Rapport Stage EDF par Cyril VAAST Page 1
1 Remerciements
Je tiens à remercier les salariés de la centrale nucléaire de Gravelines pour m’avoir accepté
en qualité de stagiaire et m’avoir aussi permis d’acquérir des connaissances qui me serviront dans
mon futur métier d’ingénieur, avec une attention toute particulière aux acteurs de cette formation :
M Christian GODART, mon maître de stage au sein d’HEI qui effectuera l’analyse de ce
rapport de stage.
M Bertrand NOHL, mon chef de service, qui m’a permis d’effectuer mon stage au sein de son
service MTE.
M Samuel HUYGHE, mon tuteur de stage à EDF, qui m’a accordé beaucoup de son temps
malgré son emploi du temps déjà très chargé et avec lequel j’ai pu approfondir mes missions de stage
initiales.
M Arnaud DOUILLY, qui s’est porté garant de ma bonne intégration, du suivi, de l’avancement
de mes projets tout au long de mon stage et qui a aussi fait en sorte que je dispose de tous les
moyens nécessaires pour évoluer au mieux dans le service MTE (EPI, banc d’essai, appareils de
mesure…)
M Alain BRANDT qui a, à chaque étape, apporté une critique constructive sur chacun des
livrables (fiches réflexes, rapport de suivi..) que j’ai pu fournir.
Les services MTE / SMT ainsi que tous les membres de l’équipe pour m’avoir accueilli dans
leurs services et pour l’aide technique qu’ils m’ont apporté, sans oublier leur bonne humeur
quotidienne…
Rapport Stage EDF par Cyril VAAST Page 2
2 Sommaire
1 Remerciement ..................................................................................................................... 1
2 Sommaire ............................................................................................................................ 2
3 Introduction (1 à 2 pages).................................................................................................... 3
3.1 Lien avec le Projet Professionnel Personnel................................................................... 3
3.2 Les attentes par rapport à ce stage................................................................................. 4
4 L’entreprise et son secteur d’activité ................................................................................... 5
4.1 Présentation du groupe EDF........................................................................................... 5
4.2 Principe de fonctionnement d’un réacteur à eau pressurisée ......................................... 8
4.3 Le CNPE de Gravelines ................................................................................................ 12
4.4 Présentation du service MTE ........................................................................................ 15
5 Le stage ............................................................................................................................. 21
5.1 Missions et responsabilités............................................................................................ 21
5.2 Méthodologie de travail ................................................................................................. 48
5.3 Résultats obtenus, difficultés rencontrées et solutions apportées ................................ 53
6 Capitalisation (1 à 2 pages)............................................................................................... 54
6.1 Compétences acquises ................................................................................................. 54
6.2 Compétences utilisées................................................................................................... 54
6.3 Conséquences sur mon PPP ........................................................................................ 55
7 Conclusion (1 à 3 pages)................................................................................................... 56
8 Bibliographie et Sitographie............................................................................................... 57
9 Annexes............................................................................................................................. 58
9.1 Fiche Réflexe : Mesure vibratoire.................................................................................. 58
9.2 Fiche Réflexe Equilibrage Dynamique .......................................................................... 73
9.3 Fiche Réflexe Thermographie ....................................................................................... 87
9.4 Suivi de tendance EAS................................................................................................ 100
9.5 Suivi de tendance RIS ................................................................................................. 104
9.6 Approfondissement suivi de tendance......................................................................... 108
9.7 Fiche Réflexe Macro GPS ........................................................................................... 109
9.8 Fréquences attendues EAS et RIS.............................................................................. 118
Rapport Stage EDF par Cyril VAAST Page 3
3 Introduction (1 à 2 pages)
3.1 Lien avec le Projet Professionnel Personnel
J’ai eu l’occasion par le passé d’effectuer mon stage ouvrier sur le site industriel d’Arcelor
Mittal à Dunkerque. J’avais été affecté au service de maintenance conditionnelle. Ma mission
consistait alors à collecter des mesures vibratoires sur l’ensemble des machines électriques
tournantes du site (moteurs électriques, turbines, pompes, ventilateurs…). Suite à l’acquisition des
mesures, il fallait effectuer une analyse dans le domaine fréquentiel afin de détecter des problèmes de
déséquilibrage (balourd) ou autres phénomènes vibratoires destructifs.
Mon stage au sein du service MTE (Machines Tournantes Electriques) et plus précisément
dans l’équipe de la cellule SMT (Suivi Machine Tournante) au CNPE de Gravelines (Centre Nucléaire
de Production Electrique) était donc dans le prolongement de mon précédent stage. En effet, mon rôle
était de rédiger des livrets pédagogiques concernant les manipulations à suivre lors de l’acquisition de
mesures vibratoires, lors d’un équilibrage dynamique sur une machine tournante ou encore lors d’une
prise de clichés à l’aide d’une caméra thermique.
On comprend donc aisément que ce stage n’était que la suite logique de mes précédentes
expériences en entreprise. Mes missions au CNPE étaient certes plus techniques et plus approfondies
que celles à Arcelor Mittal mais restaient dans le domaine de la maintenance préventive et du suivi
des machines tournantes.
Concernant mon futur profil en tant qu’ingénieur, je souhaiterais poursuivre ma formation dans
un cursus double diplôme en partenariat avec l’Ecole Technique Supérieure de Montréal avec une
maitrise en gestion de projet d’ingénierie. Ainsi, j’apporterai à mes compétences spécifiques dans le
domaine mécanique, une vision plus globale avec un aspect managérial. Cela est en adéquation
complète avec l’ensemble de mes stages car j’ai pu acquérir bon nombre de compétences techniques
dans le domaine de la maintenance (vibration, thermographie, équilibrage, suivi de machines…). Or
ce domaine de maintenance et de fiabilisation pourrait être celui que je souhaite intégrer par la suite,
après avoir finalisé mon cursus.
Rapport Stage EDF par Cyril VAAST Page 4
3.2 Les attentes par rapport à ce stage
Mes attentes concernant ce stage étaient multiples. Tout d’abord j’appréciais de pouvoir
exploiter une partie des connaissances acquises, principalement dans mes cours de domaine
mécanique, lors de la réalisation de mes missions. En effet, mes notions en termes de vibrations,
équilibrages, résistance des matériaux et lecture de plans étaient plus que bienvenues afin de réussir
au mieux cette expérience enrichissante.
A cela s’ajoutait une réelle envie de ne pas limiter mes missions à de la simple manipulation
d’appareils et autres instruments de mesure mais de pouvoir apporter une analyse et une critique
constructive à l’aide des compétences que je possède concernant les mesures récoltées.
Enfin, ce stage fut l’occasion de mettre en place une démarche d’amélioration concernant les
compétences des techniciens SMT. Cela s’est ressenti lors de la rédaction des fiches réflexes ou du
montage d’une vidéo pédagogique.
Finalement ce stage était l’occasion d’appréhender pour la première fois un poste où il est
possible d’apporter une amélioration au niveau des processus du service de maintenance et
d’essayer de rendre plus performant le suivi des machines tournantes sur le long terme.
Rapport Stage EDF par Cyril VAAST Page 5
4 L’entreprise et son secteur d’activité
4.1 Présentation du groupe EDF
4.1.1 Généralités
Après le premier choc pétrolier de 1973, il a fallu trouver une nouvelle source d’énergie : c’est
le début de l’ère nucléaire. C’est actuellement la première source d’énergie en France.
Aujourd’hui EDF est un leader européen de l’énergie, présent sur tous les métiers de
l’électricité, de la production à la distribution (filiale ERDF) et de plus en plus actif sur la chaîne du gaz
en Europe.
Figure 2: Les chiffes clés EDF
Figure 1: Répartition des sources de production d'énergie en France
Rapport Stage EDF par Cyril VAAST Page 6
4.1.2 Le parc nucléaire EDF
Avec une puissance installée de 123,7 GW en Europe et 126,7 GW dans le monde, EDF
dispose du parc de production le plus important et le moins émetteur de CO2, grâce au nucléaire et à
l’hydraulique.
Le parc nucléaire français est constitué de 58 unités de production réparties sur 19 centrales :
34 tranches de 900MW, 20 de 1300MW et 4 de 1450MW
La totalité des centrales nucléaires du parc français utilisent la technologie dite de REP :
Réacteurs à Eau Pressurisée. Cette technologie est également la plus répandue dans le monde en
raison de sa fiabilité et son rendement élevé.
4.1.3 L’EPR (European Pressurized Reactor)
A ce parc nucléaire vont venir se greffer, 2 réacteurs de nouvelle génération : l’EPR de
Flamanville (actuellement en construction, voir Figure 4) et celui de Penly (à l’état de projet).
Sur le principe de fonctionnement l’EPR ne présente pas de grandes différences avec les
centrales nucléaires classiques. C’est une centrale à eau pressurisée comme les autres centrales
françaises. L’EPR nous est présenté comme une évolution des réacteurs actuels. Cette évolution
prend en compte tout le REX (Retour d’EXpérience) acquis en 40 ans de nucléaire.
Figure 3: Cartographie des sites nucléaires
Rapport Stage EDF par Cyril VAAST Page 7
On peut résumer ces avancées en trois points :
 Plus de sûreté et de qualité: on passe d’une probabilité de fusion du cœur de 10
-6
à 10
-7
. La
solidité du Bâtiment Réacteur est renforcée. En cas de fusion du cœur le corium
1
peut être
récupéré.
 Moins de déchets : sur l’EPR la quantité de déchets nucléaire sera diminuée, elle sera d’environ
dix fois inférieure à celle d’une centrale actuelle.
 Plus de disponibilité : l’objectif d’une telle installation n’est pas une forte augmentation de la
puissance mais plutôt une disponibilité accrue. La puissance d’un réacteur EPR est de 1600 MW,
à titre d’exemple la puissance d’un palier N4 est de 1450MW. Pour la maintenance la durée des
visites devra considérablement diminuer.
1
Le corium désigne le magma résultant de la fusion des éléments d'un réacteur nucléaire
Figure 4: Chantier de l'EPR à Flamanville
Rapport Stage EDF par Cyril VAAST Page 8
4.2 Principe de fonctionnement d’un REP
4.2.1 La réaction en chaîne
Les centrales nucléaires fonctionnent grâce à l'uranium. L'uranium possède la particularité
d'être constitué d'atomes lourds qui, en se brisant, dégagent de la chaleur : la fission des atomes
d'uranium est la première étape de production de l'énergie nucléaire. (Voir Figure 5)
Une méthode consiste à bombarder son noyau avec des neutrons en mouvement. Le neutron
est un excellent projectile car il ne subit aucune force de répulsion à mesure qu’il s’approche du noyau
et, si sa vitesse n’est pas trop grande, les chances d’une collision sont excellentes. Si l’impact est
suffisamment intense, le noyau se scinde en deux et la diminution de masse qui en résulte libère de
l’énergie. Ainsi la fission d’un atome dégage une énergie principalement sous forme de chaleur.
C'est cette énergie que l'on utilise pour produire de l'électricité. La fission (qui est une réaction
très violente) s’accompagne d’un autre phénomène important : l’éjection, à haute vitesse, de 2 ou 3
neutrons. Ces neutrons, à leur tour, peuvent entrer en collision avec d’autres noyaux voisins, de sorte
qu’il se produit une réaction en chaîne pouvant provoquer un énorme dégagement de chaleur.
Dès que la réaction en chaîne est amorcée, la température de l’uranium monte en flèche.
4.2.2 Un réacteur, trois circuits
Une centrale nucléaire à eau pressurisée comporte obligatoirement trois circuits. Chaque
circuit est indépendant, c’est à dire qu’il n’y a aucun échange de fluide. Tous les échanges de chaleur
se font à l’aide d’échangeurs (par exemple les GV : générateurs de vapeur). Le schéma de principe du
fonctionnement de ces 3 circuits est repris ci-dessous.
Figure 5: Principe de la fission de l'uranium
Rapport Stage EDF par Cyril VAAST Page 9
Figure 6: principe de fonctionnement du REP de Gravelines
4.2.3 Le circuit Primaire
Dans une centrale nucléaire, l’énergie thermique libérée par le cœur du réacteur est véhiculée
par le circuit primaire. Celui-ci est constitué d’une cuve dans laquelle se trouve le combustible sous
forme de crayons contenant des pastilles d’uranium. L’eau qui circule dans cette cuve est réchauffée
au contact de ces crayons, puis envoyée dans les trois boucles primaires. Chacune de ces boucles
est constituée d’un générateur de vapeur (GV) et d’une pompe primaire assurant la circulation de
l’eau.
Un pressuriseur est inséré de manière à assurer une pression adéquate pour le maintien de
l’eau à l’état liquide malgré les fluctuations de volume dues à la chaleur. La chaleur provient de la
fission des noyaux d’uranium contenus dans les crayons de combustibles (cf. Figure 5)
Pour créer les conditions de la réaction en chaîne il faut généralement trois éléments
essentiels :
 Combustible, siège de la fission nucléaire
 Modérateur servant à ralentir les neutrons rapides pour faciliter les fissions : l’eau
 Caloporteur évacuant hors du cœur la puissance thermique dégagée dans le combustible : l’eau.
Figure 7: Transformation de l'énergie
Rapport Stage EDF par Cyril VAAST Page 10
Le combustible se trouve dans la cuve du réacteur où la fission s’accompagne d’un important
dégagement de chaleur. La chaleur atteint par le combustible est de l’ordre de 1500°C. Cette chaleur
est récupérée par le fluide caloporteur (eau primaire) qui circule autour du combustible. Le fluide
caloporteur circule entre les crayons combustibles et sort du réacteur à très haute température
(323°C) et à une pression de 155 bars. Cette eau est envoyée dans les générateurs de vapeurs de
manière à transférer l’énergie thermique du circuit primaire au circuit secondaire. Après son passage
dans les générateurs de vapeur, l’eau refroidie (284°C) repart au réacteur.
4.2.4 Le circuit secondaire
La vapeur produite dans les générateurs de vapeur est envoyée dans une première turbine
Haute Pression (HP) puis dans trois autres turbines Basse Pression (BP). Celles-ci sont couplées à un
alternateur qui produit l’électricité.
La vapeur sortant des turbines passe ensuite dans un condenseur où elle revient à l’état
liquide par l’intermédiaire de l’eau du circuit de refroidissement (CRF). L’eau est alors réchauffée et
pressurisée dans le poste d’eau de manière à ce qu’il y ait le moins possible de chocs thermiques dus
aux écarts de températures. Cette eau réchauffée est alors renvoyée aux générateurs de vapeur.
Chaque circuit de circulation d’eau est isolé de manière à ce qu’il n’y ait pas d’échange chimique entre
eux. Ainsi l’eau du circuit primaire n’est jamais en contact avec l’eau du circuit secondaire. De même
pour l’eau du circuit de refroidissement qui n’a jamais en contact avec l’eau du circuit secondaire.
Figure 8: Représentation du circuit primaire
Rapport Stage EDF par Cyril VAAST Page 11
4.2.5 Le circuit de refroidissement
Au CNPE de Gravelines on utilise l’eau de mer dans le circuit de refroidissement. Cette eau
est amenée via le « canal d’amené » devant les stations de pompage (une station pour deux
tranches) dans le condenseur. L’eau est tout d’abord filtrée par des tambours filtrants de plus de 10m
de diamètre puis pompée par les pompes monocellulaires CRF à un débit de 28 m3/s. Cette eau de
mer passe dans le condenseur (échangeur composé de milliers de tubes) où elle s’échauffe d’environ
10°C, elle est rejetée à la mer via le canal de rejet.
Pour les centrales installées au bord d’un fleuve (Tricastin, Cruas…), la condensation de la
vapeur issue des turbines Basse Pression est assurée par une tour de refroidissement.
Le schéma ci-dessous reprend ces 2 possibilités :
Figure 9: Illustration des 2 types de refroidissement possibles
Rapport Stage EDF par Cyril VAAST Page 12
4.3 Le CNPE de Gravelines
4.3.1 Présentation
C’est en février 1975 que commencent les travaux de la centrale nucléaire de Gravelines. Dix
ans plus tard les six tranches sont couplées au réseau. Avec ses six réacteurs de 910MW la centrale
nucléaire de Gravelines est la première centrale d’Europe de l’ouest et la troisième mondiale.
Du fait de sa conception, la centrale est située au bord de la Manche et utilise l’eau de mer
indispensable à son refroidissement. Chaque année la production y est d’environ 36 milliards de kWh,
soit entre 9 et 10% de la production nationale d’électricité d’origine nucléaire.
La centrale de Gravelines compte environ 1700 agents EDF. A ces agents viennent s’ajouter
de nombreux intervenants des entreprises prestataires à hauteur de près de 2 000 000 d’heures de
travail chaque année.
4.3.2 Historique de la centrale de Gravelines
 Mars 1974 : décision du Conseil des Ministres d'autoriser l'engagement du programme
électronucléaire français soit 12 unités de production de 900 MW dont les 4 premières tranches
de Gravelines.
 Février 1975 : début des travaux sur le site.
 1979 : décision de l'état d'ajouter les unités de production N° 5 et 6.
 2001 : 100ème arrêt annuel pour rechargement de combustible.
 2004 : certification environnementale ISO 14 001.
Figure 10: Vue aérienne du site de Gravelines
Rapport Stage EDF par Cyril VAAST Page 13
4.3.3 Organisation du CNPE
Le site nucléaire de Gravelines est organisé selon l’organigramme présenté ci-dessous :
La structure du site est composée de :
 Une équipe de direction (CODIR) réunissant autour du Directeur, les directeurs délégués, les
chefs de missions Sûreté / Qualité et Sécurité / radioprotection / environnement, le Directeur
Performances Economiques.
 Une équipe de Direction élargie (COMEX) qui regroupe au-delà du CODIR, les Sous-directeurs,
les Chefs de missions, Structures et Services, le chef de plateau Tranche En Marche, les
responsables de projet d’arrêt de Tranche ainsi que les médecins du travail.
4 pôles :
 Pôle Production qui regroupe les entités suivantes : Conduite, service Chimie Environnement,
Tranche En Marche. Ce pôle gère le pilotage des tranches ainsi que tout ce qui concerne la
sûreté, la sécurité, la radioprotection et l’environnement.
 Pôle Technique qui regroupe l’Ingénierie Performance, la Maîtrise des Arrêts, la SCOM. Ce pôle
s’occupe plus particulièrement du suivi des tranches : modifications importantes, suivi au plan
national, appui des exploitants, planification des arrêts de tranche
 Pôle Ressources qui regroupe les structures: Gestion Finance, Ressources Humaines,
Informatique Secrétariat, Service Médical.
Figure 11: Organigramme de la CNPE Gravelines
Rapport Stage EDF par Cyril VAAST Page 14
 Pôle Maintenance qui regroupe les services :
 Automatismes => AUT
 Logistique Nucléaire (gestion des matériels en environnement radioactif,
combustibles…) =>LNU
 Maintenance Systèmes Fluides (maintenance des conduites et des systèmes statiques)
=> MSF
 Machines Tournantes & Electricité au sein duquel j’ai effectué mon stage et qui
s’occupe plus particulièrement des machines tournantes (pompes, alternateurs,
turbines…) et des équipements électriques => MTE.
Chaque pôle est piloté par une équipe de Direction de pôle composée du Directeur Délégué
référent, du (ou des) Sous-Directeur(s) rattaché(s) au pôle, des Chefs de Structures, Services ou
autre entité dépendant du pôle, ainsi que des responsables des projets d’arrêts pour le pôle
technique.
Rapport Stage EDF par Cyril VAAST Page 15
4.4 Présentation du service MTE
4.4.1 Activités
Le service MTE au sein duquel j’ai réalisé mon stage d’assistant ingénieur est un service de
maintenance spécialisé dans les matériels dits tournants tels que les pompes, les turbines, les
alternateurs, les moteurs diesels, les ventilateurs, les compresseurs mais aussi des équipements
électriques tels que les transformateurs, les alternateurs, les onduleurs/redresseurs, les tableaux
électriques, les moteurs électriques.
Les agents qui y travaillent peuvent ainsi être distingués en 2 catégories : les électriciens et
les mécaniciens.
La mission du Service MTE consiste à réaliser :
 La maintenance préventive
 La maintenance corrective
 La maintenance conditionnelle de ces matériels en prenant en charge :
 La préparation, la réalisation et le contrôle des interventions que les tranches soient en arrêt pour
maintenance ou en fonctionnement.
Rapport Stage EDF par Cyril VAAST Page 16
4.4.2 Organisation
Voici l’organigramme du service MTE
Rapport Stage EDF par Cyril VAAST Page 17
Il est composé de pôles de taille humaine afin de faciliter la communication et le management
entre les agents et leur hiérarchie.
Pôle Ingénierie : Ce pôle est chargé en particulier de :
 L’établissement et l’optimisation des programmes de maintenance préventive
 L’analyse deuxième niveau des interventions
 Le traitement du retour d’expérience sur les matériels, les méthodes, l’expertise
 La définition et le suivi des stocks de pièces de rechange
 Le suivi de l’historique des matériels et des données du système d’information, une cellule assure
l’animation de la maintenance conditionnelle (méthodes, outils particuliers, relevés,
interprétations, programme de suivi). Cette cellule est en appui à chaque préparateur qui garde la
responsabilité du programme de maintenance.
2 Pôles Affaires : Au sein de ce pôle, on distingue la partie Mécanique et la partie Electricité.
Chacune de ces entités a la responsabilité globale de la qualité des activités (domaine Electrique ou
Mécanique) et des interventions du service vis-à-vis des projets Arrêt de Tranche et Tranche en
Marche sous les aspects sûreté, sécurité, coûts/délais, propreté et dosimétrie.
2 Pôles Travaux : Ce pôle réalise les interventions planifiées du domaine électrique et
mécanique que la tranche soit en fonctionnement ou en arrêt pour rechargement, prépare et réalise
les interventions urgentes après avoir réalisé le diagnostic.
Pôle CSI / SMT : Ce pôle, auquel j’ai été affecté, regroupe les Chargés de Surveillance et
d’Interventions (CSI) et les techniciens Suivi Machines Tournantes (SMT) qui forment la cellule que j’ai
intégrée. Ces agents ont en charge la surveillance des interventions réalisées par les prestataires et
également les mesures sur le matériel tournant (mesures vibratoires, contrôles des installations
électriques par caméra de thermographie…) à l’origine de la maintenance conditionnelle.
Pôle EIR (Equipes d’Intervention Rapide) : Ce pôle, en lien quotidien avec la Conduite,
réalise les interventions (souvent sur le court terme) de maintenance que cette dernière a pu soulever.
Rapport Stage EDF par Cyril VAAST Page 18
4.4.3 Réseaux de communication utilisés au service MTE
Lors de mon stage au sein du service MTE, j’ai pu constater que la communication entre les
différents agents était un élément essentiel pour réaliser un travail de qualité mais également pour
créer un climat de confiance entre les différents intervenants. Pour ce faire, de nombreux moyens de
communication sont utilisés :
Communication informelle
En matière de communication informelle, j’ai pu noter l’importance et l’intérêt d’un lieu où tous
les agents peuvent se retrouver et discuter ensemble de choses et d’autres. Au service MTE, ce lieu
est symbolisé par la machine à café. Ce moment permet à tout le monde de se dire bonjour et de se
tenir au courant des évènements qui ont pu avoir lieu la nuit ou tard la veille. Elle permet également
de casser les « codes » de la hiérarchie. Un climat de confiance peut ainsi s’installer entre les agents
et leurs supérieurs.
Communication électronique et téléphonique
La communication électronique et téléphonique est extrêmement développée au sein du
CNPE de Gravelines. Ainsi chaque agent dispose d’un poste informatique, d’une adresse e-mail (en
@edf.fr) et d’un téléphone lui permettant d’échanger des informations très rapidement avec ses
collègues ou sa hiérarchie. De plus, la voie électronique est également celle plébiscitée par la
direction du service et du site qui l’utilise pour communiquer des informations d’ordre général :
nouvelles stratégies du site, incidents…
Le téléphone est très utilisé car il permet de joindre un agent partout où il se trouve.
Figure 12: Bip d'un agent et un des nombreux téléphones en libre-service
Rapport Stage EDF par Cyril VAAST Page 19
Communication par voie d’affichage
Au CNPE de Gravelines, de nombreuses zones d’affichage sont disposées dans les lieux les
plus fréquentés du site. Ces zones prennent la forme de panneaux d’affichage mais également
d’écrans permettant de communiquer les informations en temps réel.
Les informations véhiculées par cette voie de communication sont de plusieurs ordres :
 Syndicats
 Sécurité au travail
 Environnement
 Etat des tranches (puissance électrique
produite, en temps réel)
Figure 13: Panneaux d'affichage
Figure 14: Exemples de communication via un écran
Figure 15: Affichage de la puissance électrique produite en temps réel
Rapport Stage EDF par Cyril VAAST Page 20
Communication Formelle
En matière de communication formelle, la réunion est le moyen qui reste le plus efficace et le
plus utilisé à EDF : réunion EDS et réunion de pôle.
Réunion EDS (Encadrement de Service). Cette réunion réunit la direction du service et aussi :
 Le chef de service et ses 5 appuis
 Les appuis techniques
 Les chefs de pôle et leurs adjoints
 Les correspondants métiers
Animée par le chef de service, elle a pour but de faire le point sur les objectifs de MTE en
matière de sécurité, budget ou bien encore le planning des opérations de maintenance. Elle permet
également de souligner les dossiers en retard ou délicats et qui nécessitent une attention particulière.
Elle permet enfin de communiquer les attendus et les remarques de la direction du site aux
cadres du service.
Réunion de pôle :
Ce type de réunion se veut volontairement moins solennel que la précédente. Animée par le
chef de pôle et le chef de pôle délégué, elle réunit tous les agents du pôle concerné. Elle permet de
faire le point non seulement sur les activités (en cours ou à venir) mais également sur la vie du pôle.
Sur ce point, le tour de table en fin de réunion donne à chacun la possibilité de s’exprimer sur
les difficultés qu’il rencontre dans son travail ou de revenir sur un point développé au cours de la
réunion. La réunion de pôle est également l’occasion de faire ressortir les remarques de chacun sur la
qualité de vie au travail et de proposer des améliorations telles que l’achat d’un nouveau mobilier, ou
par exemple la mise en place de macros sous Excel pour automatiser une tâche répétitive…
Rapport Stage EDF par Cyril VAAST Page 21
5 Le stage
5.1 Missions et responsabilités
Lors de la rédaction de la convention de stage EDF, les missions du stage étaient les
suivantes :
 Réaliser un manuel de formation à partir des bases de données sur la maintenance et
l’analyse vibratoire y compris les équilibrages.
 Faire monter en compétence l’équipe de techniciens sur les mesures vibratoires.
De façon plus précise, cela consistait à rédiger des fiches réflexes faisant état des différentes
étapes les manipulations pour les opérations suivantes :
 Prise de mesures vibratoires
 Equilibrage d’une machine tournante
 Prise de clichés thermiques
 Utilisation d'une macro Excel
L’intérêt de ces fiches réflexes était de pouvoir se remémorer, en l’espace de quelques
minutes, des manipulations à effectuer afin de réaliser au mieux l’action souhaitée.
Je devais également réaliser une vidéo pédagogique de la manipulation complète concernant
l’équilibrage.
Enfin, à ces missions initiales ont été ajoutés d’autres projets comme le suivi de tendance de
machines de type motopompe avec l’analyse des niveaux vibratoires ou encore la mise en place
d’une macro Excel afin de trier automatiquement le planning des interventions à venir par tranche et
par date. Toutes ces missions vont être détaillées lors des paragraphes suivants.
Dans la centrale, chaque système est repéré par une référence unique qui est constituée de la
manière suivante :
Rapport Stage EDF par Cyril VAAST Page 22
5.1.1 La mesure vibratoire
La cellule SMT (Suivi des Machines Tournantes) est en charge du suivi et de la maintenance
de l’ensemble des machines tournantes du site. Cela englobe donc différents types de systèmes :
 Groupes motopompe
 Ventilateurs
 Turbines
Il est donc nécessaire, à l’aide d’un appareil spécifique appelé Movipack® (collecteur portatif
de mesures), d’aller recueillir les niveaux vibratoires de ces systèmes. Pour cela, il faut suivre une
procédure précise qui est détaillée dans l’annexe de la fiche réflexe « mesures vibratoires ». De
manière globale, le technicien va brancher la sonde de son Movipack® sur des embases de type
accéléromètre en différents points. Ces capteurs mesurent de façon uni-axiale. Généralement, on
dispose de deux embases disposées radialement par rapport à l’axe de rotation de l’arbre de la
machine (horizontalement et verticalement) et d’autres placées axialement par rapport à l’arbre. Et on
retrouve cette combinaison de capteurs sur chaque palier et sur chaque arbre du système mesuré (s’il
y en a plusieurs).
Figure 16: Positionnement des accéléromètres
Rapport Stage EDF par Cyril VAAST Page 23
Les embases transmettent donc l’accélération suivant leur axe longitudinal qui
correspond donc à un taux de variation de la vitesse. Cette mesure est possible car chacun de ces
capteurs possèdent un élément de cristal piézo-électrique relié à une masse. En effet, quand une
force physique est appliquée sur l’accéléromètre, la masse comprime le cristal. Et selon la 2
ème
loi de
Newton du mouvement ( ∑ F = m . a), ceci peut être traduit par une variation de la tension générée
par le matériau piézo-électrique car elle est proportionnelle à la force qu’on lui applique.
La tension obtenue est ensuite amplifiée et traitée à l’aide de l’électronique intégré au
Movipack® pour obtenir un signal de sortie exploitable. Puis en connaissant la sensibilité du capteur
(ici de 100 mV pour 1 mm.s
-
²), on en déduit les niveaux vibratoires de la machine après filtrage,
traitement et amplification.
