Régression non linéaire
1
Jusqu’à présent, nous avons supposé que la fonction de
régression était linéaire, c’est-à-dire que nous avons traité
le paramètre de pente de la fonction de régression comme
une constante.
Cela implique que l'effet sur un changement d'une unité
dans X ne dépend pas du niveau de X .
Toutefois, si l'effet d'un changement dans X dépend de la
valeur de X , nous devrions utiliser une fonction de
régression non linéaire.
2
3
Exemple d’initiation:
library(AER)
library(stargazer)
data(CASchools)
str(CASchools)
4
la droite de régression linéaire semble surestimer la véritable
relation entre les deux variables.
lorsque le revenu est très élevé ou très faible
lesous-estimer pour le groupe à revenu intermédiaire.
On peut penser alors à un autre modèle qui pourrait capter
mieux la relation:
Modèle de régression quadratique
5
# Estimation du quadratic Model
quadratic_model <- lm(score ~ income + I(income^2), data =
CASchools)
6
La régression quadratique est un cas particulier de la
régression polynomiale
L'équation générale d'un modèle de régression polynomiale
est :
n est le degré du polynôme.
7
Ce test nous permettra de tester si l relation est linéaire ou
non: Si H0 est vraie c’est une simple relation linéaire sinon
c’est une relation quadratique.
8
Représentation graphique
9
10
On voit que la fonction quadratique s’adapte mieux que la
fonction linéaire
11
Régression polynomiale
Il s’agit de généraliser la régression quadratique pour un
degré r
Pour r = 3 il suffit d’écrire: degree = 3
cubic_model <- lm(score ~ poly(income, degree = 3, raw =
TRUE), data = CASchools)
La fonction poly génère des polynomes
12
La question qui se pose quel degré choisir pour une régression ?
nous pouvons tester l'hypothèse nulle selon laquelle la vraie
relation est linéaire contre l'hypothèse alternative selon
laquelle la relation est un polynôme de degré r
13
Par exemple, nous pouvons tester la valeur nulle d'un modèle linéaire
par rapport à l'alternative d'un polynôme de degré maximal r = 3
comme suit.
# test d'hypotheses linear model vs quadratic or polynomial
R <- rbind(c(0, 0, 1, 0), c(0, 0, 0, 1)) # pour écrire b2=b3 = 0
R
linearHypothesis(cubic_model, hypothesis.matrix = R,white.adj =
"hc1") 14
P value = 9.043e-16 donc on refuse H0, les deux coefficients b2 et b3
sont significativement différents de 0
Le modèle cubique est acceptable, ceci dit on ne peut pas conclure que
r=3 est le meilleur modèle.
En pratique pour estimer r on peut suivre une approche séquentielle:
15
1-Estimer un modèle polynomial pour une valeur
maximale r
2-Utiliser un test de student H0:βr= 0, rejeter H0 cela
veut dire que Xr fait partie du modèle.
3- L’acceptation de H0 dans 2 signie qu’on peut éliminer
Xr, continuer la procédure en 1 avec l’ordre r-1 et faire
le test de student.
4-Si le test de l’étape 3 est rejeté, poursuivez la
procédure jusqu’à ce que le coefficient de la puissance
la plus élevée soit statistiquement significatif.
16
La littérature économique suggère de ne pas dépasser 2 ou 2
ou 4 comme degré du polynome.
Exemple: cubic model
summary(cubic_model)
17
Modèle Logarithmique
Un autre type de régression non linéaire est l’usage des algorithmes.
Il existe 3 situations de passage en Log:
Transformer y sans transformer x
Transformer x sans stranformer y
Transformer les deux en Log
1er cas: y en Log uniquement:
Parfois il est intéressant de passer au Log de y pour bien capter la
relation:
# Estimer le modèle par usage du Log:
LogLinear_model <- lm(log(score) ~ income, data = CASchools)
18
# Résumé des coefficients estimés
coeftest(LogLinear_model,vcov = vcovHC, type = "HC1")
vcovHC:correction de covariance robuste (Heteroskedasticity-
Consistent, HC) avec la méthode HC1.
coeftest est utilisé pour effectuer des tests sur les coefficients du
modèle en tenant compte de la robustesse aux hétéroscédasticités.
Cela peut être particulièrement important lorsque l'on soupçonne
que les erreurs de votre modèle ne présentent pas une variance
constante.
