‫الرحيم‬ ‫الرحمــن‬ ‫الله‬ ‫بسم‬‫ا‬
RESUME
L’objectif principal de ce projet est de mener une évaluation
financière des projets d’exploitation des mines à ciel ouvert. Pour ce faire, nous avons
conçu un outil sous Excel VBA intégrant tous les aspects d’évaluation de projet
d’investissement, du dimensionnement de la machinerie au calcul des coûts du projet
en passant par l’évaluation des indicateurs de rentabilité. L’intérêt de cet outil pour les
décideurs, est de simplifier le processus d'évaluation de projet grâce à l’intégration
des différents paramètres de celui-ci. En outre, nous avons mis en pratique l’outil
conçu, à travers l’étude de deux projets d’exploitation à ciel ouvert : Sidi Ali et
Pumpi-Kamassani. L’étude de rentabilité ne pouvant être complétée sans une étude de
sensibilité et de risque, nous avons conclu par l’étude de l'irrégularité de facteurs tels
que l’investissement initial et de leurs influences sur la rentabilité afin d’optimiser les
retombées financières.
ABSTRACT
Nowadays, Morocco is becoming one of the worldwide countries
where opencast mines have shown a rapid economic growth. This mining method can
be of a great benefit in terms of productivity and costs. This benefit makes of the open
pit mining an attractive investment opportunity for mining agencies. Yet, to justify the
investment decision, opencast mining has to meet some financial imperatives.
Through this project, we are carrying out a financial evaluation of
an open pit mining project using standard economic measurements. Different
calculations are carried forward on Excel VBA. The tool designed ranges over all data
relative to a mining project, from machinery to capital cost through the evaluation of
the profitability indicators. For policy makers, the program simplifies the process of
project evaluation and makes it easy to choose among many investments. In addition,
we put into practice the application, through the two open pit projects: Sidi Ali and
Pump-Kamassani. To maximize the financial returns, concluded by conducting a
sensitivity and risk study.
‫يهخص‬
‫يحتم‬‫استغالل‬‫انًُاجى‬‫انفىلسطحيت‬‫يكاَت‬‫هايت‬‫في‬‫جم‬‫األسىاق‬
‫انؼانًيت‬.‫و‬‫يؼشف‬‫انًغشب‬ِ‫بذوس‬‫تىسؼا‬‫يهحىظا‬‫نهزا‬‫انُىع‬ٍ‫ي‬‫األَشطت‬‫انًُجًيت‬.‫ونؼم‬‫يا‬
‫يًيزها‬ٍ‫ػ‬‫االستغالل‬‫انتحسطحي‬‫هى‬‫انًشدوديت‬‫انًشتفؼت‬‫آلالتها‬‫و‬‫انتي‬ًٍ‫تض‬‫خفض‬
‫انتكانيف‬.‫كم‬ِ‫هز‬‫انؼىايم‬‫االلتصاديت‬‫وغيشها‬,‫تجؼم‬ٍ‫ي‬‫انًُاجى‬‫انفىلسطحيت‬‫فشصت‬
‫استثًاس‬‫تجزب‬‫اهتًاو‬‫انًُظًاث‬‫انًُجًيت‬.ٍ‫نك‬‫لشاس‬‫االستثًاس‬‫يضم‬ٍ‫سه‬‫يؼاييش‬‫التصاديت‬‫و‬
‫يانيت‬‫صاسيت‬,‫خاصت‬ٌ‫وأ‬‫األيش‬‫يتؼهك‬‫بًجال‬‫يخضغ‬‫نؼذة‬‫ػىايم‬‫خاسجيت‬.
‫و‬‫هكزا‬,ٌ‫فا‬‫يششوػُا‬‫يهذف‬‫أساسا‬‫إنى‬‫صياغت‬‫أداة‬‫نتمييى‬
‫يشاسيغ‬‫استغالل‬‫انًُاجى‬‫انفىلسطحيت‬.‫ستبسط‬ِ‫هز‬‫األداة‬‫ػًهيت‬‫تمييى‬‫انًشاسيغ‬‫ػبش‬
‫يؤششاث‬‫يانيت‬.‫إضافت‬‫إنى‬‫رنك‬,‫لًُا‬‫بذساست‬ٍ‫يششوػي‬‫باستخذاو‬‫األداة‬.‫وحتى‬‫َكًم‬‫دساست‬
‫تمييى‬‫انًشاسيغ‬,‫لًُا‬‫بئدياج‬‫دساست‬‫نحساسيت‬‫انًؤششاث‬‫انًانيت‬.
DEDICACES
A NOS PARENTS,
A NOS FAMILLES,
A NOS AMIS,
A TOUS CEUX QUE NOUS AIMONS,
A TOUS CEUX QUI NOUS AIMENT,
NOUS DEDIONS CE TRAVAIL.
KENZA ET LAILA
REMERCIEMENTS
Le présent rapport est le fruit d’un travail encadré par des
membres dont les directives et les remarques pertinentes n’ont cessé
d’en améliorer la qualité. Nous sommes ainsi redevables à, notre
encadrant Mr.Tkiouat pour ses conseils et son intérêt et à nos parrains
Mr Naimi et Mr.Lahbabi pour l’expérience enrichissante que nous
avons eu la chance de vivre tout au long de notre stage à Techsub-
Managem.
Il nous importe aussi de remercier Mr.Soror, cadre à
Reminex Ingénierie, pour ses interventions judicieuses, qui ont
beaucoup aidé à la mise en œuvre de ce projet.
Nous témoignons, par ailleurs, de notre reconnaissance au
personnel attachant d’Akka Gold Mining qui nous a offert aide et
soutien durant notre séjour sur le site.
Nous tenons également à rendre hommage aux mineurs
dont nous saluons l’endurance et le courage.
Nos vifs remerciements s’adressent aussi à Mme.
Benchekroune qui, en plus de nous faire honneur en présidant le jury,
a contribué à l’obtention de ce stage.
Nos tenons aussi à remercier Mr.Cherkaoui pour le privilège
qu’il nous accorde en acceptant de juger notre travail.
Et c’est avec beaucoup d’émotions que nous exprimons notre
gratitude au corps professoral de l’EMI pour les enseignements qu’ils
nous ont prodigués tout au long de notre formation.
SOMMAIRE
LISTE DES FIGURES........................................................................................................10
LISTE DES TABLEAUX....................................................................................................11
INTRODUCTION .............................................................................................................12
CHAPITRE 1 : PROBLEMATIQUE.....................................................................................13
1.1. CONTEXTE DU STAGE :..................................................................................13
1.1.1. Présentation de MANAGEM :...............................................................13
1.1.2. Présentation de Techsub : ......................................................................13
1.2. PROBLEMATIQUE: .........................................................................................16
1.2.1. Introduction à la problématique :...........................................................16
1.2.2. Cahier de charge : ..................................................................................17
CHAPITRE 2 : ETUDE PRELIMINAIRE..............................................................................18
2.1. GENERALITES SUR LES MINES A CIEL OUVERT:............................................18
2.1.1. Caractéristiques d’un projet minier :......................................................18
2.1.2. Mines à ciel ouvert :...............................................................................20
2.1.3. Exploitation en fosse :............................................................................22
2.2. COLLECTE DE DONNEES :..............................................................................25
2.2.1. Contexte de la collecte de donnée :........................................................26
2.2.2. Rendement des engins d’exploitation :..................................................26
2.2.3. Disponibilité des engins :.......................................................................28
2.3. CONCEPTION DE L’OUTIL :............................................................................29
Conclusion partielle du chapitre : .....................................................................32
CHAPITRE 3 : ÉTUDE DE FAISABILITE TECHNIQUE .........................................................33
3.1. DIMENSIONNEMENT DU PARC ENGIN : .........................................................33
3.1.1. Disponibilité...........................................................................................33
3.1.2. Besoin en engin d’abattage : Feuille abattage........................................34
3.1.3. Besoin en engins de chargement:...........................................................36
3.1.4. Besoin en engins de transport :..............................................................39
3.2. EVALUATION DES BESOINS EN EXPLOSIFS ET ACCESSOIRES DE TIR :..........42
3.2.1. Le Tovex:...............................................................................................42
3.2.2. L’Ammonix : .........................................................................................42
3.2.3. L’amorce :..............................................................................................43
3.2.4. Les lignes de tir :....................................................................................43
3.3. EVALUATION DES BESOINS EN PERSONNEL :................................................43
3.3.1. Encadrement : ........................................................................................43
3.3.2. Maintenance:..........................................................................................43
3.3.3. Opérationnels :.......................................................................................44
Conclusion partielle du chapitre : .....................................................................45
CHAPITRE 4 : ÉVALUATION DU COUT DU PROJET ........................................................46
2.1. LES COUTS OPERATOIRES : ...........................................................................46
2.1.1. Amortissement :.....................................................................................46
2.1.2. Énergie :.................................................................................................48
2.1.3. Maintenance et pièces de rechange :......................................................48
2.1.4. La main d’œuvre opérationnelle :..........................................................48
2.1.5. Pneumatique :.........................................................................................48
2.2. CHARGES FIXES :...........................................................................................49
2.3. CALCUL DU COUT DE REVIENT : ...................................................................49
2.4. COUT DES PRESTATIONS ANNEXES :.............................................................50
2.4.1. Coût d’aménagement du site :................................................................50
2.4.2. Coût d’entretien de la piste :..................................................................50
Conclusion partielle du chapitre : .....................................................................51
CHAPITRE 5: ÉVALUATION FINANCIERE DU PROJET ET ETUDE DE SENSIBILITE..............52
5.1. RENTABILITE AVANT FINANCEMENT :..........................................................52
5.1.1. Les flux nets de trésorerie (FNT):..........................................................52
5.1.2. La valeur actualisée nette (VAN): .........................................................54
5.1.3. Le taux de rendement interne (TRI): .....................................................54
5.1.4. L’indice de profitabilité (IP):.................................................................55
5.1.5. Le délai de récupération du capital investi (DRCI): ..............................55
5.2. FINANCEMENT : ............................................................................................55
5.2.1. Plan de financement :.............................................................................56
5.2.2. Échéancier de remboursement de l’emprunt : .......................................57
5.2.3. Réalisation d’un plan de financement optimal : ....................................58
5.3. RENTABILITE FINANCIERE :..........................................................................61
5.4. ANALYSE DE SENSIBILITE ET DE SCENARIO :...............................................61
5.5. ETUDE DE RISQUE : .......................................................................................62
5.5.1. Identification du risque : ........................................................................63
5.5.2. Analyse de la vulnérabilité : ..................................................................65
Conclusion partielle du chapitre : .....................................................................67
CHAPITRE 6: APPLICATION AUX PROJETS ......................................................................68
6.1. PROJET SIDI ALI :..........................................................................................68
6.1.1 Données : ...............................................................................................68
6.1.2. Évaluation des besoins :.........................................................................70
6.1.3. Coût du projet: .......................................................................................72
6.1.4. Bordereau de prix :.................................................................................73
6.1.5. Évaluation financière du projet :............................................................73
6.1.6. Analyse de sensibilité et de risque:........................................................73
6.2. PROJET PUMPI-KAMASSANI..........................................................................75
6.2.1. Données..................................................................................................75
6.2.2. Évaluation des besoins :.........................................................................77
6.2.3. Coût du projet: .......................................................................................80
6.2.4. Bordereau de prix :.................................................................................81
6.2.5. Evaluation financière du projet :............................................................81
6.2.6. Analyse de sensibilité et risque :............................................................82
Conclusion partielle du chapitre : .....................................................................84
RECOMMANDATIONS ....................................................................................................85
CONCLUSION.................................................................................................................86
GLOSSAIRE MINIER .......................................................................................................87
BIBLIOGRAPHIE.............................................................................................................89
WEBOGRAPHIE..............................................................................................................89
ANNEXES ......................................................................................................................90
LISTE DES FIGURES
Figure 1: technique Raise-Boring________________________________________15
Figure 2: Analyse FFOM de l'exploitation en carrière pour Techsub ____________16
Figure 4: Séquences de l'exploitation en découverte _________________________21
Figure 3: Exploitation en Placers ________________________________________21
Figure 5: Séquences d’une exploitation en fosse ____________________________22
Figure 6: Exploitation en fosse __________________________________________22
Figure 7: Schématisation des projets d'exploitation en carrière _________________25
Figure 8: Diagramme Ishikawa – Facteurs influençant la rentabilité_____________28
Figure 9: Conception de l'outil d'évaluation de la rentabilité ___________________30
Figure 10: dimensionnement du parc engin ________________________________33
Figure 11: Temps de cycle d'un camion ___________________________________39
Figure 12: cartouche de Tovex __________________________________________42
Figure 13: Composantes du coût opératoire ________________________________46
Figure 14: Calcul des amortissements ____________________________________47
Figure 15:Financement Excel ___________________________________________58
Figure 17: Variables solveur____________________________________________60
Figure 18: Contraintes solveur __________________________________________60
Figure 16: Solveur____________________________________________________60
Figure 19: Flux nets de trésorerie après financement_________________________61
Figure 20: Schéma des risques des projets _________________________________63
Figure 21: Matrice des risques __________________________________________66
Figure 22: Graphique en radar des risques encourus par le projet Sidi-Ali ________75
Figure 23: Graphique en radar des risques encourus par le projet Sidi-Ali ________83
LISTE DES TABLEAUX
Tableau 1: Résultats de chronométrage de l'hydrophore 27
Tableau 2: Résultats du chronométrage des camions stérile 27
Tableau 3: Résultats du chronométrage des pelles hydrauliques 28
Tableau 4:Tableau des flux nets de trésorerie 53
Tableau 5: plan de financement 56
Tableau 6: Echéancier de financement 58
Tableau 7: Planning de production de la mine de Sidi-Ali 68
Tableau 8:Schéma de tir de la mine de Sidi-Ali 68
Tableau 9:Description du parc d’engins de la mine de Sidi-Ali 69
Tableau 10: Durée effective du poste de travail 69
Tableau 11: Caractéristiques de la roche manipulée à la mine de Sidi-Ali 70
Tableau 12: Prix de l’énergie au Maroc 70
Tableau 13: Dimensionnement du parc d’engins de la mine de Sidi-Ali 70
Tableau 14: Évaluation du besoin en explosifs de la mine de Sidi-Ali 71
Tableau 15: Évaluation du besoin en personnel de la mine de Sidi-Ali 72
Tableau 16: Évaluation des coûts opératoires d’engins de la mine de Sidi-Ali 72
Tableau 17: Coûts de revient de l’exploitation de la mine de Sidi-Ali 72
Tableau 18: Bordereaux des prix du projet Sidi-Ali 73
Tableau 19: Calcul de rentabilité avant et après financement 73
Tableau 20: Résultats d’analyses de sensibilité du projet Sidi-Ali 74
Tableau 21: Planning de production de la mine de Pumpi-Kamassani 76
Tableau 22: Schéma de tir de la mine de Pumpi-Kamassani 76
Tableau 23: Description du parc d’engins de la mine de Pumpi-Kamassani 77
Tableau 24: Caractéristiques de la roche manipulée à la mine de Pumpi-Kamassani 77
Tableau 25: Prix de l’énergie en RDC 77
Tableau 26: Dimensionnement du parc d’engins de la mine de Pumpi-Kamassani 78
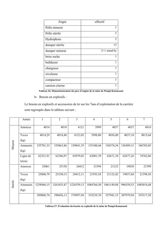
Tableau 27: Évaluation du besoin en explosifs de la mine de Pumpi-Kamassani 78
Tableau 28: Évaluation du besoin en personnel de la mine de Pumpi-Kamassani 80
Tableau 29: Évaluation des coûts opératoires engin de la mine de Pumpi-Kamassani 80
Tableau 30: Coûts de revient de l’exploitation de la mine de Pumpi-Kamassani 81
Tableau 31: Bordereaux des prix du projet Pumpi-Kamassani 81
Tableau 32: Calcul de rentabilité avant et après financement 82
Tableau 33: Résultats d’analyses de sensibilité du projet Pumpi-Kamassani 83
INTRODUCTION
Ce travail est le condensé de l’étude que nous avons menée, durant notre stage
de fin d’étude, sur l’exploitation des mines à ciel ouvert. Cette dernière, a pris
beaucoup d’ampleur sur les marchés miniers internationaux durant la dernière
décennie, d’où l’envie de Techsub-Managem de se lancer dans cette activité.
Notre projet de fin d’études, permettra à Techsub de fixer ses prix de vente pour
les différentes prestations relatives à l’exploitation à ciel ouvert, tout en s’assurant de
la rentabilité économique et financière du projet. Et compte tenu des différents risques
liés à l’exploitation minière, nous avons prévu une étude de sensibilité et de risques
pour mesurer les impacts des facteurs les plus décisifs pour les projets d’exploitation
en carrière.
L’aboutissement de notre projet, « élaboration d’un outil d’évaluation de la
rentabilité des projets d’exploitation en carrière », sera donc la réalisation d’un outil
sous Excel VBA, qui, à partir de données et caractéristiques d’un projet minier,
calcule le prix de vente et les indicateurs de rentabilité. Cet outil permettra aussi de
dégager les différents facteurs qui influencent la rentabilité, facilitant ainsi la prise de
décision d’investissement pour Techsub.
Pour réaliser cette étude, il est impératif de passer par plusieurs étapes qui
commencent dans le chantier d’une carrière. Ainsi, la première étape consiste à
rassembler les informations et analyser les pratiques d’exploitation d’une mine à ciel
ouvert. Ensuite, nous devons exploiter ces données pour l’élaboration d’un outil
d’évaluation de rentabilité. Une fois l’outil finalisé, nous allons l’utiliser pour
l’évaluation de deux appels d’offres d’exploitation de mine à ciel ouvert pour lesquels
Techsub compte soumissionner.
CHAPITRE 1 : PROBLEMATIQUE
1.1. CONTEXTE DU STAGE :
1.1.1. Présentation de MANAGEM :
Managem, holding du groupe ONA, est le principal acteur du secteur minier
marocain.
Depuis 1928, La filiale n’a cessé d’évoluer à hauteur de ses ambitions et de ses
compétences. Aujourd’hui, ses principales activités sont l’extraction, la production et
la commercialisation des métaux de base (Cobalt, Zinc) ainsi que les métaux précieux
(Or et Argent) et d’autres substances (Fluorine). Dans le cadre d’une vision de
diversification et de génération de profits, Managem s’est également consacré à
l’hydro métallurgie et ce depuis 1996. Cette activité consiste principalement à traiter
des matières complexes et à produire des cathodes de cobalt et des substances
chimiques à fortes valeurs ajoutées.
Parallèlement, des actions majeures ont été réalisées en matière d’innovation et
de recherche et développement afin d’assurer la modernisation et le développement
technologique des différentes filiales de Managem.
Ces dix dernières années, Managem a relevé le challenge international, en
investissant dans des projets en Afrique, tel que le projet Bakoudou, projet aurifère
qui s’inscrit dans la stratégie du groupe d’implantation au Gabon.
Pour concrétiser ses objectifs, Managem s’entoure d’activités support qui
centralisent le savoir-faire de Managem en termes de techniques minières et
d’ingénierie. Ces activités sont représentées par les filiales REMINEX spécialisée
dans les études techniques et économiques ainsi que l’ingénierie des projets, et
TECHSUB spécialisée dans les sondages et travaux miniers.
1.1.2. Présentation de Techsub :
Techsub a été constituée en 1992 pour répondre aux besoins relatifs à la maîtrise
d'œuvre, à l’exécution de sondages, ainsi qu’à la réalisation d'ouvrages souterrains.
Les équipes de Techsub sont polyvalentes et comptent à leur actif plusieurs
années d’expérience opérationnelle dans différents domaines du souterrain et des
sondages. Le personnel ouvrier quant à lui, puise sa compétence dans sa longue
expérience pratique acquise sur plus d’une quinzaine d’années.
Techsub dispose également d’un parc d’engins complet de sondage et de
terrassement comportant près de 24 sondeuses, ainsi que d’installations techniques
nécessaires en matière d’entretien.
Techsub opère aujourd’hui dans trois secteurs d’activité principaux :
Sondages et soutènement.
Travaux souterrains
Réalisation de cheminées « Raise »
 Sondage et soutènement :
Le sondage et le soutènement sont les activités motrices de Techsub. Le
sondage consiste à creuser pour prélever des échantillons appelés carotte, tandis que
le rôle principal du soutènement est d’assurer la sécurité des excavations pratiquées
dans les roches et dans le sol qui s’applique aussi bien aux mines souterraines qu’aux
mines à ciel ouvert.
Techsub compte à son actif des prestations de plus de 220.000 mètres de
sondage des types suivant :
Sondages destructifs en percussion (marteau fond de trou)
 Sondages destructifs par circulation inverse.
Techsub compte développer ces activités pour s’étendre à la réalisation de :
Travaux structurels dans le sous-sol (drainages, imperméabilisation,
renforcement et consolidation des terrains)
Travaux de confortement, stabilisation, assainissement et sécurisation des
pentes et talus.
 L'activité de travaux souterrains :
Indispensable partenaire, en particulier en ce qui concerne la réalisation
d’infrastructures souterraines, TECHSUB travaille à la conception et à la réalisation
de travaux de creusement dans le sous-sol (puits, galeries et cheminées)
Techsub a acquis son expérience pratique dans divers terrains allant des roches
saines aux terrains de recouvrement. Elle assure la mise en œuvre des technologies de
creusement fiables et adaptées à tous types de terrain rencontré et dispose de
compétences humaines et techniques lui permettant de réaliser divers ouvrages
souterrains dans le secteur minier, d'assainissement, du B.T.P. et de l’hydraulique, etc.
 La réalisation des cheminées « Raise » :
En dehors des techniques de creusement des ouvrages souterrains, résultant de la
réalisation de plusieurs dizaines de kilomètres de galeries, Techsub dispose d’un
savoir-faire de premier ordre dans la réalisation de plusieurs milliers de mètre de
cheminées «RAISE » .
Le Raise Boring est une technique aujourd’hui couramment utilisée dans le
domaine minier pour forer des cheminées : Elle consiste à forer du haut vers le bas,
entre deux niveaux préexistants, un trou pilote, puis à l’aléser au diamètre final de la
cheminée, du bas vers le haut, en tirant sur l’outil aléseur grâce à l’équipement de
forage situé dans le niveau supérieur.
En comparaison avec les méthodes classiques, cette technique offre de
nombreux avantages, en particulier en termes de sécurité, coût et délais de réalisation
; elle constitue un outil important dans une politique globale de Techsub de
mécanisation des travaux de creusements et d’élimination par conséquent des tâches
les plus pénibles et les plus risquées.
Avec un parc de 4 « Raises Boreurs », Techsub possède un outil performant
pouvant réaliser annuellement plus de 5 000 mètres de cheminées de différents
diamètres et de différentes profondeurs et pendages.
Figure 1: technique Raise-Boring
TECHSUB fait aussi appel à la technique « Rotary Vertical Drilling System » pour
assurer la verticalité et l’orientation des cheminées et assure ainsi la réalisation de
puits verticaux avec une très grande précision.
1.2. PROBLEMATIQUE:
1.2.1. Introduction à la problématique :
Dans le cadre d’une stratégie de diversification, Techsub a exprimé son intérêt
pour les travaux d’exploitation à ciel ouvert, marché qui commence à occuper une
partie majeure dans les activités de MANAGEM ces dernières années.
Cette importance accordée à l’exploitation en carrières est due essentiellement
au fait que le coût par tonne est beaucoup plus réduit que dans le cas de l’exploitation
en souterrain et que la capacité annuelle d’extraction est plus élevée. En effet,
l’exploitation à ciel ouvert permet l’utilisation d’équipements géants permettant de
libérer et de déplacer des quantités considérables de matériaux en peu de temps et
avec peu de main d’œuvre.
De plus, le nombre de gisements à forte teneur tend à diminuer de sorte qu’il est
devenu impératif de manipuler et traiter plus de minerai à faible teneur. Il faudrait
donc baisser les coûts de production en augmentant la productivité des engins,
solution qui n’est envisageable qu’en exploitation en carrière.
Dans ce contexte, Techsub envisage de soumissionner pour l’exploitation de
deux carrières :
 «Sidi Ali», située à 75Km de AGM (Akka Gold Mining), à 15km de la mine
d’«Agoujgal» sous-traitée à Matimex.
 « Pumpi-Kamassani», en République Démocratique du Congo.
Une première analyse des forces, faiblesses, opportunités et menaces nous permet de
tracer la matrice suivante :
Figure 2: Analyse FFOM de l'exploitation en carrière pour Techsub
Pour se lancer dans l’appel d’offre, Techsub doit d’abord évaluer la rentabilité
financière pour chacun des deux projets, étudier leur viabilité et améliorer leur chance
de réussite.
1.2.2. Cahier de charge :
L’objectif de notre étude est d’estimer la viabilité des projets d’exploitation en
carrière pour Techsub à travers l’évaluation de la rentabilité des deux projets « Sidi
Ali » et « Pumpi-Kamassani ». Puisqu’il s’agit de deux projets en carrière, de durée et
d’investissement initial différents, nous avons choisi d’aborder le problème en créant
un outil standard d’évaluation de projet en carrière. Cet outil va prendre en charge les
phases d’évaluation du projet en question à partir de données initiales saisies par
l’utilisateur.
Notre outil va traiter les points suivants :
 Les données d’entrée relatives à la mine (réserves, durée de vie …).
 Les besoins matériels et humains.
 Les différents coûts opératoires.
 La rentabilité avant et après financement.
 La sensibilité.
CHAPITRE 2 : ETUDE PRELIMINAIRE
2.1. GENERALITES SUR LES MINES A CIEL OUVERT:
2.1.1. Caractéristiques d’un projet minier :
a. Évaluation de projet d’investissement:
Les décisions d'investissement sont probablement les décisions les plus
importantes pour une entreprise. L’évaluation de projet a pour finalité d'étudier les
conditions de viabilité des investissements et d’améliorer leurs chances de réussite.
Alliant comptabilité, analyse financière, gestion prévisionnelle et étude techniques,
elle permet de rassembler tous les éléments nécessaires à l'élaboration du projet et de
clarifier les facteurs de base qui gouvernent ses chances de succès.
Choisir d’investir peut avoir des conséquences vitales à court et à long termes
sur la capacité d'une compagnie à rivaliser, et même à survivre. Cette décision se base
sur deux activités fondamentales :
 Allouer des fonds en capitaux à des projets spécifiques ou budgétisation
 Obtenir le financement nécessaire
La budgétisation des capitaux demeure une composante majeure dans ce type de
décisions. Elle a pour objectif l'allocation des capitaux de façon optimale. Ce
processus comprend généralement les activités de planification, d'évaluation, de
sélection, de mise en œuvre, de contrôle et finalement de réévaluation en continu et de
vérification des résultats.
En plus de servir à évaluer la rentabilité du projet, la budgétisation aide à
susciter l’intérêt de potentiels investisseurs en les orientant quant à l’allocation des
fonds nécessaires et ce, de la façon la plus optimale.
Dans le sens large, l’évaluation des projets débouche sur la sélection parmi
différents projets d'investissement. Néanmoins, un tel modèle ne peut suffire pour
prendre une décision d'investissement. Les facteurs qualitatifs de risques uniques
associés à chaque occasion d'investissement nécessitent d’adopter une gestion
adéquate et un jugement intelligent.
Le gestionnaire ne sélectionne donc pas nécessairement le projet qui a le plus
haut rendement, mais celui qu’il perçoit comme présentant les meilleurs intérêts à
long terme.
b. Investissement en milieu minier :
En milieu minier, l’analyse d’investissement d’un projet quelconque est
précédée par des études géologiques, géotechniques et hydrogéologiques. Ces
analyses ont pour but d’évaluer les caractéristiques de la roche. Une méthode
d’exploitation est choisie en conséquence. Ces activités aussi nombreuses que variées
rendent l’étude de faisabilité d’un projet d’investissement minier particulièrement
délicate.
De plus, l’exploitation minière est un environnement d’investissement unique
compte tenu des caractéristiques suivantes:
Ampleur du capital: les projets miniers demandent des capitaux importants.
Avant même d’entamer l’exploitation, il faut s’acquitter des coûts d’exploration qui
s’étale souvent sur plusieurs années. L’infrastructure seule peut coûter plusieurs
centaines de millions de dollars, et même les petites mines qui ne nécessitent en
général qu'une poignée de mineurs ne peuvent être développées pour moins d'un
million de dollars.
Longues périodes de pré-production: une fois l'évaluation du gisement établie,
cela prend plusieurs années pour produire le minerai sur une base continue. Cette
période de pré-production s'étendait sur 4 à 6ans. Aujourd'hui, les nouveaux
règlements liés à l'environnement et à l'obtention des autorisations sont menés sur des
périodes qui peuvent atteindre 10 à 12 années, à partir de la décision de production.
