‫العالي‬ ‫التقني‬ ‫شهادة‬
Brevet de Technicien Supérieur
‫الصناعي‬ ‫المنتوج‬ ‫ابتكار‬
Conception du Produit Industriel
‫التكوين‬ ‫مرجع‬
Référentiel de Formation
Septembre 2011
Brevet de Technicien Supérieur Conception du Produit Industriel 3
‫العالي‬ ‫التقني‬ ‫شهادة‬
Brevet de Technicien Supérieur
‫الصناعي‬ ‫المنتوج‬ ‫ابتكار‬
Conception du Produit Industriel
‫التكوين‬ ‫مرجع‬
Référentiel de Formation
Septembre 2011
Brevet de Technicien Supérieur Conception du Produit Industriel 5
Table des matières
Préambule.......................................................................................................................................................7
Référentiel des Activités Professionnelles.........................................................................................................9
I - Intitulé du BTS ........................................................................................................................................................11
II - Contexte professionnel .........................................................................................................................................11
III - Description des activités professionnelles ...........................................................................................................14
Référentiel de Certification ............................................................................................................................19
I- les compétences......................................................................................................................................................21
1-1- Introduction........................................................................................................................................................21
1-2- Association des compétences aux activités professionnelles............................................................................22
1-3- Liste des compétences .......................................................................................................................................23
1-4- Compétences détaillées et indicateurs de performance ....................................................................................24
Guide d'accompagnement pédagogique.........................................................................................................31
Savoirs et savoirs associés..............................................................................................................................31
I- Savoirs .....................................................................................................................................................................33
1-1- Savoirs associés aux compétences......................................................................................................................33
II- Contenu et niveaux d’acquisition des savoirs ........................................................................................................33
2-1- Définition des savoirs..........................................................................................................................................33
2-2- Détail des savoirs.................................................................................................................................................35
Unités constitutives .......................................................................................................................................64
I- Correspondances des unités : .................................................................................................................................65
II- Définition des unités...............................................................................................................................................66
Organisation de la formation .........................................................................................................................73
I- Organisation annuelle .............................................................................................................................................74
II- Organisation hebdomadaire...................................................................................................................................74
III- Répartition des savoirs..........................................................................................................................................75
IV- Stage en milieu professionnel...............................................................................................................................77
Modalités dévaluation...................................................................................................................................78
Définitions des épreuves................................................................................................................................80
Equipements .................................................................................................................................................87
Brevet de Technicien Supérieur Conception du Produit Industriel 7
PREAMBULE
La création des filières de formation de courte durée pour l'obtention de Brevet de Technicien
Supérieur (BTS) par le ministère de l'éducation nationale en 1992 a un double objectif:
- Répondre aux besoins de l'économie nationale en cadres moyens.
- Permettre aux bacheliers de l'enseignement technique, essentiellement, de poursuivre des
études supérieures professionnalisantes et spécialisées.
Au cours de la dernière décennie, d'autres filières, répondant aux nouveaux besoins de
l'économie nationale et ouvertes aux autres bacheliers, ont été créées, notamment en l'an 2000. Le
nombre de filières est ainsi passé de huit en1992 à 27 actuellement, couvrant les principaux secteurs et
sous-secteurs économiques : industriel, commercial, TIC, bâtiment, arts et tourisme et loisir.
Les centres abritant ce type de formation se sont multipliés pour couvrir toutes les régions du
Maroc. Nanties de leurs équipements et d’un excellent niveau d’encadrement , les deux ENSET ont
été les premières à ouvrir des filières préparant au BTS aujourd'hui 40 centres, dont 34 lycées, un CFR
et 5 centres privés, abritent ce type de formation.
Le nombre d’étudiants, inscrits dans les différentes filières, est passé d'environ 400 en 93-94 à 3277
à la rentrée scolaire 2010-2011.
Certes, la trajectoire retraçant l'évolution de BTS au Maroc rappelée ci-dessus, est la plus
convenable à l'implantation et au développement d'un nouveau système de formation qui a fait son
histoire et s'est imposé comme formation de choix dans un autre environnement qui lui était favorable;
cependant le contexte social et économique Marocain connait actuellement une dynamique sans
précédent, il est en train de changer en profondeur; le système de formation doit s'y adapter.
Ce dernier a été réformé à tous les niveaux :primaire ,secondaire (collégial et qualifiant) ,et
universitaire .Les filières techniques qui représentent 70% du vivier de recrutement pour le BTS ont
connu un changement substantiel en matière de structure ,de contenus et d'approches .L'enseignement
supérieur ,auquel pourraient accéder les lauréats des filières de BTS , a adopté depuis 2003 -2004 le
système LMD caractérisé par les modules.
Par ailleurs, et afin de dynamiser son économie , le Maroc a lancé de grands chantiers structurants
: INDH, plans sectoriels de développement : plan Azur 2010, le Maroc vert ,le Pacte National pour
l'Emergence Industriel (PNEI) et les Métiers Mondiaux du Maroc (3M) qu'il est appelé à développer
notamment dans les domaines de l'Offshoring, l'automobile l'électronique et l'aérospatial ,aussi le
renforcement de l’infrastructure autoroutière, ferroviaire et portuaire, aménagement de nouvelles zones
franches et les Plateformes Industrielle Intégrées (P2I).
Pour intégrer les réformes opérées au niveau des systèmes d'éducation et de formation d'une part
,et accompagner , d'autre part ,les chantiers ouverts ,qui généreront non seulement des centaines de
milliers d'emploi et de besoin en managers, en ingénieurs et essentiellement en techniciens ,mais aussi
des dizaines de nouveaux métiers dans les domaines de l'Offshoring ,de l'aéronautique de l'automobile
,de l'électronique du bâtiment du tourisme …,une adaptation des filières s'impose d' urgence .Les
contenus des filières doivent permettre l'intégration de toutes ces nouveautés. De surcroit, l'offre doit se
développer afin de soutenir l'offre générale des autres systèmes similaires de formation en l'occurrence
les EST et les ISTA.
C'est dans ce cadre que le processus de refonte des référentiels des filières du Brevet de
Technicien Supérieur lancé en novembre 2007 a été étendu aux restes des filières.
Prenant en considération le contexte relaté ci-dessus, les référentiels de formation ont été révisés,
et seront élaborés, pour les nouvelles créations, selon l'Approche Par Compétences (APC), s'agissant
de formations à forte connotation professionnelle, laquelle approche est la mieux indiquée pour
l'élaboration des référentiels s'agissant de formations à forte connotation professionnelle. , laquelle
approche est la mieux indiquée pour l'élaboration des référentiels .En effet , avant de définir le référentiel
8 Conception du Produit Industriel Brevet de Technicien Supérieur
de certification (compétences et savoirs associés et modalité d'évaluation) , une analyse des situations
de travail (AST) ainsi que la concertation et la contribution de personnes ressources , représentant les
parties prenantes ,notamment les représentants des entreprises potentielles, est nécessaire pour définir
le référentiel des tâches et des métiers , appelé dans le jargon des spécialistes (RAP).
Afin d'assurer l'uniformité des contenus et garantir le caractère national du diplôme, la révision ou
l'élaboration de ces référentiels a été assurée par les représentants des centres de formation,
supervisée par les chargés d’inspection, coordonnateur national et administrée par les services centraux
ayant en charge le dossier BTS.
En fin, je tiens à rendre hommage aux enseignantes et enseignants, directeurs de centres, chargés
d’inspection , coordonnateur national, à nos cadres et responsables et à toute autre personne ayant
participé ou contribuée à l'élaboration de ce référentiel pour la rigueur scientifique et pédagogique dont
ils ont fait preuve et pour la qualité du produit, qui sans doute participera à l'amélioration de la formation.
Brevet de Technicien Supérieur Conception du Produit Industriel 9
Référentiel des Activités
Professionnelles
Brevet de Technicien Supérieur Conception du Produit Industriel 11
I - Intitulé du BTS
« Brevet de Technicien Supérieur Conception du Produit Industriel »
BTS CPI
II - Contexte professionnel
2-1- Description générale de la fonction de travail
Le Technicien Supérieur en Conception de Produits Industriels, pourvu d'une solide culture
technologique, d'aptitudes organisationnelles et du sens de la communication participe dans le cadre
d'une démarche de projet :
- à la conception,
- à l'industrialisation,
- au suivi de produits.
Ses compétences s'exercent dans le domaine :
- de la mécanique,
- de la technologie,
- des procédés d'élaboration et de traitement des matériaux,
- des procédés d'automatisation de la production et de l'assemblage des produits.
Associées à la maîtrise de l'outil informatique, ces compétences lui permettent de concevoir ou
d'optimiser tout ou partie de ces produits industriels, en vue d'une production unitaire ou sérielle.
Partenaire de l'équipe industrielle au sein de laquelle il exerce ses fonctions, ce technicien supérieur doit
faire preuve :
- d'ouverture d'esprit, de curiosité, d'esprit critique,
- d'imagination, de créativité et d'innovation,
- de capacité à gérer, avec ordre et méthode, des données, des informations et des dossiers,
- d'esprit d'analyse et de synthèse,
- de capacité d'interprétation, d'évaluation et de validation,
- de capacité de communication.
Il doit pratiquer au moins une langue étrangère et être capable de mener à bien, en autonomie, une
mission de moyenne ou de longue durée, sur le territoire national ou à l'étranger.
2-1-1- Définition de la fonction de travail
Le BTS CPI donne accès au métier de technicien de bureau d’études en charge de la modification,
l’amélioration, la reconception partielle ou la création de produits industriels.
Ces produits relèvent du champ général de la construction mécanique ou des constructions métalliques et
intègrent une grande diversité de matériaux et de procédés. Qu’il s’agisse de biens de consommation pour le
grand public ou de biens d’équipement pour les entreprises, ils sont largement pluri-technologiques.
Ce profil de technicien est capable d’intervenir dans différents secteurs industriels (industrie mécanique,
électrique, agroalimentaire, chimique, métallurgique...)
Pour mieux réussir sa fonction il aura pour responsabilité de transmettre les informations et les données
à ses supérieurs ainsi que ses subordonnés. Il est ainsi amené à rechercher l’information. En outre, il
doit assurer une responsabilité hiérarchique.
Ses activités l’amènent à :
 Participer à l'analyse des objectifs de conception, de modification ou de reconception d’un produit
industriel.
 Etablir un projet de construction de l'ensemble ou d'un sous ensemble (plan, nomenclature, bilan
économique).
 Réaliser des documents techniques relatifs à l'exploitation d’un produit industriel.
 Coordonner et superviser
Il doit respecter :
- les délais,
- les spécifications techniques et économiques
- les normes en vigueur
12 Conception du Produit Industriel Brevet de Technicien Supérieur
Ses responsabilités sont :
- le respect des exigences du métier,
- la coordination avec les autres services
Il doit faire preuve d’une capacité à :
- résoudre des problèmes
- réagir adéquatement et rapidement aux aléas
- faire les choix techniques
- prendre des décisions et aviser.
Ses aspects seront :
- la personnalité
- la volonté de continuer à apprendre
- la maîtrise de l’ensemble des techniques
Ces fonctions l’incitent à :
- développer des relations
- être un bon communicateur
- être motivateur
Il doit être capable de :
- susciter la collaboration
- atténuer la résistance
Il doit faire preuve :
- de rigueur
- d’autorité avec fermeté
- d’objectivité
- de discernement.
Il est appelé à :
- travailler en équipe
- transmettre des informations
- proposer des modifications et justifier
2-1-2- Description de l’environnement de travail :
Le métier s’exerce, dans les grandes entreprises, sous l’autorité d’un responsable d’études (chef de
bureau d’études) et exige davantage d’autonomie dans les PME-PMI. Dans tous les cas, il s’inscrit dans
un cadre collaboratif d’ingénierie concourante, soit au sein de l’entreprise, soit avec des partenaires ou
sous-traitants.
L’activité de conception est dépendante de l’évolution socio-économique et des exigences attenantes :
évolution des marchés, de la concurrence, échanges internationaux, développement durable et éco-
conception, réglementation et législations à l’attention des usagers…
Les mutations récentes et permanentes des outils informatiques pour l’étude et le développement des
produits constitue un atout et une obligation pour la compétitivité des entreprises : créativité, modèles
3D, outils de calcul, de simulation de procédés, bases de données techniques, prototypage, production
et contrôle numérisés…
La diversité et l’évolution des matériaux comme celles des procédés d’élaboration des ensembles
mécaniques conduit le technicien de bureau d’étude à une veille permanente, à des contacts fréquents
avec des spécialistes «métiers» et induit une aptitude à l'analyse concurrentielle.
Intervenir dans une action de conception, de reconception ou d’amélioration impose un travail
collaboratif important et en conséquence une réelle aptitude à la communication.
Toutefois, une amélioration des mesures relatives à la santé et la sécurité concernant l’aménagement
des postes doit être prise en considération
2-1-3- Evolution technologique et facteurs d’intérêt pour l’exercice de la fonction de travail
- S’orienter vers des systèmes plus complexes en opposition aux systèmes de base
- Introduire et s’adapter à la nouvelle technologie
- Rechercher l’optimisation de la matière et du temps
- Minimiser le prix de revient en utilisant des outils d’optimisation
- Satisfaire des clients plus exigeants en qualité et productivité
Brevet de Technicien Supérieur Conception du Produit Industriel 13
2-1-4- Appellations courantes de la fonction de travail
- Responsable de bureau d’études,
- Contremaître,
- Chef de groupe,
2-1-5- Perspective d’avancement et cheminement d’emploi
- Directeur d’entreprises
- Directeur technique
- Possesseur d’une petite entreprise.
14 Conception du Produit Industriel Brevet de Technicien Supérieur
III - Description des activités professionnelles
3-1- Fonctions et activités et tâches professionnelles
Les activités professionnelles décrites ci-après, déclinées à partir des fonctions d'entreprise, constituent
le référentiel des activités professionnelles. Les activités sont ensuite déclinées en tâches
professionnelles.
Fonctions Activités professionnelles
Etude
Définition des limites d’étude A1
Constitution du dossier d’étude A2
Réalisation et
industrialisation
Conception préliminaire A3
Conception détaillée A4
Suivi de produit A5
Communication Animation et coordination d'équipes A6
3-1- Fonctions et activités et tâches professionnelles
Le tableau ci-dessous présente les activités professionnelles et les tâches professionnelles qui leur sont
associées.
Activité professionnelle Tâches professionnelles
A1- Définition des limites de l’étude
T1-1 Décodage d’un cahier des charges fonctionnel.
T1-2 Reformulation d’un besoin.
T1-3 Elaboration de tout ou partie d’un cahier des charges
fonctionnel (éventuellement sur site).
T1-4 Dialogue avec un chef de projet ou un chargé d’affaires.
T1-5 Participation à la prise en compte de l’environnement de
l’étude.
Conditions de réalisation des taches :
A partir d’une demande émise par le responsable du bureau d’étude fournie par un client et validée par
le responsable de l’entreprise, le technicien supérieur en conception du Produit industriel :
 contribue à l’explicitation du besoin, éventuellement par contact direct avec le donneur d’ordre
et par déplacement sur site,
 formalise, en autonomie, tout ou partie du cahier des charges. Le cahier des charges élaboré
est validé par le client et par le responsable de l’entreprise.
Activité professionnelle Tâches professionnelles
A2- Constitution du dossier d’étude
T2-1 Recherche documentaire.
T2-2 Consultation des normes.
T2-3 Consultation des bases de données techniques et
méthodologiques de l’entreprise.
T2-4 Analyse de solutions existantes.
T2-5 Intégration des contraintes de propriété industrielle.
T2-6 Recensement de la logistique de production.
Brevet de Technicien Supérieur Conception du Produit Industriel 15
Conditions de réalisation des taches :
A partir d’un cahier des charges validé, le technicien supérieur en conception du Produit industriel
exploite, en toute autonomie, des bases de données locales (réseau) et à distance (Internet) pour
constituer tout ou partie d’un dossier d’étude.
Ce dossier intègre les résultats d’analyses concurrentielles qu’il conduit, les tests comparatifs, les
brevets, les normes, les règlements, tient compte des contraintes de l’entreprise et de ses sous
traitants (concept d’entreprise étendue) et des délais imposés.
Le dossier d’étude doit être validé par le responsable de l’entreprise ou du bureau d’étude qui peut
décider de recherches complémentaires.
Activité professionnelle Tâches professionnelles
A3- Conception préliminaire
T3-1 Recherche de principes de solutions.
T3-2 Recherche de solutions constructives et élaboration de la
maquette numérique de conception préliminaire.
T3-3 Validation des lois « d’entrées-sorties» pour les systèmes
de transformation de mouvement et de transmission de
puissance.
T3-4 Analyse critique de solutions.
T3-5 Prise en compte des coûts et délais.
T3-6 Argumentation au sein d’un groupe projet en vue d’une
validation de l’étude préliminaire.
Conditions de réalisation des taches :
Au sein d’une équipe projet, à partir d’un cahier des charges et du dossier d’étude et dans des délais
imposés, le technicien supérieur de conception du Produit industriel argumente relativement aux
solutions constructives qu’il propose et intègre les préoccupations des autres membres de l’équipe.
L’environnement informatique lui permet de procéder aux simulations de comportement utiles.
Après validation par le chef de projet, il réalise en autonomie une maquette numérique de tout ou partie
du système étudié répondant aux caractéristiques attendues et en cohérence avec l’ensemble des
préoccupations de l’équipe projet.
Activité professionnelle Tâches professionnelles
A4- Conception détaillée.
T4-1 Conception collaborative et prise en compte des contraintes
de conception partagée.
T4-2 Réalisation du modèle numérique 3D de l’étude.
T4-3 Choix et dimensionnement de composants.
T4-4 Dimensionnement des structures.
T4-5 Étude de préindustrialisation et dialogue avec un spécialiste
pour l’optimisation de la relation « produit (fonction et géométrie)
- matériau - procédé - coût ».
T4-6 Prise en compte des exigences de la vie du produit
(maintenabilité, réparabilité, sécurité, ergonomie, utilisation,
esthétique, élimination....).
T4-7 Spécification des conditions de fonctionnement.
16 Conception du Produit Industriel Brevet de Technicien Supérieur
Conditions de réalisation de l’activité :
A partir d’un dossier de conception préliminaire, toutes les propositions ayant été validées par le
responsable de l’entreprise ou du bureau d’étude, le technicien supérieur en conception du Produit
industriel exploite les
potentialités des environnements informatiques (modeleurs 3D et logiciels de simulation associés) pour
élaborer, en autonomie, le modèle numérique.
Il procède au choix des composants et au prédimensionnement des structures dans les cas simples ; il
s’adresse à un spécialiste de l’entreprise ou à un bureau de calcul pour les cas complexes ou
sensibles.
Afin de prendre en compte les contraintes de préindustrialisation, il communique de façon autonome
avec des spécialistes métiers et intègre leurs recommandations.
Brevet de Technicien Supérieur Conception du Produit Industriel 17
Activité professionnelle Tâches professionnelles
A5- Constitution du dossier de
définition de produit.
T5-1 Elaboration du modèle numérique définitif et des
représentations graphiques dérivées.
T5-2 Réalisation des dessins de définition de produits finis, cotés,
tolérancés.
Conditions de réalisation des taches :
Après validation des fichiers numériques par le chef de projet, le titulaire du BTS CPI affine le modèle
numérique, et réalise, en autonomie l’ensemble des fichiers de mise en plan, élabore l’intégralité de
leur cotation, leur habillage et, éventuellement, édite la liasse de plans et les nomenclatures.
Activité professionnelle Tâches professionnelles
A6- Animation et coordination
d’équipes
T6-1 Contribution à la traçabilité (gestion des modifications,
archivage) d’une étude.
T6-2 Formulation et transmission d’une information technique,
d’un savoir-faire.
Conditions de réalisation des taches :
Dans le cadre du bureau d’études où il intervient le technicien supérieur en conception du Produit
industriel intègre les éléments de la démarche qualité imposés par l’entreprise ; il contribue en toute
autonomie à la traçabilité de l’étude.
Il est capable, en autonomie, de construire une communication technique en français et en anglais
relative au projet. Il s’exprime sur son activité lors des diverses revues de projet.
Référentiel de Certification
Brevet de Technicien Supérieur Conception du Produit Industriel 21
I- les compétences
1-1- Introduction
Les entreprises doivent en permanence, pour être compétitives sur des marchés de plus en plus
concurrentiels, adapter leurs produits aux besoins évolutifs de leurs clients et pour cela les optimiser et
en créer de nouveaux.
Les bureaux d'études, lieu de convergence de l'information et du savoir-faire de l'entreprise, s'organisent
de plus en plus sous forme d'équipes de projets, capables d'intégrer dans la conception de chaque
produit les objectifs de performances, de qualité et de coût.
A cet effet, ils prennent en compte les contraintes de l'entreprise telles que l'industrialisation et les
délais.
Dans ce contexte général très exigeant, l'innovation, la maîtrise de la valeur, la veille technologique
(produits techniques, procédés), l'informatisation des méthodes de conception, la maîtrise du système
d'information et de décisions, les techniques nouvelles de production (ingénierie simultanée), sont des
points clés pour les entreprises.
Le titulaire du BTS CPI est, après une période d'adaptation en entreprise, un spécialiste de conception,
de définition et de spécification des produits industriels relatifs à divers secteurs de biens (d'équipement,
intermédiaires et de consommation).
Dans ce cadre, le Technicien Supérieur CPI, spécialiste de mécanique, doit posséder les capacités à
intégrer toutes les informations provenant des autres disciplines pour les synthétiser dans son activité
principale de conception.
Le Technicien Supérieur CPI est donc un professionnel de formation polyvalente à dominante principale
de mécanicien.
Il doit posséder une formation technique, scientifique et humaine suffisamment ouverte pour :
- participer, dans le cadre d'une démarche de projet, à la conception, à la définition et à
l'industrialisation des produits,
- participer à la recherche et à l'innovation,
- participer à la gestion des ressources humaines,
- participer au suivi des produits (installation, mise en service, notices, gestion des informations en
retour sur la vie des produits).
Il évolue dans des entreprises de toutes tailles exerçant leurs activités dans la plupart des secteurs
économiques :
- Industries de la mécanique,
- Industries de biens d'équipement,
- Industries des transports, aéronautique,
- Industries de l'armement,
- Industries électriques,
- Industries des bio-technologies,
- Industries médicales et pharmaceutiques.
C'est dans ce cadre que ce référentiel a été élaboré.
Afin de conserver les liens qui les unissent dans les situations de travail, les compétences sont
développées par tâche professionnelle. Certaines compétences sont nécessaires à l’accomplissement
de différentes tâches associées aux activités professionnelles.
22 Conception du Produit Industriel Brevet de Technicien Supérieur
1-2- Association des compétences aux activités professionnelles
Activités professionnelles Compétences
A1- Définition des limites de
l’étude
C01- Décoder un cahier des charges fonctionnel.
C02- Recenser les contraintes de l’étude.
C03- Reformuler et synthétiser un cahier des charges fonctionnel résultant
d’une verbalisation écrite ou orale.
A2- Constitution du dossier
d’étude
C04- Analyser, comparer des solutions techniques et argumenter.
C05- Dégager les principes qui régissent les solutions techniques.
C06- Rechercher une information dans une documentation technique, dans
un réseau local ou à distance.
C07- Identifier les moyens techniques de production disponibles.
C08- Intégrer les contraintes de la propriété industrielle.
A3- Conception préliminaire
C09- Rechercher et expliciter un principe de solution.
C10- Proposer ou expliciter sous forme de croquis ou de schéma, commenté,
légendé, une solution constructive.
C11- Elaborer la maquette numérique de conception préliminaire à l’aide d’un
modeleur volumique, paramétrable, variationnel.
C12- Argumenter, au sein d’un groupe projet, les solutions techniques et
économiques proposées en exploitant les outils adaptés.
C13- Valider une géométrie ou une architecture, par simulation informatique
ou calcul élémentaire des comportements mécaniques.
C14- Estimer la durée d’étude attendue en phase avec le jalonnement d’un
projet et recenser les éléments du coût.
A4- Conception détaillée.
C15- Choisir un composant en exploitant une base de données industrielle,
mécanique ou électrique.
C16- Générer le modèle numérique de l’ensemble étudié en établissant un
paramétrage fonctionnel permettant la construction de géométries robustes.
C17- Définir les spécifications de fonctionnement.
C18- Prédimensionner les éléments essentiels du projet en appliquant la
théorie des poutres.
C19- Exploiter un logiciel de calcul de structures
C20- Choisir un matériau et un procédé d’élaboration compatible avec les
fonctions et formes de la pièce.
C21- Intégrer les exigences ou propositions d’un spécialiste du procédé.
C22- Intégrer les exigences de la vie du produit.
C23- Valider le comportement du système conçu au regard du cahier des
charges fonctionnel.
A5- Constitution du dossier de
définition de produit.
C24- Élaborer le modèle numérique définitif et les représentations graphiques
dérivées.
C25- Réaliser des dessins de définition de produits finis, cotés, tolérancés.
A6- Animation et coordination
d’équipes
C26- Intégrer une action d’étude dans une démarche « qualité ».
C27- Contribuer à l’archivage, à la traçabilité de l’étude et à la capitalisation
des expériences dans les bases de données techniques de l’entreprise.
C28- Choisir un mode de communication approprié. Communiquer
synthétiquement par courrier électronique.
C29- Rédiger et présenter oralement, dans un français correct et avec les
outils de communication adaptés, un rapport exploitant un vocabulaire
technique pertinent.
C30- Lire un document technique en anglais ; participer à un échange
technique en anglais.
Brevet de Technicien Supérieur Conception du Produit Industriel 23
1-3- Liste des compétences
Compétences Code
Décoder un cahier des charges fonctionnel. C01
Recenser les contraintes de l’étude. C02
Reformuler et synthétiser un cahier des charges fonctionnel. C03
Analyser, comparer des solutions techniques et argumenter. C04
Dégager les principes qui régissent les solutions techniques. C05
Rechercher une information. C06
Identifier les moyens techniques de production disponibles. C07
Intégrer les contraintes de la propriété industrielle. C08
Rechercher et expliciter un principe de solution. C09
Proposer ou expliciter une solution constructive. C10
Elaborer la maquette numérique de conception préliminaire. C11
Argumenter, au sein d’un groupe projet, les solutions techniques et économiques. C12
Valider une géométrie ou une architecture, par simulation informatique. C13
Estimer la durée d’étude attendue et recenser les éléments du coût. C14
Choisir un composant en exploitant une base de données. C15
Générer le modèle numérique de l’ensemble étudié. C16
Définir les spécifications de fonctionnement. C17
Prédimensionner les éléments essentiels du projet en appliquant la théorie des poutres. C18
Exploiter un logiciel de calcul de structures C19
Choisir un matériau et un procédé d’élaboration. C20
Intégrer les exigences ou propositions d’un spécialiste du procédé. C21
Intégrer les exigences de la vie du produit. C22
Valider le comportement du système conçu au regard du cahier des charges fonctionnel. C23
Elaborer le modèle numérique définitif et les représentations graphiques dérivées. C24
Réaliser des dessins de définition de produits finis, cotés, tolérancés. C25
Intégrer une action d’étude dans une démarche « qualité ». C26
Contribuer à l’archivage, à la traçabilité de l’étude et à la capitalisation des expériences dans les
bases de données techniques de l’entreprise.
C27
Choisir un mode de communication approprié. C28
Rédiger et présenter oralement, avec une langue étrangère. C29
Lire un document technique en une langue étrangère. C30
24 Conception du Produit Industriel Brevet de Technicien Supérieur
1-4- Compétences détaillées et indicateurs de performance
C01 Décoder un cahier des charges fonctionnel
Données Compétence détaillée indicateur de performance
 Le cahier des charges
fonctionnel du produit.
 Décrire le besoin.
 Décrire la frontière de l’étude.
 Énoncer les fonctions de
service du produit.
 Identifier, pour une fonction
technique donnée : critères,
niveaux, flexibilité.
 Exactitude et précision de
l’énoncé du besoin.
 Exhaustivité du recensement
des interfaces de l’étude.
 Exactitude des
caractéristiques attendues
pour une fonction donnée.
C02 Recenser les contraintes de l’étude
Données Compétence détaillée indicateur de performance
 Les moyens techniques et
logiciels potentiellement
disponibles.
 Les partenaires potentiels
de l’étude.
 Les délais attendus de
l’étude.
 Les contraintes
économiques.
 Les contraintes de propriété
industrielle.
 Identifier et lister les contraintes
liées :
 à l’équipe projet,
 aux moyens techniques
 disponibles,
 à l’environnement,
 aux conditions économiques,
 aux différents partenaires.
 Exhaustivité des contraintes
identifiées.
C03 Reformuler et synthétiser un cahier des charges fonctionnel.
Données Compétence détaillée indicateur de performance
 L’expression du besoin
formulée par le client sous
diverses formes : écrit, oral,
description graphique,
imagerie, présentation du
réel et de son
environnement...
 Éventuellement, une
première expression du
cahier des charges de
l’étude proposée.
 La frontière de l’étude.
 Recueillir et consigner,
éventuellement sur le site, les
données permettant l’élaboration
de tout ou partie d’un cahier des
charges.
 Reformuler tout ou partie d’un
cahier des charges fonctionnel
fourni.
 Présenter oralement le cahier
des charges de l’étude
proposée.
 Exhaustivité de la liste des
fonctions à étudier.
 Précision des critères, des
niveaux, de la flexibilité.
 Clarté, précision, synthèse
de l’exposé.
 Validation par le client et/ou
par le chef de projet.
C04 Analyser, comparer des solutions techniques et argumenter.
Données Compétence détaillée indicateur de performance
 Des solutions techniques
en réponse à une fonction
technique donnée sous
forme de :
 plans, schémas, croquis,
 modèles virtuels,
 mécanismes réels.
 Dégager des paramètres, des
critères de comparaison des
solutions techniques en regard
du cahier des charges
fonctionnel.
 Pondérer chacun des critères.
 Classer les différentes solutions
techniques.
 Communiquer oralement ou par
écrit à propos du système
technique.
 Exhaustivité des paramètres
à prendre en compte.
 Exactitude du classement.
 Pertinence des
commentaires et de
l’analyse.
Brevet de Technicien Supérieur Conception du Produit Industriel 25
C05 Dégager des principes qui régissent des solutions techniques.
Données Compétence détaillée indicateur de performance
 Une ou des solutions
techniques en réponse à
une fonction technique
donnée sous forme de :
plans, schémas, croquis,
modèles virtuels,
mécanismes réels.
 Identifier l’élément, le principe
qui caractérise ou qui
différencie la ou les solutions.
 Classer les différentes
solutions techniques suivant
ces principes.
 Éventuellement déterminer
d’autres principes utilisables
pour cette fonction technique.
 Qualité de synthèse.
 Exactitude du principe
identifié.
 Exactitude du classement
réalisé.
 Pertinence des principes
proposés et niveau de
créativité.
C06 Rechercher une information
Données Compétence détaillée indicateur de performance
 Les catalogues des
constructeurs.
 Les bases de données
locales ou à distance.
 Des méthodes de
recherche, de tri et de
classement.
 Mettre en œuvre une démarche
de recherche d’information.
 Classer, hiérarchiser des
informations.
 Synthétiser une information.
 Exactitude et rapidité de la
démarche pour l’obtention de
l’information.
 Brièveté et exactitude de la
synthèse.
C07 Identifier les moyens techniques de production disponibles.
Données Compétence détaillée indicateur de performance
 Le cadre et les contraintes
de l’étude.
 Les moyens de réalisation
disponibles en local ou en
soustraitance.
 Recenser, lister les moyens
techniques et humains.
 Identification des moyens
 nécessaires et de leurs
caractéristiques.
 Exhaustivité des moyens
 recensés et disponibles.
C08 Intégrer les contraintes de la propriété industrielle.
Données Compétence détaillée indicateurs de performance
 Le cadre et les contraintes
de l’étude.
 Les organismes et les
procédures de protection
industrielle.
 Les moyens d’accès aux
informations nécessaires.
 Les informations
éventuelles sur la
concurrence.
 Définir la partie de l’étude à protéger.
 Rechercher et identifier les
éventuelles antériorités et leur niveau
de protection.
 Participer aux démarches de
protection : enveloppe Soleau,
brevet...
 Dialogue r avec les responsables
des agences de propriété
industrielles.
 Exactitude de la frontière
de l’étude concernée.
 Exhaustivité des
antériorités.
 Pertinence des
contributions aux
démarches de protection
industrielle.
C09 Rechercher un principe de solution.
Données Compétence détaillée
indicateurs de
performance
 Une fonction technique étant
identifiée et spécifiée dans
le cahier des charges.
 Des principes de solutions
relatifs à des fonctions
techniques similaires sont
éventuellement disponibles.
 Des méthodes de créativité,
éventuellement en appui sur
des logiciels spécifiques.
 Rechercher le ou les principes,
existants ou innovants qui satisfont la
fonction étudiée
 Exactitude du principe
retenu.
26 Conception du Produit Industriel Brevet de Technicien Supérieur
C10 Proposer, ou expliciter une solution constructive.
Données Compétence détaillée
indicateurs de
performance
 Les documents techniques
et normatifs de la solution
retenue.
 Les bases de données
locales et/ou à distances.
 Élaborer un croquis et/ou un schéma.
 Légender un croquis ou un schéma.
 Commenter un croquis ou un schéma.
 Lisibilité et clarté des
schémas et croquis.
 Précision des légendes.
 Pertinence des
commentaires.
C11 Elaborer la maquette numérique de conception préliminaire
Données Compétence détaillée
indicateurs de
performance
 Le cahier des charges
fonctionnel.
 Les moyens informatiques
(logiciel de CAO 3D
paramétré, variationnel).
 Croquis et schémas d’étude
préliminaire.
 Bibliothèque d’éléments
standards.
 Choisir un modèle de création
(surfacique, volumique).
 Etablir un arbre de construction selon
une méthode appropriée (conception
dans l’assemblage, conception avec
esquisse pilotante...).
 Choisir des contraintes d’assemblage.
 Adéquation du modèle
de création avec le type
de produit.
 Pertinence de
l’exploitation des
fonctionnalités du
logiciel.
 Logique, lisibilité, de
l’arbre de construction
proposé.
 Corrélation entre
contraintes
d’assemblage et mobilité
fonctionnelle.
Brevet de Technicien Supérieur Conception du Produit Industriel 27
C12 Argumenter, au sein d’un groupe projet, les solutions techniques et économiques.
Données Compétence détaillée indicateurs de performance
 Les croquis, schémas... d’études
préliminaires.
 Des bases de données locales
et/ou à distances.
 La base de données du
«savoirfaire » de l’entreprise.
 Des abaques.
 Des catalogues de constructeurs.
 Les informations relatives aux
divers coûts : composants,
matière, procédés.
 Décrire une solution technique
selon un critère du cahier des
 charges fonctionnel (CdCf).
 Argumenter une solution au
sein du groupe.
 Pertinence des critères
techniques et économiques
retenus.
 Logique et objectivité de
l’argumentation.
C13 Valider une géométrie ou une architecture par simulation informatique
Données Compétence détaillée indicateurs de performance
 Les solutions techniques
envisageables.
 Un outil informatique de
modélisation et simulation
mécanique et sa documentation
associée.
 Créer un modèle d’étude
adapté.
 Mettre en œuvre l'outil
informatique ou le protocole de
calcul élémentaire, utilisant le
modèle d’étude retenu.
 Analyser et interpréter les
résultats.
 Pertinence du modèle
proposé.
 Validité des entrées.
 Exactitude des résultats et
qualité de leur
interprétation.
C14 Estimer la durée d’étude
Données Compétence détaillée indicateurs de performance
 La frontière, les conditions et les
moyens techniques de l’étude.
 Le plan prévisionnel du projet
dans lequel s’inscrit l’étude.
 Les bases de données techniques
de l’entreprise avec,
éventuellement des informations
sur les temps relatifs aux études
antérieures.
 Les éléments de calcul des coûts
prévisionnels : internes,
fournisseurs, outilleurs,
fabricants...
 Situer l’étude dans le plan
général du projet et identifier
les antériorités et les
simultanéités.
 Déterminer les délais
prévisionnels de l’étude.
 Recenser les éléments de coût
à prendre en compte.
 Respect du plan de travail.
 Exhaustivité des éléments
de coût prévisionnels.
C15 Choisir un composant en exploitant une base de données industrielle.
Données Compétence détaillée indicateurs de performance
 Le cahier des charges fonctionnel.
 Les lois de comportement
attendues.
 Les logiciels, abaques, catalogues
de constructeurs. Les croquis et
schémas d’étude préliminaire.
 Inventorier les critères de choix.
 Réaliser un choix pondéré
multicritères.
 Utiliser les procédures de choix
de composants (sur
catalogues, CD ROM ou en
ligne sur des sites industriels).
 Adéquation des critères de
choix avec le cahier des
charges fonctionnel.
 Respect de la démarche
de choix de composant.
 Pertinence du choix.
C16 Générer le modèle numérique de l’ensemble étudié.
Données Compétence détaillée indicateurs de performance
 Les moyens informatiques
(logiciel de CAO 3D,
paramétré, variationnel).
 Le modèle numérique 3D du
sous ensemble issu de la
conception préliminaire.
 Etablir un paramétrage
géométrique incluant les
contraintes de conception
 Corrélation entre paramétrage
et chaîne fonctionnelle.
 Robustesse, portabilité du
modèle.
 Minimisation des contraintes
d’assemblage.
28 Conception du Produit Industriel Brevet de Technicien Supérieur
C17 Définir les spécifications de fonctionnement.
Données Compétence détaillée
indicateurs de
performance
 Le cahier des charges
fonctionnel.
 Le modèle numérique 3D.
 Les mises en plan 2D.
 Identifier et quantifier les
conditions de bon fonctionnement
Établir les chaînes géométriques
traduisant les conditions
fonctionnelles.
 Pertinence des conditions
fonctionnelles identifiées.
 Exactitude des chaînes
géométriques.
C18 Prédimensionner les éléments essentiels du projet en appliquant la théorie des poutres.
Données Compétence détaillée
indicateurs de
performance
 La maquette numérique de
conception préliminaire.
 Les actions mécaniques
appliquées.
 Éventuellement un aide mémoire
des cas simples de la théorie
des poutres.
 Éventuellement, un logiciel de
RDM.
 Les données sur les propriétés
mécaniques des matériaux.
 Définir les éléments à
dimensionner.
 Choisir un modèle d’étude adapté.
 Justifier les hypothèses
simplificatrices retenues.
 Utiliser le modèle avec l'outil
adapté.
 Analyser et interpréter les
résultats.
 Pertinence de l’élément à
dimensionner.
 Pertinence du modèle
d’étude retenu.
 Respect de la démarche
de calcul.
 Exactitude de
l’interprétation des
résultats.
C19 Exploiter un logiciel de calcul de structures.
Données Compétence détaillée
indicateurs de
performance
 La maquette numérique de
conception préliminaire.
 Les actions mécaniques
appliquées.
 Un logiciel de calcul de tructure.
 Les données sur les propriétés
mécaniques des matériaux.
 Les résultats des calculs
effectués par un logiciel de calcul
de structures (édités ou
disponibles sur un poste
informatique).
 Définir les éléments à
dimensionner.
 Choisir le module de calcul
adapté.
 Proposer les modèles de
chargement.
 Identifier les conditions aux limites
de l’étude.
 Identifier les éléments
dimensionnés.
 Décoder et interpréter les
résultats.
 Pertinence du modèle
d’étude retenu.
 Respect de la démarche
de calcul.
 Exactitude de
l’interprétation
 des résultats.
 Pertinence des
conclusions.
C20 Choisir un matériau et un procédé d’élaboration.
Données Compétence détaillée
indicateurs de
performance
 Le cahier des charges
fonctionnel du produit.
 Les croquis, schémas et/ou
modèle numérique 3D de la
pièce concernée.
 Les bases de données sur les
procédés et les matériaux.
 Éventuellement, un logiciel
d’aide à la décision pour le choix
du couple matériau/procédé.
 Éventuellement, les modules
métiers et les moyens de
simulation relatifs au(x)
procédé(s) envisagés.
 Éventuellement, les moyens
nécessaires à la mise en œuvre
d’essais.
 Vérifier l’aptitude du matériau de
la pièce à satisfaire les conditions
fonctionnelles ou d’élaboration
attendue : usinabilité, formabilité,
moulabilité... dureté, résistance à
la corrosion...
 Vérifier la compatibilité entre les
formes de la pièce et le (ou les)
procédé(s) d’obtention
(éventuellement par exploitation
de modules « métiers » des
logiciels).
 Pertinence du choix du
matériau au regard de
critères
technicoéconomiques.
 Compatibilité du couple
matériau/procédé au
regard de la géométrie et
des fonctions de la pièce.
Brevet de Technicien Supérieur Conception du Produit Industriel 29
C21 Intégrer les exigences ou propositions d’un spécialiste d’un procédé.
Données Compétence détaillée indicateurs de performance
 Les éléments économiques :
lots, délais, coût prévisionnel.
 Le cahier des charges
fonctionnel du produit.
 La maquette numérique de
conception préliminaire.
 L’esquisse ou le modèle
numérique de la pièce
concernée.
 Éventuellement, les résultats
de la simulation du procédé
d’obtention de la pièce étudiée
à l’aide d’un module métier.
 Un spécialiste du procédé et/ou
son rapport d’analyse sur la
pièce à fabriquer.
 Énoncer les contraintes
économiques de la pièce à
fabriquer.
 Énoncer les critères privilégiés
pour le choix initial du couple
matériau/procédé.
 Identifier les incidences du
procédé sur l’homogénéité de
la matière, sur les
caractéristiques mécaniques
du matériau.
 Définir avec précision la
géométrie de la pièce
compatible avec le procédé.
 Échanger avec un spécialiste
du procédé.
 Exhaustivité et exactitude des
contraintes et critères énoncés.
 Exhaustivité des incidences du
procédé à prendre en compte.
 Compatibilité de la géométrie
de la pièce avec le procédé et
l’ensemble de ses contraintes.
C22 Intégrer les exigences de la vie du produit.
Données Compétence détaillée indicateurs de performance
 Le cahier des charges
fonctionnel du produit.
 Des données et/ou des
spécialistes sur les processus
de fabrication, d’assemblage,
de conditionnement, de
livraison, d’utilisation, de SAV,
de destruction du produit.
 Les normes en vigueur
relatives à la sécurité des
personnes et des biens, à la
préservation de
l’environnement.
 Inventorier les exigences des
diverses étapes du cycle de
vie du produit.
 Traduire les incidences sur la
définition du produit et,
éventuellement sur les
diverses notices de vente,
d’installation, de mise en
service, d’utilisation,
d’entretien, de service après
vente, de destruction.
 Exhaustivité des contraintes
repérées.
 Exactitude des modifications
proposées.
 Précision des spécifications
indiquées sur les diverses
notices.
C23 Valider le comportement du système conçu au regard du chier des charges fonctionnel.
Données Compétence détaillée indicateurs de performance
 Le cahier des charges
fonctionnel du produit.
 La maquette numérique de
conception détaillée du produit.
 Des logiciels de calcul et
simulation mécanique.
 Définir les éléments à valider
et les critères d’étude.
 Choisir un modèle adapté à la
précision de la vérification
attendue.
 Utiliser le modèle conclure
quant au comportement
attendu.
 Pertinence de l’étude
proposée.
 Validité du modèle, de l’outil de
simulation choisis et de la
démarche mise en œuvre.
C24 Elaborer le modèle numérique définitif et les représentations graphiques dérivées.
Données Compétence détaillée indicateurs de performance
 Le modèle numérique de
l’étude avec ses spécifications
fonctionnelles.
 Le contrat final attendu pour
l’étude concernée.
 Les matériaux et les procédés
retenus.
 Les normes de la cotation et du
tolérancement.
 Utiliser les fonctionnalités du
modeleur 3D pour éditer les
documents techniques
attendus selon divers points
de vue :
 conception,
 spécification,
 maintenance,
 commercial,
 utilisation,
 Exhaustivité des documents
techniques attendus.
 Qualité de l’organisation de
l’habillage.
 Précision des informations.
 Respect des normes.
30 Conception du Produit Industriel Brevet de Technicien Supérieur
C25 Réaliser des dessins de définition de produits finis, cotés, tolérancés.
Données Compétence détaillée indicateurs de performance
 Le modèle numérique, ses
spécifications fonctionnelles
et les mises en plan
nécessaires.
 Les matériaux et procédés
retenus.
 Les normes en vigueur.
 Le coût prévisionnel.
 Éventuellement des logiciels
de quantification et de
simulation d’une cotation.
 Rechercher, pour chaque condition
fonctionnelle, la (ou les)
spécification(s) relative(s) à la pièce
considérée.
 Quantifier les spécifications (en
dimensions et spécifications de formes
ou de positions relatives).
 Indiquer les spécifications sur le
document de définition de la pièce.
 Pertinence des spécifications
retenues.
 Cohérence des valeurs des
spécifications au regard des
fonctionnalités, des procédés
et du coût prévisionnel..
 Respect des normes en
vigueur.
C26 Intégrer une action d’étude dans une démarche « qualité ».
Données Compétence détaillée indicateurs de performance
 L’organigramme de
l’entreprise.
 Le plan qualité de
l’entreprise.
 Intégrer son action dans le plan qualité
de l’entreprise.
 Participer à l’encadrement ou à la
formation de stagiaires ou de
personnels dans l’entreprise.
 Respect des procédures «
qualité » de l’entreprise.
 Niveau de l’implication
personnelle.
C27 Contribuer à l’archivage, à la traçabilité de l’étude et à la capitalisation des expériences.
Données Compétence détaillée indicateurs de performance
 Le dossier complet de
l’étude.
 Les bases de données de
l’entreprise, (archivage
matériel ou logiciel).
 Rechercher les mots clés de l’étude et,
éventuellement, coder selon le
protocole de l’entreprise.
 Classer l’étude et gérer la
configuration en cours.
 Pertinence des mots clés.
 Exactitude du codage.
 Validité du classement.
C28 Choisir un mode de communication approprié.
Données Compétence détaillée indicateurs de performance
 Un logiciel de messagerie
pour réseau local ou à
distance.
 Un module spécifique d’une
plate forme collaborative.
 Rédiger un courrier électronique
concis.
 Diffuser ou réceptionner un, courrier
électronique.
 Annoter un modèle numérique.
 Concision, précision et
 lisibilité du message.
C29 Rédiger et présenter oralement.
Données Compétence détaillée indicateurs de performance
 Tout ou partie d’une étude
technique.
 Éventuellement un glossaire
de vocabulaire technique,
un dictionnaire
 orthographique, un
dictionnaire des synonymes.
 Les moyens matériels et
logiciels de présentation de
rapports.
 Rédiger un rapport.
 Inventorier les mots clés et rédiger un
plan synthétique du rapport.
 Choisir les documents techniques et
les animations essentiels.
 Réaliser la présentation orale de
l’étude technique concernée à l’aide
des moyens audiovisuels adaptés.
 Lisibilité du rapport écrit.
 Logique de la démarche
proposée.
 Exactitude des mots clés et
pertinence des illustrations.
 Précision du vocabulaire et
clarté de l’expression orale.
C30 Lire un document technique avec une langue étrangère
Données Compétence détaillée indicateurs de performance
 Un document technique écrit
en langue anglaise.
 Un ou des interlocuteurs
s’exprimant en anglais et un
sujet technique identifié à
priori.
 Décrire en anglais les points clés de
l’étude.
 Dialoguer en anglais sur le sujet
avec un ou des interlocuteurs.
 Rédiger en français le résumé d’un
échange avec un ou des interlocuteurs
s’étant exprimés en langue étrangère.
 Exactitude de la formulation
en langue anglaise.
 Exactitude des idées
comprises et traduites en
français
Brevet de Technicien Supérieur Conception du Produit Industriel 31
Guided’AccompagnementPédagogique
32 Conception du Produit Industriel Brevet de Technicien Supérieur
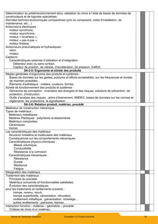
Savoirs et savoirs associés
I- Savoirs
Les compétences identifiées dans le tableau récapitulatif mobilisent des savoirs qui renvoient à des
disciplines d'enseignement général ou scientifique et technique.
L’analyse des différentes situations de travail, liées aux tâches, a permis de lister les savoirs
indispensables associés aux compétences.
Les savoirs généraux (tels que les langues) font partie intégrante du diplôme et peuvent être communs à
plusieurs BTS.
Les savoirs scientifiques et techniques définissent les contenus de formation liés au BTS-CPI.
1-1- Savoirs associés aux compétences
Les savoirs associés aux compétences ont été organisés autour de 11 thèmes distincts (S1 à S11), dont
5 qui sont communs à plusieurs BTS.
La liste ci-dessous donne les savoirs avec leurs codes.
Savoir Code
Langues S1
Techniques d’expression et de communication S2
Mathématiques S3
Mécanique industrielle S4
Représentation d’un produit technique S6
Industrialisation du produit S5
Physique appliquée S7
Motorisation et commande des systèmes S8
Cultures Economique et Juridique S9
Hygiène, sécurité et santé S10
Activités pratiques professionnelles S11
II- Contenu et niveaux d’acquisition des savoirs
2-1- Définition des savoirs
S1 : Langues
S1-1- Arabe
S1-2- Français
S1-3- Anglais
S2 : Techniques d’Expression et de Communication
S2-1- Concepts de base de la communication
S2-2- Communication orale professionnelle
S2-3- Recherche de stage
S2-4- Communication écrite professionnelle
S2-5- Préparation à l’insertion professionnelle
S3 : Mathématiques
S3-1- Séries
S3-2- Nombres complexes et géométrie élémentaire
S3-3- Fonctions usuelles et équations différentielles linéaires
S3-4- Analyse et géométrie différentielle
S3-5- Fonctions à deux variables
S3-6- Algèbre linéaire et géométrie affine
S3-7- Espaces vectoriels euclidiens et géométrie euclidienne
S3-8- Statistiques et probabilités
S4 : Mécanique industrielle
S4-1- Comportement des systèmes techniques
S4-2- Comportements dynamique et énergétique des équipements
34 Conception du Produit Industriel Brevet de Technicien Supérieur
S4-3- Construction des systèmes technique
S4-4- Organisation et suivi d’un projet
S4-5- Transmission et transformation de mouvements
S5 : Industrialisation des produits
S5-1- L’entreprise industrielle
S5-2- La relation conception, industrialisation, production, contrôle
S5-3- Les procédés d’obtention des produits
S5-4- travaux pratiques de fabrication mécanique
S6 : Représentation d’un produit technique
S6-1- Outils à développer en phase recherche de solutions
S6-2- Utilisation de modeleurs volumiques pour l'obtention de modèles 3D en phase d'étude
S6-3- Fonctionnalités des modeleurs utiles en phase exploitation
S7 : Physique appliquée
S7-1- Comportement dynamique d’un système électrique et mécanique
S7-2- Machines électriques
S7-3- Mécanique des fluides et thermique
S8 : Motorisation et commande des systèmes
S8-1- Conception des produits utilisant l’énergie électrique
S8-2- Sécurité électrique
S8-3- Outils de représentation normalisée
S8-4- Régimes de fonctionnement
S8-5- Automatismes et automatique
S8-6- Partie commande
S8-7- Partie Opérative
S8-8- Asservissement
S9 Culture Economique et Juridique
S9-1- Environnement Economique
S9-2- Environnement juridique
S9-3- Création d’entreprise
S10 Hygiène, sécurité et santé
S10-1- Typologie de la Sécurité
S10-2- Techniques d’amélioration de la sécurité :
S10-3- Matériels pour fonction de sécurité
S10-4- Santé et Sécurité au travail
S11 Activités pratiques professionnelles
Brevet de Technicien Supérieur Conception du Produit Industriel 35
2-2- Détail des savoirs
2-2-1- savoirs transversaux
S1 : Langues
S1-1- Arabe
‫توطئ‬
‫ـــ‬
‫ة‬
:
ً‫ف‬ ‫للتدرٌس‬ ‫كلغة‬ ‫متقدما‬ ‫موقعا‬ ‫وتحتل‬ ،ً‫المغرب‬ ً‫والثقاف‬ ‫اللغوي‬ ‫الحقل‬ ‫داخل‬ ‫متمٌز‬ ‫بوضع‬ ‫العربٌة‬ ‫اللغة‬ ‫تحظى‬
‫أن‬ ‫على‬ ‫وأكد‬ ،‫البالد‬ ‫ومقدسات‬ ‫ثوابت‬ ‫ضمن‬ ‫والتكوٌن‬ ‫للتربٌة‬ ً‫الوطن‬ ‫المٌثاق‬ ‫عدها‬ ‫حٌث‬ ،‫الوطنٌة‬ ‫التربوٌة‬ ‫المنظومة‬
‫الع‬ ‫مجاالت‬ ‫مختلف‬ ً‫ف‬ ‫واستعمالها‬ ‫تعزٌزها‬
‫من‬ ‫مجموعة‬ ‫واقترح‬ ،‫وطنٌا‬ ‫طموحا‬ ‫وسٌبقى‬ ‫ٌزال‬ ‫وال‬ ‫كان‬ ‫والحٌاة‬ ‫لم‬
ً‫العلم‬ ‫للتعلٌم‬ ‫اختٌارٌة‬ ‫شعب‬ ‫فتح‬ ‫ضرورة‬ ‫استلزم‬ ‫كما‬ ،‫كفاٌاتها‬ ‫من‬ ‫التمكن‬ ‫من‬ ‫للرفع‬ ‫والبٌداغوجٌة‬ ‫التنظٌمٌة‬ ‫التدابٌر‬
.‫العربٌة‬ ‫باللغة‬ ‫الجامعات‬ ‫مستوى‬ ‫على‬ ً‫والبٌداغوج‬ ً‫والتقن‬
‫االستعج‬ ‫البرنامج‬ ‫ساهم‬ ‫وقد‬ ،‫هذا‬
‫ضمن‬ ‫أكد‬ ‫حٌث‬ ،‫والتكوٌن‬ ‫للتربٌة‬ ً‫الوطن‬ ‫المٌثاق‬ ‫خطوات‬ ‫دعم‬ ً‫ف‬ ‫بدوره‬ ً‫ال‬
‫اللغات‬ ‫تعلٌم‬ ‫تطوٌر‬ ‫مشروع‬
ً‫ف‬ ‫ونص‬ ،"‫وتقوٌته‬ ‫العربٌة‬ ‫اللغة‬ ‫تعلٌم‬ ‫تجدٌد‬ ‫"دعم‬ ‫على‬
‫التعلٌم‬ ‫تطوٌر‬ ‫برنامج‬ ‫مشروع‬
ً‫العال‬ ً‫والتقن‬ ً‫التقن‬
".ً‫العال‬ ً‫التقن‬ ‫بشهادة‬ ‫الخاصة‬ ‫المقررات‬ ‫وتحٌٌن‬ ‫"توحٌد‬ ‫على‬
‫باالس‬
‫شهادة‬ ‫تحضٌر‬ ‫بأقسام‬ ‫خاص‬ ‫العربٌة‬ ‫للغة‬ ‫بدٌل‬ ‫منهاج‬ ‫تقدٌم‬ ‫ٌتم‬ ‫العام‬ ‫إطارها‬ ً‫وف‬ ‫السابقة‬ ‫المرجعٌات‬ ‫إلى‬ ‫تناد‬
ً‫اآلت‬ ً‫الوصف‬ ‫الملف‬ ‫وفق‬ ً‫العال‬ ً‫التقن‬
:
I
-
ً‫العال‬ ً‫التقن‬ ‫شهادة‬ ‫تحضٌر‬ ‫بأقسام‬ ‫العربٌة‬ ‫اللغة‬ ‫منهاج‬ ‫من‬ ‫المستهدفة‬ ‫الكفاٌات‬
:
1
-
1
-
‫التواصلٌة‬ ‫الكفاٌة‬
:
-
‫ال‬ ‫كفاٌة‬
‫الشفوي‬ ‫تعبٌر‬
:

