1/73
I) Historique
a) La science des polymères
Le mot polymère vient du grec « polus » plusieurs, et « meros » partie. Un polymère
est une macromolécule, organique ou inorganique, constituée de l'enchaînement répété d'un
même motif, le monomère (du grec monos: un seul ou une seule, et meros ; partie), reliés les
uns aux autres par des liaisons covalentes. Les travaux de Staudinger dans les années 1920
constituent la base de la science des polymères (Nobel en 1953) ou macromolécules. Flory
énoncera plus tard les principes fondamentaux sur les polymères (Nobel 1974).
b) L’industrie des matières plastiques
« Les matières plastiques » : Les matières plastiques sont des matériaux organiques de
synthèse fondés sur l'emploi des macromolécules (polymères). Les caoutchoucs sont aussi
regroupés sous cette appellation.
Matière plastique = résine de base + adjuvants + additifs
Cas du caoutchouc : vers 1839 l’Anglais Thomas Hancock et l’Américain Charles Goodyear
découvrent le procédé de vulcanisation du caoutchouc en chauffant du caoutchouc naturel en
présence de souffre. Le procédé industriel sera développé à partir de 1850.
En dehors du caoutchouc, les premières matières plastiques sont apparues à la fin du XIXème
siècle et existaient plutôt à l’échelle artisanale qu’industrielle. Parmi ces matériaux, on peut
citer ceux d’origine naturelle comme
le Celluloïd®
(toute première matière plastique, 1870) ou le nitrate de
cellulose (coton-poudre ou fulmicoton, produit inflamable utilisé dans
les canons).
la Galalith®
, littéralement « pierre de lait »,
obtenue à partir de la caséine du lait, et
utilisée en remplacement de la corne et de
l’écaille dans la fabrication de peignes, de
boutons... On trouve des brevets de
fabrication de colle à base de caséine dès 1873 et déjà utilisée dans
l’ancienne égypte. De façon générale, les protéines peuvent être considérés comme des
polymères naturels, car constituées d’enchaînement d’acides aminés.
Feretti invente le Lannital®
ou fibre de lait (Brevet Feretti, 1935).
Les polymères
Poupée en Celluloïd
Objets en
galalith
2/73
Le véritable essort de la chimie des matières plastique se fait à partie de
1920 par l’exploitation des résines formo-phénoliques (1909 , Baekeland
= Belge). C’est la naissance de la Bakélite®
. Il
s’agit du premier polymère thermodurcissable
entièrement synthétique et ouvre la voie aux
résines à base de phénol.
De 1920 à 1940 se développent les résines « phénol/formol » ; l’acétate de cellulose remplace
le celluloïd trop inflammable dans des applications type films photo ou cinématographique.
Les premières matières thermoplastiques sont produites en grande quantité.
Petite histoire du nylon : Wallace Hume Carothers (27 avril 1896 - 29 avril 1937) était
un chimiste américain à la compagnie DuPont. En 1935, il synthétise le nylon. Le nylon a été
breveté (en fait trois brevets U.S. Patents 2130523, 2130947 et 2130948 du 20 sept. 1938),
mais le terme nylon n'est pas une marque déposée, il n'a donc pas à s'écrire avec une capitale
initiale. DuPont a ainsi choisi de permettre au mot de devenir synonyme de bas (nylon) ; en
1992 la société dépose sa marque déposée pour le nylon sous le terme tactel. La découverte
fut pour la première fois commercialisée en 1938 avec un premier produit, une brosse à dent
dont les poils étaient en nylon sorti la même année. En 1940 sortait un produit qui allait
marquer l'histoire du nylon, les bas pour femme. En 1941, pour l'entrée en guerre des USA , le
matériau utilisé pour les toiles dparachutes fut affublé de la phrase Now You Lousy Old
Nippons (« À vous maintenant, vieux Japonais dégueulasses ! ») ou encore Now You've Lost
Old Nippons (« Vous avez maintenant perdu vieux Japonais ! »). Il circule de nombreuses
étymologies sur l'origine du mot nylon comme celles affirmant que le nylon provient de NY
(New York) et LON (London), ou encore du prénom des épouses des inventeurs. Son
inventeur, Wallace Carothers, s'étant suicidé avant de donner un nom commercial à son
polyamide 66 (suite à une dépression consécutive au décès de sa soeur) , il revint à un comité
de trois membres de chez DuPont de faire le choix en 1938. Un des membres Dr.
E.K.Gladding proposa "Norun" (pour no run soit ne s'effile pas), et changea aussitôt en
"Nuron" pour éviter une publicité mensongère, tout en rimant ainsi avec Rayon ou coton, qui
fut finalement déformé en nylon pour avoir un acronyme prononcé de la même façon pour les
américains et les anglais. Cette version officielle de DuPont, voir aussi leur publication
(Context, vol. 7, no. 2, 1978), fut aussitôt pervertie par quelques plaisantins en Now You Lose
Old Nippon ou Now You Lousy Old Nippon, avec un succès tel que DuPont a commissionné
en 1941 un journal japonais pour y démentir cette étymologie raciste.
Baekeland
3/73
II) Organisation d’une macromolécule
a) Définition d’un polymère :
Un polymère est une macromolécule, organique ou inorganique, constituée de
l'enchaînement répété d'un même motif, le monomère (du grec monos: un seul ou une seule,
et meros : partie), reliés les uns aux autres par des liaisons covalentes.
Dans la macromolécule suivante .....A-A-A-A-A-A-A..... = [-A-]n l’unité constitutive
est A ; elle est formée d’un groupe d’atomes qui se répète. A l’échelle moléculaire, quelques
centaines de nm, la plupart des macromolécules se présentent sous forme de « fils long et
souples ». Les réaction chimiques permettant de passer d’un monomère A à la macromolécule
[-A-]n s’appellent polymérisation. Ainsi, l’éthylène CH2=CH2 (monomère) conduit par
polymérisation par ouverture de la double liaison au polyéthylène (polymère) [-CH2-CH2-]n.
La macromolécule peut comporter jusqu’à 50 000 atomes de carbone, et pour de nombreux
polymères commerciaux la masse molaire peut atteindre 1 000 000 g.mol-1
. Certaines
macromolécules deviennent ainsi visibles à l’oeil nu (matériaux réticulés par exemple). La
synthèse d’un polymère peut être assimilé à un jeu de construction dans lequel on dispose de
pièces élémentaires mono, difonctionnelles ou de fonctionnalité strictement supérieure à 2.
On appelle fonctionnalité le nombre de liaisons que la pièce est capable d’établir avec une
autre pièce. Quand les motifs associés sont identiques, on parle d’homopolymère. Sinon, ce
sont des copolymères : bipolymères, terpolymères sont les plus communs.
b) Polymères organiques :
Nous parlerons ici uniquement des polymère organiques, c’est à dire ceux réalisés à
partir de monomères composés d’atomes utilisés en chimie organique : C, H, O, et N
principalement ainsi que d’autres éléments comme les halogènes (F, Cl, Br, I) ou le souffre, le
phosphore...Il existe d’autre polymères ou l’atome de carbone est remplacé par Si (silicones).
Pièces mono (m), di (d), tri (t) et tétra (q) fonctionnelles
(m) (d) (t) (q)
4/73
Petite molécule
Chaîne linéaire
- squelette carbonné
de la chaîne principale
- extrémités
Polymère ramifié
- ramifications
- chaîne principale
- extrémités
Polymère tridimensionnel
- réseau
- pontages
- noeuds de réticulation
Exemples de copolymères constitués de 2 types de comonomères
5/73
Formule développée du
motif monomère
Appellation courante et
abréviation normalisée
Noms commerciaux
Applications
CH2
CH2 Polyéthylène (PE)
Lactène, Hostalen, Dowlex
Sacs plastique (PEHD/PEBD)
Réservoirs de voitures,
bouteilles, flacons, bidons,
films d’emballage, minidoses
CH2 CH
CH3
Polypropylène (PP)
Appryl, Novolen
Films d’emballage alimentaire,
bouteilles rigides, intérieur de
lave vaisselle, cordes et ficelles
CH2 CH
Cl
Polychlorure de vinyle (PVC)
Lacovyl, Vinidur, Vinnolit
Tuyauterie, pots de margarine,
blisters, bouteilles d’eau
minérale, barrières extérieures,
films d’emballage alimentaire
CH2 CH
Polystyrène (PS)
Lacqrène, Novodur, Styrol
PS : emballages, pots de yaourt,
armoire de toilette, cassettes
audio, brosses à dents. PS
expansé : emballage, boites à
oeufs, isolants
CH2 C
C O
O
CH3
CH3
Polyméthacrylate de méthyle
(PMMA)
Plexiglas, Altuglas, Lucryl...
Plaques pour vitres, globes,
feux arrière de voiture, lentilles
d’appareils photo
CF2
CF2 Polytétrafluoroéthylène (PTFE)
Téflon, Hostaflon
Tuyaux, joints et raccords.
Robinet et vannes pour matériel
de laboratoire, revêtements
anti-adhérents
6/73
Cordages en PP
Sacs en PEHD
Bouteilles en PEHD
Boites en PE
Cuillères en PS
Articles en PVC
PMMA et mobilier en PMMA
Protections
en PP
Tubes en PTFE
Poêle recouverte
de PTFE (téflon)
7/73
c) Architecture moléculaire et propriétés des polymères
Propriétés mécaniques : En général, les polymères formés à partir de chaînes
linéaires non réticulées et flexibles sont souples (à certaines températures) tandis que
les polymères très réticulés, formant un réseau tridimensionnel sont plus rigides. Les
premiers donnent lieu à des polymères thermoplastiques, les seconds à des polymères
thermodurcissables.
Thermoplastique : se ramollit lorsqu’on la chauffe au dessus d’une certaine
température, mais qui redevient solide en dessous. Cette matière conserve de façon réversible
sa thermoplasticité initiale. Exemple : PE, PVC, PP....
Thermodurcissable : commence par se ramollir (si pas déjà mou) sous l’action de la
chaleur puis se durcit progressivement pour atteindre un état solide qu’elle conservera sous
forme irréversible. Exemple : résines phénol/formol ; bakélite, galalith...
Elastomères : ce sont des matériaux amorphes, mais avec quelques pontages entre les
chaînes macromoléculaires linéaires, ces liaisons sont assurées par des atomes C, S ou O. La
réaction permettant d’établir ces liaisons covalentes est la vulcanisation. Cette opération
confère aux élastomères une structure tridimensionnelle très souple et très déformable, car le
taux de réticulation est faible. Au delà de leur Tg, les caoutchoucs ont une grande capacité de
déformation réversible qui eut dépaser 1000%. Les pontages assurent la mémoire de l’état
initial.
Propriétés physiques : comme on le verra ultérieurement, la densité, Tf, Tg
sont modifiées par l’architecture moléculaire. De façon intuitive, on comprend par
exemple que la densité diminue avec la ramification des molécules en augmentant
l’espace entre les chaînes principales. Ainsi le PE linéaire non ramifié présente une
haute densité (PEHD) et donc un point de fusion 20°C plus élevé que le PE ramifié
basse densité (PEBD).
d) Structure supramoléculaire :
Les macromolécules sont organisées de façon spaciale : compacité et ordre de
« l’empaquetage » des chaînes, orientation, enchevêtrements...
8/73
III) Enchaînement des unités constitutives (mères)
a) Les homopolymères : [-A-]n, n unités constitutives liées entre elles par des liaisons
covalentes. ....A-A-A-A-A-A.....
Exemple du PVC. (CH2-CHCl)n Il peut donner lieu à des enchaînements réguliers (tête à
queue) ou irréguliers (tête à tête ou queue à queue)
« tête à queue » : ...CH2-CHCl-CH2-CHCl...
« queue à queue » : ...CH2-CHCl-CHCl-CH2...
b) Les copolymères : les polymères sont constitués de deux (ou plus) unités
constitutives nommées A, B, C etc....
-copolymères statistiques (statistical copolymers) :
A et B se répartissent en suivant une statistique. Les copolymères désordonnés
(Random) font partie de cette famille.
-A-A-B-A-B-A-B-B-B-A-A-B-
-copolymères alternés (alternating copolymers) :
Les deux motifs alternent régulièrement
-A-B-A-B-A-B-A-
Amorphe isotrope
Amorphe orienté
Cristal
Semi-cristallin
9/73
-copolymères séquencés linéaires ou copolymères à bloc (block copolymers) :
Chaque unité constitutive est répétée plusieurs fois de suite pour former de
longues séquences
-A-A-A-A-A-B-B-B-B-B-B : dibloc [AB]
-A-A-A-A-A-B-B-B-B-B-B-A-A-A : tribloc [ABA]
-copolymères séquencés et greffés (graft copolymers) :
Exemple le plus simple : une chaîne d’un homopolymère principal, sur lequel
des chaînes secondaires d’un autre polymère sont greffées
B-B-B-B-B-B-B-B-B
B
A-A-A-A-A-A-A-A-A-A-A-A-A-A-A-A-A-A-A-A-A-A-A-A-A-A
B
B-B-B-B-B-B-B
IV) Isomérie de configuration
a) Tacticité :
La tacticité ne concerne que les molécules asymétriques ; il s’agit de molécules de
même formule chimique dont l’arrangement des radicaux monovalents R le long du squelette
de la molécule est différent d’une chaîne à l’autre.
Prenons le cas de l’éthylène et du PE sur lequel on a greffé un radical R à la place d’un
atome d’hydrogène. R peut être un atome de Cl, F ou un groupe CH3 ou C6H5.
Le groupement R rend le monomère asymétrique ; Il y a plusieurs façons de le lier sur le
squelette de la chaine –CH2-CH2-n :
- les radicaux R sont tous du même côté du plan : on a un polymère linéaire
isotactique
Polypropylène
isoactique
10/73
- les radicaux R sont situés alternativement de part et d’autre du plan : le
polymère est linéaire syndiotactique.
- les radicaux R sont fixés au hasard, de façon aléatoire : le polymère est
linéaire atactique
La perfection de la stéréorégularité des polymères synthétiques n'existe pas ; on observe
seulement une tendance plus ou moins grande à un type de régularité stérique.
Conséquences sur les propriétés des polymères :
- l’encombrement des groupes R gouverne la mobilité des chaînes
moléculaires, son inflence est importante sur les propriétés
thermomécaniques.
- Les molécules régulières peuvent se ranger côte à côte pour former des
structures cristallines : augmentation de Tf
- les molécules atactiques donnent des matériaux amorphes et peu denses
b) Isomérie cis-trans : Certaines polymérisations, comme celle des diènes conjugués,
[le butadiène-1,4 –CH2=CH-CH=CH2- en particulier] peuvent donner lieu au maintien de
doubles liaisons dans le squelette macromoléculaire.
polybutadiène polymérisé en 1-4
La rigidité des groupements éthyléniques –CH=CH- fixe l'orientation relative de leurs deux
substituants macromoléculaires qui peuvent être :
• soit en positions cis :
• soit en position trans :
PVC
Syndiotactique
11/73
Lorsqu'il y a répétition régulière de l'un ou de l'autre type de structure, il y a régularité
configurationnelle, donc polymère stéréorégulier. Un changement de configuration nécessite
la rupture de deux liaisons covalentes et l'on peut admettre que la structure configurationnelle
d'une macromolécule ne peut changer sans qu'il y ait destruction du squelette
macromoléculaire.
V) Dimensions et masses des macromolécules
a) moyenne en nombre
La masse molaire M d'une macromolécule est égale au produit de la masse M0 du
motif élémentaire par le degré de polymérisation DP :
M = M0 DP
Lorsque l'échantillon polymère est polymoléculaire, on le caractérise par son degré de
polymérisation moyen en nombre n
DP , égal au rapport du nombre de motifs élémentaires au
nombre total de macromolécules de toutes tailles, contenues dans cet échantillon. S'il existe i
espèces de macromolécules, chacune est caractérisée par :
• son degré de polymérisation DPi ;
• sa masse molaire M0 DPi ;
• Le nombre Ni de macromolécules qui le constituent
Le degré de polymérisation moyen en nombre est défini comme la moyenne en nombre des
degrés de polymérisation de chaque espèce de macromolécules qui le constituent.
Le caoutchouc naturel extrait du latex de l'hévéa est le polyisoprène, l’isoprène étant le 2-
méthylbutadiène
Le motif du caoutchouc naturel correspond à un enchaînement 1,4-cis de l'isoprène :
La polymérisation du 2-méthylbutadiène peut aussi se faire par enchaînement 1,4-cis en
utilisant du lithium métal finement divisé ou des catalyseurs de type Ziegler (tétrachlorure
de titane et trialkylaluminium).
Le trans 1,4-polyisoprène appelé gutta-percha a, lui, des propriétés différentes du
caoutchouc naturel (plus dur et cassant). Ce gutta-percha est un latex naturel obtenu à
partir d'arbres de l'espèce Palaquium gutta, et possède du fait de son enchaînement trans,
une structure semi-cristalline.
12/73
La masse molaire moyenne en nombre est également la moyenne en nombre des masses Mi
de chaque espèce i et se déduit du n
DP par :
On peut également définir la masse molaire moyenne en nombre à partir des fractions
massiques wi de chaque espèce i présente dans le polymère :
Dans le cas des copolymères, le degré de polymérisation reste défini, mais la différence de
masse des motifs structuraux ne permet pas de relier de façon simple le degré de
polymérisation et la masse moyenne du polymère. Dans ce cas, seule la masse demeure
accessible à l'expérience.
b) Moyenne en poids
Un raisonnement analogue peut s'appliquer non plus au nombre Ni , mais au poids pi
de l'espèce i . Le degré de polymérisation moyen en poids w
DP se définit alors comme la
somme des degrés de polymérisation de chaque espèce i, affectés d'un coefficient égal au
rapport du poids de l'espèce i au poids total du polymère :
La masse molaire moyenne en poids est également la moyenne en poids des masses Mi de
chaque espèce i et se déduit du w
DP par :
On peut également définir la masse molaire moyenne en poids à partir des fractions massiques
wi de chaque espèce i présente dans le polymère :
∑
∑
=
=
i
i
i
i
i
n
N
DP
N
ules
macromoléc
de
nombre
motifs
de
nombre
DP
∑
∑
=
∑
∑
=
=
i
i
i
i
i
i
i
i
i
i
n
n
N
M
N
N
M
DP
N
DP
M
M
0
0
∑
∑
=
=
i
i
i
i
i
w
p
DP
p
ules
macromoléc
de
poids
i
motifs
de
poids
DP
∑
∑
=
∑










∑
=
=
i
i
i
i
i
i
i
i
i
i
i
w
w
M
N
M
N
p
p
M
DP
M
M
2
0
13/73
c) Masse moyenne d’ordre Z
De l’allemand « Zentrifuge » car obtenu par des méthode de mesure particulières comme la
centrifugation. La distribution radiale des molécules résulte de l’équilibre entre la
sédimentation et la diffusion et donc dépend de M. Cette moyenne d'ordre supérieur appelée
masse molaire moyenne en z Z
M est donée par :
On peut définir sur cette base des moyennes d’ordre supérieur (masse molaire moyenne en
z+1...) comme 1
+
Z
M .
Résumé sous forme d’un tableau :
Formule générale valeur de α
α
α
α Masse moyenne Méthode de détermination
1 n
M Osmométrie – Dosage
2 w
M Diffusion de la lumière
∑
∑
= −1
α
α
α
i
i
i
i
M
N
M
N
M
3 z
M Ultracenrifugation
d) Indice de polymolécularité
L’indice de polymolécularité (parfois mal nommé polydispersité) Ip d’un polymère est le
rapport w
M / n
M . Il caractérise la dispersion de la masse molaire du polymère. Les masses
molaires moyennes définies précédemment égales dans le cas d'une substance isomoléculaire,
s'écartent d'autant plus que l'hétérogénéité du polymère est grande tout en restant dans l'ordre
suivant : n
M < w
M < z
M < 1
+
z
M
La valeur de n
M est très influencée par les faibles masses Mi tandis que w
M et, a fortiori
z
M et 1
+
z
M sont dépendantes de la quantité relative de fortes masses Mi.
n
w
M
M
Ip =
Cet indice égal à l'unité pour un polymère théorique isomoléculaire, varie de 1,01 pour des
polymères de distribution très étroite (polymérisation anionique vivante) à 2 pour des
polymères classiques (polymérisations cationique et radicalaire, polycondensation) et jusqu'à
14/73
30 ou 50 pour des polymères dont la polymérisation a lieu avec beaucoup de réactions de
transfert.
VI) Effet de la température sur l’état structural : Tg, Tf, Td
Lorsque la température augmente, l’énergie thermique fournie aux molécules
augmente leur mobilité : les rotations autour des liaisons C-C du squelette des chaînes sont
plus aisées (changements de conformations). Le nombre de liaisons de faible intensité, Van
der Waals, diminue quand la température augmente ce qui libère les mouvements
moléculaires.
Nous considèrerons que la température de transition vitreuse d'un matériau Tg, est la
température en-dessous de laquelle les molécules ont une faible mobilité relative ou autrement
dit, a la plus grande modification de la capacité de déformation. La température Tg est
habituellement utilisée pour les phases totalement ou partiellement amorphes telles que les
verres et les plastiques. Les polymères thermoplastiques (non-réticulés) sont complexes car,
en plus de posséder une température de fusion, Tf, au-dessus de laquelle leur structure
cristalline disparaît, de tels plastiques ont une seconde température, plus basse, Tg en-dessous
de laquelle ils deviennent rigides et cassants, et peuvent fissurer ou se briser en éclats. Au-
dessus de Tg, les liaisons secondaires (Van der Waals) non-covalentes entre les chaînes des
polymères deviennent faibles en comparaison de l'agitation thermique, et le polymère devient
souple et capable de se déformer élastiquement ou plastiquement sans rupture. Ce
comportement est l'une des propriétés qui rendent la plupart des plastiques si utiles. Un tel
comportement n'existe pas pour les plastiques thermodurcissables réticulés qui, une fois
fabriqués, le sont de manière irréversible et se briseront en éclats plutôt que se déformer, sans
jamais redevenir plastiques ni fondre en étant chauffés.
a) État vitreux : T < Tg
Dans une phase cristalline, les molécules sont rangées et alignées. Elles n’ont en
revanche aucun ordre dans une phase vitreuse : elles forment des pelotes enchevêtrées. La
mobilité des molécules de la phase vitreuse est d’autant plus faible que la température est
basse. Ce qui confère à tous les polymères en général une bonne rigidité, une bonne résistance
mécanique, et une faible capacité de déformation.
b) État caoutchoutique : Tg < T < Tf ou Td
Il est du à la phase amorphe et existe dans la quasi totalité des polymères. Il démarre
généralement aux alentours de la température de transition vitreuse Tg et il est limité
15/73
supérieurement par la température de fusion des zones cristallines si elles existent ou par la
température e décomposition thermique Td.
