Fouad Sellam
Contact : f.sellam@ina.dz
Institut National AgronomiqueInstitut National Agronomique
DDéépartement du Gpartement du Géénie Ruralnie Rural
Section Hydraulique AgricoleSection Hydraulique Agricole
Objectifs et MoyensObjectifs et Moyens
 Etablir les bases fondamentalesbases fondamentales de la
mméécanique des fluidescanique des fluides
 Illustrations à travers des applicationsapplications
pratiquespratiques par les TD et TP
GAZGAZGAZ
LIQUIDESLIQUIDESLIQUIDES
CompressibilitCompressibilitéé
DensitDensitéé
ViscositViscositéé
Pression de vapeurPression de vapeur
Tension superficielleTension superficielle
STATIQUESTATIQUESTATIQUE DYNAMIQUEDYNAMIQUEDYNAMIQUE
 0iF  0iF
Fluides au repos
Statique des fluidesStatique des fluides
Fluides en mouvement
Dynamique des fluidesDynamique des fluides
Fluide = EauFluide = Eau
HYDROHYDROSTATIQUESTATIQUE HYDROHYDRODYNAMIQUEDYNAMIQUE
PLAN SOMMAIREPLAN SOMMAIRE
 I.- INTRODUCTION
 I.1.- Le Système d’Unités SI
 I.2.- Les Propriétés des Fluides
 I.2.1.- Les Densités
 a.- Densité de masse ou ‘’ Masse Volumique ‘’ :
 b.- Poids Spécifique :
 c.- Densité Relative :
 I.2.2.- Les Viscosités
 a.- La Viscosité Dynamique
 b.- La Viscosité Cinématique
 II.- STATIQUES DES FLUIDES
 II.1.- Notion de Pression
 II.2.- Loi de Pascal
 II.3.- Equation Fondamentale de
l’Hydrostatique
 II.4.- Dispositifs de mesure de la pression
 II.5.- Forces de Pression des Fluides sur
les Surfaces
 II.2.1.- Cas des Forces de Pression exercées par
les Fluides sur des Surfaces Planes
 II.2.2.- Cas des Forces de Pression exercées par
les Fluides sur des Surfaces Courbes
 III.- DYNAMIQUE DES FLUIDES
 III.1.- Les Principes de Base
 III.1.1.- Principe de Conservation de Masse ou Equation
de Continuité
 III.1.2.- Equation Générale d’Ecoulement ou Equation de
Bernoulli
 III.1.3.- Les Régimes d’Ecoulement : Le Nombre de
Reynolds
 III.2.- Les Pertes de Charge
 III.2.1.- Les Pertes de Charge Linéaires ou Réparties
 III.2.2.- Les Pertes de Charge Locales ou Singulières
 III.4.- Branchements de Conduites
 III.4.1.- Conduite à Section Constante ( Conduite simple )
 III.4.2.- Conduites à Section variable ( Conduites
multiples )
SUPPORTS BIBLIOGRAPHIQUESSSUPPORTSUPPORTS BBIBLIOGRAPHIQUESIBLIOGRAPHIQUES
 Polycopiés d’Hydraulique Générale et Appliquée .
Tome 1 et 2 . I. Naoumenko
 Hydraulique générale .
Carlier
 Polycopiés ‘’ Exercices d’Hydraulique générale avec corrigés ‘’ .
Tome 1-2 . F. Sellam
 Handbook of applied Hydraulics .
Davis et Sorensen
 http://www.ead.univ.angers.fr/~chaussed/
 http://www.nottingham.ac.uk/~eazksim/fluids1/index.html
• 1.- Hydrostatique :
- Calcul des Pressions à l’aide des manomètres
- Calcul des Forces de pression hydrostatiques
sur les parois planes et courbes
• 2.- Hydrodynamique :
- Equation de Bernoulli et de Continuité
- Branchement de conduites
• 1.- Hydrostatique :
- Centre de pression hydrostatique
• 2.- Hydrodynamique :
- Ecoulement à travers les orifices et ajutages
- Le Débimètre de Venturi
 APPLICATIONS :
 Hydrologie des cours d’eau
 Systèmes de distribution d’eau
 Constructions des barrages et autres ouvrages
hydrauliques
 Irrigation et Drainage
 Stations de pompage d’eau ( pompes et turbines
hydrauliques )
 Hydraulique souterraine ( écoulements des nappes d’eau
souterraines et forages d’eau )
TsSecondeTemps
MkgKilogrammeMasse
LmMètreLongueur
DimensionSymboleNom de L’UnitéGrandeur de Base
I.1.- Le Système d’Unités SI
ML-1T-1Kg/m/s , N.s/m2 , kg.m-1.s-1Viscosité
ML-2T-2Kg/m2/s2 , N/m3 , kg.m-2.s-2Poids Spécifique
ML-3Kg/m3 , kg.m-3Masse Spécifique
ML-1T-2Kg/m/s2 , N/m2 , Pa (Pascal) , kg.m-1.s-2Pression
ML2T-3Kg.m2/s3 , N.m/s , W (Watt) , kg.m2.s-3Puissance
ML2T-2Kg.m2./s2 , N.m , J (Joule) , kg.m2.s-2Energie
MLT-2Kg.m/s2 , N (Newton) , kg.m.s-2Force
LT-2m/s2 , m.s-2Accélération
LT-1m/s , m.s-1Vitesse
DimensionUnité SICaractéristique
I.2.- Les Propriétés des Fluides
I.2.1.- Les Densités
V
M

• Eau : ρw = 1000 kg/m3
• Mercure : ρHg = 13546 kg/m3
Valeurs Particulières :
Unités Dimensions
kg
m3
ML-3
3
m
Kg
b.- Poids Spécifique :
V
Mg
V
W

Valeurs Particulières :
• Eau : γw = 9,814 x 1000 = 9814 N/m3
• Mercure : γHg = 9,814 x 13546 = 132940 N/m3
g 
3
m
Kg
Unités 2
s
m )(NewtonN 3
m
N
x
Dimensions ML-2T-2
c.- Densité Relative :


D Adimensionnel ( sans unité )
• Eau : Dw = 1
• Mercure : DHg = 13,6
Valeurs Particulières :
Unité
3
3
.
.


mKg
mKg
I.2.2.- Les Viscosités
La viscosité µ est une propriété d’un fluide due à la cohésion et à l’interaction entre les
molécules qui présentent une résistance aux déformations .
Tous les fluides sont visqueux et obéissent à la loi de viscosité établie par Newton :
dy
du
 
 : Contrainte de déformation tangentielle
dy
du
: Gradient de vitesse d’écoulement
 : Viscosité dynamique
a.- La Viscosité Dynamique
112
....
tan

 smkgmsN
Surface
sForcexTemp
ceDis
Vitesse
Surface
Force
dy
dudy
du 

Remarque :  est généralement exprimée en Poise (Po) : 10 Po = 1 kg.m-1.s-1
Valeurs Particulières :
• Eau : µw = 1,14 x 10-3 kg.m-1.s-1
• Mercure : µHg = 1,552 kg.m-1.s-1
b.- La Viscosité Cinématique


