1
Le Modèle IS-LM
2
- Courbe IS - marché des biens et services
- Courbe LM - marché de la monnaie
- Equilibre global
- Exercices
- Présentation du modèle IS-LM
3
Le modèle IS-LM a été proposé par Hicks en 1937, et
popularisé par Hansen en 1952. Il représente un
certain nombre de relations élémentaires découlant
de la synthèse entre la théorie keynésienne et la
théorie néoclassique,
En se référant à une économie fermée où les prix sont
supposés fixes, le modèle permet la détermination
simultanée du taux d’intérêt et du revenu national à
partir d’une interaction entre le marché des biens et
services (sphère réelle) et le marché de la monnaie
(sphère monétaire).
4
Le modèle IS-LM se présente graphiquement
comme suit :
𝑖 (IS) (LM)
𝑖𝐴
𝐴
𝑌𝐴 𝑌
5
Le modèle IS-LM a été exploité, notamment, dans
l’analyse des effets de la politique budgétaire
(pilotée par le Gouvernement) et la politique
monétaire (pilotée par la Banque centrale) sur
l’économie.
6
- Courbe IS - marché des biens et services
- Présentation du modèle IS-LM
- Courbe LM - marché de la monnaie
- Equilibre global
- Exercices
7
Courbe IS (Investment - Saving) : le point de départ
est l’équation d’équilibre sur le marché des biens et
services :
Offre agrégée Demande agrégée
=
𝑌 : revenu, (équivalent à la production).
𝐶 : consommation.
𝐼 : investissement.
𝐺 : dépenses publiques.
8
𝑐 > 0
𝑌 = 𝐶 + 𝐼 + 𝐺
𝐶 = 𝑐𝑌𝑑 + 𝐶0 avec 𝑌𝑑 = 𝑌 − 𝑇0
𝐶 : consommation.
𝑌𝑑 : revenu disponible.
𝑐 : propension marginale à consommer le revenu
disponible,
𝐶0 : constante.
𝑇0 : impôts, (variable exogène - dépend des
décisions du Gouvernement).
9
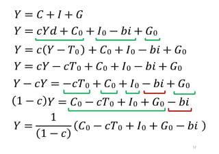
𝑌 = 𝐶 + 𝐼 + 𝐺
𝐼 = 𝐼0 − 𝑏𝑖
−𝑏 < 0
𝐼 : investissement.
𝐼0 : constante.
10
𝑌 = 𝐶 + 𝐼 +
𝐺 = 𝐺0
𝐺 = 𝐺0 : dépenses publiques, (variable
exogène - dépend des décisions du
Gouvernement).
11
Courbe IS (Investment - Saving) : le point de
départ est l’équation d’équilibre sur le marché des
biens et services :
𝑌 = 𝐶 + 𝐼 + 𝐺
𝐶 = 𝑐𝑌𝑑 + 𝐶0
(𝑌𝑑 = 𝑌 − 𝑇0)
𝐼 = 𝐼0 − 𝑏𝑖 𝐺 = 𝐺0
Le remplacement de C et I par leurs fonctions
respectives, (𝐺 = 𝐺0 étant une constante), permet
d’exprimer le revenu Y en fonction du taux d’intérêt
i, ce qui correspond à l’équation de la courbe IS.
12
𝑌 = 𝐶 + 𝐼 + 𝐺
𝑌 = 𝑐𝑌𝑑 + 𝐶0 + 𝐼0 − 𝑏𝑖 + 𝐺0
𝑌 = 𝑐 + 𝐶0 + 𝐼0 − 𝑏𝑖 + 𝐺0
𝑌 = 𝑐𝑌 − 𝑐𝑇0 + 𝐶0 + 𝐼0 − 𝑏𝑖 + 𝐺0
𝑌 − 𝑐𝑌 = −𝑐𝑇0 + 𝐶0 + 𝐼0 − 𝑏𝑖 + 𝐺0
𝑌 = 𝐶0 − 𝑐𝑇0 + 𝐼0 + 𝐺0 − 𝑏𝑖
𝑌 =
1
13
𝑌 =
1
1 − 𝑐
MultipliCateur Keynésien (K) Dépenses autonomes (DA)
𝐾 =
1
> 1
1 − 𝑐
𝑌 = k
𝑌 = k𝐷𝐴 − k𝑏𝑖
𝑌 = k𝐶0 − k𝑐𝑇0 + k𝐼0 + k𝐺0 − k𝑏𝑖
k× 𝐷𝐴 = Constante
14
Partant de l’équation d’équilibre sur le marché des
biens et services :
𝑌 = 𝐶 + 𝐼 + 𝐺
Nous avons ainsi déduit l’équation de la courbe IS :
= k𝐶0 − k𝑐𝑇0 + k𝐼0 + k𝐺0 − k𝑏𝑖
k× 𝐷𝐴 = Constante
La courbe IS représente l’ensemble des couples
(revenu Y ; taux d’intérêt i) qui assurent l’équilibre
sur le marché des biens et services.