Figure 17: Bon positionnement des capteurs
Figure 18: Principe de l'accéléromètre piézo-électrique
Rapport Stage EDF par Cyril VAAST Page 24
Les raisons de l’utilisation d’un tel type de capteur sont :
 Température d’utilisation : -50°C à 700°C
 Très faible encombrement (quelques millimètres de diamètre) pour un poids faible par
rapport à la machine mesurée (quelques dizaines de grammes)
 Peu de distorsion du signal suite au filtrage
 Résistance aux chocs très élevée (> 1 000 000 g)
 Large bande passante de mesures : 0,3 Hz à 40 kHz
 Insensibilité aux phénomènes non vibratoires : T°C externe, bruits acoustiques,
rayonnement parasites (nucléaires, interférences magnétiques…)
 Stabilité des mesures dans le temps
 Fréquence de résonnance du capteur très élevée par rapport à celle de la machine
 Mesure uni-axiale de l’accélération
Pour contrôler ces milliers de machines ayant toutes une référence unique, il est nécessaire
d’acquérir les niveaux vibratoires de chacune d’entre elles. Pour cela, on distingue deux types
d’interventions :
 Mesures programmées  Demandes fortuites
Les premières sont donc des mesures mises en place de façon périodique afin d’assurer un
suivi de tendance des niveaux vibratoires sur les différents systèmes. Cela est primordial afin de
pouvoir prévenir un éventuel problème qui pourrait aller jusqu’à engendrer la casse d’un moteur. Il est
alors nécessaire de planifier une intervention de type réparation ou remplacement afin de régler la
cause du problème au plus vite. Il est bien évident que la mise hors service d’un groupe motopompe
appartenant aux systèmes IPS (Important Pour la Sureté) est à proscrire absolument si on ne veut pas
déclencher l’arrêt automatique de la tranche nucléaire concernée.
Quant aux demandes fortuites, elles font suite à l’observation d’une anomalie particulièrement
significative : une fuite d’huile, un bruit anormal ou encore un défaut visible sur un système
quelconque. Cela permet encore une fois d’intervenir en prévention d’une casse. Cependant la priorité
de la demande d’intervention fortuite par rapport aux mesures périodiques dépend de plusieurs
paramètres :
 Le système concerné est-il IPS ou non ?
 L’anomalie constatée est-elle importante ou non ?
 La disponibilité des agents SMT vis-à-vis de leurs interventions programmées
 Le système est-il dans des conditions de fonctionnement adéquates pour acquérir les
mesures ?
Rapport Stage EDF par Cyril VAAST Page 25
Finalement, on comprend vite que la plupart des opérations sont planifiées relativement à
l’avance. Mais il est aussi probable que s’ajoute à cela bon nombre de demandes fortuites plus ou
moins urgentes à effectuer. C’est pourquoi il est important de tenir le planning des mesures à jour et
d’y intégrer, dans la mesure du possible, les interventions supplémentaires ponctuelles. Ainsi le
binôme de techniciens en charge de ce système peut alors s’organiser au mieux avec la SdC (Salle
des Commandes) afin de perdre le moins de temps possible. Car c’est la SdC qui va lancer la mise en
marche du système concerné dans les conditions de fonctionnement requises (100% de la charge par
exemple pour un moteur ou plein débit pour une pompe). En effet, il est bien évident qu’un générateur
diesel n’émettra pas les mêmes fréquences et amplitudes vibratoires en fonctionnant avec 20% ou
80% de son régime nominal. Toutes ces conditions sont référencées dans le PBMP (Programme de
Base de Maintenance Préventive).
5.1.2 Exemples de mesures vibratoires
Dans cette partie, différents exemples de collecte de mesures vont être présentés.
J’expliquerai l’usage du système concerné et son intégration dans le CNPE de Gravelines ainsi que
les raisons qui nous ont poussés à aller sur site pour récolter les niveaux vibratoires, T°C ou autres
pressions d’huiles de la machine étudiée.
5.1.2.1 Pompe 6 CFI 002 PO
La circulation de l’eau au sein du circuit tertiaire est assurée par les pompes CRF afin de
refroidir, par l’intermédiaire d’un échangeur thermique (type condenseur), la vapeur d’eau qui fait
tourner les turbines générant l’électricité. Cette eau est prélevée dans la mer qui est une source froide
ayant une capacité de refroidissement presque infinie aux vues de la quantité d’eau disponible. Il faut
cependant la filtrer pour la nettoyer des impuretés (sable, coquillages, poissons…) qui pourraient venir
endommager les pompes d’alimentation et encrasser les échangeurs. Pour cela, on fait passer cette
eau à travers un tambour filtrant. C’est à cet instant qu’intervient le système motopompe CFI qui va
projeter de l’eau sur le tambour afin d’évacuer les saletés incrustées dans ce dernier et le désinfecter.
De manière détaillée, le système CFI (Filtration Eau Brute du Condenseur) est un ensemble
dont le rôle est d’assurer :
 La filtration de l’eau de circulation (CRF)
 La filtration de l’eau d’alimentation du circuit d’eau brute secourue (SEC)
 La filtration de l’eau d’alimentation des pompes de lavage des tambours filtrants
Voici quelques chiffres concernant la motopompe de lavage CFI :
 Débit nominal : 300 m
3
/ h / pompe
 Hauteur d’élévation : 60 mCE
Rapport Stage EDF par Cyril VAAST Page 26
Finalement, le système CFI permet le relevage et l’évacuation des salissures déposées sur
les tambours filtrants au travers desquels circule l’eau du circuit tertiaire issu de la mer. Lorsqu’il y a
trop d’impuretés dans l’eau filtrée, la perte de charge au niveau du tambour augmente. Pour contrer
ce phénomène, on augmente alors la vitesse de rotation de ce dernier.
Voici quelques chiffres concernant ce tambour filtrant :
 Diamètre : 15m
 Largeur : 6.15m
 Débit : 20 m
3
/s
 Vide de maille des panneaux filtrants : 3.17mm (assez étroit)
 Perte de charge : 10 à 30 mbar (max admissible : 50mbar)
 3 vitesses de rotations :
o Petite vitesse : 1 tour = 18 min
o Moyenne vitesse : 1 tour = 5 min
o Grande vitesse : 1 tour = 2.5 min
Chaque tranche nucléaire comporte deux systèmes CFI indépendants. Chaque file CFI fait
parti des matériels IPS et est alimentée électriquement par 2 sources indépendantes
Une fois que les mesures vibratoires ont été acquises sur la motopompe 6 CFI 002 PO, il
fallait ensuite analyser les niveaux globaux vibratoires à chaque palier ainsi que les spectres associés
pour déterminer l’origine de cette hausse des niveaux.
Sur la figure précédente, on peut observer les mesures faites le 03/07/2015. Et bien que le
capteur utilisé soit un accéléromètre, les mesures recueillies peuvent être consultées aussi bien en
vitesse, déplacement ou accélération. La figure 19 fait état des niveaux vibratoires globaux (RMS) en
vitesse (5
ème
ligne) et en déplacement (2
ème
ligne) pour chaque capteur (1R1, 1R2 …). Les niveaux
globaux sont calculés de la manière suivante :
Figure 19: Aperçu des niveaux globaux vibratoires du 03/07/15
Rapport Stage EDF par Cyril VAAST Page 27
Ensuite, d’autres résultats sont visibles comme les amplitudes vibratoires en vitesse :
 A la fréquence de rotation (7
ème
ligne) qui est intitulé balourd. Cependant cela ne
signifie pas qu’il s’agit d’un problème de balourd (déséquilibre) si la valeur est élevée.
Il faut pour s’en assurer analyser le spectre en déplacement du capteur concerné.
 A l’harmonique 2 (3
ème
ligne) avec l’amplitude exprimée en vitesse.
 A l’harmonique 3 (4
ème
ligne) avec l’amplitude exprimée en vitesse.
Ces relevés permettent à l’agent EDF de repérer aisément une potentielle anomalie grâce à
cet affichage explicite dont les couleurs dépendent du dépassement ou non (en vert) du seuil d’alerte
(en orange) ou du seuil d’arrêt (en rouge). Cependant souvent cela n’est pas suffisant pour trouver
l’origine précise de la hausse des niveaux car ces chiffres sont des niveaux globaux. Il faut donc
pousser l’analyse à un stade supérieur en étudiant le spectre (dans le domaine fréquentiel) associé au
capteur en alarme. Et ce n’est qu’à partir de ce moment là que l’on peut comprendre la cause du
problème.
Sur une motopompe, les problèmes plausibles sont multiples :
 Délignage parallèle, angulaire ou mixte
 Phénomène de résonnance
 Problème de lubrification
 Dégradation du rotor ou stator
 Défaut d’alimentation électrique du moteur
 Balourd thermique, magnétique ou dynamique sur l’arbre ou les ventilateurs
 Défaut au niveau des paliers (roulements)
 Modification de la structure support du système (socle béton ou pose de tirants)
Comme l’analyse vibratoire n’est pas une science exacte dans le sens où chaque spectre
d’une analyse est unique, cela demande d’avoir du recul mais aussi de l’expérience et l’accès aux
anciens rapports d’analyse concernant des situations semblables afin de comprendre au mieux le
problème à solutionner. Pourtant, les différentes causes possibles citées ci-dessus se traduisent
souvent par des profils spectraux caractéristiques. Par exemple un problème de roulement se verra à
Rapport Stage EDF par Cyril VAAST Page 28
des fréquences précises mais relativement hautes (10 à 30 fois la fréquence de rotation) tandis qu’un
balourd s’observera plus à la 1
ère
, 2
ème
et 3
ème
harmoniques de la fréquence de rotation. Ces
signatures types seront décrites ultérieurement.
Concernant notre CFI, le point à contrôler particulièrement est le 1R1 qui se situe radialement
par rapport à l’axe de rotation au niveau du 1
er
palier qui supporte l’arbre moteur. On voit que le
niveau global aussi bien en déplacement qu’en vitesse est au dessus du seuil d’arrêt. Il faut donc agir
rapidement pour éviter la casse du roulement associé par exemple. On va s’intéresser aux spectres
associés. Pour cela, on a le choix entre plusieurs plages de fréquences pour les spectres :
 0- 200Hz : Précis (0.25 Hz près) et efficace pour les spectres exprimés en
déplacement (Basse Fréquence)
 0- 2000Hz : Moyennement précis (2.5 Hz près) mais utile pour une étude des
spectres en vitesse (Moyenne Fréquence)
 0- 20000Hz : Peu précis (25Hz près) mais exploitable pour l’étude des spectres en
accélération (Haute Fréquence)
A première vue, on pourrait analyser le spectre sur une bande passante de 0 à 20 000Hz afin
de ne pas rater un pic en Haute Fréquence. Mais on se rend vite compte que les pics significatifs se
regroupent majoritairement en BF ou MF. Voilà pourquoi le spectre 0-200Hz pour le point 1R1 semble
être le plus approprié.
Après avoir choisi notre bande passante spectrale, il peut aussi être intéressant de
superposer dans la même fenêtre le spectre de la mesure du jour même avec celle effectuée
précédemment pour pouvoir entrevoir une évolution notable d’une date à l’autre. Ainsi on peut
déterminer précisément si l’évolution est brutale ou progressive. Parfois aussi, on peut visualiser un
pic élevé qui n’est pas significatif d’un problème inquiétant puisqu’on le retrouve sur chaque prise de
mesure et que le système fonctionne parfaitement dans ces conditions.
Voici les niveaux globaux de la mesure précédente (01/06/2015) qui ne traduit pas
significativement de grosses problématiques concernant le CFI. C’est cette acquisition que l’on va
utiliser comme « référence » et la comparer avec la prise de mesure alarmante du 03/07/2015.
Figure 20: Aperçu des niveaux globaux vibratoires du 01/06/15
Rapport Stage EDF par Cyril VAAST Page 29
L’étape suivante est l’étude du spectre 0-200Hz au point 1R1 entre le 01/06/15 et le 03/07/15 :
Figure 21: Spectre 0-200Hz au point 1R1 entre le 01/06/15 et le 03/07/15
Fo
3 Fo
2 Fo
Rapport Stage EDF par Cyril VAAST Page 30
On peut observer dans la fenêtre précédente, le spectre du 03/07/2015 en vert (Niveau
vibratoire élevé) et celui du 01/06/2015 en bleu (Mesure de référence). Après un premier visuel sur
place, l’équipe pensait à un problème d’alignement au niveau de l’accouplage entre le moteur et la
pompe qui se fait par l’intermédiaire d’un cardan car ce dernier vibrait fortement. Et cette hypothèse
semble probable puisque le profil spectral de ce genre de défaut se traduit par des pics aux
harmoniques 1, 2 et 3. Mais c’est à cet instant que l’observation et le recul sont primordiaux dans ce
genre d’analyse. En regardant de plus près les deux courbes dans le cadre orange, on remarque un
fort écart entre les deux courbes. Or, elles devraient théoriquement se superposer jusqu’à Fo car la
structure de CFI (socle béton, plaque de fixation…) est censée rester la même d’une date à l’autre. On
peut donc en conclure que l’environnement de CFI a été dégradé ou modifié. Dorénavant c’est le
béton qui est remis en question. Il serait possible que des fissures soient apparues dans la dalle de
béton supportrice de CFI. Il a alors été demandé à l’équipe du génie civil de venir entreprendre des
travaux de rénovation. Voici les niveaux globaux après l’intervention du GC en comparaison à la
mesure du 03/07/2015 :
On observe bien une baisse importante des niveaux globaux ce qui indique que la cause
principale des vibrations excessives a été résolue.
Finalement, cette intervention réussie sera archivée et partagée afin de faire monter la cellule
SMT en expérience concernant ce type de problème.
5.1.2.2 Générateur Diesel 5 LHP 201 GE
Afin de prévenir les risques liés à une coupure d’électricité générale et donc d’assurer
l’alimentation en électricité pour tous les systèmes IPS (Important Pour la Sureté), le CNPE de
Gravelines a mis en place deux groupes électrogènes à moteur diésel (LHP et LHQ) par tranche
nucléaire (6 tranches à Gravelines).
Figure 22: Aperçu des niveaux globaux vibratoires après travaux sur la dalle béton
Rapport Stage EDF par Cyril VAAST Page 31
Ils peuvent fournir, chacun ou ensemble, l’énergie électrique sous une tension de 6,6 kV à 50
Hz nécessaire à l’alimentation des auxiliaires de la centrale. L’alimentation des auxiliaires étant
assurée, ceux-ci permettent la mise à l’arrêt de la tranche dans des conditions acceptables et en
maintenant l’intégrité des matériels importants. En tournant à plein régime (1500 tr/min) avec une
charge de 100%, ils peuvent assurer l’alimentation de la tranche associée pendant 3 jours et demi
grâce à leur propre réservoir en carburant de 80 m
3
chacun. Cependant ils ont été dimensionnés pour
fonctionner en continu (si on alimente les réservoirs de carburant) pendant :
 8 000 h sans entretien nécessitant un remplacement de pièce d’usure
 1 500 h sans entretien nécessitant un démontage mécanique
LHP a pour rôle de fournir l’énergie électrique au tableau LHA d’alimentation des équipements
de classe IE (isolement enceinte). LHQ est redondant par l’alimentation des matériels du tableau LHB.
Lors de la prise en charge, la fréquence en sortie d’alternateur ne descend pas en dessous de 49 Hz
et la tension minimale est de 5940 V. Et lors d’une baisse importante de la charge, la vitesse du
groupe diesel ne dépasse pas les 112% afin d’assurer une tension et une fréquence acceptable par
les systèmes alimentés électriquement.
Concernant le groupe électro-diesel LHP, il s’agit d’un moteur V20 bi-turbo branché en sortie
d’arbre moteur à un alternateur de 6 600V. Il sert à alimenter les tableaux de commandes des
systèmes (motopompes) de la tranche à réalimenter en urgence :
 EAS (Aspersion d’Eau dans l’enceinte de confinement)
 RRA (Système de Réfrigération du Réacteur à l’Arrêt)
 RRI (Réfrigération Intermédiaire du Réacteur)
 SEC (Eau Brute Secourue)
 RIS (Injection de Sécurité du réacteur)
 SdC (Salle des Commandes de la tranche concernée)
 Eclairage des locaux où sont situées les installations précédentes
Rapport Stage EDF par Cyril VAAST Page 32
Afin de mieux se rendre compte des mensurations du générateur diesel LHP qui a été
mesuré, voici quelques chiffres:
Caractéristique Unité V20 bi-turbo type LHP ou LHQ
Cycle / 4 temps, simple effet
Disposition des cylindres degré (°) Vé à 50° : 10 cylindres par V
Alésage des cylindres mm 240
Course des pistons mm 220
Puissance à l’accouplement kW 4121 (5604 ch)
Pression Moyenne effective bar 16,13
Pression d’air du turbo bar 2,5
Vitesse du turbo tr/min 21 000
± 600
Débit d’air (à Puiss. Nominale) kg/h 29 200
Consommation d’huile kg/h 10
Vitesse nominale du moteur tr/min 1500 ( 50 Hz en sortie d’alternateur)
Masse du moteur à vide kg 32 800
Longueur moteur mm 4 930
Long. moteur + alternateur mm 9 600
Largeur moteur mm 2 625
Hauteur moteur mm 3 300
Rapport Stage EDF par Cyril VAAST Page 33
Les avantages d’un groupe électro-diesel sont les suivants :
 Pouvoir enflammer un mélange pauvre ( jusqu’à 5% du mélange) par réchauffage de
l’air comprimé et injection du carburant à très haute pression ( 1000 bars)
 Utilisation de combustibles peu volatils pas trop raffinés (gazole, fuel, kérosène,
carburant végétaux…)
 Possibilité énorme de suralimentation
 Très grande longévité
Suite à une demande de la conduite après détection d’un défaut au niveau d’une sonde de
T°C, nous avions dû nous rendre dans le local du générateur diesel afin d’effectuer notre BSP (Bilan
de Santé Périodique). Les conditions de fonctionnement lors d’un BSP pour un générateur diesel LHP
sont : attendre que le moteur soit à sa T°C stabilisée, son régime de fonctionnement nominal puis
branché à une charge de 30% en sortie de l’alternateur (ici simulée par la SdC (Salle des
Commandes)).
Notre mission était donc de relever des paramètres de fonctionnement tels que la T°C
d’échappement ou la pression du circuit de refroidissement. Pour cela, nous pouvions lire les mesures
nécessaires sur un tableau rempli de cadrans et autres fenêtres comme ci-dessous. Et il suffisait
d’activer le mode lecture pour voir défiler les différentes mesures à noter sur un écran digital.
Figure 23: Groupe électro-diésel 5 LHP 201 GE
Rapport Stage EDF par Cyril VAAST Page 34
Les valeurs récoltées sont issues de capteurs reliés à des sondes de T°C, de pression ou de
débit qui sont continuellement en communication avec le tableau de bord présenté ci-dessus. Chaque
sonde de chaque capteur possède à coté d’elle, une plaque métallique indiquant sa référence unique
(voir ci-dessous).
Cependant d’autres paramètres, comme certains manomètres, étaient à lire directement au
niveau de la sonde (voir ci-dessous) :
Figure 24: Tableau des cadrans et mesures
Figure 26: Manomètres + plaques signalétiques Figure 25: Thermomètre + plaque signalétique
Figure 27: Lecture directe d'un Manomètre
Rapport Stage EDF par Cyril VAAST Page 35
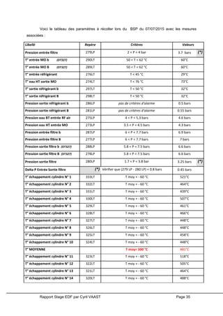
Voici le tableau des paramètres à récolter lors du BSP du 07/07/2015 avec les mesures
associées :
Libellé Repère Critères Valeurs
Pression entrée filtre 279LP 2 < P < 4 bar 3.7 bars (*)
T° entrée MO b (DT327) 290LT 50 < T < 62 °C 60°C
T° entrée MO B (DT327) 289LT 50 < T < 62 °C 60°C
T° entrée réfrigérant 276LT T < 45 °C 29°C
T° eau HT sortie MO 274LT T < 76 °C 73°C
T° sortie réfrigérant b 297LT T < 50 °C 32°C
T° sortie réfrigérant B 298LT T < 50 °C 32°C
Pression sortie réfrigérant b 286LP pas de critères d'alarme 0.5 bars
Pression sortie réfrigérant B 281LP pas de critères d'alarme 0.55 bars
Pression eau BT entrée RF air 275LP 4 < P < 5,3 bars 4.6 bars
Pression eau HT entrée MO 273LP 3.5 < P < 4.5 bars 4.3 bars
Pression entrée filtre b 287LP 6 < P < 7.7 bars 6.9 bars
Pression entrée filtre B 277LP 6 < P < 7.7 bars 7 bars
Pression sortie filtre b (DT327) 288LP 5.8 < P < 7.5 bars 6.6 bars
Pression sortie filtre B (DT327) 278LP 5.8 < P < 7.5 bars 6.6 bars
Pression sortie filtre 280LP 1.7 < P < 3.8 bar 3.25 bars (*)
Delta P Entrée Sortie filtre (*) Vérifier que (279 LP - 280 LP) < 0.8 bars 0.45 bars
T° échappement cylindre N° 1 333LT T moy + - 60 °C 521°C
T° échappement cylindre N° 2 332LT T moy + - 60 °C 464°C
T° échappement cylindre N° 3 331LT T moy + - 60 °C 439°C
T° échappement cylindre N° 4 330LT T moy + - 60 °C 507°C
T° échappement cylindre N° 5 329LT T moy + - 60 °C 461°C
T° échappement cylindre N° 6 328LT T moy + - 60 °C 466°C
T° échappement cylindre N° 7 327LT T moy + - 60 °C 448°C
T° échappement cylindre N° 8 326LT T moy + - 60 °C 448°C
T° échappement cylindre N° 9 325LT T moy + - 60 °C 458°C
T° échappement cylindre N° 10 324LT T moy + - 60 °C 448°C
T° MOYENNE T moy< 500 °C 481°C
T° échappement cylindre N° 11 323LT T moy + - 60 °C 518°C
T° échappement cylindre N° 12 322LT T moy + - 60 °C 505°C
T° échappement cylindre N° 13 321LT T moy + - 60 °C 464°C
T° échappement cylindre N° 14 320LT T moy + - 60 °C 488°C
Rapport Stage EDF par Cyril VAAST Page 36
T° échappement cylindre N° 15 319LT T moy + - 60 °C 549 -> 505°C
T° échappement cylindre N° 16 318LT T moy + - 60 °C 494°C
T° échappement cylindre N° 17 317LT T moy + - 60 °C 520°C
T° échappement cylindre N° 18 316LT T moy + - 60 °C 471°C
T° échappement cylindre N° 19 315LT T moy + - 60 °C 484°C
T° échappement cylindre N° 20 314LT T moy + - 60 °C 472°C
T° Turbo 1 335LT T < 610 °C 537°C
T° Turbo 2 334LT T < 610 °C 551°C
T°palier alternateur CA 416MT T°<90°C /
T°palier alternateur COA 417MT T°<90°C /
T° enroulement stator 003EU T°<100°C /
Vitesse (tr / mn) 1494 < N < 1506 tr/mn 1500
Temps de montée en vitesse < 15 s /
Temps marche (DT327) pas de critères d'alarme 919 heures
Compteur Horaire LH* 001CO pas de critères d'alarme 5833 heures
Compteur Horaire LH* 002CO pas de critères d'alarme 9460 heures
Température extérieure pas de critères d'alarme 20°C
Température intérieure local pas de critères d'alarme 31°C
Position cran du RG (accélération) pas de critères d'alarme 4 sans
P alternateur (MW) (active) 105 ID pas de critères d'alarme 1.7 MW
Q (MVAR) (réactive) 102 ID pas de critères d'alarme 0.9 MVAR
229 FI P<200 mm CE 40 mmCE
340 FI P<200 mm CE 0 mmCE
002LP pression 004BA 38 bars
001LP Pression 005BA 38 bars
Divers pas de critères d'alarme /
Niveau Gazole 003BA > 66 m3 71 m
3
Cependant, lors de la lecture des paramètres sur le tableau, nous avions remarqué une T°C
anormale car la T°C d’échappement du cylindre 15 était de 549°C ( > TMoyenne + 60°C ). Elle était donc
en dehors de la fourchette admissible. De plus, un voyant rouge d’erreur s’était allumé lors de
l’affichage de cette T°C ce qui indiquait un défaut au niveau du capteur. Il nous a donc fallu
débrancher la connectique du capteur automatisé au niveau du cylindre n°15 afin d’y brancher notre
thermomètre portatif afin de récolter la T°C réelle des gaz d’échappement du cylindre n°15.
Rapport Stage EDF par Cyril VAAST Page 37
La mesure de 549°C était bien erronée puisque notre appareil de mesure nous avait indiqué
505°C, ce qui était plus cohérent avec le reste des T°C des cylindres.
En conclusion, tous les paramètres recueillis sur le générateur électro-diesel ne dépassaient
pas les seuils de critère d’arrêt ou même d’alarme. On peut donc en conclure que le générateur diesel
était conforme aux critères mis en place.
Figure 29: Thermomètre portatif Figure 28: Capteur à visser à la sonde
Rapport Stage EDF par Cyril VAAST Page 38
5.1.3 Fiches réflexes
5.1.3.1 Equilibrage dynamique
Il m’avait été demandé de rédiger un livret expliquant les manipulations à suivre lorsqu’il fallait
acquérir des mesures vibratoires sur un système donné. Ce livrable est visible dans les annexes de ce
rapport. Il détaille comment charger la ronde associée au système ciblé, l’acquisition des mesures, le
contrôle de ces dernières puis le déchargement des données recueillies.
En effet, lorsqu’une intervention de mesure vibratoire doit être effectuée, le technicien SMT
doit tout d’abord transférer depuis son ordinateur, la ronde spécifique au système (CFI par exemple)
qu’il va mesurer. Pour cela, il connecte son collecteur Movipack® à son poste et va récupérer la
ronde correspondant au système recherché (ici CFI). La démarche est décrite dans la fiche réflexe
« Mesure vibratoire » située dans l’annexe. La route chargée dans le collecteur contient déjà
l’ensemble des points de mesure à acquérir sur la machine (comme on peut le voir sur la figure ci-
dessous).
On doit donc brancher et acquérir les mesures vibratoires du système CFI sur 10 points
différents :
 2 radiaux sur le 1
er
palier moteur (1R1 et 1R2)
 2 radiaux sur le 2
ème
palier moteur (2R1 et 2R2)
 1 axial sur l’arbre moteur (1A)
 2 radiaux sur le 1
er
palier pompe (11R1 et 11R2)
 2 radiaux sur le 2
ème
palier pompe (12R1 et 12R2)
 1 axial sur l’arbre moteur (11A)
Figure 30: Ensemble des points de mesure du système CFI
Rapport Stage EDF par Cyril VAAST Page 39
Pour cela, on vient visser le capteur accéléromètre sur l’embase collée à l’emplacement voulu
(1R1 par exemple). Après s’être assuré que la machine fonctionne dans les conditions demandées, on
peut alors lancer l’acquisition :
Une fois que l’ensemble des points référencés dans la ronde a été pris, on peut rentrer à la
cellule SMT afin de décharger les données pour pouvoir les analyser.
Dans les annexes, on retrouve la fiche réflexe que j’ai créée à ce sujet. Elle décrit en détail la
procédure à suivre concernant la prise de mesures vibratoires.
5.1.3.2 Fiche réflexe : Equilibrage dynamique
Voici la mission initiale pour laquelle j’ai été désigné pour ce stage. Cette mission consiste
donc à rédiger une fiche réflexe (visible en Annexe) concernant la manipulation du collecteur (appelé
Movipack®). Cette manipulation est nécessaire dans le cas où une intervention d’équilibrage est
requise. Elle est détaillée de manière précise dans les annexes dans la fiche réflexe correspondante
que j’ai réalisée.
Comme une demande d’équilibrage reste relativement rare, la cellule SMT préfère sous-traiter
ce genre de travaux à des experts en vibration. Cette délégation de tâche était principalement due au
manque de pratique et de compétence concernant les manipulations au sein de l’équipe SMT. En
effet, une seule personne était qualifiée et habituée à le faire mais pour des raisons de santé, elle ne
pouvait plus se rendre sur place pour effectuer l’équilibrage. Donc plutôt que de perdre tout le savoir-
faire et de dépenser énormément d’argent dans des prestations coûteuses, il a été décidé de faire
monter en compétence le reste de l’équipe afin de la rendre capable d’effectuer un équilibrage.
Les avantages sont nombreux, outre une économie sur le plan financier, on élargit le domaine
de compétence de l’équipe SMT, on conserve une meilleure trace des interventions faites et un gain
de temps apparaît car l’analyse se fait en interne et l’intervention d’équilibrage est mise en place par
des agents EDF qui ont une connaissance précise sur le comportement de la machine à équilibrer.
Cela signifie qu’ils savent si un système est reconnu pour avoir un comportement atypique ou non, où
se situe le système, qui appeler pour consigner la machine lorsque cela est nécessaire…
Figure 31: Exemple d'acquisition de niveaux vibratoires
Rapport Stage EDF par Cyril VAAST Page 40
Finalement, cette formation de l’équipe SMT à l’équilibrage dynamique n’a que de bons côtés.
Mais il faudra s’assurer que les techniciens ne perdent pas la main si une intervention est prévue
après une longue période sans mise en pratique. Et c’est là qu’est l’intérêt de mon livret afin de
rappeler la procédure.
En plus de la fiche réflexe, on m’a demandé de bien vouloir réaliser une vidéo mettant en
scène les gestes à pratiquer afin d’élargir les supports pédagogiques concernant l’équilibrage
dynamique.
Sur ce genre de livret, le but n’est pas d’expliquer en théorie les phénomènes d’équilibrage
ainsi que leur conséquence. Le principe est de décrire de manière accessible le déroulement des
actions à effectuer. Voilà pourquoi il est primordial d’y intégrer des images commentées. Cependant
l’ensemble de la cellule a suivi une formation théorique puis une mise en pratique vis-à-vis de
l’équilibrage. Mais cette formation sera décrite dans la partie méthodologie de ce rapport.
Afin de se rendre compte du travail réalisé, la fiche réflexe « équilibrage dynamique » que j’ai
réalisé est visible dans les annexes de ce rapport.