 
Unité : m2/s Dimension : L2T-1
Remarque :
 est généralement exprimée en Stokes (St) : 104 St = 1m2.s-1
Valeurs Particulières : • Eau : υw = 1,14 x 10-6 m2.s-1
• Mercure : υHg = 1,145 x 10-4 m2.s-1
)( cTf 
0,296100
0,47760
0,55650
0,66140
0,72435
0,80430
0,89725
1,01020
1,14015
1,31010
1,5205
1,7900
υeau , m2/s ( x 10-6)Température , °C
V
M

g 


D
dy
du

 


  smx /1014,1 26

113
1014,1 
 sKgmx
1D
3
/9814 mN
3
/1000 mKg
II.1.- Notion de Pression
Surface
Force
S
F
P 
Unité : N/m2 ou kg.m-1.s-2 Dimension : ML-1T-2
Remarque : La pression peut aussi s’exprimer en :
Pascal ( Pa ) : 1 Pa = 1 N/m2
Bar ( Bar ) : 1 Bar = 105 N/m2
A
B
E D
C
F
s
y
z
x

xP
sP
yP
II.2.- Loi de Pascal : Pression en un point d’un fluide
BlaiseBlaise Pascal (1623Pascal (1623--1662)1662)
Considérons un élément d’un fluide ABCDEF
( prisme triangulaire ) et soient Px , Py et
Ps les pressions dans les 3 directions x , y
et s :
Etablissons la relation entre Px , Py et Ps !
* Selon l’axe des x :
- Force due à Px : zyPABFEPF xxxx .).( 
- Force due à Py : 0yxF
- Composante due à Ps :
s
y
zsPABCDPF sssx


 .)sin..( 
car s
y


 sin
donc : zyPF ssx .
et puisque le fluide est en équilibre : 0FFF sxyxxx 
d’où : 0zy.P-zy.P sx 
et donc : sx PP 
* Selon l’axe des y:
- Force due à Px : 0xyF
- Force due à Py :
- Composante due à Ps :
s
x
zsPABCDPF sssy


 .)cos..( 
car s
x


 cos
donc : zxPF ssy .
et puisque le fluide est en équilibre : 0FFF syxyyy 
d’où : 0zx.P-zx.P sy 
et donc : sy PP 
zxPCDEFPF yyyy .).( 
sx PP 
sy PP 
syx PPP 
La pression d’un fluide en un point
est la même dans toutes les directions
Densité ρ
Surface A
P1
P2
Poids W
h
Z1
Z2
Plan de Référence
Positif
II.3.- Equation Fondamentale de l’Hydrostatique
Problème :
Exprimer la variation de
Pression P1 – P2
Densité ρ Surface A
P1
P2
Poids W
h
Z1
Z2
Plan de Référence
Positif
 
n
iF
1
0
APF
A
F
P 22
2
2 
VgMgW 
1.- Force due à la pression P1 :
2.- Force due à la pression P2 :
3.- Poids du fluide :
APF
A
F
P 11
1
1 
V
M

021  WFF   01221  gZZAAPAP 
Volume de fluide :  12 ZZAAhV 
 gZZAW 12  
  ghZZgPP   1221
2
2
1
1
2211 Z
g
P
Z
g
P
gZPgZP 


ste
C
g
P
Z 

22111221 )( gZPgZPZZgPP  
Sur un même plan horizontal ( axe de référence OO’ ) ,
le terme Z+P/ρg reste constant
En posant Z2-Z1 = h et P2 = P0 , On aura :
ghPP  01
Et si P0 = 0 : ghP 1
La pression augmente donc linéairement en fonction
de la profondeur
0021  APAP
( car la composante du poids W selon l’horizontale est nulle )
Densité ρ
Surface A
P1
P2
W
Positif
Sur un même plan horizontal , toutes les pressions sont égales
( Pressions Isobares )
21 PP 
M
h
Po
Au point M , la pression est égale à : ghPP oM 
A la surface libre du fluide , la pression est généralement représentée par la
pression atmosphérique Patm , d’où :
ghPP atmM  : Pression Absolue
Et si l’on néglige l’influence de la pression atmosphérique ( Patm = 0 ) :
ghPM  : Pression Effective
On a vu que :
ste
C
g
P
Z 

avec :
 LZ : hauteur de position ou côte géométrique
 L
g
P

: Hauteur piézométrique
 L
g
P
Z

 : Hauteur ou charge totale
Dans certains cas , la pression absolue est inférieure à la pression atmosphérique :
atmatmM PghPP  
Il se crée alors une dépression dont la hauteur correspondante ,
appelée ‘’ Hauteur du Vide ‘’ , est égale à :
g
PP
h absatm
vide



On a vu que :
p
ste
EC
g
P
Z 

Si l’on multiplie les 2 termes de cette équation par le poids élémentaire mg ,
on aura :
 NmmgZ : Energie potentielle de position
 Nm
g
P
mg

: Energie potentielle de pression
 NmmgEp : Energie potentielle totale
Tube en UTube en U
Le dispositif utilisé dépend de l’importance des pressions à mesurer .
Il existe 2 types de dispositifs de mesure des pressions :
II.4.- Dispositifs de mesure de la pression
- Les manomètres mécaniques : utilisés pour la mesure de pressions
relativement plus élevées ( 1 à 2 Kg/cm2 )
- Les tubes manométriques : utilisés pour la mesure de pressions
relativement faibles ( … en laboratoires )
Tube VerticalTube Vertical Tube InclinTube Inclinéé
A
B
h1
h2
Densité ρ
∙ Mesure des pressions par les tubes manométriques :
1ghPA 
2ghPB 
- PA et PB : Pressions Manométriques
- h1 et h2 : Hauteurs Manométriques
C’est un dispositif utilisé uniquement pour la mesure des
pressions des Liquides et non les gaz
Manomètre
A
Densité ρ
Densité ρm
Patm
B C
E
h1
h2
- Le tube manométrique en forme de ‘’ ⋃ ‘’ :
D’après la loi de l’hydrostatique , on peut écrire que :
CB PP 
A
Densité ρ
Densité ρm
Patm
B C
E
h1
h2
 Partie Gauche : 1ghPP AB 
22 ghPghPP matmmEC   Partie Droite :
Et si on ne tient pas compte de Patm : 2ghP mC 
Conclusion :
CB PP  21 ghghP mA  
12 ghghP mA  Et finalement :
Remarque :
- Si le fluide de densité ρ est un gaz , sa densité est négligeable
devant celle du liquide manométrique :
2ghP mAm  







