Bilan social 2011




direction des
ressources humaines
Table des matières
1- LES EMPLOIS . . . . . . . . . . . . . . . . . . . . . . . . . . . . . . . . . . . . . . . . . . . . . . . . . . . . . . . . . . . . . . . . . . . . . . . . . . . . . . . . . . . . . . . . . . . . . . . . . . . . . . 3
      1.1 - Evolution des emplois budgétaires par grade . . . . . . . . . . . . . . . . . . . . . . . . . . . . . . . . . . . . . . . . . . . . . . . . . . . . . . . . 4
      1.2 - Evolution des emplois budgétaires par filière . . . . . . . . . . . . . . . . . . . . . . . . . . . . . . . . . . . . . . . . . . . . . . . . . . . . . . . . 4
2- LES PERSONNELS RÉMUNÉRÉS D’INRIA . . . . . . . . . . . . . . . . . . . . . . . . . . . . . . . . . . . . . . . . . . . . . . . . . . . . . . . . . . . . . . . . . . . . . . . . . . . . . 5
      2.1 - Les effectifs réels . . . . . . . . . . . . . . . . . . . . . . . . . . . . . . . . . . . . . . . . . . . . . . . . . . . . . . . . . . . . . . . . . . . . . . . . . . . . . . . . . 6
                 2.1.1             - Les personnels sur support d'emploi chercheurs, ITA et postes fonctionnels . . . . . . . . . . . . . . . . . . 6
                 2.1.2             - Les personnels non permanents rémunérés par Inria au 31 décembre . . . . . . . . . . . . . . . . . . . . . . . . 10
                 2.1.3             - Total des effectifs réels (permanents et non permanents) au 31 décembre . . . . . . . . . . . . . . . . . . . 11
      2.2 - Répartition des personnels permanents . . . . . . . . . . . . . . . . . . . . . . . . . . . . . . . . . . . . . . . . . . . . . . . . . . . . . . . . . . . . . . . 12
                 2.2.1             - Répartition par catégorie . . . . . . . . . . . . . . . . . . . . . . . . . . . . . . . . . . . . . . . . . . . . . . . . . . . . . . . . . . . . . . . . . . 12
                 2.2.2             - Répartition par âge . . . . . . . . . . . . . . . . . . . . . . . . . . . . . . . . . . . . . . . . . . . . . . . . . . . . . . . . . . . . . . . . . . . . . . . 14
                 2.2.3             - Répartition par entité . . . . . . . . . . . . . . . . . . . . . . . . . . . . . . . . . . . . . . . . . . . . . . . . . . . . . . . . . . . . . . . . . . . . . 17
      2.3 - Les personnels non permanents rémunérés par Inria . . . . . . . . . . . . . . . . . . . . . . . . . . . . . . . . . . . . . . . . . . . . . . . . . . . 19
      2.4 - Répartition des personnels par agrégat du cadre budgétaire . . . . . . . . . . . . . . . . . . . . . . . . . . . . . . . . . . . . . . . . . . . 23
      2.5 - La parité . . . . . . . . . . . . . . . . . . . . . . . . . . . . . . . . . . . . . . . . . . . . . . . . . . . . . . . . . . . . . . . . . . . . . . . . . . . . . . . . . . . . . . . . . . . 26
                 2.5.1             - Les personnels permanents . . . . . . . . . . . . . . . . . . . . . . . . . . . . . . . . . . . . . . . . . . . . . . . . . . . . . . . . . . . . . . . . 26
                 2.5.2             - Les personnels non permanents . . . . . . . . . . . . . . . . . . . . . . . . . . . . . . . . . . . . . . . . . . . . . . . . . . . . . . . . . . . 29
                 2.5.3             - Répartition par domaine d'activité . . . . . . . . . . . . . . . . . . . . . . . . . . . . . . . . . . . . . . . . . . . . . . . . . . . . . . . . . 30
                 2.5.4             - Pyramides des âges par genre . . . . . . . . . . . . . . . . . . . . . . . . . . . . . . . . . . . . . . . . . . . . . . . . . . . . . . . . . . . . . 31
3- LES MOUVEMENTS DE PERSONNEL . . . . . . . . . . . . . . . . . . . . . . . . . . . . . . . . . . . . . . . . . . . . . . . . . . . . . . . . . . . . . . . . . . . . . . . . . . . . . . . . . . 33
      3.1 - Les concours chercheurs . . . . . . . . . . . . . . . . . . . . . . . . . . . . . . . . . . . . . . . . . . . . . . . . . . . . . . . . . . . . . . . . . . . . . . . . . . . . 34
      3.2 - Les concours ITA . . . . . . . . . . . . . . . . . . . . . . . . . . . . . . . . . . . . . . . . . . . . . . . . . . . . . . . . . . . . . . . . . . . . . . . . . . . . . . . . . . . . 37
      3.3 - Les promotions . . . . . . . . . . . . . . . . . . . . . . . . . . . . . . . . . . . . . . . . . . . . . . . . . . . . . . . . . . . . . . . . . . . . . . . . . . . . . . . . . . . . . . 39
      3.4 - La mobilité interne . . . . . . . . . . . . . . . . . . . . . . . . . . . . . . . . . . . . . . . . . . . . . . . . . . . . . . . . . . . . . . . . . . . . . . . . . . . . . . . . . . 43
      3.5 - La mobilité externe . . . . . . . . . . . . . . . . . . . . . . . . . . . . . . . . . . . . . . . . . . . . . . . . . . . . . . . . . . . . . . . . . . . . . . . . . . . . . . . . . . 43
      3.6 - Les départs à la retraite . . . . . . . . . . . . . . . . . . . . . . . . . . . . . . . . . . . . . . . . . . . . . . . . . . . . . . . . . . . . . . . . . . . . . . . . . . . . . . 46