‫الشفوي‬ ‫التواصل‬ ‫أدبٌات‬ ‫تمثل‬
.)...‫التركٌز‬ ،‫االستماع‬ ،‫(االنتباه‬

.‫شفوٌا‬ ‫واستعادتها‬ ‫النصوص‬ ‫مضامٌن‬ ‫وفهم‬ ‫استٌعاب‬

. ‫شفوٌة‬ ‫رسالة‬ ‫إنتاج‬

‫األشكال‬ ،‫األحجام‬،‫والوضعٌات‬ ‫اإلٌحاءات‬ ،‫اإلٌماءات‬ ،‫الحركات‬ ،‫(النظرات‬ ً‫التلفظ‬ ‫غٌر‬ ‫التواصل‬ ‫رموز‬ ‫فك‬
.)...‫واأللوان‬

‫مراعا‬
.)...‫الحروف‬ ‫مخارج‬ ‫وخصوصٌات‬ ‫التنغٌم‬ ( ‫السلٌم‬ ‫التلفظ‬ ‫قواعد‬ ‫ة‬
‫حول‬ ‫وظٌفٌة‬ ‫تطبٌقات‬ ‫إنجاز‬ ً‫ٌنبغ‬ ‫الكفاٌة‬ ‫هذه‬ ‫لتفعٌل‬
:

.)‫االرتجال‬ ‫تقنٌة‬ ( ‫عرض‬ ‫إلقاء‬ ‫مهارة‬

.)‫ومناقشة‬ ‫تعقٌب‬ ،‫تعلٌق‬ ( ‫كلمة‬ ‫أخذ‬

.)‫مستدٌرة‬ ‫مائدة‬ ،‫مناظرة‬ ،‫(ندوة‬ ‫اجتماع‬ ‫تسٌٌر‬

.‫الهاتف‬ ‫عبر‬ ‫التواصل‬
-
‫التع‬ ‫كفاٌة‬
ً‫الكتاب‬ ‫بٌر‬
:

.‫المٌسرة‬ ‫العربٌة‬ ‫اللغة‬ ‫استعمال‬ ‫على‬ ‫التحفٌز‬

.‫دراسته‬ ‫ومسالك‬ ‫بتخصصه‬ ‫المتصل‬ ‫البحث‬ ‫مجاالت‬ ً‫ف‬ ‫اللغوٌة‬ ‫قدراته‬ ‫توظٌف‬ ‫من‬ ‫الطالب‬ ‫تمكٌن‬

. ‫النصوص‬ ‫مختلف‬ ‫وتحلٌل‬ ‫إنتاج‬ ً‫ف‬ ‫اللغة‬ ‫علوم‬ ‫توظٌف‬

.‫للمقام‬ ‫المناسب‬ ‫المقال‬ ‫واختٌار‬ ‫وأسالٌبه‬ ‫التعبٌر‬ ‫صٌغ‬ ‫تنوٌع‬

‫ع‬ ‫التحفٌز‬
. ‫واإلبداع‬ ‫الكتابة‬ ‫لى‬
‫حول‬ ‫وظٌفٌة‬ ‫تطبٌقات‬ ‫إنجاز‬ ً‫ٌنبغ‬ ‫الكفاٌة‬ ‫هذه‬ ‫لتفعٌل‬
:

.‫مقروء‬ ‫لنص‬ ‫أقالم‬ ‫رؤوس‬ ‫تدوٌن‬ ‫مهارة‬

.‫مقروء‬ ‫نص‬ ‫وتلخٌص‬ ‫تكثٌف‬

.‫فكرة‬ ‫توسٌع‬
1
-
2
-
‫المنهجٌة‬ ‫الكفاٌة‬
:
: ‫على‬ ‫القدرة‬ ‫تحقٌق‬

.‫دراسة‬ ‫أو‬ ‫بحث‬ ‫مشروع‬ ‫أو‬ ‫لموضوع‬ ‫تصمٌم‬ ‫وضع‬

‫للبحث‬ ‫الخزانات‬ ‫جذاذات‬ ‫استعمال‬
.‫والمراجع‬ ‫المصادر‬ ‫عن‬

‫الرقمٌة‬ ‫والمراجع‬ ‫المدمجة‬ ‫واألقراص‬ ‫المعطٌات‬ ‫وبنوك‬ ‫والموسوعات‬ ‫القوامٌس‬ ً‫ف‬ ‫البحث‬ ‫منهجٌة‬ ‫من‬ ‫التمكن‬
.‫اإللكترونٌة‬ ‫والمواقع‬
36 Conception du Produit Industriel Brevet de Technicien Supérieur

.‫والفهارس‬ ‫واألماكن‬ ‫األعالم‬ ‫ودالئل‬ ‫البٌبلٌوغرافٌا‬ ‫وتصنٌف‬ ‫الهوامش‬ ‫إعداد‬ ‫تقنٌات‬ ‫اكتساب‬

‫واستثمار‬ ‫وتصنٌفها‬ ‫المعلومات‬ ‫انتقاء‬
. ‫والصور‬ ‫والوثائق‬ ‫البٌانات‬

.‫النتائج‬ ‫واستجماع‬ ‫المركزة‬ ‫الخالصات‬ ‫تركٌب‬
‫حول‬ ‫وظٌفٌة‬ ‫تطبٌقات‬ ‫إجراء‬ ً‫ٌنبغ‬ ‫الكفاٌة‬ ‫هذه‬ ‫لتفعٌل‬
:

.‫الربط‬ ‫وأدوات‬ ‫الترقٌم‬ ‫عالمات‬ ‫توظٌف‬

. ‫تركٌبٌة‬ ‫أو‬ ‫داللٌة‬ ‫متوالٌات‬ ‫أو‬ ‫وحدات‬ ‫إلى‬ ‫وتقسٌمه‬ ‫النص‬ ‫تمفصالت‬ ‫تحدٌد‬

‫األد‬ ‫األجناس‬ ‫بٌن‬ ‫التمٌٌز‬ ‫مهارة‬
‫الخطاب‬ ‫أشكال‬ ‫ومختلف‬ )...‫الرحلة‬ ،‫الشعر‬ ،‫القصة‬ ،‫الرواٌة‬ ،‫(السٌرة‬ ‫بٌة‬
.)...ً‫الحجاج‬ ،‫التفسٌري‬ ،‫اإلخباري‬ ،‫الحواري‬ ،ً‫الوصف‬ ، ‫(السردي‬
1
-
3
-
‫الثقافٌة‬ ‫الكفاٌة‬
:

.‫العصر‬ ‫ورهانات‬ ‫بقضاٌا‬ ً‫وع‬ ‫تحصٌل‬

.‫والتكنولوجٌة‬ ‫والعلمٌة‬ ‫الثقافٌة‬ ‫العصر‬ ‫مستجدات‬ ‫مساٌرة‬

ً‫الت‬ ‫التحدٌات‬ ‫إدراك‬
.‫العولمة‬ ‫عصر‬ ً‫ف‬ ‫العرب‬ ‫تواجه‬

.‫صورة‬ ‫قراءة‬ ‫تقنٌات‬ ‫استثمار‬
‫حول‬ ‫وظٌفٌة‬ ‫تطبٌقات‬ ‫إجراء‬ ً‫ٌنبغ‬ ‫الكفاٌة‬ ‫هذه‬ ‫لتفعٌل‬
:

.‫والثانٌة‬ ‫األولى‬ ‫السنتٌن‬ ً‫ف‬ ‫المقترحة‬ ‫المضامٌن‬ ‫تطابق‬ ‫مختارة‬ ‫نصوص‬ ‫استثمار‬
1
-
4
-
‫اإلستراتٌجٌة‬ ‫الكفاٌة‬
:

‫الثقاف‬ ‫على‬ ‫واالنفتاح‬ ‫المغربٌة‬ ‫الحضارة‬ ‫مقومات‬ ‫تمثل‬
.‫اإلنسانٌة‬ ‫ة‬

.‫اآلخر‬ ‫الرأي‬ ‫واحترام‬ ‫التفتح‬ ‫وقٌم‬ ‫بالنفس‬ ‫الثقة‬ ‫قٌم‬ ‫تعزٌز‬

.‫اإلٌجابٌة‬ ‫والمٌوالت‬ ‫المواقف‬ ‫تعزٌز‬

.‫الفردٌة‬ ‫المبادرة‬ ‫وروح‬ ‫النقدي‬ ‫الحس‬ ‫تكوٌن‬
‫حول‬ ‫وظٌفٌة‬ ‫تطبٌقات‬ ‫إجراء‬ ً‫ٌنبغ‬ ‫الكفاٌة‬ ‫هذه‬ ‫لتفعٌل‬
:

‫الظواه‬ ‫إزاء‬ ‫وبراهٌن‬ ‫بحجج‬ ‫معلل‬ ‫موقف‬ ‫واتخاذ‬ ‫الرأي‬ ‫إبداء‬ ‫مهارة‬
. ‫المدروسة‬ ‫والقضاٌا‬ ‫ر‬
II
-
: ‫المستهدفة‬ ‫للكفاٌات‬ ‫الدٌدكتٌكٌة‬ ‫والدعامات‬ ‫الوسائل‬

.‫المقترحة‬ ‫والظواهر‬ ‫بالقضاٌا‬ ‫عالقة‬ ‫لها‬ ‫موضوعات‬ ‫تعالج‬ ‫مختارة‬ ‫نصوص‬ ‫توظٌف‬

. ‫مكتبٌة‬ ‫خدمات‬ ‫من‬ ‫االستفادة‬

‫ا‬ ‫أجهزة‬ ،‫بصرٌة‬/‫سمعٌة‬ ،‫سمعٌة‬ ‫أشرطة‬ ، ‫وثائق‬ ،‫بٌانات‬ ، ‫صور‬ ( ‫بصرٌة‬ ‫سمعٌة‬ ‫دعائم‬ ‫توظٌف‬
‫لحاسوب‬
.)...‫العاكس‬ ‫والمسالط‬

. ‫وخرجات‬ ‫مٌدانٌة‬ ‫بزٌارات‬ ‫القٌام‬

.‫الجماعٌة‬ ‫والبحوث‬ ‫العروض‬ ‫استثمار‬

.‫وإنجازا‬ ‫إعدادا‬ ‫الطلبة‬ ‫فٌها‬ ‫ٌشارك‬ ‫مستدٌرة‬ ‫موائد‬ ‫أو‬ ‫ندوات‬ ‫تنظٌم‬

.‫مدمجة‬ ‫بأنشطة‬ ‫التعزٌز‬
III
-
ً‫العال‬ ً‫التقن‬ ‫شهادة‬ ‫تحضٌر‬ ‫أقسام‬ ً‫ف‬ ‫العربٌة‬ ‫اللغة‬ ‫منهاج‬ ‫مضامٌن‬
‫األ‬ ‫ـة‬‫ن‬‫الس‬
‫لول‬
‫عبمة‬ ‫وظواهر‬ ‫قضبيب‬
:
: ‫العولمة‬ ‫محور‬

.‫ٔانٕٓيخ‬ ‫انؼٕنًخ‬

.‫ٔاالقتصبد‬ ‫انؼٕنًخ‬

.ٌ‫اإلَسب‬ ‫حقٕق‬ ‫ٔثقبفخ‬ ‫انؼٕنًخ‬
‫والمجتمع‬ ‫االقتصاد‬ ‫محور‬
:

.‫انؼزثي‬ ‫انغذائي‬ ٍ‫األي‬

‫انتجؼيخ‬ ‫يجذأ‬ ‫ٔتزسيخ‬ ‫األديغخ‬ ‫ْجزح‬

.‫ٔانًجتًغ‬ ‫االقتصبد‬ ‫تًُيخ‬ ‫في‬ ِ‫ٔآثبر‬ ‫انجذيذ‬ ‫انًؼهٕيبتي‬ ‫انُظبو‬
‫الترجم‬ ‫محور‬
‫المثاقفة‬ ‫ورهانات‬ ‫ة‬
:

.‫ٔانتزجًخ‬ ‫انؼزثيخ‬ ‫انهغخ‬

. ‫انثقبفبد‬ ‫ٔحٕار‬ ‫انتزجًخ‬
Brevet de Technicien Supérieur Conception du Produit Industriel 37

.‫ٔانتًُيخ‬ ‫انتزجًخ‬
:‫اإلنسانٌة‬ ‫القٌم‬ ‫محور‬

.‫انقيى‬ ‫أسيخ‬ ‫يٕاجٓخ‬ ‫في‬ ٍ‫انف‬

.‫ٔانجْٕز‬ ‫انًظٓز‬ ٍ‫ثي‬ ‫انجًبل‬ ‫قيًخ‬

.)‫ٔاالجتًبػي‬ ‫انفكزي‬ ‫(انًذنٕل‬ ‫انحزيخ‬ ‫قيًخ‬
‫التواصل‬ ‫تقنيبت‬
:

،ّ‫شزٔط‬ ،ّ‫إَٔاػ‬ :‫انتٕاصم‬ ‫يفٕٓو‬
.ّ‫يؼيقبت‬

.)‫إداريخ‬/ ‫(شخصيخ‬ ‫رسبنخ‬ ‫تحزيز‬ ‫تقُيبد‬

.‫سيزح‬ ‫َٓج‬ ‫كتبثخ‬

‫كتبثخ‬
.‫تذريت‬ ٍ‫ي‬ ‫االستفبدح‬ ‫طهت‬
‫ـة‬‫ن‬‫الس‬
‫الثانية‬
‫عبمة‬ ‫وظواهر‬ ‫قضبيب‬
:
:)‫البصرٌة‬ ‫الثقافة‬ ( ‫الصورة‬ ‫ثقافة‬ ‫محور‬

.‫ٔٔظبئفٓب‬ ‫يكَٕبتٓب‬ ‫انسيًُب؛‬

.‫ٔانجيئخ‬ ‫انؼًبرح‬ ٍ‫ف‬

.‫ٔاإلثذاع‬ ‫االتجبع‬ ٍ‫ثي‬ ‫انؼزثي‬ ‫انًسزح‬
‫ال‬ ‫محور‬
: ‫والمعلومٌات‬ ‫تكنولوجٌا‬

.‫انزقًيخ‬ ‫ٔانثٕرح‬ ‫انؼزثيخ‬ ‫انهغخ‬

.)‫انٕراثيخ‬ ‫انُٓذسخ‬ ،‫انجيئخ‬ (‫انؼصز‬ ‫ٔيشكالد‬ ‫انؼهى‬

.‫ٔانتًُيخ‬ ‫اإلػالو‬
:‫والتراث‬ ‫محورالحداثة‬

.‫ٔانتحذيث‬ ‫انتقهيذ‬ ٍ‫ثي‬ ‫انؼزثي‬ ‫انًجتًغ‬

.‫ٔانؼبنًيخ‬ ‫انًحهيخ‬ ٍ‫ثي‬ ‫تزاثُب‬

.‫انتحذيث‬ ‫ٔرْبَبد‬ ‫انًذَي‬ ‫انًجتًغ‬
‫وا‬ ‫اإلنسان‬ ‫محور‬
:‫لمستقبل‬

.‫انؼهًي‬ ‫انخيبل‬ ‫أدة‬

.ٌ‫اإلَسب‬ ‫ٔيستقجم‬ ‫انؼهًي‬ ‫انتُجؤ‬

.‫انًستقجم‬ ‫ٔصُبػخ‬ ‫انتزثيخ‬
‫التواصل‬ ‫تقنيبت‬
:
‫الخطاب‬ ‫تحلٌل‬ ‫آلٌات‬ ً‫ف‬ ‫متخصصة‬ ‫بنصوص‬ ‫المكتسبات‬ ‫هذه‬ ‫ودعم‬ ‫وأنواعه‬ ‫التواصل‬ ‫مفهوم‬ ‫حول‬ ‫الطالب‬ ‫مكتسبات‬
.
‫كتابتها‬ ‫وتقنٌات‬ ‫اإلدارٌة‬ ‫المراسالت‬ ‫حول‬ ‫الطلبة‬ ‫مكتسبات‬ ‫تعزٌز‬
:

