120/3] via 10.10.10.2, 00:00:04, Serial0/0/0 R 172.16.4.128/25 [120/4] via 10.10.10.2, 00:00:04, Serial0/0/0 R 192.168.1.0/24 [120/2] via 10.10.10.2, 00:00:04, Serial0/0/0 R* 0.0.0.0/0 [120/2] via 10.10.10.2, 00:00:04, Serial0/0/0 Étape 3 : examen de la sortie du routeur R3 R3#show ip route Codes: C - connected, S - static, I - IGRP, R - RIP, M - mobile, B – BGP D - EIGRP, EX - EIGRP external, O - OSPF, IA - OSPF inter area N1 - OSPF NSSA external type 1, N2 - OSPF NSSA external type 2 E1 - OSPF external type 1, E2 - OSPF external type 2, E – EGP i - IS-IS, L1 - IS-IS level-1, L2 - IS-IS level-2, ia - IS-IS inter area * - candidate default, U - per-user static route, o – ODR P - periodic downloaded static route Gateway of last resort is 10.10.10.5 to network 0.0.0.0 10.0.0.0/30 is subnetted, 4 subnets C 10.10.10.0 is directly connected, Serial0/0/1 C 10.10.10.4 is directly connected, Serial0/0/0 R 10.10.10.8 [120/1] via 10.10.10.5, 00:00:04, Serial0/0/0 R 10.10.10.12 [120/2] via 10.10.10.5, 00:00:04, Serial0/0/0 172.16.0.0/16 is variably subnetted, 10 subnets, 5 masks R 172.16.1.0/27 [120/1] via 10.10.10.5, 00:00:04, Serial0/0/0 R 172.16.1.32/28 [120/3] via 10.10.10.5, 00:00:04, Serial0/0/0 C 172.16.1.192/26 is directly connected, FastEthernet0/1 R 172.16.2.0/26 [120/1] via 10.10.10.1, 00:00:03, Serial0/0/1 R 172.16.2.64/27 [120/2] via 10.10.10.5, 00:00:04, Serial0/0/0 R 172.16.3.0/25 [120/1] via 10.10.10.5, 00:00:04, Serial0/0/0 C 172.16.3.128/26 is directly connected, FastEthernet0/0 R 172.16.3.192/29 [120/1] via 10.10.10.1, 00:00:03, Serial0/0/1 R 172.16.4.0/27 [120/2] via 10.10.10.5, 00:00:04, Serial0/0/0 R 172.16.4.128/25 [120/3] via 10.10.10.5, 00:00:04, Serial0/0/0 R 192.168.1.0/24 [120/1] via 10.10.10.5, 00:00:04, Serial0/0/0 R* 0.0.0.0/0 [120/1] via 10.10.10.5, 00:00:04, Serial0/0/0
  • 262.
    CCNA Exploration Protocoles etconcepts de routage : la table de routage : examen détaillé Travaux pratiques 8.4.2 : travaux pratiques avancés sur show ip route Copyright sur l’intégralité du contenu © 1992 – 2007 Cisco Systems, Inc. Tous droits réservés. Ce document contient des informations publiques Cisco. Page 4 sur 7 Étape 4 : rxamen de la sortie du routeur R4 R4#show ip route Codes: C - connected, S - static, I - IGRP, R - RIP, M - mobile, B – BGP D - EIGRP, EX - EIGRP external, O - OSPF, IA - OSPF inter area N1 - OSPF NSSA external type 1, N2 - OSPF NSSA external type 2 E1 - OSPF external type 1, E2 - OSPF external type 2, E – EGP i - IS-IS, L1 - IS-IS level-1, L2 - IS-IS level-2, ia - IS-IS inter area * - candidate default, U - per-user static route, o – ODR P - periodic downloaded static route Gateway of last resort is 10.10.10.9 to network 0.0.0.0 10.0.0.0/30 is subnetted, 4 subnets R 10.10.10.0 [120/2] via 10.10.10.9, 00:00:14, Serial0/0/0 R 10.10.10.4 [120/1] via 10.10.10.9, 00:00:14, Serial0/0/0 C 10.10.10.8 is directly connected, Serial0/0/0 C 10.10.10.12 is directly connected, Serial0/0/1 172.16.0.0/16 is variably subnetted, 10 subnets, 5 masks R 172.16.1.0/27 [120/1] via 10.10.10.9, 00:00:14, Serial0/0/0 R 172.16.1.32/28 [120/1] via 10.10.10.14, 00:00:17, Serial0/0/1 R 172.16.1.192/26 [120/2] via 10.10.10.9, 00:00:14, Serial0/0/0 R 172.16.2.0/26 [120/3] via 10.10.10.9, 00:00:14, Serial0/0/0 C 172.16.2.64/27 is directly connected, FastEthernet0/1 R 172.16.3.0/25 [120/1] via 10.10.10.9, 00:00:14, Serial0/0/0 R 172.16.3.128/26 [120/2] via 10.10.10.9, 00:00:14, Serial0/0/0 R 172.16.3.192/29 [120/3] via 10.10.10.9, 00:00:14, Serial0/0/0 C 172.16.4.0/27 is directly connected, FastEthernet0/0 R 172.16.4.128/25 [120/1] via 10.10.10.14, 00:00:17, Serial0/0/1 R 192.168.1.0/24 [120/1] via 10.10.10.9, 00:00:14, Serial0/0/0 R* 0.0.0.0/0 [120/1] via 10.10.10.9, 00:00:14, Serial0/0/0 Étape 5 : examen de la sortie du routeur R5 R5#show ip route Codes: C - connected, S - static, I - IGRP, R - RIP, M - mobile, B – BGP D - EIGRP, EX - EIGRP external, O - OSPF, IA - OSPF inter area N1 - OSPF NSSA external type 1, N2 - OSPF NSSA external type 2 E1 - OSPF external type 1, E2 - OSPF external type 2, E – EGP i - IS-IS, L1 - IS-IS level-1, L2 - IS-IS level-2, ia - IS-IS inter area * - candidate default, U - per-user static route, o – ODR P - periodic downloaded static route Gateway of last resort is 10.10.10.13 to network 0.0.0.0
  • 263.
    CCNA Exploration Protocoles etconcepts de routage : la table de routage : examen détaillé Travaux pratiques 8.4.2 : travaux pratiques avancés sur show ip route Copyright sur l’intégralité du contenu © 1992 – 2007 Cisco Systems, Inc. Tous droits réservés. Ce document contient des informations publiques Cisco. Page 5 sur 7 10.0.0.0/30 is subnetted, 4 subnets R 10.10.10.0 [120/3] via 10.10.10.13, 00:00:21, Serial0/0/0 R 10.10.10.4 [120/2] via 10.10.10.13, 00:00:21, Serial0/0/0 R 10.10.10.8 [120/1] via 10.10.10.13, 00:00:21, Serial0/0/0 C 10.10.10.12 is directly connected, Serial0/0/0 172.16.0.0/16 is variably subnetted, 10 subnets, 5 masks R 172.16.1.0/27 [120/2] via 10.10.10.13, 00:00:21, Serial0/0/0 C 172.16.1.32/28 is directly connected, FastEthernet0/1 R 172.16.1.192/26 [120/3] via 10.10.10.13, 00:00:21, Serial0/0/0 R 172.16.2.0/26 [120/4] via 10.10.10.13, 00:00:21, Serial0/0/0 R 172.16.2.64/27 [120/1] via 10.10.10.13, 00:00:21, Serial0/0/0 R 172.16.3.0/25 [120/2] via 10.10.10.13, 00:00:21, Serial0/0/0 R 172.16.3.128/26 [120/3] via 10.10.10.13, 00:00:21, Serial0/0/0 R 172.16.3.192/29 [120/4] via 10.10.10.13, 00:00:21, Serial0/0/0 R 172.16.4.0/27 [120/1] via 10.10.10.13, 00:00:21, Serial0/0/0 C 172.16.4.128/25 is directly connected, FastEthernet0/0 R 192.168.1.0/24 [120/2] via 10.10.10.13, 00:00:21, Serial0/0/0 R* 0.0.0.0/0 [120/2] via 10.10.10.13, 00:00:21, Serial0/0/0 Tâche 2 : création d’un diagramme du réseau en fonction des sorties des routeurs Étape 1 : traçage d’un diagramme du réseau en fonction de votre interprétation des sorties des routeurs dans l’espace fourni ci-après Étape 2 : inscription des adresses d’interface dans la table d’adressage
  • 264.
    CCNA Exploration Protocoles etconcepts de routage : la table de routage : examen détaillé Travaux pratiques 8.4.2 : travaux pratiques avancés sur show ip route Copyright sur l’intégralité du contenu © 1992 – 2007 Cisco Systems, Inc. Tous droits réservés. Ce document contient des informations publiques Cisco. Page 6 sur 7 Tâche 3 : construction et configuration du diagramme à l’aide de Packet Tracer Étape 1 : construction du diagramme de topologie dans Packet Tracer Vous pouvez utiliser les routeurs 1841 ou 2811 Étape 2 : configuration des interfaces avec l’adresse IP et le masque de sous-réseau appropriés Étape 3 : configuration du protocole de routage adapté à chaque routeur et annonce de tous les réseaux directement connectés Étape 4 : vérification que les configurations correspondent aux sorties des routeurs à l’issue de la tâche 1 Tâche 4 : identification des processus de routage Étape 1 : examen de la table de routage de R1 Quelles sont les adresses IP des voisins directement connectés du routeur R1 ? _________________________________________________________________ _________________________________________________________________ _________________________________________________________________ Quelles sont les routes que R1 a découvertes par le biais des voisins directement connectés ? _________________________________________________________________ _________________________________________________________________ _________________________________________________________________ _________________________________________________________________ _________________________________________________________________ _________________________________________________________________ _________________________________________________________________ _________________________________________________________________ _________________________________________________________________ _________________________________________________________________ Étape 2 : examen de la table de routage de R2 Quel est le nombre total de réseaux/sous-réseaux que R2 a découvert par le biais de ses voisins ? __________ Où est-ce que le routeur R2 enverrait des paquets destinés à des réseaux qui ne figurent pas actuellement dans sa table de routage ? Pourquoi ? ______________________________________________________________________________________ _______________________________________________________________________________________
  • 265.
    CCNA Exploration Protocoles etconcepts de routage : la table de routage : examen détaillé Travaux pratiques 8.4.2 : travaux pratiques avancés sur show ip route Copyright sur l’intégralité du contenu © 1992 – 2007 Cisco Systems, Inc. Tous droits réservés. Ce document contient des informations publiques Cisco. Page 7 sur 7 Que représente l’instruction « R* 0.0.0.0/0 [120/2] via 10.10.10.2, 00:00:04, Serial0/0/0 » à la fin de la table de routage de R2 ? ______________________________________________________________________________________ Étape 3 : examen de la table de routage de R3 Quelles sont les routes de niveau 2 que le routeur R3 a découvertes par le biais de ses voisins ? _________________________________________________________________ _________________________________________________________________ _________________________________________________________________ _________________________________________________________________ _________________________________________________________________ _________________________________________________________________ _________________________________________________________________ _________________________________________________________________ _________________________________________________________________ _________________________________________________________________ _________________________________________________________________ Quels sont les réseaux qui sont directement connectés au routeur R3 ? ______________________________________________________________________________________ ______________________________________________________________________________________ ______________________________________________________________________________________ Étape 4 : examen de la table de routage de R4 Quel est le réseau le plus distant du routeur R4 et combien de sauts les séparent ? _____________________________________________________________ Quel est le nombre d’adresses d’hôte utilisables dont dispose le réseau le plus éloigné du routeur R4 ? __________ Étape 5 : examen de la table de routage de R5 Par combien de routeurs un paquet doit-il transiter pour aller du routeur R5 au réseau 172.16.2.0/26 ? __________ Pour quelle raison la passerelle de dernier recours (« Gateway of last resort ») du routeur R5 est-elle associée à l’adresse 10.10.10.13 ? _____________________________________________________________
  • 266.
    8.5.1 : Exerciced’intégration des compétences Packet Tracer Diagramme de topologie Copyright sur l'intégralité du contenu © 1992–2007 Cisco Systems, Inc. Tous droits réservés. Ce document contient des informations publiques Cisco. Page 1 sur 7
  • 267.
    CCNA Exploration Protocoles etconcepts de routage : table de routage : examen détaillé 8.5.1 : Exercice d’intégration des compétences Packet Tracer Table d’adressage pour R1 Périphérique Interface Adresse IP Masque de sous-réseau S0/0/0 S0/0/1 S0/1/0 R1 S0/1/1 209.165.201.2 255.255.255.252 Fa0/0 Fa0/1 Fa1/0 Fa1/1 B1-R1 S0/0/0 Fa0/0 Fa0/1 Fa1/0 Fa1/1 B2-R1 S0/0/0 Fa0/0 Fa0/1 Fa1/0 Fa1/1 B3-R1 S0/0/0 S0/0/0 209.165.201.1 255.255.255.252 S0/0/1 209.165.201.5 255.255.255.252ISP-R1 Fa0/0 209.165.200.225 255.255.255.252 Web Server 1 Carte réseau 209.165.200.226 255.255.255.252 Copyright sur l'intégralité du contenu © 1992–2007 Cisco Systems, Inc. Tous droits réservés. Ce document contient des informations publiques Cisco. Page 2 sur 7
  • 268.
    CCNA Exploration Protocoles etconcepts de routage : table de routage : examen détaillé 8.5.1 : Exercice d’intégration des compétences Packet Tracer Table d’adressage pour R2 Périphérique Interface Adresse IP Masque de sous-réseau S0/0/0 S0/0/1 S0/1/0 R2 S0/1/1 209.165.201.10 255.255.255.252 Fa0/0 Fa0/1 Fa1/0 Fa1/1 B1-R2 S0/0/0 Fa0/0 Fa0/1 Fa1/0 Fa1/1 B2-R2 S0/0/0 Fa0/0 Fa0/1 Fa1/0 Fa1/1 B3-R2 S0/0/0 S0/0/0 209.165.201.6 255.255.255.252 S0/0/1 209.165.201.9 255.255.255.252ISP-R2 Fa0/0 209.165.200.229 255.255.255.252 Web Server 2 Carte réseau 209.165.200.230 255.255.255.252 Objectifs • Concevoir et documenter un schéma d’adressage en fonction de conditions requises • Appliquer une configuration de base aux périphériques • Configurer le routage statique entre les routeurs ISP • Configurer le routage RIPv2 dans Region 1 (commandes fournies) et le routage statique dans Region 2 • Désactiver les mises à jour RIP sur les interfaces appropriées • Configurer les routes par défaut et redistribuer via le protocole RIP • Vérifier la connectivité entre tous les périphériques de la topologie Copyright sur l'intégralité du contenu © 1992–2007 Cisco Systems, Inc. Tous droits réservés. Ce document contient des informations publiques Cisco. Page 3 sur 7
  • 269.
    CCNA Exploration Protocoles etconcepts de routage : table de routage : examen détaillé 8.5.1 : Exercice d’intégration des compétences Packet Tracer Tâche 1 : conception et documentation d’un schéma d’adressage Étape 1 : conception d’un schéma d’adressage À l’aide de la topologie et des spécifications suivantes, concevez un schéma d'adressage : • Les liaisons WAN entre R1, R2 et leurs routeurs ISP respectifs sont déjà configurées. Les liaisons entre les FAI et les serveurs Web sont également déjà configurées. • L’espace d’adressage de Region 1 est 10.1.0.0/16. Chaque routeur de branche (B1-R1, B2-R1 et B3-R1) doit se voir affecter un espace d’adressage en fonction des spécifications suivantes. Affectez un espace d'adressage à chaque routeur en commençant par le besoin le plus important : • B1-R1 a besoin d’un espace pour 16 000 hôtes ______________________ • B2-R1 a besoin d’un espace d’adressage pour 8 000 hôtes _____________ • B3-R1 a besoin d’un espace d’adressage pour 4 000 hôtes _____________ • Divisez l’espace d’adressage de chaque routeur de branche en quatre sous-réseaux égaux. Indiquez les sous-réseaux dans le tableau ci-dessous. Routeur Numéro du sous-réseau Adresse de sous-réseau B1-R1 Fa0/0 0 B1-R1 Fa0/1 1 B1-R1 Fa1/0 2 B1-R1 Fa1/1 3 Routeur Numéro du sous-réseau Adresse de sous-réseau B2-R1 Fa0/0 0 B2-R1 Fa0/1 1 B2-R1 Fa1/0 2 B2-R1 Fa1/1 3 Routeur Numéro du sous-réseau Adresse de sous-réseau B3-R1 Fa0/0 0 B3-R1 Fa0/1 1 B3-R1 Fa1/0 2 B3-R1 Fa1/1 3 • Pour les réseaux étendus de Region 1, subdivisez l’espace d’adressage 10.1.128.0/28. Indiquez les sous-réseaux dans le tableau ci-dessous. Copyright sur l'intégralité du contenu © 1992–2007 Cisco Systems, Inc. Tous droits réservés. Ce document contient des informations publiques Cisco. Page 4 sur 7
  • 270.
    CCNA Exploration Protocoles etconcepts de routage : table de routage : examen détaillé 8.5.1 : Exercice d’intégration des compétences Packet Tracer Routeur Numéro du sous-réseau Adresse de sous-réseau B1-R1 <--> R1B1-R1 <--> R1 0 B2-R1 <--> R1B2-R1 <--> R1 1 B3-R1 <--> R1B3-R1 <--> R1 2 • L’espace d’adressage de Region 2 est 172.20.0.0/16. Chaque routeur de branche (B1-R2, B2-R2 et B3-R2) doit se voir affecter un espace d’adressage en fonction des spécifications suivantes. Affectez un espace d'adressage à chaque routeur en commençant par le besoin le plus important : B1-R2 a besoin d’un espace pour 1 000 hôtes __________________ B2-R2 a besoin d’un espace pour 500 hôtes ____________________ B3-R2 a besoin d’un espace pour 200 hôtes ____________________ • Divisez l’espace d’adressage de chaque routeur de branche en quatre sous-réseaux égaux. Indiquez les sous-réseaux dans le tableau ci-dessous. Routeur Numéro du sous-réseau Adresse de sous-réseau B1-R2 Fa0/0 0 B1-R2 Fa0/1 1 B1-R2 Fa1/0 2 B1-R2 Fa1/1 3 Routeur Numéro du sous-réseau Adresse de sous-réseau B2-R2 Fa0/0 0 B2-R2 Fa0/1 1 B2-R2 Fa1/0 2 B2-R2 Fa1/1 3 Routeur Numéro du sous-réseau Adresse de sous-réseau B3-R2 Fa0/0 0 B3-R2 Fa0/1 1 B3-R2 Fa1/0 2 B3-R2 Fa1/1 3 • Pour les réseaux étendus de Region 2, subdivisez l’espace d’adressage 172.20.255.240/28. Indiquez les sous-réseaux dans le tableau ci-dessous. Copyright sur l'intégralité du contenu © 1992–2007 Cisco Systems, Inc. Tous droits réservés. Ce document contient des informations publiques Cisco. Page 5 sur 7
  • 271.
    CCNA Exploration Protocoles etconcepts de routage : table de routage : examen détaillé 8.5.1 : Exercice d’intégration des compétences Packet Tracer Routeur Numéro du sous-réseau Adresse de sous-réseau B1-R2 <--> R2 0 B2-R2 <--> R2 1 B3-R2 <--> R2 2 Étape 2 : documentation du schéma d’adressage • Facultatif : étiquetez chaque sous-réseau dans la topologie. Pour gagner de l’espace, utilisez uniquement les deux derniers octets, car eux seuls changent. • Documentez les adresses IP et les masques de sous-réseau à l’aide du tableau fourni dans les instructions papier. Affectez la première adresse IP à l’interface du routeur. • Pour les liaisons WAN, affectez la première adresse IP à R1 et R2 pour les liaisons aux routeurs B1, B2 et B3 respectifs de chaque routeur. Tâche 3 : application d’une configuration de base À l’aide de votre documentation, procédez à la configuration de base des routeurs, y compris l’adressage. Utilisez cisco comme mot de passe de ligne et class comme mot de passe secret. Utilisez la fréquence d’horloge 64 000. Tâche 4 : configuration du routage statique entre les routeurs ISP Chaque routeur ISP a déjà deux routes statiques vers les réseaux étendus directement connectés de l'autre routeur ISP. Implémentez un routage statique sur chaque routeur ISP pour vérifier la connectivité entre les deux régions. Tâche 5 : configuration du routage RIPv2 dans les deux régions Configurez le protocole RIPv2 comme protocole de routage dynamique pour chacun des routeurs des deux régions. Désactivez la fonction de récapitulatif automatique. Tâche 6 : désactivation des mises à jour RIP sur les interfaces appropriées Toutes les interfaces de routeur ne doivent pas envoyer de mises à jour RIP. Désactivez les mises à jour RIP sur les interfaces appropriées. Tâche 7 : configuration des routes par défaut et redistribution via le protocole RIP • Dans Region 1, déterminez quel routeur nécessite une route par défaut. Configurez une route par défaut sur ce routeur, puis configurez-le pour redistribuer cette route par défaut aux autres routeurs de la région. • Dans Region 2, déterminez quel routeur nécessite une route par défaut. Configurez une route par défaut sur ce routeur, puis configurez-le pour redistribuer cette route par défaut aux autres routeurs de la région. Copyright sur l'intégralité du contenu © 1992–2007 Cisco Systems, Inc. Tous droits réservés. Ce document contient des informations publiques Cisco. Page 6 sur 7
  • 272.
    Copyright sur l’intégralitédu contenu © 1992–2007 Cisco Systems, Inc. Tous droits réservés. Ce document contient des informations publiques Cisco. Page 1 sur 15 Travaux pratiques 9.6.1 : travaux pratiques de configuration EIGRP de base Diagramme de topologie Table d’adressage Périphérique Interface Adresse IP Masque de sous-réseau Passerelle par défaut R1 Fa0/0 172.16.1.1 255.255.255.0 s/o S0/0/0 172.16.3.1 255.255.255.252 s/o S0/0/1 192.168.10.5 255.255.255.252 s/o R2 Fa0/0 172.16.2.1 255.255.255.0 s/o S0/0/0 172.16.3.2 255.255.255.252 s/o S0/0/1 192.168.10.9 255.255.255.252 s/o Lo1 10.1.1.1 255.255.255.252 s/o R3 Fa0/0 192.168.1.1 255.255.255.0 s/o S0/0/0 192.168.10.6 255.255.255.252 s/o S0/0/1 192.168.10.10 255.255.255.252 s/o PC1 Carte réseau 172.16.1.10 255.255.255.0 172.16.1.1 PC2 Carte réseau 172.16.2.10 255.255.255.0 172.16.2.1 PC3 Carte réseau 192.168.1.10 255.255.255.0 192.168.1.1
  • 273.
    CCNA Exploration Travauxpratiques 9.6.1 : Protocoles et concepts de routage : protocole EIGRP travaux pratiques de configuration EIGRP de base Copyright sur l’intégralité du contenu © 1992–2007 Cisco Systems, Inc. Tous droits réservés. Ce document contient des informations publiques Cisco. Page 2 sur 15 Objectifs pédagogiques À l’issue de ces travaux pratiques, vous serez en mesure d’effectuer les tâches suivantes :  Câbler un réseau conformément au diagramme de topologie  Supprimer la configuration de démarrage et recharger un routeur en lui attribuant les paramètres par défaut  Effectuer des tâches de configuration de base sur un routeur  Configurer et activer des interfaces  Configurer le routage EIGRP sur tous les routeurs  Vérifier le routage EIGRP à l’aide des commandes show  Désactiver le récapitulatif automatique  Configurer le récapitulatif manuel  Configurer une route statique par défaut  Propager la route par défaut aux voisins EIGRP  Documenter la configuration du protocole EIGRP Scénario Dans le cadre de ces travaux pratiques, vous allez apprendre à configurer le protocole de routage EIGRP en utilisant le réseau illustré dans le diagramme de topologie. Une adresse de bouclage sera utilisée sur le routeur R2 pour simuler une connexion à un fournisseur de services Internet, auquel sera envoyé l’ensemble du trafic non destiné au réseau local. Certains segments du réseau ont été divisés en sous- réseaux par le biais de la technique de masquage de sous-réseau de longueur variable. EIGRP est un protocole de routage sans classe qui peut être utilisé pour fournir des informations de masque de sous- réseau dans les mises à jour de routage. Les informations de sous-réseau VLSM pourront ainsi être propagées sur l'ensemble du réseau. Tâche 1 : préparation du réseau Étape 1 : câblage d’un réseau similaire à celui du diagramme de topologie Vous pouvez utiliser n’importe quel routeur durant les travaux pratiques, pourvu qu'il soit équipé des interfaces indiquées dans la topologie. Étape 2 : suppression des configurations actuelles des routeurs Tâche 2 : configuration de base des routeurs Exécutez la configuration de base des routeurs R1, R2 et R3 en suivant les directives suivantes : 1. Configurez le nom d’hôte du routeur. 2. Désactivez la recherche DNS. 3. Configurez un mot de passe pour le mode d’exécution. 4. Configurez une bannière du message du jour. 5. Configurez un mot de passe pour les connexions de consoles. 6. Configurez un mot de passe pour les connexions de terminaux virtuels (vty).
  • 274.
    CCNA Exploration Travauxpratiques 9.6.1 : Protocoles et concepts de routage : protocole EIGRP travaux pratiques de configuration EIGRP de base Copyright sur l’intégralité du contenu © 1992–2007 Cisco Systems, Inc. Tous droits réservés. Ce document contient des informations publiques Cisco. Page 3 sur 15 Tâche 3 : configuration et activation des adresses série et Ethernet Étape 1 : configuration des interfaces des routeurs R1, R2 et R3 Configurez les interfaces des routeurs R1, R2 et R3 avec les adresses IP de la table figurant sous le diagramme de topologie. Étape 2 : vérification de l’adressage IP et des interfaces Utilisez la commande show ip interface brief pour vérifier que l’adressage IP est correct et que les interfaces sont actives. Enregistrez ensuite la configuration active dans la mémoire vive non volatile du routeur. Étape 3 : configuration des interfaces Ethernet de PC1, PC2 et PC3 Configurez les interfaces Ethernet de PC1, PC2 et PC3 avec les adresses IP et les passerelles par défaut indiquées dans la table figurant sous le diagramme de topologie. Tâche 4 : configuration du protocole EIGRP sur le routeur R1 Étape 1 : activation du protocole EIGRP Utilisez la commande router eigrp en mode de configuration globale pour activer le protocole EIGRP sur le routeur R1. Attribuez l’ID de processus 1 au paramètre système autonome. R1(config)#router eigrp 1 R1(config-router)# Étape 2 : configuration du réseau par classe 172.16.0.0 Une fois en sous-mode de configuration Router EIGRP, configurez le réseau par classe 172.16.0.0 de telle sorte qu’il soit inclus dans les mises à jour EIGRP envoyées par le routeur R1. R1(config-router)#network 172.16.0.0 R1(config-router)# Le routeur commencera à envoyer des messages de mise à jour EIGRP à partir de chaque interface appartenant au réseau 172.16.0.0. Les mises à jour EIGRP seront envoyées à partir des interfaces FastEthernet0/0 et Serial0/0/0, car toutes deux se trouvent sur les sous-réseaux du réseau 172.16.0.0. Étape 3 : configuration du routeur pour annoncer le réseau 192.168.10.4/30 connecté à l’interface Serial0/0/1 Utilisez l’option masque-générique avec la commande network pour annoncer uniquement le sous- réseau et non l’intégralité du réseau par classe 192.168.10.0. Remarque : considérez un masque générique comme l’inverse d’un masque de sous-réseau. L’inverse du masque de sous-réseau 255.255.255.252 est 0.0.0.3. Pour calculer l’inverse du masque de sous- réseau, soustrayez le masque de sous-réseau de 255.255.255.255 : 255.255.255.255 – 255.255.255.252 Soustrayez le masque de sous-réseau ------------------- 0. 0. 0. 3 Masque générique R1(config-router)# network 192.168.10.4 0.0.0.3 R1(config-router)#
  • 275.