15
Equation de la courbe IS :
= k𝐶0 − k𝑐𝑇0 + k𝐼0 + k𝐺0 − k𝑏𝑖
k× 𝐷𝐴 = Constante
Constante
𝑌 = k𝐷𝐴 − k𝑏𝑖 𝑖
k > 1 𝑒𝑡 − 𝑏 < 0
Donc −k𝑏 < 0
𝑌
Au niveau de la courbe IS, il
existe une relation négative
entre le revenu Y et le taux
d’intérêt i. La
décroissante.
courbe IS est
16
𝑌
A partir d’une situation d’équilibre, une augmentation du taux
d’intérêt entraine une baisse de l’investissement privé et donc
une baisse de la demande globale. Selon la logique keynésienne,
ceci se traduit par une baisse de la production (et du revenu).
La relation entre le taux d’intérêt et le revenu est négative, (la
courbe IS est décroissante).
17
Politique budgétaire expansionniste et courbe IS :
• Objectif : relancer l’activité économique.
• Instrument : augmentation des dépenses
publiques (𝛥𝐺 > 0), par hypothèse, financée par
emprunt (𝛥𝑇 = 0).
• Résultat : augmentation de la production (et du
revenu).
= k𝐶0 − k𝑐𝑇0 + k𝐼0 + k𝐺0 − k𝑏𝑖
Constante
𝑌
18
𝑌 = k𝐶0 − k𝑐𝑇0 + k𝐼0 + k𝐺0 − k𝑏𝑖
³ des dépenses publiques (𝛥𝐺 > 0)
𝑌 = k𝐶0 − k𝑐𝑇0 + k𝐼0 + k
𝑌 = k𝐶0 − k𝑐𝑇0 + k𝐼0 + k𝐺0 +
DonC
Variation de G Variation de Y
⟹
− k𝑏𝑖
− k𝑏𝑖
𝛥𝐺 > 0 ∆𝑌 = k𝚫𝐺
19
Une augmentation des dépenses publiques de 𝛥𝐺 entraine une hausse de la
production (et du revenu) de k𝛥𝐺. Cette relation trouve son explication dans
le mécanisme du multiplicateur Keynésien dont le principe est le suivant :
Une augmentation des dépenses publiques ⟹ une augmentation de la
demande globale ⟹ une hausse de la production et du revenu.
L’augmentation du revenu ⟹ une augmentation de la consommation (𝛥𝐶
= 𝑐𝛥𝑌𝑑) ⟹ une nouvelle augmentation de la demande globale ⟹ une
nouvelle hausse de la production et du revenu…
L’effet final d’une augmentation des dépenses publiques sur la production est
supérieur à l’augmentation initiale de ces dépenses.
Augmentation
initiale de G Effet final sur Y
< (k > 1)
20
𝑌 = k𝐶0 − k𝑐𝑇0 + k𝐼0 + k𝐺0 − k𝑏𝑖
³ des dépenses publiques (𝛥𝐺 > 0)
𝑌 = k𝐶0 − k𝑐𝑇0 + k𝐼0 + k𝐺0 +
𝑖
− k𝑏𝑖
𝑖𝐴
(IS)
𝐴 𝐴∗
𝑌𝐴
∆𝑌 = k𝚫𝐺
𝑌𝐴∗
𝑌
Une augmentation de Y
d’un montant k𝚫𝐺 ⟹
un déplacement de la
courbe
droite.
IS vers la
21
- Courbe LM - marché de la monnaie
- Présentation du modèle IS-LM
- Courbe IS - marché des biens et services
- Equilibre global
- Exercices
22
Courbe LM (Lquidity - Money) : le point de départ
est l’équation d’équilibre sur le marché de la
monnaie :
=
𝑀𝑂 : offre de monnaie, (variable exogène - dépend
des décisions de la Banque centrale).
𝑀𝐷 : demande de monnaie.
𝑀𝐷
𝑀𝑂
23
𝑀𝑂 =
𝑀𝐷 = 𝛼𝑌 − 𝖰𝑖 + 𝑀0
𝑀𝐷 : demande de monnaie.
𝑀0 : constante.