4- LES REMUNERATIONS . . . . . . . . . . . . . . . . . . . . . . . . . . . . . . . . . . . . . . . . . . . . . . . . . . . . . . . . . . . . . . . . . . . . . . . . . . . . . . . . . . . . . . . . . . . . . 49
      4.1 - La masse salariale et les traitements . . . . . . . . . . . . . . . . . . . . . . . . . . . . . . . . . . . . . . . . . . . . . . . . . . . . . . . . . . . . . . . 50
      4.2 - La répartition des primes . . . . . . . . . . . . . . . . . . . . . . . . . . . . . . . . . . . . . . . . . . . . . . . . . . . . . . . . . . . . . . . . . . . . . . . . . . . . 51
      4.3 - Structure de rémunérations des personnels permanents et non permanents . . . . . . . . . . . . . . . . . . . . . . . . . . . . 53
      4.4 - Les cotisations patronales . . . . . . . . . . . . . . . . . . . . . . . . . . . . . . . . . . . . . . . . . . . . . . . . . . . . . . . . . . . . . . . . . . . . . . . . . . . 53
      4.5 - Les remboursements de transports . . . . . . . . . . . . . . . . . . . . . . . . . . . . . . . . . . . . . . . . . . . . . . . . . . . . . . . . . . . . . . . . . . 54
5- LES CONDITIONS DE TRAVAIL . . . . . . . . . . . . . . . . . . . . . . . . . . . . . . . . . . . . . . . . . . . . . . . . . . . . . . . . . . . . . . . . . . . . . . . . . . . . . . . . . . . . . . . 55
      5.1 - Le temps de travail des personnels permanents . . . . . . . . . . . . . . . . . . . . . . . . . . . . . . . . . . . . . . . . . . . . . . . . . . . . . . 56
      5.2 - Les congés maternité, paternité et maladie . . . . . . . . . . . . . . . . . . . . . . . . . . . . . . . . . . . . . . . . . . . . . . . . . . . . . . . . . . 57
      5.3 - Les accidents du travail . . . . . . . . . . . . . . . . . . . . . . . . . . . . . . . . . . . . . . . . . . . . . . . . . . . . . . . . . . . . . . . . . . . . . . . . . . . . 57
6- LA FORMATION PERMANENTE . . . . . . . . . . . . . . . . . . . . . . . . . . . . . . . . . . . . . . . . . . . . . . . . . . . . . . . . . . . . . . . . . . . . . . . . . . . . . . . . . . . . . . . 59
      6.1 - Formation permanente : données globales . . . . . . . . . . . . . . . . . . . . . . . . . . . . . . . . . . . . . . . . . . . . . . . . . . . . . . . . . . . 61
                 6.1.1 - Nombre d'agents formés . . . . . . . . . . . . . . . . . . . . . . . . . . . . . . . . . . . . . . . . . . . . . . . . . . . . . . . . . . . . . . . . . . . . . 61
                 6.1.2 - Nombre de départs en formation réalisés . . . . . . . . . . . . . . . . . . . . . . . . . . . . . . . . . . . . . . . . . . . . . . . . . . . . . . 61
                 6.1.3 - Population formée . . . . . . . . . . . . . . . . . . . . . . . . . . . . . . . . . . . . . . . . . . . . . . . . . . . . . . . . . . . . . . . . . . . . . . . . . . . 62
                 6.1.4 - Accès à la formation . . . . . . . . . . . . . . . . . . . . . . . . . . . . . . . . . . . . . . . . . . . . . . . . . . . . . . . . . . . . . . . . . . . . . . . . . 63
                 6.1.5 - Zoom sur la catégorie C . . . . . . . . . . . . . . . . . . . . . . . . . . . . . . . . . . . . . . . . . . . . . . . . . . . . . . . . . . . . . . . . . . . . . . 64
      6.2 - Plan transverse 2011 réalisé . . . . . . . . . . . . . . . . . . . . . . . . . . . . . . . . . . . . . . . . . . . . . . . . . . . . . . . . . . . . . . . . . . . . . . . 65
7- LE DEVELOPPEMENT SOCIAL ET LES RELATIONS PROFESSIONNELLES . . . . . . . . . . . . . . . . . . . . . . . . . . . . . . . . . . . . . . . . . . . . . . . . . . . 69
      7.1        - Action sociale . . . . . . . . . . . . . . . . . . . . . . . . . . . . . . . . . . . . . . . . . . . . . . . . . . . . . . . . . . . . . . . . . . . . . . . . . . . . . . . . . . . . . 70
      7.2        - Hygiène et Sécurité . . . . . . . . . . . . . . . . . . . . . . . . . . . . . . . . . . . . . . . . . . . . . . . . . . . . . . . . . . . . . . . . . . . . . . . . . . . . . . . . 70
      7.3        - Instances et dialogue social . . . . . . . . . . . . . . . . . . . . . . . . . . . . . . . . . . . . . . . . . . . . . . . . . . . . . . . . . . . . . . . . . . . . . . . . 71
8- POLITIQUE HANDICAP . . . . . . . . . . . . . . . . . . . . . . . . . . . . . . . . . . . . . . . . . . . . . . . . . . . . . . . . . . . . . . . . . . . . . . . . . . . . . . . . . . . . . . . . . . . . . . 79
9- GLOSSAIRE       . . . . . . . . . . . . . . . . . . . . . . . . . . . . . . . . . . . . . . . . . . . . . . . . . . . . . . . . . . . . . . . . . . . . . . . . . . . . . . . . . . . . . . . . . . . . . . . . . . 83
10- ANNEXE         . . . . . . . . . . . . . . . . . . . . . . . . . . . . . . . . . . . . . . . . . . . . . . . . . . . . . . . . . . . . . . . . . . . . . . . . . . . . . . . . . . . . . . . . . . . . . . . . . . 88