.‫استًبرح‬ ‫إػذاد‬

.‫تقزيز‬ ‫تحزيز‬

.‫يقبثهخ‬ ‫إجزاء‬
‫ـة‬‫م‬‫ها‬ ‫ـات‬‫ظ‬‫مالح‬
1
-
‫نهاٌة‬ ً‫ف‬ ‫جمٌعها‬ ‫منها‬ ‫التمكن‬ ً‫ٌستوف‬ ‫أن‬ ‫على‬ ً‫تدرٌج‬ ‫بشكل‬ ‫المستهدفة‬ ‫الكفاٌات‬ ‫جمٌع‬ ً‫ف‬ ‫الطالب‬ ‫ٌمتحن‬
.)‫والثانٌة‬ ‫األولى‬ ‫السنتٌن‬ ‫مستوى‬ ‫على‬ ‫المادة‬ ‫أساتذة‬ ‫بٌن‬ ‫التنسٌق‬ ‫(ٌرجى‬ ‫الثانٌة‬ ‫السنة‬
2
-
‫ٌرا‬ ‫ما‬ ‫األستاذ‬ ً‫ٌنتق‬
.‫طلبته‬ ‫الحتٌاجات‬ ‫المدرك‬ ‫باعتباره‬ ‫المٌسرة‬ ‫والبالغٌة‬ ‫اللغوٌة‬ ‫الدروس‬ ‫من‬ ‫مناسبا‬ ‫ه‬
3
-
‫الثقافة‬ ‫مؤلفات‬ ‫من‬ ‫مؤلف‬ ‫وقراءة‬ ‫اختٌار‬ ‫على‬ ‫األولى‬ ‫السنة‬ ‫طلبة‬ ‫مع‬ ‫األستاذ‬ ‫ٌتعاقد‬ ‫القرائٌة‬ ‫المهارات‬ ‫لتعزٌز‬
‫العربٌة‬
‫المستمرة‬ ‫المراقبة‬ ‫ضمن‬ ‫الجزائٌة‬ ‫قٌمته‬ ‫تحتسب‬ ‫أن‬ ‫على‬
.
4
-
‫الن‬ ‫استثمار‬ ‫ٌمكن‬
‫الكفاٌات‬ ‫وتخدم‬ ‫المقترحة‬ ‫للمحاور‬ ‫تستجٌب‬ ً‫الت‬ ‫العربٌة‬ ‫اللغة‬ ‫إلى‬ ‫المترجمة‬ ‫صوص‬
.‫المستهدفة‬
5
-
.‫لذلك‬ ‫الضرورة‬ ‫دعت‬ ‫كلما‬ ‫للتحٌٌن‬ ‫قابلة‬ ‫المنهاج‬ ‫وحدات‬
38 Conception du Produit Industriel Brevet de Technicien Supérieur
S1 : Langues
S1-2- Français
Introduction :
L'enseignement du français dans les classes de préparation du BTS vise la maîtrise de l'expression
orale et écrite qui permettent ainsi à l’apprenant de :
- s'insérer dans le groupe des pairs : en mesurant en quoi la construction de soi passe par le
rapport avec les autres
- s'insérer dans l'univers professionnel : en comprenant les enjeux sociaux et économiques des
discours professionnels
Ainsi, par la progression du programme de français (1 et 2), on veut atteindre les objectifs suivants :
I - Finalités
L'enseignement du français au BTS a pour finalité l'acquisition de quatre compétences :
- entrer dans l'échange oral : écouter, réagir, s'exprimer ;
- entrer dans l'échange écrit : lire, analyser, écrire ;
- devenir un lecteur compétent et critique ;
- confronter des savoirs et des valeurs pour construire son bagage avant d’intégrer le monde
professionnel.
II - Capacités
La compréhension de soi, du monde environnant, de l'univers professionnel, prend appui sur les
capacités suivantes :
Savoir organiser sa pensée, savoir réfléchir
- reformuler ce que l'on vient d'apprendre et expliquer ce que l'on vient de faire ;
- effectuer une recherche et confronter des informations ;
- mobiliser ses connaissances, les formaliser, les réutiliser ;
- passer du préjugé au raisonnement.
Savoir lire, savoir écrire
- lire tous les discours et tous les genres de textes ;
- saisir l'organisation et les enjeux des messages écrits et oraux ;
- prendre en compte le destinataire ; choisir le type de discours attendu dans une production écrite
ou orale ;
- utiliser une langue correcte et les codes requis dans une situation de communication.
Savoir s'exprimer à l'oral et à l'écrit, savoir écouter
- se dire, dire le monde, avec un vocabulaire précis (narration, description, exposition) ;
- prendre sa place dans les débats contemporains (argumentation) ;
- prendre conscience des usages personnels et sociaux de la langue, les réutiliser.
Contenu du programme :
Langue :
Cohérence du
discours et du texte
- Procédés de reprise, substituts, pronoms personnels
- Connecteurs logiques
- Citation du discours d'autrui (discours direct, indirect, reformulation,
verbes introducteurs, attribution de la citation)
- Modalisation
Cohérence
grammaticale
- Accords en genre et en nombre.
- Expansion du nom, adjectifs et adverbes
- Nominalisation
- Types de phrases
- Phrase simple et phrase complexe (coordination et juxtaposition)
Cohérence lexicale
- Champ lexical, lexiques spécialisés
- Registre de langue
Brevet de Technicien Supérieur Conception du Produit Industriel 39
Activités d'expression orale :
Apprentissage de la voix - Prendre la parole dans le débat, travailler l'élocution lors d'un exposé
- S'exercer à lire à haute voix des textes non littéraires (clarté de la
diction)
Écoute et prise en compte
de la parole de l'autre
- Suivre un débat et soutenir son attention dans la durée
- Reformuler, résumer l'argumentation d'autrui avant de la commenter,
de la discuter, de la réfuter
Affirmation de soi dans le
groupe
- Se présenter en vue d'une intégration dans le groupe, d'un entretien
d'embauche
- Expliquer ce qu'on a fait, comment on l'a fait, pourquoi on l'a fait
- Raconter une activité réalisée à l'atelier, une journée de stage
- Tenir un rôle, construire une posture dans une argumentation
Échange et action orale
- Prendre en compte le destinataire en fonction de l'effet à produire : le
soutenir dans son point de vue, l'étonner, le faire réagir, le contredire,
l'apaiser
- Gérer son temps de parole en fonction des autres
Activités d'expression écrite :
Rédiger un texte fonctionnel Résumé, synthèse, un texte explicatif, etc.
Rédiger un dialogue Une argumentation sous la forme d'un dialogue par exemple.
Rédiger un texte argumentatif
Exposé d'une opinion personnelle, compte rendu d'un débat
argumenté, demande argumentée, etc.
Première année
Activités de langue :
 Les types de phrases
 Les constituants fondamentaux de la phrase
 Les constituants du groupe nominal (nom, déterminant)
 L’expansion du groupe nominal :
 l’adjectif qualificatif
 le complément de nom
 l’apposition
 Les constituants du groupe verbal
 Les verbes et ses formes
 Les conjugaisons :
 les formes simples
 les formes composées
 autres formes verbales
 la forme pronominale
 la concordance des temps
 l’accord des verbes (er / pp) et le choix de l’auxiliaire
 Verbes transitifs et verbe intransitifs
 De la phrase simple à la phrase complexe : la coordination
 De la phrase simple à la phrase complexe : la subordination
 La ponctuation grammaticale
 Le lexique :
 la composition
 la suffixation, la préfixation
 paronymie, homonymie, polysémie, antonymie, synonymie,
40 Conception du Produit Industriel Brevet de Technicien Supérieur
 le sens d’un mot : sens propre, figuré, dénotation, connotation, champ lexical, champ
sémantique …
 le rythme et la chronologie dans un texte : ellipse, anticipation, retour en arrière,
dilatation, pause, scène, sommaire
Activités orales (1 heure par quinzaine)
L’activé orale peut être programmée une fois par quinzaine sous forme de :
 Jeux de rôle
 Lecture diction
 Mini exposé
 Table ronde
 Débat
Production écrite :
La production écrite doit être un prolongement de l‘étude de texte
 Evaluer les acquis : remettre en ordre des paragraphes : découvrir la structure (plan)
 Savoir observer un texte : disposition, particularité (titre, date, nom de l’auteur…) : indiquer
les types de textes : narratif, prescriptif…
 Caractériser un texte : système d’énonciation (schéma de communication) lien logiques
 Dégager l’organisation d’un texte (structure, cohérence, idées principales ; secondaires…)
 Se familiariser avec la technique du résumé (compte des mots, règles du résumé,
synonymie, termes génériques, transformation verbale-nominale
 Respecter la présentation : marge, disposition des paragraphes, accents, majuscules,
ponctuation nombre de mots, repérage du plan
 Utiliser les registres de langue appropriés (repérer, adapter un registre à une situation de
communication)
Deuxième année
Textes argumentatifs
 Argumentation et les types d’argument
 Choix et classement des arguments (reconnaitre les arguments des exemples, identifier un
contre argument, proposer une série d’arguments, illustrer, insérer une citation)
 Plans argumentatifs : plan analytique, plan critique etc.
 Raisonnements
 Rédaction d’un paragraphe argumentatif (entête /à la fin du paragraphe
 Rédaction des parties d’un texte argumentatif (introduction : « accrocher »par une idée,
poser la question adéquate, annoncer le plan, la problématique… La transition : rappeler
l’idée générale ou l’annoncer…la conclusion : rappeler les grandes lignes du plan, répondre à
la question posée, séduire par une idée, rédiger le développement en deux parties…)
Documents
 Recherche documentaire
 Synthèse des textes
Activité orale : (Des exposés de 20 mn.)
Ce qui va permettre à l’apprenant d’exploiter les cours de la recherche, la synthèse et l’argumentation.
Brevet de Technicien Supérieur Conception du Produit Industriel 41
S1 : Langues
S1-3- Anglais
I- Objectifs
Étudier une langue vivante étrangère contribue à la formation intellectuelle et à l'enrichissement culturel
de l'individu. Pour l'étudiant de brevet de technicien supérieur, l´étude d´une langue étrangère est une
composante de la formation professionnelle et la maîtrise de l'anglais est une compétence indispensable
à l'exercice de la profession. Sans négliger aucun des quatre savoir-faire linguistiques fondamentaux
(comprendre, parler, lire et écrire la langue vivante étrangère) l'on s'attachera à satisfaire les besoins
spécifiques à l'activité professionnelle courante et à l'utilisation de la langue vivante étrangère dans
l'exercice du métier.
II- Compétences fondamentales
Compréhension
de l’oral
- Compréhension de l’essentiel d’un message bref et prévisible (ordres, consignes,
messages téléphoniques…)
- Compréhension et traitement d’informations à caractère professionnel ou général
dans des messages plus longs.
Compréhension
de l’écrit
- Compréhension de l’essentiel d’un message (contexte et points cruciaux). Repérer les
éléments essentiels à la compréhension pour élaguer le document.
- Prélever des informations nécessaires à une réutilisation, les classer, les synthétiser.
- Exploiter des sources d’informations multiples afin de sélectionner les informations
pertinentes et en faire la synthèse.
- Perception des éléments implicites du message et interprétation.
- Documents supports :
Documentation en langue étrangère afférente aux domaines techniques et
commerciaux (notices, documentation professionnelle, article de presse, courrier, …)
Production
orale
- Reproduction, reformulation d’un renseignement, d’un message simple.
- Production et transmission de messages simples et compréhensibles.
Production
écrite
- Production de messages simples, compréhensibles (lettres, messages, courriels,
notes internes/de service, …).
- Rendre compte d’éléments prélevés à l’écrit ou/et à l’oral.
III- Contenus
Grammar
First Year (Review) Second year
Present Simple, Progressive and Perfect
Past Simple, Progressive and Perfect
Future Simple, Progressive and Perfect
Quantifiers
Prepositions
Uses of gerunds and infinitives
Comparison
Modal Verbs
Reported Speech
Conditional sentences
Passive Voice
Communication
 Business Letters
 CV/Resumes
 Emails
 Data sheets
 Telephoning
 Socializing and Small Talk
 Functions (free dialog completion, no prompts)
Agreement / Disagreement
 Opinion
 Apologizing
 Suggestions
 Advice
 Complaining
 Reproach
 Giving Instructions
 Interpreting graphs
42 Conception du Produit Industriel Brevet de Technicien Supérieur
Themes and Vocabulary
Modules Theme Some indicators of the areas to be covered
1
Figures,
numbers,
currencies and
measures
 Ordinal, cardinal, fractions, phone numbers, …
 Names and symbols of currencies
 Metric and traditional measures
2
Corporate
culture
 Industry groups
 Types of businesses
 Corporate structure and organization
Roles and responsibilities
Organization chart
 Setting up a business in Morocco
3 Marketing
 Marketing mix
 Branding
 Packaging
 Distribution : Channels Types of outlets WholCPIlers& Retailer
Non store retailing Franchisin Stocking procedures / Strategies
 Property Rights
4 Management
 Managing People
 Staffing /Manpower planning, Recruitment, Selection, Retention,
Motivation, Incentives, Pay and benefits, Fringe benefits,
Redundancies, Pension scheme, Maternity/Paternity/Sick leave,
Days off, Bank holidays
 Managing Teams
 Managing, Quality, TQM
5 Transport
 Documents and terms
 Logistics
6
Buying, Selling
and Negotiating
 Quotation, (Pre-)Invoice, Discount, terms of delivery, Shipping
fees - ….
 Means and modes of payment
Culture
 Cultural Differences
 Ethics in the workplace :
- Mobbing
- Harassment
- Gender discrimination
- Punctuality
- Interpersonal relationships
- Honesty
 Non verbal communication
 Do’s and Don’ts in Moroccan, American and British cultures :
- traditions and customs
- religious backgrounds
- socializing
- meetings
Brevet de Technicien Supérieur Conception du Produit Industriel 43
S2- Techniques d’Expression et de Communication
Le programme des Techniques d’Expression et de Communication a pour objectif :
 d’aider les étudiants du BTS à acquérir les compétences professionnelles nécessaires dans le
cadre de leurs futures fonctions.
 d’évoluer et de communiquer dans un contexte relationnel donné.
 de dialoguer avec les partenaires de l’entreprise.
Il doit donc amener l’étudiant à :
 Cerner et schématiser le processus de communication
 Identifier les différentes composantes d’une situation de communication
 Caractériser les différents types de communication
 Identifier les formes de la communication
 Repérer les facteurs d’échec à la communication
 Réaliser un message efficace
 Déterminer les critères d’efficacité à une bonne communication
 Maîtriser la prise de parole dans un groupe (élocution, gestion du temps et du trac…)
 Constituer la liste d’entreprises
 Elaborer le C.V et la demande de stage
 Rédiger le rapport de stage
 Soutenir le rapport de stage
 Rédiger une lettre commerciale
 Compléter les documents commerciaux
 Rédiger les écrits internes
 Elaborer un bilan personnel et professionnel
 Etudier et analyser les annonces
 Rédiger le CV et la lettre de motivation
 Repérer les étapes d’un entretien d’embauche
S2- Techniques d’Expression et de Communication
S2-1- Concepts de base de la communication
S2-1-1- Situation de la communication
Composantes formelles (émetteur, récepteur, code, canal, message, feed-back)
Composantes relationnelles et situationnelles (cadre de référence, groupe d’appartenance, statut,
rôle)
S2-1-2- Variété des situations de communication
En fonction de la structure de l’organisation (hiérarchiques, fonctionnelles)
En fonction de l’organisation de la communication (formelles, informelles)
En fonction de la transmission des informations (verticales : descendantes/ascendantes, latérales)
En fonction du récepteur (interpersonnelles, de masse, de groupe)
En fonction des supports utilisés (écrites, orales, visuelles, audiovisuelles)
S2-1-3- Formes de la communication
Verbal (structure du message, niveaux et registre de langage)
Non verbal (gestes, mimiques, regard, posture, apparence physique, distance…)
S2-1-4- Facteurs d’échec de la communication
Barrières individuelles (d’ordre cognitif, affectif, comportemental)
Barrières collectives (économique, technique)
S2-2- Communication orale professionnelle
S2-2-1- Techniques de base de la communication orale
Efficacité de la communication (écoute active, questionnement, reformulation)
Efficacité du message (objectifs, préparation)
Composantes formelles (émetteur, récepteur, code, canal, message, feed-back)
Composantes relationnelles et situationnelles (cadre de référence, groupe d’appartenance, statut,
rôle)
S2-2-2- Principales situations de communication
Exposé oral
Réunion
Entretien téléphonique
44 Conception du Produit Industriel Brevet de Technicien Supérieur
Accueil
S2-3- Recherche de stage
Etapes et pistes pour la recherche d’un stage
Elaboration du Curriculum vitae
Rédaction de la demande de stage
Plan de masse d’un rapport ou compte rendu de stage
Préparation d’un exposé oral (soutenance)
Brevet de Technicien Supérieur Conception du Produit Industriel 45
S2-4- Communication écrite professionnelle
S2-4-1- Communication externe
Spécificité du langage commercial
Lettre commerciale (présentation, réalisation)
Demande d’informations et réponse
Appel d’offres et devis
Commande (étude des documents : bon de commande, bulletin de commande)
Envoi de la marchandise (étude des documents : bon de livraison, bon de réception, facture)
S2-4-2- Communication interne
Lettres administratives (préavis, congé de formation, congé pour convenance personnelle)
Note de service/note d’information/consignes
Compte rendu (événement, activité)
Rapport d’analyse
S2-5- Préparation à l’insertion professionnelle
S2-5-1- Méthodes de prospection
Processus de prospection (bilan personnel et professionnel, sélection des entreprises…)
Etude des annonces (offre et demande d’emploi)
S2-5-2- Outils de la prospection
Elaboration d’un curriculum vitae (rappel)
Rédaction d’une lettre de motivation (réponse à une annonce, candidature spontanée)
S2-5-3- Sélection des candidats
Objectifs d’un entretien d’embauche
Déroulement d’un entretien d’embauche
Commentaire :
Il est recommandé :
 d’alterner les apports théoriques et pratiques en mettant l’accent sur les jeux de rôle et les
simulations,
 de demander à l’étudiant de réaliser un exposé de 10 à 15 minutes sur un sujet,
 de prévoir une grille d’évaluation pour toute situation de communication orale
46 Conception du Produit Industriel Brevet de Technicien Supérieur
S9 : Culture Economique et Juridique
Objectifs Généraux :
 Acquérir des connaissances d’ordre juridique et économique de l’entreprise. Ces connaissances
doivent permettre aux lauréats de comprendre, d’interpréter et de communiquer avec aisance avec
tous les partenaires de l’entreprise,
 Prendre connaissance des différentes étapes de création d’entreprise.
S9- Culture Economique et juridique
S9-1- Environnement Economique
S9-1-1- L’entreprise : un acteur de l’activité économique :
Définition, concepts et rôles :
o Les besoins ;
o Les biens ;
o Les facteurs de production ;
o L’entreprise et ses finalités économiques et sociales.
Agents économiques : définition, fonction et rôle
o Ménages ;
o Administrations ;
o Entreprise non financière
o Institutions Financières ;
o Extérieur.
S9-1-2- Typologies et structures des entreprises
Classification des entreprises par : Dimensions, secteurs d’activité et par la formes juridiques.
Structures des entreprises: définition, présentation, avantages et limites (hiérarchique,
fonctionnelle, hiérarchico-fonctionnelle, matricielle et divisionnelle)
Critères de choix d’une structure adéquate
S9-1-3- fonctions de l’entreprise : définition, objectif, rôle et importance
Administrative :
o Les cinq tâches de Fayol ;
o Recrutement ;
o Formation ;
o Information.
Commerciale :
o Marketing mixe ;
o Gestion des approvisionnements
o Documents commerciaux (catalogues, Bon de commande, bon de livraison et facture)
Financière :
o Types et moyens de financement ;
o Documents financiers (Bilan et CPC).
Technique :
o Organisation (Bureau d’études, Bureau de méthodes et bureau de lancement) ;
o La gestion de la qualité : l'esprit « qualité », démarche et enjeux de la qualité.
o Les processus de production : la production en petites séries, la production en grandes
séries et le juste à temps.
S9-1-4- Marché de l’entreprise
Notion de marché
Eléments de marché (offre, demande et prix)
Types de marché (de biens et services, de travail et de capitaux)
Classification des marchés :
o Selon les clients (ou par rapport à la demande)
o Selon la nature des produits
o Selon les partenaires commerciaux
Etude de marché :
o L’étude de l’environnement
o L’étude de la demande
Brevet de Technicien Supérieur Conception du Produit Industriel 47
o L’étude de l’offre
o L’étude de la distribution
La segmentation du marché
S9-1-5- Gestion du projet
S9-2- Environnement juridique
S9-2-1- Notion de Droit
Définition
Branches de droit
Sources de droit
S9-2-2- Législation du travail
Contrat du travail : définition, nature, forme, mesures disciplinaires, rupture et suspension du
contrat de travail
Durée de travail : durée normale, heures supplémentaires, repos hebdomadaire, jours féries,
congés annuels payés.
Rémunération : salaire de base, salaire brut, salaire net, retenues sur salaire (IGR, CNSS, CIMR)
et bulletin de paie.
Les accidents du travail
S9-2-3- Droit des affaires
Commerçant :
o Définition
o Actes de commerce
o Qualité de commerçant
o Obligations du commerçant
Fonds de commerce
o Définition
o Eléments de fonds de commerce
o Opérations sur le fonds de commerce
Moyens de règlement et leurs effets juridiques :
o Le chèque ;
o Les effets de commerce.
Formes juridiques de l’entreprise
o Entreprise individuelle ;
o Les sociétés : constitution et fonctionnement de la SNC, de la SARL et de la SA.
S9-3- Création d’entreprise
S9-3-1- Idée du projet
L’idée comme point de départ ;
Les profils des créateurs ;
L’avant projet.
S9-3-2- Faisabilité du projet
La faisabilité économique ;
La faisabilité financière ;
La faisabilité juridique.
S9-3-3- Démarrage de l’entreprise
Les démarches administratives et juridiques ;
Le lancement des activités.
S9-3-4- Aides à la création
Les aides financières ;
Les aides fiscales.
S10 : Santé et sécurité
S10- Santé et Sécurité
S10-1- Typologie de la Sécurité
Sécurité intrinsèque ;
Sécurité positive ;
Sécurité directe
S10-2- Techniques d’amélioration de la sécurité :
48 Conception du Produit Industriel Brevet de Technicien Supérieur
Surveillance ;
Redondance et autocontrôle ;
Comportement orienté des constituants
S10-3- Matériels pour fonction de sécurité
Sécurité d’accès : barrage optique, tapis sensible, verrou de sécurité, …
Sécurité d’arrêt : détecteur de vitesse nulle,
S10-4- Santé et Sécurité au travail
Définitions (sécurité, prévention, accident du travail, maladie professionnelle, maladie à caractère
professionnel) ;
Organisation de la prévention ;
Réglementation ;
Documents liés à la prévention ;
Mesures de prévention ;
Règles de santé et de sécurité au travail (S & ST) ;
Conditions de travail : analyse des risques professionnels ;
Réalisation, en sécurité, des opérations courantes d'exploitation de l’équipement.
Brevet de Technicien Supérieur Conception du Produit Industriel 49
2-2-2- savoirs Spécifiques
Chaque sous savoir détaillé sous forme de contenu de formation et comporte :
- les connaissances transmettre,
- les niveaux d’acquisition et de maîtrise de ces connaissances dont la définition est précisée ci-après :
Identificateur de niveau d’acquisition
et de maitrise des avoirs
Niveaux
1 2 3 4
Le savoir est relatif à l’appréhension
d’une vue d’ensemble d’un sujet : les
réalités sont montrées sous certains
aspects de manières partielle ou globale
Niveau d’information des
savoirs
Le savoir est relatif à l’acquisition de
moyen d’expression et de
communication : définir, utiliser les
termes composants la discipline. Il s’agit
de maîtriser un savoir
Niveau d’expression
Le savoir est relatif à la maîtrise de
procédé et d’outils d’étude ou d’action :
utiliser, manipuler des règles ou des
ensembles de règles, des principes, en
vue d’un résultat à atteindre. Il s’agit de
maîtriser un savoir faire
Niveau de la maîtrise d’outils
Le savoir est relatif à la maîtrise d’une
méthodologie de pose et de résolution
de problème :
Assembler, organier les éléments d’un
sujet, identifier les relations, raisonner
à partir de ces relations, décider en
vue d’un but à atteindre. Il s’agit de
maîtriser une démarche : induire,
déduire, expérimenter, se documenter
Niveau de la maîtrise
méthodologique
50 Conception du Produit Industriel Brevet de Technicien Supérieur
S3 : Mathématiques
Niveau
1 2 3 4
S3-1- Séries
Séries de nombres réels ou complexes
Convergence
Séries à termes réels positifs
Convergence absolue
séries alternées
Opérations
Séries entières
Convergence d’une série entière
Somme d’une série entière d’une variable réelle
Exponentielle complexe
Séries de Fourier
Définitions
Formule de Perceval
Convergence d’une série de Fourier
S3-2- Nombres complexes et géométrie élémentaire
S3-2-1- Nombres complexes
Corps C des nombres complexes
Groupe U des nombres complexes de module 1
Equations du second degré
Exponentielle complexe
Nombres complexes et géométrie plane
S3-2-2- Géométrie élémentaire du plan
Modes de repérage dans le plan
Produit scalaire
Déterminant
Droites
Cercles
S3-2-3- Géométrie élémentaire de l’espace
Modes de repérage dans l’espace
Produit scalaire
Produit vectoriel
Déterminant ou produit mixte
Droites et plans
Sphères
S3-3- Fonctions usuelles et équations différentielles linéaires
Fonctions usuelles
Fonctions exponentielles
Logarithmes
Puissances
Fonctions circulaires (trigonométriques)
Fonction exponentielle complexe
Equations différentielles linéaires
Equations linéaires du premier ordre
Méthode d’Euler
Equations linéaires du second ordre à coefficients constants
S3-4- Analyse et géométrie différentielle
S3-4-1- Calculs différentiels et intégrales
Dérivation des fonctions à valeurs réelles
Dérivé en un point
Fonction dérivée
Etude globale des fonctions dérivables
Fonctions convexes
Intégration sur un segment des fonctions à variables réelles
Brevet de Technicien Supérieur Conception du Produit Industriel 51
Fonctions continues par morceaux
Intégrale d’une fonction continue par morceaux
Primitives et intégrale d’une fonction continue
Calcul des primitives
Formules de Taylor
Développements limités
Approximation
Calcul approché des zéros d’une fonction
Calcul approché d’une intégrale
Valeur approchée de réels
S3-5- Fonctions à deux variables
S3-5-1- Calcul différentiel et intégral
Espace R2
Fonctions continues
Calcul différentiel
Dérivées partielles premières
Dérivées partielles d’ordre 2
Calcul intégral
S3-6- Algèbre linéaire et géométrie affine
S3-6-1- Espaces vectoriels
Définitions
Translations, sous-espaces affines
Applications linéaires
Dimension des espaces vectoriels
Familles de vecteurs
Dimension d’un espace vectoriel
Dimension d’un sous-espace vectoriel
Rang d’une application linéaire
Calcul matriciel
Opérations sur les matrices
Matrices et applications linéaires
Opérations élémentaires sur les matrices
Rang d’une matrice
Systèmes d’équations linéaires
Déterminants d’ordres 2 et 3
S3-7- Espaces vectoriels euclidiens et géométrie euclidienne
S3-7-1- Espaces euclidien
Produit scalaire
Produit scalaire
Orthogonalité
S3-8- Statistiques et probabilité
S3-8-1- Statistiques
Notions
Loi normale
Loi binomiale
Applications
S3-8-2- Probabilités
Notions
Applications
52 Conception du Produit Industriel Brevet de Technicien Supérieur
S4 : Mécanique industrielle
Niveau
1 2 3 4
S4-1- Comportement des systèmes techniques
S4-1-1 Modélisation des liaisons mécaniques
Paramétrage et modélisation d’un système mécanique
Repère local
Degré de liberté
Paramétrage géométrique
Caractérisation des liaisons mécaniques
Nature du contact : ponctuel, linéique, surfacique
Liaisons normalisées :
Définition
Symboles
Théorie des mécanismes
Mobilités
Staticité d’un mécanisme
Conséquence de l’hyperstatisme
S4-1-2- Schématisation d’un produit technique
Étude des chaînes cinématiques :
Torseur cinématique associé à une liaison.
Classe d’équivalence cinématique
Graphe des liaisons,
Schéma cinématique
Liaisons équivalentes par association de liaisons en série et en parallèle
Schéma technologique
S4-1-3- Mouvements relatifs de solides dans un repère
Définition des mouvements
Repère absolu
Repère relatif
Coordonnées
Paramétrage
Trajectoire d’un point d’un solide
Caractérisation du mouvement d’un point d’un solide par rapport à un repère
vecteurs position
vecteur vitesse
accélération d’un point du solide
S4-1-4- Modélisation des actions mécaniques
Frontière et choix du système isolé
Nature des actions mécaniques
Action mécanique de contact
Action mécanique à distance
Modélisation globale des efforts transmissibles par une liaison
Représentation par un torseur
Étude locale des actions de contact
Nature géométrique du contact
Frottement et adhérence : loi de Coulomb ;
Pression de contact (Hertz)
S4-1-5- Principe Fondamental de la Statique
Énoncé du principe
Hypothèses
Enoncé
Traduction vectorielle du PFS
Théorème de la résultante générale
Théorème du moment résultant
Réciprocité des actions mutuelles
Théorème de l’action réaction
Résolution d’un problème de statique
Brevet de Technicien Supérieur Conception du Produit Industriel 53
Analytique dans les cas simples
Graphique dans le cas de solides soumis à 3 actions coplanaires non parallèles
S4-1-6- Résistance des matériaux
Hypothèses de la résistance des matériaux
Modèle poutre
Hypothèses
Contraintes et lois de comportement
Torseur des efforts de cohésion dans une section droite d’une poutre
vecteur contrainte
Contrainte normale
Contrainte tangentielle
Lois de Hooke
sollicitations simples
Traction
Compression
Torsion
Cisaillement
Flexion plane
Sollicitations composées
Flexion traction - compression
Flexion torsion
Moments idéaux de flexion et de torsion
Principe de superposition
S4-1-7- Exploitation des logiciels de RdM
Exploitation de Rdm Lemans ou RDM6
Exploitation Cosmos sous SolidWorks
S4-1-8- Élasticité
Un logiciel de prédimensionnement utilisant la méthode des éléments finis étant choisi :
Entrées du logiciel pour formuler l’étude:
Type et dimension du maillage.
Conditions aux limites.
Liaisons (ou connexions) entre pièces.
Modèles de chargement.
Sorties du logiciel pour finaliser l’étude :
Représentation par courbes ou zones d’isovaleurs (de contraintes, de déplacement....) selon
un critère.
S4-2- Comportements dynamique et énergétique des équipements
S4-2-1- Dynamique du solide
Caractéristiques d’inertie d’un solide
Centre de gravité d’un solide ou ensemble de solides : (barycentrique, exploitation logicielle,)
Moment d’inertie d’un solide par rapport à un axe,
Théorème de Huygens
Principe fondamental de la dynamique appliquée
Solide en mouvement de translation rectiligne
Solide en mouvement de rotation autour d’un axe fixe
S4-2-2- Puissance et énergie mécaniques
Formes d’énergie : Cinétique et potentielle
Grandeurs caractéristiques : Travail et puissance
Energie cinétique (Solides en translation ou en rotation autour d’un axe fixe.)
Conservation et dissipation de l’énergie
Principe de conservation de l’énergie
Théorème de l’énergie cinétique
Rendement mécanique d’une transmission
S4-3- Construction des systèmes technique
S4-3-1- Analyse fonctionnelle
Analyse fonctionnelle externe
Besoin à satisfaire par l’utilisateur
Cycle de vie du produit
54 Conception du Produit Industriel Brevet de Technicien Supérieur
Expression fonctionnelle du besoin
Frontière de l’étude, diagramme des interacteurs
Diagramme des interacteurs
Fonctions de service Fonctions contraintes
Cahier des charges fonctionnel : caractéristiques des fonctions à satisfaire (critères, niveaux et
flexibilité).
Analyse fonctionnelle interne
Fonctions techniques résultant des fonctions de service
Nature et flux des éléments transformés par le produit :
Matière
Energie
Information
Architecture fonctionnelle des produits et systèmes :
Chaîne d’énergie
Chaîne d’information
Outils d’analyse fonctionnelle
FAST / SADT
Synoptique
Schéma bloc
S4-3-2- Fonctionnalités des liaisons mécaniques
Assemblage démontable
Assemblage permanent
Guidage en rotation
Guidage en translation
Conditions fonctionnelles
Surfaces associées à la mise en position
Jeux, Serrages
Ajustements normalisés
Lubrification
Étanchéité
S4-3-3- Étude des composants mécaniques de transmission
Comportement cinématique de la transmission : loi d’entrée-sortie, réversibilité.
Puissance d’entrée et de sortie, rendement.
Conditions d’installation et de bon fonctionnement.
Prédimensionnement et/ou validation du choix à l’aide de bases de données de constructeurs ou
de logiciels spécialisés.
Données technico-économiques comparatives (prix du composant, coûts d’installation, de
maintenance, etc…).
Pour les solutions constructives suivantes :
Transmissions sans transformation de mouvement :
sans modification de la fréquence de rotation :
accouplements d’arbres,
embrayages et coupleurs,
limiteurs de couple,
freins.
avec modification de la vitesse angulaire :
poulies courroie,
chaînes,
engrenages (trains simples et épicycloïdaux),
applications aux réducteurs et boîtes de vitesse.
Transmissions avec transformation de mouvement :
systèmes vis écrou (à frottement et à roulement),
cames,
systèmes articulés plans.
S4-3-4- Étude des composants de conversion d’énergie
Grandeurs caractéristiques d’entrée et de sortie.
Espace de fonctionnement et point de fonctionnement pour un régime donné.
Chaîne d’alimentation et de distribution associée.
Conditions d’implantation et de mise en œuvre.
Brevet de Technicien Supérieur Conception du Produit Industriel 55
Détermination du prédimensionnement et/ou validation du choix à l’aide de bases de données de
constructeurs et de logiciels spécialisés.
Données technico-économiques comparatives (prix du composant, coûts d’installation, de
maintenance, etc…)
Actionneurs électriques :
moteur synchrone,
moteur asynchrone,
moteur « brushless »,
moteur « pas à pas »,
moteur linéaire.
Actionneurs pneumatiques et hydrauliques :
vérin,
moteur.
Capteurs :
Caractéristiques externes d’utilisation et d’intégration
Détecteur avec ou sans contact.
Capteur de position, de vitesse, d’accélération, de pression, d’effort.
S4-3-5- Ergonomie et sûreté des produits
Règles générales d’ergonomie des produits et systèmes :
Bases de données sur les gestes, postures et efforts acceptables, sur les fréquences et durées
de maintien possibles...
Éléments d’esthétique : matière, couleurs, formes.
Sûreté de fonctionnement des produits et systèmes :
Démarche de conception : inventaire des énergies et des risques, solutions de prévention, de
protection, d’instruction.
Outils d’analyse des risques : arbre d’événement, AMDEC, bases de données sur les normes et
règlements, les protections, la signalisation.
S4-3-6- Relation produit, matériau, procédé
Matériaux de construction mécanique
Types de matériaux :
Matériaux métalliques
Matières Plastiques : polymères et élastomères
Matériaux composites
Céramiques
Verres
Les caractéristiques des matériaux
Structure cristalline et moléculaire des matériaux
Conséquences sur les comportements mécaniques
Caractéristiques physico-chimiques :
Masse volumique,
Conductibilité
Résistance à la corrosion
Caractéristiques mécaniques :
Résistance
Dureté
Résilience
Fatigue
Désignation des matériaux
Traitement des matériaux :
Principes du procédé.
Matériaux concernés et fonctionnalités satisfaites.
Évolution des caractéristiques.
pour les traitements et revêtements suivants :
trempe, revenu, recuit,
trempe superficielle, cémentation, nitruration,
revêtement métallique : galvanisation, nickelage…
autres revêtements : peintures, résines…
Interaction fonction - matériau - géométrie – procédé :
Critères de choix d’un matériau.
56 Conception du Produit Industriel Brevet de Technicien Supérieur
Diagrammes et logigrammes et logiciels d’aide au choix.
S4-3-7- Spécification de produits
Cotation et tolérancement normalisés :
Défauts géométriques des pièces.
Conditions fonctionnelles des assemblages et guidages.
Spécification géométrique du produit :
normes,
spécifications dimensionnelles, de forme, de position relative, d’orientation, de battement,
éléments de référence, référence spécifiée, zone de tolérance,
exigence de l’enveloppe,
principe du maximum de matière (et de la tolérance zéro au maximum de matière), tolérance
projetée,
principe du minimum de matière,
notion sur la matrice GPS.
La démarche de détermination des spécifications d’une pièce:
Inventaire des fonctions mécaniques auxquelles participe la pièce et repérage des surfaces
fonctionnelles associées.
Analyse et quantification éventuelle des conditions de fonctionnement et de montage : cotes
conditions, jeux, ajustements, chaînes géométriques des contacts.
Quantification des spécifications pour une fonction mécanique donnée : prise en compte des
conditions de montage, des éléments standard, des procédés d’élaboration, méthodes de calcul
ou de vérification des valeurs et tolérances satisfaisant les conditions.
Quantification des spécifications de liaison entre les surfaces fonctionnelles influentes issues de
fonctions mécaniques
différentes (liaisons entre groupes fonctionnels).
S4-4- Organisation et suivi d’un projet
S4-4-1- Compétitivité des produits industriels
Délais, marchés, concurrence.
Valeur d’un produit.
Coûts d’un produit.
Qualité, certifications ISO.
Standardisation.
Normalisation.
Protection industrielle, innovation.
Veille technologique.
Capitalisation des acquis.
Traçabilité des études.
S4-4-2- Méthodes et outils de la compétitivité
Activités de projet :
travail de groupe pluridisciplinaire,
ingénierie concourante,
gestion de projet : outil PERT, outil GANTT.
Démarche de conception des produits :
conception préliminaire : CdCf, analyse concurrentielle, innovation, simulations de
fonctionnement, maquettes,…
conception détaillée : choix du couple matériau procédé, validation des formes, simulations,
prototypage…
Outils pour la créativité
méthodes de créativité : TRIZ
outils d’analyse de la valeur : tableau de pondération, hiérarchisation, histogramme, rendement
de conception,
AMDEC, diagramme cause/effet,…
outils de recherche de solutions : remue méninge, analogie, inversion, analyse morphologique,
étude d’antériorité.
S4-5- Transmission et transformation de mouvements
S4-5-1- Caractéristiques des composants mécaniques de transmission
Comportement cinématique de la transmission
Loi entrée/sortie
Brevet de Technicien Supérieur Conception du Produit Industriel 57
Puissance d’entrée et de sortie
Rendement
Conditions d’installation et de bon fonctionnement
Prédimensionnement et/ou validation du choix
Etude analytique
Exploitation de logiciels spécialisés
S4-5-2- Transmission de mouvement
Transmission de mouvement sans variation de fréquence de rotation
Accouplements d’arbres
Embrayages et coupleurs
Limiteurs de couple
Freins
Transmission de mouvement avec modification de la vitesse angulaire
Poulies courroie
Chaînes
Engrenages (trains simples et épicycloïdaux),
Applications industrielles
Variateurs
Réducteurs
Boîtes de vitesses
S4-5-3- Transformation de mouvement
Systèmes mécaniques de transformation de mouvement
Systèmes vis écrou
Excentriques
Bielle-manivelle
Cames
Systèmes articulés plans
58 Conception du Produit Industriel Brevet de Technicien Supérieur
S5 : Industrialisation des produits
Niveau
1 2 3 4
S5-1- L’entreprise industrielle
Organisation administrative et commerciale.
Organisation des études, recherche et développement.
Le système de production : méthodes et préparations, achats, sous- traitance, co-traitance,
gestion de production, gestion des stocks, maintenance des moyens techniques de
production, organisations, service qualité, service après vente.
La réglementation du travail : environnement, cadre de vie, comité d'hygiène, sécurité et des
conditions de travail (CHSCT), comité d’entreprise, représentativité des personnels,
formation des personnels.
S5-2- La relation conception, industrialisation, production, contrôle
S5-2-1- Concept de « chaîne numérique »
Maquette numérique, prototypage, outillage, simulation du procédé (logiciels de simulation),
production, qualification, boucle d’optimisation.
Utilisation de modules métiers dits « de préconception » accessibles : moulage,
thermoformage… afin de visualiser les défauts éventuels des pièces et agir en conséquence.
S5-2-2- Relation au système de production
Conception orientée familles de pièces.
Capabilité des moyens de production en relation avec les spécifications d’une pièce.
Fonctionnalité des machines à mesurer tridimensionnelles.
S5-3- Les procédés d’obtention des produits
Principes du procédé.
Capabilité du procédé : matériau, géométrie, précision.
Influences sur les propriétés du matériau.
Outillages associés.
Coût estimatif.
Pour les procédés suivants :
moulage : par gravité, sous pression, injection, (centrifugation, rotomoulage,
hydroformage…)
déformation : forgeage, estampage, matriçage, extrusion, (soufflage), emboutissage,
pliage
forme ébauche coulée (FEC)
découpage : (oxycoupage, laser, jet d’eau, poinçonnage,)
enlèvement de matière : usinage, UGV, électroérosion, usinage chimique…
soudage,
collage,
assemblages divers : clipsage…
élaboration des pièces en matériaux composites.
S5-4- travaux pratiques de Fabrication mécanique
Brevet de Technicien Supérieur Conception du Produit Industriel 59
S6 : Représentation d’un produit technique
Niveau
1 2 3 4
S6-1- Outils à développer en phase recherche de solutions
S6-1-1- Dessin technique
Vues
Coupes
Perspectives
Dessin à main levée
S6-1-2- Spécifications dimensionnelles et géométriques des pièces
Spécification géométrique du produit
Normes ISO
Spécifications dimensionnelles, de forme, de position relative,
Eléments de référence, référence spécifiée, zone de tolérance
Etats de surface
S6-1-3- représentation graphique (Application)
Dessin de définition du produit fini
Dessin d’ensemble
S6-2- Utilisation de modeleurs volumiques pour l'obtention de modèles 3D en phase d'étude
Utilisation de SolidWorks (modeleur volumique) pour l’obtention de modèles 3D en phase
étude:
Paramétrage.
Arbre de construction.
Contraintes d’assemblage.
Méthodes de conception :
dans l’assemblage,
par pièce,
par surfaces fonctionnelles,
par mode plan,
par mode schéma,…
Bibliothèques et banques de données techniques :
en réseau local,
en accès à distance.
S6-3- Fonctionnalités des modeleurs utiles en phase d’exploitation
Utilisation de Catia V5 (modeleur volumique) pour l’obtention de modèles 3D en phase
d’exploitation :
Reprise des fonctionnalités de S62
Fonctionnalités logicielles avancées :
Pièce, assemblage, mise à plan
construction de coupes
habillage de la mise en plan : cotation normalisée, fond de plan, écriture diverses…
édition de nomenclatures.
Éclatés avec nomenclature associée.
Rendus réalistes.
Animations.
Simulations
60 Conception du Produit Industriel Brevet de Technicien Supérieur
S7 : Physique appliquée
Niveau
1 2 3 4
S7-1- Comportement dynamique d’un système électrique et mécanique
S7-1-1- Régimes transitoires
Constante de temps mécanique et électrique.
Régime transitoire.
Régime permanent.
Pour les cas suivants :
charge d’un condensateur sous tension constante,
courant dans une bobine soumise à un créneau tension,
montée en vitesse d’une machine électrique.
Applications :
Mesurage de constante de temps mécanique ou électrique.
Montages R, C.
Montages R, L.
Relevés de caractéristiques dynamiques sur bancs de machines.
S7-1-2- Régimes périodiques
Grandeurs instantanées.
Grandeurs moyennes.
Grandeurs efficaces.
Facteur de forme.
Taux d’ondulation.
Harmoniques.
Décomposition en série de Fourier
Définitions
Illustration de la décomposition en série de Fourier
Application aux cas simples
S7-1-3- Régimes sinusoïdaux
Représentation des grandeurs sinusoïdales
Représentation vectorielle
Représentation complexe
Étude expérimentale des dipôles élémentaires vus sous l’angle de la conversion de l’énergie
électrique en énergie thermique, magnétique, électrostatique.
Groupement de dipôles. Systèmes triphasés.
Puissances active, réactive, apparente.
Disjoncteur différentiel application de la loi de Faraday.
Applications :
Étude des circuits R, C ; R, L ; RLC.
Mesurage de puissances active, réactive, apparente.
Mesurage de déphasages.
Mesurage de facteur de puissance.
Amélioration de facteur de puissance d’un montage.
S7-2- Machines électriques
S7-2-1- Machines à courant continu
Fonctionnement et constitution
Représentation
Schéma de principe
Excitation
Caractéristique mécanique
Bilan énergétique
Variation de vitesse
Principe
Différents types
Démarrage et freinage
Principaux modes
Etude de cas
Brevet de Technicien Supérieur Conception du Produit Industriel 61
Dimensionnement des machines
Choix des composants
S7-2-2- Machine synchrone
Constitution
Principe de fonctionnement
Schéma équivalent
Caractéristique mécanique
Bilan énergétique
Couple transmis
Puissance active et réactive
Types de machines synchrones
Alternateur autonome
Alternateur couple au réseau
Machine autopilotée
S7-2-3- Machine asynchrone
Constitution
Principe de fonctionnement
Schéma équivalent
Caractéristique mécanique
Bilan énergétique
Couple transmis
Puissance absorbée
Démarrage et freinage de la machine asynchrone
Principaux modes
Démarreurs et ralentisseurs progressifs
Etude d’un cas industriel
Dimensionnement et choix des éléments
S7-3- Mécanique des fluides et thermique
S7-3-1- Mécanique des fluides
Introduction à la mécanique des fluides
Définitions
Liquides et gaz
Force de volume
Force de surface
Statique des fluides
Pression
Théorème de PASCAL
Poussée d'ARCHIMEDE
Dynamique des fluides incompressibles
Notion de débit
Equation de continuité
Théorème de Bernoulli
Dynamique des fluides visqueux
Viscosité
Nombre de Reynolds
Les pertes de charge
S7-3-2- Thermodynamique
Evolution d’énergie thermodynamique de deux corps en contact
Transformations thermodynamiques
Principes de la thermodynamique
Premier principe
Second principe
Applications
Machines thermiques
Etude de cycles thermodynamiques
S7-3-3- Transferts Thermiques
Modes de transfert thermique
conduction
convection
62 Conception du Produit Industriel Brevet de Technicien Supérieur
Rayonnement
Grandeurs physiques du transfert thermiques
flux thermique
Densité du flux thermique
Puissance thermique
S8 : Motorisation et commande des systèmes
Niveau
1 2 3 4
S8-1- Conception des produits utilisant l’énergie électrique
S8-1-1- Contraintes Générales
Échauffement.
Isolement.
Effets électrodynamiques.
Perturbations, CEM.
Protection des personnes et des biens.
Conformité des produits : normes.
Procédures de qualification.
S8-2- Sécurité électrique
S8-2-1- Les dispositifs de protection et régimes de neutre
Court-circuits.
Surintensité et surtension.
Échauffement et isolement.
Régimes de neutre IT et TT
S8-3- Outils de représentation normalisée
Les symboles structurels et fonctionnels.
Les repérages des schémas, des borniers.
Utilisation de logiciels..
S8-4- Régimes de fonctionnement
Régime permanent et Régime transitoire.
Lois de conduite.
S8-5- Automatismes et automatique
S8-5-1- Logique combinatoire
Logique combinatoire
S8-5-2- Logique séquentielles
Fonction mémoire (Bascules)
Grafcet (points de vue)
S8-6- Partie commande
Câblée
Programmée
Choix d’une partie commande