19
Variation d’une unite de x entraine une variation de 100×β1%
de y
20
Cas 2: Appliquer le Log à x sans y:
LinearLog_model <- lm(score ~ log(income), data =
CASchools)
# Calcul des coefficients estimés
coeftest(LinearLog_model, vcov = vcovHC, type = "HC1")
21
# Graphique de la relation:
plot(score ~ income, col = "steelblue",pch = 20, data =
CASchools,ylab="Score",xlab="Income", main = "Linear-Log
Regression Line")
order_id <- order(CASchools$income)
lines(CASchools$income[order_id],
fitted(LinearLog_model)[order_id], col = "red",
lwd = 2)
legend("bottomright",legend = "Linear-log line",lwd = 2,col
="red")
22
23
Variation de 1 % de x entraine une variation de 0,01 β1 de
y
24
Cas 3: x et y transformées par la fonction Log:
LogLog_model <- lm(log(score) ~ log(income), data
= CASchools)
coeftest(LogLog_model,
vcov = vcovHC, type = "HC1")
25
1% variation de x est associée à 1% * b1 de y, b1
est appelée élasticité de y par rapport à x
# graphique du modèle log-log:
plot(log(score) ~ income,
col = "steelblue",
pch = 20,
data = CASchools,
ylab="log(Score)",
xlab="Income",
main = "Log-Linear Regression Function")
26
27
Les logarithmes peuvent être utilisés pour transformer la
variable dépendante ou la variable indépendante X,
ou les deux (la variable transformée doit être positive).
28
Comparons graphiquement cubic model linear-log model:
plot(score ~ income,
data = CASchools,
col = "steelblue",
pch = 20,
ylab="Score",
xlab="Income",
main = "Linear-Log and Cubic Regression Functions")
29
# Ajoutons the linear-log regression line
order_id <- order(CASchools$income)
lines(CASchools$income[order_id],
fitted(LinearLog_model)[order_id],
col = "darkgreen",
lwd = 2)
30
# Ajoutons cubic model:
#
lines(x = CASchools$income[order_id],
y = fitted(cubic_model)[order_id],
col = "red",
lwd = 2)
# add a legend
legend("bottomright",
legend = c("Linear-Log model", "Cubic model"),
lwd = 2,
col = c("darkgreen", "red"))
31
32
Les deux droites de régression semblent presque identiques.
Dans l’ensemble, le modèle logarithmique linéaire peut être
préférable pour évaluer des accroissements par exemple,
le modèle logarithmique est adapté aux situations où les
changements relatifs sont importants, tandis que le modèle
cubique est plus flexible pour capturer des formes de courbes
complexes. Le choix entre les deux dépend du contexte
spécifique de votre problème et des caractéristiques des
données.
33
Exercice
x=1:15
y=c(59, 50, 44, 38, 33, 28, 23, 20, 17, 15, 13, 12, 11, 10,
9.5)
Faire le plot de x et y
Proposer un modèle de régression
Résultats du modèle
34

modele non lineaire machine learning and data science

  • 1.
  • 2.
    Jusqu’à présent, nousavons supposé que la fonction de régression était linéaire, c’est-à-dire que nous avons traité le paramètre de pente de la fonction de régression comme une constante. Cela implique que l'effet sur un changement d'une unité dans X ne dépend pas du niveau de X . Toutefois, si l'effet d'un changement dans X dépend de la valeur de X , nous devrions utiliser une fonction de régression non linéaire. 2
  • 3.
  • 4.
  • 5.
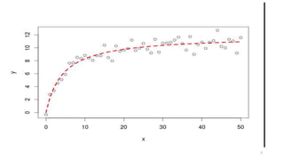
    la droite derégression linéaire semble surestimer la véritable relation entre les deux variables. lorsque le revenu est très élevé ou très faible lesous-estimer pour le groupe à revenu intermédiaire. On peut penser alors à un autre modèle qui pourrait capter mieux la relation: Modèle de régression quadratique 5
  • 6.
    # Estimation duquadratic Model quadratic_model <- lm(score ~ income + I(income^2), data = CASchools) 6
  • 7.
    La régression quadratiqueest un cas particulier de la régression polynomiale L'équation générale d'un modèle de régression polynomiale est : n est le degré du polynôme. 7
  • 8.
    Ce test nouspermettra de tester si l relation est linéaire ou non: Si H0 est vraie c’est une simple relation linéaire sinon c’est une relation quadratique. 8
  • 9.
  • 10.
  • 11.
    On voit quela fonction quadratique s’adapte mieux que la fonction linéaire 11
  • 12.
    Régression polynomiale Il s’agitde généraliser la régression quadratique pour un degré r Pour r = 3 il suffit d’écrire: degree = 3 cubic_model <- lm(score ~ poly(income, degree = 3, raw = TRUE), data = CASchools) La fonction poly génère des polynomes 12
  • 13.
    La question quise pose quel degré choisir pour une régression ? nous pouvons tester l'hypothèse nulle selon laquelle la vraie relation est linéaire contre l'hypothèse alternative selon laquelle la relation est un polynôme de degré r 13
  • 14.
    Par exemple, nouspouvons tester la valeur nulle d'un modèle linéaire par rapport à l'alternative d'un polynôme de degré maximal r = 3 comme suit. # test d'hypotheses linear model vs quadratic or polynomial R <- rbind(c(0, 0, 1, 0), c(0, 0, 0, 1)) # pour écrire b2=b3 = 0 R linearHypothesis(cubic_model, hypothesis.matrix = R,white.adj = "hc1") 14
  • 15.