5.1.3.3 Fiche réflexe : Thermographie
En plus des mesures vibratoires, la cellule SMT est aussi responsable du suivi
thermographique de certains systèmes (armoires électriques ou conduite de vapeur). Pour assurer ce
rôle, les agents SMT vont sur site avec une caméra infrarouge afin de pouvoir visualiser d’éventuels
points chauds anormaux. Mais contrairement à une caméra classique, la prise en main d’une caméra
infrarouge est un peu plus compliquée puisqu’il faut renseigner plusieurs paramètres afin d’obtenir
une analyse thermographique conforme aux exigences :
 Température ambiante et taux d’humidité
 Emissivité du matériau pointé
 Distance entre la lentille de la caméra et l’objet visé
 Et divers autres paramètres
Sa prise en main est donc relativement compliquée et son champ d’action très large. C’est
pourquoi il est intéressant d’avoir une fiche réflexe concernant l’utilisation de cette caméra thermique.
L’analyse thermographique n’étant pas le sujet principal de ce stage, je ne décrirai que
rapidement le fonctionnement de cet appareil de mesure. Comme son nom l’indique, la caméra
travaille dans le domaine infrarouge :
Rapport Stage EDF par Cyril VAAST Page 41
La problématique concernant la prise d’un cliché thermographique est la forte influence de
l’atmosphère séparant la lentille réceptrice de la caméra et la surface de l’objet ciblé. Il est donc
important de renseigner les paramètres cités précédemment. Cependant, la caméra de la cellule SMT
permet de prendre des clichés dynamiques. Cela veut dire que l’on peut les retravailler après la prise
de photo sur un ordinateur avec le logiciel compatible. Mais toutes ces fonctionnalités sont décrites
dans la fiche réflexe « mesure thermographique » située dans les annexes de ce rapport.
La thermographie permet entre autre de déceler un problème d’isolation calorifique sur une
conduite de vapeur par exemple ou alors un sur échauffement d’un conducteur électrique au niveau
d’une armoire électrique.
5.1.4 Suivi de tendance EAS et RIS
Le suivi de tendance est l’un des principes fondamentaux de la maintenance préventive.
L’intérêt ici est de pouvoir prévenir la casse d’une machine. Pour cela, des seuils d’alerte et d’arrêt
sont prédéfinis pour chaque capteur. Ainsi on peut suivre l’évolution au fil du temps des niveaux
vibratoires de chaque point de mesure. Le logiciel OneProd® permet d’obtenir la courbe de tendance
dans l’unité souhaitée (vitesse, déplacement, accélération) d’un point (ici 1R1 par exemple) sur un
système précis (on prend 6 CFI 002 PO pour illustrer cela) :
Figure 32: Répartition des ondes électromagnétiques
Rapport Stage EDF par Cyril VAAST Page 42
On remarque ici que les seuils d’alerte (ligne horizontale orange) et d’arrêt (ligne horizontale
rouge) ont été dépassés à plusieurs reprises. On observe aussi qu’à partir du moment où une mesure
dépasse un seuil, la mesure suivante n’est plus en alerte. Cela indique bien qu’une action préventive
voire corrective (s’il est trop tard) a été menée afin de résoudre le problème de la manière la plus
efficace.
Le dernier pic fait référence à la hausse des niveaux vibratoires suite à la dégradation de la
dalle de béton support du système CFI. L’intervention a été décrite précédemment dans ce rapport.
Concernant la mission qui m’a été donnée, il s’agissait d’examiner le suivi de tendance de
deux types de machines : les motopompes verticales EAS et RIS. Pour cela, on m’a fourni un fichier
Excel sur lequel on retrouvait l’historique des mesures vibratoires de tous les points des 12 pompes
EAS et 12 pompes RIS présentes sur le site (2 pompes par tranche).
De manière globale, le système EAS assure l’aspersion d’eau dans l’enceinte de confinement.
C’est donc un matériel IPS qui demande un suivi minutieux. Son rôle est :
 D’assurer le refroidissement de l’enceinte en cas de problème
 De réduire la pression de l’enceinte pour éviter une surpression supérieure à 5bars
Figure 33: Suivi du point 1R1 sur 6CFI002 entre 2005 et 2015
Figure 34: Schémas d'implantation d'EAS
03/07/15
Rapport Stage EDF par Cyril VAAST Page 43
Le système RIS est quant à lui mis en place afin d’assurer un apport suffisant en eau fraîche
dans le cœur du réacteur dans le cas où une perte du réfrigérant primaire initial est détecté. Son
second rôle est aussi d’injecter le plus rapidement possible de l’acide borique fortement concentré en
cas de RTV (Rupture de la Tuyauterie Vapeur) pour compenser l’apport de réactivité lié au coup de
froid. Il fait aussi parti du matériel IPS et demande par conséquent un suivi constant.
Pour revenir à mes objectifs, il fallait se focaliser sur les points 1R1 et 1R2 de chaque pompe
EAS et RIS. On rassemble alors l’historique des mesures effectuées sur ces deux points entre 2005 et
2015. Puis on trace les graphiques faisant étant pour chaque pompe des niveaux vibratoires exprimés
en mm/s en fonction de la date d’acquisition de la mesure. On remarque alors la présence de
fluctuations au cours du temps des niveaux globaux.
De plus, on remarque que certaines pompes ont un comportement vibratoire stable (comme la
2 RIS 002 PO en noir par exemple) tandis que d’autres (comme la 6 RIS 001 PO en rouge) montrent
de forts pics. On qualifie ces dernières de « pompes sensibles aux vibrations ». Et ce sont ces
machines instables qui nous intéressent dans cette étude.
Figure 35: Suivi du point 1R1 des pompes RIS
Rapport Stage EDF par Cyril VAAST Page 44
Une fois l’ensemble des pompes sensibles détectées, il faut essayer de trouver les causes
plausibles qui ont pu engendrer des hausses des niveaux vibratoires. Ces causes peuvent être de
diverses natures :
 Problème de lubrification du coulisseau du cardan
 Problème de dégradation des roulements
 Phénomène de résonnance lors de la mesure
 Mauvais réglage du butonnage (agit sur l’angle d’inclinaison du cardan entre le moteur et la
pompe)
 Desserrage des vis de fixation sur la plaque support
 Fissures de la dalle béton qui supporte la motopompe.
Cependant, il n’est pas toujours aisé de trouver exactement la cause du problème. Pour cela,
il faut se renseigner sur l’ensemble des interventions qui ont été faites sur le système étudié :
 Prise de mesures vibratoires
 Lubrification de la machine
 Remplacement d’un élément mécanique
 Réglage du butonnage
On retrouve ces indications dans une base de données qui regroupe toutes les demandes
d’intervention (DI) et les interventions elles-mêmes (OI). On peut également accéder au rapport de l’OI
associé. Cette base de données est accessible par le logiciel SYGMA® dont l’utilisation sera détaillée
dans la partie « méthodologie de travail » de ce rapport.
Une fois que l’on a trouvé l’OT qui serait susceptible de justifier d’une hausse des niveaux
vibratoires, on peut renseigner cela dans le tableau associé au graphe (comme ci-dessous) :
Mais quel est l’intérêt de cette analyse ? Pourquoi entreprendre une telle démarche alors que
les problèmes ont déjà été solutionnés ?
Depuis l’origine, les groupes motopompes RIS et EAS présentent des problèmes vibratoires.
Il s’agit alors d’obtenir des niveaux vibratoires satisfaisants (inférieurs au critère d’alarme) et des
fréquences propres des moteurs éloignées d’au moins 10% de la fréquence d’excitation située à 25
Hz, d’où une bande de fréquence à éviter de [22,5 – 27,5 Hz]. Cela indique qu’il est possible que
parfois on se retrouve avec un niveau d’alerte, mais que cette mesure soit erronée dans le sens où la
fréquence d’excitation et de résonnance de la motopompe étaient trop proches. On a donc besoin de
Figure 36: Exemple d'une cause probable de hausse des niveaux
Rapport Stage EDF par Cyril VAAST Page 45
modifier la fréquence de résonnance de la machine pour refaire une mesure plus significative. Pour
modifier cette fréquence, on a deux solutions :
 Apporter de la rigidité à la motopompe pour augmenter sa fréquence de résonnance
 Augmenter la masse du système pour baisse sa fréquence de résonnance
La deuxième solution est compliquée à mettre en œuvre car il faudrait ajouter des centaines
de kilos voire des tonnes pour déplacer significativement la fenêtre de résonnance de la pompe. Or
ces systèmes se situent dans des locaux, ce qui rend l’accès difficile pour y déposer de lourds blocs
de béton.
La première est celle généralement utilisée. Les pompes EAS et RIS sont des groupes
motopompes disposés verticalement. On vient donc ancrer les machines aux murs environnants à
l’aide de tirants. On peut alors augmenter la tension de ces tirants (butons) pour élever la rigidité du
système. Mais le problème sous jacent est une augmentation de l’inclinaison du cardan
d’accouplement qui peut engendrer une hausse des niveaux vibratoires. Voilà pourquoi il est
primordial de s’assurer qu’un réglage de butonnage nous permet de quitter le phénomène de
résonnance tout en conservant des niveaux acceptables.
On veut à tout prix éviter une hausse alarmante des vibrations dans le cas où ces pompes
devraient assurer pleinement leur rôle de sureté. Et il est important de repérer les pompes atypiques
afin d’augmenter les actions à leur égard pour réduire leur vibration (pose de sabots raidisseurs,
réglage des butons…)
Après avoir effectué cette première analyse globale, il m’a été demandé d’approfondir cette
étude. Il s’agissait de référencer les dates où des points étaient anormalement hauts sur les pompes
sensibles et de répertorier sur les spectres associés, les fréquences des pics que l’on observe. Ainsi
on peut confirmer si le problème venait d’un problème de palier (Haute Fréquence), de déséquilibrage
(Basse Fréquence), de lubrification, etc.…
Rapport Stage EDF par Cyril VAAST Page 46
5.1.5 Macro de tri GPS
Chaque semaine, mon maître de stage doit effectuer une extraction depuis une base de
données (appelée GPS) qui liste l’ensemble des opérations à effectuer par la cellule SMT. Cette liste
brute indique la nature de l’intervention (vibration, prélèvement d’huile, thermographie…), le système
ciblé par l’intervention (4 EAS 001 PO par exemple) et la date au plus tard avant laquelle doit être
soldée l’intervention.
Dans notre cellule SMT, les 8 techniciens sont répartis en 4 binômes :
 Binôme 1 : Mesures Vibratoires sur les tranches 1 et 2
 Binôme 2 : Mesures Vibratoires sur les tranches 3 et 4
 Binôme 3 : Mesures Vibratoires sur les tranches 5 et 6
 Binôme 4 : Mesures Thermographiques, demandes fortuites toutes tranches et
mesures vibratoires commun de tranche
Il est donc nécessaire qu’ils puissent depuis la liste brute des interventions, repérer celles qui
les concernent ainsi que la date avant laquelle elles doivent être effectuées. Sachant que cette liste
possède plus de 900 lignes, on peut vite s’y perdre…
Mon objectif était donc d’automatiser le tri de cette liste d’interventions brute afin de faire
gagner du temps à mon maître de stage. La solution choisie a été la programmation d’une Macro sur
le logiciel Microsoft Office Excel. On partait donc d’une liste d’OT comportant les informations
suivantes :
 Symbole pour le suivi de valid. TOT
 Nom
 RF
 Descriptif
 Libellé OT/OTM
 Affectation Métier / TOT
 Catégorie TOTM*PMRQ
 Type d'OT
 Statut
 Code fréquence TOTM*PMRQ
 Date au plus TOT calculée GRA
 Date d'échéance OT
 Date au plus TARD calculée GRA
 N° semaine OT (chaine)
 Date souhaitée métier TOT
 N° semaine date souhaite métier
 TOTM x PMRQ
 Demande de régime AIC
 Suivi métier
 Remarque métier
 OT + Desc OT
Figure 37: Aperçu de la liste à trier
Référence
du système
Date au
plus tard
Rapport Stage EDF par Cyril VAAST Page 47
Il fallait ensuite trier les OTs par tranche (filtre selon le 1
er
chiffre de la référence) en faisant
attention de distinguer les mesures thermographiques des autres interventions (mesures vibratoires,
prélèvements d’huile…). Puis trouver un moyen visuel et explicite d’indiquer si la date « au plus tard » de
l’intervention a été dépassée, est à faire dans le mois ou encore plus tard. Voilà pourquoi des vignettes
de couleurs ont été mises en place :
 Vert si à faire après 30 jours à compter d’aujourd’hui
 Orange si à faire dans les 30 jours à compter d’aujourd’hui
 Rouge si la « date au plus tard » est déjà dépassée
Voici un aperçu de la liste une fois triée (voir en Annexes pour plus de détails) :
La macro a été codée avec le module VisualBasic du logiciel Excel. La principale difficulté a été
de créer une macro adaptable à la taille de la liste (nombre de lignes) qui varie d’une extraction à une
autre.
Figure 38: Aperçu de la liste triée
Tri par tranche
Indicateur de la date au plus tard
Figure 39: Visualisation du codage de la Macro
Rapport Stage EDF par Cyril VAAST Page 48
5.2 Méthodologie de travail
5.2.1 Formation vibratoire
En plus d’aborder la vibration et les phénomènes environnants à plusieurs reprises au sein de
mon cursus d’ingénieur, j’ai pu assister à une formation portant sur l’équilibrage dynamique par un
formateur de l’entreprise Icare. Ces deux premiers jours de remise à niveau m’ont été utiles car bien que
mes connaissances théoriques sur le sujet étaient adaptées, la résolution de problèmes d’équilibrage et
les manipulations associées m’étaient peu connues.
Cette formation rappelait les bases des vibrations mais elle avait pour but de nous informer vis-à-
vis de l’équilibrage d’une machine tournante électrique qui comporterait un problème de balourd
mécanique. Cela signifie que l’on n’a pas été formé pour résoudre des soucis de balourd suite à un
échauffement asymétrique de l’arbre, ou encore à cause d’un défaut d’alimentation électrique… De plus,
le domaine d’application de l’équilibrage se limitait à une prise de mesures vibratoires sur un unique plan
(1 point radial) avec un équilibrage sur un seul plan de la machine (au niveau du ventilateur moteur
généralement).
Quelques points de la formation vont être explicités prochainement. Tout d’abord, le formateur
nous a fait prendre conscience de l’intérêt d’un équilibrage vis-à-vis des pertes énergétiques engendrées.
Avant Equil. Après Equil. Economie
Niveau Vib 10,7 mm/s RMS 0,8 mm/s RMS 9,9 mm/s RMS
Puissance perdue 900 Watts 300 Watts 600 Watts
CO2 consommé 2,3 T/an 750 kg/an 1,5T/an
La formule utilisée dans ce calcul est la suivante :
Une fois que l’on avait pris conscience de cet aspect énergétique, on a discuté des différents
types de balourds que l’on peut rencontrer sur une machine tournante :
Le balourd statique :
 Une masse excentrée (M) placée de façon telle que l’axe
principal d’inertie (I) se déplace parallèlement à l’axe de
rotation de l’arbre (R)
 “Statique” signifie qu’il existe un déséquilibre lorsque le rotor est à
l’arrêt: l’équilibre statique n’est pas réalisé.
      1000/3 PFVIfinalInitialE 
Rapport Stage EDF par Cyril VAAST Page 49
Le balourd de couple :
 Deux masses excentrées (M1 et M2) placées de façon telle que l’axe
principal d’inertie (I) coupe l’axe de rotation de l’arbre (R) au centre de
gravité (G) génèrent un balourd de couple.
 Le centre de gravité se situe sur l’axe de rotation; l’équilibre
statique est réalisé. Le balourd de couple ne génère des vibrations
sur les paliers que lorsque le rotor est en rotation.
Le balourd dynamique :
 Trois masses excentrées (M, M1 et M2) placées de façon telle que
l’axe principal d’inertie (I) et l’axe de rotation de l’arbre (R) ne se
coupent pas: (ils ne sont pas coplanaires).
 C’est le cas le plus fréquemment rencontré.
Le formateur nous a également appris à repérer un problème de balourd suite à l’analyse d’un
spectre FFT (pic à la fréquence de rotation), à l’étude de la phase du déséquilibre (doit être stable et
déphasée de 90° entre 2 capteurs radiaux coplanaires placés perpendiculairement l’un à l’autre.
Nous avons ensuite discuté concernant le phénomène de résonnance qui peut être fortement
destructif et qu’il faut à tout pris éviter. Si la fréquence d’excitation d’une machine est trop proche de sa
fréquence de résonnance, il faut jouer sur la rigidité ou la masse du système pour déplacer cette plage
fréquentielle critique. De plus, la résonnance amplifiant l’énergie vibratoire initiale, acquérir des mesures
dans ces conditions ne pourra pas nous donner un aperçu valable de la santé de notre machine.
Figure 40: Spectre typique d'un balourd
Rapport Stage EDF par Cyril VAAST Page 50
Une fois que l’on s’est assuré que le problème provient bien d’un déséquilibre, on peut fixer des
masselottes d’équilibrage aux positions calculées par le collecteur (voir Annexes : « Fiche réflexe de
l’équilibrage »). Mais il faut garder à l’esprit que ces masses doivent se placer le plus loin, radialement
parlant, de l’axe de rotation de l’arbre. Ainsi pour un poids, la masselotte aura une influence plus grande
si elle est boulonnée à l’extrémité d’une pale plutôt que proche du centre de rotation.
L’intérêt de cette formation était aussi la possibilité de s’entraîner directement sur un banc d’essai
vibratoire pour s’assurer que les manipulations soient validées. On pouvait donc simuler la présence d’un
balourd au niveau d’un palier puis entreprendre une intervention d’équilibrage à l’aide du Movipack© et
contrôler les niveaux vibratoires après l’exercice.
Finalement, ce que l’on peut aussi retenir de ces deux journées de formation est qu’un
équilibrage n’est pas la solution à tout. En effet, en faisant ce genre d’intervention, on peut soit retirer de
la masse au niveau du balourd ou en rajouter à l’opposé. Cependant il est difficile de retirer une masse
précise en perçant les pales d’un ventilateur. Voilà pourquoi on préférera ajout des masselottes
d’équilibrage pour contrebalancer le balourd. Mais c’est provoquer une augmentation de la masse en
mouvement au niveau de la machine. Et comme nous le savons, cela engendre une usure plus rapide au
niveau des paliers. Il ne faut donc équilibrer une machine que si l’on est certain que la cause du problème
vient d’un balourd. Sinon l’intervention sera vaine et l’ajout de poids va user prématurément notre
système. Ce qui n’est absolument pas le but originel de la maintenance préventive.
5.2.2 Fiches réflexes
De manière succincte, la rédaction des fiches réflexes s’est passée comme suit. Tout d’abord il
fallait que je m’habitue à l’utilisation de l’appareil pour lequel je créais la fiche réflexe (caméra
thermographique, Movipack®, module VisualBasic…). Une fois à l’aise avec cela, je devais décrire pas à
pas la procédure à suivre. Tout en envisageant l’ensemble des erreurs ou défauts que l’on pouvait
rencontrer durant la manipulation (modification des paramètres, défaut de capteur, problème d’unité…).
Figure 41: Photos du banc d'essai
Rapport Stage EDF par Cyril VAAST Page 51
L’intérêt de ces livrets n’est pas d’expliquer en théorie les phénomènes physiques que l’on
rencontre lors de l’intervention mais de permettre à un technicien SMT de se remémorer les étapes de
l’opération en un coup d’œil. Car l’équilibrage par exemple est un type d’OT que l’on demande très
rarement (une ou deux fois par an), il est donc utile de pouvoir se rafraîchir la mémoire quant à
l’utilisation du module d’équilibrage.
Pour cela, j’ai dû prendre bon nombre d’impressions d’écran et autres photos puis les agrémenter
d’annotations afin de rendre les livrets plus visuels et accessibles.
Durant la durée de mon stage, j’ai pu tester la qualité de mes fiches réflexes puisqu’un apprenti
de notre cellule SMT a passé son évaluation d’activité de maintenance sur le banc d’essai pour simuler
un équilibrage. C’était la première fois qu’il réalisait ce genre de travail et il a pu le réussir en s’aidant de
ma fiche réflexe correspondante.
5.2.3 Exploitation de Sygma®
Pour réaliser mon suivi de tendance sur les systèmes EAS et RIS, j’ai dû répertorier les travaux
réalisés sur chaque machine ayant un comportement atypique grâce au logiciel SYGMA®. Pour effectuer
cette recherche, on a plusieurs choix possibles :
 Tous les travaux réalisés sur le site durant une période donnée
 Tous les travaux réalisés sur une machine précise
 Ou alors une combinaison de ces critères de recherche
 Ou retrouver un travail grâce à son numéro unique d’OT
Figure 42: Menu primaire de Sygma®
Rapport Stage EDF par Cyril VAAST Page 52
Une fois que l’on a repéré l’opération susceptible de nous indiquer l’origine du problème
vibratoire, on peut accéder au rapport associé à l’intervention. Et c’est là qu’il est important de renseigner
en amont tous les détails que l’on a pu observer durant l’opération pour faciliter à posteriori le travail
d’analyse sur le long terme. Ces rapports peuvent faire suite à une mesure périodique, un remplacement
d’un élément mécanique, une réfection de la dalle de béton…
Pour terminer j’ai renseigné dans le rapport du suivi de tendance le numéro d’OT correspondant
pour que l’ingénieur récepteur du dossier de suivi puisse retrouver facilement le fichier sur SYGMA®.
Figure 43: Liste des Demandes d'Intervention (DI) faites sur 4 EAS 001 PO entre 2005 et 2006
Figure 44: Compte-rendu d'une intervention (mesures vibr.) sur 4 EAS 001 PO
Rapport Stage EDF par Cyril VAAST Page 53
5.3 Résultats obtenus, difficultés rencontrées et
solutions apportées
5.3.1 Maitrise des appareils de mesure et logiciel
J’ai eu l’occasion par le passé, lors de mon stage au sein d’Arcelor Mittal, de manipuler les
collecteurs Movipack® puisque j’avais intégré le pôle de maintenance vibratoire. Cependant je ne faisais
que les acquisitions des mesures sur le terrain. Je ne faisais pas d’analyse en aval de niveaux vibratoires
ou des spectres associés. La prise en main du collecteur a donc été relativement facile.
Concernant l’utilisation de la caméra thermique, j’ai pu me faire la main sur une armoire
électrique. C’est d’ailleurs là dessus que j’ai pris mes photos pour imager ma fiche réflexe. De plus, un
collaborateur de la cellule SMT m’a aidé pour appréhender au mieux toutes les possibilités offertes par la
caméra thermique.
L’exploitation du logiciel SYGMA® n’a pas été très compliquée car c’est assez redondant. Le plus
difficile a été de s’habituer à l’ergonomie de l’interface que je trouve très limitée. En effet, ce logiciel est
relativement ancien, bien que très efficace, et possède donc une ergonomie peu adaptée avec une
interface utilisateur pas vraiment intuitive. De plus, la police et les couleurs utilisées sont fatigantes
visuellement parlant. Cependant, la plus grande difficulté a été le manque d’informations sur les
comptes-rendus concernant certaines interventions. Il est alors difficile d’aller récupérer plus de détails
quant à l’opération, surtout quand celle-ci a eu lieu il y a plusieurs années.
5.3.2 Compréhension du vocabulaire technique
Avec du recul, je constate que la majeure difficulté de ce stage a été de m’habituer au
vocabulaire plus que spécifique utilisé par les agents EDF. Beaucoup de sigles ou autres trigrammes
sont utilisés afin de simplifier la communication. Mais pour un nouvel arrivant, il est compliqué de
connaître la signification de chacune des références des machines contrôlées ou encore des codes
indicatifs des documents utilisés. Mais grâce à des carnets aide-mémoire et en demandant des
précisions dès le moindre doute, on peut plus ou moins réussir à comprendre la plupart des
conversations…
De plus, il existe de nombreuses cellules et services sur le site qui sont aussi dénommés par des
trigrammes. Il est donc nécessaire de s’appuyer sur l’organigramme détaillé du CNPE afin de se repérer
au plus vite.
Rapport Stage EDF par Cyril VAAST Page 54
6 Capitalisation (1 à 2 pages)
6.1 Compétences acquises
Lors de cette expérience professionnelle, je pense être monté en compétence au niveau de mon
aptitude à communiquer. En effet, faisant partie d’un service de maintenance, on est souvent amené à
discuter avec des collaborateurs d’autres services afin d’obtenir des informations ou pour lancer une
action à distance. Il est donc primordial de savoir exprimer son besoin le plus clairement possible tout en
s’adressant à la personne concernée comme lorsque j’ai eu besoin qu’un autre service que MTE nous
prête une caméra pour filmer mes manipulations.
Ensuite j’ai aussi dû, comme pour le suivi de tendance, présenter mon projet face à un ingénieur
aux connaissances techniques très poussées concernant les machines tournantes électriques du site. Il
fallait alors employer un vocabulaire relativement technique et être certain de l’exactitude des termes
utilisés afin de ne pas perdre en crédibilité.
Ce stage m’a aussi permis d’acquérir en indépendance puisque j’ai pu d’abord décider de
récupérer des missions supplémentaires à mes objectifs initiaux. Ce qui fut très instructif. Et j’ai pu
obtenir une certaine liberté quant à la présentation de mes projets ainsi que sur les moyens à employer
pour y arriver.
Concernant les compétences techniques, j’ai pu approfondir mes connaissances concernant les
phénomènes vibratoires et notamment ceux liés à un déséquilibre d’une machine tournante grâce à la
formation suivie. Et cela va de paire avec l’apprentissage que j’ai suivi sur l’analyse des spectres, chose
qui ne m’était pas inconnue mais que j’ai pu encore améliorer.
Bien sûr, j’ai aussi pu appréhender la manipulation d’appareils de mesure sophistiqués comme la
caméra thermographique. Outils que je n’avais pas eu l’occasion d’exploiter par le passé.
Dans l’ensemble, j’ai pu prendre en mains de nouveaux appareils d’acquisition de paramètres et
approfondir des connaissances théoriques liées à la vibratoire mais aussi et surtout, les mettre en
pratique.
6.2 Compétences utilisées
Ce stage m’a demandé de mettre en œuvre bon nombre de connaissances. Sans vouloir me
répéter, j’ai dû mettre à contribution le savoir que j’ai acquis vis-à-vis des vibrations et autres aspects
mécaniques liés aux machines en rotation.
La lecture de plan a aussi été mise à profit car il est souhaitable de temps à autre d’examiner en
détail le plan d’un système afin de repérer les composants mécaniques qui le composent : roulements,
ventilateurs, coulisseaux…
Rapport Stage EDF par Cyril VAAST Page 55
J’ai aussi eu l’occasion de coder une macro sur Excel et donc d’exploiter au mieux mes
connaissances en informatique.
Concernant les compétences managériales, il fallait être pédagogique lorsque je devais
expliquer, à notre apprenti par exemple, des notions relativement techniques concernant l’équilibrage. Ou
rester succinct mais complet et accessible lors de la rédaction de mes fiches réflexes afin qu’elles
remplissent au mieux leur fonction de support pédagogique et de rappel. Le choix du vocabulaire était
donc primordial.
Ce stage a aussi été l’opportunité pour moi de gagner en indépendance et donc en prise de
décision lors de mes analyses par exemple. Il a fallu faire des choix concernant les probables causes des
hausses des niveaux vibratoires.
Bien que la durée du stage ne fut que de 3mois, l’avancement de certains projets comme celui de
l’analyse EAS/RIS était étalé sur toute la durée de mon stage. Il fallait donc faire preuve d’organisation et
d’une bonne planification pour gérer au mieux le temps qui m’était imparti pour réaliser la mission.
Enfin, j’ai aussi pu faire preuve d’observation et d’évaluation lorsque notre apprenti était passé
sur le banc d’essai pour passer son évaluation sur une activité de maintenance (ici l’équilibrage d’un
ventilateur suite à la détection d’un balourd).
6.3 Conséquences sur mon PPP
Finalement ce stage, qui était dans la continuité de mon précédant stage m’a permis de
comprendre l’importance de la prévention dans le secteur de la maintenance et du suivi. Cela confirme
mon envie d’orienter mon Projet Professionnel vers le suivi de qualité et la fiabilisation des processus.
Cependant, j’aimerais lors de mon prochain stage (qui sera celui de fin d’étude), intégrer une
entreprise plus centrée sur la grande distribution afin de m’éloigner du monde de l’industrie. Et si cela est
possible, continuer à former de temps à autre car je trouve cela très gratifiant malgré les difficultés et
l’investissement nécessaire. De plus, cela nous apprend à nous adapter à notre interlocuteur ce qui n’est
pas un exercice toujours facile.
Et si cela est envisageable, je souhaiterais intégrer un poste où l’aspect managérial est plus
souvent mis à contribution au détriment de l’expertise technique. Donc pourquoi ne pas accéder à un
poste qui ferait le lien entre notre entreprise et un client par exemple (ingénieur chargé d’affaire).
Rapport Stage EDF par Cyril VAAST Page 56
7 Conclusion (1 à 3 pages)
Ce stage, qui était dans la continuité de ma précédente expérience en entreprise, m’a donné
l’occasion de mieux cerner l’orientation que je veux donner à mon parcours Professionnel et Personnel.
En effet, comme je l’ai expliqué précédemment, travailler dans une centrale nucléaire m’a été tout à fait
bénéfique car toutes les actions entreprises sur un site nucléaire doivent provenir de décisions
communes et réfléchies. Cela oblige donc chacun à son niveau à être rigoureux dans les tâches qu’il
entreprend afin d’assurer une bonne traçabilité ainsi qu’une efficacité optimale.
De plus, les méthodes et outils mis en place afin d’assurer la meilleure prévision concernant la
santé d’un système sont en constante évolution. Bien sûr, cela peut déplaire dans le sens où ça
engendre des modifications au niveau des logiciels couramment utilisés. Et cela peut faire perdre du
temps sur le court terme lors de la phase d’assimilation d’un nouvel outil mais on récupère ce manque à
gagner lorsque l’outil, théoriquement plus adapté que son prédécesseur, est complètement maîtrisé.
Le CNPE de Gravelines est aussi un site où beaucoup de méthodes de management sont mises
en place. Par exemple, dans la cellule SMT, notre chef d’équipe essayait au maximum de mettre en
place un management visuel. Cela permet d’assurer une meilleure compréhension des communications
et de rendre plus ludique la manière dont les informations sont transmises.
Rapport Stage EDF par Cyril VAAST Page 57
8 Bibliographie et Sitographie
Analyse vibratoire Niveau 3 [Livre] / aut. Icare. - 2014.