 12 hhgP
m
mA



0
Densité ρ
Densité ρm
A
B
E
F
C
h1
h
h2
- Mesure de la différence de pression par un manomètre en U :
Problème :
Calcul de la différence de
pression PA–PB
On peut écrire que :
EC PP 
A
B
E
F
C
h1
h
h2
 Branche de Gauche :
1ghPP AC 
ghhhgPP mBE   )( 2
EC PP 
 Branche de Droite :
et comme
ghhhgPghP mBA   )( 21
ghhhgPP mBA )()( 12  Et donc :
et si le fluide est un gaz ( ρm >> ρ ) : ghPP mBA 
- Manomètre à Eau et manomètre à Mercure :
Les manomètres à eau sont utilisés pour mesurer des pressions
relativement faibles car leur utilisation pour les fortes pressions
conduirait à l’élaboration de tubes de dimensions trop
exagérées. C’est pour cela, et compte tenu de sa densité élevée ,
que l’on préfère utiliser du Mercure comme liquide
manométrique .
Illustration :
Quelle serait la hauteur manométrique nécessaire pour mesurer
une pression P = 120 KN/m2 :
a.- Dans le cas d’un manomètre à eau
b.- Dans le cas d’un manomètre à Mercure
* Cas de l’Eau : !23,12
10814,9
10120
3
3
m
x
x
g
P
hghP
w
w 


* Cas du Mercure : !9,0
13546814,9
10120 3
m
x
x
g
P
hghP
Hg
Hg 


H
Densité ρ
h
ghP 
gHP 
0P
H
Densité ρ
h
ghP 
gHP 
gyP 
y
Surface non immergée Surface immergée
Il s’agit de tracer le graphique d’évolution de la pression sur une surface en tenant
compte du fait que la pression varie linéairement avec la profondeur selon la loi
ghP 
Surface
Force
S
F
P  )(/ 2
PamN
4P
3P
2P
1P
4321 PPPP 
atmP
h

A
ghPP atmA 
ghP A 
Pression Absolue
Pression Effective
hP1 P2 P3 P4

ghPPPP  4321
La pression dans un fluide ne dépend
que de la profondeur
et pas de la forme du récipient.
A
1
2
DC
B
BA PP 
DC PP 
ste
C
g
P
Z
g
P
Z 

2
2
1
1
1 1
2 2
P1
P2
Z1
Z2
Axe de référence
11
y = 1,6 m
Δh = 0,6 m
22 33
44
Eau ( densité ρw = 103 Kg/m3 )
Mercure ( densité ρm = 13546 Kg/m3 )
Patm = 0
Calculer la Pression P1
Rappel : règle à suivre
1.- Ecrire lEcrire l’é’équation de base du systquation de base du systèèmeme
gyPP  12
32 PP 
43 hgPhgP mm  
2.- Diviser le systDiviser le systèème en branches :me en branches :
Branche droite :Branche droite : Branche gauche :Branche gauche :
04  atmPP
4.- RevenirRevenir àà ll’é’équation de base :quation de base :
hggyPPP m  132  yhggyhgP mm   1
  kPamKNmNxxP 64/64/640626,110006,013546814,9:A.N. 22
1 
3.- Exprimer les pressions par brancheExprimer les pressions par branche
Selon la loi de la statique des fluides , on peut écrire que :
ρ3 = 8040 Kg/m3
ρ1 = 8810 Kg/m3
A B
h1
h2
h3
h4
h5
ρ2 = 13550 Kg/m3
ρ5 = 1230 Kg/m3
ρ4 = 1000 Kg/m3
1 2
3 4
5 6
h1=20 cm ; h2=8 cm ; h3=40 cm ; h4=14 cm ; h5=9 cm
43.2 PP 21.1 PP 
Problème :
Calculer PA-PB
65.3 PP 
APghP  111    3233222 PhhgghP  
A B
h1
h2
h3
h4
h5
1 2
3 4
5 6
h3-h2
 
  31123322
32332211
PghhhgghP
PhhgghghP
A
A




A B
h1
h2
h3
h4
h5
1 2
3 4
5 6
BPghghP  55446 4345 PghP  
4554434
3445544
PghghghP
ghPPghgh
B
B




455434 )( PghhhgPB  
 
455434
31123322
)( PghhhgP
PghhhgghP
B
A



Nous avons donc :
d’où :   45543431123322 )( PghhhgPghhhgghPP BA  
et comme 43 PP  On aura donc :
  554341123322 )( ghhhgghhhgghPP BA  
Application numérique :
Uniformisation unités : h1=0,20m ; h2=0,08m ; h3=0,40m ; h4=0,14m ; h5=0,09m
    115544343232 hhhhhgPP BA  ou bien
    2,0881009,0123014,010004,01000804008,0804013550814,9 xxxxxxPP BA 
Ce qui donne :
kPamKNmNPP BA 1,17/1,17/17130 22 
Surface
Force
S
F
P  F = P x SF = P x S
Surface Plane Surface Courbe
A
Eau
h
F
B
A
Eau
h
F
B
CasCas des surfacesdes surfaces immergimmergééeses inclininclinééeses

dFhhc
dy
dA
y
O
x
hi
yi
y
yc
sinyh 
Problème : Exprimer la Force de pression résultante F agissant sur la surface AB ainsi
que la profondeur de son centre d’application .
A
B
Surface du liquide de densité ρ
C
0atmP
ghdAPdAdF    
ABAB AB
hdAgghdAdFF 

AB
ydAgFyh  sinsin ‘’ Moment Statique ‘’ de la
surface AB par rapport à Ox
AyydA c
AB

 Ordonnée du centre de
gravité de la surface AB
AgyAygF cc  sinsin 
AghF c
AghF cwEau (ρ = ρω )
hc : Profondeur du centre
de gravité de AB
C
hC
h

y
y
Cy x
D
F
Pour déterminer hD , la profondeur du point d’application de la force résultante F , il
suffit d’utiliser le principe des moments : ‘’ Le moment , par rapport au point O , de la
force résultante est égal à la somme des moments élémentaires ‘’ :

AB
io F
avec :
AygyAyghyFF cDDcDo .sin.  
et   
AB ABABABAB
i dAygdAgydAgyyydF 22
sinsinsin. 
??
Point d’application
Centre de gravité
Dh
Dy
le terme AB
dAy2
oxCD IgAygy .sin.sin  
Et donc :
Ay
I
y
c
ox
D 
représente le ‘’ Moment d’Inertie ‘’ de la surface AB par rapport à l’axe Ox = Iox
AygyF cDo .sin

AB
io F
On aura donc :  
AB
OXi Ig .sin
et
Remarque : Utilisation du théorème de Huygens : AyII cccox
2

avec Icc : Moment d’inertie de la surface AB par rapport à un axe passant par son centre de gravité C .
Ay
I
y
Ay
AyI
y
c
cc
c
c
ccc
D 