    CCNA Exploration Travauxpratiques 9.6.1 : Protocoles et concepts de routage : protocole EIGRP travaux pratiques de configuration EIGRP de base Copyright sur l’intégralité du contenu © 1992–2007 Cisco Systems, Inc. Tous droits réservés. Ce document contient des informations publiques Cisco. Page 4 sur 15 À l’issue de la configuration du protocole EIGRP pour le routeur R1, repassez en mode d’exécution privilégié et enregistrez la configuration active dans la mémoire vive non volatile. R1(config-router)#end %SYS-5-CONFIG_I: Configured from console by console R1# Tâche 5 : configuration du protocole EIGRP sur les routeurs R2 et R3 Étape 1 : activation du routage EIGRP sur le routeur R2 à l’aide de la commande router eigrp Utilisez l’ID de processus 1. R2(config)#router eigrp 1 R2(config-router)# Étape 2 : utilisation de l’adresse par classe 172.16.0.0 de façon à inclure le réseau pour l’interface FastEthernet0/0 R2(config-router)#network 172.16.0.0 R2(config-router)# %DUAL-5-NBRCHANGE: IP-EIGRP 1: Neighbor 172.16.3.1 (Serial0/0/0) is up: new adjacency Sachez que l’algorithme DUAL envoie un message de notification à la console indiquant qu’une relation de voisinage a été établie avec un autre routeur EIGRP. Quelle est l’adresse IP du routeur voisin EIGRP ? ________________________________________ À quelle interface du routeur R2 le voisin est-il adjacent ? ________________________________________ Étape 3 : configuration du routeur R2 pour qu’il annonce le réseau 192.168.10.8/30 rattaché à l’interface Serial0/0/1 1. Utilisez l’option masque-générique avec la commande network pour annoncer uniquement le sous-réseau et non l’intégralité du réseau par classe 192.168.10.0. 2. Une fois la configuration terminée, repassez en mode d’exécution privilégié. R2(config-router)#network 192.168.10.8 0.0.0.3 R2(config-router)#end %SYS-5-CONFIG_I: Configured from console by console R2# Étape 4 : configuration du protocole EIGRP sur le routeur R3 à l’aide des commandes router eigrp et network 1. Utilisez l’ID de processus 1. 2. Utilisez l’adresse du réseau par classe rattaché à l’interface FastEthernet0/0. 3. Incluez les masques génériques des sous-réseaux rattachés aux interfaces Serial0/0/0 et Serial 0/0/1. 4. Une fois la configuration terminée, repassez en mode d’exécution privilégié. R3(config)#router eigrp 1 R3(config-router)#network 192.168.1.0 R3(config-router)#network 192.168.10.4 0.0.0.3
  • 276.
    CCNA Exploration Travauxpratiques 9.6.1 : Protocoles et concepts de routage : protocole EIGRP travaux pratiques de configuration EIGRP de base Copyright sur l’intégralité du contenu © 1992–2007 Cisco Systems, Inc. Tous droits réservés. Ce document contient des informations publiques Cisco. Page 5 sur 15 R3(config-router)# %DUAL-5-NBRCHANGE: IP-EIGRP 1: Neighbor 192.168.10.5 (Serial0/0/0) is up: new adjacency R3(config-router)#network 192.168.10.8 0.0.0.3 R3(config-router)# %DUAL-5-NBRCHANGE: IP-EIGRP 1: Neighbor 192.168.10.9 (Serial0/0/1) is up: new adjacency R3(config-router)#end %SYS-5-CONFIG_I: Configured from console by console R3# Vous remarquerez que lorsque les réseaux des liaisons série des routeurs R3 à R1 et R3 à R2 sont ajoutés à la configuration EIGRP, l’algorithme DUAL envoie un message de notification à la console indiquant qu’une relation de voisinage a été établie avec un autre routeur EIGRP. Tâche 6 : vérification du fonctionnement de EIGRP Étape 1 : affichage des voisins Sur le routeur R1, utilisez la commande show ip eigrp neighbors pour afficher la table des voisins et vérifier que EIGRP a établi une contiguïté avec les routeurs R2 et R3. Vous devriez être en mesure de voir l’adresse IP de chaque routeur adjacent et l’interface qu’utilise R1 pour atteindre ce voisin EIGRP. R1#show ip eigrp neighbors IP-EIGRP neighbors for process 1 H Address Interface Hold Uptime SRTT RTO Q Seq (sec) (ms) Cnt Num 0 172.16.3.2 Ser0/0/0 10 00:36:51 40 500 0 13 1 192.168.10.6 Ser0/0/1 11 00:26:51 40 500 0 4 R1# Étape 2 : consultation des informations relatives au protocole de routage Sur le routeur R1, utilisez la commande show ip protocols pour visualiser les informations liées au fonctionnement du protocole de routage. Vous remarquerez que les informations que vous avez configurées au cours de la tâche 5, notamment le protocole, l’ID de processus et les réseaux, apparaissent dans la sortie. Les adresses IP des voisins contigus apparaissent également. R1#show ip protocols Routing Protocol is "eigrp 1 " Outgoing update filter list for all interfaces is not set Incoming update filter list for all interfaces is not set Default networks flagged in outgoing updates Default networks accepted from incoming updates EIGRP metric weight K1=1, K2=0, K3=1, K4=0, K5=0 EIGRP maximum hopcount 100 EIGRP maximum metric variance 1 Redistributing: eigrp 1 Automatic network summarization is in effect Automatic address summarization: Maximum path: 4 Routing for Networks: 172.16.0.0 192.168.10.4/30
  • 277.
    CCNA Exploration Travauxpratiques 9.6.1 : Protocoles et concepts de routage : protocole EIGRP travaux pratiques de configuration EIGRP de base Copyright sur l’intégralité du contenu © 1992–2007 Cisco Systems, Inc. Tous droits réservés. Ce document contient des informations publiques Cisco. Page 6 sur 15 Routing Information Sources: Gateway Distance Last Update 172.16.3.2 90 4811399 192.168.10.6 90 5411677 Distance: internal 90 external 170 Comme vous pouvez le constater, la sortie indique l’ID de processus utilisé par EIGRP. N’oubliez pas que l’ID de processus doit être identique sur tous les routeurs pour que EIGRP puisse établir des contiguïtés et partager des informations de routage. Tâche 7 : examen des routes EIGRP dans les tables de routage Étape 1 : affichage de la table de routage sur le routeur R1 Les routes EIGRP sont désignées dans la table de routage par la lettre D, qui signifie DUAL (Diffusing Update Algorithm), c’est-à-dire l’algorithme de routage utilisé par le protocole EIGRP. R1#show ip route Codes : C - connected, S - static, I - IGRP, R - RIP, M - mobile, B - BGP D - EIGRP, EX - EIGRP external, O - OSPF, IA - OSPF inter area N1 - OSPF NSSA external type 1, N2 - OSPF NSSA external type 2 E1 - OSPF external type 1, E2 - OSPF external type 2, E - EGP i - IS-IS, L1 - IS-IS level-1, L2 - IS-IS level-2, ia - IS-IS inter area * - candidate default, U - per-user static route, o - ODR P - periodic downloaded static route Gateway of last resort is not set 172.16.0.0/16 is variably subnetted, 4 subnets, 3 masks D 172.16.0.0/16 is a summary, 01:16:19, Null0 C 172.16.1.0/24 is directly connected, FastEthernet0/0 D 172.16.2.0/24 [90/2172416] via 172.16.3.2, 01:16:20, Serial0/0/0 C 172.16.3.0/30 is directly connected, Serial0/0/0 D 192.168.1.0/24 [90/2172416] via 192.168.10.6, 01:06:18, Serial0/0/1 192.168.10.0/24 is variably subnetted, 3 subnets, 2 masks D 192.168.10.0/24 is a summary, 01:06:07, Null0 C 192.168.10.4/30 is directly connected, Serial0/0/1 D 192.168.10.8/30 [90/2681856] via 192.168.10.6, 01:06:07, Serial0/0/1 R1# Vous remarquerez que le réseau parent 172.16.0.0/16 est divisé de manière variable en sous-réseaux avec trois routes utilisant un masque /24 ou /30. De même, EIGRP a automatiquement inclus un résumé du routage à destination de Null0 pour le réseau 172.16.0.0/16. La route 172.16.0.0/16 ne représente pas réellement un chemin d’accès au réseau parent 172.16.0.0/16. Si un paquet destiné à 172.16.0.0/16 ne correspond pas à l’une des routes enfant de niveau 2, il est envoyé à l’interface Null0. 172.16.0.0/16 is variably subnetted, 4 subnets, 3 masks D 172.16.0.0/16 is a summary, 01:16:19, Null0 C 172.16.1.0/24 is directly connected, FastEthernet0/0 D 172.16.2.0/24 [90/2172416] via 172.16.3.2, 01:16:20, Serial0/0/0 C 172.16.3.0/30 is directly connected, Serial0/0/0 Le réseau 192.168.10.0/24 est également divisé de manière variable en sous-réseaux et inclut une route Null0. 192.168.10.0/24 is variably subnetted, 3 subnets, 2 masks D 192.168.10.0/24 is a summary, 01:06:07, Null0 C 192.168.10.4/30 is directly connected, Serial0/0/1 D 192.168.10.8/30 [90/2681856] via 192.168.10.6, 01:06:07, Serial0/0/1
  • 278.
    CCNA Exploration Travauxpratiques 9.6.1 : Protocoles et concepts de routage : protocole EIGRP travaux pratiques de configuration EIGRP de base Copyright sur l’intégralité du contenu © 1992–2007 Cisco Systems, Inc. Tous droits réservés. Ce document contient des informations publiques Cisco. Page 7 sur 15 Étape 2 : affichage de la table de routage sur le routeur R3 La table de routage de R3 indique que R1 et R2 résument automatiquement le réseau 172.16.0.0/16 et l’envoient en tant que mise à jour de routage unique. En présence du récapitulatif automatique, R1 et R2 ne propagent pas individuellement chaque sous-réseau. Étant donné que R3 obtient deux routes à coût égal pour 172.16.0.0/16 de la part de R1 et R2, les deux routes sont incluses dans la table de routage. R3#show ip route <output omitted> D 172.16.0.0/16 [90/2172416] via 192.168.10.5, 01:15:35, Serial0/0/0 [90/2172416] via 192.168.10.9, 01:15:22, Serial0/0/1 C 192.168.1.0/24 is directly connected, FastEthernet0/0 192.168.10.0/24 is variably subnetted, 3 subnets, 2 masks D 192.168.10.0/24 is a summary, 01:15:22, Null0 C 192.168.10.4/30 is directly connected, Serial0/0/0 C 192.168.10.8/30 is directly connected, Serial0/0/1 R3# Tâche 8 : configuration des mesures EIGRP Étape 1 : consultation des informations relatives aux mesures EIGRP Utilisez la commande show ip interface pour afficher les mesures EIGRP de l’interface Serial0/0/0 du routeur R1. Remarquez les valeurs de bande passante (BW), de délai (DLY), de fiabilité (rely) et de chargement (load). R1#show interface serial0/0/0 Serial0/0/0 is up, line protocol is up (connected) Hardware is HD64570 Internet address is 172.16.3.1/30 MTU 1500 bytes, BW 1544 Kbit, DLY 20000 usec, rely 255/255, load 1/255 Encapsulation HDLC, loopback not set, keepalive set (10 sec) <output omitted> Étape 2 : modification de la bande passante des interfaces Serial Sur la plupart des liaisons série, la métrique de bande passante a par défaut une valeur de 1 544 Kbits/s. S’il ne s’agit pas de la bande passante réelle de la liaison série, la bande passante doit être modifiée pour que la mesure EIGRP puisse être calculée correctement. Dans le cadre de ces travaux pratiques, la liaison entre R1 et R2 sera configurée avec une bande passante de 64 Kbits/s, tandis que la liaison entre R2 et R3 sera configurée avec une bande passante de 1 024 Kbits/s. Utilisez la commande bandwidth pour modifier la bande passante des interfaces Serial de chaque routeur. Routeur R1 : R1(config)#interface serial0/0/0 R1(config-if)#bandwidth 64 Routeur R2 : R2(config)#interface serial0/0/0 R2(config-if)#bandwidth 64 R2(config)#interface serial0/0/1 R2(config-if)#bandwidth 1024 Routeur R3 : R3(config)#interface serial0/0/1 R3(config-if)#bandwidth 1024
  • 279.
    CCNA Exploration Travauxpratiques 9.6.1 : Protocoles et concepts de routage : protocole EIGRP travaux pratiques de configuration EIGRP de base Copyright sur l’intégralité du contenu © 1992–2007 Cisco Systems, Inc. Tous droits réservés. Ce document contient des informations publiques Cisco. Page 8 sur 15 Remarque : la commande bandwidth ne modifie que la mesure de bande passante utilisée par les protocoles de routage, et non la bande passante physique de la liaison. Étape 3 : vérification des modifications de la bande passante Utilisez la commande show ip interface pour vérifier que la valeur de bande passante de chaque liaison a bien été modifiée. R1#show interface serial0/0/0 Serial0/0/0 is up, line protocol is up (connected) Hardware is HD64570 Internet address is 172.16.3.1/30 MTU 1500 bytes, BW 64 Kbit, DLY 20000 usec, rely 255/255, load 1/255 Encapsulation HDLC, loopback not set, keepalive set (10 sec) <output omitted> R2#show interface serial0/0/0 Serial0/0/0 is up, line protocol is up (connected) Hardware is HD64570 Internet address is 172.16.3.2/30 MTU 1500 bytes, BW 64 Kbit, DLY 20000 usec, rely 255/255, load 1/255 Encapsulation HDLC, loopback not set, keepalive set (10 sec) <output omitted> R3#show interface serial0/0/1 Serial0/0/1 is up, line protocol is up (connected) Hardware is HD64570 Internet address is 192.168.10.10/30 MTU 1500 bytes, BW 1024 Kbit, DLY 20000 usec, rely 255/255, load 1/255 Encapsulation HDLC, loopback not set, keepalive set (10 sec) <output omitted> Remarque : utilisez la commande de configuration d’interface no bandwidth pour rétablir la valeur de bande passante par défaut. Tâche 9 : examen des successeurs et des distances de faisabilité Étape 1 : examen des successeurs et des distances de faisabilité dans la table de routage de R2 R2#show ip route <output omitted> 10.0.0.0/30 is subnetted, 1 subnets C 10.1.1.0 is directly connected, Loopback1 172.16.0.0/16 is variably subnetted, 4 subnets, 3 masks D 172.16.0.0/16 is a summary, 00:00:52, Null0 D 172.16.1.0/24 [90/40514560] via 172.16.3.1, 00:00:52, Serial0/0/0 C 172.16.2.0/24 is directly connected, FastEthernet0/0 C 172.16.3.0/30 is directly connected, Serial0/0/0 D 192.168.1.0/24 [90/3014400] via 192.168.10.10, 00:00:11, Serial0/0/1 192.168.10.0/24 is variably subnetted, 3 subnets, 2 masks D 192.168.10.0/24 is a summary, 00:00:11, Null0 D 192.168.10.4/30 [90/3523840] via 192.168.10.10, 00:00:11,
  • 280.
    CCNA Exploration Travauxpratiques 9.6.1 : Protocoles et concepts de routage : protocole EIGRP travaux pratiques de configuration EIGRP de base Copyright sur l’intégralité du contenu © 1992–2007 Cisco Systems, Inc. Tous droits réservés. Ce document contient des informations publiques Cisco. Page 9 sur 15 Serial0/0/1 C 192.168.10.8/30 is directly connected, Serial0/0/1 R2# Étape 2 : réponse aux questions suivantes : Quel est le meilleur chemin pour accéder à PC1 ? ____________________________________________________________________________________ Un successeur est un routeur voisin utilisé pour le transfert de paquets. Un successeur est la route à moindre coût permettant d’accéder au réseau de destination. L’adresse IP d’un successeur est indiquée dans une entrée de table de routage après le mot « via ». Quels sont l’adresse IP et le nom du routeur successeur dans cette route ? ________________________________________ La distance de faisabilité (FD) est la mesure calculée la plus basse pour atteindre cette destination. Dans l’entrée de la table de routage, FD est la mesure qui correspond au deuxième nombre entre crochets. Quelle est la distance de faisabilité entre le PC1 et le réseau ? ________________________________________ Tâche 10 : identification éventuelle de R1 comme un successeur potentiel de la route séparant R2 et le réseau 192.168.1.0 Un successeur potentiel est un voisin qui présente un chemin de secours viable pour accéder au même réseau que le successeur. Pour être un successeur potentiel, le routeur R1 doit satisfaire à la condition de faisabilité. La condition de faisabilité (FC) est remplie lorsque la distance annoncée (RD) qui sépare un voisin d’un réseau est inférieure à la distance de faisabilité qui sépare le routeur local de ce même réseau de destination. Étape 1 : examen de la table de routage du routeur R1 R1#show ip route <output omitted> 172.16.0.0/16 is variably subnetted, 4 subnets, 3 masks D 172.16.0.0/16 is a summary, 00:42:59, Null0 C 172.16.1.0/24 is directly connected, FastEthernet0/0 D 172.16.2.0/24 [90/40514560] via 172.16.3.2, 00:43:00, Serial0/0/0 C 172.16.3.0/30 is directly connected, Serial0/0/0 D 192.168.1.0/24 [90/2172416] via 192.168.10.6, 00:42:26, Serial0/0/1 192.168.10.0/24 is variably subnetted, 3 subnets, 2 masks D 192.168.10.0/24 is a summary, 00:42:20, Null0 C 192.168.10.4/30 is directly connected, Serial0/0/1 D 192.168.10.8/30 [90/3523840] via 192.168.10.6, 00:42:20, Serial0/0/1 R1# Quelle est la distance annoncée jusqu’au réseau 192.168.1.0 ? ________________________________________
  • 281.
    CCNA Exploration Travauxpratiques 9.6.1 : Protocoles et concepts de routage : protocole EIGRP travaux pratiques de configuration EIGRP de base Copyright sur l’intégralité du contenu © 1992–2007 Cisco Systems, Inc. Tous droits réservés. Ce document contient des informations publiques Cisco. Page 10 sur 15 Étape 2 : examen de la table de routage du routeur R2 R2#show ip route <output omitted> 10.0.0.0/30 is subnetted, 1 subnets C 10.1.1.0 is directly connected, Loopback1 172.16.0.0/16 is variably subnetted, 4 subnets, 3 masks D 172.16.0.0/16 is a summary, 00:00:52, Null0 D 172.16.1.0/24 [90/40514560] via 172.16.3.1, 00:00:52, Serial0/0/0 C 172.16.2.0/24 is directly connected, FastEthernet0/0 C 172.16.3.0/30 is directly connected, Serial0/0/0 D 192.168.1.0/24 [90/3014400] via 192.168.10.10, 00:00:11, Serial0/0/1 192.168.10.0/24 is variably subnetted, 3 subnets, 2 masks D 192.168.10.0/24 is a summary, 00:00:11, Null0 D 192.168.10.4/30 [90/3523840] via 192.168.10.10, 00:00:11, Serial0/0/1 C 192.168.10.8/30 is directly connected, Serial0/0/1 R2# Quelle est la distance de faisabilité jusqu’au réseau 192.168.1.0 ? ________________________________________ Est-ce que le routeur R2 pourrait considérer R1 comme un successeur potentiel pour accéder au réseau 192.168.1.0 ? _______ Tâche 11 : examen de la table topologique EIGRP Étape 1 : affichage de la table topologique EIGRP Utilisez la commande show ip eigrp topology pour afficher la table topologique EIGRP du routeur R2. R2#show ip eigrp topology IP-EIGRP Topology Table for AS 1 Codes : P - Passive, A - Active, U - Update, Q - Query, R - Reply, r - Reply status P 172.16.2.0/24, 1 successors, FD is 28160 via Connected, FastEthernet0/0 P 172.16.3.0/30, 1 successors, FD is 40512000 via Connected, Serial0/0/0 P 192.168.10.8/30, 1 successors, FD is 3011840 via Connected, Serial0/0/1 P 172.16.0.0/16, 1 successors, FD is 28160 via Summary (28160/0), Null0 P 192.168.10.0/24, 1 successors, FD is 3011840 via Summary (3011840/0), Null0 P 172.16.1.0/24, 1 successors, FD is 40514560 via 172.16.3.1 (40514560/28160), Serial0/0/0 P 192.168.1.0/24, 1 successors, FD is 3014400 via 192.168.10.10 (3014400/28160), Serial0/0/1 via 172.16.3.1 (41026560/2172416), Serial0/0/0 P 192.168.10.4/30, 1 successors, FD is 3523840 via 192.168.10.10 (3523840/2169856), Serial0/0/1 R2#
  • 282.
    CCNA Exploration Travauxpratiques 9.6.1 : Protocoles et concepts de routage : protocole EIGRP travaux pratiques de configuration EIGRP de base Copyright sur l’intégralité du contenu © 1992–2007 Cisco Systems, Inc. Tous droits réservés. Ce document contient des informations publiques Cisco. Page 11 sur 15 Étape 2 : affichage d’informations détaillées sur la topologie EIGRP Utilisez le paramètre [réseau] de la commande show ip eigrp topology pour afficher des informations détaillées sur la topologie EIGRP pour le réseau 192.16.0.0. R2#show ip eigrp topology 192.168.1.0 IP-EIGRP (AS 1): Topology entry for 192.168.1.0/24 State is Passive, Query origin flag is 1, 1 Successor(s), FD is 3014400 Routing Descriptor Blocks: 192.168.10.10 (Serial0/0/1), from 192.168.10.10, Send flag is 0x0 Composite metric is (3014400/28160), Route is Internal Vector metric: Minimum bandwidth is 1024 Kbit Total delay is 20100 microseconds Reliability is 255/255 Load is 1/255 Minimum MTU is 1500 Hop count is 1 172.16.3.1 (Serial0/0/0), from 172.16.3.1, Send flag is 0x0 Composite metric is (41026560/2172416), Route is Internal Vector metric: Minimum bandwidth is 64 Kbit Total delay is 40100 microseconds Reliability is 255/255 Load is 1/255 Minimum MTU is 1500 Hop count is 2 R2# Combien de successeurs existe-t-il pour ce réseau ? ________________________________________ Quelle est la distance de faisabilité jusqu’à ce réseau ? ________________________________________ Quelle est l’adresse IP du successeur potentiel ? ________________________________________ Quelle est la distance annoncée entre le successeur potentiel et 192.168.1.0 ? ________________________________________ Quelle serait la distance de faisabilité jusqu’à 192.168.1.0 si le routeur R1 devenait le successeur ? ________________________________________ Tâche 12 : désactivation du récapitulatif automatique du protocole EIGRP Étape 1 : examen de la table de routage du routeur R3 Comme vous pouvez le constater, le routeur R3 ne reçoit pas de routes individuelles pour les sous- réseaux 172.16.1.0/24, 172.16.2.0/24 et 172.16.3.0/24. En revanche, la table de routage ne contient qu’un résumé du routage vers l’adresse réseau par classe de 172.16.0.0/16 via le routeur R1. De ce fait, les paquets destinés au réseau 172.16.2.0/24 transitent par le routeur R1 au lieu d’être envoyés directement au routeur R2.
  • 283.
    CCNA Exploration Travauxpratiques 9.6.1 : Protocoles et concepts de routage : protocole EIGRP travaux pratiques de configuration EIGRP de base Copyright sur l’intégralité du contenu © 1992–2007 Cisco Systems, Inc. Tous droits réservés. Ce document contient des informations publiques Cisco. Page 12 sur 15 R3#show ip route <output omitted> D 172.16.0.0/16 [90/2172416] via 192.168.10.5, 01:21:54, Serial0/0/0 C 192.168.1.0/24 is directly connected, FastEthernet0/0 192.168.10.0/24 is variably subnetted, 3 subnets, 2 masks D 192.168.10.0/24 is a summary, 01:21:47, Null0 C 192.168.10.4/30 is directly connected, Serial0/0/0 C 192.168.10.8/30 is directly connected, Serial0/0/1 R3# Pourquoi le routeur R1 (192.168.10.5) est-il l’unique successeur pour la route à destination du réseau 172.16.0.0/16 ? ____________________________________________________________________________________ ____________________________________________________________________________________ ____________________________________________________________________________________ Étape 2 : examen de la table topologique EIGRP du routeur R3 Remarquez que la distance annoncée à partir du routeur R2 est supérieure à la distance de faisabilité à partir du routeur R1. R3#show ip eigrp topology IP-EIGRP Topology Table for AS 1 Codes : P - Passive, A - Active, U - Update, Q - Query, R - Reply, r - Reply status P 192.168.1.0/24, 1 successors, FD is 28160 via Connected, FastEthernet0/0 P 192.168.10.4/30, 1 successors, FD is 2169856 via Connected, Serial0/0/0 P 192.168.10.0/24, 1 successors, FD is 2169856 via Summary (2169856/0), Null0 P 172.16.0.0/16, 1 successors, FD is 2172416 via 192.168.10.5 (2172416/28160), Serial0/0/0 via 192.168.10.9 (3014400/28160), Serial0/0/1 P 192.168.10.8/30, 1 successors, FD is 3011840 via Connected, Serial0/0/1 Étape 3 : désactivation du récapitulatif automatique sur les trois routeurs à l'aide de la commande no auto-summary R1(config)#router eigrp 1 R1(config-router)#no auto-summary R2(config)#router eigrp 1 R2(config-router)#no auto-summary R3(config)#router eigrp 1 R3(config-router)#no auto-summary
  • 284.