Dans cet état la phase cristalline n’évolue pas et sa structure reste identique a ce
qu ‘elle était à T<Tg. La phase amorphe subit des changements : l’activation thermique
provoque un déplacement des molécules, une rupture des liaisons de faibles énergies entre les
molécules et une augmentation du volume du polymère. Il en résulte une grande facilité de
mouvement des molécules.
c) État fluide : Tf < T < Td
Cet état ne concerne que les thermoplastiques. La phase cristalline n’existe plus car
T>Tf , il n’y a plus qu’une phase amorphe. Toutes les molécules (celles provenant de la phase
amorphe et celle provenant de la phase cristalline) forment des pelotes . Les noeuds
d’enchevêtrement disparaissent par reptation, le matériau s’écoule comme un fluide. Le
polymère est malléable : peu de résistance mécanique, peu rigide...
d) Ce qui influence la Tg
Structure à l’échelle moléculaire :
- pour les polymères à squelette aliphatique :
o liaisons de faible énergie, Tg augmente quand la polarité augmente
o L’encombrement des groupes latéraux : Tg augmente avec la gêne
stérique des groupements latéraux
- pour les polymères à squelette aromatique, c’est le rapport plaques
rigides/rotules qui joue le rôle principal. Tg augmente avec la rigidité de la
chaîne.
Structure à l’échelle macromoléculaire :
- influence de la masse molaire pour les polymères linéaires
- influence de la densité de réticulation pour les polymères tridimensionnels
- copolymérisation TgA < TgAB < TgB
- plastification : augmentation du volume libre
P
Po
ol
ly
ym
mè
èr
re
e +
+ P
Pl
la
as
st
ti
if
fi
ia
an
nt
t
P
Po
ol
ly
ym
mè
èr
re
e p
pl
la
as
st
ti
if
fi
ié
é
16/73
Nom du polymère Polymère Tg (K)
Type de groupement
affectant Tg
CH2
CH2 n
PE 193
CH2 CH2 n Polyphényléthylène 353
Groupement aromatique
CH2 CH
CH3
n PP 250
CH2 CH
CH2
CH3
n Polybutène 249
CH2 CH
CH2 CH2
n
CH3
Polypentène 233
CH2
CH n
PS 373
Groupes latéraux
volumineux
CH2 CH
Cl
n PVC 354
CH2 CH
OH
n
Polyalcool de
vinyle
358
CH2
CH
C
n
N
Polyacrylonitrile 370
Groupes polaires
17/73
2 types de réactions de polymérisation :
La polymérisation par étapes : les macromolécules formées par réactions par étape,
entre les fonctions chimiques réactives portées par les molécules monomères ou polymères.
Chaque molécule peut croître par réaction avec n’importe quelle autre molécule (mono, di, tri,
tétra, etc –mère).
La polymérisation en chaîne : un centre actif initial unique (ion, radical ou complexe
organométallique) provenant d’un initiateur permet la formation dune chaîne de plymère. La
chaîne ne peut croître que par réaction d’un monomère avec la fonction chimique réactive
située à l’extrémité de la chaîne en croissance.
I) La polymérisation par étapes
Polymères formés par réactions successives entre 2 fonctions chimiques (X, Y,...)
portées par des molécules comportant au moins 2 fonctions chimiques. Les réactions se
produisent par simple chauffage ou en présence d’un catalyseur, elles s’arrêtent quand on
refroidit le milieu actif ou lorsque l’un des réactifs initiaux est entièrement consommé.
Exemples : polyesters, polyamides (nylon), polyuréthanes, résines époxydes, phénoplastes
Polymérisations par étapes, 2 types :
- polycondensation : élimination d’une petite molécule à chaque étape,
comme une molécule d’eau
- polyaddition : les monomères réagissent sans perte de molécules
a) Synthèse de molécules linéaire par polymérisation par étapes de molécules
bifonctionnelles (Thermoplastiques)
1) 2 monomères possédant chacun un type de fonction chimique (X, Y)
X A X + Y B Y X A B Y + X Y
monomère monomère dimère bifonctionnel
dimère monomère trimère
dimère dimère tétramère
n-mère m-mère (n+m)-mère
Synthèse des polymères
18/73
Synthèse du nylon par polycondensation (élimination d’une molécule d’eau).
L’un des monomères possède 2 fonctions amine (-NH2), l’autre monomère contient 2
fonctions acide carboxylique (-CO2H)
Synthèse de polyuréthane par polyaddition
N CH2 6 N
H
H
H
H
O
H C
O
CH2 C
O
OH
4
n + n
NH CH2 6 NH C
O
CH2
C
O
4
n
Diamine Diacide
Polyamide 6,6 « nylon »
liaison amide
H2O
N CH2
N C
C
O O CH2 2
O
H OH
NH CH2
NH C
C
O O
CH2 2
O O
n
Diisocyanate Diol
n + n
Polyuréthane
liaison uréthane
19/73
Remarques sur les polyuréthanes : - les polyols sont généralement de type polyéther ou
polyester. Ils confèrent au PU sa souplesse. Triols=> réseau tridimensionnel.
- les diisocyanates : Le toluène diisocyanate (TDI) est le
plus utilisé. Le méthylène-bis-4-phénylisocyanate (MDI) est aussi très utilisé pour les
mousses rigides. Ils composent les segments rigides des PU. Triisocyanates=> réseau
tridimensionnel
- les amines réagissent avec les isocyanates pour former
des liaisons urée –R-N=C=O + R’-NH2 R-NH-CO-NH-R’ ce qui fait que les diamines
permettent des extensions de chaînes ou des réticulations.
- l’eau réagit avec les isocyanates pour former une amine
et du CO2 (mousses expansées) –R-N=C=O + H2O R-NH2 + CO2 . L’amine réagit
ensuite pour former l’urée correspondante (durcit la mousse).
- expansion : ajout d’eau (ci-dessus) ou CFC avant mais
problème de la couche d’ozone, maintenant n-pentane
- Catalyseurs utilisés généralement : R3N, Sn2+
20/73
Autres exemples de polycondensation : la polycondensation présente une grande importance
industrielle : les qualité mécaniques sont accrues, même si les masses moléculaires sont
généralement plus faibles qu’avec les autres techniques de polymérisation.
Le polyester (Tergal®
)
HO2C CO2H O
H CH2
CH2
OH
C C
O
H
O O
O CH2
CH2
O H
n
O
H2
+
+ 2n-1
Le procédé industriel utilise la transestérification pour éliminer facilement MeOH et déplacer
l’équilibre vers la formation du polymère.
MeO2C CO2Me O
H CH2
CH2
OH
C C
O O
O CH2
CH2
O H
n
MeO MeOH
+
+ 2n-1
Si l’alcool a une fonctionnalité supérieure à 3, on a réticulation (réseau 3D). C’est le cas des
alkydes (peintures, ALCool+acID)
Le polycarbonate (Makrolon®
...)
C
CH3
CH3
O
H OH C
O
Cl Cl
C
CH3
CH3
O O
H C
O
Cl
n
+ n
+ 2n-1 HCl
n
DP dépasse rarement 500, (ρ = 0,998), n
M < 5 .10-4
g.mol-1
car produits formés pendant la
réaction : réactions parasites d’oxydations, de décarboxylations, formation d’anhydride...
Bisphénol A Phosgène
Acide p-téréphtalique
Ethylène glycol
PET
21/73
Pour augmenter la masse molaire : augmenter la pureté des réactifs, équimolécularité parfaite
de réactifs.
22/73
2) 1 seul monomère possédant 2 types de fonction chimique (X, Y)
X A Y + X A Y X A A Y + X Y
monomère monomère dimère bifonctionnel
dimère monomère trimère
dimère dimère tétramère
n-mère m-mère (n+m)-mère
Synthèse du nylon par polycondensation de l’acide-6-aminocaproïque
Le monomère possède une fonctions amine (-NH2) et une fonctions acide carboxylique (-
CO2H)
Synthèse du nylon par polyaddition du caprolactame
CH2 5 N
H
H
HO2C O
H C
O
CH2 NH2
5
n + n
Acide-6-aminocaproïque Acide-6-aminocaproïque
Polyamide 6
H2O
CH2 5
NH CO
n
NH
O
Polyamide 6
CH2 5
NH CO
n
n
23/73
b) Synthèse de molécules tridimensionnelle par polymérisation par étapes de
molécules ayant plus de deux fonctions (Thermodurcissables)
En règle générale, il faut au moins un monomère bifonctionnel et un monomère
trifonctionnel. Le système peut cependant être plus compliqué.
X A X Y B X A B
Synthèse de la Bakélite : polycondensation à partir du phénol et du formol. Famille des
phénoplastes.
Y
Y
Y
Y
A
A
A B
X
B
B
Y
Y
A X
A X
.......
.......
.......
.......
.......
H
H
H
OH
O
C
H
H
H
H
H
OH
OH
CH2
C
H2
CH2
O
H CH2
OH
CH2
H2C
--------
--------
--------
--------
Phénol
Formol
Phénol
Bakélite
H2O
Au final, réseau 3D
24/73
Polycondensation urée-formol (famille des aminoplastes)
NH2-CO-NH2 + HCHO
Au final, réseau 3D
25/73
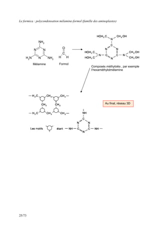
Le formica : polycondensation mélamine-formol (famille des aminoplastes)
N
N
N
NH2
NH2
N
H2
O
C
H
H
Mélamine Formol
Composés méthylolés , par exemple
l’hexaméthylolmélamine
Au final, réseau 3D
26/73
c) Théorie de Carothers : contrôle de la longueur des macromolécules
Calcul de n
M pour une polymérisation par étape après un temps donné de réaction.
X A Y + X A Y X A A Y + X Y
Degré de polymérisation moyen en nombre n
DP
0
M
M
DP n
n =
Avec M0 = masse molaire de l’unité constitutive A ou mère A. Si l’unité constitutive est
composée de 2 groupements atomiques A et B, alors
2
)
(
0
B
A M
M
M
+
=
Le degré de polymérisation moyen en nombre peut aussi être exprimé en fonction du nombre
N0 de molécule de monomère présent initialement et du nombre N de molécules de tous les
types présents à l’instant t (monomères, dimères, trimères...)
N
N
DPn
0
=
Par exemple, si au départ, on a 15 monomères et qu’à l’instant t il reste 5 molécules de
trimères, le degré de polymérisation 3
5
15
=
=
n
DP , correspond bien au nombre d’unités
constitutives des trimères.
Degré ρ d’avancement de la réaction à l’instant t
nt
initialeme
présentes
chimiques
fonctions
de
Nombre
réagi
ont
qui
Y
et
X
chimiques
fonctions
de
Nombre )
(
=
ρ
c’est la probabilité pour qu’une fonction (X ou Y) ait réagit à l’instant t
ρ
−
=
1
1
0
N
N
ou
0
0
N
N
N −
=
ρ
par suite
ρ
−
=
=
1
1
0
N
N
DPn
27/73
Remarques :
Contrôle de la masse molaire lors de la polymérisation
Puisque les propriétés physiques d’un polymère sont liées à la taille des chaînes, et
donc au n
DP et par suite à n
M , il serait intéressant de savoir fabriquer un produit de n
DP
déterminé. On peut le réaliser en arrêtant la réaction par consommation totale de l’un des
réactifs (réactif limitant)
X A X + Y B Y X A B Y - - - - -
Si NX et NY sont les nombres de fonctions de chaque type présentés à t=0, on définit le
rapport stoechiométrique r : 1
<
=
Y
X
N
N
r . On dit que le mélange des monomères est
stoechiométrique si r=1. Puisqu’on a 2 fonctions X ou Y par monomère, le nombre de moles
de monomères à t=0 vaut
2
0
Y
X N
N
N
+
=
Soit, avec la définition de r :
2
)
1
(
0
r
N
N Y +
=
Par suite on peut calculer :
- le nombre de fonctions chimiques X qui n’ont pas réagi au temps t :
NX - ρNX = ρNY(1-ρ)
- le nombre de fonctions chimiques Y qui n’ont pas réagi au temps t :
NY - ρNX = NY(1-rρ)
Donc le nombre N de molécules présentes à l’instant t est égal à
2
)
1
(
)
1
( ρ
ρ r
N
rN
N Y
Y −
+
−
=
 Pour obtenir des polymères aux propriétés intéressantes, il faut un n
DP élevé, ce qui
correspond à un degré d’avancement de la réaction presque total (ρ  0,99).
 La connaissance de r permet le calcul de n
DP et donc de n
M
28/73
2
)
2
1
( ρ
r
r
N
N Y −
+
=
par suite, puisque
N
N
DPn
0
= on obtient :
ρ
r
r
r
DPn
2
1
1
−
+
+
=
Dans les conditions stoechiométriques, r = 1, donc
Exemple : calcul du degré de polymérisation moyen n
DP en fonction de r et de ρ.
0,950 0,990 0,999 1,000
1,000 20 100 1000 ∞
0,999 19,8 95 667 1999
0,990 18 67 166 199
0,900 10 16 18 19
Si on laisse la réaction se poursuivre jusqu’à la disparition de la fonction X, en fin de réaction
le rendement ρ tend vers l’unité et alors
d) cinétique de réaction de polymérisation
La cinétique permet de relier le degré d’avancement de la réaction ρ au temps t de
réaction. En effet, reprenons l’exemple précédent où les monomères sont à la même
concentration C0 à t = 0 (r = 1 stœchiométrie) :
X A X + Y B Y X A B Y - - - - -
Quel que soit le temps t, on a toujours l’égalité entre les concentrations des 2
monomères : [A] = [B] = C. On pourra donc écrire ainsi la vitesse de réaction :
r
r
DPn
−
+
=
1
1
si ρ 1
ρ
−
=
1
1
n
DP
ρ
r
29/73
]
][
[
]
[
B
A
k
dt
A
d
réaction
de
Vitesse =
−
= avec k la constante de la réaction chimique. D’où la
variation de la concentration C avec le temps : 2
kC
dt
dC
=
−
En intégrant de 0 à t et de C0 à C :
∫
=
∫ −
t
C
C
t
d
k
C
dC
0
2
0
ou encore t
k
C
C
=
−
0
1
1
Puisque
N
N
C
C 0
0
= (N0 et N nombre de moles de monomères présents respectivement à t = 0 et
à t) et que
ρ
−
=
1
1
0
N
N
, on obtient : t
k
C0
1
1
1
=
−
− ρ
Remarques : La cinétique de polymérisation par étapes dépend de la présence d’un
catalyseur. De plus, beaucoup de réactions de polycondensation sont des réactions d’équilibre
et le constituant formé pendant la réaction chimique doit être retiré continuellement pour
déplacer l’équilibre dans le sens de la formation du polymère.  Connaissant les
concentrations initiales C0 de chaque monomère et la constante k, on déduit de la formule
1
1
1
0 +
=
−
= t
k
C
DPn
ρ
la valeur du degré d’avancement ρ de la réaction à tout instant t et donc
le degré de polymérisation
ρ
−
=
1
1
n
DP . Ce degré d’avancement est lié à la viscosité du
milieu.
1
1
1
0 +
=
−
= t
k
C
DPn
ρ
ρ
−
=
1
1
n
DP
Temps (min)
40
10
0 400
Schéma de
variation du degré
de polymérisation
au cours du temps.
30/73
II) La polymérisation en chaîne
a) Généralités
Une réaction en chaîne est une réaction au cours de laquelle une moléculede
monomère M est est additionnée à un centre actif porté par la chaîne en cours de croissance.
Si on appelle •
n
M une chaîne comportant n unités constitutives et munie d’un centre actif, la
polymérisation eut être schématisée par :
•
+
•
→
+ 1
n
n M
M
M
Le point indique le site d’un électron non apparié se trouvant sur la chaîne moléculaire
et avec lequel une nouvelle liaison pourra s’effectuer, pour augmenter la taille de la chaîne.
L’atome de la chaîne muni de cet électron non apparié constitue le centre
actif.
Selon la nature du centre actif qui provoque l’addition des unités constitutives (mères),
on classe la polymérisation en chaîne dans l’un des groupes suivants :
- la polymérisation radicalaire
- la polymérisation ionique
b) la polymérisation radicalaire
1) l’initiation
Cette étape désigne la formation d’un centre actif sur une molécule de
monomère M. Elle se produit en 2 temps :
- formation d’un radical libre •
R partir d’une molécule d’initiateur I
•
→ R
n
I (avec n = 1 ou 2)
- addition du radical libre sur une mole de monomère M ; elle porte alors un
centre actif
•
•
→
+ RM
M
R
Les réactions en chaîne se font en 3 étapes :
 l’initiation (ou amorçage)
 la propagation (ou croissance)
 la terminaison
31/73
Amorceur (= initiateurs) les plus courants
Radicalaires
C
O
O O C
O
C
O
O
C CO2
2
2 + 2
C
H3
C O O C
CH3
CH3
CH3
CH3
CH3
C
H3
C N N C
CH3
CH3
CH3
CH3
CN
C
H3
C
CH3
CN
N2
2 +
S2O8
2-
2 SO4
- .
Redox
H2
O2 Fe
2+
O
H OH- Fe
3+
+ + +
Rayonnement γ
γ
γ
γ, β
β
β
β, hν
ν
ν
ν
RH R H
+
60°C
Peroxyde de benzoyle
Peroxyde de tBu
AIBN
Persulfate
32/73
2) la propagation
Il s’agit de l’étape ou se répète un grand nombre d’additions successives de
molécules monomères M, sur le centre actif formé. Le temps nécessaire pour ajouter un
monomère est très bref : il est de l’ordre de la milliseconde. Par suite plusieurs milliers
d’additions peuvent s’effectuer en quelques secondes.
•
•
→
+ RMM
M
RM
•
•
→
+ M
RM
M
RMM 2
•
+
•
→
+ M
M
R
M
M
M
R n
n )
(
)
( 1
3) la terminaison
A ce stade la croissance de la chaîne de polymère s’arrête. Il y a disparition du
centre actif. Les réactions de terminaison sont bimoléculaires sur 2 molécules en croissance.
Le mécanisme est :
Soit une combinaison :
R CH2 C
H
X
CH2
C
H
X
R
R CH2 C
H
X
CH2
C
H
X
R
+
Soit une dismutation : transfert d’un atome H
R CH2 C
H
X
CH2
C
H
X
R
R CH2 CH2
X
CH
CH
X
R
+
+
33/73
Exemple d’une polymérisation radicalaire : monomère vinylique, 2 amorceurs différents
 initiation
-par scission d’une liaison covalente (O-O) de l’initiateur
(CH3)2C O OH
CH3
(CH3
)2
C O
CH3
OH
(CH3)2C O
CH3
CH3
(CH3
)2
C O
+
+
-par réaction d’oxydoréduction
Fe
2+
H2
O2 Fe
3+
OH- OH
+ + +
Addition ensuite du radical libre sur le monomère vinylique CH2=CHX et création d’un
centre actif sur la molécule.
CH3
C
H2
CH
X
C
H3 CH2 CH
X
C
H3
CH CH2
X
+
 la propagation
C
H3 CH2 CH
X
C
H2
CH
X
CH2
CH
X
CH
CH2
X
C
H3
+
Puis addition d’autre monomères........
CH2 CH
X
CH
CH2
X
CH2 CH
X
CH
CH2
X
C
H3
ou
CH2
CH
X
CH
CH2
X
C
H3 n
34/73
 la terminaison
- par combinaison
C
H3
CH2 C
H
X
CH2
C
H
X
CH3
C
H3 CH2 C
H
X
CH2
C
H
X
CH3
+
- par dismutation
C
H3 CH2 C
H
X
CH2
C
H
X
CH3
C
H3 CH2 CH2
X
CH
CH
X
CH3
+
+
35/73
b) la polymérisation ionique
Le centre actif est constitué par un ion et non plus un radical libre. Il existe 2 types de
réactions de polymérisation ionique :
- polymérisation cationique : le carbone du centre actif de la chaîne en
croissance porte une charge positive
- polymérisation anionique : polymérisation cationique : le carbone du centre
actif de la chaîne en croissance porte une charge négative
Polymérisation cationique : Exemple d’une synthèse du polystyrène
R
+
A C
H2
CH CH2 CH
+
R A
; + ;
CH2 CH
+
R A C
H2 CH
; +
CH2
CH
R CH2 CH
+
A
;
Initiation
Propagation
36/73
CH2
CH
R CH2 CH
+
n
A
;
CH2 CH
R CH2 CH
+
n
A CH2 CH
R CH CH
n
A H
+
; ;
+
ou encore transfert sur le monomère pour donner CH3-CH+
-Ph
Rem : en refroidissant, ou dans certains cas (THF) on peut limiter les réactions de
terminaisons et transferts , et obtenir un polymère vivant.
Monomères pour cationique : oléfines (isobutylène), éthers vinyliques, carbures insaturés
(styrènes...), terpènes, hétérocycles (THF, cyclohexane...). Le C substitué de la double liaison
doit porter un groupement R donneur d’électron (isobutylène) ou stabilisant par résonance
(phényle du PS).
Solvants : dichlorométhane ou chlorure de méthyle
Catalyseurs : * soit acides protoniques (de Brönsted) comme acide sulfurique,
perchlorique (HClO4), trifluorométhane sulfonique, trifluoroacétique
* soit acide Lewis TiCl4, SnCl4, AlCl3, BF3 + co-amorceur, le plus
souvent l’eau
Dans le cas des monomères vinyliques, les applications les plus importantes
concernent la polymérisation de l'isobutylène, conduisant, en particulier, au Caoutchouc Butyl
dont l'intérêt réside dans son imperméabilité relative aux gaz (chambres à air).
Les autres polymérisations cationiques de l'isobutylène ainsi que celles d'autres
oléfines permettent d'obtenir aussi des oligomères qui, après fonctionnalisation par ène-
Terminaison
37/73
synthèse ou par l'anhydride maléique, sont utilisés comme additifs d'huile de moteur ou
résines pour adhésifs. On fabrique aussi des résines d'indène et de coumarone.
Dans le cas de monomères cycliques, la polymérisation cationique est importante. La
polymérisation du THF fournit des polymères téléchéliques utilisés dans la fabrication des
polyuréthanes. On prépare aussi des polyacétals pour le verre Sécurit. Enfin la polymérisation
cationique est largement utilisée dans l'industrie des silicones.