𝛼𝑌 : demande de monnaie pour motif de transaction et
de précaution, (Y étant le revenu).
−𝖰𝑖 : demande de monnaie pour motif de spéculation, (i
étant le taux d’intérêt).
𝛼 > 0 −𝛽 < 0
24
Demande de monnaie pour motif de spéculation et effet
balançoire , (exemple simplifié) :
Soit un titre obligataire avec les caractéristiques suivantes :
(valeur nominale : 100 DT) ; (taux d’intérêt nominal : 10%) ;
(coupon : 100 × 10% = 10 DT).
Si le taux d’intérêt reste fixe à 10%, le cours de l’obligation est
: 10⁄10% =
Si le taux d’intérêt augmente à 12%, le cours de l’obligation
est : 10⁄12% =
Si le taux d’intérêt baisse à 8%, le cours de l’obligation est :
10⁄8% =
⟹ Le demande de monnaie pour motif de spéculation est une
fonction décroissante du taux d’intérêt.
25
Courbe LM (Lquidity - Money) : le point de départ
est l’équation d’équilibre sur le marché de la
monnaie :
𝑀𝑂 = 𝑀𝐷
𝑀𝐷 = 𝛼𝑌 − 𝖰𝑖 + 𝑀0
Le remplacement de MD par sa fonctions permet
d’exprimer le revenu Y en fonction du taux d’intérêt
i, ce qui correspond à l’équation de la courbe LM.
26
𝑀𝑂 = 𝑀𝐷
𝑀𝑂 = 𝛼𝑌
𝛼𝑌 = 𝑀𝑂
𝑌 =
1
𝛼
𝖰𝑖
𝑀0
𝑀0
𝖰𝑖
𝑌 =
𝑀𝑂
𝛼
−
𝑀0
+
𝛼
𝖰
𝑖
𝛼
Constante
−
+
+
−
27
Partant de l’équation d’équilibre sur le marché de la
monnaie :
𝑀𝑂 = 𝛼𝑌 − 𝖰𝑖 + 𝑀0
Nous avons ainsi déduit l’équation de la courbe LM :
=
𝑀𝑂
𝛼
−
𝑀0
+
𝛼
Constante
La courbe LM représente l’ensemble des couples
(revenu Y ; taux d’intérêt i) qui assurent l’équilibre
sur le marché de la monnaie.
28
Au niveau de la courbe LM, il
existe une relation positive entre
le revenu Y et le taux d’intérêt i.
La courbe LM est croissante.
Equation de la courbe LM :
Constante
𝑖
=
𝑀𝑂
𝛼
−
𝑀0
+
𝛼
𝖰 > 0 𝑒𝑡 𝛼 > 0
Donc 𝖰 > 0
𝛼
29
La partie horizontale de la courbe qui
correspond à la « trappe à liquidité » : dans
ce cas, le taux d’intérêt est tellement faible
que les agents économiques préfèrent
liquider leurs portefeuilles obligataires et,
par conséquent, la demande d’encaisses
spéculatives atteint son maximum.
Deux cas particuliers sont à signaler :
𝑖
La partie verticale de la courbe : dans ce cas,
le revenu Y est tellement important que la
demande d’encaisses de transaction et de
précaution
monétaire.
absorbe toute la masse
30
𝑖 (LM) 𝑌 =
𝑀𝑂
𝛼
−
𝑀0
+
𝛼
𝖰
𝑖
𝛼
𝑖𝐵
𝐵
𝑖𝐴
𝐴
𝑌𝐴 𝑌𝐵
𝑌
A partir d’une situation d’équilibre et une offre constante sur le
marché de la monnaie, une augmentation du revenu entraine une
hausse de la demande d’encaisses de transaction, provoquant ainsi
un déséquilibre sur ce marché. La hausse du taux d’intérêt permet
de rétablir l’équilibre en diminuant la demande d’encaisses
spéculatives. La relation entre le taux d’intérêt et le revenu est
positive, (la courbe LM est croissante).
31
𝑀𝑂
𝛼𝑌
−𝖰𝑖
³ 𝑌
𝑀𝑂
𝛼𝑌
−𝖰𝑖
³ 𝑖
𝑀𝑂
𝛼𝑌
−𝖰𝑖
𝛼𝑌
↘ 𝑌
𝛼𝑌 𝛼𝑌
𝑀𝑂 𝑀𝑂
−𝖰𝑖
−𝖰𝑖
↘ 𝑖
𝑀𝑂 −𝖰𝑖
32
Politique monétaire expansionniste et courbe LM :
• Objectif : favoriser la baisse du taux d’intérêt et,
par conséquent, stimuler l’investissement et la
croissance économique.