Risque élevé: le risque familier au domaine minier est celui associé au marché
minéral. Les prix fluctuent considérablement et rapidement pour les produits
minéraux qui sont vendus sur les marchés internationaux.
Un autre type de risque souvent négligé est le risque politique. En effet de nos jours, il
y a une participation plus grande du gouvernement hôte dans les projets miniers à
travers le monde.
Ressources non renouvelables: c'est l'aspect probablement le plus unique des
industries minières. Les revenus sont dérivés d'une disposition fragmentaire de l'atout
majeur du projet, à savoir le minerai. Ces réserves économiques sont dispersées sur
de grands territoires et ne pourront être développées que là où elles se trouvent. De
plus, au lieu d’acheter les matières premières comme tout autre secteur économique,
l’industrie minière a besoin d’explorer de grandes surfaces afin de découvrir les
gisements nécessaires pour garantir sa pérennité.
Durée de vie limitée : la durée de vie de la mine est finie, les investissements
doivent donc recevoir un retour monétaire adéquat lorsque les réserves de minerai
sont épuisées.
Impact environnemental et socio-économique: l'exploitation minière aura
inévitablement des conséquences sur l'environnement, que ce soient les dommages
causés à la faune et à la flore ou encore les résidus miniers entreposés à la surface qui
peuvent s'avérer toxiques. De plus le bruit, la poussière ou autres facteurs typiques de
l'exploitation des mines sont des impacts environnementaux à traiter.
L'établissement d'une exploitation minières dans une zone éloignée ou rurale entraine
également un afflux soudain de population, ce qui engendre des conséquences socio-
économiques considérables sur un village voire même une région entière.
2.1.2. Mines à ciel ouvert :
a. Définition :
Les mines à ciel ouvert (ou carrières) sont celles dont le minerai est extrait à
partir de la surface après avoir dégagé le stérile. La roche est creusée par dynamitage
et le minerai est ensuite chargé sur d’énormes engins pour traitement.
b. Avantages de l’exploitation en surface :
Les mines à ciel ouvert présentent plusieurs avantages, les plus importants sont :
 Le faible coût d’exploitation.
 La possibilité de choisir le minerai de teneurs conformes aux besoins.
 La flexibilité de la production.
 La sécurité : meilleure visibilité, surveillance facile, personnel limité.
c. Types d’exploitations à ciel ouvert :
On distingue généralement trois types de minières. Chacune requiert une
méthode d’exploitation spécifique.
Placers : ce sont des dépôts non consolidés contenant de l’or ou d’autres métaux. Ces
éléments sont mêlés à l’état libre par criblage et lavage, en éliminant d’abord les
pierres par un tamis et ensuite le sable avec de l’eau.
Découverte (stripping, open cuts) : elles représentent des exploitations étendues et
peu profondes (couches sédimentaires horizontales d’épaisseur à peu près régulière).
Ce sont généralement des opérations à gros débit. Cette méthode d’exploitation est
utilisée surtout dans le cas du charbon.
Figure 4: Séquences de l'exploitation en découverte
Figure 3: Exploitation en Placers
Fosses (open pit mines) : gisement en forme d’amas et d’une profondeur de quelques
centaines de mètres.
Notre sujet d’étude s’intéressant à la fosse, nous nous concentrerons sur ce type de
carrière en particulier.
2.1.3. Exploitation en fosse :
a. Nature de la méthode :
Il faut d’abord enlever une
quantité suffisante du stérile qui
recouvre le gisement, puis attaquer le
minerai par tranches horizontales
successives à partir du centre. Le reste
du stérile est dégagé au fur à et
mesure de la progression de
l’exploitation.
Une excavation évasée vers le
haut est assurée en gardant une
inclinaison totale constante d’une
tranche à l’autre. Celle-ci est fonction de l’économie de l’opération et de la stabilité
des pentes. L'opération progresse en conservant cet aspect d'un cratère plus ou moins
allongé selon la forme du gisement.
Figure 5: Séquences d’une exploitation en fosse
Figure 6: Exploitation en fosse
L’exploitation prend fin lorsque le stripping ratio atteint une limite inférieure à
partir de laquelle il n’est plus rentable d’augmenter la profondeur de l’exploitation.
b. Etapes de l’exploitation en fosse :
Les principales étapes de l'exploitation en fosse sont:
 Le décapage des matériaux de recouvrement :
Il s’agit de l’enlèvement des matériaux de recouvrement au-dessus du gisement.
Les zones à décaper dépendent de plusieurs facteurs :
 La taille, la forme du gisement et la distribution des teneurs à l'intérieur
de ce dernier.
 La nature des terrains de recouvrement.
 Le caractère et l'importance de la structure géologique.
 Les conditions particulières (physiques, climatiques, chimiques…).
 La durée et le taux de production des travaux.
 Les capacités et distances des zones d'entreposage des matériaux
enlevés par rapport à la zone de décapage.
 L'utilisation future des équipements.
 Le forage en rocher :
Le forage des trous de mine se fait moyennant un hydrophore et en respectant
un schéma de tir bien défini.
Un schéma de tir est un ensemble de renseignements permettant d’exécuter un
tir : l’emplacement des trous, leurs dimensions, les caractéristiques de charge, le mode
d’amorçage.
Le schéma de tir est défini par :
 L’espacement : la distance entre les trous d’une même ligne.
 La banquette : La distance entre les lignes.
 Le diamètre du trou.
 La profondeur du trou.
 L'abattage du massif :
La destination principale de cette opération est la modification de l’état naturel
de la roche. Elle est abattue à l’explosif1
.
Une fois le schéma de tir défini, on procède au chargement, qui se compose de
trois étapes :
 Préparation des trous de mines (nettoyage).
 Mise en place des charges.
 Bourrage.
 La manutention des produits abattus :
Les produits abattus doivent être chargés puis transportés en utilisant des engins
de capacité relativement grande. En général, on utilise des pelles pour le chargement,
et des camions ou dumpers pour le transport. Les camions doivent être bien répartis
sur les pelles de façon à optimiser le rendement global de l’opération. Il faut aussi
s’occuper de l’état des aires de travail et de l’état des pistes et voix de circulation.
c. Engins d’exploitation2
:
L’exploitation à ciel ouvert nécessite l’utilisation d’engins de grande capacité.
Des engins spécifiques sont utilisés dans chaque phase de l’exploitation.
L’hydrophore : Engin de forge disposant de plusieurs tiges permettant de forer
des trous dans la roche.
Pelle hydraulique : Engin constitué d’une tourelle pivotante munie d’un godet,
utilisé pour déplacer divers matériaux.
Camion ou dumper : équipé d’une benne basculante, il est utilisé pour le
transport en vrac. Il existe deux types de camions utilisés dans l’exploitation en fosse :
les camions articulés et les camions non articulés de type conventionnel.
Niveleuse : Engin équipé d’une lame orientable placée entre ses deux essieux,
servant principalement à niveler le sol ou à déblayer la chaussée.
1
Voir Annexe1
2
Voir annexe2
Chargeuse : Équipement constitué d’un godet fixé sur un bras de levage mis en
mouvement par des vérins, et servant à soulever des matériaux pour les déplacer ou
les charger.
Bulldozer : Le bulldozer est un engin d'excavation et de refoulement sur
chenilles ou sur pneus. Il est muni d'une lame horizontale perpendiculaire à l'axe du
tracteur.
Compacteur : engin utilisé pour augmenter la densité des matériaux meuble. Il
est équipé d’un rouleau vibrateur qui applique, en cours de déplacement, une charge
statique en tous points du matériau meuble.
Camion citerne : utilisé pour l’arrosage de la piste et des voix d’accès.
Brise-roche : Engin équipé d’un marteau brise-roche utilisé pour fragmenter les
blocs de minerai dont la taille est supérieure à celle exigée.
2.2. COLLECTE DE DONNEES :
Avant de se lancer dans les calculs théoriques, un soin particulier doit être
accordé au rassemblement de données relative à un projet d’exploitation en carrière,
sans lesquelles une analyse pertinente ne peut voir le jour.
Tout projet d’exploitation en carrière peut être schématisé comme suit :
Figure 7: Schématisation des projets d'exploitation en carrière
On peut ainsi ressortir les données à cibler lors de la collecte de donnée:
 Engins de forage : marque, capacité, rendement, disponibilité.
 Explosifs : type, caractéristiques, rendement.
 Engins de chargement : marque, capacité, rendement, disponibilité.
 Engins de transport : marque, capacité, rendement, disponibilité.
Les autres données quant à elles seront définies dans l’appel d’offre suivant le
projet.
2.2.1. Contexte de la collecte de donnée :
L’étape collecte de données s’est déroulée sur la carrière de cuivre d’Agoujgual,
située dans la région de Goulmim à 200 km au sud d’Agadir. Cette mine est exploitée
par le leader du marché des travaux d’exploitation à ciel ouvert.
Les travaux réalisés par le sous-traitant sont :
 L’installation du chantier.
 La mise au point du schéma de tir. Bien que l’exploitant se charge du tir,
l’activité est sous-traitée à une société spécialisée dans le chargement en
explosif et le tir.
 L’abattage du minerai et stérile y compris toute fourniture d’explosifs et
d’amorces nécessaires.
 La fragmentation secondaire des blocs de minerai de dimensions supérieures à
500mm par brise-roche.
 Le chargement et transport du minerai à destination de l’usine de traitement
sur une distance moyenne de 60Km.
 Le chargement et transport des produits stériles aux emplacements réservés à
la mise-à-terril sur une distance moyenne de 2Km.
 La réalisation, l’entretien et l’arrosage de la piste et des voies de circulation
des engins.
2.2.2. Rendement des engins d’exploitation :
Pour un engin donné, le rendement représente la production horaire de minerai
ou de stérile. Afin de calculer le rendement, nous avons dû passer par le
chronométrage des temps de cycles des différents engins. La durée d’un cycle de
production est le temps nécessaire pour exécuter une tâche précise en un tour complet.
Pour chaque engin, il a donc fallu décomposer les cycles en différentes étapes de
durée élémentaire. Pour un résultat rigoureux, nous avons calculé une moyenne sur un
certain nombre de rotations. Le tableau ci-dessous regroupe les résultats des
chronométrages réalisés :
a. Hydrophore :
Minerai Stérile
Profondeur du trou 4m 3m
Diamètre du trou 76mm 89mm
Temps de forage pur 6’40’’ 02’48’’
Temps remontée tige 11’’ 9’’
Temps de déplacement d’un
trou à un autre
45’’
Temps de mise à niveau 1’19’’
Total Cycle 535’’ 301’’
Rendement 27mlf/h 36mlf/h
Tableau 1: Résultats de chronométrage de l'hydrophore
b. Camions stérile :
Moyenne
Chargement 02’45’’
transport 05’18’’
déchargement 00’48’’
Retour + Attente + Manœuvres 07’02’’
Total cycle 15’53’’
Rendement 43,44m3
/h
Tableau 2: Résultats du chronométrage des camions stérile
c. Pelle hydraulique :
Moyenne
Chargement du godet 06’’8
Pivotement 07’’1
vidange 06’’6
Pivotement à vide 05’’5
Cycle du Godet 26’’0
Godets par camion 7,5
Temps de transition ente camions 105’’
Total cycle 300’’
Rendement 138m3
/h
Tableau 3: Résultats du chronométrage des pelles hydrauliques
Cependant, ces temps de cycle ne sont pas fixes car tributaires de facteurs que
l’on a schématisés sur le diagramme d’Ishikawa ci-dessous :
Figure 8: Diagramme Ishikawa – Facteurs influençant la rentabilité
2.2.3. Disponibilité des engins :
La disponibilité est un facteur déterminant pour le rendement des engins. Nous
avons estimée à 93% la disponibilité des engins de la mine d’Agoujgual. Ce chiffre
est grossier car nous nous sommes basées sur les données d’une semaine ; faute
d’historiques de pannes.
Néanmoins, un taux aussi élevé pourrait être justifié par le surdimensionnement
du parc engin par rapport à la production d’une part, et à la politique maintenance
adoptée d’une autre part. En effet, en cas de panne, les engins d’exploitation sont
remplacés par des engins neufs dans les plus brefs délais. De plus, le sous-traitant
revend ses engins avant même qu’ils n’atteignent leurs heures de réformes.
2.3. CONCEPTION DE L’OUTIL :
Afin de guider l’entreprise dans le choix des investissements les plus rentables,
nous allons concevoir un outil d’évaluation de rentabilité de projet en carrière, sous
Excel VBA qui offrira une vue d’ensemble des paramètres du projet.
Ce support informatique devra retracer les différentes étapes de budgétisation,
allant du dimensionnement du parc d’engins en passant par le calcul des critères de
rentabilité. Cet outil regroupera les différentes informations initiales relatives au
projet, les consolidera, chiffrera les méthodes et moyens d’exploitation et restituera à
la fin le meilleur scénario à adopter pour une prise de décision optimale.
Tout au long de la conception, nous veillerons à la facilité d’utilisation et à la
simplicité de manipulation de l’outil, offrant ainsi une interface ergonomique et ce en
dépit de la quantité des données traitées.
Le schéma suivant résume les intrants et les sortants de l’outil :
Figure 9: Conception de l'outil d'évaluation de la rentabilité
L’outil se présentera sous plusieurs feuilles. Avant de rentrer dans le détail de
conception et de programmation de l’outil que nous détaillerons dans les parties à
venir, nous allons donner un bref aperçu des différentes feuilles :
 Feuille dessin carrière :
Cette feuille devra indiquer les réserves de minerai et de stérile ainsi que la
durée de vie de la mine.
L’outil permettra de visualiser la planification d’exploitation du stérile et du
minerai au fil des années. En effet, grâce à une étude de faisabilité préliminaire, la
planification des séquences d’exploitation sur 2 à 10 années est déterminée avant le
commencement des travaux miniers. Cette estimation des ressources intègre les volets
relatifs au traitement, à la métallurgie, ainsi que tout aspect économique justifiant
l’extraction rentable. Mais ces prévisions ne sont pas définitives et sont amenées à
changer selon les circonstances telles que la conjoncture économique.
 Feuille données d’entrée
Cette feuille rassemblera toutes les données initiales pour l’évaluation des
besoins techniques et le calcul des coûts opératoires. Ces données porteront sur les
engins à utiliser, les temps d’ouverture, le schéma de tir et les distances de roulage.
 Feuilles abattage, chargement et transport :
On a vu précédemment que l’exploitation en carrière s’effectue en trois temps :
abattage, chargement et transport. Le calcul du besoin relatif à chaque opération sera
donc regroupé sur une feuille correspondante à l’étape en question.
 Feuille RH :
Les ressources humaines devant être estimé pour le projet, il est indispensable
de concevoir sur une feuille les besoins en personnel.
 Feuille coût opératoire :
La feuille coût opératoire contiendra les coûts de fonctionnement horaire des
différents engins.
 Feuille établissement et Feuille aménagement de la piste :
En dehors de l’extraction du minerai et du stérile, l’exploitant doit aménager le
site avant le commencement des travaux et veiller par la suite à entretenir la piste,
d’où la nécessité de consacrer une feuille pour les calculs de chaque prestations.
 Feuille synthèse :
Après traitement des données, une feuille synthèse récapitulera l’ensemble des
coûts du projet ainsi que l’effectif total du parc engin.
 Feuille bordereau des prix :
Comme son nom l’indique cette feuille devra résumer le livrable du projet à
savoir le prix des prestations à partir d’une marge bénéficiaire donnée.
Rappelons qu’en carrière, le prix de stérile est estimé au mètre cube tandis que
celui du minerai est calculé à la tonne.
 Feuille rentabilité avant financement :
Comme son nom l’indique, cette feuille permettra d’évaluer la rentabilité du
projet pour faciliter la prise de décision vis-à-vis du choix d’investissement.
 Feuille financement :
Cette feuille proposera un plan de financement pour le projet.
 Feuille rentabilité après financement :
Après calcul du financement, cette feuille estimera à nouveau les facteurs de
rentabilité en tenant compte des flux engendrés par le financement.
 Feuille sensibilité et feuille de risque:
Ces feuilles permettront de mener une analyse de sensibilité et de risque portant sur
certains facteurs influençant la rentabilité du projet.
Conclusion partielle du chapitre :
A terme de ce chapitre, nous avons explicité la particularité de
l’investissement en milieu minier ; particularité à laquelle n’échappent pas les mines à
ciel ouvert dont nous avons détaillé les étapes d’exploitation. Cette phase
indispensable, a été suivie par une collecte de données que nous avons présentée sous
forme d’une cartographie pour en faciliter la lecture. Suite à cette collecte, nous avons
pu établir une ébauche de notre outil d’évaluation de rentabilité. Les chapitres qui
vont suivre vont détailler un à un les différentes rubriques de l’outil.
CHAPITRE 3 : ÉTUDE DE FAISABILITE
TECHNIQUE
L’étude faisabilité technique constitue la première étape dans la démarche
d’évaluation de projet. Cette phase devra répondre aux questions suivantes :
-Combien d’engins seront nécessaires pour l’exploitation ?
-Quelles sont les quantités des matières à utiliser ?
-Quel est l’effectif mine ?
3.1. DIMENSIONNEMENT DU PARC ENGIN :
Pour chaque étape d’exploitation, nous allons calculer le nombre d’engins requis, en
utilisant l’enchaînement suivant :
Figure 10: dimensionnement du parc engin
3.1.1. Disponibilité et coefficient d’utilisation :
En pratique, plusieurs facteurs peuvent réduire l’efficience du travail et
constituer un obstacle pour la production. Il faut donc les intégrer dans le calcul du
rendement pour obtenir des valeurs proches de la réalité. Ceci peut se traduire par :
 La disponibilité : « c’est l’aptitude d’une entité à être en état d’accomplir une
fonction requise dans des conditions données, en supposant que la fourniture
des moyens extérieurs nécessaires soit assurée»3
.
La disponibilité calculée lors de la collecte des données n’étant pas rigoureuse,
nous nous sommes basées sur les données des engins de Techsub qui opèrent
dans des conditions comparables à celles des mines à ciel ouvert, moyennant
la formule suivante :
 Le coefficient d’utilisation : y sont intégrés les obstacles qui peuvent ralentir
la cadence de l’engin Il existe des tables de données4
standards qui donnent le
coefficient d’utilisation en fonction de paramètre tel que : la compétence du
chauffeur, la nature du terrain, le choix et dispatching des engins.
3.1.2. Besoin en engin d’abattage : Feuille abattage
Hydrophore :
Temps de cycle de l’hydrophore :
Le temps de cycle de l’hydrophore ( ) est composé de 4 temps (exprimés en
secondes):
 Le temps de forage pur ( ) : la tige pénètre le rocher pour creuser un trou.
 Le temps de remontée de la tige ( ) : après avoir atteint la profondeur
voulue, la tige remonte.
 Le temps de déplacement ( ) : représente le temps de déplacement de
l’hydrophore d’un trou à un autre.
 Le temps de mise-à-niveau ( ) : ajustement de la tige puis positionnement
au-dessus du nouveau trou à creuser.
3
Norme NF X 60 – 500
4
Voir Annexe 5
(3.1)
Rendement de l’hydrophore :
Le rendement de l’hydrophore représente la profondeur (h) du trou foré par heure. Il
est obtenu en divisant la profondeur du trou par le temps de cycle ramené à l’heure et
en le multipliant par la disponibilité et le coefficient d’utilisation de l’hydrophore.
Les heures de marche requises :
Nous avons calculé tout d’abord le nombre de trous ( ) à réaliser pour la
production planifiée pour l’année. Pour ceci, nous avons utilisé la formule suivante :
Le volume de la maille ( ) peut être facilement calculé à partir des données du
schéma de tir :
Où :
: Banquette.
: Espacement.
: Profondeur du trou.
N.B : Le schéma de tir est défini par le client.
A partir du nombre de trous, nous avons calculé le MLF total foré par année, en
multipliant le nombre de trous par la profondeur d’un trou (h).
(3.2)
(3.3)
(3.4)
(3.5)
Finalement, nous avons obtenu les heures de marches requises pour réaliser ce MLF
total en le divisant par le rendement réel de l’hydrophore.
Nombre d’hydrophores requis :
Le besoin en hydrophore est tout simplement le rapport des heures requises ( ) par
les heures disponibles annuellement ( ).
Pour le forage, le même hydrophore peut être utilisée pour le stérile et le minerai. Le
nombre d’hydrophores nécessaires pour l’exploitation est donc :
3.1.3. Besoin en engins de chargement:
La feuille chargement concerne deux engins : La pelle hydraulique, pour le
chargement, et le brise-roche pour la fragmentation des blocs de minerai dont les
dimensions sont au-dessus de la norme.
Pelle hydraulique :
Temps de cycle de la pelle:
Ce temps de cycle représente pour la pelle le temps entre les débuts de remplissage
des camions. Il est composé du temps de remplissage d’un camion ( ) et du temps
de passage d’un camion au suivant ( ) :
Le temps de remplissage d’un camion est calculé à partir du temps de cycle du godet
( ) et du nombre de godets par camion ( ).
(3.6)
(3.7)
(3.8)
(3.9)
Pour le nombre de godets par camion, il peut être exprimé comme étant le rapport de
la capacité de la benne ( ) par la capacité du godet ( ), celle-ci doit être multipliée
par le coefficient de remplissage ( ) et le coefficient de foisonnement ( ).
Rendement de la pelle:
Le rendement de la pelle ( ) représente pour le minerai (respt. le stérile) le tonnage
(respt. le volume) chargé par heure.
Le rendement réel de la pelle est obtenu en divisant la capacité de la benne du camion
par le temps de cycle et en multipliant le rapport par la disponibilité ( ) et le taux
d’utilisation ( ) de la pelle. Le temps de cycle étant exprimé en secondes, il nous
faut le transformer en heures avant de l’utiliser pour le calcul du rendement.
L’équation devient donc:
Les heures de marche requises :
Les heures de marches annuelles des travaux de chargement peuvent être calculées
moyennant les formules suivantes :
 Minerai :
 Stérile :
(3.10)
(3.11)
(3.12)
(3.13)
(3.14)
Nombre de pelles requises :
La pelle est l’engin le plus sensible, si elle tombe en panne, tout le parc engin s’arrête.
C’est pour cette raison que nous avons jugé préférable de distinguer entre les pelles
destinées au chargement du stérile et celles destinées au minerai. Pour chaque faciès,
le nombre de pelles requises est :
Brise-roche :
Temps de cycle du brise-roche :
Le temps de cycle du brise-roche ( ) est calculé par la formule suivante :
Où :
: Le nombre de coups par bloc.
: Le temps par coup.
: Le temps de transition entre blocs.
Rendement du brise-roche:
Le rendement du brise roche est le tonnage total de roche brisé par heure :
Les heures de marche requises :
Normalement, une utilisation fréquente du brise-roche remet en question l’efficacité
du schéma de tir. Cependant, ce dernier peut voir son rendement diminuer à cause de
certains facteurs.
Nous avons considéré que pour 30% de la production de minerai, nous devons faire
appel au brise-roche. Ainsi ses heures de marche sont :
(3.15)
(3.16)
(3.17)
Nombre de brise-roches requis :
Le nombre de brise-roche est donc :
3.1.4. Besoin en engins de transport :
Dans la feuille transport, en plus des camions, nous avons considéré les besoins en
surfaçage effectué par le bulldozer au niveau de la mise-à-terril.
Camion :
Temps de cycle du camion :
Le temps de cycle d’un camion est
composé des facteurs suivants :
 Le temps requis par la pelle pour
charger un camion .
 Temps de déplacement chargé :
.
 Temps de déchargement ,
estimé à partir des
chronométrages (1min pour le stérile et 5min pour le minerai).
 Temps de déplacement vide : .
 Temps de manœuvre : regroupe toutes les manœuvres effectuées par le
camion pour se placer sous le godet de la pelle, au niveau de la mise à terril ou
le concasseur de l’usine, ainsi que les temps d’attente en cas d’indisponibilité
de la pelle et le temps de bâchage pour les camions de minerai.
Où :
(3.18)
(3.19)
(3.20)
Figure 11: Temps de cycle d'un camion
Temps de déchargement et de manœuvre du camion et du camion
exprimés en minute.
: Distance de roulage exprimée en Km.
: Vitesse moyenne à vide du camion exprimée en Km/h.
: Vitesse moyenne du camion chargé exprimée en Km/h.
Rendement du camion :
Le rendement du camion est calculé par la formule suivante :
Les heures de marche requises :
Les heures de marche pour transporter les matériaux abattus annuellement sont
données par les formules suivantes :
 Stérile :
 Minerai :
Nombre de camions requis :
Pour le transport du minerai et du stérile, le nombre de camions à utiliser est pour
chacun des deux exprimé par :
Bulldozer :
Le Bulldozer est utilisé dans la mine pour le surfaçage de l’espace prévu pour la mise-
à-terril et pour l’entretien de la piste.
Temps de cycle du bulldozer:
Le temps de cycle du Bulldozer ( ) est composé de 4 temps :
(3.21)
(3.22)
(3.23)
(3.24)
 Le temps de refoulement : c’est le rapport de la distance à parcourir ( ) par la
vitesse d’avancement ( ) qui doit être techniquement choisie entre 3 et
5Km/h.
 Deux temps d’inversion de marche ( ).
 Le temps de recul : qui est le rapport de la distance à parcourir par la vitesse
de recul ( ) incluse entre 5 et 7Km/h.
Rendement du Bulldozer :
Le rendement du bulldozer est calculé à partir de la capacité de sa lame ( ) et de son
temps de cycle par la formule ci-dessous :
Où :
: sont respectivement la disponibilité et le coefficient
d’utilisation du bulldozer.
Les heures de marche requises :
En considérant qu’on aura besoin d’utiliser le bulldozer pour le surfaçage de 30% de
la production stérile, les heures de marche du bulldozer sont :
Nombre de bulldozers nécessaire :
(3.25)
(3.26)
(3.27)
(3.28)
3.2. EVALUATION DES BESOINS EN EXPLOSIFS ET ACCESSOIRES DE TIR :
Dans cette partie nous avons calculé les quantités nécessaires de Tovex, d’Ammonix,
d’amorces et de ligne de tir pour abattre le volume annuel de production.
3.2.1. Le Tovex:
Le Tovex est un explosif de gel d’eau, sous forme de
cartouches. Dans notre cas, nous allons utiliser une
cartouche de 1Kg/trou. Donc la quantité de Tovex à
utiliser ( ), exprimée en Kg, est :
3.2.2. L’Ammonix :
Les explosifs Ammonix sont des granulés composés de nitrate d’ammonium et de
fuel.
La quantité d’Ammonix nécessaire est calculée par :
Tel que :
Et :
Où :
: Le volume de l’Ammonix
: La densité de l’Ammonix
: La longueur de la charge d’Ammonix
Le diamètre du trou
:Longueur de la cartouche du Tovex.
(3.29)
(2.32)
(2.31)
(2.30)
Figure 12: cartouche de Tovex
3.2.3. L’amorce :
L’amorçage de l’explosif correspond au moyen utilisé pour provoquer sa
décomposition. Une amorce est utilisée par trou. Donc :
3.2.4. Les lignes de tir :
Les lignes de tir sont utilisées pour relier les amorces entre elles et les joindre au
détonateur. Nous avons donc besoins d’une longueur égale au MLF total, d’une
longueur suffisante pour relier les trous, c.-à-d. l’espacement, et d’une longueur
suffisante pour atteindre le détonateur ; longueur que l’on a estimé à 15% de la
longueur totale.
3.3. EVALUATION DES BESOINS EN PERSONNEL :
3.3.1. Encadrement :
L’équipe d’encadrement est constituée des éléments suivants :
 Cadre : responsable de la gestion du projet.
 Technicien : peut être un chef de poste ou chef d’atelier.
 Pointeur : responsable du pointage du personnel.
 Topographe : bien que ce soit le client (MANAGEM) qui fasse les
implantations et les levés pour la facturation, il revient à TECHSUB de faire
son propre levé pour une vérification des résultats et faire au besoin une
réclamation.
3.3.2. Maintenance:
L’équipe maintenance doit être constituée des fonctions suivantes :
 Mécanicien
 Aide-mécanicien
(2.33)
(2.34)
 Pneumaticien
 Soudeur
 Graisseur
3.3.3. Opérationnels :
Ce sont les machinistes qui manœuvrent les engins d'exploitation à ciel ouvert. Leur
effectif ( ) est exprimé par la relation suivante :
Les 75% expriment le temps effectif de travail compte tenu des périodes de
récupération et de congés.
Au niveau de l’outil, les opérationnels sont regroupés dans la feuille RH suivant les
phases d’exploitation :
L’abattage :
 Foreur : l’opérateur de l’hydrophore.
 Aide-foreur : l’agent qui guide le foreur dans le déplacement et la mise-à-
niveau. Généralement, chaque foreur doit être accompagné d’un aide-foreur.