Polymérisation anionique : polymérisation du même type mais avec un centre actif chargé
négativement (carbanion ou oxanion). Les amorceurs appartiennent le plus souvent à la
famille des organométalliques comme le BuLi
Mais l’initiateur peut aussi être une base (potasse ou alcoolate). La polymérisation se
fait par ouverture de cycle (oxirane, lactone, lactame...) ou par ouverture de double liaison
(styrène, diènes...). Dans le cas des polymérisations par ouverture de cycle, les mécanismes
d'amorçage sont analogues, bien que les amorceurs puissent être un peu différents. La
polymérisation des oxiranes, par exemple, est amorcée par un alcoolate de potassium ROK,
dissocié en oxanion RO- et K+ .
La réaction de terminaison peut être due à un composé susceptible de réagir avec un
carbanion (générateur de protons), présent sous forme d'impureté ou introduit volontairement.
En l'absence d'un tel composé, la polymérisation anionique peut être vivante : aucune réaction
de terminaison ne se produit et les chaînes gardent leurs extrémités actives après la
consommation totale du monomère. Si, à une solution d'un polymère vivant, on ajoute une
nouvelle charge de monomère, les chaînes recommencent à croître. Si, par ailleurs, l'amorçage
est rapide et s'il ne se produit ni transfert ni terminaison, la distribution des masses molaires
peut être très étroite, et le rapport
n
w
M
M
est voisin de 1. Cette propriété est utilisée pour
préparer des copolymères à blocs ou des oligomères fonctionnalisés par une réaction d'arrêt
volontaire.
38/73
La polymérisation du styrène, des diènes ou de la vinylpyridine amorcée par des
organométalliques ou des ions radicaux, présente un caractère vivant. Il n'en est pas de même
avec les esters acryliques, à cause d'une réaction parasite sur les groupes esters.
La polymérisation de l'oxyde éthylène présente aussi un caractère vivant ; ce caractère est
moins net dans le cas de l'oxyde de propylène où se produit une réaction parasite de transfert
interne qui conduit à une extrémité insaturée.
Applications industrielles : en dehors des polymérisations par ouverture de cycle, on trouve
peu d'applications industrielles de la polymérisation anionique, à l'exception des copolymères
à blocs styrène-butadiène. Il existe cependant un certain intérêt pour la polymérisation du
styrène qui peut être plus rapide que la polymérisation radicalaire et conduire à des
distributions plus étroites. Il existe aussi des productions de copolymères styrène-butadiène
avec des distributions de séquences différentes de celle obtenue en polymérisation radicalaire,
grâce à la modification de la réactivité des centres actifs. Ces produits sont utilisés dans
l'industrie du caoutchouc.
Les polymérisations ioniques sont relativement peu utilisées industriellement par
rapport à la polymérisation radicalaire. Elles nécessitent la présence de solvants organiques
ainsi que des conditions de pureté sévères et une récupération du polymère formé à partir de
solutions , ce qui accroît les coûts de production.
Ces réactions sont néanmoins intéressantes car elles permettent de contrôler
l’architecture moléculaire du polymère formé. Ainsi, grâce à la polymérisation anionique,
coditions vivantes, on peut synthétiser des polymère diblocs ou triblocs (épuisement de A puis
ajout de B)
-------AAA-
; N+
+ n B -------AAABBB---B-
; N+
copolymère ionisé
L’ion N+
est en général un cation métallique.
Par ce type de polymérisation il est possible d’obtenir une stéréorégularité élevée des
unités constitutives et des répartitions moléculaires très étroites. On utilise des catalyseurs
comme les catalyseurs de Ziegler et Natta résultant de la formation de complexes entre un
dérivé d’un métal léger des groupes I et III (Be, Li, surtout Al) et un halogénure d’un métal de
transition des groupes IV et VIII comme le Ti, V, Zr. Les oxydes métalliques de certains
métaux de transition (Ni, Cr, Mo, Co...) sur les support d’alumine sont moins actifs que les
catalyseurs de Ziegler et Natta. Il sont cependant utilisés pour la polymérisation de l’éthylène
et conduisent à des molécules presque parfaitement linéaires.
39/73
Ziegler et Natta
La polymérisation Ziegler et Natta est une méthode de polymérisation vinylique et
surtout, permet de synthétiser des polymères de tacticité désirée. Cette méthode a été
découverte par deux scientifiques Allemand (Ziegler) et Italien (Natta), c’est la seule méthode
pour synthétiser le PE linéaire non greffé et le polypropylène isotactique.
Le catalyseur composé d’un métal de transition, généralement TiCl3 ou TiCl4 est
utilisé avec un co-catalyseur généralement un métal du groupe III comme l’aluminium, en
présence du monomère vinylique. La plupart du temps le couple catalyseur/co-catalyseur est
TiCl3 et Al(C2H5)2Cl, ou TiCl4 avec Al(C2H5)3.
Prenons le cas du couple TiCl3 et Al(C2H5)2C. TiCL3 peut s’organiser en nombre de structures
cristallines comme α-TiCl3 illustrée ici:
40/73
Comme on le voit, chaque atome de titane est coordiné avec six atomes de Cl avec une
géométrie octaédrique. Mais à la surface du cristal, le Ti n’a que 5 atomes de Cl.
Comme tous les métaux de transition, le Ti a 6 orbitales vacantes. Le titane doit être coordiné
avec suffisamment d’atomes pour mettre assez d’atomes dans les orbitales. Le Ti à la surface
du cristal a suffisamment de voisins pour remplir 5 des 6 orbitales. Il n’en reste qu’une de
libre.
C’est là que Al(C2H5)2Cl donne un de ses groupe éthyle au Ti mais élimine un chlore dans le
processus. Il reste donc toujours une orbitale vacante.
L’aluminium reste coordiné (pas lié de façon covalente) au CH2 de l’éthyle qui vient d’être
donné au Ti. Il se coordine aussi à un des Cl adjacent au Ti. Cependant, le Ti a toujours une
case vacante. C’est là qu’intervient le monomère vinylique : il y a 2 électrons dans le système
π d’une double liaison C=C. Ces électrons peuvent remplir l’orbitale vide du Ti. Cela forme
ce que l’on appelle un complexe :
41/73
Polymérisation isotactique :
La nature exacte du complexe entre le titane et le polypropylène est compliquée. On
continuera de le représenter comme suit :
Des réarrangements vont ensuite se produire comme suit :
1- la paire d’électrons de la double liaison c=c forme une liaison covalente du C avec le
Ti.
2- Les électrons de la liaison entre le Ti et le C du groupe éthyle que le titane a récupéré
de Al(C2H5)2Cl. Cette paire d’électrons va ensuite former une liaison entre le
groupement ethyle et le carbone méthyl substitué du monomère propylène.
3- Ce qui se passe ensuite est une migration. On ne sait par pourquoi, mais ça se passe
ainsi. Les atomes se réarrangent pour former ceci :
42/73
L’aluminium est maintenant complexé avec l’un des atomes de carbone du monomère
propylène. Comme on peut aussi le voir, le Ti revient à un état initial, c’est a dire avec une
orbitale libre nécessitant des électrons pour la remplir. Du coup, quand un nouvelle molécule
de polypropylène se présente, le processus se renouvelle, et le résultat se présente comme
suit :
C’est ainsi que le polymère s’accroît. En regardant le schéma, on s’aperçoit que le
groupement méthyle du polymère en propagation est toujours du même côté de la chaîne.
C’est par ce mécanisme que le polypropylène isotactique est synthétisé. here!
Polymérisation syndiotactique:
D’autres systèmes catalyseur/co-catalyseur peuvent donner des polymères syndiotactiques
comme le système VCl4/Al(C2H5)2Cl.
43/73
Tout d’abord le propylène se complexe avec le vanadium et les électrons se déplacent comme
vu avant. Le propylène est inséré entre le métal et le groupement éthyle exactement comme
avant.
Mais on peut cependant voir que la chaîne en croissance n’a pas la même position.
Dans le cas du système au titane la chaîne de polymère en croissance changeait de position
sur l’atome de Ti. Ce n’est pas le cas cette fois ci. La chaîne en croissance demeure dans sa
nouvelle position. Jusqu’à ce qu’une nouvelle molécule de propylène se présente et réagisse
avec la chaîne en croissance dans cette toujours nouvelle position, comme suit :
44/73
Mais quand le second propylène est ajouté à la chaîne, la chaîne change de position à
nouveau. Elle revient à la position initiale. En regardant le premier et le second monomère en
rouge et bleu respectivement, noter qu’ils sont d’un côté opposé (de part et d’autre de la
chaîne de polymère). On forme un polymère syndiotactique.
45/73
III) Les techniques de polymérisation
a) Polymérisation en masse Ex : PS cristal, PEbd, PMMA, PVC...
Monomère pur auquel l’initiateur est ajouté directement (il y est donc soluble). Le
polymère précipite ou non dans le milieu réactionnel. Le contrôle de la réaction est délicat :
contrôle difficile de la température. Pour contrôler T°C et degré de polymérisation on effectue
la polymérisation en 2 étapes : prépolymérisation jusqu’à 30-40% de la conversion puis
polymérisation finale dans un réacteur adapté au contrôle thermique. En polycondensation, on
chauffe beaucoup (200-300°C), on utilise un vide partiel pour éliminer les réactifs parasites
(et déplacer l’équilibre) ou on travaille sous gaz inerte à pression atmosphérique (éviter les
transferts). Quelques exemples de polycondensation à 25°C avec des composés très réactifs :
R-CO-Cl ; diisocyanates....
☺
☺
☺
☺ Pas de solvant, pas de sous produits pour la radicalaire
☺
☺
☺
☺ Le polymère obtenu est pur
☺
☺
☺
☺ Quand le polymère précipite dans le monomère (PAN, polychlorure de vinylidène
CH2=CCl2).



 Difficulté d’évacuation des calories produites par la réaction



 Pour radicalaire : + de transferts intramoléculaires donnant des ramifications.
b) Polymérisation en solution
En présence d’un solvant du monomère, dont le rôle est de contrôler la température du
milieu réactionnel et donc de maîtriser la réaction chimique. Intéressant quand le solvant du
monomère est non solvant du polymère (le polymère précipite pendant la polymérisation).
C’est un procédé industriel utilisé quand il n’y a pas besoin d’éliminer le solvant (utilisation
directe du polymère) : c’est le cas des colles et peintures. Ex. radicalaire PAN, PVAc, Esters
acycliques..., Ex. polycondensation PC, PU, qq PA et PEsters à Pf élevés.
☺
☺
☺
☺ Dissipation thermique, maîtrise de la température de réaction
☺
☺
☺
☺ Quand le polymère précipite dans le solvant



 Si le polymère ne précipite pas dans le solvant, il faut le précipiter et le laver



 Coût car solvant pur sans impureté réactives



 Toxicité, élimination des déchets produits (solvants)



 Réaction assez lente



 Méthode peu adaptée à l’obtention de masses moléculaires élevées.
46/73
Rem : polycondensation interfaciale du nylon 6,6 (non industriel)
c) Polymérisation en suspension
Très utilisée pour la radicalaire. Le monomère et le polymère sont insolubles dans le
dispersant. Le monomère est dispersé (10-25%) dans le non solvant (comme l’eau) sous vive
agitation. La taille des gouttelettes est contrôlée soigneusement par ajustement de paramètres
tels que la concentration, la vitesse d’agitation, l’utilisation d’adjuvants...On peut considérer
chaque gouttelette comme un milieu indépendant qui est le siège de polymérisation en masse.
Compte tenu de la dispersion, les échanges thermiques entre le liquide et les parois du
réacteur sont bons. En fin de réaction, le polymère est récupéré sous forme de perles lavées et
séchées. Quand amorceur soluble dans dispersant (peroxydes), efficacité moindre car
l’amorceur est détruit. Exemples : PVC (70% de la production), PS expansé, PMMA, PAN,
PVAc, polyisoprène, PV2P
☺
☺
☺
☺ Dissipation thermique (dispersant)
☺
☺
☺
☺ Milieu aqueux, donc pas de solvants organiques en général
☺
☺
☺
☺ Le polymère est récupéré facilement sous forme de granulés
☺
☺
☺
☺ Quand amorceur soluble dans le monomère (efficacité #polymérisation en masse)



 Quand amorceur soluble dans dispersant (peroxydes) il peut être dégradé



 Polymère obtenu pas tout a fait pur : reste eau et autre agents



 Méthode peu adaptée à l’obtention de masses moléculaires élevées
d) Polymérisation en émulsion
Par rapport à la polymérisation en suspension, la polymérisation se fait par
l’intermédiaire de micelles et d’un agent émulsifiant (savon).
- Les molécules de tensioactif se rassemblent en micelles (~5 nm) et on obtient une
suspension de micelles dans l’eau.
Cl-CO-R-CO-Cl
dans CH2Cl2
diamine dans eau
Le PA formé à l’interface est
enroulé sur un tige en verre.
47/73
Polymérisation
dans la micelle
R
R
R
R
R
Polymère
Monomère
Tête hydrophile
Tensioactif
Queue
hydrophobe
Monomère
Initiateur
Transfert des
monomères
Micelle gonflée de
monomères
Les radicaux libres sont
dans les micelles
Goutelette de
monomères
entourée de tensioactif
goutelette « réservoir
de monomères »
Milieu réactionnel avant la polymérisation
Polymérisation dans la micelle par diffusion des monomères depuis les goutelettes
vers les micelles
48/73
- Lorsque l’on ajoute le monomère hydrophobe, il se répartit d’une part dans les
micelles (qui gonflent), et d’autre part dans l’eau où il forme de grosses gouttelettes de
monomères (~ 10 µm = 10000 nm soit 2000 fois plus) qui s’entourent de molécules de
tensioactifs.
- L’initiateur de la polymérisation soluble dans l’eau se décompose et produit des
radicaux libres •
R , dans la phase aqueuse. Ceux-ci se localisent sur les micelles qui abaissent
la tension superficielle.
- La réaction démarre sur les centres actifs et se poursuit dans les micelles. Les
monomères sont transférés par diffusion à travers l’eau du réservoir que forme les gouttelettes
vers les micelles, lieu de la polymérisation. La vitesse de réaction devient nulle quand tous les
monomères des gouttelettes sont consommés.
☺
☺
☺
☺ Les vitesses de réaction sont élevées
☺
☺
☺
☺ Bonne maîtrise de la température de réaction
☺
☺
☺
☺ Le degré de polymérisation est grand, masses moléculaires élevées
☺
☺
☺
☺ On obtient des chaînes isolées et une émulsion stable de fines particules qui peuvent
être utilisées en l’état ou coagulées.



 Le polymère peut être difficile à séparer du tensioactif
e) Polymérisation en phase gazeuse (+ anecdotique)
Le monomère est introduit en phase gazeuse sur un catalyseur solide finement divisé.
Les particules de catalyseur sont en suspension dans le courant gazeux. Il se produit alors des
réactions comme dans la polymérisation en masse. Cette méthode utilisée pour le PP et le
PEHD a permis des réductions d’investissements intéressants.
☺
☺
☺
☺ Baisse des coûts
f) Conclusion
Les polymérisations par étapes (polyaddition et polycondensation) ont plutôt lieu en
masse ou en solution, la chaleur de réaction étant faible. En revanche, les réactions de
polymérisation en chaînes par radicaux libres (polymérisations radicalaires) se déroulent
plutôt en suspension ou en émulsion. Les polymérisations en chaîne ioniques (polymérisations
ioniques) ont plutôt réalisées en solution organique puisque l’eau désamorce les initiateurs
ioniques.
49/73
Les matières plastiques thermoplastiques se ramollissent au chauffage : elle sont
utilisées sous forme de poudre ou de granulés que l’on fond. On ajoute souvent des agents de
moulage, des stabilisants, des colorants, des plastifiants...La répartition homogène de ces
additifs se fait par des mélangeurs (à cylindre par exemple). La mise en oeuvre pour obtenir
les formes désirées est réalisée par extrusion, moulage par injection, thermoformage, moulage
avec soufflage, ou encore moulage avec compression. Le calandrage permet de faire des
feuilles ou des plaques.
Pour les polymères thermodurcissables, le chauffage, la mise en forme et la
polymérisation provoquant la synthèse et le durcissement du polymère, ont lieu
simultanément ; le moulage en compression est très souvent utilisé.
Les élastomères sont mis en oeuvre de façon similaire au thermodurcissables : on
chauffe et on comprime dans un moule un mélange d’élastomère et d’agent de vulcanisation
(réticulation)
On peut produire des fibres de polymères en forçant le polymère fondu ou en solution
à traverser de filières (petits trous). Les fibres formées sont torsadées pour faire un fil puis
tissés pour faire une étoffe.
On peut produire des mousses en générant des bulles (CO2) au sein du polymère fondu
ou de la résine en train de polymériser lors de sa fabrication.
I ) L’extrusion :
C’est un technique de transformation continue, rapide et peu coûteuse ; elle est très
répandue. Elle permet à partir de granulés ou de poudre de polymère, la fabrication de tubes
et autres profilés, de feuilles, de rubans, de tiges, de plaques, de gaines etc...
Des granulés de polymère sont chauffés et comprimés par une vis sans fin qui tourne
dans un fût chauffé et qui pousse le plastique vers un outillage appelé filière. La visse tasse et
mélange le polymère qui se fluidifie à l’approche de l’extrémité chaude du fût. Là, il est
poussé à travers la filière puis refroidi pour garder la forme transformée.
Il existe différents types d’extrudeuses, dont les double vis ou bivis qui permettent
d’augmenter les contraintes de cisaillement exercées sur le matériau. Elles sont équipées de
Mise en forme des polymères
50/73
deux vis à filets interpénétrants tournant dans un fourreau bicylindrique. Les deux vis peuvent
tourner dans le même sens (vis corotatives), ou en sens contraire (vis contrarotatives).
Schéma d’une extrudeuse monovis
Principales configuration d’extrudeuses bi-vis
II) Lignes d’extrusion
a) Extrusion de tubes, de profilés creux, de profilés pleins, de joncs...
La filière est adaptée à la forme de l’extrudat, la technique permet la fabrication de
produits semi-ouvrés en continu ayant un profil déterminé. Pour évier que le profil ne se
déforme en sortie de filière, on le soumet au tirage ; il peut être refroidit dans un bac d’eau. .
51/73
b) Extrusion-gonflage ou soufflage de gaine
Le polymère fondu passe d’abord dans une filière de tube. A la sortie de la filière, il est
étiré longitudinalement par un système de rouleaux pinceurs. Une certaine quantité d’air
emprisonnée à l’intérieur de la gaine assure son gonflage, c’est-à-dire son étirage transversal.
La gaine est refroidie par un jet d’air comprimé appliqué en sortie de filière par un anneau de
refroidissement. A partir d’une certaine ligne, appelée ligne de figeage, elle est entièrement
solidifiée et ne se déforme plus.
III) L’extrusion-soufflage de corps creux
Un tube extrudé, dit paraison, est pincé à ses extrémités par un moule creux en 2 parties.
L'une se soude sur elle-même et l'autre s'appuie sur une canne de soufflage par laquelle on
Rouleau pinceur
Bulle
Extrudeuse
Anneau de
refroidissement
Guide
Air
52/73
admet une pression d'air suffisante pour déformer la paraison chaude qui vient se plaquer sur
la paroi interne du moule, refroidi par circulation d'eau. Elle se solidifie alors et peut être
démoulée.
53/73
IV) Le calandrage
C’est un procédé réservé au caoutchouc et au PVC. Les opérations successives ont
pour but de mélanger le polymère à un certain nombre d’additifs (stabilisants, lubrifiants,
etc.), de gélifier progressivement le mélange obtenu en dissipant de l’énergie par cisaillement
sans atteindre la température de dégradation, puis de forcer le polymère entre les cylindres
successifs d’une calandre (entre 3 et 5 cylindres selon les cas). La feuille obtenue est étirée
puis refroidie avant d’être enroulée.
V) Le thermoformage
Le thermoformage consiste à chauffer une feuille, ou une plaque, à une température
permettant sa déformation dans un moule dont elle épouse la forme par action d’une
différence de pression entre ses deux faces. Après refroidissement, on obtient l’objet désiré.
La mise en forme s’effectue généralement par une pression d’air sur la feuille, ou une
dépression d’air sous cette dernière, souvent assistée mécaniquement par un poinçon.
C’est un procédé de transformation « basse pression », qui impose de faibles
contraintes à la feuille. Les matériaux ne peuvent donc être formés que lorsque leurs
propriétés mécaniques ont chuté, dans la zone du plateau caoutchoutique pour les polymères
amorphes et dans la zone de la température de fusion pour les semi-cristallins.
54/73
VI) Le moulage par compression
C’est la plus ancienne technique de transformation (20’s) appliquée dès les années 20
au thermodurcissables (phénoplastes et aminoplastes). La méthode consiste à presser
directement la matière dans l’empreinte d’un moule à chaud. Le moule est composé de 2
parties : le poinçon (partie supérieure) et la matrice (partie inférieure). Le cycle de production
est long.
Chargement Cuisson Démoulage
55/73
VII) Injection des thermoplastiques
On peut distinguer 3 phases pendant l’injection :
- le remplissage (ou injection) : le polymère remplit l’enceinte et occupe le
volume de la cavité. On se sert de la vis comme un piston
- le maintien (bourrage ou compactage) : le polymère est compacté dans
l’empreinte (car il est compressible) pendant le refroidissement
- le refroidissement : le polymère est figé et la pièce est éjectée quand sa
rigidité est suffisante. On dose une nouvelle quantité de matière pour la
pièce suivante pendant le refroidissement de la pièce, par rotation de la vis
qui amène de la matière en bout de vis (buse).
VIII) Injection soufflage
Elle permet de fabriquer des corps creux qui présentent de bonnes propriétés
mécaniques. Technique essentiellement réservée aux thermoplastiques. Le cycle de
fabrication se compose de étapes :
1) Réalisation d’une préforme par injection
2) Transfert de la préforme dans une station de réchauffage
3) Transfert de la paraison chaude dans un moule et soufflage pour que le polymère
entre en contact avec les parois du moule
56/73
4) Refroidissement et éjection de la pièce
57/73
Caractérisation des polymères
I) Mécanique
I-1) Caractérisation mécanique statique
Un essai mécanique correspond à une sollicitation uniaxiale appliquée en traction ou
en compression. Il consiste à déplacer une partie d’une éprouvette à l’aide d’une traverse
mobile constituant la machine d’essais et à enregistrer la contrainte appliquée. Le plus
répandu : essai de type contrainte-allongement = essai de traction : la vitesse de déplacement
de la traverse est fixée (constante) et l’allongement est mesuré en fonction de la contrainte
(MPa) ou de la force (N) appliquée.