• Instrument : augmentation de l’offre de monnaie
(𝛥𝑀𝑂 > 0).
• Résultat : baisse du taux d’intérêt, augmentation
de l’investissement et hausse de la production (et
du revenu).
=
𝛼
−
𝑀0
+
𝛼
Constante
33
𝑌 =
𝑀𝑂
𝛼
−
𝑀0
+
𝛼
𝖰
𝑖
𝛼
³ de l’offre de monnaie (𝛥𝑀𝑂 > 0)
𝑌 = −
𝑀0
+
𝛼 𝛼
𝖰
𝑖
𝛼
𝑌 =
𝑀𝑂
𝛼
+ −
𝑀0
+
𝛼
𝖰
𝑖
𝛼
Pour un revenu constant :
Baisse du taux d’interêt
⟹
34
𝑌 =
𝑀𝑂
𝛼
−
𝑀0
+
𝛼
𝖰
𝑖
𝛼
𝑌 =
𝑀𝑂
𝛼
+
𝚫𝑀𝑂
𝛼
−
𝑀0
+
𝛼
𝖰
𝑖
𝛼
𝖴
𝑖
𝑖𝐵
(LM)
𝐵
𝑖𝐵∗ 𝐵∗
∆𝑌 =
𝚫𝑀𝑂
𝛼
𝑌𝐵 𝑌
un déplacement de la
courbe IS vers la droite
d’un montant
𝚫𝑀𝑂
³ de l’offre de monnaie
(𝛥𝑀𝑂 > 0)
35
𝑖
𝑖𝐵
(LM)
𝐵
𝑖𝐵∗ 𝐵∗
𝑌𝐵
𝑌
Une augmentation de l’offre de monnaie ⟹ un déséquilibre sur le
marché de la monnaie ⟹ la baisse du taux d’intérêt permet de
rétablir l’équilibre en augmentant la demande d’encaisses
spéculatives.
En intégrant la courbe (IS) dans l’analyse :
La baisse du taux d’intérêt ⟹ une augmentation de
l’investissement privé et donc une hausse de la demande globale
⟹ une augmentation de la production (et du revenu).
un déplacement de la
courbe IS vers la droite
d’un montant
³ de l’offre de monnaie
(𝛥𝑀𝑂 > 0)
36
- Equilibre global
- Présentation du modèle IS-LM
- Courbe IS - marché des biens et services
- Courbe LM - marché de la monnaie
- Exercices
37
Condition vérifiée au point
A : équilibre sur le marché
des biens et services et
équilibre sur le marché de
la monnaie. On parle donc
d’un équilibre simultané.
L’équilibre global ou simultané correspond à
l’intersection entre la courbe IS et la courbe LM, il est
représenté graphiquement par le point A.
𝑌𝐴 𝑌
Le point A indique la combinaison du taux d’intérêt 𝑖𝐴 et
du revenu 𝑌𝐴 qui assure l’équilibre simultané sur le
marché des biens et services et le marché de la monnaie.
38
Calcul du taux d’intérêt et du revenu d’équilibre,
(𝑖𝐴 et 𝑌𝐴) :
∶ 𝑌 = k𝐶0 − k𝑐𝑇0 + k𝐼0 + k𝐺0 − k𝑏𝑖
k× 𝐷𝐴 = Constante
∶ 𝑌 =
𝑀𝑂
𝛼
−
𝑀0
+
𝛼
𝖰
𝑖
𝛼
Le calcul de 𝑖𝐴 se base sur l’équation suivante :
(IS)∩(LM) ⟹ k𝐷𝐴 − k𝑏𝑖 =
𝑀𝑂
𝛼
−
𝑀0
+
𝛼
Pour calculer 𝑌𝐴 , il suffit de remplacer le taux
d’intérêt i par sa valeur d’équilibre 𝑖𝐴 dans
l’équation (IS) ou (LM).
39
Impact d’une politique budgétaire expansionniste
sur l’équilibre global :
𝑖
(IS)
𝑖𝐵
𝑖𝐴
(IS′)
𝐵
𝐴
(LM)
Effet d’éviction
𝐶
𝑌𝐴 𝑌𝐵
∆𝑌 = k𝚫𝐺
𝑌𝐶 𝑌
40
Impact d’une politique monétaire expansionniste
sur l’équilibre global :
𝑖
𝑖𝐴
𝑖𝐵
∆𝑌 =
𝚫𝑀𝑂
𝛼

Le modèle ISL-M avec explication trés détaillée

  • 1.
  • 2.