S8-7- Partie Opérative
S8-7-1- Actionneurs
Caractéristiques
Critères de choix
Critères économiques.
Critères techniques.
Conditions de service.
Conditions d’environnement.
Critères de dimensionnement.
Conditions d’exploitation.
Utilisation des guides de choix
S8-7-2- Capteurs
Phénomène de transduction.
Sensibilité d'un capteur.
Linéarité.
Analyse de la sensibilité et de la linéarité.
Critères de choix de capteurs (de position inductif, d’humidité capacitif, thermique :
Brevet de Technicien Supérieur Conception du Produit Industriel 63
thermistance, de vitesse, de couple, de tension et courant : pince ampèremétrique et
Optoélectronique : photo-diode, phototransistor)
Mises en œuvre de capteurs dans des chaînes.
S8-7-3- Critères et outils de choix d’une partie opérative
Critères techniques
Performances et fonction globale.
Critères de dimensionnement.
Critères économiques.
Exploitation de logiciels de choix.
S8-8- Asservissement
S8-8-1- Systèmes linéaires continus
Schéma bloc
Fonction transfert
Caractéristiques
Analyse
Synthèse
64 Conception du Produit Industriel Brevet de Technicien Supérieur
Unités constitutives
Brevet de Technicien Supérieur Conception du Produit Industriel 65
I- Correspondances des unités :
La définition des unités constitutives du diplôme a pour but de préciser, pour chacune d’elles, quelles
tâches, compétences et savoirs professionnels sont concernés et dans quel contexte. Il s’agit à la fois :
• de permettre la mise en correspondance des activités professionnelles et des unités dans le cadre
de la validation des acquis de l’expérience ;
• d’établir la liaison entre les unités, correspondant aux épreuves, et le référentiel d’activités
professionnelles, afin de préciser le cadre de l’évaluation.
Les cases grisées correspondent, pour chacune des unités aux
compétences à évaluer lors de la certification (examen ou
validation des acquis).
Seules les compétences désignées par des cases grisées seront
évaluées.
Si les autres peuvent être mobilisées elles ne donneront pas lieu à
évaluation.
Dans le cas ou elles ne seraient pas maîtrisées, les tâches
correspondantes seront réalisées avec assistance.
U4 U5 U6
U41 U42
Motorisation
des
systèmes
industriels
U61 U62
Modélisation
et
comportement
des
systèmes
industriels.
Analyse
et
spécifications
du
produit.
Présentation
du
rapport
de
stage
industriel
Présentation
du
rapport
du
projet
de
fin
d’études
C01- Décoder un cahier des charges fonctionnel.
C02- Recenser les contraintes de l’étude.
C03- Reformuler et synthétiser un cahier des charges fonctionnel.
C04- Analyser, comparer des solutions techniques et argumenter.
C05- Dégager les principes qui régissent les solutions techniques.
C06- Rechercher une information.
C07- Identifier les moyens techniques de production disponibles.
C08- Intégrer les contraintes de la propriété industrielle.
C09- Rechercher et expliciter un principe de solution.
C10- Proposer ou expliciter une solution constructive.
C11- Elaborer la maquette numérique de conception préliminaire.
C12- Argumenter, au sein d’un groupe projet, les solutions
techniques et économiques.
C13- Valider une géométrie ou une architecture, par simulation
informatique.
C14- Estimer la durée d’étude attendue et recenser les éléments
du coût.
C15- Choisir un composant en exploitant une base de données.
C16- Générer le modèle numérique de l’ensemble étudié.
C17- Définir les spécifications de fonctionnement.
C18- Prédimensionner les éléments essentiels du projet en
appliquant la théorie des poutres.
C19- Exploiter un logiciel de calcul de structures
C20- Choisir un matériau et un procédé d’élaboration.
C21- Intégrer les exigences ou propositions d’un spécialiste du
procédé.
C22- Intégrer les exigences de la vie du produit.
C23- Valider le comportement du système conçu au regard du
cahier des charges fonctionnel.
C24- Elaborer le modèle numérique définitif et les représentations
graphiques dérivées.
C25- Réaliser des dessins de définition de produits finis, cotés,
tolérancés.
C26- Intégrer une action d’étude dans une démarche « qualité ».
C27- Contribuer à l’archivage, à la traçabilité de l’étude et à la
capitalisation des expériences dans les bases de données.
C28- Choisir un mode de communication approprié.
C29- Rédiger et présenter oralement, avec une langue étrangère.
C30- Lire un document technique en une langue étrangère.
66 Conception du Produit Industriel Brevet de Technicien Supérieur
II- Définition des unités
Unité U41 (U41, sous épreuve E41)
Modélisation et comportement des systèmes industriels
1- Contenu :
Cette unité concerne tout ou partie des compétences ci-dessous :
C13
Valider une géométrie ou une architecture, par simulation informatique
ou calcul élémentaire des comportements mécaniques.
C18
Prédimensionner les éléments essentiels du projet en appliquant la
théorie des poutres.
C19 Exploiter un logiciel de calcul de structures
C23
Valider le comportement du système conçu au regard du cahier des
charges fonctionnel.
On notera que pour effectuer les tâches demandées (voir ci-dessous), certaines autres compétences
peuvent être mobilisées. En aucun cas, ces dernières ne donneront lieu à évaluation. Si ces
compétences ne sont pas maîtrisées, les tâches correspondantes doivent être réalisées avec
assistance.
2- Contexte professionnel :
Fonction : Technicien responsable de l’élaboration d’un dossier d’étude technique
Localisation : bureau d’études, service gestion des moyens et secteur de construction mécanique.
3- Nature de l’activité :
À cette unité U4.1 sont associées tout ou partie :
T3-3 Validation des lois « d’entrées-sorties» pour les systèmes de transformation de mouvement et
de transmission de puissance.
T3-4 Analyse critique de solutions.
Les études concernées peuvent être relatives :
- à l’analyse de solutions existantes.
- à la recherche de principes de solutions.
- à l’analyse critique de solutions.
- au choix et dimensionnement de composants.
- à l’étude de pré-industrialisation et dialogue avec un spécialiste pour l’optimisation de la relation
«produit (fonction et géométrie) – matériau – procédé».
- à validation des lois «d’entrées sorties» pour les systèmes de transformation de mouvement et
transmission de puissance.
- à la spécification des conditions de fonctionnement au choix et dimensionnement de composants.
- au dimensionnement des structures.
- à l’élaboration des dessins d’ensemble des systèmes
- à la réalisation des dessins de définition de produits finis, cotés, tolérancés
Ces activités nécessitent la mobilisation simultanée et complémentaire des savoirs et savoir-faire de S4,
S5, S6 et S8.
Brevet de Technicien Supérieur Conception du Produit Industriel 67
Unité U42 (U42, sous épreuve E42)
Analyse et spécifications du produit
1- Contenu :
Cette unité concerne tout ou partie des compétences ci-dessous :
C04
Analyser, comparer, des solutions techniques et argumenter
(domaine du génie mécanique).
C17 Définir les spécifications de fonctionnement.
C19 Exploiter un logiciel de calcul de structures
C20
Choisir un matériau et un procédé d’élaboration compatible avec les
fonctions et formes de la pièce.
C25 Réaliser des dessins de définition de produits finis, cotés, tolérancés.
On notera que pour effectuer les tâches demandées (voir ci-dessous), certaines autres compétences
peuvent être mobilisées. En aucun cas, ces dernières ne donneront lieu à évaluation. Si ces compétences ne
sont pas maîtrisées, les tâches correspondantes doivent être réalisées avec assistance.
2- Contexte professionnel :
Fonction : Technicien responsable de l’élaboration d’un dossier d’étude technique
Localisation : bureau d’études, service gestion des moyens et secteur de construction mécanique.
3- Nature de l’activité :
À cette unité U4 sont associées tout ou partie :
T2-4 Analyse de solutions existantes.
T3-4 Analyse critique de solutions.
T4-5 Étude de préindustrialisation et dialogue avec un spécialiste pour l’optimisation de la relation
«produit (fonction et géométrie) - matériau - procédé - coût ».
4-7 Spécification des conditions de fonctionnement.
5-2 Réalisation des dessins de définition de produits finis, cotés, tolérancés.
Conditions de réalisation des taches :
Les études concernées peuvent être relatives :
- à l’analyse de solutions existantes.
- à la recherche de principes de solutions.
- à l’analyse critique de solutions.
- au choix et dimensionnement de composants.
- à l’étude de pré industrialisation et dialogue avec un spécialiste pour l’optimisation de la relation
«produit (fonction et géométrie) – matériau – procédé ».à validation des lois « d’entrées sorties »
pour les systèmes de transformation de mouvement et transmission de puissance.
- à la spécification des conditions de fonctionnement au choix et dimensionnement de composants.
- au dimensionnement des structures.
- à l’élaboration des dessins d’ensemble des systèmes
- à la réalisation des dessins de définition de produits finis, cotés, tolérancés
Ces activités nécessitent la mobilisation simultanée et complémentaire des savoirs et savoir-faire de S4,
S5, S6, S7 et S8
68 Conception du Produit Industriel Brevet de Technicien Supérieur
Unité U5 (U5, épreuve E5)
Motorisation des systèmes industriels
1- Contenu :
Cette unité concerne tout ou partie des compétences ci-dessous :
C04 Analyser, comparer des solutions techniques et argumenter.
C05
Dégager les principes qui régissent des solutions
techniques.
C09 Rechercher et expliciter un principe de solution.
C10
Proposer ou expliciter sous forme de croquis ou de schéma,
commenté, légendé, une solution constructive.
2- Contexte professionnel :
Fonction : Technicien du service étude et développement.
Localisation : Bureau d’étude, service ingénierie et développement d’un secteur de production.
3- Nature de l’activité :
A cette unité U5 sont associées tout ou partie :
T2-4 Analyse de solutions existantes.
T3-1 Recherche de principes de solutions.
T3-4 Analyse critique de solutions.
T4-3 Choix et dimensionnement de composants.
Les études concernées peuvent être relatives :
- Analyse de solutions existantes.
- Recherche de principes de solutions.
- Analyse critique de solutions.
- Choix et dimensionnement de composants.
Ces activités nécessitent la mobilisation simultanée et complémentaire des savoirs et savoir-faire de S5,
S7 et S8
Brevet de Technicien Supérieur Conception du Produit Industriel 69
Unité U61 (U61, Sous épreuve E61)
Présentation du rapport de stage industriel
1- Contenu :
Cette unité concerne tout ou partie des compétences ci-dessous :
C07 Identifier les moyens techniques de production disponibles.
C08 Intégrer les contraintes de la propriété industrielle.
C26 Intégrer une action d’étude dans une démarche « qualité ».
C27
Contribuer à l’archivage, à la traçabilité de l’étude et à la
capitalisation des expériences dans les bases de données
techniques de l’entreprise.
C29
Rédiger et présenter oralement, dans un français correct, et
avec les outils de communication adaptés, un rapport
exploitant un vocabulaire technique pertinent.
On notera que pour effectuer les tâches demandées (voir ci-dessous), certaines autres compétences
peuvent être mobilisées. En aucun cas, ces dernières ne donneront lieu à évaluation. Si ces compétences ne
sont pas maîtrisées, les tâches correspondantes doivent être réalisées avec assistance.
2- Contexte professionnel :
Fonction : Technicien responsable des études, de préparation et prototypage.
Localisation : Bureau d’études, service production et ingénierie.
3- Nature de l’activité :
A cette unité U8.1 sont associées tout ou partie :
T1-4 Dialogue avec un chef de projet ou un chargé d’affaires.
T1-5 Participation à la prise en compte de l’environnement de l’étude.
T2-1 Recherche documentaire.
T2-2 Consultation des normes.
T2-3 Consultation des bases de données techniques et méthodologiques de l’entreprise.
T2-5 Intégration des contraintes de propriété industrielle.
T6-1 Contribution à la traçabilité (gestion des modifications, archivage) d’une étude.
T6-2 Formulation et transmission d’une information technique, d’un savoir-faire.
Les études concernées peuvent être relatives :
- au dialogue avec un chef de projet ou un chargé d’affaires.
- à la participation à la prise en compte de l’environnement de l’étude.
- à la recherche documentaire.
- à la consultation des normes.
- à la consultation des bases de données techniques et méthodologiques de l’entreprise.
- à l’intégration des contraintes de propriété industrielle.
- à la contribution à la traçabilité (gestion des modifications, archivage) d’une étude.
- à la formulation et transmission d’une information technique, d’un savoir-faire.
Ces activités nécessitent la mobilisation simultanée et complémentaire des savoirs et savoir-faire de S2,
S5, S6 et S8.
4- Cadre général de la formation :
Durée du stage 6 semaines
Le stagiaire doit être parrainé par au moins un tuteur au sein de l’entreprise et suivi par un enseignant
de l’établissement.
70 Conception du Produit Industriel Brevet de Technicien Supérieur
A la fin du stage un rapport doit rédiger par l’étudiant mettant en relief les différents travaux réalisés au
sein de l’entreprise.
Le stage comprend cinq étapes :
1ère
étape : La préparation (l’affectation en entreprise, contact avec le parrain)
2ème
étape : Le séjour en entreprise
3ème
étape : Le rapport de stage réalisé par le stagiaire
4ème
étape : La fiche d’appréciation établie par l’entreprise
5ème
étape : L’exposé oral devant un jury
Les 6 semaines du stage sont réservées aux travaux d’études, d’encadrement, ou de réalisation de
projets.
Le centre de formation organise un suivi du stagiaire dans l’entreprise, fixe les dates des visites de suivi
à l’entreprise et la date des soutenances
Une fiche d’appréciation est conçue pour suivre le stagiaire dès son arrivée à l'entreprise.
A la fin du stage, l’étudiant remet un rapport (en 3 exemplaires au minimum) au centre de formation qui
organise les soutenances devant un jury composé d’un responsable de stage en entreprise, d'un
responsable de stage du centre, d'un rapporteur et d’un ou plusieurs enseignants de la spécialité.
Dans l’hypothèse où les travaux de l’entreprise confiés aux stagiaires doivent rester confidentiels, le
centre de formation s’engage à respecter cette confidentialité. L’entreprise pourra à sa demande, obtenir
la réexpédition du rapport des stagiaires.
Brevet de Technicien Supérieur Conception du Produit Industriel 71
Unité U62 (U62, sous épreuve E62)
Présentation du rapport du projet de fin de formation
1- Contenu :
Cette unité concerne tout ou partie des compétences ci-dessous :
C01 Décoder un cahier des charges fonctionnel.
C02 Recenser les contraintes de l’étude.
C03
Reformuler et synthétiser un cahier des charges fonctionnel résultant d’une
verbalisation écrite ou orale.
C05 Dégager les principes qui régissent les solutions techniques.
C06
Rechercher une information dans une documentation technique, dans un réseau
local ou à distance.
C09 Rechercher et expliciter un principe de solutions techniques.
C10
Proposer ou expliciter sous forme de croquis ou de schéma, commenté, légendé,
une solution constructive technique.
C11
Élaborer la maquette numérique de conception préliminaire à l’aide d’un modeleur
volumique, paramétrable, variationnel.
C12
Argumenter, au sein d’un groupe projet, les solutions techniques et économiques
proposées en exploitant les outils adaptés.
C14
Estimer la durée d’étude attendue en phase avec le jalonnement d’un projet et
recenser les éléments du coût.
C15
Choisir un composant en exploitant une base de données industrielle, mécanique
ou électrique.
C16
Générer le modèle numérique de l’ensemble étudié en établissant un paramétrage
fonctionnel permettant la construction de géométries robustes.
C21 Intégrer les exigences ou propositions d’un spécialiste d’un procédé.
C22 Intégrer les exigences de la vie du produit.
C24 Élaborer le modèle numérique définitif et les représentations graphiques dérivées.
C28 Choisir un mode de communication approprié. Communiquer synthétiquement
On notera que pour effectuer les tâches demandées (voir ci-dessous), certaines autres compétences
peuvent être mobilisées. En aucun cas, ces dernières ne donneront lieu à évaluation. Si ces compétences
ne sont pas maîtrisées, les tâches correspondantes doivent être réalisées avec assistance.
2- Contexte professionnel :
Fonction : Technicien responsable de l’étude et l’industrialisation moyens de production.
Localisation : Bureau d’études, Service ingénierie, service qualité.
3- Nature de l’activité :
A cette unité U8.1 sont associées tout ou partie :
T1-2 Reformulation d’un besoin.
T1-3 Elaboration de tout ou partie d’un cahier des charges fonctionnel (éventuellement sur site).
T2-6 Recensement de la logistique de production.
T3-1 Recherche de principes de solutions.
T3-2 Recherche de solutions constructives et élaboration de la maquette numérique de conception
préliminaire.
T3-5 Prise en compte des coûts et délais.
T3-6 Argumentation au sein d’un groupe projet en vue d’une validation de l’étude préliminaire.
T4-1 Conception collaborative et prise en compte des contraintes de conception partagée.
T4-2 Réalisation du modèle numérique 3D de l’étude.
T4-6 Prise en compte des exigences de la vie du produit (maintenabilité, réparabilité, sécurité,
ergonomie, utilisation, esthétique, élimination....).
72 Conception du Produit Industriel Brevet de Technicien Supérieur
T5-1 Elaboration du modèle numérique définitif et des représentations graphiques dérivées.
Les études concernées peuvent être relatives :
- au décodage d’un cahier des charges fonctionnel.
- à la reformulation d’un besoin.
- à l’élaboration de tout ou partie d’un cahier des charges fonctionnel (éventuellement sur site).
- au recensement de la logistique de production.
- à la recherche de principes de solutions.
- à la recherche de solutions constructives et élaboration de la maquette numérique de conception
préliminaire.
- à la prise en compte des coûts et délais.
- à l’argumentation au sein d’un groupe projet en vue d’une validation de l’étude préliminaire.
- à la conception collaborative et pris en compte des contraintes de conception partagée.
- à la réalisation du modèle numérique 3D de l’étude.
- à la prise en compte des exigences de la vie du produit (maintenabilité, réparabilité, sécurité,
ergonomie, utilisation, esthétique, élimination….).
- à l’élaboration du modèle numérique définitif et des représentations graphiques dérivées.
- à l’analyse fonctionnelle et structurelle des équipements industriels
- à l’étude comparative des solutions constructives en vue d’un choix technique et économique.
- au développement d’une solution selon un cahier des charges
- à la conception, réalisation, test et intégration de tout ou partie d’un système technique
- à la présentation d’un travail personnel ou d’équipe.
Brevet de Technicien Supérieur Conception du Produit Industriel 73
Organisation de la formation
74 Conception du Produit Industriel Brevet de Technicien Supérieur
I- Organisation annuelle
Septembre Octobre Novembre Décembre Janvier Février Mars Avril Mai Juin Juillet
1
ère
année
1er
semestre
12 semaines de formation
Soit 408 heures en moyenne
2ème
semestre
12 semaines de
formation
Soit 408 heures en
moyenne
Examen
de
passage
Stage
en
entreprise
(non
obligatoire)
Septembre Octobre Novembre Décembre Janvier Février Mars Avril Mai Juin Juillet
2
ème
année
3ème
semestre
12 semaines de formation
Soit 408 heures en moyenne
4ème
semestre
10 semaines de
formation
Soit 340 heures
en moyenne
Examen
national
Stage
obligatoire
en
entreprise
4à6
semaines
Soutenances
II- Organisation hebdomadaire
Horaires de première année Horaires de deuxième année
Semaine C+TD+TP Année* Semaine C+TD+TP Année**
Arabe 2 48 2 44
Français 2 48 2 44
Anglais 2 48 2 44
Techniques d’expression et de
communication
2 48 2 44
Culture économique et juridique 2 48
Mathématique 4 2+2+0 96 2 1+1+0 44
Physique appliquée 2 1+1+0 48 2 1+1+0 44
Mécanique industrielle 6 2+2+2 144 6 2+2+2 132
Industrialisation des produits 2 1+1+4(1)
48 2 1+1+0 44
Représentation d’un produit
technique
6 1+1+4 144 4 0+0+4 88
Motorisation et commande des
systèmes
4 2+2+0 96 4 2+2+0 88
Projets de fin de formation 6 132
Total 34 34
* volume annuel donné à titre indicatif et calculé sur la base de 24 semaines.
** volume annuel donné à titre indicatif et calculé sur la base de 22 semaines.
(1)
– en alternance avec les TP de Représentation d’un produit industriel
Brevet de Technicien Supérieur Conception du Produit Industriel 75
III- Répartition des savoirs
3-1- Recommandations générales :
Les savoirs relevant des niveaux I et II peuvent être traités avantageusement sur polycopié.
Les travaux pratiques de laboratoire doivent être assurés avec des groupes n’excédant pas 12
étudiants.
3-2- Répartition
S1 : Langues
Première année Deuxième année
Code savoir Semestre1 Semestre 2 Semestre 3 Semestre 4
S1
S11 S11
S12 S12
S13 S13
Le savoir S10 (santé, sécurité et environnement) sera attribué à l’enseignant chargé de l’enseignement
du savoir S58.
S2 : Techniques d’Expression et de Communication
Première année Deuxième année
Code savoir Semestre1 Semestre 2 Semestre 3 Semestre 4
S2 S21, S22, S23 S24 S25
S3 : Mathématiques
Le savoir S3 (Mathématiques) doit être réparti comme suit :
Première année Deuxième année
Code savoir Semestre1 Semestre 2 Semestre 3 Semestre 4
S3 S31, S32 S33, S34 S35, S36 S37
Recommandations pédagogiques
La chronologie du traitement des savoir n’est qu’indicative, il est donc impératif de consulter les
enseignants des autres savoirs ayant besoin des connaissances mathématiques pour organiser l’ordre
de traitement du cours.
S4 : Mécanique industrielle
Le savoir S4 (mécanique industrielle) doit être réparti comme suit :
1. Analyse et spécifications du produit qui englobe : S42, S43, S44.
2. Modélisation et comportement des systèmes industriels : S41, S45.
Première année Deuxième année
Code savoir Semestre1 Semestre 2 Semestre 3 Semestre 4
S4
S43 S42 S45 S44
S41 (S411 -
S416)
S41 (S417,
S418)
* Les Travaux pratiques seront réalisés sur des systèmes en relation avec le savoir à transmettre.
S5 : Industrialisation des produits
Le savoir S5 (Industrialisation des produits) doit êtres réparti comme suit :
1. L’entreprise industrielle : S51
2. La relation conception, industrialisation, production, contrôle : S52
Première année Deuxième année
Code savoir Semestre1 Semestre 2 Semestre 3 Semestre 4
S5
S51- S52 (S521)
S52 (S522,
S523) S53
S54
76 Conception du Produit Industriel Brevet de Technicien Supérieur
Recommandations pédagogiques
Les travaux pratiques (S54) seront assurés en groupes et programmés en alternance avec S62, à raison
de 4 heures.
S6 : Représentation d’un produit technique
Le savoir S6 (Représentation d’un produit technique) doit être réparti comme suit :
1. Outils de recherche de solutions : S61
2. Utilisation de modeleurs volumiques : S62
3. Fonctionnalités des modeleurs utiles en phase exploitation : S63
Première année Deuxième année
Code savoir Semestre1 Semestre 2 Semestre 3 Semestre 4
S6
S611-S612-S613 S613
S63
S62
Recommandations pédagogiques
Les travaux pratiques (S62) seront assurés en groupes et programmés en alternance avec S54, à raison
de 4 heures.
S7 : Physique appliquée
Le savoir S7 (Physique appliquée) doit être réparti comme suit :
1. Comportement dynamique d’un système électrique et mécanique : S71.
2. Machines électriques : S72.
3. Mécanique des fluides et thermique : S73.
Première année Deuxième année
Code savoir Semestre1 Semestre 2 Semestre 3 Semestre 4
S7 S71 S72 S73
S8 : Motorisation et commande des systèmes
Le savoir S8 (Motorisation et commande des systèmes) doit être réparti comme suit :
1. Description et analyse d’un système électrique : S81, S82, S83, S84 ;
2. Commande des systèmes : S85, S86, S88 ;
3. Choix d’une solution automatisée : S85 ;
Première année Deuxième année
Code savoir Semestre1 Semestre 2 Semestre 3 Semestre 4
S8 S81, S82 S83, S84 S88
S85 (S851,
S852)
S85 (S852), S86 S87
S9 : Culture économique et juridique
Première année Deuxième année
Code savoir Semestre1 Semestre 2 Semestre 3 Semestre 4
S9 S19
S10 : Santé, sécurité et environnement
Première année Deuxième année
Code savoir Semestre1 Semestre 2 Semestre 3 Semestre 4
S10 S10
Le savoir S10 (santé, sécurité et environnement) sera attribué de préférence à l’enseignant chargé de
l’enseignement du savoir S82.
Brevet de Technicien Supérieur Conception du Produit Industriel 77
IV- Stage en milieu professionnel
4-1- Objectifs :
Le stage en milieu professionnel est une activité de synthèse obligatoire pour les candidats au
Brevet de technicien supérieur CPI. Il a pour objectif de permettre à l'étudiant d'acquérir et / ou
d'approfondir les compétences professionnelles en situation réelle de travail. Il existe deux types de
stages durant la formation.
En fin de la première année (non obligatoire) : Faire un premier pas dans l’entreprise
Il a pour objectif de :
- Prendre un premier contact avec l’entreprise
- Appréhender les différents services de l’entreprise et les relations qui s’établissent entre eux
- Comprendre les relations de l’entreprise avec son environnement
- Améliorer son savoir sur le milieu industriel.
En fin de la deuxième année (obligatoire) : participer à la vie de l’entreprise
Il a pour objectif de :
- Développer des compétences professionnelles
- Tester les compétences professionnelles
- Acquérir des compétences professionnelles.
- Développer une communication verbale et écrite professionnelles
- Acquérir des qualités relationnelles et des comportements professionnels
4-2- Organisation générale :
Les périodes de stage en milieu professionnel sont organisées par l'établissement fréquenté par
l'étudiant et les entreprises d'accueil. Chaque période de stage en entreprise fait l’objet d’une
convention entre l’établissement et l’entreprise. Cette convention est établie conformément aux
dispositions en vigueur.
Pendant chaque période, le candidat a obligatoirement la qualité d'étudiant stagiaire et non celle de
salarié. En fin de chaque période, un certificat lui est remis par le responsable de l'entreprise ou son
représentant, attestant sa présence.
Les deux stages doivent être distingués :
a- Connaissance de l’entreprise :
Ce stage, non obligatoire, mais souhaitable correspond à une période organisée entre la fin de la
première année scolaire de formation et le début de la deuxième année.
A l'issue de ce stage, l’étudiant rédige un rapport de stage qui sera évalué. Aussi, Cette première
période de stage peut avantageusement être l’occasion de définitions et de recherches du projet
technique de fin de formation à réaliser en deuxième année.
b- Participation à la vie de l’entreprise :
Ce stage s’effectue en fin de deuxième année. Les activités confiées aux stagiaires sous forme de
travaux qui sont liées au domaine de l’électromécanique et systèmes automatisés conformément au
référentiel des activités professionnelles.
Le rapport de stage, en trois exemplaires, et l'ensemble des documents d'exploitation, doivent être remis
au jury d’évaluation au moins une semaine avant le début des soutenances des rapports de stage.
4-3- Durée du stage :
Première période : non obligatoire
Stage ouvrier
une durée de quatre semaines minimum en fin
de première année
Deuxième période : obligatoire
Stage technicien
une durée de quatre à six semaines en fin de
deuxième année.
Brevet de Technicien Supérieur Conception du Produit Industriel 78
Modalités d’évaluation
Brevet de Technicien Supérieur Conception du Produit Industriel 79
S’Il est incontestable que notre grand souhait est d’amener les étudiants à maîtriser des compétences, et
que désormais c’est en termes de compétences que se définit ce que ces étudiants doivent acquérir, il est
donc impératif de mettre à la disposition des formateurs au même titre un cadre de référence national de
l’évaluation.
Autrement dit deux types de documents sont incontournables : un référentiel de formation et un cadre
référentiel d’évaluation. Ces deux documents doivent traiter les deux problèmes pratiques majeurs qui se
posent dès lors aux formateurs :
Comment faire apprendre des compétences ?
Comment évaluer des compétences ?
Pour répondre à la première question, des équipes de formateurs, encadrées par les inspecteurs et
coordonnateurs nationaux se sont mis au travail depuis quatre ans pour réviser des référentiels de
formation pour une vingtaine de filières. En plus de la complexité intrinsèque à l’ingénierie curriculaire sous
tendue par l’application de l’approche APC ,s’ajoute dans bien des cas ,si ce n’est pas tous les cas ,la
refonte des référentiels .Bien que ce travail a été effectué par des équipes différentes , une équipe par
filière ou groupe de filières ,il a été encadré par une même équipe et régit par un même canevas général ,on
peut conclure qu’un niveau satisfaisant d’uniformité concernant la philosophie ,la méthode ,la forme
générale a été respecté . Cependant reste un effort à faire sur le plan évaluation .Il est temps de mettre en
place un dispositif complet d’évaluation qui mettra en exergue les fondamentaux, les principes, les valeurs,
les textes pour renforcer l’équité, la justesse, la transparence qui sont autant de finalités tant réclamées par
tous les systèmes d’évaluation du monde.
Le cadre référentiel d’évaluation « CAREE » est un document à caractère normatif et prescriptif
au même titre que le programme de formation. Ce « guide » constitue en quelque sorte le
cahier des charges à partir duquel seront rédigées les épreuves devant servir à l’évaluation des
compétences développées par les stagiaires. Il garantit en premier lieu que toutes les épreuves
qui seront élaborées pour évaluer une même compétence respecteront les critères et les
conditions d’évaluation édictés dans le référentiel de formation et émanant des besoins
exprimés par les professionnels et ce quel que soit le prestataire de service de formation .En
outre il définit tout le dispositif d’évaluation et les modalités de sa mise en œuvre.
Ce document, commun à toutes les filières, viendra compléter la série des référentiels de
formation révisés récemment. Il s’adresse aux formateurs dans les centres de formation pour
l’obtention du BTS et aux responsables de l’évaluation du département scolaire, aux directeurs
d’établissements, directeurs des études, qui pourraient y puiser des informations pertinentes à
leur fonction respective.
Etant données les considérations énoncées ci-dessus, notamment le caractère référentiel et de
cadrage de ce document ainsi que sa vocation réglementaire ,nous avons jugé pertinent de
développer un document intégral sur l’évaluation qui sera mis à la disposition de tous les
intervenants dans les BTS formateurs ,évaluateurs , gestionnaires , responsables….
80 Conception du Produit Industriel Brevet de Technicien Supérieur
Définitions des épreuves
Brevet de Technicien Supérieur Conception du Produit Industriel 81
Epreuve E4 U41-U42
Sous Epreuve E41 : Modélisation et comportement des systèmes industriels
1- Contenu de l’épreuve
Cette épreuve doit permettre d’apprécier l’aptitude du candidat à mobiliser ses connaissances de
mécanique appliquée pour valider des comportements et prédimensionner des composants.
L’épreuve doit permettre de valider tout ou partie des compétences suivantes :
Compétences
Savoirs associés
S412
à
S415
S416
à
S418
S42 S73
C13
Valider une géométrie ou une architecture, par simulation
informatique ou calcul élémentaire des comportements mécaniques.
C18
Prédimensionner les éléments essentiels du projet en appliquant la
théorie des poutres.
C19 Exploiter un logiciel de calcul de structures
C23
Valider le comportement du système conçu au regard du cahier des
charges fonctionnel.
S412 Schématisation d’un produit technique
S413 Mouvements relatifs de solides dans un repère
S414 Modélisation des actions mécaniques
S415 Principe Fondamental de la Statique
S416 Résistance des matériaux
S417 Simulation par logiciel de RdM
S418 Élasticité
S42 Comportements dynamique et énergétique des équipements
S73 Mécanique des fluides et thermique
Le support technique est un système mécanique ou électromécanique industrialisé. Le questionnement
est relatif à des problèmes techniques réels ; leur résolution doit permettre la mobilisation de tout ou
partie des savoirs associés aux compétences énumérées ci-dessus.
À partir de l’analyse d’une situation industrielle de préconception décrite dans un dossier présentant des
résultats définitifs ou intermédiaires et s’appuyant sur les résultats de représentations volumiques
préalables, de calculs de dimensionnements et de simulations informatiques, le candidat sera amené à
développer des compétences de modélisation, d’analyse et de calculs simples, (justification, proposition,
qualification), d’exploitations de résultats et de qualification de solutions par rapport au cahier des
charges.
2- Modes d’évaluation
À l’issue de cette situation d’évaluation, l’équipe pédagogique de l’établissement de formation
constituera, pour chaque candidat, un dossier comprenant :
 le texte complet du sujet posé,
 la description sommaire des moyens matériels mis à sa disposition,
 les documents éventuellement rédigés par le candidat lors de l’évaluation,
 une fiche d’évaluation du travail réalisé.
3- Objectifs et contextualisation de l’épreuve :
Cette épreuve doit permettre d’apprécier l’aptitude d’un candidat à concevoir et de prédéterminer le
comportement de tout ou partie d’un produit industriel à partir d’éléments de cahier des charges relatif à
un produit industriel moderne, mécanique ou électromécanique, significatif des technologies actuelles.
Des demandes précises porteront donc sur :
 La validation de principes de solutions constructives en réponse à tout ou partie d’un cahier des
charges. Le candidat pourra être amené à proposer des solutions, à analyser des solutions
82 Conception du Produit Industriel Brevet de Technicien Supérieur
constructives proposées en justifiant un modèle, en le caractérisant et en exploitant des résultats
de simulations du comportement du système.
 Le prédimensionnement de certains éléments d’un mécanisme réel amenant à la résolution d’une
problématique technique réelle et justifiée. Pour répondre à cette demande, le candidat sera
amené à proposer un modèle de résolution, en lien avec la situation technique du produit,
(modélisation cinématique, statique, dynamique, de résistance de matériaux ou d’élasticité) et à
indiquer les données caractéristiques de cette modélisation (paramétrage, variations acceptables,
conditions limites, etc.).
En cohérence avec les évolutions techniques en cours, seul les calculs de résolution simples seront
demandés. Lorsque, dans le contexte industriel, la résolution du problème se traite informatiquement,
(tableur, logiciel de simulation d’un comportement), ce type de calcul ne sera pas demandé par voie de
résolution « manuelle ». Toutefois, des résultats de ces étapes de calcul seront proposés au candidat
sous diverses formes (tableaux, graphes, courbes, imagerie) afin qu’il les exploite, les commente et
valide des résultats au regard de tout ou partie du cahier des charges fonctionnel proposé.
Epreuve E4 U41-U42
Sous Epreuve E42 : Analyse et spécifications du produit
1- Contenu de l’épreuve
Le travail demandé correspond à tout ou partie de ce qui est écrit dans la rubrique : « nature de l’activité
» de la définition de l’unité U52. Les compétences correspondantes sont :
Compétences
Savoirs associés
S431
S451
S452
S434 S436 S437 S52 S53 S62
C04
Analyser, comparer, argumenter des
solutions techniques.
C17
Définir les spécifications de
fonctionnement.
C19
Exploiter un logiciel de calcul de
structures
C20
Choisir un matériau et un procédé
d’élaboration compatible avec les
fonctions et formes de la pièce.
C25
Réaliser des dessins de définition de
produits finis, cotés, tolérancés
S431: Étude des solutions constructives associées aux liaisons
S451, S452: Étude des composants mécaniques de transmission
S434: Étude des composants de conversion d’énergie
S436: Relation produit, matériau, procédé
S437: Spécification de produits
S52: La relation conception, industrialisation, production, contrôle
S53: Les procédés d’obtention des produits
S62: Représentation d’un produit technique en phase exploitation
Les données et les indicateurs de performance de cette épreuve sont ceux des compétences
correspondantes. S’il est bien entendu que la démonstration de ces compétences nécessite la
mobilisation des savoirs correspondants, il ne saurait être question de pratiquer par interrogation sur les
seuls savoirs.
Le travail demandé dans cette épreuve correspond à tout ou partie des activités professionnelles
suivantes :
 constitution du dossier d’étude,
 conception préliminaire,
 conception détaillée,
 constitution du dossier de définition de produit.
Brevet de Technicien Supérieur Conception du Produit Industriel 83
2- Modes d’évaluation :
À l’issue de cette situation d’évaluation, l’équipe pédagogique de l’établissement de formation
constituera, pour chaque candidat, un dossier comprenant :
 le texte complet du sujet posé,
 la description sommaire des moyens matériels mis à sa disposition,
 les documents éventuellement rédigés par le candidat lors de l’évaluation,
 une fiche d’évaluation du travail réalisé.
3. Objectifs et contextualisation de l’épreuve :
Cette épreuve doit permettre d’apprécier l’aptitude d’un candidat à :
 comprendre, décrire, analyser, argumenter, spécifier les solutions constructives de tout ou partie
d’un produit industriel moderne, mécanique ou électromécanique, significatif des technologies
actuelles,
 intégrer l’adéquation produit-matériau-procédé-coût dans les solutions constructives,
 maîtriser la démarche de spécification des pièces participant aux fonctions techniques étudiées.
Le dossier technique se limitera à tous les éléments nécessaires à la conduite des études demandées :
cahier des charges fonctionnel, plans extraits des maquettes numériques, nomenclatures, résultats de
calculs ou de simulations, et tous documents techniques utiles.
L’étude s’appuiera donc sur un ou plusieurs produits industrialisés dans une phase de conception
détaillée.
Cela n’exclut pas que l’un des produits puisse être le résultat d’une évolution en réponse à une
modification du cahier des charges. Dans ce cas les informations utiles aux deux solutions seront
fournies dans le dossier technique.
Les demandes précises porteront donc sur la description des solutions constructives à l’aide d’outils
adaptés (graphe fonctionnel, schéma, tableau comparatif, verbalisation….) :
 analyse des fonctionnalités du produit ;
 comparaison, au regard du cahier des charges fonctionnel et selon une démarche structurée et
cohérente, de plusieurs solutions constructives (aspects fonctionnels, technologiques, coût…) ;
 proposition d'évolution dans les principes d'une solution prenant en compte l'association produit-
matériau-procédé ;
 cotation et spécification d'un composant ou d'une partie d'un composant, découlant des analyses
préalablement effectuées.
Epreuve E5 : U5
Motorisation des systèmes industriels
Cette épreuve prend appui sur les savoirs de physique appliquée et de commande des systèmes.
L’épreuve doit permettre de valider tout ou partie des compétences suivantes :
Compétences
Savoirs associés
S71
1
S71
2
S71
3
S7
2
S8
1
S8
2
S8
3
S8
4
S8
5
S8
6
C04
Analyser, comparer, argumenter
des solutions techniques.
C05
Dégager les principes qui régissent
des solutions techniques
C09
Rechercher et expliciter un principe
de solution
C10
Proposer ou expliciter sous forme
de croquis ou de schéma,
commenté, légendé, une solution
84 Conception du Produit Industriel Brevet de Technicien Supérieur
S711: Régimes transitoires électrique et mécanique.
S712: Régimes périodiques
S713: Régimes sinusoïdaux
S72: Machines électriques : principes et caractéristiques
S81: Conception des produits utilisant l’énergie électrique
S82: Sécurité des personnes et des biens
S83: Choix des actionneurs, des motorisations
S84: Choix des capteurs
S85: Les outils de représentation normalisée
S86: Les régimes de fonctionnement
Le support technique est un système électromécanique issu du monde industriel. Le questionnement est
relatif à des problèmes techniques réels, leur résolution doit permettre la mobilisation de tout ou partie
des savoirs de physique appliquée et d’électrotechnique associés aux compétences énumérées ci-
dessus.
L’étude proposée sera conduite à partir d’une solution correspondant à un cahier des charges industriel.
Le candidat sera donc amené :
 à donner toutes les explications et justifications quant aux choix proposés par la solution
(identification des principes de solutions, lois de comportement, pertinence de la solution) ;
 à proposer à partir d’un éventuel avenant au cahier des charges, des modifications, améliorations,
extensions à la solution.
Epreuve E6 U61-U62
Projet et stage industriel -PFE
Elle comprend deux sous-épreuves portant sur un le projet de fin d’étude et sur le stage en milieu
professionnelle
La sous-épreuve E61 a pour but de valider l'unité U81 associée à tout ou partie des compétences
décrites dans la définition de cette unité.
La sous-épreuve E62 a pour but de valider l'unité U82 associée à tout ou partie des compétences
décrites dans la définition de cette unité.
Sous épreuve U61
Projet et stage industriel
Objectifs :
Cette sous-épreuve permet d’évaluer les capacités du candidat à présenter et à commenter le stage qu’il
a réalisé dans une entreprise de production industrielle.
Cette présentation permet également d’évaluer ses capacités à communiquer de façon adaptée à la
situation.
Contenu :
Le travail demandé correspond à la présentation des activités conduites lors du stage industriel de fin de
la deuxième année.
Les tâches à privilégier sont relatives à tout ou partie de tâches professionnelles citées dans la définition
de l’unité U61
Le rapport, qui est à fournir en trois exemplaires à la commission d’évaluation 7 jours avant le début des
soutenances, doit comprendre :
- le compte rendu des activités ;
- l’analyse des situations techniques, économiques et organisationnelles observées ;
- les problèmes techniques appréhendés, les solutions et les démarches adoptées pour les résoudre
Mode d’évaluation
Ponctuelle : Il s’agit d’une épreuve orale, d’une durée maximale de 40 minutes et de coefficient 6 qui
consiste à la soutenance du rapport de stage et qui comporte deux phases consécutives.
Brevet de Technicien Supérieur Conception du Produit Industriel 85
Phase 1 : Présentation des activités conduites (durée 20 minutes) :
Le candidat effectue une présentation orale argumentée, en utilisant les moyens de communication qu’il
jugera les plus adaptés, des activités conduites au cours de son stage industriel.
Au cours de cette présentation, la commission d’évaluation n’intervient pas.
Phase 2 : questionnement (durée maximale 20 minutes) :
Au terme de la phase 1, la commission d’interrogation conduit un entretien avec le candidat pour
approfondir certains points abordés dans le rapport et dans l’exposé
Critères d'évaluation :
- Rapport de stage : 30%
- Appréciation du tuteur du stage : 20%
- Soutenance devant un jury : 50%
86 Conception du Produit Industriel Brevet de Technicien Supérieur
Sous épreuve E62
Soutenance de Projet de fin d’Etudes
Objectifs :
L’épreuve E62 à pour support le projet réalisé pendant la deuxième année
Une commission se réunit chaque année, avant la fin novembre, pour examiner et valider les
propositions de thèmes supports des projets techniques présentés par les équipes enseignantes.
Le projet à pour support un thème industriel issu des propositions de l’équipe pédagogique ou d’une
entreprise.
L’objectif du projet est de former des étudiants et de valider des compétences. Bien que la thématique et
les enjeux du projet puissent être puisés en milieu professionnel, les objectifs de formations doivent
rester prioritaires sur la finalisation de la réalisation.
Afin de mener à bien ce projet, celui-ci sera conduit conjointement, par au moins, un professeur de génie
électrique et un professeur de génie mécanique.
Mode d’évaluation
Ponctuelle : Il s’agit d’une épreuve orale, d’une durée maximale de 40 minutes et de coefficient 8,
précédée d’une phase de mise en œuvre du système réalisé d’une durée maximale de 1 heures.
La soutenance du rapport de PFE comporte trois phases consécutives.
Phase 1 : Présentation des activités conduites (durée 20 minutes) :
Le candidat effectue une présentation orale argumentée, en utilisant les moyens de communication qu’il
jugera les plus adaptés, des activités conduites au cours de la réalisation de son projet.
Au cours de cette présentation, la commission d’évaluation n’intervient pas.
Phase 2 : Questionnement (durée maximale 20 minutes) :
Au terme de la phase 1, la commission d’interrogation conduit un entretien avec le candidat pour
approfondir certains points abordés dans le rapport et dans l’exposé
Phase 3 : Présentation du système réalisé.
Brevet de Technicien Supérieur Systèmes Electroniques 87
Equipements
88 Conception du Produit Industriel Brevet de Technicien Supérieur
L’organisation des équipements par Laboratoire et par zone d’activités se veut plus
avantageuse qu’une définition par filière, dans la mesure où elle permet une meilleure
rationalisation de l’espace et du matériel commun à plusieurs filières.
En effet, c’est dans ce sens qu’un document intégral « guide d’équipements » a été
développé et a servi de base au lancement des appels d’offres pour l’acquisition des
équipements de tous les laboratoires et ateliers de tous les centres BTS.