Variantes :
 Essai de relaxation de la contrainte : en un point quelconque de la
courbe de contrainte-déformation on arrête la contrainte et on suit la
variation de la contrainte
 Essai de fluage : la contrainte appliquée est constante, on enregistre la
déformation au cours du temps
Courbes conventionnelles :
Lors d’un essai de traction ou de compression classique, le comportement de
l’éprouvette testée se traduit par un courbe reliant la contrainte à la déformation ou à
l’allongement relatif (%)
La contrainte nominale σ correspond à la force F rapportée à la section nominale A0 de
l’éprouvette
0
A
F
=
σ
L’allongement relatif ε correspond au rapport de la longueur mesurée l sur la longueur initiale
l0 le plus souvent exprimé en %
0
0
l
l
l −
=
ε
Plusieurs grandeurs peuvent être définie grâce aux tests mécaniques :
58/73
 Le module d’Young = module élastique = E
 Le seuil de plasticité = la limite d’élasticité = σy (stress@yield)
 La contrainte à la rupture = σr
 La contrainte maximale = résistance maximale à la traction = σm
σ (
σ (
σ (
σ (MPa)
)
)
)
ε (
ε (
ε (
ε (%)
)
)
)
10% 20% 280%
E
σ
σ
σ
σ y
Elasticité linéaire
Viscoélasticité
σ
σ
σ
σ r = σ
σ
σ
σm
ε
ε
ε
εr
Plasticité
ε
ε
ε
εy
Courbe de traction classique d’un matériau thermoplastique aux alentours de sa Tg.
 Comportement fragile
 apparition de la viscoélasticité
 plasticité
 Ecoulement visqueux
σ (
σ (
σ (
σ (MPa)
)
)
)
ε (
ε (
ε (
ε (%)
)
)
)
 Elasticité caoutchoutique (réversible)
10% 20% 300%
280%
Courbes schématiques de traction
59/73
 polymères orientés ou fibres
 polymères thermoplastiques ou thermodurcissables très en dessous de Tg
 polymères thermoplastiques au voisinage de Tg : rupture ductile après un
phénomène de déformation plastique très important : l’étirage
 Elastomère : rupture après un long palier d’élasticité caoutchoutique réversible
(TTg)
Le module d’Young est directement déduit de la loi de Hook σ = E ε mais cette relation
linéaire n'est valable qu'aux faibles déformation (zone élastique linéaire du matériau). E sera
donc déterminé par la pente à l’origine de la courbe σ=f(ε)
Déformation élastique : la déformation élastique est une déformation réversible : le
milieu retourne à son état initial lorsque l'on supprime les sollicitations.
L'élasticité linéaire concerne les petites déformations proportionnelles à la sollicitation. Dans
cette gamme, l'allongement est proportionnel à la force dans le cas d'un étirement. Aux plus
grandes déformations, l'élasticité devient non linéaire pour certains matériaux. Pour d'autres,
la fracture ou le fluage interviennent.
Déformation plastique : la déformation plastique est la déformation irréversible d'une
pièce ; elle se produit par un réarrangement de la position des atomes.
Lorsque que l'on sollicite une pièce, un objet (on le tire, on le comprime, on le tord...), celui-ci
commence par se déformer de manière réversible (déformation élastique), c'est-à-dire que ses
dimensions changent, mais il reprend sa forme initiale lorsque la sollicitation s'arrête. Certains
matériaux, dits « fragiles », cassent dans ce mode de déformation si la sollicitation est trop
forte. Pour les matériaux dits « ductiles », lorsque l'on augmente la sollicitation, on déforme
de manière définitive la pièce ; lorsque l'on arrête la sollicitation, la pièce reste déformée.
Ceci se produit par un glissement des plans atomiques les uns sur les autres, à la manière des
cartes à jouer d'un paquet. Ce glissement de plans atomiques se fait grâce au déplacement de
défauts linéaires appelés « dislocations ».
60/73
La déformation plastique permet la mise en forme de pièces (forgeage, martelage,
tréfilage, filage, laminage, estampage, emboutissage ...) Elle permet aussi d'absorber l'énergie
d'un choc et augmente la capacité de résistance à la rupture et la protection des personnes,
comme par exemple dans le cas de la tôle d'une voiture ou d'un mousqueton d'escalade.
La viscoélasticité :
L'essai de fluage ou de retard consiste à appliquer brutalement sur un matériau une
contrainte (σ) maintenue ensuite constante ( ! différent de vitesse constante pour tests de
traction) sur une durée suffisamment longue. La déformation (ε %) résultante est mesurée en
fonction du temps :
 un solide parfaitement élastique (hookéen) se déforme instantanément : la déformation
élastique est réversible et indépendante du temps.
 un fluide parfaitement visqueux (newtonien) se déforme progressivement et
linéairement en fonction du temps : la déformation visqueuse est irréversible.
Déformation plastique d’un matériau ductile
61/73
 un matériau macromoléculaire exhibe des propriétés mécaniques situées entre ces
deux cas idéaux, c'est pourquoi il est nommé viscoélastique : il possède une
composante élastique et une composante visqueuse.
Les polymères possèdent le plus souvent des combinaisons complexes d'effets
élastiques et visqueux, c'est-à-dire un comportement viscoélastique plus ou moins marqué.
Selon l'échelle de temps de l'essai, la composante élastique ou la composante visqueuse du
matériau sera prépondérante. En effet, pour une durée de sollicitation très courte, un polymère
amorphe linéaire adopte un comportement vitreux (élastique). En revanche, pour une durée
d'application de la contrainte très longue, il a un comportement visqueux avec possibilité
d'écoulement (Exemple : le Silly Putty=Slime).
Contrainte
temps
0 t
Déformation
0 t
0 t
0 t
Fluide visqueux idéal
Solide élastique idéal
Matériau
viscoélastique
Un échelon de contrainte est
appliqué pendant un temps t
contrainte supprimée
au temps t
Fluage
Recouvrance
Comportement en fluage des matériaux
62/73
La viscoélasticité correspond au comportement réel de la majorité des matériaux
polymères. Aux faibles déformations, ils ont un comportement principalement élastique.
Le fluage a pour origine le phénomène de glissement des chaînes macromoléculaires les unes
par rapport aux autres.
Les propriétés de fluage, de relaxation et de recouvrance sont les effets de l'application d'une
contrainte ou d'une déformation sur le long terme. Les mesures dynamiques (DMA)
correspondent à des temps de sollicitation plus courts.
Constantes mécaniques de matériaux à 25°C
Matériau E (MPa) σ
σ
σ
σy (MPA) σ
σ
σ
σm (MPa) Tg (°C)
Thermoplastiques ~1000 20-50 ~50
PE HD 700 25 40 -80
BD 200 10 20 -
PVC 2 500 45 - 81
PS 3 000 50 60 100
PMMA 3 400 60-110 110 105
PC 2 600 50 60 140
Thermodurcissables 3 000 30-100 30-120 100-220
Résine époxyde (EP) 3 000 30-100 30-120 100-220
Elastomères ~10 - ~30 ~-70
Polyisoprène 10 - 30 -73
Verre : silice 94 000 7 000 - -
Céramique : diamant 1 000 000 50 000 - -
Métaux : fer 200 000 50 200 -
I-2) Caractérisation mécanique dynamique
Un viscoanalyseur ou analyseur mécanique dynamique (AMD) fait partie de la famille
des appareils de DMA ou DMTA (sigle signifiant Dynamic Mechanical Thermal Analysis en
anglais). Cet instrument scientifique est dédié à l'étude et à la caractérisation des propriétés
mécaniques (vibratoires) d'un matériau généralement viscoélastique comme un polymère.
Il permet de déterminer en particulier :
63/73
• le module complexe d'Young (noté E*
) ou de Coulomb (G*
), en fonction
principalement de la température et de la fréquence d'excitation
• le facteur d'amortissement ou facteur de perte, tangente delta ( δ
tan ), en fonction de
la température et de la fréquence
• la température de transition vitreuse (Tg) qui dépend de la fréquence. Le
viscoanalyseur est l'appareil le plus sensible pour la détermination de la Tg.
Ces grandeurs physiques sont des caractéristiques intrinsèques d'un matériau. Lors
d'un essai mécanique dynamique, un échantillon subit une déformation oscillatoire. La
contrainte résultante de l'échantillon est mesurée. Contrairement aux métaux et aux matériaux
structuraux rigides, les polymères thermoplastiques et les élastomères présentent des modules
d'élasticité et des facteurs de perte qui varient fortement avec la température et la fréquence.
Par ailleurs, ces propriétés dynamiques dépendent fortement de leur composition et du
procédé de fabrication. La technique DMA permet de caractériser finement un échantillon de
matériau viscoélastique. Le caractère viscoélastique d'un polymère, lié à sa phase amorphe, se
révèle dans la zone de transition, au voisinage de sa Tg.
Le DMA utilise le type de vibration forcée hors résonance. Il applique un déplacement
oscillatoire (d'amplitude D) à un échantillon du matériau (seul) à analyser. La force
dynamique (d'amplitude F) résultante transmise par celui-ci est mesurée. Ceci est l'application
de la notion de contrainte-déformation rencontrée en sciences des matériaux. Notons que les
principes en viscoélasticité linéaire ne sont applicables qu'aux faibles niveaux de déformation
de l'échantillon.
La méthode de vibration forcée hors résonance utilisant un signal sinusoïdal en
cisaillement ou en compression est généralement préférée pour l'obtention de données en
ingénierie.
Grâce aux capteurs, l'analyseur viscoélastique dynamique (DMA) mesure
principalement deux grandeurs dynamiques : le déplacement et la force. Le logiciel de
pilotage propose deux possibilités, déplacement (proportionnel à un taux de déformation)
imposé ou l'inverse, à force imposée de mesurer le déplacement nécessaire.
Les mesures sont réalisées sur des rampes (mode « cinétique ») ou sur des paliers (mode
stabilisé) de température.
Le déphasage entre les signaux d'entrée sinusoïdaux d'excitation et les signaux de
sortie (eux aussi sinusoïdaux et de même fréquence dans le domaine linéaire, mais
64/73
d'amplitude différente) est donné par l'angle de phase δ. Le déphasage est lié aux propriétés
viscoélastiques du matériau. L'angle δ est calculé à partir du traitement de ces signaux selon
une transformée de Fourier rapide (notée FFT).
Le signal de déformation (reliée au déplacement) de fréquence f provenant du pot
vibrant est de la forme :
)
sin(
)
( 0 t
t ω
ε
ε =
avec : 0
ε , l'amplitude du cycle de déformation
f
π
ω 2
= , la pulsation en rad/s et t, le temps.
Le signal de contrainte (reliée à la force) restitué par un matériau viscoélastique est déphasé et
de la forme :
)
sin(
)
( 0 δ
ω
σ
σ +
= t
t
avec : 0
σ , l'amplitude du cycle de contrainte.
Le facteur de perte du matériau est égal à la tangente de l'angle δ .Connaissant les
dimensions de l'éprouvette, il est possible de calculer les modules du matériau. La
température Tg est déterminée à partir des valeurs du facteur d'amortissement.
L'évolution des caractéristiques intrinsèques sera étudiée en réalisant typiquement un
balayage thermique et/ou fréquentiel. Un essai complet comprenant un balayage en fréquence
à plusieurs températures peut durer plusieurs heures. Le principe d'équivalence température-
temps peut être utilisé pour corréler les propriétés du matériau pour toutes les températures et
fréquences mesurées.
Le module de conservation E’
Le module de conservation E’ représente la rigidité et la composante élastique du
matériau. Pour un matériau purement élastique, l'énergie mécanique de la contrainte est
intégralement restituée. L'élasticité traduit la capacité d'un matériau à restituer (réversibilité)
l'énergie mécanique qui l'a déformé.
Le module de perte E’’
65/73
Il représente la composante visqueuse du matériau. La viscosité traduit sa capacité à
dissiper l'énergie mécanique (irréversiblement perdue sous forme de chaleur). Ce phénomène
est associé à la friction des chaînes de molécules et à leur écoulement.
Le module d’Young Complexe E*
Par analogie avec la mécanique, un système comprenant un ressort idéal (de constante
ξ ) et un amortisseur idéal (de constante η ) disposés en parallèle peut être utilisé pour
modéliser le comportement viscoélastique d'un matériau. Ce système élémentaire est le
modèle de Kelvin-Voigt. Sa réponse à l'excitation )
exp(
)
( 0 t
i
t ω
ε
ε = est régie par l'équation
différentielle :
ε
η
ξε
σ 
+
=
)
(t avec ε
 = vitesse de déformation
Le ressort représente la composante énergique ou élastique de la réponse du modèle
tandis que l'amortisseur (constitué d'un piston se mouvant dans un cylindre rempli d'un liquide
visqueux) représente la composante visqueuse de la réponse.
Les constantes caractéristiquesξ etη font respectivement référence au module
d'élasticité et à la viscosité du matériau. L'équation peut être appliquée à la contrainte
normale, σ, d'un matériau.
Un tel modèle présente un temps caractéristique relié aux constantes selon :
ξ
η
=
r
t en s.
Il est désigné par temps de réponse du modèle ou temps de relaxation.
Le temps de relaxation d'un polymère est lié à la masse molaire, à la distribution des masses
molaires et à la ramification.
Représentation schématique d'une cellule de Kelvin-Voigt.
66/73
Le module dynamique peut être exprimé sous forme complexe selon :
ηω
ξ
ω i
E +
=
)
(
*
Les composantes réelle et imaginaire de ce module sont respectivement :
ξ
ω =
′ )
(
E
ηω
ω =
′
′ )
(
E
Ce modèle ne prédit pas de manière satisfaisante la relaxation de contrainte. Le
modèle rhéologique de Maxwell comprend un ressort et un amortisseur disposés en série.
Les matériaux ont des comportements bien plus complexes que ces deux modèles. Il existe
d'autres modèles viscoélastiques plus performants, mais de complexité mathématique
supérieure.
En fait, les deux constantes de proportionnalité ξ et η précédemment décrites varient
avec la fréquence, ce qui limite l'efficacité d'un modèle aussi simple. Une approche plus
générale consiste à représenter le module complexe selon :
E
i
E
E ′
′
+
′
=
*
où *
E est la somme vectorielle d'une composante élastique (en phase avec la contrainte) E′ et
d'une composante amortissante visqueuse (en quadrature de phase) E ′
′ .
Représentation de diverses propriétés mécaniques dynamiques dans le plan complexe.
Le module dynamique E* est une grandeur complexe car un amortissement est présent, en
effet :
)
tan
1
(
*
δ
i
E
E +
′
=
Le module E* représente la relation entre la contrainte et la déformation dynamiques, selon :
)
exp(
0
0
*
δ
ε
σ
i
E =
δ
ε
σ
δ cos
cos
0
0
*
=
=
′ E
E
Module élastique
Module
visqueux
E′
E ′
′
*
E
67/73
δ
ε
σ
δ sin
sin
0
0
*
=
=
′
′ E
E
Grandeur |E| du module complexe E*
La grandeur réelle |E| est égale au module (au sens mathématique) du nombre complexe E*
:
0
0
2
2
)
,
(
ε
σ
ω =
′
′
+
′
= E
E
T
E (en Pa).
Le facteur d’amortissement ou de perte tan δ
δ
δ
δ
Le facteur de perte (loss factor) en traction est égal à :
E
E
T
′
′
′
=
= δ
ω
η tan
)
,
( (sans unité ou exprimé en %).
Il mesure l'amortissement durant la déformation dynamique, soit la capacité du corps
viscoélastique à dissiper l'énergie mécanique en chaleur. Plus l'angle de phase est élevé, plus
l'amortissement des vibrations (vibration damping) est important.
Remarques :
- l'amortissement ne peut en général être déduit de simples mesures statiques
- Le facteur d'amortissement est une mesure du rapport de l'énergie dissipée par
amortissement à l'énergie élastique conservée puis restituée durant un cycle de
déformation sinusoïdale.
- Les matériaux caoutchoutiques sont bien connus pour leur faculté d'amortissement de
vibrations. Exemple : pour un caoutchouc de haute masse molaire partiellement
vulcanisé, nous relevons à 40 Hz : Tg = 60°C ; η = 1 et E' = 200 MPa à 60°C.
À l'opposé, le facteur d'amortissement des métaux est très faible : au plus 10-3
pour
l'acier.
Détermination de la Tg : La valeur de la Tg est déterminée en traçant la courbe à
isofréquence tanδ= f (T). La température à laquelle la valeur du facteur de perte est maximale
est appelée température de transition vitreuse : Tg ou Tv.
Remarques :
- la valeur de la température de transition vitreuse d'un polymère augmente avec la
fréquence d'excitation
- la valeur de la Tg dépend de multiples facteurs physico-chimiques
- de très nombreuses propriétés physiques subissent une variation à la Tg ;
68/73
III) Analyse thermique : l’analyse enthalpique différentielle (DSC):
Cette technique sert à étudier les transitions thermiques d'un polymère. La fonte d'un
polymère cristallin ou la transition vitreuse en sont des exemples.
Il y a deux récipients ou capsules scellées. Dans l’un des deux, le récipient témoin, on
dispose l’échantillon de polymère. L’autre, laissé vide, est le récipient de référence. Les deux
récipients se trouvent dans un four qui permet de monter régulièrement en température
(10°c/min par exemple). Chaque récipient contient un thermocouple relié à un ordinateur.
L'ordinateur fait la différence entre la température de l'échantillon et celle de référence, et les
convertit en flux de chaleur.
69/73
Pourquoi les deux récipients n'auraient-ils pas la même température? C’est simple : ils sont
différents! L’un contient le polymère et l’autre pas...
L’échantillon de polymère représente de la matière supplémentaire dans le récipient
témoin par rapport au récipient de référence. La présence de cette matière supplémentaire et
son inertie thermique (plus y'a de matière, plus il faut de temps pour que tout soit chaud!)
font que le récipient témoin ne sera pas à la même température que le récipient de référence.
Mesurer la quantité de chaleur supplémentaire à fournir au récipient témoin est ce que nous
mesurons lors d’une manipulation DSC.
Sur l'axe des abscisses nous traçons la température (du four). Sur l'axe des ordonnées
nous traçons la différence de chaleur entre les deux récipients, témoin et référence.
La capacité de chaleur :
Quand nous commencerons à chauffer nos deux récipients, l'ordinateur tracera la
différence entre les chaleurs des deux récipients en fonction de la température. C'est-à-dire,
nous tracerons la chaleur absorbée par le polymère en fonction de la température.
La courbe ressemblera à ceci :
Le flux de chaleur à une température donnée est plein de renseignements. Il va être donné
en unités de chaleur q par unité de temps t. La vitesse de chauffage est l'augmentation T de la
température par unité de temps t.
Divisons maintenant le flux de chaleur q/t par la cadence de chauffage T/t. Nous obtenons la
chaleur supplémentaire fournie, divisée par l'augmentation de la température.
70/73
Rappelez-vous de la transition vitreuse : quand vous donnez une certaine quantité de chaleur à
un élément, sa température montera d’une certaine quantité, et cette quantité de chaleur
qu’utilise l’élément pour obtenir une telle augmentation de température s'appelle la capacité
de chaleur, ou le Cp.
Nous obtenons la capacité de chaleur en divisant la chaleur fournie par l'augmentation
résultante de température. Et c'est tout simplement ce que nous avons fait dans l’équation
présentée plus haut. Nous avons trouvé la capacité de chaleur à partir de la courbe de DSC.
La température de transition vitreuse :
Bien sûr, la DSC peut nous en apprendre beaucoup plus sur un polymère que sa capacité de
chaleur. Regardons ce qui se produit lorsque nous chauffons le polymère un petit peu plus....
Après une certaine température, notre tracé se décalera soudainement vers le bas, comme ceci:
Cela signifie que le flux de chaleur augmente, et que la capacité de chaleur de notre polymère
augmente.
Ceci se produit parce que le polymère vient juste de passer par la phase de transition vitreuse.
Et comme vous le savez, les polymères ont une capacité de chaleur plus élevée au-dessus de
la température de transition vitreuse.
Grâce à ce changement de capacité de chaleur ayant lieu à la transition vitreuse, nous pouvons
utiliser la DSC pour mesurer la température de transition vitreuse d'un polymère.
71/73
Vous aurez remarqué que le changement ne se produit pas instantanément, mais a lieu sur une
plage de températures. Cela rend la détermination exacte de Tg plutôt difficile, mais nous
utilisons la méthode bien connue des tangentes pour déterminer Tg, (voir le dessin).
La Cristallisation
Au-dessus de la transition vitreuse, les polymères sont très mobiles. Quand les polymères
atteignent la bonne température, ils ont gagné assez d'énergie pour entrer dans des
arrangements très ordonnés que nous appelons des cristaux.
Quand les polymères se transforment en ces arrangements cristallins, ils expulsent de la
chaleur (exothermique), que le thermocouple du récipient témoin peut mesurer.
Cette augmentation du flux de chaleur se voit très bien sur la courbe du flux de chaleur en
fonction de la température.
La température au point le plus haut est appelée Température de cristallisation du polymère :
Tc. I est également possible de mesurer l’aire du  pic , qui est la valeur de la chaleur latente
de cristallisation du polymère. Mais n’oublions pas le plus important, cette hausse nous
indique que le polymère peut cristalliser. Si vous analysiez un polymère 100% amorphe,
comme le polystyrène atactique, vous n'obtiendriez pas de hausse sur la courbe, parce que de
tels matériaux ne cristallisent pas. En outre, parce que le polymère dégage la chaleur quand il
se cristallise, nous appelons la cristallisation une transition exothermique.
La fusion
La chaleur peut permettre à des cristaux de se former dans un polymère, mais trop de
chaleur peut conduire à leur démantèlement. Si nous continuons à chauffer notre polymère
après son point de cristallisation Tc, nous atteindrons peut être une autre transition thermique
appelée fusion. Quand nous atteignons la température de fusion du polymère Tf, ces cristaux
de polymère commencent à s’écrouler, c’est qu’ils fusionnent. Les chaînes de molécules
72/73
sortent de leurs arrangements ordonnés, et commencent à bouger librement. Et au cas où vous
vous posiez la question, il est possible de le voir sur une courbe DSC.
Vous souvenez vous de cette chaleur que le polymère a dégagée quand il s'est cristallisé? Et
bien, quand on atteint la température Tf, il est grand temps de reprendre ce qui a été donné.
Il existe une chaleur latente de fusion aussi bien qu'une chaleur latente de cristallisation.