                                                                                                                                                                                                                               1
                                                                                    Bilan social INRIA 2011
2
    Bilan social INRIA 2011
1- LES EMPLOIS

  1.1 -   Evolution des emplois budgétaires par grade
  1.2 -   Evolution des emplois budgétaires par filière




                Ce chapitre présente l'évolution des emplois
                budgétaires de l'institut, sur 10 ans.

                En 2011 Inria n'a pas bénéficié d'emplois
                supplémentaires.




                                                                3
                                      Bilan social INRIA 2011
LES EMPLOIS
     Les emplois budgétaires (1)



                        2002       2003      2004       2005      2006       2007      2008      2009         2010   2011
Chercheurs               456       468        468       468        520       570       590        605         619     619
ITA                      536       563        563       563        651       741       776        796         812     812
Total                    992       1031      1031      1031       1171      1311       1366      1401         1431   1431




    (1) Les supports d'emplois correspondent à un plafond défini par le ministère. Pour rappel, depuis la mise en place du
    Nouveau Cadre Budgétaire et Comptable (NCBC), la Subvention pour Charge de Service Public ne dote plus Inria en
    emplois mais en ETPT (Equivalent Temps Plein Travaillé) et en masse salariale.




     1.2 - Evolution des emplois budgétaires par filière

      Evolution des emplois budgétaires sur 10 ans




         Le plafond d'emplois attribués par le ministère se stabilise en 2011 avec un total de 1431 postes.




4
                                           Bilan social INRIA 2011
2- LES PERSONNELS D’INRIA

    2.1 - Les effectifs réels*
            2.1.1 - Les personnels sur supports d'emploi chercheurs, ITA et postes fonctionnels
            2.1.2 - Les personnels non permanents rémunérés par Inria au 31 décembre
            2.1.3 - Total des effectifs réels (permanents et non permanents) au 31 décembre
    2.2 - Répartition des personnels permanents
            2.2.1 - Répartition par catégorie
            2.2.2 - Répartition par âge
            2.2.3 - Répartition par entité
    2.3 - Les personnels non permanents rémunérés par Inria
    2.4 - Répartition des personnels par agrégat du cadre budgétaire
    2.5 - La parité
            2.5.1 - Les personnels permanents
            2.5.2 - Les personnels non permanents
            2.5.3 - Répartition par domaine d'activité




                      Ce chapitre présente une répartition des
                      personnels rémunérés par Inria selon leur
                      catégorie, leur âge, leur affectation, leur
                      domaine d'activité et leur genre.




* L'effectif réel est le nombre d'agents rémunérés par Inria. Il peut être exprimé en personnes physiques au
31 décembre de l'année ou en Équivalent Temps Plein Travaillés (ETPT) sur l'année. L'ETPT permet de
comptabiliser le nombre d'agent à proportion de leur période de présence et de leur quotité de travail.




                                                                                                               5
                                          Bilan social INRIA 2011
LES PERSONNELS RÉMUNÉRÉS D’INRIA
    2.1 - Les effectifs réels
    Les personnels sur emploi chercheurs, ITA et postes fonctionnels au 31 décembre


    2.1.1 - Les personnels sur support d'emploi chercheurs, ITA et postes fonctionnels
    (personnels permanents)
    Personnels au 31 décembre 2011


                                              EFFECTIFS            dont titulaires   dont détachés   dont dét. sur   dont   dont
                   Grades
                                                TOTAL                  Inria           sur poste       contrat       CDI    CDD

    Chercheurs                                    580                   545               2               26          1      6
                                     DR0           19                    17               1               1
                                     DR1           79                    73                               5                  1
                                     DR2          149                   131                               15                 3
                                     CR1          289                   286               1               1           1
                                     CR2           44                    38                               4                  2
    ITA                                           767                   633               35              6          12     81
    Ingénieurs                                    541                   426               24              6          10     75
                                      IR0           9                    8                                            1
                                      IR1          55                    48               6               1
                                      IR2         132                    95               6               5           6     20
                                      IE0           5                    5
                                      IE1          23                    22               1
                                      IE2         150                   106                6                          2     36
                                       AI         167                   142                5                          1     19
    Techniciens                                   223                   207               8                           2      6
                                     TRE           21                    19               2
                                     TRS           32                    31               1
                                     TRN          152                   141                4                          2      5
                                   AJTP1            9                    9
                                   AJTP2            9                    7                1                                  1
    Administratifs                                  3                                     3
                      Postes Fonctionnels           3                                     3
                                     AAR
                                    SARE

    Total général                                 1347                  1178              37              32         13     87
                  ITA : Ingénieurs Techniciens et Administratifs




6
                                                          Bilan social INRIA 2011
LES PERSONNELS RÉMUNÉRÉS D’INRIA
     Rappel 2010 : Personnel au 31 décembre 2010




                                EFFECTIFS   dont titulaires   dont détachés   dont dét. sur       dont            dont
           Grades
                                  TOTAL         Inria           sur poste       contrat           CDI             CDD
  Chercheurs                      597            553               5               33                              6
                        DR0        19             16               2                1
                        DR1        70             61               3                6
                        DR2        160           140                               17                              3
                        CR1        255           251                                3                              1
                        CR2        93             85                                6                              2
  ITA                             777            660               34              10             10               63
  Ingénieurs                      530            427               23              9               8               63
                         IR0        9             8                                                1
                         IR1       54             45               7                2
                         IR2       135           100                4               7              4               20
                         IE0        7             6                1
                         IE1       22             18               3                                               1
                         IE2       152           117               3                               2               30
                          AI       151           133                5                              1               12
  Techniciens                     243            232               9                               2
                         TRE       23             22               1
                        TRS        32             28               4
                        TRN        165           160                3                              2
                       AJTP1       11             11
                       AJTP2       12             11               1
  Administratifs                    4             1                2               1
          Postes Fonctionnels       3                              2                1
                        AAR         1             1
                       SARE

  Total général                   1374           1213              39              43             10               69

NB : contrairement à 2010, les promotions chercheurs avec nomination rétroactive au 1er janvier ont été pris en compte pour
l'année 2011. D'où un décalage notamment sur les effectifs CR2 entre les 2 années.