2
ou bien selon la verticale
'
'
Ah
I
hh
c
cc
cD 
La formule précédente devient alors :
avec : - A’ : Projection verticale de la surface AB
- I’
cc : Moment d’inertie de la surface A’ par rapport à l’axe passant par son
centre de gravité .
et
Conclusion : Le point d’application de la résultante F se trouve toujours plus bas que le centre de
gravité d’une distance égale à :
'
'
Ah
I
hhh
c
cc
CD 
36
2
3
bh
I
bh
A
cc 

cc
h
3
2
h
TriangleTriangle
b
12
3
bh
I
bhA
cc 

cc
2
h
h
RectangleRectangle
b
644
4
44
2
2
Dr
I
D
rA
cc




cc
r
D
CercleCercle
r
1288
82
44
22
Dr
I
Dr
A
cc



c
c
r r

r
3
4Demi CercleDemi Cercle
4
4
ba
I
abA
cc




cc
a
b
EllipseEllipse
SURFACE ET MOMENT DSURFACE ET MOMENT D’’INERTIE DE QUELQUES FIGURES PARTICULIERESINERTIE DE QUELQUES FIGURES PARTICULIERES
CasCas des surfacesdes surfaces immergimmergééeses verticalesverticales
1sin90  
AghF c
0atmP
dF
hhc
dy
dA
hi
A
B
Surface du liquide de densité ρ
C
D
hD
F
Même raisonnement que pour la surface
Inclinée mais avec :
Ah
I
hh
c
cc
cD 
hc
A
B
C
D
hD
F
H
Cas des surfaces partiellement immergées
AghF c
Attention !!!
Seule la surface
‘’mouillée’’ est
prise en compte
F h
A
B
Liquide
de densité
ρ
C
hc
Surface immergée horizontale
1.- Force F : AghF c hhc  ghAF 
2.- Profondeur du point d’application :
hhh cD 
Surface A
avec
Cas particulier
des Surfaces
immergées
horizontales
dF
xdF
dA
H
A
B
z
x
h
zdF
zdA
xdA
dF
xdF
zdF


sindFdFx 
cosdFdFz 
dF
Composante horizontale
Composante verticale
1.- Composante horizontale
zx ghdAghdAdFdF   sinsin. car
zdAdA sin
d’où :    zc
Az
zHx AghhdAgFdF 
zcH AghF 
avec : Az : Projection verticale de la surface courbe AB
hc : Profondeur du centre de gravité de Az
CONCLUSION :
Le calcul de la composante horizontale FH est ramené au calcul
d’une force de pression sur une surface plane verticale .
2.- Composante verticale
xz ghdAghdAdFdF   coscos. car xdAdA cos
d’où : gWdWghdAgFdF
WAx
xvz   
 gWFv 
Avec W : Volume délimité par :
♦ La surface libre du fluide
♦ Les 2 verticales menées des 2 extrémités A et B de la surface .
♦ La surface courbe AB
W
B
A
CONCLUSION : Le calcul de la composante verticale FV se résume donc
au calcul du Poids du fluide représenté par le volume déplacé par la surface AB .
Le calcul des 2 composantes FH et FV permet ensuite de déterminer la résultante F par
l’expression :
22
VH FFF 
♦ Position du point d’application de la Force de Pression :
Le point d’application de la résultante F est obtenu si l’on connaît les composantes
FH et FV .
Dans le cas général , il faudra établir l’équation de la courbe AB et celle du segment
représentant la force F ( équation d’une droite ) en tenant compte que l’angle
d’inclinaison de la force résultante F par rapport à l’horizontale est obtenu par la
formule suivante :
H
v
F
F
arctg
AA
BB
Surface A
AA
BB
AghF c
Ah
I
hh
c
cc
cD 
F D
hD
C
hC
AA
BB

F
D
hD
C
hC
y
c F
C
hC
D
hD
sincc yh 
Surface A
Surface A
Ay
I
yy
c
cc
cD  Et puis sinDD yh 
AghF cH 
gWFv 
22
VH FFF 
A
B
F
FH
FV
Projection verticale
FH
A’
B’
C
hc
D
hD
Surface plane !
A
B
1.- Surface libre du liquide
2.- La surface courbe AB
3.- Les 2 verticales passant par les 2 extrémités de la surface courbe AB
Règle de délimitation
W
h
W W
W
1.- Surface libre du liquide
2.- La surface courbe AB
3.- Les 2 verticales passant par les 2
extrémités de la surface courbe AB
h=1m
a=2m
b=3m
Le schéma montre une vanne AB rectangulaire retenant un niveau d’eau et
immergée à une profondeur h . Calculer la force de pression exercée par l’eau
sur cette vanne ainsi que la profondeur hD de son point d’application
- Calcul de la force F : AghF cw
F
hc
C
2
b
h
b
hc  sin
2
30
abA 
abh
b
gF 





  sin
2
Application numérique
KNNxxF 5,515150232130sin
2
3
814,910 3







D
hD
my 3 mb 3
mh 2
F
hD hC
A
B
C
D
3
h
La vanne AB est de forme d’un triangle isocèle de base b=3m et de hauteur h=2m .
On demande de calculer la force de pression F exercée sur cette vanne ainsi que la
profondeur hDde son centre de poussée .
1.- Force de pression : AghF cw
m
h
yhc 7,3
3
2
3
3

2
3
2
2.3
2
m
bh
A 
KNNAghF cw 1091089353.7,3.814,9.103
 
Application numérique :
2.- Profondeur du centre de pression :
Ah
I
hh
c
CC
cD 
36
3
bh
ICC 
m
xh
h
h
bh
h
bh
h
Ah
I
hh
c
c
c
c
c
CC
cD 76,3
7,318
2
7,3
18
2
36
223

Moment d’inertie d’une surface triangulaire par rapport à un axe passant par son
centre de gravité :
D’où :
Données : H1 = 10 m ; H2 = 8 m ; y = 1 m ; a = 2 m ; b = 4 m
H1
H2
y a
b
AA
BB
H1
H2
y
F1
F2
21 FFFR 
H1
H2
y
F1
C1
hc1
2
1 842 mxaxbA 
2
b
my
b
hc 31
2
4
21

11 1
AghF c
b
aby
b
gF 






2
1 
kNF 2351 
a
H1
H2
y
C2
22 2
AghF c
    2
122 6411082 mxbyHHaA 
m
byHH
hc 5.1
2
41108
2
12
1





F2
b
byH 1
byHH  12 b’
2
'
2
b
hc  ?'b
a
 abyHH
byHH
gF 




 
 12
12
2
2

kNF 882 
kNFFFR 1478823521 
33
ω Kg/m10ρ:Eau 
h = 3m
R
Une vanne radiale est localisée à la base d’un mur vertical . La largeur de la vanne est
L = 5m et son rayon R = 4m . Déterminer la force résultante exercée sur cette vanne
L
R
R
FF
FH
FV
22
VH FFF 
ch
h = 3m
RC
a.- Calcul de la composante horizontale FH :
 RLh
R
gAghF cH 






2
 
h = 3m
R
Projection verticaleR
L
R
L
2
R
AghF cH 
2
2054 mxRLA 
mh
R
h c 53
2
4
2

Projection verticale
KNNFH 4,981981400 
b.- Calcul de la composante verticale :
- Détermination du volume W :
h
R
R
W1
W2 21 WWW 
RhLW 1
L
R
W
4
2
2


  )
4
(
2
21 L
R
RhLgWWggWFV

  
gWFV 
1.- Surface libre du liquide
2.- La surface courbe
3.- Les verticales des 2 extrémités de la surface courbe
W
RL
R
hgFV )
4
(

 kNNFV 12051205159 
c.- Calcul de la force résultante F :
22
VHR FFF 
kNFV 1205
kNFH 4.981
KNFR 155412054.981 22

Calculer la force de pression hydrostatique
exercée par l’eau du barrage sur la vanne
segment de rayon r et de largeur b = 5 m
mH 20
mr 20
vanne
barrage
 60
F
HF
VF
22
VH FFF 
HF
c H
2
H
hc 
AghF cH 
2
H
h
bHA
c 

b
H
gF
Hb
H
gF
H
H
2
2
2







kN
NA
9814F
98140005
2
20
9,81410F:.N.
H
2
3
H


?F.1 H
mH 20
mr 20
 60
W1
?F.2 V gWFV 
WW W2
21 WWW 
H
r
r
α/2
2
cos
2
1
2
2
cos
2
22


rbHW
b
rH
bSW




α 360°
360
360
360
2
1
11
2
1
1
2




br
W
bSW
r
S
S
rS














2
cos
1802
1
2
cos
2
1
360
2
21

H
r
rbrbH
br
W
WWW







2
cos
1802
1 
 H
r
grbFV
kNFV
Nx
xx
xxx
NA
1773
177281330cos20
180
602014,3
5209814
2
1
FV
:..