CONCEPTION_PRODUIT-INDUSTRIEL (1).pdf

  • 1.
    ‫العالي‬ ‫التقني‬ ‫شهادة‬ Brevetde Technicien Supérieur ‫الصناعي‬ ‫المنتوج‬ ‫ابتكار‬ Conception du Produit Industriel ‫التكوين‬ ‫مرجع‬ Référentiel de Formation Septembre 2011
  • 3.
    Brevet de TechnicienSupérieur Conception du Produit Industriel 3 ‫العالي‬ ‫التقني‬ ‫شهادة‬ Brevet de Technicien Supérieur ‫الصناعي‬ ‫المنتوج‬ ‫ابتكار‬ Conception du Produit Industriel ‫التكوين‬ ‫مرجع‬ Référentiel de Formation Septembre 2011
  • 5.
    Brevet de TechnicienSupérieur Conception du Produit Industriel 5 Table des matières Préambule.......................................................................................................................................................7 Référentiel des Activités Professionnelles.........................................................................................................9 I - Intitulé du BTS ........................................................................................................................................................11 II - Contexte professionnel .........................................................................................................................................11 III - Description des activités professionnelles ...........................................................................................................14 Référentiel de Certification ............................................................................................................................19 I- les compétences......................................................................................................................................................21 1-1- Introduction........................................................................................................................................................21 1-2- Association des compétences aux activités professionnelles............................................................................22 1-3- Liste des compétences .......................................................................................................................................23 1-4- Compétences détaillées et indicateurs de performance ....................................................................................24 Guide d'accompagnement pédagogique.........................................................................................................31 Savoirs et savoirs associés..............................................................................................................................31 I- Savoirs .....................................................................................................................................................................33 1-1- Savoirs associés aux compétences......................................................................................................................33 II- Contenu et niveaux d’acquisition des savoirs ........................................................................................................33 2-1- Définition des savoirs..........................................................................................................................................33 2-2- Détail des savoirs.................................................................................................................................................35 Unités constitutives .......................................................................................................................................64 I- Correspondances des unités : .................................................................................................................................65 II- Définition des unités...............................................................................................................................................66 Organisation de la formation .........................................................................................................................73 I- Organisation annuelle .............................................................................................................................................74 II- Organisation hebdomadaire...................................................................................................................................74 III- Répartition des savoirs..........................................................................................................................................75 IV- Stage en milieu professionnel...............................................................................................................................77 Modalités dévaluation...................................................................................................................................78 Définitions des épreuves................................................................................................................................80 Equipements .................................................................................................................................................87
  • 7.
    Brevet de TechnicienSupérieur Conception du Produit Industriel 7 PREAMBULE La création des filières de formation de courte durée pour l'obtention de Brevet de Technicien Supérieur (BTS) par le ministère de l'éducation nationale en 1992 a un double objectif: - Répondre aux besoins de l'économie nationale en cadres moyens. - Permettre aux bacheliers de l'enseignement technique, essentiellement, de poursuivre des études supérieures professionnalisantes et spécialisées. Au cours de la dernière décennie, d'autres filières, répondant aux nouveaux besoins de l'économie nationale et ouvertes aux autres bacheliers, ont été créées, notamment en l'an 2000. Le nombre de filières est ainsi passé de huit en1992 à 27 actuellement, couvrant les principaux secteurs et sous-secteurs économiques : industriel, commercial, TIC, bâtiment, arts et tourisme et loisir. Les centres abritant ce type de formation se sont multipliés pour couvrir toutes les régions du Maroc. Nanties de leurs équipements et d’un excellent niveau d’encadrement , les deux ENSET ont été les premières à ouvrir des filières préparant au BTS aujourd'hui 40 centres, dont 34 lycées, un CFR et 5 centres privés, abritent ce type de formation. Le nombre d’étudiants, inscrits dans les différentes filières, est passé d'environ 400 en 93-94 à 3277 à la rentrée scolaire 2010-2011. Certes, la trajectoire retraçant l'évolution de BTS au Maroc rappelée ci-dessus, est la plus convenable à l'implantation et au développement d'un nouveau système de formation qui a fait son histoire et s'est imposé comme formation de choix dans un autre environnement qui lui était favorable; cependant le contexte social et économique Marocain connait actuellement une dynamique sans précédent, il est en train de changer en profondeur; le système de formation doit s'y adapter. Ce dernier a été réformé à tous les niveaux :primaire ,secondaire (collégial et qualifiant) ,et universitaire .Les filières techniques qui représentent 70% du vivier de recrutement pour le BTS ont connu un changement substantiel en matière de structure ,de contenus et d'approches .L'enseignement supérieur ,auquel pourraient accéder les lauréats des filières de BTS , a adopté depuis 2003 -2004 le système LMD caractérisé par les modules. Par ailleurs, et afin de dynamiser son économie , le Maroc a lancé de grands chantiers structurants : INDH, plans sectoriels de développement : plan Azur 2010, le Maroc vert ,le Pacte National pour l'Emergence Industriel (PNEI) et les Métiers Mondiaux du Maroc (3M) qu'il est appelé à développer notamment dans les domaines de l'Offshoring, l'automobile l'électronique et l'aérospatial ,aussi le renforcement de l’infrastructure autoroutière, ferroviaire et portuaire, aménagement de nouvelles zones franches et les Plateformes Industrielle Intégrées (P2I). Pour intégrer les réformes opérées au niveau des systèmes d'éducation et de formation d'une part ,et accompagner , d'autre part ,les chantiers ouverts ,qui généreront non seulement des centaines de milliers d'emploi et de besoin en managers, en ingénieurs et essentiellement en techniciens ,mais aussi des dizaines de nouveaux métiers dans les domaines de l'Offshoring ,de l'aéronautique de l'automobile ,de l'électronique du bâtiment du tourisme …,une adaptation des filières s'impose d' urgence .Les contenus des filières doivent permettre l'intégration de toutes ces nouveautés. De surcroit, l'offre doit se développer afin de soutenir l'offre générale des autres systèmes similaires de formation en l'occurrence les EST et les ISTA. C'est dans ce cadre que le processus de refonte des référentiels des filières du Brevet de Technicien Supérieur lancé en novembre 2007 a été étendu aux restes des filières. Prenant en considération le contexte relaté ci-dessus, les référentiels de formation ont été révisés, et seront élaborés, pour les nouvelles créations, selon l'Approche Par Compétences (APC), s'agissant de formations à forte connotation professionnelle, laquelle approche est la mieux indiquée pour l'élaboration des référentiels s'agissant de formations à forte connotation professionnelle. , laquelle approche est la mieux indiquée pour l'élaboration des référentiels .En effet , avant de définir le référentiel
  • 8.
    8 Conception duProduit Industriel Brevet de Technicien Supérieur de certification (compétences et savoirs associés et modalité d'évaluation) , une analyse des situations de travail (AST) ainsi que la concertation et la contribution de personnes ressources , représentant les parties prenantes ,notamment les représentants des entreprises potentielles, est nécessaire pour définir le référentiel des tâches et des métiers , appelé dans le jargon des spécialistes (RAP). Afin d'assurer l'uniformité des contenus et garantir le caractère national du diplôme, la révision ou l'élaboration de ces référentiels a été assurée par les représentants des centres de formation, supervisée par les chargés d’inspection, coordonnateur national et administrée par les services centraux ayant en charge le dossier BTS. En fin, je tiens à rendre hommage aux enseignantes et enseignants, directeurs de centres, chargés d’inspection , coordonnateur national, à nos cadres et responsables et à toute autre personne ayant participé ou contribuée à l'élaboration de ce référentiel pour la rigueur scientifique et pédagogique dont ils ont fait preuve et pour la qualité du produit, qui sans doute participera à l'amélioration de la formation.
  • 9.
    Brevet de TechnicienSupérieur Conception du Produit Industriel 9 Référentiel des Activités Professionnelles
  • 11.
    Brevet de TechnicienSupérieur Conception du Produit Industriel 11 I - Intitulé du BTS « Brevet de Technicien Supérieur Conception du Produit Industriel » BTS CPI II - Contexte professionnel 2-1- Description générale de la fonction de travail Le Technicien Supérieur en Conception de Produits Industriels, pourvu d'une solide culture technologique, d'aptitudes organisationnelles et du sens de la communication participe dans le cadre d'une démarche de projet : - à la conception, - à l'industrialisation, - au suivi de produits. Ses compétences s'exercent dans le domaine : - de la mécanique, - de la technologie, - des procédés d'élaboration et de traitement des matériaux, - des procédés d'automatisation de la production et de l'assemblage des produits. Associées à la maîtrise de l'outil informatique, ces compétences lui permettent de concevoir ou d'optimiser tout ou partie de ces produits industriels, en vue d'une production unitaire ou sérielle. Partenaire de l'équipe industrielle au sein de laquelle il exerce ses fonctions, ce technicien supérieur doit faire preuve : - d'ouverture d'esprit, de curiosité, d'esprit critique, - d'imagination, de créativité et d'innovation, - de capacité à gérer, avec ordre et méthode, des données, des informations et des dossiers, - d'esprit d'analyse et de synthèse, - de capacité d'interprétation, d'évaluation et de validation, - de capacité de communication. Il doit pratiquer au moins une langue étrangère et être capable de mener à bien, en autonomie, une mission de moyenne ou de longue durée, sur le territoire national ou à l'étranger. 2-1-1- Définition de la fonction de travail Le BTS CPI donne accès au métier de technicien de bureau d’études en charge de la modification, l’amélioration, la reconception partielle ou la création de produits industriels. Ces produits relèvent du champ général de la construction mécanique ou des constructions métalliques et intègrent une grande diversité de matériaux et de procédés. Qu’il s’agisse de biens de consommation pour le grand public ou de biens d’équipement pour les entreprises, ils sont largement pluri-technologiques. Ce profil de technicien est capable d’intervenir dans différents secteurs industriels (industrie mécanique, électrique, agroalimentaire, chimique, métallurgique...) Pour mieux réussir sa fonction il aura pour responsabilité de transmettre les informations et les données à ses supérieurs ainsi que ses subordonnés. Il est ainsi amené à rechercher l’information. En outre, il doit assurer une responsabilité hiérarchique. Ses activités l’amènent à :  Participer à l'analyse des objectifs de conception, de modification ou de reconception d’un produit industriel.  Etablir un projet de construction de l'ensemble ou d'un sous ensemble (plan, nomenclature, bilan économique).  Réaliser des documents techniques relatifs à l'exploitation d’un produit industriel.  Coordonner et superviser Il doit respecter : - les délais, - les spécifications techniques et économiques - les normes en vigueur
  • 12.
    12 Conception duProduit Industriel Brevet de Technicien Supérieur Ses responsabilités sont : - le respect des exigences du métier, - la coordination avec les autres services Il doit faire preuve d’une capacité à : - résoudre des problèmes - réagir adéquatement et rapidement aux aléas - faire les choix techniques - prendre des décisions et aviser. Ses aspects seront : - la personnalité - la volonté de continuer à apprendre - la maîtrise de l’ensemble des techniques Ces fonctions l’incitent à : - développer des relations - être un bon communicateur - être motivateur Il doit être capable de : - susciter la collaboration - atténuer la résistance Il doit faire preuve : - de rigueur - d’autorité avec fermeté - d’objectivité - de discernement. Il est appelé à : - travailler en équipe - transmettre des informations - proposer des modifications et justifier 2-1-2- Description de l’environnement de travail : Le métier s’exerce, dans les grandes entreprises, sous l’autorité d’un responsable d’études (chef de bureau d’études) et exige davantage d’autonomie dans les PME-PMI. Dans tous les cas, il s’inscrit dans un cadre collaboratif d’ingénierie concourante, soit au sein de l’entreprise, soit avec des partenaires ou sous-traitants. L’activité de conception est dépendante de l’évolution socio-économique et des exigences attenantes : évolution des marchés, de la concurrence, échanges internationaux, développement durable et éco- conception, réglementation et législations à l’attention des usagers… Les mutations récentes et permanentes des outils informatiques pour l’étude et le développement des produits constitue un atout et une obligation pour la compétitivité des entreprises : créativité, modèles 3D, outils de calcul, de simulation de procédés, bases de données techniques, prototypage, production et contrôle numérisés… La diversité et l’évolution des matériaux comme celles des procédés d’élaboration des ensembles mécaniques conduit le technicien de bureau d’étude à une veille permanente, à des contacts fréquents avec des spécialistes «métiers» et induit une aptitude à l'analyse concurrentielle. Intervenir dans une action de conception, de reconception ou d’amélioration impose un travail collaboratif important et en conséquence une réelle aptitude à la communication. Toutefois, une amélioration des mesures relatives à la santé et la sécurité concernant l’aménagement des postes doit être prise en considération 2-1-3- Evolution technologique et facteurs d’intérêt pour l’exercice de la fonction de travail - S’orienter vers des systèmes plus complexes en opposition aux systèmes de base - Introduire et s’adapter à la nouvelle technologie - Rechercher l’optimisation de la matière et du temps - Minimiser le prix de revient en utilisant des outils d’optimisation - Satisfaire des clients plus exigeants en qualité et productivité
  • 13.
    Brevet de TechnicienSupérieur Conception du Produit Industriel 13 2-1-4- Appellations courantes de la fonction de travail - Responsable de bureau d’études, - Contremaître, - Chef de groupe, 2-1-5- Perspective d’avancement et cheminement d’emploi - Directeur d’entreprises - Directeur technique - Possesseur d’une petite entreprise.
  • 14.
    14 Conception duProduit Industriel Brevet de Technicien Supérieur III - Description des activités professionnelles 3-1- Fonctions et activités et tâches professionnelles Les activités professionnelles décrites ci-après, déclinées à partir des fonctions d'entreprise, constituent le référentiel des activités professionnelles. Les activités sont ensuite déclinées en tâches professionnelles. Fonctions Activités professionnelles Etude Définition des limites d’étude A1 Constitution du dossier d’étude A2 Réalisation et industrialisation Conception préliminaire A3 Conception détaillée A4 Suivi de produit A5 Communication Animation et coordination d'équipes A6 3-1- Fonctions et activités et tâches professionnelles Le tableau ci-dessous présente les activités professionnelles et les tâches professionnelles qui leur sont associées. Activité professionnelle Tâches professionnelles A1- Définition des limites de l’étude T1-1 Décodage d’un cahier des charges fonctionnel. T1-2 Reformulation d’un besoin. T1-3 Elaboration de tout ou partie d’un cahier des charges fonctionnel (éventuellement sur site). T1-4 Dialogue avec un chef de projet ou un chargé d’affaires. T1-5 Participation à la prise en compte de l’environnement de l’étude. Conditions de réalisation des taches : A partir d’une demande émise par le responsable du bureau d’étude fournie par un client et validée par le responsable de l’entreprise, le technicien supérieur en conception du Produit industriel :  contribue à l’explicitation du besoin, éventuellement par contact direct avec le donneur d’ordre et par déplacement sur site,  formalise, en autonomie, tout ou partie du cahier des charges. Le cahier des charges élaboré est validé par le client et par le responsable de l’entreprise. Activité professionnelle Tâches professionnelles A2- Constitution du dossier d’étude T2-1 Recherche documentaire. T2-2 Consultation des normes. T2-3 Consultation des bases de données techniques et méthodologiques de l’entreprise. T2-4 Analyse de solutions existantes. T2-5 Intégration des contraintes de propriété industrielle. T2-6 Recensement de la logistique de production.
  • 15.
    Brevet de TechnicienSupérieur Conception du Produit Industriel 15 Conditions de réalisation des taches : A partir d’un cahier des charges validé, le technicien supérieur en conception du Produit industriel exploite, en toute autonomie, des bases de données locales (réseau) et à distance (Internet) pour constituer tout ou partie d’un dossier d’étude. Ce dossier intègre les résultats d’analyses concurrentielles qu’il conduit, les tests comparatifs, les brevets, les normes, les règlements, tient compte des contraintes de l’entreprise et de ses sous traitants (concept d’entreprise étendue) et des délais imposés. Le dossier d’étude doit être validé par le responsable de l’entreprise ou du bureau d’étude qui peut décider de recherches complémentaires. Activité professionnelle Tâches professionnelles A3- Conception préliminaire T3-1 Recherche de principes de solutions. T3-2 Recherche de solutions constructives et élaboration de la maquette numérique de conception préliminaire. T3-3 Validation des lois « d’entrées-sorties» pour les systèmes de transformation de mouvement et de transmission de puissance. T3-4 Analyse critique de solutions. T3-5 Prise en compte des coûts et délais. T3-6 Argumentation au sein d’un groupe projet en vue d’une validation de l’étude préliminaire. Conditions de réalisation des taches : Au sein d’une équipe projet, à partir d’un cahier des charges et du dossier d’étude et dans des délais imposés, le technicien supérieur de conception du Produit industriel argumente relativement aux solutions constructives qu’il propose et intègre les préoccupations des autres membres de l’équipe. L’environnement informatique lui permet de procéder aux simulations de comportement utiles. Après validation par le chef de projet, il réalise en autonomie une maquette numérique de tout ou partie du système étudié répondant aux caractéristiques attendues et en cohérence avec l’ensemble des préoccupations de l’équipe projet. Activité professionnelle Tâches professionnelles A4- Conception détaillée. T4-1 Conception collaborative et prise en compte des contraintes de conception partagée. T4-2 Réalisation du modèle numérique 3D de l’étude. T4-3 Choix et dimensionnement de composants. T4-4 Dimensionnement des structures. T4-5 Étude de préindustrialisation et dialogue avec un spécialiste pour l’optimisation de la relation « produit (fonction et géométrie) - matériau - procédé - coût ». T4-6 Prise en compte des exigences de la vie du produit (maintenabilité, réparabilité, sécurité, ergonomie, utilisation, esthétique, élimination....). T4-7 Spécification des conditions de fonctionnement.
  • 16.
    16 Conception duProduit Industriel Brevet de Technicien Supérieur Conditions de réalisation de l’activité : A partir d’un dossier de conception préliminaire, toutes les propositions ayant été validées par le responsable de l’entreprise ou du bureau d’étude, le technicien supérieur en conception du Produit industriel exploite les potentialités des environnements informatiques (modeleurs 3D et logiciels de simulation associés) pour élaborer, en autonomie, le modèle numérique. Il procède au choix des composants et au prédimensionnement des structures dans les cas simples ; il s’adresse à un spécialiste de l’entreprise ou à un bureau de calcul pour les cas complexes ou sensibles. Afin de prendre en compte les contraintes de préindustrialisation, il communique de façon autonome avec des spécialistes métiers et intègre leurs recommandations.
  • 17.
    Brevet de TechnicienSupérieur Conception du Produit Industriel 17 Activité professionnelle Tâches professionnelles A5- Constitution du dossier de définition de produit. T5-1 Elaboration du modèle numérique définitif et des représentations graphiques dérivées. T5-2 Réalisation des dessins de définition de produits finis, cotés, tolérancés. Conditions de réalisation des taches : Après validation des fichiers numériques par le chef de projet, le titulaire du BTS CPI affine le modèle numérique, et réalise, en autonomie l’ensemble des fichiers de mise en plan, élabore l’intégralité de leur cotation, leur habillage et, éventuellement, édite la liasse de plans et les nomenclatures. Activité professionnelle Tâches professionnelles A6- Animation et coordination d’équipes T6-1 Contribution à la traçabilité (gestion des modifications, archivage) d’une étude. T6-2 Formulation et transmission d’une information technique, d’un savoir-faire. Conditions de réalisation des taches : Dans le cadre du bureau d’études où il intervient le technicien supérieur en conception du Produit industriel intègre les éléments de la démarche qualité imposés par l’entreprise ; il contribue en toute autonomie à la traçabilité de l’étude. Il est capable, en autonomie, de construire une communication technique en français et en anglais relative au projet. Il s’exprime sur son activité lors des diverses revues de projet.
  • 19.
  • 21.
    Brevet de TechnicienSupérieur Conception du Produit Industriel 21 I- les compétences 1-1- Introduction Les entreprises doivent en permanence, pour être compétitives sur des marchés de plus en plus concurrentiels, adapter leurs produits aux besoins évolutifs de leurs clients et pour cela les optimiser et en créer de nouveaux. Les bureaux d'études, lieu de convergence de l'information et du savoir-faire de l'entreprise, s'organisent de plus en plus sous forme d'équipes de projets, capables d'intégrer dans la conception de chaque produit les objectifs de performances, de qualité et de coût. A cet effet, ils prennent en compte les contraintes de l'entreprise telles que l'industrialisation et les délais. Dans ce contexte général très exigeant, l'innovation, la maîtrise de la valeur, la veille technologique (produits techniques, procédés), l'informatisation des méthodes de conception, la maîtrise du système d'information et de décisions, les techniques nouvelles de production (ingénierie simultanée), sont des points clés pour les entreprises. Le titulaire du BTS CPI est, après une période d'adaptation en entreprise, un spécialiste de conception, de définition et de spécification des produits industriels relatifs à divers secteurs de biens (d'équipement, intermédiaires et de consommation). Dans ce cadre, le Technicien Supérieur CPI, spécialiste de mécanique, doit posséder les capacités à intégrer toutes les informations provenant des autres disciplines pour les synthétiser dans son activité principale de conception. Le Technicien Supérieur CPI est donc un professionnel de formation polyvalente à dominante principale de mécanicien. Il doit posséder une formation technique, scientifique et humaine suffisamment ouverte pour : - participer, dans le cadre d'une démarche de projet, à la conception, à la définition et à l'industrialisation des produits, - participer à la recherche et à l'innovation, - participer à la gestion des ressources humaines, - participer au suivi des produits (installation, mise en service, notices, gestion des informations en retour sur la vie des produits). Il évolue dans des entreprises de toutes tailles exerçant leurs activités dans la plupart des secteurs économiques : - Industries de la mécanique, - Industries de biens d'équipement, - Industries des transports, aéronautique, - Industries de l'armement, - Industries électriques, - Industries des bio-technologies, - Industries médicales et pharmaceutiques. C'est dans ce cadre que ce référentiel a été élaboré. Afin de conserver les liens qui les unissent dans les situations de travail, les compétences sont développées par tâche professionnelle. Certaines compétences sont nécessaires à l’accomplissement de différentes tâches associées aux activités professionnelles.
  • 22.
    22 Conception duProduit Industriel Brevet de Technicien Supérieur 1-2- Association des compétences aux activités professionnelles Activités professionnelles Compétences A1- Définition des limites de l’étude C01- Décoder un cahier des charges fonctionnel. C02- Recenser les contraintes de l’étude. C03- Reformuler et synthétiser un cahier des charges fonctionnel résultant d’une verbalisation écrite ou orale. A2- Constitution du dossier d’étude C04- Analyser, comparer des solutions techniques et argumenter. C05- Dégager les principes qui régissent les solutions techniques. C06- Rechercher une information dans une documentation technique, dans un réseau local ou à distance. C07- Identifier les moyens techniques de production disponibles. C08- Intégrer les contraintes de la propriété industrielle. A3- Conception préliminaire C09- Rechercher et expliciter un principe de solution. C10- Proposer ou expliciter sous forme de croquis ou de schéma, commenté, légendé, une solution constructive. C11- Elaborer la maquette numérique de conception préliminaire à l’aide d’un modeleur volumique, paramétrable, variationnel. C12- Argumenter, au sein d’un groupe projet, les solutions techniques et économiques proposées en exploitant les outils adaptés. C13- Valider une géométrie ou une architecture, par simulation informatique ou calcul élémentaire des comportements mécaniques. C14- Estimer la durée d’étude attendue en phase avec le jalonnement d’un projet et recenser les éléments du coût. A4- Conception détaillée. C15- Choisir un composant en exploitant une base de données industrielle, mécanique ou électrique. C16- Générer le modèle numérique de l’ensemble étudié en établissant un paramétrage fonctionnel permettant la construction de géométries robustes. C17- Définir les spécifications de fonctionnement. C18- Prédimensionner les éléments essentiels du projet en appliquant la théorie des poutres. C19- Exploiter un logiciel de calcul de structures C20- Choisir un matériau et un procédé d’élaboration compatible avec les fonctions et formes de la pièce. C21- Intégrer les exigences ou propositions d’un spécialiste du procédé. C22- Intégrer les exigences de la vie du produit. C23- Valider le comportement du système conçu au regard du cahier des charges fonctionnel. A5- Constitution du dossier de définition de produit. C24- Élaborer le modèle numérique définitif et les représentations graphiques dérivées. C25- Réaliser des dessins de définition de produits finis, cotés, tolérancés. A6- Animation et coordination d’équipes C26- Intégrer une action d’étude dans une démarche « qualité ». C27- Contribuer à l’archivage, à la traçabilité de l’étude et à la capitalisation des expériences dans les bases de données techniques de l’entreprise. C28- Choisir un mode de communication approprié. Communiquer synthétiquement par courrier électronique. C29- Rédiger et présenter oralement, dans un français correct et avec les outils de communication adaptés, un rapport exploitant un vocabulaire technique pertinent. C30- Lire un document technique en anglais ; participer à un échange technique en anglais.
  • 23.
    Brevet de TechnicienSupérieur Conception du Produit Industriel 23 1-3- Liste des compétences Compétences Code Décoder un cahier des charges fonctionnel. C01 Recenser les contraintes de l’étude. C02 Reformuler et synthétiser un cahier des charges fonctionnel. C03 Analyser, comparer des solutions techniques et argumenter. C04 Dégager les principes qui régissent les solutions techniques. C05 Rechercher une information. C06 Identifier les moyens techniques de production disponibles. C07 Intégrer les contraintes de la propriété industrielle. C08 Rechercher et expliciter un principe de solution. C09 Proposer ou expliciter une solution constructive. C10 Elaborer la maquette numérique de conception préliminaire. C11 Argumenter, au sein d’un groupe projet, les solutions techniques et économiques. C12 Valider une géométrie ou une architecture, par simulation informatique. C13 Estimer la durée d’étude attendue et recenser les éléments du coût. C14 Choisir un composant en exploitant une base de données. C15 Générer le modèle numérique de l’ensemble étudié. C16 Définir les spécifications de fonctionnement. C17 Prédimensionner les éléments essentiels du projet en appliquant la théorie des poutres. C18 Exploiter un logiciel de calcul de structures C19 Choisir un matériau et un procédé d’élaboration. C20 Intégrer les exigences ou propositions d’un spécialiste du procédé. C21 Intégrer les exigences de la vie du produit. C22 Valider le comportement du système conçu au regard du cahier des charges fonctionnel. C23 Elaborer le modèle numérique définitif et les représentations graphiques dérivées. C24 Réaliser des dessins de définition de produits finis, cotés, tolérancés. C25 Intégrer une action d’étude dans une démarche « qualité ». C26 Contribuer à l’archivage, à la traçabilité de l’étude et à la capitalisation des expériences dans les bases de données techniques de l’entreprise. C27 Choisir un mode de communication approprié. C28 Rédiger et présenter oralement, avec une langue étrangère. C29 Lire un document technique en une langue étrangère. C30
  • 24.
    24 Conception duProduit Industriel Brevet de Technicien Supérieur 1-4- Compétences détaillées et indicateurs de performance C01 Décoder un cahier des charges fonctionnel Données Compétence détaillée indicateur de performance  Le cahier des charges fonctionnel du produit.  Décrire le besoin.  Décrire la frontière de l’étude.  Énoncer les fonctions de service du produit.  Identifier, pour une fonction technique donnée : critères, niveaux, flexibilité.  Exactitude et précision de l’énoncé du besoin.  Exhaustivité du recensement des interfaces de l’étude.  Exactitude des caractéristiques attendues pour une fonction donnée. C02 Recenser les contraintes de l’étude Données Compétence détaillée indicateur de performance  Les moyens techniques et logiciels potentiellement disponibles.  Les partenaires potentiels de l’étude.  Les délais attendus de l’étude.  Les contraintes économiques.  Les contraintes de propriété industrielle.  Identifier et lister les contraintes liées :  à l’équipe projet,  aux moyens techniques  disponibles,  à l’environnement,  aux conditions économiques,  aux différents partenaires.  Exhaustivité des contraintes identifiées. C03 Reformuler et synthétiser un cahier des charges fonctionnel. Données Compétence détaillée indicateur de performance  L’expression du besoin formulée par le client sous diverses formes : écrit, oral, description graphique, imagerie, présentation du réel et de son environnement...  Éventuellement, une première expression du cahier des charges de l’étude proposée.  La frontière de l’étude.  Recueillir et consigner, éventuellement sur le site, les données permettant l’élaboration de tout ou partie d’un cahier des charges.  Reformuler tout ou partie d’un cahier des charges fonctionnel fourni.  Présenter oralement le cahier des charges de l’étude proposée.  Exhaustivité de la liste des fonctions à étudier.  Précision des critères, des niveaux, de la flexibilité.  Clarté, précision, synthèse de l’exposé.  Validation par le client et/ou par le chef de projet. C04 Analyser, comparer des solutions techniques et argumenter. Données Compétence détaillée indicateur de performance  Des solutions techniques en réponse à une fonction technique donnée sous forme de :  plans, schémas, croquis,  modèles virtuels,  mécanismes réels.  Dégager des paramètres, des critères de comparaison des solutions techniques en regard du cahier des charges fonctionnel.  Pondérer chacun des critères.  Classer les différentes solutions techniques.  Communiquer oralement ou par écrit à propos du système technique.  Exhaustivité des paramètres à prendre en compte.  Exactitude du classement.  Pertinence des commentaires et de l’analyse.
  • 25.
    Brevet de TechnicienSupérieur Conception du Produit Industriel 25 C05 Dégager des principes qui régissent des solutions techniques. Données Compétence détaillée indicateur de performance  Une ou des solutions techniques en réponse à une fonction technique donnée sous forme de : plans, schémas, croquis, modèles virtuels, mécanismes réels.  Identifier l’élément, le principe qui caractérise ou qui différencie la ou les solutions.  Classer les différentes solutions techniques suivant ces principes.  Éventuellement déterminer d’autres principes utilisables pour cette fonction technique.  Qualité de synthèse.  Exactitude du principe identifié.  Exactitude du classement réalisé.  Pertinence des principes proposés et niveau de créativité. C06 Rechercher une information Données Compétence détaillée indicateur de performance  Les catalogues des constructeurs.  Les bases de données locales ou à distance.  Des méthodes de recherche, de tri et de classement.  Mettre en œuvre une démarche de recherche d’information.  Classer, hiérarchiser des informations.  Synthétiser une information.  Exactitude et rapidité de la démarche pour l’obtention de l’information.  Brièveté et exactitude de la synthèse. C07 Identifier les moyens techniques de production disponibles. Données Compétence détaillée indicateur de performance  Le cadre et les contraintes de l’étude.  Les moyens de réalisation disponibles en local ou en soustraitance.  Recenser, lister les moyens techniques et humains.  Identification des moyens  nécessaires et de leurs caractéristiques.  Exhaustivité des moyens  recensés et disponibles. C08 Intégrer les contraintes de la propriété industrielle. Données Compétence détaillée indicateurs de performance  Le cadre et les contraintes de l’étude.  Les organismes et les procédures de protection industrielle.  Les moyens d’accès aux informations nécessaires.  Les informations éventuelles sur la concurrence.  Définir la partie de l’étude à protéger.  Rechercher et identifier les éventuelles antériorités et leur niveau de protection.  Participer aux démarches de protection : enveloppe Soleau, brevet...  Dialogue r avec les responsables des agences de propriété industrielles.  Exactitude de la frontière de l’étude concernée.  Exhaustivité des antériorités.  Pertinence des contributions aux démarches de protection industrielle. C09 Rechercher un principe de solution. Données Compétence détaillée indicateurs de performance  Une fonction technique étant identifiée et spécifiée dans le cahier des charges.  Des principes de solutions relatifs à des fonctions techniques similaires sont éventuellement disponibles.  Des méthodes de créativité, éventuellement en appui sur des logiciels spécifiques.  Rechercher le ou les principes, existants ou innovants qui satisfont la fonction étudiée  Exactitude du principe retenu.
  • 26.
    26 Conception duProduit Industriel Brevet de Technicien Supérieur C10 Proposer, ou expliciter une solution constructive. Données Compétence détaillée indicateurs de performance  Les documents techniques et normatifs de la solution retenue.  Les bases de données locales et/ou à distances.  Élaborer un croquis et/ou un schéma.  Légender un croquis ou un schéma.  Commenter un croquis ou un schéma.  Lisibilité et clarté des schémas et croquis.  Précision des légendes.  Pertinence des commentaires. C11 Elaborer la maquette numérique de conception préliminaire Données Compétence détaillée indicateurs de performance  Le cahier des charges fonctionnel.  Les moyens informatiques (logiciel de CAO 3D paramétré, variationnel).  Croquis et schémas d’étude préliminaire.  Bibliothèque d’éléments standards.  Choisir un modèle de création (surfacique, volumique).  Etablir un arbre de construction selon une méthode appropriée (conception dans l’assemblage, conception avec esquisse pilotante...).  Choisir des contraintes d’assemblage.  Adéquation du modèle de création avec le type de produit.  Pertinence de l’exploitation des fonctionnalités du logiciel.  Logique, lisibilité, de l’arbre de construction proposé.  Corrélation entre contraintes d’assemblage et mobilité fonctionnelle.