    CCNA Exploration Travauxpratiques 9.6.1 : Protocoles et concepts de routage : protocole EIGRP travaux pratiques de configuration EIGRP de base Copyright sur l’intégralité du contenu © 1992–2007 Cisco Systems, Inc. Tous droits réservés. Ce document contient des informations publiques Cisco. Page 13 sur 15 Étape 4 : nouvelle consultation de la table de routage du routeur R1 Vous constaterez que les routes individuelles pour les sous-réseaux 172.16.1.0/24, 172.16.2.0/24 et 172.16.3.0/24 sont maintenant indiquées, tandis que la route de récapitulatif Null n’est plus répertoriée. R3#show ip route <output omitted> 172.16.0.0/16 is variably subnetted, 4 subnets, 3 masks D 172.16.1.0/24 [90/2172416] via 192.168.10.5, 00:02:37, Serial0/0/0 D 172.16.2.0/24 [90/3014400] via 192.168.10.9, 00:02:39, Serial0/0/1 D 172.16.3.0/30 [90/41024000] via 192.168.10.9, 00:02:39, Serial0/0/1 [90/41024000] via 192.168.10.5, 00:02:37, Serial0/0/0 C 192.168.1.0/24 is directly connected, FastEthernet0/0 192.168.10.0/24 is variably subnetted, 3 subnets, 2 masks C 192.168.10.4/30 is directly connected, Serial0/0/0 C 192.168.10.8/30 is directly connected, Serial0/0/1 R3# Tâche 13 : configuration du récapitulatif manuel Étape 1 : ajout d’adresses de bouclage à destination du routeur R3 Ajoutez deux adresses de bouclage, 192.168.2.1/24 et 192.168.3.1/24, à destination du routeur R3. Ces interfaces virtuelles seront utilisées pour représenter les réseaux à résumer manuellement avec le réseau local 192.168.1.0/24. R3(config)#interface loopback1 %LINK-5-CHANGED: Interface Loopback1, changed state to up %LINEPROTO-5-UPDOWN: Line protocol on Interface Loopback1, changed state to upR3(config-if)#ip address 192.168.2.1 255.255.255.0 R3(config-if)#interface loopback2 %LINK-5-CHANGED: Interface Loopback2, changed state to up %LINEPROTO-5-UPDOWN: Line protocol on Interface Loopback2, changed state to up R3(config-if)#ip address 192.168.3.1 255.255.255.0 R3(config-if)# Étape 2 : ajout des réseaux 192.168.2.0 et 192.168.3.0 à la configuration EIGRP du routeur R3 R3(config)#router eigrp 1 R3(config-router)#network 192.168.2.0 R3(config-router)#network 192.168.3.0 Étape 3 : vérification des nouvelles routes Consultez la table de routage de R1 pour vérifier que les nouvelles routes figurent dans les mises à jour EIGRP envoyées par R3. R1#show ip route <output omitted>
  • 285.
    CCNA Exploration Travauxpratiques 9.6.1 : Protocoles et concepts de routage : protocole EIGRP travaux pratiques de configuration EIGRP de base Copyright sur l’intégralité du contenu © 1992–2007 Cisco Systems, Inc. Tous droits réservés. Ce document contient des informations publiques Cisco. Page 14 sur 15 172.16.0.0/16 is variably subnetted, 4 subnets, 3 masks C 172.16.1.0/24 is directly connected, FastEthernet0/0 D 172.16.2.0/24 [90/3526400] via 192.168.10.6, 00:15:07, Serial0/0/1 C 172.16.3.0/30 is directly connected, Serial0/0/0 D 192.168.1.0/24 [90/2172416] via 192.168.10.6, 00:15:07, Serial0/0/1 D 192.168.2.0/24 [90/2297856] via 192.168.10.6, 00:01:07, Serial0/0/1 D 192.168.3.0/24 [90/2297856] via 192.168.10.6, 00:00:57, Serial0/0/1 192.168.10.0/24 is variably subnetted, 3 subnets, 2 masks C 192.168.10.4/30 is directly connected, Serial0/0/1 D 192.168.10.8/30 [90/3523840] via 192.168.10.6, 00:15:07, Serial0/0/1 R1# Étape 4 : application du récapitulatif manuel aux interfaces de sortie Les routes à destination des réseaux 192.168.1.0/24, 192.168.2.0/24 et 192.168.3.0/24 peuvent être résumées dans le réseau unique 192.168.0.0/22. Utilisez la commande ip summary-address eigrp en tant que numéro d’adresse réseau-masque de sous-réseau pour configurer le récapitulatif manuel sur chacune des interfaces de sortie connectées aux voisins EIGRP. R3(config)#interface serial0/0/0 R3(config-if)#ip summary-address eigrp 1 192.168.0.0 255.255.252.0 R3(config-if)#interface serial0/0/1 R3(config-if)#ip summary-address eigrp 1 192.168.0.0 255.255.252.0 R3(config-if)# Étape 5 : vérification du résumé du routage Consultez la table de routage du routeur R1 pour vérifier que le résumé du routage figure dans les mises à jour EIGRP envoyées par R3. R1#show ip route <output omitted> 172.16.0.0/16 is variably subnetted, 4 subnets, 3 masks C 172.16.1.0/24 is directly connected, FastEthernet0/0 D 172.16.2.0/24 [90/3526400] via 192.168.10.6, 00:15:07, Serial0/0/1 C 172.16.3.0/30 is directly connected, Serial0/0/0 D 192.168.0.0/22 [90/2172416] via 192.168.10.6, 00:01:11, Serial0/0/1 192.168.10.0/24 is variably subnetted, 3 subnets, 2 masks C 192.168.10.4/30 is directly connected, Serial0/0/1 D 192.168.10.8/30 [90/3523840] via 192.168.10.6, 00:15:07, Serial0/0/1 R1# Tâche 14 : configuration et distribution d’une route statique par défaut Étape 1 : configuration d’une route statique par défaut sur le routeur R2 Utilisez l'adresse de bouclage qui a été configurée pour simuler une liaison vers un FAI comme interface de sortie. R2(config)#ip route 0.0.0.0 0.0.0.0 loopback1 R2(config)#
  • 286.
    CCNA Exploration Travauxpratiques 9.6.1 : Protocoles et concepts de routage : protocole EIGRP travaux pratiques de configuration EIGRP de base Copyright sur l’intégralité du contenu © 1992–2007 Cisco Systems, Inc. Tous droits réservés. Ce document contient des informations publiques Cisco. Page 15 sur 15 Étape 2 : inclusion de la route statique dans les mises à jour EIGRP Utilisez la commande redistribute static pour inclure la route statique dans les mises à jour EIGRP envoyées à partir du routeur R2. R2(config)#router eigrp 1 R2(config-router)#redistribute static R2(config-router)# Étape 3 : vérification de la route statique par défaut Consultez la table de routage du routeur R1 pour vérifier que la route statique par défaut est redistribuée via EIGRP. R1#show ip route <output omitted> Gateway of last resort is 192.168.10.6 to network 0.0.0.0 192.168.10.0/30 is subnetted, 2 subnets C 192.168.10.4 is directly connected, Serial0/0/1 D 192.168.10.8 [90/3523840] via 192.168.10.6, 01:06:01, Serial0/0/1 172.16.0.0/16 is variably subnetted, 3 subnets, 2 masks C 172.16.1.0/24 is directly connected, FastEthernet0/0 D 172.16.2.0/24 [90/3526400] via 192.168.10.6, 01:05:39, Serial0/0/1 C 172.16.3.0/30 is directly connected, Serial0/0/0 D*EX 0.0.0.0/0 [170/3651840] via 192.168.10.6, 00:02:14, Serial0/0/1 D 192.168.0.0/22 [90/2172416] via 192.168.10.6, 01:05:38, Serial0/0/1 Tâche 15 : documentation Sur chaque routeur, capturez la sortie de commande suivante dans un fichier texte (.txt) et enregistrez-la pour pouvoir la consulter ultérieurement :  show running-config  show ip route  show ip interface brief  show ip protocols Tâche 16 : remise en état Supprimez les configurations et rechargez les routeurs. Déconnectez et rangez les câbles. Pour les hôtes PC qui sont habituellement connectés à d’autres réseaux (comme un réseau local scolaire ou Internet), reconnectez les câbles appropriés et restaurez les paramètres TCP/IP.
  • 287.
    Copyright sur l’intégralitédu contenu © 1992–2007 Cisco Systems, Inc. Tous droits réservés. Ce document contient des informations publiques Cisco. Page 1 sur 8 Travaux pratiques 9.6.2 : confirmation de configuration EIGRP Diagramme de topologie Table d’adressage Périphérique Interface Adresse IP Masque de sous-réseau Passerelle par défaut HQ Fa0/0 N/A S0/0/0 N/A S0/0/1 N/A Lo1 N/A BRANCH1 Fa0/0 N/A S0/0/0 N/A S0/0/1 N/A BRANCH2 Fa0/0 N/A S0/0/0 N/A S0/0/1 N/A PC1 Carte réseau PC2 Carte réseau PC3 Carte réseau
  • 288.
    CCNA Exploration Protocoles etconcepts de routage : protocole EIGRP Travaux pratiques 9.6.2 : confirmation de configuration EIGRP Copyright sur l’intégralité du contenu © 1992–2007 Cisco Systems, Inc. Tous droits réservés. Ce document contient des informations publiques Cisco. Page 2 sur 8 Objectifs pédagogiques À l’issue de ces travaux pratiques, vous serez en mesure d’effectuer les tâches suivantes :  Créer une conception VLSM (masque de sous-réseau de longueur variable) efficace conforme aux spécifications  Attribuer des adresses appropriées aux interfaces et les documenter  Câbler un réseau conformément au diagramme de topologie  Supprimer la configuration de démarrage et recharger un routeur en lui attribuant les paramètres par défaut  Configurer des routeurs qui intègrent le protocole EIGRP  Configurer et propager une route statique par défaut  Vérifier le fonctionnement du protocole EIGRP  Tester et vérifier la connectivité complète  Réfléchir à la mise en œuvre du réseau et en prendre note Scénario Dans ces travaux pratiques, vous devrez diviser une adresse réseau en sous-réseaux à l’aide des masques de sous-réseau de longueur variable (VLSM) pour procéder à l’adressage du réseau qui est illustré dans le diagramme de topologie. Le routage EIGRP et le routage statique devront être combinés pour permettre aux hôtes de réseaux n’étant pas directement connectés de communiquer entre eux. Le protocole EIGRP doit être configuré de telle sorte que l’ensemble du trafic IP emprunte le chemin le plus court pour atteindre l’adresse de destination. Tâche 1 : subdivision de l’espace d’adressage en sous-réseaux Étape 1 : examen des besoins du réseau L’adressage du réseau doit satisfaire aux conditions suivantes :  Le réseau 172.16.0.0/16 doit être divisé en sous-réseaux pour fournir des adresses aux trois réseaux locaux.  Le réseau local de HQ aura besoin de 500 adresses.  Le réseau local de BRANCH1 aura besoin de 200 adresses.  Le réseau local de BRANCH2 aura besoin de 100 adresses.  L’adresse de bouclage représentant la liaison entre le routeur HQ et le FAI utilisera le réseau 209.165.200.224/30.  L’espace d’adressage 192.168.1.16/28 doit être divisé en sous-réseaux pour obtenir les adresses des liaisons entre les trois routeurs. Étape 2 : examen des questions suivantes lors de la conception de votre réseau Combien de sous-réseaux doivent être créés à partir du réseau 172.16.0.0/16 ? _______ Combien d’adresses IP sont nécessaires à partir du réseau 172.16.0.0/16 ? _______ Quel masque de sous-réseau sera utilisé pour le sous-réseau du réseau local de HQ ? ______________________ Quel nombre maximal d’adresses hôtes peuvent être utilisées sur ce sous-réseau ? _______ Quel masque de sous-réseau sera utilisé pour le sous-réseau du réseau local de BRANCH1 ? ________________ Quel nombre maximal d’adresses hôtes peuvent être utilisées sur ce sous-réseau ? _______
  • 289.
    CCNA Exploration Protocoles etconcepts de routage : protocole EIGRP Travaux pratiques 9.6.2 : confirmation de configuration EIGRP Copyright sur l’intégralité du contenu © 1992–2007 Cisco Systems, Inc. Tous droits réservés. Ce document contient des informations publiques Cisco. Page 3 sur 8 Quel masque de sous-réseau sera utilisé pour le sous-réseau du réseau local de BRANCH2 ? ______________ Quel nombre maximal d’adresses hôtes peuvent être utilisées sur ce sous-réseau ? _______ Quel masque de sous-réseau sera utilisé pour les liaisons entre les trois routeurs ? ________ Quel est le nombre maximal d’adresses hôtes pouvant être utilisées sur chacun de ces sous-réseaux ? _____ Étape 3 : attribution d'adresses de sous-réseau au diagramme de topologie 1. Attribuez le sous-réseau 0 du réseau 172.16.0.0/16 au sous-réseau du réseau local de HQ. Quelle est l’adresse réseau de ce sous-réseau ? ________________________ 2. Attribuez le sous-réseau 1 du réseau 172.16.0.0/16 au sous-réseau du réseau local de BRANCH1. Quelle est l’adresse réseau de ce sous-réseau ? ___________________________ 3. Attribuez le sous-réseau 2 du réseau 172.16.0.0/16 au sous-réseau du réseau local de BRANCH2. Quelle est l’adresse réseau de ce sous-réseau ? ___________________________ 4. Attribuez le sous-réseau 0 du réseau 192.168.1.16/28 à la liaison entre les routeurs HQ et BRANCH1. Quelle est l’adresse réseau de ce sous-réseau ? ________________________ 5. Attribuez le sous-réseau 1 du réseau 192.168.1.16/28 à la liaison entre les routeurs HQ et BRANCH2. Quelle est l’adresse réseau de ce sous-réseau ? ________________________ 6. Attribuez le sous-réseau 2 du réseau 192.168.1.16/28 à la liaison entre les routeurs BRANCH1 et BRANCH2. Quelle est l’adresse réseau de ce sous-réseau ? ____________ Tâche 2 : détermination des adresses des interfaces Étape 1 : allocation d’adresses appropriées aux interfaces des périphériques 1. Attribuez la première adresse d’hôte valide du réseau 209.165.200.224/30 à l’interface de bouclage du routeur HQ. 2. Allouez la première adresse IP valide du réseau LAN de HQ à l’interface LAN du routeur HQ. 3. Allouez la dernière adresse IP valide du réseau LAN HQ au PC2. 4. Attribuez la première adresse IP valide du réseau local de BRANCH1 à l’interface LAN du routeur BRANCH1. 5. Attribuez la dernière adresse IP valide du réseau local de BRANCH1 au PC1. 6. Attribuez la première adresse IP valide du réseau local de BRANCH2 à l’interface LAN du routeur BRANCH2. 7. Attribuez la dernière adresse IP valide du réseau local de BRANCH2 au PC3. 8. Attribuez la première adresse IP valide de la liaison réseau entre HQ et BRANCH1 à l’interface Serial 0/0/0 du routeur HQ. 9. Attribuez la dernière adresse IP valide de la liaison réseau entre HQ et BRANCH1 à l’interface Serial 0/0/0 du routeur BRANCH. 10. Attribuez la première adresse IP valide de la liaison réseau entre HQ et BRANCH2 à l’interface Serial 0/0/1 du routeur HQ. 11. Attribuez la dernière adresse IP valide de la liaison réseau entre HQ et BRANCH2 à l’interface Serial 0/0/1 du routeur BRANCH.
  • 290.
    CCNA Exploration Protocoles etconcepts de routage : protocole EIGRP Travaux pratiques 9.6.2 : confirmation de configuration EIGRP Copyright sur l’intégralité du contenu © 1992–2007 Cisco Systems, Inc. Tous droits réservés. Ce document contient des informations publiques Cisco. Page 4 sur 8 12. Attribuez la première adresse IP valide de la liaison réseau entre BRANCH1 et BRANCH2 à l’interface Serial 0/0/1 du routeur BRANCH1. 13. Attribuez la dernière adresse IP valide de la liaison réseau entre BRANCH1 et BRANCH2 à l’interface Serial 0/0/0 du routeur BRANCH2. Étape 2 : documentation des adresses à utiliser dans le tableau fourni sous le diagramme de topologie Tâche 3 : préparation du réseau Étape 1 : câblage d’un réseau similaire à celui du diagramme de topologie Vous pouvez utiliser n’importe quel routeur durant les travaux pratiques, pourvu qu'il soit équipé des interfaces indiquées dans la topologie. Étape 2 : suppression des configurations actuelles des routeurs Tâche 4 : exécution des configurations de base des routeurs Définissez une configuration de base pour les routeurs BRANCH1, BRANCH2, HQ et ISP en procédant comme suit : 1. Configurez le nom d’hôte du routeur. 2. Désactivez la recherche DNS. 3. Configurez un mot de passe pour le mode d’exécution. 4. Configurez une bannière du message du jour. 5. Configurez un mot de passe pour les connexions de consoles. 6. Configurez un mot de passe pour les connexions de terminaux virtuels (vty). 7. Synchronisez les messages non sollicités et la sortie de la commande debug avec la sortie sollicitée et les invites de la console et des lignes du terminal virtuel. 8. Configurez un délai d’attente de 15 minutes pour le mode d’exécution. Tâche 5 : configuration et activation des adresses séries et Ethernet Étape 1 : configuration des interfaces des routeurs HQ, BRANCH1 et BRANCH2 Configurez les interfaces sur les routeurs HQ, BRANCH1 et BRANCH2 avec les adresses IP du tableau figurant sous le diagramme de topologie. Enregistrez ensuite la configuration active dans la mémoire vive non volatile du routeur. Étape 2 : configuration des interfaces Ethernet Configurez les interfaces Ethernet de PC1, PC2 et PC3 avec les adresses IP de la table d’adressage figurant sous le diagramme de topologie. Tâche 6 : vérification de la connectivité au périphérique du tronçon suivant À ce stade, il ne doit pas encore exister de connectivité entre les périphériques finaux. Toutefois, vous pouvez tester la connectivité entre deux routeurs et entre un périphérique final et sa passerelle par défaut.
  • 291.
    CCNA Exploration Protocoles etconcepts de routage : protocole EIGRP Travaux pratiques 9.6.2 : confirmation de configuration EIGRP Copyright sur l’intégralité du contenu © 1992–2007 Cisco Systems, Inc. Tous droits réservés. Ce document contient des informations publiques Cisco. Page 5 sur 8 Étape 1 : vérification de la connectivité des routeurs Vérifiez que les routeurs HQ, BRANCH1 et BRANCH2 peuvent envoyer des requêtes ping à chaque routeur voisin via les liaisons WAN. Étape 2 : vérification de la connectivité des PC Vérifiez que PC1, PC2 et PC3 peuvent envoyer une requête ping à leur passerelle par défaut. Tâche 7 : configuration du routage EIGRP sur le routeur BRANCH1 Pensez aux réseaux qui doivent être inclus dans les mises à jour EIGRP envoyées par le routeur BRANCH1. Quels réseaux directement connectés figurent dans la table de routage de BRANCH1 ? ________________________________________ ________________________________________ ________________________________________ Les informations de masque de sous-réseau de ces réseaux devront-elles figurer dans les instructions réseau ? __________ Quelles sont les commandes nécessaires pour activer EIGRP et inclure les réseaux connectés dans les mises à jour de routage ? ________________________________________ ________________________________________ ________________________________________ ________________________________________ Quelle commande permet à EIGRP d’inclure des informations VLSM au lieu de résumer des routes à la périphérie du réseau par classe ? ________________________________________ Existe-t-il d’autres interfaces de routeur qui ne nécessitent pas l’envoi de mises à jour EIGRP ? __________ Quelle est la commande qui permet de désactiver les mises à jour EIGRP sur ces interfaces ? ________________________________________ Tâche 8 : configuration du protocole EIGRP et du routage statique sur le routeur HQ Tenez compte du type de routage statique nécessaire sur le routeur HQ. Une route statique par défaut devra être configurée pour envoyer tous les paquets avec des adresses de destination qui ne sont pas dans la table de routage à l’adresse de bouclage représentant la liaison entre le routeur HQ et le FAI. Quelle commande permet d’y parvenir ? ________________________________________ Quels réseaux directement connectés figurent dans la table de routage du routeur HQ ? ________________________________________ ________________________________________
  • 292.
    CCNA Exploration Protocoles etconcepts de routage : protocole EIGRP Travaux pratiques 9.6.2 : confirmation de configuration EIGRP Copyright sur l’intégralité du contenu © 1992–2007 Cisco Systems, Inc. Tous droits réservés. Ce document contient des informations publiques Cisco. Page 6 sur 8 ________________________________________ ________________________________________ Les informations de masque de sous-réseau des réseaux du réseau local de HQ et des liaisons entre les routeurs BRANCH1 et BRANCH2 devront-elles figurer dans les instructions réseau ? __________ Quelles sont les commandes nécessaires pour activer EIGRP et inclure les réseaux appropriés dans les mises à jour de routage ? ________________________________________ ________________________________________ ________________________________________ ________________________________________ Quelle commande permet à EIGRP d’inclure des informations VLSM au lieu de résumer des routes à la périphérie du réseau par classe ? ________________________________________ Existe-t-il d’autres interfaces de routeur qui ne nécessitent pas l’envoi de mises à jour EIGRP ? __________ Quelle est la commande qui permet de désactiver les mises à jour EIGRP sur cette interface ? ________________________________________ Le routeur HQ doit envoyer les informations de route par défaut aux routeurs BRANCH1 et BRANCH2 dans les mises à jour EIGRP. Quelle commande est utilisée pour cette configuration ? ________________________________________ Tâche 9 : configuration du routage EIGRP sur le routeur BRANCH2 Pensez aux réseaux qui doivent être inclus dans les mises à jour EIGRP envoyées par le routeur BRANCH2. Quels réseaux directement connectés figurent dans la table de routage de BRANCH2 ? ________________________________________ ________________________________________ ________________________________________ Les informations de masque de sous-réseau de ces réseaux devront-elles figurer dans les instructions réseau ? __________ Quelles sont les commandes nécessaires pour activer EIGRP et inclure les réseaux connectés dans les mises à jour de routage ? ________________________________________ ________________________________________ ________________________________________ ________________________________________
  • 293.
    CCNA Exploration Protocoles etconcepts de routage : protocole EIGRP Travaux pratiques 9.6.2 : confirmation de configuration EIGRP Copyright sur l’intégralité du contenu © 1992–2007 Cisco Systems, Inc. Tous droits réservés. Ce document contient des informations publiques Cisco. Page 7 sur 8 Quelle commande permet à EIGRP d’inclure des informations VLSM au lieu de résumer des routes à la périphérie du réseau par classe ? ________________________________________ Existe-t-il d’autres interfaces de routeur qui ne nécessitent pas l’envoi de mises à jour EIGRP ? __________ Quelle est la commande qui permet de désactiver les mises à jour EIGRP sur ces interfaces ? ________________________________________ Tâche 10 : vérification des configurations Répondez aux questions suivantes pour vérifier que le réseau fonctionne comme prévu : Est-il possible d’envoyer une requête ping au PC2 à partir du PC1 ? __________ Est-il possible d’envoyer une requête ping au PC3 à partir du PC1 ? __________ La réponse aux questions précédentes doit être oui. Si l’une des requêtes ping ci-dessus a échoué, vérifiez vos connexions physiques et vos configurations. Reportez-vous aux techniques de dépannage de base utilisées dans les travaux pratiques du chapitre 1. Quelles routes EIGRP figurent dans la table de routage du routeur BRANCH1 ? ________________________________________ ________________________________________ ________________________________________ ________________________________________ Quelle est la passerelle de dernier recours dans la table de routage du routeur BRANCH1 ? ________________________________________ Quelles routes EIGRP figurent dans la table de routage du routeur HQ ? ________________________________________ ________________________________________ ________________________________________ Quelle est la passerelle de dernier recours dans la table de routage du routeur HQ ? ________________________________________ Quelles routes EIGRP figurent dans la table de routage du routeur BRANCH2 ? ________________________________________ ________________________________________ ________________________________________ ________________________________________ Quelle est la passerelle de dernier recours dans la table de routage du routeur BRANCH2 ? ________________________________________
  • 294.
    CCNA Exploration Protocoles etconcepts de routage : protocole EIGRP Travaux pratiques 9.6.2 : confirmation de configuration EIGRP Copyright sur l’intégralité du contenu © 1992–2007 Cisco Systems, Inc. Tous droits réservés. Ce document contient des informations publiques Cisco. Page 8 sur 8 Tâche 11 : remarques générales Pourquoi faut-il désactiver le récapitulatif automatique dans cette conception de réseau ? ____________________________________________________________________________________ ____________________________________________________________________________________ ____________________________________________________________________________________ Tâche 12 : description des configurations des routeurs Sur chaque routeur, capturez la sortie de commande suivante dans un fichier texte (.txt) et enregistrez-la pour pouvoir la consulter ultérieurement :  Running configuration  Routing table  Interface summarization Tâche 13 : remise en état Supprimez les configurations et rechargez les routeurs. Déconnectez et rangez les câbles. Pour les hôtes PC qui sont habituellement connectés à d’autres réseaux (comme un réseau local scolaire ou Internet), reconnectez les câbles appropriés et restaurez les paramètres TCP/IP.
  • 295.
    Copyright sur l’intégralitédu contenu © 1992–2007 Cisco Systems, Inc. Tous droits réservés. Ce document contient des informations publiques Cisco. Page 1 sur 12 Travaux pratiques 9.6.3 : travaux pratiques de dépannage EIGRP Diagramme de topologie Table d’adressage Périphérique Interface Adresse IP Masque de sous-réseau Passerelle par défaut HQ Fa0/0 172.18.64.1 255.255.192.0 s/o S0/0/0 209.165.202.129 255.255.255.252 s/o S0/0/1 209.165.202.133 255.255.255.252 s/o BRANCH1 Fa0/0 172.18.129.1 255.255.255.240 s/o S0/0/0 209.165.202.130 255.255.255.252 s/o S0/0/1 209.165.202.137 255.255.255.252 s/o BRANCH2 Fa0/0 172.18.128.1 255.255.255.0 s/o S0/0/0 209.165.202.138 255.255.255.252 s/o S0/0/1 209.165.202.134 255.255.255.252 s/o PC1 Carte réseau 172.18.129.14 255.255.255.240 172.18.129.1 PC2 Carte réseau 172.18.100.100 255.255.192.0 172.18.64.1 PC3 Carte réseau 172.18.128.10 255.255.255.0 172.18.128.1
  • 296.
    CCNA Exploration Protocoles etconcepts de routage : Travaux pratiques 9.6.3 : protocole EIGRP travaux pratiques de dépannage EIGRP Copyright sur l’intégralité du contenu © 1992–2007 Cisco Systems, Inc. Tous droits réservés. Ce document contient des informations publiques Cisco. Page 2 sur 12 Objectifs pédagogiques À l’issue de ces travaux pratiques, vous serez en mesure d’effectuer les tâches suivantes :  Câbler un réseau conformément au diagramme de topologie  Supprimer la configuration de démarrage et recharger un routeur en lui attribuant les paramètres par défaut  Charger les routeurs avec les scripts fournis  Détecter rapidement les communications impossibles  Réunir des informations sur la partie mal configurée du réseau, ainsi que toute autre erreur  Analyser les informations pour déterminer pourquoi la communication n’est pas possible  Proposer des solutions pour résoudre les erreurs de réseau  Mettre en place des solutions pour résoudre les erreurs de réseau  Documenter le réseau corrigé Scénario Dans ces travaux pratiques, vous commencerez par charger des scripts de configuration sur chacun des routeurs. Ces scripts contiennent des erreurs qui empêcheront une communication de bout en bout sur le réseau. Vous devrez dépanner chaque routeur pour déterminer les erreurs de configuration, puis utiliser les commandes appropriées afin de corriger les configurations. Une fois que vous aurez corrigé toutes les erreurs de configuration, tous les hôtes du réseau devraient pouvoir communiquer les uns avec les autres. Le réseau doit aussi présenter la configuration suivante :  Le routage EIGRP est configuré sur le routeur BRANCH1.  Le routage EIGRP est configuré sur le routeur BRANCH2.  Le routage EIGRP est configuré sur le routeur HQ.  Les mises à jour EIGRP doivent être désactivées sur les interfaces LAN de BRANCH1, BRANCH2 et HQ.  Tous les routeurs EIGRP doivent utiliser un ID de processus d’une valeur de 1. Tâche 1 : câblage, suppression et rechargement des routeurs Étape 1 : câblage d’un réseau Câblez un réseau similaire à celui du diagramme de topologie. Étape 2 : suppression de la configuration sur chaque routeur Supprimez la configuration sur chaque routeur à l’aide de la commande erase startup-config, puis rechargez les routeurs à l’aide de la commande reload. Répondez non si une fenêtre vous demande d’enregistrer les modifications. Tâche 2 : chargement des routeurs à l’aide des scripts fournis Étape 1 : chargement du script suivant sur le routeur BRANCH1 : hostname BRANCH1 ! no ip domain-lookup !