 Boutefeu : Agent responsable du tir.
Le chargement :
 Opérateur pelle
 Opérateur brise roche
Le transport :
 Conducteur camion :
 Agent bâchage : le bâchage s’effectue pour les camions de minerai à leur
sortie de la mine.
L’entretien de la piste :
 Opérateur Bulldozer
(3.35)
 Opérateur Niveleuse
 Opérateur Chargeuse
 Opérateur Compacteur
 Opérateur camion citerne
 Conclusion partielle du chapitre :
A terme de ce chapitre, nous avons dans un premier temps, dimensionné le
parc d’engin et calculé les besoins en matières pour chacune des étapes d’exploitation.
Ensuite, nous avons évalué le besoin en personnel en termes d’effectif.
Les calculs abordés dans ce chapitre, nous ont ainsi permis de compléter les
feuilles « abattage », « chargement », « transport » et « RH ».
Ces informations nous permettrons de traiter, dans le chapitre suivant, les
coûts de revient des différentes prestations.
CHAPITRE 4 : ÉVALUATION DU COUT DU
PROJET
Dans ce chapitre nous allons expliciter les calculs sur lesquels nous nous
sommes basées pour concevoir les feuilles « coût opératoire », « charges fixes »,
« entretien de la piste », «établissement » et « synthèse » en carrière. Ces volets, nous
permettrons d’estimer le coût du projet pour fixer les prix de prestations.
On distinguera entre coûts opératoires qui varient en fonction du niveau
d'activité et qui regroupent les charges proportionnelles au volume des différentes
étapes d’exploitation, et entre coûts fixes à savoir les coûts qui ne varient pas ou peu
en fonction de la quantité de la roche extraite et que l’entreprise doit subir quelque
soit sa production.
2.1. LES COUTS OPERATOIRES :
Les coûts opératoires désignent l’ensemble des dépenses liées à l’exploitation.
Leur calcul est primordial dans la mesure où ils reflètent l’activité de l’entreprise et
constituent une partie substantielle de l’ensemble des dépenses de production. Ils
représentent ainsi une étape essentielle dans le processus de calcul de rentabilité.
Pour notre cas, nous avons déterminé les coûts opératoires horaires par engin
suivant le schéma ci-dessous :
Figure 13: Composantes du coût opératoire
2.1.1. Amortissement :
L’amortissement est la répartition du coût de l’engin sur la durée probable de
son utilisation. Il exprime ainsi la dépréciation de la valeur du bien en fonction de son
utilisation.
En général, la durée de vie des amortissements est comptée en termes d’unités
d’œuvre et ce pour mieux exprimer le rythme de consommation des avantages
économiques attendus. Pour notre cas, nous avons choisi l’heure comme unité
d’œuvre pour les différents engins d’exploitation. Ainsi la durée de vie des camions,
du brise roche, de l’hydrophore a été fixée à 20000 heures, tandis que celle des pelles
est de 15000 heures. Ces durées correspondent aux nombres d’heures à partir
desquels l’exploitant doit acquérir un nouvel engin. Elles sont fixées par Techsub.
Le mode de calcul d’amortissement adopté est le mode linéaire. La base amortissable
est calculée selon la formule suivante :
L’engin étant considéré obsolète une fois qu’il atteint le nombre d’heures de
marche spécifiée, la valeur résiduelle n’est donc pas significative et est considérée
nulle.
La dotation aux amortissements est ensuite obtenue par le calcul suivant :
Dotation aux amortissements = Base amortissable x
(4.2)
Exemple : Nous allons illustrer le calcul de l’amortissement d’un dumper utilisé pour
un projet de carrière en 5ans :
Année Base amortissable
(MAD)
Unité d’œuvre (h) Amortissement
annuité
1 2 000 000 4604 460 400
2 2 000 000 4609 460 900
3 2 000 000 4727 472 700
4 2 000 000 4586 458 600
5 2 000 000 4630 463 000
Figure 14: Calcul des amortissements
Base amortissable = Valeur d’acquisition – Valeur résiduelle (4.1)
2.1.2. Énergie :
La consommation de carburant d'un véhicule est fonction de son rendement
énergétique. Ce type de données étant en général fourni par le fabricant, il suffit de
multiplier le nombre des heures de marche de l’engin par sa consommation horaire de
gasoil.
2.1.3. Maintenance et pièces de rechange :
Ce sont les coûts de réalisation des prestations de maintenance. Ils sont
constitués des coûts liés à :
La main d’œuvre maintenance: englobe le personnel d’exécution et le
personnel de méthodes et gestion de stock. En plus du calcul du taux horaires des
prestations, la valorisation de la main d’œuvre se fait en incorporant toutes les charges
afférentes au personnel à savoir : les indemnités, les frais d’assurances etc.
Les matières : incluent les pièces de rechange et les consommables. Ces coûts
diffèrent d’un engin à l’autre, selon les parties du véhicule qui sont le plus sujettes aux
pannes.
Les méthodes : comprennent les méthodes de management de maintenance, les
moyens documentaires et les procédures.
Quant au local de maintenance et aux outils et instruments dont il est équipé, ils
sont comptabilisés dans les frais d’établissement, frais que l’on va détailler dans un
autre partie et qui seront facturés au client comme prestation à part au début du
lancement de l’exploitation.
2.1.4. La main d’œuvre opérationnelle :
Chaque membre du personnel d’exécution est affecté au véhicule
correspondant. La rémunération du personnel est multipliée par les heures d’ouverture
ainsi que le nombre de poste. La rémunération, comme pour la main d’œuvre
maintenance, comprend le salaire et les indemnités, assurances etc.
2.1.5. Pneumatique :
Étant donnée la consommation importante en pneu de certains véhicules tels que
les Dumpers, les coûts de pneumatique sont calculés à part, en dehors des coûts de
maintenance. En effet la nature du terrain manipulée ainsi que l’infrastructure routière
difficile, accentue considérablement le besoin en pneumatiques. Ainsi un dumper
consommerait, en moyenne 3.5 pneus par mois.
2.2. CHARGES FIXES :
Les charges fixes, calculés sur la feuille éponyme, sont tout aussi importantes
que les charges variables, dans le calcul du coût de revient. Pour estimer ces coûts,
nous nous sommes basées sur les historiques de projets antérieurs de Techsub, et ce
en pondérant certains coûts par l’effectif de la mine comme pour le cas des EPI et des
frais de transport du personnel.
Les charges fixes pour l’exploitation en carrière sont :
 Frais de téléphone et internet.
 Frais d’électricité.
 Frais EPI (500 MAD par personne par mois).
 Frais de carburant (des voitures de service).
 Frais de transport du personnel (741 MAD par personne par mois).
 Frais de gestion siège.
2.3. CALCUL DU COUT DE REVIENT :
Une fois les coûts opératoires et les coûts fixes calculés, nous allons pouvoir
déterminer les coûts de revient de l’exploitation. Ces coûts sont regroupés sous la
feuille « synthèse ».
Pour une meilleure lisibilité des différents constituants des coûts de revient,
nous distinguerons entre les coûts de chaque étape d’exploitation par type de faciès.
Ainsi le coût du minerai par exemple, est constitué du coût d’abattage, du coût
de chargement et du coût de transport.
Le coût de revient de chaque étape est calculé selon la formule suivante :
Coût de revient = ∑ Coût opératoire engin x heures de fonctionnement engin (4.3)
Pour l’opération d’abattage, les coûts des explosifs utilisés lors du tir sont aussi
intégrés au calcul.
Le coût de revient total est donné par la relation suivante :
Coût de revient = Coût d’abattage + Coût de chargement + Coût de transport + CF (4.4)
Puisque l’on distingue entre coût de revient du minerai et celui du stérile, les
coûts fixes sont pondérés entre les deux types de faciès selon le tonnage extrait de
chacun.
2.4. COUT DES PRESTATIONS ANNEXES :
2.4.1. Coût d’aménagement du site :
L’installation du chantier est rémunérée forfaitairement en dehors des
prestations d’exploitation du minerai.
Ce coût inclut les prestations suivantes :
 Frais d’amenée, d’installation et de repli du matériel.
 Frais d’installation et de fonctionnement des locaux du chantier (bureau, salle
de réunion…).
 Frais d’installation des ateliers d’entretien et d’approvisionnement.
 Frais d’installation du personnel et matériel.
Le coût d’aménagement du site est effectué au niveau de la feuille « Établissement ».
2.4.2. Coût d’entretien de la piste :
C’est une prestation facturée mensuellement, en dehors des frais d’exploitation
du gisement. Elle comprend la réalisation, l’entretien et l’arrosage quotidien des pistes
d’accès.
Ce coût est calculé sur la base du kilométrage de piste parcouru par les engins
d’entretien au sein de la mine.
Le matériel d’entretien se constitue de :
 Bulldozer.
 Niveleuse.
 Chargeuse.
 Compacteur.
 Camion citerne.
La feuille « entretien » calcule d’abord le kilométrage annuel parcouru par les
différents engins d’entretien. Ensuite les coûts d’amortissement, d’énergie, de
maintenance et pièces de rechanges, de main d’œuvre et éventuellement des coûts de
pneumatique sont injectées pour le calcul des différents coûts opératoires.
 Conclusion partielle du chapitre :
Lors de ce chapitre, nous avons estimé la totalité du coût du projet. Après
fixation d’une marge bénéficiaire par l’utilisateur, l’outil calcule via la feuille
« bordereau de prix » les prix des différentes prestations via la formule suivante :
Les prix constituant cette feuille sont :
 Le prix d’abattage, de chargement et de transport d’une tonne de minerai.
 Le prix d’abattage, de chargement et de transport d’un mètre cube de stérile.
 Le prix mensuel d’entretien de la piste.
 Le prix forfaitaire d’aménagement du site.
Nous devons maintenant, évaluer la rentabilité du projet à travers l’évaluation
financière de celui-ci.
(4.5)
CHAPITRE 5: ÉVALUATION FINANCIERE DU
PROJET ET ETUDE DE SENSIBILITE
5.1.RENTABILITE AVANT FINANCEMENT :
Dans cette partie nous allons introduire les différents indicateurs de calcul de
rentabilité sur lesquels nous nous sommes basées pour l’évaluation d’un projet en
carrière.
La totalité de ces paramètres financiers est regroupé sur une même feuille :
« rentabilité ».
5.1.1. Les flux nets de trésorerie (FNT):
Ce sont les valeurs obtenus par la différence entre encaissements et décaissements à
la fin de chaque exercice :
Les encaissements ou bénéfices imputables au projet sont constitués de :
 Chiffres d’affaire engendrés par l’investissement.
 Amortissement comptable de l’investissement.
 Capacité d’autofinancement.
Quant aux décaissements ils sont composés de :
 Charges d’exploitation générées par l’investissement
 Impôt
 Variation du BFR
 Investissement
Pour faciliter le calcul des flux de trésorerie, nous allons adopter le tableau suivant
regroupant les encaissements et les décaissements :
Périodes Année 0 Année 1 … Année N
1. CA engendré par l'investissement
2. Charges d'exploitation générées par l'investissement
(5.1)
3. Amortissement comptable de l'investissement
4. Total des charges générées par l'investissement=2+3
5. Résultat comptable avant impôts=1-4
6. Impôt
7. Déduction Impôt=5 x 6
8. Résultat net=5-7
9. Capacité d'autofinancement=5+3
10. Variations du BFR
11. Investissement
12. Valeur résiduelle nette d'IS
13. Flux économiques (Cash flow)=8+3
Tableau 4:Tableau des flux nets de trésorerie
Nous allons détailler toutes les rubriques constituant ce tableau :
Chiffres d’affaire engendrés par l’investissement : c’est le montant des gains
engendrés par le paiement des prestations facturées au client, à savoir :
 Les ventes de minerai.
 Les ventes de stérile.
 L’entretien de la piste.
 L’aménagement du site facturé durant la 1ère
année.
Charges d’exploitation générées par l’investissement : C’est la somme de
coût des explosifs, des différents coûts opératoires engins et des charges fixes du
projet diminués des amortissements qui sont repris dans la rubrique ci-dessous.
Amortissement comptable de l’investissement : L’amortissement est le total
des dotations aux amortissements des différents engins d’exploitation.
Total des charges générées par l’investissement : C’est la somme des charges
d’exploitation et des amortissements.
Résultat comptable avant impôt : C’est la différence entre chiffre d’affaires et
total des charges d’exploitation de l’investissement.
Impôt : Représente le taux d’imposition sur le projet.
Déduction impôt : C’est le montant d’impôt à payer.
Résultat net : C’est le résultat net après déduction du montant d’impôt.
Capacité d’autofinancement : C’est le résultat net augmenté des
amortissements. Ce montant sert à renouveler les immobilisations et à rembourser une
partie des dettes.
Variation du BFR : Il retrace le décalage entre encaissement et décaissement
des flux liés aux projets.
Investissement : C’est le prix d’acquisition des engins ainsi que les frais
d’aménagement du site.
Valeur résiduelle nette d’IS : C’est le montant de la valeur résiduelle des
amortissements diminués de l’impôt sur la société.
Flux économiques : C’est la somme du résultat net et des dotations aux
amortissements.
5.1.2. La valeur actualisée nette (VAN):
Ce critère d’évaluation prend en considération la différence entre flux de
trésorerie actualisés sur la durée de vie du projet, et le capital investi selon la relation
suivante :
Le principe d’actualisation rend homogènes les montants perçus ou déboursés à
des périodes différentes ; le taux d’actualisation utilisé dans ce cas est le taux
minimum de rentabilité exigé par l’entreprise. L’investissement sera rentable si le
résultat est positif.
5.1.3. Le taux de rendement interne (TRI):
Le TRI est le taux d’actualisation qui annule la valeur actuelle nette. En
d’autres termes c’est le taux qui égalise la somme des flux nets de trésorerie et le
montant d’investissement initial.
(5.2)
Tout projet dont le TRI est inférieur au taux de rentabilité minimum est rejeté
car susceptible de remettre en jeu la rentabilité globale de l’entreprise.
Le TRI est directement calculé par la fonction « TRI » d’Excel.
5.1.4. L’indice de profitabilité (IP):
C’est le rapport entre flux nets de trésorerie actualisés et montant de
l’investissement. Cet indice est calculé par la formule suivante :
Une fois ce rapport calculé, l’outil revoie les données suivantes :
Si IP > 1 : Projet rentable
Si IP = 1 : Équilibre
Si IP < 1 : Projet non rentable.
5.1.5. Le délai de récupération du capital investi (DRCI):
C’est la durée au bout de laquelle, le montant cumulé des flux de trésorerie
actualisés égalise le montant du capital investi.
Il est estimé par la formule suivante :
Où :
FNAC inf. : dernière valeur négative des flux nets actualisés cumulés
FNAC sup. : première valeur positive des flux nets actualisés cumulés
5.2.FINANCEMENT :
Une fois que l’outil nous indique que le projet est rentable, il faut chercher un
financement optimal. Cette partie est traitée dans la feuille « financement ».
Nous devons donc confronter les besoins du projet d’une part et les ressources
disponibles de l’entreprise d’une autre part, afin de trouver la meilleure solution
financière qui équilibre les flux annuels.
(5.3)
(5.4)
5.2.1. Plan de financement :
Il retrace les mouvements de la trésorerie sur la durée de vie du projet. Il est
composé de deux grandes parties :
 Besoins.
 Ressources.
La différence des deux constitue le solde du projet. L’équilibre trésorerie est
défini quant à lui par les soldes cumulés qui doivent tous avoir une valeur positive ou
nulle.
Année 1 … Année n
Capacité d’autofinancement (CAF)
Revente d’actifs
Capitaux propres
Financement externe
Ressources (1)
Investissement
Dividendes
Besoin en fonds de roulement
Remboursement des emprunts
Charges financières
Besoins (2)
Solde (2)-(1)
Solde cumulé =
Tableau 5: plan de financement
La capacité d’autofinancement du projet représente sa capacité à dégager une
ressource qui pourra être réinjectée en cas de renouvellement du parc engin ou de
croissance de l’activité.
La revente d’actifs : en cas de renouvellement des équipements, leur valeur peut être
considérée comme ressource pour le projet. Pour le cas de Managem, la valeur
résiduelle des engins est nulle.
Les capitaux propres : ce sont les apports propres de Techsub.
Le financement externe: pour Techsub, c’est l’emprunt qu’elle va effectuer auprès
de la banque.
L’investissement : il représente soit l’investissement initial du projet, soit les
investissements de renouvellement.
Remboursement des emprunts : ce sont les annuités à payer.
Charges financières : les intérêts dus à l’emprunt ou encore rémunération de
l’emprunt.
Solde : retrace le mouvement annuel de la trésorerie.
Solde cumulé : il est égal à la trésorerie possédée à la fin de la période en cours.
5.2.2. Échéancier de remboursement de l’emprunt :
L’échéancier retrace les calculs des flux engendrés par le financement :
 Dette début de période : c’est le montant non remboursé de l’emprunt en
début de la période.
 Annuité à rembourser : c’est l’amortissement de l’emprunt sur son délai de
remboursement :
 Charges financières : rémunération du prêteur. Ils sont définis par le taux
d’intérêts négociés avec le banquier.
Sur la feuille « financement », ces éléments sont regroupés sous l’échéancier
suivant :
(5.4)
(5.3)
(5.5)
Année 1 … Année n
Dette début de période
Annuité à rembourser
Charges financière
Tableau 6: Echéancier de financement
5.2.3. Réalisation d’un plan de financement optimal :
Afin de garantir l’équilibre de la trésorerie, nous devons chercher l’emprunt
nécessaire pour annuler le solde cumulé ou lui attribuer une valeur positive.
Pour chaque année, nous supposons que nous pouvons faire un emprunt précis.
Chaque emprunt devra être défini par un taux d’intérêt et un délai et un
remboursement que l’utilisateur aurait négocié avec un organisme de crédit.
Le plan de financement du projet va être composé du total des échéanciers de
remboursement de l’ensemble des emprunts. La nouvelle CAF est calculée à partir de
la somme des charges financières :
Le problème linéaire peut être posé comme suit :
 La fonction à minimiser :
Figure 15:Financement Excel
(5.6)
En considérant chaque emprunt sur sa durée totale, nous devons chercher à
minimiser son coût effectif total en minimisant les charges financières actualisées
cumulées.
 Les variables :
Les emprunts à effectuer à l’année i-1 avec un taux d’intérêt et un délai de
remboursements .
 Les contraintes :
 Les soldes cumulés doivent être tous positifs ou nuls.
 Les emprunts à payer au début de chaque année doivent être positifs.
 Dans certains cas, l’endettement ne doit pas dépasser une valeur plafond.
Le système à résoudre est donc :
Nous avons choisi de recourir au solveur, complément d’Excel, pour résoudre le
système linéaire.
La résolution du système se fait selon les étapes :
- On sélectionne la cellule cible qui est, dans notre cas, la somme des intérêts
cumulés actualisés. Puisque l’on cherche à minimiser sa valeur, on sélectionne
la case « min ».
- On définit les cellules variables, à savoir les cellules des emprunts :
Figure 17: Variables solveur
- On définit les contraintes : tous les soldes cumulés ainsi que les emprunts doivent
avoir une valeur positifs ou nuls.
Figure 18: Contraintes solveur
Figure 16: Solveur
5.3.RENTABILITE FINANCIERE :
La rentabilité financière mesure ce que dégage le projet par rapport à l’ensemble
des capitaux qui lui sont nécessaires. Elle est calculée en rajoutant aux flux calculés
avant financement, ceux engendrés par le financement. Elle est recalculée via le
tableau suivant :
Année 1 … Année n
Investissement (1)
CAF (2)
Cash Flow avant financement (3)=(2)-(1)
Emprunt (4)
Remboursement des emprunts (5)
Charges financières (6)
Incidence fiscale (7)
Flux nets de trésorerie Emprunt (8)= (4)-((5) +(6) +(7))
Cash flow après financement (9)=(3) +(8)
Cash-flow actualisés
Figure 19: Flux nets de trésorerie après financement
5.4.ANALYSE DE SENSIBILITE ET DE SCENARIO :
Vu le caractère incertain de l’environnement d’investissement en général, et
celui du milieu minier en particulier, l’évaluation financière est complétée par une
analyse de sensibilité.
La rentabilité mesurée par l’outil renvoie à un scénario de référence ;
combinaison de facteurs considérés comme les plus plausibles. L’analyse de
sensibilité consiste à modifier certains de ces facteurs sur une base donnée, puis à en
mesurer l’impact sur la rentabilité à travers les variations induites sur le TRI et la
VAN. Cette démarche permet ainsi de maitriser les fluctuations des variables
susceptibles de compromettre le projet mais aussi de dégager les possibilités et
opportunités offertes par le projet.
L’analyse de sensibilité porte principalement sur :
 Le coût de l'investissement
 Le chiffre d’affaires engendré
 Les charges d’exploitation
 La marge bénéficiaire
 Le taux d’actualisation
Pour effectuer ces simulations, une feuille « Sensibilité » est directement
intégrée à l’outil. Cette feuille consiste en une série de tableaux et de graphiques qui
représentent les effets de variations sur la VAN et sur le TRI. L’utilisateur indique
l’étendue de la plage de simulation. A l’issu de chaque simulation, il pourra
interpréter les résultats de cinq scénario.
En variant la plage de sensibilité, l’utilisateur peut effectuer autant d’analyses
de sensibilité souhaitées sans affecter les résultats des autres feuilles de calcul.
Une fois les simulations effectuées, l’investisseur pourra modifier la valeur des
facteurs qui influencent le plus la rentabilité.
Il pourra ainsi identifier les valeurs des paramètres charnières auxquels il faudra
apporter une grande attention. Ces variables ne sont autres que les sources de risque
encouru par le projet, risque qu’il se doit de réduire afin d’obtention des ressources de
financement nécessaires.
5.5.ETUDE DE RISQUE :
Le risque est une composante essentielle de l’environnement d’un projet. En
effet, tout changement dans un élément interagissant avec le projet peut le
déstabiliser et remettre son succès en jeu. Un plan de réponse au risque s’impose au
niveau de l’étude de faisabilité du projet afin de maximiser les conséquences positives
et minimiser les répercussions négatives allant à l’encontre du projet.
Dans l’industrie minière, le contrôle du risque est une nécessité. Ce secteur
étant par essence risqué, le contrôle des différents aléas doit impérativement être pris
en charge et ce dès la conception du projet. Toute organisation minière qui identifie
clairement les risques auxquels elle est exposée, peut prendre les mesures adéquates
afin de réduire les pertes et en tirer des avantages économiques et organisationnels.
Nous proposons dans cette partie d’identifier les risques potentiels pour les
mettre en relief et en dégager les principaux effets.
5.5.1. Identification du risque :
Il est primordial de recenser l’ensemble du risque inhérent au projet minier
selon une structure bien définie. Le schéma suivant regroupe les différents types de
risque encourus pour un projet d’exploitation minière:
Figure 20: Schéma des risques des projets
a. Risque économique :
-Risque d’inflation :
Les risques de l’inflation sont la cause d’augmentation du coût des engins et des
matières qui constituent la totalité de l’investissement du projet d’exploitation en
carrière. Cela peut donc induire une perte de profits pour l’entreprise. Les taux
d’inflation sont aussi étroitement liés au taux d’intérêts, ainsi pour compenser toute
baisse de la valeur des fonds accordés par les prêteurs dus à l'inflation, l’entreprise
peut voir augmenter le taux d’intérêt.
-Pénurie d’énergie :
Les pannes d’électricité et les pénuries en gasoil perturbent et ralentissent
l’exploitation en carrière. Sur le long terme, le déficit énergétique pourrait reporter,
voire annuler de nombreux projets miniers surtout en Afrique australe. De plus, les
Risque
Contractuel
Risque politique
Risque de
Management
Risque
écnomique
mines sont souvent localisées dans des endroits reculés qui ne disposent pas de point
d’approvisionnement en énergie. L’alimentation en électricité pour la mine de Sidi-
Ali par exemple, se fera par groupe électrogène et sera donc conditionnée par leur
seul état de marche.
-Taux de change :
Puisque Techsub opère à l’international, le risque relatif aux fluctuations de la devise
constitue un risque significatif. L’exploitation à l’international se fait en dollar et ce
dernier ne cesse de connaître des fluctuations sans précédent depuis ces dernières
années.
b. Risque contractuel :
-Défaut de paiement :
C’est l’une des préoccupations majeures des entreprises. Il s’agit du non-respect
volontaire ou du non paiement d’une partie ou de la totalité des dettes. C’est la
première manifestation concrète des difficultés financières d'une entreprise ou de ses
clients. L’ampleur de ce risque varie en fonction des délais et des montants de
paiement, et selon que l’on ait affaire à un client étranger ou local, le risque encouru
étant plus grand en cas de client étranger.
-Retard et changement d’ordonnancement:
Ces risques induisent un surcoût pour l’entreprise par le biais de pénalités pour non
respect des engagements contractuels. Les retards dans le démarrage de l’exploitation
du projet induisent aussi un manque à gagner.
-Défaut de coordination:
En cas de contrat ambigu, des conflits peuvent apparaître entre exploitant et
fournisseur remettant ainsi en cause la clarté des clauses. Cela est dû à la présence
d’erreurs ou d'oublis relatifs aux conditions dans lesquelles le contrat a été conclu.
c. Risque politique :
-Risque environnemental :
L’impact de l’exploitation en carrière sur l ‘environnement est très important : érosion
des terrains, déchets, poussières, sont parfois à l'origine de pollutions graves. Des
législations environnementales peuvent donc être émises à tout moment et arrêter
l’exploitation en cas de graves dégâts environnementaux.
-Désordre public :
Le projet est conditionné par le climat social du pays ou il se tient et de sa stabilité
politique. Ainsi la survenance de guerres ou de conflits politiques peuvent induire des
pénuries, des limitations de mouvements de capitaux ou un arrêt définitif de l’activité
d’exploitation.
-Actes et régulations gouvernementaux :
Le code minier comporte des parties de nature législative et d’autres de nature
réglementaire qui peuvent être sujettes à des modifications concernant la délivrance
de permis minier ou un changement des taux des taxes ou des impôts. Ces législations
peuvent aussi porter sur la nature des matériaux utilisés en exploitation en carrière, en
imposant par exemple les explosifs à utiliser durant l’étape du tir.
d. Risque lié au Management :
-Productivité :
L’exploitation en carrière nécessite la gestion d’un grand nombre de personnes et d’un
important parc d’engin. Une mauvaise gestion de ces ressources peut entrainer une
baisse de productivité tant des machines que de la main d’œuvre.
- Contrôle qualité :
Les méthodes d’exploitation en carrière nécessitent une planification pour déterminer
les normes qualités pertinentes pour chaque projet. En cas de non contrôle des
prestations cela induit des performances insatisfaisantes qui ne répondent pas aux
exigences du client, comme par exemple la taille des blocs du minerai qui est fixée au
préalable par l’usine de traitement.
-Sécurité :
Le secteur minier recense un nombre élevé d'accidents par rapport aux autres secteurs
industriels. La nature du terrain, les conditions climatiques changeantes, les matériaux
et engins utilisés, les contraintes de temps, les contraintes économiques, toutes ces
caractéristiques imposent une prévention et une priorité d’actions par rapport aux
risques encourus.
-Compétences managériales :
Ce risque se manifeste en cas de pilotage inadéquat du projet, comme le manque de
coordination entre les différentes sections, une dilution importante des
responsabilités, ou encore une communication interne insuffisante.
5.5.2. Analyse de la vulnérabilité :
Après recensement des différents risques auxquels s’expose un projet d’exploitation
en carrière, nous allons établir une cartographie des ces menaces afin d'évaluer leurs
criticités et quantifier leurs conséquences d’apparition.
La cartographie des risques se présente sous une matrice probabilité/impact, les
risques y sont répartis sur une échelle de 1 à 4 selon chaque critère.
La vulnérabilité de chaque risque est ensuite mesurée selon la formule :
V=P x I (6.1)
Où :
V : Vulnérabilité
P : Probabilité
I : Impact
Ce travail étant empirique, il est essentiel de garder une cohérence tout au long du
l’élaboration de la matrice, et ce par consensus entre les différentes entités
concernées.
La matrice des risques est représentée ci-dessous :
Probabilité
Impact
Improbable Possible Probable
Très
probable
Faible 1 2 3 4
Moyen 2 4 6 8
Important 3 6 9 12
Très important 4 8 12 16
Figure 21: Matrice des risques
Risque de faible priorité
Risque de moyenne priorité
Risque de haute priorité
Risque de très haute priorité
Les résultats seront ensuite reportés sur un graphique en radar.
Durant la phase de planification de projet, des actions devront être mises en
place afin de ramener les risques à un degré de vulnérabilité acceptable. Ces actions
devront porter sur des dispositifs de veille, des contrôles et des mécanismes de
contournement pour pallier aux différents problèmes.
