Université Hassan II
Faculté des Sciences Juridiques,
Économiques et Sociales de
Mohammedia
Année Universitaire 2008/2009

MATHEMATIQUES (Semestre 2)

– ANALYSE –
Professeur : M.REDOUABY
ANALYSE
Contenu du cours :
A.

Fonctions à une variable réelle

B.

Fonctions à deux variables réelles
Séance n° 1
A. Fonctions à une variable réelle
1.Introduction
a)
b)
c)
d)
e)

Notion de fonction
Notion d’injection
Notion de surjection
Notion de bijection
Bijection et bijection réciproque
a) Notion de fonction
Définition
Une fonction est une relation entre deux
ensembles E et F telle que :


Chaque élément de E (ensemble des
antécédents) a au plus une image dans F
(ensemble des images)
Y1

E
X

1

X2
X3

f

F
Y2

Y3

.
.
.

.
.
.

.
.

.

.

Xn

.
.

Ym


E = ensemble de départ, contient ‘n’ éléments :

X1 ; X2 ; X3 ; …. ; Xn ,
Ce sont les antécédents


F = ensemble d’arrivée, contient ‘m’ éléments :

Y1 ; Y2 ; Y3 ; …., Ym
Ce sont les images

Nous avons :

f (x1) = y1 ; f (x2) = y3 ; f (x3) = y2 ;
…….. ;

f (xn) = ym
Y1 est

l’image de X1 ; X1 est l’antécédent de Y1
Y3 est l’image de X2 ; X2 est l’antécédent de Y3
……

Ym est

l’image de Xn ; Xn est l’antécédent de Ym

Pour que f soit une fonction,
chaque élément de E doit avoir
au plus une image dans F
Exemple

IR
x

f
I

IR
1
x

f est une fonction car :

∀x∈IR

,

x a une image et une seule, sauf « 0 » qui

n’a pas d’image


Ainsi, par une fonction, un
élément de E ne peut jamais avoir
plus d’une image dans F
Exemple 1
E

f

F
Y1

X1

X2
X3

Y2

Y3

f est une fonction car :

f (x ) = y ; f (x ) = y ; f (x ) = y
2
2
1 1
3
2
Exemple 2
E

f

X1

X2
X3

F
Y1

f est une fonction car :

f ( x ) = y ; f (x ) = y ; x3
1 1
2
1

n’a pas d’image

Chaque élément de E a au plus une image
Exemple 3
E

F

f

Y1

X1

X2
X3

Y2

f n’est pas une fonction car :

x1 a deux images

Y
1

et

Y
2
Remarque Importante
Fonction et Application
Une application est une fonction particulière.
C’est une fonction telle que chaque antécédent
a exactement une image (s’il y a un antécédent
qui n’as pas d’image alors c’est simplement une
fonction et non une application)
Exemple 1
E

f

F
Y1

X1

X2
X3
X4

Y2
Y3
Y4

Chaque antécédent a une image et une seul, f est
donc mieux qu’une fonction, c’est une application
Exemple 2
E

f

F
Y1

X1

X2
X3
X4

x3

Y2
Y3
Y4

n’a pas d’image dans F, donc f n’est pas une
application, mais simplement une fonction
Exemple 3

IR
x

f
I

IR
1
x

f est simplement une fonction car et non une application
car 0 n’as pas d’image
Exemple 4

IR
x

f
I

IR
x2

f est une application car chaque élément de IR admet
une image et une seule « exactement une image »
b) Notion d’injection

« fonction injective »
Définition
f est une fonction de E vers F. f est dite
injective lorsque chaque élément de F a au
plus un antécédent dans E : un antécédent ou
rien
Exemple 1
E

f

F
Y1

X1

X2
X3
X4

Y2
Y3
Y4

Chaque élément de F a au plus un antécédent, f est
donc une fonction injective
Exemple 2
E

f

F

Y1

Y2

X1

X2
X3

Y3

Y4

Chaque élément de F a au plus un antécédent, f est
donc une fonction injective
Exemple 3
E

f

F

Y1

X1

Y2

X2
X3
X4

Y3

Y4

f n’est pas une fonction injective car :

Y1 a deux antécédents

:

x1

et

x2
Exemple 4

IR
x

IR

f

x2

I

f n’est pas injective car :
par exemple 1 a deux antécédents +1 et -1
.

IR
.

IR

+1

1

0

0

-1

.

.

.

.

.

f

.
.
Par contre

IR+
x

g

I

IR
x2

g est injective car :
 Si Y est négatif
 Si Y est positif

(Y < 0) , alors Y n’a pas d’antécédent

(Y ≥ 0) ,Y a un seul antécédent : Y
A retenir
f est une fonction de E vers F. f est injective si
elle vérifie :

∀x ;x ∈E
1 2

:

f (x ) =f (x ) ⇔x = x
1
2
1 2

C’est-à-dire : deux antécédents ont la même
image si et seulement si ils sont égaux
Remarque
f est une fonction de E vers F. Si f est
injective alors : Card E ≤ Card F

Card E = nombre des éléments de E
X1

X2
X3
.
.

E=

.

.
.
.

Xn

: Card E = n
Remarque
Méthode de la règle : Voir TD
c) Notion de surjection

« fonction surjective »
Définition
f est une fonction de E vers F. f est dite
sujective lorsque chaque élément de F a au
moins un antécédent dans E : un antécédent
ou plusieurs antécédents
« fonction surjective »
f est surjective si et seulement si :

∀y∈F

∃x∈E /

f (x) = y
Exemple 1
E

f

F
Y1

X1

X2
X3
X4

Y2

Y3

Chaque élément de F a au moins un antécédent, f
est donc une fonction surjective
Exemple 2
E

f

F
Y1

X1

X2
X3
X4

Y2

Y3

Chaque élément de F a au moins un antécédent, f
est donc une fonction surjective
Exemple 3
E

f

F
Y1

X1

X2
X3
X4

f n’est :

Y2

Y3

Y4

y a deux antécédents x et x
1
1
4
ni surjective : y n’a pas d’antécédent
4
ni injective :
Remarque
f est une fonction de E vers F. Si f est
surjective alors : Card E ≥ Card F

Card E = nombre des éléments de E
Remarque
Méthode de la règle : Voir TD
d) Notion de bijection

« fonction bijective »
Définition
f est une fonction bijective (ou une bijection)
de E vers F si et seulement f est une
application qui est à la fois injective et
surjective
C’est-à-dire chaque élément de E a une image
et une seule et chaque élément de F a un
antécédent et un seul
Exemple 1
E

f

F
Y1

X1

X2
X3
X4

f est une bijection de E vers F :
 f est injective
 f est surjective

Y2

Y3

Y4
Exemple 2
E

f

X1

X2
X3
X4

F

Y1

Y2

Y3

Y4

f n’est pas bijective de E vers F :

Y5

 f n’est pas surjective car y5 n’a pas d’antécédent
Exemple 3
E

f

F
Y1

X1

X2
X3
X4

Y2

Y3

f n’est pas une bijection de E vers F :
 f n’est pas injective
 f n’est pas surjective
Exemple 4
E

f

F
Y1

X1

X2
X3
X4

Y2

Y3

f n’est pas une bijection de E vers F car :
 f n’est pas une application : x3 n’a pas d’image
Remarque
f est une fonction de E vers F.
Si f est bijective alors :
Card E = Card F
e) bijection et bijection réciproque
E

f
f-1

F
f

E
X

1

F

Y1

X2
X3

Y2
Y3

.
.

.

.

.
.

.
.
.

.

Xn

.

f-1
x

f
f-1

Yn

y
bijection et bijection réciproque
Comment passer de f à f-1 et inversement :

f (x) = y ⇔f −1(y) = x
Ainsi si:
X
E

1

X2
X3
.
.

f

F

Y1
Y2
Y3
.

.

.
.

.

.
.

Xn

.
.
Yn
alors:

F

Y1
Y2
Y3

f-1

X
E

1

X2
X3
.
.

.

.

.
.

.
.

.
.
Yn

.

Xn
Relation fondamentale entre f et
-1
f
f

E

F

f-1

x

∀x∈E:f −1f (x) = x

f
f-1

et

y

∀y∈F:f f −1(y) = y
Exemple

IR+
x
IR+

f

IR+

f-1

x2
IR+

I

x

I

On a : ∀x ∈IR +
et :

∀x ∈IR +

x
f −1 f (x) = x 2 = x = x
f  f −1(x) = ( x )2 = x
Exemple

IR*+
x

I

IR
x
On a :
et :

f = ln

f-1 = exp
I

∀x ∈IR*+
∀x ∈IR

IR
ln x
IR*+
ex

f −1 f (x) = eln x = x
f  f −1(x) = ln ex = x
Séance n° 2
Remarque
Relation entre
la courbe de f et la courbe de sa réciproque f-1
A retenir : La courbe de f «Cf» et la courbe
de sa fonction réciproque f-1 «Cf-1» sont

symétriques par rapport à la 1ère bissectrice
(la droite d’équation y = x)
Y

2ème bissectrice

Y=x

1

45°

1ère bissectrice

x
1
Exemple
la courbe de ln « logarithme népérien » et la
courbe de sa réciproque exp « exponentielle »
sont symétriques par rapport à la droite y = x
Cexp

Y=x

Cln
A. Fonctions à une variable réel
2. Domaine de définition
f

IR
IR
f (x )
xI


admet une image 
D = x∈IR  x



f 

= x∈IR  f (x) est définie « on peut






la calculer » 
Exemples
1. Fonctions polynômiales :

f (x) = a n x n +....+ a1x + a 0
fonction polynômiale (ou polynôme) de degré n

Df = IR
Fonctions polynômiales
Exemples :
•

•
•

f (x) = 3x2 + x − 5

;

f (x) = 7x3 − x 2 + x +15

;

f (x) = 7x5 − x 4 + x 2 − 24

;

Pour toutes ces fonctions :∞;+∞[
D = IR =]−

f
Exemples
2. Fonctions rationnelles :

P(x)
f (x ) =
Q(x)
P(x) et Q(x) sont deux polynômes

Df = x∈IR  Q(x) ≠ 0








Fonctions rationnelles
Exemple :

2x +1
f (x ) =
2
2
(x −1)(x +1)
Q(x) = 0 ⇔ (x 2 −1)(x2 +1) = 0 ⇔ x2 −1= 0
x2 +1≠ 0 , ainsi :
Car
Q(x) = 0 ⇔ x 2 =1⇔ x = ±1 ⇒ Df

= IR − ±1

Df =]− ∞;−1[∪]−1;1[∪]1;+∞[










Exemples
3. Fonctions racines (nèmes) :

f (x) = n u(x) ; n est un entier naturel non nul
n = 2 ; 3 ; 4 ; 5 ; 6 ; 7 ; ……….
A retenir :
• Si n est pair :

Df = x∈IR  u(x) ≥ 0

• Si n est impair :







Df = Du




Fonctions racines (nèmes)
Exemples :
• « racine carrée » :

f (x) = 2x +1

On doit avoir :

2x +1≥ 0 ⇔ x ≥ −1/ 2 ⇒ Df =[−1/ 2;+∞[

• « racine cubique » :

3
f (x ) =

2x +1

u(x) = 2x +1 définie quelque soit x donc
Df = Du = IR =]− ∞;+∞[
Exemples
4. Fonctions puissances :

f (x) = u(x)α ; α est un

nombre rationnel

α = m/n
m et n sont deux entiers naturels non nuls
On écrit :

f (x) = u(x)m / n =(u(x)m)1/ n

n u(x) m
⇒ f (x ) =
Fonctions puissances
Exemples :
1.

f (x) = (2x +1)4 / 5 ici α = 4 / 5
5
On a : f (x) =

(2x +1)

4

; racine impaire,

on regarde alors le domaine de définition de

(2x +1)4

(2x +1)4

:
est une fonction polynômiale définie
D = IR

f
Fonctions puissances
Exemples :

f (x) = (2x +1)− 3/ 4
1
On a : f (x) =
2.

; racine paire,

4 (2x +1)3

on doit avoir :

(2x +1)3 ≥ 0

et

(2x +1)3 ≠ 0

(2x +1)3 > 0 ⇔ 2x +1> 0 ⇔ x > −1/ 2
Df =]−1/ 2;+∞[
Exemples
5. Fonctions logarithmiques :

f (x) = ln(u(x)) ; ln désigne le logarithme népérien
Df = x∈IR  u(x) > 0







Exemple :








f (x) =ln(1−x 2)
2







Df = x∈IR 1− x > 0
or

;

1−x 2 =(1−x)(1+ x) , tableau des signes
Fonctions logarithmiques
Exemple :
x
1-x

f (x) =ln(1−x 2)

∞

1+x
1-x2
Ainsi :

-1
+
-

+
0
0

+
+

1
0

-

0

+
-

Df =]−1;+1[
Exemple 2 : f (x) =ln((2x +7)(x −5))

Df = x∈IR  (2x + 7)(x −5) > 0









Tableau des signes :
x
2x+7
x-5
Donc :

Produit

-7/2
- 0

+

+

-

0

5
+
0
0

+
+

Df =]− ∞;−7 / 2[∪]5;+∞[
Exemples
6. Fonctions exponentielles :

u (x )
f (x ) = e

; alors

Df = Du

« l’exponentielle est toujours définie »
Exemples :
2

f (x) =ex + x +2 ⇒D =IR ;
f
• f (x) =e x ⇒D = IR +
;
f
1/(x −2) ⇒D = IR −2

 
• f (x ) = e
 

f
•
A. Fonctions à une variable réel
3.Continuité

I⊂ IR
x I

f

IR
f (x )

f est une fonction définie sur un intervalle I de IR
3. Continuité
a)Continuité en un point a :

a droite de a

a gauche de a
a
3. Continuité
a)Continuité en un point a :
Définition : f est continue au point a lorsque :

lim f (x) = lim f (x) = f (a)
−
+
x →a
x →a
limite à droite = limite à gauche = image de
a
Exemples
1.

x ;si x∈[0;1]
f (x ) =
; continuité en 1
2 − x ;si x∈]1;2]








On a :

et

lim f (x) = lim 2 − x = 1 =1
+
+
x →1
x →1
lim f (x) = lim x = 1 =1
−
−
x →1
x →1

f (1) = 1 =1 ; f est donc continue au point 1
2.

x +1;si x∈[0;1[
f (x) = 2 − x;si x∈]1;2]
f (1) = 3/ 2

On a :











; continuité en 1

lim f (x) = lim 2 − x = 2 −1=1
+
+
x →1
x →1
lim f (x) = lim x +1=1+1= 2
−
−
x →1
x →1
et f (1) = 3/ 2 ;

f est donc discontinue au point 1
3. Continuité
b)Continuité sur un intervalle :
Définition :
f est continue sur l’intervalle I=[a;b] lorsque f
est continue en tout point de l’intervalle ouvert
]a;b[ ; continue à gauche de b et continue à
droite de a.
• f est continue à gauche de b lorsque :

lim f (x) =f (b)
−
x →b
• f est continue à droite de a lorsque :

lim f (x) =f (a)
+
x →a
Continuité sur un intervalle [a ; b]

à gauche de b

à droite de a

a

x

b
Exemples
x ;si x∈[0;1]
1. f (x) =
2 − x ;si x∈]1;2]








;

f est continue sur l’intervalle [0 ; 2] car :
• f est continue en tout point de l’intervalle
]0 ; 2[ (en particulier au point 1),
• f est continue a droite de 0 et à gauche de 2.
Exemples

2.

x +1;si x∈[0;1[
f (x) = 2 − x;si x∈]1;2] ;
f (1) = 3/ 2










f n’est pas continue sur l’intervalle [0 ; 2] car
elle discontinue au point 1
Séance n° 3
Propriétés des fonctions continues
Si f et g sont deux fonctions continues sur un
intervalle I alors :
•
•

f +g est continue sur I
αf est continue sur I (α∈IR)

•

f ×g est continue sur I

•

f / g est continue sur I (g ≠ 0 sur I )
Conséquences

• Les fonctions polynômiales sont continues
sur IR
• Les fonctions rationnelles ; racines nèmes ;
puissances ; logarithmiques et
exponentielles sont continues sur leurs
domaines de définition
bijection et bijection réciproque
I

f

J

f-1

f est une fonction bijective de I vers J. Si f est
continue sur l’ intervalle I alors sa fonction
réciproque f-1 est continue sur l’intervalle J
(car les courbes de f et f-1 sont symétriques par
rapport à la droite d’équation y = x)
Remarque

f est continue sur l’ intervalle I

⇔

sa courbe Cf est continue
« ne présente aucune coupure »
Voir TD (Exercice 2)
Théorème des Valeurs Intermédiaires
« T.V.I »
T.V.I : Si f est continue sur l’intervalle [a; b]
et

f (a)×f (b) <0 alors f s’annule sur ]a ; b[ ;

C’est-à-dire :

∃c∈ a;b[ tel que : f (c) =0
]
Interprétation géométrique

f(b) > 0

a

I

f(a) < 0

c

b

I
Ou

f(a) > 0

a

I

c

b

I

f(b) < 0
Exemple
Montrer que la fonction f (x) = x3 + x −3
s’annule (au moins une fois) sur [0 ; 2]
 La fonction f est une fonction polynomiale
donc définie et continue sur IR, en particulier
sur l’intervalle [0 ; 2]. De plus :
f (0) = −3<0 et f (2) =7 >0
Donc d’après le T.V.I : ∃c∈ 0;2[
]
tel que f (c) =0
A. Fonctions à une variable réel
4.Dérivabilité

I⊂ IR
x I

f

IR
f (x )

f est une fonction définie sur un intervalle I
I
a

I

x0

I
b
a) Dérivabilité en un point x0

Définition
On dit que la fonction f est dérivable en x0 si :

lim
x→x

f (x ) − f (x )

0

x−x

0 existe.

0

Cette limite « quand elle existe » est appelée :
dérivée de f au point x0 et on la note f’(x0)
Ainsi

f '(x0) = lim
x→x

f (x) − f (x )
0

x−x

0

0

A retenir :
toutes les formules de dérivation qu’on
utilise sont une conséquence directe de
cette définition.
Exemples
1. Pourquoi la dérivée d’une constante est
égale à 0 ?
On pose :

f (x) =C , soit x0∈IR
I
x0

IR
f (x) −f (x )

f '(x0) = lim
x →x

0

x −x

0

0

C −C =0
= lim
x → x x −x
0

Ainsi :

0

∀x0∈IR, f '(x0) =0

Ou encore (en notant x au lieu de x0) :

∀x∈IR,

f '(x) =0
Exemples
2. Pourquoi :

(ax2 + bx + c)'= 2ax + b

On pose : f (x) =ax 2 +bx +c , soit

x0∈IR

I
x0

f '(x0) = lim
x →x

0

f (x) −f (x )
x −x

0

0
Donc :
= lim
x →x

2
+bx +c) −(ax +bx +c)
0
0

x −x

0

= lim
x →x

(ax

2

a(x

0

2

0

2
−x ) +b(x −x )
0
0

x −x

0

= lim a(x + x0) +b =a(x0 +x0) +b
x →x

0

= 2ax0 +b
Ainsi :
∀x ∈IR, f '(x ) =2ax +b
0
0
0
Ou encore (en notant x au lieu de x0) :

∀x∈IR, f '(x) =2ax +b
finalement :

f (x) = ax2 + bx + c ⇒ f '(x) = 2ax + b
3. Pourquoi :

Exemples

'
1
1

 =−


2
x


x

1
On pose : f (x) =
x
f '(x0) = lim
x →x

0

, soit

x0∈IR*

f (x) −f (x )
x −x

0

0
Donc :
f '(x0) = lim
x →x

0

1− 1
x x0
x −x 0

x 0 −x
= lim
x →x

−(x −x 0 )

0

xx 0

x −x 0

1
= lim
= lim −
xx 0
x → x xx (x −x ) x →x
0
0
0
0
1 ⇒f '(x ) =− 1
=− 2
0
2
x0
x0
finalement :
*, f '(x ) =− 1
∀x ∈IR
2
0
0
x

0
Ou encore (en notant x au lieu de x0) :

*, f '(x) =− 1
∀x∈IR
2
x
Les formules qui suivront sont aussi
conséquence
directe
de
la
définition
précédente :
b) Mémento du petit dériveur
fonction
ax+b

xα ( α∈Q )

fonction dérivée
a

αxα −1

x

1 /2 x

lnx

1/x
fonction
ex

fonction dérivée
ex

Sin x

Cos x

Cos x

-Sin x

tanx

1+ tan2x
Plus général : (u  désigne une fonction)
fonction
au+b

uα ( α∈Q )

fonction dérivée
au’

αu'×uα −1

u

u' /2 u

lnu

u'/u
fonction
eu

fonction dérivée
u'×eu

Sin u

u'×Cos u

Cos u

-u'×Sin u

tanu

(1+ tan2u)×u'
Sans oublier, lorsque la fonction se présente 
sous forme de « blocs », qu’on a :
fonction

fonction dérivée

u+ v

u'+v'

u×v

u'v+uv'

u/v

(u'v−uv')/v2

uv

(u'v)×v'
Exercice
Calculer les dérivées des fonctions suivantes :

2x
1.f(x) = x 2 −1
2.f(x) = ln(x 2 + x −3)
3.f(x) =
4.f(x) =

x eSinx
5 (x +1)3

(x 2 +1)2/15
5.f(x) =
c) Dérivabilité sur un intervalle

Définition
Une fonction f est dérivable sur l’intervalle
[a ; b] si elle est dérivable en tout point
de [a ; b]
Exemples
1.

f (x ) = x

définie et continue sur

[0;+∞[

1 définie pour x∈ 0;+∞[
]
f '(x) =
2 x
Donc la fonction f n’est pas dérivable sur

[0;+∞[ car f n’est pas dérivable en 0, mais
dérivable seulement sur l’intervalle ]0;+∞[
Exemples
2.