  • 297.
    CCNA Exploration Protocoles etconcepts de routage : Travaux pratiques 9.6.3 : protocole EIGRP travaux pratiques de dépannage EIGRP Copyright sur l’intégralité du contenu © 1992–2007 Cisco Systems, Inc. Tous droits réservés. Ce document contient des informations publiques Cisco. Page 3 sur 12 interface FastEthernet0/0 ip address 172.18.129.1 255.255.255.240 duplex auto speed auto ! interface Serial0/0/0 ip address 209.165.202.130 255.255.255.252 clock rate 64000 no shutdown ! interface Serial0/0/1 ip address 209 165 202 137 255.255.255.252 no shutdown ! router eigrp 2 passive-interface FastEthernet0/0 network 209.165.202.128 0.0.0.3 network 209.165.202.136 0.0.0.3 network 172.18.129.0 0.0.0.7 no auto-summary ! ip classless ! line con 0 line vty 0 4 login ! end Étape 2 : chargement du script suivant sur le routeur BRANCH2 hostname BRANCH2 ! no ip domain-lookup ! interface FastEthernet0/0 ip address 172.18.128.1 255.255.255.0 duplex auto speed auto no shutdown ! interface Serial0/0/0 ip address 209.165.202.138 255.255.255.252 clock rate 64000 no shutdown ! interface Serial0/0/1 ip address 209.165.202.134 255.255.255.252 no shutdown ! router eigrp 1 passive-interface FastEthernet0/0 network 172.18.128.0 0.0.0.255 network 209.165.202.132 0.0.0.3 network 209.165.202.136 0.0.0.3
  • 298.
    CCNA Exploration Protocoles etconcepts de routage : Travaux pratiques 9.6.3 : protocole EIGRP travaux pratiques de dépannage EIGRP Copyright sur l’intégralité du contenu © 1992–2007 Cisco Systems, Inc. Tous droits réservés. Ce document contient des informations publiques Cisco. Page 4 sur 12 ! ip classless ! line con 0 line vty 0 4 login ! end Étape 3 : chargement du script suivant sur le routeur HQ : hostname HQ ! no ip domain-lookup ! interface FastEthernet0/0 ip address 172.18.64.1 255.255.192.0 duplex auto speed auto no shutdown ! interface Serial0/0/0 ip address 209.165.202.129 255.255.255.252 no shutdown ! interface Serial0/0/1 ip address 209.165.202.133 255.255.255.252 clock rate 64000 no shutdown ! router eigrp 1 passive-interface Serial0/0/0 network 172.18.64.0 network 209.165.202.128 0.0.0.3 network 209.165.202.132 0.0.0.3 no auto-summary ! ip classless ! line con 0 line vty 0 4 login ! end Tâche 3 : dépannage du routeur BRANCH1 Étape 1 : dépannage préalable de l’hôte connecté au routeur BRANCH1 Est-il possible d’envoyer une requête ping au PC2 à partir du PC1 hôte ? _______ Est-il possible d’envoyer une requête ping au PC3 à partir du PC1 hôte ? _______ Est-il possible d’envoyer une requête ping à la passerelle par défaut à partir du PC1 hôte ? _______
  • 299.
    CCNA Exploration Protocoles etconcepts de routage : Travaux pratiques 9.6.3 : protocole EIGRP travaux pratiques de dépannage EIGRP Copyright sur l’intégralité du contenu © 1992–2007 Cisco Systems, Inc. Tous droits réservés. Ce document contient des informations publiques Cisco. Page 5 sur 12 Étape 2 : examen du routeur BRANCH1 à la recherche d’éventuelles erreurs de configuration Commencez par consulter le résumé des informations d’état relatives à chaque interface du routeur. La configuration des interfaces présente-t-elle des problèmes ? ____________________________________________________________________________________ ____________________________________________________________________________________ Si la configuration des interfaces présente des problèmes, enregistrez les commandes qui permettront de corriger ces erreurs. _____________________________________________ _____________________________________________ _____________________________________________ Étape 3 : si les commandes ci-dessus ont été enregistrées, les appliquer maintenant à la configuration du routeur Étape 4 : affichage du résumé des informations d’état Si la configuration a été modifiée à l’étape précédente, consultez de nouveau le résumé des informations d'état relatives aux interfaces du routeur. Les informations figurant dans le récapitulatif de l’état des interfaces indiquent-elles la présence d’erreurs de configuration sur le routeur BRANCH1 ? _______ Si la réponse est oui, dépannez de nouveau l’état des interfaces. Étape 5 : dépannage de la configuration du routage sur le routeur BRANCH1 Quelles routes apparaissent dans la table de routage ? _____________________________________________ _____________________________________________ _____________________________________________ La table de routage ou la configuration EIGRP présentent-elles des problèmes ? ____________________________________________________________________________________ ____________________________________________________________________________________ Si vous décelez des problèmes affectant la configuration du protocole EIGRP, notez les commandes qui permettront de corriger ces erreurs. _____________________________________________ _____________________________________________ _____________________________________________ _____________________________________________ _____________________________________________ _____________________________________________
  • 300.
    CCNA Exploration Protocoles etconcepts de routage : Travaux pratiques 9.6.3 : protocole EIGRP travaux pratiques de dépannage EIGRP Copyright sur l’intégralité du contenu © 1992–2007 Cisco Systems, Inc. Tous droits réservés. Ce document contient des informations publiques Cisco. Page 6 sur 12 _____________________________________________ Existe-t-il des problèmes de connectivité qui pourraient être liés à des erreurs sur d’autres parties du réseau ? ____________________________________________________________________________________ ____________________________________________________________________________________ Quels sont les réseaux connectés qui figurent dans la table topologique EIGRP du routeur BRANCH1 ? _____________________________________________ _____________________________________________ _____________________________________________ Est-ce que les réseaux connectés figurant dans la table topologique EIGRP présentent des problèmes ? _________________________________________________________________________________ ____________________________________________________________________________________ Étape 6 : si les commandes ci-dessus ont été enregistrées, les appliquer maintenant à la configuration du routeur Étape 7 : consultation des informations de routage Si la configuration a été modifiée au cours des étapes précédentes, consultez de nouveau les informations de routage. Les informations figurant dans la table de routage indiquent-elles la présence d’erreurs de configuration sur le routeur BRANCH1 ? _______ Les informations figurant dans la table topologique EIGRP indiquent-elles la présence d’erreurs de configuration sur le routeur BRANCH1 ? _______ Si la réponse à l’une de ces questions est oui, dépannez de nouveau la configuration du routage. Quelles routes apparaissent dans la table de routage ? _________________________________________________ _________________________________________________ _________________________________________________ _________________________________________________ Étape 8 : nouvelle tentative de liaison ping entre les hôtes Est-il possible d’envoyer une requête ping au PC2 à partir du PC1 hôte ? _______ Est-il possible d’envoyer une requête ping au PC3 à partir du PC1 hôte ? _______ Est-il possible d’envoyer une requête ping à l’interface Serial 0/0/0 du routeur HQ à partir du PC1 hôte ? _______ Est-il possible d’envoyer une requête ping à l’interface Serial 0/0/1 du routeur HQ à partir du PC1 hôte ? _______
  • 301.
    CCNA Exploration Protocoles etconcepts de routage : Travaux pratiques 9.6.3 : protocole EIGRP travaux pratiques de dépannage EIGRP Copyright sur l’intégralité du contenu © 1992–2007 Cisco Systems, Inc. Tous droits réservés. Ce document contient des informations publiques Cisco. Page 7 sur 12 Tâche 4 : dépannage du routeur HQ Étape 1 : lancement du dépannage sur le PC2 hôte. Est-il possible d’envoyer une requête ping au PC1 à partir du PC2 hôte ? _______ Est-il possible d’envoyer une requête ping au PC3 à partir du PC2 hôte ? _______ Est-il possible d’envoyer une requête ping à la passerelle par défaut à partir du PC2 hôte ? _______ Étape 2 : examen du routeur HQ à la recherche d’éventuelles erreurs de configuration Commencez par consulter le résumé des informations d’état relatives à chaque interface du routeur. La configuration des interfaces présente-t-elle des problèmes ? Commencez par consulter le résumé des informations d’état relatives à chaque interface du routeur. Existe-t-il des problèmes de configuration des interfaces ? ____________________________________________________________________________________ ____________________________________________________________________________________ ____________________________________________________________________________________ Si la configuration des interfaces présente des problèmes, enregistrez les commandes qui permettront de corriger ces erreurs. ____________________________________________________________________________________ ____________________________________________________________________________________ ____________________________________________________________________________________ Étape 3 : si les commandes ci-dessus ont été enregistrées, les appliquer maintenant à la configuration du routeur Étape 4 : affichage du résumé des informations d’état Si la configuration a été modifiée à l’étape précédente, consultez de nouveau le résumé des informations d'état relatives aux interfaces du routeur. Les informations du résumé de l’état de l’interface indiquent-elles des erreurs de configuration sur le routeur HQ ? _______ Si la réponse est oui, dépannez de nouveau l’état des interfaces. Étape 5 : dépannage de la configuration de routage sur le routeur HQ Quelles routes apparaissent dans la table de routage ? ______________________________________________ ______________________________________________ ______________________________________________ ______________________________________________ ______________________________________________
  • 302.
    CCNA Exploration Protocoles etconcepts de routage : Travaux pratiques 9.6.3 : protocole EIGRP travaux pratiques de dépannage EIGRP Copyright sur l’intégralité du contenu © 1992–2007 Cisco Systems, Inc. Tous droits réservés. Ce document contient des informations publiques Cisco. Page 8 sur 12 La table de routage ou la configuration EIGRP présentent-elles des problèmes ? ____________________________________________________________________________________ ____________________________________________________________________________________ ____________________________________________________________________________________ ____________________________________________________________________________________ ____________________________________________________________________________________ Si vous décelez des problèmes affectant la configuration du protocole EIGRP, notez les commandes qui permettront de corriger ces erreurs. ________________________________________________ ________________________________________________ ________________________________________________ ________________________________________________ ________________________________________________ Existe-t-il des problèmes de connectivité qui pourraient être liés à des erreurs sur d’autres parties du réseau ? _________________________________________________________________________________ ____________________________________________________________________________________ ____________________________________________________________________________________ Quels sont les réseaux connectés qui figurent dans la table topologique EIGRP du routeur HQ ? ________________________________________________ ________________________________________________ ________________________________________________ ________________________________________________ ________________________________________________ Est-ce que les réseaux connectés figurant dans la table topologique EIGRP présentent des problèmes ? ____________________________________________________________________________________ ____________________________________________________________________________________ Étape 6 : si les commandes ci-dessus ont été enregistrées, les appliquer maintenant à la configuration du routeur Étape 7 : consultation des informations de routage Si la configuration a été modifiée au cours des étapes précédentes, consultez de nouveau les informations de routage. Les informations de la table de routage indiquent-elles des erreurs de configuration sur le routeur HQ ? _______ Les informations figurant dans la table topologique EIGRP indiquent-elles la présence d’erreurs de configuration sur le routeur HQ ? _______ Si la réponse à l’une de ces questions est oui, dépannez de nouveau la configuration du routage.
  • 303.
    CCNA Exploration Protocoles etconcepts de routage : Travaux pratiques 9.6.3 : protocole EIGRP travaux pratiques de dépannage EIGRP Copyright sur l’intégralité du contenu © 1992–2007 Cisco Systems, Inc. Tous droits réservés. Ce document contient des informations publiques Cisco. Page 9 sur 12 Étape 8 : nouvelle tentative de liaison ping entre les hôtes Est-il possible d’envoyer une requête ping au PC1 à partir du PC2 hôte ? _______ Est-il possible d’envoyer une requête ping au PC3 à partir du PC2 hôte ? _______ Est-il possible d’envoyer une requête ping à l’interface Serial 0/0/0 du routeur BRANCH2 à partir du PC2 hôte ? _______ Est-il possible d’envoyer une requête ping à l’interface Serial 0/0/1 du routeur BRANCH2 à partir du PC2 hôte ? _______ Tâche 5 : dépannage du routeur BRANCH2 Étape 1 : début du dépannage sur le PC3 hôte Est-il possible d’envoyer une requête ping au PC1 à partir du PC3 hôte ? _______ Est-il possible d’envoyer une requête ping au PC2 à partir du PC3 hôte ? _______ Est-il possible d’envoyer une requête ping à la passerelle par défaut à partir du PC3 hôte ? _______ Étape 2 : examen du routeur BRANCH2 à la recherche d’éventuelles erreurs de configuration La configuration des interfaces présente-t-elle des problèmes ? _________________________________________________________________________________ ____________________________________________________________________________________ ____________________________________________________________________________________ Si la configuration des interfaces présente des problèmes, enregistrez les commandes qui permettront de corriger ces erreurs. ____________________________________________ _________________________________________________ _________________________________________________ Étape 3 : si les commandes ci-dessus ont été enregistrées, les appliquer maintenant à la configuration du routeur Étape 4 : affichage du résumé des informations d’état Si la configuration a été modifiée à l’étape précédente, consultez de nouveau le résumé des informations d'état relatives aux interfaces du routeur. Les informations figurant dans le résumé de l’état des interfaces indiquent-elles la présence d’erreurs de configuration sur le routeur BRANCH2 ? _______ Si la réponse est oui, dépannez de nouveau l’état des interfaces. Étape 5 : dépannage de la configuration du routage sur le routeur BRANCH2 Quelles routes apparaissent dans la table de routage ? ________________________________________________ ________________________________________________ ________________________________________________ ________________________________________________
  • 304.
    CCNA Exploration Protocoles etconcepts de routage : Travaux pratiques 9.6.3 : protocole EIGRP travaux pratiques de dépannage EIGRP Copyright sur l’intégralité du contenu © 1992–2007 Cisco Systems, Inc. Tous droits réservés. Ce document contient des informations publiques Cisco. Page 10 sur 12 ________________________________________________ ________________________________________________ ________________________________________________ ________________________________________________ La table de routage ou la configuration EIGRP présentent-elles des problèmes ? ____________________________________________________________________________________ ____________________________________________________________________________________ Si vous décelez des problèmes affectant la configuration du protocole EIGRP, notez les commandes qui permettront de corriger ces erreurs. ________________________________________________ ________________________________________________ ________________________________________________ Existe-t-il des problèmes de connectivité qui pourraient être liés à des erreurs sur d’autres parties du réseau ? ____________________________________________________________________________________ ____________________________________________________________________________________ ____________________________________________________________________________________ Quels réseaux connectés figurent dans la table topologique EIGRP du routeur BRANCH2 ? ________________________________________________ ________________________________________________ ________________________________________________ Est-ce que les réseaux connectés figurant dans la table topologique EIGRP présentent des problèmes ? ____________________________________________________________________________________ ____________________________________________________________________________________ Étape 6 : si les commandes ci-dessus ont été enregistrées, les appliquer maintenant à la configuration du routeur Étape 7 : consultation des informations de routage Si la configuration a été modifiée au cours des étapes précédentes, consultez de nouveau les informations de routage. Les informations figurant dans la table de routage indiquent-elles la présence d’erreurs de configuration sur le routeur BRANCH2 ? _______ Les informations figurant dans la table topologique EIGRP indiquent-elles la présence d’erreurs de configuration sur le routeur BRANCH2 ? _______ Si la réponse à l’une de ces questions est oui, dépannez de nouveau la configuration du routage.
  • 305.
    CCNA Exploration Protocoles etconcepts de routage : Travaux pratiques 9.6.3 : protocole EIGRP travaux pratiques de dépannage EIGRP Copyright sur l’intégralité du contenu © 1992–2007 Cisco Systems, Inc. Tous droits réservés. Ce document contient des informations publiques Cisco. Page 11 sur 12 Quelles routes apparaissent dans la table de routage ? ________________________________________________ ________________________________________________ ________________________________________________ ________________________________________________ ________________________________________________ ________________________________________________ ________________________________________________ ________________________________________________ Étape 8 : nouvelle tentative de liaison ping entre les hôtes Est-il possible d’envoyer une requête ping au PC1 à partir du PC3 hôte ? _______ Est-il possible d’envoyer une requête ping au PC2 à partir du PC3 hôte ? _______ Est-il possible d’envoyer une requête ping à l’interface Serial 0/0/0 du routeur BRANCH1 à partir du PC3 hôte ? _______ Est-il possible d’envoyer une requête ping à l’interface Serial 0/0/1 du routeur BRANCH1 à partir du PC3 hôte ? _______ Tâche 6 : remarques générales Les scripts fournis pour ces travaux pratiques ont présenté plusieurs erreurs de configuration. Utilisez l’espace ci-dessous pour décrire brièvement les erreurs que vous avez trouvées. ___________________________________________________________________________________ ___________________________________________________________________________________ ___________________________________________________________________________________ ___________________________________________________________________________________ ___________________________________________________________________________________ ___________________________________________________________________________________ ___________________________________________________________________________________ ___________________________________________________________________________________
  • 306.
    CCNA Exploration Protocoles etconcepts de routage : Travaux pratiques 9.6.3 : protocole EIGRP travaux pratiques de dépannage EIGRP Copyright sur l’intégralité du contenu © 1992–2007 Cisco Systems, Inc. Tous droits réservés. Ce document contient des informations publiques Cisco. Page 12 sur 12 Tâche 7 : documentation Sur chaque routeur, capturez la sortie de commande suivante dans un fichier texte (.txt) et enregistrez-la pour pouvoir la consulter ultérieurement :  show running-config  show ip route  show ip interface brief  show ip protocols Si vous devez revoir les procédures de capture d’informations de commandes, consultez les travaux pratiques 1.5.1. Tâche 8 : remise en état Supprimez les configurations et rechargez les routeurs. Déconnectez et rangez les câbles. Pour les hôtes PC qui sont habituellement connectés à d’autres réseaux (comme un réseau local scolaire ou Internet), reconnectez les câbles appropriés et restaurez les paramètres TCP/IP.
  • 307.
    9.7.1 : exerciced’intégration des compétences Packet Tracer Diagramme de topologie Objectifs pédagogiques : • Concevoir et documenter un schéma d’adressage en fonction de conditions requises • Appliquer une configuration de base aux périphériques • Tester la connectivité entre les périphériques directement connectés • Configurer et vérifier le routage EIGRP • Configurer des routes de récapitulatif EIGRP • Ajuster le protocole EIGRP • Configurer le routage statique et par défaut pour l’accès Internet • Vérifier la connectivité entre tous les périphériques de la topologie Copyright sur l'intégralité du contenu © 1992–2007 Cisco Systems, Inc. Tous droits réservés. Ce document contient des informations publiques Cisco. Page 1 sur 4
  • 308.
    CCNA Exploration Protocoles etconcepts de routage : protocole EIGRP 9.7.1 : exercice d’intégration des compétences Packet Tracer Table d’adressage Périphérique Interface Adresse IP Masque de sous-réseau Passerelle par défaut Fa0/0 N/D Fa0/1 N/D S0/0/0 209.165.201.2 255.255.255.252 N/D S0/0/1 N/D S0/1/0 N/D HQ S0/1/1 N/D Fa0/0 N/D Fa0/1 N/D S0/0/0 N/D B1 S0/0/1 N/D Fa0/0 N/D Fa0/1 N/D S0/0/0 N/D S0/0/1 N/D B2 S0/1/0 N/D Fa0/0 N/D Fa0/1 N/D S0/0/0 N/D B3B3 S0/0/1 N/D Fa0/0 209.165.202.129 255.255.255.252 N/D ISP S0/0/0 209.165.201.1 255.255.255.252 N/D Web Server Carte réseau 209.165.202.130 255.255.255.252 209.165.202.129 PC1 Carte réseau PC2 Carte réseau PC3 Carte réseau PC4 Carte réseau PC5 Carte réseau PC6 Carte réseau PC7 Carte réseau PC8 Carte réseau Copyright sur l'intégralité du contenu © 1992–2007 Cisco Systems, Inc. Tous droits réservés. Ce document contient des informations publiques Cisco. Page 2 sur 4
  • 309.
    CCNA Exploration Protocoles etconcepts de routage : protocole EIGRP 9.7.1 : exercice d’intégration des compétences Packet Tracer Tâche 1 : conception et documentation d’un schéma d’adressage Étape 1 : conception d’un schéma d’adressage D’après les conditions réseau indiquées dans la topologie, concevez un schéma d’adressage approprié. • Pour les réseaux locaux, utilisez l’espace d’adressage 10.1.32.0/22. Affectez les sous-réseaux par ordre dans l’ensemble de la topologie en commençant par les sous-réseaux de B1 ayant les besoins les plus importants. • Pour les réseaux étendus, utilisez l’espace d’adressage 172.20.0.0/27. Affectez les sous-réseaux locaux en fonction des spécifications suivantes : Sous-réseau 0 pour la liaison WAN entre HQ et B1 Sous-réseau 1 pour la liaison WAN entre HQ et B2 Sous-réseau 2 pour la liaison WAN entre HQ et B3 Sous-réseau 3 pour la liaison WAN entre B1 et B2 Sous-réseau 4 pour la liaison WAN entre B2 et B3 Étape 2 : documentation du schéma d’adressage • Utilisez les espaces libres de la topologie pour indiquer les adresses réseau au format points/barres obliques. • Utilisez le tableau fourni dans les instructions papier pour documenter les adresses IP, les masques de sous-réseau et les adresses des passerelles par défaut. Pour les réseaux locaux, affectez la première adresse IP à l’interface du routeur. Affectez la dernière adresse IP à l’ordinateur. Pour les liaisons WAN vers HQ, affectez la première adresse au routeur HQ. Pour les liaisons WAN entre les routeurs des branches : • Affectez la première adresse à B1 pour la liaison entre B1 et B2. • Affectez la première adresse à B2 pour la liaison entre B2 et B3. Tâche 2 : application d’une configuration de base Étape 1 : configuration des routeurs À l’aide de votre documentation, procédez à la configuration de base des routeurs. Étape 2 : configuration des ordinateurs À l’aide de votre documentation, configurez les ordinateurs en leur affectant une adresse IP, un masque de sous-réseau et une passerelle par défaut. Tâche 3 : test de la connectivité Avant de continuer, assurez-vous que chaque périphérique peut envoyer une requête ping à son voisin directement connecté. Copyright sur l'intégralité du contenu © 1992–2007 Cisco Systems, Inc. Tous droits réservés. Ce document contient des informations publiques Cisco. Page 3 sur 4
  • 310.
    CCNA Exploration Protocoles etconcepts de routage : protocole EIGRP 9.7.1 : exercice d’intégration des compétences Packet Tracer Copyright sur l'intégralité du contenu © 1992–2007 Cisco Systems, Inc. Tous droits réservés. Ce document contient des informations publiques Cisco. Page 4 sur 4 Tâche 4 : configuration et vérification du routage EIGRP Étape 1 : configuration du protocole EIGRP Configurez le routage EIGRP sur tous les périphériques. Dans votre configuration, veillez à effectuer les opérations suivantes : • Désactivez la fonction de récapitulatif automatique. • Arrêtez les mises à jour de routage sur les interfaces qui ne sont pas connectées à des voisins EIGRP. Étape 2 : vérification du protocole EIGRP Utilisez les commandes de vérification pour vérifier votre configuration. Tous les routeurs doivent être convergents sur tous les sous-réseaux 10.1.32.0/22 et 172.20.0.0/27 Tâche 6 : ajustement du protocole EIGRP Étape 1 : réglage des valeurs de bande passante utilisées pour calculer les mesures Les liaisons entre les routeurs de branche (B1 vers B2 et B2 vers B3) sont uniquement destinées à la sauvegarde. Configurez les valeurs de bande passante de manière à ce qu’elles correspondent à la bande passante réelle afin que le protocole EIGRP n’attribue pas une charge à coût égal aux liaisons T1 vers HQ et aux liaisons de sauvegarde vers le routeur de branche voisin. Étape 2 : réglage des intervalles Hello pour les liaisons plus lentes Modifiez les intervalles Hello des liaisons à 64 Kbits/s sur 60 secondes. Tâche 7 : configuration du routage statique et par défaut Dans la mesure où Packet Tracer ne prend pas en charge la redistribution des routes par défaut, tous les routeurs à l'exception des routeurs ISP nécessiteront une route par défaut. Tâche 8 : test de la connectivité et examen de la configuration Testez la connectivité et examinez la configuration.
  • 311.
    10.3.1 : exerciced’intégration des compétences Packet Tracer Diagramme de topologie Copyright sur l'intégralité du contenu © 1992–2007 Cisco Systems, Inc. Tous droits réservés. Ce document contient des informations publiques Cisco. Page 1 sur 7
  • 312.
    CCNA Exploration Protocoles etconcepts de routage : 10.3.1 : exercice d’intégration des compétences Packet Tracer protocoles de routage d'état des liaisons Table d’adressage pour R1 Périphérique Interface Adresse IP Masque de sous-réseau S0/0/0 S0/0/1 S0/1/0 R1 S0/1/1 209.165.201.2 255.255.255.252 Fa0/0 Fa0/1 Fa1/0 Fa1/1 B1-R1 S0/0/0 Fa0/0 Fa0/1 Fa1/0 Fa1/1 B2-R1 S0/0/0 Fa0/0 Fa0/1 Fa1/0 Fa1/1 B3-R1 S0/0/0 S0/0/0 209.165.201.1 255.255.255.252 S0/0/1 209.165.201.5 255.255.255.252ISP-R1 Fa0/0 209.165.200.225 255.255.255.252 Web Server 1 Carte réseau 209.165.200.226 255.255.255.252 Copyright sur l'intégralité du contenu © 1992–2007 Cisco Systems, Inc. Tous droits réservés. Ce document contient des informations publiques Cisco. Page 2 sur 7
  • 313.
    CCNA Exploration Protocoles etconcepts de routage : 10.3.1 : Exercice d’intégration des compétences Packet Tracer protocoles de routage d'état des liaisons Table d’adressage pour R2 Périphérique Interface Adresse IP Masque de sous-réseau S0/0/0 S0/0/1 S0/1/0 R2 S0/1/1 209.165.201.10 255.255.255.252 Fa0/0 Fa0/1 Fa1/0 Fa1/1 B1-R2 S0/0/0 Fa0/0 Fa0/1 Fa1/0 Fa1/1 B2-R2 S0/0/0 Fa0/0 Fa0/1 Fa1/0 Fa1/1 B3-R2 S0/0/0 S0/0/0 209.165.201.6 255.255.255.252 S0/0/1 209.165.201.9 255.255.255.252ISP-R2 Fa0/0 209.165.200.229 255.255.255.252 Web Server 2 Carte réseau 209.165.200.230 255.255.255.252 Objectifs • Concevoir et documenter un schéma d’adressage en fonction de conditions requises • Appliquer une configuration de base aux périphériques • Configurer le routage statique entre les routeurs ISP • Configurer le routage EIGRP dans Region 1 et le routage RIPv2 dans Region 2 • Désactiver les mises à jour de routage sur les interfaces appropriées • Configurer et redistribuer les routes par défaut • Vérifier la connectivité entre tous les périphériques de la topologie Copyright sur l'intégralité du contenu © 1992–2007 Cisco Systems, Inc. Tous droits réservés. Ce document contient des informations publiques Cisco. Page 3 sur 7
  • 314.