Conclusion partielle du chapitre :
La rentabilité économique a été, dans un premier temps, déterminée par
le calcul de différents indicateurs financiers. Ensuite, nous avons établi un plan de
financement dont la résolution a été optimisée par programmation linéaire.
Finalement, nous avons recalculé la rentabilité financière qui représente un facteur
déterminant quant au choix d’investissement. La viabilité des projets étant liée à des
facteurs externes dont le changement pourrait réduire à néant le bénéficie escompté,
nous avons proposé une analyse de sensibilité et des risques pour pallier à de tels
dangers.
A ce stade, l’outil étant constitué, nous allons passer dans le chapitre
suivant à l’application aux projets Sidi-Ali et Pumpi-Kamassani.
CHAPITRE 6: APPLICATION AUX PROJETS
6.1. PROJET SIDI ALI :
6.1.1 Données :
a- Situation géographique :
La carrière de Sidi Ali est située dans la province de Goulmim, à 200Km
d’Agadir et à environ 75km de l’usine de traitement d’AGM (lieu de livraison du
minerai).
b- Ressources géologiques :
Les travaux d’exploitation de la carrière de Sidi Ali sont destinés à la production
du cuivre. Une première estimation des réserves prévoit une production totale de
1478425t de stérile de densité 2,75 et 5040590t de minerai de densité 2,7 étalée sur
une période de 5ans au rythme de 295685t de minerai par an.
Le schéma de tir exigé par le client est le suivant :
Facies Espacement Banquette Profondeur Diamètre
Minerai 3,5m 2m 5m 76mm
Stérile 3,5m 3m 10m 89mm
Tableau 8:Schéma de tir de la mine de Sidi-Ali
c- Environnement et contraintes :
La carrière présente un environnement relativement difficile lié aux faits suivants :
 Conditions climatiques présahariennes : climat aride caractérisé par la rareté et
l’irrégularité des précipitations (moyenne annuelle des précipitations : 48mm)
 Éloignement par rapport aux sites urbains.
 Indisponibilité d’eau et d’électricité à proximité de la carrière.
d- Choix des engins :
L’utilisateur a la liberté de choisir les marques, les caractéristiques et l’état (neuf ou
d’occasion) de chaque engin au début du dimensionnement.
1 2 3 4 5
Minerai 295 685t 295 685t 295 685t 295 685t 295 685t
Stérile 1 008 118t 1 008 118t 1 008 118t 1 008 118t 1 008 118t
Stripping Ratio 3,41 3,41 3,41 3,41 3,41
Tableau 7: Planning de production de la mine de Sidi-Ali
Engin Marque Référence capacité Etat
Pelle hydraulique
minerai
Komatsu PC 300 Godet 1,3m3 Neuf
Pelle hydraulique
Stérile
Komatsu PC 300 Godet 1,3m3 Neuf
Dumper minerai KOMATSU HD 255 Benne 48,675t Neuf
Vitesse à
vide
60km/h
Vitesse
chargé
50km/h
Dumper stérile Komatsu HM 250 Benne 14,7m3 Neuf
Vitesse à
vide
30km/h
Vitesse
chargé
20km/h
Hydrophore Atlas Copco Longueur de
la tige
6,33m Neuf
Brise roche Volvo poids
marteau
800Kg Neuf
Bulldozer Caterpillar Lame 14m3 occasion
Niveleuse Caterpillar occasion
Chargeuse Caterpillar Godet 4,45m3 occasion
Compacteur Caterpillar Cylindre 1,035m occasion
Citerne Volvo occasion
Tableau 9:Description du parc d’engins de la mine de Sidi-Ali
e- Poste :
Durée totale poste 720 min
Changement poste 60 min
Déplacement engin 15 min
Installation engin 5 min
Pause 60 min
Replis engin 10 min
Contrôle engin 10 min
Temps d´ouverture 560 min
Jours ouvrable/an 360 jr
Tps d´ouverture/an 6720 h
Tableau 10: Durée effective du poste de travail
f- Caractéristiques du terrain :
g- Coût d’énergie :
Énergie Prix
Gasoil 8MAD/l
Électricité 5MAD/KWh
Tableau 12: Prix de l’énergie au Maroc
6.1.2. Évaluation des besoins :
a- Parc engin :
En introduisant les données relatives aux réserves en minerai et stérile, au
schéma de tir et aux distances de roulage, l’outil calcule automatiquement le besoin en
engin du projet. Le tableau ci-dessous résume l’ensemble du parc des machines
d’exploitation :
Engin effectif
Pelle minerai 1
Pelle stérile 1
Hydrophore 1
dumper stérile 2
dumper minerai 5 +1 standby
brise roche 1
bulldozer 1
chargeuse 1
niveleuse 1
compacteur 1
camion citerne 1
Tableau 13: Dimensionnement du parc d’engins de la mine de Sidi-Ali
Granulométrie Coef. de
foisonnement
Coef. de
remplissage
Densité
Minerai Moyenne 1,43 0,8 2,75t/m3
Stérile Grande 1,43 0,7 2,7t/m3
Tableau 11: Caractéristiques de la roche manipulée à la mine de Sidi-Ali
b- Besoin en explosifs et accessoires de tir:
Le besoin annuel en explosif calculé par l’outil pour réaliser un tonnage égal à
celui du planning est représenté sur le tableau ci-dessous :
Minerai
Amorces 3072
Tovex 3072,05kg
Ammonix 52957,71kg
Ligne de tir 30029,31m
Stérile
Amorces 3556
Tovex 3555,97kg
Ammonix 178636,72kg
Ligne de tir 55206,46m
Tableau 14: Évaluation du besoin en explosifs de la mine de Sidi-Ali
c- Besoin en personnel :
Pour l’effectif de la mine, l’outil estime le besoin en personnel suivant :
Poste Effectif
Cadre 1
Technicien 2
Pointeur 1
Topographe 1
Mécanicien 4
Aide-mécanicien 2
Pneumaticien 3
Soudeur 4
Graisseur 4
Foreur 3
Aide-foreur 3
Boute feu 0
Opérateur pelle 6
Opérateur brise-roche 2
Conducteur dumper 19
Agent bâchage 2
Opérateur bulldozer 3
Opérateur niveleuse 3
Opérateur chargeuse 3
Opérateur compacteur 3
Opérateur camion citerne 3
Tableau 15: Évaluation du besoin en personnel de la mine de Sidi-Ali
6.1.3. Coût du projet:
a- Coûts opératoires des engins :
Le tableau suivant regroupe l’ensemble des coûts opératoires de chaque engin :
Engin Coût opératoire
Hydrophore 1103,61MAD/h
Pelle minerai 572,44MAD/h
Pelle stérile 530,66MAD/h
Brise roche 503,16MAD/h
Dumper minerai 460,49MAD/h
Dumper stérile 513,72MAD/h
Bulldozer 968,95MAD/h
Tableau 16: Évaluation des coûts opératoires d’engins de la mine de Sidi-Ali
b- Coût de revient des prestations :
Minerai
Abattage Coût abattage unitaire 4,47MAD/t
Chargement Coût chargement unitaire 10,57MAD/t
Transport Coût unitaire transport 41,95MAD/t
Coût/tKU 0,56MAD/t
Frais fixes 664 665,15 MAD
Coût de revient 59,24MAD/t
Stérile
Abattage Coût abattage unitaire 6,94MAD/m3
Chargement Coût unitaire chargement 6,66MAD/m3
Transport et surfaçage Coût transport unitaire 18,48MAD/m3
Frais fixes 2 266 130,85 MAD
Coût de revient 38,14MAD/m3
Entretien de la piste 45 948,27MAD/mois
Établissement 813,500MAD
Tableau 17: Coûts de revient de l’exploitation de la mine de Sidi-Ali
6.1.4. Bordereau de prix :
En appliquant une marge bénéficiaire de 10%, les prix de soumissions sont les
suivant :
Abattage stérile m3 44,48 MAD
Chargement, transport et mise à la décharge des
matériaux stériles
Abattage du minerai T 68,70 MAD
Chargement du minerai
Transport du minerai vers l'usine
Aménagement du site Forfait 976 200,00 MAD
Travaux de piste Mois
57 435,77 MAD
Tableau 18: Bordereaux des prix du projet Sidi-Ali
6.1.5. Évaluation financière du projet :
A ce stade, l’outil dispose de toutes les données nécessaires pour évaluer la
rentabilité du projet. Avec un taux d’actualisation de 12%, les facteurs de rentabilité
économique et financière sont résumés dans le tableau ci-dessous :
Avant financement Après financement
VAN 3 879 220,12MAD VAN
952 656,07 MAD
TRI 19%
Délai de
récupération
4,23
IP 1,16
Financement
Emprunt Année Taux d’intérêts Délais de
récupération
24 953 500,00MAD
Démarrage 10% 5ans
1 494 741,69MAD
Année 3 8% 3ans
Tableau 19: Calcul de rentabilité avant et après financement
6.1.6. Analyse de sensibilité et de risque:
Comme nous l'avons précisé dans le chapitre sensibilité et risque, l'outil permet
d'effectuer une analyse de sensibilité des indicateurs financiers en variant certains
paramètres du projet. Les plages de variations des paramètres ainsi que les résultats de
sensibilité sont portés sur le tableau suivant :
% VARIATION TRI VAN
INVESTISSEMENT -30% 17467450 47% 12415270,12
-15% 21210475 33% 8897245,122
0% 24953500 23% 5379220,122
15% 28696525 15% 1861195,122
30% 32439550 9% -1656829,878
MARGE
BENEFICIAIRE
-30% 11% 16% -2125222,295
-15% 13% 20% 237481,9703
0% 15% 25% 2600186,235
15% 17% 29% 4962890,501
30% 20% 33% 7325594,766
CASH-FLOW -50% 6024955,659 9% -1500204,269
-25% 9037433,488 14% 1189507,338
0% 12049911,32 19% 3879219,838
25% 15062389,15 25% 6568932,338
50% 18074866,98 31% 9258643,946
TAUX
D’ACTUALISATION
-50% 6% 23% 9437024,317
-25% 9% 23% 7288434,089
0% 12% 23% 5379220,122
25% 15% 23% 3674360,525
50% 18% 23% 2144944,566
CHARGES
D’EXPLOITATION
-30% 8% 29% 8348390,996
-15% 10% 24% 6113805,371
0% 12% 19% 3879220,371
15% 14% 15% 1644635,371
30% 16% 11% -589950,2543
Tableau 20: Résultats d’analyses de sensibilité du projet Sidi-Ali
A partir des configurations ci-dessus, l'analyse de sensibilité montre que la
VAN et le TRI sont très sensibles aux variations que nous avons effectuées. Ainsi, par
exemple on peut s'apercevoir que si nous augmentons l’investissement initial de 30%
nous obtenons un TRI de 9%, valeur qui est au-dessous du minimum exigé par
Techsub, fixé à 16%.
La représentation graphique des différentes variations de sensibilité est portée en
Annexe5
.
Pour ce qui est des risques encourus par le projet Sidi-Ali, ils sont représentés
sur le graphique suivant :
5
Voir annexe 6
Figure 22: Graphique en radar des risques encourus par le projet Sidi-Ali
6.2. PROJET PUMPI-KAMASSANI
6.2.1. Données
a- Situation géographique :
Le projet PUMPI & KAMASSANI se situe à proximité du territoire de Kolwezi de la
province du Katanga en RDC.
Le gisement est composé de deux parties distantes de 3km : PUMPI à l’Est et
KAMASSANI à l’ouest. La fosse PUMPI s’étend sur une profondeur de 185m sur
une longueur de 582m et une largeur de 375m. Celle de KAMASSANI a une
morphologie caractérisée par une profondeur de 110m et une longueur de 490m et une
largeur de 240m.
b- Ressources géologiques :
La minéralisation est cobalto-cuprifère, la densité est de 1.8 t/m
3
pour le minerai et
pour le stérile. La production de ce projet est estimée à un total de et 30000000 tonnes
de stérile et 3 660000 tonnes de minerai étalé sur une période de 7ans au rythme de
500 000 t de minerai /an. Le planning de production est le suivant :
0
2
4
6
8
10
12
14
16
Risque Inflation
Pénurie d'Energie
Risque Taux de
change
Défaut de
paiement
Risque retard et
ordonnacement
Défaut de
coordination:
Risque
environnemental
Productivité
Contrôle qualité
Sécurité
Compétences
managériales
Désordre public
1 2 3 4 5 6 7
Minerai 505801t 506329t 519250t 503849t 508637t 508685t 606771t
Stérile 4736489t 4753379t 4613888t 4081179t 3992327t 3749321t 4082127t
Stripping
Ratio
9,36 9,39 8,89 8,10 7,85 7,37 6,73
Tableau 21: Planning de production de la mine de Pumpi-Kamassani
c- Environnement et contraintes :
Le climat de la région de Kolwezi est de type tropical humide comportant deux saisons : une
saison sèche et une saison de pluies. La moyenne annuelle des précipitations est de 1220 mm
et celle des températures est de 20,3°C.
L’accès au site se fait par voie ferroviaire ; les lignes de chemin de fer traversent la
mine. Concernant l’alimentation électrique, une ligne de haute tension est située à
environ 1500m au sud de la carrière.
Facies Espacement Banquette Profondeur Diamètre
Minerai 2,5m 2m 5m 76mm
Stérile 3,5m 3m 10m 89mm
Tableau 22: Schéma de tir de la mine de Pumpi-Kamassani
a- Choix des engins :
Les marques choisis demeurent les mêmes que pour le projet précédent. Néanmoins
les capacités de certains engins ont été augmenté et ce en regard de l’importance de la
production.
Engin Marque Référence capacité État
Pelle hydraulique
minerai
Komatsu PC 300 Godet 1,3m3 Neuf
Pelle hydraulique
Stérile
Komatsu PC 300 Godet 1,3m3 Neuf
Dumper minerai KOMATSU HD 255 Benne 48,675t Neuf
Vitesse à vide 60km/h
Vitesse chargé 50km/h
Dumper stérile Komatsu HM 250 Benne 19.8m3 Neuf
Vitesse à vide 30km/h
Vitesse chargé 20km/h
Hydrophore Atlas-Copco Longueur de la
tige
6,33m Neuf
Brise roche Volvo poids marteau 800Kg Neuf
Bulldozer Caterpillar Lame 14m3 occasion
Niveleuse Caterpillar occasion
Chargeuse Caterpillar Godet 4,45m3 occasion
Compacteur Caterpillar Cylindre 1,035m occasion
Citerne Volvo occasion
Tableau 23: Description du parc d’engins de la mine de Pumpi-Kamassani
b- Poste :
On garde les mêmes postes que précédemment à savoir deux postes de 12
heures chacun.
c- Caractéristiques du terrain :
d- Coût d’énergie :
prix
Gasoil 10 MAD/l
Electricité 5 MAD/KWh
Tableau 25: Prix de l’énergie en RDC
6.2.2. Évaluation des besoins :
a- Parc engin :
Le dimensionnement des engins donné par l’outil est le suivant :
Granulométrie Coef. de
foisonnement
Coef. de
remplissage
Densité
Minerai Moyenne 1,43 0,8 1,8t/m3
Stérile Grande 1,43 0,7 1,8t/m3
Tableau 24: Caractéristiques de la roche manipulée à la mine de Pumpi-Kamassani
Engin effectif
Pelle minerai 1
Pelle stérile 5
Hydrophore 2
dumper stérile 15
dumper minerai 2+1 stand by
brise roche 1
bulldozer 1
chargeuse 1
niveleuse 1
compacteur 1
camion citerne 1
Tableau 26: Dimensionnement du parc d’engins de la mine de Pumpi-Kamassani
b- Besoin en explosifs :
Le besoin en explosifs et accessoires de tir sur les 7ans d’exploitation de la carrière
sont regroupés dans le tableau suivant :
Année 1 2 3 4 5 6 7
Minerai
Amorces 4014 4018 4121 3999 4037 4037 4816
Tovex
(kg)
4014,29 4018,48 4121,03 3998,80 4036,80 4037,18 4815,64
Ammonix
(kg)
155701,33 155863,86 159841,35 155100,44 156574,34 156589,11 186783,05
Ligne de
tir(m)
62321,91 62386,97 63979,02 62081,39 62671,34 62677,26 74762,86
Stérile
Amorces 25061 25150 24412 21594 21123 19838 21599
Tovex
(kg)
25060,79 25150,15 24412,11 21593,54 21123,42 19837,68 21598,56
Ammonix
(kg)
1258946,15 1263435,47 1226359,13 1084766,50 1061149,88 996559,53 1085018,48
Ligne de
tir(m)
389068,74 390456,13 378997,94 335239,70 327941,15 307979,94 335317,58
Tableau 27: Évaluation du besoin en explosifs de la mine de Pumpi-Kamassani
c- Besoin en personnel :
La loi congolaise limite le total du personnel expatrié. 15% de l’effectif total de la
mine sera expatrié tandis que le reste sera constitué d’ouvriers locaux. L’utilisateur a
le choix de sélectionner parmi les différents postes de la mine ceux qu’il juge
opportun d’expatrier.
Poste Effectif
Cadre 1
Technicien 2
Pointeur 2
Topographe 1
Mécanicien 4
Aide-mécanicien 2
Pneumaticien 3
Soudeur 4
Graisseur 4
Foreur 6
Aide-foreur 6
Boute feu 0
Opérateur pelle 16
Opérateur brise-roche 2
Conducteur dumper 46
Agent bâchage 1
Opérateur bulldozer 3
Opérateur niveleuse 3
Opérateur chargeuse 3
Opérateur compacteur 3
Opérateur camion citerne 3
Tableau 28: Évaluation du besoin en personnel de la mine de Pumpi-Kamassani
6.2.3. Coût du projet:
a- Coûts opératoires des engins :
Les coûts opératoires (en MAD/h) sont reportés dans le tableau suivant :
Engin A 1 A 2 A 3 A 4 A 5 A6 A 7
Hydrophore 734,07 732,80 742,32 787,64 795,33 819,01 777,96
Pelle
minerai
513,73 513,67 512,03 513,99 513,37 524,54 544,12
Pelle stérile 511,26 511,04 512,94 521,40 523,03 522,86 512,42
Brise roche 445,30 445,25 443,88 445,52 445,00 444,99 443,88
Dumper
minerai
482,71 482,62 484,47 491,92 496,34 496,33 476,89
Dumper
stérile
530,20 529,97 530,31 537,08 536,64 541,38 537,06
Bulldozer 608,54 608,30 601,29 609,15 610,66 615,17 609,13
Tableau 29: Évaluation des coûts opératoires engin de la mine de Pumpi-Kamassani
b- Coût de revient des prestations :
Année1 Année2 Année3 Année4 Année5 Année6 Année7
MINERAI
Coût
abattage
unitaire
7,54 7,53 7,58 7,84 7,88 8,01 7,78
Coût
chargem
ent
unitaire
12,24 12,24 12,20 12,41 12,39 12,39 12,84
Coût
unitaire
transport
8,96 8,96 9,01 9,18 9,17 9,17 8,87
Frais
fixes 463
096,43
462
044,66
485
519,14
527
437,74
542
394,40
573
397,05
621
107,57
Coûts de
revient
29,65 29,640 29,73 30,48 30,50 30,70 30,52
Stérile
Coût
abattage
unitaire
5,87 5,87 5,89 6,033 6,05 6,13 6,00
Coût
chargem
ent
unitaire
5,81 5,80 5,82 5,83 5,84 5,89 5,72
Coût
unitaire
transport
16,00 15,99 15,97MA
D/m3
16,12MA
D/m3
16,17MA
D/m3
16,27MA
D/m3
16,12MA
D/m3
Frais
fixes 4 336
589,17
4 337
640,94
4 314
166,46
4 272
247,86
4 257
291,20
4 226
288,55
4 178
578,03
Coûts de
revient
29,33 29,31 29,37 29,87 29,98 30,31 29,69
Tableau 30: Coûts de revient de l’exploitation de la mine de Pumpi-Kamassani
6.2.4. Bordereau de prix :
Les prix de soumissions sont les suivant :
Abattage stérile m3
40,81 MADChargement, transport et mise à la décharge des
matériaux stériles
Abattage du minerai T
36,39 MADChargement du minerai
Transport du minerai vers l'usine
Aménagement du site Forfait
976 200,00 MAD
Travaux de piste Mois
72 507,28 MAD
Tableau 31: Bordereaux des prix du projet Pumpi-Kamassani
6.2.5. Evaluation financière du projet :
Avec un taux d’actualisation de 12%, la rentabilité avant et après financement est la
suivante :
Avant financement Après financement
VAN 13 300 650,95MAD VAN 10 573 744,17MAD
TRI 37%
Délai de
récupération
2,06
IP 1,75
Financement
Emprunt Année Taux d’intérêts Délais de
récupération
23 453 500,00MAD Démarrage 10% 5ans
Tableau 32: Calcul de rentabilité avant et après financement
6.2.6. Analyse de sensibilité et risque :
Pour ce qui est de l’analyse de sensibilité du projet Pumpi-Kamassani, nous obtenons
le tableau ci-dessous :
% VARIATION TRI VAN
INVESTISSEMENT -35% 45372275 74% 61096578,4
-18% 57587887,5 52% 48880965,4
0% 69803500 37% 36665353,4
18% 82019112,5 26% 24449741,4
35% 94234725 18% 12234128,4
MARGE
BENEFICIAIRE
-40% 9% 28% 32344252,83
-20% 12% 33% 40909184,32
0% 15% 37% 49474115,82
20% 18% 41% 58039047,31
40% 21% 45% 66603978,8
CASH-FLOW -75% 10728627,33 17% 7927958,471
-38% 26821568,33 26% 22296655,79
0% 42914509,32 37% 36665353,11
38% 59007450,32 50% 51034050,44
75% 75100391,31 64% 65402747,76
TAUX
D’ACTUALISATION
-35% 8% 37% 62550032,27
-18% 10% 37% 55709808,09
0% 12% 37% 49474115,82
18% 14% 37% 43772970,46
35% 16% 37% 38546015,53
CHARGES
D’EXPLOITATION
-75% 14673605,27 63% 64178363,44
-38% 36684013,17 49% 50421858,44
0% 58694421,07 37% 36665353,44
38% 80704828,97 26% 22908848,44
75% 102715236,9 16% 6165733,633
Tableau 33: Résultats d’analyses de sensibilité du projet Pumpi-Kamassani
D’après l’étude de sensibilité6
, on remarque que même en variant
considérablement les différents facteurs, le projet demeure rentable. Cependant, les
risques qualitatifs sont plus accentués pour un projet international d’une telle ampleur.
Figure 23: Graphique en radar des risques encourus par le projet Sidi-Ali
Comparées au projet Sidi-Ali, les risques liés au projet Pumpi-Kama sont plus
importants. Cela est dû au caractère international du projet et dépend en grande partie
de la situation économique et politique du pays où il est exécuté.
6
Voir annexe 6
0
2
4
6
8
10
12
14
16
Risque Inflation
Pénurie d'Energie
Risque Taux de
change
Défaut de paiement
Risque retard et
ordonnacement
Défaut de
coordination:
Risque
environnemental
régulations
gouvernementales
Productivité
Contrôle qualité
Sécurité
Compétences
managériales
Désordre public
Série1
 Conclusion partielle du chapitre :
Ce chapitre fut l’opportunité de mettre en pratique l’outil conçu à travers
l’évaluation de deux projets de carrières. L’outil a fournit les éléments essentiels pour
la prise de décision d’investissement.
Pour le projet Sidi-Ali, le projet est rentable mais, l’exploitant ne récupère son
investissement que six mois avant la fin du projet, ce qui présente un risque de faillite
du projet. Le projet est aussi très sensible à certains paramètres tels que
l’investissement ou encore les charges d’exploitation.
Avec un TRI de 39%, le projet Pumpi-Kamassni est un projet rentable durant
lequel les fonds investis sont récupérés au bout d’une durée d’un an et demi. La
rentabilité du projet ne diminue qu’au partir d’une très importante marge de
sensibilité. Cependant le risque inhérent à ce type de projet est à surveiller de très
près.
Après avoir répondu à la problématique posée au début de ce projet de fin
d’étude, l’évaluation de projets d’exploitation en carrière peut être améliorée en
prenant compte des éléments que nous abordons dans la partie suivante.
RECOMMANDATIONS
 Étude d’impact :
L'étude d'impact est une démarche visant à aider dans la conception d’un projet
respectueux de l’environnement durant toutes les phases de sa réalisation, depuis la
conception jusqu'à la clôture. L'étude d'impact englobe les composantes biophysiques
et humaine susceptibles d'être affectées par le projet. De plus, elle permet aux
autorités administratives d'analyser et d'interpréter les conditions de réalisation de la
globalité du projet. Elle oriente ainsi la prise des décisions quant à l’entrée en vigueur
du projet, ou à la fixation des conditions de sa réalisation. L’étude d’impact est aussi
un élément d’une grande importance lors des demandes de financement auprès des
organismes internationaux.
Pour ses projets d’exploitation en carrière, Techsub devrait appuyer son projet
d’une étude d’impact mettant en exergue les éléments suivants :
- Identification et impacts sur la faune et la flore.
-Élaboration d’un plan de gestion pour la préservation des sites archéologiques.
- Création de poste de travail pour la main d’œuvre locale.
-Création de point d’alimentation en eau et de un réseau routier.
-Gestion du bruit et des vibrations pour le personnel de la mine.
Après identification de tous les impacts du projet de mine à ciel ouvert, il
faudra pallier aux aspects négatifs en prévoyant des plans d’actions pour en limiter les
conséquences.
CONCLUSION
En définitive, ce travail a permis d'étudier la rentabilité de projet
d’exploitation des mines à ciel ouvert à travers la conception d’un outil informatique.
Dans un premier temps, nous avons du nous rendre sur le terrain pour
collecter les informations nécessaires à l’élaboration de notre travail. A terme de cette
étape nous disposions d’informations en vrac qu’il a fallu structurer et synthétiser
avant de se lancer dans la conception de l’outil. Durant la phase d’élaboration de
l’application, il a fallu répondre au cahier de charges de l’évaluation de projet tout en
veillant à la simplicité et à la convivialité d’utilisation de l’outil.
A l’issue de cette partie, on disposait d’une structure de plusieurs volets
qui permettait d’évaluer un projet d’exploitation en carrière. La phase d’application a
permis de comparer deux projets différents en terme d’investissement initial, de coût
de revient et de rentabilité.
La question de financement a été résolue par programmation linéaire pour
une optimisation du coût de l’emprunt. On a également, au cours de ce projet, montré
l’intérêt d’une étude de sensibilité et de risque au moyen de simulation et d’étude de
scénario. Il est maintenant clair qu’une décision d’investissement ne peut négliger
l’aspect sensibilité et risque afin garantir le succès du projet.
L’aboutissement de ce travail est d’avoir pu développer un outil
d’évaluation de projet d’exploitation en carrière, capable de cerner tous les aspects de
l’analyse de projet. L’intérêt de ce travail est d’avoir porté sur deux projets
d’investissement différents, mais aussi de pouvoir être généralisée à n’importe quel
autre projet en carrière.
GLOSSAIRE MINIER
Banquette : distance entre les rangés.
Coefficient de remplissage : C’est le rapport masse effectivement présente dans le
godet/benne à la masse qu'il contiendrait dans ces conditions standard. Il varie
aussi selon les conditions du terrain.
Équipement de protection individuelle (EPI): c’est l’équipement destiné à la
protection corporelle du personnel mine (casques, souliers, …)
Espacement : distance entre trous d’une même rangée.
Faciès : type de roche
Flèche : Partie de l’engin dont la tête monte et descend afin de relever ou d’abaisser le
godet.
Foisonnement : il représente la capacité d'un sol à augmenter de volume lors de son
déplacement. Le volume du sol en place à déblayer augmente lorsque l'on le
remue avec une pelle mécanique. Autrement dit la quantité de sol à transporter
par les camions est plus grande que le volume de sol présent dans la fouille.
Godet : Auge profonde relevable et inclinable.
Granulométrie : taille des blocs de roche.
Heures de réforme : le nombre d’heures au bout duquel l’engin doit être changé.
Levé : Se dit des délinéations ou des croquis d'un topographe, opérant soit
trigonométriquement, soit à vue.
MLF : il représente le nombre de mètres forés
Stérile : roche qui contient des matières non exploitables.
Stripping Ration (SR) : représente le rapport stérile/minerai. Il représente la quantité
de stérile en tonnes à enlever pour extraire une tonne de minerai
Teneur: c’est le pourcentage de ce que contient de substance principale ou accessoire
un minerai.
Tourelle : plateforme qui supporte la flèche et pivote sur un chemin de roulement
circulaire.