    2 - Courbe IS- marché des biens et services - Courbe LM - marché de la monnaie - Equilibre global - Exercices - Présentation du modèle IS-LM
  • 3.
    3 Le modèle IS-LMa été proposé par Hicks en 1937, et popularisé par Hansen en 1952. Il représente un certain nombre de relations élémentaires découlant de la synthèse entre la théorie keynésienne et la théorie néoclassique, En se référant à une économie fermée où les prix sont supposés fixes, le modèle permet la détermination simultanée du taux d’intérêt et du revenu national à partir d’une interaction entre le marché des biens et services (sphère réelle) et le marché de la monnaie (sphère monétaire).
  • 4.
    4 Le modèle IS-LMse présente graphiquement comme suit : 𝑖 (IS) (LM) 𝑖𝐴 𝐴 𝑌𝐴 𝑌
  • 5.
    5 Le modèle IS-LMa été exploité, notamment, dans l’analyse des effets de la politique budgétaire (pilotée par le Gouvernement) et la politique monétaire (pilotée par la Banque centrale) sur l’économie.
  • 6.
    6 - Courbe IS- marché des biens et services - Présentation du modèle IS-LM - Courbe LM - marché de la monnaie - Equilibre global - Exercices
  • 7.
    7 Courbe IS (Investment- Saving) : le point de départ est l’équation d’équilibre sur le marché des biens et services : Offre agrégée Demande agrégée = 𝑌 : revenu, (équivalent à la production). 𝐶 : consommation. 𝐼 : investissement. 𝐺 : dépenses publiques.
  • 8.
    8 𝑐 > 0 𝑌= 𝐶 + 𝐼 + 𝐺 𝐶 = 𝑐𝑌𝑑 + 𝐶0 avec 𝑌𝑑 = 𝑌 − 𝑇0 𝐶 : consommation. 𝑌𝑑 : revenu disponible. 𝑐 : propension marginale à consommer le revenu disponible, 𝐶0 : constante. 𝑇0 : impôts, (variable exogène - dépend des décisions du Gouvernement).
  • 9.
    9 𝑌 = 𝐶+ 𝐼 + 𝐺 𝐼 = 𝐼0 − 𝑏𝑖 −𝑏 < 0 𝐼 : investissement. 𝐼0 : constante.
  • 10.
    10 𝑌 = 𝐶+ 𝐼 + 𝐺 = 𝐺0 𝐺 = 𝐺0 : dépenses publiques, (variable exogène - dépend des décisions du Gouvernement).
  • 11.
    11 Courbe IS (Investment- Saving) : le point de départ est l’équation d’équilibre sur le marché des biens et services : 𝑌 = 𝐶 + 𝐼 + 𝐺 𝐶 = 𝑐𝑌𝑑 + 𝐶0 (𝑌𝑑 = 𝑌 − 𝑇0) 𝐼 = 𝐼0 − 𝑏𝑖 𝐺 = 𝐺0 Le remplacement de C et I par leurs fonctions respectives, (𝐺 = 𝐺0 étant une constante), permet d’exprimer le revenu Y en fonction du taux d’intérêt i, ce qui correspond à l’équation de la courbe IS.
  • 12.
    12 𝑌 = 𝐶+ 𝐼 + 𝐺 𝑌 = 𝑐𝑌𝑑 + 𝐶0 + 𝐼0 − 𝑏𝑖 + 𝐺0 𝑌 = 𝑐 + 𝐶0 + 𝐼0 − 𝑏𝑖 + 𝐺0 𝑌 = 𝑐𝑌 − 𝑐𝑇0 + 𝐶0 + 𝐼0 − 𝑏𝑖 + 𝐺0 𝑌 − 𝑐𝑌 = −𝑐𝑇0 + 𝐶0 + 𝐼0 − 𝑏𝑖 + 𝐺0 𝑌 = 𝐶0 − 𝑐𝑇0 + 𝐼0 + 𝐺0 − 𝑏𝑖 𝑌 = 1
  • 13.
    13 𝑌 = 1 1 −𝑐 MultipliCateur Keynésien (K) Dépenses autonomes (DA) 𝐾 = 1 > 1 1 − 𝑐 𝑌 = k 𝑌 = k𝐷𝐴 − k𝑏𝑖 𝑌 = k𝐶0 − k𝑐𝑇0 + k𝐼0 + k𝐺0 − k𝑏𝑖 k× 𝐷𝐴 = Constante
  • 14.