    CCNA Exploration Protocoles etconcepts de routage : 10.3.1 : Exercice d’intégration des compétences Packet Tracer protocoles de routage d'état des liaisons Tâche 1 : conception et documentation d’un schéma d’adressage Étape 1 : conception d’un schéma d’adressage À l’aide de la topologie et des spécifications suivantes, concevez un schéma d'adressage : • Les liaisons WAN entre R1 et R2 et leurs routeurs ISP respectifs sont déjà configurées. En outre, les liaisons entre les FAI et les serveurs Web sont déjà configurées. • L’espace d’adressage de Region 1 est 10.1.0.0/16. Chaque routeur de branche (B1-R1, B2-R1 et B3-R1) doit se voir affecter un espace d’adressage en fonction des spécifications suivantes. Affectez un espace d'adressage à chaque routeur en commençant par le besoin le plus important : B1-R1 a besoin d’un espace pour 8 000 hôtes _______________________ B2-R1 a besoin d’un espace d’adressage pour 4 000 hôtes _____________ B3-R1 a besoin d’un espace d’adressage pour 2 000 hôtes _____________ • Divisez l’espace d’adressage de chaque routeur de branche en quatre sous-réseaux égaux. Indiquez les sous-réseaux dans le tableau ci-dessous. Routeur Numéro du sous-réseau Adresse de sous-réseau B1-R1 Fa0/0 0 B1-R1 Fa0/1 1 B1-R1 Fa1/0 2 B1-R1 Fa1/1 3 Routeur Numéro du sous-réseau Adresse de sous- réseau B2-R1 Fa0/0 0 B2-R1 Fa0/1 1 B2-R1 Fa1/0 2 B2-R1 Fa1/1 3 Routeur Numéro du sous-réseau Adresse de sous-réseau B3-R1 Fa0/0 0 B3-R1 Fa0/1 1 B3-R1 Fa1/0 2 B3-R1 Fa1/1 3 • Pour les réseaux étendus de Region 1, subdivisez l’espace d’adressage 10.1.64.0/28. Indiquez les sous-réseaux dans le tableau ci-dessous. Copyright sur l'intégralité du contenu © 1992–2007 Cisco Systems, Inc. Tous droits réservés. Ce document contient des informations publiques Cisco. Page 4 sur 7
  • 315.
    CCNA Exploration Protocoles etconcepts de routage : 10.3.1 : Exercice d’intégration des compétences Packet Tracer protocoles de routage d'état des liaisons Routeur Numéro du sous-réseau Adresse de sous-réseau B1-R1 <--> R1B1-R1 <--> R1 0 B2-R1 <--> R1B2-R1 <--> R1 1 B3-R1 <--> R1B3-R1 <--> R1 2 • L’espace d’adressage de Region 2 est 172.20.0.0/16. Chaque routeur de branche (B1-R2, B2-R2 et B3-R2) doit se voir affecter un espace d’adressage en fonction des spécifications suivantes. Affectez un espace d'adressage à chaque routeur en commençant par le besoin le plus important : B1-R2 a besoin d’un espace pour 500 hôtes ____________________ B2-R2 a besoin d’un espace pour 200 hôtes ____________________ B3-R2 a besoin d’un espace pour 100 hôtes ____________________ • Divisez l’espace d’adressage de chaque routeur de branche en quatre sous-réseaux égaux. Indiquez les sous-réseaux dans le tableau ci-dessous. Routeur Numéro du sous-réseau Adresse de sous-réseau B1-R2 Fa0/0 0 B1-R2 Fa0/1 1 B1-R2 Fa1/0 2 B1-R2 Fa1/1 3 Routeur Numéro du sous-réseau Adresse de sous-réseau B2-R2 Fa0/0 0 B2-R2 Fa0/1 1 B2-R2 Fa1/0 2 B2-R2 Fa1/1 3 Routeur Numéro du sous-réseau Adresse de sous-réseau B3-R2 Fa0/0 0 B3-R2 Fa0/1 1 B3-R2 Fa1/0 2 B3-R2 Fa1/1 3 • Pour les réseaux étendus de Region 2, subdivisez l’espace d’adressage 172.20.255.240/28. Indiquez les sous-réseaux dans le tableau ci-dessous. Copyright sur l'intégralité du contenu © 1992–2007 Cisco Systems, Inc. Tous droits réservés. Ce document contient des informations publiques Cisco. Page 5 sur 7
  • 316.
    CCNA Exploration Protocoles etconcepts de routage : 10.3.1 : Exercice d’intégration des compétences Packet Tracer protocoles de routage d'état des liaisons Routeur Numéro du sous-réseau Adresse de sous-réseau B1-R2 <--> R2B1-R2 <--> R2 0 B2-R2 <--> R2B2-R2 <--> R2 1 B3-R2 <--> R2B3-R2 <--> R2 2 Étape 2 : documentation du schéma d’adressage • Facultatif : étiquetez chaque sous-réseau dans la topologie. Pour gagner de l’espace, utilisez uniquement les deux derniers octets, car eux seuls changent. • Documentez les adresses IP et les masques de sous-réseau à l’aide du tableau fourni dans les instructions papier. Affectez la première adresse IP à l’interface du routeur. • Pour les liaisons WAN, affectez la première adresse IP à R1 et R2 pour les liaisons aux routeurs B1, B2 et B3 respectifs de chaque routeur. Tâche 3 : application d’une configuration de base À l’aide de votre documentation, procédez à la configuration de base des routeurs, y compris l’adressage. Utilisez cisco comme mot de passe de ligne et class comme mot de passe secret. Utilisez la fréquence d’horloge 64 000. Tâche 4 : configuration du routage statique entre les routeurs ISP Chaque routeur ISP a déjà deux routes statiques vers les réseaux étendus directement connectés de l'autre routeur ISP. Implémentez un routage statique sur chaque routeur ISP pour vérifier la connectivité entre les deux régions. Tâche 5 : configuration du routage EIGRP dans Region 1 et du routage RIPv2 dans Region 2 Étape 1 : configuration du routage EIGRP dans Region 1 Configurez tous les routeurs de Region 1 (R1, B1-R1, B2-R1 et B3-R1) avec le protocole EIGRP comme protocole de routage dynamique. • Utilisez 1 comme ID de processus pour le protocole EIGRP. • Désactivez la fonction de récapitulatif automatique. • Effectuez un récapitulatif manuel des routes annoncées par les routeurs de branche sur R1 afin qu'une seule route soit envoyée (Remarque : la version actuelle de Packet Tracer permet la configuration de la commande de récapitulatif. Cependant, les tables de routage s’affichent toujours comme si la fonction de récapitulatif n’avait pas été configurée. Il s’agit d’un bogue connu qui sera corrigé dans une version ultérieure). • Configurez les intervalles Hello des routeurs de branche sur 30 secondes. Étape 2 : configuration du routage RIPv2 dans Region 2 Configurez tous les routeurs de Region 2 (R2, B1-R2, B2-R2 et B3-R2) avec le protocole RIPv2 comme protocole de routage dynamique. Désactivez la fonction de récapitulatif automatique. Tâche 6 : désactivation des mises à jour de routage sur les interfaces appropriées Toutes les interfaces de routeur ne doivent pas envoyer des mises à jour de routage. Désactivez les mises à jour de routage sur les interfaces appropriées. Copyright sur l'intégralité du contenu © 1992–2007 Cisco Systems, Inc. Tous droits réservés. Ce document contient des informations publiques Cisco. Page 6 sur 7
  • 317.
    CCNA Exploration Protocoles etconcepts de routage : 10.3.1 : Exercice d’intégration des compétences Packet Tracer protocoles de routage d'état des liaisons Copyright sur l'intégralité du contenu © 1992–2007 Cisco Systems, Inc. Tous droits réservés. Ce document contient des informations publiques Cisco. Page 7 sur 7 Tâche 7 : configuration et redistribution des routes par défaut • Packet Tracer ne prend pas encore en charge la redistribution des routes statiques par défaut avec le protocole EIGRP. Vous devez dès lors configurer une route par défaut pour chacun des routeurs de Region 1. Utilisez l’argument d’interface de sortie. • Configurez une route par défaut pour le routeur de Region 2 approprié. Configurez ensuite ce routeur pour qu'il redistribue la route par défaut vers tous les autres routeurs de la région. Tâche 8 : vérification de la connectivité entre tous les périphériques de la topologie Étape 1 : test de la connectivité • La connectivité de bout en bout doit maintenant être établie. Utilisez une requête ping pour tester la connectivité sur le réseau. Chaque routeur doit pouvoir envoyer une requête ping à toutes les autres interfaces de routeur et aux deux serveurs Web. • Corrigez les éventuels problèmes jusqu’à ce que les requêtes ping fonctionnent. Étape 2 : examen de la configuration. Utilisez les commandes de vérification pour vérifier que vos configurations sont complètes.
  • 318.
    Travaux pratiques 11.6.1: configuration OSPF de base Objectifs pédagogiques À l’issue de ces travaux pratiques, vous serez en mesure d’effectuer les tâches suivantes : • Installer un réseau conformément au diagramme de topologie • Supprimer la configuration de démarrage et recharger un routeur pour revenir aux paramètres par défaut • Exécuter des tâches de configuration de base sur un routeur • Configurer et activer des interfaces • Configurer le routage OSPF sur tous les routeurs • Configurer les identifiants des routeurs OSPF • Vérifier le routage OSPF à l’aide des commandes show • Configurer une route statique par défaut • Transmettre les informations de route par défaut aux voisins OSPF • Configurer les compteurs Hello et d’arrêt OSPF • Configurer le protocole OSPF sur un réseau à accès multiple • Configurer la priorité OSPF • Comprendre le processus de sélection OSPF • Décrire la configuration OSPF Scénarios Ces travaux pratiques comprennent deux scénarios distincts. Dans le premier, vous apprendrez à configurer le protocole de routage OSPF à l’aide du réseau indiqué dans le diagramme de topologie du scénario A. Les segments du réseau ont été subdivisés à l’aide de la technique VLSM. Le protocole OSPF est un protocole de routage sans classe qui permet de fournir des informations sur les masques de sous-réseau dans les mises à jour de routage. Les informations de sous-réseau VLSM peuvent ainsi être diffusées dans l’ensemble du réseau. Dans le deuxième scénario, vous apprendrez à configurer le protocole OSPF sur un réseau à accès multiple. Vous apprendrez aussi à utiliser le processus de sélection OSPF pour déterminer les états du routeur désigné (DR), du routeur désigné de sauvegarde (BDR) et du routeur DRother. Copyright sur l’intégralité du contenu © 1992 – 2007 Cisco Systems, Inc. Tous droits réservés. Ce document contient des informations publiques Cisco. Page 1 sur 24
  • 319.
    CCNA Exploration Protocoles etconcepts de routage : Protocole OSPF Travaux pratiques 11.6.1 : configuration OSPF de base Scénario A : configuration OSPF de base Diagramme de topologie Table d’adressage Périphérique Interface Adresse IP Masque de sous-réseau Passerelle par défaut Fa0/0 172.16.1.17 255.255.255.240 N/D S0/0/0 192.168.10.1 255.255.255.252 N/DR1 S0/0/1 192.168.10.5 255.255.255.252 N/D Fa0/0 10.10.10.1 255.255.255.0 N/D S0/0/0 192.168.10.2 255.255.255.252 N/DR2 S0/0/1 192.168.10.9 255.255.255.252 N/D Fa0/0 172.16.1.33 255.255.255.248 N/D S0/0/0 192.168.10.6 255.255.255.252 N/DR3 S0/0/1 192.168.10.10 255.255.255.252 N/D PC1 Carte réseau 172.16.1.20 255.255.255.240 172.16.1.17 PC2 Carte réseau 10.10.10.10 255.255.255.0 10.10.10.1 PC3 Carte réseau 172.16.1.35 255.255.255.248 172.16.1.33 Tâche 1 : préparation du réseau Étape 1 : installation d’un réseau similaire à celui du diagramme de topologie Pour ces travaux pratiques, vous pouvez utiliser le routeur existant de votre choix pour autant qu’il soit équipé des interfaces indiquées dans la topologie. Copyright sur l’intégralité du contenu © 1992 – 2007 Cisco Systems, Inc. Tous droits réservés. Ce document contient des informations publiques Cisco. Page 2 sur 24
  • 320.
    CCNA Exploration Protocoles etconcepts de routage : Protocole OSPF Travaux pratiques 11.6.1 : configuration OSPF de base Remarque : si vous utilisez les routeurs 1700, 2500 ou 2600, les résultats des routeurs et les descriptions d’interface seront différents. Étape 2 : suppression de toute configuration existante sur les routeurs Tâche 2 : exécution de configurations de base sur les routeurs Exécutez la configuration de base des routeurs R1, R2 et R3 en procédant comme suit : 1. Configurez le nom d’hôte du routeur. 2. Désactivez la recherche DNS. 3. Configurez un mot de passe de mode d’exécution privilégié. 4. Configurez une bannière de message du jour. 5. Configurez un mot de passe pour les connexions console. 6. Configurez un mot de passe pour les connexions VTY. Tâche 3 : configuration et activation des adresses série et Ethernet Étape 1 : configuration des interfaces sur R1, R2 et R3 Configurez les interfaces sur les routeurs R1, R2 et R3 à l’aide des adresses IP du tableau sous le diagramme de topologie. Étape 2 : vérification de l’adressage IP et des interfaces Utilisez la commande show ip interface brief pour vérifier que l’adressage IP est correct et que les interfaces sont actives. Lorsque vous avez terminé, veillez à enregistrer la configuration en cours dans la mémoire vive non volatile du routeur. Étape 3 : configuration des interfaces Ethernet de PC1, PC2 et PC3 Configurez les interfaces Ethernet de PC1, PC2 et PC3 à l’aide des adresses IP et des passerelles par défaut indiquées dans le tableau sous le diagramme de topologie. Étape 4 : test de la configuration de l’ordinateur par l’exécution d’une requête ping sur la passerelle par défaut depuis l’ordinateur Tâche 4 : configuration du protocole OSPF sur le routeur R1 Étape 1 : utilisation de la commande router ospf en mode de configuration globale pour activer le protocole OSPF sur le routeur R1. Entrez 1 comme ID de processus pour le paramètre process-ID. R1(config)#router ospf 1 R1(config-router)# Étape 2 : configuration de l’instruction network pour le réseau local Une fois dans le sous-mode de configuration Router OSPF, configurez le réseau local 172.16.1.16/28 afin de l’inclure dans les mises à jour OSPF envoyées depuis R1. Copyright sur l’intégralité du contenu © 1992 – 2007 Cisco Systems, Inc. Tous droits réservés. Ce document contient des informations publiques Cisco. Page 3 sur 24
  • 321.
    CCNA Exploration Protocoles etconcepts de routage : Protocole OSPF Travaux pratiques 11.6.1 : configuration OSPF de base La commande OSPF network utilise une combinaison adresse réseau et masque générique similaire à celle qu’utilise parfois le protocole EIGRP. Contrairement au protocole EIGRP, le protocole OSPF nécessite obligatoirement le masque générique. Utilisez 0 comme ID de zone pour le paramètre OSPF area-id. L’ID de zone OSPF aura la valeur 0 dans toutes les instructions network de cette topologie. R1(config-router)#network 172.16.1.16 0.0.0.15 area 0 R1(config-router)# Étape 3 : configuration du routeur pour annoncer le réseau 192.168.10.0/30 connecté à l’interface Serial0/0/0 R1(config-router)#network 192.168.10.0 0.0.0.3 area 0 R1(config-router)# Étape 4 : configuration du routeur pour annoncer le réseau 192.168.10.4/30 connecté à l’interface Serial0/0/1 R1(config-router)#network 192.168.10.4 0.0.0.3 area 0 R1(config-router)# Étape 5 : lorsque vous avez terminé la configuration OSPF pour R1, repassez en mode d’exécution privilégié R1(config-router)#end %SYS-5-CONFIG_I: Configured from console by console R1# Tâche 5 : configuration du protocole OSPF sur les routeurs R2 et R3 Étape 1 : activation du routage OSPF sur le routeur R2 à l’aide de la commande router ospf Utilisez l’ID de processus 1. R2(config)#router ospf 1 R2(config-router)# Étape 2 : configuration du routeur pour annoncer le réseau local 10.10.10.0/24 dans les mises à jour OSPF R2(config-router)#network 10.10.10.0 0.0.0.255 area 0 R2(config-router)# Étape 3 : configuration du routeur pour annoncer le réseau 192.168.10.0/30 connecté à l’interface Serial0/0/0 R2(config-router)#network 192.168.10.0 0.0.0.3 area 0 R2(config-router)# 00:07:27: %OSPF-5-ADJCHG: Process 1, Nbr 192.168.10.5 on Serial0/0/0 from EXCHANGE to FULL, Exchange Done Notez que lors de l’ajout du réseau de la liaison série entre R1 et R2 à la configuration OSPF, le routeur envoie un message de notification à la console indiquant qu’une relation de voisinage avec un autre routeur OSPF a été établie. Copyright sur l’intégralité du contenu © 1992 – 2007 Cisco Systems, Inc. Tous droits réservés. Ce document contient des informations publiques Cisco. Page 4 sur 24
  • 322.
    CCNA Exploration Protocoles etconcepts de routage : Protocole OSPF Travaux pratiques 11.6.1 : configuration OSPF de base Étape 4 : configuration du routeur pour annoncer le réseau 192.168.10.8/30 connecté à l’interface Serial0/0/1 Une fois la configuration terminée, repassez en mode d’exécution privilégié. R2(config-router)#network 192.168.10.0 0.0.0.3 area 0 R2(config-router)#end %SYS-5-CONFIG_I: Configured from console by console R2# Étape 5 : configuration du protocole OSPF sur le routeur R3 à l’aide des commandes router ospf et network Utilisez l’ID de processus 1. Configurez le routeur pour annoncer les trois réseaux connectés directement. Une fois la configuration terminée, repassez en mode d’exécution privilégié. R3(config)#router ospf 1 R3(config-router)#network 172.16.1.32 0.0.0.7 area 0 R3(config-router)#network 192.168.10.4 0.0.0.3 area 0 R3(config-router)# 00:17:46: %OSPF-5-ADJCHG: Process 1, Nbr 192.168.10.5 on Serial0/0/0 from LOADING to FULL, Loading Done R3(config-router)#network 192.168.10.0 0.0.0.3 area 0 R3(config-router)# 00:18:01: %OSPF-5-ADJCHG: Process 1, Nbr 192.168.10.9 on Serial0/0/1 from EXCHANGE to FULL, Exchange Done R3(config-router)#end %SYS-5-CONFIG_I: Configured from console by console R3# Notez que lors de l’ajout des réseaux des liaisons séries entre R3 et R1 et entre R3 et R2 à la configuration OSPF, le routeur envoie un message de notification à la console indiquant qu’une relation de voisinage avec un autre routeur OSPF a été établie. Tâche 6 : configuration des ID des routeurs OSPF L’ID de routeur OSPF permet d’identifier le routeur de façon unique dans le domaine de routage OSPF. L’ID de routeur est en fait une adresse IP. Les routeurs Cisco créent l’ID de routeur de l’une des trois méthodes suivantes et dans l’ordre de priorité ci-dessous : 1. Adresse IP configurée avec la commande OSPF router-id. 2. Adresse IP la plus haute des adresses de bouclage du routeur. 3. Adresse IP active la plus haute des interfaces physiques du routeur. Étape 1 : examen des ID de routeur actuels dans la topologie Étant donné qu’aucun ID de routeur et qu’aucune interface de bouclage n’a été configuré sur les trois routeurs, l’ID de chaque routeur est déterminé par l’adresse IP la plus élevée de toute interface active. Quel est l’ID de routeur de R1 ? ____________________ Quel est l’ID de routeur de R2 ? ____________________ Quel est l’ID de routeur de R3 ? ____________________ Copyright sur l’intégralité du contenu © 1992 – 2007 Cisco Systems, Inc. Tous droits réservés. Ce document contient des informations publiques Cisco. Page 5 sur 24
  • 323.
    CCNA Exploration Protocoles etconcepts de routage : Protocole OSPF Travaux pratiques 11.6.1 : configuration OSPF de base L’ID de routeur s’affiche également dans le résultat des commandes show ip protocols, show ip ospf et show ip ospf interfaces. R3#show ip protocols Routing Protocol is "ospf 1" Outgoing update filter list for all interfaces is not set Incoming update filter list for all interfaces is not set Router ID 192.168.10.10 Number of areas in this router is 1. 1 normal 0 stub 0 nssa Maximum path: 4 <output omitted> R3#show ip ospf Routing Process "ospf 1" with ID 192.168.10.10 Supports only single TOS(TOS0) routes Supports opaque LSA SPF schedule delay 5 secs, Hold time between two SPFs 10 secs <output omitted> R3#show ip ospf interface FastEthernet0/0 is up, line protocol is up Internet address is 172.16.1.33/29, Area 0 Process ID 1, Router ID 192.168.10.10, Network Type BROADCAST, Cost: 1 Transmit Delay is 1 sec, State DR, Priority 1 Designated Router (ID) 192.168.10.10, Interface address 172.16.1.33 No backup designated router on this network Timer intervals configured, Hello 10, Dead 40, Wait 40, Retransmit 5 Hello due in 00:00:00 Index 1/1, flood queue length 0 Next 0x0(0)/0x0(0) Last flood scan length is 1, maximum is 1 Last flood scan time is 0 msec, maximum is 0 msec Neighbor Count is 0, Adjacent neighbor count is 0 Suppress hello for 0 neighbor(s) <output omitted> R3# Étape 2 : utilisation des adresses de bouclage pour modifier les ID des routeurs de la topologie R1(config)#interface loopback 0 R1(config-if)#ip address 10.1.1.1 255.255.255.255 R2(config)#interface loopback 0 R2(config-if)#ip address 10.2.2.2 255.255.255.255 R3(config)#interface loopback 0 R3(config-if)#ip address 10.3.3.3 255.255.255.255 Copyright sur l’intégralité du contenu © 1992 – 2007 Cisco Systems, Inc. Tous droits réservés. Ce document contient des informations publiques Cisco. Page 6 sur 24
  • 324.
    CCNA Exploration Protocoles etconcepts de routage : Protocole OSPF Travaux pratiques 11.6.1 : configuration OSPF de base Étape 3 : rechargement des routeurs pour forcer l’utilisation des nouveaux ID de routeur Lorsqu’un nouvel ID de routeur est configuré, il n’est utilisé qu’au redémarrage du processus OSPF. Veillez à enregistrer la configuration actuelle dans la mémoire non volatile, puis utilisez la commande reload pour redémarrer chaque routeur. Une fois le routeur rechargé, quel est l’ID de routeur de R1 ? ____________________ Une fois le routeur rechargé, quel est l’ID de routeur de R2 ? ____________________ Une fois le routeur rechargé, quel est l’ID de routeur de R3 ? ____________________ Étape 4 : utilisation de la commande show ip ospf neighbors pour vérifier que les ID de routeur ont été modifiés R1#show ip ospf neighbor Neighbor ID Pri State Dead Time Address Interface 10.3.3.3 0 FULL/- 00:00:30 192.168.10.6 Serial0/0/1 10.2.2.2 0 FULL/- 00:00:33 192.168.10.2 Serial0/0/0 R2#show ip ospf neighbor Neighbor ID Pri State Dead Time Address Interface 10.3.3.3 0 FULL/ - 00:00:36 192.168.10.10 Serial0/0/1 10.1.1.1 0 FULL/ - 00:00:37 192.168.10.1 Serial0/0/0 R3#show ip ospf neighbor Neighbor ID Pri State Dead Time Address Interface 10.2.2.2 0 FULL/ - 00:00:34 192.168.10.9 Serial0/0/1 10.1.1.1 0 FULL/ - 00:00:38 192.168.10.5 Serial0/0/0 Étape 5 : utilisation de la commande router-id pour changer l’ID de routeur sur le routeur R1 Remarque : certaines versions d’IOS ne prennent pas en charge la commande router-id. Si cette commande n’est pas disponible, passez à la tâche 7. R1(config)#router ospf 1 R1(config-router)#router-id 10.4.4.4 Reload or use “clear ip ospf process” command, for this to take effect Copyright sur l’intégralité du contenu © 1992 – 2007 Cisco Systems, Inc. Tous droits réservés. Ce document contient des informations publiques Cisco. Page 7 sur 24
  • 325.
    CCNA Exploration Protocoles etconcepts de routage : Protocole OSPF Travaux pratiques 11.6.1 : configuration OSPF de base Si cette commande est utilisée dans un processus de routeur OSPF déjà actif (qui a des voisins), le nouvel ID de routeur est utilisé au prochain rechargement ou lors d’un redémarrage manuel du processus OSPF. Pour redémarrer manuellement le processus OSPF, utilisez la commande clear ip ospf process. R1#(config-router)#end R1# clear ip ospf process Reset ALL OSPF processes? [no]:yes R1# Étape 6 : utilisation de la commande show ip ospf neighbor sur le routeur R2 pour vérifier que l’ID de routeur de R1 a bien été modifié R2#show ip ospf neighbor Neighbor ID Pri State Dead Time Address Interface 10.3.3.3 0 FULL/ - 00:00:36 192.168.10.10 Serial0/0/1 10.4.4.4 0 FULL/ - 00:00:37 192.168.10.1 Serial0/0/0 Étape 7 : suppression de l’ID de routeur configuré avec la forme no de la commande router-id R1(config)#router ospf 1 R1(config-router)#router-id 10.4.4.4 Reload or use “clear ip ospf process” command, for this to take effect Étape 8 : redémarrage du processus OSPF à l’aide de la commande clear ip ospf process Le redémarrage du processus OSPF force le routeur à utiliser l’adresse IP configurée sur l’interface de bouclage 0 comme ID de routeur. R1(config-router)#end R1# clear ip ospf process Reset ALL OSPF processes? [no]:yes R1# Tâche 7 : vérification du fonctionnement du routeur OSPF Étape 1 : sur le routeur R1, utilisation de la commande show ip ospf neighbor pour afficher les informations sur les routeurs R2 et R3 OSPF voisins. L’ID et l’adresse IP du routeur voisin de chaque routeur adjacent doivent s’afficher ainsi que l’interface qu’utilise le routeur R1 pour accéder à ce voisin OSPF. R1#show ip ospf neighbor Neighbor ID Pri State Dead Time Address Interface 10.2.2.2 0 FULL/- 00:00:32 192.168.10.2 Serial0/0/0 Copyright sur l’intégralité du contenu © 1992 – 2007 Cisco Systems, Inc. Tous droits réservés. Ce document contient des informations publiques Cisco. Page 8 sur 24
  • 326.