  • 27.
    Brevet de TechnicienSupérieur Conception du Produit Industriel 27 C12 Argumenter, au sein d’un groupe projet, les solutions techniques et économiques. Données Compétence détaillée indicateurs de performance  Les croquis, schémas... d’études préliminaires.  Des bases de données locales et/ou à distances.  La base de données du «savoirfaire » de l’entreprise.  Des abaques.  Des catalogues de constructeurs.  Les informations relatives aux divers coûts : composants, matière, procédés.  Décrire une solution technique selon un critère du cahier des  charges fonctionnel (CdCf).  Argumenter une solution au sein du groupe.  Pertinence des critères techniques et économiques retenus.  Logique et objectivité de l’argumentation. C13 Valider une géométrie ou une architecture par simulation informatique Données Compétence détaillée indicateurs de performance  Les solutions techniques envisageables.  Un outil informatique de modélisation et simulation mécanique et sa documentation associée.  Créer un modèle d’étude adapté.  Mettre en œuvre l'outil informatique ou le protocole de calcul élémentaire, utilisant le modèle d’étude retenu.  Analyser et interpréter les résultats.  Pertinence du modèle proposé.  Validité des entrées.  Exactitude des résultats et qualité de leur interprétation. C14 Estimer la durée d’étude Données Compétence détaillée indicateurs de performance  La frontière, les conditions et les moyens techniques de l’étude.  Le plan prévisionnel du projet dans lequel s’inscrit l’étude.  Les bases de données techniques de l’entreprise avec, éventuellement des informations sur les temps relatifs aux études antérieures.  Les éléments de calcul des coûts prévisionnels : internes, fournisseurs, outilleurs, fabricants...  Situer l’étude dans le plan général du projet et identifier les antériorités et les simultanéités.  Déterminer les délais prévisionnels de l’étude.  Recenser les éléments de coût à prendre en compte.  Respect du plan de travail.  Exhaustivité des éléments de coût prévisionnels. C15 Choisir un composant en exploitant une base de données industrielle. Données Compétence détaillée indicateurs de performance  Le cahier des charges fonctionnel.  Les lois de comportement attendues.  Les logiciels, abaques, catalogues de constructeurs. Les croquis et schémas d’étude préliminaire.  Inventorier les critères de choix.  Réaliser un choix pondéré multicritères.  Utiliser les procédures de choix de composants (sur catalogues, CD ROM ou en ligne sur des sites industriels).  Adéquation des critères de choix avec le cahier des charges fonctionnel.  Respect de la démarche de choix de composant.  Pertinence du choix. C16 Générer le modèle numérique de l’ensemble étudié. Données Compétence détaillée indicateurs de performance  Les moyens informatiques (logiciel de CAO 3D, paramétré, variationnel).  Le modèle numérique 3D du sous ensemble issu de la conception préliminaire.  Etablir un paramétrage géométrique incluant les contraintes de conception  Corrélation entre paramétrage et chaîne fonctionnelle.  Robustesse, portabilité du modèle.  Minimisation des contraintes d’assemblage.
  • 28.
    28 Conception duProduit Industriel Brevet de Technicien Supérieur C17 Définir les spécifications de fonctionnement. Données Compétence détaillée indicateurs de performance  Le cahier des charges fonctionnel.  Le modèle numérique 3D.  Les mises en plan 2D.  Identifier et quantifier les conditions de bon fonctionnement Établir les chaînes géométriques traduisant les conditions fonctionnelles.  Pertinence des conditions fonctionnelles identifiées.  Exactitude des chaînes géométriques. C18 Prédimensionner les éléments essentiels du projet en appliquant la théorie des poutres. Données Compétence détaillée indicateurs de performance  La maquette numérique de conception préliminaire.  Les actions mécaniques appliquées.  Éventuellement un aide mémoire des cas simples de la théorie des poutres.  Éventuellement, un logiciel de RDM.  Les données sur les propriétés mécaniques des matériaux.  Définir les éléments à dimensionner.  Choisir un modèle d’étude adapté.  Justifier les hypothèses simplificatrices retenues.  Utiliser le modèle avec l'outil adapté.  Analyser et interpréter les résultats.  Pertinence de l’élément à dimensionner.  Pertinence du modèle d’étude retenu.  Respect de la démarche de calcul.  Exactitude de l’interprétation des résultats. C19 Exploiter un logiciel de calcul de structures. Données Compétence détaillée indicateurs de performance  La maquette numérique de conception préliminaire.  Les actions mécaniques appliquées.  Un logiciel de calcul de tructure.  Les données sur les propriétés mécaniques des matériaux.  Les résultats des calculs effectués par un logiciel de calcul de structures (édités ou disponibles sur un poste informatique).  Définir les éléments à dimensionner.  Choisir le module de calcul adapté.  Proposer les modèles de chargement.  Identifier les conditions aux limites de l’étude.  Identifier les éléments dimensionnés.  Décoder et interpréter les résultats.  Pertinence du modèle d’étude retenu.  Respect de la démarche de calcul.  Exactitude de l’interprétation  des résultats.  Pertinence des conclusions. C20 Choisir un matériau et un procédé d’élaboration. Données Compétence détaillée indicateurs de performance  Le cahier des charges fonctionnel du produit.  Les croquis, schémas et/ou modèle numérique 3D de la pièce concernée.  Les bases de données sur les procédés et les matériaux.  Éventuellement, un logiciel d’aide à la décision pour le choix du couple matériau/procédé.  Éventuellement, les modules métiers et les moyens de simulation relatifs au(x) procédé(s) envisagés.  Éventuellement, les moyens nécessaires à la mise en œuvre d’essais.  Vérifier l’aptitude du matériau de la pièce à satisfaire les conditions fonctionnelles ou d’élaboration attendue : usinabilité, formabilité, moulabilité... dureté, résistance à la corrosion...  Vérifier la compatibilité entre les formes de la pièce et le (ou les) procédé(s) d’obtention (éventuellement par exploitation de modules « métiers » des logiciels).  Pertinence du choix du matériau au regard de critères technicoéconomiques.  Compatibilité du couple matériau/procédé au regard de la géométrie et des fonctions de la pièce.
  • 29.
    Brevet de TechnicienSupérieur Conception du Produit Industriel 29 C21 Intégrer les exigences ou propositions d’un spécialiste d’un procédé. Données Compétence détaillée indicateurs de performance  Les éléments économiques : lots, délais, coût prévisionnel.  Le cahier des charges fonctionnel du produit.  La maquette numérique de conception préliminaire.  L’esquisse ou le modèle numérique de la pièce concernée.  Éventuellement, les résultats de la simulation du procédé d’obtention de la pièce étudiée à l’aide d’un module métier.  Un spécialiste du procédé et/ou son rapport d’analyse sur la pièce à fabriquer.  Énoncer les contraintes économiques de la pièce à fabriquer.  Énoncer les critères privilégiés pour le choix initial du couple matériau/procédé.  Identifier les incidences du procédé sur l’homogénéité de la matière, sur les caractéristiques mécaniques du matériau.  Définir avec précision la géométrie de la pièce compatible avec le procédé.  Échanger avec un spécialiste du procédé.  Exhaustivité et exactitude des contraintes et critères énoncés.  Exhaustivité des incidences du procédé à prendre en compte.  Compatibilité de la géométrie de la pièce avec le procédé et l’ensemble de ses contraintes. C22 Intégrer les exigences de la vie du produit. Données Compétence détaillée indicateurs de performance  Le cahier des charges fonctionnel du produit.  Des données et/ou des spécialistes sur les processus de fabrication, d’assemblage, de conditionnement, de livraison, d’utilisation, de SAV, de destruction du produit.  Les normes en vigueur relatives à la sécurité des personnes et des biens, à la préservation de l’environnement.  Inventorier les exigences des diverses étapes du cycle de vie du produit.  Traduire les incidences sur la définition du produit et, éventuellement sur les diverses notices de vente, d’installation, de mise en service, d’utilisation, d’entretien, de service après vente, de destruction.  Exhaustivité des contraintes repérées.  Exactitude des modifications proposées.  Précision des spécifications indiquées sur les diverses notices. C23 Valider le comportement du système conçu au regard du chier des charges fonctionnel. Données Compétence détaillée indicateurs de performance  Le cahier des charges fonctionnel du produit.  La maquette numérique de conception détaillée du produit.  Des logiciels de calcul et simulation mécanique.  Définir les éléments à valider et les critères d’étude.  Choisir un modèle adapté à la précision de la vérification attendue.  Utiliser le modèle conclure quant au comportement attendu.  Pertinence de l’étude proposée.  Validité du modèle, de l’outil de simulation choisis et de la démarche mise en œuvre. C24 Elaborer le modèle numérique définitif et les représentations graphiques dérivées. Données Compétence détaillée indicateurs de performance  Le modèle numérique de l’étude avec ses spécifications fonctionnelles.  Le contrat final attendu pour l’étude concernée.  Les matériaux et les procédés retenus.  Les normes de la cotation et du tolérancement.  Utiliser les fonctionnalités du modeleur 3D pour éditer les documents techniques attendus selon divers points de vue :  conception,  spécification,  maintenance,  commercial,  utilisation,  Exhaustivité des documents techniques attendus.  Qualité de l’organisation de l’habillage.  Précision des informations.  Respect des normes.
  • 30.
    30 Conception duProduit Industriel Brevet de Technicien Supérieur C25 Réaliser des dessins de définition de produits finis, cotés, tolérancés. Données Compétence détaillée indicateurs de performance  Le modèle numérique, ses spécifications fonctionnelles et les mises en plan nécessaires.  Les matériaux et procédés retenus.  Les normes en vigueur.  Le coût prévisionnel.  Éventuellement des logiciels de quantification et de simulation d’une cotation.  Rechercher, pour chaque condition fonctionnelle, la (ou les) spécification(s) relative(s) à la pièce considérée.  Quantifier les spécifications (en dimensions et spécifications de formes ou de positions relatives).  Indiquer les spécifications sur le document de définition de la pièce.  Pertinence des spécifications retenues.  Cohérence des valeurs des spécifications au regard des fonctionnalités, des procédés et du coût prévisionnel..  Respect des normes en vigueur. C26 Intégrer une action d’étude dans une démarche « qualité ». Données Compétence détaillée indicateurs de performance  L’organigramme de l’entreprise.  Le plan qualité de l’entreprise.  Intégrer son action dans le plan qualité de l’entreprise.  Participer à l’encadrement ou à la formation de stagiaires ou de personnels dans l’entreprise.  Respect des procédures « qualité » de l’entreprise.  Niveau de l’implication personnelle. C27 Contribuer à l’archivage, à la traçabilité de l’étude et à la capitalisation des expériences. Données Compétence détaillée indicateurs de performance  Le dossier complet de l’étude.  Les bases de données de l’entreprise, (archivage matériel ou logiciel).  Rechercher les mots clés de l’étude et, éventuellement, coder selon le protocole de l’entreprise.  Classer l’étude et gérer la configuration en cours.  Pertinence des mots clés.  Exactitude du codage.  Validité du classement. C28 Choisir un mode de communication approprié. Données Compétence détaillée indicateurs de performance  Un logiciel de messagerie pour réseau local ou à distance.  Un module spécifique d’une plate forme collaborative.  Rédiger un courrier électronique concis.  Diffuser ou réceptionner un, courrier électronique.  Annoter un modèle numérique.  Concision, précision et  lisibilité du message. C29 Rédiger et présenter oralement. Données Compétence détaillée indicateurs de performance  Tout ou partie d’une étude technique.  Éventuellement un glossaire de vocabulaire technique, un dictionnaire  orthographique, un dictionnaire des synonymes.  Les moyens matériels et logiciels de présentation de rapports.  Rédiger un rapport.  Inventorier les mots clés et rédiger un plan synthétique du rapport.  Choisir les documents techniques et les animations essentiels.  Réaliser la présentation orale de l’étude technique concernée à l’aide des moyens audiovisuels adaptés.  Lisibilité du rapport écrit.  Logique de la démarche proposée.  Exactitude des mots clés et pertinence des illustrations.  Précision du vocabulaire et clarté de l’expression orale. C30 Lire un document technique avec une langue étrangère Données Compétence détaillée indicateurs de performance  Un document technique écrit en langue anglaise.  Un ou des interlocuteurs s’exprimant en anglais et un sujet technique identifié à priori.  Décrire en anglais les points clés de l’étude.  Dialoguer en anglais sur le sujet avec un ou des interlocuteurs.  Rédiger en français le résumé d’un échange avec un ou des interlocuteurs s’étant exprimés en langue étrangère.  Exactitude de la formulation en langue anglaise.  Exactitude des idées comprises et traduites en français
  • 31.
    Brevet de TechnicienSupérieur Conception du Produit Industriel 31 Guided’AccompagnementPédagogique
  • 32.
    32 Conception duProduit Industriel Brevet de Technicien Supérieur Savoirs et savoirs associés
  • 33.
    I- Savoirs Les compétencesidentifiées dans le tableau récapitulatif mobilisent des savoirs qui renvoient à des disciplines d'enseignement général ou scientifique et technique. L’analyse des différentes situations de travail, liées aux tâches, a permis de lister les savoirs indispensables associés aux compétences. Les savoirs généraux (tels que les langues) font partie intégrante du diplôme et peuvent être communs à plusieurs BTS. Les savoirs scientifiques et techniques définissent les contenus de formation liés au BTS-CPI. 1-1- Savoirs associés aux compétences Les savoirs associés aux compétences ont été organisés autour de 11 thèmes distincts (S1 à S11), dont 5 qui sont communs à plusieurs BTS. La liste ci-dessous donne les savoirs avec leurs codes. Savoir Code Langues S1 Techniques d’expression et de communication S2 Mathématiques S3 Mécanique industrielle S4 Représentation d’un produit technique S6 Industrialisation du produit S5 Physique appliquée S7 Motorisation et commande des systèmes S8 Cultures Economique et Juridique S9 Hygiène, sécurité et santé S10 Activités pratiques professionnelles S11 II- Contenu et niveaux d’acquisition des savoirs 2-1- Définition des savoirs S1 : Langues S1-1- Arabe S1-2- Français S1-3- Anglais S2 : Techniques d’Expression et de Communication S2-1- Concepts de base de la communication S2-2- Communication orale professionnelle S2-3- Recherche de stage S2-4- Communication écrite professionnelle S2-5- Préparation à l’insertion professionnelle S3 : Mathématiques S3-1- Séries S3-2- Nombres complexes et géométrie élémentaire S3-3- Fonctions usuelles et équations différentielles linéaires S3-4- Analyse et géométrie différentielle S3-5- Fonctions à deux variables S3-6- Algèbre linéaire et géométrie affine S3-7- Espaces vectoriels euclidiens et géométrie euclidienne S3-8- Statistiques et probabilités S4 : Mécanique industrielle S4-1- Comportement des systèmes techniques S4-2- Comportements dynamique et énergétique des équipements
  • 34.
    34 Conception duProduit Industriel Brevet de Technicien Supérieur S4-3- Construction des systèmes technique S4-4- Organisation et suivi d’un projet S4-5- Transmission et transformation de mouvements S5 : Industrialisation des produits S5-1- L’entreprise industrielle S5-2- La relation conception, industrialisation, production, contrôle S5-3- Les procédés d’obtention des produits S5-4- travaux pratiques de fabrication mécanique S6 : Représentation d’un produit technique S6-1- Outils à développer en phase recherche de solutions S6-2- Utilisation de modeleurs volumiques pour l'obtention de modèles 3D en phase d'étude S6-3- Fonctionnalités des modeleurs utiles en phase exploitation S7 : Physique appliquée S7-1- Comportement dynamique d’un système électrique et mécanique S7-2- Machines électriques S7-3- Mécanique des fluides et thermique S8 : Motorisation et commande des systèmes S8-1- Conception des produits utilisant l’énergie électrique S8-2- Sécurité électrique S8-3- Outils de représentation normalisée S8-4- Régimes de fonctionnement S8-5- Automatismes et automatique S8-6- Partie commande S8-7- Partie Opérative S8-8- Asservissement S9 Culture Economique et Juridique S9-1- Environnement Economique S9-2- Environnement juridique S9-3- Création d’entreprise S10 Hygiène, sécurité et santé S10-1- Typologie de la Sécurité S10-2- Techniques d’amélioration de la sécurité : S10-3- Matériels pour fonction de sécurité S10-4- Santé et Sécurité au travail S11 Activités pratiques professionnelles
  • 35.
    Brevet de TechnicienSupérieur Conception du Produit Industriel 35 2-2- Détail des savoirs 2-2-1- savoirs transversaux S1 : Langues S1-1- Arabe ‫توطئ‬ ‫ـــ‬ ‫ة‬ : ً‫ف‬ ‫للتدرٌس‬ ‫كلغة‬ ‫متقدما‬ ‫موقعا‬ ‫وتحتل‬ ،ً‫المغرب‬ ً‫والثقاف‬ ‫اللغوي‬ ‫الحقل‬ ‫داخل‬ ‫متمٌز‬ ‫بوضع‬ ‫العربٌة‬ ‫اللغة‬ ‫تحظى‬ ‫أن‬ ‫على‬ ‫وأكد‬ ،‫البالد‬ ‫ومقدسات‬ ‫ثوابت‬ ‫ضمن‬ ‫والتكوٌن‬ ‫للتربٌة‬ ً‫الوطن‬ ‫المٌثاق‬ ‫عدها‬ ‫حٌث‬ ،‫الوطنٌة‬ ‫التربوٌة‬ ‫المنظومة‬ ‫الع‬ ‫مجاالت‬ ‫مختلف‬ ً‫ف‬ ‫واستعمالها‬ ‫تعزٌزها‬ ‫من‬ ‫مجموعة‬ ‫واقترح‬ ،‫وطنٌا‬ ‫طموحا‬ ‫وسٌبقى‬ ‫ٌزال‬ ‫وال‬ ‫كان‬ ‫والحٌاة‬ ‫لم‬ ً‫العلم‬ ‫للتعلٌم‬ ‫اختٌارٌة‬ ‫شعب‬ ‫فتح‬ ‫ضرورة‬ ‫استلزم‬ ‫كما‬ ،‫كفاٌاتها‬ ‫من‬ ‫التمكن‬ ‫من‬ ‫للرفع‬ ‫والبٌداغوجٌة‬ ‫التنظٌمٌة‬ ‫التدابٌر‬ .‫العربٌة‬ ‫باللغة‬ ‫الجامعات‬ ‫مستوى‬ ‫على‬ ً‫والبٌداغوج‬ ً‫والتقن‬ ‫االستعج‬ ‫البرنامج‬ ‫ساهم‬ ‫وقد‬ ،‫هذا‬ ‫ضمن‬ ‫أكد‬ ‫حٌث‬ ،‫والتكوٌن‬ ‫للتربٌة‬ ً‫الوطن‬ ‫المٌثاق‬ ‫خطوات‬ ‫دعم‬ ً‫ف‬ ‫بدوره‬ ً‫ال‬ ‫اللغات‬ ‫تعلٌم‬ ‫تطوٌر‬ ‫مشروع‬ ً‫ف‬ ‫ونص‬ ،"‫وتقوٌته‬ ‫العربٌة‬ ‫اللغة‬ ‫تعلٌم‬ ‫تجدٌد‬ ‫"دعم‬ ‫على‬ ‫التعلٌم‬ ‫تطوٌر‬ ‫برنامج‬ ‫مشروع‬ ً‫العال‬ ً‫والتقن‬ ً‫التقن‬ ".ً‫العال‬ ً‫التقن‬ ‫بشهادة‬ ‫الخاصة‬ ‫المقررات‬ ‫وتحٌٌن‬ ‫"توحٌد‬ ‫على‬ ‫باالس‬ ‫شهادة‬ ‫تحضٌر‬ ‫بأقسام‬ ‫خاص‬ ‫العربٌة‬ ‫للغة‬ ‫بدٌل‬ ‫منهاج‬ ‫تقدٌم‬ ‫ٌتم‬ ‫العام‬ ‫إطارها‬ ً‫وف‬ ‫السابقة‬ ‫المرجعٌات‬ ‫إلى‬ ‫تناد‬ ً‫اآلت‬ ً‫الوصف‬ ‫الملف‬ ‫وفق‬ ً‫العال‬ ً‫التقن‬ : I - ً‫العال‬ ً‫التقن‬ ‫شهادة‬ ‫تحضٌر‬ ‫بأقسام‬ ‫العربٌة‬ ‫اللغة‬ ‫منهاج‬ ‫من‬ ‫المستهدفة‬ ‫الكفاٌات‬ : 1 - 1 - ‫التواصلٌة‬ ‫الكفاٌة‬ : - ‫ال‬ ‫كفاٌة‬ ‫الشفوي‬ ‫تعبٌر‬ :  ‫الشفوي‬ ‫التواصل‬ ‫أدبٌات‬ ‫تمثل‬ .)...‫التركٌز‬ ،‫االستماع‬ ،‫(االنتباه‬  .‫شفوٌا‬ ‫واستعادتها‬ ‫النصوص‬ ‫مضامٌن‬ ‫وفهم‬ ‫استٌعاب‬  . ‫شفوٌة‬ ‫رسالة‬ ‫إنتاج‬  ‫األشكال‬ ،‫األحجام‬،‫والوضعٌات‬ ‫اإلٌحاءات‬ ،‫اإلٌماءات‬ ،‫الحركات‬ ،‫(النظرات‬ ً‫التلفظ‬ ‫غٌر‬ ‫التواصل‬ ‫رموز‬ ‫فك‬ .)...‫واأللوان‬  ‫مراعا‬ .)...‫الحروف‬ ‫مخارج‬ ‫وخصوصٌات‬ ‫التنغٌم‬ ( ‫السلٌم‬ ‫التلفظ‬ ‫قواعد‬ ‫ة‬ ‫حول‬ ‫وظٌفٌة‬ ‫تطبٌقات‬ ‫إنجاز‬ ً‫ٌنبغ‬ ‫الكفاٌة‬ ‫هذه‬ ‫لتفعٌل‬ :  .)‫االرتجال‬ ‫تقنٌة‬ ( ‫عرض‬ ‫إلقاء‬ ‫مهارة‬  .)‫ومناقشة‬ ‫تعقٌب‬ ،‫تعلٌق‬ ( ‫كلمة‬ ‫أخذ‬  .)‫مستدٌرة‬ ‫مائدة‬ ،‫مناظرة‬ ،‫(ندوة‬ ‫اجتماع‬ ‫تسٌٌر‬  .‫الهاتف‬ ‫عبر‬ ‫التواصل‬ - ‫التع‬ ‫كفاٌة‬ ً‫الكتاب‬ ‫بٌر‬ :  .‫المٌسرة‬ ‫العربٌة‬ ‫اللغة‬ ‫استعمال‬ ‫على‬ ‫التحفٌز‬  .‫دراسته‬ ‫ومسالك‬ ‫بتخصصه‬ ‫المتصل‬ ‫البحث‬ ‫مجاالت‬ ً‫ف‬ ‫اللغوٌة‬ ‫قدراته‬ ‫توظٌف‬ ‫من‬ ‫الطالب‬ ‫تمكٌن‬  . ‫النصوص‬ ‫مختلف‬ ‫وتحلٌل‬ ‫إنتاج‬ ً‫ف‬ ‫اللغة‬ ‫علوم‬ ‫توظٌف‬  .‫للمقام‬ ‫المناسب‬ ‫المقال‬ ‫واختٌار‬ ‫وأسالٌبه‬ ‫التعبٌر‬ ‫صٌغ‬ ‫تنوٌع‬  ‫ع‬ ‫التحفٌز‬ . ‫واإلبداع‬ ‫الكتابة‬ ‫لى‬ ‫حول‬ ‫وظٌفٌة‬ ‫تطبٌقات‬ ‫إنجاز‬ ً‫ٌنبغ‬ ‫الكفاٌة‬ ‫هذه‬ ‫لتفعٌل‬ :  .‫مقروء‬ ‫لنص‬ ‫أقالم‬ ‫رؤوس‬ ‫تدوٌن‬ ‫مهارة‬  .‫مقروء‬ ‫نص‬ ‫وتلخٌص‬ ‫تكثٌف‬  .‫فكرة‬ ‫توسٌع‬ 1 - 2 - ‫المنهجٌة‬ ‫الكفاٌة‬ : : ‫على‬ ‫القدرة‬ ‫تحقٌق‬  .‫دراسة‬ ‫أو‬ ‫بحث‬ ‫مشروع‬ ‫أو‬ ‫لموضوع‬ ‫تصمٌم‬ ‫وضع‬  ‫للبحث‬ ‫الخزانات‬ ‫جذاذات‬ ‫استعمال‬ .‫والمراجع‬ ‫المصادر‬ ‫عن‬  ‫الرقمٌة‬ ‫والمراجع‬ ‫المدمجة‬ ‫واألقراص‬ ‫المعطٌات‬ ‫وبنوك‬ ‫والموسوعات‬ ‫القوامٌس‬ ً‫ف‬ ‫البحث‬ ‫منهجٌة‬ ‫من‬ ‫التمكن‬ .‫اإللكترونٌة‬ ‫والمواقع‬
  • 36.
    36 Conception duProduit Industriel Brevet de Technicien Supérieur  .‫والفهارس‬ ‫واألماكن‬ ‫األعالم‬ ‫ودالئل‬ ‫البٌبلٌوغرافٌا‬ ‫وتصنٌف‬ ‫الهوامش‬ ‫إعداد‬ ‫تقنٌات‬ ‫اكتساب‬  ‫واستثمار‬ ‫وتصنٌفها‬ ‫المعلومات‬ ‫انتقاء‬ . ‫والصور‬ ‫والوثائق‬ ‫البٌانات‬  .‫النتائج‬ ‫واستجماع‬ ‫المركزة‬ ‫الخالصات‬ ‫تركٌب‬ ‫حول‬ ‫وظٌفٌة‬ ‫تطبٌقات‬ ‫إجراء‬ ً‫ٌنبغ‬ ‫الكفاٌة‬ ‫هذه‬ ‫لتفعٌل‬ :  .‫الربط‬ ‫وأدوات‬ ‫الترقٌم‬ ‫عالمات‬ ‫توظٌف‬  . ‫تركٌبٌة‬ ‫أو‬ ‫داللٌة‬ ‫متوالٌات‬ ‫أو‬ ‫وحدات‬ ‫إلى‬ ‫وتقسٌمه‬ ‫النص‬ ‫تمفصالت‬ ‫تحدٌد‬  ‫األد‬ ‫األجناس‬ ‫بٌن‬ ‫التمٌٌز‬ ‫مهارة‬ ‫الخطاب‬ ‫أشكال‬ ‫ومختلف‬ )...‫الرحلة‬ ،‫الشعر‬ ،‫القصة‬ ،‫الرواٌة‬ ،‫(السٌرة‬ ‫بٌة‬ .)...ً‫الحجاج‬ ،‫التفسٌري‬ ،‫اإلخباري‬ ،‫الحواري‬ ،ً‫الوصف‬ ، ‫(السردي‬ 1 - 3 - ‫الثقافٌة‬ ‫الكفاٌة‬ :  .‫العصر‬ ‫ورهانات‬ ‫بقضاٌا‬ ً‫وع‬ ‫تحصٌل‬  .‫والتكنولوجٌة‬ ‫والعلمٌة‬ ‫الثقافٌة‬ ‫العصر‬ ‫مستجدات‬ ‫مساٌرة‬  ً‫الت‬ ‫التحدٌات‬ ‫إدراك‬ .‫العولمة‬ ‫عصر‬ ً‫ف‬ ‫العرب‬ ‫تواجه‬  .‫صورة‬ ‫قراءة‬ ‫تقنٌات‬ ‫استثمار‬ ‫حول‬ ‫وظٌفٌة‬ ‫تطبٌقات‬ ‫إجراء‬ ً‫ٌنبغ‬ ‫الكفاٌة‬ ‫هذه‬ ‫لتفعٌل‬ :  .‫والثانٌة‬ ‫األولى‬ ‫السنتٌن‬ ً‫ف‬ ‫المقترحة‬ ‫المضامٌن‬ ‫تطابق‬ ‫مختارة‬ ‫نصوص‬ ‫استثمار‬ 1 - 4 - ‫اإلستراتٌجٌة‬ ‫الكفاٌة‬ :  ‫الثقاف‬ ‫على‬ ‫واالنفتاح‬ ‫المغربٌة‬ ‫الحضارة‬ ‫مقومات‬ ‫تمثل‬ .‫اإلنسانٌة‬ ‫ة‬  .‫اآلخر‬ ‫الرأي‬ ‫واحترام‬ ‫التفتح‬ ‫وقٌم‬ ‫بالنفس‬ ‫الثقة‬ ‫قٌم‬ ‫تعزٌز‬  .‫اإلٌجابٌة‬ ‫والمٌوالت‬ ‫المواقف‬ ‫تعزٌز‬  .‫الفردٌة‬ ‫المبادرة‬ ‫وروح‬ ‫النقدي‬ ‫الحس‬ ‫تكوٌن‬ ‫حول‬ ‫وظٌفٌة‬ ‫تطبٌقات‬ ‫إجراء‬ ً‫ٌنبغ‬ ‫الكفاٌة‬ ‫هذه‬ ‫لتفعٌل‬ :  ‫الظواه‬ ‫إزاء‬ ‫وبراهٌن‬ ‫بحجج‬ ‫معلل‬ ‫موقف‬ ‫واتخاذ‬ ‫الرأي‬ ‫إبداء‬ ‫مهارة‬ . ‫المدروسة‬ ‫والقضاٌا‬ ‫ر‬ II - : ‫المستهدفة‬ ‫للكفاٌات‬ ‫الدٌدكتٌكٌة‬ ‫والدعامات‬ ‫الوسائل‬  .‫المقترحة‬ ‫والظواهر‬ ‫بالقضاٌا‬ ‫عالقة‬ ‫لها‬ ‫موضوعات‬ ‫تعالج‬ ‫مختارة‬ ‫نصوص‬ ‫توظٌف‬  . ‫مكتبٌة‬ ‫خدمات‬ ‫من‬ ‫االستفادة‬  ‫ا‬ ‫أجهزة‬ ،‫بصرٌة‬/‫سمعٌة‬ ،‫سمعٌة‬ ‫أشرطة‬ ، ‫وثائق‬ ،‫بٌانات‬ ، ‫صور‬ ( ‫بصرٌة‬ ‫سمعٌة‬ ‫دعائم‬ ‫توظٌف‬ ‫لحاسوب‬ .)...‫العاكس‬ ‫والمسالط‬  . ‫وخرجات‬ ‫مٌدانٌة‬ ‫بزٌارات‬ ‫القٌام‬  .‫الجماعٌة‬ ‫والبحوث‬ ‫العروض‬ ‫استثمار‬  .‫وإنجازا‬ ‫إعدادا‬ ‫الطلبة‬ ‫فٌها‬ ‫ٌشارك‬ ‫مستدٌرة‬ ‫موائد‬ ‫أو‬ ‫ندوات‬ ‫تنظٌم‬  .‫مدمجة‬ ‫بأنشطة‬ ‫التعزٌز‬ III - ً‫العال‬ ً‫التقن‬ ‫شهادة‬ ‫تحضٌر‬ ‫أقسام‬ ً‫ف‬ ‫العربٌة‬ ‫اللغة‬ ‫منهاج‬ ‫مضامٌن‬ ‫األ‬ ‫ـة‬‫ن‬‫الس‬ ‫لول‬ ‫عبمة‬ ‫وظواهر‬ ‫قضبيب‬ : : ‫العولمة‬ ‫محور‬  .‫ٔانٕٓيخ‬ ‫انؼٕنًخ‬  .‫ٔاالقتصبد‬ ‫انؼٕنًخ‬  .ٌ‫اإلَسب‬ ‫حقٕق‬ ‫ٔثقبفخ‬ ‫انؼٕنًخ‬ ‫والمجتمع‬ ‫االقتصاد‬ ‫محور‬ :  .‫انؼزثي‬ ‫انغذائي‬ ٍ‫األي‬  ‫انتجؼيخ‬ ‫يجذأ‬ ‫ٔتزسيخ‬ ‫األديغخ‬ ‫ْجزح‬  .‫ٔانًجتًغ‬ ‫االقتصبد‬ ‫تًُيخ‬ ‫في‬ ِ‫ٔآثبر‬ ‫انجذيذ‬ ‫انًؼهٕيبتي‬ ‫انُظبو‬ ‫الترجم‬ ‫محور‬ ‫المثاقفة‬ ‫ورهانات‬ ‫ة‬ :  .‫ٔانتزجًخ‬ ‫انؼزثيخ‬ ‫انهغخ‬  . ‫انثقبفبد‬ ‫ٔحٕار‬ ‫انتزجًخ‬
  • 37.
    Brevet de TechnicienSupérieur Conception du Produit Industriel 37  .‫ٔانتًُيخ‬ ‫انتزجًخ‬ :‫اإلنسانٌة‬ ‫القٌم‬ ‫محور‬  .‫انقيى‬ ‫أسيخ‬ ‫يٕاجٓخ‬ ‫في‬ ٍ‫انف‬  .‫ٔانجْٕز‬ ‫انًظٓز‬ ٍ‫ثي‬ ‫انجًبل‬ ‫قيًخ‬  .)‫ٔاالجتًبػي‬ ‫انفكزي‬ ‫(انًذنٕل‬ ‫انحزيخ‬ ‫قيًخ‬ ‫التواصل‬ ‫تقنيبت‬ :  ،ّ‫شزٔط‬ ،ّ‫إَٔاػ‬ :‫انتٕاصم‬ ‫يفٕٓو‬ .ّ‫يؼيقبت‬  .)‫إداريخ‬/ ‫(شخصيخ‬ ‫رسبنخ‬ ‫تحزيز‬ ‫تقُيبد‬  .‫سيزح‬ ‫َٓج‬ ‫كتبثخ‬  ‫كتبثخ‬ .‫تذريت‬ ٍ‫ي‬ ‫االستفبدح‬ ‫طهت‬ ‫ـة‬‫ن‬‫الس‬ ‫الثانية‬ ‫عبمة‬ ‫وظواهر‬ ‫قضبيب‬ : :)‫البصرٌة‬ ‫الثقافة‬ ( ‫الصورة‬ ‫ثقافة‬ ‫محور‬  .‫ٔٔظبئفٓب‬ ‫يكَٕبتٓب‬ ‫انسيًُب؛‬  .‫ٔانجيئخ‬ ‫انؼًبرح‬ ٍ‫ف‬  .‫ٔاإلثذاع‬ ‫االتجبع‬ ٍ‫ثي‬ ‫انؼزثي‬ ‫انًسزح‬ ‫ال‬ ‫محور‬ : ‫والمعلومٌات‬ ‫تكنولوجٌا‬  .‫انزقًيخ‬ ‫ٔانثٕرح‬ ‫انؼزثيخ‬ ‫انهغخ‬  .)‫انٕراثيخ‬ ‫انُٓذسخ‬ ،‫انجيئخ‬ (‫انؼصز‬ ‫ٔيشكالد‬ ‫انؼهى‬  .‫ٔانتًُيخ‬ ‫اإلػالو‬ :‫والتراث‬ ‫محورالحداثة‬  .‫ٔانتحذيث‬ ‫انتقهيذ‬ ٍ‫ثي‬ ‫انؼزثي‬ ‫انًجتًغ‬  .‫ٔانؼبنًيخ‬ ‫انًحهيخ‬ ٍ‫ثي‬ ‫تزاثُب‬  .‫انتحذيث‬ ‫ٔرْبَبد‬ ‫انًذَي‬ ‫انًجتًغ‬ ‫وا‬ ‫اإلنسان‬ ‫محور‬ :‫لمستقبل‬  .‫انؼهًي‬ ‫انخيبل‬ ‫أدة‬  .ٌ‫اإلَسب‬ ‫ٔيستقجم‬ ‫انؼهًي‬ ‫انتُجؤ‬  .‫انًستقجم‬ ‫ٔصُبػخ‬ ‫انتزثيخ‬ ‫التواصل‬ ‫تقنيبت‬ : ‫الخطاب‬ ‫تحلٌل‬ ‫آلٌات‬ ً‫ف‬ ‫متخصصة‬ ‫بنصوص‬ ‫المكتسبات‬ ‫هذه‬ ‫ودعم‬ ‫وأنواعه‬ ‫التواصل‬ ‫مفهوم‬ ‫حول‬ ‫الطالب‬ ‫مكتسبات‬ . ‫كتابتها‬ ‫وتقنٌات‬ ‫اإلدارٌة‬ ‫المراسالت‬ ‫حول‬ ‫الطلبة‬ ‫مكتسبات‬ ‫تعزٌز‬ :  .‫استًبرح‬ ‫إػذاد‬  .‫تقزيز‬ ‫تحزيز‬  .‫يقبثهخ‬ ‫إجزاء‬ ‫ـة‬‫م‬‫ها‬ ‫ـات‬‫ظ‬‫مالح‬ 1 - ‫نهاٌة‬ ً‫ف‬ ‫جمٌعها‬ ‫منها‬ ‫التمكن‬ ً‫ٌستوف‬ ‫أن‬ ‫على‬ ً‫تدرٌج‬ ‫بشكل‬ ‫المستهدفة‬ ‫الكفاٌات‬ ‫جمٌع‬ ً‫ف‬ ‫الطالب‬ ‫ٌمتحن‬ .)‫والثانٌة‬ ‫األولى‬ ‫السنتٌن‬ ‫مستوى‬ ‫على‬ ‫المادة‬ ‫أساتذة‬ ‫بٌن‬ ‫التنسٌق‬ ‫(ٌرجى‬ ‫الثانٌة‬ ‫السنة‬ 2 - ‫ٌرا‬ ‫ما‬ ‫األستاذ‬ ً‫ٌنتق‬ .‫طلبته‬ ‫الحتٌاجات‬ ‫المدرك‬ ‫باعتباره‬ ‫المٌسرة‬ ‫والبالغٌة‬ ‫اللغوٌة‬ ‫الدروس‬ ‫من‬ ‫مناسبا‬ ‫ه‬ 3 - ‫الثقافة‬ ‫مؤلفات‬ ‫من‬ ‫مؤلف‬ ‫وقراءة‬ ‫اختٌار‬ ‫على‬ ‫األولى‬ ‫السنة‬ ‫طلبة‬ ‫مع‬ ‫األستاذ‬ ‫ٌتعاقد‬ ‫القرائٌة‬ ‫المهارات‬ ‫لتعزٌز‬ ‫العربٌة‬ ‫المستمرة‬ ‫المراقبة‬ ‫ضمن‬ ‫الجزائٌة‬ ‫قٌمته‬ ‫تحتسب‬ ‫أن‬ ‫على‬ . 4 - ‫الن‬ ‫استثمار‬ ‫ٌمكن‬ ‫الكفاٌات‬ ‫وتخدم‬ ‫المقترحة‬ ‫للمحاور‬ ‫تستجٌب‬ ً‫الت‬ ‫العربٌة‬ ‫اللغة‬ ‫إلى‬ ‫المترجمة‬ ‫صوص‬ .‫المستهدفة‬ 5 - .‫لذلك‬ ‫الضرورة‬ ‫دعت‬ ‫كلما‬ ‫للتحٌٌن‬ ‫قابلة‬ ‫المنهاج‬ ‫وحدات‬
  • 38.
    38 Conception duProduit Industriel Brevet de Technicien Supérieur S1 : Langues S1-2- Français Introduction : L'enseignement du français dans les classes de préparation du BTS vise la maîtrise de l'expression orale et écrite qui permettent ainsi à l’apprenant de : - s'insérer dans le groupe des pairs : en mesurant en quoi la construction de soi passe par le rapport avec les autres - s'insérer dans l'univers professionnel : en comprenant les enjeux sociaux et économiques des discours professionnels Ainsi, par la progression du programme de français (1 et 2), on veut atteindre les objectifs suivants : I - Finalités L'enseignement du français au BTS a pour finalité l'acquisition de quatre compétences : - entrer dans l'échange oral : écouter, réagir, s'exprimer ; - entrer dans l'échange écrit : lire, analyser, écrire ; - devenir un lecteur compétent et critique ; - confronter des savoirs et des valeurs pour construire son bagage avant d’intégrer le monde professionnel. II - Capacités La compréhension de soi, du monde environnant, de l'univers professionnel, prend appui sur les capacités suivantes : Savoir organiser sa pensée, savoir réfléchir - reformuler ce que l'on vient d'apprendre et expliquer ce que l'on vient de faire ; - effectuer une recherche et confronter des informations ; - mobiliser ses connaissances, les formaliser, les réutiliser ; - passer du préjugé au raisonnement. Savoir lire, savoir écrire - lire tous les discours et tous les genres de textes ; - saisir l'organisation et les enjeux des messages écrits et oraux ; - prendre en compte le destinataire ; choisir le type de discours attendu dans une production écrite ou orale ; - utiliser une langue correcte et les codes requis dans une situation de communication. Savoir s'exprimer à l'oral et à l'écrit, savoir écouter - se dire, dire le monde, avec un vocabulaire précis (narration, description, exposition) ; - prendre sa place dans les débats contemporains (argumentation) ; - prendre conscience des usages personnels et sociaux de la langue, les réutiliser. Contenu du programme : Langue : Cohérence du discours et du texte - Procédés de reprise, substituts, pronoms personnels - Connecteurs logiques - Citation du discours d'autrui (discours direct, indirect, reformulation, verbes introducteurs, attribution de la citation) - Modalisation Cohérence grammaticale - Accords en genre et en nombre. - Expansion du nom, adjectifs et adverbes - Nominalisation - Types de phrases - Phrase simple et phrase complexe (coordination et juxtaposition) Cohérence lexicale - Champ lexical, lexiques spécialisés - Registre de langue
  • 39.
    Brevet de TechnicienSupérieur Conception du Produit Industriel 39 Activités d'expression orale : Apprentissage de la voix - Prendre la parole dans le débat, travailler l'élocution lors d'un exposé - S'exercer à lire à haute voix des textes non littéraires (clarté de la diction) Écoute et prise en compte de la parole de l'autre - Suivre un débat et soutenir son attention dans la durée - Reformuler, résumer l'argumentation d'autrui avant de la commenter, de la discuter, de la réfuter Affirmation de soi dans le groupe - Se présenter en vue d'une intégration dans le groupe, d'un entretien d'embauche - Expliquer ce qu'on a fait, comment on l'a fait, pourquoi on l'a fait - Raconter une activité réalisée à l'atelier, une journée de stage - Tenir un rôle, construire une posture dans une argumentation Échange et action orale - Prendre en compte le destinataire en fonction de l'effet à produire : le soutenir dans son point de vue, l'étonner, le faire réagir, le contredire, l'apaiser - Gérer son temps de parole en fonction des autres Activités d'expression écrite : Rédiger un texte fonctionnel Résumé, synthèse, un texte explicatif, etc. Rédiger un dialogue Une argumentation sous la forme d'un dialogue par exemple. Rédiger un texte argumentatif Exposé d'une opinion personnelle, compte rendu d'un débat argumenté, demande argumentée, etc. Première année Activités de langue :  Les types de phrases  Les constituants fondamentaux de la phrase  Les constituants du groupe nominal (nom, déterminant)  L’expansion du groupe nominal :  l’adjectif qualificatif  le complément de nom  l’apposition  Les constituants du groupe verbal  Les verbes et ses formes  Les conjugaisons :  les formes simples  les formes composées  autres formes verbales  la forme pronominale  la concordance des temps  l’accord des verbes (er / pp) et le choix de l’auxiliaire  Verbes transitifs et verbe intransitifs  De la phrase simple à la phrase complexe : la coordination  De la phrase simple à la phrase complexe : la subordination  La ponctuation grammaticale  Le lexique :  la composition  la suffixation, la préfixation  paronymie, homonymie, polysémie, antonymie, synonymie,
  • 40.
    40 Conception duProduit Industriel Brevet de Technicien Supérieur  le sens d’un mot : sens propre, figuré, dénotation, connotation, champ lexical, champ sémantique …  le rythme et la chronologie dans un texte : ellipse, anticipation, retour en arrière, dilatation, pause, scène, sommaire Activités orales (1 heure par quinzaine) L’activé orale peut être programmée une fois par quinzaine sous forme de :  Jeux de rôle  Lecture diction  Mini exposé  Table ronde  Débat Production écrite : La production écrite doit être un prolongement de l‘étude de texte  Evaluer les acquis : remettre en ordre des paragraphes : découvrir la structure (plan)  Savoir observer un texte : disposition, particularité (titre, date, nom de l’auteur…) : indiquer les types de textes : narratif, prescriptif…  Caractériser un texte : système d’énonciation (schéma de communication) lien logiques  Dégager l’organisation d’un texte (structure, cohérence, idées principales ; secondaires…)  Se familiariser avec la technique du résumé (compte des mots, règles du résumé, synonymie, termes génériques, transformation verbale-nominale  Respecter la présentation : marge, disposition des paragraphes, accents, majuscules, ponctuation nombre de mots, repérage du plan  Utiliser les registres de langue appropriés (repérer, adapter un registre à une situation de communication) Deuxième année Textes argumentatifs  Argumentation et les types d’argument  Choix et classement des arguments (reconnaitre les arguments des exemples, identifier un contre argument, proposer une série d’arguments, illustrer, insérer une citation)  Plans argumentatifs : plan analytique, plan critique etc.  Raisonnements  Rédaction d’un paragraphe argumentatif (entête /à la fin du paragraphe  Rédaction des parties d’un texte argumentatif (introduction : « accrocher »par une idée, poser la question adéquate, annoncer le plan, la problématique… La transition : rappeler l’idée générale ou l’annoncer…la conclusion : rappeler les grandes lignes du plan, répondre à la question posée, séduire par une idée, rédiger le développement en deux parties…) Documents  Recherche documentaire  Synthèse des textes Activité orale : (Des exposés de 20 mn.) Ce qui va permettre à l’apprenant d’exploiter les cours de la recherche, la synthèse et l’argumentation.
  • 41.
    Brevet de TechnicienSupérieur Conception du Produit Industriel 41 S1 : Langues S1-3- Anglais I- Objectifs Étudier une langue vivante étrangère contribue à la formation intellectuelle et à l'enrichissement culturel de l'individu. Pour l'étudiant de brevet de technicien supérieur, l´étude d´une langue étrangère est une composante de la formation professionnelle et la maîtrise de l'anglais est une compétence indispensable à l'exercice de la profession. Sans négliger aucun des quatre savoir-faire linguistiques fondamentaux (comprendre, parler, lire et écrire la langue vivante étrangère) l'on s'attachera à satisfaire les besoins spécifiques à l'activité professionnelle courante et à l'utilisation de la langue vivante étrangère dans l'exercice du métier. II- Compétences fondamentales Compréhension de l’oral - Compréhension de l’essentiel d’un message bref et prévisible (ordres, consignes, messages téléphoniques…) - Compréhension et traitement d’informations à caractère professionnel ou général dans des messages plus longs. Compréhension de l’écrit - Compréhension de l’essentiel d’un message (contexte et points cruciaux). Repérer les éléments essentiels à la compréhension pour élaguer le document. - Prélever des informations nécessaires à une réutilisation, les classer, les synthétiser. - Exploiter des sources d’informations multiples afin de sélectionner les informations pertinentes et en faire la synthèse. - Perception des éléments implicites du message et interprétation. - Documents supports : Documentation en langue étrangère afférente aux domaines techniques et commerciaux (notices, documentation professionnelle, article de presse, courrier, …) Production orale - Reproduction, reformulation d’un renseignement, d’un message simple. - Production et transmission de messages simples et compréhensibles. Production écrite - Production de messages simples, compréhensibles (lettres, messages, courriels, notes internes/de service, …). - Rendre compte d’éléments prélevés à l’écrit ou/et à l’oral. III- Contenus Grammar First Year (Review) Second year Present Simple, Progressive and Perfect Past Simple, Progressive and Perfect Future Simple, Progressive and Perfect Quantifiers Prepositions Uses of gerunds and infinitives Comparison Modal Verbs Reported Speech Conditional sentences Passive Voice Communication  Business Letters  CV/Resumes  Emails  Data sheets  Telephoning  Socializing and Small Talk  Functions (free dialog completion, no prompts) Agreement / Disagreement  Opinion  Apologizing  Suggestions  Advice  Complaining  Reproach  Giving Instructions  Interpreting graphs
  • 42.
    42 Conception duProduit Industriel Brevet de Technicien Supérieur Themes and Vocabulary Modules Theme Some indicators of the areas to be covered 1 Figures, numbers, currencies and measures  Ordinal, cardinal, fractions, phone numbers, …  Names and symbols of currencies  Metric and traditional measures 2 Corporate culture  Industry groups  Types of businesses  Corporate structure and organization Roles and responsibilities Organization chart  Setting up a business in Morocco 3 Marketing  Marketing mix  Branding  Packaging  Distribution : Channels Types of outlets WholCPIlers& Retailer Non store retailing Franchisin Stocking procedures / Strategies  Property Rights 4 Management  Managing People  Staffing /Manpower planning, Recruitment, Selection, Retention, Motivation, Incentives, Pay and benefits, Fringe benefits, Redundancies, Pension scheme, Maternity/Paternity/Sick leave, Days off, Bank holidays  Managing Teams  Managing, Quality, TQM 5 Transport  Documents and terms  Logistics 6 Buying, Selling and Negotiating  Quotation, (Pre-)Invoice, Discount, terms of delivery, Shipping fees - ….  Means and modes of payment Culture  Cultural Differences  Ethics in the workplace : - Mobbing - Harassment - Gender discrimination - Punctuality - Interpersonal relationships - Honesty  Non verbal communication  Do’s and Don’ts in Moroccan, American and British cultures : - traditions and customs - religious backgrounds - socializing - meetings
  • 43.
    Brevet de TechnicienSupérieur Conception du Produit Industriel 43 S2- Techniques d’Expression et de Communication Le programme des Techniques d’Expression et de Communication a pour objectif :  d’aider les étudiants du BTS à acquérir les compétences professionnelles nécessaires dans le cadre de leurs futures fonctions.  d’évoluer et de communiquer dans un contexte relationnel donné.  de dialoguer avec les partenaires de l’entreprise. Il doit donc amener l’étudiant à :  Cerner et schématiser le processus de communication  Identifier les différentes composantes d’une situation de communication  Caractériser les différents types de communication  Identifier les formes de la communication  Repérer les facteurs d’échec à la communication  Réaliser un message efficace  Déterminer les critères d’efficacité à une bonne communication  Maîtriser la prise de parole dans un groupe (élocution, gestion du temps et du trac…)  Constituer la liste d’entreprises  Elaborer le C.V et la demande de stage  Rédiger le rapport de stage  Soutenir le rapport de stage  Rédiger une lettre commerciale  Compléter les documents commerciaux  Rédiger les écrits internes  Elaborer un bilan personnel et professionnel  Etudier et analyser les annonces  Rédiger le CV et la lettre de motivation  Repérer les étapes d’un entretien d’embauche S2- Techniques d’Expression et de Communication S2-1- Concepts de base de la communication S2-1-1- Situation de la communication Composantes formelles (émetteur, récepteur, code, canal, message, feed-back) Composantes relationnelles et situationnelles (cadre de référence, groupe d’appartenance, statut, rôle) S2-1-2- Variété des situations de communication En fonction de la structure de l’organisation (hiérarchiques, fonctionnelles) En fonction de l’organisation de la communication (formelles, informelles) En fonction de la transmission des informations (verticales : descendantes/ascendantes, latérales) En fonction du récepteur (interpersonnelles, de masse, de groupe) En fonction des supports utilisés (écrites, orales, visuelles, audiovisuelles) S2-1-3- Formes de la communication Verbal (structure du message, niveaux et registre de langage) Non verbal (gestes, mimiques, regard, posture, apparence physique, distance…) S2-1-4- Facteurs d’échec de la communication Barrières individuelles (d’ordre cognitif, affectif, comportemental) Barrières collectives (économique, technique) S2-2- Communication orale professionnelle S2-2-1- Techniques de base de la communication orale Efficacité de la communication (écoute active, questionnement, reformulation) Efficacité du message (objectifs, préparation) Composantes formelles (émetteur, récepteur, code, canal, message, feed-back) Composantes relationnelles et situationnelles (cadre de référence, groupe d’appartenance, statut, rôle) S2-2-2- Principales situations de communication Exposé oral Réunion Entretien téléphonique