    14 Partant de l’équationd’équilibre sur le marché des biens et services : 𝑌 = 𝐶 + 𝐼 + 𝐺 Nous avons ainsi déduit l’équation de la courbe IS : = k𝐶0 − k𝑐𝑇0 + k𝐼0 + k𝐺0 − k𝑏𝑖 k× 𝐷𝐴 = Constante La courbe IS représente l’ensemble des couples (revenu Y ; taux d’intérêt i) qui assurent l’équilibre sur le marché des biens et services.
  • 15.
    15 Equation de lacourbe IS : = k𝐶0 − k𝑐𝑇0 + k𝐼0 + k𝐺0 − k𝑏𝑖 k× 𝐷𝐴 = Constante Constante 𝑌 = k𝐷𝐴 − k𝑏𝑖 𝑖 k > 1 𝑒𝑡 − 𝑏 < 0 Donc −k𝑏 < 0 𝑌 Au niveau de la courbe IS, il existe une relation négative entre le revenu Y et le taux d’intérêt i. La décroissante. courbe IS est
  • 16.
    16 𝑌 A partir d’unesituation d’équilibre, une augmentation du taux d’intérêt entraine une baisse de l’investissement privé et donc une baisse de la demande globale. Selon la logique keynésienne, ceci se traduit par une baisse de la production (et du revenu). La relation entre le taux d’intérêt et le revenu est négative, (la courbe IS est décroissante).
  • 17.
    17 Politique budgétaire expansionnisteet courbe IS : • Objectif : relancer l’activité économique. • Instrument : augmentation des dépenses publiques (𝛥𝐺 > 0), par hypothèse, financée par emprunt (𝛥𝑇 = 0). • Résultat : augmentation de la production (et du revenu). = k𝐶0 − k𝑐𝑇0 + k𝐼0 + k𝐺0 − k𝑏𝑖 Constante 𝑌
  • 18.
    18 𝑌 = k𝐶0− k𝑐𝑇0 + k𝐼0 + k𝐺0 − k𝑏𝑖 ³ des dépenses publiques (𝛥𝐺 > 0) 𝑌 = k𝐶0 − k𝑐𝑇0 + k𝐼0 + k 𝑌 = k𝐶0 − k𝑐𝑇0 + k𝐼0 + k𝐺0 + DonC Variation de G Variation de Y ⟹ − k𝑏𝑖 − k𝑏𝑖 𝛥𝐺 > 0 ∆𝑌 = k𝚫𝐺
  • 19.
    19 Une augmentation desdépenses publiques de 𝛥𝐺 entraine une hausse de la production (et du revenu) de k𝛥𝐺. Cette relation trouve son explication dans le mécanisme du multiplicateur Keynésien dont le principe est le suivant : Une augmentation des dépenses publiques ⟹ une augmentation de la demande globale ⟹ une hausse de la production et du revenu. L’augmentation du revenu ⟹ une augmentation de la consommation (𝛥𝐶 = 𝑐𝛥𝑌𝑑) ⟹ une nouvelle augmentation de la demande globale ⟹ une nouvelle hausse de la production et du revenu… L’effet final d’une augmentation des dépenses publiques sur la production est supérieur à l’augmentation initiale de ces dépenses. Augmentation initiale de G Effet final sur Y < (k > 1)
  • 20.
    20 𝑌 = k𝐶0− k𝑐𝑇0 + k𝐼0 + k𝐺0 − k𝑏𝑖 ³ des dépenses publiques (𝛥𝐺 > 0) 𝑌 = k𝐶0 − k𝑐𝑇0 + k𝐼0 + k𝐺0 + 𝑖 − k𝑏𝑖 𝑖𝐴 (IS) 𝐴 𝐴∗ 𝑌𝐴 ∆𝑌 = k𝚫𝐺 𝑌𝐴∗ 𝑌 Une augmentation de Y d’un montant k𝚫𝐺 ⟹ un déplacement de la courbe droite. IS vers la
  • 21.
    21 - Courbe LM- marché de la monnaie - Présentation du modèle IS-LM - Courbe IS - marché des biens et services - Equilibre global - Exercices
  • 22.
    22 Courbe LM (Lquidity- Money) : le point de départ est l’équation d’équilibre sur le marché de la monnaie : = 𝑀𝑂 : offre de monnaie, (variable exogène - dépend des décisions de la Banque centrale). 𝑀𝐷 : demande de monnaie. 𝑀𝐷 𝑀𝑂
  • 23.