BIBLIOGRAPHIE
Adapté de l’anglais: HARTMAN, H.-L. (1992) SME mining engineering handbook,
2nd
Edition, Volume 1
DE LA VERAGNE, J.N. (Août 2003) Hard Rock Miner’s Handbook, 3rd Edition.
KOMATSU, (Décembre 2008) Specifications and application Handbook , Edition 29.
HOUDAYER, R. () Analyse financière des projets : Ingénierie de projets et décision
d’investissement, 2e
Edition.
TKIOUAT, M. (2008) Analyse de projets, notes de cours, EMI, Département Génie
Industriel.
SBIHI, N. (2007) Recherche opérationnelle, note de cours, EMI, Département Génie
Industriel.
MOSER, P. (2001) Le m canisme de l’explosion, séminaire tir à l’explosif.
WEBOGRAPHIE
Site de L'Association minière du Canada :
www.mining.ca/www/_fr/index.php
Site de l’Agence Nationale pour la promotion des investissements en RDC
www.anapi.org/
Site de la compagnie africaine des explosifs CADEX
www.cadex.ma/presentation/presentation.htm
Site de KOMATSU :
www.komatsu.com/
Site de VOLVO :
www.volvo.com
Site Caterpillar:
www.cat.com/
Site des solutions des financements pour les associations :
www.solfia.com
Le portail de la pluridiscplinarité et de la santé sécurité au travail :
http://www.sante-securite.com/
ANNEXES

Etude de rentabilité des travaux d'exploitation en carrière

  • 1.
  • 2.
    RESUME L’objectif principal dece projet est de mener une évaluation financière des projets d’exploitation des mines à ciel ouvert. Pour ce faire, nous avons conçu un outil sous Excel VBA intégrant tous les aspects d’évaluation de projet d’investissement, du dimensionnement de la machinerie au calcul des coûts du projet en passant par l’évaluation des indicateurs de rentabilité. L’intérêt de cet outil pour les décideurs, est de simplifier le processus d'évaluation de projet grâce à l’intégration des différents paramètres de celui-ci. En outre, nous avons mis en pratique l’outil conçu, à travers l’étude de deux projets d’exploitation à ciel ouvert : Sidi Ali et Pumpi-Kamassani. L’étude de rentabilité ne pouvant être complétée sans une étude de sensibilité et de risque, nous avons conclu par l’étude de l'irrégularité de facteurs tels que l’investissement initial et de leurs influences sur la rentabilité afin d’optimiser les retombées financières.
  • 3.
    ABSTRACT Nowadays, Morocco isbecoming one of the worldwide countries where opencast mines have shown a rapid economic growth. This mining method can be of a great benefit in terms of productivity and costs. This benefit makes of the open pit mining an attractive investment opportunity for mining agencies. Yet, to justify the investment decision, opencast mining has to meet some financial imperatives. Through this project, we are carrying out a financial evaluation of an open pit mining project using standard economic measurements. Different calculations are carried forward on Excel VBA. The tool designed ranges over all data relative to a mining project, from machinery to capital cost through the evaluation of the profitability indicators. For policy makers, the program simplifies the process of project evaluation and makes it easy to choose among many investments. In addition, we put into practice the application, through the two open pit projects: Sidi Ali and Pump-Kamassani. To maximize the financial returns, concluded by conducting a sensitivity and risk study.
  • 4.
    ‫يهخص‬ ‫يحتم‬‫استغالل‬‫انًُاجى‬‫انفىلسطحيت‬‫يكاَت‬‫هايت‬‫في‬‫جم‬‫األسىاق‬ ‫انؼانًيت‬.‫و‬‫يؼشف‬‫انًغشب‬ِ‫بذوس‬‫تىسؼا‬‫يهحىظا‬‫نهزا‬‫انُىع‬ٍ‫ي‬‫األَشطت‬‫انًُجًيت‬.‫ونؼم‬‫يا‬ ‫يًيزها‬ٍ‫ػ‬‫االستغالل‬‫انتحسطحي‬‫هى‬‫انًشدوديت‬‫انًشتفؼت‬‫آلالتها‬‫و‬‫انتي‬ًٍ‫تض‬‫خفض‬ ‫انتكانيف‬.‫كم‬ِ‫هز‬‫انؼىايم‬‫االلتصاديت‬‫وغيشها‬,‫تجؼم‬ٍ‫ي‬‫انًُاجى‬‫انفىلسطحيت‬‫فشصت‬ ‫استثًاس‬‫تجزب‬‫اهتًاو‬‫انًُظًاث‬‫انًُجًيت‬.ٍ‫نك‬‫لشاس‬‫االستثًاس‬‫يضم‬ٍ‫سه‬‫يؼاييش‬‫التصاديت‬‫و‬ ‫يانيت‬‫صاسيت‬,‫خاصت‬ٌ‫وأ‬‫األيش‬‫يتؼهك‬‫بًجال‬‫يخضغ‬‫نؼذة‬‫ػىايم‬‫خاسجيت‬. ‫و‬‫هكزا‬,ٌ‫فا‬‫يششوػُا‬‫يهذف‬‫أساسا‬‫إنى‬‫صياغت‬‫أداة‬‫نتمييى‬ ‫يشاسيغ‬‫استغالل‬‫انًُاجى‬‫انفىلسطحيت‬.‫ستبسط‬ِ‫هز‬‫األداة‬‫ػًهيت‬‫تمييى‬‫انًشاسيغ‬‫ػبش‬ ‫يؤششاث‬‫يانيت‬.‫إضافت‬‫إنى‬‫رنك‬,‫لًُا‬‫بذساست‬ٍ‫يششوػي‬‫باستخذاو‬‫األداة‬.‫وحتى‬‫َكًم‬‫دساست‬ ‫تمييى‬‫انًشاسيغ‬,‫لًُا‬‫بئدياج‬‫دساست‬‫نحساسيت‬‫انًؤششاث‬‫انًانيت‬.
  • 5.
    DEDICACES A NOS PARENTS, ANOS FAMILLES, A NOS AMIS, A TOUS CEUX QUE NOUS AIMONS, A TOUS CEUX QUI NOUS AIMENT, NOUS DEDIONS CE TRAVAIL. KENZA ET LAILA
  • 6.
    REMERCIEMENTS Le présent rapportest le fruit d’un travail encadré par des membres dont les directives et les remarques pertinentes n’ont cessé d’en améliorer la qualité. Nous sommes ainsi redevables à, notre encadrant Mr.Tkiouat pour ses conseils et son intérêt et à nos parrains Mr Naimi et Mr.Lahbabi pour l’expérience enrichissante que nous avons eu la chance de vivre tout au long de notre stage à Techsub- Managem. Il nous importe aussi de remercier Mr.Soror, cadre à Reminex Ingénierie, pour ses interventions judicieuses, qui ont beaucoup aidé à la mise en œuvre de ce projet. Nous témoignons, par ailleurs, de notre reconnaissance au personnel attachant d’Akka Gold Mining qui nous a offert aide et soutien durant notre séjour sur le site. Nous tenons également à rendre hommage aux mineurs dont nous saluons l’endurance et le courage. Nos vifs remerciements s’adressent aussi à Mme. Benchekroune qui, en plus de nous faire honneur en présidant le jury, a contribué à l’obtention de ce stage. Nos tenons aussi à remercier Mr.Cherkaoui pour le privilège qu’il nous accorde en acceptant de juger notre travail. Et c’est avec beaucoup d’émotions que nous exprimons notre gratitude au corps professoral de l’EMI pour les enseignements qu’ils nous ont prodigués tout au long de notre formation.
  • 7.
    SOMMAIRE LISTE DES FIGURES........................................................................................................10 LISTEDES TABLEAUX....................................................................................................11 INTRODUCTION .............................................................................................................12 CHAPITRE 1 : PROBLEMATIQUE.....................................................................................13 1.1. CONTEXTE DU STAGE :..................................................................................13 1.1.1. Présentation de MANAGEM :...............................................................13 1.1.2. Présentation de Techsub : ......................................................................13 1.2. PROBLEMATIQUE: .........................................................................................16 1.2.1. Introduction à la problématique :...........................................................16 1.2.2. Cahier de charge : ..................................................................................17 CHAPITRE 2 : ETUDE PRELIMINAIRE..............................................................................18 2.1. GENERALITES SUR LES MINES A CIEL OUVERT:............................................18 2.1.1. Caractéristiques d’un projet minier :......................................................18 2.1.2. Mines à ciel ouvert :...............................................................................20 2.1.3. Exploitation en fosse :............................................................................22 2.2. COLLECTE DE DONNEES :..............................................................................25 2.2.1. Contexte de la collecte de donnée :........................................................26 2.2.2. Rendement des engins d’exploitation :..................................................26 2.2.3. Disponibilité des engins :.......................................................................28 2.3. CONCEPTION DE L’OUTIL :............................................................................29 Conclusion partielle du chapitre : .....................................................................32 CHAPITRE 3 : ÉTUDE DE FAISABILITE TECHNIQUE .........................................................33 3.1. DIMENSIONNEMENT DU PARC ENGIN : .........................................................33 3.1.1. Disponibilité...........................................................................................33 3.1.2. Besoin en engin d’abattage : Feuille abattage........................................34 3.1.3. Besoin en engins de chargement:...........................................................36 3.1.4. Besoin en engins de transport :..............................................................39 3.2. EVALUATION DES BESOINS EN EXPLOSIFS ET ACCESSOIRES DE TIR :..........42 3.2.1. Le Tovex:...............................................................................................42
  • 8.
    3.2.2. L’Ammonix :.........................................................................................42 3.2.3. L’amorce :..............................................................................................43 3.2.4. Les lignes de tir :....................................................................................43 3.3. EVALUATION DES BESOINS EN PERSONNEL :................................................43 3.3.1. Encadrement : ........................................................................................43 3.3.2. Maintenance:..........................................................................................43 3.3.3. Opérationnels :.......................................................................................44 Conclusion partielle du chapitre : .....................................................................45 CHAPITRE 4 : ÉVALUATION DU COUT DU PROJET ........................................................46 2.1. LES COUTS OPERATOIRES : ...........................................................................46 2.1.1. Amortissement :.....................................................................................46 2.1.2. Énergie :.................................................................................................48 2.1.3. Maintenance et pièces de rechange :......................................................48 2.1.4. La main d’œuvre opérationnelle :..........................................................48 2.1.5. Pneumatique :.........................................................................................48 2.2. CHARGES FIXES :...........................................................................................49 2.3. CALCUL DU COUT DE REVIENT : ...................................................................49 2.4. COUT DES PRESTATIONS ANNEXES :.............................................................50 2.4.1. Coût d’aménagement du site :................................................................50 2.4.2. Coût d’entretien de la piste :..................................................................50 Conclusion partielle du chapitre : .....................................................................51 CHAPITRE 5: ÉVALUATION FINANCIERE DU PROJET ET ETUDE DE SENSIBILITE..............52 5.1. RENTABILITE AVANT FINANCEMENT :..........................................................52 5.1.1. Les flux nets de trésorerie (FNT):..........................................................52 5.1.2. La valeur actualisée nette (VAN): .........................................................54 5.1.3. Le taux de rendement interne (TRI): .....................................................54 5.1.4. L’indice de profitabilité (IP):.................................................................55 5.1.5. Le délai de récupération du capital investi (DRCI): ..............................55 5.2. FINANCEMENT : ............................................................................................55 5.2.1. Plan de financement :.............................................................................56 5.2.2. Échéancier de remboursement de l’emprunt : .......................................57 5.2.3. Réalisation d’un plan de financement optimal : ....................................58 5.3. RENTABILITE FINANCIERE :..........................................................................61
  • 9.
    5.4. ANALYSE DESENSIBILITE ET DE SCENARIO :...............................................61 5.5. ETUDE DE RISQUE : .......................................................................................62 5.5.1. Identification du risque : ........................................................................63 5.5.2. Analyse de la vulnérabilité : ..................................................................65 Conclusion partielle du chapitre : .....................................................................67 CHAPITRE 6: APPLICATION AUX PROJETS ......................................................................68 6.1. PROJET SIDI ALI :..........................................................................................68 6.1.1 Données : ...............................................................................................68 6.1.2. Évaluation des besoins :.........................................................................70 6.1.3. Coût du projet: .......................................................................................72 6.1.4. Bordereau de prix :.................................................................................73 6.1.5. Évaluation financière du projet :............................................................73 6.1.6. Analyse de sensibilité et de risque:........................................................73 6.2. PROJET PUMPI-KAMASSANI..........................................................................75 6.2.1. Données..................................................................................................75 6.2.2. Évaluation des besoins :.........................................................................77 6.2.3. Coût du projet: .......................................................................................80 6.2.4. Bordereau de prix :.................................................................................81 6.2.5. Evaluation financière du projet :............................................................81 6.2.6. Analyse de sensibilité et risque :............................................................82 Conclusion partielle du chapitre : .....................................................................84 RECOMMANDATIONS ....................................................................................................85 CONCLUSION.................................................................................................................86 GLOSSAIRE MINIER .......................................................................................................87 BIBLIOGRAPHIE.............................................................................................................89 WEBOGRAPHIE..............................................................................................................89 ANNEXES ......................................................................................................................90
  • 10.
    LISTE DES FIGURES Figure1: technique Raise-Boring________________________________________15 Figure 2: Analyse FFOM de l'exploitation en carrière pour Techsub ____________16 Figure 4: Séquences de l'exploitation en découverte _________________________21 Figure 3: Exploitation en Placers ________________________________________21 Figure 5: Séquences d’une exploitation en fosse ____________________________22 Figure 6: Exploitation en fosse __________________________________________22 Figure 7: Schématisation des projets d'exploitation en carrière _________________25 Figure 8: Diagramme Ishikawa – Facteurs influençant la rentabilité_____________28 Figure 9: Conception de l'outil d'évaluation de la rentabilité ___________________30 Figure 10: dimensionnement du parc engin ________________________________33 Figure 11: Temps de cycle d'un camion ___________________________________39 Figure 12: cartouche de Tovex __________________________________________42 Figure 13: Composantes du coût opératoire ________________________________46 Figure 14: Calcul des amortissements ____________________________________47 Figure 15:Financement Excel ___________________________________________58 Figure 17: Variables solveur____________________________________________60 Figure 18: Contraintes solveur __________________________________________60 Figure 16: Solveur____________________________________________________60 Figure 19: Flux nets de trésorerie après financement_________________________61 Figure 20: Schéma des risques des projets _________________________________63 Figure 21: Matrice des risques __________________________________________66 Figure 22: Graphique en radar des risques encourus par le projet Sidi-Ali ________75 Figure 23: Graphique en radar des risques encourus par le projet Sidi-Ali ________83
  • 11.
    LISTE DES TABLEAUX Tableau1: Résultats de chronométrage de l'hydrophore 27 Tableau 2: Résultats du chronométrage des camions stérile 27 Tableau 3: Résultats du chronométrage des pelles hydrauliques 28 Tableau 4:Tableau des flux nets de trésorerie 53 Tableau 5: plan de financement 56 Tableau 6: Echéancier de financement 58 Tableau 7: Planning de production de la mine de Sidi-Ali 68 Tableau 8:Schéma de tir de la mine de Sidi-Ali 68 Tableau 9:Description du parc d’engins de la mine de Sidi-Ali 69 Tableau 10: Durée effective du poste de travail 69 Tableau 11: Caractéristiques de la roche manipulée à la mine de Sidi-Ali 70 Tableau 12: Prix de l’énergie au Maroc 70 Tableau 13: Dimensionnement du parc d’engins de la mine de Sidi-Ali 70 Tableau 14: Évaluation du besoin en explosifs de la mine de Sidi-Ali 71 Tableau 15: Évaluation du besoin en personnel de la mine de Sidi-Ali 72 Tableau 16: Évaluation des coûts opératoires d’engins de la mine de Sidi-Ali 72 Tableau 17: Coûts de revient de l’exploitation de la mine de Sidi-Ali 72 Tableau 18: Bordereaux des prix du projet Sidi-Ali 73 Tableau 19: Calcul de rentabilité avant et après financement 73 Tableau 20: Résultats d’analyses de sensibilité du projet Sidi-Ali 74 Tableau 21: Planning de production de la mine de Pumpi-Kamassani 76 Tableau 22: Schéma de tir de la mine de Pumpi-Kamassani 76 Tableau 23: Description du parc d’engins de la mine de Pumpi-Kamassani 77 Tableau 24: Caractéristiques de la roche manipulée à la mine de Pumpi-Kamassani 77 Tableau 25: Prix de l’énergie en RDC 77 Tableau 26: Dimensionnement du parc d’engins de la mine de Pumpi-Kamassani 78 Tableau 27: Évaluation du besoin en explosifs de la mine de Pumpi-Kamassani 78 Tableau 28: Évaluation du besoin en personnel de la mine de Pumpi-Kamassani 80 Tableau 29: Évaluation des coûts opératoires engin de la mine de Pumpi-Kamassani 80 Tableau 30: Coûts de revient de l’exploitation de la mine de Pumpi-Kamassani 81 Tableau 31: Bordereaux des prix du projet Pumpi-Kamassani 81 Tableau 32: Calcul de rentabilité avant et après financement 82 Tableau 33: Résultats d’analyses de sensibilité du projet Pumpi-Kamassani 83
  • 12.
    INTRODUCTION Ce travail estle condensé de l’étude que nous avons menée, durant notre stage de fin d’étude, sur l’exploitation des mines à ciel ouvert. Cette dernière, a pris beaucoup d’ampleur sur les marchés miniers internationaux durant la dernière décennie, d’où l’envie de Techsub-Managem de se lancer dans cette activité. Notre projet de fin d’études, permettra à Techsub de fixer ses prix de vente pour les différentes prestations relatives à l’exploitation à ciel ouvert, tout en s’assurant de la rentabilité économique et financière du projet. Et compte tenu des différents risques liés à l’exploitation minière, nous avons prévu une étude de sensibilité et de risques pour mesurer les impacts des facteurs les plus décisifs pour les projets d’exploitation en carrière. L’aboutissement de notre projet, « élaboration d’un outil d’évaluation de la rentabilité des projets d’exploitation en carrière », sera donc la réalisation d’un outil sous Excel VBA, qui, à partir de données et caractéristiques d’un projet minier, calcule le prix de vente et les indicateurs de rentabilité. Cet outil permettra aussi de dégager les différents facteurs qui influencent la rentabilité, facilitant ainsi la prise de décision d’investissement pour Techsub. Pour réaliser cette étude, il est impératif de passer par plusieurs étapes qui commencent dans le chantier d’une carrière. Ainsi, la première étape consiste à rassembler les informations et analyser les pratiques d’exploitation d’une mine à ciel ouvert. Ensuite, nous devons exploiter ces données pour l’élaboration d’un outil d’évaluation de rentabilité. Une fois l’outil finalisé, nous allons l’utiliser pour l’évaluation de deux appels d’offres d’exploitation de mine à ciel ouvert pour lesquels Techsub compte soumissionner.
  • 13.
    CHAPITRE 1 :PROBLEMATIQUE 1.1. CONTEXTE DU STAGE : 1.1.1. Présentation de MANAGEM : Managem, holding du groupe ONA, est le principal acteur du secteur minier marocain. Depuis 1928, La filiale n’a cessé d’évoluer à hauteur de ses ambitions et de ses compétences. Aujourd’hui, ses principales activités sont l’extraction, la production et la commercialisation des métaux de base (Cobalt, Zinc) ainsi que les métaux précieux (Or et Argent) et d’autres substances (Fluorine). Dans le cadre d’une vision de diversification et de génération de profits, Managem s’est également consacré à l’hydro métallurgie et ce depuis 1996. Cette activité consiste principalement à traiter des matières complexes et à produire des cathodes de cobalt et des substances chimiques à fortes valeurs ajoutées. Parallèlement, des actions majeures ont été réalisées en matière d’innovation et de recherche et développement afin d’assurer la modernisation et le développement technologique des différentes filiales de Managem. Ces dix dernières années, Managem a relevé le challenge international, en investissant dans des projets en Afrique, tel que le projet Bakoudou, projet aurifère qui s’inscrit dans la stratégie du groupe d’implantation au Gabon. Pour concrétiser ses objectifs, Managem s’entoure d’activités support qui centralisent le savoir-faire de Managem en termes de techniques minières et d’ingénierie. Ces activités sont représentées par les filiales REMINEX spécialisée dans les études techniques et économiques ainsi que l’ingénierie des projets, et TECHSUB spécialisée dans les sondages et travaux miniers. 1.1.2. Présentation de Techsub : Techsub a été constituée en 1992 pour répondre aux besoins relatifs à la maîtrise d'œuvre, à l’exécution de sondages, ainsi qu’à la réalisation d'ouvrages souterrains.
  • 14.
    Les équipes deTechsub sont polyvalentes et comptent à leur actif plusieurs années d’expérience opérationnelle dans différents domaines du souterrain et des sondages. Le personnel ouvrier quant à lui, puise sa compétence dans sa longue expérience pratique acquise sur plus d’une quinzaine d’années. Techsub dispose également d’un parc d’engins complet de sondage et de terrassement comportant près de 24 sondeuses, ainsi que d’installations techniques nécessaires en matière d’entretien. Techsub opère aujourd’hui dans trois secteurs d’activité principaux : Sondages et soutènement. Travaux souterrains Réalisation de cheminées « Raise »  Sondage et soutènement : Le sondage et le soutènement sont les activités motrices de Techsub. Le sondage consiste à creuser pour prélever des échantillons appelés carotte, tandis que le rôle principal du soutènement est d’assurer la sécurité des excavations pratiquées dans les roches et dans le sol qui s’applique aussi bien aux mines souterraines qu’aux mines à ciel ouvert. Techsub compte à son actif des prestations de plus de 220.000 mètres de sondage des types suivant : Sondages destructifs en percussion (marteau fond de trou)  Sondages destructifs par circulation inverse. Techsub compte développer ces activités pour s’étendre à la réalisation de : Travaux structurels dans le sous-sol (drainages, imperméabilisation, renforcement et consolidation des terrains) Travaux de confortement, stabilisation, assainissement et sécurisation des pentes et talus.  L'activité de travaux souterrains : Indispensable partenaire, en particulier en ce qui concerne la réalisation d’infrastructures souterraines, TECHSUB travaille à la conception et à la réalisation de travaux de creusement dans le sous-sol (puits, galeries et cheminées) Techsub a acquis son expérience pratique dans divers terrains allant des roches
  • 15.
    saines aux terrainsde recouvrement. Elle assure la mise en œuvre des technologies de creusement fiables et adaptées à tous types de terrain rencontré et dispose de compétences humaines et techniques lui permettant de réaliser divers ouvrages souterrains dans le secteur minier, d'assainissement, du B.T.P. et de l’hydraulique, etc.  La réalisation des cheminées « Raise » : En dehors des techniques de creusement des ouvrages souterrains, résultant de la réalisation de plusieurs dizaines de kilomètres de galeries, Techsub dispose d’un savoir-faire de premier ordre dans la réalisation de plusieurs milliers de mètre de cheminées «RAISE » . Le Raise Boring est une technique aujourd’hui couramment utilisée dans le domaine minier pour forer des cheminées : Elle consiste à forer du haut vers le bas, entre deux niveaux préexistants, un trou pilote, puis à l’aléser au diamètre final de la cheminée, du bas vers le haut, en tirant sur l’outil aléseur grâce à l’équipement de forage situé dans le niveau supérieur. En comparaison avec les méthodes classiques, cette technique offre de nombreux avantages, en particulier en termes de sécurité, coût et délais de réalisation ; elle constitue un outil important dans une politique globale de Techsub de mécanisation des travaux de creusements et d’élimination par conséquent des tâches les plus pénibles et les plus risquées. Avec un parc de 4 « Raises Boreurs », Techsub possède un outil performant pouvant réaliser annuellement plus de 5 000 mètres de cheminées de différents diamètres et de différentes profondeurs et pendages. Figure 1: technique Raise-Boring
  • 16.
    TECHSUB fait aussiappel à la technique « Rotary Vertical Drilling System » pour assurer la verticalité et l’orientation des cheminées et assure ainsi la réalisation de puits verticaux avec une très grande précision. 1.2. PROBLEMATIQUE: 1.2.1. Introduction à la problématique : Dans le cadre d’une stratégie de diversification, Techsub a exprimé son intérêt pour les travaux d’exploitation à ciel ouvert, marché qui commence à occuper une partie majeure dans les activités de MANAGEM ces dernières années. Cette importance accordée à l’exploitation en carrières est due essentiellement au fait que le coût par tonne est beaucoup plus réduit que dans le cas de l’exploitation en souterrain et que la capacité annuelle d’extraction est plus élevée. En effet, l’exploitation à ciel ouvert permet l’utilisation d’équipements géants permettant de libérer et de déplacer des quantités considérables de matériaux en peu de temps et avec peu de main d’œuvre. De plus, le nombre de gisements à forte teneur tend à diminuer de sorte qu’il est devenu impératif de manipuler et traiter plus de minerai à faible teneur. Il faudrait donc baisser les coûts de production en augmentant la productivité des engins, solution qui n’est envisageable qu’en exploitation en carrière. Dans ce contexte, Techsub envisage de soumissionner pour l’exploitation de deux carrières :  «Sidi Ali», située à 75Km de AGM (Akka Gold Mining), à 15km de la mine d’«Agoujgal» sous-traitée à Matimex.  « Pumpi-Kamassani», en République Démocratique du Congo. Une première analyse des forces, faiblesses, opportunités et menaces nous permet de tracer la matrice suivante : Figure 2: Analyse FFOM de l'exploitation en carrière pour Techsub
  • 17.
    Pour se lancerdans l’appel d’offre, Techsub doit d’abord évaluer la rentabilité financière pour chacun des deux projets, étudier leur viabilité et améliorer leur chance de réussite. 1.2.2. Cahier de charge : L’objectif de notre étude est d’estimer la viabilité des projets d’exploitation en carrière pour Techsub à travers l’évaluation de la rentabilité des deux projets « Sidi Ali » et « Pumpi-Kamassani ». Puisqu’il s’agit de deux projets en carrière, de durée et d’investissement initial différents, nous avons choisi d’aborder le problème en créant un outil standard d’évaluation de projet en carrière. Cet outil va prendre en charge les phases d’évaluation du projet en question à partir de données initiales saisies par l’utilisateur. Notre outil va traiter les points suivants :  Les données d’entrée relatives à la mine (réserves, durée de vie …).  Les besoins matériels et humains.  Les différents coûts opératoires.  La rentabilité avant et après financement.  La sensibilité.
  • 18.
    CHAPITRE 2 :ETUDE PRELIMINAIRE 2.1. GENERALITES SUR LES MINES A CIEL OUVERT: 2.1.1. Caractéristiques d’un projet minier : a. Évaluation de projet d’investissement: Les décisions d'investissement sont probablement les décisions les plus importantes pour une entreprise. L’évaluation de projet a pour finalité d'étudier les conditions de viabilité des investissements et d’améliorer leurs chances de réussite. Alliant comptabilité, analyse financière, gestion prévisionnelle et étude techniques, elle permet de rassembler tous les éléments nécessaires à l'élaboration du projet et de clarifier les facteurs de base qui gouvernent ses chances de succès. Choisir d’investir peut avoir des conséquences vitales à court et à long termes sur la capacité d'une compagnie à rivaliser, et même à survivre. Cette décision se base sur deux activités fondamentales :  Allouer des fonds en capitaux à des projets spécifiques ou budgétisation  Obtenir le financement nécessaire La budgétisation des capitaux demeure une composante majeure dans ce type de décisions. Elle a pour objectif l'allocation des capitaux de façon optimale. Ce processus comprend généralement les activités de planification, d'évaluation, de sélection, de mise en œuvre, de contrôle et finalement de réévaluation en continu et de vérification des résultats. En plus de servir à évaluer la rentabilité du projet, la budgétisation aide à susciter l’intérêt de potentiels investisseurs en les orientant quant à l’allocation des fonds nécessaires et ce, de la façon la plus optimale. Dans le sens large, l’évaluation des projets débouche sur la sélection parmi différents projets d'investissement. Néanmoins, un tel modèle ne peut suffire pour prendre une décision d'investissement. Les facteurs qualitatifs de risques uniques associés à chaque occasion d'investissement nécessitent d’adopter une gestion adéquate et un jugement intelligent.
  • 19.
