Intégrer la présentation
Télécharger pour lire hors ligne






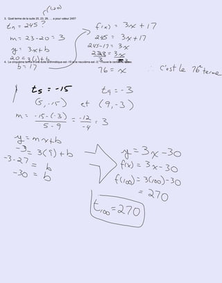
Le document traite des suites arithmétiques et des fonctions linéaires, définissant des concepts clés et donnant des exemples. Il propose des exercices pour appliquer les connaissances, comme la détermination de termes spécifiques dans une suite arithmétique et la formulation d'équations associées. Les suites arithmétiques sont à la fois des fonctions linéaires avec un domaine de nombres naturels, issues des concepts de la droite y = mx + b.