3
f (x ) =

x −1

définie et continue IR

Question :
f est-elle dérivable sur l’intervalle [0 ; 2] ?

3
f (x ) =

1/ 3 ⇒ f '(x) = 1 (x −1)− 2 / 3
x −1 = (x −1)
3

C’est-à-dire :

f '(x) =

1
3
3

(x −1)

2
f '(x) =

1
2
3 (x −1)
3

donc f n’est pas dérivable en x = 1, et par
conséquent f n’est pas dérivable sur l’intervalle
[0 ; 2]
Remarques
1. f est dérivable en x0

⇒ f est continue en x

2. f est dérivable sur [a ; b]
sur [a ; b]

⇒ f est continue

0
Donc « contraposée »
3. f est discontinue en x0
dérivable en x0

⇒ f n’est pas

4. f est discontinue sur [a ; b]
dérivable sur [a ; b]
Contraposée :

p⇒ q

⇒f n’est pas

⇔ non q ⇒ non p
la fonction f n’est pas dérivable en x0 car
elle est discontinue en x0

x0
Séance n° 4
Exercice « Corrigé »
Calculer les dérivées des fonctions suivantes :
2

1.f(x) =

2x ⇒f '(x) =− 2(x +1)
2
2
x 2 −1
(x −1)

2.f(x) =

ln(x 2 +x −3) ⇒f 'x) =

2x +1
2
x +x −3

x eSinx
3.f(x) =
1 eSinx + x CosxeSinx
⇒f '(x) =
2 x
Exercice « Corrigé »
4.f(x) =

5.f(x) =

(x +1)3 =(x +1)3 / 5
3
⇒f '(x) =
5 (x +1) 2
5
5

(x 2 +1)2/15
4x

⇒f '(x) =
15 (x 2 +1)13
15
Théorème de Rolle
Théorème :
Si f est une fonction continue sur l’intervalle
[a ; b] ; dérivable sur l’intervalle ouvert ]a ;
b[ etf:(a) =f (b)
alors :

∃c∈ a;b[ tel que f '(c) =0
]
Interprétation géométrique
f’(c) = 0

f(a) = f(b)

a

I

c

b

Il y a au moins un point de la courbe
où la tangente est horizontale
Remarque
Les hypothèses du Théorème de Rolle :
a) f est continue sur [a ; b]
b) f est dérivable sur ]a ; b[
c) f(a) = f(b)

sont nécessaires.
Exemple
Peut-on appliquer le Théorème de Rolle
à la fonction :
2
3

f (x) =1− (x −1)

sur l’intervalle [0 ; 2] ?
Réponse
a)

3
f (x) =1−

(x −1)

2

: la racine cubique
« racine impaire » est définie sur IR, donc

Df = IR
• f est la somme d’une fonction constante
3 (x −1) 2
«1» et d’une fonction racine « −
»
donc continue sur son domaine de définition
IR,
en particulier f est continue sur l’intervalle [0 ; 2]
Réponse
b)

2 =1−3 1 =0
f (0) =1− (0 −1)
3

2 =1−3 1 =0
f (2) =1− (2 −1)
3

ainsi

f(0) = f(2)
Réponse
c) Dérivabilité de f sur l’intervalle ]0 ; 2[

f (x) =1−3

2

(x −1) =1−(x −1)2 / 3
2
⇒f '(x) =−
33 x −1

 f n’est pas dérivable en x = 1 « f’(1) n’est
pas définie », donc f n’est pas dérivable
Conclusion
On ne peut pas appliquer le Théorème de
3
Rolle à la fonction f (x) =1−

(x −1)

2

sur l’intervalle [0 ; 2] car l’hypothèse de
dérivabilité n’est pas vérifiée !!!
Voir Exercice 5, Série de TD
Théorème des accroissements finis

« T.A.F »

Théorème :

Si f est une fonction :
a) continue sur [a ; b]
b) dérivable sur ]a ; b[

alors : ∃c∈ a;b[ tel que :
]

f (b) −f (a) =(b −a)f '(c)
2

ème

version « T.A.F »

Théorème :

Si f est une fonction :
a) continue sur [a ; b]
b) dérivable sur ]a ; b[

alors : ∃c∈ a;b[ tel que :
]

f (b) −f (a) =f '(c)
b −a
3ème version « T.A.F »

… premier développement limité
Théorème :

Si f est une fonction :
a) continue sur [a ; b]
b) dérivable sur ]a ; b[

alors : ∃c∈ a;b[ tel que :
]

f (b) =f (a) +(b −a)f '(c)
Remarque : Pourquoi on dit :
accroissements finis ?
Comme

f (b) −f (a) =(b −a)f '(c)
« 1ère version »

Si la dérivée première « f’ » est une fonction
bornée :

f '(x) ≤ M sur l’intervalle considéré,

alors on a :

f (b) −f (a) ≤M(b −a)
Ainsi, si l’ordre de grandeur de f’ est fixé,
les accroissements de la fonction f « f(b)f(a) » sont bornés « finis »
Interprétation géométrique
∃c∈ a;b[
]

f (b) −f (a) =f '(c)
tel que
b −a

Veut dire : Il y a au moins un point de la courbe
où la tangente est parallèle au segment AB
Interprétation géométrique
B
A

a

c

b

Il y a au moins un point de la courbe
où la tangente est parallèle au segment
AB
Conséquences
f est une fonction continue et dérivable sur
l’intervalle [a ; b] :
•

Si f’(x)=0 (x∈[a;b] ) alors f est constante
∀

•

≥ (
Si f’(x) 0∀x∈[a;b] ) alors f est
croissante

•

≤

∀x∈[a;b]

Si f’(x) 0 (
décroissante

) alors f est
Preuve
a
I

x
I

c
I

y
I

b
I

Soient x et y deux nombres quelconques
de l’intervalle [a ; b] tels que : x≤ y
• Si f’(x)=0 (∀x∈[a;b] ), dans ce cas ; T.A.F :

f (y) −f (x) =(y −x)f '(c) =(y −x)×0 =0
⇒f (y) =f (x) : f est donc constante sur
l’intervalle [a ; b]
Preuve
• Si f’(x) ≥0 (∀x∈[a;b] ), dans ce cas ; T.A.F :

f (y) −f (x) =(y −x)f '(c) ≥0
y −xcar0:
≥

f '(c) ≥et ⇒f (y) ≥f (x)
0

f est donc croissante sur l’intervalle [a ; b]
Preuve
• Si f’(x) ≤0 (∀x∈[a;b] ), dans ce cas ; T.A.F :

f (y) −f (x) =(y −x)f '(c) ≤0
y −xcar0:
≥

f '(c) ≤et ⇒f (y) ≤f (x)
0

f est donc décroissante sur l’intervalle [a ; b]
A. Fonctions à une variable réel
5.Calcul de limites
« Règle de l’HOSPITAL »
Exemple :

lim Sinx =?
x→0 x

Problème : lorsque x →0 :

Sinx →0 et x →0
0 =?
La forme indéterminée
0
Exemples :
1.
2.
3.

x 2 = lim x =;0
lim x
x→0
x→0
x = lim 1 =±∞
lim 2
;
x→0 x
x→0 x
.
lim 5x =5
x→0 x
La forme indéterminée
Nous avons une forme indéterminée
lorsqu’on ne peut pas prévoir le résultat
d’avance.
Les formes indéterminées :

0 =? ; ∞=? ; ∞−∞=? ;
0×∞=?
0
∞
0 =?
La forme indéterminée
0
0 =? , on peut
Pour la forme indéterminée
0
utiliser la Règle de l’Hospital :

R-H :

Si

lim f (x) = lim g(x) =0
x→a
x→a

f (x) = lim f '(x)
lim
alors x→
a g(x) x→a g'(x)
Exemples
1.

lim Sinx =?
x
x→0

Règle de l’Hospital :

lim Sinx = lim Cosx =Cos0 =1
x→0 x
x→0 1
Exemples
2.

lim ln x =?
x→ x −1
1

Règle de l’Hospital :

lim ln x = lim 1/ x =1/1=1
x→ x −1 x→ 1
1
1
Exemples
ex −1=?
3. lim
x→0+ x2
Règle de l’Hospital :

ex −1=
lim+
x→0 x2
0
ex = e = 1 =+∞
lim+
x→0 2x 0+ 0+
Remarque
La règle de l’Hospital est un outil
puissant pour le calcul des limites.
Elle peut être utilisée plusieurs fois
de suite.
Exemples
4.

ex −x −1=?
lim
x→0 x2
Règle de l’Hospital « 1ère fois »:

ex −1
= lim
x→0 2x

Règle de l’Hospital « 2ème fois »:

0

ex = e = 1
= lim
x→0 2 2 2
Exemples
sin x −x −x3 =?
5. lim
x4
x→0+
Règle de l’Hospital « 1ère fois »:

Cosx −1−3x 2
= lim+
x→0
4x3
Règle de l’Hospital « 2ème fois »:

= lim+ −Sinx −6x
x→0
12x 2
Exemples
Règle de l’Hospital « 3ème fois »:

−Cosx −6 = −7 =−∞
= lim+
+
x→0
24x
0
Séance n° 5
A. Fonctions à une variable réel

6.Dérivées d’ordre supérieur;
Formule de Taylor
Développements limités
Dérivées d’ordre supérieur
La dérivée d’ordre n (on dit aussi : la
dérivée nème) s’obtient en dérivant f n
fois :

f

on
dérive

f’

on
dérive

on
dérive

f’’

on
dérive

on
dérive

f(3)

f(n)
Exemples
1. f (x) =ln x
•

f '(x) =1/ x

;

f ''(x) =−1/ x 2
•
•

f (3)(x) =2 / x3

;
; …;

(n)(x) =(−1)n +1(n −1)!/ x n
• f
Exemples
2.

f (x) =ex

•

f '(x) =ex

•

f ''(x) =ex

•

f (n)(x) =ex

;
;…;
Utilisation de la dérivée
seconde « f’’ »
Convexité & Concavité

f

on
dérive

f’

on
dérive

f’’
Convexité
Définition
Une fonction
f est dite convexe sur
l’intervalle [a ; b] lorsque sa courbe C f sur
l’intervalle [a ; b] est au dessus de toutes
ses tangentes
Interprétation géométrique

a

b

fonction convexe :
la courbe est au dessus de ses tangentes
Concavité
Définition
Une fonction
f est dite concave sur
l’intervalle [a ; b] lorsque sa courbe C f sur
l’intervalle [a ; b] est au dessous de toutes
ses tangentes
Interprétation géométrique

a

b

fonction concave :
la courbe est au dessous de ses tangentes
Convexité

Si

f ''(x) ≥0

Théorème
ceci

∀x∈ a;b] , alors
[

la fonction f est convexe sur l’intervalle [a ;
b]
Concavité

Si

f ''(x) ≤0

Théorème
ceci

∀x∈ a;b] , alors
[

la fonction f est concave sur l’intervalle [a ;
b]
Exemples
Étudier la convexité des fonction
suivantes sur leurs domaines de
définition :
1.

f (x) =ln x ;

2.

f (x) =ex
1. f (x) =ln x ;

f (x) =ln x ⇒f '(x) =1/ x

⇒f ''(x) =−1/ x2 avec x∈D =IR*+
f

ainsi

∀x∈D

f

on a

f ''(x) <0

La fonction « ln » est concave sur

IR*+
Interprétation géométrique
lnx

1

La courbe de « ln » est concave
sur IR*+
2.

f (x) =ex ;

f ''(x) =ex >0 ceci ∀x∈Df =IR
La fonction « exp » est convexe sur IR
Interprétation géométrique
exp

1

La courbe de « exp »
est convexe sur IR
Exercice
Étudier la convexité des fonctions suivantes
sur leurs domaines de définition :
1.

f (x) = x

2.

f (x) =1/ x ;

3.

f (x) =3 x ;

4.

f (x) =x3 −3x2 +x −5

;
Dérivées d’ordre supérieur
Formule de Taylor
f(b)
f(a)
a

b

Question fondamentale en Analyse :
Connaissant la valeur de f au point a, peut-on
donner une estimation de f(b) ???
Exemple « Météo »
24°
21°
Mardi

Dimanche

Connaissant la température enregistrée Mardi,
peut-on prévoir la température de Dimanche
prochain ???
Réponse « Taylor »
f(b)
f(a)
a

b

On peut donner une valeur approchée de f(b),
à condition de connaître f(a)…mais aussi :
f’(a) ; f’’(a) ; f(3)(a) ; f(4)(a) ; …. ; f(n)(a) ; …
A savoir :
Notre estimation de f(b) est meilleure lorsque :
 n est grand
 b est proche de a
proches
I
a

I
b
Exemple « Météo »
?
22°
21°
Mardi Mercredi

Dimanche

Connaissant la température de Mardi, il est
plus simple de prévoir la température de
Mercredi « proche de Mardi » que celle de
Dimanche « loin de Mardi »
La « fameuse » Formule de Taylor
Théorème :

Si f est une fonction dérivable
à l’ordre n+1 alors :
2

(b −a) f ''(a) +
f (b) =f (a) +(b −a)f '(a) +
2!
3
n
(b −a) f (3)(a) +...+ (b −a) f (n)(a) +
3!
n!
n +1
(b −a)
]
f (n +1)(c) avec c∈ a;b[
(n +1)!
I
I
I
a

c

b
Développements limités : a=0 et b=x
Théorème :

Si f est une fonction dérivable
à l’ordre n+1 alors :
2
3
x f ''(0) + x f (3)(0) +
f (x) =f (0) + xf '(0) +

...+
avec

n
x
n!

c∈ 0; x[
]

2!

f (n)(0) +

3!

n +1

x
f (n +1)(c)
(n +1)!
c
I

x
I
Notation de Young
Formule de Taylor-Young
2

3

x f ''(0) + x f (3)(0) +
f (x) =f (0) + xf '(0) +
2!
3!
n
x f (n)(0) +x nε(x)
...+
n!
x f (n +1)(c)
avec ε(x) =
(n +1)!
Remarque

1.
2.

ε(x) →0 lorsque x →0
ε(x) n’est pas une fonction, c’est une

manière symbolique d’écrire : quantité qui
tend vers 0 avec x. Donc :

ε

 La différence de deux (x) n’est pas 0
mais un (x) , prendre par exemple x 2
et x3
 Le produit de deux (x) est un (x)

ε

ε

ε
Quelques
Développements limités importants
1. f (x) =ex
; La formule de Taylor-Young
donne :
2

n

x =e0 + xe0 + x e0 +...+ x e0 +x nε(x)
e
2!
n!
Ainsi :
2

n

x =1+ x + x +...+ x +x nε(x)
(D1) e
2!
n!
c’est-à-dire : pour x proche de 0
2

n

x ≈1+ x + x +...+ x
e
2!
n!
Exemple :

0,1 ≈1+0,1+ 0,01+...
e
2
−0,1 ≈1−0,1+ 0,01−...
e
2
1 =(1−x)−1
2. f (x) =
:
1−x
La formule de Taylor-Young donne :
•

f (0) =1 ;

•

f '(x) = −1×(1−x)−2 ×(−1) ⇒f '(0) =1 ;

•

f ''(x) = −2×(1−x)−3×(−1) ⇒f ''(0) =2! ;

•

f (3) ( x) = −6×(1− x)− 4 ×(−1) ⇒ f (3) (0) =3!
;

...f (n)(0) =n!
•

on obtient ainsi :
1 =1+x + x 2 +x3 +...+ x n + x nε(x)
(D2)
1−x
En remplaçant x par –x on obtient : (D3)

1 =1−x + x 2 −x3 +...+(−1)n x n + x nε(x)
1+ x
En intégrant D3 on obtient : (D4)

ln(1+ x) = x −

x

2

2

+

x

3

3

+...+

(−1)

n

(n +1)!

x n +1 + x n +1ε(x)
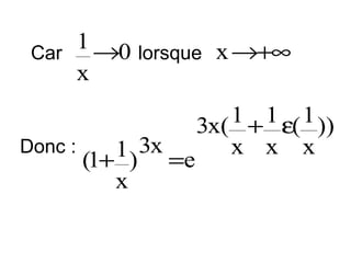
Application : calcul de limites
Exemple :

1

Calculer lim (1+x) x
x →0
1

1 (x + xε(x))
ln(1+x)
 (1+x) x =e x
=e x
1

Développement limité (D4) à l’ordre 1
Calcul de limites
Ainsi :
1

lim

(1+x) x = lim e

x →0

x →0

car

ε(x) →0

(1+ε(x))

1 =e
=e
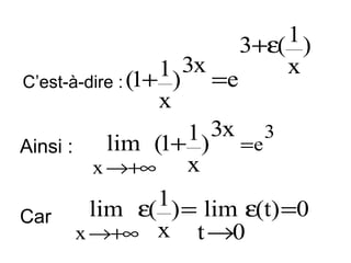
Séance n° 6
Calcul de limites
« Exercice »

Calculer :
1) x )
1. lim x(e −(1+
;
x
x →+∞
5) x
lim (1+
2.
;
x
x →+∞
1 ) 3x
lim (1+
3.
;
x
x →+∞
(x cos x −sin x)
4. lim
; 2
x →0 e x −1−x − x
2
corrigé
1 ) x ) =?
1. lim x(e −(1+
x
x →+∞
1)
x x ln(1+
On a : (1+ 1 ) =e
x

x

Or lorsque

x →+∞

alors

1 →0
x
1 ) = 1 − 1 + 1 ε( 1 )
Or ln(1+
2
2
x x 2x x x
Développement limité (D4) à l’ordre 2 !!

Remarque :



1
C’est
qui joue le rôle de x ici, car
x
1 →0 donc 1 est proche de 0
x
x
Ainsi :

1 − 1 + 1 ε( 1 ))
x(
1 )x =e x 2x 2 x 2 x
(1+
x
1 + 1 ε( 1 )
1−
2x x x
=e
1 + 1 ε( 1 )
−
1
2x x x
=e ×e
Or pour t proche de 0 ( t→0) on a :

t

e =1+t +tε(t)
Développement limité (D1) à l’ordre 1 !!