    Le gestionnaire nesélectionne donc pas nécessairement le projet qui a le plus haut rendement, mais celui qu’il perçoit comme présentant les meilleurs intérêts à long terme. b. Investissement en milieu minier : En milieu minier, l’analyse d’investissement d’un projet quelconque est précédée par des études géologiques, géotechniques et hydrogéologiques. Ces analyses ont pour but d’évaluer les caractéristiques de la roche. Une méthode d’exploitation est choisie en conséquence. Ces activités aussi nombreuses que variées rendent l’étude de faisabilité d’un projet d’investissement minier particulièrement délicate. De plus, l’exploitation minière est un environnement d’investissement unique compte tenu des caractéristiques suivantes: Ampleur du capital: les projets miniers demandent des capitaux importants. Avant même d’entamer l’exploitation, il faut s’acquitter des coûts d’exploration qui s’étale souvent sur plusieurs années. L’infrastructure seule peut coûter plusieurs centaines de millions de dollars, et même les petites mines qui ne nécessitent en général qu'une poignée de mineurs ne peuvent être développées pour moins d'un million de dollars. Longues périodes de pré-production: une fois l'évaluation du gisement établie, cela prend plusieurs années pour produire le minerai sur une base continue. Cette période de pré-production s'étendait sur 4 à 6ans. Aujourd'hui, les nouveaux règlements liés à l'environnement et à l'obtention des autorisations sont menés sur des périodes qui peuvent atteindre 10 à 12 années, à partir de la décision de production. Risque élevé: le risque familier au domaine minier est celui associé au marché minéral. Les prix fluctuent considérablement et rapidement pour les produits minéraux qui sont vendus sur les marchés internationaux. Un autre type de risque souvent négligé est le risque politique. En effet de nos jours, il y a une participation plus grande du gouvernement hôte dans les projets miniers à travers le monde. Ressources non renouvelables: c'est l'aspect probablement le plus unique des industries minières. Les revenus sont dérivés d'une disposition fragmentaire de l'atout
  • 20.
    majeur du projet,à savoir le minerai. Ces réserves économiques sont dispersées sur de grands territoires et ne pourront être développées que là où elles se trouvent. De plus, au lieu d’acheter les matières premières comme tout autre secteur économique, l’industrie minière a besoin d’explorer de grandes surfaces afin de découvrir les gisements nécessaires pour garantir sa pérennité. Durée de vie limitée : la durée de vie de la mine est finie, les investissements doivent donc recevoir un retour monétaire adéquat lorsque les réserves de minerai sont épuisées. Impact environnemental et socio-économique: l'exploitation minière aura inévitablement des conséquences sur l'environnement, que ce soient les dommages causés à la faune et à la flore ou encore les résidus miniers entreposés à la surface qui peuvent s'avérer toxiques. De plus le bruit, la poussière ou autres facteurs typiques de l'exploitation des mines sont des impacts environnementaux à traiter. L'établissement d'une exploitation minières dans une zone éloignée ou rurale entraine également un afflux soudain de population, ce qui engendre des conséquences socio- économiques considérables sur un village voire même une région entière. 2.1.2. Mines à ciel ouvert : a. Définition : Les mines à ciel ouvert (ou carrières) sont celles dont le minerai est extrait à partir de la surface après avoir dégagé le stérile. La roche est creusée par dynamitage et le minerai est ensuite chargé sur d’énormes engins pour traitement. b. Avantages de l’exploitation en surface : Les mines à ciel ouvert présentent plusieurs avantages, les plus importants sont :  Le faible coût d’exploitation.  La possibilité de choisir le minerai de teneurs conformes aux besoins.  La flexibilité de la production.  La sécurité : meilleure visibilité, surveillance facile, personnel limité. c. Types d’exploitations à ciel ouvert :
  • 21.
    On distingue généralementtrois types de minières. Chacune requiert une méthode d’exploitation spécifique. Placers : ce sont des dépôts non consolidés contenant de l’or ou d’autres métaux. Ces éléments sont mêlés à l’état libre par criblage et lavage, en éliminant d’abord les pierres par un tamis et ensuite le sable avec de l’eau. Découverte (stripping, open cuts) : elles représentent des exploitations étendues et peu profondes (couches sédimentaires horizontales d’épaisseur à peu près régulière). Ce sont généralement des opérations à gros débit. Cette méthode d’exploitation est utilisée surtout dans le cas du charbon. Figure 4: Séquences de l'exploitation en découverte Figure 3: Exploitation en Placers
  • 22.
    Fosses (open pitmines) : gisement en forme d’amas et d’une profondeur de quelques centaines de mètres. Notre sujet d’étude s’intéressant à la fosse, nous nous concentrerons sur ce type de carrière en particulier. 2.1.3. Exploitation en fosse : a. Nature de la méthode : Il faut d’abord enlever une quantité suffisante du stérile qui recouvre le gisement, puis attaquer le minerai par tranches horizontales successives à partir du centre. Le reste du stérile est dégagé au fur à et mesure de la progression de l’exploitation. Une excavation évasée vers le haut est assurée en gardant une inclinaison totale constante d’une tranche à l’autre. Celle-ci est fonction de l’économie de l’opération et de la stabilité des pentes. L'opération progresse en conservant cet aspect d'un cratère plus ou moins allongé selon la forme du gisement. Figure 5: Séquences d’une exploitation en fosse Figure 6: Exploitation en fosse
  • 23.
    L’exploitation prend finlorsque le stripping ratio atteint une limite inférieure à partir de laquelle il n’est plus rentable d’augmenter la profondeur de l’exploitation. b. Etapes de l’exploitation en fosse : Les principales étapes de l'exploitation en fosse sont:  Le décapage des matériaux de recouvrement : Il s’agit de l’enlèvement des matériaux de recouvrement au-dessus du gisement. Les zones à décaper dépendent de plusieurs facteurs :  La taille, la forme du gisement et la distribution des teneurs à l'intérieur de ce dernier.  La nature des terrains de recouvrement.  Le caractère et l'importance de la structure géologique.  Les conditions particulières (physiques, climatiques, chimiques…).  La durée et le taux de production des travaux.  Les capacités et distances des zones d'entreposage des matériaux enlevés par rapport à la zone de décapage.  L'utilisation future des équipements.  Le forage en rocher : Le forage des trous de mine se fait moyennant un hydrophore et en respectant un schéma de tir bien défini. Un schéma de tir est un ensemble de renseignements permettant d’exécuter un tir : l’emplacement des trous, leurs dimensions, les caractéristiques de charge, le mode d’amorçage. Le schéma de tir est défini par :  L’espacement : la distance entre les trous d’une même ligne.  La banquette : La distance entre les lignes.  Le diamètre du trou.  La profondeur du trou.  L'abattage du massif :
  • 24.
    La destination principalede cette opération est la modification de l’état naturel de la roche. Elle est abattue à l’explosif1 . Une fois le schéma de tir défini, on procède au chargement, qui se compose de trois étapes :  Préparation des trous de mines (nettoyage).  Mise en place des charges.  Bourrage.  La manutention des produits abattus : Les produits abattus doivent être chargés puis transportés en utilisant des engins de capacité relativement grande. En général, on utilise des pelles pour le chargement, et des camions ou dumpers pour le transport. Les camions doivent être bien répartis sur les pelles de façon à optimiser le rendement global de l’opération. Il faut aussi s’occuper de l’état des aires de travail et de l’état des pistes et voix de circulation. c. Engins d’exploitation2 : L’exploitation à ciel ouvert nécessite l’utilisation d’engins de grande capacité. Des engins spécifiques sont utilisés dans chaque phase de l’exploitation. L’hydrophore : Engin de forge disposant de plusieurs tiges permettant de forer des trous dans la roche. Pelle hydraulique : Engin constitué d’une tourelle pivotante munie d’un godet, utilisé pour déplacer divers matériaux. Camion ou dumper : équipé d’une benne basculante, il est utilisé pour le transport en vrac. Il existe deux types de camions utilisés dans l’exploitation en fosse : les camions articulés et les camions non articulés de type conventionnel. Niveleuse : Engin équipé d’une lame orientable placée entre ses deux essieux, servant principalement à niveler le sol ou à déblayer la chaussée. 1 Voir Annexe1 2 Voir annexe2
  • 25.
    Chargeuse : Équipementconstitué d’un godet fixé sur un bras de levage mis en mouvement par des vérins, et servant à soulever des matériaux pour les déplacer ou les charger. Bulldozer : Le bulldozer est un engin d'excavation et de refoulement sur chenilles ou sur pneus. Il est muni d'une lame horizontale perpendiculaire à l'axe du tracteur. Compacteur : engin utilisé pour augmenter la densité des matériaux meuble. Il est équipé d’un rouleau vibrateur qui applique, en cours de déplacement, une charge statique en tous points du matériau meuble. Camion citerne : utilisé pour l’arrosage de la piste et des voix d’accès. Brise-roche : Engin équipé d’un marteau brise-roche utilisé pour fragmenter les blocs de minerai dont la taille est supérieure à celle exigée. 2.2. COLLECTE DE DONNEES : Avant de se lancer dans les calculs théoriques, un soin particulier doit être accordé au rassemblement de données relative à un projet d’exploitation en carrière, sans lesquelles une analyse pertinente ne peut voir le jour. Tout projet d’exploitation en carrière peut être schématisé comme suit : Figure 7: Schématisation des projets d'exploitation en carrière
  • 26.
    On peut ainsiressortir les données à cibler lors de la collecte de donnée:  Engins de forage : marque, capacité, rendement, disponibilité.  Explosifs : type, caractéristiques, rendement.  Engins de chargement : marque, capacité, rendement, disponibilité.  Engins de transport : marque, capacité, rendement, disponibilité. Les autres données quant à elles seront définies dans l’appel d’offre suivant le projet. 2.2.1. Contexte de la collecte de donnée : L’étape collecte de données s’est déroulée sur la carrière de cuivre d’Agoujgual, située dans la région de Goulmim à 200 km au sud d’Agadir. Cette mine est exploitée par le leader du marché des travaux d’exploitation à ciel ouvert. Les travaux réalisés par le sous-traitant sont :  L’installation du chantier.  La mise au point du schéma de tir. Bien que l’exploitant se charge du tir, l’activité est sous-traitée à une société spécialisée dans le chargement en explosif et le tir.  L’abattage du minerai et stérile y compris toute fourniture d’explosifs et d’amorces nécessaires.  La fragmentation secondaire des blocs de minerai de dimensions supérieures à 500mm par brise-roche.  Le chargement et transport du minerai à destination de l’usine de traitement sur une distance moyenne de 60Km.  Le chargement et transport des produits stériles aux emplacements réservés à la mise-à-terril sur une distance moyenne de 2Km.  La réalisation, l’entretien et l’arrosage de la piste et des voies de circulation des engins. 2.2.2. Rendement des engins d’exploitation : Pour un engin donné, le rendement représente la production horaire de minerai ou de stérile. Afin de calculer le rendement, nous avons dû passer par le chronométrage des temps de cycles des différents engins. La durée d’un cycle de
  • 27.
    production est letemps nécessaire pour exécuter une tâche précise en un tour complet. Pour chaque engin, il a donc fallu décomposer les cycles en différentes étapes de durée élémentaire. Pour un résultat rigoureux, nous avons calculé une moyenne sur un certain nombre de rotations. Le tableau ci-dessous regroupe les résultats des chronométrages réalisés : a. Hydrophore : Minerai Stérile Profondeur du trou 4m 3m Diamètre du trou 76mm 89mm Temps de forage pur 6’40’’ 02’48’’ Temps remontée tige 11’’ 9’’ Temps de déplacement d’un trou à un autre 45’’ Temps de mise à niveau 1’19’’ Total Cycle 535’’ 301’’ Rendement 27mlf/h 36mlf/h Tableau 1: Résultats de chronométrage de l'hydrophore b. Camions stérile : Moyenne Chargement 02’45’’ transport 05’18’’ déchargement 00’48’’ Retour + Attente + Manœuvres 07’02’’ Total cycle 15’53’’ Rendement 43,44m3 /h Tableau 2: Résultats du chronométrage des camions stérile
  • 28.
    c. Pelle hydraulique: Moyenne Chargement du godet 06’’8 Pivotement 07’’1 vidange 06’’6 Pivotement à vide 05’’5 Cycle du Godet 26’’0 Godets par camion 7,5 Temps de transition ente camions 105’’ Total cycle 300’’ Rendement 138m3 /h Tableau 3: Résultats du chronométrage des pelles hydrauliques Cependant, ces temps de cycle ne sont pas fixes car tributaires de facteurs que l’on a schématisés sur le diagramme d’Ishikawa ci-dessous : Figure 8: Diagramme Ishikawa – Facteurs influençant la rentabilité 2.2.3. Disponibilité des engins :
  • 29.
    La disponibilité estun facteur déterminant pour le rendement des engins. Nous avons estimée à 93% la disponibilité des engins de la mine d’Agoujgual. Ce chiffre est grossier car nous nous sommes basées sur les données d’une semaine ; faute d’historiques de pannes. Néanmoins, un taux aussi élevé pourrait être justifié par le surdimensionnement du parc engin par rapport à la production d’une part, et à la politique maintenance adoptée d’une autre part. En effet, en cas de panne, les engins d’exploitation sont remplacés par des engins neufs dans les plus brefs délais. De plus, le sous-traitant revend ses engins avant même qu’ils n’atteignent leurs heures de réformes. 2.3. CONCEPTION DE L’OUTIL : Afin de guider l’entreprise dans le choix des investissements les plus rentables, nous allons concevoir un outil d’évaluation de rentabilité de projet en carrière, sous Excel VBA qui offrira une vue d’ensemble des paramètres du projet. Ce support informatique devra retracer les différentes étapes de budgétisation, allant du dimensionnement du parc d’engins en passant par le calcul des critères de rentabilité. Cet outil regroupera les différentes informations initiales relatives au projet, les consolidera, chiffrera les méthodes et moyens d’exploitation et restituera à la fin le meilleur scénario à adopter pour une prise de décision optimale. Tout au long de la conception, nous veillerons à la facilité d’utilisation et à la simplicité de manipulation de l’outil, offrant ainsi une interface ergonomique et ce en dépit de la quantité des données traitées. Le schéma suivant résume les intrants et les sortants de l’outil :
  • 30.
    Figure 9: Conceptionde l'outil d'évaluation de la rentabilité L’outil se présentera sous plusieurs feuilles. Avant de rentrer dans le détail de conception et de programmation de l’outil que nous détaillerons dans les parties à venir, nous allons donner un bref aperçu des différentes feuilles :  Feuille dessin carrière : Cette feuille devra indiquer les réserves de minerai et de stérile ainsi que la durée de vie de la mine. L’outil permettra de visualiser la planification d’exploitation du stérile et du minerai au fil des années. En effet, grâce à une étude de faisabilité préliminaire, la planification des séquences d’exploitation sur 2 à 10 années est déterminée avant le commencement des travaux miniers. Cette estimation des ressources intègre les volets relatifs au traitement, à la métallurgie, ainsi que tout aspect économique justifiant l’extraction rentable. Mais ces prévisions ne sont pas définitives et sont amenées à changer selon les circonstances telles que la conjoncture économique.  Feuille données d’entrée Cette feuille rassemblera toutes les données initiales pour l’évaluation des besoins techniques et le calcul des coûts opératoires. Ces données porteront sur les engins à utiliser, les temps d’ouverture, le schéma de tir et les distances de roulage.  Feuilles abattage, chargement et transport :
  • 31.
    On a vuprécédemment que l’exploitation en carrière s’effectue en trois temps : abattage, chargement et transport. Le calcul du besoin relatif à chaque opération sera donc regroupé sur une feuille correspondante à l’étape en question.  Feuille RH : Les ressources humaines devant être estimé pour le projet, il est indispensable de concevoir sur une feuille les besoins en personnel.  Feuille coût opératoire : La feuille coût opératoire contiendra les coûts de fonctionnement horaire des différents engins.  Feuille établissement et Feuille aménagement de la piste : En dehors de l’extraction du minerai et du stérile, l’exploitant doit aménager le site avant le commencement des travaux et veiller par la suite à entretenir la piste, d’où la nécessité de consacrer une feuille pour les calculs de chaque prestations.  Feuille synthèse : Après traitement des données, une feuille synthèse récapitulera l’ensemble des coûts du projet ainsi que l’effectif total du parc engin.  Feuille bordereau des prix : Comme son nom l’indique cette feuille devra résumer le livrable du projet à savoir le prix des prestations à partir d’une marge bénéficiaire donnée. Rappelons qu’en carrière, le prix de stérile est estimé au mètre cube tandis que celui du minerai est calculé à la tonne.  Feuille rentabilité avant financement : Comme son nom l’indique, cette feuille permettra d’évaluer la rentabilité du projet pour faciliter la prise de décision vis-à-vis du choix d’investissement.  Feuille financement : Cette feuille proposera un plan de financement pour le projet.  Feuille rentabilité après financement :
  • 32.
    Après calcul dufinancement, cette feuille estimera à nouveau les facteurs de rentabilité en tenant compte des flux engendrés par le financement.  Feuille sensibilité et feuille de risque: Ces feuilles permettront de mener une analyse de sensibilité et de risque portant sur certains facteurs influençant la rentabilité du projet. Conclusion partielle du chapitre : A terme de ce chapitre, nous avons explicité la particularité de l’investissement en milieu minier ; particularité à laquelle n’échappent pas les mines à ciel ouvert dont nous avons détaillé les étapes d’exploitation. Cette phase indispensable, a été suivie par une collecte de données que nous avons présentée sous forme d’une cartographie pour en faciliter la lecture. Suite à cette collecte, nous avons pu établir une ébauche de notre outil d’évaluation de rentabilité. Les chapitres qui vont suivre vont détailler un à un les différentes rubriques de l’outil.
  • 33.
    CHAPITRE 3 :ÉTUDE DE FAISABILITE TECHNIQUE L’étude faisabilité technique constitue la première étape dans la démarche d’évaluation de projet. Cette phase devra répondre aux questions suivantes : -Combien d’engins seront nécessaires pour l’exploitation ? -Quelles sont les quantités des matières à utiliser ? -Quel est l’effectif mine ? 3.1. DIMENSIONNEMENT DU PARC ENGIN : Pour chaque étape d’exploitation, nous allons calculer le nombre d’engins requis, en utilisant l’enchaînement suivant : Figure 10: dimensionnement du parc engin 3.1.1. Disponibilité et coefficient d’utilisation : En pratique, plusieurs facteurs peuvent réduire l’efficience du travail et constituer un obstacle pour la production. Il faut donc les intégrer dans le calcul du rendement pour obtenir des valeurs proches de la réalité. Ceci peut se traduire par :
  • 34.
     La disponibilité: « c’est l’aptitude d’une entité à être en état d’accomplir une fonction requise dans des conditions données, en supposant que la fourniture des moyens extérieurs nécessaires soit assurée»3 . La disponibilité calculée lors de la collecte des données n’étant pas rigoureuse, nous nous sommes basées sur les données des engins de Techsub qui opèrent dans des conditions comparables à celles des mines à ciel ouvert, moyennant la formule suivante :  Le coefficient d’utilisation : y sont intégrés les obstacles qui peuvent ralentir la cadence de l’engin Il existe des tables de données4 standards qui donnent le coefficient d’utilisation en fonction de paramètre tel que : la compétence du chauffeur, la nature du terrain, le choix et dispatching des engins. 3.1.2. Besoin en engin d’abattage : Feuille abattage Hydrophore : Temps de cycle de l’hydrophore : Le temps de cycle de l’hydrophore ( ) est composé de 4 temps (exprimés en secondes):  Le temps de forage pur ( ) : la tige pénètre le rocher pour creuser un trou.  Le temps de remontée de la tige ( ) : après avoir atteint la profondeur voulue, la tige remonte.  Le temps de déplacement ( ) : représente le temps de déplacement de l’hydrophore d’un trou à un autre.  Le temps de mise-à-niveau ( ) : ajustement de la tige puis positionnement au-dessus du nouveau trou à creuser. 3 Norme NF X 60 – 500 4 Voir Annexe 5 (3.1)
  • 35.
    Rendement de l’hydrophore: Le rendement de l’hydrophore représente la profondeur (h) du trou foré par heure. Il est obtenu en divisant la profondeur du trou par le temps de cycle ramené à l’heure et en le multipliant par la disponibilité et le coefficient d’utilisation de l’hydrophore. Les heures de marche requises : Nous avons calculé tout d’abord le nombre de trous ( ) à réaliser pour la production planifiée pour l’année. Pour ceci, nous avons utilisé la formule suivante : Le volume de la maille ( ) peut être facilement calculé à partir des données du schéma de tir : Où : : Banquette. : Espacement. : Profondeur du trou. N.B : Le schéma de tir est défini par le client. A partir du nombre de trous, nous avons calculé le MLF total foré par année, en multipliant le nombre de trous par la profondeur d’un trou (h). (3.2) (3.3) (3.4) (3.5)
  • 36.
    Finalement, nous avonsobtenu les heures de marches requises pour réaliser ce MLF total en le divisant par le rendement réel de l’hydrophore. Nombre d’hydrophores requis : Le besoin en hydrophore est tout simplement le rapport des heures requises ( ) par les heures disponibles annuellement ( ). Pour le forage, le même hydrophore peut être utilisée pour le stérile et le minerai. Le nombre d’hydrophores nécessaires pour l’exploitation est donc : 3.1.3. Besoin en engins de chargement: La feuille chargement concerne deux engins : La pelle hydraulique, pour le chargement, et le brise-roche pour la fragmentation des blocs de minerai dont les dimensions sont au-dessus de la norme. Pelle hydraulique : Temps de cycle de la pelle: Ce temps de cycle représente pour la pelle le temps entre les débuts de remplissage des camions. Il est composé du temps de remplissage d’un camion ( ) et du temps de passage d’un camion au suivant ( ) : Le temps de remplissage d’un camion est calculé à partir du temps de cycle du godet ( ) et du nombre de godets par camion ( ). (3.6) (3.7) (3.8) (3.9)
  • 37.
    Pour le nombrede godets par camion, il peut être exprimé comme étant le rapport de la capacité de la benne ( ) par la capacité du godet ( ), celle-ci doit être multipliée par le coefficient de remplissage ( ) et le coefficient de foisonnement ( ). Rendement de la pelle: Le rendement de la pelle ( ) représente pour le minerai (respt. le stérile) le tonnage (respt. le volume) chargé par heure. Le rendement réel de la pelle est obtenu en divisant la capacité de la benne du camion par le temps de cycle et en multipliant le rapport par la disponibilité ( ) et le taux d’utilisation ( ) de la pelle. Le temps de cycle étant exprimé en secondes, il nous faut le transformer en heures avant de l’utiliser pour le calcul du rendement. L’équation devient donc: Les heures de marche requises : Les heures de marches annuelles des travaux de chargement peuvent être calculées moyennant les formules suivantes :  Minerai :  Stérile : (3.10) (3.11) (3.12) (3.13) (3.14)
  • 38.
    Nombre de pellesrequises : La pelle est l’engin le plus sensible, si elle tombe en panne, tout le parc engin s’arrête. C’est pour cette raison que nous avons jugé préférable de distinguer entre les pelles destinées au chargement du stérile et celles destinées au minerai. Pour chaque faciès, le nombre de pelles requises est : Brise-roche : Temps de cycle du brise-roche : Le temps de cycle du brise-roche ( ) est calculé par la formule suivante : Où : : Le nombre de coups par bloc. : Le temps par coup. : Le temps de transition entre blocs. Rendement du brise-roche: Le rendement du brise roche est le tonnage total de roche brisé par heure : Les heures de marche requises : Normalement, une utilisation fréquente du brise-roche remet en question l’efficacité du schéma de tir. Cependant, ce dernier peut voir son rendement diminuer à cause de certains facteurs. Nous avons considéré que pour 30% de la production de minerai, nous devons faire appel au brise-roche. Ainsi ses heures de marche sont : (3.15) (3.16) (3.17)
  • 39.
    Nombre de brise-rochesrequis : Le nombre de brise-roche est donc : 3.1.4. Besoin en engins de transport : Dans la feuille transport, en plus des camions, nous avons considéré les besoins en surfaçage effectué par le bulldozer au niveau de la mise-à-terril. Camion : Temps de cycle du camion : Le temps de cycle d’un camion est composé des facteurs suivants :  Le temps requis par la pelle pour charger un camion .  Temps de déplacement chargé : .  Temps de déchargement , estimé à partir des chronométrages (1min pour le stérile et 5min pour le minerai).  Temps de déplacement vide : .  Temps de manœuvre : regroupe toutes les manœuvres effectuées par le camion pour se placer sous le godet de la pelle, au niveau de la mise à terril ou le concasseur de l’usine, ainsi que les temps d’attente en cas d’indisponibilité de la pelle et le temps de bâchage pour les camions de minerai. Où : (3.18) (3.19) (3.20) Figure 11: Temps de cycle d'un camion
  • 40.
    Temps de déchargementet de manœuvre du camion et du camion exprimés en minute. : Distance de roulage exprimée en Km. : Vitesse moyenne à vide du camion exprimée en Km/h. : Vitesse moyenne du camion chargé exprimée en Km/h. Rendement du camion : Le rendement du camion est calculé par la formule suivante : Les heures de marche requises : Les heures de marche pour transporter les matériaux abattus annuellement sont données par les formules suivantes :  Stérile :  Minerai : Nombre de camions requis : Pour le transport du minerai et du stérile, le nombre de camions à utiliser est pour chacun des deux exprimé par : Bulldozer : Le Bulldozer est utilisé dans la mine pour le surfaçage de l’espace prévu pour la mise- à-terril et pour l’entretien de la piste. Temps de cycle du bulldozer: Le temps de cycle du Bulldozer ( ) est composé de 4 temps : (3.21) (3.22) (3.23) (3.24)
  • 41.
     Le tempsde refoulement : c’est le rapport de la distance à parcourir ( ) par la vitesse d’avancement ( ) qui doit être techniquement choisie entre 3 et 5Km/h.  Deux temps d’inversion de marche ( ).  Le temps de recul : qui est le rapport de la distance à parcourir par la vitesse de recul ( ) incluse entre 5 et 7Km/h. Rendement du Bulldozer : Le rendement du bulldozer est calculé à partir de la capacité de sa lame ( ) et de son temps de cycle par la formule ci-dessous : Où : : sont respectivement la disponibilité et le coefficient d’utilisation du bulldozer. Les heures de marche requises : En considérant qu’on aura besoin d’utiliser le bulldozer pour le surfaçage de 30% de la production stérile, les heures de marche du bulldozer sont : Nombre de bulldozers nécessaire : (3.25) (3.26) (3.27) (3.28)
  • 42.
    3.2. EVALUATION DESBESOINS EN EXPLOSIFS ET ACCESSOIRES DE TIR : Dans cette partie nous avons calculé les quantités nécessaires de Tovex, d’Ammonix, d’amorces et de ligne de tir pour abattre le volume annuel de production. 3.2.1. Le Tovex: Le Tovex est un explosif de gel d’eau, sous forme de cartouches. Dans notre cas, nous allons utiliser une cartouche de 1Kg/trou. Donc la quantité de Tovex à utiliser ( ), exprimée en Kg, est : 3.2.2. L’Ammonix : Les explosifs Ammonix sont des granulés composés de nitrate d’ammonium et de fuel. La quantité d’Ammonix nécessaire est calculée par : Tel que : Et : Où : : Le volume de l’Ammonix : La densité de l’Ammonix : La longueur de la charge d’Ammonix Le diamètre du trou :Longueur de la cartouche du Tovex. (3.29) (2.32) (2.31) (2.30) Figure 12: cartouche de Tovex
  • 43.
    3.2.3. L’amorce : L’amorçagede l’explosif correspond au moyen utilisé pour provoquer sa décomposition. Une amorce est utilisée par trou. Donc : 3.2.4. Les lignes de tir : Les lignes de tir sont utilisées pour relier les amorces entre elles et les joindre au détonateur. Nous avons donc besoins d’une longueur égale au MLF total, d’une longueur suffisante pour relier les trous, c.-à-d. l’espacement, et d’une longueur suffisante pour atteindre le détonateur ; longueur que l’on a estimé à 15% de la longueur totale. 3.3. EVALUATION DES BESOINS EN PERSONNEL : 3.3.1. Encadrement : L’équipe d’encadrement est constituée des éléments suivants :  Cadre : responsable de la gestion du projet.  Technicien : peut être un chef de poste ou chef d’atelier.  Pointeur : responsable du pointage du personnel.  Topographe : bien que ce soit le client (MANAGEM) qui fasse les implantations et les levés pour la facturation, il revient à TECHSUB de faire son propre levé pour une vérification des résultats et faire au besoin une réclamation. 3.3.2. Maintenance: L’équipe maintenance doit être constituée des fonctions suivantes :  Mécanicien  Aide-mécanicien (2.33) (2.34)
  • 44.