    23 𝑀𝑂 = 𝑀𝐷 =𝛼𝑌 − 𝖰𝑖 + 𝑀0 𝑀𝐷 : demande de monnaie. 𝑀0 : constante. 𝛼𝑌 : demande de monnaie pour motif de transaction et de précaution, (Y étant le revenu). −𝖰𝑖 : demande de monnaie pour motif de spéculation, (i étant le taux d’intérêt). 𝛼 > 0 −𝛽 < 0
  • 24.
    24 Demande de monnaiepour motif de spéculation et effet balançoire , (exemple simplifié) : Soit un titre obligataire avec les caractéristiques suivantes : (valeur nominale : 100 DT) ; (taux d’intérêt nominal : 10%) ; (coupon : 100 × 10% = 10 DT). Si le taux d’intérêt reste fixe à 10%, le cours de l’obligation est : 10⁄10% = Si le taux d’intérêt augmente à 12%, le cours de l’obligation est : 10⁄12% = Si le taux d’intérêt baisse à 8%, le cours de l’obligation est : 10⁄8% = ⟹ Le demande de monnaie pour motif de spéculation est une fonction décroissante du taux d’intérêt.
  • 25.
    25 Courbe LM (Lquidity- Money) : le point de départ est l’équation d’équilibre sur le marché de la monnaie : 𝑀𝑂 = 𝑀𝐷 𝑀𝐷 = 𝛼𝑌 − 𝖰𝑖 + 𝑀0 Le remplacement de MD par sa fonctions permet d’exprimer le revenu Y en fonction du taux d’intérêt i, ce qui correspond à l’équation de la courbe LM.
  • 26.
    26 𝑀𝑂 = 𝑀𝐷 𝑀𝑂= 𝛼𝑌 𝛼𝑌 = 𝑀𝑂 𝑌 = 1 𝛼 𝖰𝑖 𝑀0 𝑀0 𝖰𝑖 𝑌 = 𝑀𝑂 𝛼 − 𝑀0 + 𝛼 𝖰 𝑖 𝛼 Constante − + + −
  • 27.
    27 Partant de l’équationd’équilibre sur le marché de la monnaie : 𝑀𝑂 = 𝛼𝑌 − 𝖰𝑖 + 𝑀0 Nous avons ainsi déduit l’équation de la courbe LM : = 𝑀𝑂 𝛼 − 𝑀0 + 𝛼 Constante La courbe LM représente l’ensemble des couples (revenu Y ; taux d’intérêt i) qui assurent l’équilibre sur le marché de la monnaie.
  • 28.
    28 Au niveau dela courbe LM, il existe une relation positive entre le revenu Y et le taux d’intérêt i. La courbe LM est croissante. Equation de la courbe LM : Constante 𝑖 = 𝑀𝑂 𝛼 − 𝑀0 + 𝛼 𝖰 > 0 𝑒𝑡 𝛼 > 0 Donc 𝖰 > 0 𝛼
  • 29.
    29 La partie horizontalede la courbe qui correspond à la « trappe à liquidité » : dans ce cas, le taux d’intérêt est tellement faible que les agents économiques préfèrent liquider leurs portefeuilles obligataires et, par conséquent, la demande d’encaisses spéculatives atteint son maximum. Deux cas particuliers sont à signaler : 𝑖 La partie verticale de la courbe : dans ce cas, le revenu Y est tellement important que la demande d’encaisses de transaction et de précaution monétaire. absorbe toute la masse
  • 30.
    30 𝑖 (LM) 𝑌= 𝑀𝑂 𝛼 − 𝑀0 + 𝛼 𝖰 𝑖 𝛼 𝑖𝐵 𝐵 𝑖𝐴 𝐴 𝑌𝐴 𝑌𝐵 𝑌 A partir d’une situation d’équilibre et une offre constante sur le marché de la monnaie, une augmentation du revenu entraine une hausse de la demande d’encaisses de transaction, provoquant ainsi un déséquilibre sur ce marché. La hausse du taux d’intérêt permet de rétablir l’équilibre en diminuant la demande d’encaisses spéculatives. La relation entre le taux d’intérêt et le revenu est positive, (la courbe LM est croissante).
  • 31.
    31 𝑀𝑂 𝛼𝑌 −𝖰𝑖 ³ 𝑌 𝑀𝑂 𝛼𝑌 −𝖰𝑖 ³ 𝑖 𝑀𝑂 𝛼𝑌 −𝖰𝑖 𝛼𝑌 ↘𝑌 𝛼𝑌 𝛼𝑌 𝑀𝑂 𝑀𝑂 −𝖰𝑖 −𝖰𝑖 ↘ 𝑖 𝑀𝑂 −𝖰𝑖
  • 32.