Donc : ( t =−1/ 2x )

e

1 + 1 ε( 1 )
−
2x x x

1 + 1 ε( 1 )
=1−
2x x x
Par conséquent :

1 ) x =e1 ×(1− 1 + 1 ε( 1 ))
(1+
x
2x x x
e + 1 ε( 1 )
=e −
2x x x
finalement :

1 )x ) = x( e + 1 ε( 1 ))
x(e −(1+
2x x x
x
C’est-à-dire :
1 )x ) = e +ε( 1 ))
x(e −(1+
2
x
x
Conclusion

1 )x ) = e
lim x(e −(1+
2
x
x →+∞
Car

1 ) = lim ε(t) =0
lim ε(
x →+∞ x t →0
5) x
2. lim (1+
:
x
x →+∞
5)
x ln(1+
x

5 ) x =e
On a : (1+
x
5) = 5 + 1 ε( 1 )
1
Or : ln( +
x x x x

Développement limité (D4) à l’ordre 1
5 →0 lorsque x →+∞
Car
x
Donc :

5) x =e
(1+
x

5 + 1 ε( 1 ))
x(
x x x
1)
5+ε(
x

5) x =e
C’est-à-dire : (1+
x
5 ) x =e 5
lim (1+
Ainsi :
x
x →+∞
Car

1 ) = lim ε(t) =0
lim ε(
x →+∞ x t →0
1 ) 3x
3. lim (1+
:
x
x →+∞
1 ) 3x =e
(1+
x
1 ) = 1 + 1 ε( 1 )
ln(1+
x x x x

On a :
Or :

1)
3x ln(1+
x

Développement limité (D4) à l’ordre 1
1 →0 lorsque x →+∞
Car
x
Donc :

1 ) 3x =e
(1+
x

1 + 1 ε( 1 ))
3x(
x x x
1)
3+ε(
x

1 ) 3x =e
C’est-à-dire : (1+
x
1 ) 3x =e 3
lim (1+
Ainsi :
x
x →+∞
1 ) = lim ε(t) =0
lim ε(
Car
x →+∞ x t →0
 Remarque
Refaire le calcul des 3 limites
précédente en posant « au début » :

1
t=
x
(x cos x −sin x) :
4. lim
2
x →0 e x −1−x − x
2

Nous avons besoin des développements
limités de Cos x et Sin x à l’ordre 3, car
le dénominateur montre qu’il faut
ex
développer la fonction
à l’ordre 3
 
Développements limités à l’ordre 3
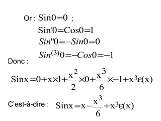
de Cos x et Sin x
1. f (x) =Cosx
;
à
l’ordre 3 donne :

La formule de Taylor-Young
2

x Cos''0
Cosx =Cos0 + xCos'0 +
2!
3

x Cos (3) 0 + x3ε(x)
+
3!
Or :

Cos0 =1 ;
Cos'0 =−Sin0 =0
Cos''0 =−Cos0 =−1
Cos(3)0 =Sin0 =0
2

x +0x3 +x3ε(x)
Donc : Cosx =1+0x −
2
C’est-à-dire :

2

x + x3ε(x)
Cosx =1−
2
 De même pour la fonction Sinus
1.

f (x) =Sinx; La formule de Taylor-Young

à
l’ordre 3 donne :

2

x Sin''0
Sinx =Sin0 + xSin'0 +
2!
3

x Sin (3) 0 +x3ε(x)
+
3!
Or :

Donc :

Sin0 =0 ;
Sin'0 =Cos0 =1
Sin''0 = −Sin0 =0
Sin(3) 0 = −Cos0 = −1
2

3
x

x ×0 + ×−1+ x3ε(x)
Sinx =0 + x ×1+
2
6
C’est-à-dire :

3

x + x3ε(x)
Sinx = x −
6
x cos x −sin x =
Par conséquent :
2
x
x
e −1−x −
2

2 / 2) −(x −x 3 / 6) +x 3ε(x)
x(1−x
3 / 6+x 3ε(x)
x
Nous avons utiliser le D. L. de ex à l’ordre 3
3 / 3+x 3ε(x) −1/ 3+ε(x)
−x
=
=
3 / 6+x 3ε(x) 1/ 6+ε(x)
x
Ainsi :

(x cos x −sin x) =−2
lim
2
x →0 e x −1−x − x
2
2

ème

Partie du Cours

B. Fonctions à deux

variables réelles
 Exemples introductifs
I. Une entreprise commercialise 3 produits :
A, B et C. Le prix de vente unitaire du
produit A est 12 DH, celui du produit B est
15 DH et celui du produit C est 22 DH.
 On vend une quantité x du produit A, une
quantité y du produit B et une quantité z
du produit C. La recette R(x ; y ; z) est
donnée par :

R(x ; y ; z) = 12x + 15y + 22 z
La recette de cet exemple est une fonction
de 3 variables x, y et z
 Exemples introductifs
II. Une entreprise fabrique 2 produits A et B.
Si x désigne la quantité fabriquée de A et
y celle de B, la recette escomptée lors de
la vente de x articles de A et de y articles
de B est donnée par :
R(x , y) = -3x2 -2y2 +220x +140y
 Le coût d’une unité de A (respectivement
de B) qu’on note CA (respectivement CB)
dépend des quantités x et y comme suit :
CA = 2x +y et CB = x +3y
 Exemples introductifs
a. Exprimer en fonction de x et de y le coût
c(x , y) de fabrication de x unités de A et
de y unités de B.
 C(x , y) = x CA + y CB
= x (2x +y) + y (x +3y)
= 2x2 +3y2 +2xy
On obtient une fonction de 2 variables x et y
 Exemples introductifs
b. Exprimer le bénéfice B(x , y) réalisé lors de
la vente de x articles de A et de y articles de
B.

 B(x , y) = R(x , y) – c(x , y)
= (-3x2 -2y2 +220x +140y) – (2x2 +3y2 +2xy)
= -5x2 -5y2 -2xy +220x +140y
le bénéfice est une fonction de 2 variables x et
y
Séance n° 7
 Exemples de fonctions à
plusieurs variables

a.

y +yex
f (x, y) =xe

x + y +100
b. f (x, y) =
y x
c.

: 2 variables
: 2 variables

f (x, y) =x3 +y3 −3xy

: 2 variables
 Exemples de fonctions à
plusieurs variables

d.

f (x, y, z) = xyz −x +5 y +3z : 3 var

e.

f (x, y, z) =ln(x2 + y2 −4z)

f.

f (x, y, z,t) = x3 + y2 −z + t

:3 var
:4 var
Remarque
1. Dans le cas de n variables (
peut noter les variables :

n≥5 ), on

x1 , x2 , x3 , … , xn
la fonction f est notée dans ce cas :

f(x1 , x2 , x3 , … , xn)
Remarque
2. On s’intéresse dans le cadre de ce cours

aux fonctions de deux variables x et y

(x, y)∈IR×IR →f (x, y)
1.Domaine de définition
D f ⊂ IR× IR
( x, y) I

f

IR
f ( x, y)

Le domaine de définition est

un domaine du plan IR2
(IR2 = IR x IR)
Interprétation géométrique
y
Le plan IR2

x
Interprétation géométrique

Df

Df ⊂ IR

2
Exemples
1.



f (x, y) =x2 +y2 −xy −2x +y

∀x∈IR

et

∀y∈IR

:

on a :

f (x, y) est définie (on peut la calculer)
Donc

D =IR×IR =IR
f

x

y

2
Interprétation géométrique

D =IR×IR
f

le plan tout
entier
Exemples
2.

f (x, y) =x ln(y) +y2 +3

 on doit avoir

y>0

pour que f (x, y)

soit définie, donc

D =IR×]0,+∞[
f

x

:

y
Interprétation géométrique
y

D

f
x

la moitié
supérieure
du plan
Sans l’axe Ox
Exemples
3.

f (x, y) =ln(x) +ln(y) +1 :

 On doit avoir :
pour que
Donc

x >0

et

y>0

f (x, y) soit définie

D =]0,+∞[×]0,+∞[
f

x

y
Interprétation géométrique

D

f

¼ du plan
Sans les
axes
Remarque
à réviser :
 Équation d’une droite dans le plan IR 2 :
Une droite partage le plan en 3 zones…..
 Équation d’un cercle dans le plan IR 2 :
Un cercle partage le plan en 3 zones…..

Voir TD
Exercice
Voir Exercice 1
« TD, Partie 2 »
2.Courbes de niveaux & Sections
a) Courbes de niveaux :


Ce sont des sous ensembles du
domaines de définition D.

 Elles correspondent à des coupes
horizontales de la surface z = f(x , y)
projetées sur le domaine de définition
D.
a)Courbes de niveaux
Définition
 La courbe de niveau k, notée Ck ou Nk,
est l’ensemble des points du domaine de
définition D tels que leur image f(x , y) est
égale à k :

C = (x, y)∈D /f (x, y) = k
k











Exemple
•



f (x, y) = y −x2

D =IR

:

2

f

 La Courbe de niveau k : On cherche les
couples (x , y) du domaine de définition IR 2
tels que :

f (x, y) = k
f (x, y) = k ⇔ y − x2 = k ⇔ y = x2 + k
La Courbe de niveau k est la parabole
d’équation y = x 2 +k :
 C0 : (k=0) parabole d’équation

 C1 :(k=1)

//

//

 C-1 :(k=-1) //

//

y=x2

y =x2 +1
y =x2 −1
b) Sections ou « abaques »


Elles correspondent à des coupes
verticales de la surface z = f(x , y)
 Sections selon x
 On fixe x : ( x = k ) et on trace la

courbe z = f(k , y) dans le plan Oyz
z
y
 Sections selon y
 On fixe y : ( y = k ) et on trace la

courbe z = f(x , k) dans le plan Oxz
z
x
Exemple
•

f (x, y) =ln(xy)

:

 Domaine de définition :

xy > 0 ⇔ x > 0

et

y> 0 ou x < 0 et y< 0

D =]−∞,0[×]−∞,0[∪]0,+∞[×]0,+∞[
f
Interprétation géométrique

D

f
Section selon x = 1
 On fixe x : ( x = 1 ) et on trace la

courbe : z = f(1 , y) = ln y (y>0)
dans le plan Oyz
z

z=ln y
y
Section selon y = -1
 On fixe y : ( y = -1 ) et on trace la

courbe : z = f(x , -1) = ln -x (x<0)
dans le plan Oxz
z=ln -x

z
x
3.

Dérivées partielles premières


1ère notation :
f(x , y)
Selon x

f’x(x,y)

Selon y

f’y(x,y)

Deux dérivées partielles premières
2

ème

notation

∂ : Se prononce « d rond »
f(x , y)
Selon x

∂f (x, y)
∂x

∂f (x, y)
∂y
Règle de base
Les premiers pas…dans le calcul différentiel

Lorsqu’on dérive par rapport à
une variable, l’autre variable
est supposée constante
Dérivées partielle première
par rapport à x

'
f x ( x0, y0) = lim
x→ x

0

f ( x, y ) − f ( x , y )
0

x− x

0

0

x est variable et tend vers x0,
alors que y est fixé : y = y0

0
Dérivées partielle première
par rapport à y

'
f y ( x0, y0) = lim
y→ y

f ( x , y) − f ( x , y )
0

0

y− y

0

0

x est fixé : x = x0 alors que y est
variable et tend vers y0

0
Remarque
Lorsqu’on calcule une dérivée
partielle, on utilise les règles de
dérivation d’une fonction d’une
variable réelle
« car une des deux variable est fixée »
Exemples
1. f (x, y) =x2 +xy + y4 +3 :
Selon x

'
f x (x, y) =2x +y

Selon y

'
f y(x, y) =x +4y3
Exemples
y +x 2y :
2. f (x, y) =xe
Selon x

Selon y

'
' (x, y) =ey +2xy f y(x, y) =xey +x2
fx
Exemples
3. f (x, y) =x3 + y3 −3xy :
Selon x

Selon y

'
'
f x (x, y) =3x2 −3y f y(x, y) =3y2 −3x
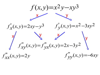
Séance n° 8
Dérivées partielles premières
f (x , y)
Selon

x

f’x (x , y)

Selon

y

f’y (x , y)

fonctions de 2 variables
Une dérivée partielle est une
fonction de deux variables x et y,
on peut alors la dériver à son tour!
Schème de dérivation
f(x , y)
x

y

f’x(x,y)
x

f’’xx(x,y)

y

f’’xy(x,y)

f’y(x,y)
x

f’’yx(x,y)

y

f’’yy(x,y)

quatre dérivées partielles secondes
Dérivées partielles secondes
ou d’ordre 2
f’’xx

: On dérive f 2 fois par rapport à x

f’’xy

: On dérive f par rapport à x ensuite

f’’yx
f’’yy

par rapport à y « dérivée croisée »

: On dérive f par rapport à y ensuite
par rapport à x « dérivée croisée »

: On dérive f 2 fois par rapport à y
Exercice
 Calculer les dérivées partielles
premières
et
secondes
des
fonctions suivantes :
1. f (x, y) =3x 2y −xy3 −x −y ;
2. f (x, y) = x ln y + yln x ;

2

2 ;
3. f (x, y) = x + y
f (x, y) =3x2y −xy3 −x −y :
1.
y

x

'
f x ( x, y) = 6 xy − y3 −1
y

x

'
f y ( x, y) =3x2 −3xy2 −1
x

y

''
''
f xy ( x, y) = f yx ( x, y) = 6 x −3 y 2
''
f xx ( x, y) = 6 y

Remarque :

''
f yy ( x, y) = −6xy
''
''
f xy = f yx
2. f (x, y) =x ln y + yln x
y

x

'
f x ( x, y) = ln y + y / x
y

x

:

'
f y ( x, y) = x / y +ln x
x

y

''
''
f xy ( x, y) = f yx ( x, y) =1/ x +1/ y
''
f xx ( x, y) = − y / x2

Remarque :

''
f yy ( x, y) = −x / y 2
''
''
f xy = f yx
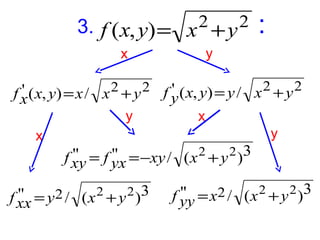
3. f ( x, y) = x 2 + y 2

:

y

x

' ( x, y) = x / x 2 + y 2 f ' ( x, y) = y / x 2 + y 2
fx
y
y
x

x
y

'' = f '' = −xy / ( x 2 + y 2 )3
f xy
yx

''
f xx = y 2 / ( x 2 + y 2 )3

''
f yy = x2 / ( x 2 + y 2 )3
Remarque
a)

Théorème de Schwartz
Si f est une fonction «de classe C2»

alors les dérivées secondes croisées
sont égales : f '' = f ''

xy



yx

Toutes les fonctions économiques
considérées dans ce cours vérifient
le Théorème de Schwartz
Remarque
b)

Une fonction de deux variables
admet :

1.
2.
3.
4.
n.

2 dérivées partielles d’ordre 1 « premières »
4 dérivées partielles d’ordre 2
8 dérivées partielles d’ordre 3
16 dérivées partielles d’ordre 4 … etc
2n dérivées partielles d’ordre n
4. Quelques définitions
a)

Les fonctions homogènes :
Définition
f est homogène de degré k lorsque :

∀(x, y)∈D

f

et

∀α >0

f (αx,αy) =αk f (x, y)
Exemples
1.

f (x, y) =5x2 y −xy2
Soit

:

α > 0 , on a :

f (αx,αy) =5(αx)2(αy) −(αx)(αy)2
⇒ f (αx,αy) =5α3x2 y −α3xy2
=α3(5x2 y − xy2) =α3 f ( x, y)
f est homogène de degré 3
2. f ( x, y) = 2

xy

x −y

Soit

2 :

α > 0 , on a :

f (αx,αy) =

(αx)(αy)
2 2

2 2

α x −α y

=

xy
2

x −y

2

⇒ f (αx,αy) = f ( x, y) =α0 f (x, y)
f est homogène de degré 0
3. f ( x, y) = 5

y

x +y

Soit

5 :

α > 0 , on a :

f (αx,αy) =

αy

5 5

5 5

α x +α y

=α −4

y
5

x +y

⇒ f (αx,αy) =α −4 f (x, y)
f est homogène de degré -4

5
4.
Soit

f (x, y) = xy + x + y +1:

α > 0 , on a :

f (αx,αy) =α 2 xy +αx +αy +1
Si on prend par exemple α = 2 et

x =1, y =1

f (2×1,2×1) = f (2,2) =9
f (1,1) =4⇒ f (2×1,2×1) ≠2× f (1,1)

On obtient :

f n’est pas une fonction homogène
Règle Pratique
Pour montrer que f est homogène (ou non
homogène), on peut utiliser :

 La définition
ou
 Le Théorème d’Euler
Théorème d’Euler
f est homogène de degré k

⇔
'
'
xf x(x, y) + yf y (x, y) = k × f (x, y)
Exemple
f (x, y) =5x2 y −xy2
x

'
f x ( x, y) =10 xy − y 2

y

'
f y ( x, y) =5x2 −2xy

'
'
On a : xf x ( x, y) + yf y ( x, y) =15x2 y − 3xy2
'
'
⇒ xf x( x, y) + yf y ( x, y) = 3 f ( x, y)
f est homogène de degré 3
4. Quelques définitions
b)

Elasticités

1. Cas d’une fonction d’une variable :
L’élasticité de f est par définition :

x
xf '(x)
E =e( f , x) =
f
f (x)
Exemple
f (x) = x2 + x −2
On a :

x(2x +1)

2

2x + x
e( f , x) =
=
=
2
2
f ( x) x + x −2 x + x −2
xf '( x)

5
Exemple : e( f ,2) =
2
2. Cas d’une fonction de deux variables

f (x , y)
f’x (x , y)

f’y (x , y)

'
xf ( x, y)
e( f , x) = x
f ( x, y)

'
yf ( x, y)
y
e( f , y) =
f ( x, y)

Elasticité partielle
par rapport à x

Elasticité partielle
par rapport à y
Exemples
1.

f (x, y) =5x2 y −xy2 :
x

'
f x ( x, y) =10 xy − y 2

'
xf ( x, y) 10x 2 y − xy 2
e( f , x) = x
=
2
2
f ( x, y) 5x y − xy
f (x, y) =5x2 y −xy2
y

'
f y ( x, y) =5x2 −2xy

'
yf ( x, y)
2
2
5x y −2xy
y
e( f , y) =
=
2
2
5x y − xy
f ( x, y)
Ainsi
f (x, y) =5x2 y −xy2
y

x
2

2

2

2

10x y − xy e( f , y) = 5x y −2xy
e( f , x) =
2
2
2
2
5x y − xy
5x y − xy
Exemple : x = 1 ; y = 1

e( f , x) =9 / 4 et e( f , y) =3/ 4
Exemples
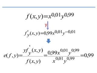
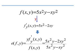
2.

f (x, y) = x0,01y0,99 :
x

'
f x ( x, y) = 0,01x−0,99 y0,99

'
xf ( x, y) 0,01x 0,01 y 0,99
e( f , x) = x
=
=0,01
0,01 0,99
x
y
f ( x, y)
f (x, y) = x0,01y0,99
y

'
f y ( x, y) = 0,99x0,01y −0,01

'
0,01 0,99
yf ( x, y)
0,99x
y
y
e( f , y) =
=
=0,99
0,01 0,99
x
y
f ( x, y)
Ainsi
0,01y0,99
f (x, y) = x
x

e( f , x) =0,01

y

e( f , y) =0,99
D’une manière générale
α yβ
f (x, y) =kx
x

e( f , x) =α

y

e( f , y) = β
Séance n° 9
4. Quelques définitions

c) Différentielle totale
Définition
La différentielle totale de f au point
(x0 , y0) avec les accroissements dx et dy
est la quantité :

'
'
df ( x , y ) = f x ( x0, y0)×dx + f y ( x0, y0)×dy
0
0
Exemple
f (x, y) = x2 y + xy2 = xy(x + y)
Calculer la différentielle totale de f au
point (20,30) avec les accroissements
dx = 1 et dy = -1
Réponse
'
'
df (20,30) = f x (20,30)×1+ f y (20,30)×(−1)

Or :
'
'
 f,x ( x, y) = 2xy + y2 ⇒ f x (20,30) = 2100
'
'
 f y,( x, y) = x2 +2xy ⇒ f y (20,30) =1600
⇒df (20,30) = 2100×1+1600×(−1) =500
Interprétation
(x0+dx,y0+dy)
dy
(x0,y0)

dx

Question :

Lorsque x subit une légère variation dx «ou
x
» ∆(on passe de x0 à x0 +dx) et y subit une
légère variation dy «ou »∆y passe de y0 à
(on
y0 +dy) , de combien varie la fonction f «

∆f =?
»?
Réponse
1. Calcul direct :
∆f = f ( x0 +dx, y0 +dy) − f ( x0, y0)

2. Valeur approchée :
∆f ≅ df

(x , y )
0

0
Exemple
Soit la fonction U (appelée fonction d’utilité)
donnée par :

U ( x, y) = x1/ 3 y2 / 3
 Calculer U(x,y) pour x=8 et y=1
 De combien varie la fonction d’utilité U
si x augmente de dx=0,1 et y diminue de
dy=0,01

(Utiliser deux méthodes)
Réponse
1. Calcul direct :
On a :

x0 =8 ; y0 =1 ; dx =0,1 ; dy =−0,01
∆U =U ( x0 + dx; y0 + dy) −U ( x0; y0 )
=U (8,1;0,99) −U (8;1)
=3 8,1×3

2

0,99 −2 = −0,00511..
Réponse
2. Valeur approchée :

∆U ≅ dU (8,1)

dx =0,1
avec les accroissements
dy = −0,01






'
dU (8,1) =U x (8,1)×0,1+U 'y (8,1)×(−0,01)
 U ' ( x, y) = 1 x − 2 / 3 y 2 / 3 ⇒U ' (8,1) =
x
x

1
3
12
;
'y ( x, y) = 2 x1/ 3 y −1/ 3 ⇒U 'y (8,1) = 4
U
3
3;

dU (8,1) =1/12×(0,1) + 4 / 3×(−0,01)
Donc :

C’est-à-dire :

dU (8,1) = −0,005

On obtient ainsi :

∆U ≅ −0,005
Quelques Interprétations
Economiques

Variation &
Variation relative
Exemple
Le salaire S d’un employé a été
augmenté de 1300 DH
On parle ici de variation du Salaire :