ASE _ Principes de fonctionnement d'une centrale REP [Livre] / aut. EDF-GDF. - 2014.
ASE _ Sureté [Livre] / aut. EDF-GDF. - 2014.
Carnet mécanique 3- Métrologie [Livre] / aut. EDF-GDF. - 2014.
Carnet mécanique 6- Vibration projet [Livre] / aut. EDF-GDF. - 2014.
Catalogue des roulements avec caractéristiques techniques [Livre] / aut. SKF. - 2015.
Description avancée des générateurs Diesel LHP [Livre] / aut. EDF-GDF. - 2013.
Fonction collecte 01dB 4.2.2 [Livre] / aut. OneProd. - 2006.
Formation Dynamic Balncing F012 French [Livre] / aut. Icare. - 2015.
Manuel EDF [Livre] / aut. OneProd. - 2006.
Manuel Utilisateur 01dB [Livre] / aut. OneProd.
Organigramme de la centrale [Livre] / aut. Gravelines CNPE. - 2015.
Paramètres du suivi de tendance (tableur) [Livre] / aut. EDF Agent.
PPT sur l'analyse vibratoire [Livre] / aut. Gravelines CNPE. - 2013.
PV GRA L-14 001 105 (Analyse vibratoire) [Livre] / aut. Gravelines CNPE. - 2014.
Roulement et diagnostique des fréquences attendues [Livre] / aut. Gravelines EDF.
Schémas mécanique et plans de LHP et LHQ [Livre] / aut. EDF-GDF.
Rapport Stage EDF par Cyril VAAST Page 58
9 Annexes
9.1 Fiche Reflexe : Mesure vibratoire
Rapport Stage EDF par Cyril VAAST Page 59
Rapport Stage EDF par Cyril VAAST Page 60
Rapport Stage EDF par Cyril VAAST Page 61
Rapport Stage EDF par Cyril VAAST Page 62
Rapport Stage EDF par Cyril VAAST Page 63
Rapport Stage EDF par Cyril VAAST Page 64
Rapport Stage EDF par Cyril VAAST Page 65
Rapport Stage EDF par Cyril VAAST Page 66
Rapport Stage EDF par Cyril VAAST Page 67
Rapport Stage EDF par Cyril VAAST Page 68
Rapport Stage EDF par Cyril VAAST Page 69
Rapport Stage EDF par Cyril VAAST Page 70
Rapport Stage EDF par Cyril VAAST Page 71
Rapport Stage EDF par Cyril VAAST Page 72
Rapport Stage EDF par Cyril VAAST Page 73
9.2 Fiche Reflexe Equilibrage Dynamique
Rapport Stage EDF par Cyril VAAST Page 74
Rapport Stage EDF par Cyril VAAST Page 75
Rapport Stage EDF par Cyril VAAST Page 76
Rapport Stage EDF par Cyril VAAST Page 77
Rapport Stage EDF par Cyril VAAST Page 78
Rapport Stage EDF par Cyril VAAST Page 79
Rapport Stage EDF par Cyril VAAST Page 80
Rapport Stage EDF par Cyril VAAST Page 81
Rapport Stage EDF par Cyril VAAST Page 82
Rapport Stage EDF par Cyril VAAST Page 83
Rapport Stage EDF par Cyril VAAST Page 84
Rapport Stage EDF par Cyril VAAST Page 85
Rapport Stage EDF par Cyril VAAST Page 86
Rapport Stage EDF par Cyril VAAST Page 87
9.3 Fiche Reflexe Thermographie
Rapport Stage EDF par Cyril VAAST Page 88
Rapport Stage EDF par Cyril VAAST Page 89
Rapport Stage EDF par Cyril VAAST Page 90
Rapport Stage EDF par Cyril VAAST Page 91
Rapport Stage EDF par Cyril VAAST Page 92
Rapport Stage EDF par Cyril VAAST Page 93
Rapport Stage EDF par Cyril VAAST Page 94
Rapport Stage EDF par Cyril VAAST Page 95
Rapport Stage EDF par Cyril VAAST Page 96
Rapport Stage EDF par Cyril VAAST Page 97
Rapport Stage EDF par Cyril VAAST Page 98
Rapport Stage EDF par Cyril VAAST Page 99
Rapport Stage EDF par Cyril VAAST Page 100
9.4 Suivi de tendance EAS
0
50
100
150
200
250
300
25/01/2005
24/02/2005
19/04/2005
18/05/2005
23/06/2005
12/08/2005
23/09/2005
19/10/2005
30/12/2005
14/01/2006
17/01/2006
08/02/2006
16/02/2006
22/02/2006
02/03/2006
12/03/2006
16/03/2006
22/04/2006
20/05/2006
27/07/2006
22/08/2006
20/09/2006
02/11/2006
15/12/2006
19/01/2007
01/04/2007
25/04/2007
14/06/2007
11/07/2007
06/08/2007
04/09/2007
15/11/2007
11/12/2007
04/03/2008
01/04/2008
05/06/2008
16/07/2008
23/09/2008
25/10/2008
11/01/2009
20/02/2009
02/04/2009
15/06/2009
25/07/2009
04/10/2009
30/12/2009
27/01/2010
21/04/2010
08/05/2010
28/07/2010
03/09/2010
14/10/2010
20/04/2011
09/07/2011
17/08/2011
20/10/2011
25/11/2011
23/12/2011
10/03/2012
04/05/2012
28/06/2012
13/08/2012
07/11/2012
23/01/2013
28/02/2013
07/05/2013
07/06/2013
04/09/2013
04/10/2013
02/01/2014
22/01/2014
29/03/2014
17/05/2014
22/07/2014
22/08/2014
12/11/2014
31/12/2014
24/03/2015
24/04/2015
Déplacement(enµm)
Datedelamesure
SuividetendancedeEASentre2001et201S,capteur1R1
2EAS002PO2EAS001PO
3EAS002PO3EAS001PO
4EAS002PO4EAS001PO
1EAS001PO1EAS002PO
5EAS002PO5EAS001PO
6EAS002PO6EAS001PO
2
1
4
6
7
9
11
3
13
15
17
18
19
Rapport Stage EDF par Cyril VAAST Page 101
0
20
40
60
80
100
120
140
160
180
200
25/01/2005
24/02/2005
19/04/2005
18/05/2005
23/06/2005
12/08/2005
23/09/2005
19/10/2005
30/12/2005
14/01/2006
17/01/2006
08/02/2006
16/02/2006
22/02/2006
02/03/2006
12/03/2006
16/03/2006
22/04/2006
20/05/2006
27/07/2006
22/08/2006
20/09/2006
02/11/2006
15/12/2006
19/01/2007
01/04/2007
25/04/2007
14/06/2007
11/07/2007
06/08/2007
04/09/2007
15/11/2007
11/12/2007
04/03/2008
01/04/2008
05/06/2008
16/07/2008
23/09/2008
25/10/2008
11/01/2009
20/02/2009
02/04/2009
15/06/2009
25/07/2009
04/10/2009
30/12/2009
27/01/2010
21/04/2010
08/05/2010
28/07/2010
03/09/2010
14/10/2010
20/04/2011
09/07/2011
17/08/2011
20/10/2011
25/11/2011
23/12/2011
10/03/2012
04/05/2012
28/06/2012
13/08/2012
07/11/2012
23/01/2013
28/02/2013
07/05/2013
07/06/2013
04/09/2013
04/10/2013
02/01/2014
22/01/2014
29/03/2014
17/05/2014
22/07/2014
22/08/2014
12/11/2014
31/12/2014
24/03/2015
24/04/2015
Déplacement(enµm)
Datedelamesure
SuividetendancedeEASentre2001et201S,capteur1R2
2EAS002PO
2EAS001PO
3EAS002PO
3EAS001PO
4EAS002PO
4EAS001PO
1EAS001PO
1EAS002PO
5EAS002PO
5EAS001PO
6EAS002PO
6EAS001PO
28
14
16
21
22
23
24
5
810
12
27
26
29
Rapport Stage EDF par Cyril VAAST Page 102
N°
Hausseou
Baisse
RFmachine
Pointde
mesure
EntreleEtleMesure1Mesure2N°OILibellédateOI
1Hausse1EAS001PO1R125/01/200514/01/200610,894,2N0534001Absencedegraisseauniveauducoulisseau:GraissagePaliersPo/Mo+Transmission13/09/2005
2Baisse1EAS001PO1R114/01/200614/01/200694,232,8N0604678Remplacementd'unroulementsurpaliersupérieurmoteur:Baissedesniv.Vibr(1R1)14/01/2006
N0605401Réglagedubutonnagemoteur:Baissedesniv.Vibratoires(1R1)14/01/2006
3Hausse1EAS001PO1R109/07/201104/11/201142,164,6N0879891Absencedegraisseauniveauducoulisseau:GraissagePaliersPo/Mo+Transmission11/08/2011
N0903034Resserragedestirantsmoteursà430Nm:Augmentationdesniv.Vibr(1R1)09/08/2011
4Baisse1EAS001PO1R126/01/201328/05/201350,810,2N0974273GraissagePaliersPo/Mo+Transmission:Baissedesniv.vibratoires(1R1)27/03/2013
5Hausse6EAS002PO1R204/10/200915/01/201018,445,7N0825567
Remplacementdessabotsparbutons+recalagedelaplaquemoteur(jointsiliconedeplaque
décollé:àrefaire):Haussedesniv.Vibratoire(1R2)
20/11/2009
6Baisse6EAS002PO1R122/08/201017/04/201174,225,9N0837168GraissagePaliersPo/Mo+Transmission:Baissedesniv.vibratoires(1R1)06/09/2010
7Hausse6EAS002PO1R129/07/201108/10/201124,876,0N0940581Réglagedubutonnagemoteur:Baissedesniv.Vibratoires(1R2)etHaussedesniv.Vibr(1R1)08/10/2011
8Baisse6EAS002PO1R229/07/201108/10/201142,620,9N0940581Réglagedubutonnagemoteur:Baissedesniv.Vibratoires(1R2)etHaussedesniv.Vibr(1R1)08/10/2011
9Hausse6EAS002PO1R105/03/201228/06/201277,0277,0Dueàunbouchondegraissesurcoulisseau(voirOIN0969770du28/06/2012)
10Hausse6EAS002PO1R205/03/201228/06/201225,7100,4Dueàunbouchondegraissesurcoulisseau(voirOIN0969770du28/06/2012)
11Baisse6EAS002PO1R128/06/201229/06/2012277,036,3N0969770Réglagedubutonnagemoteur:Baissedesniv.Vibratoires(1R1et1R2)28/06/2012
N0988230Retraitd'unbouchondegraissesurfourreauducarban:Fortebaisseduniv.Vibr(1R1et1R2)29/06/2012
12Baisse6EAS002PO1R228/06/201229/06/2012100,416,4N0969770Réglagedubutonnagemoteur:Baissedesniv.Vibratoires(1R1et1R2)28/06/2012
N0988230Retraitd'unbouchondegraissesurfourreauducarban:Fortebaisseduniv.Vibr(1R1et1R2)29/06/2012
13Hausse4EAS002PO1R125/02/200916/06/200921,092,8N0763871Bruitanormalauniveauducardan:Haussedesniv.Vibr.(1R1et1R2)16/06/2009
14Hausse4EAS002PO1R225/02/200916/06/200939,7119,4N0763871Bruitanormalauniveauducardan:Haussedesniv.Vibr.(1R1et1R2)16/06/2009
15Baisse4EAS002PO1R116/06/200918/06/200992,858,8N0763871Réglagedubutonnagemoteur:Baissedesniv.Vibratoires(1R1et1R2)16/06/2009
16Baisse4EAS002PO1R216/06/200918/06/2009119,461,2N0763871Réglagedubutonnagemoteur:Baissedesniv.Vibratoires(1R1et1R2)16/06/2009
17Hausse4EAS002PO1R118/06/200907/10/200958,8116,3Causedelahausseinconnue(Possibilitédephénomènederésonnancelorsdelamesure)
18Baisse4EAS002PO1R107/10/200927/01/2010116,381,0N0826721Réglagedubutonnagemoteur:Baissedesniv.Vibratoires(1R1)07/10/2009
Rapport Stage EDF par Cyril VAAST Page 103
15Baisse4EAS002PO1R116/06/200918/06/200992,858,8N0763871Réglagedubutonnagemoteur:Baissedesniv.Vibratoires(1R1et1R2)16/06/2009
16Baisse4EAS002PO1R216/06/200918/06/2009119,461,2N0763871Réglagedubutonnagemoteur:Baissedesniv.Vibratoires(1R1et1R2)16/06/2009
17Hausse4EAS002PO1R118/06/200907/10/200958,8116,3Causedelahausseinconnue(Possibilitédephénomènederésonnancelorsdelamesure)
18Baisse4EAS002PO1R107/10/200927/01/2010116,381,0N0826721Réglagedubutonnagemoteur:Baissedesniv.Vibratoires(1R1)07/10/2009
19Baisse4EAS002PO1R108/05/201005/06/201098,926,1N0819059GraissagePaliersPo/Mo+Transmission:Baissedesniv.vibratoires05/06/2010
N0852115Réglagedubutonnagemoteur:Baissedesniv.Vibratoires(1R1)05/06/2010
20Hausse4EAS002PO1R105/06/201020/04/201126,1100,8N0871977Dueàuneabsencedegraissagesurcoulisseau21/04/2011
N0892987Détectiondefissuresdanslebétonprochedelamachine01/02/2011
21Hausse4EAS002PO1R219/06/201107/12/201149,0169,0N0910730
Causedelahausseinconnue(Possibilitédephénomènederésonnancelorsdelamesure)
LesSMTconcluentquecettemachineestfortementsensibleauxvibrations
19/08/2011
22Baisse4EAS002PO1R207/12/201107/12/2011169,056,4N0952428Réglagedubutonnagemoteur:Baissedesniv.Vibratoires(1R2)07/12/2011
23Hausse4EAS002PO1R214/04/201211/07/201257,9177,8N0972923Cause:Problèmeauniveauducoulisseau(contrôlenettoyage+graissage)11/07/2012
24Baisse4EAS002PO1R211/07/201212/07/2012177,831,5N0993109Nettoyage+graissagePo/Mo:absencedegraissesurcardan12/07/2012
A0295017Réglagedubutonnagemoteur:Baissedesniv.Vibratoires(1R2)12/07/2012
25Baisse4EAS002PO1R120/04/201112/07/2012100,827,6N0871977GraissagePaliersPo/Mo+Transmission:Baissedesniv.vibratoires21/04/2011
N0924164GraissagePaliersPo/Mo+Transmission:Baissedesniv.vibratoires27/01/2012
A0280261Réparationdespointsd'ancragesuiteàoxydation19/05/2011
A0280715Remplacementtigesfiletéesdefixation,écrousetfreins15/06/2011
N0952428Réglagedubutonnagemoteur:Baissedesniv.Vibratoires(1R1)07/12/2011
26Hausse5EAS001PO1R227/06/200513/01/200619,357,6N0605529Remplacementdesroulements+graissagePo/Mo+Transmission:Baissedesniv.Vib(1R2)13/01/2006
N0573977Absencedegraissesurpaliermoteuretcoulisseaulorsducontrôledegraissage06/04/2006
N0628199Réglagedubutonnagemoteur:Baissedesniv.Vibratoires(1R1et1R2)28/09/2006
27Hausse5EAS001PO1R203/04/200822/07/200853,4157,4N0751793Cause:fuitehydrocyclone=>remplacementdujointd'embaseparEndel23/07/2008
28Baisse5EAS001PO1R222/07/200824/07/2008157,434,3N0711412Réglagedubutonnagemoteur:Baissedesniv.Vibratoires(1R2)24/07/2008
N0711968GraissagePo/Mo:Baissedesniv.Vibratoires(1R2)25/07/2008
29Hausse5EAS001PO1R205/06/201024/03/201231,155,9N0897502Réglagedubutonnagemoteur:Baissedesniv.Vibratoires(1R1)23/02/2011
N0913972Réglagedubutonnagemoteur:Baissedesniv.Vibratoires(1R1)20/06/2011
Rapport Stage EDF par Cyril VAAST Page 104
0,00
10,00
20,00
30,00
40,00
50,00
60,00
70,00
80,00
90,00
100,00
11/01/2005
10/03/2005
08/04/2005
09/06/2005
22/07/2005
01/09/2005
15/11/2005
23/12/2005
18/01/2006
23/01/2006
25/01/2006
04/02/2006
10/02/2006
18/02/2006
06/03/2006
09/03/2006
16/03/2006
22/04/2006
11/05/2006
12/06/2006
25/07/2006
31/08/2006
26/09/2006
27/10/2006
22/12/2006
19/01/2007
07/03/2007
10/04/2007
03/05/2007
05/06/2007
25/07/2007
28/08/2007
29/09/2007
11/12/2007
08/01/2008
06/03/2008
11/04/2008
06/05/2008
03/07/2008
18/08/2008
25/09/2008
18/11/2008
19/12/2008
23/02/2009
27/03/2009
05/06/2009
01/07/2009
14/08/2009
27/09/2009
10/11/2009
14/01/2010
26/02/2010
29/04/2010
15/06/2010
20/07/2010
16/09/2010
19/10/2010
08/04/2011
20/05/2011
30/06/2011
23/08/2011
09/09/2011
11/10/2011
08/12/2011
10/01/2012
07/03/2012
19/04/2012
31/05/2012
13/07/2012
10/08/2012
11/10/2012
28/11/2012
11/01/2013
08/03/2013
31/03/2013
23/05/2013
12/07/2013
27/08/2013
01/10/2013
05/11/2013
02/01/2014
07/02/2014
29/03/2014
22/05/2014
07/07/2014
01/09/2014
14/10/2014
11/12/2014
23/01/2015
05/03/2015
23/04/2015
26/05/2015Déplacement(enµm)
Datedesmesures
SuividetendancedeRISentre2001et201S,capteur1R14RIS002PO2RIS002PO
2RIS001PO1RIS002PO
1RIS001PO3RIS002PO
3RIS001PO4RIS001PO
5RIS002PO5RIS001PO
6RIS002PO6RIS001PO
1
3
4
9
11
16
17
19
21
22
24
25
26
28
29
9.5 Suivi de tendance RIS
Rapport Stage EDF par Cyril VAAST Page 105
0,00
10,00
20,00
30,00
40,00
50,00
60,00
70,00
80,00
11/01/2005
10/03/2005
08/04/2005
09/06/2005
22/07/2005
01/09/2005
15/11/2005
23/12/2005
18/01/2006
23/01/2006
25/01/2006
04/02/2006
10/02/2006
18/02/2006
06/03/2006
09/03/2006
16/03/2006
22/04/2006
11/05/2006
12/06/2006
25/07/2006
31/08/2006
26/09/2006
27/10/2006
22/12/2006
19/01/2007
07/03/2007
10/04/2007
03/05/2007
05/06/2007
25/07/2007
28/08/2007
29/09/2007
11/12/2007
08/01/2008
06/03/2008
11/04/2008
06/05/2008
03/07/2008
18/08/2008
25/09/2008
18/11/2008
19/12/2008
23/02/2009
27/03/2009
05/06/2009
01/07/2009
14/08/2009
27/09/2009
10/11/2009
14/01/2010
26/02/2010
29/04/2010
15/06/2010
20/07/2010
16/09/2010
19/10/2010
08/04/2011
20/05/2011
30/06/2011
23/08/2011
09/09/2011
11/10/2011
08/12/2011
10/01/2012
07/03/2012
19/04/2012
31/05/2012
13/07/2012
10/08/2012
11/10/2012
28/11/2012
11/01/2013
08/03/2013
31/03/2013
23/05/2013
12/07/2013
27/08/2013
01/10/2013
05/11/2013
02/01/2014
07/02/2014
29/03/2014
22/05/2014
07/07/2014
01/09/2014
14/10/2014
11/12/2014
23/01/2015
05/03/2015
23/04/2015
26/05/2015
Déplacement(enµm)
Datedesmesures
SuividetendancedeRISentre2001et201S,capteur1R2
4RIS002PO2RIS002PO
2RIS001PO1RIS002PO
1RIS001PO3RIS002PO
3RIS001PO4RIS001PO
5RIS002PO5RIS001PO
6RIS002PO6RIS001PO
2
57
6
8
10
1213
14
15
18
20
23
30
27
Rapport Stage EDF par Cyril VAAST Page 106
N°
Hausseou
Baisse
RFmachine
Pointde
mesure
EntreleEtleMesure1Mesure2N°OILibellédateOI
1Baisse4RIS002PO1R107/02/200608/03/200657,77,2N0604695Remplacementd'unroulementsurpaliersupérieurmoteur:Baissedesniv.Vibr(1R1et1R2)08/03/2006
2Baisse4RIS002PO1R207/02/200608/03/200671,819,6N0604695Remplacementd'unroulementsurpaliersupérieurmoteur:Baissedesniv.Vibr(1R1et1R2)08/03/2006
3Hausse4RIS002PO1R125/03/201331/03/20138,447,9N1038513Valeurscorrectesendébitnulethorscritèreenpleindébit.Causepossible:Cardan28/03/2013
4Baisse4RIS002PO1R131/03/201316/05/201347,926,7N1038667Remplacementducardan+graissageMo/Po:Baissedesniv.Vibr(1R1)31/03/2013
5Hausse3RIS001PO1R201/08/201211/12/201221,045,1Aucunecausenotablepourcettehausse(évolution"non-significative")
6Baisse3RIS001PO1R202/04/201323/07/201341,917,6N1017869GraissagePaliersPo/Mo+Transmission:Baissedesniv.vibratoires(1R2)23/07/2013
7Hausse3RIS001PO1R223/07/201312/11/201317,649,7N1016029Causepossible:Apparitiond'unelégèrefissuresurdallebéton(pasd'évolut.Irréversible)30/09/2013
8Baisse3RIS001PO1R212/11/201324/06/201449,719,6Aucunecausenotablepourcettehausse(évolution"non-significative")(voirOIMSF)
9Hausse5RIS002PO1R103/02/200618/02/200620,046,4
Cause:Hausseendébutd'année2006suiteauremplacementd'unroulementselonOI
N0629131
29/09/2006
10Baisse5RIS002PO1R229/09/200611/05/200760,238,6N0639365Contrôleetgraissagecoulisseau+cardan:Baissedesniv.Vibr(1R2)22/03/2007
11Baisse5RIS002PO1R111/04/200821/11/200845,216,5N0711969Contrôleetgraissagecoulisseau+cardan:Baissedesniv.Vibr(1R1et1R2)10/06/2008
N0737186Baissedesniv.Vibr.(1R1et1R2)aprèsdésaccoupl./réaccouplementducardanMo/Po23/07/2008
12Baisse5RIS002PO1R211/04/200821/11/200842,223,2N0711969Contrôleetgraissagecoulisseau+cardan:Baissedesniv.Vibr(1R1et1R2)10/06/2008
N0737186Baissedesniv.Vibr.(1R1et1R2)aprèsdésaccoupl./réaccouplementducardanMo/Po23/07/2008
13Hausse5RIS001PO1R208/04/200509/05/200526,064,6N0523410GraissagePaliersPo/Mosuiteàlahaussedesniv.Vibr.(1R2)(causedelahausseinconnue)10/05/2005
14Baisse5RIS001PO1R209/05/200505/08/200564,634,7N0610904Baissedesniv.Vibr.(1R2)aprèsposede3sabotsraidisseurs
15Baisse5RIS001PO1R217/03/200622/04/200654,310,3N0605531Remplacementd'unroulementsurpaliersupérieurmoteur:Baissedesniv.Vibr(1R2)25/01/2006
N0574072Constatationd'absencedegraissesurpaliersupmoteur:graissageàfaire17/03/2006
16Hausse6RIS001PO1R104/03/200529/09/200541,586,7N0570262Causepossible:Deserraged'unevisdefixationdumoteur21/10/2005
N0540500Causepossible:Absencedegraissesurcoulisseau29/09/2005
Rapport Stage EDF par Cyril VAAST Page 107
13Hausse5RIS001PO1R208/04/200509/05/200526,064,6N0523410GraissagePaliersPo/Mosuiteàlahaussedesniv.Vibr.(1R2)(causedelahausseinconnue)10/05/2005
14Baisse5RIS001PO1R209/05/200505/08/200564,634,7N0610904Baissedesniv.Vibr.(1R2)aprèsposede3sabotsraidisseurs
15Baisse5RIS001PO1R217/03/200622/04/200654,310,3N0605531Remplacementd'unroulementsurpaliersupérieurmoteur:Baissedesniv.Vibr(1R2)25/01/2006
N0574072Constatationd'absencedegraissesurpaliersupmoteur:graissageàfaire17/03/2006
16Hausse6RIS001PO1R104/03/200529/09/200541,586,7N0570262Causepossible:Deserraged'unevisdefixationdumoteur21/10/2005
N0540500Causepossible:Absencedegraissesurcoulisseau29/09/2005
17Baisse6RIS001PO1R129/09/200503/02/200686,719,2N0604698
Réglagedubutonnagemoteuretremplacementd'unroulementmoteur:Baissedesniv.
Vibratoires(1R1et1R2)
03/02/2006
N0540500GraissagePaliersPo/Mosuiteàlahaussedesniv.Vibr.(1R1et1R2)20/10/2005
18Baisse6RIS001PO1R229/09/200503/02/200638,912,2N0604698
Réglagedubutonnagemoteuretremplacementd'unroulementmoteur:Baissedesniv.
Vibratoires(1R1et1R2)
03/02/2006
N0540500GraissagePaliersPo/Mosuiteàlahaussedesniv.Vibr.(1R1et1R2)20/10/2005
19Hausse6RIS001PO1R103/02/200626/05/200619,259,2N0611133
Haussedesniv.Vibr.(1R1et1R2)maispasdedégradationdesroulementsaprèsanalyse
spectralemaisaugmentationdel'harmoniqueàlavitessederotation.
26/05/2006
20Hausse6RIS001PO1R203/02/200615/02/200612,230,4N0611133
Haussedesniv.Vibr.(1R1et1R2)maispasdedégradationdesroulementsaprèsanalyse
spectralemaisaugmentationdel'harmoniqueàlavitessederotation.
26/05/2006
21Baisse6RIS001PO1R108/01/200727/04/200773,127,0N0665562Réglagedubutonnagemoteur:Baissedesniv.Vibratoires(1R1et1R2)27/04/2007
22Hausse6RIS001PO1R127/04/200727/04/200727,076,0A0231848Réglagedubutonnagemoteursuiteàlahaussedesniv.Vibr.(1R1et1R2)27/04/2007
23Hausse6RIS001PO1R227/04/200727/04/200728,947,5A0231848Réglagedubutonnagemoteursuiteàlahaussedesniv.Vibr.(1R1et1R2)27/04/2007
24Baisse6RIS001PO1R127/04/200717/08/200776,037,7A0231848Réglagedubutonnagemoteur:Baissedesniv.Vibratoires(1R1et1R2)27/04/2007
25Hausse6RIS001PO1R118/07/200819/06/200929,569,1N0788400Légèrehaussedesniv.Vibr.Maispasdecausevisibleàpremièrevue(T°CetgraissageOK)19/06/2009
26Baisse6RIS001PO1R119/06/200914/08/200969,126,7A0257471Réglagedubutonnagemoteur:Baissedesniv.Vibratoires(1R1et1R2)14/08/2009
27Baisse6RIS001PO1R219/06/200914/08/200940,421,5A0257471Réglagedubutonnagemoteur:Baissedesniv.Vibratoires(1R1et1R2)14/08/2009
28Hausse6RIS001PO1R114/08/200913/10/200926,763,9N0804395Haussedesniv.Vibr.(1R1)suiteauréglagedubutonnagemoteur13/10/2009
29Baisse6RIS001PO1R121/05/201004/10/201072,113,2N0836246GraissagePaliersPo/Mo+Transmission:Baissedesniv.vibratoires(1R1et1R2)20/09/2010
30Baisse6RIS001PO1R221/05/201004/10/201037,315,6N0836246GraissagePaliersPo/Mo+Transmission:Baissedesniv.vibratoires(1R1et1R2)20/09/2010
Rapport Stage EDF par Cyril VAAST Page 108
9.6 Approfondissement suivi de tendance
Rapport Stage EDF par Cyril VAAST Page 109
9.7 Fiche reflexe Macro GPS
Rapport Stage EDF par Cyril VAAST Page 110
Rapport Stage EDF par Cyril VAAST Page 111
Rapport Stage EDF par Cyril VAAST Page 112
Rapport Stage EDF par Cyril VAAST Page 113
Rapport Stage EDF par Cyril VAAST Page 114
Rapport Stage EDF par Cyril VAAST Page 115
Rapport Stage EDF par Cyril VAAST Page 116
Rapport Stage EDF par Cyril VAAST Page 117
Rapport Stage EDF par Cyril VAAST Page 118
9.8 Fréquences attendues EAS et RIS
Rapport Stage EDF par Cyril VAAST Page 119
Rapport Stage EDF par Cyril VAAST Page 120
Rapport Stage EDF par Cyril VAAST Page 121
Fréquences typiques des pompes EAS
Groupes motopompes EAS
Problème des barres rotoriques
On remarque que l’oxydation des barres rotoriques du moteur (au nombre de 52) provoque un pic à 52 fois la
fréquence de rotation soit : 52 x 24.84 Hz = 1291.68 Hz -> 1292 Hz
Et la présence des raies de part et d’autre de ce pic, espacées de 100Hz (2 fois la fréquence d’alimention)
confirme ce problème électrique de barres rotoriques. Ce défaut est une dégradation normale du moteur électrique
et ne peut être résolu qu’en remplaçant les éléments composant le rotor du moteur.
On retrouve cette signature typique des moteurs électriques sur l’ensemble des motopompes EAS et cela ne
justifie pas d’un problème structurel, de fixation ou de rigidité du système.
Figure 1: Spectre 1 EAS 001 PO au point 1R1 moteur (pics statoriques)
100Hz
100Hz
Rapport Stage EDF par Cyril VAAST Page 122
Fréquence de rotation de la roue à 6 aubes
La pompe assure la circulation du fluide à l’aide d’une roue composée de 6 aubes. La fréquence attendue vis-à-
vis de ce système est visible à 6 fois la fréquence de rotation soit : 6 x 24.84 = 149.04 -> 149.25 Hz
Cette raie, que l’on appelle fréquence d’aubage est typique d’un système motopompe. Elle représente la
fréquence de passage des aubes devant le capteur. Mais ceci n’est pas du à un problème structurel, de fixation ou de
rigidité du système.