Quand les cristaux de polymère fondent, ils ont besoin d’absorber de la chaleur
(endothermique). Gardez en mémoire que la fusion est une transformation du premier ordre.
Cela signifie que lorsque l’on atteint la température de fusion, la température du polymère ne
s'élèvera pas tant que tous les cristaux n’auront pas fondus. Cette absorption de chaleur
pendant la fusion (baisse de température au niveau du thermocouple du récipient témoin)
apparaît sous la forme d’un grand creux sur notre courbe de DSC.
Ainsi, nous pouvons mesurer la chaleur latente de fusion en mesurant l’aire de cette crête. La
température la plus basse du creux est appelée température de fonte du polymère, Tf. Puisque
nous devons donner de l'énergie au polymère pour le faire fondre, la fusion est une transition
endothermique.
Synthèse: Essayons de rassembler tout ça...
Une courbe de DSC ressemble donc généralement à cela (ici, celle du P.E.T):
Les courbes de DSC ne comportent pas toutes ces 3 étapes.
Le pic de cristallisation et le creux de fusion apparaîtront seulement pour les polymères qui
peuvent former des cristaux. Les polymères complètement amorphes ne montreront ni
cristallisation ni fusion. Mais les polymères à la fois cristallins et amorphes passeront par les
trois étapes décrites plus haut. Pour la transition vitreuse, il n’y a ni crête ni creux. C'est parce
qu'il n'y a aucune chaleur latente dégagée, ou absorbée par le polymère. La seule chose que
nous voyons à la température de transition vitreuse est un changement de la capacité de
chaleur du polymère. Puisqu'il y a changement de celle-ci, mais qu’il n'y a aucune chaleur
73/73
latente impliquée, la transition vitreuse est appelée transformation du second ordre. Les
transitions comme la fusion et la cristallisation, qui ont des chaleurs latentes, sont des
transformations du premier ordre.
Courbe DSC du PET.

CHIMIEDEPOLYMERERESINEETAUTRES-131109050642-PHPAPP01.pdf

  • 1.
    1/73 I) Historique a) Lascience des polymères Le mot polymère vient du grec « polus » plusieurs, et « meros » partie. Un polymère est une macromolécule, organique ou inorganique, constituée de l'enchaînement répété d'un même motif, le monomère (du grec monos: un seul ou une seule, et meros ; partie), reliés les uns aux autres par des liaisons covalentes. Les travaux de Staudinger dans les années 1920 constituent la base de la science des polymères (Nobel en 1953) ou macromolécules. Flory énoncera plus tard les principes fondamentaux sur les polymères (Nobel 1974). b) L’industrie des matières plastiques « Les matières plastiques » : Les matières plastiques sont des matériaux organiques de synthèse fondés sur l'emploi des macromolécules (polymères). Les caoutchoucs sont aussi regroupés sous cette appellation. Matière plastique = résine de base + adjuvants + additifs Cas du caoutchouc : vers 1839 l’Anglais Thomas Hancock et l’Américain Charles Goodyear découvrent le procédé de vulcanisation du caoutchouc en chauffant du caoutchouc naturel en présence de souffre. Le procédé industriel sera développé à partir de 1850. En dehors du caoutchouc, les premières matières plastiques sont apparues à la fin du XIXème siècle et existaient plutôt à l’échelle artisanale qu’industrielle. Parmi ces matériaux, on peut citer ceux d’origine naturelle comme le Celluloïd® (toute première matière plastique, 1870) ou le nitrate de cellulose (coton-poudre ou fulmicoton, produit inflamable utilisé dans les canons). la Galalith® , littéralement « pierre de lait », obtenue à partir de la caséine du lait, et utilisée en remplacement de la corne et de l’écaille dans la fabrication de peignes, de boutons... On trouve des brevets de fabrication de colle à base de caséine dès 1873 et déjà utilisée dans l’ancienne égypte. De façon générale, les protéines peuvent être considérés comme des polymères naturels, car constituées d’enchaînement d’acides aminés. Feretti invente le Lannital® ou fibre de lait (Brevet Feretti, 1935). Les polymères Poupée en Celluloïd Objets en galalith
  • 2.
    2/73 Le véritable essortde la chimie des matières plastique se fait à partie de 1920 par l’exploitation des résines formo-phénoliques (1909 , Baekeland = Belge). C’est la naissance de la Bakélite® . Il s’agit du premier polymère thermodurcissable entièrement synthétique et ouvre la voie aux résines à base de phénol. De 1920 à 1940 se développent les résines « phénol/formol » ; l’acétate de cellulose remplace le celluloïd trop inflammable dans des applications type films photo ou cinématographique. Les premières matières thermoplastiques sont produites en grande quantité. Petite histoire du nylon : Wallace Hume Carothers (27 avril 1896 - 29 avril 1937) était un chimiste américain à la compagnie DuPont. En 1935, il synthétise le nylon. Le nylon a été breveté (en fait trois brevets U.S. Patents 2130523, 2130947 et 2130948 du 20 sept. 1938), mais le terme nylon n'est pas une marque déposée, il n'a donc pas à s'écrire avec une capitale initiale. DuPont a ainsi choisi de permettre au mot de devenir synonyme de bas (nylon) ; en 1992 la société dépose sa marque déposée pour le nylon sous le terme tactel. La découverte fut pour la première fois commercialisée en 1938 avec un premier produit, une brosse à dent dont les poils étaient en nylon sorti la même année. En 1940 sortait un produit qui allait marquer l'histoire du nylon, les bas pour femme. En 1941, pour l'entrée en guerre des USA , le matériau utilisé pour les toiles dparachutes fut affublé de la phrase Now You Lousy Old Nippons (« À vous maintenant, vieux Japonais dégueulasses ! ») ou encore Now You've Lost Old Nippons (« Vous avez maintenant perdu vieux Japonais ! »). Il circule de nombreuses étymologies sur l'origine du mot nylon comme celles affirmant que le nylon provient de NY (New York) et LON (London), ou encore du prénom des épouses des inventeurs. Son inventeur, Wallace Carothers, s'étant suicidé avant de donner un nom commercial à son polyamide 66 (suite à une dépression consécutive au décès de sa soeur) , il revint à un comité de trois membres de chez DuPont de faire le choix en 1938. Un des membres Dr. E.K.Gladding proposa "Norun" (pour no run soit ne s'effile pas), et changea aussitôt en "Nuron" pour éviter une publicité mensongère, tout en rimant ainsi avec Rayon ou coton, qui fut finalement déformé en nylon pour avoir un acronyme prononcé de la même façon pour les américains et les anglais. Cette version officielle de DuPont, voir aussi leur publication (Context, vol. 7, no. 2, 1978), fut aussitôt pervertie par quelques plaisantins en Now You Lose Old Nippon ou Now You Lousy Old Nippon, avec un succès tel que DuPont a commissionné en 1941 un journal japonais pour y démentir cette étymologie raciste. Baekeland
  • 3.
    3/73 II) Organisation d’unemacromolécule a) Définition d’un polymère : Un polymère est une macromolécule, organique ou inorganique, constituée de l'enchaînement répété d'un même motif, le monomère (du grec monos: un seul ou une seule, et meros : partie), reliés les uns aux autres par des liaisons covalentes. Dans la macromolécule suivante .....A-A-A-A-A-A-A..... = [-A-]n l’unité constitutive est A ; elle est formée d’un groupe d’atomes qui se répète. A l’échelle moléculaire, quelques centaines de nm, la plupart des macromolécules se présentent sous forme de « fils long et souples ». Les réaction chimiques permettant de passer d’un monomère A à la macromolécule [-A-]n s’appellent polymérisation. Ainsi, l’éthylène CH2=CH2 (monomère) conduit par polymérisation par ouverture de la double liaison au polyéthylène (polymère) [-CH2-CH2-]n. La macromolécule peut comporter jusqu’à 50 000 atomes de carbone, et pour de nombreux polymères commerciaux la masse molaire peut atteindre 1 000 000 g.mol-1 . Certaines macromolécules deviennent ainsi visibles à l’oeil nu (matériaux réticulés par exemple). La synthèse d’un polymère peut être assimilé à un jeu de construction dans lequel on dispose de pièces élémentaires mono, difonctionnelles ou de fonctionnalité strictement supérieure à 2. On appelle fonctionnalité le nombre de liaisons que la pièce est capable d’établir avec une autre pièce. Quand les motifs associés sont identiques, on parle d’homopolymère. Sinon, ce sont des copolymères : bipolymères, terpolymères sont les plus communs. b) Polymères organiques : Nous parlerons ici uniquement des polymère organiques, c’est à dire ceux réalisés à partir de monomères composés d’atomes utilisés en chimie organique : C, H, O, et N principalement ainsi que d’autres éléments comme les halogènes (F, Cl, Br, I) ou le souffre, le phosphore...Il existe d’autre polymères ou l’atome de carbone est remplacé par Si (silicones). Pièces mono (m), di (d), tri (t) et tétra (q) fonctionnelles (m) (d) (t) (q)
  • 4.
    4/73 Petite molécule Chaîne linéaire -squelette carbonné de la chaîne principale - extrémités Polymère ramifié - ramifications - chaîne principale - extrémités Polymère tridimensionnel - réseau - pontages - noeuds de réticulation Exemples de copolymères constitués de 2 types de comonomères
  • 5.
    5/73 Formule développée du motifmonomère Appellation courante et abréviation normalisée Noms commerciaux Applications CH2 CH2 Polyéthylène (PE) Lactène, Hostalen, Dowlex Sacs plastique (PEHD/PEBD) Réservoirs de voitures, bouteilles, flacons, bidons, films d’emballage, minidoses CH2 CH CH3 Polypropylène (PP) Appryl, Novolen Films d’emballage alimentaire, bouteilles rigides, intérieur de lave vaisselle, cordes et ficelles CH2 CH Cl Polychlorure de vinyle (PVC) Lacovyl, Vinidur, Vinnolit Tuyauterie, pots de margarine, blisters, bouteilles d’eau minérale, barrières extérieures, films d’emballage alimentaire CH2 CH Polystyrène (PS) Lacqrène, Novodur, Styrol PS : emballages, pots de yaourt, armoire de toilette, cassettes audio, brosses à dents. PS expansé : emballage, boites à oeufs, isolants CH2 C C O O CH3 CH3 Polyméthacrylate de méthyle (PMMA) Plexiglas, Altuglas, Lucryl... Plaques pour vitres, globes, feux arrière de voiture, lentilles d’appareils photo CF2 CF2 Polytétrafluoroéthylène (PTFE) Téflon, Hostaflon Tuyaux, joints et raccords. Robinet et vannes pour matériel de laboratoire, revêtements anti-adhérents
  • 6.
    6/73 Cordages en PP Sacsen PEHD Bouteilles en PEHD Boites en PE Cuillères en PS Articles en PVC PMMA et mobilier en PMMA Protections en PP Tubes en PTFE Poêle recouverte de PTFE (téflon)
  • 7.
    7/73 c) Architecture moléculaireet propriétés des polymères Propriétés mécaniques : En général, les polymères formés à partir de chaînes linéaires non réticulées et flexibles sont souples (à certaines températures) tandis que les polymères très réticulés, formant un réseau tridimensionnel sont plus rigides. Les premiers donnent lieu à des polymères thermoplastiques, les seconds à des polymères thermodurcissables. Thermoplastique : se ramollit lorsqu’on la chauffe au dessus d’une certaine température, mais qui redevient solide en dessous. Cette matière conserve de façon réversible sa thermoplasticité initiale. Exemple : PE, PVC, PP.... Thermodurcissable : commence par se ramollir (si pas déjà mou) sous l’action de la chaleur puis se durcit progressivement pour atteindre un état solide qu’elle conservera sous forme irréversible. Exemple : résines phénol/formol ; bakélite, galalith... Elastomères : ce sont des matériaux amorphes, mais avec quelques pontages entre les chaînes macromoléculaires linéaires, ces liaisons sont assurées par des atomes C, S ou O. La réaction permettant d’établir ces liaisons covalentes est la vulcanisation. Cette opération confère aux élastomères une structure tridimensionnelle très souple et très déformable, car le taux de réticulation est faible. Au delà de leur Tg, les caoutchoucs ont une grande capacité de déformation réversible qui eut dépaser 1000%. Les pontages assurent la mémoire de l’état initial. Propriétés physiques : comme on le verra ultérieurement, la densité, Tf, Tg sont modifiées par l’architecture moléculaire. De façon intuitive, on comprend par exemple que la densité diminue avec la ramification des molécules en augmentant l’espace entre les chaînes principales. Ainsi le PE linéaire non ramifié présente une haute densité (PEHD) et donc un point de fusion 20°C plus élevé que le PE ramifié basse densité (PEBD). d) Structure supramoléculaire : Les macromolécules sont organisées de façon spaciale : compacité et ordre de « l’empaquetage » des chaînes, orientation, enchevêtrements...
  • 8.
    8/73 III) Enchaînement desunités constitutives (mères) a) Les homopolymères : [-A-]n, n unités constitutives liées entre elles par des liaisons covalentes. ....A-A-A-A-A-A..... Exemple du PVC. (CH2-CHCl)n Il peut donner lieu à des enchaînements réguliers (tête à queue) ou irréguliers (tête à tête ou queue à queue) « tête à queue » : ...CH2-CHCl-CH2-CHCl... « queue à queue » : ...CH2-CHCl-CHCl-CH2... b) Les copolymères : les polymères sont constitués de deux (ou plus) unités constitutives nommées A, B, C etc.... -copolymères statistiques (statistical copolymers) : A et B se répartissent en suivant une statistique. Les copolymères désordonnés (Random) font partie de cette famille. -A-A-B-A-B-A-B-B-B-A-A-B- -copolymères alternés (alternating copolymers) : Les deux motifs alternent régulièrement -A-B-A-B-A-B-A- Amorphe isotrope Amorphe orienté Cristal Semi-cristallin
  • 9.
    9/73 -copolymères séquencés linéairesou copolymères à bloc (block copolymers) : Chaque unité constitutive est répétée plusieurs fois de suite pour former de longues séquences -A-A-A-A-A-B-B-B-B-B-B : dibloc [AB] -A-A-A-A-A-B-B-B-B-B-B-A-A-A : tribloc [ABA] -copolymères séquencés et greffés (graft copolymers) : Exemple le plus simple : une chaîne d’un homopolymère principal, sur lequel des chaînes secondaires d’un autre polymère sont greffées B-B-B-B-B-B-B-B-B B A-A-A-A-A-A-A-A-A-A-A-A-A-A-A-A-A-A-A-A-A-A-A-A-A-A B B-B-B-B-B-B-B IV) Isomérie de configuration a) Tacticité : La tacticité ne concerne que les molécules asymétriques ; il s’agit de molécules de même formule chimique dont l’arrangement des radicaux monovalents R le long du squelette de la molécule est différent d’une chaîne à l’autre. Prenons le cas de l’éthylène et du PE sur lequel on a greffé un radical R à la place d’un atome d’hydrogène. R peut être un atome de Cl, F ou un groupe CH3 ou C6H5. Le groupement R rend le monomère asymétrique ; Il y a plusieurs façons de le lier sur le squelette de la chaine –CH2-CH2-n : - les radicaux R sont tous du même côté du plan : on a un polymère linéaire isotactique Polypropylène isoactique
  • 10.
    10/73 - les radicauxR sont situés alternativement de part et d’autre du plan : le polymère est linéaire syndiotactique. - les radicaux R sont fixés au hasard, de façon aléatoire : le polymère est linéaire atactique La perfection de la stéréorégularité des polymères synthétiques n'existe pas ; on observe seulement une tendance plus ou moins grande à un type de régularité stérique. Conséquences sur les propriétés des polymères : - l’encombrement des groupes R gouverne la mobilité des chaînes moléculaires, son inflence est importante sur les propriétés thermomécaniques. - Les molécules régulières peuvent se ranger côte à côte pour former des structures cristallines : augmentation de Tf - les molécules atactiques donnent des matériaux amorphes et peu denses b) Isomérie cis-trans : Certaines polymérisations, comme celle des diènes conjugués, [le butadiène-1,4 –CH2=CH-CH=CH2- en particulier] peuvent donner lieu au maintien de doubles liaisons dans le squelette macromoléculaire. polybutadiène polymérisé en 1-4 La rigidité des groupements éthyléniques –CH=CH- fixe l'orientation relative de leurs deux substituants macromoléculaires qui peuvent être : • soit en positions cis : • soit en position trans : PVC Syndiotactique
  • 11.
    11/73 Lorsqu'il y arépétition régulière de l'un ou de l'autre type de structure, il y a régularité configurationnelle, donc polymère stéréorégulier. Un changement de configuration nécessite la rupture de deux liaisons covalentes et l'on peut admettre que la structure configurationnelle d'une macromolécule ne peut changer sans qu'il y ait destruction du squelette macromoléculaire. V) Dimensions et masses des macromolécules a) moyenne en nombre La masse molaire M d'une macromolécule est égale au produit de la masse M0 du motif élémentaire par le degré de polymérisation DP : M = M0 DP Lorsque l'échantillon polymère est polymoléculaire, on le caractérise par son degré de polymérisation moyen en nombre n DP , égal au rapport du nombre de motifs élémentaires au nombre total de macromolécules de toutes tailles, contenues dans cet échantillon. S'il existe i espèces de macromolécules, chacune est caractérisée par : • son degré de polymérisation DPi ; • sa masse molaire M0 DPi ; • Le nombre Ni de macromolécules qui le constituent Le degré de polymérisation moyen en nombre est défini comme la moyenne en nombre des degrés de polymérisation de chaque espèce de macromolécules qui le constituent. Le caoutchouc naturel extrait du latex de l'hévéa est le polyisoprène, l’isoprène étant le 2- méthylbutadiène Le motif du caoutchouc naturel correspond à un enchaînement 1,4-cis de l'isoprène : La polymérisation du 2-méthylbutadiène peut aussi se faire par enchaînement 1,4-cis en utilisant du lithium métal finement divisé ou des catalyseurs de type Ziegler (tétrachlorure de titane et trialkylaluminium). Le trans 1,4-polyisoprène appelé gutta-percha a, lui, des propriétés différentes du caoutchouc naturel (plus dur et cassant). Ce gutta-percha est un latex naturel obtenu à partir d'arbres de l'espèce Palaquium gutta, et possède du fait de son enchaînement trans, une structure semi-cristalline.
  • 12.
    12/73 La masse molairemoyenne en nombre est également la moyenne en nombre des masses Mi de chaque espèce i et se déduit du n DP par : On peut également définir la masse molaire moyenne en nombre à partir des fractions massiques wi de chaque espèce i présente dans le polymère : Dans le cas des copolymères, le degré de polymérisation reste défini, mais la différence de masse des motifs structuraux ne permet pas de relier de façon simple le degré de polymérisation et la masse moyenne du polymère. Dans ce cas, seule la masse demeure accessible à l'expérience. b) Moyenne en poids Un raisonnement analogue peut s'appliquer non plus au nombre Ni , mais au poids pi de l'espèce i . Le degré de polymérisation moyen en poids w DP se définit alors comme la somme des degrés de polymérisation de chaque espèce i, affectés d'un coefficient égal au rapport du poids de l'espèce i au poids total du polymère : La masse molaire moyenne en poids est également la moyenne en poids des masses Mi de chaque espèce i et se déduit du w DP par : On peut également définir la masse molaire moyenne en poids à partir des fractions massiques wi de chaque espèce i présente dans le polymère : ∑ ∑ = = i i i i i n N DP N ules macromoléc de nombre motifs de nombre DP ∑ ∑ = ∑ ∑ = = i i i i i i i i i i n n N M N N M DP N DP M M 0 0 ∑ ∑ = = i i i i i w p DP p ules macromoléc de poids i motifs de poids DP ∑ ∑ = ∑           ∑ = = i i i i i i i i i i i w w M N M N p p M DP M M 2 0
  • 13.
    13/73 c) Masse moyenned’ordre Z De l’allemand « Zentrifuge » car obtenu par des méthode de mesure particulières comme la centrifugation. La distribution radiale des molécules résulte de l’équilibre entre la sédimentation et la diffusion et donc dépend de M. Cette moyenne d'ordre supérieur appelée masse molaire moyenne en z Z M est donée par : On peut définir sur cette base des moyennes d’ordre supérieur (masse molaire moyenne en z+1...) comme 1 + Z M . Résumé sous forme d’un tableau : Formule générale valeur de α α α α Masse moyenne Méthode de détermination 1 n M Osmométrie – Dosage 2 w M Diffusion de la lumière ∑ ∑ = −1 α α α i i i i M N M N M 3 z M Ultracenrifugation d) Indice de polymolécularité L’indice de polymolécularité (parfois mal nommé polydispersité) Ip d’un polymère est le rapport w M / n M . Il caractérise la dispersion de la masse molaire du polymère. Les masses molaires moyennes définies précédemment égales dans le cas d'une substance isomoléculaire, s'écartent d'autant plus que l'hétérogénéité du polymère est grande tout en restant dans l'ordre suivant : n M < w M < z M < 1 + z M La valeur de n M est très influencée par les faibles masses Mi tandis que w M et, a fortiori z M et 1 + z M sont dépendantes de la quantité relative de fortes masses Mi. n w M M Ip = Cet indice égal à l'unité pour un polymère théorique isomoléculaire, varie de 1,01 pour des polymères de distribution très étroite (polymérisation anionique vivante) à 2 pour des polymères classiques (polymérisations cationique et radicalaire, polycondensation) et jusqu'à
  • 14.