∆S =1300
Le nouveau salaire est :

S '= S +∆S = S +1300
Exemple
Le salaire S d’un employé a été
augmenté de 5% : ⇒∆S =5%×S
On parle ici de variation relative du
Salaire :
∆S


S

=5%

Le nouveau salaire est :

S '= S +∆S = S +0,05×S =1,05×S
A. Cas d’une fonction
« économique » d’une variable
 Variation de f :

On rappelle que :
f '( x0 ) = lim
x→ x

f ( x) − f ( x )
0

x − x0

0
Lorsque x → x0 ; f ( x) → f ( x0 ) (f est continue)
On note : df = f ( x) − f ( x0 ) et dx = x − x0
que l’on appelle respectivement différentielle
de f et différentielle de x, on a donc :

df
f '( x) =
dx

ou encore

df = f '( x)×dx

Exemples :
1
dx ;
• f ( x) = x ⇒ df =

2 x
1
1 .
• f ( x) = ⇒ df = − dx
2
x
x
Notations

dx

: Variation infiniment petite de x

df

: Variation infiniment petite de f

∆x : Variation très petite « faible» de x
∆f

: Variation très petite « faible» de f
En pratique
si la variation ∆x que subit x est faible :
la variation subit par la fonction f est faible
et on a :

∆f ≅ f '(x)×∆x

Remarque : dans la formule
nous avons remplacé :

dx par ∆x

et

df

df = f '( x)×dx
par

∆f
Exemple
 Le coût global de la fabrication d’un
bien en quantité x est donnée par la
formule :

C(x) = 250 − x2

Pour une quantité x=10 (par exemple) :

C(10) = 250 −100 =150
 Calculons l’écart (de 2 façons différentes)
résultant d’une augmentation ∆x =1
1) Calcul direct :

C(11)=250−112 =250−121=129
donc

∆C = C(11) − C(10) =129 −150 = −21
2) Valeur approchée : en appliquant la

formule :

∆C ≅ C'( x)× ∆x
On obtient :

C'( x) = −2x ⇒ ∆C ≅ (−20)×(1)

∆C ≅ −20
A retenir
• Si x subit une faible variation ∆x , une
valeur approchée de la variation ∆f de f
est donnée par la formule :

∆f ≅ f '(x)×∆x

On a :

Variation relative
∆f ≅ f '( x)× ∆x ⇔ f '( x) ≅

∆f
∆x

 L’élasticité de f au point x est :

∆f

∆f
x
xf '( x)
∆x ⇒e( f , x) ≅ f
e( f , x) =
≅
∆x
f ( x) f ( x)
x
Elasticité de f au point x :
∆f
f
e( f , x) ≅
∆x
x

⇔

∆f ≅ e( f , x)× ∆x
f
x

∆f
représente la variation relative de f
f
∆x représente la variation relative de x
x
Exemple
f(x) représente une fonction économique
dépendant de la quantité x d’un bien
distribué.
 On suppose connaitre la valeur de f pour
une quantité x=1000 et que l’élasticité en
x=1000 est : e(f,1000) = 5.
Exemple


La quantité distribuée à baissé de 2%

(980 unités ont été distribuées au lieu de 1000),
cela entrainera une variation relative de f :

∆f ≅ e( f , x)× ∆x =5×−2% = −10%
f
x
f a baissé d’environ 10%
A retenir
• Si x subit une faible variation relative
, une valeur approchée
∆x/ x
de la variation relative de f est
donnée par la f
∆formule :
∆x

f

≅e( f , x)×

x

e( f , x) désigne l’élasticité de f au point x
B. Cas d’une fonction
« économique » de deux
variables


Variation de f :

Nous avons vu que :

∆f ≅ df

( x0 , y0 )

C’est-à-dire :

'
'
∆f ≅ f x ( x0, y0 )×dx + f y ( x0, y0 )×dy
En pratique : si la variation ∆x que subit
x est faible et la variation ∆y que subit
y est faible : la variation subit par la
fonction f est faible et on a :

'
'
∆f ≅ f x ( x0, y0 )×∆x + f y ( x0, y0 )×∆y
Voir exemple précédent
« paragraphe 4 c) : différentielle totale »
A retenir
• Si x subit une faible variation ∆x
et y subit une faible
∆y
variation
, une valeur
approchée de la variation de f est
donnée par la formule :

'
'
∆f ≅ f x ( x0, y0 )×∆x + f y ( x0, y0 )×∆y


Variation relative

'
'
On a : ∆f ≅ f x ( x, y)×∆x + f y ( x, y)×∆y
 En divisant par f(x,y) :

' ( x, y)
f

' ( x, y)
f

∆f ≅ x
y
×∆x +
×∆y
f
f ( x, y)
f ( x, y)
On fait apparaître les variations
relatives de x et de y :


' ( x, y)
xf

' ( x, y)
yf

∆f ≅ x
∆x + y
∆y
×
×
f
f ( x, y) x
f ( x, y) y
∆f ≅ e( f , x)× ∆x +e( f , y)× ∆y
⇒
f
x
y
Variation relative de f

∆f ≅ e( f , x)× ∆x +e( f , y)× ∆y
f
x
y
∆f
représente la variation relative de f
f
∆x et ∆y représentent les variations
y
x
relatives
de x et de y
e( f , x) et e( f , y) représentent les
élasticités
à x et à y

partielles par rapport
Exemple
f(x,y)

représente une fonction
économique
dépendant de deux
quantités x et y de deux biens fabriqués.
 On suppose connaitre la valeur de f pour
une quantité x=1000 et y=500. Supposons
aussi que les élasticités partielles en x=1000
et y=500 sont : e(f , x) = 5 et e(f , y) = 3
Exemple
 Suite à un incident technique, la fabrication

des deux biens a légèrement varié : x a
diminué de 4% et y a augmenté de 5%.
Quelle variation cela entrainera sur la fonction
économique f ?

∆f ≅ 5×(−4%) +3×5% = −5%
f

la fonction économique f subira une baisse
d’environ 5%
A retenir
• Si x subit une faible variation relative
et y subit une faible
∆x/ x
variation relative
, une valeur
∆y/ y
approchée de la variation relative de f
est donnée par la formule :

∆f ≅ e( f , x)× ∆x +e( f , y)× ∆y
f
x
y
Fin de
l’interprétation
Economique

Suite du Cours
Séance n° 10
4. Quelques définitions

d) Hessien de f
Rappel : déterminant d’ordre 2

a
b

c
=ad −bc
d
Définition
Le Hessien de f au point (x , y)
est la quantité :

''
f xx ( x, y)
H (x, y) =
f
''
f yx (x, y)

''
f xy (x, y)
''
f yy (x, y)
Exemple
 Soit la fonction

f (x, y) = x2 y − xy3

Calculer le Hessien de f aux points (0;0),
(1;2) et (-2;1)
f (x, y) = x2 y − xy3
y

x

'
f x ( x, y) = 2xy − y3
y

x

'
f y ( x, y) = x 2 −3xy 2
x

y

''
''
f xy ( x, y) = f yx ( x, y) = 2x −3 y 2
''
f xx ( x, y) = 2 y

''
f yy ( x, y) = −6xy
Donc Le Hessien de f au point (x , y) est
donné par :

H (x, y) =
f

2y

2x −3 y 2

2x −3 y 2

−6xy
Ainsi

0
 H (0,0) =
f
0




4

H (1,2) =
f
−10
2

H (−2,1) =
f
−7

0
=0 −0 =0
;
0
−10
−12
−7
12

= −48 −100 =;−148

= 24 −49 = −25
;
5. Optimisation
Ou

Recherche d’Extrema
Remarque

Extrema
Ou

Extrémums

Maximum
« MAX »
Ou

Minimum
« MIN »
Problème
Soit f(x , y) une fonction de deux variables
définie sur un domaine D
( ( x, y)∈D ⊂ IR2)


On cherche les couples (x , y)
qui rendent f maximale ou minimale
Extrémum local ou global
Plus grand

Plus petit

Max
global
Max
local
Min
local

Max
local
Min
local

Min
global

Max
local
Un maximum global (s’il existe) est
un point (x0,y0) du domaine D qui vérifie :


∀(x, y)∈D : f ( x, y) ≤ f (x0, y0)
Un minimum global (s’il existe) est
un point (x0,y0) du domaine D qui vérifie :


∀(x, y)∈D : f ( x, y) ≥ f (x0, y0)
a) Extrémums ”locaux” libres
On checrche les extrémums “locaux”
de la fonction f sachant qu’il n y a aucune
contrainte sur les variables x et y :
on dit que les variables x et y sont
indépendantes ou libres


On parle alors d’éxtrémums libres
de la fonction f sur le domaine D
Méthode à suivre
I.

Etape 1 : Recherche des candidats

Remarque : On dit aussi points critiques ou
points stationnaires



Ce sont les couples (x , y) solutions
du système :
'
f x(x, y) =0
S: '
f y(x, y) =0











On doit résoudre le système S “ étape un
peu difficile !” et donner ses solutions :
(x0 , y0) ; (x1 , y1) ; (x2 , y2) ; etc...
 Les couples (x0

, y0) ; (x1 , y1) ; (x2 , y2)

... sont les candidats ( ...pour être
extrémums), ou les points critiques de la
fonction f
(on dit aussi : points stationnaires de f)
Etape 2
Nature des candidats
II.

Max

Min
Etape 2
Nature des candidats
II.

Point-selle

Ni Max
Ni Min
Etape 2
Nature des candidats
II.

Col

Ni Max
Ni Min
Etape 2 : Nature des candidats
 On calcule le Hessien de f pour chaque

candidat.
Soit (x0 , y0) un candidat issu de l’étape 1 :

''
f xx (x0, y0)
H (x0, y0) =
f
''
f yx (x0, y0)

''
f xy (x0, y0)
''
f yy (x0, y0)
Etape 2 : Nature des candidats
Si Hf (x0 , y0)

<0⇒pas d’extrémum en (x

0

, y0)

« Ni Max ni Min »
Il s’agit d’un Col ou un point-selle en (x0 , y0)
Si Hf (x0

>0⇒ f présente un extrémum
,y)
0

en (x0 , y0)
Pour savoir s’il s’agit d’un Max ou d’un Min, on
regarde le signe de la dérivée seconde par
rapport à x (ou par rapport à y) :

 Si

''
f xx(x0, y0)<0 :

f présente un Maximum en (x

0

, y0)

''
 Si f xx(x0, y0) >0 :
f présente un Minimum en (x

0

, y0)
3ème cas : On ne peut pas conclure
 Si Hf (x0 , y0) = 0 :

Dans ce cas, on ne peut rien conclure
Remarque : Dans ce cas, on peut faire appel à
d’autres méthodes : Des estimations locales
de la fonction au voisinage du point (x0 , y0)
par exemple. Voir «TD : Partie 2 - Exercice 3»
Exemple 1
Soit la fonction :

f ( x, y) = −3x2 −4 y 2 −3xy +69x +93 y
 Trouver les extrémums « locaux » de

la fonction f
Réponse
I.

Etape 1 : Recherche des candidats



On doit résoudre le système :

'
f x(x, y) =0 ⇔ −6x −3y +69 =0
S: '
−8 y −3x +93= 0
f y(x, y) =0






















6x +3y = 69 ⇔ x = 7
⇔
3x +8 y =93
y =9
















Nous avons un seul candidat : le couple (7 , 9)
Réponse
II. Etape 2 : Nature des candidats
On calcule le Hessien de f au point (7 , 9) :

''
f xx (x, y)
H (x, y) =
f
''
f yx (x, y)
−6
⇒H ( x, y) =
f
−3

''
f xy (x, y)
''
f yy (x, y)
−3
=39
−8
Réponse
Le Hessien de f ne dépend ici de (x , y), nous
avons alors au point (7 , 9) :

⇒H (7,9) =39 >0
f

f présente donc un extrémum au point (7 , 9)
Pour savoir s’il s’agit d’un Max ou d’un Min, on
regarde le signe de la dérivée seconde par
rapport à x :
Réponse
''
''
f xx (x, y) =−6 ⇒ f xx (7,9) =−6 <0
f présente donc un Maximum « local » au
point (7 , 9)


La valeur de ce maximum est :

f (7,9) =660
Exemple 2
Soit la fonction :

f ( x, y) =3xy − x3 − y3
 Trouver les extrémums « locaux » de

la fonction f
I.

Etape 1 : Recherche des candidats



On doit résoudre le système :

'
f x(x, y) =0
3( y − x2) = 0
⇔
S: '
3(x − y2) = 0
f y(x, y) =0


































2

y = x2 ⇔ y = x
⇔
2 2
4
x = y2
x = (x ) = x









Etape 1 : Recherche des candidats


2













y = x2 ⇔ y = x
⇔
S
3
x − x4 = 0
x(1− x ) = 0

















⇔ y=x

2

⇔ x = 0..ou.. x =1
y =0
y =1

x = 0..ou..x =1

















Nous avons ici deux candidats (0 , 0) et (1, 1)
Etape 2 : Nature des candidats
On calcule le Hessien de f aux points (0,0),
(1,1) :





H f ( x, y) =

H f (0,0) =
H f (1,1) =

0

3

3

3

−6 y

= −9 <0 ⇒

3 0
−6 3
3

−6x

−6

pas d’extrémum
en (0,0)

=36 −9 = 27 >0 ⇒
pas d’
Réponse
On regarde le signe de la dérivée seconde de f
par rapport à x au point (1 , 1) :

''
''
f xx (x, y) =−6x ⇒ f xx (1,1) =−6 <0
f présente donc un Maximum « local » au
point (1 , 1)


La valeur de ce maximum est :

f (1,1) =1
Séance n° 11
« Dernière Séance »
b) Extrémums ”locaux” liés
On checrche les extrémums “locaux”
de la fonction f sachant que les variables
x et y sont liées par une équation
appelée “contrainte”
Contrainte :

g (x, y) =0


On parle alors d’éxtrémums de

la fonction f sur le domaine D liés par la
contrainte g ( x, y) =0
Le problème est plus simple que
celui des extrémums libres :

z

Max

Max
Min
Surface
z=f(x , y)

x
Df
y

(x , y) vérifiant la contrainte
z

Max

Max

Min

x

y

g ( x, y) = 0
Deux méthodes :
I.

Méthode de substitution
Ou

II. Méthode du multiplicateur
de Lagrange
I.

Méthode de substitution



g
A partir de la contrainte( x, y) =0

,
on exprime y en fonction de x (ou x en
fonction de y) et on remplace dans
la fonction f(x , y)


On obtient alors une fonction d’une
variable réelle :
on cherche ses extrémums
Exemple
Chercher les extrémums de la fonction :

f ( x, y) =3xy − x2 − y 2
Sous la contrainte

x + y =2
Réponse
On pose :

g (x, y) = x + y −2
« contrainte »


g (x, y) =0 ⇔ y, =2 − x
on remplace y par sa valeur dans f (x , y) :
Réponse
f (x, y) = f (x,2 − x)
=3x(2 − x) − x2 −(2 − x)2

= −5x2 +10x −4 =h( x)
On obtient une fonction d’une variable : h(x)
Réponse
On cherche les extrémums de la fonction h(x) :


h'( x) = −10x +10 =10(1− x)
x

−∞

h’(x)

1
+ 0
1

_

+∞

h(x)

−∞

Max

−∞
Réponse
 La fonction

h présente un extrémum en x=1

x =1
x =1⇒ y = 2 − x =1⇒
y =1






Conclusion
La fonction f présente un seul extrémum sous
la contrainte x + y = 2 : un Maximum en (1 , 1)

 La valeur de ce maximum est : f (1,1) =1
Remarque
On utilise la méthode de substitution
lorsque la contrainte g permet d’exprimer
facilement y en fonction de x (ou x en
fonction de y)
II. Méthode de Lagrange
 On intègre la contrainte dans le

problème en considérant la fonction de
Lagrange « à 3 variables » suivante :

L(x, y,λ) = f (x, y) +λg (x, y)

λest le multiplicateur de Lagrange
II. Méthode de Lagrange
 On cherche alors les extrémums « libres »
de la fonction L :
 Deux étapes :
 Recherche des candidats
 Nature des candidats

Problème à 3 variables !!
Etape 1 : Recherche des candidats
 On commence par résoudre le système :

S:



















L'x(x, y,λ) =0
L'y(x, y,λ) =0
'
Lλ (x, y,λ) =0

Les solutions (x1 , y1 , λ1 ) ; (x2 , y2 , λ2) ...
du système S sont les candidats
Etape 2 : Nature des candidats
 On calcule le Hessien de L pour chaque

candidat.
Soit (x1 , y1 , λ1 ) un candidat issu de l’étape 1

HL (x1 , y1 , λ1 )
''
Lxx
''
H ( x1, y1,λ1) = L yx
L
''
L

λx

''
Lxy
''
L

''
L
xλ
''
L

''
L

''
L

yy

λy

Calculé au point (x1 , y1 , λ1 )

yλ

λλ
 Si HL (x1 , y1 , λ1)

>0

f présente un Maximum en (x
 Si HL (x1 , y1 ,

1

, y1)

1

, y1)

<0
)

λ1

f présente un Minimum en (x
3

ème

cas : On ne peut pas conclure

 Si HL (x1 , y1 , λ1) = 0

Dans ce cas, on ne peut rien conclure
Exemple
Soit la fonction :

f ( x, y) = x + y +5
 Chercher les extrémums de

contrainte : x2 + y 2 =1

f sous la
Réponse
On pose :

g ( x, y) = x2 + y 2 −1

 La fonction de Lagrange est donnée par :

L(x, y,λ) = f ( x, y) +λg (x, y)
= x + y +5+λ(x2 + y 2 −1)
I.