    CCNA Exploration Protocoles etconcepts de routage : Protocole OSPF Travaux pratiques 11.6.1 : configuration OSPF de base 10.3.3.3 0 FULL/- 00:00:32 192.168.10.6 Serial0/0/1 R1# Étape 2 : utilisation, sur le routeur R1, de la commande show ip protocols pour afficher les informations relatives au fonctionnement du protocole de routage Notez que les informations configurées dans les tâches précédentes, telles que le protocole, l’ID de processus, l’ID de routeur voisin et les réseaux, apparaissent dans les résultats. Les adresses IP des voisins adjacents apparaissent également. R1#show ip protocols Routing Protocol is "ospf 1" Outgoing update filter list for all interfaces is not set Incoming update filter list for all interfaces is not set Router ID 10.1.1.1 Number of areas in this router is 1. 1 normal 0 stub 0 nssa Maximum path: 4 Routing for Networks: 172.16.1.16 0.0.0.15 area 0 192.168.10.0 0.0.0.3 area 0 192.168.10.4 0.0.0.3 area 0 Routing Information Sources: Gateway Distance Last Update 10.2.2.2 110 00:11:43 10.3.3.3 110 00:11:43 Distance: (default is 110) R1# Notez que le résultat indique l’ID de processus utilisé par le protocole OSPF. N’oubliez pas que l’ID de processus doit être le même sur tous les routeurs pour que le protocole OSPF puisse établir des contiguïtés entre voisins et partager les informations de routage. Tâche 8 : examen des routes OSPF dans les tables de routage Affichez la table de routage du routeur R1. Les routes OSPF sont signalées par un « O » dans la table de routage. R1#show ip route Codes: C - connected, S - static, I - IGRP, R - RIP, M - mobile, B - BGP D - EIGRP, EX - EIGRP external, O - OSPF, IA - OSPF inter area N1 - OSPF NSSA external type 1, N2 - OSPF NSSA external type 2 E1 - OSPF external type 1, E2 - OSPF external type 2, E - EGP i - IS-IS, L1 - IS-IS level-1, L2 - IS-IS level-2, ia - IS-IS inter area * - candidate default, U - per-user static route, o - ODR P - periodic downloaded static route Gateway of last resort is not set 10.0.0.0/8 is variably subnetted, 2 subnets, 2 masks C 10.1.1.1/32 is directly connected, Loopback0 Copyright sur l’intégralité du contenu © 1992 – 2007 Cisco Systems, Inc. Tous droits réservés. Ce document contient des informations publiques Cisco. Page 9 sur 24
  • 327.
    CCNA Exploration Protocoles etconcepts de routage : Protocole OSPF Travaux pratiques 11.6.1 : configuration OSPF de base O 10.10.10.0/24 [110/65] via 192.168.10.2, 00:01:02, Serial0/0/0 172.16.0.0/16 is variably subnetted, 2 subnets, 2 masks C 172.16.1.16/28 is directly connected, FastEthernet0/0 O 172.16.1.32/29 [110/65] via 192.168.10.6, 00:01:12, Serial0/0/1 192.168.10.0/30 is subnetted, 3 subnets C 192.168.10.0 is directly connected, Serial0/0/0 C 192.168.10.4 is directly connected, Serial0/0/1 O 192.168.10.8 [110/128] via 192.168.10.6, 00:01:12, Serial0/0/1 [110/128] via 192.168.10.2, 00:01:02, Serial0/0/0 R1# Notez que, contrairement aux protocoles RIPv2 et EIGRP, OSPF ne récapitule pas automatiquement les principales limites du réseau. Tâche 9 : configuration du coût OSPF Étape 1 : utilisation de la commande show ip route sur le routeur R1 pour afficher le coût OSPF pour atteindre le réseau 10.10.10.0/24 R1#show ip route <output omitted> 10.0.0.0/8 is variably subnetted, 2 subnets, 2 masks C 10.1.1.1/32 is directly connected, Loopback0 O 10.10.10.0/24 [110/65] via 192.168.10.2, 00:16:56, Serial0/0/0 172.16.0.0/16 is variably subnetted, 2 subnets, 2 masks C 172.16.1.16/28 is directly connected, FastEthernet0/0 O 172.16.1.32/29 [110/65] via 192.168.10.6, 00:17:06, Serial0/0/1 192.168.10.0/30 is subnetted, 3 subnets C 192.168.10.0 is directly connected, Serial0/0/0 C 192.168.10.4 is directly connected, Serial0/0/1 O 192.168.10.8 [110/128] via 192.168.10.6, 00:17:06, Serial0/0/1 [110/128] via 192.168.10.2, 00:16:56, Serial0/0/0 R1# Étape 2 : utilisation de la commande show interfaces serial0/0/0 sur le routeur R1 pour afficher la bande passante de l’interface Serial0/0/0 R1#show interfaces serial0/0/0 Serial0/0/0 is up, line protocol is up (connected) Hardware is HD64570 Internet address is 192.168.10.1/30 MTU 1500 bytes, BW 1544 Kbit, DLY 20000 usec, rely 255/255, load 1/255 Encapsulation HDLC, loopback not set, keepalive set (10 sec) Last input never, output never, output hang never Last clearing of "show interface" counters never Input queue: 0/75/0 (size/max/drops); Total output drops: 0 <output omitted> Copyright sur l’intégralité du contenu © 1992 – 2007 Cisco Systems, Inc. Tous droits réservés. Ce document contient des informations publiques Cisco. Page 10 sur 24
  • 328.
    CCNA Exploration Protocoles etconcepts de routage : Protocole OSPF Travaux pratiques 11.6.1 : configuration OSPF de base Sur la plupart des liaisons en série, la mesure de bande passante par défaut est de 1 544 Kbits. Si cette valeur ne correspond pas à la bande passante de la liaison en série, celle-ci doit être modifiée afin de permettre le calcul correct du coût OSPF. Étape 3 : utilisation de la commande bandwidth pour modifier la bande passante des interfaces série des routeurs R1 et R2 sur la valeur réelle, soit 64 Kbits/s Routeur R1 : R1(config)#interface serial0/0/0 R1(config-if)#bandwidth 64 R1(config-if)#interface serial0/0/1 R1(config-if)#bandwidth 64 Routeur R2 : R2(config)#interface serial0/0/0 R2(config-if)#bandwidth 64 R2(config)#interface serial0/0/1 R2(config-if)#bandwidth 64 Étape 4 : utilisation de la commande show ip ospf interface sur le routeur R1 pour vérifier le coût des liaisons séries Le coût de chaque liaison série est maintenant de 1 562, résultat de calcul : 108/64 000 bits/s. R1#show ip ospf interface <output omitted> Serial0/0/0 is up, line protocol is up Internet address is 192.168.10.1/30, Area 0 Process ID 1, Router ID 10.1.1.1, Network Type POINT-TO-POINT, Cost: 1562 Transmit Delay is 1 sec, State POINT-TO-POINT, Timer intervals configured, Hello 10, Dead 40, Wait 40, Retransmit 5 Hello due in 00:00:05 Index 2/2, flood queue length 0 Next 0x0(0)/0x0(0) Last flood scan length is 1, maximum is 1 Last flood scan time is 0 msec, maximum is 0 msec Neighbor Count is 1, Adjacent neighbor count is 1 Adjacent with neighbor 10.2.2.2 Suppress hello for 0 neighbor(s) Serial0/0/1 is up, line protocol is up Internet address is 192.168.10.5/30, Area 0 Process ID 1, Router ID 10.1.1.1, Network Type POINT-TO-POINT, Cost: 1562 Transmit Delay is 1 sec, State POINT-TO-POINT, <output omitted> Copyright sur l’intégralité du contenu © 1992 – 2007 Cisco Systems, Inc. Tous droits réservés. Ce document contient des informations publiques Cisco. Page 11 sur 24
  • 329.
    CCNA Exploration Protocoles etconcepts de routage : Protocole OSPF Travaux pratiques 11.6.1 : configuration OSPF de base Étape 5 : utilisation de la commande ip ospf cost pour configurer le coût OSPF sur le routeur R3 Outre la commande bandwidth, vous pouvez utiliser la commande ip ospf cost qui permet de configurer directement le coût. Utilisez la commande ip ospf cost pour définir la bande passante des interfaces séries du routeur R3 sur 1562. R3(config)#interface serial0/0/0 R3(config-if)#ip ospf cost 1562 R3(config-if)#interface serial0/0/1 R3(config-if)#ip ospf cost 1562 Étape 6 : utilisation de la commande show ip ospf interface sur le routeur R3 pour vérifier que le coût de chaque liaison série est désormais de 1562 R3#show ip ospf interface <output omitted> Serial0/0/1 is up, line protocol is up Internet address is 192.168.10.10/30, Area 0 Process ID 1, Router ID 10.3.3.3, Network Type POINT-TO-POINT, Cost: 1562 Transmit Delay is 1 sec, State POINT-TO-POINT, Timer intervals configured, Hello 10, Dead 40, Wait 40, Retransmit 5 Hello due in 00:00:06 Index 2/2, flood queue length 0 Next 0x0(0)/0x0(0) Last flood scan length is 1, maximum is 1 Last flood scan time is 0 msec, maximum is 0 msec Neighbor Count is 1, Adjacent neighbor count is 1 Adjacent with neighbor 10.2.2.2 Suppress hello for 0 neighbor(s) Serial0/0/0 is up, line protocol is up Internet address is 192.168.10.6/30, Area 0 Process ID 1, Router ID 10.3.3.3, Network Type POINT-TO-POINT, Cost: 1562 Transmit Delay is 1 sec, State POINT-TO-POINT, <output omitted> Tâche 10 : redistribution d’une route OSPF par défaut Étape 1 : configuration d’une adresse de bouclage sur le routeur R1 pour simuler une liaison avec un FAI R1(config)#interface loopback1 %LINK-5-CHANGED: Interface Loopback1, changed state to up %LINEPROTO-5-UPDOWN: Line protocol on Interface Loopback1, changed state to up R1(config-if)#ip address 172.30.1.1 255.255.255.252 Copyright sur l’intégralité du contenu © 1992 – 2007 Cisco Systems, Inc. Tous droits réservés. Ce document contient des informations publiques Cisco. Page 12 sur 24
  • 330.
    CCNA Exploration Protocoles etconcepts de routage : Protocole OSPF Travaux pratiques 11.6.1 : configuration OSPF de base Étape 2 : configuration d’une route statique par défaut sur le routeur R1 Utilisez l’adresse de bouclage configurée pour simuler une liaison avec un FAI comme interface de sortie. R1(config)#ip route 0.0.0.0 0.0.0.0 loopback1 R1(config)# Étape 3 : utilisation de la commande default-information originate pour inclure la route statique dans les mises à jour OSPF envoyées depuis le routeur R1 R1(config)#router ospf 1 R1(config-router)#default-information originate R1(config-router)# Étape 4 : consultation de la table de routage du routeur R2 pour vérifier que la route statique par défaut est redistribuée via OSPF R2#show ip route <output omitted> Gateway of last resort is 192.168.10.1 to network 0.0.0.0 10.0.0.0/8 is variably subnetted, 2 subnets, 2 masks C 10.2.2.2/32 is directly connected, Loopback0 C 10.10.10.0/24 is directly connected, FastEthernet0/0 172.16.0.0/16 is variably subnetted, 2 subnets, 2 masks O 172.16.1.16/28 [110/1563] via 192.168.10.1, 00:29:28, Serial0/0/0 O 172.16.1.32/29 [110/1563] via 192.168.10.10, 00:29:28, Serial0/0/1 192.168.10.0/30 is subnetted, 3 subnets C 192.168.10.0 is directly connected, Serial0/0/0 O 192.168.10.4 [110/3124] via 192.168.10.10, 00:25:56, Serial0/0/1 [110/3124] via 192.168.10.1, 00:25:56, Serial0/0/0 C 192.168.10.8 is directly connected, Serial0/0/1 O*E2 0.0.0.0/0 [110/1] via 192.168.10.1, 00:01:11, Serial0/0/0 R2# Tâche 11 : configuration de fonctions OSPF supplémentaires Étape 1 : utilisation de la commande auto-cost reference-bandwidth pour définir la valeur de la bande passante de référence Augmentez la bande passante de référence à 10 000 pour simuler des vitesses de 10 GigE. Configurez cette commande sur tous les routeurs dans le domaine de routage OSPF. R1(config-router)#auto-cost reference-bandwidth 10000 % OSPF: Reference bandwidth is changed. Assurez-vous que la bande passante de référence est la même sur tous les routeurs. Copyright sur l’intégralité du contenu © 1992 – 2007 Cisco Systems, Inc. Tous droits réservés. Ce document contient des informations publiques Cisco. Page 13 sur 24
  • 331.
    CCNA Exploration Protocoles etconcepts de routage : Protocole OSPF Travaux pratiques 11.6.1 : configuration OSPF de base R2(config-router)#auto-cost reference-bandwidth 10000 % OSPF: Reference bandwidth is changed. Assurez-vous que la bande passante de référence est la même sur tous les routeurs. R3(config-router)#auto-cost reference-bandwidth 10000 % OSPF: Reference bandwidth is changed. Assurez-vous que la bande passante de référence est la même sur tous les routeurs. Étape 2 : consultation de la table de routage du routeur R1 pour vérifier la modification de la mesure du coût OSPF Notez que les valeurs de coût sont beaucoup plus élevées pour les routes OSPF. R1#show ip route <output omitted> Gateway of last resort is 0.0.0.0 to network 0.0.0.0 10.0.0.0/8 is variably subnetted, 2 subnets, 2 masks C 10.1.1.1/32 is directly connected, Loopback0 O 10.10.10.0/24 [110/65635] via 192.168.10.2, 00:01:01, Serial0/0/0 172.16.0.0/16 is variably subnetted, 2 subnets, 2 masks C 172.16.1.16/28 is directly connected, FastEthernet0/0 O 172.16.1.32/29 [110/65635] via 192.168.10.6, 00:00:51, Serial0/0/1 172.30.0.0/30 is subnetted, 1 subnets C 172.30.1.0 is directly connected, Loopback1 192.168.10.0/30 is subnetted, 3 subnets C 192.168.10.0 is directly connected, Serial0/0/0 C 192.168.10.4 is directly connected, Serial0/0/1 O 192.168.10.8 [110/67097] via 192.168.10.2, 00:01:01, Serial0/0/0 S* 0.0.0.0/0 is directly connected, Loopback1 R1# Étape 3 : utilisation de la commande show ip ospf neighbor sur le routeur R1 pour afficher le compteur d’arrêt Le compteur d’arrêt déclenche un compte à rebours à partir de l’intervalle par défaut de 40 secondes. R1#show ip ospf neighbor Neighbor ID Pri State Dead Time Address Interface 10.2.2.2 0 FULL/- 00:00:34 192.168.10.2 Serial0/0/0 10.3.3.3 0 FULL/- 00:00:34 192.168.10.6 Serial0/0/1 Copyright sur l’intégralité du contenu © 1992 – 2007 Cisco Systems, Inc. Tous droits réservés. Ce document contient des informations publiques Cisco. Page 14 sur 24
  • 332.
    CCNA Exploration Protocoles etconcepts de routage : Protocole OSPF Travaux pratiques 11.6.1 : configuration OSPF de base Étape 4 : configuration des intervalles HELLO et d’arrêt OSPF Les intervalles Hello et d’arrêt OSPF peuvent être modifiés manuellement à l’aide des commandes d’interface ip ospf hello-interval et ip ospf dead-interval. Utilisez ces commandes pour modifier l’intervalle Hello sur 5 secondes et l’intervalle d’arrêt sur 20 secondes sur l’interface Serial0/0/0 du routeur R1. R1(config)#interface serial0/0/0 R1(config-if)#ip ospf hello-interval 5 R1(config-if)#ip ospf dead-interval 20 R1(config-if)# 01:09:04: %OSPF-5-ADJCHG: Process 1, Nbr 10.2.2.2 on Serial0/0/0 from FULL to DOWN, Neighbor Down: Dead timer expired 01:09:04: %OSPF-5-ADJCHG: Process 1, Nbr 10.2.2.2 on Serial0/0/0 from FULL to Down: Interface down or detached Au bout de 20 secondes, le compteur d’arrêt expire sur R1. R1 et R2 perdent leur contiguïté car le compteur d’arrêt et le compteur Hello doivent être configurés à l’identique à chaque extrémité de la liaison série entre R1 et R2. Étape 5 : modification des intervalles des compteurs d’arrêt et Hello Modifiez les intervalles des compteurs d’arrêt et Hello sur l’interface Serial0/0/0 du routeur R2 de manière à ce qu’ils correspondent aux intervalles configurés sur l’interface Serial0/0/0 du routeur R1. R2(config)#interface serial0/0/0 R2(config-if)#ip ospf hello-interval 5 R2(config-if)#ip ospf dead-interval 20 R2(config-if)# 01:12:10: %OSPF-5-ADJCHG: Process 1, Nbr 10.1.1.1 on Serial0/0/0 from EXCHANGE to FULL, Exchange Done Notez que l’IOS affiche un message d’établissement de la contiguïté avec l’état Full. Étape 6 : utilisation de la commande show ip ospf interface serial0/0/0 pour vérifier que les intervalles des compteurs Hello et d’arrêt ont été modifiés R2#show ip ospf interface serial0/0/0 Serial0/0/0 is up, line protocol is up Internet address is 192.168.10.2/30, Area 0 Process ID 1, Router ID 10.2.2.2, Network Type POINT-TO-POINT, Cost: 1562 Transmit Delay is 1 sec, State POINT-TO-POINT, Timer intervals configured, Hello 5, Dead 20, Wait 20, Retransmit 5 Hello due in 00:00:00 Index 3/3, flood queue length 0 Next 0x0(0)/0x0(0) Last flood scan length is 1, maximum is 1 Last flood scan time is 0 msec, maximum is 0 msec Neighbor Count is 1, Adjacent neighbor count is 1 Adjacent with neighbor 10.1.1.1 Suppress hello for 0 neighbor(s) R2# Copyright sur l’intégralité du contenu © 1992 – 2007 Cisco Systems, Inc. Tous droits réservés. Ce document contient des informations publiques Cisco. Page 15 sur 24
  • 333.
    CCNA Exploration Protocoles etconcepts de routage : Protocole OSPF Travaux pratiques 11.6.1 : configuration OSPF de base Étape 7 : utilisation de la commande show ip ospf neighbor sur le routeur R1 pour vérifier que la contiguïté de voisins avec R2 a été rétablie Notez que le temps d’arrêt pour l’interface Serial0/0/0 est sensiblement inférieur étant donné qu’il déclenche le compte à rebours à partir de 20 secondes au lieu des 40 secondes par défaut. L’interface Serial0/0/1 a conservé ses compteurs par défaut. R1#show ip ospf neighbor Neighbor ID Pri State Dead Time Address Interface 10.2.2.2 0 FULL/- 00:00:19 192.168.10.2 Serial0/0/0 10.3.3.3 0 FULL/- 00:00:34 192.168.10.6 Serial0/0/1 R1# Tâche 12 : description des configurations des routeurs Sur chaque routeur, consignez les informations de commande suivantes dans un fichier texte pour référence ultérieure : • Configuration en cours • Table de routage • Récapitulatif de l’interface • Résultat de la commande show ip protocols Tâche 11 : remise en état Supprimez les configurations et rechargez les routeurs. Débranchez et rangez les câbles. Pour les hôtes PC habituellement connectés à d’autres réseaux (comme le réseau local de l’établissement scolaire ou Internet), rebranchez les câbles appropriés et restaurez les paramètres TCP/IP. Copyright sur l’intégralité du contenu © 1992 – 2007 Cisco Systems, Inc. Tous droits réservés. Ce document contient des informations publiques Cisco. Page 16 sur 24
  • 334.
    CCNA Exploration Protocoles etconcepts de routage : Protocole OSPF Travaux pratiques 11.6.1 : configuration OSPF de base Scénario B : configuration du protocole OSPF sur un réseau à accès multiple Diagramme de topologie Périphérique Interface Adresse IP Masque de sous-réseau Passerelle par défaut Fa0/0 192.168.1.1 255.255.255.0 N/D R1 Loopback1 192.168.31.11 255.255.255.255 N/D Fa0/0 192.168.1.2 255.255.255.0 N/D R2 Loopback1 192.168.31.22 255.255.255.255 N/D Fa0/0 192.168.1.3 255.255.255.0 N/D R3 Loopback1 192.168.31.33 255.255.255.255 N/D Tâche 1 : préparation du réseau Étape 1 : mise en place d’un réseau similaire à celui du diagramme de topologie Pour ces travaux pratiques, vous pouvez utiliser le routeur existant de votre choix pour autant qu’il soit équipé des interfaces indiquées dans la topologie. Remarque : si vous utilisez les routeurs 1700, 2500 ou 2600, les résultats des routeurs et les descriptions d’interface seront différents. Dans cette topologie, nous avons trois routeurs partageant un réseau Ethernet à accès multiple commun, 192.168.1.0/24. Chaque routeur sera configuré avec une adresse IP sur l’interface Fast Ethernet et une adresse de bouclage pour l’ID de routeur. Étape 2 : suppression de toute configuration existante sur les routeurs Copyright sur l’intégralité du contenu © 1992 – 2007 Cisco Systems, Inc. Tous droits réservés. Ce document contient des informations publiques Cisco. Page 17 sur 24
  • 335.
    CCNA Exploration Protocoles etconcepts de routage : Protocole OSPF Travaux pratiques 11.6.1 : configuration OSPF de base Tâche 2 : exécution de configurations de routeur de base Exécutez la configuration de base des routeurs R1, R2 et R3 en procédant comme suit : 1. Configurez le nom d’hôte du routeur. 2. Désactivez la recherche DNS. 3. Configurez un mot de passe de mode d’exécution privilégié. 4. Configurez une bannière de message du jour. 5. Configurez un mot de passe pour les connexions console. 6. Configurez un mot de passe pour les connexions VTY Tâche 3 : configuration et activation des adresses Ethernet et de bouclage Étape 1 : configuration des interfaces sur R1, R2 et R3 Configurez les interfaces Ethernet et de bouclage sur les routeurs R1, R2 et R3 avec les adresses IP du tableau sous le diagramme de topologie. Utilisez la commande show ip interface brief pour vérifier que l’adressage IP est correct. Lorsque vous avez terminé, veillez à enregistrer la configuration en cours dans la mémoire vive non volatile du routeur. Étape 2 : vérification de l’adressage IP et des interfaces Utilisez la commande show ip interface brief pour vérifier que l’adressage IP est correct et que les interfaces sont actives. Lorsque vous avez terminé, veillez à enregistrer la configuration en cours dans la mémoire vive non volatile du routeur. Tâche 4 : configuration du protocole OSPF sur le routeur désigné Le processus de sélection des routeurs désignés (DR) et le processus des routeurs désignés de sauvegarde (BDR) s’enclenchent lors de l’activation de l’interface du premier routeur sur le réseau à accès multiple. Ceci peut se produire lors de la mise sous tension des routeurs ou lors de la configuration de la commande OSPF network pour l’interface en question. Si un nouveau routeur se joint au réseau une fois le routeur désigné et le routeur désigné de sauvegarde choisi, il ne pourra jouer aucun de ces deux rôles même si sa priorité d’interface OSPF ou son ID de routeur est supérieur à celui du routeur désigné ou du routeur désigné de sauvegarde actuel. Configurez le processus OSPF sur le routeur dont l’ID est le plus élevé pour vous assurer qu’il devienne le routeur désigné. Étape 1 : utilisation de la commande router ospf en mode de configuration globale pour activer le protocole OSPF sur le routeur R3 Entrez 1 comme ID de processus pour le paramètre process-ID. Configurez le routeur pour annoncer le réseau 192.168.1.0/24. Dans l’instruction network, utilisez un ID de 0 pour le paramètre OSPF area-id. R3(config)#router ospf 1 R3(config-router)#network 192.168.1.0 0.0.0.255 area 0 R3(config-router)#end R3# Copyright sur l’intégralité du contenu © 1992 – 2007 Cisco Systems, Inc. Tous droits réservés. Ce document contient des informations publiques Cisco. Page 18 sur 24
  • 336.
    CCNA Exploration Protocoles etconcepts de routage : Protocole OSPF Travaux pratiques 11.6.1 : configuration OSPF de base Étape 2 : utilisation de la commande show ip ospf interface pour vérifier que le protocole OSPF a été correctement configuré et que R3 est le routeur désigné R3#show ip ospf interface FastEthernet0/0 is up, line protocol is up Internet address is 192.168.1.3/24, Area 0 Process ID 1, Router ID 192.168.31.33, Network Type BROADCAST, Cost: 1 Transmit Delay is 1 sec, State DR, Priority 1 Designated Router (ID) 192.168.31.33, Interface address 192.168.1.3 No backup designated router on this network Timer intervals configured, Hello 10, Dead 40, Wait 40, Retransmit 5 Hello due in 00:00:07 Index 1/1, flood queue length 0 Next 0x0(0)/0x0(0) Last flood scan length is 1, maximum is 1 Last flood scan time is 0 msec, maximum is 0 msec Neighbor Count is 0, Adjacent neighbor count is 0 Suppress hello for 0 neighbor(s) R3# Tâche 5 : configuration du protocole OSPF sur le routeur désigné de sauvegarde Configurez ensuite le processus OSPF sur le routeur dont l’ID est le deuxième plus élevé pour vous assurer que ce routeur devienne le routeur désigné de sauvegarde. Étape 1 : utilisation de la commande router ospf en mode de configuration globale pour activer le protocole OSPF sur le routeur R2 Entrez 1 comme ID de processus pour le paramètre process-ID. Configurez le routeur pour annoncer le réseau 192.168.1.0/24. Dans l’instruction network, utilisez un ID de 0 pour le paramètre OSPF area-id. R2(config)#router ospf 1 R2(config-router)#network 192.168.1.0 0.0.0.255 area 0 R2(config-router)#end %SYS-5-CONFIG_I: Configured from console by console R2# 00:08:51: %OSPF-5-ADJCHG: Process 1, Nbr 192.168.31.33 on FastEthernet0/0 from LOADING to FULL, Loading Done Notez qu’une contiguïté se crée avec le routeur R3. Il se peut qu’il faille jusqu’à 40 secondes au routeur R3 pour envoyer un paquet Hello. Une fois ce paquet reçu, la relation de voisinage est établie. Étape 2 : utilisation de la commande show ip ospf interface pour vérifier que le protocole OSPF a été correctement configuré et que R2 est le routeur désigné de sauvegarde R2#show ip ospf interface FastEthernet0/0 is up, line protocol is up Internet address is 192.168.1.2/24, Area 0 Process ID 1, Router ID 192.168.31.22, Network Type BROADCAST, Cost: 1 Transmit Delay is 1 sec, State BDR, Priority 1 Designated Router (ID) 192.168.31.33, Interface address 192.168.1.3 Copyright sur l’intégralité du contenu © 1992 – 2007 Cisco Systems, Inc. Tous droits réservés. Ce document contient des informations publiques Cisco. Page 19 sur 24
  • 337.