    14/73 30 ou 50pour des polymères dont la polymérisation a lieu avec beaucoup de réactions de transfert. VI) Effet de la température sur l’état structural : Tg, Tf, Td Lorsque la température augmente, l’énergie thermique fournie aux molécules augmente leur mobilité : les rotations autour des liaisons C-C du squelette des chaînes sont plus aisées (changements de conformations). Le nombre de liaisons de faible intensité, Van der Waals, diminue quand la température augmente ce qui libère les mouvements moléculaires. Nous considèrerons que la température de transition vitreuse d'un matériau Tg, est la température en-dessous de laquelle les molécules ont une faible mobilité relative ou autrement dit, a la plus grande modification de la capacité de déformation. La température Tg est habituellement utilisée pour les phases totalement ou partiellement amorphes telles que les verres et les plastiques. Les polymères thermoplastiques (non-réticulés) sont complexes car, en plus de posséder une température de fusion, Tf, au-dessus de laquelle leur structure cristalline disparaît, de tels plastiques ont une seconde température, plus basse, Tg en-dessous de laquelle ils deviennent rigides et cassants, et peuvent fissurer ou se briser en éclats. Au- dessus de Tg, les liaisons secondaires (Van der Waals) non-covalentes entre les chaînes des polymères deviennent faibles en comparaison de l'agitation thermique, et le polymère devient souple et capable de se déformer élastiquement ou plastiquement sans rupture. Ce comportement est l'une des propriétés qui rendent la plupart des plastiques si utiles. Un tel comportement n'existe pas pour les plastiques thermodurcissables réticulés qui, une fois fabriqués, le sont de manière irréversible et se briseront en éclats plutôt que se déformer, sans jamais redevenir plastiques ni fondre en étant chauffés. a) État vitreux : T < Tg Dans une phase cristalline, les molécules sont rangées et alignées. Elles n’ont en revanche aucun ordre dans une phase vitreuse : elles forment des pelotes enchevêtrées. La mobilité des molécules de la phase vitreuse est d’autant plus faible que la température est basse. Ce qui confère à tous les polymères en général une bonne rigidité, une bonne résistance mécanique, et une faible capacité de déformation. b) État caoutchoutique : Tg < T < Tf ou Td Il est du à la phase amorphe et existe dans la quasi totalité des polymères. Il démarre généralement aux alentours de la température de transition vitreuse Tg et il est limité
  • 15.
    15/73 supérieurement par latempérature de fusion des zones cristallines si elles existent ou par la température e décomposition thermique Td. Dans cet état la phase cristalline n’évolue pas et sa structure reste identique a ce qu ‘elle était à T<Tg. La phase amorphe subit des changements : l’activation thermique provoque un déplacement des molécules, une rupture des liaisons de faibles énergies entre les molécules et une augmentation du volume du polymère. Il en résulte une grande facilité de mouvement des molécules. c) État fluide : Tf < T < Td Cet état ne concerne que les thermoplastiques. La phase cristalline n’existe plus car T>Tf , il n’y a plus qu’une phase amorphe. Toutes les molécules (celles provenant de la phase amorphe et celle provenant de la phase cristalline) forment des pelotes . Les noeuds d’enchevêtrement disparaissent par reptation, le matériau s’écoule comme un fluide. Le polymère est malléable : peu de résistance mécanique, peu rigide... d) Ce qui influence la Tg Structure à l’échelle moléculaire : - pour les polymères à squelette aliphatique : o liaisons de faible énergie, Tg augmente quand la polarité augmente o L’encombrement des groupes latéraux : Tg augmente avec la gêne stérique des groupements latéraux - pour les polymères à squelette aromatique, c’est le rapport plaques rigides/rotules qui joue le rôle principal. Tg augmente avec la rigidité de la chaîne. Structure à l’échelle macromoléculaire : - influence de la masse molaire pour les polymères linéaires - influence de la densité de réticulation pour les polymères tridimensionnels - copolymérisation TgA < TgAB < TgB - plastification : augmentation du volume libre P Po ol ly ym mè èr re e + + P Pl la as st ti if fi ia an nt t P Po ol ly ym mè èr re e p pl la as st ti if fi ié é
  • 16.
    16/73 Nom du polymèrePolymère Tg (K) Type de groupement affectant Tg CH2 CH2 n PE 193 CH2 CH2 n Polyphényléthylène 353 Groupement aromatique CH2 CH CH3 n PP 250 CH2 CH CH2 CH3 n Polybutène 249 CH2 CH CH2 CH2 n CH3 Polypentène 233 CH2 CH n PS 373 Groupes latéraux volumineux CH2 CH Cl n PVC 354 CH2 CH OH n Polyalcool de vinyle 358 CH2 CH C n N Polyacrylonitrile 370 Groupes polaires
  • 17.
    17/73 2 types deréactions de polymérisation : La polymérisation par étapes : les macromolécules formées par réactions par étape, entre les fonctions chimiques réactives portées par les molécules monomères ou polymères. Chaque molécule peut croître par réaction avec n’importe quelle autre molécule (mono, di, tri, tétra, etc –mère). La polymérisation en chaîne : un centre actif initial unique (ion, radical ou complexe organométallique) provenant d’un initiateur permet la formation dune chaîne de plymère. La chaîne ne peut croître que par réaction d’un monomère avec la fonction chimique réactive située à l’extrémité de la chaîne en croissance. I) La polymérisation par étapes Polymères formés par réactions successives entre 2 fonctions chimiques (X, Y,...) portées par des molécules comportant au moins 2 fonctions chimiques. Les réactions se produisent par simple chauffage ou en présence d’un catalyseur, elles s’arrêtent quand on refroidit le milieu actif ou lorsque l’un des réactifs initiaux est entièrement consommé. Exemples : polyesters, polyamides (nylon), polyuréthanes, résines époxydes, phénoplastes Polymérisations par étapes, 2 types : - polycondensation : élimination d’une petite molécule à chaque étape, comme une molécule d’eau - polyaddition : les monomères réagissent sans perte de molécules a) Synthèse de molécules linéaire par polymérisation par étapes de molécules bifonctionnelles (Thermoplastiques) 1) 2 monomères possédant chacun un type de fonction chimique (X, Y) X A X + Y B Y X A B Y + X Y monomère monomère dimère bifonctionnel dimère monomère trimère dimère dimère tétramère n-mère m-mère (n+m)-mère Synthèse des polymères
  • 18.
    18/73 Synthèse du nylonpar polycondensation (élimination d’une molécule d’eau). L’un des monomères possède 2 fonctions amine (-NH2), l’autre monomère contient 2 fonctions acide carboxylique (-CO2H) Synthèse de polyuréthane par polyaddition N CH2 6 N H H H H O H C O CH2 C O OH 4 n + n NH CH2 6 NH C O CH2 C O 4 n Diamine Diacide Polyamide 6,6 « nylon » liaison amide H2O N CH2 N C C O O CH2 2 O H OH NH CH2 NH C C O O CH2 2 O O n Diisocyanate Diol n + n Polyuréthane liaison uréthane
  • 19.
    19/73 Remarques sur lespolyuréthanes : - les polyols sont généralement de type polyéther ou polyester. Ils confèrent au PU sa souplesse. Triols=> réseau tridimensionnel. - les diisocyanates : Le toluène diisocyanate (TDI) est le plus utilisé. Le méthylène-bis-4-phénylisocyanate (MDI) est aussi très utilisé pour les mousses rigides. Ils composent les segments rigides des PU. Triisocyanates=> réseau tridimensionnel - les amines réagissent avec les isocyanates pour former des liaisons urée –R-N=C=O + R’-NH2 R-NH-CO-NH-R’ ce qui fait que les diamines permettent des extensions de chaînes ou des réticulations. - l’eau réagit avec les isocyanates pour former une amine et du CO2 (mousses expansées) –R-N=C=O + H2O R-NH2 + CO2 . L’amine réagit ensuite pour former l’urée correspondante (durcit la mousse). - expansion : ajout d’eau (ci-dessus) ou CFC avant mais problème de la couche d’ozone, maintenant n-pentane - Catalyseurs utilisés généralement : R3N, Sn2+
  • 20.
    20/73 Autres exemples depolycondensation : la polycondensation présente une grande importance industrielle : les qualité mécaniques sont accrues, même si les masses moléculaires sont généralement plus faibles qu’avec les autres techniques de polymérisation. Le polyester (Tergal® ) HO2C CO2H O H CH2 CH2 OH C C O H O O O CH2 CH2 O H n O H2 + + 2n-1 Le procédé industriel utilise la transestérification pour éliminer facilement MeOH et déplacer l’équilibre vers la formation du polymère. MeO2C CO2Me O H CH2 CH2 OH C C O O O CH2 CH2 O H n MeO MeOH + + 2n-1 Si l’alcool a une fonctionnalité supérieure à 3, on a réticulation (réseau 3D). C’est le cas des alkydes (peintures, ALCool+acID) Le polycarbonate (Makrolon® ...) C CH3 CH3 O H OH C O Cl Cl C CH3 CH3 O O H C O Cl n + n + 2n-1 HCl n DP dépasse rarement 500, (ρ = 0,998), n M < 5 .10-4 g.mol-1 car produits formés pendant la réaction : réactions parasites d’oxydations, de décarboxylations, formation d’anhydride... Bisphénol A Phosgène Acide p-téréphtalique Ethylène glycol PET
  • 21.
    21/73 Pour augmenter lamasse molaire : augmenter la pureté des réactifs, équimolécularité parfaite de réactifs.
  • 22.
    22/73 2) 1 seulmonomère possédant 2 types de fonction chimique (X, Y) X A Y + X A Y X A A Y + X Y monomère monomère dimère bifonctionnel dimère monomère trimère dimère dimère tétramère n-mère m-mère (n+m)-mère Synthèse du nylon par polycondensation de l’acide-6-aminocaproïque Le monomère possède une fonctions amine (-NH2) et une fonctions acide carboxylique (- CO2H) Synthèse du nylon par polyaddition du caprolactame CH2 5 N H H HO2C O H C O CH2 NH2 5 n + n Acide-6-aminocaproïque Acide-6-aminocaproïque Polyamide 6 H2O CH2 5 NH CO n NH O Polyamide 6 CH2 5 NH CO n n
  • 23.
    23/73 b) Synthèse demolécules tridimensionnelle par polymérisation par étapes de molécules ayant plus de deux fonctions (Thermodurcissables) En règle générale, il faut au moins un monomère bifonctionnel et un monomère trifonctionnel. Le système peut cependant être plus compliqué. X A X Y B X A B Synthèse de la Bakélite : polycondensation à partir du phénol et du formol. Famille des phénoplastes. Y Y Y Y A A A B X B B Y Y A X A X ....... ....... ....... ....... ....... H H H OH O C H H H H H OH OH CH2 C H2 CH2 O H CH2 OH CH2 H2C -------- -------- -------- -------- Phénol Formol Phénol Bakélite H2O Au final, réseau 3D
  • 24.
    24/73 Polycondensation urée-formol (familledes aminoplastes) NH2-CO-NH2 + HCHO Au final, réseau 3D
  • 25.
    25/73 Le formica :polycondensation mélamine-formol (famille des aminoplastes) N N N NH2 NH2 N H2 O C H H Mélamine Formol Composés méthylolés , par exemple l’hexaméthylolmélamine Au final, réseau 3D
  • 26.
    26/73 c) Théorie deCarothers : contrôle de la longueur des macromolécules Calcul de n M pour une polymérisation par étape après un temps donné de réaction. X A Y + X A Y X A A Y + X Y Degré de polymérisation moyen en nombre n DP 0 M M DP n n = Avec M0 = masse molaire de l’unité constitutive A ou mère A. Si l’unité constitutive est composée de 2 groupements atomiques A et B, alors 2 ) ( 0 B A M M M + = Le degré de polymérisation moyen en nombre peut aussi être exprimé en fonction du nombre N0 de molécule de monomère présent initialement et du nombre N de molécules de tous les types présents à l’instant t (monomères, dimères, trimères...) N N DPn 0 = Par exemple, si au départ, on a 15 monomères et qu’à l’instant t il reste 5 molécules de trimères, le degré de polymérisation 3 5 15 = = n DP , correspond bien au nombre d’unités constitutives des trimères. Degré ρ d’avancement de la réaction à l’instant t nt initialeme présentes chimiques fonctions de Nombre réagi ont qui Y et X chimiques fonctions de Nombre ) ( = ρ c’est la probabilité pour qu’une fonction (X ou Y) ait réagit à l’instant t ρ − = 1 1 0 N N ou 0 0 N N N − = ρ par suite ρ − = = 1 1 0 N N DPn
  • 27.
    27/73 Remarques : Contrôle dela masse molaire lors de la polymérisation Puisque les propriétés physiques d’un polymère sont liées à la taille des chaînes, et donc au n DP et par suite à n M , il serait intéressant de savoir fabriquer un produit de n DP déterminé. On peut le réaliser en arrêtant la réaction par consommation totale de l’un des réactifs (réactif limitant) X A X + Y B Y X A B Y - - - - - Si NX et NY sont les nombres de fonctions de chaque type présentés à t=0, on définit le rapport stoechiométrique r : 1 < = Y X N N r . On dit que le mélange des monomères est stoechiométrique si r=1. Puisqu’on a 2 fonctions X ou Y par monomère, le nombre de moles de monomères à t=0 vaut 2 0 Y X N N N + = Soit, avec la définition de r : 2 ) 1 ( 0 r N N Y + = Par suite on peut calculer : - le nombre de fonctions chimiques X qui n’ont pas réagi au temps t : NX - ρNX = ρNY(1-ρ) - le nombre de fonctions chimiques Y qui n’ont pas réagi au temps t : NY - ρNX = NY(1-rρ) Donc le nombre N de molécules présentes à l’instant t est égal à 2 ) 1 ( ) 1 ( ρ ρ r N rN N Y Y − + − = Pour obtenir des polymères aux propriétés intéressantes, il faut un n DP élevé, ce qui correspond à un degré d’avancement de la réaction presque total (ρ 0,99). La connaissance de r permet le calcul de n DP et donc de n M
  • 28.
    28/73 2 ) 2 1 ( ρ r r N N Y− + = par suite, puisque N N DPn 0 = on obtient : ρ r r r DPn 2 1 1 − + + = Dans les conditions stoechiométriques, r = 1, donc Exemple : calcul du degré de polymérisation moyen n DP en fonction de r et de ρ. 0,950 0,990 0,999 1,000 1,000 20 100 1000 ∞ 0,999 19,8 95 667 1999 0,990 18 67 166 199 0,900 10 16 18 19 Si on laisse la réaction se poursuivre jusqu’à la disparition de la fonction X, en fin de réaction le rendement ρ tend vers l’unité et alors d) cinétique de réaction de polymérisation La cinétique permet de relier le degré d’avancement de la réaction ρ au temps t de réaction. En effet, reprenons l’exemple précédent où les monomères sont à la même concentration C0 à t = 0 (r = 1 stœchiométrie) : X A X + Y B Y X A B Y - - - - - Quel que soit le temps t, on a toujours l’égalité entre les concentrations des 2 monomères : [A] = [B] = C. On pourra donc écrire ainsi la vitesse de réaction : r r DPn − + = 1 1 si ρ 1 ρ − = 1 1 n DP ρ r
  • 29.
    29/73 ] ][ [ ] [ B A k dt A d réaction de Vitesse = − = aveck la constante de la réaction chimique. D’où la variation de la concentration C avec le temps : 2 kC dt dC = − En intégrant de 0 à t et de C0 à C : ∫ = ∫ − t C C t d k C dC 0 2 0 ou encore t k C C = − 0 1 1 Puisque N N C C 0 0 = (N0 et N nombre de moles de monomères présents respectivement à t = 0 et à t) et que ρ − = 1 1 0 N N , on obtient : t k C0 1 1 1 = − − ρ Remarques : La cinétique de polymérisation par étapes dépend de la présence d’un catalyseur. De plus, beaucoup de réactions de polycondensation sont des réactions d’équilibre et le constituant formé pendant la réaction chimique doit être retiré continuellement pour déplacer l’équilibre dans le sens de la formation du polymère. Connaissant les concentrations initiales C0 de chaque monomère et la constante k, on déduit de la formule 1 1 1 0 + = − = t k C DPn ρ la valeur du degré d’avancement ρ de la réaction à tout instant t et donc le degré de polymérisation ρ − = 1 1 n DP . Ce degré d’avancement est lié à la viscosité du milieu. 1 1 1 0 + = − = t k C DPn ρ ρ − = 1 1 n DP Temps (min) 40 10 0 400 Schéma de variation du degré de polymérisation au cours du temps.
  • 30.
    30/73 II) La polymérisationen chaîne a) Généralités Une réaction en chaîne est une réaction au cours de laquelle une moléculede monomère M est est additionnée à un centre actif porté par la chaîne en cours de croissance. Si on appelle • n M une chaîne comportant n unités constitutives et munie d’un centre actif, la polymérisation eut être schématisée par : • + • → + 1 n n M M M Le point indique le site d’un électron non apparié se trouvant sur la chaîne moléculaire et avec lequel une nouvelle liaison pourra s’effectuer, pour augmenter la taille de la chaîne. L’atome de la chaîne muni de cet électron non apparié constitue le centre actif. Selon la nature du centre actif qui provoque l’addition des unités constitutives (mères), on classe la polymérisation en chaîne dans l’un des groupes suivants : - la polymérisation radicalaire - la polymérisation ionique b) la polymérisation radicalaire 1) l’initiation Cette étape désigne la formation d’un centre actif sur une molécule de monomère M. Elle se produit en 2 temps : - formation d’un radical libre • R partir d’une molécule d’initiateur I • → R n I (avec n = 1 ou 2) - addition du radical libre sur une mole de monomère M ; elle porte alors un centre actif • • → + RM M R Les réactions en chaîne se font en 3 étapes : l’initiation (ou amorçage) la propagation (ou croissance) la terminaison
  • 31.
    31/73 Amorceur (= initiateurs)les plus courants Radicalaires C O O O C O C O O C CO2 2 2 + 2 C H3 C O O C CH3 CH3 CH3 CH3 CH3 C H3 C N N C CH3 CH3 CH3 CH3 CN C H3 C CH3 CN N2 2 + S2O8 2- 2 SO4 - . Redox H2 O2 Fe 2+ O H OH- Fe 3+ + + + Rayonnement γ γ γ γ, β β β β, hν ν ν ν RH R H + 60°C Peroxyde de benzoyle Peroxyde de tBu AIBN Persulfate
  • 32.
    32/73 2) la propagation Ils’agit de l’étape ou se répète un grand nombre d’additions successives de molécules monomères M, sur le centre actif formé. Le temps nécessaire pour ajouter un monomère est très bref : il est de l’ordre de la milliseconde. Par suite plusieurs milliers d’additions peuvent s’effectuer en quelques secondes. • • → + RMM M RM • • → + M RM M RMM 2 • + • → + M M R M M M R n n ) ( ) ( 1 3) la terminaison A ce stade la croissance de la chaîne de polymère s’arrête. Il y a disparition du centre actif. Les réactions de terminaison sont bimoléculaires sur 2 molécules en croissance. Le mécanisme est : Soit une combinaison : R CH2 C H X CH2 C H X R R CH2 C H X CH2 C H X R + Soit une dismutation : transfert d’un atome H R CH2 C H X CH2 C H X R R CH2 CH2 X CH CH X R + +
  • 33.
    33/73 Exemple d’une polymérisationradicalaire : monomère vinylique, 2 amorceurs différents initiation -par scission d’une liaison covalente (O-O) de l’initiateur (CH3)2C O OH CH3 (CH3 )2 C O CH3 OH (CH3)2C O CH3 CH3 (CH3 )2 C O + + -par réaction d’oxydoréduction Fe 2+ H2 O2 Fe 3+ OH- OH + + + Addition ensuite du radical libre sur le monomère vinylique CH2=CHX et création d’un centre actif sur la molécule. CH3 C H2 CH X C H3 CH2 CH X C H3 CH CH2 X + la propagation C H3 CH2 CH X C H2 CH X CH2 CH X CH CH2 X C H3 + Puis addition d’autre monomères........ CH2 CH X CH CH2 X CH2 CH X CH CH2 X C H3 ou CH2 CH X CH CH2 X C H3 n
  • 34.
    34/73 la terminaison -par combinaison C H3 CH2 C H X CH2 C H X CH3 C H3 CH2 C H X CH2 C H X CH3 + - par dismutation C H3 CH2 C H X CH2 C H X CH3 C H3 CH2 CH2 X CH CH X CH3 + +
  • 35.
    35/73 b) la polymérisationionique Le centre actif est constitué par un ion et non plus un radical libre. Il existe 2 types de réactions de polymérisation ionique : - polymérisation cationique : le carbone du centre actif de la chaîne en croissance porte une charge positive - polymérisation anionique : polymérisation cationique : le carbone du centre actif de la chaîne en croissance porte une charge négative Polymérisation cationique : Exemple d’une synthèse du polystyrène R + A C H2 CH CH2 CH + R A ; + ; CH2 CH + R A C H2 CH ; + CH2 CH R CH2 CH + A ; Initiation Propagation
  • 36.
    36/73 CH2 CH R CH2 CH + n A ; CH2CH R CH2 CH + n A CH2 CH R CH CH n A H + ; ; + ou encore transfert sur le monomère pour donner CH3-CH+ -Ph Rem : en refroidissant, ou dans certains cas (THF) on peut limiter les réactions de terminaisons et transferts , et obtenir un polymère vivant. Monomères pour cationique : oléfines (isobutylène), éthers vinyliques, carbures insaturés (styrènes...), terpènes, hétérocycles (THF, cyclohexane...). Le C substitué de la double liaison doit porter un groupement R donneur d’électron (isobutylène) ou stabilisant par résonance (phényle du PS). Solvants : dichlorométhane ou chlorure de méthyle Catalyseurs : * soit acides protoniques (de Brönsted) comme acide sulfurique, perchlorique (HClO4), trifluorométhane sulfonique, trifluoroacétique * soit acide Lewis TiCl4, SnCl4, AlCl3, BF3 + co-amorceur, le plus souvent l’eau Dans le cas des monomères vinyliques, les applications les plus importantes concernent la polymérisation de l'isobutylène, conduisant, en particulier, au Caoutchouc Butyl dont l'intérêt réside dans son imperméabilité relative aux gaz (chambres à air). Les autres polymérisations cationiques de l'isobutylène ainsi que celles d'autres oléfines permettent d'obtenir aussi des oligomères qui, après fonctionnalisation par ène- Terminaison
  • 37.
    37/73 synthèse ou parl'anhydride maléique, sont utilisés comme additifs d'huile de moteur ou résines pour adhésifs. On fabrique aussi des résines d'indène et de coumarone. Dans le cas de monomères cycliques, la polymérisation cationique est importante. La polymérisation du THF fournit des polymères téléchéliques utilisés dans la fabrication des polyuréthanes. On prépare aussi des polyacétals pour le verre Sécurit. Enfin la polymérisation cationique est largement utilisée dans l'industrie des silicones. Polymérisation anionique : polymérisation du même type mais avec un centre actif chargé négativement (carbanion ou oxanion). Les amorceurs appartiennent le plus souvent à la famille des organométalliques comme le BuLi Mais l’initiateur peut aussi être une base (potasse ou alcoolate). La polymérisation se fait par ouverture de cycle (oxirane, lactone, lactame...) ou par ouverture de double liaison (styrène, diènes...). Dans le cas des polymérisations par ouverture de cycle, les mécanismes d'amorçage sont analogues, bien que les amorceurs puissent être un peu différents. La polymérisation des oxiranes, par exemple, est amorcée par un alcoolate de potassium ROK, dissocié en oxanion RO- et K+ . La réaction de terminaison peut être due à un composé susceptible de réagir avec un carbanion (générateur de protons), présent sous forme d'impureté ou introduit volontairement. En l'absence d'un tel composé, la polymérisation anionique peut être vivante : aucune réaction de terminaison ne se produit et les chaînes gardent leurs extrémités actives après la consommation totale du monomère. Si, à une solution d'un polymère vivant, on ajoute une nouvelle charge de monomère, les chaînes recommencent à croître. Si, par ailleurs, l'amorçage est rapide et s'il ne se produit ni transfert ni terminaison, la distribution des masses molaires peut être très étroite, et le rapport n w M M est voisin de 1. Cette propriété est utilisée pour préparer des copolymères à blocs ou des oligomères fonctionnalisés par une réaction d'arrêt volontaire.