                                                                                                                              7
                                               Bilan social INRIA 2011
LES PERSONNELS RÉMUNÉRÉS DE L’INRIA
    2.1.1 - Les personnels sur support d'emploi chercheurs, ITA et postes fonctionnels
    Personnel en ETPT (Equivalent Temps Plein Travaillé) sur l'année 2011




                                  EFFECTIFS    dont titulaires   dont détachés     dont dét. sur   dont   dont
             Grades
                                    TOTAL          Inria         sur poste Inria   contrat Inria   CDI    CDD
    Chercheurs                      586,8          547,1              3,5              28,4        0,3    7,5
                          DR0       20,4            17,8              1,7              1,0
                          DR1       80,6            74,5              0,3              5,5                0,3
                          DR2       141,6          123,9                               14,7               3,0
                          CR1       294,2          289,3              1,0              2,3         0,3    1,3
                          CR2       49,9            41,6              0,6              5,0                2,8
    ITA                             746,5          620,3              33,7             6,7         9,9    76,0
    Ingénieurs                      521,8          411,4              22,6             6,7         7,9    73,2
                           IR0       9,7            8,7                                            1,0
                           IR1      57,1            49,0              7,1              1,0
                           IR2      126,4           91,4              5,1              5,7         3,9    20,4
                           IE0       5,9            5,2               0,7
                           IE1      24,7            22,4              1,5                                 0,8
                           IE2      143,2          103,2              4,1                          2,0    33,9
                            AI      154,9          131,5              4,3                          1,0    18,1
    Techniciens                     221,3          208,2              8,4                          2,0    2,7
                           TRE      25,4            23,4              2,0
                          TRS       32,8            30,7              2,2
                          TRN       145,4          137,5              3,2                          2,0    2,7
                         AJTP1       9,5            9,5
                         AJTP2       8,2            7,2               1,0                                 0,1
    Administratifs                   3,3            0,7               2,7
            Postes Fonctionnels      2,7                              2,7
                          AAR        0,7            0,7
                         SARE

    Total général                  1333,3          1167,3             37,2             35,1        10,3   83,4




8
                                              Bilan social INRIA 2011
LES PERSONNELS RÉMUNÉRÉS D’INRIA
      Rappel 2010 : Personnel en ETPT (Equivalent Temps Plein Travaillé) en 2010




                              EFFECTIFS   dont titulaires   dont détachés    dont détachés      dont   dont
         Grades
                                TOTAL        INRIA          sur poste Inria sur contrat Inria   CDI    CDD
Chercheurs                      581,5         535,5              6,2              35,2          0,8    3,8
                      DR0       19,0           16,0              2,0               1,0
                      DR1       74,0           62,3              3,5               7,3          0,8
                      DR2       146,1         127,2                               18,0                 0,8
                      CR1       264,6         258,7              0,7               4,2                 1,0
                      CR2       77,9           71,2                                4,7                 2,0
ITA                             751,3         622,8              37,0             10,5          9,4    71,5
Ingénieurs                      510,7         401,1              26,2              9,1          7,4    66,9
                       IR0       9,2           8,2                                              1,0
                       IR1      55,5           46,5              6,3               2,7
                       IR2      128,6          92,7              3,9               6,4          4,0    21,5
                       IE0       7,9           6,9               1,0
                       IE1      24,8           19,1              4,6                                   1,0
                       IE2      148,1         110,6              5,5                            2,1    29,9
                        AI      136,6         117,0              4,9                            0,3    14,4
Techniciens                     235,8         219,9              8,9               0,4          2,0    4,6
                       TRE      25,2           24,2              1,0
                      TRS       32,6           29,5              3,2
                      TRN       153,6         142,8              3,8               0,4          2,0    4,6
                     AJTP1      10,4           10,4
                     AJTP2      13,9           13,0              0,9
Administratifs                   4,8           1,8               2,0               1,0
        Postes Fonctionnels      3,0                             2,0               1,0
                      AAR        1,0           1,0
                     SARE        0,8           0,8
Total général                  1332,7         1158,3             43,2             45,7          10,3   75,3




 Les effectifs permanents sont restés stables en moyenne sur l'année. Ils sont en baisse de 2% en revanche
 entre le 31 décembre 2010 et le 31 décembre 2011.




                                                                                                              9
                                               Bilan social INRIA 2011
LES PERSONNELS RÉMUNÉRÉS D’INRIA
     2.1.2 - Les personnels non permanents rémunérés par Inria
     Effectifs réels au 31 décembre

                                                                    2010                                  2011
                                                        Effectifs            %            Effectifs                    %
     Jeunes chercheurs                                    731              48,8%             702                   52,2%
                                       Doctorants         545              36,7%             513                   38,1%
                           CORDI-S sur subvention         108               7,3%             103                    7,7%
           CORDI-C sur ressources contractuelles          392               23,7%            395                   29,4%
                     Doctorants complémentés Inria         13               2,7%              1                     0,1%
                       Doctorants Inria via EGIDE*         10               0,7%              7                     0,5%
            Doctorants complémentés via EGIDE*             22               2,2%              7                     0,5%
                                 Post-doctorants          186              12,1%             189                   14,1%
                     Post-doctorants sur subvention        63               5,4%              71                    5,3%
     Post-doctorants sur ressources contractuelles        123               6,8%             118                    8,8%
     Ingénieurs contractuels                              444              31,7%             439                   32,6%
                                 Ingénieurs experts       313               22,8%            294                   21,9%
                        Ingénieurs jeunes diplômés         98               7,5%              98                    7,3%
                             Ingénieurs spécialistes       11               0,9%              9                     0,7%
                 Ingénieurs Transfert et Innovation        15               0,5%              22                    1,6%
                              Ingénieurs Confirmés          7                                 16                    1,2%
     Délégations d'enseignants-chercheurs*                 81               5,1%              86                   6,4%
     CDD sur ressources propres                            11               5,6%              24                   1,8%
     Contrats emplois temporaires                          70               6,4%              71                   5,3%
     Vacataires                                            3                0,2%              5                    0,4%
     Apprentis                                             14               1,1%              13                   1,0%
     Stagiaires                                            8                 1%               5                      0%
     Total général                                       1362               100%            1345                   100%
     * Les personnels Inria via Egide et les enseignants-chercheurs en délégation ne sont pas directement rémunérés par l'institut.
     Par convention et comme les années précédentes, ils sont néanmoins pris en compte dans le bilan social.