Etape 1 : Recherche des candidats



On doit résoudre le système :

L'x(x, y,λ) =0
1+ 2λx = 0
L'y(x, y,λ) =0 ⇔ 1+ 2λy =0
S:
x2 + y2 −1=0
' (x, y,λ) =0
Lλ
λ = −1/ 2x
⇔ λ = −1/ 2 y
x2 + y2 −1=0














































Egalité des deux premières
équations :

λ = −1/ 2x = −1/ 2 y⇒ x = y

On remplace dans la 3ème équation :
2 + y2 =1⇔ 2x2 =1⇔ x = ± 2
x

2
2 ⇒ y= 2
 x=
2
2
2 ⇒ y =− 2
 x=−
2
2

1 =− 2
λ
car x=y et= −
2x
2
1= 2
λ
et = −
2x 2
Nous avons donc deux candidats :



2 , 2)
2
(
avec λ = −
2 2
2
et

2 ,− 2 ) avec λ = 2
(−
2
2 2
Etape 2 : Nature des candidats
 Calcul du Hessien de L :

2λ
λ1
H ( x, y,λ) = 0
L
2x

0
2λ
2y

2x
2y
0

En développant suivant la 1ère ligne par exemple :
On obtient :

2λ
H ( x, y,λ) = 2λ
L
2y

2y
0
+2x
0
2λ

=−8λy 2 −8λx2
=−8λ(x2 + y 2)

2x
2y
Ainsi :

2 , 2 ) = 8 2 >0
 H (
:
L 2 2
2
Maximum en ( 2 / 2, 2 / 2)

2 ,− 2 ) = −8 2 <0
 H (−
:
L 2
2
2
Minimum en (− 2 / 2,− 2 / 2)
Conclusion
La fonction f présente deux extrémums
x2 +
sous la contrainte y 2 =1
:

2 2
 Un Maximum en ( , )
2 2
 Un Minimum en (−

2
2

,−

2
2

)
6. Fonction composée
Cas simple
« Une variable »
Exemple
On considère la fonction à deux variables
suivante : f ( x, y) =3xy − x2 − y 2
On pose : F (t) =

F'
Calculer(t)

f (t +1,t 2 −2)
Réponse
1)

Méthode directe :
On calcule F (t) puis on dérive :

F (t) = f (t +1,t 2 −2)
= 3(t +1)(t 2 −2) −(t +1)2 −(t 2 −2)2
= −t 4 +3t 3 +6t 2 −8t −11
⇒ F '(t) = −4t 3 +9t 2 +12t −8
2) Formule de dérivation
On pose :
avec

F (t) = f (u(t),v(t))

u(t) =t +1 et v(t) =t 2 −2

 On a alors :

'
'
F '(t ) = f x (u(t ),v(t ))×u'(t ) + f y (u(t ),v(t ))×v'(t )
Cette formule de dérivation fait intervenir
les dérivées partielles de f :

f ( x, y) =3xy − x2 − y 2
x

'
f x ( x, y) =3 y −2x

y

'
f y ( x, y) =3x −2 y
Ainsi :

'
 f x (u(t ),v(t )) = 3v(t ) −2u(t ) = 3t 2 −2t −8 ,
'
 f y (u(t ),v(t )) = 3u(t ) −2v(t ) = −2t 2 +3t +7 ,
On applique la formule :

'
'
F '(t ) = f x (u(t ),v(t ))×u'(t ) + f y (u(t ),v(t ))×v'(t )
= (3t 2 − 2t −8)×1+ (−2t 2 + 3t + 7) × 2t

= −4t 3 +9t 2 +12t −8
A retenir
On considère la fonction à une variable
définie par : F (t) = f (u(t),v(t))
où f est une fonction de deux variables
notées x et y : (x , y)
f (x , y)
 On a alors :

'
'
F '(t ) = f x (u(t ),v(t ))×u'(t ) + f y (u(t ),v(t ))×v'(t )
« Fin du Cours »

