Intégrer la présentation
Télécharger pour lire hors ligne



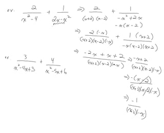
La leçon #6 aborde l'addition et la soustraction des expressions rationnelles en se concentrant sur les fractions. Il est essentiel d'obtenir un dénominateur commun avant d'additionner les numérateurs, qui doivent être des termes semblables. Cette méthode garantit la bonne exécution des opérations sur les fractions.