Figure 1: Spectre 1 EAS 001 PO au point 1R1 moteur (pics aubage)

Rapport de stage

  • 1.
    Rapport Stage EDFpar Cyril VAAST Page 1 1 Remerciements Je tiens à remercier les salariés de la centrale nucléaire de Gravelines pour m’avoir accepté en qualité de stagiaire et m’avoir aussi permis d’acquérir des connaissances qui me serviront dans mon futur métier d’ingénieur, avec une attention toute particulière aux acteurs de cette formation : M Christian GODART, mon maître de stage au sein d’HEI qui effectuera l’analyse de ce rapport de stage. M Bertrand NOHL, mon chef de service, qui m’a permis d’effectuer mon stage au sein de son service MTE. M Samuel HUYGHE, mon tuteur de stage à EDF, qui m’a accordé beaucoup de son temps malgré son emploi du temps déjà très chargé et avec lequel j’ai pu approfondir mes missions de stage initiales. M Arnaud DOUILLY, qui s’est porté garant de ma bonne intégration, du suivi, de l’avancement de mes projets tout au long de mon stage et qui a aussi fait en sorte que je dispose de tous les moyens nécessaires pour évoluer au mieux dans le service MTE (EPI, banc d’essai, appareils de mesure…) M Alain BRANDT qui a, à chaque étape, apporté une critique constructive sur chacun des livrables (fiches réflexes, rapport de suivi..) que j’ai pu fournir. Les services MTE / SMT ainsi que tous les membres de l’équipe pour m’avoir accueilli dans leurs services et pour l’aide technique qu’ils m’ont apporté, sans oublier leur bonne humeur quotidienne…
  • 2.
    Rapport Stage EDFpar Cyril VAAST Page 2 2 Sommaire 1 Remerciement ..................................................................................................................... 1 2 Sommaire ............................................................................................................................ 2 3 Introduction (1 à 2 pages).................................................................................................... 3 3.1 Lien avec le Projet Professionnel Personnel................................................................... 3 3.2 Les attentes par rapport à ce stage................................................................................. 4 4 L’entreprise et son secteur d’activité ................................................................................... 5 4.1 Présentation du groupe EDF........................................................................................... 5 4.2 Principe de fonctionnement d’un réacteur à eau pressurisée ......................................... 8 4.3 Le CNPE de Gravelines ................................................................................................ 12 4.4 Présentation du service MTE ........................................................................................ 15 5 Le stage ............................................................................................................................. 21 5.1 Missions et responsabilités............................................................................................ 21 5.2 Méthodologie de travail ................................................................................................. 48 5.3 Résultats obtenus, difficultés rencontrées et solutions apportées ................................ 53 6 Capitalisation (1 à 2 pages)............................................................................................... 54 6.1 Compétences acquises ................................................................................................. 54 6.2 Compétences utilisées................................................................................................... 54 6.3 Conséquences sur mon PPP ........................................................................................ 55 7 Conclusion (1 à 3 pages)................................................................................................... 56 8 Bibliographie et Sitographie............................................................................................... 57 9 Annexes............................................................................................................................. 58 9.1 Fiche Réflexe : Mesure vibratoire.................................................................................. 58 9.2 Fiche Réflexe Equilibrage Dynamique .......................................................................... 73 9.3 Fiche Réflexe Thermographie ....................................................................................... 87 9.4 Suivi de tendance EAS................................................................................................ 100 9.5 Suivi de tendance RIS ................................................................................................. 104 9.6 Approfondissement suivi de tendance......................................................................... 108 9.7 Fiche Réflexe Macro GPS ........................................................................................... 109 9.8 Fréquences attendues EAS et RIS.............................................................................. 118
  • 3.
    Rapport Stage EDFpar Cyril VAAST Page 3 3 Introduction (1 à 2 pages) 3.1 Lien avec le Projet Professionnel Personnel J’ai eu l’occasion par le passé d’effectuer mon stage ouvrier sur le site industriel d’Arcelor Mittal à Dunkerque. J’avais été affecté au service de maintenance conditionnelle. Ma mission consistait alors à collecter des mesures vibratoires sur l’ensemble des machines électriques tournantes du site (moteurs électriques, turbines, pompes, ventilateurs…). Suite à l’acquisition des mesures, il fallait effectuer une analyse dans le domaine fréquentiel afin de détecter des problèmes de déséquilibrage (balourd) ou autres phénomènes vibratoires destructifs. Mon stage au sein du service MTE (Machines Tournantes Electriques) et plus précisément dans l’équipe de la cellule SMT (Suivi Machine Tournante) au CNPE de Gravelines (Centre Nucléaire de Production Electrique) était donc dans le prolongement de mon précédent stage. En effet, mon rôle était de rédiger des livrets pédagogiques concernant les manipulations à suivre lors de l’acquisition de mesures vibratoires, lors d’un équilibrage dynamique sur une machine tournante ou encore lors d’une prise de clichés à l’aide d’une caméra thermique. On comprend donc aisément que ce stage n’était que la suite logique de mes précédentes expériences en entreprise. Mes missions au CNPE étaient certes plus techniques et plus approfondies que celles à Arcelor Mittal mais restaient dans le domaine de la maintenance préventive et du suivi des machines tournantes. Concernant mon futur profil en tant qu’ingénieur, je souhaiterais poursuivre ma formation dans un cursus double diplôme en partenariat avec l’Ecole Technique Supérieure de Montréal avec une maitrise en gestion de projet d’ingénierie. Ainsi, j’apporterai à mes compétences spécifiques dans le domaine mécanique, une vision plus globale avec un aspect managérial. Cela est en adéquation complète avec l’ensemble de mes stages car j’ai pu acquérir bon nombre de compétences techniques dans le domaine de la maintenance (vibration, thermographie, équilibrage, suivi de machines…). Or ce domaine de maintenance et de fiabilisation pourrait être celui que je souhaite intégrer par la suite, après avoir finalisé mon cursus.
  • 4.
    Rapport Stage EDFpar Cyril VAAST Page 4 3.2 Les attentes par rapport à ce stage Mes attentes concernant ce stage étaient multiples. Tout d’abord j’appréciais de pouvoir exploiter une partie des connaissances acquises, principalement dans mes cours de domaine mécanique, lors de la réalisation de mes missions. En effet, mes notions en termes de vibrations, équilibrages, résistance des matériaux et lecture de plans étaient plus que bienvenues afin de réussir au mieux cette expérience enrichissante. A cela s’ajoutait une réelle envie de ne pas limiter mes missions à de la simple manipulation d’appareils et autres instruments de mesure mais de pouvoir apporter une analyse et une critique constructive à l’aide des compétences que je possède concernant les mesures récoltées. Enfin, ce stage fut l’occasion de mettre en place une démarche d’amélioration concernant les compétences des techniciens SMT. Cela s’est ressenti lors de la rédaction des fiches réflexes ou du montage d’une vidéo pédagogique. Finalement ce stage était l’occasion d’appréhender pour la première fois un poste où il est possible d’apporter une amélioration au niveau des processus du service de maintenance et d’essayer de rendre plus performant le suivi des machines tournantes sur le long terme.
  • 5.
    Rapport Stage EDFpar Cyril VAAST Page 5 4 L’entreprise et son secteur d’activité 4.1 Présentation du groupe EDF 4.1.1 Généralités Après le premier choc pétrolier de 1973, il a fallu trouver une nouvelle source d’énergie : c’est le début de l’ère nucléaire. C’est actuellement la première source d’énergie en France. Aujourd’hui EDF est un leader européen de l’énergie, présent sur tous les métiers de l’électricité, de la production à la distribution (filiale ERDF) et de plus en plus actif sur la chaîne du gaz en Europe. Figure 2: Les chiffes clés EDF Figure 1: Répartition des sources de production d'énergie en France
  • 6.
    Rapport Stage EDFpar Cyril VAAST Page 6 4.1.2 Le parc nucléaire EDF Avec une puissance installée de 123,7 GW en Europe et 126,7 GW dans le monde, EDF dispose du parc de production le plus important et le moins émetteur de CO2, grâce au nucléaire et à l’hydraulique. Le parc nucléaire français est constitué de 58 unités de production réparties sur 19 centrales : 34 tranches de 900MW, 20 de 1300MW et 4 de 1450MW La totalité des centrales nucléaires du parc français utilisent la technologie dite de REP : Réacteurs à Eau Pressurisée. Cette technologie est également la plus répandue dans le monde en raison de sa fiabilité et son rendement élevé. 4.1.3 L’EPR (European Pressurized Reactor) A ce parc nucléaire vont venir se greffer, 2 réacteurs de nouvelle génération : l’EPR de Flamanville (actuellement en construction, voir Figure 4) et celui de Penly (à l’état de projet). Sur le principe de fonctionnement l’EPR ne présente pas de grandes différences avec les centrales nucléaires classiques. C’est une centrale à eau pressurisée comme les autres centrales françaises. L’EPR nous est présenté comme une évolution des réacteurs actuels. Cette évolution prend en compte tout le REX (Retour d’EXpérience) acquis en 40 ans de nucléaire. Figure 3: Cartographie des sites nucléaires
  • 7.
    Rapport Stage EDFpar Cyril VAAST Page 7 On peut résumer ces avancées en trois points :  Plus de sûreté et de qualité: on passe d’une probabilité de fusion du cœur de 10 -6 à 10 -7 . La solidité du Bâtiment Réacteur est renforcée. En cas de fusion du cœur le corium 1 peut être récupéré.  Moins de déchets : sur l’EPR la quantité de déchets nucléaire sera diminuée, elle sera d’environ dix fois inférieure à celle d’une centrale actuelle.  Plus de disponibilité : l’objectif d’une telle installation n’est pas une forte augmentation de la puissance mais plutôt une disponibilité accrue. La puissance d’un réacteur EPR est de 1600 MW, à titre d’exemple la puissance d’un palier N4 est de 1450MW. Pour la maintenance la durée des visites devra considérablement diminuer. 1 Le corium désigne le magma résultant de la fusion des éléments d'un réacteur nucléaire Figure 4: Chantier de l'EPR à Flamanville
  • 8.
    Rapport Stage EDFpar Cyril VAAST Page 8 4.2 Principe de fonctionnement d’un REP 4.2.1 La réaction en chaîne Les centrales nucléaires fonctionnent grâce à l'uranium. L'uranium possède la particularité d'être constitué d'atomes lourds qui, en se brisant, dégagent de la chaleur : la fission des atomes d'uranium est la première étape de production de l'énergie nucléaire. (Voir Figure 5) Une méthode consiste à bombarder son noyau avec des neutrons en mouvement. Le neutron est un excellent projectile car il ne subit aucune force de répulsion à mesure qu’il s’approche du noyau et, si sa vitesse n’est pas trop grande, les chances d’une collision sont excellentes. Si l’impact est suffisamment intense, le noyau se scinde en deux et la diminution de masse qui en résulte libère de l’énergie. Ainsi la fission d’un atome dégage une énergie principalement sous forme de chaleur. C'est cette énergie que l'on utilise pour produire de l'électricité. La fission (qui est une réaction très violente) s’accompagne d’un autre phénomène important : l’éjection, à haute vitesse, de 2 ou 3 neutrons. Ces neutrons, à leur tour, peuvent entrer en collision avec d’autres noyaux voisins, de sorte qu’il se produit une réaction en chaîne pouvant provoquer un énorme dégagement de chaleur. Dès que la réaction en chaîne est amorcée, la température de l’uranium monte en flèche. 4.2.2 Un réacteur, trois circuits Une centrale nucléaire à eau pressurisée comporte obligatoirement trois circuits. Chaque circuit est indépendant, c’est à dire qu’il n’y a aucun échange de fluide. Tous les échanges de chaleur se font à l’aide d’échangeurs (par exemple les GV : générateurs de vapeur). Le schéma de principe du fonctionnement de ces 3 circuits est repris ci-dessous. Figure 5: Principe de la fission de l'uranium
  • 9.
    Rapport Stage EDFpar Cyril VAAST Page 9 Figure 6: principe de fonctionnement du REP de Gravelines 4.2.3 Le circuit Primaire Dans une centrale nucléaire, l’énergie thermique libérée par le cœur du réacteur est véhiculée par le circuit primaire. Celui-ci est constitué d’une cuve dans laquelle se trouve le combustible sous forme de crayons contenant des pastilles d’uranium. L’eau qui circule dans cette cuve est réchauffée au contact de ces crayons, puis envoyée dans les trois boucles primaires. Chacune de ces boucles est constituée d’un générateur de vapeur (GV) et d’une pompe primaire assurant la circulation de l’eau. Un pressuriseur est inséré de manière à assurer une pression adéquate pour le maintien de l’eau à l’état liquide malgré les fluctuations de volume dues à la chaleur. La chaleur provient de la fission des noyaux d’uranium contenus dans les crayons de combustibles (cf. Figure 5) Pour créer les conditions de la réaction en chaîne il faut généralement trois éléments essentiels :  Combustible, siège de la fission nucléaire  Modérateur servant à ralentir les neutrons rapides pour faciliter les fissions : l’eau  Caloporteur évacuant hors du cœur la puissance thermique dégagée dans le combustible : l’eau. Figure 7: Transformation de l'énergie
  • 10.
    Rapport Stage EDFpar Cyril VAAST Page 10 Le combustible se trouve dans la cuve du réacteur où la fission s’accompagne d’un important dégagement de chaleur. La chaleur atteint par le combustible est de l’ordre de 1500°C. Cette chaleur est récupérée par le fluide caloporteur (eau primaire) qui circule autour du combustible. Le fluide caloporteur circule entre les crayons combustibles et sort du réacteur à très haute température (323°C) et à une pression de 155 bars. Cette eau est envoyée dans les générateurs de vapeurs de manière à transférer l’énergie thermique du circuit primaire au circuit secondaire. Après son passage dans les générateurs de vapeur, l’eau refroidie (284°C) repart au réacteur. 4.2.4 Le circuit secondaire La vapeur produite dans les générateurs de vapeur est envoyée dans une première turbine Haute Pression (HP) puis dans trois autres turbines Basse Pression (BP). Celles-ci sont couplées à un alternateur qui produit l’électricité. La vapeur sortant des turbines passe ensuite dans un condenseur où elle revient à l’état liquide par l’intermédiaire de l’eau du circuit de refroidissement (CRF). L’eau est alors réchauffée et pressurisée dans le poste d’eau de manière à ce qu’il y ait le moins possible de chocs thermiques dus aux écarts de températures. Cette eau réchauffée est alors renvoyée aux générateurs de vapeur. Chaque circuit de circulation d’eau est isolé de manière à ce qu’il n’y ait pas d’échange chimique entre eux. Ainsi l’eau du circuit primaire n’est jamais en contact avec l’eau du circuit secondaire. De même pour l’eau du circuit de refroidissement qui n’a jamais en contact avec l’eau du circuit secondaire. Figure 8: Représentation du circuit primaire
  • 11.
    Rapport Stage EDFpar Cyril VAAST Page 11 4.2.5 Le circuit de refroidissement Au CNPE de Gravelines on utilise l’eau de mer dans le circuit de refroidissement. Cette eau est amenée via le « canal d’amené » devant les stations de pompage (une station pour deux tranches) dans le condenseur. L’eau est tout d’abord filtrée par des tambours filtrants de plus de 10m de diamètre puis pompée par les pompes monocellulaires CRF à un débit de 28 m3/s. Cette eau de mer passe dans le condenseur (échangeur composé de milliers de tubes) où elle s’échauffe d’environ 10°C, elle est rejetée à la mer via le canal de rejet. Pour les centrales installées au bord d’un fleuve (Tricastin, Cruas…), la condensation de la vapeur issue des turbines Basse Pression est assurée par une tour de refroidissement. Le schéma ci-dessous reprend ces 2 possibilités : Figure 9: Illustration des 2 types de refroidissement possibles
  • 12.
    Rapport Stage EDFpar Cyril VAAST Page 12 4.3 Le CNPE de Gravelines 4.3.1 Présentation C’est en février 1975 que commencent les travaux de la centrale nucléaire de Gravelines. Dix ans plus tard les six tranches sont couplées au réseau. Avec ses six réacteurs de 910MW la centrale nucléaire de Gravelines est la première centrale d’Europe de l’ouest et la troisième mondiale. Du fait de sa conception, la centrale est située au bord de la Manche et utilise l’eau de mer indispensable à son refroidissement. Chaque année la production y est d’environ 36 milliards de kWh, soit entre 9 et 10% de la production nationale d’électricité d’origine nucléaire. La centrale de Gravelines compte environ 1700 agents EDF. A ces agents viennent s’ajouter de nombreux intervenants des entreprises prestataires à hauteur de près de 2 000 000 d’heures de travail chaque année. 4.3.2 Historique de la centrale de Gravelines  Mars 1974 : décision du Conseil des Ministres d'autoriser l'engagement du programme électronucléaire français soit 12 unités de production de 900 MW dont les 4 premières tranches de Gravelines.  Février 1975 : début des travaux sur le site.  1979 : décision de l'état d'ajouter les unités de production N° 5 et 6.  2001 : 100ème arrêt annuel pour rechargement de combustible.  2004 : certification environnementale ISO 14 001. Figure 10: Vue aérienne du site de Gravelines
  • 13.
    Rapport Stage EDFpar Cyril VAAST Page 13 4.3.3 Organisation du CNPE Le site nucléaire de Gravelines est organisé selon l’organigramme présenté ci-dessous : La structure du site est composée de :  Une équipe de direction (CODIR) réunissant autour du Directeur, les directeurs délégués, les chefs de missions Sûreté / Qualité et Sécurité / radioprotection / environnement, le Directeur Performances Economiques.  Une équipe de Direction élargie (COMEX) qui regroupe au-delà du CODIR, les Sous-directeurs, les Chefs de missions, Structures et Services, le chef de plateau Tranche En Marche, les responsables de projet d’arrêt de Tranche ainsi que les médecins du travail. 4 pôles :  Pôle Production qui regroupe les entités suivantes : Conduite, service Chimie Environnement, Tranche En Marche. Ce pôle gère le pilotage des tranches ainsi que tout ce qui concerne la sûreté, la sécurité, la radioprotection et l’environnement.  Pôle Technique qui regroupe l’Ingénierie Performance, la Maîtrise des Arrêts, la SCOM. Ce pôle s’occupe plus particulièrement du suivi des tranches : modifications importantes, suivi au plan national, appui des exploitants, planification des arrêts de tranche  Pôle Ressources qui regroupe les structures: Gestion Finance, Ressources Humaines, Informatique Secrétariat, Service Médical. Figure 11: Organigramme de la CNPE Gravelines
  • 14.
    Rapport Stage EDFpar Cyril VAAST Page 14  Pôle Maintenance qui regroupe les services :  Automatismes => AUT  Logistique Nucléaire (gestion des matériels en environnement radioactif, combustibles…) =>LNU  Maintenance Systèmes Fluides (maintenance des conduites et des systèmes statiques) => MSF  Machines Tournantes & Electricité au sein duquel j’ai effectué mon stage et qui s’occupe plus particulièrement des machines tournantes (pompes, alternateurs, turbines…) et des équipements électriques => MTE. Chaque pôle est piloté par une équipe de Direction de pôle composée du Directeur Délégué référent, du (ou des) Sous-Directeur(s) rattaché(s) au pôle, des Chefs de Structures, Services ou autre entité dépendant du pôle, ainsi que des responsables des projets d’arrêts pour le pôle technique.
  • 15.
    Rapport Stage EDFpar Cyril VAAST Page 15 4.4 Présentation du service MTE 4.4.1 Activités Le service MTE au sein duquel j’ai réalisé mon stage d’assistant ingénieur est un service de maintenance spécialisé dans les matériels dits tournants tels que les pompes, les turbines, les alternateurs, les moteurs diesels, les ventilateurs, les compresseurs mais aussi des équipements électriques tels que les transformateurs, les alternateurs, les onduleurs/redresseurs, les tableaux électriques, les moteurs électriques. Les agents qui y travaillent peuvent ainsi être distingués en 2 catégories : les électriciens et les mécaniciens. La mission du Service MTE consiste à réaliser :  La maintenance préventive  La maintenance corrective  La maintenance conditionnelle de ces matériels en prenant en charge :  La préparation, la réalisation et le contrôle des interventions que les tranches soient en arrêt pour maintenance ou en fonctionnement.
  • 16.
    Rapport Stage EDFpar Cyril VAAST Page 16 4.4.2 Organisation Voici l’organigramme du service MTE
  • 17.
    Rapport Stage EDFpar Cyril VAAST Page 17 Il est composé de pôles de taille humaine afin de faciliter la communication et le management entre les agents et leur hiérarchie. Pôle Ingénierie : Ce pôle est chargé en particulier de :  L’établissement et l’optimisation des programmes de maintenance préventive  L’analyse deuxième niveau des interventions  Le traitement du retour d’expérience sur les matériels, les méthodes, l’expertise  La définition et le suivi des stocks de pièces de rechange  Le suivi de l’historique des matériels et des données du système d’information, une cellule assure l’animation de la maintenance conditionnelle (méthodes, outils particuliers, relevés, interprétations, programme de suivi). Cette cellule est en appui à chaque préparateur qui garde la responsabilité du programme de maintenance. 2 Pôles Affaires : Au sein de ce pôle, on distingue la partie Mécanique et la partie Electricité. Chacune de ces entités a la responsabilité globale de la qualité des activités (domaine Electrique ou Mécanique) et des interventions du service vis-à-vis des projets Arrêt de Tranche et Tranche en Marche sous les aspects sûreté, sécurité, coûts/délais, propreté et dosimétrie. 2 Pôles Travaux : Ce pôle réalise les interventions planifiées du domaine électrique et mécanique que la tranche soit en fonctionnement ou en arrêt pour rechargement, prépare et réalise les interventions urgentes après avoir réalisé le diagnostic. Pôle CSI / SMT : Ce pôle, auquel j’ai été affecté, regroupe les Chargés de Surveillance et d’Interventions (CSI) et les techniciens Suivi Machines Tournantes (SMT) qui forment la cellule que j’ai intégrée. Ces agents ont en charge la surveillance des interventions réalisées par les prestataires et également les mesures sur le matériel tournant (mesures vibratoires, contrôles des installations électriques par caméra de thermographie…) à l’origine de la maintenance conditionnelle. Pôle EIR (Equipes d’Intervention Rapide) : Ce pôle, en lien quotidien avec la Conduite, réalise les interventions (souvent sur le court terme) de maintenance que cette dernière a pu soulever.
  • 18.
    Rapport Stage EDFpar Cyril VAAST Page 18 4.4.3 Réseaux de communication utilisés au service MTE Lors de mon stage au sein du service MTE, j’ai pu constater que la communication entre les différents agents était un élément essentiel pour réaliser un travail de qualité mais également pour créer un climat de confiance entre les différents intervenants. Pour ce faire, de nombreux moyens de communication sont utilisés : Communication informelle En matière de communication informelle, j’ai pu noter l’importance et l’intérêt d’un lieu où tous les agents peuvent se retrouver et discuter ensemble de choses et d’autres. Au service MTE, ce lieu est symbolisé par la machine à café. Ce moment permet à tout le monde de se dire bonjour et de se tenir au courant des évènements qui ont pu avoir lieu la nuit ou tard la veille. Elle permet également de casser les « codes » de la hiérarchie. Un climat de confiance peut ainsi s’installer entre les agents et leurs supérieurs. Communication électronique et téléphonique La communication électronique et téléphonique est extrêmement développée au sein du CNPE de Gravelines. Ainsi chaque agent dispose d’un poste informatique, d’une adresse e-mail (en @edf.fr) et d’un téléphone lui permettant d’échanger des informations très rapidement avec ses collègues ou sa hiérarchie. De plus, la voie électronique est également celle plébiscitée par la direction du service et du site qui l’utilise pour communiquer des informations d’ordre général : nouvelles stratégies du site, incidents… Le téléphone est très utilisé car il permet de joindre un agent partout où il se trouve. Figure 12: Bip d'un agent et un des nombreux téléphones en libre-service
  • 19.
    Rapport Stage EDFpar Cyril VAAST Page 19 Communication par voie d’affichage Au CNPE de Gravelines, de nombreuses zones d’affichage sont disposées dans les lieux les plus fréquentés du site. Ces zones prennent la forme de panneaux d’affichage mais également d’écrans permettant de communiquer les informations en temps réel. Les informations véhiculées par cette voie de communication sont de plusieurs ordres :  Syndicats  Sécurité au travail  Environnement  Etat des tranches (puissance électrique produite, en temps réel) Figure 13: Panneaux d'affichage Figure 14: Exemples de communication via un écran Figure 15: Affichage de la puissance électrique produite en temps réel
  • 20.
    Rapport Stage EDFpar Cyril VAAST Page 20 Communication Formelle En matière de communication formelle, la réunion est le moyen qui reste le plus efficace et le plus utilisé à EDF : réunion EDS et réunion de pôle. Réunion EDS (Encadrement de Service). Cette réunion réunit la direction du service et aussi :  Le chef de service et ses 5 appuis  Les appuis techniques  Les chefs de pôle et leurs adjoints  Les correspondants métiers Animée par le chef de service, elle a pour but de faire le point sur les objectifs de MTE en matière de sécurité, budget ou bien encore le planning des opérations de maintenance. Elle permet également de souligner les dossiers en retard ou délicats et qui nécessitent une attention particulière. Elle permet enfin de communiquer les attendus et les remarques de la direction du site aux cadres du service. Réunion de pôle : Ce type de réunion se veut volontairement moins solennel que la précédente. Animée par le chef de pôle et le chef de pôle délégué, elle réunit tous les agents du pôle concerné. Elle permet de faire le point non seulement sur les activités (en cours ou à venir) mais également sur la vie du pôle. Sur ce point, le tour de table en fin de réunion donne à chacun la possibilité de s’exprimer sur les difficultés qu’il rencontre dans son travail ou de revenir sur un point développé au cours de la réunion. La réunion de pôle est également l’occasion de faire ressortir les remarques de chacun sur la qualité de vie au travail et de proposer des améliorations telles que l’achat d’un nouveau mobilier, ou par exemple la mise en place de macros sous Excel pour automatiser une tâche répétitive…
  • 21.
    Rapport Stage EDFpar Cyril VAAST Page 21 5 Le stage 5.1 Missions et responsabilités Lors de la rédaction de la convention de stage EDF, les missions du stage étaient les suivantes :  Réaliser un manuel de formation à partir des bases de données sur la maintenance et l’analyse vibratoire y compris les équilibrages.  Faire monter en compétence l’équipe de techniciens sur les mesures vibratoires. De façon plus précise, cela consistait à rédiger des fiches réflexes faisant état des différentes étapes les manipulations pour les opérations suivantes :  Prise de mesures vibratoires  Equilibrage d’une machine tournante  Prise de clichés thermiques  Utilisation d'une macro Excel L’intérêt de ces fiches réflexes était de pouvoir se remémorer, en l’espace de quelques minutes, des manipulations à effectuer afin de réaliser au mieux l’action souhaitée. Je devais également réaliser une vidéo pédagogique de la manipulation complète concernant l’équilibrage. Enfin, à ces missions initiales ont été ajoutés d’autres projets comme le suivi de tendance de machines de type motopompe avec l’analyse des niveaux vibratoires ou encore la mise en place d’une macro Excel afin de trier automatiquement le planning des interventions à venir par tranche et par date. Toutes ces missions vont être détaillées lors des paragraphes suivants. Dans la centrale, chaque système est repéré par une référence unique qui est constituée de la manière suivante :
  • 22.
    Rapport Stage EDFpar Cyril VAAST Page 22 5.1.1 La mesure vibratoire La cellule SMT (Suivi des Machines Tournantes) est en charge du suivi et de la maintenance de l’ensemble des machines tournantes du site. Cela englobe donc différents types de systèmes :  Groupes motopompe  Ventilateurs  Turbines Il est donc nécessaire, à l’aide d’un appareil spécifique appelé Movipack® (collecteur portatif de mesures), d’aller recueillir les niveaux vibratoires de ces systèmes. Pour cela, il faut suivre une procédure précise qui est détaillée dans l’annexe de la fiche réflexe « mesures vibratoires ». De manière globale, le technicien va brancher la sonde de son Movipack® sur des embases de type accéléromètre en différents points. Ces capteurs mesurent de façon uni-axiale. Généralement, on dispose de deux embases disposées radialement par rapport à l’axe de rotation de l’arbre de la machine (horizontalement et verticalement) et d’autres placées axialement par rapport à l’arbre. Et on retrouve cette combinaison de capteurs sur chaque palier et sur chaque arbre du système mesuré (s’il y en a plusieurs). Figure 16: Positionnement des accéléromètres
  • 23.
    Rapport Stage EDFpar Cyril VAAST Page 23 Les embases transmettent donc l’accélération suivant leur axe longitudinal qui correspond donc à un taux de variation de la vitesse. Cette mesure est possible car chacun de ces capteurs possèdent un élément de cristal piézo-électrique relié à une masse. En effet, quand une force physique est appliquée sur l’accéléromètre, la masse comprime le cristal. Et selon la 2 ème loi de Newton du mouvement ( ∑ F = m . a), ceci peut être traduit par une variation de la tension générée par le matériau piézo-électrique car elle est proportionnelle à la force qu’on lui applique. La tension obtenue est ensuite amplifiée et traitée à l’aide de l’électronique intégré au Movipack® pour obtenir un signal de sortie exploitable. Puis en connaissant la sensibilité du capteur (ici de 100 mV pour 1 mm.s - ²), on en déduit les niveaux vibratoires de la machine après filtrage, traitement et amplification. Figure 17: Bon positionnement des capteurs Figure 18: Principe de l'accéléromètre piézo-électrique
  • 24.