     Pneumaticien  Soudeur Graisseur 3.3.3. Opérationnels : Ce sont les machinistes qui manœuvrent les engins d'exploitation à ciel ouvert. Leur effectif ( ) est exprimé par la relation suivante : Les 75% expriment le temps effectif de travail compte tenu des périodes de récupération et de congés. Au niveau de l’outil, les opérationnels sont regroupés dans la feuille RH suivant les phases d’exploitation : L’abattage :  Foreur : l’opérateur de l’hydrophore.  Aide-foreur : l’agent qui guide le foreur dans le déplacement et la mise-à- niveau. Généralement, chaque foreur doit être accompagné d’un aide-foreur.  Boutefeu : Agent responsable du tir. Le chargement :  Opérateur pelle  Opérateur brise roche Le transport :  Conducteur camion :  Agent bâchage : le bâchage s’effectue pour les camions de minerai à leur sortie de la mine. L’entretien de la piste :  Opérateur Bulldozer (3.35)
  • 45.
     Opérateur Niveleuse Opérateur Chargeuse  Opérateur Compacteur  Opérateur camion citerne  Conclusion partielle du chapitre : A terme de ce chapitre, nous avons dans un premier temps, dimensionné le parc d’engin et calculé les besoins en matières pour chacune des étapes d’exploitation. Ensuite, nous avons évalué le besoin en personnel en termes d’effectif. Les calculs abordés dans ce chapitre, nous ont ainsi permis de compléter les feuilles « abattage », « chargement », « transport » et « RH ». Ces informations nous permettrons de traiter, dans le chapitre suivant, les coûts de revient des différentes prestations.
  • 46.
    CHAPITRE 4 :ÉVALUATION DU COUT DU PROJET Dans ce chapitre nous allons expliciter les calculs sur lesquels nous nous sommes basées pour concevoir les feuilles « coût opératoire », « charges fixes », « entretien de la piste », «établissement » et « synthèse » en carrière. Ces volets, nous permettrons d’estimer le coût du projet pour fixer les prix de prestations. On distinguera entre coûts opératoires qui varient en fonction du niveau d'activité et qui regroupent les charges proportionnelles au volume des différentes étapes d’exploitation, et entre coûts fixes à savoir les coûts qui ne varient pas ou peu en fonction de la quantité de la roche extraite et que l’entreprise doit subir quelque soit sa production. 2.1. LES COUTS OPERATOIRES : Les coûts opératoires désignent l’ensemble des dépenses liées à l’exploitation. Leur calcul est primordial dans la mesure où ils reflètent l’activité de l’entreprise et constituent une partie substantielle de l’ensemble des dépenses de production. Ils représentent ainsi une étape essentielle dans le processus de calcul de rentabilité. Pour notre cas, nous avons déterminé les coûts opératoires horaires par engin suivant le schéma ci-dessous : Figure 13: Composantes du coût opératoire 2.1.1. Amortissement :
  • 47.
    L’amortissement est larépartition du coût de l’engin sur la durée probable de son utilisation. Il exprime ainsi la dépréciation de la valeur du bien en fonction de son utilisation. En général, la durée de vie des amortissements est comptée en termes d’unités d’œuvre et ce pour mieux exprimer le rythme de consommation des avantages économiques attendus. Pour notre cas, nous avons choisi l’heure comme unité d’œuvre pour les différents engins d’exploitation. Ainsi la durée de vie des camions, du brise roche, de l’hydrophore a été fixée à 20000 heures, tandis que celle des pelles est de 15000 heures. Ces durées correspondent aux nombres d’heures à partir desquels l’exploitant doit acquérir un nouvel engin. Elles sont fixées par Techsub. Le mode de calcul d’amortissement adopté est le mode linéaire. La base amortissable est calculée selon la formule suivante : L’engin étant considéré obsolète une fois qu’il atteint le nombre d’heures de marche spécifiée, la valeur résiduelle n’est donc pas significative et est considérée nulle. La dotation aux amortissements est ensuite obtenue par le calcul suivant : Dotation aux amortissements = Base amortissable x (4.2) Exemple : Nous allons illustrer le calcul de l’amortissement d’un dumper utilisé pour un projet de carrière en 5ans : Année Base amortissable (MAD) Unité d’œuvre (h) Amortissement annuité 1 2 000 000 4604 460 400 2 2 000 000 4609 460 900 3 2 000 000 4727 472 700 4 2 000 000 4586 458 600 5 2 000 000 4630 463 000 Figure 14: Calcul des amortissements Base amortissable = Valeur d’acquisition – Valeur résiduelle (4.1)
  • 48.
    2.1.2. Énergie : Laconsommation de carburant d'un véhicule est fonction de son rendement énergétique. Ce type de données étant en général fourni par le fabricant, il suffit de multiplier le nombre des heures de marche de l’engin par sa consommation horaire de gasoil. 2.1.3. Maintenance et pièces de rechange : Ce sont les coûts de réalisation des prestations de maintenance. Ils sont constitués des coûts liés à : La main d’œuvre maintenance: englobe le personnel d’exécution et le personnel de méthodes et gestion de stock. En plus du calcul du taux horaires des prestations, la valorisation de la main d’œuvre se fait en incorporant toutes les charges afférentes au personnel à savoir : les indemnités, les frais d’assurances etc. Les matières : incluent les pièces de rechange et les consommables. Ces coûts diffèrent d’un engin à l’autre, selon les parties du véhicule qui sont le plus sujettes aux pannes. Les méthodes : comprennent les méthodes de management de maintenance, les moyens documentaires et les procédures. Quant au local de maintenance et aux outils et instruments dont il est équipé, ils sont comptabilisés dans les frais d’établissement, frais que l’on va détailler dans un autre partie et qui seront facturés au client comme prestation à part au début du lancement de l’exploitation. 2.1.4. La main d’œuvre opérationnelle : Chaque membre du personnel d’exécution est affecté au véhicule correspondant. La rémunération du personnel est multipliée par les heures d’ouverture ainsi que le nombre de poste. La rémunération, comme pour la main d’œuvre maintenance, comprend le salaire et les indemnités, assurances etc. 2.1.5. Pneumatique :
  • 49.
    Étant donnée laconsommation importante en pneu de certains véhicules tels que les Dumpers, les coûts de pneumatique sont calculés à part, en dehors des coûts de maintenance. En effet la nature du terrain manipulée ainsi que l’infrastructure routière difficile, accentue considérablement le besoin en pneumatiques. Ainsi un dumper consommerait, en moyenne 3.5 pneus par mois. 2.2. CHARGES FIXES : Les charges fixes, calculés sur la feuille éponyme, sont tout aussi importantes que les charges variables, dans le calcul du coût de revient. Pour estimer ces coûts, nous nous sommes basées sur les historiques de projets antérieurs de Techsub, et ce en pondérant certains coûts par l’effectif de la mine comme pour le cas des EPI et des frais de transport du personnel. Les charges fixes pour l’exploitation en carrière sont :  Frais de téléphone et internet.  Frais d’électricité.  Frais EPI (500 MAD par personne par mois).  Frais de carburant (des voitures de service).  Frais de transport du personnel (741 MAD par personne par mois).  Frais de gestion siège. 2.3. CALCUL DU COUT DE REVIENT : Une fois les coûts opératoires et les coûts fixes calculés, nous allons pouvoir déterminer les coûts de revient de l’exploitation. Ces coûts sont regroupés sous la feuille « synthèse ». Pour une meilleure lisibilité des différents constituants des coûts de revient, nous distinguerons entre les coûts de chaque étape d’exploitation par type de faciès. Ainsi le coût du minerai par exemple, est constitué du coût d’abattage, du coût de chargement et du coût de transport. Le coût de revient de chaque étape est calculé selon la formule suivante : Coût de revient = ∑ Coût opératoire engin x heures de fonctionnement engin (4.3)
  • 50.
    Pour l’opération d’abattage,les coûts des explosifs utilisés lors du tir sont aussi intégrés au calcul. Le coût de revient total est donné par la relation suivante : Coût de revient = Coût d’abattage + Coût de chargement + Coût de transport + CF (4.4) Puisque l’on distingue entre coût de revient du minerai et celui du stérile, les coûts fixes sont pondérés entre les deux types de faciès selon le tonnage extrait de chacun. 2.4. COUT DES PRESTATIONS ANNEXES : 2.4.1. Coût d’aménagement du site : L’installation du chantier est rémunérée forfaitairement en dehors des prestations d’exploitation du minerai. Ce coût inclut les prestations suivantes :  Frais d’amenée, d’installation et de repli du matériel.  Frais d’installation et de fonctionnement des locaux du chantier (bureau, salle de réunion…).  Frais d’installation des ateliers d’entretien et d’approvisionnement.  Frais d’installation du personnel et matériel. Le coût d’aménagement du site est effectué au niveau de la feuille « Établissement ». 2.4.2. Coût d’entretien de la piste : C’est une prestation facturée mensuellement, en dehors des frais d’exploitation du gisement. Elle comprend la réalisation, l’entretien et l’arrosage quotidien des pistes d’accès. Ce coût est calculé sur la base du kilométrage de piste parcouru par les engins d’entretien au sein de la mine. Le matériel d’entretien se constitue de :  Bulldozer.  Niveleuse.
  • 51.
     Chargeuse.  Compacteur. Camion citerne. La feuille « entretien » calcule d’abord le kilométrage annuel parcouru par les différents engins d’entretien. Ensuite les coûts d’amortissement, d’énergie, de maintenance et pièces de rechanges, de main d’œuvre et éventuellement des coûts de pneumatique sont injectées pour le calcul des différents coûts opératoires.  Conclusion partielle du chapitre : Lors de ce chapitre, nous avons estimé la totalité du coût du projet. Après fixation d’une marge bénéficiaire par l’utilisateur, l’outil calcule via la feuille « bordereau de prix » les prix des différentes prestations via la formule suivante : Les prix constituant cette feuille sont :  Le prix d’abattage, de chargement et de transport d’une tonne de minerai.  Le prix d’abattage, de chargement et de transport d’un mètre cube de stérile.  Le prix mensuel d’entretien de la piste.  Le prix forfaitaire d’aménagement du site. Nous devons maintenant, évaluer la rentabilité du projet à travers l’évaluation financière de celui-ci. (4.5)
  • 52.
    CHAPITRE 5: ÉVALUATIONFINANCIERE DU PROJET ET ETUDE DE SENSIBILITE 5.1.RENTABILITE AVANT FINANCEMENT : Dans cette partie nous allons introduire les différents indicateurs de calcul de rentabilité sur lesquels nous nous sommes basées pour l’évaluation d’un projet en carrière. La totalité de ces paramètres financiers est regroupé sur une même feuille : « rentabilité ». 5.1.1. Les flux nets de trésorerie (FNT): Ce sont les valeurs obtenus par la différence entre encaissements et décaissements à la fin de chaque exercice : Les encaissements ou bénéfices imputables au projet sont constitués de :  Chiffres d’affaire engendrés par l’investissement.  Amortissement comptable de l’investissement.  Capacité d’autofinancement. Quant aux décaissements ils sont composés de :  Charges d’exploitation générées par l’investissement  Impôt  Variation du BFR  Investissement Pour faciliter le calcul des flux de trésorerie, nous allons adopter le tableau suivant regroupant les encaissements et les décaissements : Périodes Année 0 Année 1 … Année N 1. CA engendré par l'investissement 2. Charges d'exploitation générées par l'investissement (5.1)
  • 53.
    3. Amortissement comptablede l'investissement 4. Total des charges générées par l'investissement=2+3 5. Résultat comptable avant impôts=1-4 6. Impôt 7. Déduction Impôt=5 x 6 8. Résultat net=5-7 9. Capacité d'autofinancement=5+3 10. Variations du BFR 11. Investissement 12. Valeur résiduelle nette d'IS 13. Flux économiques (Cash flow)=8+3 Tableau 4:Tableau des flux nets de trésorerie Nous allons détailler toutes les rubriques constituant ce tableau : Chiffres d’affaire engendrés par l’investissement : c’est le montant des gains engendrés par le paiement des prestations facturées au client, à savoir :  Les ventes de minerai.  Les ventes de stérile.  L’entretien de la piste.  L’aménagement du site facturé durant la 1ère année. Charges d’exploitation générées par l’investissement : C’est la somme de coût des explosifs, des différents coûts opératoires engins et des charges fixes du projet diminués des amortissements qui sont repris dans la rubrique ci-dessous. Amortissement comptable de l’investissement : L’amortissement est le total des dotations aux amortissements des différents engins d’exploitation. Total des charges générées par l’investissement : C’est la somme des charges d’exploitation et des amortissements. Résultat comptable avant impôt : C’est la différence entre chiffre d’affaires et total des charges d’exploitation de l’investissement.
  • 54.
    Impôt : Représentele taux d’imposition sur le projet. Déduction impôt : C’est le montant d’impôt à payer. Résultat net : C’est le résultat net après déduction du montant d’impôt. Capacité d’autofinancement : C’est le résultat net augmenté des amortissements. Ce montant sert à renouveler les immobilisations et à rembourser une partie des dettes. Variation du BFR : Il retrace le décalage entre encaissement et décaissement des flux liés aux projets. Investissement : C’est le prix d’acquisition des engins ainsi que les frais d’aménagement du site. Valeur résiduelle nette d’IS : C’est le montant de la valeur résiduelle des amortissements diminués de l’impôt sur la société. Flux économiques : C’est la somme du résultat net et des dotations aux amortissements. 5.1.2. La valeur actualisée nette (VAN): Ce critère d’évaluation prend en considération la différence entre flux de trésorerie actualisés sur la durée de vie du projet, et le capital investi selon la relation suivante : Le principe d’actualisation rend homogènes les montants perçus ou déboursés à des périodes différentes ; le taux d’actualisation utilisé dans ce cas est le taux minimum de rentabilité exigé par l’entreprise. L’investissement sera rentable si le résultat est positif. 5.1.3. Le taux de rendement interne (TRI): Le TRI est le taux d’actualisation qui annule la valeur actuelle nette. En d’autres termes c’est le taux qui égalise la somme des flux nets de trésorerie et le montant d’investissement initial. (5.2)
  • 55.
    Tout projet dontle TRI est inférieur au taux de rentabilité minimum est rejeté car susceptible de remettre en jeu la rentabilité globale de l’entreprise. Le TRI est directement calculé par la fonction « TRI » d’Excel. 5.1.4. L’indice de profitabilité (IP): C’est le rapport entre flux nets de trésorerie actualisés et montant de l’investissement. Cet indice est calculé par la formule suivante : Une fois ce rapport calculé, l’outil revoie les données suivantes : Si IP > 1 : Projet rentable Si IP = 1 : Équilibre Si IP < 1 : Projet non rentable. 5.1.5. Le délai de récupération du capital investi (DRCI): C’est la durée au bout de laquelle, le montant cumulé des flux de trésorerie actualisés égalise le montant du capital investi. Il est estimé par la formule suivante : Où : FNAC inf. : dernière valeur négative des flux nets actualisés cumulés FNAC sup. : première valeur positive des flux nets actualisés cumulés 5.2.FINANCEMENT : Une fois que l’outil nous indique que le projet est rentable, il faut chercher un financement optimal. Cette partie est traitée dans la feuille « financement ». Nous devons donc confronter les besoins du projet d’une part et les ressources disponibles de l’entreprise d’une autre part, afin de trouver la meilleure solution financière qui équilibre les flux annuels. (5.3) (5.4)
  • 56.
    5.2.1. Plan definancement : Il retrace les mouvements de la trésorerie sur la durée de vie du projet. Il est composé de deux grandes parties :  Besoins.  Ressources. La différence des deux constitue le solde du projet. L’équilibre trésorerie est défini quant à lui par les soldes cumulés qui doivent tous avoir une valeur positive ou nulle. Année 1 … Année n Capacité d’autofinancement (CAF) Revente d’actifs Capitaux propres Financement externe Ressources (1) Investissement Dividendes Besoin en fonds de roulement Remboursement des emprunts Charges financières Besoins (2) Solde (2)-(1) Solde cumulé = Tableau 5: plan de financement La capacité d’autofinancement du projet représente sa capacité à dégager une ressource qui pourra être réinjectée en cas de renouvellement du parc engin ou de croissance de l’activité. La revente d’actifs : en cas de renouvellement des équipements, leur valeur peut être considérée comme ressource pour le projet. Pour le cas de Managem, la valeur résiduelle des engins est nulle. Les capitaux propres : ce sont les apports propres de Techsub.
  • 57.
    Le financement externe:pour Techsub, c’est l’emprunt qu’elle va effectuer auprès de la banque. L’investissement : il représente soit l’investissement initial du projet, soit les investissements de renouvellement. Remboursement des emprunts : ce sont les annuités à payer. Charges financières : les intérêts dus à l’emprunt ou encore rémunération de l’emprunt. Solde : retrace le mouvement annuel de la trésorerie. Solde cumulé : il est égal à la trésorerie possédée à la fin de la période en cours. 5.2.2. Échéancier de remboursement de l’emprunt : L’échéancier retrace les calculs des flux engendrés par le financement :  Dette début de période : c’est le montant non remboursé de l’emprunt en début de la période.  Annuité à rembourser : c’est l’amortissement de l’emprunt sur son délai de remboursement :  Charges financières : rémunération du prêteur. Ils sont définis par le taux d’intérêts négociés avec le banquier. Sur la feuille « financement », ces éléments sont regroupés sous l’échéancier suivant : (5.4) (5.3) (5.5)
  • 58.
    Année 1 …Année n Dette début de période Annuité à rembourser Charges financière Tableau 6: Echéancier de financement 5.2.3. Réalisation d’un plan de financement optimal : Afin de garantir l’équilibre de la trésorerie, nous devons chercher l’emprunt nécessaire pour annuler le solde cumulé ou lui attribuer une valeur positive. Pour chaque année, nous supposons que nous pouvons faire un emprunt précis. Chaque emprunt devra être défini par un taux d’intérêt et un délai et un remboursement que l’utilisateur aurait négocié avec un organisme de crédit. Le plan de financement du projet va être composé du total des échéanciers de remboursement de l’ensemble des emprunts. La nouvelle CAF est calculée à partir de la somme des charges financières : Le problème linéaire peut être posé comme suit :  La fonction à minimiser : Figure 15:Financement Excel (5.6)
  • 59.
    En considérant chaqueemprunt sur sa durée totale, nous devons chercher à minimiser son coût effectif total en minimisant les charges financières actualisées cumulées.  Les variables : Les emprunts à effectuer à l’année i-1 avec un taux d’intérêt et un délai de remboursements .  Les contraintes :  Les soldes cumulés doivent être tous positifs ou nuls.  Les emprunts à payer au début de chaque année doivent être positifs.  Dans certains cas, l’endettement ne doit pas dépasser une valeur plafond. Le système à résoudre est donc : Nous avons choisi de recourir au solveur, complément d’Excel, pour résoudre le système linéaire. La résolution du système se fait selon les étapes : - On sélectionne la cellule cible qui est, dans notre cas, la somme des intérêts cumulés actualisés. Puisque l’on cherche à minimiser sa valeur, on sélectionne la case « min ».
  • 60.
    - On définitles cellules variables, à savoir les cellules des emprunts : Figure 17: Variables solveur - On définit les contraintes : tous les soldes cumulés ainsi que les emprunts doivent avoir une valeur positifs ou nuls. Figure 18: Contraintes solveur Figure 16: Solveur
  • 61.
    5.3.RENTABILITE FINANCIERE : Larentabilité financière mesure ce que dégage le projet par rapport à l’ensemble des capitaux qui lui sont nécessaires. Elle est calculée en rajoutant aux flux calculés avant financement, ceux engendrés par le financement. Elle est recalculée via le tableau suivant : Année 1 … Année n Investissement (1) CAF (2) Cash Flow avant financement (3)=(2)-(1) Emprunt (4) Remboursement des emprunts (5) Charges financières (6) Incidence fiscale (7) Flux nets de trésorerie Emprunt (8)= (4)-((5) +(6) +(7)) Cash flow après financement (9)=(3) +(8) Cash-flow actualisés Figure 19: Flux nets de trésorerie après financement 5.4.ANALYSE DE SENSIBILITE ET DE SCENARIO : Vu le caractère incertain de l’environnement d’investissement en général, et celui du milieu minier en particulier, l’évaluation financière est complétée par une analyse de sensibilité. La rentabilité mesurée par l’outil renvoie à un scénario de référence ; combinaison de facteurs considérés comme les plus plausibles. L’analyse de sensibilité consiste à modifier certains de ces facteurs sur une base donnée, puis à en mesurer l’impact sur la rentabilité à travers les variations induites sur le TRI et la VAN. Cette démarche permet ainsi de maitriser les fluctuations des variables susceptibles de compromettre le projet mais aussi de dégager les possibilités et opportunités offertes par le projet. L’analyse de sensibilité porte principalement sur :  Le coût de l'investissement
  • 62.
     Le chiffred’affaires engendré  Les charges d’exploitation  La marge bénéficiaire  Le taux d’actualisation Pour effectuer ces simulations, une feuille « Sensibilité » est directement intégrée à l’outil. Cette feuille consiste en une série de tableaux et de graphiques qui représentent les effets de variations sur la VAN et sur le TRI. L’utilisateur indique l’étendue de la plage de simulation. A l’issu de chaque simulation, il pourra interpréter les résultats de cinq scénario. En variant la plage de sensibilité, l’utilisateur peut effectuer autant d’analyses de sensibilité souhaitées sans affecter les résultats des autres feuilles de calcul. Une fois les simulations effectuées, l’investisseur pourra modifier la valeur des facteurs qui influencent le plus la rentabilité. Il pourra ainsi identifier les valeurs des paramètres charnières auxquels il faudra apporter une grande attention. Ces variables ne sont autres que les sources de risque encouru par le projet, risque qu’il se doit de réduire afin d’obtention des ressources de financement nécessaires. 5.5.ETUDE DE RISQUE : Le risque est une composante essentielle de l’environnement d’un projet. En effet, tout changement dans un élément interagissant avec le projet peut le déstabiliser et remettre son succès en jeu. Un plan de réponse au risque s’impose au niveau de l’étude de faisabilité du projet afin de maximiser les conséquences positives et minimiser les répercussions négatives allant à l’encontre du projet. Dans l’industrie minière, le contrôle du risque est une nécessité. Ce secteur étant par essence risqué, le contrôle des différents aléas doit impérativement être pris en charge et ce dès la conception du projet. Toute organisation minière qui identifie clairement les risques auxquels elle est exposée, peut prendre les mesures adéquates afin de réduire les pertes et en tirer des avantages économiques et organisationnels.
  • 63.
    Nous proposons danscette partie d’identifier les risques potentiels pour les mettre en relief et en dégager les principaux effets. 5.5.1. Identification du risque : Il est primordial de recenser l’ensemble du risque inhérent au projet minier selon une structure bien définie. Le schéma suivant regroupe les différents types de risque encourus pour un projet d’exploitation minière: Figure 20: Schéma des risques des projets a. Risque économique : -Risque d’inflation : Les risques de l’inflation sont la cause d’augmentation du coût des engins et des matières qui constituent la totalité de l’investissement du projet d’exploitation en carrière. Cela peut donc induire une perte de profits pour l’entreprise. Les taux d’inflation sont aussi étroitement liés au taux d’intérêts, ainsi pour compenser toute baisse de la valeur des fonds accordés par les prêteurs dus à l'inflation, l’entreprise peut voir augmenter le taux d’intérêt. -Pénurie d’énergie : Les pannes d’électricité et les pénuries en gasoil perturbent et ralentissent l’exploitation en carrière. Sur le long terme, le déficit énergétique pourrait reporter, voire annuler de nombreux projets miniers surtout en Afrique australe. De plus, les Risque Contractuel Risque politique Risque de Management Risque écnomique
  • 64.
    mines sont souventlocalisées dans des endroits reculés qui ne disposent pas de point d’approvisionnement en énergie. L’alimentation en électricité pour la mine de Sidi- Ali par exemple, se fera par groupe électrogène et sera donc conditionnée par leur seul état de marche. -Taux de change : Puisque Techsub opère à l’international, le risque relatif aux fluctuations de la devise constitue un risque significatif. L’exploitation à l’international se fait en dollar et ce dernier ne cesse de connaître des fluctuations sans précédent depuis ces dernières années. b. Risque contractuel : -Défaut de paiement : C’est l’une des préoccupations majeures des entreprises. Il s’agit du non-respect volontaire ou du non paiement d’une partie ou de la totalité des dettes. C’est la première manifestation concrète des difficultés financières d'une entreprise ou de ses clients. L’ampleur de ce risque varie en fonction des délais et des montants de paiement, et selon que l’on ait affaire à un client étranger ou local, le risque encouru étant plus grand en cas de client étranger. -Retard et changement d’ordonnancement: Ces risques induisent un surcoût pour l’entreprise par le biais de pénalités pour non respect des engagements contractuels. Les retards dans le démarrage de l’exploitation du projet induisent aussi un manque à gagner. -Défaut de coordination: En cas de contrat ambigu, des conflits peuvent apparaître entre exploitant et fournisseur remettant ainsi en cause la clarté des clauses. Cela est dû à la présence d’erreurs ou d'oublis relatifs aux conditions dans lesquelles le contrat a été conclu. c. Risque politique : -Risque environnemental : L’impact de l’exploitation en carrière sur l ‘environnement est très important : érosion des terrains, déchets, poussières, sont parfois à l'origine de pollutions graves. Des législations environnementales peuvent donc être émises à tout moment et arrêter l’exploitation en cas de graves dégâts environnementaux. -Désordre public : Le projet est conditionné par le climat social du pays ou il se tient et de sa stabilité politique. Ainsi la survenance de guerres ou de conflits politiques peuvent induire des pénuries, des limitations de mouvements de capitaux ou un arrêt définitif de l’activité d’exploitation.
  • 65.
    -Actes et régulationsgouvernementaux : Le code minier comporte des parties de nature législative et d’autres de nature réglementaire qui peuvent être sujettes à des modifications concernant la délivrance de permis minier ou un changement des taux des taxes ou des impôts. Ces législations peuvent aussi porter sur la nature des matériaux utilisés en exploitation en carrière, en imposant par exemple les explosifs à utiliser durant l’étape du tir. d. Risque lié au Management : -Productivité : L’exploitation en carrière nécessite la gestion d’un grand nombre de personnes et d’un important parc d’engin. Une mauvaise gestion de ces ressources peut entrainer une baisse de productivité tant des machines que de la main d’œuvre. - Contrôle qualité : Les méthodes d’exploitation en carrière nécessitent une planification pour déterminer les normes qualités pertinentes pour chaque projet. En cas de non contrôle des prestations cela induit des performances insatisfaisantes qui ne répondent pas aux exigences du client, comme par exemple la taille des blocs du minerai qui est fixée au préalable par l’usine de traitement. -Sécurité : Le secteur minier recense un nombre élevé d'accidents par rapport aux autres secteurs industriels. La nature du terrain, les conditions climatiques changeantes, les matériaux et engins utilisés, les contraintes de temps, les contraintes économiques, toutes ces caractéristiques imposent une prévention et une priorité d’actions par rapport aux risques encourus. -Compétences managériales : Ce risque se manifeste en cas de pilotage inadéquat du projet, comme le manque de coordination entre les différentes sections, une dilution importante des responsabilités, ou encore une communication interne insuffisante. 5.5.2. Analyse de la vulnérabilité : Après recensement des différents risques auxquels s’expose un projet d’exploitation en carrière, nous allons établir une cartographie des ces menaces afin d'évaluer leurs criticités et quantifier leurs conséquences d’apparition. La cartographie des risques se présente sous une matrice probabilité/impact, les risques y sont répartis sur une échelle de 1 à 4 selon chaque critère. La vulnérabilité de chaque risque est ensuite mesurée selon la formule :
  • 66.
    V=P x I(6.1) Où : V : Vulnérabilité P : Probabilité I : Impact Ce travail étant empirique, il est essentiel de garder une cohérence tout au long du l’élaboration de la matrice, et ce par consensus entre les différentes entités concernées. La matrice des risques est représentée ci-dessous : Probabilité Impact Improbable Possible Probable Très probable Faible 1 2 3 4 Moyen 2 4 6 8 Important 3 6 9 12 Très important 4 8 12 16 Figure 21: Matrice des risques Risque de faible priorité Risque de moyenne priorité Risque de haute priorité Risque de très haute priorité Les résultats seront ensuite reportés sur un graphique en radar. Durant la phase de planification de projet, des actions devront être mises en place afin de ramener les risques à un degré de vulnérabilité acceptable. Ces actions devront porter sur des dispositifs de veille, des contrôles et des mécanismes de contournement pour pallier aux différents problèmes.
  • 67.
    Conclusion partielle duchapitre : La rentabilité économique a été, dans un premier temps, déterminée par le calcul de différents indicateurs financiers. Ensuite, nous avons établi un plan de financement dont la résolution a été optimisée par programmation linéaire. Finalement, nous avons recalculé la rentabilité financière qui représente un facteur déterminant quant au choix d’investissement. La viabilité des projets étant liée à des facteurs externes dont le changement pourrait réduire à néant le bénéficie escompté, nous avons proposé une analyse de sensibilité et des risques pour pallier à de tels dangers. A ce stade, l’outil étant constitué, nous allons passer dans le chapitre suivant à l’application aux projets Sidi-Ali et Pumpi-Kamassani.
