Intégrer la présentation
















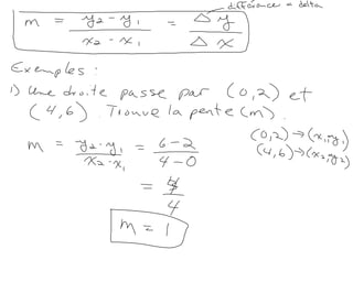
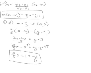
Le document traite de la recherche de l'équation d'une droite passant par les points (0,3) et (2,17). Il pose la question de savoir si y = 7x ou y = 7x + 3 représente cette équation. Une analyse mathématique est nécessaire pour déterminer laquelle des deux équations est correcte.