22
VH FFF 
kNF 997217739814 22

Cours hydrostatique tc3_v2008

Cours hydrostatique tc3_v2008

  • 1.
    Fouad Sellam Contact :f.sellam@ina.dz Institut National AgronomiqueInstitut National Agronomique DDéépartement du Gpartement du Géénie Ruralnie Rural Section Hydraulique AgricoleSection Hydraulique Agricole
  • 2.
    Objectifs et MoyensObjectifset Moyens  Etablir les bases fondamentalesbases fondamentales de la mméécanique des fluidescanique des fluides  Illustrations à travers des applicationsapplications pratiquespratiques par les TD et TP
  • 3.
    GAZGAZGAZ LIQUIDESLIQUIDESLIQUIDES CompressibilitCompressibilitéé DensitDensitéé ViscositViscositéé Pression de vapeurPressionde vapeur Tension superficielleTension superficielle STATIQUESTATIQUESTATIQUE DYNAMIQUEDYNAMIQUEDYNAMIQUE  0iF  0iF Fluides au repos Statique des fluidesStatique des fluides Fluides en mouvement Dynamique des fluidesDynamique des fluides Fluide = EauFluide = Eau HYDROHYDROSTATIQUESTATIQUE HYDROHYDRODYNAMIQUEDYNAMIQUE
  • 4.
    PLAN SOMMAIREPLAN SOMMAIRE I.- INTRODUCTION  I.1.- Le Système d’Unités SI  I.2.- Les Propriétés des Fluides  I.2.1.- Les Densités  a.- Densité de masse ou ‘’ Masse Volumique ‘’ :  b.- Poids Spécifique :  c.- Densité Relative :  I.2.2.- Les Viscosités  a.- La Viscosité Dynamique  b.- La Viscosité Cinématique
  • 5.
     II.- STATIQUESDES FLUIDES  II.1.- Notion de Pression  II.2.- Loi de Pascal  II.3.- Equation Fondamentale de l’Hydrostatique  II.4.- Dispositifs de mesure de la pression  II.5.- Forces de Pression des Fluides sur les Surfaces  II.2.1.- Cas des Forces de Pression exercées par les Fluides sur des Surfaces Planes  II.2.2.- Cas des Forces de Pression exercées par les Fluides sur des Surfaces Courbes
  • 6.
     III.- DYNAMIQUEDES FLUIDES  III.1.- Les Principes de Base  III.1.1.- Principe de Conservation de Masse ou Equation de Continuité  III.1.2.- Equation Générale d’Ecoulement ou Equation de Bernoulli  III.1.3.- Les Régimes d’Ecoulement : Le Nombre de Reynolds  III.2.- Les Pertes de Charge  III.2.1.- Les Pertes de Charge Linéaires ou Réparties  III.2.2.- Les Pertes de Charge Locales ou Singulières  III.4.- Branchements de Conduites  III.4.1.- Conduite à Section Constante ( Conduite simple )  III.4.2.- Conduites à Section variable ( Conduites multiples )
  • 7.
    SUPPORTS BIBLIOGRAPHIQUESSSUPPORTSUPPORTS BBIBLIOGRAPHIQUESIBLIOGRAPHIQUES Polycopiés d’Hydraulique Générale et Appliquée . Tome 1 et 2 . I. Naoumenko  Hydraulique générale . Carlier  Polycopiés ‘’ Exercices d’Hydraulique générale avec corrigés ‘’ . Tome 1-2 . F. Sellam  Handbook of applied Hydraulics . Davis et Sorensen  http://www.ead.univ.angers.fr/~chaussed/  http://www.nottingham.ac.uk/~eazksim/fluids1/index.html
  • 8.
    • 1.- Hydrostatique: - Calcul des Pressions à l’aide des manomètres - Calcul des Forces de pression hydrostatiques sur les parois planes et courbes • 2.- Hydrodynamique : - Equation de Bernoulli et de Continuité - Branchement de conduites
  • 9.
    • 1.- Hydrostatique: - Centre de pression hydrostatique • 2.- Hydrodynamique : - Ecoulement à travers les orifices et ajutages - Le Débimètre de Venturi
  • 10.
     APPLICATIONS : Hydrologie des cours d’eau  Systèmes de distribution d’eau  Constructions des barrages et autres ouvrages hydrauliques  Irrigation et Drainage  Stations de pompage d’eau ( pompes et turbines hydrauliques )  Hydraulique souterraine ( écoulements des nappes d’eau souterraines et forages d’eau )
  • 12.
  • 13.
    ML-1T-1Kg/m/s , N.s/m2, kg.m-1.s-1Viscosité ML-2T-2Kg/m2/s2 , N/m3 , kg.m-2.s-2Poids Spécifique ML-3Kg/m3 , kg.m-3Masse Spécifique ML-1T-2Kg/m/s2 , N/m2 , Pa (Pascal) , kg.m-1.s-2Pression ML2T-3Kg.m2/s3 , N.m/s , W (Watt) , kg.m2.s-3Puissance ML2T-2Kg.m2./s2 , N.m , J (Joule) , kg.m2.s-2Energie MLT-2Kg.m/s2 , N (Newton) , kg.m.s-2Force LT-2m/s2 , m.s-2Accélération LT-1m/s , m.s-1Vitesse DimensionUnité SICaractéristique
  • 14.
    I.2.- Les Propriétésdes Fluides I.2.1.- Les Densités V M  • Eau : ρw = 1000 kg/m3 • Mercure : ρHg = 13546 kg/m3 Valeurs Particulières : Unités Dimensions kg m3 ML-3 3 m Kg
  • 15.
    b.- Poids Spécifique: V Mg V W  Valeurs Particulières : • Eau : γw = 9,814 x 1000 = 9814 N/m3 • Mercure : γHg = 9,814 x 13546 = 132940 N/m3 g  3 m Kg Unités 2 s m )(NewtonN 3 m N x Dimensions ML-2T-2
  • 16.
    c.- Densité Relative:   D Adimensionnel ( sans unité ) • Eau : Dw = 1 • Mercure : DHg = 13,6 Valeurs Particulières : Unité 3 3 . .   mKg mKg
  • 17.
    I.2.2.- Les Viscosités Laviscosité µ est une propriété d’un fluide due à la cohésion et à l’interaction entre les molécules qui présentent une résistance aux déformations . Tous les fluides sont visqueux et obéissent à la loi de viscosité établie par Newton : dy du    : Contrainte de déformation tangentielle dy du : Gradient de vitesse d’écoulement  : Viscosité dynamique
  • 18.
    a.- La ViscositéDynamique 112 .... tan   smkgmsN Surface sForcexTemp ceDis Vitesse Surface Force dy dudy du   Remarque :  est généralement exprimée en Poise (Po) : 10 Po = 1 kg.m-1.s-1 Valeurs Particulières : • Eau : µw = 1,14 x 10-3 kg.m-1.s-1 • Mercure : µHg = 1,552 kg.m-1.s-1
  • 19.
    b.- La ViscositéCinématique     Unité : m2/s Dimension : L2T-1 Remarque :  est généralement exprimée en Stokes (St) : 104 St = 1m2.s-1 Valeurs Particulières : • Eau : υw = 1,14 x 10-6 m2.s-1 • Mercure : υHg = 1,145 x 10-4 m2.s-1