    32 Politique monétaire expansionnisteet courbe LM : • Objectif : favoriser la baisse du taux d’intérêt et, par conséquent, stimuler l’investissement et la croissance économique. • Instrument : augmentation de l’offre de monnaie (𝛥𝑀𝑂 > 0). • Résultat : baisse du taux d’intérêt, augmentation de l’investissement et hausse de la production (et du revenu). = 𝛼 − 𝑀0 + 𝛼 Constante
  • 33.
    33 𝑌 = 𝑀𝑂 𝛼 − 𝑀0 + 𝛼 𝖰 𝑖 𝛼 ³ del’offre de monnaie (𝛥𝑀𝑂 > 0) 𝑌 = − 𝑀0 + 𝛼 𝛼 𝖰 𝑖 𝛼 𝑌 = 𝑀𝑂 𝛼 + − 𝑀0 + 𝛼 𝖰 𝑖 𝛼 Pour un revenu constant : Baisse du taux d’interêt ⟹
  • 34.
    34 𝑌 = 𝑀𝑂 𝛼 − 𝑀0 + 𝛼 𝖰 𝑖 𝛼 𝑌 = 𝑀𝑂 𝛼 + 𝚫𝑀𝑂 𝛼 − 𝑀0 + 𝛼 𝖰 𝑖 𝛼 𝖴 𝑖 𝑖𝐵 (LM) 𝐵 𝑖𝐵∗𝐵∗ ∆𝑌 = 𝚫𝑀𝑂 𝛼 𝑌𝐵 𝑌 un déplacement de la courbe IS vers la droite d’un montant 𝚫𝑀𝑂 ³ de l’offre de monnaie (𝛥𝑀𝑂 > 0)
  • 35.
    35 𝑖 𝑖𝐵 (LM) 𝐵 𝑖𝐵∗ 𝐵∗ 𝑌𝐵 𝑌 Une augmentationde l’offre de monnaie ⟹ un déséquilibre sur le marché de la monnaie ⟹ la baisse du taux d’intérêt permet de rétablir l’équilibre en augmentant la demande d’encaisses spéculatives. En intégrant la courbe (IS) dans l’analyse : La baisse du taux d’intérêt ⟹ une augmentation de l’investissement privé et donc une hausse de la demande globale ⟹ une augmentation de la production (et du revenu). un déplacement de la courbe IS vers la droite d’un montant ³ de l’offre de monnaie (𝛥𝑀𝑂 > 0)
  • 36.
    36 - Equilibre global -Présentation du modèle IS-LM - Courbe IS - marché des biens et services - Courbe LM - marché de la monnaie - Exercices
  • 37.
    37 Condition vérifiée aupoint A : équilibre sur le marché des biens et services et équilibre sur le marché de la monnaie. On parle donc d’un équilibre simultané. L’équilibre global ou simultané correspond à l’intersection entre la courbe IS et la courbe LM, il est représenté graphiquement par le point A. 𝑌𝐴 𝑌 Le point A indique la combinaison du taux d’intérêt 𝑖𝐴 et du revenu 𝑌𝐴 qui assure l’équilibre simultané sur le marché des biens et services et le marché de la monnaie.
  • 38.
    38 Calcul du tauxd’intérêt et du revenu d’équilibre, (𝑖𝐴 et 𝑌𝐴) : ∶ 𝑌 = k𝐶0 − k𝑐𝑇0 + k𝐼0 + k𝐺0 − k𝑏𝑖 k× 𝐷𝐴 = Constante ∶ 𝑌 = 𝑀𝑂 𝛼 − 𝑀0 + 𝛼 𝖰 𝑖 𝛼 Le calcul de 𝑖𝐴 se base sur l’équation suivante : (IS)∩(LM) ⟹ k𝐷𝐴 − k𝑏𝑖 = 𝑀𝑂 𝛼 − 𝑀0 + 𝛼 Pour calculer 𝑌𝐴 , il suffit de remplacer le taux d’intérêt i par sa valeur d’équilibre 𝑖𝐴 dans l’équation (IS) ou (LM).
  • 39.
    39 Impact d’une politiquebudgétaire expansionniste sur l’équilibre global : 𝑖 (IS) 𝑖𝐵 𝑖𝐴 (IS′) 𝐵 𝐴 (LM) Effet d’éviction 𝐶 𝑌𝐴 𝑌𝐵 ∆𝑌 = k𝚫𝐺 𝑌𝐶 𝑌
  • 40.
    40 Impact d’une politiquemonétaire expansionniste sur l’équilibre global : 𝑖 𝑖𝐴 𝑖𝐵 ∆𝑌 = 𝚫𝑀𝑂 𝛼