Cours maths s1.by m.e.goultine

  • 1.
    Université Hassan II Facultédes Sciences Juridiques, Économiques et Sociales de Mohammedia Année Universitaire 2008/2009 MATHEMATIQUES (Semestre 2) – ANALYSE – Professeur : M.REDOUABY
  • 2.
    ANALYSE Contenu du cours: A. Fonctions à une variable réelle B. Fonctions à deux variables réelles
  • 3.
  • 4.
    A. Fonctions àune variable réelle 1.Introduction a) b) c) d) e) Notion de fonction Notion d’injection Notion de surjection Notion de bijection Bijection et bijection réciproque
  • 5.
    a) Notion defonction Définition Une fonction est une relation entre deux ensembles E et F telle que :  Chaque élément de E (ensemble des antécédents) a au plus une image dans F (ensemble des images)
  • 6.
  • 7.
     E = ensemblede départ, contient ‘n’ éléments : X1 ; X2 ; X3 ; …. ; Xn , Ce sont les antécédents  F = ensemble d’arrivée, contient ‘m’ éléments : Y1 ; Y2 ; Y3 ; …., Ym Ce sont les images Nous avons : f (x1) = y1 ; f (x2) = y3 ; f (x3) = y2 ; …….. ; f (xn) = ym
  • 8.
    Y1 est l’image deX1 ; X1 est l’antécédent de Y1 Y3 est l’image de X2 ; X2 est l’antécédent de Y3 …… Ym est l’image de Xn ; Xn est l’antécédent de Ym Pour que f soit une fonction, chaque élément de E doit avoir au plus une image dans F
  • 9.
    Exemple IR x f I IR 1 x f est unefonction car : ∀x∈IR , x a une image et une seule, sauf « 0 » qui n’a pas d’image
  • 10.
     Ainsi, par unefonction, un élément de E ne peut jamais avoir plus d’une image dans F
  • 11.
    Exemple 1 E f F Y1 X1 X2 X3 Y2 Y3 f estune fonction car : f (x ) = y ; f (x ) = y ; f (x ) = y 2 2 1 1 3 2
  • 12.
    Exemple 2 E f X1 X2 X3 F Y1 f estune fonction car : f ( x ) = y ; f (x ) = y ; x3 1 1 2 1 n’a pas d’image Chaque élément de E a au plus une image
  • 13.
    Exemple 3 E F f Y1 X1 X2 X3 Y2 f n’estpas une fonction car : x1 a deux images Y 1 et Y 2
  • 14.
    Remarque Importante Fonction etApplication Une application est une fonction particulière. C’est une fonction telle que chaque antécédent a exactement une image (s’il y a un antécédent qui n’as pas d’image alors c’est simplement une fonction et non une application)
  • 15.
    Exemple 1 E f F Y1 X1 X2 X3 X4 Y2 Y3 Y4 Chaque antécédenta une image et une seul, f est donc mieux qu’une fonction, c’est une application
  • 16.
    Exemple 2 E f F Y1 X1 X2 X3 X4 x3 Y2 Y3 Y4 n’a pasd’image dans F, donc f n’est pas une application, mais simplement une fonction
  • 17.
    Exemple 3 IR x f I IR 1 x f estsimplement une fonction car et non une application car 0 n’as pas d’image
  • 18.
    Exemple 4 IR x f I IR x2 f estune application car chaque élément de IR admet une image et une seule « exactement une image »
  • 19.
    b) Notion d’injection «fonction injective » Définition f est une fonction de E vers F. f est dite injective lorsque chaque élément de F a au plus un antécédent dans E : un antécédent ou rien
  • 20.
    Exemple 1 E f F Y1 X1 X2 X3 X4 Y2 Y3 Y4 Chaque élémentde F a au plus un antécédent, f est donc une fonction injective
  • 21.
    Exemple 2 E f F Y1 Y2 X1 X2 X3 Y3 Y4 Chaque élémentde F a au plus un antécédent, f est donc une fonction injective
  • 22.
    Exemple 3 E f F Y1 X1 Y2 X2 X3 X4 Y3 Y4 f n’estpas une fonction injective car : Y1 a deux antécédents : x1 et x2
  • 23.
    Exemple 4 IR x IR f x2 I f n’estpas injective car : par exemple 1 a deux antécédents +1 et -1 . IR . IR +1 1 0 0 -1 . . . . . f . .
  • 24.
    Par contre IR+ x g I IR x2 g estinjective car :  Si Y est négatif  Si Y est positif (Y < 0) , alors Y n’a pas d’antécédent (Y ≥ 0) ,Y a un seul antécédent : Y
  • 25.
    A retenir f estune fonction de E vers F. f est injective si elle vérifie : ∀x ;x ∈E 1 2 : f (x ) =f (x ) ⇔x = x 1 2 1 2 C’est-à-dire : deux antécédents ont la même image si et seulement si ils sont égaux
  • 26.
    Remarque f est unefonction de E vers F. Si f est injective alors : Card E ≤ Card F Card E = nombre des éléments de E X1 X2 X3 . . E= . . . . Xn : Card E = n
  • 27.
    Remarque Méthode de larègle : Voir TD
  • 28.
    c) Notion desurjection « fonction surjective » Définition f est une fonction de E vers F. f est dite sujective lorsque chaque élément de F a au moins un antécédent dans E : un antécédent ou plusieurs antécédents
  • 29.
    « fonction surjective» f est surjective si et seulement si : ∀y∈F ∃x∈E / f (x) = y
  • 30.
    Exemple 1 E f F Y1 X1 X2 X3 X4 Y2 Y3 Chaque élémentde F a au moins un antécédent, f est donc une fonction surjective
  • 31.
    Exemple 2 E f F Y1 X1 X2 X3 X4 Y2 Y3 Chaque élémentde F a au moins un antécédent, f est donc une fonction surjective
  • 32.
    Exemple 3 E f F Y1 X1 X2 X3 X4 f n’est: Y2 Y3 Y4 y a deux antécédents x et x 1 1 4 ni surjective : y n’a pas d’antécédent 4 ni injective :
  • 33.
    Remarque f est unefonction de E vers F. Si f est surjective alors : Card E ≥ Card F Card E = nombre des éléments de E
  • 34.
    Remarque Méthode de larègle : Voir TD
  • 35.
    d) Notion debijection « fonction bijective » Définition f est une fonction bijective (ou une bijection) de E vers F si et seulement f est une application qui est à la fois injective et surjective C’est-à-dire chaque élément de E a une image et une seule et chaque élément de F a un antécédent et un seul
  • 36.
    Exemple 1 E f F Y1 X1 X2 X3 X4 f estune bijection de E vers F :  f est injective  f est surjective Y2 Y3 Y4
  • 37.
    Exemple 2 E f X1 X2 X3 X4 F Y1 Y2 Y3 Y4 f n’estpas bijective de E vers F : Y5  f n’est pas surjective car y5 n’a pas d’antécédent
  • 38.
    Exemple 3 E f F Y1 X1 X2 X3 X4 Y2 Y3 f n’estpas une bijection de E vers F :  f n’est pas injective  f n’est pas surjective
  • 39.
    Exemple 4 E f F Y1 X1 X2 X3 X4 Y2 Y3 f n’estpas une bijection de E vers F car :  f n’est pas une application : x3 n’a pas d’image
  • 40.
    Remarque f est unefonction de E vers F. Si f est bijective alors : Card E = Card F
  • 41.
    e) bijection etbijection réciproque E f f-1 F
  • 42.
  • 43.
    bijection et bijectionréciproque Comment passer de f à f-1 et inversement : f (x) = y ⇔f −1(y) = x
  • 44.
  • 45.
  • 46.
    Relation fondamentale entref et -1 f f E F f-1 x ∀x∈E:f −1f (x) = x f f-1 et y ∀y∈F:f f −1(y) = y
  • 47.
    Exemple IR+ x IR+ f IR+ f-1 x2 IR+ I x I On a :∀x ∈IR + et : ∀x ∈IR + x f −1 f (x) = x 2 = x = x f  f −1(x) = ( x )2 = x
  • 48.
    Exemple IR*+ x I IR x On a : et: f = ln f-1 = exp I ∀x ∈IR*+ ∀x ∈IR IR ln x IR*+ ex f −1 f (x) = eln x = x f  f −1(x) = ln ex = x
  • 49.
  • 50.
    Remarque Relation entre la courbede f et la courbe de sa réciproque f-1 A retenir : La courbe de f «Cf» et la courbe de sa fonction réciproque f-1 «Cf-1» sont symétriques par rapport à la 1ère bissectrice (la droite d’équation y = x)
  • 51.
  • 52.
    Exemple la courbe deln « logarithme népérien » et la courbe de sa réciproque exp « exponentielle » sont symétriques par rapport à la droite y = x Cexp Y=x Cln
  • 53.
    A. Fonctions àune variable réel 2. Domaine de définition f IR IR f (x ) xI   admet une image  D = x∈IR x    f   = x∈IR f (x) est définie « on peut      la calculer » 
  • 54.
    Exemples 1. Fonctions polynômiales: f (x) = a n x n +....+ a1x + a 0 fonction polynômiale (ou polynôme) de degré n Df = IR
  • 55.
    Fonctions polynômiales Exemples : • • • f(x) = 3x2 + x − 5 ; f (x) = 7x3 − x 2 + x +15 ; f (x) = 7x5 − x 4 + x 2 − 24 ; Pour toutes ces fonctions :∞;+∞[ D = IR =]− f
  • 56.
    Exemples 2. Fonctions rationnelles: P(x) f (x ) = Q(x) P(x) et Q(x) sont deux polynômes Df = x∈IR Q(x) ≠ 0       
  • 57.
    Fonctions rationnelles Exemple : 2x+1 f (x ) = 2 2 (x −1)(x +1) Q(x) = 0 ⇔ (x 2 −1)(x2 +1) = 0 ⇔ x2 −1= 0 x2 +1≠ 0 , ainsi : Car Q(x) = 0 ⇔ x 2 =1⇔ x = ±1 ⇒ Df = IR − ±1 Df =]− ∞;−1[∪]−1;1[∪]1;+∞[        
  • 58.
    Exemples 3. Fonctions racines(nèmes) : f (x) = n u(x) ; n est un entier naturel non nul n = 2 ; 3 ; 4 ; 5 ; 6 ; 7 ; ………. A retenir : • Si n est pair : Df = x∈IR u(x) ≥ 0 • Si n est impair :      Df = Du   
  • 59.
    Fonctions racines (nèmes) Exemples: • « racine carrée » : f (x) = 2x +1 On doit avoir : 2x +1≥ 0 ⇔ x ≥ −1/ 2 ⇒ Df =[−1/ 2;+∞[ • « racine cubique » : 3 f (x ) = 2x +1 u(x) = 2x +1 définie quelque soit x donc Df = Du = IR =]− ∞;+∞[
  • 60.
    Exemples 4. Fonctions puissances: f (x) = u(x)α ; α est un nombre rationnel α = m/n m et n sont deux entiers naturels non nuls On écrit : f (x) = u(x)m / n =(u(x)m)1/ n n u(x) m ⇒ f (x ) =
  • 61.
    Fonctions puissances Exemples : 1. f(x) = (2x +1)4 / 5 ici α = 4 / 5 5 On a : f (x) = (2x +1) 4 ; racine impaire, on regarde alors le domaine de définition de (2x +1)4 (2x +1)4 : est une fonction polynômiale définie D = IR f
  • 62.
    Fonctions puissances Exemples : f(x) = (2x +1)− 3/ 4 1 On a : f (x) = 2. ; racine paire, 4 (2x +1)3 on doit avoir : (2x +1)3 ≥ 0 et (2x +1)3 ≠ 0 (2x +1)3 > 0 ⇔ 2x +1> 0 ⇔ x > −1/ 2 Df =]−1/ 2;+∞[
  • 63.
    Exemples 5. Fonctions logarithmiques: f (x) = ln(u(x)) ; ln désigne le logarithme népérien Df = x∈IR u(x) > 0       Exemple :       f (x) =ln(1−x 2) 2      Df = x∈IR 1− x > 0 or ; 1−x 2 =(1−x)(1+ x) , tableau des signes
  • 64.
    Fonctions logarithmiques Exemple : x 1-x f(x) =ln(1−x 2) ∞ 1+x 1-x2 Ainsi : -1 + - + 0 0 + + 1 0 - 0 + - Df =]−1;+1[
  • 65.
    Exemple 2 :f (x) =ln((2x +7)(x −5)) Df = x∈IR (2x + 7)(x −5) > 0        Tableau des signes : x 2x+7 x-5 Donc : Produit -7/2 - 0 + + - 0 5 + 0 0 + + Df =]− ∞;−7 / 2[∪]5;+∞[
  • 66.
    Exemples 6. Fonctions exponentielles: u (x ) f (x ) = e ; alors Df = Du « l’exponentielle est toujours définie » Exemples : 2 f (x) =ex + x +2 ⇒D =IR ; f • f (x) =e x ⇒D = IR + ; f 1/(x −2) ⇒D = IR −2    • f (x ) = e    f •
  • 67.
    A. Fonctions àune variable réel 3.Continuité I⊂ IR x I f IR f (x ) f est une fonction définie sur un intervalle I de IR
  • 68.
    3. Continuité a)Continuité enun point a : a droite de a a gauche de a a
  • 69.
    3. Continuité a)Continuité enun point a : Définition : f est continue au point a lorsque : lim f (x) = lim f (x) = f (a) − + x →a x →a limite à droite = limite à gauche = image de a
  • 70.
    Exemples 1. x ;si x∈[0;1] f(x ) = ; continuité en 1 2 − x ;si x∈]1;2]        On a : et lim f (x) = lim 2 − x = 1 =1 + + x →1 x →1 lim f (x) = lim x = 1 =1 − − x →1 x →1 f (1) = 1 =1 ; f est donc continue au point 1
  • 71.
    2. x +1;si x∈[0;1[ f(x) = 2 − x;si x∈]1;2] f (1) = 3/ 2 On a :          ; continuité en 1 lim f (x) = lim 2 − x = 2 −1=1 + + x →1 x →1 lim f (x) = lim x +1=1+1= 2 − − x →1 x →1 et f (1) = 3/ 2 ; f est donc discontinue au point 1
  • 72.
    3. Continuité b)Continuité surun intervalle : Définition : f est continue sur l’intervalle I=[a;b] lorsque f est continue en tout point de l’intervalle ouvert ]a;b[ ; continue à gauche de b et continue à droite de a.
  • 73.
    • f estcontinue à gauche de b lorsque : lim f (x) =f (b) − x →b • f est continue à droite de a lorsque : lim f (x) =f (a) + x →a
  • 74.
    Continuité sur unintervalle [a ; b] à gauche de b à droite de a a x b
  • 75.
    Exemples x ;si x∈[0;1] 1.f (x) = 2 − x ;si x∈]1;2]        ; f est continue sur l’intervalle [0 ; 2] car : • f est continue en tout point de l’intervalle ]0 ; 2[ (en particulier au point 1), • f est continue a droite de 0 et à gauche de 2.
  • 76.
    Exemples 2. x +1;si x∈[0;1[ f(x) = 2 − x;si x∈]1;2] ; f (1) = 3/ 2          f n’est pas continue sur l’intervalle [0 ; 2] car elle discontinue au point 1
  • 77.
  • 78.
    Propriétés des fonctionscontinues Si f et g sont deux fonctions continues sur un intervalle I alors : • • f +g est continue sur I αf est continue sur I (α∈IR) • f ×g est continue sur I • f / g est continue sur I (g ≠ 0 sur I )
  • 79.
    Conséquences • Les fonctionspolynômiales sont continues sur IR • Les fonctions rationnelles ; racines nèmes ; puissances ; logarithmiques et exponentielles sont continues sur leurs domaines de définition
  • 80.
    bijection et bijectionréciproque I f J f-1 f est une fonction bijective de I vers J. Si f est continue sur l’ intervalle I alors sa fonction réciproque f-1 est continue sur l’intervalle J (car les courbes de f et f-1 sont symétriques par rapport à la droite d’équation y = x)
  • 81.
    Remarque f est continuesur l’ intervalle I ⇔ sa courbe Cf est continue « ne présente aucune coupure » Voir TD (Exercice 2)
  • 82.
    Théorème des ValeursIntermédiaires « T.V.I » T.V.I : Si f est continue sur l’intervalle [a; b] et f (a)×f (b) <0 alors f s’annule sur ]a ; b[ ; C’est-à-dire : ∃c∈ a;b[ tel que : f (c) =0 ]
  • 83.
  • 84.
  • 85.
    Exemple Montrer que lafonction f (x) = x3 + x −3 s’annule (au moins une fois) sur [0 ; 2]  La fonction f est une fonction polynomiale donc définie et continue sur IR, en particulier sur l’intervalle [0 ; 2]. De plus : f (0) = −3<0 et f (2) =7 >0 Donc d’après le T.V.I : ∃c∈ 0;2[ ] tel que f (c) =0
  • 86.
    A. Fonctions àune variable réel 4.Dérivabilité I⊂ IR x I f IR f (x ) f est une fonction définie sur un intervalle I I a I x0 I b
  • 87.
    a) Dérivabilité enun point x0 Définition On dit que la fonction f est dérivable en x0 si : lim x→x f (x ) − f (x ) 0 x−x 0 existe. 0 Cette limite « quand elle existe » est appelée : dérivée de f au point x0 et on la note f’(x0)
  • 88.
    Ainsi f '(x0) =lim x→x f (x) − f (x ) 0 x−x 0 0 A retenir : toutes les formules de dérivation qu’on utilise sont une conséquence directe de cette définition.
  • 89.
    Exemples 1. Pourquoi ladérivée d’une constante est égale à 0 ? On pose : f (x) =C , soit x0∈IR I x0 IR
  • 90.
    f (x) −f(x ) f '(x0) = lim x →x 0 x −x 0 0 C −C =0 = lim x → x x −x 0 Ainsi : 0 ∀x0∈IR, f '(x0) =0 Ou encore (en notant x au lieu de x0) : ∀x∈IR, f '(x) =0
  • 91.
    Exemples 2. Pourquoi : (ax2+ bx + c)'= 2ax + b On pose : f (x) =ax 2 +bx +c , soit x0∈IR I x0 f '(x0) = lim x →x 0 f (x) −f (x ) x −x 0 0
  • 92.
    Donc : = lim x→x 2 +bx +c) −(ax +bx +c) 0 0 x −x 0 = lim x →x (ax 2 a(x 0 2 0 2 −x ) +b(x −x ) 0 0 x −x 0 = lim a(x + x0) +b =a(x0 +x0) +b x →x 0 = 2ax0 +b
  • 93.
    Ainsi : ∀x ∈IR,f '(x ) =2ax +b 0 0 0 Ou encore (en notant x au lieu de x0) : ∀x∈IR, f '(x) =2ax +b finalement : f (x) = ax2 + bx + c ⇒ f '(x) = 2ax + b
  • 94.
    3. Pourquoi : Exemples  ' 1 1  =−   2 x   x 1 On pose : f (x) = x f '(x0) = lim x →x 0 , soit x0∈IR* f (x) −f (x ) x −x 0 0
  • 95.
    Donc : f '(x0)= lim x →x 0 1− 1 x x0 x −x 0 x 0 −x = lim x →x −(x −x 0 ) 0 xx 0 x −x 0 1 = lim = lim − xx 0 x → x xx (x −x ) x →x 0 0 0 0 1 ⇒f '(x ) =− 1 =− 2 0 2 x0 x0
  • 96.
    finalement : *, f'(x ) =− 1 ∀x ∈IR 2 0 0 x 0 Ou encore (en notant x au lieu de x0) : *, f '(x) =− 1 ∀x∈IR 2 x Les formules qui suivront sont aussi conséquence directe de la définition précédente :
  • 97.
    b) Mémento dupetit dériveur fonction ax+b xα ( α∈Q ) fonction dérivée a αxα −1 x 1 /2 x lnx 1/x
  • 98.
    fonction ex fonction dérivée ex Sin x Cosx Cos x -Sin x tanx 1+ tan2x
  • 99.
    Plus général :(u  désigne une fonction) fonction au+b uα ( α∈Q ) fonction dérivée au’ αu'×uα −1 u u' /2 u lnu u'/u
  • 100.
    fonction eu fonction dérivée u'×eu Sin u u'×Cosu Cos u -u'×Sin u tanu (1+ tan2u)×u'
  • 101.
  • 102.
    Exercice Calculer les dérivéesdes fonctions suivantes : 2x 1.f(x) = x 2 −1 2.f(x) = ln(x 2 + x −3) 3.f(x) = 4.f(x) = x eSinx 5 (x +1)3 (x 2 +1)2/15 5.f(x) =
  • 103.
    c) Dérivabilité surun intervalle Définition Une fonction f est dérivable sur l’intervalle [a ; b] si elle est dérivable en tout point de [a ; b]
  • 104.
    Exemples 1. f (x )= x définie et continue sur [0;+∞[ 1 définie pour x∈ 0;+∞[ ] f '(x) = 2 x Donc la fonction f n’est pas dérivable sur [0;+∞[ car f n’est pas dérivable en 0, mais dérivable seulement sur l’intervalle ]0;+∞[
  • 105.
    Exemples 2. 3 f (x )= x −1 définie et continue IR Question : f est-elle dérivable sur l’intervalle [0 ; 2] ? 3 f (x ) = 1/ 3 ⇒ f '(x) = 1 (x −1)− 2 / 3 x −1 = (x −1) 3 C’est-à-dire : f '(x) = 1 3 3 (x −1) 2
  • 106.
    f '(x) = 1 2 3(x −1) 3 donc f n’est pas dérivable en x = 1, et par conséquent f n’est pas dérivable sur l’intervalle [0 ; 2]
  • 107.
    Remarques 1. f estdérivable en x0 ⇒ f est continue en x 2. f est dérivable sur [a ; b] sur [a ; b] ⇒ f est continue 0
  • 108.
    Donc « contraposée» 3. f est discontinue en x0 dérivable en x0 ⇒ f n’est pas 4. f est discontinue sur [a ; b] dérivable sur [a ; b] Contraposée : p⇒ q ⇒f n’est pas ⇔ non q ⇒ non p
  • 109.
    la fonction fn’est pas dérivable en x0 car elle est discontinue en x0 x0
  • 110.
  • 111.
    Exercice « Corrigé» Calculer les dérivées des fonctions suivantes : 2 1.f(x) = 2x ⇒f '(x) =− 2(x +1) 2 2 x 2 −1 (x −1) 2.f(x) = ln(x 2 +x −3) ⇒f 'x) = 2x +1 2 x +x −3 x eSinx 3.f(x) = 1 eSinx + x CosxeSinx ⇒f '(x) = 2 x
  • 112.
    Exercice « Corrigé» 4.f(x) = 5.f(x) = (x +1)3 =(x +1)3 / 5 3 ⇒f '(x) = 5 (x +1) 2 5 5 (x 2 +1)2/15 4x ⇒f '(x) = 15 (x 2 +1)13 15
  • 113.
    Théorème de Rolle Théorème: Si f est une fonction continue sur l’intervalle [a ; b] ; dérivable sur l’intervalle ouvert ]a ; b[ etf:(a) =f (b) alors : ∃c∈ a;b[ tel que f '(c) =0 ]
  • 114.
    Interprétation géométrique f’(c) =0 f(a) = f(b) a I c b Il y a au moins un point de la courbe où la tangente est horizontale
  • 115.
    Remarque Les hypothèses duThéorème de Rolle : a) f est continue sur [a ; b] b) f est dérivable sur ]a ; b[ c) f(a) = f(b) sont nécessaires.
  • 116.
    Exemple Peut-on appliquer leThéorème de Rolle à la fonction : 2 3 f (x) =1− (x −1) sur l’intervalle [0 ; 2] ?
  • 117.
    Réponse a) 3 f (x) =1− (x−1) 2 : la racine cubique « racine impaire » est définie sur IR, donc Df = IR • f est la somme d’une fonction constante 3 (x −1) 2 «1» et d’une fonction racine « − » donc continue sur son domaine de définition IR, en particulier f est continue sur l’intervalle [0 ; 2]
  • 118.
    Réponse b) 2 =1−3 1=0 f (0) =1− (0 −1) 3 2 =1−3 1 =0 f (2) =1− (2 −1) 3 ainsi f(0) = f(2)
  • 119.
    Réponse c) Dérivabilité def sur l’intervalle ]0 ; 2[ f (x) =1−3 2 (x −1) =1−(x −1)2 / 3 2 ⇒f '(x) =− 33 x −1  f n’est pas dérivable en x = 1 « f’(1) n’est pas définie », donc f n’est pas dérivable
  • 120.
    Conclusion On ne peutpas appliquer le Théorème de 3 Rolle à la fonction f (x) =1− (x −1) 2 sur l’intervalle [0 ; 2] car l’hypothèse de dérivabilité n’est pas vérifiée !!! Voir Exercice 5, Série de TD
  • 121.
    Théorème des accroissementsfinis « T.A.F » Théorème : Si f est une fonction : a) continue sur [a ; b] b) dérivable sur ]a ; b[ alors : ∃c∈ a;b[ tel que : ] f (b) −f (a) =(b −a)f '(c)
  • 122.
    2 ème version « T.A.F» Théorème : Si f est une fonction : a) continue sur [a ; b] b) dérivable sur ]a ; b[ alors : ∃c∈ a;b[ tel que : ] f (b) −f (a) =f '(c) b −a
  • 123.
    3ème version «T.A.F » … premier développement limité Théorème : Si f est une fonction : a) continue sur [a ; b] b) dérivable sur ]a ; b[ alors : ∃c∈ a;b[ tel que : ] f (b) =f (a) +(b −a)f '(c)
  • 124.
    Remarque : Pourquoion dit : accroissements finis ? Comme f (b) −f (a) =(b −a)f '(c) « 1ère version » Si la dérivée première « f’ » est une fonction bornée : f '(x) ≤ M sur l’intervalle considéré, alors on a : f (b) −f (a) ≤M(b −a)
  • 125.
    Ainsi, si l’ordrede grandeur de f’ est fixé, les accroissements de la fonction f « f(b)f(a) » sont bornés « finis »
  • 126.
    Interprétation géométrique ∃c∈ a;b[ ] f(b) −f (a) =f '(c) tel que b −a Veut dire : Il y a au moins un point de la courbe où la tangente est parallèle au segment AB
  • 127.
    Interprétation géométrique B A a c b Il ya au moins un point de la courbe où la tangente est parallèle au segment AB
  • 128.
    Conséquences f est unefonction continue et dérivable sur l’intervalle [a ; b] : • Si f’(x)=0 (x∈[a;b] ) alors f est constante ∀ • ≥ ( Si f’(x) 0∀x∈[a;b] ) alors f est croissante • ≤ ∀x∈[a;b] Si f’(x) 0 ( décroissante ) alors f est