  • 20.
  • 21.
    V M  g    D dy du       smx /1014,1 26  113 1014,1   sKgmx 1D 3 /9814 mN 3 /1000 mKg
  • 23.
    II.1.- Notion dePression Surface Force S F P  Unité : N/m2 ou kg.m-1.s-2 Dimension : ML-1T-2 Remarque : La pression peut aussi s’exprimer en : Pascal ( Pa ) : 1 Pa = 1 N/m2 Bar ( Bar ) : 1 Bar = 105 N/m2
  • 24.
    A B E D C F s y z x  xP sP yP II.2.- Loide Pascal : Pression en un point d’un fluide BlaiseBlaise Pascal (1623Pascal (1623--1662)1662) Considérons un élément d’un fluide ABCDEF ( prisme triangulaire ) et soient Px , Py et Ps les pressions dans les 3 directions x , y et s : Etablissons la relation entre Px , Py et Ps !
  • 25.
    * Selon l’axedes x : - Force due à Px : zyPABFEPF xxxx .).(  - Force due à Py : 0yxF - Composante due à Ps : s y zsPABCDPF sssx    .)sin..(  car s y    sin donc : zyPF ssx . et puisque le fluide est en équilibre : 0FFF sxyxxx  d’où : 0zy.P-zy.P sx  et donc : sx PP 
  • 26.
    * Selon l’axedes y: - Force due à Px : 0xyF - Force due à Py : - Composante due à Ps : s x zsPABCDPF sssy    .)cos..(  car s x    cos donc : zxPF ssy . et puisque le fluide est en équilibre : 0FFF syxyyy  d’où : 0zx.P-zx.P sy  et donc : sy PP  zxPCDEFPF yyyy .).( 
  • 27.
    sx PP  syPP  syx PPP  La pression d’un fluide en un point est la même dans toutes les directions
  • 28.
    Densité ρ Surface A P1 P2 PoidsW h Z1 Z2 Plan de Référence Positif II.3.- Equation Fondamentale de l’Hydrostatique Problème : Exprimer la variation de Pression P1 – P2
  • 29.
    Densité ρ SurfaceA P1 P2 Poids W h Z1 Z2 Plan de Référence Positif   n iF 1 0 APF A F P 22 2 2  VgMgW  1.- Force due à la pression P1 : 2.- Force due à la pression P2 : 3.- Poids du fluide : APF A F P 11 1 1  V M  021  WFF   01221  gZZAAPAP  Volume de fluide :  12 ZZAAhV   gZZAW 12     ghZZgPP   1221
  • 30.
    2 2 1 1 2211 Z g P Z g P gZPgZP    ste C g P Z  22111221 )( gZPgZPZZgPP   Sur un même plan horizontal ( axe de référence OO’ ) , le terme Z+P/ρg reste constant
  • 31.
    En posant Z2-Z1= h et P2 = P0 , On aura : ghPP  01 Et si P0 = 0 : ghP 1 La pression augmente donc linéairement en fonction de la profondeur
  • 32.
    0021  APAP (car la composante du poids W selon l’horizontale est nulle ) Densité ρ Surface A P1 P2 W Positif Sur un même plan horizontal , toutes les pressions sont égales ( Pressions Isobares ) 21 PP 
  • 33.
    M h Po Au point M, la pression est égale à : ghPP oM  A la surface libre du fluide , la pression est généralement représentée par la pression atmosphérique Patm , d’où : ghPP atmM  : Pression Absolue Et si l’on néglige l’influence de la pression atmosphérique ( Patm = 0 ) : ghPM  : Pression Effective
  • 34.
    On a vuque : ste C g P Z   avec :  LZ : hauteur de position ou côte géométrique  L g P  : Hauteur piézométrique  L g P Z   : Hauteur ou charge totale
  • 35.
    Dans certains cas, la pression absolue est inférieure à la pression atmosphérique : atmatmM PghPP   Il se crée alors une dépression dont la hauteur correspondante , appelée ‘’ Hauteur du Vide ‘’ , est égale à : g PP h absatm vide   
  • 36.
    On a vuque : p ste EC g P Z   Si l’on multiplie les 2 termes de cette équation par le poids élémentaire mg , on aura :  NmmgZ : Energie potentielle de position  Nm g P mg  : Energie potentielle de pression  NmmgEp : Energie potentielle totale
  • 37.
    Tube en UTubeen U Le dispositif utilisé dépend de l’importance des pressions à mesurer . Il existe 2 types de dispositifs de mesure des pressions : II.4.- Dispositifs de mesure de la pression - Les manomètres mécaniques : utilisés pour la mesure de pressions relativement plus élevées ( 1 à 2 Kg/cm2 ) - Les tubes manométriques : utilisés pour la mesure de pressions relativement faibles ( … en laboratoires ) Tube VerticalTube Vertical Tube InclinTube Inclinéé
  • 38.
    A B h1 h2 Densité ρ ∙ Mesuredes pressions par les tubes manométriques : 1ghPA  2ghPB  - PA et PB : Pressions Manométriques - h1 et h2 : Hauteurs Manométriques C’est un dispositif utilisé uniquement pour la mesure des pressions des Liquides et non les gaz Manomètre
  • 39.
    A Densité ρ Densité ρm Patm BC E h1 h2 - Le tube manométrique en forme de ‘’ ⋃ ‘’ : D’après la loi de l’hydrostatique , on peut écrire que : CB PP 
  • 40.
    A Densité ρ Densité ρm Patm BC E h1 h2  Partie Gauche : 1ghPP AB  22 ghPghPP matmmEC   Partie Droite : Et si on ne tient pas compte de Patm : 2ghP mC 
  • 41.
    Conclusion : CB PP 21 ghghP mA   12 ghghP mA  Et finalement : Remarque : - Si le fluide de densité ρ est un gaz , sa densité est négligeable devant celle du liquide manométrique : 2ghP mAm           12 hhgP m mA    0
  • 42.
    Densité ρ Densité ρm A B E F C h1 h h2 -Mesure de la différence de pression par un manomètre en U : Problème : Calcul de la différence de pression PA–PB On peut écrire que : EC PP 
  • 43.
    A B E F C h1 h h2  Branche deGauche : 1ghPP AC  ghhhgPP mBE   )( 2 EC PP   Branche de Droite : et comme ghhhgPghP mBA   )( 21 ghhhgPP mBA )()( 12  Et donc : et si le fluide est un gaz ( ρm >> ρ ) : ghPP mBA 
  • 44.