  • 38.
    38/73 La polymérisation dustyrène, des diènes ou de la vinylpyridine amorcée par des organométalliques ou des ions radicaux, présente un caractère vivant. Il n'en est pas de même avec les esters acryliques, à cause d'une réaction parasite sur les groupes esters. La polymérisation de l'oxyde éthylène présente aussi un caractère vivant ; ce caractère est moins net dans le cas de l'oxyde de propylène où se produit une réaction parasite de transfert interne qui conduit à une extrémité insaturée. Applications industrielles : en dehors des polymérisations par ouverture de cycle, on trouve peu d'applications industrielles de la polymérisation anionique, à l'exception des copolymères à blocs styrène-butadiène. Il existe cependant un certain intérêt pour la polymérisation du styrène qui peut être plus rapide que la polymérisation radicalaire et conduire à des distributions plus étroites. Il existe aussi des productions de copolymères styrène-butadiène avec des distributions de séquences différentes de celle obtenue en polymérisation radicalaire, grâce à la modification de la réactivité des centres actifs. Ces produits sont utilisés dans l'industrie du caoutchouc. Les polymérisations ioniques sont relativement peu utilisées industriellement par rapport à la polymérisation radicalaire. Elles nécessitent la présence de solvants organiques ainsi que des conditions de pureté sévères et une récupération du polymère formé à partir de solutions , ce qui accroît les coûts de production. Ces réactions sont néanmoins intéressantes car elles permettent de contrôler l’architecture moléculaire du polymère formé. Ainsi, grâce à la polymérisation anionique, coditions vivantes, on peut synthétiser des polymère diblocs ou triblocs (épuisement de A puis ajout de B) -------AAA- ; N+ + n B -------AAABBB---B- ; N+ copolymère ionisé L’ion N+ est en général un cation métallique. Par ce type de polymérisation il est possible d’obtenir une stéréorégularité élevée des unités constitutives et des répartitions moléculaires très étroites. On utilise des catalyseurs comme les catalyseurs de Ziegler et Natta résultant de la formation de complexes entre un dérivé d’un métal léger des groupes I et III (Be, Li, surtout Al) et un halogénure d’un métal de transition des groupes IV et VIII comme le Ti, V, Zr. Les oxydes métalliques de certains métaux de transition (Ni, Cr, Mo, Co...) sur les support d’alumine sont moins actifs que les catalyseurs de Ziegler et Natta. Il sont cependant utilisés pour la polymérisation de l’éthylène et conduisent à des molécules presque parfaitement linéaires.
  • 39.
    39/73 Ziegler et Natta Lapolymérisation Ziegler et Natta est une méthode de polymérisation vinylique et surtout, permet de synthétiser des polymères de tacticité désirée. Cette méthode a été découverte par deux scientifiques Allemand (Ziegler) et Italien (Natta), c’est la seule méthode pour synthétiser le PE linéaire non greffé et le polypropylène isotactique. Le catalyseur composé d’un métal de transition, généralement TiCl3 ou TiCl4 est utilisé avec un co-catalyseur généralement un métal du groupe III comme l’aluminium, en présence du monomère vinylique. La plupart du temps le couple catalyseur/co-catalyseur est TiCl3 et Al(C2H5)2Cl, ou TiCl4 avec Al(C2H5)3. Prenons le cas du couple TiCl3 et Al(C2H5)2C. TiCL3 peut s’organiser en nombre de structures cristallines comme α-TiCl3 illustrée ici:
  • 40.
    40/73 Comme on levoit, chaque atome de titane est coordiné avec six atomes de Cl avec une géométrie octaédrique. Mais à la surface du cristal, le Ti n’a que 5 atomes de Cl. Comme tous les métaux de transition, le Ti a 6 orbitales vacantes. Le titane doit être coordiné avec suffisamment d’atomes pour mettre assez d’atomes dans les orbitales. Le Ti à la surface du cristal a suffisamment de voisins pour remplir 5 des 6 orbitales. Il n’en reste qu’une de libre. C’est là que Al(C2H5)2Cl donne un de ses groupe éthyle au Ti mais élimine un chlore dans le processus. Il reste donc toujours une orbitale vacante. L’aluminium reste coordiné (pas lié de façon covalente) au CH2 de l’éthyle qui vient d’être donné au Ti. Il se coordine aussi à un des Cl adjacent au Ti. Cependant, le Ti a toujours une case vacante. C’est là qu’intervient le monomère vinylique : il y a 2 électrons dans le système π d’une double liaison C=C. Ces électrons peuvent remplir l’orbitale vide du Ti. Cela forme ce que l’on appelle un complexe :
  • 41.
    41/73 Polymérisation isotactique : Lanature exacte du complexe entre le titane et le polypropylène est compliquée. On continuera de le représenter comme suit : Des réarrangements vont ensuite se produire comme suit : 1- la paire d’électrons de la double liaison c=c forme une liaison covalente du C avec le Ti. 2- Les électrons de la liaison entre le Ti et le C du groupe éthyle que le titane a récupéré de Al(C2H5)2Cl. Cette paire d’électrons va ensuite former une liaison entre le groupement ethyle et le carbone méthyl substitué du monomère propylène. 3- Ce qui se passe ensuite est une migration. On ne sait par pourquoi, mais ça se passe ainsi. Les atomes se réarrangent pour former ceci :
  • 42.
    42/73 L’aluminium est maintenantcomplexé avec l’un des atomes de carbone du monomère propylène. Comme on peut aussi le voir, le Ti revient à un état initial, c’est a dire avec une orbitale libre nécessitant des électrons pour la remplir. Du coup, quand un nouvelle molécule de polypropylène se présente, le processus se renouvelle, et le résultat se présente comme suit : C’est ainsi que le polymère s’accroît. En regardant le schéma, on s’aperçoit que le groupement méthyle du polymère en propagation est toujours du même côté de la chaîne. C’est par ce mécanisme que le polypropylène isotactique est synthétisé. here! Polymérisation syndiotactique: D’autres systèmes catalyseur/co-catalyseur peuvent donner des polymères syndiotactiques comme le système VCl4/Al(C2H5)2Cl.
  • 43.
    43/73 Tout d’abord lepropylène se complexe avec le vanadium et les électrons se déplacent comme vu avant. Le propylène est inséré entre le métal et le groupement éthyle exactement comme avant. Mais on peut cependant voir que la chaîne en croissance n’a pas la même position. Dans le cas du système au titane la chaîne de polymère en croissance changeait de position sur l’atome de Ti. Ce n’est pas le cas cette fois ci. La chaîne en croissance demeure dans sa nouvelle position. Jusqu’à ce qu’une nouvelle molécule de propylène se présente et réagisse avec la chaîne en croissance dans cette toujours nouvelle position, comme suit :
  • 44.
    44/73 Mais quand lesecond propylène est ajouté à la chaîne, la chaîne change de position à nouveau. Elle revient à la position initiale. En regardant le premier et le second monomère en rouge et bleu respectivement, noter qu’ils sont d’un côté opposé (de part et d’autre de la chaîne de polymère). On forme un polymère syndiotactique.
  • 45.
    45/73 III) Les techniquesde polymérisation a) Polymérisation en masse Ex : PS cristal, PEbd, PMMA, PVC... Monomère pur auquel l’initiateur est ajouté directement (il y est donc soluble). Le polymère précipite ou non dans le milieu réactionnel. Le contrôle de la réaction est délicat : contrôle difficile de la température. Pour contrôler T°C et degré de polymérisation on effectue la polymérisation en 2 étapes : prépolymérisation jusqu’à 30-40% de la conversion puis polymérisation finale dans un réacteur adapté au contrôle thermique. En polycondensation, on chauffe beaucoup (200-300°C), on utilise un vide partiel pour éliminer les réactifs parasites (et déplacer l’équilibre) ou on travaille sous gaz inerte à pression atmosphérique (éviter les transferts). Quelques exemples de polycondensation à 25°C avec des composés très réactifs : R-CO-Cl ; diisocyanates.... ☺ ☺ ☺ ☺ Pas de solvant, pas de sous produits pour la radicalaire ☺ ☺ ☺ ☺ Le polymère obtenu est pur ☺ ☺ ☺ ☺ Quand le polymère précipite dans le monomère (PAN, polychlorure de vinylidène CH2=CCl2). Difficulté d’évacuation des calories produites par la réaction Pour radicalaire : + de transferts intramoléculaires donnant des ramifications. b) Polymérisation en solution En présence d’un solvant du monomère, dont le rôle est de contrôler la température du milieu réactionnel et donc de maîtriser la réaction chimique. Intéressant quand le solvant du monomère est non solvant du polymère (le polymère précipite pendant la polymérisation). C’est un procédé industriel utilisé quand il n’y a pas besoin d’éliminer le solvant (utilisation directe du polymère) : c’est le cas des colles et peintures. Ex. radicalaire PAN, PVAc, Esters acycliques..., Ex. polycondensation PC, PU, qq PA et PEsters à Pf élevés. ☺ ☺ ☺ ☺ Dissipation thermique, maîtrise de la température de réaction ☺ ☺ ☺ ☺ Quand le polymère précipite dans le solvant Si le polymère ne précipite pas dans le solvant, il faut le précipiter et le laver Coût car solvant pur sans impureté réactives Toxicité, élimination des déchets produits (solvants) Réaction assez lente Méthode peu adaptée à l’obtention de masses moléculaires élevées.
  • 46.
    46/73 Rem : polycondensationinterfaciale du nylon 6,6 (non industriel) c) Polymérisation en suspension Très utilisée pour la radicalaire. Le monomère et le polymère sont insolubles dans le dispersant. Le monomère est dispersé (10-25%) dans le non solvant (comme l’eau) sous vive agitation. La taille des gouttelettes est contrôlée soigneusement par ajustement de paramètres tels que la concentration, la vitesse d’agitation, l’utilisation d’adjuvants...On peut considérer chaque gouttelette comme un milieu indépendant qui est le siège de polymérisation en masse. Compte tenu de la dispersion, les échanges thermiques entre le liquide et les parois du réacteur sont bons. En fin de réaction, le polymère est récupéré sous forme de perles lavées et séchées. Quand amorceur soluble dans dispersant (peroxydes), efficacité moindre car l’amorceur est détruit. Exemples : PVC (70% de la production), PS expansé, PMMA, PAN, PVAc, polyisoprène, PV2P ☺ ☺ ☺ ☺ Dissipation thermique (dispersant) ☺ ☺ ☺ ☺ Milieu aqueux, donc pas de solvants organiques en général ☺ ☺ ☺ ☺ Le polymère est récupéré facilement sous forme de granulés ☺ ☺ ☺ ☺ Quand amorceur soluble dans le monomère (efficacité #polymérisation en masse) Quand amorceur soluble dans dispersant (peroxydes) il peut être dégradé Polymère obtenu pas tout a fait pur : reste eau et autre agents Méthode peu adaptée à l’obtention de masses moléculaires élevées d) Polymérisation en émulsion Par rapport à la polymérisation en suspension, la polymérisation se fait par l’intermédiaire de micelles et d’un agent émulsifiant (savon). - Les molécules de tensioactif se rassemblent en micelles (~5 nm) et on obtient une suspension de micelles dans l’eau. Cl-CO-R-CO-Cl dans CH2Cl2 diamine dans eau Le PA formé à l’interface est enroulé sur un tige en verre.
  • 47.
    47/73 Polymérisation dans la micelle R R R R R Polymère Monomère Têtehydrophile Tensioactif Queue hydrophobe Monomère Initiateur Transfert des monomères Micelle gonflée de monomères Les radicaux libres sont dans les micelles Goutelette de monomères entourée de tensioactif goutelette « réservoir de monomères » Milieu réactionnel avant la polymérisation Polymérisation dans la micelle par diffusion des monomères depuis les goutelettes vers les micelles
  • 48.
    48/73 - Lorsque l’onajoute le monomère hydrophobe, il se répartit d’une part dans les micelles (qui gonflent), et d’autre part dans l’eau où il forme de grosses gouttelettes de monomères (~ 10 µm = 10000 nm soit 2000 fois plus) qui s’entourent de molécules de tensioactifs. - L’initiateur de la polymérisation soluble dans l’eau se décompose et produit des radicaux libres • R , dans la phase aqueuse. Ceux-ci se localisent sur les micelles qui abaissent la tension superficielle. - La réaction démarre sur les centres actifs et se poursuit dans les micelles. Les monomères sont transférés par diffusion à travers l’eau du réservoir que forme les gouttelettes vers les micelles, lieu de la polymérisation. La vitesse de réaction devient nulle quand tous les monomères des gouttelettes sont consommés. ☺ ☺ ☺ ☺ Les vitesses de réaction sont élevées ☺ ☺ ☺ ☺ Bonne maîtrise de la température de réaction ☺ ☺ ☺ ☺ Le degré de polymérisation est grand, masses moléculaires élevées ☺ ☺ ☺ ☺ On obtient des chaînes isolées et une émulsion stable de fines particules qui peuvent être utilisées en l’état ou coagulées. Le polymère peut être difficile à séparer du tensioactif e) Polymérisation en phase gazeuse (+ anecdotique) Le monomère est introduit en phase gazeuse sur un catalyseur solide finement divisé. Les particules de catalyseur sont en suspension dans le courant gazeux. Il se produit alors des réactions comme dans la polymérisation en masse. Cette méthode utilisée pour le PP et le PEHD a permis des réductions d’investissements intéressants. ☺ ☺ ☺ ☺ Baisse des coûts f) Conclusion Les polymérisations par étapes (polyaddition et polycondensation) ont plutôt lieu en masse ou en solution, la chaleur de réaction étant faible. En revanche, les réactions de polymérisation en chaînes par radicaux libres (polymérisations radicalaires) se déroulent plutôt en suspension ou en émulsion. Les polymérisations en chaîne ioniques (polymérisations ioniques) ont plutôt réalisées en solution organique puisque l’eau désamorce les initiateurs ioniques.
  • 49.
    49/73 Les matières plastiquesthermoplastiques se ramollissent au chauffage : elle sont utilisées sous forme de poudre ou de granulés que l’on fond. On ajoute souvent des agents de moulage, des stabilisants, des colorants, des plastifiants...La répartition homogène de ces additifs se fait par des mélangeurs (à cylindre par exemple). La mise en oeuvre pour obtenir les formes désirées est réalisée par extrusion, moulage par injection, thermoformage, moulage avec soufflage, ou encore moulage avec compression. Le calandrage permet de faire des feuilles ou des plaques. Pour les polymères thermodurcissables, le chauffage, la mise en forme et la polymérisation provoquant la synthèse et le durcissement du polymère, ont lieu simultanément ; le moulage en compression est très souvent utilisé. Les élastomères sont mis en oeuvre de façon similaire au thermodurcissables : on chauffe et on comprime dans un moule un mélange d’élastomère et d’agent de vulcanisation (réticulation) On peut produire des fibres de polymères en forçant le polymère fondu ou en solution à traverser de filières (petits trous). Les fibres formées sont torsadées pour faire un fil puis tissés pour faire une étoffe. On peut produire des mousses en générant des bulles (CO2) au sein du polymère fondu ou de la résine en train de polymériser lors de sa fabrication. I ) L’extrusion : C’est un technique de transformation continue, rapide et peu coûteuse ; elle est très répandue. Elle permet à partir de granulés ou de poudre de polymère, la fabrication de tubes et autres profilés, de feuilles, de rubans, de tiges, de plaques, de gaines etc... Des granulés de polymère sont chauffés et comprimés par une vis sans fin qui tourne dans un fût chauffé et qui pousse le plastique vers un outillage appelé filière. La visse tasse et mélange le polymère qui se fluidifie à l’approche de l’extrémité chaude du fût. Là, il est poussé à travers la filière puis refroidi pour garder la forme transformée. Il existe différents types d’extrudeuses, dont les double vis ou bivis qui permettent d’augmenter les contraintes de cisaillement exercées sur le matériau. Elles sont équipées de Mise en forme des polymères
  • 50.
    50/73 deux vis àfilets interpénétrants tournant dans un fourreau bicylindrique. Les deux vis peuvent tourner dans le même sens (vis corotatives), ou en sens contraire (vis contrarotatives). Schéma d’une extrudeuse monovis Principales configuration d’extrudeuses bi-vis II) Lignes d’extrusion a) Extrusion de tubes, de profilés creux, de profilés pleins, de joncs... La filière est adaptée à la forme de l’extrudat, la technique permet la fabrication de produits semi-ouvrés en continu ayant un profil déterminé. Pour évier que le profil ne se déforme en sortie de filière, on le soumet au tirage ; il peut être refroidit dans un bac d’eau. .
  • 51.
    51/73 b) Extrusion-gonflage ousoufflage de gaine Le polymère fondu passe d’abord dans une filière de tube. A la sortie de la filière, il est étiré longitudinalement par un système de rouleaux pinceurs. Une certaine quantité d’air emprisonnée à l’intérieur de la gaine assure son gonflage, c’est-à-dire son étirage transversal. La gaine est refroidie par un jet d’air comprimé appliqué en sortie de filière par un anneau de refroidissement. A partir d’une certaine ligne, appelée ligne de figeage, elle est entièrement solidifiée et ne se déforme plus. III) L’extrusion-soufflage de corps creux Un tube extrudé, dit paraison, est pincé à ses extrémités par un moule creux en 2 parties. L'une se soude sur elle-même et l'autre s'appuie sur une canne de soufflage par laquelle on Rouleau pinceur Bulle Extrudeuse Anneau de refroidissement Guide Air
  • 52.
    52/73 admet une pressiond'air suffisante pour déformer la paraison chaude qui vient se plaquer sur la paroi interne du moule, refroidi par circulation d'eau. Elle se solidifie alors et peut être démoulée.
  • 53.
    53/73 IV) Le calandrage C’estun procédé réservé au caoutchouc et au PVC. Les opérations successives ont pour but de mélanger le polymère à un certain nombre d’additifs (stabilisants, lubrifiants, etc.), de gélifier progressivement le mélange obtenu en dissipant de l’énergie par cisaillement sans atteindre la température de dégradation, puis de forcer le polymère entre les cylindres successifs d’une calandre (entre 3 et 5 cylindres selon les cas). La feuille obtenue est étirée puis refroidie avant d’être enroulée. V) Le thermoformage Le thermoformage consiste à chauffer une feuille, ou une plaque, à une température permettant sa déformation dans un moule dont elle épouse la forme par action d’une différence de pression entre ses deux faces. Après refroidissement, on obtient l’objet désiré. La mise en forme s’effectue généralement par une pression d’air sur la feuille, ou une dépression d’air sous cette dernière, souvent assistée mécaniquement par un poinçon. C’est un procédé de transformation « basse pression », qui impose de faibles contraintes à la feuille. Les matériaux ne peuvent donc être formés que lorsque leurs propriétés mécaniques ont chuté, dans la zone du plateau caoutchoutique pour les polymères amorphes et dans la zone de la température de fusion pour les semi-cristallins.
  • 54.
    54/73 VI) Le moulagepar compression C’est la plus ancienne technique de transformation (20’s) appliquée dès les années 20 au thermodurcissables (phénoplastes et aminoplastes). La méthode consiste à presser directement la matière dans l’empreinte d’un moule à chaud. Le moule est composé de 2 parties : le poinçon (partie supérieure) et la matrice (partie inférieure). Le cycle de production est long. Chargement Cuisson Démoulage
  • 55.
    55/73 VII) Injection desthermoplastiques On peut distinguer 3 phases pendant l’injection : - le remplissage (ou injection) : le polymère remplit l’enceinte et occupe le volume de la cavité. On se sert de la vis comme un piston - le maintien (bourrage ou compactage) : le polymère est compacté dans l’empreinte (car il est compressible) pendant le refroidissement - le refroidissement : le polymère est figé et la pièce est éjectée quand sa rigidité est suffisante. On dose une nouvelle quantité de matière pour la pièce suivante pendant le refroidissement de la pièce, par rotation de la vis qui amène de la matière en bout de vis (buse). VIII) Injection soufflage Elle permet de fabriquer des corps creux qui présentent de bonnes propriétés mécaniques. Technique essentiellement réservée aux thermoplastiques. Le cycle de fabrication se compose de étapes : 1) Réalisation d’une préforme par injection 2) Transfert de la préforme dans une station de réchauffage 3) Transfert de la paraison chaude dans un moule et soufflage pour que le polymère entre en contact avec les parois du moule
  • 56.
    56/73 4) Refroidissement etéjection de la pièce
  • 57.
    57/73 Caractérisation des polymères I)Mécanique I-1) Caractérisation mécanique statique Un essai mécanique correspond à une sollicitation uniaxiale appliquée en traction ou en compression. Il consiste à déplacer une partie d’une éprouvette à l’aide d’une traverse mobile constituant la machine d’essais et à enregistrer la contrainte appliquée. Le plus répandu : essai de type contrainte-allongement = essai de traction : la vitesse de déplacement de la traverse est fixée (constante) et l’allongement est mesuré en fonction de la contrainte (MPa) ou de la force (N) appliquée. Variantes : Essai de relaxation de la contrainte : en un point quelconque de la courbe de contrainte-déformation on arrête la contrainte et on suit la variation de la contrainte Essai de fluage : la contrainte appliquée est constante, on enregistre la déformation au cours du temps Courbes conventionnelles : Lors d’un essai de traction ou de compression classique, le comportement de l’éprouvette testée se traduit par un courbe reliant la contrainte à la déformation ou à l’allongement relatif (%) La contrainte nominale σ correspond à la force F rapportée à la section nominale A0 de l’éprouvette 0 A F = σ L’allongement relatif ε correspond au rapport de la longueur mesurée l sur la longueur initiale l0 le plus souvent exprimé en % 0 0 l l l − = ε Plusieurs grandeurs peuvent être définie grâce aux tests mécaniques :
  • 58.