  • 68.
    CHAPITRE 6: APPLICATIONAUX PROJETS 6.1. PROJET SIDI ALI : 6.1.1 Données : a- Situation géographique : La carrière de Sidi Ali est située dans la province de Goulmim, à 200Km d’Agadir et à environ 75km de l’usine de traitement d’AGM (lieu de livraison du minerai). b- Ressources géologiques : Les travaux d’exploitation de la carrière de Sidi Ali sont destinés à la production du cuivre. Une première estimation des réserves prévoit une production totale de 1478425t de stérile de densité 2,75 et 5040590t de minerai de densité 2,7 étalée sur une période de 5ans au rythme de 295685t de minerai par an. Le schéma de tir exigé par le client est le suivant : Facies Espacement Banquette Profondeur Diamètre Minerai 3,5m 2m 5m 76mm Stérile 3,5m 3m 10m 89mm Tableau 8:Schéma de tir de la mine de Sidi-Ali c- Environnement et contraintes : La carrière présente un environnement relativement difficile lié aux faits suivants :  Conditions climatiques présahariennes : climat aride caractérisé par la rareté et l’irrégularité des précipitations (moyenne annuelle des précipitations : 48mm)  Éloignement par rapport aux sites urbains.  Indisponibilité d’eau et d’électricité à proximité de la carrière. d- Choix des engins : L’utilisateur a la liberté de choisir les marques, les caractéristiques et l’état (neuf ou d’occasion) de chaque engin au début du dimensionnement. 1 2 3 4 5 Minerai 295 685t 295 685t 295 685t 295 685t 295 685t Stérile 1 008 118t 1 008 118t 1 008 118t 1 008 118t 1 008 118t Stripping Ratio 3,41 3,41 3,41 3,41 3,41 Tableau 7: Planning de production de la mine de Sidi-Ali
  • 69.
    Engin Marque Référencecapacité Etat Pelle hydraulique minerai Komatsu PC 300 Godet 1,3m3 Neuf Pelle hydraulique Stérile Komatsu PC 300 Godet 1,3m3 Neuf Dumper minerai KOMATSU HD 255 Benne 48,675t Neuf Vitesse à vide 60km/h Vitesse chargé 50km/h Dumper stérile Komatsu HM 250 Benne 14,7m3 Neuf Vitesse à vide 30km/h Vitesse chargé 20km/h Hydrophore Atlas Copco Longueur de la tige 6,33m Neuf Brise roche Volvo poids marteau 800Kg Neuf Bulldozer Caterpillar Lame 14m3 occasion Niveleuse Caterpillar occasion Chargeuse Caterpillar Godet 4,45m3 occasion Compacteur Caterpillar Cylindre 1,035m occasion Citerne Volvo occasion Tableau 9:Description du parc d’engins de la mine de Sidi-Ali e- Poste : Durée totale poste 720 min Changement poste 60 min Déplacement engin 15 min Installation engin 5 min Pause 60 min Replis engin 10 min Contrôle engin 10 min Temps d´ouverture 560 min Jours ouvrable/an 360 jr Tps d´ouverture/an 6720 h Tableau 10: Durée effective du poste de travail
  • 70.
    f- Caractéristiques duterrain : g- Coût d’énergie : Énergie Prix Gasoil 8MAD/l Électricité 5MAD/KWh Tableau 12: Prix de l’énergie au Maroc 6.1.2. Évaluation des besoins : a- Parc engin : En introduisant les données relatives aux réserves en minerai et stérile, au schéma de tir et aux distances de roulage, l’outil calcule automatiquement le besoin en engin du projet. Le tableau ci-dessous résume l’ensemble du parc des machines d’exploitation : Engin effectif Pelle minerai 1 Pelle stérile 1 Hydrophore 1 dumper stérile 2 dumper minerai 5 +1 standby brise roche 1 bulldozer 1 chargeuse 1 niveleuse 1 compacteur 1 camion citerne 1 Tableau 13: Dimensionnement du parc d’engins de la mine de Sidi-Ali Granulométrie Coef. de foisonnement Coef. de remplissage Densité Minerai Moyenne 1,43 0,8 2,75t/m3 Stérile Grande 1,43 0,7 2,7t/m3 Tableau 11: Caractéristiques de la roche manipulée à la mine de Sidi-Ali
  • 71.
    b- Besoin enexplosifs et accessoires de tir: Le besoin annuel en explosif calculé par l’outil pour réaliser un tonnage égal à celui du planning est représenté sur le tableau ci-dessous : Minerai Amorces 3072 Tovex 3072,05kg Ammonix 52957,71kg Ligne de tir 30029,31m Stérile Amorces 3556 Tovex 3555,97kg Ammonix 178636,72kg Ligne de tir 55206,46m Tableau 14: Évaluation du besoin en explosifs de la mine de Sidi-Ali c- Besoin en personnel : Pour l’effectif de la mine, l’outil estime le besoin en personnel suivant : Poste Effectif Cadre 1 Technicien 2 Pointeur 1 Topographe 1 Mécanicien 4 Aide-mécanicien 2 Pneumaticien 3 Soudeur 4 Graisseur 4 Foreur 3 Aide-foreur 3
  • 72.
    Boute feu 0 Opérateurpelle 6 Opérateur brise-roche 2 Conducteur dumper 19 Agent bâchage 2 Opérateur bulldozer 3 Opérateur niveleuse 3 Opérateur chargeuse 3 Opérateur compacteur 3 Opérateur camion citerne 3 Tableau 15: Évaluation du besoin en personnel de la mine de Sidi-Ali 6.1.3. Coût du projet: a- Coûts opératoires des engins : Le tableau suivant regroupe l’ensemble des coûts opératoires de chaque engin : Engin Coût opératoire Hydrophore 1103,61MAD/h Pelle minerai 572,44MAD/h Pelle stérile 530,66MAD/h Brise roche 503,16MAD/h Dumper minerai 460,49MAD/h Dumper stérile 513,72MAD/h Bulldozer 968,95MAD/h Tableau 16: Évaluation des coûts opératoires d’engins de la mine de Sidi-Ali b- Coût de revient des prestations : Minerai Abattage Coût abattage unitaire 4,47MAD/t Chargement Coût chargement unitaire 10,57MAD/t Transport Coût unitaire transport 41,95MAD/t Coût/tKU 0,56MAD/t Frais fixes 664 665,15 MAD Coût de revient 59,24MAD/t Stérile Abattage Coût abattage unitaire 6,94MAD/m3 Chargement Coût unitaire chargement 6,66MAD/m3 Transport et surfaçage Coût transport unitaire 18,48MAD/m3 Frais fixes 2 266 130,85 MAD Coût de revient 38,14MAD/m3 Entretien de la piste 45 948,27MAD/mois Établissement 813,500MAD Tableau 17: Coûts de revient de l’exploitation de la mine de Sidi-Ali
  • 73.
    6.1.4. Bordereau deprix : En appliquant une marge bénéficiaire de 10%, les prix de soumissions sont les suivant : Abattage stérile m3 44,48 MAD Chargement, transport et mise à la décharge des matériaux stériles Abattage du minerai T 68,70 MAD Chargement du minerai Transport du minerai vers l'usine Aménagement du site Forfait 976 200,00 MAD Travaux de piste Mois 57 435,77 MAD Tableau 18: Bordereaux des prix du projet Sidi-Ali 6.1.5. Évaluation financière du projet : A ce stade, l’outil dispose de toutes les données nécessaires pour évaluer la rentabilité du projet. Avec un taux d’actualisation de 12%, les facteurs de rentabilité économique et financière sont résumés dans le tableau ci-dessous : Avant financement Après financement VAN 3 879 220,12MAD VAN 952 656,07 MAD TRI 19% Délai de récupération 4,23 IP 1,16 Financement Emprunt Année Taux d’intérêts Délais de récupération 24 953 500,00MAD Démarrage 10% 5ans 1 494 741,69MAD Année 3 8% 3ans Tableau 19: Calcul de rentabilité avant et après financement 6.1.6. Analyse de sensibilité et de risque: Comme nous l'avons précisé dans le chapitre sensibilité et risque, l'outil permet d'effectuer une analyse de sensibilité des indicateurs financiers en variant certains
  • 74.
    paramètres du projet.Les plages de variations des paramètres ainsi que les résultats de sensibilité sont portés sur le tableau suivant : % VARIATION TRI VAN INVESTISSEMENT -30% 17467450 47% 12415270,12 -15% 21210475 33% 8897245,122 0% 24953500 23% 5379220,122 15% 28696525 15% 1861195,122 30% 32439550 9% -1656829,878 MARGE BENEFICIAIRE -30% 11% 16% -2125222,295 -15% 13% 20% 237481,9703 0% 15% 25% 2600186,235 15% 17% 29% 4962890,501 30% 20% 33% 7325594,766 CASH-FLOW -50% 6024955,659 9% -1500204,269 -25% 9037433,488 14% 1189507,338 0% 12049911,32 19% 3879219,838 25% 15062389,15 25% 6568932,338 50% 18074866,98 31% 9258643,946 TAUX D’ACTUALISATION -50% 6% 23% 9437024,317 -25% 9% 23% 7288434,089 0% 12% 23% 5379220,122 25% 15% 23% 3674360,525 50% 18% 23% 2144944,566 CHARGES D’EXPLOITATION -30% 8% 29% 8348390,996 -15% 10% 24% 6113805,371 0% 12% 19% 3879220,371 15% 14% 15% 1644635,371 30% 16% 11% -589950,2543 Tableau 20: Résultats d’analyses de sensibilité du projet Sidi-Ali A partir des configurations ci-dessus, l'analyse de sensibilité montre que la VAN et le TRI sont très sensibles aux variations que nous avons effectuées. Ainsi, par exemple on peut s'apercevoir que si nous augmentons l’investissement initial de 30% nous obtenons un TRI de 9%, valeur qui est au-dessous du minimum exigé par Techsub, fixé à 16%. La représentation graphique des différentes variations de sensibilité est portée en Annexe5 . Pour ce qui est des risques encourus par le projet Sidi-Ali, ils sont représentés sur le graphique suivant : 5 Voir annexe 6
  • 75.
    Figure 22: Graphiqueen radar des risques encourus par le projet Sidi-Ali 6.2. PROJET PUMPI-KAMASSANI 6.2.1. Données a- Situation géographique : Le projet PUMPI & KAMASSANI se situe à proximité du territoire de Kolwezi de la province du Katanga en RDC. Le gisement est composé de deux parties distantes de 3km : PUMPI à l’Est et KAMASSANI à l’ouest. La fosse PUMPI s’étend sur une profondeur de 185m sur une longueur de 582m et une largeur de 375m. Celle de KAMASSANI a une morphologie caractérisée par une profondeur de 110m et une longueur de 490m et une largeur de 240m. b- Ressources géologiques : La minéralisation est cobalto-cuprifère, la densité est de 1.8 t/m 3 pour le minerai et pour le stérile. La production de ce projet est estimée à un total de et 30000000 tonnes de stérile et 3 660000 tonnes de minerai étalé sur une période de 7ans au rythme de 500 000 t de minerai /an. Le planning de production est le suivant : 0 2 4 6 8 10 12 14 16 Risque Inflation Pénurie d'Energie Risque Taux de change Défaut de paiement Risque retard et ordonnacement Défaut de coordination: Risque environnemental Productivité Contrôle qualité Sécurité Compétences managériales Désordre public
  • 76.
    1 2 34 5 6 7 Minerai 505801t 506329t 519250t 503849t 508637t 508685t 606771t Stérile 4736489t 4753379t 4613888t 4081179t 3992327t 3749321t 4082127t Stripping Ratio 9,36 9,39 8,89 8,10 7,85 7,37 6,73 Tableau 21: Planning de production de la mine de Pumpi-Kamassani c- Environnement et contraintes : Le climat de la région de Kolwezi est de type tropical humide comportant deux saisons : une saison sèche et une saison de pluies. La moyenne annuelle des précipitations est de 1220 mm et celle des températures est de 20,3°C. L’accès au site se fait par voie ferroviaire ; les lignes de chemin de fer traversent la mine. Concernant l’alimentation électrique, une ligne de haute tension est située à environ 1500m au sud de la carrière. Facies Espacement Banquette Profondeur Diamètre Minerai 2,5m 2m 5m 76mm Stérile 3,5m 3m 10m 89mm Tableau 22: Schéma de tir de la mine de Pumpi-Kamassani a- Choix des engins : Les marques choisis demeurent les mêmes que pour le projet précédent. Néanmoins les capacités de certains engins ont été augmenté et ce en regard de l’importance de la production. Engin Marque Référence capacité État Pelle hydraulique minerai Komatsu PC 300 Godet 1,3m3 Neuf Pelle hydraulique Stérile Komatsu PC 300 Godet 1,3m3 Neuf Dumper minerai KOMATSU HD 255 Benne 48,675t Neuf Vitesse à vide 60km/h Vitesse chargé 50km/h Dumper stérile Komatsu HM 250 Benne 19.8m3 Neuf
  • 77.
    Vitesse à vide30km/h Vitesse chargé 20km/h Hydrophore Atlas-Copco Longueur de la tige 6,33m Neuf Brise roche Volvo poids marteau 800Kg Neuf Bulldozer Caterpillar Lame 14m3 occasion Niveleuse Caterpillar occasion Chargeuse Caterpillar Godet 4,45m3 occasion Compacteur Caterpillar Cylindre 1,035m occasion Citerne Volvo occasion Tableau 23: Description du parc d’engins de la mine de Pumpi-Kamassani b- Poste : On garde les mêmes postes que précédemment à savoir deux postes de 12 heures chacun. c- Caractéristiques du terrain : d- Coût d’énergie : prix Gasoil 10 MAD/l Electricité 5 MAD/KWh Tableau 25: Prix de l’énergie en RDC 6.2.2. Évaluation des besoins : a- Parc engin : Le dimensionnement des engins donné par l’outil est le suivant : Granulométrie Coef. de foisonnement Coef. de remplissage Densité Minerai Moyenne 1,43 0,8 1,8t/m3 Stérile Grande 1,43 0,7 1,8t/m3 Tableau 24: Caractéristiques de la roche manipulée à la mine de Pumpi-Kamassani
  • 78.
    Engin effectif Pelle minerai1 Pelle stérile 5 Hydrophore 2 dumper stérile 15 dumper minerai 2+1 stand by brise roche 1 bulldozer 1 chargeuse 1 niveleuse 1 compacteur 1 camion citerne 1 Tableau 26: Dimensionnement du parc d’engins de la mine de Pumpi-Kamassani b- Besoin en explosifs : Le besoin en explosifs et accessoires de tir sur les 7ans d’exploitation de la carrière sont regroupés dans le tableau suivant : Année 1 2 3 4 5 6 7 Minerai Amorces 4014 4018 4121 3999 4037 4037 4816 Tovex (kg) 4014,29 4018,48 4121,03 3998,80 4036,80 4037,18 4815,64 Ammonix (kg) 155701,33 155863,86 159841,35 155100,44 156574,34 156589,11 186783,05 Ligne de tir(m) 62321,91 62386,97 63979,02 62081,39 62671,34 62677,26 74762,86 Stérile Amorces 25061 25150 24412 21594 21123 19838 21599 Tovex (kg) 25060,79 25150,15 24412,11 21593,54 21123,42 19837,68 21598,56 Ammonix (kg) 1258946,15 1263435,47 1226359,13 1084766,50 1061149,88 996559,53 1085018,48 Ligne de tir(m) 389068,74 390456,13 378997,94 335239,70 327941,15 307979,94 335317,58 Tableau 27: Évaluation du besoin en explosifs de la mine de Pumpi-Kamassani
  • 79.
    c- Besoin enpersonnel : La loi congolaise limite le total du personnel expatrié. 15% de l’effectif total de la mine sera expatrié tandis que le reste sera constitué d’ouvriers locaux. L’utilisateur a le choix de sélectionner parmi les différents postes de la mine ceux qu’il juge opportun d’expatrier. Poste Effectif Cadre 1 Technicien 2 Pointeur 2 Topographe 1 Mécanicien 4 Aide-mécanicien 2 Pneumaticien 3 Soudeur 4 Graisseur 4 Foreur 6 Aide-foreur 6 Boute feu 0 Opérateur pelle 16 Opérateur brise-roche 2 Conducteur dumper 46 Agent bâchage 1 Opérateur bulldozer 3
  • 80.
    Opérateur niveleuse 3 Opérateurchargeuse 3 Opérateur compacteur 3 Opérateur camion citerne 3 Tableau 28: Évaluation du besoin en personnel de la mine de Pumpi-Kamassani 6.2.3. Coût du projet: a- Coûts opératoires des engins : Les coûts opératoires (en MAD/h) sont reportés dans le tableau suivant : Engin A 1 A 2 A 3 A 4 A 5 A6 A 7 Hydrophore 734,07 732,80 742,32 787,64 795,33 819,01 777,96 Pelle minerai 513,73 513,67 512,03 513,99 513,37 524,54 544,12 Pelle stérile 511,26 511,04 512,94 521,40 523,03 522,86 512,42 Brise roche 445,30 445,25 443,88 445,52 445,00 444,99 443,88 Dumper minerai 482,71 482,62 484,47 491,92 496,34 496,33 476,89 Dumper stérile 530,20 529,97 530,31 537,08 536,64 541,38 537,06 Bulldozer 608,54 608,30 601,29 609,15 610,66 615,17 609,13 Tableau 29: Évaluation des coûts opératoires engin de la mine de Pumpi-Kamassani b- Coût de revient des prestations : Année1 Année2 Année3 Année4 Année5 Année6 Année7 MINERAI Coût abattage unitaire 7,54 7,53 7,58 7,84 7,88 8,01 7,78 Coût chargem ent unitaire 12,24 12,24 12,20 12,41 12,39 12,39 12,84 Coût unitaire transport 8,96 8,96 9,01 9,18 9,17 9,17 8,87
  • 81.
    Frais fixes 463 096,43 462 044,66 485 519,14 527 437,74 542 394,40 573 397,05 621 107,57 Coûts de revient 29,6529,640 29,73 30,48 30,50 30,70 30,52 Stérile Coût abattage unitaire 5,87 5,87 5,89 6,033 6,05 6,13 6,00 Coût chargem ent unitaire 5,81 5,80 5,82 5,83 5,84 5,89 5,72 Coût unitaire transport 16,00 15,99 15,97MA D/m3 16,12MA D/m3 16,17MA D/m3 16,27MA D/m3 16,12MA D/m3 Frais fixes 4 336 589,17 4 337 640,94 4 314 166,46 4 272 247,86 4 257 291,20 4 226 288,55 4 178 578,03 Coûts de revient 29,33 29,31 29,37 29,87 29,98 30,31 29,69 Tableau 30: Coûts de revient de l’exploitation de la mine de Pumpi-Kamassani 6.2.4. Bordereau de prix : Les prix de soumissions sont les suivant : Abattage stérile m3 40,81 MADChargement, transport et mise à la décharge des matériaux stériles Abattage du minerai T 36,39 MADChargement du minerai Transport du minerai vers l'usine Aménagement du site Forfait 976 200,00 MAD Travaux de piste Mois 72 507,28 MAD Tableau 31: Bordereaux des prix du projet Pumpi-Kamassani 6.2.5. Evaluation financière du projet : Avec un taux d’actualisation de 12%, la rentabilité avant et après financement est la suivante :
  • 82.
    Avant financement Aprèsfinancement VAN 13 300 650,95MAD VAN 10 573 744,17MAD TRI 37% Délai de récupération 2,06 IP 1,75 Financement Emprunt Année Taux d’intérêts Délais de récupération 23 453 500,00MAD Démarrage 10% 5ans Tableau 32: Calcul de rentabilité avant et après financement 6.2.6. Analyse de sensibilité et risque : Pour ce qui est de l’analyse de sensibilité du projet Pumpi-Kamassani, nous obtenons le tableau ci-dessous : % VARIATION TRI VAN INVESTISSEMENT -35% 45372275 74% 61096578,4 -18% 57587887,5 52% 48880965,4 0% 69803500 37% 36665353,4 18% 82019112,5 26% 24449741,4 35% 94234725 18% 12234128,4 MARGE BENEFICIAIRE -40% 9% 28% 32344252,83 -20% 12% 33% 40909184,32 0% 15% 37% 49474115,82 20% 18% 41% 58039047,31 40% 21% 45% 66603978,8 CASH-FLOW -75% 10728627,33 17% 7927958,471 -38% 26821568,33 26% 22296655,79 0% 42914509,32 37% 36665353,11 38% 59007450,32 50% 51034050,44 75% 75100391,31 64% 65402747,76 TAUX D’ACTUALISATION -35% 8% 37% 62550032,27 -18% 10% 37% 55709808,09 0% 12% 37% 49474115,82 18% 14% 37% 43772970,46
  • 83.
    35% 16% 37%38546015,53 CHARGES D’EXPLOITATION -75% 14673605,27 63% 64178363,44 -38% 36684013,17 49% 50421858,44 0% 58694421,07 37% 36665353,44 38% 80704828,97 26% 22908848,44 75% 102715236,9 16% 6165733,633 Tableau 33: Résultats d’analyses de sensibilité du projet Pumpi-Kamassani D’après l’étude de sensibilité6 , on remarque que même en variant considérablement les différents facteurs, le projet demeure rentable. Cependant, les risques qualitatifs sont plus accentués pour un projet international d’une telle ampleur. Figure 23: Graphique en radar des risques encourus par le projet Sidi-Ali Comparées au projet Sidi-Ali, les risques liés au projet Pumpi-Kama sont plus importants. Cela est dû au caractère international du projet et dépend en grande partie de la situation économique et politique du pays où il est exécuté. 6 Voir annexe 6 0 2 4 6 8 10 12 14 16 Risque Inflation Pénurie d'Energie Risque Taux de change Défaut de paiement Risque retard et ordonnacement Défaut de coordination: Risque environnemental régulations gouvernementales Productivité Contrôle qualité Sécurité Compétences managériales Désordre public Série1
  • 84.
     Conclusion partielledu chapitre : Ce chapitre fut l’opportunité de mettre en pratique l’outil conçu à travers l’évaluation de deux projets de carrières. L’outil a fournit les éléments essentiels pour la prise de décision d’investissement. Pour le projet Sidi-Ali, le projet est rentable mais, l’exploitant ne récupère son investissement que six mois avant la fin du projet, ce qui présente un risque de faillite du projet. Le projet est aussi très sensible à certains paramètres tels que l’investissement ou encore les charges d’exploitation. Avec un TRI de 39%, le projet Pumpi-Kamassni est un projet rentable durant lequel les fonds investis sont récupérés au bout d’une durée d’un an et demi. La rentabilité du projet ne diminue qu’au partir d’une très importante marge de sensibilité. Cependant le risque inhérent à ce type de projet est à surveiller de très près. Après avoir répondu à la problématique posée au début de ce projet de fin d’étude, l’évaluation de projets d’exploitation en carrière peut être améliorée en prenant compte des éléments que nous abordons dans la partie suivante.
  • 85.
    RECOMMANDATIONS  Étude d’impact: L'étude d'impact est une démarche visant à aider dans la conception d’un projet respectueux de l’environnement durant toutes les phases de sa réalisation, depuis la conception jusqu'à la clôture. L'étude d'impact englobe les composantes biophysiques et humaine susceptibles d'être affectées par le projet. De plus, elle permet aux autorités administratives d'analyser et d'interpréter les conditions de réalisation de la globalité du projet. Elle oriente ainsi la prise des décisions quant à l’entrée en vigueur du projet, ou à la fixation des conditions de sa réalisation. L’étude d’impact est aussi un élément d’une grande importance lors des demandes de financement auprès des organismes internationaux. Pour ses projets d’exploitation en carrière, Techsub devrait appuyer son projet d’une étude d’impact mettant en exergue les éléments suivants : - Identification et impacts sur la faune et la flore. -Élaboration d’un plan de gestion pour la préservation des sites archéologiques. - Création de poste de travail pour la main d’œuvre locale. -Création de point d’alimentation en eau et de un réseau routier. -Gestion du bruit et des vibrations pour le personnel de la mine. Après identification de tous les impacts du projet de mine à ciel ouvert, il faudra pallier aux aspects négatifs en prévoyant des plans d’actions pour en limiter les conséquences.
  • 86.
    CONCLUSION En définitive, cetravail a permis d'étudier la rentabilité de projet d’exploitation des mines à ciel ouvert à travers la conception d’un outil informatique. Dans un premier temps, nous avons du nous rendre sur le terrain pour collecter les informations nécessaires à l’élaboration de notre travail. A terme de cette étape nous disposions d’informations en vrac qu’il a fallu structurer et synthétiser avant de se lancer dans la conception de l’outil. Durant la phase d’élaboration de l’application, il a fallu répondre au cahier de charges de l’évaluation de projet tout en veillant à la simplicité et à la convivialité d’utilisation de l’outil. A l’issue de cette partie, on disposait d’une structure de plusieurs volets qui permettait d’évaluer un projet d’exploitation en carrière. La phase d’application a permis de comparer deux projets différents en terme d’investissement initial, de coût de revient et de rentabilité. La question de financement a été résolue par programmation linéaire pour une optimisation du coût de l’emprunt. On a également, au cours de ce projet, montré l’intérêt d’une étude de sensibilité et de risque au moyen de simulation et d’étude de scénario. Il est maintenant clair qu’une décision d’investissement ne peut négliger l’aspect sensibilité et risque afin garantir le succès du projet. L’aboutissement de ce travail est d’avoir pu développer un outil d’évaluation de projet d’exploitation en carrière, capable de cerner tous les aspects de l’analyse de projet. L’intérêt de ce travail est d’avoir porté sur deux projets d’investissement différents, mais aussi de pouvoir être généralisée à n’importe quel autre projet en carrière.
  • 87.
    GLOSSAIRE MINIER Banquette :distance entre les rangés. Coefficient de remplissage : C’est le rapport masse effectivement présente dans le godet/benne à la masse qu'il contiendrait dans ces conditions standard. Il varie aussi selon les conditions du terrain. Équipement de protection individuelle (EPI): c’est l’équipement destiné à la protection corporelle du personnel mine (casques, souliers, …) Espacement : distance entre trous d’une même rangée. Faciès : type de roche Flèche : Partie de l’engin dont la tête monte et descend afin de relever ou d’abaisser le godet. Foisonnement : il représente la capacité d'un sol à augmenter de volume lors de son déplacement. Le volume du sol en place à déblayer augmente lorsque l'on le remue avec une pelle mécanique. Autrement dit la quantité de sol à transporter par les camions est plus grande que le volume de sol présent dans la fouille. Godet : Auge profonde relevable et inclinable. Granulométrie : taille des blocs de roche. Heures de réforme : le nombre d’heures au bout duquel l’engin doit être changé. Levé : Se dit des délinéations ou des croquis d'un topographe, opérant soit trigonométriquement, soit à vue. MLF : il représente le nombre de mètres forés Stérile : roche qui contient des matières non exploitables. Stripping Ration (SR) : représente le rapport stérile/minerai. Il représente la quantité de stérile en tonnes à enlever pour extraire une tonne de minerai
  • 88.
    Teneur: c’est lepourcentage de ce que contient de substance principale ou accessoire un minerai. Tourelle : plateforme qui supporte la flèche et pivote sur un chemin de roulement circulaire.
  • 89.
    BIBLIOGRAPHIE Adapté de l’anglais:HARTMAN, H.-L. (1992) SME mining engineering handbook, 2nd Edition, Volume 1 DE LA VERAGNE, J.N. (Août 2003) Hard Rock Miner’s Handbook, 3rd Edition. KOMATSU, (Décembre 2008) Specifications and application Handbook , Edition 29. HOUDAYER, R. () Analyse financière des projets : Ingénierie de projets et décision d’investissement, 2e Edition. TKIOUAT, M. (2008) Analyse de projets, notes de cours, EMI, Département Génie Industriel. SBIHI, N. (2007) Recherche opérationnelle, note de cours, EMI, Département Génie Industriel. MOSER, P. (2001) Le m canisme de l’explosion, séminaire tir à l’explosif. WEBOGRAPHIE Site de L'Association minière du Canada : www.mining.ca/www/_fr/index.php Site de l’Agence Nationale pour la promotion des investissements en RDC www.anapi.org/ Site de la compagnie africaine des explosifs CADEX www.cadex.ma/presentation/presentation.htm Site de KOMATSU : www.komatsu.com/ Site de VOLVO : www.volvo.com Site Caterpillar: www.cat.com/ Site des solutions des financements pour les associations : www.solfia.com Le portail de la pluridiscplinarité et de la santé sécurité au travail : http://www.sante-securite.com/
  • 90.