    Rapport Stage EDFpar Cyril VAAST Page 24 Les raisons de l’utilisation d’un tel type de capteur sont :  Température d’utilisation : -50°C à 700°C  Très faible encombrement (quelques millimètres de diamètre) pour un poids faible par rapport à la machine mesurée (quelques dizaines de grammes)  Peu de distorsion du signal suite au filtrage  Résistance aux chocs très élevée (> 1 000 000 g)  Large bande passante de mesures : 0,3 Hz à 40 kHz  Insensibilité aux phénomènes non vibratoires : T°C externe, bruits acoustiques, rayonnement parasites (nucléaires, interférences magnétiques…)  Stabilité des mesures dans le temps  Fréquence de résonnance du capteur très élevée par rapport à celle de la machine  Mesure uni-axiale de l’accélération Pour contrôler ces milliers de machines ayant toutes une référence unique, il est nécessaire d’acquérir les niveaux vibratoires de chacune d’entre elles. Pour cela, on distingue deux types d’interventions :  Mesures programmées  Demandes fortuites Les premières sont donc des mesures mises en place de façon périodique afin d’assurer un suivi de tendance des niveaux vibratoires sur les différents systèmes. Cela est primordial afin de pouvoir prévenir un éventuel problème qui pourrait aller jusqu’à engendrer la casse d’un moteur. Il est alors nécessaire de planifier une intervention de type réparation ou remplacement afin de régler la cause du problème au plus vite. Il est bien évident que la mise hors service d’un groupe motopompe appartenant aux systèmes IPS (Important Pour la Sureté) est à proscrire absolument si on ne veut pas déclencher l’arrêt automatique de la tranche nucléaire concernée. Quant aux demandes fortuites, elles font suite à l’observation d’une anomalie particulièrement significative : une fuite d’huile, un bruit anormal ou encore un défaut visible sur un système quelconque. Cela permet encore une fois d’intervenir en prévention d’une casse. Cependant la priorité de la demande d’intervention fortuite par rapport aux mesures périodiques dépend de plusieurs paramètres :  Le système concerné est-il IPS ou non ?  L’anomalie constatée est-elle importante ou non ?  La disponibilité des agents SMT vis-à-vis de leurs interventions programmées  Le système est-il dans des conditions de fonctionnement adéquates pour acquérir les mesures ?
  • 25.
    Rapport Stage EDFpar Cyril VAAST Page 25 Finalement, on comprend vite que la plupart des opérations sont planifiées relativement à l’avance. Mais il est aussi probable que s’ajoute à cela bon nombre de demandes fortuites plus ou moins urgentes à effectuer. C’est pourquoi il est important de tenir le planning des mesures à jour et d’y intégrer, dans la mesure du possible, les interventions supplémentaires ponctuelles. Ainsi le binôme de techniciens en charge de ce système peut alors s’organiser au mieux avec la SdC (Salle des Commandes) afin de perdre le moins de temps possible. Car c’est la SdC qui va lancer la mise en marche du système concerné dans les conditions de fonctionnement requises (100% de la charge par exemple pour un moteur ou plein débit pour une pompe). En effet, il est bien évident qu’un générateur diesel n’émettra pas les mêmes fréquences et amplitudes vibratoires en fonctionnant avec 20% ou 80% de son régime nominal. Toutes ces conditions sont référencées dans le PBMP (Programme de Base de Maintenance Préventive). 5.1.2 Exemples de mesures vibratoires Dans cette partie, différents exemples de collecte de mesures vont être présentés. J’expliquerai l’usage du système concerné et son intégration dans le CNPE de Gravelines ainsi que les raisons qui nous ont poussés à aller sur site pour récolter les niveaux vibratoires, T°C ou autres pressions d’huiles de la machine étudiée. 5.1.2.1 Pompe 6 CFI 002 PO La circulation de l’eau au sein du circuit tertiaire est assurée par les pompes CRF afin de refroidir, par l’intermédiaire d’un échangeur thermique (type condenseur), la vapeur d’eau qui fait tourner les turbines générant l’électricité. Cette eau est prélevée dans la mer qui est une source froide ayant une capacité de refroidissement presque infinie aux vues de la quantité d’eau disponible. Il faut cependant la filtrer pour la nettoyer des impuretés (sable, coquillages, poissons…) qui pourraient venir endommager les pompes d’alimentation et encrasser les échangeurs. Pour cela, on fait passer cette eau à travers un tambour filtrant. C’est à cet instant qu’intervient le système motopompe CFI qui va projeter de l’eau sur le tambour afin d’évacuer les saletés incrustées dans ce dernier et le désinfecter. De manière détaillée, le système CFI (Filtration Eau Brute du Condenseur) est un ensemble dont le rôle est d’assurer :  La filtration de l’eau de circulation (CRF)  La filtration de l’eau d’alimentation du circuit d’eau brute secourue (SEC)  La filtration de l’eau d’alimentation des pompes de lavage des tambours filtrants Voici quelques chiffres concernant la motopompe de lavage CFI :  Débit nominal : 300 m 3 / h / pompe  Hauteur d’élévation : 60 mCE
  • 26.
    Rapport Stage EDFpar Cyril VAAST Page 26 Finalement, le système CFI permet le relevage et l’évacuation des salissures déposées sur les tambours filtrants au travers desquels circule l’eau du circuit tertiaire issu de la mer. Lorsqu’il y a trop d’impuretés dans l’eau filtrée, la perte de charge au niveau du tambour augmente. Pour contrer ce phénomène, on augmente alors la vitesse de rotation de ce dernier. Voici quelques chiffres concernant ce tambour filtrant :  Diamètre : 15m  Largeur : 6.15m  Débit : 20 m 3 /s  Vide de maille des panneaux filtrants : 3.17mm (assez étroit)  Perte de charge : 10 à 30 mbar (max admissible : 50mbar)  3 vitesses de rotations : o Petite vitesse : 1 tour = 18 min o Moyenne vitesse : 1 tour = 5 min o Grande vitesse : 1 tour = 2.5 min Chaque tranche nucléaire comporte deux systèmes CFI indépendants. Chaque file CFI fait parti des matériels IPS et est alimentée électriquement par 2 sources indépendantes Une fois que les mesures vibratoires ont été acquises sur la motopompe 6 CFI 002 PO, il fallait ensuite analyser les niveaux globaux vibratoires à chaque palier ainsi que les spectres associés pour déterminer l’origine de cette hausse des niveaux. Sur la figure précédente, on peut observer les mesures faites le 03/07/2015. Et bien que le capteur utilisé soit un accéléromètre, les mesures recueillies peuvent être consultées aussi bien en vitesse, déplacement ou accélération. La figure 19 fait état des niveaux vibratoires globaux (RMS) en vitesse (5 ème ligne) et en déplacement (2 ème ligne) pour chaque capteur (1R1, 1R2 …). Les niveaux globaux sont calculés de la manière suivante : Figure 19: Aperçu des niveaux globaux vibratoires du 03/07/15
  • 27.
    Rapport Stage EDFpar Cyril VAAST Page 27 Ensuite, d’autres résultats sont visibles comme les amplitudes vibratoires en vitesse :  A la fréquence de rotation (7 ème ligne) qui est intitulé balourd. Cependant cela ne signifie pas qu’il s’agit d’un problème de balourd (déséquilibre) si la valeur est élevée. Il faut pour s’en assurer analyser le spectre en déplacement du capteur concerné.  A l’harmonique 2 (3 ème ligne) avec l’amplitude exprimée en vitesse.  A l’harmonique 3 (4 ème ligne) avec l’amplitude exprimée en vitesse. Ces relevés permettent à l’agent EDF de repérer aisément une potentielle anomalie grâce à cet affichage explicite dont les couleurs dépendent du dépassement ou non (en vert) du seuil d’alerte (en orange) ou du seuil d’arrêt (en rouge). Cependant souvent cela n’est pas suffisant pour trouver l’origine précise de la hausse des niveaux car ces chiffres sont des niveaux globaux. Il faut donc pousser l’analyse à un stade supérieur en étudiant le spectre (dans le domaine fréquentiel) associé au capteur en alarme. Et ce n’est qu’à partir de ce moment là que l’on peut comprendre la cause du problème. Sur une motopompe, les problèmes plausibles sont multiples :  Délignage parallèle, angulaire ou mixte  Phénomène de résonnance  Problème de lubrification  Dégradation du rotor ou stator  Défaut d’alimentation électrique du moteur  Balourd thermique, magnétique ou dynamique sur l’arbre ou les ventilateurs  Défaut au niveau des paliers (roulements)  Modification de la structure support du système (socle béton ou pose de tirants) Comme l’analyse vibratoire n’est pas une science exacte dans le sens où chaque spectre d’une analyse est unique, cela demande d’avoir du recul mais aussi de l’expérience et l’accès aux anciens rapports d’analyse concernant des situations semblables afin de comprendre au mieux le problème à solutionner. Pourtant, les différentes causes possibles citées ci-dessus se traduisent souvent par des profils spectraux caractéristiques. Par exemple un problème de roulement se verra à
  • 28.
    Rapport Stage EDFpar Cyril VAAST Page 28 des fréquences précises mais relativement hautes (10 à 30 fois la fréquence de rotation) tandis qu’un balourd s’observera plus à la 1 ère , 2 ème et 3 ème harmoniques de la fréquence de rotation. Ces signatures types seront décrites ultérieurement. Concernant notre CFI, le point à contrôler particulièrement est le 1R1 qui se situe radialement par rapport à l’axe de rotation au niveau du 1 er palier qui supporte l’arbre moteur. On voit que le niveau global aussi bien en déplacement qu’en vitesse est au dessus du seuil d’arrêt. Il faut donc agir rapidement pour éviter la casse du roulement associé par exemple. On va s’intéresser aux spectres associés. Pour cela, on a le choix entre plusieurs plages de fréquences pour les spectres :  0- 200Hz : Précis (0.25 Hz près) et efficace pour les spectres exprimés en déplacement (Basse Fréquence)  0- 2000Hz : Moyennement précis (2.5 Hz près) mais utile pour une étude des spectres en vitesse (Moyenne Fréquence)  0- 20000Hz : Peu précis (25Hz près) mais exploitable pour l’étude des spectres en accélération (Haute Fréquence) A première vue, on pourrait analyser le spectre sur une bande passante de 0 à 20 000Hz afin de ne pas rater un pic en Haute Fréquence. Mais on se rend vite compte que les pics significatifs se regroupent majoritairement en BF ou MF. Voilà pourquoi le spectre 0-200Hz pour le point 1R1 semble être le plus approprié. Après avoir choisi notre bande passante spectrale, il peut aussi être intéressant de superposer dans la même fenêtre le spectre de la mesure du jour même avec celle effectuée précédemment pour pouvoir entrevoir une évolution notable d’une date à l’autre. Ainsi on peut déterminer précisément si l’évolution est brutale ou progressive. Parfois aussi, on peut visualiser un pic élevé qui n’est pas significatif d’un problème inquiétant puisqu’on le retrouve sur chaque prise de mesure et que le système fonctionne parfaitement dans ces conditions. Voici les niveaux globaux de la mesure précédente (01/06/2015) qui ne traduit pas significativement de grosses problématiques concernant le CFI. C’est cette acquisition que l’on va utiliser comme « référence » et la comparer avec la prise de mesure alarmante du 03/07/2015. Figure 20: Aperçu des niveaux globaux vibratoires du 01/06/15
  • 29.
    Rapport Stage EDFpar Cyril VAAST Page 29 L’étape suivante est l’étude du spectre 0-200Hz au point 1R1 entre le 01/06/15 et le 03/07/15 : Figure 21: Spectre 0-200Hz au point 1R1 entre le 01/06/15 et le 03/07/15 Fo 3 Fo 2 Fo
  • 30.
    Rapport Stage EDFpar Cyril VAAST Page 30 On peut observer dans la fenêtre précédente, le spectre du 03/07/2015 en vert (Niveau vibratoire élevé) et celui du 01/06/2015 en bleu (Mesure de référence). Après un premier visuel sur place, l’équipe pensait à un problème d’alignement au niveau de l’accouplage entre le moteur et la pompe qui se fait par l’intermédiaire d’un cardan car ce dernier vibrait fortement. Et cette hypothèse semble probable puisque le profil spectral de ce genre de défaut se traduit par des pics aux harmoniques 1, 2 et 3. Mais c’est à cet instant que l’observation et le recul sont primordiaux dans ce genre d’analyse. En regardant de plus près les deux courbes dans le cadre orange, on remarque un fort écart entre les deux courbes. Or, elles devraient théoriquement se superposer jusqu’à Fo car la structure de CFI (socle béton, plaque de fixation…) est censée rester la même d’une date à l’autre. On peut donc en conclure que l’environnement de CFI a été dégradé ou modifié. Dorénavant c’est le béton qui est remis en question. Il serait possible que des fissures soient apparues dans la dalle de béton supportrice de CFI. Il a alors été demandé à l’équipe du génie civil de venir entreprendre des travaux de rénovation. Voici les niveaux globaux après l’intervention du GC en comparaison à la mesure du 03/07/2015 : On observe bien une baisse importante des niveaux globaux ce qui indique que la cause principale des vibrations excessives a été résolue. Finalement, cette intervention réussie sera archivée et partagée afin de faire monter la cellule SMT en expérience concernant ce type de problème. 5.1.2.2 Générateur Diesel 5 LHP 201 GE Afin de prévenir les risques liés à une coupure d’électricité générale et donc d’assurer l’alimentation en électricité pour tous les systèmes IPS (Important Pour la Sureté), le CNPE de Gravelines a mis en place deux groupes électrogènes à moteur diésel (LHP et LHQ) par tranche nucléaire (6 tranches à Gravelines). Figure 22: Aperçu des niveaux globaux vibratoires après travaux sur la dalle béton
  • 31.
    Rapport Stage EDFpar Cyril VAAST Page 31 Ils peuvent fournir, chacun ou ensemble, l’énergie électrique sous une tension de 6,6 kV à 50 Hz nécessaire à l’alimentation des auxiliaires de la centrale. L’alimentation des auxiliaires étant assurée, ceux-ci permettent la mise à l’arrêt de la tranche dans des conditions acceptables et en maintenant l’intégrité des matériels importants. En tournant à plein régime (1500 tr/min) avec une charge de 100%, ils peuvent assurer l’alimentation de la tranche associée pendant 3 jours et demi grâce à leur propre réservoir en carburant de 80 m 3 chacun. Cependant ils ont été dimensionnés pour fonctionner en continu (si on alimente les réservoirs de carburant) pendant :  8 000 h sans entretien nécessitant un remplacement de pièce d’usure  1 500 h sans entretien nécessitant un démontage mécanique LHP a pour rôle de fournir l’énergie électrique au tableau LHA d’alimentation des équipements de classe IE (isolement enceinte). LHQ est redondant par l’alimentation des matériels du tableau LHB. Lors de la prise en charge, la fréquence en sortie d’alternateur ne descend pas en dessous de 49 Hz et la tension minimale est de 5940 V. Et lors d’une baisse importante de la charge, la vitesse du groupe diesel ne dépasse pas les 112% afin d’assurer une tension et une fréquence acceptable par les systèmes alimentés électriquement. Concernant le groupe électro-diesel LHP, il s’agit d’un moteur V20 bi-turbo branché en sortie d’arbre moteur à un alternateur de 6 600V. Il sert à alimenter les tableaux de commandes des systèmes (motopompes) de la tranche à réalimenter en urgence :  EAS (Aspersion d’Eau dans l’enceinte de confinement)  RRA (Système de Réfrigération du Réacteur à l’Arrêt)  RRI (Réfrigération Intermédiaire du Réacteur)  SEC (Eau Brute Secourue)  RIS (Injection de Sécurité du réacteur)  SdC (Salle des Commandes de la tranche concernée)  Eclairage des locaux où sont situées les installations précédentes
  • 32.
    Rapport Stage EDFpar Cyril VAAST Page 32 Afin de mieux se rendre compte des mensurations du générateur diesel LHP qui a été mesuré, voici quelques chiffres: Caractéristique Unité V20 bi-turbo type LHP ou LHQ Cycle / 4 temps, simple effet Disposition des cylindres degré (°) Vé à 50° : 10 cylindres par V Alésage des cylindres mm 240 Course des pistons mm 220 Puissance à l’accouplement kW 4121 (5604 ch) Pression Moyenne effective bar 16,13 Pression d’air du turbo bar 2,5 Vitesse du turbo tr/min 21 000 ± 600 Débit d’air (à Puiss. Nominale) kg/h 29 200 Consommation d’huile kg/h 10 Vitesse nominale du moteur tr/min 1500 ( 50 Hz en sortie d’alternateur) Masse du moteur à vide kg 32 800 Longueur moteur mm 4 930 Long. moteur + alternateur mm 9 600 Largeur moteur mm 2 625 Hauteur moteur mm 3 300
  • 33.
    Rapport Stage EDFpar Cyril VAAST Page 33 Les avantages d’un groupe électro-diesel sont les suivants :  Pouvoir enflammer un mélange pauvre ( jusqu’à 5% du mélange) par réchauffage de l’air comprimé et injection du carburant à très haute pression ( 1000 bars)  Utilisation de combustibles peu volatils pas trop raffinés (gazole, fuel, kérosène, carburant végétaux…)  Possibilité énorme de suralimentation  Très grande longévité Suite à une demande de la conduite après détection d’un défaut au niveau d’une sonde de T°C, nous avions dû nous rendre dans le local du générateur diesel afin d’effectuer notre BSP (Bilan de Santé Périodique). Les conditions de fonctionnement lors d’un BSP pour un générateur diesel LHP sont : attendre que le moteur soit à sa T°C stabilisée, son régime de fonctionnement nominal puis branché à une charge de 30% en sortie de l’alternateur (ici simulée par la SdC (Salle des Commandes)). Notre mission était donc de relever des paramètres de fonctionnement tels que la T°C d’échappement ou la pression du circuit de refroidissement. Pour cela, nous pouvions lire les mesures nécessaires sur un tableau rempli de cadrans et autres fenêtres comme ci-dessous. Et il suffisait d’activer le mode lecture pour voir défiler les différentes mesures à noter sur un écran digital. Figure 23: Groupe électro-diésel 5 LHP 201 GE
  • 34.
    Rapport Stage EDFpar Cyril VAAST Page 34 Les valeurs récoltées sont issues de capteurs reliés à des sondes de T°C, de pression ou de débit qui sont continuellement en communication avec le tableau de bord présenté ci-dessus. Chaque sonde de chaque capteur possède à coté d’elle, une plaque métallique indiquant sa référence unique (voir ci-dessous). Cependant d’autres paramètres, comme certains manomètres, étaient à lire directement au niveau de la sonde (voir ci-dessous) : Figure 24: Tableau des cadrans et mesures Figure 26: Manomètres + plaques signalétiques Figure 25: Thermomètre + plaque signalétique Figure 27: Lecture directe d'un Manomètre
  • 35.
    Rapport Stage EDFpar Cyril VAAST Page 35 Voici le tableau des paramètres à récolter lors du BSP du 07/07/2015 avec les mesures associées : Libellé Repère Critères Valeurs Pression entrée filtre 279LP 2 < P < 4 bar 3.7 bars (*) T° entrée MO b (DT327) 290LT 50 < T < 62 °C 60°C T° entrée MO B (DT327) 289LT 50 < T < 62 °C 60°C T° entrée réfrigérant 276LT T < 45 °C 29°C T° eau HT sortie MO 274LT T < 76 °C 73°C T° sortie réfrigérant b 297LT T < 50 °C 32°C T° sortie réfrigérant B 298LT T < 50 °C 32°C Pression sortie réfrigérant b 286LP pas de critères d'alarme 0.5 bars Pression sortie réfrigérant B 281LP pas de critères d'alarme 0.55 bars Pression eau BT entrée RF air 275LP 4 < P < 5,3 bars 4.6 bars Pression eau HT entrée MO 273LP 3.5 < P < 4.5 bars 4.3 bars Pression entrée filtre b 287LP 6 < P < 7.7 bars 6.9 bars Pression entrée filtre B 277LP 6 < P < 7.7 bars 7 bars Pression sortie filtre b (DT327) 288LP 5.8 < P < 7.5 bars 6.6 bars Pression sortie filtre B (DT327) 278LP 5.8 < P < 7.5 bars 6.6 bars Pression sortie filtre 280LP 1.7 < P < 3.8 bar 3.25 bars (*) Delta P Entrée Sortie filtre (*) Vérifier que (279 LP - 280 LP) < 0.8 bars 0.45 bars T° échappement cylindre N° 1 333LT T moy + - 60 °C 521°C T° échappement cylindre N° 2 332LT T moy + - 60 °C 464°C T° échappement cylindre N° 3 331LT T moy + - 60 °C 439°C T° échappement cylindre N° 4 330LT T moy + - 60 °C 507°C T° échappement cylindre N° 5 329LT T moy + - 60 °C 461°C T° échappement cylindre N° 6 328LT T moy + - 60 °C 466°C T° échappement cylindre N° 7 327LT T moy + - 60 °C 448°C T° échappement cylindre N° 8 326LT T moy + - 60 °C 448°C T° échappement cylindre N° 9 325LT T moy + - 60 °C 458°C T° échappement cylindre N° 10 324LT T moy + - 60 °C 448°C T° MOYENNE T moy< 500 °C 481°C T° échappement cylindre N° 11 323LT T moy + - 60 °C 518°C T° échappement cylindre N° 12 322LT T moy + - 60 °C 505°C T° échappement cylindre N° 13 321LT T moy + - 60 °C 464°C T° échappement cylindre N° 14 320LT T moy + - 60 °C 488°C
  • 36.
    Rapport Stage EDFpar Cyril VAAST Page 36 T° échappement cylindre N° 15 319LT T moy + - 60 °C 549 -> 505°C T° échappement cylindre N° 16 318LT T moy + - 60 °C 494°C T° échappement cylindre N° 17 317LT T moy + - 60 °C 520°C T° échappement cylindre N° 18 316LT T moy + - 60 °C 471°C T° échappement cylindre N° 19 315LT T moy + - 60 °C 484°C T° échappement cylindre N° 20 314LT T moy + - 60 °C 472°C T° Turbo 1 335LT T < 610 °C 537°C T° Turbo 2 334LT T < 610 °C 551°C T°palier alternateur CA 416MT T°<90°C / T°palier alternateur COA 417MT T°<90°C / T° enroulement stator 003EU T°<100°C / Vitesse (tr / mn) 1494 < N < 1506 tr/mn 1500 Temps de montée en vitesse < 15 s / Temps marche (DT327) pas de critères d'alarme 919 heures Compteur Horaire LH* 001CO pas de critères d'alarme 5833 heures Compteur Horaire LH* 002CO pas de critères d'alarme 9460 heures Température extérieure pas de critères d'alarme 20°C Température intérieure local pas de critères d'alarme 31°C Position cran du RG (accélération) pas de critères d'alarme 4 sans P alternateur (MW) (active) 105 ID pas de critères d'alarme 1.7 MW Q (MVAR) (réactive) 102 ID pas de critères d'alarme 0.9 MVAR 229 FI P<200 mm CE 40 mmCE 340 FI P<200 mm CE 0 mmCE 002LP pression 004BA 38 bars 001LP Pression 005BA 38 bars Divers pas de critères d'alarme / Niveau Gazole 003BA > 66 m3 71 m 3 Cependant, lors de la lecture des paramètres sur le tableau, nous avions remarqué une T°C anormale car la T°C d’échappement du cylindre 15 était de 549°C ( > TMoyenne + 60°C ). Elle était donc en dehors de la fourchette admissible. De plus, un voyant rouge d’erreur s’était allumé lors de l’affichage de cette T°C ce qui indiquait un défaut au niveau du capteur. Il nous a donc fallu débrancher la connectique du capteur automatisé au niveau du cylindre n°15 afin d’y brancher notre thermomètre portatif afin de récolter la T°C réelle des gaz d’échappement du cylindre n°15.
  • 37.
    Rapport Stage EDFpar Cyril VAAST Page 37 La mesure de 549°C était bien erronée puisque notre appareil de mesure nous avait indiqué 505°C, ce qui était plus cohérent avec le reste des T°C des cylindres. En conclusion, tous les paramètres recueillis sur le générateur électro-diesel ne dépassaient pas les seuils de critère d’arrêt ou même d’alarme. On peut donc en conclure que le générateur diesel était conforme aux critères mis en place. Figure 29: Thermomètre portatif Figure 28: Capteur à visser à la sonde
  • 38.
    Rapport Stage EDFpar Cyril VAAST Page 38 5.1.3 Fiches réflexes 5.1.3.1 Equilibrage dynamique Il m’avait été demandé de rédiger un livret expliquant les manipulations à suivre lorsqu’il fallait acquérir des mesures vibratoires sur un système donné. Ce livrable est visible dans les annexes de ce rapport. Il détaille comment charger la ronde associée au système ciblé, l’acquisition des mesures, le contrôle de ces dernières puis le déchargement des données recueillies. En effet, lorsqu’une intervention de mesure vibratoire doit être effectuée, le technicien SMT doit tout d’abord transférer depuis son ordinateur, la ronde spécifique au système (CFI par exemple) qu’il va mesurer. Pour cela, il connecte son collecteur Movipack® à son poste et va récupérer la ronde correspondant au système recherché (ici CFI). La démarche est décrite dans la fiche réflexe « Mesure vibratoire » située dans l’annexe. La route chargée dans le collecteur contient déjà l’ensemble des points de mesure à acquérir sur la machine (comme on peut le voir sur la figure ci- dessous). On doit donc brancher et acquérir les mesures vibratoires du système CFI sur 10 points différents :  2 radiaux sur le 1 er palier moteur (1R1 et 1R2)  2 radiaux sur le 2 ème palier moteur (2R1 et 2R2)  1 axial sur l’arbre moteur (1A)  2 radiaux sur le 1 er palier pompe (11R1 et 11R2)  2 radiaux sur le 2 ème palier pompe (12R1 et 12R2)  1 axial sur l’arbre moteur (11A) Figure 30: Ensemble des points de mesure du système CFI
  • 39.
    Rapport Stage EDFpar Cyril VAAST Page 39 Pour cela, on vient visser le capteur accéléromètre sur l’embase collée à l’emplacement voulu (1R1 par exemple). Après s’être assuré que la machine fonctionne dans les conditions demandées, on peut alors lancer l’acquisition : Une fois que l’ensemble des points référencés dans la ronde a été pris, on peut rentrer à la cellule SMT afin de décharger les données pour pouvoir les analyser. Dans les annexes, on retrouve la fiche réflexe que j’ai créée à ce sujet. Elle décrit en détail la procédure à suivre concernant la prise de mesures vibratoires. 5.1.3.2 Fiche réflexe : Equilibrage dynamique Voici la mission initiale pour laquelle j’ai été désigné pour ce stage. Cette mission consiste donc à rédiger une fiche réflexe (visible en Annexe) concernant la manipulation du collecteur (appelé Movipack®). Cette manipulation est nécessaire dans le cas où une intervention d’équilibrage est requise. Elle est détaillée de manière précise dans les annexes dans la fiche réflexe correspondante que j’ai réalisée. Comme une demande d’équilibrage reste relativement rare, la cellule SMT préfère sous-traiter ce genre de travaux à des experts en vibration. Cette délégation de tâche était principalement due au manque de pratique et de compétence concernant les manipulations au sein de l’équipe SMT. En effet, une seule personne était qualifiée et habituée à le faire mais pour des raisons de santé, elle ne pouvait plus se rendre sur place pour effectuer l’équilibrage. Donc plutôt que de perdre tout le savoir- faire et de dépenser énormément d’argent dans des prestations coûteuses, il a été décidé de faire monter en compétence le reste de l’équipe afin de la rendre capable d’effectuer un équilibrage. Les avantages sont nombreux, outre une économie sur le plan financier, on élargit le domaine de compétence de l’équipe SMT, on conserve une meilleure trace des interventions faites et un gain de temps apparaît car l’analyse se fait en interne et l’intervention d’équilibrage est mise en place par des agents EDF qui ont une connaissance précise sur le comportement de la machine à équilibrer. Cela signifie qu’ils savent si un système est reconnu pour avoir un comportement atypique ou non, où se situe le système, qui appeler pour consigner la machine lorsque cela est nécessaire… Figure 31: Exemple d'acquisition de niveaux vibratoires
  • 40.
    Rapport Stage EDFpar Cyril VAAST Page 40 Finalement, cette formation de l’équipe SMT à l’équilibrage dynamique n’a que de bons côtés. Mais il faudra s’assurer que les techniciens ne perdent pas la main si une intervention est prévue après une longue période sans mise en pratique. Et c’est là qu’est l’intérêt de mon livret afin de rappeler la procédure. En plus de la fiche réflexe, on m’a demandé de bien vouloir réaliser une vidéo mettant en scène les gestes à pratiquer afin d’élargir les supports pédagogiques concernant l’équilibrage dynamique. Sur ce genre de livret, le but n’est pas d’expliquer en théorie les phénomènes d’équilibrage ainsi que leur conséquence. Le principe est de décrire de manière accessible le déroulement des actions à effectuer. Voilà pourquoi il est primordial d’y intégrer des images commentées. Cependant l’ensemble de la cellule a suivi une formation théorique puis une mise en pratique vis-à-vis de l’équilibrage. Mais cette formation sera décrite dans la partie méthodologie de ce rapport. Afin de se rendre compte du travail réalisé, la fiche réflexe « équilibrage dynamique » que j’ai réalisé est visible dans les annexes de ce rapport. 5.1.3.3 Fiche réflexe : Thermographie En plus des mesures vibratoires, la cellule SMT est aussi responsable du suivi thermographique de certains systèmes (armoires électriques ou conduite de vapeur). Pour assurer ce rôle, les agents SMT vont sur site avec une caméra infrarouge afin de pouvoir visualiser d’éventuels points chauds anormaux. Mais contrairement à une caméra classique, la prise en main d’une caméra infrarouge est un peu plus compliquée puisqu’il faut renseigner plusieurs paramètres afin d’obtenir une analyse thermographique conforme aux exigences :  Température ambiante et taux d’humidité  Emissivité du matériau pointé  Distance entre la lentille de la caméra et l’objet visé  Et divers autres paramètres Sa prise en main est donc relativement compliquée et son champ d’action très large. C’est pourquoi il est intéressant d’avoir une fiche réflexe concernant l’utilisation de cette caméra thermique. L’analyse thermographique n’étant pas le sujet principal de ce stage, je ne décrirai que rapidement le fonctionnement de cet appareil de mesure. Comme son nom l’indique, la caméra travaille dans le domaine infrarouge :
  • 41.