    CCNA Exploration Protocoles etconcepts de routage : Protocole OSPF Travaux pratiques 11.6.1 : configuration OSPF de base Backup Designated Router (ID) 192.168.31.22, Interface address 192.168.1.2 Timer intervals configured, Hello 10, Dead 40, Wait 40, Retransmit 5 Hello due in 00:00:03 Index 1/1, flood queue length 0 Next 0x0(0)/0x0(0) Last flood scan length is 1, maximum is 1 Last flood scan time is 0 msec, maximum is 0 msec Neighbor Count is 1, Adjacent neighbor count is 1 Adjacent with neighbor 192.168.1.3 (Designated Router) Suppress hello for 0 neighbor(s) R2# Étape 3 : utilisation de la commande show ip ospf neighbors pour afficher des informations sur les autres routeurs dans la zone OSPF Notez que le routeur R3 est le routeur désigné. R2#show ip ospf neighbor Neighbor ID Pri State Dead Time Address Interface 192.168.31.33 1 FULL/DR 00:00:33 192.168.1.3 FastEthernet0/0 Tâche 6 : configuration du protocole OSPF sur le routeur DRother Configurez le processus OSPF sur le routeur dont l’ID est le plus faible en dernier. Ce routeur sera désigné DRother au lieu de DR (routeur désigné) ou BDR (routeur désigné de sauvegarde). Étape 1 : utilisation de la commande router ospf en mode de configuration globale pour activer le protocole OSPF sur le routeur R1 Entrez 1 comme ID de processus pour le paramètre process-ID. Configurez le routeur pour annoncer le réseau 192.168.1.0/24. Dans l’instruction network, utilisez un ID de 0 pour le paramètre OSPF area-id. R1(config)#router ospf 1 R1(config-router)#network 192.168.1.0 0.0.0.255 area 0 R1(config-router)#end %SYS-5-CONFIG_I: Configured from console by console R1# 00:16:08: %OSPF-5-ADJCHG: Process 1, Nbr 192.168.31.22 on FastEthernet0/0 from LOADING to FULL, Loading Done 00:16:12: %OSPF-5-ADJCHG: Process 1, Nbr 192.168.31.33 on FastEthernet0/0 from EXCHANGE to FULL, Exchange Done Notez qu’une contiguïté se crée avec les routeurs R2 et R3. Il se peut qu’il faille jusqu’à 40 secondes aux routeurs R2 et R3 pour envoyer un paquet Hello. Étape 2 : utilisation de la commande show ip ospf interface pour vérifier que le protocole OSPF a été correctement configuré et que R1 est un routeur DRother R1#show ip ospf interface FastEthernet0/0 is up, line protocol is up Internet address is 192.168.1.1/24, Area 0 Copyright sur l’intégralité du contenu © 1992 – 2007 Cisco Systems, Inc. Tous droits réservés. Ce document contient des informations publiques Cisco. Page 20 sur 24
  • 338.
    CCNA Exploration Protocoles etconcepts de routage : Protocole OSPF Travaux pratiques 11.6.1 : configuration OSPF de base Process ID 1, Router ID 192.168.31.11, Network Type BROADCAST, Cost: 1 Transmit Delay is 1 sec, State DROTHER, Priority 1 Designated Router (ID) 192.168.31.33, Interface address 192.168.1.3 Backup Designated Router (ID) 192.168.31.22, Interface address 192.168.1.2 Timer intervals configured, Hello 10, Dead 40, Wait 40, Retransmit 5 Hello due in 00:00:00 Index 1/1, flood queue length 0 Next 0x0(0)/0x0(0) Last flood scan length is 1, maximum is 1 Last flood scan time is 0 msec, maximum is 0 msec Neighbor Count is 2, Adjacent neighbor count is 2 Adjacent with neighbor 192.168.31.33 (Designated Router) Adjacent with neighbor 192.168.31.22 (Backup Designated Router) Suppress hello for 0 neighbor(s) R1# Étape 3 : utilisation de la commande show ip ospf neighbors pour afficher des informations sur les autres routeurs dans la zone OSPF Notez que R3 est le routeur désigné (DR) et que R2 est le routeur désigné de sauvegarde (BDR). R1#show ip ospf neighbor Neighbor ID Pri State Dead Time Address Interface 192.168.31.22 1 FULL/BDR 00:00:35 192.168.1.2 FastEthernet0/0 192.168.31.33 1 FULL/DR 00:00:30 192.168.1.3 FastEthernet0/0 Tâche 7 : utilisation de la priorité OSPF pour déterminer le routeur désigné (DR) et le routeur désigné de sauvegarde (BDR) Étape 1 : utilisation de la commande d’interface ip ospf priority pour paramétrer la priorité OSPF du routeur R1 sur 255 Il s’agit de la priorité la plus élevée possible. R1(config)#interface fastEthernet0/0 R1(config-if)#ip ospf priority 255 R1(config-if)#end Étape 2 : utilisation de la commande d’interface ip ospf priority pour paramétrer la priorité OSPF du routeur R3 sur 100 R3(config)#interface fastEthernet0/0 R3(config-if)#ip ospf priority 100 R3(config-if)#end Copyright sur l’intégralité du contenu © 1992 – 2007 Cisco Systems, Inc. Tous droits réservés. Ce document contient des informations publiques Cisco. Page 21 sur 24
  • 339.
    CCNA Exploration Protocoles etconcepts de routage : Protocole OSPF Travaux pratiques 11.6.1 : configuration OSPF de base Étape 3 : utilisation de la commande d’interface ip ospf priority pour paramétrer la priorité OSPF du routeur R2 sur 0 Le routeur dont la priorité est de 0 ne peut pas participer à la sélection OSPF pour devenir routeur désigné ou routeur désigné de sauvegarde. R2(config)#interface fastEthernet0/0 R2(config-if)#ip ospf priority 0 R2(config-if)#end Étape 4 : arrêt et réactivation des interfaces FastEthernet0/0 pour forcer une sélection OSPF Les interfaces FastEthernet0/0 de chaque routeur peuvent être arrêtées et ensuite réactivées pour forcer une sélection OSPF. Arrêtez l’interface FastEthernet0/0 sur chacun des trois routeurs. Notez que lorsque les interfaces sont arrêtées, les contiguïtés OSPF sont perdues. R1 : R1(config)#interface fastethernet0/0 R1(config-if)#shutdown %LINK-5-CHANGED: Interface FastEthernet0/0, changed state to administratively down %LINEPROTO-5-UPDOWN: Line protocol on Interface FastEthernet0/0, changed state to down 02:17:22: %OSPF-5-ADJCHG: Process 1, Nbr 192.168.31.22 on FastEthernet0/0 from FULL to Down: Interface down or detached 02:17:22: %OSPF-5-ADJCHG: Process 1, Nbr 192.168.31.33 on FastEthernet0/0 from FULL to Down: Interface down or detached R2 : R2(config)#interface fastethernet0/0 R2(config-if)#shutdown %LINK-5-CHANGED: Interface FastEthernet0/0, changed state to administratively down %LINEPROTO-5-UPDOWN: Line protocol on Interface FastEthernet0/0, changed state to down 02:17:06: %OSPF-5-ADJCHG: Process 1, Nbr 192.168.31.33 on FastEthernet0/0 from FULL to Down: Interface down or detached 02:17:06: %OSPF-5-ADJCHG: Process 1, Nbr 192.168.31.11 on FastEthernet0/0 from FULL to Down: Interface down or detached R3 : R3(config)#interface fastethernet0/0 R3(config-if)#shutdown %LINK-5-CHANGED: Interface FastEthernet0/0, changed state to administratively down %LINEPROTO-5-UPDOWN: Line protocol on Interface FastEthernet0/0, changed state to down 02:17:22: %OSPF-5-ADJCHG: Process 1, Nbr 192.168.31.22 on FastEthernet0/0 from FULL to Down: Interface down or detached 02:17:22: %OSPF-5-ADJCHG: Process 1, Nbr 192.168.31.11 on FastEthernet0/0 from FULL to Down: Interface down or detached Copyright sur l’intégralité du contenu © 1992 – 2007 Cisco Systems, Inc. Tous droits réservés. Ce document contient des informations publiques Cisco. Page 22 sur 24
  • 340.
    CCNA Exploration Protocoles etconcepts de routage : Protocole OSPF Travaux pratiques 11.6.1 : configuration OSPF de base Étape 5 : réactivation de l’interface FastEthernet0/0 sur le routeur R2 R2(config-if)#no shut R2(config-if)#end %SYS-5-CONFIG_I: Configured from console by console R2# Étape 6 : réactivation de l’interface FastEthernet0/0 sur le routeur R1 Notez qu’une contiguïté se crée avec le routeur R2. Il se peut qu’il faille jusqu’à 40 secondes au routeur R2 pour envoyer un paquet Hello. R1(config-if)#no shutdown %LINK-5-CHANGED: Interface FastEthernet0/0, changed state to up %LINEPROTO-5-UPDOWN: Line protocol on Interface FastEthernet0/0, changed state to up R1(config-if)#end %SYS-5-CONFIG_I: Configured from console by console R1# 02:31:43: %OSPF-5-ADJCHG: Process 1, Nbr 192.168.31.22 on FastEthernet0/0 from EXCHANGE to FULL, Exchange Done Étape 7 : utilisation de la commande ip ospf neighbor sur le routeur R1 pour consulter les informations des voisins OSPF du routeur Notez que même si l’ID de routeur de R2 est supérieur à celui de R1, R2 a l’état DRother car la priorité OSPF est définie sur 0. R1#show ip ospf neighbor Neighbor ID Pri State Dead Time Address Interface 192.168.31.22 0 FULL/DROTHER 00:00:33 192.168.1.2 FastEthernet0/0 R1# Étape 8 : réactivation de l’interface FastEthernet0/0 sur le routeur R3 Notez qu’une contiguïté se crée avec les routeurs R1 et R2. Il se peut qu’il faille jusqu’à 40 secondes aux routeurs R1 et R2 pour envoyer un paquet Hello. R3(config-if)#no shutdown %LINK-5-CHANGED: Interface FastEthernet0/0, changed state to up %LINEPROTO-5-UPDOWN: Line protocol on Interface FastEthernet0/0, changed state to up R3(config-if)#end %SYS-5-CONFIG_I: Configured from console by console 02:37:32: %OSPF-5-ADJCHG: Process 1, Nbr 192.168.31.11 on FastEthernet0/0 from LOADING to FULL, Loading Done 02:37:36: %OSPF-5-ADJCHG: Process 1, Nbr 192.168.31.22 on FastEthernet0/0 from EXCHANGE to FULL, Exchange Done Copyright sur l’intégralité du contenu © 1992 – 2007 Cisco Systems, Inc. Tous droits réservés. Ce document contient des informations publiques Cisco. Page 23 sur 24
  • 341.
    CCNA Exploration Protocoles etconcepts de routage : Protocole OSPF Travaux pratiques 11.6.1 : configuration OSPF de base Copyright sur l’intégralité du contenu © 1992 – 2007 Cisco Systems, Inc. Tous droits réservés. Ce document contient des informations publiques Cisco. Page 24 sur 24 Étape 9 : utilisation de la commande show ip ospf interface sur le routeur R3 pour vérifier que R3 est devenu le routeur désigné de sauvegarde R3#show ip ospf interface FastEthernet0/0 is up, line protocol is up Internet address is 192.168.1.3/24, Area 0 Process ID 1, Router ID 192.168.31.33, Network Type BROADCAST, Cost: 1 Transmit Delay is 1 sec, State BDR, Priority 100 Designated Router (ID) 192.168.31.11, Interface address 192.168.1.1 <output omitted> Tâche 8 : description des configurations des routeurs Sur chaque routeur, consignez les informations de commande suivantes dans un fichier texte pour référence ultérieure : • Configuration en cours • Table de routage • Récapitulatif de l’interface • Résultat de la commande show ip protocols Tâche 9 : remise en état Supprimez les configurations et rechargez les routeurs. Débranchez et rangez les câbles. Pour les hôtes PC habituellement connectés à d’autres réseaux (comme le réseau local de l’établissement scolaire ou Internet), rebranchez les câbles appropriés et restaurez les paramètres TCP/IP.
  • 342.
    Travaux pratiques 11.6.2: configuration OSPF avancée Diagramme de topologie Table d’adressage Périphérique Interface Adresse IP Masque de sous-réseau Passerelle par défaut Fa0/0 N/D S0/0/0 N/D S0/0/1 N/D HQ Lo1 10.10.10.1 255.255.255.252 N/D Fa0/0 N/D S0/0/0 N/DBranch1 S0/0/1 N/D Fa0/0 N/D S0/0/0 N/DBranch2 S0/0/1 N/D PC1 Carte réseau PC2 Carte réseau PC3 Carte réseau Copyright sur l’intégralité du contenu © 1992 – 2007 Cisco Systems, Inc. Tous droits réservés. Ce document contient des informations publiques Cisco. Page 1 sur 10
  • 343.
    CCNA Exploration Protocoles etconcepts de routage : Protocole OSPF Travaux pratiques 11.6.2 : configuration OSPF avancée Objectifs pédagogiques À l'issue de ces travaux pratiques, vous serez en mesure d'effectuer les tâches suivantes : • Créer une conception VLSM efficace en fonction de conditions requises • Affecter des adresses appropriées aux interfaces et les documenter • Câbler un réseau conformément au diagramme de topologie • Supprimer la configuration de démarrage et recharger un routeur pour revenir aux paramètres par défaut • Configurer des routeurs, y compris le protocole OSPF • Configurer et diffuser une route statique par défaut • Vérifier le fonctionnement du protocole OSPF • Tester et vérifier l’ensemble des connexions • Analyser et documenter l’implémentation du réseau Scénario Dans ces travaux pratiques, vous aurez une adresse réseau à mettre en sous-réseau à l’aide du masquage de sous-réseau de longueur variable (VLSM) afin de mettre en place l’adressage du réseau illustré dans le diagramme de topologie. Afin de permettre aux hôtes des réseaux qui ne sont pas directement connectés de communiquer entre eux, il sera nécessaire de combiner le routage OSPF et le routage statique. Dans toutes les configurations OSPF, l’ID de zone OSPF aura la valeur 0 et l’ID de processus la valeur 1. Tâche 1 : mise en sous-réseau de l’espace d’adressage Étape 1 : examen des spécifications du réseau L’adressage du réseau répond aux spécifications suivantes. • Le réseau 172.20.0.0/16 doit être subdivisé pour fournir des adresses aux réseaux locaux et aux liaisons série. o Le réseau local de HQ nécessite 8 000 adresses o Le réseau local de Branch1 nécessite 4 000 adresses o Le réseau local de Branch2 nécessite 2 000 adresses o Les liaisons entre les routeurs nécessitent deux adresses par liaison • L’adresse de bouclage représentant la liaison entre le routeur HQ et le FAI utilisera le réseau 10.10.10.0/30. Étape 2 : questions à prendre en compte lors de la conception de votre réseau Combien de sous-réseaux faut-il créer à partir du réseau 172.20.0.0/16 ? _______ Combien d’adresses IP sont nécessaires à partir du réseau 172.20.0.0/16 ? ________ Quel sera le masque de sous-réseau du sous-réseau local de HQ ? ______ Combien d’adresses d’hôtes peuvent être utilisées sur ce sous-réseau au maximum ? ____ Quel sera le masque de sous-réseau du sous-réseau local de Branch1 ? _____ Copyright sur l’intégralité du contenu © 1992 – 2007 Cisco Systems, Inc. Tous droits réservés. Ce document contient des informations publiques Cisco. Page 2 sur 10
  • 344.
    CCNA Exploration Protocoles etconcepts de routage : Protocole OSPF Travaux pratiques 11.6.2 : configuration OSPF avancée Combien d’adresses d’hôtes peuvent être utilisées sur ce sous-réseau au maximum ? ________ Quel sera le masque de sous-réseau du sous-réseau local de Branch2 ? ______ Combien d’adresses d’hôtes peuvent être utilisées sur ce sous-réseau au maximum ? ________ Quel masque de sous-réseau sera utilisé pour les liaisons entre les trois routeurs ? ________ Combien d’adresses d’hôtes, au maximum, peuvent être utilisées sur chacun de ces sous-réseaux ? ________ Étape 3 : affectation d'adresses de sous-réseau au diagramme de topologie 1. Affectez le sous-réseau 0 du réseau 172.20.0.0/16 au sous-réseau local de HQ. Quelle est l’adresse réseau de ce sous-réseau ? ________ 2. Affectez le sous-réseau 1 du réseau 172.20.0.0/16 au sous-réseau local de Branch1. Quelle est l’adresse réseau de ce sous-réseau ? ________ 3. Affectez le sous-réseau 2 du réseau 172.20.0.0/16 au sous-réseau local de Branch2. Quelle est l’adresse réseau de ce sous-réseau ? ________ 4. Affectez le sous-réseau 3 du réseau 172.20.0.0/16 à la liaison entre les routeurs HQ et Branch1. Quelle est l’adresse réseau de ce sous-réseau ? ________ 5. Affectez le sous-réseau 4 du réseau 172.20.0.0/16 à la liaison entre les routeurs HQ et Branch2. Quelle est l’adresse réseau de ce sous-réseau ? ________ 6. Affectez le sous-réseau 5 du réseau 172.20.0.0/16 à la liaison entre les routeurs Branch1 et Branch2. Quelle est l’adresse réseau de ce sous-réseau ? ________ Tâche 2 : détermination des adresses des interfaces Affectez les adresses appropriées aux interfaces des périphériques. 1. Affectez la première adresse d’hôte valide du réseau 10.10.10.0/30 à l’interface Loopback 1 du routeur HQ. 2. Affectez la première adresse IP valide du réseau local de HQ à l’interface de réseau local du routeur HQ. 3. Affectez la dernière adresse IP valide du réseau local de HQ à PC2. 4. Affectez la première adresse IP valide du réseau local de Branch1 à l’interface de réseau local du routeur Branch1. 5. Affectez la dernière adresse IP valide du réseau local de Branch1 à PC1. 6. Affectez la première adresse IP valide du réseau local de Branch2 à l’interface de réseau local du routeur Branch2. 7. Affectez la dernière adresse IP valide du réseau local de Branch2 à PC3. Copyright sur l’intégralité du contenu © 1992 – 2007 Cisco Systems, Inc. Tous droits réservés. Ce document contient des informations publiques Cisco. Page 3 sur 10
  • 345.
    CCNA Exploration Protocoles etconcepts de routage : Protocole OSPF Travaux pratiques 11.6.2 : configuration OSPF avancée 8. Affectez la première adresse IP valide du réseau de liaison entre HQ et Branch1 à l’interface Serial0/0/0 du routeur HQ. 9. Affectez la dernière adresse IP valide du réseau de liaison entre HQ et Branch1 à l’interface Serial0/0/0 du routeur Branch1. 10. Affectez la première adresse IP valide du réseau de liaison entre HQet Branch2 à l’interface Serial0/0/1 du routeur HQ. 11. Affectez la dernière adresse IP valide du réseau de liaison entre HQ et Branch2 à l’interface Serial0/0/1 du routeur Branch2. 12. Affectez la première adresse IP valide du réseau de liaison entre Branch1 et Branch2 à l’interface Serial0/0/1 du routeur Branch1. 13. Affectez la dernière adresse IP valide du réseau de liaison entre Branch1 et Branch2 à l’interface Serial0/0/0 du routeur Branch2. Documentez les adresses à utiliser dans le tableau fourni sous le diagramme de topologie. Tâche 3 : préparation du réseau Étape 1 : mise en place d'un réseau similaire à celui du diagramme de topologie Pour ces travaux pratiques, vous pouvez utiliser le routeur existant de votre choix pour autant qu'il soit équipé des interfaces indiquées dans la topologie. Étape 2 : suppression des configurations existantes sur les routeurs Tâche 4 : exécution de configurations de routeur de base Exécutez une configuration de base sur les routeurs BRANCH, HQ et ISP en procédant comme suit : 1. Configurez le nom d’hôte du routeur. 2. Désactivez la recherche DNS. 3. Configurez un mot de passe pour le mode d’exécution. 4. Configurez une bannière de message du jour. 5. Configurez un mot de passe pour les connexions console. 6. Configurez un mot de passe pour les connexions VTY. 7. Synchronisez les messages et les informations de débogage non sollicités avec les informations et les invites sollicitées pour les lignes de terminal virtuel et de console. 8. Configurez un délai d’expiration d’exécution de 15 minutes. Copyright sur l’intégralité du contenu © 1992 – 2007 Cisco Systems, Inc. Tous droits réservés. Ce document contient des informations publiques Cisco. Page 4 sur 10
  • 346.
    CCNA Exploration Protocoles etconcepts de routage : Protocole OSPF Travaux pratiques 11.6.2 : configuration OSPF avancée Tâche 5 : configuration et activation des adresses série et Ethernet Étape 1 : configuration des interfaces des routeurs HQ, Branch1 et Branch2 avec les adresses IP du tableau fourni sous le diagramme de topologie Lorsque vous avez terminé, veillez à enregistrer la configuration en cours dans la mémoire vive non volatile du routeur. Étape 2 : configuration des interfaces Ethernet de PC1, PC2 et PC3 avec les adresses IP du tableau fourni sous le diagramme de topologie Étape 3 : configuration de la bande passante appropriée pour les interfaces série du routeur Branch1 Quelles sont les commandes nécessaires pour effectuer cette tâche ? _____________________________________________________________________________ _____________________________________________________________________________ _____________________________________________________________________________ _____________________________________________________________________________ _____________________________________________________________________________ _____________________________________________________________________________ Étape 4 : configuration de la bande passante appropriée pour les interfaces série du routeur Branch2 Quelles sont les commandes nécessaires pour effectuer cette tâche ? _____________________________________________________________________________ _____________________________________________________________________________ _____________________________________________________________________________ _____________________________________________________________________________ _____________________________________________________________________________ _____________________________________________________________________________ Copyright sur l’intégralité du contenu © 1992 – 2007 Cisco Systems, Inc. Tous droits réservés. Ce document contient des informations publiques Cisco. Page 5 sur 10
  • 347.
    CCNA Exploration Protocoles etconcepts de routage : Protocole OSPF Travaux pratiques 11.6.2 : configuration OSPF avancée Étape 5 : configuration de la bande passante appropriée pour les interfaces série du routeur HQ Quelles sont les commandes nécessaires pour effectuer cette tâche ? _____________________________________________________________________________ _____________________________________________________________________________ _____________________________________________________________________________ _____________________________________________________________________________ _____________________________________________________________________________ _____________________________________________________________________________ Tâche 6 : vérification de la connectivité au périphérique du tronçon suivant Les périphériques finaux NE doivent PAS encore être connectés. Vous pouvez cependant tester la connectivité entre deux routeurs et entre un périphérique final et sa passerelle par défaut. Étape 1 : vérification que les routeurs HQ, Branch1 et Branch2 peuvent envoyer une requête ping à chaque routeur voisin via les liaisons WAN Étape 2 : vérification que PC1, PC2 et PC3 peuvent envoyer des requêtes ping via leur passerelle par défaut respective Tâche 7 : configuration du routage OSPF sur le routeur Branch1 Étape 1 : détermination des routeurs à inclure dans les mises à jour OSPF envoyées par le routeur Branch1 Quels réseaux directement connectés contient la table de routage de Branch1 ? _____________________________________________________________________________ _____________________________________________________________________________ _____________________________________________________________________________ Quelles sont les commandes nécessaires pour activer le protocole OSPF et inclure les réseaux connectés dans les mises à jour de routage ? _____________________________________________________________________________ _____________________________________________________________________________ _____________________________________________________________________________ _____________________________________________________________________________ Copyright sur l’intégralité du contenu © 1992 – 2007 Cisco Systems, Inc. Tous droits réservés. Ce document contient des informations publiques Cisco. Page 6 sur 10
  • 348.
    CCNA Exploration Protocoles etconcepts de routage : Protocole OSPF Travaux pratiques 11.6.2 : configuration OSPF avancée Y a-t-il des interfaces de routeur qui ne doivent pas envoyer de mises à jour OSPF ? _______ Quelle commande permet de désactiver les mises à jour OSPF sur ces interfaces ? _____________________________________________________________________________ Tâche 8 : configuration du routage OSPF et statique sur le routeur HQ Étape 1 : détermination du type de routage statique nécessaire sur HQ Une route statique par défaut doit être configurée pour envoyer tous les paquets avec des adresses de destination non reprises dans la table de routage à l’adresse de bouclage représentant la liaison entre le routeur HQ et le FAI. Quelle est la commande nécessaire pour effectuer cette tâche ? _____________________________________________________________________________ Quels réseaux directement connectés contient la table de routage de HQ ? _____________________________________________________________________________ _____________________________________________________________________________ _____________________________________________________________________________ _____________________________________________________________________________ _____________________________________________________________________________ Les informations de masque de sous-réseau des réseaux du réseau local de HQ et des liaisons entre les routeurs Branch1 et Branch2 doivent-elles apparaître dans les instructions réseau ? ________ Quelles sont les commandes nécessaires pour activer le protocole OSPF et inclure les réseaux appropriés dans les mises à jour de routage ? _____________________________________________________________________________ _____________________________________________________________________________ _____________________________________________________________________________ _____________________________________________________________________________ _____________________________________________________________________________ _____________________________________________________________________________ Y a-t-il des interfaces de routeur qui ne doivent pas envoyer de mises à jour OSPF ? _______ Copyright sur l’intégralité du contenu © 1992 – 2007 Cisco Systems, Inc. Tous droits réservés. Ce document contient des informations publiques Cisco. Page 7 sur 10
  • 349.
    CCNA Exploration Protocoles etconcepts de routage : Protocole OSPF Travaux pratiques 11.6.2 : configuration OSPF avancée Quelle commande permet de désactiver les mises à jour OSPF sur ces interfaces ? _____________________________________________________________________________ _____________________________________________________________________________ Le routeur HQ doit envoyer aux routeurs Branch1 et Branch2 les informations relatives à la route par défaut dans les mises à jour OSPF. Quelle commande permet d’effectuer cette configuration ? _____________________________________________________________________________ Tâche 9 : configuration du routage OSPF sur le routeur Branch2 Étape 1 : détermination des réseaux à inclure dans les mises à jour OSPF envoyées par le routeur Branch2 Quels réseaux directement connectés contient la table de routage Branch2 ? _____________________________________________________________________________ _____________________________________________________________________________ _____________________________________________________________________________ Quelles sont les commandes nécessaires pour activer le protocole OSPF et inclure les réseaux connectés dans les mises à jour de routage ? _____________________________________________________________________________ _____________________________________________________________________________ _____________________________________________________________________________ _____________________________________________________________________________ _____________________________________________________________________________ Y a-t-il des interfaces de routeur qui ne doivent pas envoyer de mises à jour OSPF ? _______ Quelle commande permet de désactiver les mises à jour OSPF sur ces interfaces ? _____________________________________________________________________________ Tâche 10 : vérification des configurations Répondez aux questions suivantes pour vérifier que le réseau fonctionne correctement. Est-il possible d’envoyer une requête ping de PC1 à PC2 ? ____________ Est-il possible d’envoyer une requête ping de PC1 à PC3 ? ____________ Copyright sur l’intégralité du contenu © 1992 – 2007 Cisco Systems, Inc. Tous droits réservés. Ce document contient des informations publiques Cisco. Page 8 sur 10
  • 350.
    CCNA Exploration Protocoles etconcepts de routage : Protocole OSPF Travaux pratiques 11.6.2 : configuration OSPF avancée La réponse aux questions ci-dessus doit être « Oui ». Si l’une des requêtes ping ci-dessus échoue, vérifiez vos connexions physiques et vos configurations. Reportez-vous aux techniques élémentaires de dépannage utilisées dans les travaux pratiques [Chapitre 1]. Quelles routes OSPF contient la table de routage du routeur Branch1 ? _____________________________________________________________________________ _____________________________________________________________________________ _____________________________________________________________________________ _____________________________________________________________________________ _____________________________________________________________________________ Quelle passerelle de dernier recours contient la table de routage du routeur Branch1 ? _____________________________________________________________________________ Quelles routes OSPF contient la table de routage du routeur HQ ? _____________________________________________________________________________ _____________________________________________________________________________ _____________________________________________________________________________ _____________________________________________________________________________ _____________________________________________________________________________ Quelle passerelle de dernier recours contient la table de routage du routeur HQ ? _____________________________________________________________________________ Quelles routes OSPF contient la table de routage du routeur Branch2 ? _____________________________________________________________________________ _____________________________________________________________________________ _____________________________________________________________________________ _____________________________________________________________________________ _____________________________________________________________________________ Quelle passerelle de dernier recours contient la table de routage du routeur Branch2 ? _____________________________________________________________________________ Copyright sur l’intégralité du contenu © 1992 – 2007 Cisco Systems, Inc. Tous droits réservés. Ce document contient des informations publiques Cisco. Page 9 sur 10
  • 351.