  • 44.
    44 Conception duProduit Industriel Brevet de Technicien Supérieur Accueil S2-3- Recherche de stage Etapes et pistes pour la recherche d’un stage Elaboration du Curriculum vitae Rédaction de la demande de stage Plan de masse d’un rapport ou compte rendu de stage Préparation d’un exposé oral (soutenance)
  • 45.
    Brevet de TechnicienSupérieur Conception du Produit Industriel 45 S2-4- Communication écrite professionnelle S2-4-1- Communication externe Spécificité du langage commercial Lettre commerciale (présentation, réalisation) Demande d’informations et réponse Appel d’offres et devis Commande (étude des documents : bon de commande, bulletin de commande) Envoi de la marchandise (étude des documents : bon de livraison, bon de réception, facture) S2-4-2- Communication interne Lettres administratives (préavis, congé de formation, congé pour convenance personnelle) Note de service/note d’information/consignes Compte rendu (événement, activité) Rapport d’analyse S2-5- Préparation à l’insertion professionnelle S2-5-1- Méthodes de prospection Processus de prospection (bilan personnel et professionnel, sélection des entreprises…) Etude des annonces (offre et demande d’emploi) S2-5-2- Outils de la prospection Elaboration d’un curriculum vitae (rappel) Rédaction d’une lettre de motivation (réponse à une annonce, candidature spontanée) S2-5-3- Sélection des candidats Objectifs d’un entretien d’embauche Déroulement d’un entretien d’embauche Commentaire : Il est recommandé :  d’alterner les apports théoriques et pratiques en mettant l’accent sur les jeux de rôle et les simulations,  de demander à l’étudiant de réaliser un exposé de 10 à 15 minutes sur un sujet,  de prévoir une grille d’évaluation pour toute situation de communication orale
  • 46.
    46 Conception duProduit Industriel Brevet de Technicien Supérieur S9 : Culture Economique et Juridique Objectifs Généraux :  Acquérir des connaissances d’ordre juridique et économique de l’entreprise. Ces connaissances doivent permettre aux lauréats de comprendre, d’interpréter et de communiquer avec aisance avec tous les partenaires de l’entreprise,  Prendre connaissance des différentes étapes de création d’entreprise. S9- Culture Economique et juridique S9-1- Environnement Economique S9-1-1- L’entreprise : un acteur de l’activité économique : Définition, concepts et rôles : o Les besoins ; o Les biens ; o Les facteurs de production ; o L’entreprise et ses finalités économiques et sociales. Agents économiques : définition, fonction et rôle o Ménages ; o Administrations ; o Entreprise non financière o Institutions Financières ; o Extérieur. S9-1-2- Typologies et structures des entreprises Classification des entreprises par : Dimensions, secteurs d’activité et par la formes juridiques. Structures des entreprises: définition, présentation, avantages et limites (hiérarchique, fonctionnelle, hiérarchico-fonctionnelle, matricielle et divisionnelle) Critères de choix d’une structure adéquate S9-1-3- fonctions de l’entreprise : définition, objectif, rôle et importance Administrative : o Les cinq tâches de Fayol ; o Recrutement ; o Formation ; o Information. Commerciale : o Marketing mixe ; o Gestion des approvisionnements o Documents commerciaux (catalogues, Bon de commande, bon de livraison et facture) Financière : o Types et moyens de financement ; o Documents financiers (Bilan et CPC). Technique : o Organisation (Bureau d’études, Bureau de méthodes et bureau de lancement) ; o La gestion de la qualité : l'esprit « qualité », démarche et enjeux de la qualité. o Les processus de production : la production en petites séries, la production en grandes séries et le juste à temps. S9-1-4- Marché de l’entreprise Notion de marché Eléments de marché (offre, demande et prix) Types de marché (de biens et services, de travail et de capitaux) Classification des marchés : o Selon les clients (ou par rapport à la demande) o Selon la nature des produits o Selon les partenaires commerciaux Etude de marché : o L’étude de l’environnement o L’étude de la demande
  • 47.
    Brevet de TechnicienSupérieur Conception du Produit Industriel 47 o L’étude de l’offre o L’étude de la distribution La segmentation du marché S9-1-5- Gestion du projet S9-2- Environnement juridique S9-2-1- Notion de Droit Définition Branches de droit Sources de droit S9-2-2- Législation du travail Contrat du travail : définition, nature, forme, mesures disciplinaires, rupture et suspension du contrat de travail Durée de travail : durée normale, heures supplémentaires, repos hebdomadaire, jours féries, congés annuels payés. Rémunération : salaire de base, salaire brut, salaire net, retenues sur salaire (IGR, CNSS, CIMR) et bulletin de paie. Les accidents du travail S9-2-3- Droit des affaires Commerçant : o Définition o Actes de commerce o Qualité de commerçant o Obligations du commerçant Fonds de commerce o Définition o Eléments de fonds de commerce o Opérations sur le fonds de commerce Moyens de règlement et leurs effets juridiques : o Le chèque ; o Les effets de commerce. Formes juridiques de l’entreprise o Entreprise individuelle ; o Les sociétés : constitution et fonctionnement de la SNC, de la SARL et de la SA. S9-3- Création d’entreprise S9-3-1- Idée du projet L’idée comme point de départ ; Les profils des créateurs ; L’avant projet. S9-3-2- Faisabilité du projet La faisabilité économique ; La faisabilité financière ; La faisabilité juridique. S9-3-3- Démarrage de l’entreprise Les démarches administratives et juridiques ; Le lancement des activités. S9-3-4- Aides à la création Les aides financières ; Les aides fiscales. S10 : Santé et sécurité S10- Santé et Sécurité S10-1- Typologie de la Sécurité Sécurité intrinsèque ; Sécurité positive ; Sécurité directe S10-2- Techniques d’amélioration de la sécurité :
  • 48.
    48 Conception duProduit Industriel Brevet de Technicien Supérieur Surveillance ; Redondance et autocontrôle ; Comportement orienté des constituants S10-3- Matériels pour fonction de sécurité Sécurité d’accès : barrage optique, tapis sensible, verrou de sécurité, … Sécurité d’arrêt : détecteur de vitesse nulle, S10-4- Santé et Sécurité au travail Définitions (sécurité, prévention, accident du travail, maladie professionnelle, maladie à caractère professionnel) ; Organisation de la prévention ; Réglementation ; Documents liés à la prévention ; Mesures de prévention ; Règles de santé et de sécurité au travail (S & ST) ; Conditions de travail : analyse des risques professionnels ; Réalisation, en sécurité, des opérations courantes d'exploitation de l’équipement.
  • 49.
    Brevet de TechnicienSupérieur Conception du Produit Industriel 49 2-2-2- savoirs Spécifiques Chaque sous savoir détaillé sous forme de contenu de formation et comporte : - les connaissances transmettre, - les niveaux d’acquisition et de maîtrise de ces connaissances dont la définition est précisée ci-après : Identificateur de niveau d’acquisition et de maitrise des avoirs Niveaux 1 2 3 4 Le savoir est relatif à l’appréhension d’une vue d’ensemble d’un sujet : les réalités sont montrées sous certains aspects de manières partielle ou globale Niveau d’information des savoirs Le savoir est relatif à l’acquisition de moyen d’expression et de communication : définir, utiliser les termes composants la discipline. Il s’agit de maîtriser un savoir Niveau d’expression Le savoir est relatif à la maîtrise de procédé et d’outils d’étude ou d’action : utiliser, manipuler des règles ou des ensembles de règles, des principes, en vue d’un résultat à atteindre. Il s’agit de maîtriser un savoir faire Niveau de la maîtrise d’outils Le savoir est relatif à la maîtrise d’une méthodologie de pose et de résolution de problème : Assembler, organier les éléments d’un sujet, identifier les relations, raisonner à partir de ces relations, décider en vue d’un but à atteindre. Il s’agit de maîtriser une démarche : induire, déduire, expérimenter, se documenter Niveau de la maîtrise méthodologique
  • 50.
    50 Conception duProduit Industriel Brevet de Technicien Supérieur S3 : Mathématiques Niveau 1 2 3 4 S3-1- Séries Séries de nombres réels ou complexes Convergence Séries à termes réels positifs Convergence absolue séries alternées Opérations Séries entières Convergence d’une série entière Somme d’une série entière d’une variable réelle Exponentielle complexe Séries de Fourier Définitions Formule de Perceval Convergence d’une série de Fourier S3-2- Nombres complexes et géométrie élémentaire S3-2-1- Nombres complexes Corps C des nombres complexes Groupe U des nombres complexes de module 1 Equations du second degré Exponentielle complexe Nombres complexes et géométrie plane S3-2-2- Géométrie élémentaire du plan Modes de repérage dans le plan Produit scalaire Déterminant Droites Cercles S3-2-3- Géométrie élémentaire de l’espace Modes de repérage dans l’espace Produit scalaire Produit vectoriel Déterminant ou produit mixte Droites et plans Sphères S3-3- Fonctions usuelles et équations différentielles linéaires Fonctions usuelles Fonctions exponentielles Logarithmes Puissances Fonctions circulaires (trigonométriques) Fonction exponentielle complexe Equations différentielles linéaires Equations linéaires du premier ordre Méthode d’Euler Equations linéaires du second ordre à coefficients constants S3-4- Analyse et géométrie différentielle S3-4-1- Calculs différentiels et intégrales Dérivation des fonctions à valeurs réelles Dérivé en un point Fonction dérivée Etude globale des fonctions dérivables Fonctions convexes Intégration sur un segment des fonctions à variables réelles
  • 51.
    Brevet de TechnicienSupérieur Conception du Produit Industriel 51 Fonctions continues par morceaux Intégrale d’une fonction continue par morceaux Primitives et intégrale d’une fonction continue Calcul des primitives Formules de Taylor Développements limités Approximation Calcul approché des zéros d’une fonction Calcul approché d’une intégrale Valeur approchée de réels S3-5- Fonctions à deux variables S3-5-1- Calcul différentiel et intégral Espace R2 Fonctions continues Calcul différentiel Dérivées partielles premières Dérivées partielles d’ordre 2 Calcul intégral S3-6- Algèbre linéaire et géométrie affine S3-6-1- Espaces vectoriels Définitions Translations, sous-espaces affines Applications linéaires Dimension des espaces vectoriels Familles de vecteurs Dimension d’un espace vectoriel Dimension d’un sous-espace vectoriel Rang d’une application linéaire Calcul matriciel Opérations sur les matrices Matrices et applications linéaires Opérations élémentaires sur les matrices Rang d’une matrice Systèmes d’équations linéaires Déterminants d’ordres 2 et 3 S3-7- Espaces vectoriels euclidiens et géométrie euclidienne S3-7-1- Espaces euclidien Produit scalaire Produit scalaire Orthogonalité S3-8- Statistiques et probabilité S3-8-1- Statistiques Notions Loi normale Loi binomiale Applications S3-8-2- Probabilités Notions Applications
  • 52.
    52 Conception duProduit Industriel Brevet de Technicien Supérieur S4 : Mécanique industrielle Niveau 1 2 3 4 S4-1- Comportement des systèmes techniques S4-1-1 Modélisation des liaisons mécaniques Paramétrage et modélisation d’un système mécanique Repère local Degré de liberté Paramétrage géométrique Caractérisation des liaisons mécaniques Nature du contact : ponctuel, linéique, surfacique Liaisons normalisées : Définition Symboles Théorie des mécanismes Mobilités Staticité d’un mécanisme Conséquence de l’hyperstatisme S4-1-2- Schématisation d’un produit technique Étude des chaînes cinématiques : Torseur cinématique associé à une liaison. Classe d’équivalence cinématique Graphe des liaisons, Schéma cinématique Liaisons équivalentes par association de liaisons en série et en parallèle Schéma technologique S4-1-3- Mouvements relatifs de solides dans un repère Définition des mouvements Repère absolu Repère relatif Coordonnées Paramétrage Trajectoire d’un point d’un solide Caractérisation du mouvement d’un point d’un solide par rapport à un repère vecteurs position vecteur vitesse accélération d’un point du solide S4-1-4- Modélisation des actions mécaniques Frontière et choix du système isolé Nature des actions mécaniques Action mécanique de contact Action mécanique à distance Modélisation globale des efforts transmissibles par une liaison Représentation par un torseur Étude locale des actions de contact Nature géométrique du contact Frottement et adhérence : loi de Coulomb ; Pression de contact (Hertz) S4-1-5- Principe Fondamental de la Statique Énoncé du principe Hypothèses Enoncé Traduction vectorielle du PFS Théorème de la résultante générale Théorème du moment résultant Réciprocité des actions mutuelles Théorème de l’action réaction Résolution d’un problème de statique
  • 53.
    Brevet de TechnicienSupérieur Conception du Produit Industriel 53 Analytique dans les cas simples Graphique dans le cas de solides soumis à 3 actions coplanaires non parallèles S4-1-6- Résistance des matériaux Hypothèses de la résistance des matériaux Modèle poutre Hypothèses Contraintes et lois de comportement Torseur des efforts de cohésion dans une section droite d’une poutre vecteur contrainte Contrainte normale Contrainte tangentielle Lois de Hooke sollicitations simples Traction Compression Torsion Cisaillement Flexion plane Sollicitations composées Flexion traction - compression Flexion torsion Moments idéaux de flexion et de torsion Principe de superposition S4-1-7- Exploitation des logiciels de RdM Exploitation de Rdm Lemans ou RDM6 Exploitation Cosmos sous SolidWorks S4-1-8- Élasticité Un logiciel de prédimensionnement utilisant la méthode des éléments finis étant choisi : Entrées du logiciel pour formuler l’étude: Type et dimension du maillage. Conditions aux limites. Liaisons (ou connexions) entre pièces. Modèles de chargement. Sorties du logiciel pour finaliser l’étude : Représentation par courbes ou zones d’isovaleurs (de contraintes, de déplacement....) selon un critère. S4-2- Comportements dynamique et énergétique des équipements S4-2-1- Dynamique du solide Caractéristiques d’inertie d’un solide Centre de gravité d’un solide ou ensemble de solides : (barycentrique, exploitation logicielle,) Moment d’inertie d’un solide par rapport à un axe, Théorème de Huygens Principe fondamental de la dynamique appliquée Solide en mouvement de translation rectiligne Solide en mouvement de rotation autour d’un axe fixe S4-2-2- Puissance et énergie mécaniques Formes d’énergie : Cinétique et potentielle Grandeurs caractéristiques : Travail et puissance Energie cinétique (Solides en translation ou en rotation autour d’un axe fixe.) Conservation et dissipation de l’énergie Principe de conservation de l’énergie Théorème de l’énergie cinétique Rendement mécanique d’une transmission S4-3- Construction des systèmes technique S4-3-1- Analyse fonctionnelle Analyse fonctionnelle externe Besoin à satisfaire par l’utilisateur Cycle de vie du produit
  • 54.
    54 Conception duProduit Industriel Brevet de Technicien Supérieur Expression fonctionnelle du besoin Frontière de l’étude, diagramme des interacteurs Diagramme des interacteurs Fonctions de service Fonctions contraintes Cahier des charges fonctionnel : caractéristiques des fonctions à satisfaire (critères, niveaux et flexibilité). Analyse fonctionnelle interne Fonctions techniques résultant des fonctions de service Nature et flux des éléments transformés par le produit : Matière Energie Information Architecture fonctionnelle des produits et systèmes : Chaîne d’énergie Chaîne d’information Outils d’analyse fonctionnelle FAST / SADT Synoptique Schéma bloc S4-3-2- Fonctionnalités des liaisons mécaniques Assemblage démontable Assemblage permanent Guidage en rotation Guidage en translation Conditions fonctionnelles Surfaces associées à la mise en position Jeux, Serrages Ajustements normalisés Lubrification Étanchéité S4-3-3- Étude des composants mécaniques de transmission Comportement cinématique de la transmission : loi d’entrée-sortie, réversibilité. Puissance d’entrée et de sortie, rendement. Conditions d’installation et de bon fonctionnement. Prédimensionnement et/ou validation du choix à l’aide de bases de données de constructeurs ou de logiciels spécialisés. Données technico-économiques comparatives (prix du composant, coûts d’installation, de maintenance, etc…). Pour les solutions constructives suivantes : Transmissions sans transformation de mouvement : sans modification de la fréquence de rotation : accouplements d’arbres, embrayages et coupleurs, limiteurs de couple, freins. avec modification de la vitesse angulaire : poulies courroie, chaînes, engrenages (trains simples et épicycloïdaux), applications aux réducteurs et boîtes de vitesse. Transmissions avec transformation de mouvement : systèmes vis écrou (à frottement et à roulement), cames, systèmes articulés plans. S4-3-4- Étude des composants de conversion d’énergie Grandeurs caractéristiques d’entrée et de sortie. Espace de fonctionnement et point de fonctionnement pour un régime donné. Chaîne d’alimentation et de distribution associée. Conditions d’implantation et de mise en œuvre.
  • 55.
    Brevet de TechnicienSupérieur Conception du Produit Industriel 55 Détermination du prédimensionnement et/ou validation du choix à l’aide de bases de données de constructeurs et de logiciels spécialisés. Données technico-économiques comparatives (prix du composant, coûts d’installation, de maintenance, etc…) Actionneurs électriques : moteur synchrone, moteur asynchrone, moteur « brushless », moteur « pas à pas », moteur linéaire. Actionneurs pneumatiques et hydrauliques : vérin, moteur. Capteurs : Caractéristiques externes d’utilisation et d’intégration Détecteur avec ou sans contact. Capteur de position, de vitesse, d’accélération, de pression, d’effort. S4-3-5- Ergonomie et sûreté des produits Règles générales d’ergonomie des produits et systèmes : Bases de données sur les gestes, postures et efforts acceptables, sur les fréquences et durées de maintien possibles... Éléments d’esthétique : matière, couleurs, formes. Sûreté de fonctionnement des produits et systèmes : Démarche de conception : inventaire des énergies et des risques, solutions de prévention, de protection, d’instruction. Outils d’analyse des risques : arbre d’événement, AMDEC, bases de données sur les normes et règlements, les protections, la signalisation. S4-3-6- Relation produit, matériau, procédé Matériaux de construction mécanique Types de matériaux : Matériaux métalliques Matières Plastiques : polymères et élastomères Matériaux composites Céramiques Verres Les caractéristiques des matériaux Structure cristalline et moléculaire des matériaux Conséquences sur les comportements mécaniques Caractéristiques physico-chimiques : Masse volumique, Conductibilité Résistance à la corrosion Caractéristiques mécaniques : Résistance Dureté Résilience Fatigue Désignation des matériaux Traitement des matériaux : Principes du procédé. Matériaux concernés et fonctionnalités satisfaites. Évolution des caractéristiques. pour les traitements et revêtements suivants : trempe, revenu, recuit, trempe superficielle, cémentation, nitruration, revêtement métallique : galvanisation, nickelage… autres revêtements : peintures, résines… Interaction fonction - matériau - géométrie – procédé : Critères de choix d’un matériau.
  • 56.
    56 Conception duProduit Industriel Brevet de Technicien Supérieur Diagrammes et logigrammes et logiciels d’aide au choix. S4-3-7- Spécification de produits Cotation et tolérancement normalisés : Défauts géométriques des pièces. Conditions fonctionnelles des assemblages et guidages. Spécification géométrique du produit : normes, spécifications dimensionnelles, de forme, de position relative, d’orientation, de battement, éléments de référence, référence spécifiée, zone de tolérance, exigence de l’enveloppe, principe du maximum de matière (et de la tolérance zéro au maximum de matière), tolérance projetée, principe du minimum de matière, notion sur la matrice GPS. La démarche de détermination des spécifications d’une pièce: Inventaire des fonctions mécaniques auxquelles participe la pièce et repérage des surfaces fonctionnelles associées. Analyse et quantification éventuelle des conditions de fonctionnement et de montage : cotes conditions, jeux, ajustements, chaînes géométriques des contacts. Quantification des spécifications pour une fonction mécanique donnée : prise en compte des conditions de montage, des éléments standard, des procédés d’élaboration, méthodes de calcul ou de vérification des valeurs et tolérances satisfaisant les conditions. Quantification des spécifications de liaison entre les surfaces fonctionnelles influentes issues de fonctions mécaniques différentes (liaisons entre groupes fonctionnels). S4-4- Organisation et suivi d’un projet S4-4-1- Compétitivité des produits industriels Délais, marchés, concurrence. Valeur d’un produit. Coûts d’un produit. Qualité, certifications ISO. Standardisation. Normalisation. Protection industrielle, innovation. Veille technologique. Capitalisation des acquis. Traçabilité des études. S4-4-2- Méthodes et outils de la compétitivité Activités de projet : travail de groupe pluridisciplinaire, ingénierie concourante, gestion de projet : outil PERT, outil GANTT. Démarche de conception des produits : conception préliminaire : CdCf, analyse concurrentielle, innovation, simulations de fonctionnement, maquettes,… conception détaillée : choix du couple matériau procédé, validation des formes, simulations, prototypage… Outils pour la créativité méthodes de créativité : TRIZ outils d’analyse de la valeur : tableau de pondération, hiérarchisation, histogramme, rendement de conception, AMDEC, diagramme cause/effet,… outils de recherche de solutions : remue méninge, analogie, inversion, analyse morphologique, étude d’antériorité. S4-5- Transmission et transformation de mouvements S4-5-1- Caractéristiques des composants mécaniques de transmission Comportement cinématique de la transmission Loi entrée/sortie
  • 57.
    Brevet de TechnicienSupérieur Conception du Produit Industriel 57 Puissance d’entrée et de sortie Rendement Conditions d’installation et de bon fonctionnement Prédimensionnement et/ou validation du choix Etude analytique Exploitation de logiciels spécialisés S4-5-2- Transmission de mouvement Transmission de mouvement sans variation de fréquence de rotation Accouplements d’arbres Embrayages et coupleurs Limiteurs de couple Freins Transmission de mouvement avec modification de la vitesse angulaire Poulies courroie Chaînes Engrenages (trains simples et épicycloïdaux), Applications industrielles Variateurs Réducteurs Boîtes de vitesses S4-5-3- Transformation de mouvement Systèmes mécaniques de transformation de mouvement Systèmes vis écrou Excentriques Bielle-manivelle Cames Systèmes articulés plans
  • 58.
    58 Conception duProduit Industriel Brevet de Technicien Supérieur S5 : Industrialisation des produits Niveau 1 2 3 4 S5-1- L’entreprise industrielle Organisation administrative et commerciale. Organisation des études, recherche et développement. Le système de production : méthodes et préparations, achats, sous- traitance, co-traitance, gestion de production, gestion des stocks, maintenance des moyens techniques de production, organisations, service qualité, service après vente. La réglementation du travail : environnement, cadre de vie, comité d'hygiène, sécurité et des conditions de travail (CHSCT), comité d’entreprise, représentativité des personnels, formation des personnels. S5-2- La relation conception, industrialisation, production, contrôle S5-2-1- Concept de « chaîne numérique » Maquette numérique, prototypage, outillage, simulation du procédé (logiciels de simulation), production, qualification, boucle d’optimisation. Utilisation de modules métiers dits « de préconception » accessibles : moulage, thermoformage… afin de visualiser les défauts éventuels des pièces et agir en conséquence. S5-2-2- Relation au système de production Conception orientée familles de pièces. Capabilité des moyens de production en relation avec les spécifications d’une pièce. Fonctionnalité des machines à mesurer tridimensionnelles. S5-3- Les procédés d’obtention des produits Principes du procédé. Capabilité du procédé : matériau, géométrie, précision. Influences sur les propriétés du matériau. Outillages associés. Coût estimatif. Pour les procédés suivants : moulage : par gravité, sous pression, injection, (centrifugation, rotomoulage, hydroformage…) déformation : forgeage, estampage, matriçage, extrusion, (soufflage), emboutissage, pliage forme ébauche coulée (FEC) découpage : (oxycoupage, laser, jet d’eau, poinçonnage,) enlèvement de matière : usinage, UGV, électroérosion, usinage chimique… soudage, collage, assemblages divers : clipsage… élaboration des pièces en matériaux composites. S5-4- travaux pratiques de Fabrication mécanique
  • 59.
    Brevet de TechnicienSupérieur Conception du Produit Industriel 59 S6 : Représentation d’un produit technique Niveau 1 2 3 4 S6-1- Outils à développer en phase recherche de solutions S6-1-1- Dessin technique Vues Coupes Perspectives Dessin à main levée S6-1-2- Spécifications dimensionnelles et géométriques des pièces Spécification géométrique du produit Normes ISO Spécifications dimensionnelles, de forme, de position relative, Eléments de référence, référence spécifiée, zone de tolérance Etats de surface S6-1-3- représentation graphique (Application) Dessin de définition du produit fini Dessin d’ensemble S6-2- Utilisation de modeleurs volumiques pour l'obtention de modèles 3D en phase d'étude Utilisation de SolidWorks (modeleur volumique) pour l’obtention de modèles 3D en phase étude: Paramétrage. Arbre de construction. Contraintes d’assemblage. Méthodes de conception : dans l’assemblage, par pièce, par surfaces fonctionnelles, par mode plan, par mode schéma,… Bibliothèques et banques de données techniques : en réseau local, en accès à distance. S6-3- Fonctionnalités des modeleurs utiles en phase d’exploitation Utilisation de Catia V5 (modeleur volumique) pour l’obtention de modèles 3D en phase d’exploitation : Reprise des fonctionnalités de S62 Fonctionnalités logicielles avancées : Pièce, assemblage, mise à plan construction de coupes habillage de la mise en plan : cotation normalisée, fond de plan, écriture diverses… édition de nomenclatures. Éclatés avec nomenclature associée. Rendus réalistes. Animations. Simulations
  • 60.
    60 Conception duProduit Industriel Brevet de Technicien Supérieur S7 : Physique appliquée Niveau 1 2 3 4 S7-1- Comportement dynamique d’un système électrique et mécanique S7-1-1- Régimes transitoires Constante de temps mécanique et électrique. Régime transitoire. Régime permanent. Pour les cas suivants : charge d’un condensateur sous tension constante, courant dans une bobine soumise à un créneau tension, montée en vitesse d’une machine électrique. Applications : Mesurage de constante de temps mécanique ou électrique. Montages R, C. Montages R, L. Relevés de caractéristiques dynamiques sur bancs de machines. S7-1-2- Régimes périodiques Grandeurs instantanées. Grandeurs moyennes. Grandeurs efficaces. Facteur de forme. Taux d’ondulation. Harmoniques. Décomposition en série de Fourier Définitions Illustration de la décomposition en série de Fourier Application aux cas simples S7-1-3- Régimes sinusoïdaux Représentation des grandeurs sinusoïdales Représentation vectorielle Représentation complexe Étude expérimentale des dipôles élémentaires vus sous l’angle de la conversion de l’énergie électrique en énergie thermique, magnétique, électrostatique. Groupement de dipôles. Systèmes triphasés. Puissances active, réactive, apparente. Disjoncteur différentiel application de la loi de Faraday. Applications : Étude des circuits R, C ; R, L ; RLC. Mesurage de puissances active, réactive, apparente. Mesurage de déphasages. Mesurage de facteur de puissance. Amélioration de facteur de puissance d’un montage. S7-2- Machines électriques S7-2-1- Machines à courant continu Fonctionnement et constitution Représentation Schéma de principe Excitation Caractéristique mécanique Bilan énergétique Variation de vitesse Principe Différents types Démarrage et freinage Principaux modes Etude de cas
  • 61.
    Brevet de TechnicienSupérieur Conception du Produit Industriel 61 Dimensionnement des machines Choix des composants S7-2-2- Machine synchrone Constitution Principe de fonctionnement Schéma équivalent Caractéristique mécanique Bilan énergétique Couple transmis Puissance active et réactive Types de machines synchrones Alternateur autonome Alternateur couple au réseau Machine autopilotée S7-2-3- Machine asynchrone Constitution Principe de fonctionnement Schéma équivalent Caractéristique mécanique Bilan énergétique Couple transmis Puissance absorbée Démarrage et freinage de la machine asynchrone Principaux modes Démarreurs et ralentisseurs progressifs Etude d’un cas industriel Dimensionnement et choix des éléments S7-3- Mécanique des fluides et thermique S7-3-1- Mécanique des fluides Introduction à la mécanique des fluides Définitions Liquides et gaz Force de volume Force de surface Statique des fluides Pression Théorème de PASCAL Poussée d'ARCHIMEDE Dynamique des fluides incompressibles Notion de débit Equation de continuité Théorème de Bernoulli Dynamique des fluides visqueux Viscosité Nombre de Reynolds Les pertes de charge S7-3-2- Thermodynamique Evolution d’énergie thermodynamique de deux corps en contact Transformations thermodynamiques Principes de la thermodynamique Premier principe Second principe Applications Machines thermiques Etude de cycles thermodynamiques S7-3-3- Transferts Thermiques Modes de transfert thermique conduction convection
  • 62.
    62 Conception duProduit Industriel Brevet de Technicien Supérieur Rayonnement Grandeurs physiques du transfert thermiques flux thermique Densité du flux thermique Puissance thermique S8 : Motorisation et commande des systèmes Niveau 1 2 3 4 S8-1- Conception des produits utilisant l’énergie électrique S8-1-1- Contraintes Générales Échauffement. Isolement. Effets électrodynamiques. Perturbations, CEM. Protection des personnes et des biens. Conformité des produits : normes. Procédures de qualification. S8-2- Sécurité électrique S8-2-1- Les dispositifs de protection et régimes de neutre Court-circuits. Surintensité et surtension. Échauffement et isolement. Régimes de neutre IT et TT S8-3- Outils de représentation normalisée Les symboles structurels et fonctionnels. Les repérages des schémas, des borniers. Utilisation de logiciels.. S8-4- Régimes de fonctionnement Régime permanent et Régime transitoire. Lois de conduite. S8-5- Automatismes et automatique S8-5-1- Logique combinatoire Logique combinatoire S8-5-2- Logique séquentielles Fonction mémoire (Bascules) Grafcet (points de vue) S8-6- Partie commande Câblée Programmée Choix d’une partie commande S8-7- Partie Opérative S8-7-1- Actionneurs Caractéristiques Critères de choix Critères économiques. Critères techniques. Conditions de service. Conditions d’environnement. Critères de dimensionnement. Conditions d’exploitation. Utilisation des guides de choix S8-7-2- Capteurs Phénomène de transduction. Sensibilité d'un capteur. Linéarité. Analyse de la sensibilité et de la linéarité. Critères de choix de capteurs (de position inductif, d’humidité capacitif, thermique :
  • 63.
    Brevet de TechnicienSupérieur Conception du Produit Industriel 63 thermistance, de vitesse, de couple, de tension et courant : pince ampèremétrique et Optoélectronique : photo-diode, phototransistor) Mises en œuvre de capteurs dans des chaînes. S8-7-3- Critères et outils de choix d’une partie opérative Critères techniques Performances et fonction globale. Critères de dimensionnement. Critères économiques. Exploitation de logiciels de choix. S8-8- Asservissement S8-8-1- Systèmes linéaires continus Schéma bloc Fonction transfert Caractéristiques Analyse Synthèse
  • 64.
    64 Conception duProduit Industriel Brevet de Technicien Supérieur Unités constitutives
  • 65.
    Brevet de TechnicienSupérieur Conception du Produit Industriel 65 I- Correspondances des unités : La définition des unités constitutives du diplôme a pour but de préciser, pour chacune d’elles, quelles tâches, compétences et savoirs professionnels sont concernés et dans quel contexte. Il s’agit à la fois : • de permettre la mise en correspondance des activités professionnelles et des unités dans le cadre de la validation des acquis de l’expérience ; • d’établir la liaison entre les unités, correspondant aux épreuves, et le référentiel d’activités professionnelles, afin de préciser le cadre de l’évaluation. Les cases grisées correspondent, pour chacune des unités aux compétences à évaluer lors de la certification (examen ou validation des acquis). Seules les compétences désignées par des cases grisées seront évaluées. Si les autres peuvent être mobilisées elles ne donneront pas lieu à évaluation. Dans le cas ou elles ne seraient pas maîtrisées, les tâches correspondantes seront réalisées avec assistance. U4 U5 U6 U41 U42 Motorisation des systèmes industriels U61 U62 Modélisation et comportement des systèmes industriels. Analyse et spécifications du produit. Présentation du rapport de stage industriel Présentation du rapport du projet de fin d’études C01- Décoder un cahier des charges fonctionnel. C02- Recenser les contraintes de l’étude. C03- Reformuler et synthétiser un cahier des charges fonctionnel. C04- Analyser, comparer des solutions techniques et argumenter. C05- Dégager les principes qui régissent les solutions techniques. C06- Rechercher une information. C07- Identifier les moyens techniques de production disponibles. C08- Intégrer les contraintes de la propriété industrielle. C09- Rechercher et expliciter un principe de solution. C10- Proposer ou expliciter une solution constructive. C11- Elaborer la maquette numérique de conception préliminaire. C12- Argumenter, au sein d’un groupe projet, les solutions techniques et économiques. C13- Valider une géométrie ou une architecture, par simulation informatique. C14- Estimer la durée d’étude attendue et recenser les éléments du coût. C15- Choisir un composant en exploitant une base de données. C16- Générer le modèle numérique de l’ensemble étudié. C17- Définir les spécifications de fonctionnement. C18- Prédimensionner les éléments essentiels du projet en appliquant la théorie des poutres. C19- Exploiter un logiciel de calcul de structures C20- Choisir un matériau et un procédé d’élaboration. C21- Intégrer les exigences ou propositions d’un spécialiste du procédé. C22- Intégrer les exigences de la vie du produit. C23- Valider le comportement du système conçu au regard du cahier des charges fonctionnel. C24- Elaborer le modèle numérique définitif et les représentations graphiques dérivées. C25- Réaliser des dessins de définition de produits finis, cotés, tolérancés. C26- Intégrer une action d’étude dans une démarche « qualité ». C27- Contribuer à l’archivage, à la traçabilité de l’étude et à la capitalisation des expériences dans les bases de données. C28- Choisir un mode de communication approprié. C29- Rédiger et présenter oralement, avec une langue étrangère. C30- Lire un document technique en une langue étrangère.
  • 66.
    66 Conception duProduit Industriel Brevet de Technicien Supérieur II- Définition des unités Unité U41 (U41, sous épreuve E41) Modélisation et comportement des systèmes industriels 1- Contenu : Cette unité concerne tout ou partie des compétences ci-dessous : C13 Valider une géométrie ou une architecture, par simulation informatique ou calcul élémentaire des comportements mécaniques. C18 Prédimensionner les éléments essentiels du projet en appliquant la théorie des poutres. C19 Exploiter un logiciel de calcul de structures C23 Valider le comportement du système conçu au regard du cahier des charges fonctionnel. On notera que pour effectuer les tâches demandées (voir ci-dessous), certaines autres compétences peuvent être mobilisées. En aucun cas, ces dernières ne donneront lieu à évaluation. Si ces compétences ne sont pas maîtrisées, les tâches correspondantes doivent être réalisées avec assistance. 2- Contexte professionnel : Fonction : Technicien responsable de l’élaboration d’un dossier d’étude technique Localisation : bureau d’études, service gestion des moyens et secteur de construction mécanique. 3- Nature de l’activité : À cette unité U4.1 sont associées tout ou partie : T3-3 Validation des lois « d’entrées-sorties» pour les systèmes de transformation de mouvement et de transmission de puissance. T3-4 Analyse critique de solutions. Les études concernées peuvent être relatives : - à l’analyse de solutions existantes. - à la recherche de principes de solutions. - à l’analyse critique de solutions. - au choix et dimensionnement de composants. - à l’étude de pré-industrialisation et dialogue avec un spécialiste pour l’optimisation de la relation «produit (fonction et géométrie) – matériau – procédé». - à validation des lois «d’entrées sorties» pour les systèmes de transformation de mouvement et transmission de puissance. - à la spécification des conditions de fonctionnement au choix et dimensionnement de composants. - au dimensionnement des structures. - à l’élaboration des dessins d’ensemble des systèmes - à la réalisation des dessins de définition de produits finis, cotés, tolérancés Ces activités nécessitent la mobilisation simultanée et complémentaire des savoirs et savoir-faire de S4, S5, S6 et S8.
  • 67.