  • 129.
    Preuve a I x I c I y I b I Soient x ety deux nombres quelconques de l’intervalle [a ; b] tels que : x≤ y • Si f’(x)=0 (∀x∈[a;b] ), dans ce cas ; T.A.F : f (y) −f (x) =(y −x)f '(c) =(y −x)×0 =0 ⇒f (y) =f (x) : f est donc constante sur l’intervalle [a ; b]
  • 130.
    Preuve • Si f’(x)≥0 (∀x∈[a;b] ), dans ce cas ; T.A.F : f (y) −f (x) =(y −x)f '(c) ≥0 y −xcar0: ≥ f '(c) ≥et ⇒f (y) ≥f (x) 0 f est donc croissante sur l’intervalle [a ; b]
  • 131.
    Preuve • Si f’(x)≤0 (∀x∈[a;b] ), dans ce cas ; T.A.F : f (y) −f (x) =(y −x)f '(c) ≤0 y −xcar0: ≥ f '(c) ≤et ⇒f (y) ≤f (x) 0 f est donc décroissante sur l’intervalle [a ; b]
  • 132.
    A. Fonctions àune variable réel 5.Calcul de limites « Règle de l’HOSPITAL » Exemple : lim Sinx =? x→0 x Problème : lorsque x →0 : Sinx →0 et x →0
  • 133.
    0 =? La formeindéterminée 0 Exemples : 1. 2. 3. x 2 = lim x =;0 lim x x→0 x→0 x = lim 1 =±∞ lim 2 ; x→0 x x→0 x . lim 5x =5 x→0 x
  • 134.
    La forme indéterminée Nousavons une forme indéterminée lorsqu’on ne peut pas prévoir le résultat d’avance. Les formes indéterminées : 0 =? ; ∞=? ; ∞−∞=? ; 0×∞=? 0 ∞
  • 135.
    0 =? La formeindéterminée 0 0 =? , on peut Pour la forme indéterminée 0 utiliser la Règle de l’Hospital : R-H : Si lim f (x) = lim g(x) =0 x→a x→a f (x) = lim f '(x) lim alors x→ a g(x) x→a g'(x)
  • 136.
    Exemples 1. lim Sinx =? x x→0 Règlede l’Hospital : lim Sinx = lim Cosx =Cos0 =1 x→0 x x→0 1
  • 137.
    Exemples 2. lim ln x=? x→ x −1 1 Règle de l’Hospital : lim ln x = lim 1/ x =1/1=1 x→ x −1 x→ 1 1 1
  • 138.
    Exemples ex −1=? 3. lim x→0+x2 Règle de l’Hospital : ex −1= lim+ x→0 x2 0 ex = e = 1 =+∞ lim+ x→0 2x 0+ 0+
  • 139.
    Remarque La règle del’Hospital est un outil puissant pour le calcul des limites. Elle peut être utilisée plusieurs fois de suite.
  • 140.
    Exemples 4. ex −x −1=? lim x→0x2 Règle de l’Hospital « 1ère fois »: ex −1 = lim x→0 2x Règle de l’Hospital « 2ème fois »: 0 ex = e = 1 = lim x→0 2 2 2
  • 141.
    Exemples sin x −x−x3 =? 5. lim x4 x→0+ Règle de l’Hospital « 1ère fois »: Cosx −1−3x 2 = lim+ x→0 4x3 Règle de l’Hospital « 2ème fois »: = lim+ −Sinx −6x x→0 12x 2
  • 142.
    Exemples Règle de l’Hospital« 3ème fois »: −Cosx −6 = −7 =−∞ = lim+ + x→0 24x 0
  • 143.
  • 144.
    A. Fonctions àune variable réel 6.Dérivées d’ordre supérieur; Formule de Taylor Développements limités
  • 145.
    Dérivées d’ordre supérieur Ladérivée d’ordre n (on dit aussi : la dérivée nème) s’obtient en dérivant f n fois : f on dérive f’ on dérive on dérive f’’ on dérive on dérive f(3) f(n)
  • 146.
    Exemples 1. f (x)=ln x • f '(x) =1/ x ; f ''(x) =−1/ x 2 • • f (3)(x) =2 / x3 ; ; …; (n)(x) =(−1)n +1(n −1)!/ x n • f
  • 147.
    Exemples 2. f (x) =ex • f'(x) =ex • f ''(x) =ex • f (n)(x) =ex ; ;…;
  • 148.
    Utilisation de ladérivée seconde « f’’ » Convexité & Concavité f on dérive f’ on dérive f’’
  • 149.
    Convexité Définition Une fonction f estdite convexe sur l’intervalle [a ; b] lorsque sa courbe C f sur l’intervalle [a ; b] est au dessus de toutes ses tangentes
  • 150.
    Interprétation géométrique a b fonction convexe: la courbe est au dessus de ses tangentes
  • 151.
    Concavité Définition Une fonction f estdite concave sur l’intervalle [a ; b] lorsque sa courbe C f sur l’intervalle [a ; b] est au dessous de toutes ses tangentes
  • 152.
    Interprétation géométrique a b fonction concave: la courbe est au dessous de ses tangentes
  • 153.
    Convexité Si f ''(x) ≥0 Théorème ceci ∀x∈a;b] , alors [ la fonction f est convexe sur l’intervalle [a ; b]
  • 154.
    Concavité Si f ''(x) ≤0 Théorème ceci ∀x∈a;b] , alors [ la fonction f est concave sur l’intervalle [a ; b]
  • 155.
    Exemples Étudier la convexitédes fonction suivantes sur leurs domaines de définition : 1. f (x) =ln x ; 2. f (x) =ex
  • 156.
    1. f (x)=ln x ; f (x) =ln x ⇒f '(x) =1/ x ⇒f ''(x) =−1/ x2 avec x∈D =IR*+ f ainsi ∀x∈D f on a f ''(x) <0 La fonction « ln » est concave sur IR*+
  • 157.
    Interprétation géométrique lnx 1 La courbede « ln » est concave sur IR*+
  • 158.
    2. f (x) =ex; f ''(x) =ex >0 ceci ∀x∈Df =IR La fonction « exp » est convexe sur IR
  • 159.
    Interprétation géométrique exp 1 La courbede « exp » est convexe sur IR
  • 160.
    Exercice Étudier la convexitédes fonctions suivantes sur leurs domaines de définition : 1. f (x) = x 2. f (x) =1/ x ; 3. f (x) =3 x ; 4. f (x) =x3 −3x2 +x −5 ;
  • 161.
    Dérivées d’ordre supérieur Formulede Taylor f(b) f(a) a b Question fondamentale en Analyse : Connaissant la valeur de f au point a, peut-on donner une estimation de f(b) ???
  • 162.
    Exemple « Météo» 24° 21° Mardi Dimanche Connaissant la température enregistrée Mardi, peut-on prévoir la température de Dimanche prochain ???
  • 163.
    Réponse « Taylor» f(b) f(a) a b On peut donner une valeur approchée de f(b), à condition de connaître f(a)…mais aussi : f’(a) ; f’’(a) ; f(3)(a) ; f(4)(a) ; …. ; f(n)(a) ; …
  • 164.
    A savoir : Notreestimation de f(b) est meilleure lorsque :  n est grand  b est proche de a proches I a I b
  • 165.
    Exemple « Météo» ? 22° 21° Mardi Mercredi Dimanche Connaissant la température de Mardi, il est plus simple de prévoir la température de Mercredi « proche de Mardi » que celle de Dimanche « loin de Mardi »
  • 166.
    La « fameuse» Formule de Taylor Théorème : Si f est une fonction dérivable à l’ordre n+1 alors : 2 (b −a) f ''(a) + f (b) =f (a) +(b −a)f '(a) + 2! 3 n (b −a) f (3)(a) +...+ (b −a) f (n)(a) + 3! n! n +1 (b −a) ] f (n +1)(c) avec c∈ a;b[ (n +1)! I I I a c b
  • 167.
    Développements limités :a=0 et b=x Théorème : Si f est une fonction dérivable à l’ordre n+1 alors : 2 3 x f ''(0) + x f (3)(0) + f (x) =f (0) + xf '(0) + ...+ avec n x n! c∈ 0; x[ ] 2! f (n)(0) + 3! n +1 x f (n +1)(c) (n +1)! c I x I
  • 168.
    Notation de Young Formulede Taylor-Young 2 3 x f ''(0) + x f (3)(0) + f (x) =f (0) + xf '(0) + 2! 3! n x f (n)(0) +x nε(x) ...+ n! x f (n +1)(c) avec ε(x) = (n +1)!
  • 169.
    Remarque 1. 2. ε(x) →0 lorsquex →0 ε(x) n’est pas une fonction, c’est une manière symbolique d’écrire : quantité qui tend vers 0 avec x. Donc : ε  La différence de deux (x) n’est pas 0 mais un (x) , prendre par exemple x 2 et x3  Le produit de deux (x) est un (x) ε ε ε
  • 170.
    Quelques Développements limités importants 1.f (x) =ex ; La formule de Taylor-Young donne : 2 n x =e0 + xe0 + x e0 +...+ x e0 +x nε(x) e 2! n! Ainsi : 2 n x =1+ x + x +...+ x +x nε(x) (D1) e 2! n!
  • 171.
    c’est-à-dire : pourx proche de 0 2 n x ≈1+ x + x +...+ x e 2! n! Exemple : 0,1 ≈1+0,1+ 0,01+... e 2 −0,1 ≈1−0,1+ 0,01−... e 2
  • 172.
    1 =(1−x)−1 2. f(x) = : 1−x La formule de Taylor-Young donne : • f (0) =1 ; • f '(x) = −1×(1−x)−2 ×(−1) ⇒f '(0) =1 ; • f ''(x) = −2×(1−x)−3×(−1) ⇒f ''(0) =2! ; • f (3) ( x) = −6×(1− x)− 4 ×(−1) ⇒ f (3) (0) =3! ; ...f (n)(0) =n! • on obtient ainsi :
  • 173.
    1 =1+x +x 2 +x3 +...+ x n + x nε(x) (D2) 1−x En remplaçant x par –x on obtient : (D3) 1 =1−x + x 2 −x3 +...+(−1)n x n + x nε(x) 1+ x En intégrant D3 on obtient : (D4) ln(1+ x) = x − x 2 2 + x 3 3 +...+ (−1) n (n +1)! x n +1 + x n +1ε(x)
  • 174.
    Application : calculde limites Exemple : 1 Calculer lim (1+x) x x →0 1 1 (x + xε(x)) ln(1+x)  (1+x) x =e x =e x 1 Développement limité (D4) à l’ordre 1
  • 175.
    Calcul de limites Ainsi: 1 lim (1+x) x = lim e x →0 x →0 car ε(x) →0 (1+ε(x)) 1 =e =e
  • 176.
  • 177.
    Calcul de limites «Exercice » Calculer : 1) x ) 1. lim x(e −(1+ ; x x →+∞ 5) x lim (1+ 2. ; x x →+∞
  • 178.
    1 ) 3x lim(1+ 3. ; x x →+∞ (x cos x −sin x) 4. lim ; 2 x →0 e x −1−x − x 2
  • 179.
    corrigé 1 ) x) =? 1. lim x(e −(1+ x x →+∞ 1) x x ln(1+ On a : (1+ 1 ) =e x x Or lorsque x →+∞ alors 1 →0 x
  • 180.
    1 ) =1 − 1 + 1 ε( 1 ) Or ln(1+ 2 2 x x 2x x x Développement limité (D4) à l’ordre 2 !! Remarque :  1 C’est qui joue le rôle de x ici, car x 1 →0 donc 1 est proche de 0 x x
  • 181.
    Ainsi : 1 −1 + 1 ε( 1 )) x( 1 )x =e x 2x 2 x 2 x (1+ x 1 + 1 ε( 1 ) 1− 2x x x =e 1 + 1 ε( 1 ) − 1 2x x x =e ×e
  • 182.
    Or pour tproche de 0 ( t→0) on a : t e =1+t +tε(t) Développement limité (D1) à l’ordre 1 !! Donc : ( t =−1/ 2x ) e 1 + 1 ε( 1 ) − 2x x x 1 + 1 ε( 1 ) =1− 2x x x
  • 183.
    Par conséquent : 1) x =e1 ×(1− 1 + 1 ε( 1 )) (1+ x 2x x x e + 1 ε( 1 ) =e − 2x x x finalement : 1 )x ) = x( e + 1 ε( 1 )) x(e −(1+ 2x x x x
  • 184.
    C’est-à-dire : 1 )x) = e +ε( 1 )) x(e −(1+ 2 x x Conclusion 1 )x ) = e lim x(e −(1+ 2 x x →+∞ Car 1 ) = lim ε(t) =0 lim ε( x →+∞ x t →0
  • 185.
    5) x 2. lim(1+ : x x →+∞ 5) x ln(1+ x 5 ) x =e On a : (1+ x 5) = 5 + 1 ε( 1 ) 1 Or : ln( + x x x x Développement limité (D4) à l’ordre 1
  • 186.
    5 →0 lorsquex →+∞ Car x Donc : 5) x =e (1+ x 5 + 1 ε( 1 )) x( x x x
  • 187.
    1) 5+ε( x 5) x =e C’est-à-dire: (1+ x 5 ) x =e 5 lim (1+ Ainsi : x x →+∞ Car 1 ) = lim ε(t) =0 lim ε( x →+∞ x t →0
  • 188.
    1 ) 3x 3.lim (1+ : x x →+∞ 1 ) 3x =e (1+ x 1 ) = 1 + 1 ε( 1 ) ln(1+ x x x x On a : Or : 1) 3x ln(1+ x Développement limité (D4) à l’ordre 1
  • 189.
    1 →0 lorsquex →+∞ Car x Donc : 1 ) 3x =e (1+ x 1 + 1 ε( 1 )) 3x( x x x
  • 190.
    1) 3+ε( x 1 ) 3x=e C’est-à-dire : (1+ x 1 ) 3x =e 3 lim (1+ Ainsi : x x →+∞ 1 ) = lim ε(t) =0 lim ε( Car x →+∞ x t →0
  • 191.
     Remarque Refaire le calculdes 3 limites précédente en posant « au début » : 1 t= x
  • 192.
    (x cos x−sin x) : 4. lim 2 x →0 e x −1−x − x 2 Nous avons besoin des développements limités de Cos x et Sin x à l’ordre 3, car le dénominateur montre qu’il faut ex développer la fonction à l’ordre 3
  • 193.
      Développements limités à l’ordre 3 de Cos x et Sin x 1. f (x)=Cosx ; à l’ordre 3 donne : La formule de Taylor-Young 2 x Cos''0 Cosx =Cos0 + xCos'0 + 2! 3 x Cos (3) 0 + x3ε(x) + 3!
  • 194.
    Or : Cos0 =1; Cos'0 =−Sin0 =0 Cos''0 =−Cos0 =−1 Cos(3)0 =Sin0 =0 2 x +0x3 +x3ε(x) Donc : Cosx =1+0x − 2 C’est-à-dire : 2 x + x3ε(x) Cosx =1− 2
  • 195.
     De même pour la fonction Sinus 1. f (x) =Sinx;La formule de Taylor-Young à l’ordre 3 donne : 2 x Sin''0 Sinx =Sin0 + xSin'0 + 2! 3 x Sin (3) 0 +x3ε(x) + 3!
  • 196.
    Or : Donc : Sin0=0 ; Sin'0 =Cos0 =1 Sin''0 = −Sin0 =0 Sin(3) 0 = −Cos0 = −1 2 3 x x ×0 + ×−1+ x3ε(x) Sinx =0 + x ×1+ 2 6 C’est-à-dire : 3 x + x3ε(x) Sinx = x − 6
  • 197.
    x cos x−sin x = Par conséquent : 2 x x e −1−x − 2 2 / 2) −(x −x 3 / 6) +x 3ε(x) x(1−x 3 / 6+x 3ε(x) x Nous avons utiliser le D. L. de ex à l’ordre 3
  • 198.
    3 / 3+x3ε(x) −1/ 3+ε(x) −x = = 3 / 6+x 3ε(x) 1/ 6+ε(x) x Ainsi : (x cos x −sin x) =−2 lim 2 x →0 e x −1−x − x 2
  • 199.
    2 ème Partie du Cours B.Fonctions à deux variables réelles
  • 200.
     Exemples introductifs I. Uneentreprise commercialise 3 produits : A, B et C. Le prix de vente unitaire du produit A est 12 DH, celui du produit B est 15 DH et celui du produit C est 22 DH.  On vend une quantité x du produit A, une quantité y du produit B et une quantité z du produit C. La recette R(x ; y ; z) est donnée par : R(x ; y ; z) = 12x + 15y + 22 z La recette de cet exemple est une fonction de 3 variables x, y et z
  • 201.
     Exemples introductifs II. Uneentreprise fabrique 2 produits A et B. Si x désigne la quantité fabriquée de A et y celle de B, la recette escomptée lors de la vente de x articles de A et de y articles de B est donnée par : R(x , y) = -3x2 -2y2 +220x +140y  Le coût d’une unité de A (respectivement de B) qu’on note CA (respectivement CB) dépend des quantités x et y comme suit : CA = 2x +y et CB = x +3y
  • 202.
     Exemples introductifs a. Exprimeren fonction de x et de y le coût c(x , y) de fabrication de x unités de A et de y unités de B.  C(x , y) = x CA + y CB = x (2x +y) + y (x +3y) = 2x2 +3y2 +2xy On obtient une fonction de 2 variables x et y
  • 203.
     Exemples introductifs b. Exprimerle bénéfice B(x , y) réalisé lors de la vente de x articles de A et de y articles de B.  B(x , y) = R(x , y) – c(x , y) = (-3x2 -2y2 +220x +140y) – (2x2 +3y2 +2xy) = -5x2 -5y2 -2xy +220x +140y le bénéfice est une fonction de 2 variables x et y
  • 204.
  • 205.
     Exemples de fonctionsà plusieurs variables a. y +yex f (x, y) =xe x + y +100 b. f (x, y) = y x c. : 2 variables : 2 variables f (x, y) =x3 +y3 −3xy : 2 variables
  • 206.
     Exemples de fonctionsà plusieurs variables d. f (x, y, z) = xyz −x +5 y +3z : 3 var e. f (x, y, z) =ln(x2 + y2 −4z) f. f (x, y, z,t) = x3 + y2 −z + t :3 var :4 var
  • 207.
    Remarque 1. Dans lecas de n variables ( peut noter les variables : n≥5 ), on x1 , x2 , x3 , … , xn la fonction f est notée dans ce cas : f(x1 , x2 , x3 , … , xn)
  • 208.
    Remarque 2. On s’intéressedans le cadre de ce cours aux fonctions de deux variables x et y (x, y)∈IR×IR →f (x, y)
  • 209.
    1.Domaine de définition Df ⊂ IR× IR ( x, y) I f IR f ( x, y) Le domaine de définition est un domaine du plan IR2 (IR2 = IR x IR)
  • 210.
  • 211.
  • 212.
    Exemples 1.  f (x, y)=x2 +y2 −xy −2x +y ∀x∈IR et ∀y∈IR : on a : f (x, y) est définie (on peut la calculer) Donc D =IR×IR =IR f x y 2
  • 213.
  • 214.
    Exemples 2. f (x, y)=x ln(y) +y2 +3  on doit avoir y>0 pour que f (x, y) soit définie, donc D =IR×]0,+∞[ f x : y
  • 215.
  • 216.
    Exemples 3. f (x, y)=ln(x) +ln(y) +1 :  On doit avoir : pour que Donc x >0 et y>0 f (x, y) soit définie D =]0,+∞[×]0,+∞[ f x y
  • 217.
  • 218.
    Remarque à réviser : Équation d’une droite dans le plan IR 2 : Une droite partage le plan en 3 zones…..  Équation d’un cercle dans le plan IR 2 : Un cercle partage le plan en 3 zones….. Voir TD
  • 219.
  • 220.
    2.Courbes de niveaux& Sections a) Courbes de niveaux :  Ce sont des sous ensembles du domaines de définition D.  Elles correspondent à des coupes horizontales de la surface z = f(x , y) projetées sur le domaine de définition D.
  • 221.
    a)Courbes de niveaux Définition La courbe de niveau k, notée Ck ou Nk, est l’ensemble des points du domaine de définition D tels que leur image f(x , y) est égale à k : C = (x, y)∈D /f (x, y) = k k          
  • 222.
    Exemple •  f (x, y)= y −x2 D =IR : 2 f  La Courbe de niveau k : On cherche les couples (x , y) du domaine de définition IR 2 tels que : f (x, y) = k
  • 223.
    f (x, y)= k ⇔ y − x2 = k ⇔ y = x2 + k La Courbe de niveau k est la parabole d’équation y = x 2 +k :  C0 : (k=0) parabole d’équation  C1 :(k=1) // //  C-1 :(k=-1) // // y=x2 y =x2 +1 y =x2 −1
  • 224.
    b) Sections ou« abaques »  Elles correspondent à des coupes verticales de la surface z = f(x , y)
  • 225.
     Sections selonx  On fixe x : ( x = k ) et on trace la courbe z = f(k , y) dans le plan Oyz z y
  • 226.
     Sections selony  On fixe y : ( y = k ) et on trace la courbe z = f(x , k) dans le plan Oxz z x
  • 227.
    Exemple • f (x, y)=ln(xy) :  Domaine de définition : xy > 0 ⇔ x > 0 et y> 0 ou x < 0 et y< 0 D =]−∞,0[×]−∞,0[∪]0,+∞[×]0,+∞[ f
  • 228.
  • 229.
    Section selon x= 1  On fixe x : ( x = 1 ) et on trace la courbe : z = f(1 , y) = ln y (y>0) dans le plan Oyz z z=ln y y
  • 230.
    Section selon y= -1  On fixe y : ( y = -1 ) et on trace la courbe : z = f(x , -1) = ln -x (x<0) dans le plan Oxz z=ln -x z x
  • 231.
    3. Dérivées partielles premières  1èrenotation : f(x , y) Selon x f’x(x,y) Selon y f’y(x,y) Deux dérivées partielles premières
  • 232.
    2 ème notation ∂ : Seprononce « d rond » f(x , y) Selon x ∂f (x, y) ∂x ∂f (x, y) ∂y
  • 233.
    Règle de base Lespremiers pas…dans le calcul différentiel Lorsqu’on dérive par rapport à une variable, l’autre variable est supposée constante
  • 234.
    Dérivées partielle première parrapport à x ' f x ( x0, y0) = lim x→ x 0 f ( x, y ) − f ( x , y ) 0 x− x 0 0 x est variable et tend vers x0, alors que y est fixé : y = y0 0
  • 235.
    Dérivées partielle première parrapport à y ' f y ( x0, y0) = lim y→ y f ( x , y) − f ( x , y ) 0 0 y− y 0 0 x est fixé : x = x0 alors que y est variable et tend vers y0 0
  • 236.
    Remarque Lorsqu’on calcule unedérivée partielle, on utilise les règles de dérivation d’une fonction d’une variable réelle « car une des deux variable est fixée »
  • 237.
    Exemples 1. f (x,y) =x2 +xy + y4 +3 : Selon x ' f x (x, y) =2x +y Selon y ' f y(x, y) =x +4y3
  • 238.
    Exemples y +x 2y: 2. f (x, y) =xe Selon x Selon y ' ' (x, y) =ey +2xy f y(x, y) =xey +x2 fx
  • 239.
    Exemples 3. f (x,y) =x3 + y3 −3xy : Selon x Selon y ' ' f x (x, y) =3x2 −3y f y(x, y) =3y2 −3x
  • 240.
  • 241.
    Dérivées partielles premières f(x , y) Selon x f’x (x , y) Selon y f’y (x , y) fonctions de 2 variables
  • 242.
    Une dérivée partielleest une fonction de deux variables x et y, on peut alors la dériver à son tour!
  • 243.
    Schème de dérivation f(x, y) x y f’x(x,y) x f’’xx(x,y) y f’’xy(x,y) f’y(x,y) x f’’yx(x,y) y f’’yy(x,y) quatre dérivées partielles secondes
  • 244.
    Dérivées partielles secondes oud’ordre 2 f’’xx : On dérive f 2 fois par rapport à x f’’xy : On dérive f par rapport à x ensuite f’’yx f’’yy par rapport à y « dérivée croisée » : On dérive f par rapport à y ensuite par rapport à x « dérivée croisée » : On dérive f 2 fois par rapport à y
  • 245.
    Exercice  Calculer lesdérivées partielles premières et secondes des fonctions suivantes : 1. f (x, y) =3x 2y −xy3 −x −y ; 2. f (x, y) = x ln y + yln x ; 2 2 ; 3. f (x, y) = x + y
  • 246.
    f (x, y)=3x2y −xy3 −x −y : 1. y x ' f x ( x, y) = 6 xy − y3 −1 y x ' f y ( x, y) =3x2 −3xy2 −1 x y '' '' f xy ( x, y) = f yx ( x, y) = 6 x −3 y 2 '' f xx ( x, y) = 6 y Remarque : '' f yy ( x, y) = −6xy '' '' f xy = f yx
  • 247.
    2. f (x,y) =x ln y + yln x y x ' f x ( x, y) = ln y + y / x y x : ' f y ( x, y) = x / y +ln x x y '' '' f xy ( x, y) = f yx ( x, y) =1/ x +1/ y '' f xx ( x, y) = − y / x2 Remarque : '' f yy ( x, y) = −x / y 2 '' '' f xy = f yx
  • 248.
    3. f (x, y) = x 2 + y 2 : y x ' ( x, y) = x / x 2 + y 2 f ' ( x, y) = y / x 2 + y 2 fx y y x x y '' = f '' = −xy / ( x 2 + y 2 )3 f xy yx '' f xx = y 2 / ( x 2 + y 2 )3 '' f yy = x2 / ( x 2 + y 2 )3
  • 249.
    Remarque a) Théorème de Schwartz Sif est une fonction «de classe C2» alors les dérivées secondes croisées sont égales : f '' = f '' xy  yx Toutes les fonctions économiques considérées dans ce cours vérifient le Théorème de Schwartz
  • 250.
    Remarque b) Une fonction dedeux variables admet : 1. 2. 3. 4. n. 2 dérivées partielles d’ordre 1 « premières » 4 dérivées partielles d’ordre 2 8 dérivées partielles d’ordre 3 16 dérivées partielles d’ordre 4 … etc 2n dérivées partielles d’ordre n
  • 251.
    4. Quelques définitions a) Lesfonctions homogènes : Définition f est homogène de degré k lorsque : ∀(x, y)∈D f et ∀α >0 f (αx,αy) =αk f (x, y)
  • 252.
    Exemples 1. f (x, y)=5x2 y −xy2 Soit : α > 0 , on a : f (αx,αy) =5(αx)2(αy) −(αx)(αy)2 ⇒ f (αx,αy) =5α3x2 y −α3xy2 =α3(5x2 y − xy2) =α3 f ( x, y) f est homogène de degré 3
  • 253.
    2. f (x, y) = 2 xy x −y Soit 2 : α > 0 , on a : f (αx,αy) = (αx)(αy) 2 2 2 2 α x −α y = xy 2 x −y 2 ⇒ f (αx,αy) = f ( x, y) =α0 f (x, y) f est homogène de degré 0
  • 254.
    3. f (x, y) = 5 y x +y Soit 5 : α > 0 , on a : f (αx,αy) = αy 5 5 5 5 α x +α y =α −4 y 5 x +y ⇒ f (αx,αy) =α −4 f (x, y) f est homogène de degré -4 5
  • 255.
    4. Soit f (x, y)= xy + x + y +1: α > 0 , on a : f (αx,αy) =α 2 xy +αx +αy +1 Si on prend par exemple α = 2 et x =1, y =1 f (2×1,2×1) = f (2,2) =9 f (1,1) =4⇒ f (2×1,2×1) ≠2× f (1,1) On obtient : f n’est pas une fonction homogène
  • 256.
    Règle Pratique Pour montrerque f est homogène (ou non homogène), on peut utiliser :  La définition ou  Le Théorème d’Euler
  • 257.
    Théorème d’Euler f esthomogène de degré k ⇔ ' ' xf x(x, y) + yf y (x, y) = k × f (x, y)
  • 258.