    Rapport Stage EDFpar Cyril VAAST Page 41 La problématique concernant la prise d’un cliché thermographique est la forte influence de l’atmosphère séparant la lentille réceptrice de la caméra et la surface de l’objet ciblé. Il est donc important de renseigner les paramètres cités précédemment. Cependant, la caméra de la cellule SMT permet de prendre des clichés dynamiques. Cela veut dire que l’on peut les retravailler après la prise de photo sur un ordinateur avec le logiciel compatible. Mais toutes ces fonctionnalités sont décrites dans la fiche réflexe « mesure thermographique » située dans les annexes de ce rapport. La thermographie permet entre autre de déceler un problème d’isolation calorifique sur une conduite de vapeur par exemple ou alors un sur échauffement d’un conducteur électrique au niveau d’une armoire électrique. 5.1.4 Suivi de tendance EAS et RIS Le suivi de tendance est l’un des principes fondamentaux de la maintenance préventive. L’intérêt ici est de pouvoir prévenir la casse d’une machine. Pour cela, des seuils d’alerte et d’arrêt sont prédéfinis pour chaque capteur. Ainsi on peut suivre l’évolution au fil du temps des niveaux vibratoires de chaque point de mesure. Le logiciel OneProd® permet d’obtenir la courbe de tendance dans l’unité souhaitée (vitesse, déplacement, accélération) d’un point (ici 1R1 par exemple) sur un système précis (on prend 6 CFI 002 PO pour illustrer cela) : Figure 32: Répartition des ondes électromagnétiques
  • 42.
    Rapport Stage EDFpar Cyril VAAST Page 42 On remarque ici que les seuils d’alerte (ligne horizontale orange) et d’arrêt (ligne horizontale rouge) ont été dépassés à plusieurs reprises. On observe aussi qu’à partir du moment où une mesure dépasse un seuil, la mesure suivante n’est plus en alerte. Cela indique bien qu’une action préventive voire corrective (s’il est trop tard) a été menée afin de résoudre le problème de la manière la plus efficace. Le dernier pic fait référence à la hausse des niveaux vibratoires suite à la dégradation de la dalle de béton support du système CFI. L’intervention a été décrite précédemment dans ce rapport. Concernant la mission qui m’a été donnée, il s’agissait d’examiner le suivi de tendance de deux types de machines : les motopompes verticales EAS et RIS. Pour cela, on m’a fourni un fichier Excel sur lequel on retrouvait l’historique des mesures vibratoires de tous les points des 12 pompes EAS et 12 pompes RIS présentes sur le site (2 pompes par tranche). De manière globale, le système EAS assure l’aspersion d’eau dans l’enceinte de confinement. C’est donc un matériel IPS qui demande un suivi minutieux. Son rôle est :  D’assurer le refroidissement de l’enceinte en cas de problème  De réduire la pression de l’enceinte pour éviter une surpression supérieure à 5bars Figure 33: Suivi du point 1R1 sur 6CFI002 entre 2005 et 2015 Figure 34: Schémas d'implantation d'EAS 03/07/15
  • 43.
    Rapport Stage EDFpar Cyril VAAST Page 43 Le système RIS est quant à lui mis en place afin d’assurer un apport suffisant en eau fraîche dans le cœur du réacteur dans le cas où une perte du réfrigérant primaire initial est détecté. Son second rôle est aussi d’injecter le plus rapidement possible de l’acide borique fortement concentré en cas de RTV (Rupture de la Tuyauterie Vapeur) pour compenser l’apport de réactivité lié au coup de froid. Il fait aussi parti du matériel IPS et demande par conséquent un suivi constant. Pour revenir à mes objectifs, il fallait se focaliser sur les points 1R1 et 1R2 de chaque pompe EAS et RIS. On rassemble alors l’historique des mesures effectuées sur ces deux points entre 2005 et 2015. Puis on trace les graphiques faisant étant pour chaque pompe des niveaux vibratoires exprimés en mm/s en fonction de la date d’acquisition de la mesure. On remarque alors la présence de fluctuations au cours du temps des niveaux globaux. De plus, on remarque que certaines pompes ont un comportement vibratoire stable (comme la 2 RIS 002 PO en noir par exemple) tandis que d’autres (comme la 6 RIS 001 PO en rouge) montrent de forts pics. On qualifie ces dernières de « pompes sensibles aux vibrations ». Et ce sont ces machines instables qui nous intéressent dans cette étude. Figure 35: Suivi du point 1R1 des pompes RIS
  • 44.
    Rapport Stage EDFpar Cyril VAAST Page 44 Une fois l’ensemble des pompes sensibles détectées, il faut essayer de trouver les causes plausibles qui ont pu engendrer des hausses des niveaux vibratoires. Ces causes peuvent être de diverses natures :  Problème de lubrification du coulisseau du cardan  Problème de dégradation des roulements  Phénomène de résonnance lors de la mesure  Mauvais réglage du butonnage (agit sur l’angle d’inclinaison du cardan entre le moteur et la pompe)  Desserrage des vis de fixation sur la plaque support  Fissures de la dalle béton qui supporte la motopompe. Cependant, il n’est pas toujours aisé de trouver exactement la cause du problème. Pour cela, il faut se renseigner sur l’ensemble des interventions qui ont été faites sur le système étudié :  Prise de mesures vibratoires  Lubrification de la machine  Remplacement d’un élément mécanique  Réglage du butonnage On retrouve ces indications dans une base de données qui regroupe toutes les demandes d’intervention (DI) et les interventions elles-mêmes (OI). On peut également accéder au rapport de l’OI associé. Cette base de données est accessible par le logiciel SYGMA® dont l’utilisation sera détaillée dans la partie « méthodologie de travail » de ce rapport. Une fois que l’on a trouvé l’OT qui serait susceptible de justifier d’une hausse des niveaux vibratoires, on peut renseigner cela dans le tableau associé au graphe (comme ci-dessous) : Mais quel est l’intérêt de cette analyse ? Pourquoi entreprendre une telle démarche alors que les problèmes ont déjà été solutionnés ? Depuis l’origine, les groupes motopompes RIS et EAS présentent des problèmes vibratoires. Il s’agit alors d’obtenir des niveaux vibratoires satisfaisants (inférieurs au critère d’alarme) et des fréquences propres des moteurs éloignées d’au moins 10% de la fréquence d’excitation située à 25 Hz, d’où une bande de fréquence à éviter de [22,5 – 27,5 Hz]. Cela indique qu’il est possible que parfois on se retrouve avec un niveau d’alerte, mais que cette mesure soit erronée dans le sens où la fréquence d’excitation et de résonnance de la motopompe étaient trop proches. On a donc besoin de Figure 36: Exemple d'une cause probable de hausse des niveaux
  • 45.
    Rapport Stage EDFpar Cyril VAAST Page 45 modifier la fréquence de résonnance de la machine pour refaire une mesure plus significative. Pour modifier cette fréquence, on a deux solutions :  Apporter de la rigidité à la motopompe pour augmenter sa fréquence de résonnance  Augmenter la masse du système pour baisse sa fréquence de résonnance La deuxième solution est compliquée à mettre en œuvre car il faudrait ajouter des centaines de kilos voire des tonnes pour déplacer significativement la fenêtre de résonnance de la pompe. Or ces systèmes se situent dans des locaux, ce qui rend l’accès difficile pour y déposer de lourds blocs de béton. La première est celle généralement utilisée. Les pompes EAS et RIS sont des groupes motopompes disposés verticalement. On vient donc ancrer les machines aux murs environnants à l’aide de tirants. On peut alors augmenter la tension de ces tirants (butons) pour élever la rigidité du système. Mais le problème sous jacent est une augmentation de l’inclinaison du cardan d’accouplement qui peut engendrer une hausse des niveaux vibratoires. Voilà pourquoi il est primordial de s’assurer qu’un réglage de butonnage nous permet de quitter le phénomène de résonnance tout en conservant des niveaux acceptables. On veut à tout prix éviter une hausse alarmante des vibrations dans le cas où ces pompes devraient assurer pleinement leur rôle de sureté. Et il est important de repérer les pompes atypiques afin d’augmenter les actions à leur égard pour réduire leur vibration (pose de sabots raidisseurs, réglage des butons…) Après avoir effectué cette première analyse globale, il m’a été demandé d’approfondir cette étude. Il s’agissait de référencer les dates où des points étaient anormalement hauts sur les pompes sensibles et de répertorier sur les spectres associés, les fréquences des pics que l’on observe. Ainsi on peut confirmer si le problème venait d’un problème de palier (Haute Fréquence), de déséquilibrage (Basse Fréquence), de lubrification, etc.…
  • 46.
    Rapport Stage EDFpar Cyril VAAST Page 46 5.1.5 Macro de tri GPS Chaque semaine, mon maître de stage doit effectuer une extraction depuis une base de données (appelée GPS) qui liste l’ensemble des opérations à effectuer par la cellule SMT. Cette liste brute indique la nature de l’intervention (vibration, prélèvement d’huile, thermographie…), le système ciblé par l’intervention (4 EAS 001 PO par exemple) et la date au plus tard avant laquelle doit être soldée l’intervention. Dans notre cellule SMT, les 8 techniciens sont répartis en 4 binômes :  Binôme 1 : Mesures Vibratoires sur les tranches 1 et 2  Binôme 2 : Mesures Vibratoires sur les tranches 3 et 4  Binôme 3 : Mesures Vibratoires sur les tranches 5 et 6  Binôme 4 : Mesures Thermographiques, demandes fortuites toutes tranches et mesures vibratoires commun de tranche Il est donc nécessaire qu’ils puissent depuis la liste brute des interventions, repérer celles qui les concernent ainsi que la date avant laquelle elles doivent être effectuées. Sachant que cette liste possède plus de 900 lignes, on peut vite s’y perdre… Mon objectif était donc d’automatiser le tri de cette liste d’interventions brute afin de faire gagner du temps à mon maître de stage. La solution choisie a été la programmation d’une Macro sur le logiciel Microsoft Office Excel. On partait donc d’une liste d’OT comportant les informations suivantes :  Symbole pour le suivi de valid. TOT  Nom  RF  Descriptif  Libellé OT/OTM  Affectation Métier / TOT  Catégorie TOTM*PMRQ  Type d'OT  Statut  Code fréquence TOTM*PMRQ  Date au plus TOT calculée GRA  Date d'échéance OT  Date au plus TARD calculée GRA  N° semaine OT (chaine)  Date souhaitée métier TOT  N° semaine date souhaite métier  TOTM x PMRQ  Demande de régime AIC  Suivi métier  Remarque métier  OT + Desc OT Figure 37: Aperçu de la liste à trier Référence du système Date au plus tard
  • 47.
    Rapport Stage EDFpar Cyril VAAST Page 47 Il fallait ensuite trier les OTs par tranche (filtre selon le 1 er chiffre de la référence) en faisant attention de distinguer les mesures thermographiques des autres interventions (mesures vibratoires, prélèvements d’huile…). Puis trouver un moyen visuel et explicite d’indiquer si la date « au plus tard » de l’intervention a été dépassée, est à faire dans le mois ou encore plus tard. Voilà pourquoi des vignettes de couleurs ont été mises en place :  Vert si à faire après 30 jours à compter d’aujourd’hui  Orange si à faire dans les 30 jours à compter d’aujourd’hui  Rouge si la « date au plus tard » est déjà dépassée Voici un aperçu de la liste une fois triée (voir en Annexes pour plus de détails) : La macro a été codée avec le module VisualBasic du logiciel Excel. La principale difficulté a été de créer une macro adaptable à la taille de la liste (nombre de lignes) qui varie d’une extraction à une autre. Figure 38: Aperçu de la liste triée Tri par tranche Indicateur de la date au plus tard Figure 39: Visualisation du codage de la Macro
  • 48.
    Rapport Stage EDFpar Cyril VAAST Page 48 5.2 Méthodologie de travail 5.2.1 Formation vibratoire En plus d’aborder la vibration et les phénomènes environnants à plusieurs reprises au sein de mon cursus d’ingénieur, j’ai pu assister à une formation portant sur l’équilibrage dynamique par un formateur de l’entreprise Icare. Ces deux premiers jours de remise à niveau m’ont été utiles car bien que mes connaissances théoriques sur le sujet étaient adaptées, la résolution de problèmes d’équilibrage et les manipulations associées m’étaient peu connues. Cette formation rappelait les bases des vibrations mais elle avait pour but de nous informer vis-à- vis de l’équilibrage d’une machine tournante électrique qui comporterait un problème de balourd mécanique. Cela signifie que l’on n’a pas été formé pour résoudre des soucis de balourd suite à un échauffement asymétrique de l’arbre, ou encore à cause d’un défaut d’alimentation électrique… De plus, le domaine d’application de l’équilibrage se limitait à une prise de mesures vibratoires sur un unique plan (1 point radial) avec un équilibrage sur un seul plan de la machine (au niveau du ventilateur moteur généralement). Quelques points de la formation vont être explicités prochainement. Tout d’abord, le formateur nous a fait prendre conscience de l’intérêt d’un équilibrage vis-à-vis des pertes énergétiques engendrées. Avant Equil. Après Equil. Economie Niveau Vib 10,7 mm/s RMS 0,8 mm/s RMS 9,9 mm/s RMS Puissance perdue 900 Watts 300 Watts 600 Watts CO2 consommé 2,3 T/an 750 kg/an 1,5T/an La formule utilisée dans ce calcul est la suivante : Une fois que l’on avait pris conscience de cet aspect énergétique, on a discuté des différents types de balourds que l’on peut rencontrer sur une machine tournante : Le balourd statique :  Une masse excentrée (M) placée de façon telle que l’axe principal d’inertie (I) se déplace parallèlement à l’axe de rotation de l’arbre (R)  “Statique” signifie qu’il existe un déséquilibre lorsque le rotor est à l’arrêt: l’équilibre statique n’est pas réalisé.       1000/3 PFVIfinalInitialE 
  • 49.
    Rapport Stage EDFpar Cyril VAAST Page 49 Le balourd de couple :  Deux masses excentrées (M1 et M2) placées de façon telle que l’axe principal d’inertie (I) coupe l’axe de rotation de l’arbre (R) au centre de gravité (G) génèrent un balourd de couple.  Le centre de gravité se situe sur l’axe de rotation; l’équilibre statique est réalisé. Le balourd de couple ne génère des vibrations sur les paliers que lorsque le rotor est en rotation. Le balourd dynamique :  Trois masses excentrées (M, M1 et M2) placées de façon telle que l’axe principal d’inertie (I) et l’axe de rotation de l’arbre (R) ne se coupent pas: (ils ne sont pas coplanaires).  C’est le cas le plus fréquemment rencontré. Le formateur nous a également appris à repérer un problème de balourd suite à l’analyse d’un spectre FFT (pic à la fréquence de rotation), à l’étude de la phase du déséquilibre (doit être stable et déphasée de 90° entre 2 capteurs radiaux coplanaires placés perpendiculairement l’un à l’autre. Nous avons ensuite discuté concernant le phénomène de résonnance qui peut être fortement destructif et qu’il faut à tout pris éviter. Si la fréquence d’excitation d’une machine est trop proche de sa fréquence de résonnance, il faut jouer sur la rigidité ou la masse du système pour déplacer cette plage fréquentielle critique. De plus, la résonnance amplifiant l’énergie vibratoire initiale, acquérir des mesures dans ces conditions ne pourra pas nous donner un aperçu valable de la santé de notre machine. Figure 40: Spectre typique d'un balourd
  • 50.
    Rapport Stage EDFpar Cyril VAAST Page 50 Une fois que l’on s’est assuré que le problème provient bien d’un déséquilibre, on peut fixer des masselottes d’équilibrage aux positions calculées par le collecteur (voir Annexes : « Fiche réflexe de l’équilibrage »). Mais il faut garder à l’esprit que ces masses doivent se placer le plus loin, radialement parlant, de l’axe de rotation de l’arbre. Ainsi pour un poids, la masselotte aura une influence plus grande si elle est boulonnée à l’extrémité d’une pale plutôt que proche du centre de rotation. L’intérêt de cette formation était aussi la possibilité de s’entraîner directement sur un banc d’essai vibratoire pour s’assurer que les manipulations soient validées. On pouvait donc simuler la présence d’un balourd au niveau d’un palier puis entreprendre une intervention d’équilibrage à l’aide du Movipack© et contrôler les niveaux vibratoires après l’exercice. Finalement, ce que l’on peut aussi retenir de ces deux journées de formation est qu’un équilibrage n’est pas la solution à tout. En effet, en faisant ce genre d’intervention, on peut soit retirer de la masse au niveau du balourd ou en rajouter à l’opposé. Cependant il est difficile de retirer une masse précise en perçant les pales d’un ventilateur. Voilà pourquoi on préférera ajout des masselottes d’équilibrage pour contrebalancer le balourd. Mais c’est provoquer une augmentation de la masse en mouvement au niveau de la machine. Et comme nous le savons, cela engendre une usure plus rapide au niveau des paliers. Il ne faut donc équilibrer une machine que si l’on est certain que la cause du problème vient d’un balourd. Sinon l’intervention sera vaine et l’ajout de poids va user prématurément notre système. Ce qui n’est absolument pas le but originel de la maintenance préventive. 5.2.2 Fiches réflexes De manière succincte, la rédaction des fiches réflexes s’est passée comme suit. Tout d’abord il fallait que je m’habitue à l’utilisation de l’appareil pour lequel je créais la fiche réflexe (caméra thermographique, Movipack®, module VisualBasic…). Une fois à l’aise avec cela, je devais décrire pas à pas la procédure à suivre. Tout en envisageant l’ensemble des erreurs ou défauts que l’on pouvait rencontrer durant la manipulation (modification des paramètres, défaut de capteur, problème d’unité…). Figure 41: Photos du banc d'essai
  • 51.
    Rapport Stage EDFpar Cyril VAAST Page 51 L’intérêt de ces livrets n’est pas d’expliquer en théorie les phénomènes physiques que l’on rencontre lors de l’intervention mais de permettre à un technicien SMT de se remémorer les étapes de l’opération en un coup d’œil. Car l’équilibrage par exemple est un type d’OT que l’on demande très rarement (une ou deux fois par an), il est donc utile de pouvoir se rafraîchir la mémoire quant à l’utilisation du module d’équilibrage. Pour cela, j’ai dû prendre bon nombre d’impressions d’écran et autres photos puis les agrémenter d’annotations afin de rendre les livrets plus visuels et accessibles. Durant la durée de mon stage, j’ai pu tester la qualité de mes fiches réflexes puisqu’un apprenti de notre cellule SMT a passé son évaluation d’activité de maintenance sur le banc d’essai pour simuler un équilibrage. C’était la première fois qu’il réalisait ce genre de travail et il a pu le réussir en s’aidant de ma fiche réflexe correspondante. 5.2.3 Exploitation de Sygma® Pour réaliser mon suivi de tendance sur les systèmes EAS et RIS, j’ai dû répertorier les travaux réalisés sur chaque machine ayant un comportement atypique grâce au logiciel SYGMA®. Pour effectuer cette recherche, on a plusieurs choix possibles :  Tous les travaux réalisés sur le site durant une période donnée  Tous les travaux réalisés sur une machine précise  Ou alors une combinaison de ces critères de recherche  Ou retrouver un travail grâce à son numéro unique d’OT Figure 42: Menu primaire de Sygma®
  • 52.
    Rapport Stage EDFpar Cyril VAAST Page 52 Une fois que l’on a repéré l’opération susceptible de nous indiquer l’origine du problème vibratoire, on peut accéder au rapport associé à l’intervention. Et c’est là qu’il est important de renseigner en amont tous les détails que l’on a pu observer durant l’opération pour faciliter à posteriori le travail d’analyse sur le long terme. Ces rapports peuvent faire suite à une mesure périodique, un remplacement d’un élément mécanique, une réfection de la dalle de béton… Pour terminer j’ai renseigné dans le rapport du suivi de tendance le numéro d’OT correspondant pour que l’ingénieur récepteur du dossier de suivi puisse retrouver facilement le fichier sur SYGMA®. Figure 43: Liste des Demandes d'Intervention (DI) faites sur 4 EAS 001 PO entre 2005 et 2006 Figure 44: Compte-rendu d'une intervention (mesures vibr.) sur 4 EAS 001 PO
  • 53.
    Rapport Stage EDFpar Cyril VAAST Page 53 5.3 Résultats obtenus, difficultés rencontrées et solutions apportées 5.3.1 Maitrise des appareils de mesure et logiciel J’ai eu l’occasion par le passé, lors de mon stage au sein d’Arcelor Mittal, de manipuler les collecteurs Movipack® puisque j’avais intégré le pôle de maintenance vibratoire. Cependant je ne faisais que les acquisitions des mesures sur le terrain. Je ne faisais pas d’analyse en aval de niveaux vibratoires ou des spectres associés. La prise en main du collecteur a donc été relativement facile. Concernant l’utilisation de la caméra thermique, j’ai pu me faire la main sur une armoire électrique. C’est d’ailleurs là dessus que j’ai pris mes photos pour imager ma fiche réflexe. De plus, un collaborateur de la cellule SMT m’a aidé pour appréhender au mieux toutes les possibilités offertes par la caméra thermique. L’exploitation du logiciel SYGMA® n’a pas été très compliquée car c’est assez redondant. Le plus difficile a été de s’habituer à l’ergonomie de l’interface que je trouve très limitée. En effet, ce logiciel est relativement ancien, bien que très efficace, et possède donc une ergonomie peu adaptée avec une interface utilisateur pas vraiment intuitive. De plus, la police et les couleurs utilisées sont fatigantes visuellement parlant. Cependant, la plus grande difficulté a été le manque d’informations sur les comptes-rendus concernant certaines interventions. Il est alors difficile d’aller récupérer plus de détails quant à l’opération, surtout quand celle-ci a eu lieu il y a plusieurs années. 5.3.2 Compréhension du vocabulaire technique Avec du recul, je constate que la majeure difficulté de ce stage a été de m’habituer au vocabulaire plus que spécifique utilisé par les agents EDF. Beaucoup de sigles ou autres trigrammes sont utilisés afin de simplifier la communication. Mais pour un nouvel arrivant, il est compliqué de connaître la signification de chacune des références des machines contrôlées ou encore des codes indicatifs des documents utilisés. Mais grâce à des carnets aide-mémoire et en demandant des précisions dès le moindre doute, on peut plus ou moins réussir à comprendre la plupart des conversations… De plus, il existe de nombreuses cellules et services sur le site qui sont aussi dénommés par des trigrammes. Il est donc nécessaire de s’appuyer sur l’organigramme détaillé du CNPE afin de se repérer au plus vite.
  • 54.
    Rapport Stage EDFpar Cyril VAAST Page 54 6 Capitalisation (1 à 2 pages) 6.1 Compétences acquises Lors de cette expérience professionnelle, je pense être monté en compétence au niveau de mon aptitude à communiquer. En effet, faisant partie d’un service de maintenance, on est souvent amené à discuter avec des collaborateurs d’autres services afin d’obtenir des informations ou pour lancer une action à distance. Il est donc primordial de savoir exprimer son besoin le plus clairement possible tout en s’adressant à la personne concernée comme lorsque j’ai eu besoin qu’un autre service que MTE nous prête une caméra pour filmer mes manipulations. Ensuite j’ai aussi dû, comme pour le suivi de tendance, présenter mon projet face à un ingénieur aux connaissances techniques très poussées concernant les machines tournantes électriques du site. Il fallait alors employer un vocabulaire relativement technique et être certain de l’exactitude des termes utilisés afin de ne pas perdre en crédibilité. Ce stage m’a aussi permis d’acquérir en indépendance puisque j’ai pu d’abord décider de récupérer des missions supplémentaires à mes objectifs initiaux. Ce qui fut très instructif. Et j’ai pu obtenir une certaine liberté quant à la présentation de mes projets ainsi que sur les moyens à employer pour y arriver. Concernant les compétences techniques, j’ai pu approfondir mes connaissances concernant les phénomènes vibratoires et notamment ceux liés à un déséquilibre d’une machine tournante grâce à la formation suivie. Et cela va de paire avec l’apprentissage que j’ai suivi sur l’analyse des spectres, chose qui ne m’était pas inconnue mais que j’ai pu encore améliorer. Bien sûr, j’ai aussi pu appréhender la manipulation d’appareils de mesure sophistiqués comme la caméra thermographique. Outils que je n’avais pas eu l’occasion d’exploiter par le passé. Dans l’ensemble, j’ai pu prendre en mains de nouveaux appareils d’acquisition de paramètres et approfondir des connaissances théoriques liées à la vibratoire mais aussi et surtout, les mettre en pratique. 6.2 Compétences utilisées Ce stage m’a demandé de mettre en œuvre bon nombre de connaissances. Sans vouloir me répéter, j’ai dû mettre à contribution le savoir que j’ai acquis vis-à-vis des vibrations et autres aspects mécaniques liés aux machines en rotation. La lecture de plan a aussi été mise à profit car il est souhaitable de temps à autre d’examiner en détail le plan d’un système afin de repérer les composants mécaniques qui le composent : roulements, ventilateurs, coulisseaux…
  • 55.
    Rapport Stage EDFpar Cyril VAAST Page 55 J’ai aussi eu l’occasion de coder une macro sur Excel et donc d’exploiter au mieux mes connaissances en informatique. Concernant les compétences managériales, il fallait être pédagogique lorsque je devais expliquer, à notre apprenti par exemple, des notions relativement techniques concernant l’équilibrage. Ou rester succinct mais complet et accessible lors de la rédaction de mes fiches réflexes afin qu’elles remplissent au mieux leur fonction de support pédagogique et de rappel. Le choix du vocabulaire était donc primordial. Ce stage a aussi été l’opportunité pour moi de gagner en indépendance et donc en prise de décision lors de mes analyses par exemple. Il a fallu faire des choix concernant les probables causes des hausses des niveaux vibratoires. Bien que la durée du stage ne fut que de 3mois, l’avancement de certains projets comme celui de l’analyse EAS/RIS était étalé sur toute la durée de mon stage. Il fallait donc faire preuve d’organisation et d’une bonne planification pour gérer au mieux le temps qui m’était imparti pour réaliser la mission. Enfin, j’ai aussi pu faire preuve d’observation et d’évaluation lorsque notre apprenti était passé sur le banc d’essai pour passer son évaluation sur une activité de maintenance (ici l’équilibrage d’un ventilateur suite à la détection d’un balourd). 6.3 Conséquences sur mon PPP Finalement ce stage, qui était dans la continuité de mon précédant stage m’a permis de comprendre l’importance de la prévention dans le secteur de la maintenance et du suivi. Cela confirme mon envie d’orienter mon Projet Professionnel vers le suivi de qualité et la fiabilisation des processus. Cependant, j’aimerais lors de mon prochain stage (qui sera celui de fin d’étude), intégrer une entreprise plus centrée sur la grande distribution afin de m’éloigner du monde de l’industrie. Et si cela est possible, continuer à former de temps à autre car je trouve cela très gratifiant malgré les difficultés et l’investissement nécessaire. De plus, cela nous apprend à nous adapter à notre interlocuteur ce qui n’est pas un exercice toujours facile. Et si cela est envisageable, je souhaiterais intégrer un poste où l’aspect managérial est plus souvent mis à contribution au détriment de l’expertise technique. Donc pourquoi ne pas accéder à un poste qui ferait le lien entre notre entreprise et un client par exemple (ingénieur chargé d’affaire).
  • 56.
    Rapport Stage EDFpar Cyril VAAST Page 56 7 Conclusion (1 à 3 pages) Ce stage, qui était dans la continuité de ma précédente expérience en entreprise, m’a donné l’occasion de mieux cerner l’orientation que je veux donner à mon parcours Professionnel et Personnel. En effet, comme je l’ai expliqué précédemment, travailler dans une centrale nucléaire m’a été tout à fait bénéfique car toutes les actions entreprises sur un site nucléaire doivent provenir de décisions communes et réfléchies. Cela oblige donc chacun à son niveau à être rigoureux dans les tâches qu’il entreprend afin d’assurer une bonne traçabilité ainsi qu’une efficacité optimale. De plus, les méthodes et outils mis en place afin d’assurer la meilleure prévision concernant la santé d’un système sont en constante évolution. Bien sûr, cela peut déplaire dans le sens où ça engendre des modifications au niveau des logiciels couramment utilisés. Et cela peut faire perdre du temps sur le court terme lors de la phase d’assimilation d’un nouvel outil mais on récupère ce manque à gagner lorsque l’outil, théoriquement plus adapté que son prédécesseur, est complètement maîtrisé. Le CNPE de Gravelines est aussi un site où beaucoup de méthodes de management sont mises en place. Par exemple, dans la cellule SMT, notre chef d’équipe essayait au maximum de mettre en place un management visuel. Cela permet d’assurer une meilleure compréhension des communications et de rendre plus ludique la manière dont les informations sont transmises.
  • 57.
    Rapport Stage EDFpar Cyril VAAST Page 57 8 Bibliographie et Sitographie Analyse vibratoire Niveau 3 [Livre] / aut. Icare. - 2014. ASE _ Principes de fonctionnement d'une centrale REP [Livre] / aut. EDF-GDF. - 2014. ASE _ Sureté [Livre] / aut. EDF-GDF. - 2014. Carnet mécanique 3- Métrologie [Livre] / aut. EDF-GDF. - 2014. Carnet mécanique 6- Vibration projet [Livre] / aut. EDF-GDF. - 2014. Catalogue des roulements avec caractéristiques techniques [Livre] / aut. SKF. - 2015. Description avancée des générateurs Diesel LHP [Livre] / aut. EDF-GDF. - 2013. Fonction collecte 01dB 4.2.2 [Livre] / aut. OneProd. - 2006. Formation Dynamic Balncing F012 French [Livre] / aut. Icare. - 2015. Manuel EDF [Livre] / aut. OneProd. - 2006. Manuel Utilisateur 01dB [Livre] / aut. OneProd. Organigramme de la centrale [Livre] / aut. Gravelines CNPE. - 2015. Paramètres du suivi de tendance (tableur) [Livre] / aut. EDF Agent. PPT sur l'analyse vibratoire [Livre] / aut. Gravelines CNPE. - 2013. PV GRA L-14 001 105 (Analyse vibratoire) [Livre] / aut. Gravelines CNPE. - 2014. Roulement et diagnostique des fréquences attendues [Livre] / aut. Gravelines EDF. Schémas mécanique et plans de LHP et LHQ [Livre] / aut. EDF-GDF.
  • 58.