     Le nombre de jeunes chercheurs diminue avec notamment une baisse de près de 6% du nombre de
     doctorants rémunérés par Inria. Le nombre d'ingénieurs contractuels affiche un léger recul de 1%.
     Globalement, les effectifs non permanents sont en baisse de 1%.




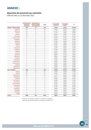
     2.1.3 - Total des effectifs réels (permanents et non permanents) au 31 décembre
     Répartition des effectifs réels permanents et non permanents
     Répartition des effectifs réels au 31 décembre


                                                                    2010                                2011
                                                       Effectifs            %           Effectifs                  %
     Personnel permanent                                1374               50,2%          1347                   50,0%
     Personnel non permanent                            1362               49,8%          1345                   50,0%
     Total général                                      2736               100%           2692                   100%



     Tout effectif confondu, le nombre d'agents Inria est en baisse de 1,6% entre le 31 décembre 2010 et le 31
     décembre 2011. Les effectifs permanents et non permanents sont pratiquement au même niveau au 31
     décembre 2011.



10
                                                  Bilan social INRIA 2011
LES PERSONNELS RÉMUNÉRÉS D’INRIA
         2.1.3 - Total des effectifs réels (permanents et non permanents) au 31 décembre
         Répartition des effectifs par nationalité
         Répartition par nationalité des effectifs réels au 31 décembre 2011

                                                                       Afrique / Moyen-
                                           France           Europe                           Asie / Océanie    Amériques       Total
                                                                            Orient
 Personnel permanent                        1219             85                 18                  10               15        1347
                             Chercheurs         474           73                11                  9                14         581
                                    ITA         745           12                 7                  1                1          766
 Personnel non permanent                      748            224                137                139               97        1345
                      Jeunes chercheurs         276          160                91                 110               65         702
                              Ingénieurs        304           48                34                  24               29         439
    Délégations d'enseignants-chercheurs        77            6                  2                  1                            86
            Contrats emplois temporaires        50            5                  9                  4                3           71
                                 Autres*        41            5                  1                                               47
 Total                                      1967             309                155                149             112         2692
 * Délégations d'enseignants-chercheurs, CDD sur ressources propres, vacataires, apprentis et stagiaires.




          Les effectifs réels par centre de recherche au 31 décembre



                                                                               2011                              %             %
                                                                   Personnel     Personnel non      TOTAL     Total par   Personnel non
                                                                   permanent      permanent                    centre      permanent

Centre de recherche INRIA Bordeaux - Sud Ouest                        84              104            188       7,0%          55,3%
Centre de recherche INRIA Grenoble - Rhône-Alpes                     154              206            360       13,4%         57,2%
Centre de recherche INRIA Lille - Nord Europe                         70               92            162       6,0%          56,8%
Centre de recherche INRIA Nancy - Grand Est                          124              124            248       9,2%          50,0%
Centre de recherche INRIA Paris - Rocquencourt                       208              201            409       15,2%         49,1%
Centre de recherche INRIA Rennes - Bretagne Atlantique               149              217            366       13,6%         59,3%
Centre de recherche INRIA Saclay - Ile de France                     124              136            260       9,7%          52,3%
Centre de recherche INRIA Sophia Antipolis - Méditerranée            191              234            425       15,8%         55,1%
Siège                                                                243               31            274       10,2%         11,3%
TOTAL                                                                1347             1345          2692       100%          50,0%




                                                                                                                                          11
                                                      Bilan social INRIA 2011
LES PERSONNELS RÉMUNÉRÉS D’INRIA
     2.2 - Répartition des personnel permanents
     2.2.1 - Répartition par catégories
     Répartition des personnels sur supports budgétaires par corps
     - effectifs réels en personnes physiques au 31 décembre 2011
     (Personnels sur emplois budgétaires, y compris personnels détachés, CDI et CDD)

                                          Total
                                          Corps
      Chercheurs                           580
                                   DR      247
                                    CR     333
      ITA                                  767
      Ingénieurs                           541
                                    IR     196
                                    IE     178
                                    AI     167
      Techniciens                          223
                                    TR     205
                                   AJT      18
      Administratifs                         3
                    Postes fonctionnels      3
                                  AAR
                                  SAR
      Total général                       1347



     Répartition des personnels sur supports budgétaires par grade
     - effectifs réels en personnes physiques au 31 décembre 2011
     (Personnels sur emplois budgétaires, y compris personnels détachés, CDI et CDD)


     Les chercheurs par corps (580 pers.)




12
                                            Bilan social INRIA 2011
LES PERSONNELS RÉMUNÉRÉS D’INRIA
2.2 - Répartition des personnel permanents
2.2.1 - Répartition par catégories (suite)


Les ingénieurs par corps (541 pers.)




Les techniciens par corps (223 pers.)