    - Manomètre àEau et manomètre à Mercure : Les manomètres à eau sont utilisés pour mesurer des pressions relativement faibles car leur utilisation pour les fortes pressions conduirait à l’élaboration de tubes de dimensions trop exagérées. C’est pour cela, et compte tenu de sa densité élevée , que l’on préfère utiliser du Mercure comme liquide manométrique . Illustration : Quelle serait la hauteur manométrique nécessaire pour mesurer une pression P = 120 KN/m2 : a.- Dans le cas d’un manomètre à eau b.- Dans le cas d’un manomètre à Mercure * Cas de l’Eau : !23,12 10814,9 10120 3 3 m x x g P hghP w w    * Cas du Mercure : !9,0 13546814,9 10120 3 m x x g P hghP Hg Hg   
  • 45.
    H Densité ρ h ghP  gHP 0P H Densité ρ h ghP  gHP  gyP  y Surface non immergée Surface immergée Il s’agit de tracer le graphique d’évolution de la pression sur une surface en tenant compte du fait que la pression varie linéairement avec la profondeur selon la loi ghP 
  • 46.
  • 47.
  • 48.
    atmP h  A ghPP atmA  ghPA  Pression Absolue Pression Effective
  • 49.
    hP1 P2 P3P4  ghPPPP  4321 La pression dans un fluide ne dépend que de la profondeur et pas de la forme du récipient.
  • 50.
  • 51.
  • 52.
    11 y = 1,6m Δh = 0,6 m 22 33 44 Eau ( densité ρw = 103 Kg/m3 ) Mercure ( densité ρm = 13546 Kg/m3 ) Patm = 0 Calculer la Pression P1 Rappel : règle à suivre 1.- Ecrire lEcrire l’é’équation de base du systquation de base du systèèmeme gyPP  12 32 PP  43 hgPhgP mm   2.- Diviser le systDiviser le systèème en branches :me en branches : Branche droite :Branche droite : Branche gauche :Branche gauche : 04  atmPP 4.- RevenirRevenir àà ll’é’équation de base :quation de base : hggyPPP m  132  yhggyhgP mm   1   kPamKNmNxxP 64/64/640626,110006,013546814,9:A.N. 22 1  3.- Exprimer les pressions par brancheExprimer les pressions par branche
  • 53.
    Selon la loide la statique des fluides , on peut écrire que : ρ3 = 8040 Kg/m3 ρ1 = 8810 Kg/m3 A B h1 h2 h3 h4 h5 ρ2 = 13550 Kg/m3 ρ5 = 1230 Kg/m3 ρ4 = 1000 Kg/m3 1 2 3 4 5 6 h1=20 cm ; h2=8 cm ; h3=40 cm ; h4=14 cm ; h5=9 cm 43.2 PP 21.1 PP  Problème : Calculer PA-PB 65.3 PP 
  • 54.
    APghP  111   3233222 PhhgghP   A B h1 h2 h3 h4 h5 1 2 3 4 5 6 h3-h2     31123322 32332211 PghhhgghP PhhgghghP A A    
  • 55.
    A B h1 h2 h3 h4 h5 1 2 34 5 6 BPghghP  55446 4345 PghP   4554434 3445544 PghghghP ghPPghgh B B     455434 )( PghhhgPB  
  • 56.
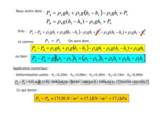
      455434 31123322 )( PghhhgP PghhhgghP B A    Nousavons donc : d’où :   45543431123322 )( PghhhgPghhhgghPP BA   et comme 43 PP  On aura donc :   554341123322 )( ghhhgghhhgghPP BA   Application numérique : Uniformisation unités : h1=0,20m ; h2=0,08m ; h3=0,40m ; h4=0,14m ; h5=0,09m     115544343232 hhhhhgPP BA  ou bien     2,0881009,0123014,010004,01000804008,0804013550814,9 xxxxxxPP BA  Ce qui donne : kPamKNmNPP BA 1,17/1,17/17130 22 
  • 57.
    Surface Force S F P  F= P x SF = P x S Surface Plane Surface Courbe A Eau h F B A Eau h F B
  • 59.
    CasCas des surfacesdessurfaces immergimmergééeses inclininclinééeses  dFhhc dy dA y O x hi yi y yc sinyh  Problème : Exprimer la Force de pression résultante F agissant sur la surface AB ainsi que la profondeur de son centre d’application . A B Surface du liquide de densité ρ C 0atmP
  • 60.
    ghdAPdAdF    ABAB AB hdAgghdAdFF   AB ydAgFyh  sinsin ‘’ Moment Statique ‘’ de la surface AB par rapport à Ox AyydA c AB   Ordonnée du centre de gravité de la surface AB AgyAygF cc  sinsin  AghF c AghF cwEau (ρ = ρω ) hc : Profondeur du centre de gravité de AB
  • 61.
    C hC h  y y Cy x D F Pour déterminerhD , la profondeur du point d’application de la force résultante F , il suffit d’utiliser le principe des moments : ‘’ Le moment , par rapport au point O , de la force résultante est égal à la somme des moments élémentaires ‘’ :  AB io F avec : AygyAyghyFF cDDcDo .sin.   et    AB ABABABAB i dAygdAgydAgyyydF 22 sinsinsin.  ?? Point d’application Centre de gravité Dh Dy
  • 62.
    le terme AB dAy2 oxCDIgAygy .sin.sin   Et donc : Ay I y c ox D  représente le ‘’ Moment d’Inertie ‘’ de la surface AB par rapport à l’axe Ox = Iox AygyF cDo .sin  AB io F On aura donc :   AB OXi Ig .sin et Remarque : Utilisation du théorème de Huygens : AyII cccox 2  avec Icc : Moment d’inertie de la surface AB par rapport à un axe passant par son centre de gravité C . Ay I y Ay AyI y c cc c c ccc D    2 ou bien selon la verticale ' ' Ah I hh c cc cD  La formule précédente devient alors : avec : - A’ : Projection verticale de la surface AB - I’ cc : Moment d’inertie de la surface A’ par rapport à l’axe passant par son centre de gravité . et Conclusion : Le point d’application de la résultante F se trouve toujours plus bas que le centre de gravité d’une distance égale à : ' ' Ah I hhh c cc CD 
  • 63.
    36 2 3 bh I bh A cc   cc h 3 2 h TriangleTriangle b 12 3 bh I bhA cc   cc 2 h h RectangleRectangle b 644 4 44 2 2 Dr I D rA cc     cc r D CercleCercle r 1288 82 44 22 Dr I Dr A cc    c c rr  r 3 4Demi CercleDemi Cercle 4 4 ba I abA cc     cc a b EllipseEllipse SURFACE ET MOMENT DSURFACE ET MOMENT D’’INERTIE DE QUELQUES FIGURES PARTICULIERESINERTIE DE QUELQUES FIGURES PARTICULIERES
  • 64.
    CasCas des surfacesdessurfaces immergimmergééeses verticalesverticales 1sin90   AghF c 0atmP dF hhc dy dA hi A B Surface du liquide de densité ρ C D hD F Même raisonnement que pour la surface Inclinée mais avec : Ah I hh c cc cD 
  • 65.