    Rapport Stage EDFpar Cyril VAAST Page 58 9 Annexes 9.1 Fiche Reflexe : Mesure vibratoire
  • 59.
    Rapport Stage EDFpar Cyril VAAST Page 59
  • 60.
    Rapport Stage EDFpar Cyril VAAST Page 60
  • 61.
    Rapport Stage EDFpar Cyril VAAST Page 61
  • 62.
    Rapport Stage EDFpar Cyril VAAST Page 62
  • 63.
    Rapport Stage EDFpar Cyril VAAST Page 63
  • 64.
    Rapport Stage EDFpar Cyril VAAST Page 64
  • 65.
    Rapport Stage EDFpar Cyril VAAST Page 65
  • 66.
    Rapport Stage EDFpar Cyril VAAST Page 66
  • 67.
    Rapport Stage EDFpar Cyril VAAST Page 67
  • 68.
    Rapport Stage EDFpar Cyril VAAST Page 68
  • 69.
    Rapport Stage EDFpar Cyril VAAST Page 69
  • 70.
    Rapport Stage EDFpar Cyril VAAST Page 70
  • 71.
    Rapport Stage EDFpar Cyril VAAST Page 71
  • 72.
    Rapport Stage EDFpar Cyril VAAST Page 72
  • 73.
    Rapport Stage EDFpar Cyril VAAST Page 73 9.2 Fiche Reflexe Equilibrage Dynamique
  • 74.
    Rapport Stage EDFpar Cyril VAAST Page 74
  • 75.
    Rapport Stage EDFpar Cyril VAAST Page 75
  • 76.
    Rapport Stage EDFpar Cyril VAAST Page 76
  • 77.
    Rapport Stage EDFpar Cyril VAAST Page 77
  • 78.
    Rapport Stage EDFpar Cyril VAAST Page 78
  • 79.
    Rapport Stage EDFpar Cyril VAAST Page 79
  • 80.
    Rapport Stage EDFpar Cyril VAAST Page 80
  • 81.
    Rapport Stage EDFpar Cyril VAAST Page 81
  • 82.
    Rapport Stage EDFpar Cyril VAAST Page 82
  • 83.
    Rapport Stage EDFpar Cyril VAAST Page 83
  • 84.
    Rapport Stage EDFpar Cyril VAAST Page 84
  • 85.
    Rapport Stage EDFpar Cyril VAAST Page 85
  • 86.
    Rapport Stage EDFpar Cyril VAAST Page 86
  • 87.
    Rapport Stage EDFpar Cyril VAAST Page 87 9.3 Fiche Reflexe Thermographie
  • 88.
    Rapport Stage EDFpar Cyril VAAST Page 88
  • 89.
    Rapport Stage EDFpar Cyril VAAST Page 89
  • 90.
    Rapport Stage EDFpar Cyril VAAST Page 90
  • 91.
    Rapport Stage EDFpar Cyril VAAST Page 91
  • 92.
    Rapport Stage EDFpar Cyril VAAST Page 92
  • 93.
    Rapport Stage EDFpar Cyril VAAST Page 93
  • 94.
    Rapport Stage EDFpar Cyril VAAST Page 94
  • 95.
    Rapport Stage EDFpar Cyril VAAST Page 95
  • 96.
    Rapport Stage EDFpar Cyril VAAST Page 96
  • 97.
    Rapport Stage EDFpar Cyril VAAST Page 97
  • 98.
    Rapport Stage EDFpar Cyril VAAST Page 98
  • 99.
    Rapport Stage EDFpar Cyril VAAST Page 99
  • 100.
    Rapport Stage EDFpar Cyril VAAST Page 100 9.4 Suivi de tendance EAS 0 50 100 150 200 250 300 25/01/2005 24/02/2005 19/04/2005 18/05/2005 23/06/2005 12/08/2005 23/09/2005 19/10/2005 30/12/2005 14/01/2006 17/01/2006 08/02/2006 16/02/2006 22/02/2006 02/03/2006 12/03/2006 16/03/2006 22/04/2006 20/05/2006 27/07/2006 22/08/2006 20/09/2006 02/11/2006 15/12/2006 19/01/2007 01/04/2007 25/04/2007 14/06/2007 11/07/2007 06/08/2007 04/09/2007 15/11/2007 11/12/2007 04/03/2008 01/04/2008 05/06/2008 16/07/2008 23/09/2008 25/10/2008 11/01/2009 20/02/2009 02/04/2009 15/06/2009 25/07/2009 04/10/2009 30/12/2009 27/01/2010 21/04/2010 08/05/2010 28/07/2010 03/09/2010 14/10/2010 20/04/2011 09/07/2011 17/08/2011 20/10/2011 25/11/2011 23/12/2011 10/03/2012 04/05/2012 28/06/2012 13/08/2012 07/11/2012 23/01/2013 28/02/2013 07/05/2013 07/06/2013 04/09/2013 04/10/2013 02/01/2014 22/01/2014 29/03/2014 17/05/2014 22/07/2014 22/08/2014 12/11/2014 31/12/2014 24/03/2015 24/04/2015 Déplacement(enµm) Datedelamesure SuividetendancedeEASentre2001et201S,capteur1R1 2EAS002PO2EAS001PO 3EAS002PO3EAS001PO 4EAS002PO4EAS001PO 1EAS001PO1EAS002PO 5EAS002PO5EAS001PO 6EAS002PO6EAS001PO 2 1 4 6 7 9 11 3 13 15 17 18 19
  • 101.
    Rapport Stage EDFpar Cyril VAAST Page 101 0 20 40 60 80 100 120 140 160 180 200 25/01/2005 24/02/2005 19/04/2005 18/05/2005 23/06/2005 12/08/2005 23/09/2005 19/10/2005 30/12/2005 14/01/2006 17/01/2006 08/02/2006 16/02/2006 22/02/2006 02/03/2006 12/03/2006 16/03/2006 22/04/2006 20/05/2006 27/07/2006 22/08/2006 20/09/2006 02/11/2006 15/12/2006 19/01/2007 01/04/2007 25/04/2007 14/06/2007 11/07/2007 06/08/2007 04/09/2007 15/11/2007 11/12/2007 04/03/2008 01/04/2008 05/06/2008 16/07/2008 23/09/2008 25/10/2008 11/01/2009 20/02/2009 02/04/2009 15/06/2009 25/07/2009 04/10/2009 30/12/2009 27/01/2010 21/04/2010 08/05/2010 28/07/2010 03/09/2010 14/10/2010 20/04/2011 09/07/2011 17/08/2011 20/10/2011 25/11/2011 23/12/2011 10/03/2012 04/05/2012 28/06/2012 13/08/2012 07/11/2012 23/01/2013 28/02/2013 07/05/2013 07/06/2013 04/09/2013 04/10/2013 02/01/2014 22/01/2014 29/03/2014 17/05/2014 22/07/2014 22/08/2014 12/11/2014 31/12/2014 24/03/2015 24/04/2015 Déplacement(enµm) Datedelamesure SuividetendancedeEASentre2001et201S,capteur1R2 2EAS002PO 2EAS001PO 3EAS002PO 3EAS001PO 4EAS002PO 4EAS001PO 1EAS001PO 1EAS002PO 5EAS002PO 5EAS001PO 6EAS002PO 6EAS001PO 28 14 16 21 22 23 24 5 810 12 27 26 29
  • 102.
    Rapport Stage EDFpar Cyril VAAST Page 102 N° Hausseou Baisse RFmachine Pointde mesure EntreleEtleMesure1Mesure2N°OILibellédateOI 1Hausse1EAS001PO1R125/01/200514/01/200610,894,2N0534001Absencedegraisseauniveauducoulisseau:GraissagePaliersPo/Mo+Transmission13/09/2005 2Baisse1EAS001PO1R114/01/200614/01/200694,232,8N0604678Remplacementd'unroulementsurpaliersupérieurmoteur:Baissedesniv.Vibr(1R1)14/01/2006 N0605401Réglagedubutonnagemoteur:Baissedesniv.Vibratoires(1R1)14/01/2006 3Hausse1EAS001PO1R109/07/201104/11/201142,164,6N0879891Absencedegraisseauniveauducoulisseau:GraissagePaliersPo/Mo+Transmission11/08/2011 N0903034Resserragedestirantsmoteursà430Nm:Augmentationdesniv.Vibr(1R1)09/08/2011 4Baisse1EAS001PO1R126/01/201328/05/201350,810,2N0974273GraissagePaliersPo/Mo+Transmission:Baissedesniv.vibratoires(1R1)27/03/2013 5Hausse6EAS002PO1R204/10/200915/01/201018,445,7N0825567 Remplacementdessabotsparbutons+recalagedelaplaquemoteur(jointsiliconedeplaque décollé:àrefaire):Haussedesniv.Vibratoire(1R2) 20/11/2009 6Baisse6EAS002PO1R122/08/201017/04/201174,225,9N0837168GraissagePaliersPo/Mo+Transmission:Baissedesniv.vibratoires(1R1)06/09/2010 7Hausse6EAS002PO1R129/07/201108/10/201124,876,0N0940581Réglagedubutonnagemoteur:Baissedesniv.Vibratoires(1R2)etHaussedesniv.Vibr(1R1)08/10/2011 8Baisse6EAS002PO1R229/07/201108/10/201142,620,9N0940581Réglagedubutonnagemoteur:Baissedesniv.Vibratoires(1R2)etHaussedesniv.Vibr(1R1)08/10/2011 9Hausse6EAS002PO1R105/03/201228/06/201277,0277,0Dueàunbouchondegraissesurcoulisseau(voirOIN0969770du28/06/2012) 10Hausse6EAS002PO1R205/03/201228/06/201225,7100,4Dueàunbouchondegraissesurcoulisseau(voirOIN0969770du28/06/2012) 11Baisse6EAS002PO1R128/06/201229/06/2012277,036,3N0969770Réglagedubutonnagemoteur:Baissedesniv.Vibratoires(1R1et1R2)28/06/2012 N0988230Retraitd'unbouchondegraissesurfourreauducarban:Fortebaisseduniv.Vibr(1R1et1R2)29/06/2012 12Baisse6EAS002PO1R228/06/201229/06/2012100,416,4N0969770Réglagedubutonnagemoteur:Baissedesniv.Vibratoires(1R1et1R2)28/06/2012 N0988230Retraitd'unbouchondegraissesurfourreauducarban:Fortebaisseduniv.Vibr(1R1et1R2)29/06/2012 13Hausse4EAS002PO1R125/02/200916/06/200921,092,8N0763871Bruitanormalauniveauducardan:Haussedesniv.Vibr.(1R1et1R2)16/06/2009 14Hausse4EAS002PO1R225/02/200916/06/200939,7119,4N0763871Bruitanormalauniveauducardan:Haussedesniv.Vibr.(1R1et1R2)16/06/2009 15Baisse4EAS002PO1R116/06/200918/06/200992,858,8N0763871Réglagedubutonnagemoteur:Baissedesniv.Vibratoires(1R1et1R2)16/06/2009 16Baisse4EAS002PO1R216/06/200918/06/2009119,461,2N0763871Réglagedubutonnagemoteur:Baissedesniv.Vibratoires(1R1et1R2)16/06/2009 17Hausse4EAS002PO1R118/06/200907/10/200958,8116,3Causedelahausseinconnue(Possibilitédephénomènederésonnancelorsdelamesure) 18Baisse4EAS002PO1R107/10/200927/01/2010116,381,0N0826721Réglagedubutonnagemoteur:Baissedesniv.Vibratoires(1R1)07/10/2009
  • 103.
    Rapport Stage EDFpar Cyril VAAST Page 103 15Baisse4EAS002PO1R116/06/200918/06/200992,858,8N0763871Réglagedubutonnagemoteur:Baissedesniv.Vibratoires(1R1et1R2)16/06/2009 16Baisse4EAS002PO1R216/06/200918/06/2009119,461,2N0763871Réglagedubutonnagemoteur:Baissedesniv.Vibratoires(1R1et1R2)16/06/2009 17Hausse4EAS002PO1R118/06/200907/10/200958,8116,3Causedelahausseinconnue(Possibilitédephénomènederésonnancelorsdelamesure) 18Baisse4EAS002PO1R107/10/200927/01/2010116,381,0N0826721Réglagedubutonnagemoteur:Baissedesniv.Vibratoires(1R1)07/10/2009 19Baisse4EAS002PO1R108/05/201005/06/201098,926,1N0819059GraissagePaliersPo/Mo+Transmission:Baissedesniv.vibratoires05/06/2010 N0852115Réglagedubutonnagemoteur:Baissedesniv.Vibratoires(1R1)05/06/2010 20Hausse4EAS002PO1R105/06/201020/04/201126,1100,8N0871977Dueàuneabsencedegraissagesurcoulisseau21/04/2011 N0892987Détectiondefissuresdanslebétonprochedelamachine01/02/2011 21Hausse4EAS002PO1R219/06/201107/12/201149,0169,0N0910730 Causedelahausseinconnue(Possibilitédephénomènederésonnancelorsdelamesure) LesSMTconcluentquecettemachineestfortementsensibleauxvibrations 19/08/2011 22Baisse4EAS002PO1R207/12/201107/12/2011169,056,4N0952428Réglagedubutonnagemoteur:Baissedesniv.Vibratoires(1R2)07/12/2011 23Hausse4EAS002PO1R214/04/201211/07/201257,9177,8N0972923Cause:Problèmeauniveauducoulisseau(contrôlenettoyage+graissage)11/07/2012 24Baisse4EAS002PO1R211/07/201212/07/2012177,831,5N0993109Nettoyage+graissagePo/Mo:absencedegraissesurcardan12/07/2012 A0295017Réglagedubutonnagemoteur:Baissedesniv.Vibratoires(1R2)12/07/2012 25Baisse4EAS002PO1R120/04/201112/07/2012100,827,6N0871977GraissagePaliersPo/Mo+Transmission:Baissedesniv.vibratoires21/04/2011 N0924164GraissagePaliersPo/Mo+Transmission:Baissedesniv.vibratoires27/01/2012 A0280261Réparationdespointsd'ancragesuiteàoxydation19/05/2011 A0280715Remplacementtigesfiletéesdefixation,écrousetfreins15/06/2011 N0952428Réglagedubutonnagemoteur:Baissedesniv.Vibratoires(1R1)07/12/2011 26Hausse5EAS001PO1R227/06/200513/01/200619,357,6N0605529Remplacementdesroulements+graissagePo/Mo+Transmission:Baissedesniv.Vib(1R2)13/01/2006 N0573977Absencedegraissesurpaliermoteuretcoulisseaulorsducontrôledegraissage06/04/2006 N0628199Réglagedubutonnagemoteur:Baissedesniv.Vibratoires(1R1et1R2)28/09/2006 27Hausse5EAS001PO1R203/04/200822/07/200853,4157,4N0751793Cause:fuitehydrocyclone=>remplacementdujointd'embaseparEndel23/07/2008 28Baisse5EAS001PO1R222/07/200824/07/2008157,434,3N0711412Réglagedubutonnagemoteur:Baissedesniv.Vibratoires(1R2)24/07/2008 N0711968GraissagePo/Mo:Baissedesniv.Vibratoires(1R2)25/07/2008 29Hausse5EAS001PO1R205/06/201024/03/201231,155,9N0897502Réglagedubutonnagemoteur:Baissedesniv.Vibratoires(1R1)23/02/2011 N0913972Réglagedubutonnagemoteur:Baissedesniv.Vibratoires(1R1)20/06/2011
  • 104.
    Rapport Stage EDFpar Cyril VAAST Page 104 0,00 10,00 20,00 30,00 40,00 50,00 60,00 70,00 80,00 90,00 100,00 11/01/2005 10/03/2005 08/04/2005 09/06/2005 22/07/2005 01/09/2005 15/11/2005 23/12/2005 18/01/2006 23/01/2006 25/01/2006 04/02/2006 10/02/2006 18/02/2006 06/03/2006 09/03/2006 16/03/2006 22/04/2006 11/05/2006 12/06/2006 25/07/2006 31/08/2006 26/09/2006 27/10/2006 22/12/2006 19/01/2007 07/03/2007 10/04/2007 03/05/2007 05/06/2007 25/07/2007 28/08/2007 29/09/2007 11/12/2007 08/01/2008 06/03/2008 11/04/2008 06/05/2008 03/07/2008 18/08/2008 25/09/2008 18/11/2008 19/12/2008 23/02/2009 27/03/2009 05/06/2009 01/07/2009 14/08/2009 27/09/2009 10/11/2009 14/01/2010 26/02/2010 29/04/2010 15/06/2010 20/07/2010 16/09/2010 19/10/2010 08/04/2011 20/05/2011 30/06/2011 23/08/2011 09/09/2011 11/10/2011 08/12/2011 10/01/2012 07/03/2012 19/04/2012 31/05/2012 13/07/2012 10/08/2012 11/10/2012 28/11/2012 11/01/2013 08/03/2013 31/03/2013 23/05/2013 12/07/2013 27/08/2013 01/10/2013 05/11/2013 02/01/2014 07/02/2014 29/03/2014 22/05/2014 07/07/2014 01/09/2014 14/10/2014 11/12/2014 23/01/2015 05/03/2015 23/04/2015 26/05/2015Déplacement(enµm) Datedesmesures SuividetendancedeRISentre2001et201S,capteur1R14RIS002PO2RIS002PO 2RIS001PO1RIS002PO 1RIS001PO3RIS002PO 3RIS001PO4RIS001PO 5RIS002PO5RIS001PO 6RIS002PO6RIS001PO 1 3 4 9 11 16 17 19 21 22 24 25 26 28 29 9.5 Suivi de tendance RIS
  • 105.
    Rapport Stage EDFpar Cyril VAAST Page 105 0,00 10,00 20,00 30,00 40,00 50,00 60,00 70,00 80,00 11/01/2005 10/03/2005 08/04/2005 09/06/2005 22/07/2005 01/09/2005 15/11/2005 23/12/2005 18/01/2006 23/01/2006 25/01/2006 04/02/2006 10/02/2006 18/02/2006 06/03/2006 09/03/2006 16/03/2006 22/04/2006 11/05/2006 12/06/2006 25/07/2006 31/08/2006 26/09/2006 27/10/2006 22/12/2006 19/01/2007 07/03/2007 10/04/2007 03/05/2007 05/06/2007 25/07/2007 28/08/2007 29/09/2007 11/12/2007 08/01/2008 06/03/2008 11/04/2008 06/05/2008 03/07/2008 18/08/2008 25/09/2008 18/11/2008 19/12/2008 23/02/2009 27/03/2009 05/06/2009 01/07/2009 14/08/2009 27/09/2009 10/11/2009 14/01/2010 26/02/2010 29/04/2010 15/06/2010 20/07/2010 16/09/2010 19/10/2010 08/04/2011 20/05/2011 30/06/2011 23/08/2011 09/09/2011 11/10/2011 08/12/2011 10/01/2012 07/03/2012 19/04/2012 31/05/2012 13/07/2012 10/08/2012 11/10/2012 28/11/2012 11/01/2013 08/03/2013 31/03/2013 23/05/2013 12/07/2013 27/08/2013 01/10/2013 05/11/2013 02/01/2014 07/02/2014 29/03/2014 22/05/2014 07/07/2014 01/09/2014 14/10/2014 11/12/2014 23/01/2015 05/03/2015 23/04/2015 26/05/2015 Déplacement(enµm) Datedesmesures SuividetendancedeRISentre2001et201S,capteur1R2 4RIS002PO2RIS002PO 2RIS001PO1RIS002PO 1RIS001PO3RIS002PO 3RIS001PO4RIS001PO 5RIS002PO5RIS001PO 6RIS002PO6RIS001PO 2 57 6 8 10 1213 14 15 18 20 23 30 27
  • 106.
    Rapport Stage EDFpar Cyril VAAST Page 106 N° Hausseou Baisse RFmachine Pointde mesure EntreleEtleMesure1Mesure2N°OILibellédateOI 1Baisse4RIS002PO1R107/02/200608/03/200657,77,2N0604695Remplacementd'unroulementsurpaliersupérieurmoteur:Baissedesniv.Vibr(1R1et1R2)08/03/2006 2Baisse4RIS002PO1R207/02/200608/03/200671,819,6N0604695Remplacementd'unroulementsurpaliersupérieurmoteur:Baissedesniv.Vibr(1R1et1R2)08/03/2006 3Hausse4RIS002PO1R125/03/201331/03/20138,447,9N1038513Valeurscorrectesendébitnulethorscritèreenpleindébit.Causepossible:Cardan28/03/2013 4Baisse4RIS002PO1R131/03/201316/05/201347,926,7N1038667Remplacementducardan+graissageMo/Po:Baissedesniv.Vibr(1R1)31/03/2013 5Hausse3RIS001PO1R201/08/201211/12/201221,045,1Aucunecausenotablepourcettehausse(évolution"non-significative") 6Baisse3RIS001PO1R202/04/201323/07/201341,917,6N1017869GraissagePaliersPo/Mo+Transmission:Baissedesniv.vibratoires(1R2)23/07/2013 7Hausse3RIS001PO1R223/07/201312/11/201317,649,7N1016029Causepossible:Apparitiond'unelégèrefissuresurdallebéton(pasd'évolut.Irréversible)30/09/2013 8Baisse3RIS001PO1R212/11/201324/06/201449,719,6Aucunecausenotablepourcettehausse(évolution"non-significative")(voirOIMSF) 9Hausse5RIS002PO1R103/02/200618/02/200620,046,4 Cause:Hausseendébutd'année2006suiteauremplacementd'unroulementselonOI N0629131 29/09/2006 10Baisse5RIS002PO1R229/09/200611/05/200760,238,6N0639365Contrôleetgraissagecoulisseau+cardan:Baissedesniv.Vibr(1R2)22/03/2007 11Baisse5RIS002PO1R111/04/200821/11/200845,216,5N0711969Contrôleetgraissagecoulisseau+cardan:Baissedesniv.Vibr(1R1et1R2)10/06/2008 N0737186Baissedesniv.Vibr.(1R1et1R2)aprèsdésaccoupl./réaccouplementducardanMo/Po23/07/2008 12Baisse5RIS002PO1R211/04/200821/11/200842,223,2N0711969Contrôleetgraissagecoulisseau+cardan:Baissedesniv.Vibr(1R1et1R2)10/06/2008 N0737186Baissedesniv.Vibr.(1R1et1R2)aprèsdésaccoupl./réaccouplementducardanMo/Po23/07/2008 13Hausse5RIS001PO1R208/04/200509/05/200526,064,6N0523410GraissagePaliersPo/Mosuiteàlahaussedesniv.Vibr.(1R2)(causedelahausseinconnue)10/05/2005 14Baisse5RIS001PO1R209/05/200505/08/200564,634,7N0610904Baissedesniv.Vibr.(1R2)aprèsposede3sabotsraidisseurs 15Baisse5RIS001PO1R217/03/200622/04/200654,310,3N0605531Remplacementd'unroulementsurpaliersupérieurmoteur:Baissedesniv.Vibr(1R2)25/01/2006 N0574072Constatationd'absencedegraissesurpaliersupmoteur:graissageàfaire17/03/2006 16Hausse6RIS001PO1R104/03/200529/09/200541,586,7N0570262Causepossible:Deserraged'unevisdefixationdumoteur21/10/2005 N0540500Causepossible:Absencedegraissesurcoulisseau29/09/2005
  • 107.
    Rapport Stage EDFpar Cyril VAAST Page 107 13Hausse5RIS001PO1R208/04/200509/05/200526,064,6N0523410GraissagePaliersPo/Mosuiteàlahaussedesniv.Vibr.(1R2)(causedelahausseinconnue)10/05/2005 14Baisse5RIS001PO1R209/05/200505/08/200564,634,7N0610904Baissedesniv.Vibr.(1R2)aprèsposede3sabotsraidisseurs 15Baisse5RIS001PO1R217/03/200622/04/200654,310,3N0605531Remplacementd'unroulementsurpaliersupérieurmoteur:Baissedesniv.Vibr(1R2)25/01/2006 N0574072Constatationd'absencedegraissesurpaliersupmoteur:graissageàfaire17/03/2006 16Hausse6RIS001PO1R104/03/200529/09/200541,586,7N0570262Causepossible:Deserraged'unevisdefixationdumoteur21/10/2005 N0540500Causepossible:Absencedegraissesurcoulisseau29/09/2005 17Baisse6RIS001PO1R129/09/200503/02/200686,719,2N0604698 Réglagedubutonnagemoteuretremplacementd'unroulementmoteur:Baissedesniv. Vibratoires(1R1et1R2) 03/02/2006 N0540500GraissagePaliersPo/Mosuiteàlahaussedesniv.Vibr.(1R1et1R2)20/10/2005 18Baisse6RIS001PO1R229/09/200503/02/200638,912,2N0604698 Réglagedubutonnagemoteuretremplacementd'unroulementmoteur:Baissedesniv. Vibratoires(1R1et1R2) 03/02/2006 N0540500GraissagePaliersPo/Mosuiteàlahaussedesniv.Vibr.(1R1et1R2)20/10/2005 19Hausse6RIS001PO1R103/02/200626/05/200619,259,2N0611133 Haussedesniv.Vibr.(1R1et1R2)maispasdedégradationdesroulementsaprèsanalyse spectralemaisaugmentationdel'harmoniqueàlavitessederotation. 26/05/2006 20Hausse6RIS001PO1R203/02/200615/02/200612,230,4N0611133 Haussedesniv.Vibr.(1R1et1R2)maispasdedégradationdesroulementsaprèsanalyse spectralemaisaugmentationdel'harmoniqueàlavitessederotation. 26/05/2006 21Baisse6RIS001PO1R108/01/200727/04/200773,127,0N0665562Réglagedubutonnagemoteur:Baissedesniv.Vibratoires(1R1et1R2)27/04/2007 22Hausse6RIS001PO1R127/04/200727/04/200727,076,0A0231848Réglagedubutonnagemoteursuiteàlahaussedesniv.Vibr.(1R1et1R2)27/04/2007 23Hausse6RIS001PO1R227/04/200727/04/200728,947,5A0231848Réglagedubutonnagemoteursuiteàlahaussedesniv.Vibr.(1R1et1R2)27/04/2007 24Baisse6RIS001PO1R127/04/200717/08/200776,037,7A0231848Réglagedubutonnagemoteur:Baissedesniv.Vibratoires(1R1et1R2)27/04/2007 25Hausse6RIS001PO1R118/07/200819/06/200929,569,1N0788400Légèrehaussedesniv.Vibr.Maispasdecausevisibleàpremièrevue(T°CetgraissageOK)19/06/2009 26Baisse6RIS001PO1R119/06/200914/08/200969,126,7A0257471Réglagedubutonnagemoteur:Baissedesniv.Vibratoires(1R1et1R2)14/08/2009 27Baisse6RIS001PO1R219/06/200914/08/200940,421,5A0257471Réglagedubutonnagemoteur:Baissedesniv.Vibratoires(1R1et1R2)14/08/2009 28Hausse6RIS001PO1R114/08/200913/10/200926,763,9N0804395Haussedesniv.Vibr.(1R1)suiteauréglagedubutonnagemoteur13/10/2009 29Baisse6RIS001PO1R121/05/201004/10/201072,113,2N0836246GraissagePaliersPo/Mo+Transmission:Baissedesniv.vibratoires(1R1et1R2)20/09/2010 30Baisse6RIS001PO1R221/05/201004/10/201037,315,6N0836246GraissagePaliersPo/Mo+Transmission:Baissedesniv.vibratoires(1R1et1R2)20/09/2010
  • 108.
    Rapport Stage EDFpar Cyril VAAST Page 108 9.6 Approfondissement suivi de tendance
  • 109.
    Rapport Stage EDFpar Cyril VAAST Page 109 9.7 Fiche reflexe Macro GPS
  • 110.
    Rapport Stage EDFpar Cyril VAAST Page 110
  • 111.
    Rapport Stage EDFpar Cyril VAAST Page 111
  • 112.
    Rapport Stage EDFpar Cyril VAAST Page 112
  • 113.
    Rapport Stage EDFpar Cyril VAAST Page 113
  • 114.
    Rapport Stage EDFpar Cyril VAAST Page 114
  • 115.
    Rapport Stage EDFpar Cyril VAAST Page 115
  • 116.
    Rapport Stage EDFpar Cyril VAAST Page 116
  • 117.
    Rapport Stage EDFpar Cyril VAAST Page 117
  • 118.
    Rapport Stage EDFpar Cyril VAAST Page 118 9.8 Fréquences attendues EAS et RIS
  • 119.
    Rapport Stage EDFpar Cyril VAAST Page 119
  • 120.
    Rapport Stage EDFpar Cyril VAAST Page 120
  • 121.
    Rapport Stage EDFpar Cyril VAAST Page 121 Fréquences typiques des pompes EAS Groupes motopompes EAS Problème des barres rotoriques On remarque que l’oxydation des barres rotoriques du moteur (au nombre de 52) provoque un pic à 52 fois la fréquence de rotation soit : 52 x 24.84 Hz = 1291.68 Hz -> 1292 Hz Et la présence des raies de part et d’autre de ce pic, espacées de 100Hz (2 fois la fréquence d’alimention) confirme ce problème électrique de barres rotoriques. Ce défaut est une dégradation normale du moteur électrique et ne peut être résolu qu’en remplaçant les éléments composant le rotor du moteur. On retrouve cette signature typique des moteurs électriques sur l’ensemble des motopompes EAS et cela ne justifie pas d’un problème structurel, de fixation ou de rigidité du système. Figure 1: Spectre 1 EAS 001 PO au point 1R1 moteur (pics statoriques) 100Hz 100Hz
  • 122.
    Rapport Stage EDFpar Cyril VAAST Page 122 Fréquence de rotation de la roue à 6 aubes La pompe assure la circulation du fluide à l’aide d’une roue composée de 6 aubes. La fréquence attendue vis-à- vis de ce système est visible à 6 fois la fréquence de rotation soit : 6 x 24.84 = 149.04 -> 149.25 Hz Cette raie, que l’on appelle fréquence d’aubage est typique d’un système motopompe. Elle représente la fréquence de passage des aubes devant le capteur. Mais ceci n’est pas du à un problème structurel, de fixation ou de rigidité du système. Figure 1: Spectre 1 EAS 001 PO au point 1R1 moteur (pics aubage)