    Brevet de TechnicienSupérieur Conception du Produit Industriel 67 Unité U42 (U42, sous épreuve E42) Analyse et spécifications du produit 1- Contenu : Cette unité concerne tout ou partie des compétences ci-dessous : C04 Analyser, comparer, des solutions techniques et argumenter (domaine du génie mécanique). C17 Définir les spécifications de fonctionnement. C19 Exploiter un logiciel de calcul de structures C20 Choisir un matériau et un procédé d’élaboration compatible avec les fonctions et formes de la pièce. C25 Réaliser des dessins de définition de produits finis, cotés, tolérancés. On notera que pour effectuer les tâches demandées (voir ci-dessous), certaines autres compétences peuvent être mobilisées. En aucun cas, ces dernières ne donneront lieu à évaluation. Si ces compétences ne sont pas maîtrisées, les tâches correspondantes doivent être réalisées avec assistance. 2- Contexte professionnel : Fonction : Technicien responsable de l’élaboration d’un dossier d’étude technique Localisation : bureau d’études, service gestion des moyens et secteur de construction mécanique. 3- Nature de l’activité : À cette unité U4 sont associées tout ou partie : T2-4 Analyse de solutions existantes. T3-4 Analyse critique de solutions. T4-5 Étude de préindustrialisation et dialogue avec un spécialiste pour l’optimisation de la relation «produit (fonction et géométrie) - matériau - procédé - coût ». 4-7 Spécification des conditions de fonctionnement. 5-2 Réalisation des dessins de définition de produits finis, cotés, tolérancés. Conditions de réalisation des taches : Les études concernées peuvent être relatives : - à l’analyse de solutions existantes. - à la recherche de principes de solutions. - à l’analyse critique de solutions. - au choix et dimensionnement de composants. - à l’étude de pré industrialisation et dialogue avec un spécialiste pour l’optimisation de la relation «produit (fonction et géométrie) – matériau – procédé ».à validation des lois « d’entrées sorties » pour les systèmes de transformation de mouvement et transmission de puissance. - à la spécification des conditions de fonctionnement au choix et dimensionnement de composants. - au dimensionnement des structures. - à l’élaboration des dessins d’ensemble des systèmes - à la réalisation des dessins de définition de produits finis, cotés, tolérancés Ces activités nécessitent la mobilisation simultanée et complémentaire des savoirs et savoir-faire de S4, S5, S6, S7 et S8
  • 68.
    68 Conception duProduit Industriel Brevet de Technicien Supérieur Unité U5 (U5, épreuve E5) Motorisation des systèmes industriels 1- Contenu : Cette unité concerne tout ou partie des compétences ci-dessous : C04 Analyser, comparer des solutions techniques et argumenter. C05 Dégager les principes qui régissent des solutions techniques. C09 Rechercher et expliciter un principe de solution. C10 Proposer ou expliciter sous forme de croquis ou de schéma, commenté, légendé, une solution constructive. 2- Contexte professionnel : Fonction : Technicien du service étude et développement. Localisation : Bureau d’étude, service ingénierie et développement d’un secteur de production. 3- Nature de l’activité : A cette unité U5 sont associées tout ou partie : T2-4 Analyse de solutions existantes. T3-1 Recherche de principes de solutions. T3-4 Analyse critique de solutions. T4-3 Choix et dimensionnement de composants. Les études concernées peuvent être relatives : - Analyse de solutions existantes. - Recherche de principes de solutions. - Analyse critique de solutions. - Choix et dimensionnement de composants. Ces activités nécessitent la mobilisation simultanée et complémentaire des savoirs et savoir-faire de S5, S7 et S8
  • 69.
    Brevet de TechnicienSupérieur Conception du Produit Industriel 69 Unité U61 (U61, Sous épreuve E61) Présentation du rapport de stage industriel 1- Contenu : Cette unité concerne tout ou partie des compétences ci-dessous : C07 Identifier les moyens techniques de production disponibles. C08 Intégrer les contraintes de la propriété industrielle. C26 Intégrer une action d’étude dans une démarche « qualité ». C27 Contribuer à l’archivage, à la traçabilité de l’étude et à la capitalisation des expériences dans les bases de données techniques de l’entreprise. C29 Rédiger et présenter oralement, dans un français correct, et avec les outils de communication adaptés, un rapport exploitant un vocabulaire technique pertinent. On notera que pour effectuer les tâches demandées (voir ci-dessous), certaines autres compétences peuvent être mobilisées. En aucun cas, ces dernières ne donneront lieu à évaluation. Si ces compétences ne sont pas maîtrisées, les tâches correspondantes doivent être réalisées avec assistance. 2- Contexte professionnel : Fonction : Technicien responsable des études, de préparation et prototypage. Localisation : Bureau d’études, service production et ingénierie. 3- Nature de l’activité : A cette unité U8.1 sont associées tout ou partie : T1-4 Dialogue avec un chef de projet ou un chargé d’affaires. T1-5 Participation à la prise en compte de l’environnement de l’étude. T2-1 Recherche documentaire. T2-2 Consultation des normes. T2-3 Consultation des bases de données techniques et méthodologiques de l’entreprise. T2-5 Intégration des contraintes de propriété industrielle. T6-1 Contribution à la traçabilité (gestion des modifications, archivage) d’une étude. T6-2 Formulation et transmission d’une information technique, d’un savoir-faire. Les études concernées peuvent être relatives : - au dialogue avec un chef de projet ou un chargé d’affaires. - à la participation à la prise en compte de l’environnement de l’étude. - à la recherche documentaire. - à la consultation des normes. - à la consultation des bases de données techniques et méthodologiques de l’entreprise. - à l’intégration des contraintes de propriété industrielle. - à la contribution à la traçabilité (gestion des modifications, archivage) d’une étude. - à la formulation et transmission d’une information technique, d’un savoir-faire. Ces activités nécessitent la mobilisation simultanée et complémentaire des savoirs et savoir-faire de S2, S5, S6 et S8. 4- Cadre général de la formation : Durée du stage 6 semaines Le stagiaire doit être parrainé par au moins un tuteur au sein de l’entreprise et suivi par un enseignant de l’établissement.
  • 70.
    70 Conception duProduit Industriel Brevet de Technicien Supérieur A la fin du stage un rapport doit rédiger par l’étudiant mettant en relief les différents travaux réalisés au sein de l’entreprise. Le stage comprend cinq étapes : 1ère étape : La préparation (l’affectation en entreprise, contact avec le parrain) 2ème étape : Le séjour en entreprise 3ème étape : Le rapport de stage réalisé par le stagiaire 4ème étape : La fiche d’appréciation établie par l’entreprise 5ème étape : L’exposé oral devant un jury Les 6 semaines du stage sont réservées aux travaux d’études, d’encadrement, ou de réalisation de projets. Le centre de formation organise un suivi du stagiaire dans l’entreprise, fixe les dates des visites de suivi à l’entreprise et la date des soutenances Une fiche d’appréciation est conçue pour suivre le stagiaire dès son arrivée à l'entreprise. A la fin du stage, l’étudiant remet un rapport (en 3 exemplaires au minimum) au centre de formation qui organise les soutenances devant un jury composé d’un responsable de stage en entreprise, d'un responsable de stage du centre, d'un rapporteur et d’un ou plusieurs enseignants de la spécialité. Dans l’hypothèse où les travaux de l’entreprise confiés aux stagiaires doivent rester confidentiels, le centre de formation s’engage à respecter cette confidentialité. L’entreprise pourra à sa demande, obtenir la réexpédition du rapport des stagiaires.
  • 71.
    Brevet de TechnicienSupérieur Conception du Produit Industriel 71 Unité U62 (U62, sous épreuve E62) Présentation du rapport du projet de fin de formation 1- Contenu : Cette unité concerne tout ou partie des compétences ci-dessous : C01 Décoder un cahier des charges fonctionnel. C02 Recenser les contraintes de l’étude. C03 Reformuler et synthétiser un cahier des charges fonctionnel résultant d’une verbalisation écrite ou orale. C05 Dégager les principes qui régissent les solutions techniques. C06 Rechercher une information dans une documentation technique, dans un réseau local ou à distance. C09 Rechercher et expliciter un principe de solutions techniques. C10 Proposer ou expliciter sous forme de croquis ou de schéma, commenté, légendé, une solution constructive technique. C11 Élaborer la maquette numérique de conception préliminaire à l’aide d’un modeleur volumique, paramétrable, variationnel. C12 Argumenter, au sein d’un groupe projet, les solutions techniques et économiques proposées en exploitant les outils adaptés. C14 Estimer la durée d’étude attendue en phase avec le jalonnement d’un projet et recenser les éléments du coût. C15 Choisir un composant en exploitant une base de données industrielle, mécanique ou électrique. C16 Générer le modèle numérique de l’ensemble étudié en établissant un paramétrage fonctionnel permettant la construction de géométries robustes. C21 Intégrer les exigences ou propositions d’un spécialiste d’un procédé. C22 Intégrer les exigences de la vie du produit. C24 Élaborer le modèle numérique définitif et les représentations graphiques dérivées. C28 Choisir un mode de communication approprié. Communiquer synthétiquement On notera que pour effectuer les tâches demandées (voir ci-dessous), certaines autres compétences peuvent être mobilisées. En aucun cas, ces dernières ne donneront lieu à évaluation. Si ces compétences ne sont pas maîtrisées, les tâches correspondantes doivent être réalisées avec assistance. 2- Contexte professionnel : Fonction : Technicien responsable de l’étude et l’industrialisation moyens de production. Localisation : Bureau d’études, Service ingénierie, service qualité. 3- Nature de l’activité : A cette unité U8.1 sont associées tout ou partie : T1-2 Reformulation d’un besoin. T1-3 Elaboration de tout ou partie d’un cahier des charges fonctionnel (éventuellement sur site). T2-6 Recensement de la logistique de production. T3-1 Recherche de principes de solutions. T3-2 Recherche de solutions constructives et élaboration de la maquette numérique de conception préliminaire. T3-5 Prise en compte des coûts et délais. T3-6 Argumentation au sein d’un groupe projet en vue d’une validation de l’étude préliminaire. T4-1 Conception collaborative et prise en compte des contraintes de conception partagée. T4-2 Réalisation du modèle numérique 3D de l’étude. T4-6 Prise en compte des exigences de la vie du produit (maintenabilité, réparabilité, sécurité, ergonomie, utilisation, esthétique, élimination....).
  • 72.
    72 Conception duProduit Industriel Brevet de Technicien Supérieur T5-1 Elaboration du modèle numérique définitif et des représentations graphiques dérivées. Les études concernées peuvent être relatives : - au décodage d’un cahier des charges fonctionnel. - à la reformulation d’un besoin. - à l’élaboration de tout ou partie d’un cahier des charges fonctionnel (éventuellement sur site). - au recensement de la logistique de production. - à la recherche de principes de solutions. - à la recherche de solutions constructives et élaboration de la maquette numérique de conception préliminaire. - à la prise en compte des coûts et délais. - à l’argumentation au sein d’un groupe projet en vue d’une validation de l’étude préliminaire. - à la conception collaborative et pris en compte des contraintes de conception partagée. - à la réalisation du modèle numérique 3D de l’étude. - à la prise en compte des exigences de la vie du produit (maintenabilité, réparabilité, sécurité, ergonomie, utilisation, esthétique, élimination….). - à l’élaboration du modèle numérique définitif et des représentations graphiques dérivées. - à l’analyse fonctionnelle et structurelle des équipements industriels - à l’étude comparative des solutions constructives en vue d’un choix technique et économique. - au développement d’une solution selon un cahier des charges - à la conception, réalisation, test et intégration de tout ou partie d’un système technique - à la présentation d’un travail personnel ou d’équipe.
  • 73.
    Brevet de TechnicienSupérieur Conception du Produit Industriel 73 Organisation de la formation
  • 74.
    74 Conception duProduit Industriel Brevet de Technicien Supérieur I- Organisation annuelle Septembre Octobre Novembre Décembre Janvier Février Mars Avril Mai Juin Juillet 1 ère année 1er semestre 12 semaines de formation Soit 408 heures en moyenne 2ème semestre 12 semaines de formation Soit 408 heures en moyenne Examen de passage Stage en entreprise (non obligatoire) Septembre Octobre Novembre Décembre Janvier Février Mars Avril Mai Juin Juillet 2 ème année 3ème semestre 12 semaines de formation Soit 408 heures en moyenne 4ème semestre 10 semaines de formation Soit 340 heures en moyenne Examen national Stage obligatoire en entreprise 4à6 semaines Soutenances II- Organisation hebdomadaire Horaires de première année Horaires de deuxième année Semaine C+TD+TP Année* Semaine C+TD+TP Année** Arabe 2 48 2 44 Français 2 48 2 44 Anglais 2 48 2 44 Techniques d’expression et de communication 2 48 2 44 Culture économique et juridique 2 48 Mathématique 4 2+2+0 96 2 1+1+0 44 Physique appliquée 2 1+1+0 48 2 1+1+0 44 Mécanique industrielle 6 2+2+2 144 6 2+2+2 132 Industrialisation des produits 2 1+1+4(1) 48 2 1+1+0 44 Représentation d’un produit technique 6 1+1+4 144 4 0+0+4 88 Motorisation et commande des systèmes 4 2+2+0 96 4 2+2+0 88 Projets de fin de formation 6 132 Total 34 34 * volume annuel donné à titre indicatif et calculé sur la base de 24 semaines. ** volume annuel donné à titre indicatif et calculé sur la base de 22 semaines. (1) – en alternance avec les TP de Représentation d’un produit industriel
  • 75.
    Brevet de TechnicienSupérieur Conception du Produit Industriel 75 III- Répartition des savoirs 3-1- Recommandations générales : Les savoirs relevant des niveaux I et II peuvent être traités avantageusement sur polycopié. Les travaux pratiques de laboratoire doivent être assurés avec des groupes n’excédant pas 12 étudiants. 3-2- Répartition S1 : Langues Première année Deuxième année Code savoir Semestre1 Semestre 2 Semestre 3 Semestre 4 S1 S11 S11 S12 S12 S13 S13 Le savoir S10 (santé, sécurité et environnement) sera attribué à l’enseignant chargé de l’enseignement du savoir S58. S2 : Techniques d’Expression et de Communication Première année Deuxième année Code savoir Semestre1 Semestre 2 Semestre 3 Semestre 4 S2 S21, S22, S23 S24 S25 S3 : Mathématiques Le savoir S3 (Mathématiques) doit être réparti comme suit : Première année Deuxième année Code savoir Semestre1 Semestre 2 Semestre 3 Semestre 4 S3 S31, S32 S33, S34 S35, S36 S37 Recommandations pédagogiques La chronologie du traitement des savoir n’est qu’indicative, il est donc impératif de consulter les enseignants des autres savoirs ayant besoin des connaissances mathématiques pour organiser l’ordre de traitement du cours. S4 : Mécanique industrielle Le savoir S4 (mécanique industrielle) doit être réparti comme suit : 1. Analyse et spécifications du produit qui englobe : S42, S43, S44. 2. Modélisation et comportement des systèmes industriels : S41, S45. Première année Deuxième année Code savoir Semestre1 Semestre 2 Semestre 3 Semestre 4 S4 S43 S42 S45 S44 S41 (S411 - S416) S41 (S417, S418) * Les Travaux pratiques seront réalisés sur des systèmes en relation avec le savoir à transmettre. S5 : Industrialisation des produits Le savoir S5 (Industrialisation des produits) doit êtres réparti comme suit : 1. L’entreprise industrielle : S51 2. La relation conception, industrialisation, production, contrôle : S52 Première année Deuxième année Code savoir Semestre1 Semestre 2 Semestre 3 Semestre 4 S5 S51- S52 (S521) S52 (S522, S523) S53 S54
  • 76.
    76 Conception duProduit Industriel Brevet de Technicien Supérieur Recommandations pédagogiques Les travaux pratiques (S54) seront assurés en groupes et programmés en alternance avec S62, à raison de 4 heures. S6 : Représentation d’un produit technique Le savoir S6 (Représentation d’un produit technique) doit être réparti comme suit : 1. Outils de recherche de solutions : S61 2. Utilisation de modeleurs volumiques : S62 3. Fonctionnalités des modeleurs utiles en phase exploitation : S63 Première année Deuxième année Code savoir Semestre1 Semestre 2 Semestre 3 Semestre 4 S6 S611-S612-S613 S613 S63 S62 Recommandations pédagogiques Les travaux pratiques (S62) seront assurés en groupes et programmés en alternance avec S54, à raison de 4 heures. S7 : Physique appliquée Le savoir S7 (Physique appliquée) doit être réparti comme suit : 1. Comportement dynamique d’un système électrique et mécanique : S71. 2. Machines électriques : S72. 3. Mécanique des fluides et thermique : S73. Première année Deuxième année Code savoir Semestre1 Semestre 2 Semestre 3 Semestre 4 S7 S71 S72 S73 S8 : Motorisation et commande des systèmes Le savoir S8 (Motorisation et commande des systèmes) doit être réparti comme suit : 1. Description et analyse d’un système électrique : S81, S82, S83, S84 ; 2. Commande des systèmes : S85, S86, S88 ; 3. Choix d’une solution automatisée : S85 ; Première année Deuxième année Code savoir Semestre1 Semestre 2 Semestre 3 Semestre 4 S8 S81, S82 S83, S84 S88 S85 (S851, S852) S85 (S852), S86 S87 S9 : Culture économique et juridique Première année Deuxième année Code savoir Semestre1 Semestre 2 Semestre 3 Semestre 4 S9 S19 S10 : Santé, sécurité et environnement Première année Deuxième année Code savoir Semestre1 Semestre 2 Semestre 3 Semestre 4 S10 S10 Le savoir S10 (santé, sécurité et environnement) sera attribué de préférence à l’enseignant chargé de l’enseignement du savoir S82.
  • 77.
    Brevet de TechnicienSupérieur Conception du Produit Industriel 77 IV- Stage en milieu professionnel 4-1- Objectifs : Le stage en milieu professionnel est une activité de synthèse obligatoire pour les candidats au Brevet de technicien supérieur CPI. Il a pour objectif de permettre à l'étudiant d'acquérir et / ou d'approfondir les compétences professionnelles en situation réelle de travail. Il existe deux types de stages durant la formation. En fin de la première année (non obligatoire) : Faire un premier pas dans l’entreprise Il a pour objectif de : - Prendre un premier contact avec l’entreprise - Appréhender les différents services de l’entreprise et les relations qui s’établissent entre eux - Comprendre les relations de l’entreprise avec son environnement - Améliorer son savoir sur le milieu industriel. En fin de la deuxième année (obligatoire) : participer à la vie de l’entreprise Il a pour objectif de : - Développer des compétences professionnelles - Tester les compétences professionnelles - Acquérir des compétences professionnelles. - Développer une communication verbale et écrite professionnelles - Acquérir des qualités relationnelles et des comportements professionnels 4-2- Organisation générale : Les périodes de stage en milieu professionnel sont organisées par l'établissement fréquenté par l'étudiant et les entreprises d'accueil. Chaque période de stage en entreprise fait l’objet d’une convention entre l’établissement et l’entreprise. Cette convention est établie conformément aux dispositions en vigueur. Pendant chaque période, le candidat a obligatoirement la qualité d'étudiant stagiaire et non celle de salarié. En fin de chaque période, un certificat lui est remis par le responsable de l'entreprise ou son représentant, attestant sa présence. Les deux stages doivent être distingués : a- Connaissance de l’entreprise : Ce stage, non obligatoire, mais souhaitable correspond à une période organisée entre la fin de la première année scolaire de formation et le début de la deuxième année. A l'issue de ce stage, l’étudiant rédige un rapport de stage qui sera évalué. Aussi, Cette première période de stage peut avantageusement être l’occasion de définitions et de recherches du projet technique de fin de formation à réaliser en deuxième année. b- Participation à la vie de l’entreprise : Ce stage s’effectue en fin de deuxième année. Les activités confiées aux stagiaires sous forme de travaux qui sont liées au domaine de l’électromécanique et systèmes automatisés conformément au référentiel des activités professionnelles. Le rapport de stage, en trois exemplaires, et l'ensemble des documents d'exploitation, doivent être remis au jury d’évaluation au moins une semaine avant le début des soutenances des rapports de stage. 4-3- Durée du stage : Première période : non obligatoire Stage ouvrier une durée de quatre semaines minimum en fin de première année Deuxième période : obligatoire Stage technicien une durée de quatre à six semaines en fin de deuxième année.
  • 78.
    Brevet de TechnicienSupérieur Conception du Produit Industriel 78 Modalités d’évaluation
  • 79.
    Brevet de TechnicienSupérieur Conception du Produit Industriel 79 S’Il est incontestable que notre grand souhait est d’amener les étudiants à maîtriser des compétences, et que désormais c’est en termes de compétences que se définit ce que ces étudiants doivent acquérir, il est donc impératif de mettre à la disposition des formateurs au même titre un cadre de référence national de l’évaluation. Autrement dit deux types de documents sont incontournables : un référentiel de formation et un cadre référentiel d’évaluation. Ces deux documents doivent traiter les deux problèmes pratiques majeurs qui se posent dès lors aux formateurs : Comment faire apprendre des compétences ? Comment évaluer des compétences ? Pour répondre à la première question, des équipes de formateurs, encadrées par les inspecteurs et coordonnateurs nationaux se sont mis au travail depuis quatre ans pour réviser des référentiels de formation pour une vingtaine de filières. En plus de la complexité intrinsèque à l’ingénierie curriculaire sous tendue par l’application de l’approche APC ,s’ajoute dans bien des cas ,si ce n’est pas tous les cas ,la refonte des référentiels .Bien que ce travail a été effectué par des équipes différentes , une équipe par filière ou groupe de filières ,il a été encadré par une même équipe et régit par un même canevas général ,on peut conclure qu’un niveau satisfaisant d’uniformité concernant la philosophie ,la méthode ,la forme générale a été respecté . Cependant reste un effort à faire sur le plan évaluation .Il est temps de mettre en place un dispositif complet d’évaluation qui mettra en exergue les fondamentaux, les principes, les valeurs, les textes pour renforcer l’équité, la justesse, la transparence qui sont autant de finalités tant réclamées par tous les systèmes d’évaluation du monde. Le cadre référentiel d’évaluation « CAREE » est un document à caractère normatif et prescriptif au même titre que le programme de formation. Ce « guide » constitue en quelque sorte le cahier des charges à partir duquel seront rédigées les épreuves devant servir à l’évaluation des compétences développées par les stagiaires. Il garantit en premier lieu que toutes les épreuves qui seront élaborées pour évaluer une même compétence respecteront les critères et les conditions d’évaluation édictés dans le référentiel de formation et émanant des besoins exprimés par les professionnels et ce quel que soit le prestataire de service de formation .En outre il définit tout le dispositif d’évaluation et les modalités de sa mise en œuvre. Ce document, commun à toutes les filières, viendra compléter la série des référentiels de formation révisés récemment. Il s’adresse aux formateurs dans les centres de formation pour l’obtention du BTS et aux responsables de l’évaluation du département scolaire, aux directeurs d’établissements, directeurs des études, qui pourraient y puiser des informations pertinentes à leur fonction respective. Etant données les considérations énoncées ci-dessus, notamment le caractère référentiel et de cadrage de ce document ainsi que sa vocation réglementaire ,nous avons jugé pertinent de développer un document intégral sur l’évaluation qui sera mis à la disposition de tous les intervenants dans les BTS formateurs ,évaluateurs , gestionnaires , responsables….
  • 80.
    80 Conception duProduit Industriel Brevet de Technicien Supérieur Définitions des épreuves
  • 81.
    Brevet de TechnicienSupérieur Conception du Produit Industriel 81 Epreuve E4 U41-U42 Sous Epreuve E41 : Modélisation et comportement des systèmes industriels 1- Contenu de l’épreuve Cette épreuve doit permettre d’apprécier l’aptitude du candidat à mobiliser ses connaissances de mécanique appliquée pour valider des comportements et prédimensionner des composants. L’épreuve doit permettre de valider tout ou partie des compétences suivantes : Compétences Savoirs associés S412 à S415 S416 à S418 S42 S73 C13 Valider une géométrie ou une architecture, par simulation informatique ou calcul élémentaire des comportements mécaniques. C18 Prédimensionner les éléments essentiels du projet en appliquant la théorie des poutres. C19 Exploiter un logiciel de calcul de structures C23 Valider le comportement du système conçu au regard du cahier des charges fonctionnel. S412 Schématisation d’un produit technique S413 Mouvements relatifs de solides dans un repère S414 Modélisation des actions mécaniques S415 Principe Fondamental de la Statique S416 Résistance des matériaux S417 Simulation par logiciel de RdM S418 Élasticité S42 Comportements dynamique et énergétique des équipements S73 Mécanique des fluides et thermique Le support technique est un système mécanique ou électromécanique industrialisé. Le questionnement est relatif à des problèmes techniques réels ; leur résolution doit permettre la mobilisation de tout ou partie des savoirs associés aux compétences énumérées ci-dessus. À partir de l’analyse d’une situation industrielle de préconception décrite dans un dossier présentant des résultats définitifs ou intermédiaires et s’appuyant sur les résultats de représentations volumiques préalables, de calculs de dimensionnements et de simulations informatiques, le candidat sera amené à développer des compétences de modélisation, d’analyse et de calculs simples, (justification, proposition, qualification), d’exploitations de résultats et de qualification de solutions par rapport au cahier des charges. 2- Modes d’évaluation À l’issue de cette situation d’évaluation, l’équipe pédagogique de l’établissement de formation constituera, pour chaque candidat, un dossier comprenant :  le texte complet du sujet posé,  la description sommaire des moyens matériels mis à sa disposition,  les documents éventuellement rédigés par le candidat lors de l’évaluation,  une fiche d’évaluation du travail réalisé. 3- Objectifs et contextualisation de l’épreuve : Cette épreuve doit permettre d’apprécier l’aptitude d’un candidat à concevoir et de prédéterminer le comportement de tout ou partie d’un produit industriel à partir d’éléments de cahier des charges relatif à un produit industriel moderne, mécanique ou électromécanique, significatif des technologies actuelles. Des demandes précises porteront donc sur :  La validation de principes de solutions constructives en réponse à tout ou partie d’un cahier des charges. Le candidat pourra être amené à proposer des solutions, à analyser des solutions
  • 82.
    82 Conception duProduit Industriel Brevet de Technicien Supérieur constructives proposées en justifiant un modèle, en le caractérisant et en exploitant des résultats de simulations du comportement du système.  Le prédimensionnement de certains éléments d’un mécanisme réel amenant à la résolution d’une problématique technique réelle et justifiée. Pour répondre à cette demande, le candidat sera amené à proposer un modèle de résolution, en lien avec la situation technique du produit, (modélisation cinématique, statique, dynamique, de résistance de matériaux ou d’élasticité) et à indiquer les données caractéristiques de cette modélisation (paramétrage, variations acceptables, conditions limites, etc.). En cohérence avec les évolutions techniques en cours, seul les calculs de résolution simples seront demandés. Lorsque, dans le contexte industriel, la résolution du problème se traite informatiquement, (tableur, logiciel de simulation d’un comportement), ce type de calcul ne sera pas demandé par voie de résolution « manuelle ». Toutefois, des résultats de ces étapes de calcul seront proposés au candidat sous diverses formes (tableaux, graphes, courbes, imagerie) afin qu’il les exploite, les commente et valide des résultats au regard de tout ou partie du cahier des charges fonctionnel proposé. Epreuve E4 U41-U42 Sous Epreuve E42 : Analyse et spécifications du produit 1- Contenu de l’épreuve Le travail demandé correspond à tout ou partie de ce qui est écrit dans la rubrique : « nature de l’activité » de la définition de l’unité U52. Les compétences correspondantes sont : Compétences Savoirs associés S431 S451 S452 S434 S436 S437 S52 S53 S62 C04 Analyser, comparer, argumenter des solutions techniques. C17 Définir les spécifications de fonctionnement. C19 Exploiter un logiciel de calcul de structures C20 Choisir un matériau et un procédé d’élaboration compatible avec les fonctions et formes de la pièce. C25 Réaliser des dessins de définition de produits finis, cotés, tolérancés S431: Étude des solutions constructives associées aux liaisons S451, S452: Étude des composants mécaniques de transmission S434: Étude des composants de conversion d’énergie S436: Relation produit, matériau, procédé S437: Spécification de produits S52: La relation conception, industrialisation, production, contrôle S53: Les procédés d’obtention des produits S62: Représentation d’un produit technique en phase exploitation Les données et les indicateurs de performance de cette épreuve sont ceux des compétences correspondantes. S’il est bien entendu que la démonstration de ces compétences nécessite la mobilisation des savoirs correspondants, il ne saurait être question de pratiquer par interrogation sur les seuls savoirs. Le travail demandé dans cette épreuve correspond à tout ou partie des activités professionnelles suivantes :  constitution du dossier d’étude,  conception préliminaire,  conception détaillée,  constitution du dossier de définition de produit.
  • 83.
    Brevet de TechnicienSupérieur Conception du Produit Industriel 83 2- Modes d’évaluation : À l’issue de cette situation d’évaluation, l’équipe pédagogique de l’établissement de formation constituera, pour chaque candidat, un dossier comprenant :  le texte complet du sujet posé,  la description sommaire des moyens matériels mis à sa disposition,  les documents éventuellement rédigés par le candidat lors de l’évaluation,  une fiche d’évaluation du travail réalisé. 3. Objectifs et contextualisation de l’épreuve : Cette épreuve doit permettre d’apprécier l’aptitude d’un candidat à :  comprendre, décrire, analyser, argumenter, spécifier les solutions constructives de tout ou partie d’un produit industriel moderne, mécanique ou électromécanique, significatif des technologies actuelles,  intégrer l’adéquation produit-matériau-procédé-coût dans les solutions constructives,  maîtriser la démarche de spécification des pièces participant aux fonctions techniques étudiées. Le dossier technique se limitera à tous les éléments nécessaires à la conduite des études demandées : cahier des charges fonctionnel, plans extraits des maquettes numériques, nomenclatures, résultats de calculs ou de simulations, et tous documents techniques utiles. L’étude s’appuiera donc sur un ou plusieurs produits industrialisés dans une phase de conception détaillée. Cela n’exclut pas que l’un des produits puisse être le résultat d’une évolution en réponse à une modification du cahier des charges. Dans ce cas les informations utiles aux deux solutions seront fournies dans le dossier technique. Les demandes précises porteront donc sur la description des solutions constructives à l’aide d’outils adaptés (graphe fonctionnel, schéma, tableau comparatif, verbalisation….) :  analyse des fonctionnalités du produit ;  comparaison, au regard du cahier des charges fonctionnel et selon une démarche structurée et cohérente, de plusieurs solutions constructives (aspects fonctionnels, technologiques, coût…) ;  proposition d'évolution dans les principes d'une solution prenant en compte l'association produit- matériau-procédé ;  cotation et spécification d'un composant ou d'une partie d'un composant, découlant des analyses préalablement effectuées. Epreuve E5 : U5 Motorisation des systèmes industriels Cette épreuve prend appui sur les savoirs de physique appliquée et de commande des systèmes. L’épreuve doit permettre de valider tout ou partie des compétences suivantes : Compétences Savoirs associés S71 1 S71 2 S71 3 S7 2 S8 1 S8 2 S8 3 S8 4 S8 5 S8 6 C04 Analyser, comparer, argumenter des solutions techniques. C05 Dégager les principes qui régissent des solutions techniques C09 Rechercher et expliciter un principe de solution C10 Proposer ou expliciter sous forme de croquis ou de schéma, commenté, légendé, une solution
  • 84.
    84 Conception duProduit Industriel Brevet de Technicien Supérieur S711: Régimes transitoires électrique et mécanique. S712: Régimes périodiques S713: Régimes sinusoïdaux S72: Machines électriques : principes et caractéristiques S81: Conception des produits utilisant l’énergie électrique S82: Sécurité des personnes et des biens S83: Choix des actionneurs, des motorisations S84: Choix des capteurs S85: Les outils de représentation normalisée S86: Les régimes de fonctionnement Le support technique est un système électromécanique issu du monde industriel. Le questionnement est relatif à des problèmes techniques réels, leur résolution doit permettre la mobilisation de tout ou partie des savoirs de physique appliquée et d’électrotechnique associés aux compétences énumérées ci- dessus. L’étude proposée sera conduite à partir d’une solution correspondant à un cahier des charges industriel. Le candidat sera donc amené :  à donner toutes les explications et justifications quant aux choix proposés par la solution (identification des principes de solutions, lois de comportement, pertinence de la solution) ;  à proposer à partir d’un éventuel avenant au cahier des charges, des modifications, améliorations, extensions à la solution. Epreuve E6 U61-U62 Projet et stage industriel -PFE Elle comprend deux sous-épreuves portant sur un le projet de fin d’étude et sur le stage en milieu professionnelle La sous-épreuve E61 a pour but de valider l'unité U81 associée à tout ou partie des compétences décrites dans la définition de cette unité. La sous-épreuve E62 a pour but de valider l'unité U82 associée à tout ou partie des compétences décrites dans la définition de cette unité. Sous épreuve U61 Projet et stage industriel Objectifs : Cette sous-épreuve permet d’évaluer les capacités du candidat à présenter et à commenter le stage qu’il a réalisé dans une entreprise de production industrielle. Cette présentation permet également d’évaluer ses capacités à communiquer de façon adaptée à la situation. Contenu : Le travail demandé correspond à la présentation des activités conduites lors du stage industriel de fin de la deuxième année. Les tâches à privilégier sont relatives à tout ou partie de tâches professionnelles citées dans la définition de l’unité U61 Le rapport, qui est à fournir en trois exemplaires à la commission d’évaluation 7 jours avant le début des soutenances, doit comprendre : - le compte rendu des activités ; - l’analyse des situations techniques, économiques et organisationnelles observées ; - les problèmes techniques appréhendés, les solutions et les démarches adoptées pour les résoudre Mode d’évaluation Ponctuelle : Il s’agit d’une épreuve orale, d’une durée maximale de 40 minutes et de coefficient 6 qui consiste à la soutenance du rapport de stage et qui comporte deux phases consécutives.
  • 85.
    Brevet de TechnicienSupérieur Conception du Produit Industriel 85 Phase 1 : Présentation des activités conduites (durée 20 minutes) : Le candidat effectue une présentation orale argumentée, en utilisant les moyens de communication qu’il jugera les plus adaptés, des activités conduites au cours de son stage industriel. Au cours de cette présentation, la commission d’évaluation n’intervient pas. Phase 2 : questionnement (durée maximale 20 minutes) : Au terme de la phase 1, la commission d’interrogation conduit un entretien avec le candidat pour approfondir certains points abordés dans le rapport et dans l’exposé Critères d'évaluation : - Rapport de stage : 30% - Appréciation du tuteur du stage : 20% - Soutenance devant un jury : 50%
  • 86.
    86 Conception duProduit Industriel Brevet de Technicien Supérieur Sous épreuve E62 Soutenance de Projet de fin d’Etudes Objectifs : L’épreuve E62 à pour support le projet réalisé pendant la deuxième année Une commission se réunit chaque année, avant la fin novembre, pour examiner et valider les propositions de thèmes supports des projets techniques présentés par les équipes enseignantes. Le projet à pour support un thème industriel issu des propositions de l’équipe pédagogique ou d’une entreprise. L’objectif du projet est de former des étudiants et de valider des compétences. Bien que la thématique et les enjeux du projet puissent être puisés en milieu professionnel, les objectifs de formations doivent rester prioritaires sur la finalisation de la réalisation. Afin de mener à bien ce projet, celui-ci sera conduit conjointement, par au moins, un professeur de génie électrique et un professeur de génie mécanique. Mode d’évaluation Ponctuelle : Il s’agit d’une épreuve orale, d’une durée maximale de 40 minutes et de coefficient 8, précédée d’une phase de mise en œuvre du système réalisé d’une durée maximale de 1 heures. La soutenance du rapport de PFE comporte trois phases consécutives. Phase 1 : Présentation des activités conduites (durée 20 minutes) : Le candidat effectue une présentation orale argumentée, en utilisant les moyens de communication qu’il jugera les plus adaptés, des activités conduites au cours de la réalisation de son projet. Au cours de cette présentation, la commission d’évaluation n’intervient pas. Phase 2 : Questionnement (durée maximale 20 minutes) : Au terme de la phase 1, la commission d’interrogation conduit un entretien avec le candidat pour approfondir certains points abordés dans le rapport et dans l’exposé Phase 3 : Présentation du système réalisé.
  • 87.
    Brevet de TechnicienSupérieur Systèmes Electroniques 87 Equipements
  • 88.
    88 Conception duProduit Industriel Brevet de Technicien Supérieur L’organisation des équipements par Laboratoire et par zone d’activités se veut plus avantageuse qu’une définition par filière, dans la mesure où elle permet une meilleure rationalisation de l’espace et du matériel commun à plusieurs filières. En effet, c’est dans ce sens qu’un document intégral « guide d’équipements » a été développé et a servi de base au lancement des appels d’offres pour l’acquisition des équipements de tous les laboratoires et ateliers de tous les centres BTS.