    hc A B C D hD F H Cas des surfacespartiellement immergées AghF c Attention !!! Seule la surface ‘’mouillée’’ est prise en compte
  • 66.
    F h A B Liquide de densité ρ C hc Surfaceimmergée horizontale 1.- Force F : AghF c hhc  ghAF  2.- Profondeur du point d’application : hhh cD  Surface A avec Cas particulier des Surfaces immergées horizontales
  • 68.
  • 69.
    1.- Composante horizontale zxghdAghdAdFdF   sinsin. car zdAdA sin d’où :    zc Az zHx AghhdAgFdF  zcH AghF  avec : Az : Projection verticale de la surface courbe AB hc : Profondeur du centre de gravité de Az CONCLUSION : Le calcul de la composante horizontale FH est ramené au calcul d’une force de pression sur une surface plane verticale .
  • 70.
    2.- Composante verticale xzghdAghdAdFdF   coscos. car xdAdA cos d’où : gWdWghdAgFdF WAx xvz     gWFv  Avec W : Volume délimité par : ♦ La surface libre du fluide ♦ Les 2 verticales menées des 2 extrémités A et B de la surface . ♦ La surface courbe AB W B A CONCLUSION : Le calcul de la composante verticale FV se résume donc au calcul du Poids du fluide représenté par le volume déplacé par la surface AB .
  • 71.
    Le calcul des2 composantes FH et FV permet ensuite de déterminer la résultante F par l’expression : 22 VH FFF  ♦ Position du point d’application de la Force de Pression : Le point d’application de la résultante F est obtenu si l’on connaît les composantes FH et FV . Dans le cas général , il faudra établir l’équation de la courbe AB et celle du segment représentant la force F ( équation d’une droite ) en tenant compte que l’angle d’inclinaison de la force résultante F par rapport à l’horizontale est obtenu par la formule suivante : H v F F arctg
  • 72.
    AA BB Surface A AA BB AghF c Ah I hh c cc cD F D hD C hC AA BB  F D hD C hC y c F C hC D hD sincc yh  Surface A Surface A Ay I yy c cc cD  Et puis sinDD yh 
  • 73.
    AghF cH  gWFv 22 VH FFF  A B F FH FV Projection verticale FH A’ B’ C hc D hD Surface plane ! A B 1.- Surface libre du liquide 2.- La surface courbe AB 3.- Les 2 verticales passant par les 2 extrémités de la surface courbe AB Règle de délimitation W
  • 74.
    h W W W 1.- Surfacelibre du liquide 2.- La surface courbe AB 3.- Les 2 verticales passant par les 2 extrémités de la surface courbe AB
  • 76.
    h=1m a=2m b=3m Le schéma montreune vanne AB rectangulaire retenant un niveau d’eau et immergée à une profondeur h . Calculer la force de pression exercée par l’eau sur cette vanne ainsi que la profondeur hD de son point d’application - Calcul de la force F : AghF cw F hc C 2 b h b hc  sin 2 30 abA  abh b gF         sin 2 Application numérique KNNxxF 5,515150232130sin 2 3 814,910 3        D hD
  • 77.
    my 3 mb3 mh 2 F hD hC A B C D 3 h La vanne AB est de forme d’un triangle isocèle de base b=3m et de hauteur h=2m . On demande de calculer la force de pression F exercée sur cette vanne ainsi que la profondeur hDde son centre de poussée . 1.- Force de pression : AghF cw m h yhc 7,3 3 2 3 3  2 3 2 2.3 2 m bh A  KNNAghF cw 1091089353.7,3.814,9.103   Application numérique :
  • 78.
    2.- Profondeur ducentre de pression : Ah I hh c CC cD  36 3 bh ICC  m xh h h bh h bh h Ah I hh c c c c c CC cD 76,3 7,318 2 7,3 18 2 36 223  Moment d’inertie d’une surface triangulaire par rapport à un axe passant par son centre de gravité : D’où :
  • 79.
    Données : H1= 10 m ; H2 = 8 m ; y = 1 m ; a = 2 m ; b = 4 m H1 H2 y a b AA BB
  • 80.
  • 81.
    H1 H2 y F1 C1 hc1 2 1 842 mxaxbA 2 b my b hc 31 2 4 21  11 1 AghF c b aby b gF        2 1  kNF 2351  a
  • 82.
    H1 H2 y C2 22 2 AghF c    2 122 6411082 mxbyHHaA  m byHH hc 5.1 2 41108 2 12 1      F2 b byH 1 byHH  12 b’ 2 ' 2 b hc  ?'b a  abyHH byHH gF         12 12 2 2  kNF 882 
  • 83.
  • 84.
    33 ω Kg/m10ρ:Eau  h= 3m R Une vanne radiale est localisée à la base d’un mur vertical . La largeur de la vanne est L = 5m et son rayon R = 4m . Déterminer la force résultante exercée sur cette vanne L R R FF FH FV 22 VH FFF 
  • 85.
    ch h = 3m RC a.-Calcul de la composante horizontale FH :  RLh R gAghF cH        2   h = 3m R Projection verticaleR L R L 2 R AghF cH  2 2054 mxRLA  mh R h c 53 2 4 2  Projection verticale KNNFH 4,981981400 
  • 86.
    b.- Calcul dela composante verticale : - Détermination du volume W : h R R W1 W2 21 WWW  RhLW 1 L R W 4 2 2     ) 4 ( 2 21 L R RhLgWWggWFV     gWFV  1.- Surface libre du liquide 2.- La surface courbe 3.- Les verticales des 2 extrémités de la surface courbe W RL R hgFV ) 4 (   kNNFV 12051205159 
  • 87.
    c.- Calcul dela force résultante F : 22 VHR FFF  kNFV 1205 kNFH 4.981 KNFR 155412054.981 22 
  • 88.
    Calculer la forcede pression hydrostatique exercée par l’eau du barrage sur la vanne segment de rayon r et de largeur b = 5 m mH 20 mr 20 vanne barrage  60 F HF VF 22 VH FFF  HF c H 2 H hc  AghF cH  2 H h bHA c   b H gF Hb H gF H H 2 2 2        kN NA 9814F 98140005 2 20 9,81410F:.N. H 2 3 H   ?F.1 H
  • 89.
    mH 20 mr 20 60 W1 ?F.2 V gWFV  WW W2 21 WWW  H r r α/2 2 cos 2 1 2 2 cos 2 22   rbHW b rH bSW     α 360° 360 360 360 2 1 11 2 1 1 2     br W bSW r S S rS               2 cos 1802 1 2 cos 2 1 360 2 21  H r rbrbH br W WWW        2 cos 1802 1   H r grbFV kNFV Nx xx xxx NA 1773 177281330cos20 180 602014,3 5209814 2 1 FV :..        
  • 90.
    22 VH FFF  kNF997217739814 22 