    CCNA Exploration Protocoles etconcepts de routage : Protocole OSPF Travaux pratiques 11.6.2 : configuration OSPF avancée Copyright sur l’intégralité du contenu © 1992 – 2007 Cisco Systems, Inc. Tous droits réservés. Ce document contient des informations publiques Cisco. Page 10 sur 10 Tâche 11 : remarques générales Sur PC1, utilisez la commande tracert pour examiner la route utilisée entre PC1 et PC3. Quels sont les sauts de la route vers PC3 ? _____________________________________________________________________________ _____________________________________________________________________________ _____________________________________________________________________________ _____________________________________________________________________________ Est-ce le plus petit nombre de sauts possible pour atteindre PC3 ? ____________ Si la réponse est « Non », pourquoi un chemin composé de plus de sauts que le minimum est-il utilisé ? _____________________________________________________________________________ _____________________________________________________________________________ _____________________________________________________________________________ _____________________________________________________________________________ _____________________________________________________________________________ _____________________________________________________________________________ Tâche 12 : documentation Sur chaque routeur, enregistrez les informations de commande suivantes dans un fichier texte (.txt) pour référence ultérieure : • show running-config • show ip route • show ip interface brief • show ip protocols Pour savoir comment capturer le résultat d’une commande, reportez-vous aux travaux pratiques 1.5.1. Tâche 13 : remise en état Supprimez les configurations et rechargez les routeurs. Débranchez et rangez les câbles. Pour les hôtes PC habituellement connectés à d’autres réseaux (comme le réseau local de l’établissement ou Internet), rebranchez les câbles appropriés et restaurez les paramètres TCP/IP.
  • 352.
    Copyright sur l’intégralitédu contenu © 1992 – 2007 Cisco Systems, Inc. Tous droits réservés. Ce document contient des informations publiques Cisco. Page 1 sur 12 Travaux pratiques 11.6.3 : dépannage OSPF Diagramme de topologie Table d’adressage Périphérique Interface Adresse IP Masque de sous-réseau Passerelle par défaut HQ Fa0/0 10.10.0.1 255.255.252.0 N/D S0/0/0 172.16.7.1 255.255.255.252 N/D S0/0/1 172.16.7.5 255.255.255.252 N/D Lo1 209.165.202.129 255.255.255.252 N/D Branch1 Fa0/0 10.10.4.1 255.255.254.0 N/D S0/0/0 172.16.7.2 255.255.255.252 N/D S0/0/1 172.16.7.9 255.255.255.252 N/D Branch2 Fa0/0 10.10.6.1 255.255.254.0 N/D S0/0/0 172.16.7.10 255.255.255.252 N/D S0/0/1 172.16.7.6 255.255.255.252 N/D PC1 Carte réseau 10.10.5.254 255.255.254.0 10.10.4.1 PC2 Carte réseau 10.10.3.254 255.255.252.0 10.10.0.1 PC3 Carte réseau 10.10.7.254 255.255.254.0 10.10.6.1
  • 353.
    CCNA Exploration Protocoles etconcepts de routage : protocole OSPF Travaux pratiques 11.6.3 : dépannage OSPF Copyright sur l’intégralité du contenu © 1992–2007 Cisco Systems, Inc. Tous droits réservés. Ce document contient des informations publiques Cisco. Page 2 sur 12 Objectifs pédagogiques À l'issue de ces travaux pratiques, vous serez en mesure d'effectuer les tâches suivantes :  Câbler un réseau conformément au diagramme de topologie  Supprimer la configuration de démarrage et recharger un routeur à son état par défaut  Charger les routeurs avec les scripts fournis  Détecter où les communications ne sont pas possibles  Réunir des informations sur la partie mal configurée du réseau, ainsi que toute autre erreur  Analyser des informations afin de déterminer pourquoi la communication n’est pas possible  Proposer des solutions aux erreurs de réseau  Implémenter des solutions pour les erreurs de réseau  Documenter le réseau corrigé Scénario Dans ces travaux pratiques, vous commencerez par charger les scripts de configuration sur chacun des routeurs. Ces scripts contiennent des erreurs qui empêcheront la communication de bout en bout sur le réseau. Vous devrez dépanner chaque routeur afin de déterminer les erreurs de configuration, puis utiliser les commandes appropriées pour les corriger. Une fois que toutes les erreurs de configuration auront été résolues, tous les hôtes du réseau devront être à même de communiquer les uns avec les autres. Le réseau doit répondre aux conditions suivantes :  Le routage OSPF est configuré sur le routeur Branch1.  Le routage OSPF est configuré sur le routeur Branch2.  Le routage OSPF est configuré sur le routeur HQ.  Les mises à jour OSPF doivent être désactivées sur le réseau local et les interfaces de bouclage.  Le routeur HQ doit redistribuer la route par défaut vers l’interface de bouclage dans les mises à jour de routage.  Tous les routeurs OSPF doivent utiliser un ID de processus de 1.  Tous les routeurs OSPF doivent se trouver dans la zone 0. Tâche 1 : câblage, suppression et rechargement des routeurs Étape 1 : câblage d’un réseau Câblez un réseau similaire à celui du diagramme de topologie. Étape 2 : suppression de la configuration sur chaque routeur Supprimez la configuration sur chaque routeur à l’aide de la commande erase startup-config, puis rechargez les routeurs. Répondez non si une fenêtre vous demande si vous souhaitez enregistrer les modifications.
  • 354.
    CCNA Exploration Protocoles etconcepts de routage : protocole OSPF Travaux pratiques 11.6.3 : dépannage OSPF Copyright sur l’intégralité du contenu © 1992–2007 Cisco Systems, Inc. Tous droits réservés. Ce document contient des informations publiques Cisco. Page 3 sur 12 Tâche 2 : chargement des routeurs avec les scripts fournis Étape 1 : chargement du script suivant sur le routeur Branch1 : hostname Branch1 ! no ip domain-lookup ! interface FastEthernet0/0 ip address 10.10.4.1 255.255.254.0 duplex auto speed auto no shutdown ! interface Serial0/0/0 ip address 172.16.7.2 255.255.255.252 clock rate 64000 no shutdown ! interface Serial0/0/1 ip address 172.16.7.9 255.255.255.252 no shutdown ! router ospf 1 passive-interface FastEthernet0/0 network 10.10.4.0 0.0.1.255 area 0 network 172.16.7.0 0.0.0.3 area 0 network 172.16.7.8 0.0.0.3 area 0 ! ip classless ! line con 0 line vty 0 4 login ! end Étape 2 : chargement du script suivant sur le routeur Branch2 hostname Branch2 ! interface FastEthernet0/0 ip address 10.10.6.1 255.255.254.0 duplex auto speed auto no shutdown ! interface Serial0/0/0 ip address 172.16.7.10 255.255.255.252 clock rate 64000 no shutdown ! interface Serial0/0/1 ip address 172.16.7.6 255.255.255.252
  • 355.
    CCNA Exploration Protocoles etconcepts de routage : protocole OSPF Travaux pratiques 11.6.3 : dépannage OSPF Copyright sur l’intégralité du contenu © 1992–2007 Cisco Systems, Inc. Tous droits réservés. Ce document contient des informations publiques Cisco. Page 4 sur 12 ! router ospf 1 log-adjacency-changes passive-interface Serial0/0/1 network 172.16.7.4 0.0.0.3 area 0 network 172.16.7.8 0.0.0.3 area 0 network 10.10.6.0 0.0.3.255 area 0 ! ip classless ! line con 0 line vty 0 4 login ! ! end Étape 3 : chargement du script suivant sur le routeur HQ hostname HQ ! no ip domain-lookup ! interface FastEthernet0/0 ip address 10.10.10.1 255.255.252.0 duplex auto speed auto no shutdown ! interface Serial0/0/0 ip address 172.16.7.1 255.255.255.252 no shutdown ! interface Serial0/0/1 ip address 172.16.7.5 255.255.255.252 clock rate 64000 no shutdown ! interface Loopback1 ip address 209.165.202.129 255.255.255.252 ! router ospf 1 log-adjacency-changes passive-interface FastEthernet0/0 passive-interface Loopback1 network 172.16.7.0 0.0.0.3 area 0 network 172.16.7.4 0.0.0.3 area 0 network 10.10.0.0 0.0.7.255 area 0 ! ip classless ip route 0.0.0.0 0.0.0.0 loopback1 ! line con 0 line vty 0 4 login !
  • 356.
    CCNA Exploration Protocoles etconcepts de routage : protocole OSPF Travaux pratiques 11.6.3 : dépannage OSPF Copyright sur l’intégralité du contenu © 1992–2007 Cisco Systems, Inc. Tous droits réservés. Ce document contient des informations publiques Cisco. Page 5 sur 12 end Tâche 3 : dépannage du routeur Branch1 Étape 1 : début du dépannage sur l’hôte connecté au routeur Branch1 Est-il possible d’envoyer une requête ping de PC1 à PC2 ? __________ Est-il possible d’envoyer une requête ping de PC1 à PC3 ? __________ Est-il possible d’envoyer une requête ping à la passerelle par défaut depuis le PC1 hôte ? _________ Étape 2 : examen du routeur Branch1 à la recherche d’éventuelles erreurs de configuration Commencez par examiner le résumé des informations d’état de chacune des interfaces du routeur. Y a-t-il des problèmes au niveau de l’état des interfaces ? ____________________________________________________________________________________ ____________________________________________________________________________________ En cas de problème de configuration des interfaces, indiquez les commandes nécessaires pour corriger les erreurs de configuration. ____________________________________________________________________________________ __________________________________________________________________________________ __________________________________________________________________________________ Étape 3 : si vous avez indiqué des commandes à la question précédente, les appliquer maintenant à la configuration du routeur Étape 4 : examen du résumé des informations d’état Si des modifications ont été apportées à la configuration à l'étape précédente, examinez à nouveau le résumé des informations d'état des interfaces du routeur. Ces informations indiquent-elles des erreurs de configuration sur le routeur Branch1 ? __________ Si la réponse est oui, dépannez à nouveau l’état des interfaces. Étape 5 : dépannage de la configuration de routage sur le routeur Branch1 Quelles routes apparaissent dans la table de routage ? ____________________________________________________________________________________ ____________________________________________________________________________________ ____________________________________________________________________________________ ____________________________________________________________________________________ ____________________________________________________________________________________ ____________________________________________________________________________________
  • 357.
    CCNA Exploration Protocoles etconcepts de routage : protocole OSPF Travaux pratiques 11.6.3 : dépannage OSPF Copyright sur l’intégralité du contenu © 1992–2007 Cisco Systems, Inc. Tous droits réservés. Ce document contient des informations publiques Cisco. Page 6 sur 12 La table de routage présente-t-elle des problèmes ? ____________________________________________________________________________________ ____________________________________________________________________________________ ____________________________________________________________________________________ ____________________________________________________________________________________ Les informations de la table de routage indiquent-elles des erreurs de configuration sur le routeur Branch1 ou sera-t-il nécessaire de dépanner les configurations sur les deux autres routeurs pour corriger les erreurs ? ____________________________________________________________________________________ ____________________________________________________________________________________ ____________________________________________________________________________________ Étape 6 : nouvelle tentative de requête ping entre les hôtes Est-il possible d’envoyer une requête ping de PC1 à PC2 ? __________ Est-il possible d’envoyer une requête ping de PC1 à PC3 ? __________ Est-il possible d’envoyer une requête ping à l’interface Serial0/0/0 du routeur HQ depuis le PC1 hôte ? __________ Est-il possible d’envoyer une requête ping à l’interface Serial0/0/1 du routeur HQ depuis le PC1 hôte ? __________ Tâche 4 : dépannage du routeur HQ Étape 1 : début du dépannage sur le PC2 hôte Est-il possible d’envoyer une requête ping de PC2 à PC1 ? __________ Est-il possible d’envoyer une requête ping à PC3 depuis le PC2 hôte ? __________ Est-il possible d’envoyer une requête ping à la passerelle par défaut depuis le PC2 hôte ? __________ Étape 2 : examen du routeur HQ à la recherche d’éventuelles erreurs de configuration Commencez par examiner le résumé des informations d’état de chacune des interfaces du routeur. Y a-t-il des problèmes au niveau de l’état des interfaces ? ____________________________________________________________________________________ ____________________________________________________________________________________ ____________________________________________________________________________________ En cas de problème de configuration des interfaces, indiquez les commandes nécessaires pour corriger les erreurs de configuration. ____________________________________________________________________________________ ____________________________________________________________________________________
  • 358.
    CCNA Exploration Protocoles etconcepts de routage : protocole OSPF Travaux pratiques 11.6.3 : dépannage OSPF Copyright sur l’intégralité du contenu © 1992–2007 Cisco Systems, Inc. Tous droits réservés. Ce document contient des informations publiques Cisco. Page 7 sur 12 ____________________________________________________________________________________ Y a-t-il des problèmes au niveau de l’état d’interface susceptibles d’être dus à des erreurs survenues dans d'autres parties du réseau ? ____________________________________________________________________________________ ____________________________________________________________________________________ ____________________________________________________________________________________ Étape 3 : si vous avez indiqué des commandes à la question précédente, les appliquer maintenant à la configuration du routeur Étape 4 : examen du résumé des informations d’état Si des modifications ont été apportées à la configuration à l'étape précédente, examinez à nouveau le résumé des informations d'état des interfaces du routeur. Ces informations indiquent-elles des erreurs de configuration sur le routeur HQ ? __________ Si la réponse est oui, dépannez à nouveau l’état des interfaces. Étape 5 : dépannage de la configuration de routage sur le routeur HQ Quelles routes apparaissent dans la table de routage ? ____________________________________________________________________________________ ____________________________________________________________________________________ ____________________________________________________________________________________ ____________________________________________________________________________________ ____________________________________________________________________________________ ____________________________________________________________________________________ ____________________________________________________________________________________ ____________________________________________________________________________________ La table de routage présente-t-elle des problèmes ? ____________________________________________________________________________________ ____________________________________________________________________________________ ____________________________________________________________________________________ Utilisez les commandes show running-configuration, show ip protocols et show ip ospf neighbor pour afficher les informations sur la configuration OSPF du routeur HQ. La configuration OSPF présente-t-elle d’autres problèmes ? ____________________________________________________________________________________ ____________________________________________________________________________________
  • 359.
    CCNA Exploration Protocoles etconcepts de routage : protocole OSPF Travaux pratiques 11.6.3 : dépannage OSPF Copyright sur l’intégralité du contenu © 1992–2007 Cisco Systems, Inc. Tous droits réservés. Ce document contient des informations publiques Cisco. Page 8 sur 12 ____________________________________________________________________________________ ____________________________________________________________________________________ S’il y a d’autres problèmes au niveau de la configuration OSPF, indiquez les commandes nécessaires pour corriger les erreurs de configuration. ____________________________________________________________________________________ ____________________________________________________________________________________ ____________________________________________________________________________________ ____________________________________________________________________________________ ____________________________________________________________________________________ ____________________________________________________________________________________ Le routeur HQ présente-t-il des problèmes susceptibles d’être dus à des erreurs survenues dans d'autres parties du réseau ? ____________________________________________________________________________________ ____________________________________________________________________________________ ____________________________________________________________________________________ ____________________________________________________________________________________ Étape 6 : si vous avez indiqué des commandes à la question précédente, les appliquer maintenant à la configuration du routeur Étape 7 : affichage des informations de routage Si des modifications ont été apportées à la configuration au cours des étapes précédentes, examinez à nouveau les informations de routage. Les informations de la table de routage indiquent-elles des erreurs de configuration sur le routeur HQ ? __________ Si la réponse à cette question est oui, vérifiez à nouveau la configuration du routage. Étape 8 : nouvelle tentative de requête ping entre les hôtes Est-il possible d’envoyer une requête ping de PC2 à PC1 ? __________ Est-il possible d’envoyer une requête ping à PC3 depuis le PC2 hôte ? __________ Est-il possible d’envoyer une requête ping à l’interface Serial0/0/0 du routeur Branch2 depuis le PC2 hôte ? __________ Est-il possible d’envoyer une requête ping à l’interface Serial0/0/1 du routeur Branch2 depuis le PC2 hôte ? __________
  • 360.
    CCNA Exploration Protocoles etconcepts de routage : protocole OSPF Travaux pratiques 11.6.3 : dépannage OSPF Copyright sur l’intégralité du contenu © 1992–2007 Cisco Systems, Inc. Tous droits réservés. Ce document contient des informations publiques Cisco. Page 9 sur 12 Tâche 5 : dépannage du routeur Branch2 Étape 1 : début du dépannage sur le PC3 hôte Est-il possible d’envoyer une requête ping à PC1 depuis le PC3 hôte ? __________ Est-il possible d’envoyer une requête ping à PC2 depuis le PC3 hôte ? __________ Est-il possible d’envoyer une requête ping à la passerelle par défaut depuis le PC3 hôte ? __________ Est-il possible d’envoyer une requête ping à l’interface Serial0/0/1 du routeur Branch2 depuis le PC3 hôte ? __________ Étape 2 : examen du routeur Branch2 à la recherche d’éventuelles erreurs de configuration Commencez par examiner le résumé des informations d’état de chacune des interfaces du routeur. Y a-t-il des problèmes au niveau de l’état des interfaces ? ____________________________________________________________________________________ ____________________________________________________________________________________ En cas de problème de configuration des interfaces, indiquez les commandes nécessaires pour corriger les erreurs de configuration. ____________________________________________________________________________________ ____________________________________________________________________________________ ____________________________________________________________________________________ ____________________________________________________________________________________ Étape 3 : si vous avez indiqué des commandes à la question précédente, les appliquer maintenant à la configuration du routeur Étape 4 : examen du résumé des informations d’état Si des modifications ont été apportées à la configuration à l'étape précédente, examinez à nouveau le résumé des informations d'état des interfaces du routeur. Ces informations indiquent-elles des erreurs de configuration sur le routeur Branch2 ? __________ Si la réponse est oui, dépannez à nouveau l’état des interfaces. Étape 5 : dépannage de la configuration du routage sur le routeur Branch2 Quelles routes apparaissent dans la table de routage ? ____________________________________________________________________________________ ____________________________________________________________________________________ ____________________________________________________________________________________ ____________________________________________________________________________________ ____________________________________________________________________________________ ____________________________________________________________________________________
  • 361.
    CCNA Exploration Protocoles etconcepts de routage : protocole OSPF Travaux pratiques 11.6.3 : dépannage OSPF Copyright sur l’intégralité du contenu © 1992–2007 Cisco Systems, Inc. Tous droits réservés. Ce document contient des informations publiques Cisco. Page 10 sur 12 ____________________________________________________________________________________ La table de routage présente-t-elle des problèmes ? ____________________________________________________________________________________ ____________________________________________________________________________________ Utilisez les commandes show running-configuration, show ip protocols et show ip ospf neighbor pour afficher les informations relatives à la configuration OSPF du routeur Branch2. La configuration OSPF présente-t-elle des problèmes ? ____________________________________________________________________________________ ____________________________________________________________________________________ ____________________________________________________________________________________ ____________________________________________________________________________________ ____________________________________________________________________________________ S’il y a d’autres problèmes au niveau de la configuration OSPF, indiquez les commandes nécessaires pour corriger les erreurs de configuration. ____________________________________________________________________________________ ____________________________________________________________________________________ ____________________________________________________________________________________ ____________________________________________________________________________________ ____________________________________________________________________________________ ____________________________________________________________________________________ Étape 6 : si vous avez indiqué des commandes à la question précédente, les appliquer maintenant à la configuration du routeur Étape 7 : affichage des informations de routage Si des modifications ont été apportées à la configuration au cours des étapes précédentes, examinez à nouveau les informations de routage. Ces informations indiquent-elles des erreurs de configuration sur le routeur Branch2 ? __________ Si la réponse à cette question est oui, dépannez à nouveau la configuration du routage. Quelles routes apparaissent dans la table de routage ? ____________________________________________________________________________________
  • 362.
    CCNA Exploration Protocoles etconcepts de routage : protocole OSPF Travaux pratiques 11.6.3 : dépannage OSPF Copyright sur l’intégralité du contenu © 1992–2007 Cisco Systems, Inc. Tous droits réservés. Ce document contient des informations publiques Cisco. Page 11 sur 12 ____________________________________________________________________________________ ____________________________________________________________________________________ ____________________________________________________________________________________ ____________________________________________________________________________________ ____________________________________________________________________________________ ____________________________________________________________________________________ ____________________________________________________________________________________ ____________________________________________________________________________________ ____________________________________________________________________________________ Étape 8 : nouvelle tentative de requête ping entre les hôtes Est-il possible d’envoyer une requête ping à PC1 depuis le PC3 hôte ? __________ Est-il possible d’envoyer une requête ping à PC2 depuis le PC3 hôte ? __________ Est-il possible d’envoyer une requête ping à l’interface Serial0/0/0 du routeur Branch1 depuis le PC3 hôte ? __________ Est-il possible d’envoyer une requête ping à l’interface Serial0/0/1 du routeur Branch1 depuis le PC3 hôte ? __________ Tâche 6 : remarques générales Les scripts fournis pour ces travaux pratiques comportaient des erreurs de configuration. Indiquez ci-dessous une brève description des erreurs que vous avez relevées. ___________________________________________________________________________________ ___________________________________________________________________________________ ___________________________________________________________________________________ ___________________________________________________________________________________ ___________________________________________________________________________________ ___________________________________________________________________________________ ___________________________________________________________________________________ ___________________________________________________________________________________ ___________________________________________________________________________________
  • 363.
    CCNA Exploration Protocoles etconcepts de routage : protocole OSPF Travaux pratiques 11.6.3 : dépannage OSPF Copyright sur l’intégralité du contenu © 1992–2007 Cisco Systems, Inc. Tous droits réservés. Ce document contient des informations publiques Cisco. Page 12 sur 12 Tâche 7 : documentation Sur chaque routeur, enregistrez les informations de commande suivantes dans un fichier texte (.txt) pour référence ultérieure :  show running-config  show ip route  show ip interface brief  show ip protocols Pour savoir comment capturer le résultat d’une commande, reportez-vous aux travaux pratiques 1.5.1. Tâche 8 : remise en état Supprimez les configurations et rechargez les routeurs. Débranchez et rangez les câbles. Pour les hôtes PC habituellement connectés à d’autres réseaux (comme le réseau local de l’établissement scolaire ou Internet), rebranchez les câbles appropriés et restaurez les paramètres TCP/IP.
  • 364.
    11.7.1 : exerciced’intégration des compétences Packet Tracer Diagramme de topologie Copyright sur l'intégralité du contenu © 1992–2007 Cisco Systems, Inc. Tous droits réservés. Ce document contient des informations publiques Cisco. Page 1 sur 4
  • 365.
    CCNA Exploration Protocoles etconcepts de routage : protocole OSPF 11.7.1 : exercice d’intégration des compétences Packet Tracer Table d’adressage Périphérique Interface Adresse IP Masque de sous-réseau Fa0/0 10.10.10.1 255.255.255.248R1 Loopback0 1.1.1.1 255.255.255.255 Fa0/0 10.10.10.2 255.255.255.248 Fa0/1 R2 S0/0/0 Fa0/0 10.10.10.3 255.255.255.248R3 Fa0/1 Fa0/0 10.10.10.4 255.255.255.248 Fa0/1 R4 S0/0/0 172.16.52.133 255.255.255.252 Fa0/0 Fa0/1 R5 S0/0/0 172.16.52.129 255.255.255.252 Fa0/0 Fa0/1 R6 S0/0/0 172.16.52.134 255.255.255.252 Objectifs pédagogiques : • Concevoir et documenter un schéma d’adressage en fonction de conditions requises • Appliquer une configuration de base aux périphériques • Configurer une priorité de routeur et un ID de routeur • Configurer le routage OSPF Copyright sur l'intégralité du contenu © 1992–2007 Cisco Systems, Inc. Tous droits réservés. Ce document contient des informations publiques Cisco. Page 2 sur 4
  • 366.
    CCNA Exploration Protocoles etconcepts de routage : protocole OSPF 11.7.1 : exercice d’intégration des compétences Packet Tracer • Désactiver les mises à jour de routage sur les interfaces appropriées • Vérifier la connectivité entre tous les périphériques de la topologie Tâche 1 : conception et documentation d’un schéma d’adressage Utilisez le 172.16.0.0/16 pour créer un schéma d’adressage efficace répondant aux conditions suivantes : Nom d’hôte Interface Nombre d'hôtes R2 Fa0/1 1000 R3 Fa0/1 400 R4 Fa0/1 120 R5 Fa0/1 6000 R5 Fa0/0 800 R6 Fa0/1 2000 R6 Fa0/0 500 REMARQUE : l’interface Fa0/0 a été préconfigurée sur R1, R2, R3 et R4. Tâche 2 : application d’une configuration de base Étape 1 : exécutez des configurations élémentaires sur chacun des routeurs à l’aide du tableau ci-dessous. Mot de passe de console Mot de passe VTY Mot de passe secret actif Fréquence d’horloge (le cas échéant) cisco cisco cisco 56 000 Tâche 3 : configuration du routage OSPF Étape 1 : configurez le routage OSPF sur chaque routeur. Étape 2 : vérifiez que tous les routeurs ont été appris. Tâche 4 : réglage du protocole OSPF Étape 1 : exécutez cette tâche en fonction des indications ci-dessous : • R1 ne participe à aucune élection de routeur désigné (DR)/routeur désigné de sauvegarde (BDR). 100). rs (BDR). E DÉFINIES SUR FA0/0. Étape 2 : forcez la sélection d’un routeur désigné (DR) et d’un routeur désigné de sauvegarde (BDR). • R2 devient toujours le routeur désigné (DR) • R3 et R4 ont tous les deux la même priorité ( • R4 doit toujours devenir le routeur désigné de secou REMARQUE : TOUTES LES PRIORITÉS DOIVENT ÊTR Copyright sur l'intégralité du contenu © 1992–2007 Cisco Systems, Inc. Tous droits réservés. Ce document contient des informations publiques Cisco. Page 3 sur 4
  • 367.
    CCNA Exploration Protocoles etconcepts de routage : protocole OSPF 11.7.1 : exercice d’intégration des compétences Packet Tracer Copyright sur l'intégralité du contenu © 1992–2007 Cisco Systems, Inc. Tous droits réservés. Ce document contient des informations publiques Cisco. Page 4 sur 4 Tâche 5 : configuration d’un bouclage Étape 1 : configurez un bouclage avec une adresse 1.1.1.1/32 sur R1. Étape 2 : créez une route par défaut vers le bouclage. Étape 3 : propagez la route dans les mises à jour OSPF. Tâche 6 : affichage des mises à jour OSPF Étape 1 : activez le mode Simulation. Étape 2 : sélectionnez uniquement le protocole OSPF dans le filtre. Étape 3 : affichez les mises à jour.