                                                             13
                                   Bilan social INRIA 2011
LES PERSONNELS RÉMUNÉRÉS D’INRIA
     2.2 - Répartition des personnel permanents
     2.2.2 - Répartition par âge
     Répartition des personnels sur emploi chercheurs et ITA par grade et âge
     - effectifs réels en personnes physiques au 31 décembre 2011
     (Personnels sur emplois budgétaires, y compris personnels détachés, CDI et CDD)


                                18 à 23   24 à 29   30 à 35   36 à 41   42 à 47   48 à 53   54 à 59   60 à 65   Total
        Chercheurs                          12       127       141       106        90        67        39      580
                        DR0                                                         1         9         9        19
                        DR1                                     2         20        20        23        14       79
                        DR2                           5         29        52        38        16        9       149
                        DR                            5         31        72        59        48        32      247
                        CR1                  2        91       106        33        31        19        7       289
                        CR2                  8        31        4         1                                      44
                        CR                  10       122       110        34        31        19        7       333
      IT                           4        68       123       134       178       118        95        43      764
      Ingénieurs                   3        45        97        93       111        82        79        31      541
                        IR0                                               1         2         3         3        9
                        IR1                                     2         17        11        20        5        55
                        IR2                  6        25        28        31        17        15        10      132
                        IR                   6        25        30        49        30        38        18      196
                        IE0                                                         1         2         2        5
                        IE1                                     2         4         6         9         2        23
                        IE2                 24        41        32        24        14        9         6       150
                        IE                  24        41        34        28        21        20        10      178
                        AI         3        15        31        29        34        31        21        3       167
      Techniciens                  2        23        26        41        67        36        16        12      223
                        TRE                                     2         7         7         2         3        21
                        TRS                                     3         10        14        3         2        32
                        TRN        1        22        26        33        45        12        8         5       152
                        TR         1        22        26        38        62        33        13        10      205
                       AJTP1                                              3         1         3         2        9
                       AJTP2       1         1                  3         2         2                            9
                        AJT        1         1                  3         5         3         3         2        18
      Total                        5        78       250       275       284       208       162        82      1344




           La moyenne d'âge des chercheurs est de 43,6 ans.
           La moyenne d'âge des ITA est de 43,3 ans.

14
                                          Bilan social INRIA 2011
LES PERSONNELS RÉMUNÉRÉS D’INRIA
2.2 - Répartition des personnel permanents
2.2.2 - Répartition par âge (suite)
Age moyen des personnels sur supports budgétaires au 31 décembre 2011
(Personnels sur emplois budgétaires, y compris personnels détachés, CDI et CDD)

Par filière et par centre :
                                  Age moyen
                                               Age moyen ITA Age moyen total
                                  chercheurs
Bordeaux - Sud Ouest                 38,1          39,3               38,8
Grenoble - Rhône-Alpes               42,6          41,1               41,9
Lille - Nord Europe                  36,4          35,7               36,0
Nancy - Grand Est                    41,4          43,3               42,4
Paris - Rocquencourt                 46,2          47,2               46,6
Rennes - Bretagne Atlantique         44,4          45,3               44,8
Saclay - Ile de France               41,2          38,6               40,0
Sophia Antipolis - Méditerranée      46,5          47,4               46,8
Siège                                55,5          43,7               44,1
TOTAL                                43,6          43,3               43,4




Par grade :

              Grade                Age moyen                   Grade              Age moyen
               DR0                   59,3                       IR0                 54,6
               DR1                   52,7                       IR1                 52,0
               DR2                   46,8                       IR2                 43,7
               CR1                   40,2                       IE0                 58,2
               CR2                   32,1                       IE1                 52,1
        Total chercheurs             43,6                       IE2                 39,1
                                                                 AI                 42,0
                                                                TRE                 49,5
                                                                TRS                 49,2
                                                                TRN                 40,1
                                                               AJTP1                52,8
                                                               AJTP2                39,1
                                                              Total IT              43,3




                                                                                              15
                                    Bilan social INRIA 2011
LES PERSONNELS RÉMUNÉRÉS D’INRIA
     2.2 - Répartition des personnel permanents
     2.2.2 - Répartition par âge (suite)


     Fonctionnaires atteignant l'âge de 65 ans dans les 10 prochaines années


                    Chercheurs        ITA         TOTAL

         2012           7             1             8
         2013           5             5             10
         2014           8             6             14
         2015           9             8             17
         2016           6             11            17
         2017           4             10            14
         2018           11            18            29
         2019           13            12            25
         2020           8             19            27
         2021           10            12            22
         TOTAL          81           102           183




16
                                   Bilan social INRIA 2011
LES PERSONNELS RÉMUNÉRÉS D’INRIA
                 2.2.3 - Répartition par entité
                 Répartition des personnels sur support d'emploi chercheurs et ITA
                 - effectifs réels au 31 décembre 2011
                 (Personnels sur emplois budgétaires, y compris personnels détachés, CDI et CDD)

                         Bordeaux - Sud    Grenoble -   Lille - Nord    Nancy -       Paris -     Rennes - Bretagne   Saclay - Ile de   Sophia Antipolis
                                                                                                                                                            Siège    TOTAL
                             Ouest        Rhône-Alpes      Europe      Grand Est   Rocquencourt      Atlantique           France         Méditerranée


Chercheurs                    36              81            27            58           117               71                 69               113             8       580
                  DR0          0              0              0             0            6                3                  1                  8             1        19
                  DR1          1              11             0             5           15                14                 9                 20             4        79
                  DR2         10              18             6            13           42                13                 18                26             3       149
                  CR1         20              48            16            34           44                37                 34                56             0       289
                  CR2          5              4              5             6           10                4                  7                  3             0        44
ITA                           48              73            43            66           91                78                 55                78            235      767
Ingénieurs                    29              51            27            44           56                53                 33                51            197      541
                  IR0          0              0              0             0            1                1                  0                  2             5        9
                  IR1          1              4              2             6            3                12                 1                  5             21       55
                  IR2          9              16             5             9           13                11                 9                 14             46      132
                   IE0         0              0              0             0            2                0                  0                  2             1        5
                   IE1         0              0              0             3            4                3                  0                  4             9        23
                   IE2        11              11            12            10           15                7                  12                 7             65      150
                    AI         8              20             8            16           18                19                 11                17             50      167
Techniciens                   19              22            16            22           35                25                 22                27             35      223
                  TRE          3              0              1             2            3                2                  4                  2             4        21
                  TRS          1              3              0             1            9                3                  1                  7             7        32
                  TRN         15              18            14            16           19                17                 17                15             21      152
                 AJTP1         0              0              0             2            3                2                  0                  1             1        9
                 AJTP2         0              1              1             1            1                1                  0                  2             2        9
Administratifs                 0              0              0             0            0                0                  0                  0             3        3
   Poste Fonctionnel           0              0              0             0            0                0                  0                  0             3        3
Total                         84             154            70           124           208              149                124               191            243      1347