    Exemple f (x, y)=5x2 y −xy2 x ' f x ( x, y) =10 xy − y 2 y ' f y ( x, y) =5x2 −2xy ' ' On a : xf x ( x, y) + yf y ( x, y) =15x2 y − 3xy2 ' ' ⇒ xf x( x, y) + yf y ( x, y) = 3 f ( x, y) f est homogène de degré 3
  • 259.
    4. Quelques définitions b) Elasticités 1.Cas d’une fonction d’une variable : L’élasticité de f est par définition : x xf '(x) E =e( f , x) = f f (x)
  • 260.
    Exemple f (x) =x2 + x −2 On a : x(2x +1) 2 2x + x e( f , x) = = = 2 2 f ( x) x + x −2 x + x −2 xf '( x) 5 Exemple : e( f ,2) = 2
  • 261.
    2. Cas d’unefonction de deux variables f (x , y) f’x (x , y) f’y (x , y) ' xf ( x, y) e( f , x) = x f ( x, y) ' yf ( x, y) y e( f , y) = f ( x, y) Elasticité partielle par rapport à x Elasticité partielle par rapport à y
  • 262.
    Exemples 1. f (x, y)=5x2 y −xy2 : x ' f x ( x, y) =10 xy − y 2 ' xf ( x, y) 10x 2 y − xy 2 e( f , x) = x = 2 2 f ( x, y) 5x y − xy
  • 263.
    f (x, y)=5x2 y −xy2 y ' f y ( x, y) =5x2 −2xy ' yf ( x, y) 2 2 5x y −2xy y e( f , y) = = 2 2 5x y − xy f ( x, y)
  • 264.
    Ainsi f (x, y)=5x2 y −xy2 y x 2 2 2 2 10x y − xy e( f , y) = 5x y −2xy e( f , x) = 2 2 2 2 5x y − xy 5x y − xy Exemple : x = 1 ; y = 1 e( f , x) =9 / 4 et e( f , y) =3/ 4
  • 265.
    Exemples 2. f (x, y)= x0,01y0,99 : x ' f x ( x, y) = 0,01x−0,99 y0,99 ' xf ( x, y) 0,01x 0,01 y 0,99 e( f , x) = x = =0,01 0,01 0,99 x y f ( x, y)
  • 266.
    f (x, y)= x0,01y0,99 y ' f y ( x, y) = 0,99x0,01y −0,01 ' 0,01 0,99 yf ( x, y) 0,99x y y e( f , y) = = =0,99 0,01 0,99 x y f ( x, y)
  • 267.
    Ainsi 0,01y0,99 f (x, y)= x x e( f , x) =0,01 y e( f , y) =0,99
  • 268.
    D’une manière générale αyβ f (x, y) =kx x e( f , x) =α y e( f , y) = β
  • 269.
  • 270.
    4. Quelques définitions c)Différentielle totale
  • 271.
    Définition La différentielle totalede f au point (x0 , y0) avec les accroissements dx et dy est la quantité : ' ' df ( x , y ) = f x ( x0, y0)×dx + f y ( x0, y0)×dy 0 0
  • 272.
    Exemple f (x, y)= x2 y + xy2 = xy(x + y) Calculer la différentielle totale de f au point (20,30) avec les accroissements dx = 1 et dy = -1
  • 273.
    Réponse ' ' df (20,30) =f x (20,30)×1+ f y (20,30)×(−1) Or : ' '  f,x ( x, y) = 2xy + y2 ⇒ f x (20,30) = 2100 ' '  f y,( x, y) = x2 +2xy ⇒ f y (20,30) =1600 ⇒df (20,30) = 2100×1+1600×(−1) =500
  • 274.
    Interprétation (x0+dx,y0+dy) dy (x0,y0) dx Question : Lorsque xsubit une légère variation dx «ou x » ∆(on passe de x0 à x0 +dx) et y subit une légère variation dy «ou »∆y passe de y0 à (on y0 +dy) , de combien varie la fonction f « ∆f =? »?
  • 275.
    Réponse 1. Calcul direct: ∆f = f ( x0 +dx, y0 +dy) − f ( x0, y0) 2. Valeur approchée : ∆f ≅ df (x , y ) 0 0
  • 276.
    Exemple Soit la fonctionU (appelée fonction d’utilité) donnée par : U ( x, y) = x1/ 3 y2 / 3  Calculer U(x,y) pour x=8 et y=1  De combien varie la fonction d’utilité U si x augmente de dx=0,1 et y diminue de dy=0,01 (Utiliser deux méthodes)
  • 277.
    Réponse 1. Calcul direct: On a : x0 =8 ; y0 =1 ; dx =0,1 ; dy =−0,01 ∆U =U ( x0 + dx; y0 + dy) −U ( x0; y0 ) =U (8,1;0,99) −U (8;1) =3 8,1×3 2 0,99 −2 = −0,00511..
  • 278.
    Réponse 2. Valeur approchée: ∆U ≅ dU (8,1) dx =0,1 avec les accroissements dy = −0,01      ' dU (8,1) =U x (8,1)×0,1+U 'y (8,1)×(−0,01)
  • 279.
     U '( x, y) = 1 x − 2 / 3 y 2 / 3 ⇒U ' (8,1) = x x 1 3 12 ; 'y ( x, y) = 2 x1/ 3 y −1/ 3 ⇒U 'y (8,1) = 4 U 3 3;  dU (8,1) =1/12×(0,1) + 4 / 3×(−0,01) Donc : C’est-à-dire : dU (8,1) = −0,005 On obtient ainsi : ∆U ≅ −0,005
  • 280.
  • 281.
    Exemple Le salaire Sd’un employé a été augmenté de 1300 DH On parle ici de variation du Salaire :  ∆S =1300 Le nouveau salaire est : S '= S +∆S = S +1300
  • 282.
    Exemple Le salaire Sd’un employé a été augmenté de 5% : ⇒∆S =5%×S On parle ici de variation relative du Salaire : ∆S  S =5% Le nouveau salaire est : S '= S +∆S = S +0,05×S =1,05×S
  • 283.
    A. Cas d’unefonction « économique » d’une variable  Variation de f : On rappelle que : f '( x0 ) = lim x→ x f ( x) − f ( x ) 0 x − x0 0
  • 284.
    Lorsque x →x0 ; f ( x) → f ( x0 ) (f est continue) On note : df = f ( x) − f ( x0 ) et dx = x − x0 que l’on appelle respectivement différentielle de f et différentielle de x, on a donc : df f '( x) = dx ou encore df = f '( x)×dx Exemples : 1 dx ; • f ( x) = x ⇒ df = 2 x 1 1 . • f ( x) = ⇒ df = − dx 2 x x
  • 285.
    Notations dx : Variation infinimentpetite de x df : Variation infiniment petite de f ∆x : Variation très petite « faible» de x ∆f : Variation très petite « faible» de f
  • 286.
    En pratique si lavariation ∆x que subit x est faible : la variation subit par la fonction f est faible et on a : ∆f ≅ f '(x)×∆x Remarque : dans la formule nous avons remplacé : dx par ∆x et df df = f '( x)×dx par ∆f
  • 287.
    Exemple  Le coûtglobal de la fabrication d’un bien en quantité x est donnée par la formule : C(x) = 250 − x2 Pour une quantité x=10 (par exemple) : C(10) = 250 −100 =150
  • 288.
     Calculons l’écart(de 2 façons différentes) résultant d’une augmentation ∆x =1 1) Calcul direct : C(11)=250−112 =250−121=129 donc ∆C = C(11) − C(10) =129 −150 = −21
  • 289.
    2) Valeur approchée: en appliquant la formule : ∆C ≅ C'( x)× ∆x On obtient : C'( x) = −2x ⇒ ∆C ≅ (−20)×(1) ∆C ≅ −20
  • 290.
    A retenir • Six subit une faible variation ∆x , une valeur approchée de la variation ∆f de f est donnée par la formule : ∆f ≅ f '(x)×∆x
  • 291.
     On a : Variationrelative ∆f ≅ f '( x)× ∆x ⇔ f '( x) ≅ ∆f ∆x  L’élasticité de f au point x est : ∆f ∆f x xf '( x) ∆x ⇒e( f , x) ≅ f e( f , x) = ≅ ∆x f ( x) f ( x) x
  • 292.
    Elasticité de fau point x : ∆f f e( f , x) ≅ ∆x x ⇔ ∆f ≅ e( f , x)× ∆x f x ∆f représente la variation relative de f f ∆x représente la variation relative de x x
  • 293.
    Exemple f(x) représente unefonction économique dépendant de la quantité x d’un bien distribué.  On suppose connaitre la valeur de f pour une quantité x=1000 et que l’élasticité en x=1000 est : e(f,1000) = 5.
  • 294.
    Exemple  La quantité distribuéeà baissé de 2% (980 unités ont été distribuées au lieu de 1000), cela entrainera une variation relative de f : ∆f ≅ e( f , x)× ∆x =5×−2% = −10% f x f a baissé d’environ 10%
  • 295.
    A retenir • Six subit une faible variation relative , une valeur approchée ∆x/ x de la variation relative de f est donnée par la f ∆formule : ∆x f ≅e( f , x)× x e( f , x) désigne l’élasticité de f au point x
  • 296.
    B. Cas d’unefonction « économique » de deux variables  Variation de f : Nous avons vu que : ∆f ≅ df ( x0 , y0 ) C’est-à-dire : ' ' ∆f ≅ f x ( x0, y0 )×dx + f y ( x0, y0 )×dy
  • 297.
    En pratique :si la variation ∆x que subit x est faible et la variation ∆y que subit y est faible : la variation subit par la fonction f est faible et on a : ' ' ∆f ≅ f x ( x0, y0 )×∆x + f y ( x0, y0 )×∆y Voir exemple précédent « paragraphe 4 c) : différentielle totale »
  • 298.
    A retenir • Six subit une faible variation ∆x et y subit une faible ∆y variation , une valeur approchée de la variation de f est donnée par la formule : ' ' ∆f ≅ f x ( x0, y0 )×∆x + f y ( x0, y0 )×∆y
  • 299.
     Variation relative ' ' On a: ∆f ≅ f x ( x, y)×∆x + f y ( x, y)×∆y  En divisant par f(x,y) : ' ( x, y) f ' ( x, y) f ∆f ≅ x y ×∆x + ×∆y f f ( x, y) f ( x, y)
  • 300.
    On fait apparaîtreles variations relatives de x et de y :  ' ( x, y) xf ' ( x, y) yf ∆f ≅ x ∆x + y ∆y × × f f ( x, y) x f ( x, y) y ∆f ≅ e( f , x)× ∆x +e( f , y)× ∆y ⇒ f x y
  • 301.
    Variation relative def ∆f ≅ e( f , x)× ∆x +e( f , y)× ∆y f x y ∆f représente la variation relative de f f ∆x et ∆y représentent les variations y x relatives de x et de y e( f , x) et e( f , y) représentent les élasticités à x et à y partielles par rapport
  • 302.
    Exemple f(x,y) représente une fonction économique dépendantde deux quantités x et y de deux biens fabriqués.  On suppose connaitre la valeur de f pour une quantité x=1000 et y=500. Supposons aussi que les élasticités partielles en x=1000 et y=500 sont : e(f , x) = 5 et e(f , y) = 3
  • 303.
    Exemple  Suite àun incident technique, la fabrication des deux biens a légèrement varié : x a diminué de 4% et y a augmenté de 5%. Quelle variation cela entrainera sur la fonction économique f ? ∆f ≅ 5×(−4%) +3×5% = −5% f la fonction économique f subira une baisse d’environ 5%
  • 304.
    A retenir • Six subit une faible variation relative et y subit une faible ∆x/ x variation relative , une valeur ∆y/ y approchée de la variation relative de f est donnée par la formule : ∆f ≅ e( f , x)× ∆x +e( f , y)× ∆y f x y
  • 305.
  • 306.
  • 307.
    4. Quelques définitions d)Hessien de f Rappel : déterminant d’ordre 2 a b c =ad −bc d
  • 308.
    Définition Le Hessien def au point (x , y) est la quantité : '' f xx ( x, y) H (x, y) = f '' f yx (x, y) '' f xy (x, y) '' f yy (x, y)
  • 309.
    Exemple  Soit lafonction f (x, y) = x2 y − xy3 Calculer le Hessien de f aux points (0;0), (1;2) et (-2;1)
  • 310.
    f (x, y)= x2 y − xy3 y x ' f x ( x, y) = 2xy − y3 y x ' f y ( x, y) = x 2 −3xy 2 x y '' '' f xy ( x, y) = f yx ( x, y) = 2x −3 y 2 '' f xx ( x, y) = 2 y '' f yy ( x, y) = −6xy
  • 311.
    Donc Le Hessiende f au point (x , y) est donné par : H (x, y) = f 2y 2x −3 y 2 2x −3 y 2 −6xy
  • 312.
    Ainsi 0  H (0,0)= f 0   4 H (1,2) = f −10 2 H (−2,1) = f −7 0 =0 −0 =0 ; 0 −10 −12 −7 12 = −48 −100 =;−148 = 24 −49 = −25 ;
  • 313.
  • 314.
  • 315.
    Problème Soit f(x ,y) une fonction de deux variables définie sur un domaine D ( ( x, y)∈D ⊂ IR2)  On cherche les couples (x , y) qui rendent f maximale ou minimale
  • 316.
    Extrémum local ouglobal Plus grand Plus petit Max global Max local Min local Max local Min local Min global Max local
  • 317.
    Un maximum global(s’il existe) est un point (x0,y0) du domaine D qui vérifie :  ∀(x, y)∈D : f ( x, y) ≤ f (x0, y0) Un minimum global (s’il existe) est un point (x0,y0) du domaine D qui vérifie :  ∀(x, y)∈D : f ( x, y) ≥ f (x0, y0)
  • 318.
    a) Extrémums ”locaux”libres On checrche les extrémums “locaux” de la fonction f sachant qu’il n y a aucune contrainte sur les variables x et y : on dit que les variables x et y sont indépendantes ou libres
  • 319.
     On parle alorsd’éxtrémums libres de la fonction f sur le domaine D
  • 320.
    Méthode à suivre I. Etape1 : Recherche des candidats Remarque : On dit aussi points critiques ou points stationnaires  Ce sont les couples (x , y) solutions du système : ' f x(x, y) =0 S: ' f y(x, y) =0           
  • 321.
    On doit résoudrele système S “ étape un peu difficile !” et donner ses solutions : (x0 , y0) ; (x1 , y1) ; (x2 , y2) ; etc...  Les couples (x0 , y0) ; (x1 , y1) ; (x2 , y2) ... sont les candidats ( ...pour être extrémums), ou les points critiques de la fonction f (on dit aussi : points stationnaires de f)
  • 322.
    Etape 2 Nature descandidats II. Max Min
  • 323.
    Etape 2 Nature descandidats II. Point-selle Ni Max Ni Min
  • 324.
    Etape 2 Nature descandidats II. Col Ni Max Ni Min
  • 325.
    Etape 2 :Nature des candidats  On calcule le Hessien de f pour chaque candidat. Soit (x0 , y0) un candidat issu de l’étape 1 : '' f xx (x0, y0) H (x0, y0) = f '' f yx (x0, y0) '' f xy (x0, y0) '' f yy (x0, y0)
  • 326.
    Etape 2 :Nature des candidats Si Hf (x0 , y0) <0⇒pas d’extrémum en (x 0 , y0) « Ni Max ni Min » Il s’agit d’un Col ou un point-selle en (x0 , y0) Si Hf (x0 >0⇒ f présente un extrémum ,y) 0 en (x0 , y0)
  • 327.
    Pour savoir s’ils’agit d’un Max ou d’un Min, on regarde le signe de la dérivée seconde par rapport à x (ou par rapport à y) :  Si '' f xx(x0, y0)<0 : f présente un Maximum en (x 0 , y0) ''  Si f xx(x0, y0) >0 : f présente un Minimum en (x 0 , y0)
  • 328.
    3ème cas :On ne peut pas conclure  Si Hf (x0 , y0) = 0 : Dans ce cas, on ne peut rien conclure Remarque : Dans ce cas, on peut faire appel à d’autres méthodes : Des estimations locales de la fonction au voisinage du point (x0 , y0) par exemple. Voir «TD : Partie 2 - Exercice 3»
  • 329.
    Exemple 1 Soit lafonction : f ( x, y) = −3x2 −4 y 2 −3xy +69x +93 y  Trouver les extrémums « locaux » de la fonction f
  • 330.
    Réponse I. Etape 1 :Recherche des candidats  On doit résoudre le système : ' f x(x, y) =0 ⇔ −6x −3y +69 =0 S: ' −8 y −3x +93= 0 f y(x, y) =0                     6x +3y = 69 ⇔ x = 7 ⇔ 3x +8 y =93 y =9               Nous avons un seul candidat : le couple (7 , 9)
  • 331.
    Réponse II. Etape 2: Nature des candidats On calcule le Hessien de f au point (7 , 9) : '' f xx (x, y) H (x, y) = f '' f yx (x, y) −6 ⇒H ( x, y) = f −3 '' f xy (x, y) '' f yy (x, y) −3 =39 −8
  • 332.
    Réponse Le Hessien def ne dépend ici de (x , y), nous avons alors au point (7 , 9) : ⇒H (7,9) =39 >0 f f présente donc un extrémum au point (7 , 9) Pour savoir s’il s’agit d’un Max ou d’un Min, on regarde le signe de la dérivée seconde par rapport à x :
  • 333.
    Réponse '' '' f xx (x,y) =−6 ⇒ f xx (7,9) =−6 <0 f présente donc un Maximum « local » au point (7 , 9)  La valeur de ce maximum est : f (7,9) =660
  • 334.
    Exemple 2 Soit lafonction : f ( x, y) =3xy − x3 − y3  Trouver les extrémums « locaux » de la fonction f
  • 335.
    I. Etape 1 :Recherche des candidats  On doit résoudre le système : ' f x(x, y) =0 3( y − x2) = 0 ⇔ S: ' 3(x − y2) = 0 f y(x, y) =0                                2 y = x2 ⇔ y = x ⇔ 2 2 4 x = y2 x = (x ) = x         
  • 336.
    Etape 1 :Recherche des candidats  2            y = x2 ⇔ y = x ⇔ S 3 x − x4 = 0 x(1− x ) = 0                 ⇔ y=x 2 ⇔ x = 0..ou.. x =1 y =0 y =1 x = 0..ou..x =1               Nous avons ici deux candidats (0 , 0) et (1, 1)
  • 337.
    Etape 2 :Nature des candidats On calcule le Hessien de f aux points (0,0), (1,1) :   H f ( x, y) = H f (0,0) = H f (1,1) = 0 3 3 3 −6 y = −9 <0 ⇒ 3 0 −6 3 3 −6x −6 pas d’extrémum en (0,0) =36 −9 = 27 >0 ⇒ pas d’
  • 338.
    Réponse On regarde lesigne de la dérivée seconde de f par rapport à x au point (1 , 1) : '' '' f xx (x, y) =−6x ⇒ f xx (1,1) =−6 <0 f présente donc un Maximum « local » au point (1 , 1)  La valeur de ce maximum est : f (1,1) =1
  • 339.
    Séance n° 11 «Dernière Séance »
  • 340.
    b) Extrémums ”locaux”liés On checrche les extrémums “locaux” de la fonction f sachant que les variables x et y sont liées par une équation appelée “contrainte” Contrainte : g (x, y) =0
  • 341.
     On parle alorsd’éxtrémums de la fonction f sur le domaine D liés par la contrainte g ( x, y) =0 Le problème est plus simple que celui des extrémums libres : 
  • 342.
    z Max Max Min Surface z=f(x , y) x Df y (x, y) vérifiant la contrainte
  • 343.
  • 344.
    Deux méthodes : I. Méthodede substitution Ou II. Méthode du multiplicateur de Lagrange
  • 345.
    I. Méthode de substitution  g Apartir de la contrainte( x, y) =0 , on exprime y en fonction de x (ou x en fonction de y) et on remplace dans la fonction f(x , y)  On obtient alors une fonction d’une variable réelle : on cherche ses extrémums
  • 346.
    Exemple Chercher les extrémumsde la fonction : f ( x, y) =3xy − x2 − y 2 Sous la contrainte x + y =2
  • 347.
    Réponse On pose : g(x, y) = x + y −2 « contrainte »  g (x, y) =0 ⇔ y, =2 − x on remplace y par sa valeur dans f (x , y) :
  • 348.
    Réponse f (x, y)= f (x,2 − x) =3x(2 − x) − x2 −(2 − x)2 = −5x2 +10x −4 =h( x) On obtient une fonction d’une variable : h(x)
  • 349.
    Réponse On cherche lesextrémums de la fonction h(x) :  h'( x) = −10x +10 =10(1− x) x −∞ h’(x) 1 + 0 1 _ +∞ h(x) −∞ Max −∞
  • 350.
    Réponse  La fonction hprésente un extrémum en x=1 x =1 x =1⇒ y = 2 − x =1⇒ y =1      Conclusion La fonction f présente un seul extrémum sous la contrainte x + y = 2 : un Maximum en (1 , 1)  La valeur de ce maximum est : f (1,1) =1
  • 351.
    Remarque On utilise laméthode de substitution lorsque la contrainte g permet d’exprimer facilement y en fonction de x (ou x en fonction de y)
  • 352.
    II. Méthode deLagrange  On intègre la contrainte dans le problème en considérant la fonction de Lagrange « à 3 variables » suivante : L(x, y,λ) = f (x, y) +λg (x, y) λest le multiplicateur de Lagrange
  • 353.
    II. Méthode deLagrange  On cherche alors les extrémums « libres » de la fonction L :  Deux étapes :  Recherche des candidats  Nature des candidats Problème à 3 variables !!
  • 354.
    Etape 1 :Recherche des candidats  On commence par résoudre le système : S:                  L'x(x, y,λ) =0 L'y(x, y,λ) =0 ' Lλ (x, y,λ) =0 Les solutions (x1 , y1 , λ1 ) ; (x2 , y2 , λ2) ... du système S sont les candidats
  • 355.
    Etape 2 :Nature des candidats  On calcule le Hessien de L pour chaque candidat. Soit (x1 , y1 , λ1 ) un candidat issu de l’étape 1 HL (x1 , y1 , λ1 )
  • 356.
    '' Lxx '' H ( x1,y1,λ1) = L yx L '' L λx '' Lxy '' L '' L xλ '' L '' L '' L yy λy Calculé au point (x1 , y1 , λ1 ) yλ λλ
  • 357.
     Si HL(x1 , y1 , λ1) >0 f présente un Maximum en (x  Si HL (x1 , y1 , 1 , y1) 1 , y1) <0 ) λ1 f présente un Minimum en (x
  • 358.
    3 ème cas : Onne peut pas conclure  Si HL (x1 , y1 , λ1) = 0 Dans ce cas, on ne peut rien conclure
  • 359.
    Exemple Soit la fonction: f ( x, y) = x + y +5  Chercher les extrémums de contrainte : x2 + y 2 =1 f sous la
  • 360.
    Réponse On pose : g( x, y) = x2 + y 2 −1  La fonction de Lagrange est donnée par : L(x, y,λ) = f ( x, y) +λg (x, y) = x + y +5+λ(x2 + y 2 −1)
  • 361.
    I. Etape 1 :Recherche des candidats  On doit résoudre le système : L'x(x, y,λ) =0 1+ 2λx = 0 L'y(x, y,λ) =0 ⇔ 1+ 2λy =0 S: x2 + y2 −1=0 ' (x, y,λ) =0 Lλ λ = −1/ 2x ⇔ λ = −1/ 2 y x2 + y2 −1=0                                           
  • 362.
     Egalité des deuxpremières équations : λ = −1/ 2x = −1/ 2 y⇒ x = y On remplace dans la 3ème équation : 2 + y2 =1⇔ 2x2 =1⇔ x = ± 2 x 2
  • 363.
    2 ⇒ y=2  x= 2 2 2 ⇒ y =− 2  x=− 2 2 1 =− 2 λ car x=y et= − 2x 2 1= 2 λ et = − 2x 2
  • 364.
    Nous avons doncdeux candidats :  2 , 2) 2 ( avec λ = − 2 2 2 et 2 ,− 2 ) avec λ = 2 (− 2 2 2
  • 365.
    Etape 2 :Nature des candidats  Calcul du Hessien de L : 2λ λ1 H ( x, y,λ) = 0 L 2x 0 2λ 2y 2x 2y 0 En développant suivant la 1ère ligne par exemple :
  • 366.
    On obtient : 2λ H( x, y,λ) = 2λ L 2y 2y 0 +2x 0 2λ =−8λy 2 −8λx2 =−8λ(x2 + y 2) 2x 2y
  • 367.
    Ainsi : 2 ,2 ) = 8 2 >0  H ( : L 2 2 2 Maximum en ( 2 / 2, 2 / 2) 2 ,− 2 ) = −8 2 <0  H (− : L 2 2 2 Minimum en (− 2 / 2,− 2 / 2)
  • 368.
    Conclusion La fonction fprésente deux extrémums x2 + sous la contrainte y 2 =1 : 2 2  Un Maximum en ( , ) 2 2  Un Minimum en (− 2 2 ,− 2 2 )
  • 369.
  • 370.
    Cas simple « Unevariable » Exemple On considère la fonction à deux variables suivante : f ( x, y) =3xy − x2 − y 2 On pose : F (t) = F' Calculer(t) f (t +1,t 2 −2)
  • 371.
    Réponse 1) Méthode directe : Oncalcule F (t) puis on dérive : F (t) = f (t +1,t 2 −2) = 3(t +1)(t 2 −2) −(t +1)2 −(t 2 −2)2 = −t 4 +3t 3 +6t 2 −8t −11 ⇒ F '(t) = −4t 3 +9t 2 +12t −8
  • 372.
    2) Formule dedérivation On pose : avec F (t) = f (u(t),v(t)) u(t) =t +1 et v(t) =t 2 −2  On a alors : ' ' F '(t ) = f x (u(t ),v(t ))×u'(t ) + f y (u(t ),v(t ))×v'(t )
  • 373.
    Cette formule dedérivation fait intervenir les dérivées partielles de f : f ( x, y) =3xy − x2 − y 2 x ' f x ( x, y) =3 y −2x y ' f y ( x, y) =3x −2 y
  • 374.
    Ainsi : '  fx (u(t ),v(t )) = 3v(t ) −2u(t ) = 3t 2 −2t −8 , '  f y (u(t ),v(t )) = 3u(t ) −2v(t ) = −2t 2 +3t +7 , On applique la formule : ' ' F '(t ) = f x (u(t ),v(t ))×u'(t ) + f y (u(t ),v(t ))×v'(t ) = (3t 2 − 2t −8)×1+ (−2t 2 + 3t + 7) × 2t = −4t 3 +9t 2 +12t −8
  • 375.
    A retenir On considèrela fonction à une variable définie par : F (t) = f (u(t),v(t)) où f est une fonction de deux variables notées x et y : (x , y) f (x , y)  On a alors : ' ' F '(t ) = f x (u(t ),v(t ))×u'(t ) + f y (u(t ),v(t ))×v'(t )
  • 376.
    « Fin duCours »