    P value =9.043e-16 donc on refuse H0, les deux coefficients b2 et b3 sont significativement différents de 0 Le modèle cubique est acceptable, ceci dit on ne peut pas conclure que r=3 est le meilleur modèle. En pratique pour estimer r on peut suivre une approche séquentielle: 15
  • 16.
    1-Estimer un modèlepolynomial pour une valeur maximale r 2-Utiliser un test de student H0:βr= 0, rejeter H0 cela veut dire que Xr fait partie du modèle. 3- L’acceptation de H0 dans 2 signie qu’on peut éliminer Xr, continuer la procédure en 1 avec l’ordre r-1 et faire le test de student. 4-Si le test de l’étape 3 est rejeté, poursuivez la procédure jusqu’à ce que le coefficient de la puissance la plus élevée soit statistiquement significatif. 16
  • 17.
    La littérature économiquesuggère de ne pas dépasser 2 ou 2 ou 4 comme degré du polynome. Exemple: cubic model summary(cubic_model) 17
  • 18.
    Modèle Logarithmique Un autretype de régression non linéaire est l’usage des algorithmes. Il existe 3 situations de passage en Log: Transformer y sans transformer x Transformer x sans stranformer y Transformer les deux en Log 1er cas: y en Log uniquement: Parfois il est intéressant de passer au Log de y pour bien capter la relation: # Estimer le modèle par usage du Log: LogLinear_model <- lm(log(score) ~ income, data = CASchools) 18
  • 19.
    # Résumé descoefficients estimés coeftest(LogLinear_model,vcov = vcovHC, type = "HC1") vcovHC:correction de covariance robuste (Heteroskedasticity- Consistent, HC) avec la méthode HC1. coeftest est utilisé pour effectuer des tests sur les coefficients du modèle en tenant compte de la robustesse aux hétéroscédasticités. Cela peut être particulièrement important lorsque l'on soupçonne que les erreurs de votre modèle ne présentent pas une variance constante. 19
  • 20.
    Variation d’une unitede x entraine une variation de 100×β1% de y 20
  • 21.
    Cas 2: Appliquerle Log à x sans y: LinearLog_model <- lm(score ~ log(income), data = CASchools) # Calcul des coefficients estimés coeftest(LinearLog_model, vcov = vcovHC, type = "HC1") 21
  • 22.
    # Graphique dela relation: plot(score ~ income, col = "steelblue",pch = 20, data = CASchools,ylab="Score",xlab="Income", main = "Linear-Log Regression Line") order_id <- order(CASchools$income) lines(CASchools$income[order_id], fitted(LinearLog_model)[order_id], col = "red", lwd = 2) legend("bottomright",legend = "Linear-log line",lwd = 2,col ="red") 22
  • 23.
  • 24.
    Variation de 1% de x entraine une variation de 0,01 β1 de y 24
  • 25.
    Cas 3: xet y transformées par la fonction Log: LogLog_model <- lm(log(score) ~ log(income), data = CASchools) coeftest(LogLog_model, vcov = vcovHC, type = "HC1") 25
  • 26.
    1% variation dex est associée à 1% * b1 de y, b1 est appelée élasticité de y par rapport à x # graphique du modèle log-log: plot(log(score) ~ income, col = "steelblue", pch = 20, data = CASchools, ylab="log(Score)", xlab="Income", main = "Log-Linear Regression Function") 26
  • 27.
  • 28.
    Les logarithmes peuventêtre utilisés pour transformer la variable dépendante ou la variable indépendante X, ou les deux (la variable transformée doit être positive). 28
  • 29.
    Comparons graphiquement cubicmodel linear-log model: plot(score ~ income, data = CASchools, col = "steelblue", pch = 20, ylab="Score", xlab="Income", main = "Linear-Log and Cubic Regression Functions") 29
  • 30.
    # Ajoutons thelinear-log regression line order_id <- order(CASchools$income) lines(CASchools$income[order_id], fitted(LinearLog_model)[order_id], col = "darkgreen", lwd = 2) 30
  • 31.
    # Ajoutons cubicmodel: # lines(x = CASchools$income[order_id], y = fitted(cubic_model)[order_id], col = "red", lwd = 2) # add a legend legend("bottomright", legend = c("Linear-Log model", "Cubic model"), lwd = 2, col = c("darkgreen", "red")) 31
  • 32.
  • 33.
    Les deux droitesde régression semblent presque identiques. Dans l’ensemble, le modèle logarithmique linéaire peut être préférable pour évaluer des accroissements par exemple, le modèle logarithmique est adapté aux situations où les changements relatifs sont importants, tandis que le modèle cubique est plus flexible pour capturer des formes de courbes complexes. Le choix entre les deux dépend du contexte spécifique de votre problème et des caractéristiques des données. 33
  • 34.
    Exercice x=1:15 y=c(59, 50, 44,38, 33, 28, 23, 20, 17, 15, 13, 12, 11, 10, 9.5) Faire le plot de x et y Proposer un modèle de régression Résultats du modèle 34