             Répartition en pourcentage du total par grade


                         Bordeaux - Sud    Grenoble -   Lille - Nord    Nancy -       Paris -     Rennes - Bretagne   Saclay - Ile de    Sophia Antipolis
                                                                                                                                                             Siège   TOTAL
                             Ouest        Rhône-Alpes      Europe      Grand Est   Rocquencourt      Atlantique           France          Méditerranée

Chercheurs                    6%             14%            5%           10%           20%              12%                12%                19%            1%      100%
                  DR0         0%              0%            0%            0%           32%              16%                 5%                42%             5%      100%
                  DR1         1%             14%            0%            6%           19%              18%                 11%               25%            5%       100%
                  DR2         7%             12%            4%            9%           28%               9%                 12%               17%            2%       100%
                  CR1         7%             17%            6%           12%           15%              13%                 12%               19%            0%       100%
                  CR2         11%             9%            11%          14%           23%               9%                 16%                7%            0%       100%
ITA                           6%             10%            6%            9%           12%              10%                 7%                10%            31%     100%
Ingénieurs                    5%              9%            5%            8%           10%              10%                 6%                 9%            36%     100%
                  IR0         0%              0%            0%            0%           11%              11%                 0%                22%            56%      100%
                  IR1         2%              7%            4%           11%            5%              22%                 2%                 9%            38%      100%
                  IR2         7%             12%            4%            7%           10%               8%                 7%                11%            35%      100%
                   IE0        0%              0%            0%            0%           40%               0%                 0%                40%            20%      100%
                   IE1        0%              0%            0%           13%           17%              13%                 0%                17%            39%      100%
                   IE2        7%              7%            8%            7%           10%               5%                 8%                 5%            43%      100%
                    AI        5%             12%            5%           10%           11%              11%                 7%                10%            30%      100%
Techniciens                   9%             10%            7%           10%           16%              11%                10%                12%            16%     100%
                  TRE         14%             0%            5%           10%           14%              10%                 19%               10%            19%      100%
                  TRS         3%              9%            0%            3%           28%               9%                 3%                22%            22%      100%
                  TRN         10%            12%            9%           11%           13%              11%                 11%               10%            14%      100%
                 AJTP1        0%              0%            0%           22%           33%              22%                 0%                11%            11%      100%
                 AJTP2        0%             11%            11%          11%           11%              11%                 0%                22%            22%      100%
Administratifs                0%              0%            0%            0%           0%                0%                 0%                 0%           100%     100%
   Poste Fonctionnel          0%              0%            0%            0%            0%               0%                 0%                 0%           100%      100%
Total                         6%             12%            5%            9%           16%              11%                 9%                14%            18%     100%




                                                                                                                                                                             17
                                                                  Bilan social INRIA 2011
LES PERSONNELS RÉMUNÉRÉS D’INRIA
        2.2.3 - Répartition par entité
        Répartition des personnels sur support d'emploi chercheurs et ITA
        - effectifs réels au 31 décembre 2011
        (Personnels sur emplois budgétaires, y compris personnels détachés, CDI et CDD)


        Quelques indicateurs (hors Siège)

                          Bordeaux - Sud    Grenoble -   Lille - Nord    Nancy -       Paris -     Rennes - Bretagne   Saclay - Ile de   Sophia Antipolis
                                                                                                                                                            TOTAL
                              Ouest        Rhône-Alpes      Europe      Grand Est   Rocquencourt      Atlantique           France         Méditerranée


        Rapport CR/DR           2,27          1,79          3,50          2,22          0,86             1,37               1,46              1,09          1,39
        Rapport CR2/CR1         0,25          0,08          0,31          0,18          0,23             0,11               0,21              0,05          0,15
        Rapport ITA/Chercheur   1,33          0,90          1,59          1,14          0,78             1,10               0,80              0,69          0,93




     Répartition des personnels sur emploi chercheurs et ITA par entité
     - effectifs réels au 31 décembre 2011
     (% de l'entité sur l'ensemble des personnels sur supports d'emplois budgétaires)




18
                                                     Bilan social INRIA 2011
LES PERSONNELS RÉMUNÉRÉS D’INRIA
  2.3 - Les personnels non permanents rémunérés par Inria
  En équivalent temps plein travaillés par catégorie et par année