    58/73 Le moduled’Young = module élastique = E Le seuil de plasticité = la limite d’élasticité = σy (stress@yield) La contrainte à la rupture = σr La contrainte maximale = résistance maximale à la traction = σm σ ( σ ( σ ( σ (MPa) ) ) ) ε ( ε ( ε ( ε (%) ) ) ) 10% 20% 280% E σ σ σ σ y Elasticité linéaire Viscoélasticité σ σ σ σ r = σ σ σ σm ε ε ε εr Plasticité ε ε ε εy Courbe de traction classique d’un matériau thermoplastique aux alentours de sa Tg. Comportement fragile apparition de la viscoélasticité plasticité Ecoulement visqueux σ ( σ ( σ ( σ (MPa) ) ) ) ε ( ε ( ε ( ε (%) ) ) ) Elasticité caoutchoutique (réversible) 10% 20% 300% 280% Courbes schématiques de traction
  • 59.
    59/73 polymères orientésou fibres polymères thermoplastiques ou thermodurcissables très en dessous de Tg polymères thermoplastiques au voisinage de Tg : rupture ductile après un phénomène de déformation plastique très important : l’étirage Elastomère : rupture après un long palier d’élasticité caoutchoutique réversible (TTg) Le module d’Young est directement déduit de la loi de Hook σ = E ε mais cette relation linéaire n'est valable qu'aux faibles déformation (zone élastique linéaire du matériau). E sera donc déterminé par la pente à l’origine de la courbe σ=f(ε) Déformation élastique : la déformation élastique est une déformation réversible : le milieu retourne à son état initial lorsque l'on supprime les sollicitations. L'élasticité linéaire concerne les petites déformations proportionnelles à la sollicitation. Dans cette gamme, l'allongement est proportionnel à la force dans le cas d'un étirement. Aux plus grandes déformations, l'élasticité devient non linéaire pour certains matériaux. Pour d'autres, la fracture ou le fluage interviennent. Déformation plastique : la déformation plastique est la déformation irréversible d'une pièce ; elle se produit par un réarrangement de la position des atomes. Lorsque que l'on sollicite une pièce, un objet (on le tire, on le comprime, on le tord...), celui-ci commence par se déformer de manière réversible (déformation élastique), c'est-à-dire que ses dimensions changent, mais il reprend sa forme initiale lorsque la sollicitation s'arrête. Certains matériaux, dits « fragiles », cassent dans ce mode de déformation si la sollicitation est trop forte. Pour les matériaux dits « ductiles », lorsque l'on augmente la sollicitation, on déforme de manière définitive la pièce ; lorsque l'on arrête la sollicitation, la pièce reste déformée. Ceci se produit par un glissement des plans atomiques les uns sur les autres, à la manière des cartes à jouer d'un paquet. Ce glissement de plans atomiques se fait grâce au déplacement de défauts linéaires appelés « dislocations ».
  • 60.
    60/73 La déformation plastiquepermet la mise en forme de pièces (forgeage, martelage, tréfilage, filage, laminage, estampage, emboutissage ...) Elle permet aussi d'absorber l'énergie d'un choc et augmente la capacité de résistance à la rupture et la protection des personnes, comme par exemple dans le cas de la tôle d'une voiture ou d'un mousqueton d'escalade. La viscoélasticité : L'essai de fluage ou de retard consiste à appliquer brutalement sur un matériau une contrainte (σ) maintenue ensuite constante ( ! différent de vitesse constante pour tests de traction) sur une durée suffisamment longue. La déformation (ε %) résultante est mesurée en fonction du temps : un solide parfaitement élastique (hookéen) se déforme instantanément : la déformation élastique est réversible et indépendante du temps. un fluide parfaitement visqueux (newtonien) se déforme progressivement et linéairement en fonction du temps : la déformation visqueuse est irréversible. Déformation plastique d’un matériau ductile
  • 61.
    61/73 un matériaumacromoléculaire exhibe des propriétés mécaniques situées entre ces deux cas idéaux, c'est pourquoi il est nommé viscoélastique : il possède une composante élastique et une composante visqueuse. Les polymères possèdent le plus souvent des combinaisons complexes d'effets élastiques et visqueux, c'est-à-dire un comportement viscoélastique plus ou moins marqué. Selon l'échelle de temps de l'essai, la composante élastique ou la composante visqueuse du matériau sera prépondérante. En effet, pour une durée de sollicitation très courte, un polymère amorphe linéaire adopte un comportement vitreux (élastique). En revanche, pour une durée d'application de la contrainte très longue, il a un comportement visqueux avec possibilité d'écoulement (Exemple : le Silly Putty=Slime). Contrainte temps 0 t Déformation 0 t 0 t 0 t Fluide visqueux idéal Solide élastique idéal Matériau viscoélastique Un échelon de contrainte est appliqué pendant un temps t contrainte supprimée au temps t Fluage Recouvrance Comportement en fluage des matériaux
  • 62.
    62/73 La viscoélasticité correspondau comportement réel de la majorité des matériaux polymères. Aux faibles déformations, ils ont un comportement principalement élastique. Le fluage a pour origine le phénomène de glissement des chaînes macromoléculaires les unes par rapport aux autres. Les propriétés de fluage, de relaxation et de recouvrance sont les effets de l'application d'une contrainte ou d'une déformation sur le long terme. Les mesures dynamiques (DMA) correspondent à des temps de sollicitation plus courts. Constantes mécaniques de matériaux à 25°C Matériau E (MPa) σ σ σ σy (MPA) σ σ σ σm (MPa) Tg (°C) Thermoplastiques ~1000 20-50 ~50 PE HD 700 25 40 -80 BD 200 10 20 - PVC 2 500 45 - 81 PS 3 000 50 60 100 PMMA 3 400 60-110 110 105 PC 2 600 50 60 140 Thermodurcissables 3 000 30-100 30-120 100-220 Résine époxyde (EP) 3 000 30-100 30-120 100-220 Elastomères ~10 - ~30 ~-70 Polyisoprène 10 - 30 -73 Verre : silice 94 000 7 000 - - Céramique : diamant 1 000 000 50 000 - - Métaux : fer 200 000 50 200 - I-2) Caractérisation mécanique dynamique Un viscoanalyseur ou analyseur mécanique dynamique (AMD) fait partie de la famille des appareils de DMA ou DMTA (sigle signifiant Dynamic Mechanical Thermal Analysis en anglais). Cet instrument scientifique est dédié à l'étude et à la caractérisation des propriétés mécaniques (vibratoires) d'un matériau généralement viscoélastique comme un polymère. Il permet de déterminer en particulier :
  • 63.
    63/73 • le modulecomplexe d'Young (noté E* ) ou de Coulomb (G* ), en fonction principalement de la température et de la fréquence d'excitation • le facteur d'amortissement ou facteur de perte, tangente delta ( δ tan ), en fonction de la température et de la fréquence • la température de transition vitreuse (Tg) qui dépend de la fréquence. Le viscoanalyseur est l'appareil le plus sensible pour la détermination de la Tg. Ces grandeurs physiques sont des caractéristiques intrinsèques d'un matériau. Lors d'un essai mécanique dynamique, un échantillon subit une déformation oscillatoire. La contrainte résultante de l'échantillon est mesurée. Contrairement aux métaux et aux matériaux structuraux rigides, les polymères thermoplastiques et les élastomères présentent des modules d'élasticité et des facteurs de perte qui varient fortement avec la température et la fréquence. Par ailleurs, ces propriétés dynamiques dépendent fortement de leur composition et du procédé de fabrication. La technique DMA permet de caractériser finement un échantillon de matériau viscoélastique. Le caractère viscoélastique d'un polymère, lié à sa phase amorphe, se révèle dans la zone de transition, au voisinage de sa Tg. Le DMA utilise le type de vibration forcée hors résonance. Il applique un déplacement oscillatoire (d'amplitude D) à un échantillon du matériau (seul) à analyser. La force dynamique (d'amplitude F) résultante transmise par celui-ci est mesurée. Ceci est l'application de la notion de contrainte-déformation rencontrée en sciences des matériaux. Notons que les principes en viscoélasticité linéaire ne sont applicables qu'aux faibles niveaux de déformation de l'échantillon. La méthode de vibration forcée hors résonance utilisant un signal sinusoïdal en cisaillement ou en compression est généralement préférée pour l'obtention de données en ingénierie. Grâce aux capteurs, l'analyseur viscoélastique dynamique (DMA) mesure principalement deux grandeurs dynamiques : le déplacement et la force. Le logiciel de pilotage propose deux possibilités, déplacement (proportionnel à un taux de déformation) imposé ou l'inverse, à force imposée de mesurer le déplacement nécessaire. Les mesures sont réalisées sur des rampes (mode « cinétique ») ou sur des paliers (mode stabilisé) de température. Le déphasage entre les signaux d'entrée sinusoïdaux d'excitation et les signaux de sortie (eux aussi sinusoïdaux et de même fréquence dans le domaine linéaire, mais
  • 64.
    64/73 d'amplitude différente) estdonné par l'angle de phase δ. Le déphasage est lié aux propriétés viscoélastiques du matériau. L'angle δ est calculé à partir du traitement de ces signaux selon une transformée de Fourier rapide (notée FFT). Le signal de déformation (reliée au déplacement) de fréquence f provenant du pot vibrant est de la forme : ) sin( ) ( 0 t t ω ε ε = avec : 0 ε , l'amplitude du cycle de déformation f π ω 2 = , la pulsation en rad/s et t, le temps. Le signal de contrainte (reliée à la force) restitué par un matériau viscoélastique est déphasé et de la forme : ) sin( ) ( 0 δ ω σ σ + = t t avec : 0 σ , l'amplitude du cycle de contrainte. Le facteur de perte du matériau est égal à la tangente de l'angle δ .Connaissant les dimensions de l'éprouvette, il est possible de calculer les modules du matériau. La température Tg est déterminée à partir des valeurs du facteur d'amortissement. L'évolution des caractéristiques intrinsèques sera étudiée en réalisant typiquement un balayage thermique et/ou fréquentiel. Un essai complet comprenant un balayage en fréquence à plusieurs températures peut durer plusieurs heures. Le principe d'équivalence température- temps peut être utilisé pour corréler les propriétés du matériau pour toutes les températures et fréquences mesurées. Le module de conservation E’ Le module de conservation E’ représente la rigidité et la composante élastique du matériau. Pour un matériau purement élastique, l'énergie mécanique de la contrainte est intégralement restituée. L'élasticité traduit la capacité d'un matériau à restituer (réversibilité) l'énergie mécanique qui l'a déformé. Le module de perte E’’
  • 65.
    65/73 Il représente lacomposante visqueuse du matériau. La viscosité traduit sa capacité à dissiper l'énergie mécanique (irréversiblement perdue sous forme de chaleur). Ce phénomène est associé à la friction des chaînes de molécules et à leur écoulement. Le module d’Young Complexe E* Par analogie avec la mécanique, un système comprenant un ressort idéal (de constante ξ ) et un amortisseur idéal (de constante η ) disposés en parallèle peut être utilisé pour modéliser le comportement viscoélastique d'un matériau. Ce système élémentaire est le modèle de Kelvin-Voigt. Sa réponse à l'excitation ) exp( ) ( 0 t i t ω ε ε = est régie par l'équation différentielle : ε η ξε σ + = ) (t avec ε = vitesse de déformation Le ressort représente la composante énergique ou élastique de la réponse du modèle tandis que l'amortisseur (constitué d'un piston se mouvant dans un cylindre rempli d'un liquide visqueux) représente la composante visqueuse de la réponse. Les constantes caractéristiquesξ etη font respectivement référence au module d'élasticité et à la viscosité du matériau. L'équation peut être appliquée à la contrainte normale, σ, d'un matériau. Un tel modèle présente un temps caractéristique relié aux constantes selon : ξ η = r t en s. Il est désigné par temps de réponse du modèle ou temps de relaxation. Le temps de relaxation d'un polymère est lié à la masse molaire, à la distribution des masses molaires et à la ramification. Représentation schématique d'une cellule de Kelvin-Voigt.
  • 66.
    66/73 Le module dynamiquepeut être exprimé sous forme complexe selon : ηω ξ ω i E + = ) ( * Les composantes réelle et imaginaire de ce module sont respectivement : ξ ω = ′ ) ( E ηω ω = ′ ′ ) ( E Ce modèle ne prédit pas de manière satisfaisante la relaxation de contrainte. Le modèle rhéologique de Maxwell comprend un ressort et un amortisseur disposés en série. Les matériaux ont des comportements bien plus complexes que ces deux modèles. Il existe d'autres modèles viscoélastiques plus performants, mais de complexité mathématique supérieure. En fait, les deux constantes de proportionnalité ξ et η précédemment décrites varient avec la fréquence, ce qui limite l'efficacité d'un modèle aussi simple. Une approche plus générale consiste à représenter le module complexe selon : E i E E ′ ′ + ′ = * où * E est la somme vectorielle d'une composante élastique (en phase avec la contrainte) E′ et d'une composante amortissante visqueuse (en quadrature de phase) E ′ ′ . Représentation de diverses propriétés mécaniques dynamiques dans le plan complexe. Le module dynamique E* est une grandeur complexe car un amortissement est présent, en effet : ) tan 1 ( * δ i E E + ′ = Le module E* représente la relation entre la contrainte et la déformation dynamiques, selon : ) exp( 0 0 * δ ε σ i E = δ ε σ δ cos cos 0 0 * = = ′ E E Module élastique Module visqueux E′ E ′ ′ * E
  • 67.
    67/73 δ ε σ δ sin sin 0 0 * = = ′ ′ E E Grandeur|E| du module complexe E* La grandeur réelle |E| est égale au module (au sens mathématique) du nombre complexe E* : 0 0 2 2 ) , ( ε σ ω = ′ ′ + ′ = E E T E (en Pa). Le facteur d’amortissement ou de perte tan δ δ δ δ Le facteur de perte (loss factor) en traction est égal à : E E T ′ ′ ′ = = δ ω η tan ) , ( (sans unité ou exprimé en %). Il mesure l'amortissement durant la déformation dynamique, soit la capacité du corps viscoélastique à dissiper l'énergie mécanique en chaleur. Plus l'angle de phase est élevé, plus l'amortissement des vibrations (vibration damping) est important. Remarques : - l'amortissement ne peut en général être déduit de simples mesures statiques - Le facteur d'amortissement est une mesure du rapport de l'énergie dissipée par amortissement à l'énergie élastique conservée puis restituée durant un cycle de déformation sinusoïdale. - Les matériaux caoutchoutiques sont bien connus pour leur faculté d'amortissement de vibrations. Exemple : pour un caoutchouc de haute masse molaire partiellement vulcanisé, nous relevons à 40 Hz : Tg = 60°C ; η = 1 et E' = 200 MPa à 60°C. À l'opposé, le facteur d'amortissement des métaux est très faible : au plus 10-3 pour l'acier. Détermination de la Tg : La valeur de la Tg est déterminée en traçant la courbe à isofréquence tanδ= f (T). La température à laquelle la valeur du facteur de perte est maximale est appelée température de transition vitreuse : Tg ou Tv. Remarques : - la valeur de la température de transition vitreuse d'un polymère augmente avec la fréquence d'excitation - la valeur de la Tg dépend de multiples facteurs physico-chimiques - de très nombreuses propriétés physiques subissent une variation à la Tg ;
  • 68.
    68/73 III) Analyse thermique: l’analyse enthalpique différentielle (DSC): Cette technique sert à étudier les transitions thermiques d'un polymère. La fonte d'un polymère cristallin ou la transition vitreuse en sont des exemples. Il y a deux récipients ou capsules scellées. Dans l’un des deux, le récipient témoin, on dispose l’échantillon de polymère. L’autre, laissé vide, est le récipient de référence. Les deux récipients se trouvent dans un four qui permet de monter régulièrement en température (10°c/min par exemple). Chaque récipient contient un thermocouple relié à un ordinateur. L'ordinateur fait la différence entre la température de l'échantillon et celle de référence, et les convertit en flux de chaleur.
  • 69.
    69/73 Pourquoi les deuxrécipients n'auraient-ils pas la même température? C’est simple : ils sont différents! L’un contient le polymère et l’autre pas... L’échantillon de polymère représente de la matière supplémentaire dans le récipient témoin par rapport au récipient de référence. La présence de cette matière supplémentaire et son inertie thermique (plus y'a de matière, plus il faut de temps pour que tout soit chaud!) font que le récipient témoin ne sera pas à la même température que le récipient de référence. Mesurer la quantité de chaleur supplémentaire à fournir au récipient témoin est ce que nous mesurons lors d’une manipulation DSC. Sur l'axe des abscisses nous traçons la température (du four). Sur l'axe des ordonnées nous traçons la différence de chaleur entre les deux récipients, témoin et référence. La capacité de chaleur : Quand nous commencerons à chauffer nos deux récipients, l'ordinateur tracera la différence entre les chaleurs des deux récipients en fonction de la température. C'est-à-dire, nous tracerons la chaleur absorbée par le polymère en fonction de la température. La courbe ressemblera à ceci : Le flux de chaleur à une température donnée est plein de renseignements. Il va être donné en unités de chaleur q par unité de temps t. La vitesse de chauffage est l'augmentation T de la température par unité de temps t. Divisons maintenant le flux de chaleur q/t par la cadence de chauffage T/t. Nous obtenons la chaleur supplémentaire fournie, divisée par l'augmentation de la température.
  • 70.
    70/73 Rappelez-vous de latransition vitreuse : quand vous donnez une certaine quantité de chaleur à un élément, sa température montera d’une certaine quantité, et cette quantité de chaleur qu’utilise l’élément pour obtenir une telle augmentation de température s'appelle la capacité de chaleur, ou le Cp. Nous obtenons la capacité de chaleur en divisant la chaleur fournie par l'augmentation résultante de température. Et c'est tout simplement ce que nous avons fait dans l’équation présentée plus haut. Nous avons trouvé la capacité de chaleur à partir de la courbe de DSC. La température de transition vitreuse : Bien sûr, la DSC peut nous en apprendre beaucoup plus sur un polymère que sa capacité de chaleur. Regardons ce qui se produit lorsque nous chauffons le polymère un petit peu plus.... Après une certaine température, notre tracé se décalera soudainement vers le bas, comme ceci: Cela signifie que le flux de chaleur augmente, et que la capacité de chaleur de notre polymère augmente. Ceci se produit parce que le polymère vient juste de passer par la phase de transition vitreuse. Et comme vous le savez, les polymères ont une capacité de chaleur plus élevée au-dessus de la température de transition vitreuse. Grâce à ce changement de capacité de chaleur ayant lieu à la transition vitreuse, nous pouvons utiliser la DSC pour mesurer la température de transition vitreuse d'un polymère.
  • 71.
    71/73 Vous aurez remarquéque le changement ne se produit pas instantanément, mais a lieu sur une plage de températures. Cela rend la détermination exacte de Tg plutôt difficile, mais nous utilisons la méthode bien connue des tangentes pour déterminer Tg, (voir le dessin). La Cristallisation Au-dessus de la transition vitreuse, les polymères sont très mobiles. Quand les polymères atteignent la bonne température, ils ont gagné assez d'énergie pour entrer dans des arrangements très ordonnés que nous appelons des cristaux. Quand les polymères se transforment en ces arrangements cristallins, ils expulsent de la chaleur (exothermique), que le thermocouple du récipient témoin peut mesurer. Cette augmentation du flux de chaleur se voit très bien sur la courbe du flux de chaleur en fonction de la température. La température au point le plus haut est appelée Température de cristallisation du polymère : Tc. I est également possible de mesurer l’aire du pic , qui est la valeur de la chaleur latente de cristallisation du polymère. Mais n’oublions pas le plus important, cette hausse nous indique que le polymère peut cristalliser. Si vous analysiez un polymère 100% amorphe, comme le polystyrène atactique, vous n'obtiendriez pas de hausse sur la courbe, parce que de tels matériaux ne cristallisent pas. En outre, parce que le polymère dégage la chaleur quand il se cristallise, nous appelons la cristallisation une transition exothermique. La fusion La chaleur peut permettre à des cristaux de se former dans un polymère, mais trop de chaleur peut conduire à leur démantèlement. Si nous continuons à chauffer notre polymère après son point de cristallisation Tc, nous atteindrons peut être une autre transition thermique appelée fusion. Quand nous atteignons la température de fusion du polymère Tf, ces cristaux de polymère commencent à s’écrouler, c’est qu’ils fusionnent. Les chaînes de molécules
  • 72.
    72/73 sortent de leursarrangements ordonnés, et commencent à bouger librement. Et au cas où vous vous posiez la question, il est possible de le voir sur une courbe DSC. Vous souvenez vous de cette chaleur que le polymère a dégagée quand il s'est cristallisé? Et bien, quand on atteint la température Tf, il est grand temps de reprendre ce qui a été donné. Il existe une chaleur latente de fusion aussi bien qu'une chaleur latente de cristallisation. Quand les cristaux de polymère fondent, ils ont besoin d’absorber de la chaleur (endothermique). Gardez en mémoire que la fusion est une transformation du premier ordre. Cela signifie que lorsque l’on atteint la température de fusion, la température du polymère ne s'élèvera pas tant que tous les cristaux n’auront pas fondus. Cette absorption de chaleur pendant la fusion (baisse de température au niveau du thermocouple du récipient témoin) apparaît sous la forme d’un grand creux sur notre courbe de DSC. Ainsi, nous pouvons mesurer la chaleur latente de fusion en mesurant l’aire de cette crête. La température la plus basse du creux est appelée température de fonte du polymère, Tf. Puisque nous devons donner de l'énergie au polymère pour le faire fondre, la fusion est une transition endothermique. Synthèse: Essayons de rassembler tout ça... Une courbe de DSC ressemble donc généralement à cela (ici, celle du P.E.T): Les courbes de DSC ne comportent pas toutes ces 3 étapes. Le pic de cristallisation et le creux de fusion apparaîtront seulement pour les polymères qui peuvent former des cristaux. Les polymères complètement amorphes ne montreront ni cristallisation ni fusion. Mais les polymères à la fois cristallins et amorphes passeront par les trois étapes décrites plus haut. Pour la transition vitreuse, il n’y a ni crête ni creux. C'est parce qu'il n'y a aucune chaleur latente dégagée, ou absorbée par le polymère. La seule chose que nous voyons à la température de transition vitreuse est un changement de la capacité de chaleur du polymère. Puisqu'il y a changement de celle-ci, mais qu’il n'y a aucune chaleur
  • 73.
    73/73 latente impliquée, latransition vitreuse est appelée transformation du second ordre. Les transitions comme la fusion et la cristallisation, qui ont des chaleurs latentes, sont des transformations du premier ordre. Courbe DSC du PET.