                                                                 2010                       2011
                                                     Effectifs           %      Effectifs           %
Jeunes chercheurs                                     687,5             48,2%    682,0             47,3%
                                      Doctorants      502,2             35,2%    497,3             34,5%
                          CORDI-S sur subvention      102,3             7,2%     107,5             7,5%
             CORDI-C sur ressources contractuelles    332,2             23,3%    363,5             25,2%
                    Doctorants complémentés Inria     31,9              2,2%     11,5              0,8%
                        Doctorants Inria via EGIDE    10,8              0,8%      7,8              0,5%
              Doctorants complémentés via EGIDE       25,0              1,8%      7,0              0,5%
                                Post-doctorants       185,2             13,0%    184,7             12,8%
                    Post-doctorants sur subvention    73,6              5,2%     62,2              4,3%
     Post-doctorants sur ressources contractuelles    111,6             7,8%     122,5             8,5%
Ingénieurs                                            445,6             31,2%    439,1             30,4%
                               Ingénieurs Experts     314,6             22,1%    297,2             20,6%
                       Ingénieurs Jeunes Diplômés     104,6             7,3%     105,2             7,3%
                           Ingénieurs Spécialistes    14,7              1,0%      9,1              0,6%
                Ingénieurs Transfert et Innovation    10,3              0,7%     17,2              1,2%
                             Ingénieurs confirmés      1,3              0,1%     10,4              0,7%
Délégations enseignants-chercheurs                    63,0              4,4%     77,5              5,4%
CDD sur ressources propres                            12,6              0,9%     14,7              1,0%
Contrats emplois temporaires                          125,9             8,8%     92,8              6,4%
Vacataires                                             2,3              0,2%      6,2              0,4%
Apprentis                                             14,8              1,0%     13,8              1,0%
Stagiaires                                            74,7              5,2%     116,3             8,1%
Total général                                        1426,3             100%    1442,3             100%




                                                                                                           19
                                                 Bilan social INRIA 2011
LES PERSONNELS RÉMUNÉRÉS D’INRIA
     2.3 - Les personnels non permanents rémunérés par Inria
     Effectifs en personnes physiques par catégorie et entité au 31 décembre 2011



                                                                                                                                        Rennes -                        Sophia
                                                         Bordeaux - Sud     Grenoble -    Lille - Nord     Nancy -        Paris -                    Saclay - Ile
                                                                                                                                       Bretagne                        Antipolis     Siège    TOTAL
                                                             Ouest         Rhône-Alpes       Europe       Grand Est    Rocquencourt                   de France
                                                                                                                                       Atlantique                    Méditerranée

 Jeunes chercheurs                                            60              116             42             57            101           112             80              134                  702
                                         Doctorants           50               84             32             43            73             87             46              98                   513
                             CORDI-S sur subvention           12               15             15             14            12             11              9              15                    103
               CORDI-C sur ressources contractuelles          37               67             17             28            59             74             36              77                    395
                      Doctorants complémentés Inria                             1                                                                                                               1
                          Doctorants Inria via EGIDE           1                                                            1              1              1               3                     7
                 Doctorants complémentés via EGIDE                              1                            1              1              1                              3                     7
                                   Post-doctorants            10               32             10             14            28             25             34              36                   189
                      Post-doctorants sur subvention           3               12              4             6             13             10              8              15
       Post-doctorants sur ressources contractuelles           7               20              6             8             15             15             26              21                    71
 Ingénieurs contractuels                                      25               69             40             43            55             81             41              76           9       439
                                   Ingénieurs experts         14               45             21             27            41             64             25              55           2        294
                          Ingénieurs jeunes diplômés          11               17             13             14             6             14              8              12           3        98
                               Ingénieurs spécialistes                          1              2             1              2              1                                          2         9
                   Ingénieurs Transfert et Innovation                           3              4                            5              1              5               3           1        22
                               Ingénieurs Confirmés                             3                            1              1              1              3               6           1        16
 Délégations enseignants-chercheurs                           15               11              7             8             19             10              7               8           1        86
 CDD sur ressources propres                                                                    1             2             10              1                              3           7        24
 Contrats emplois temporaires                                  3               7               2             12            13              7              7              11           9        71
 Vacataires                                                                                                                                5                                                   5
 Apprentis                                                                     2                                            2              1              1               2           5        13
 Stagiaires                                                    1               1                             2              1                                                                  5
 Total général                                                104             206             92            124            201           217            136              234          31      1345




   Effectifs en équivalent temps plein travaillés par catégorie et entité en 2011


                                                                                                                                         Rennes -                        Sophia
                                                          Bordeaux - Sud     Grenoble -    Lille - Nord     Nancy -        Paris -                    Saclay - Ile
                                                                                                                                        Bretagne                        Antipolis     Siège    TOTAL
                                                              Ouest         Rhône-Alpes       Europe       Grand Est    Rocquencourt                   de France
                                                                                                                                        Atlantique                    Méditerranée

  Jeunes chercheurs                                           52,1             111,8          41,3           61,2          102,1          113,4          74,7            125,4                 682,0
                                          Doctorants          42,5             83,4           29,0           43,2          72,5           87,0           45,7            94,0                  497,3
                              CORDI-S sur subvention           13,3            16,4            14,7          15,7           11,8          12,5            8,3             14,8                 107,5
                 CORDI-C sur ressources contractuelles         28,9            65,2            13,6          27,0           54,1          69,6           34,9             70,3                 363,5
                       Doctorants complémentés Inria                            1,0                                         3,8            2,3            1,4             3,1                  11,5
                            Doctorants Inria via EGIDE         0,3              0,7            0,8                          0,8            1,6            1,1             2,6                   7,8
                  Doctorants complémentés via EGIDE                             0,1                           0,5           2,1            1,0                            3,3                   7,0
                                     Post-doctorants           9,6             28,4           12,3           18,1          29,6           26,4           28,9            31,3                  184,7
                        Post-doctorants sur subvention         3,8              9,7            5,2            7,7           11,2           7,2            7,4             10,1                 62,2
        Post-doctorants sur ressources contractuelles          5,8             18,8            7,2           10,4           18,4          19,2           21,5             21,3                 122,5
  Ingénieurs contractuels                                     29,6             72,6           36,5           42,8          53,7           81,7           42,5            70,3          9,4     439,1
                                    Ingénieurs experts         15,8            51,6            17,8          27,5           39,5          63,0           27,0             52,7         2,4     297,2
                           Ingénieurs jeunes diplômés          13,6            17,0            13,1          13,3           5,8           16,7           10,4             12,2         3,2     105,2
                                Ingénieurs spécialistes                         1,0            1,8            1,0           1,9            0,3                            1,4          1,8      9,1
                    Ingénieurs Transfert et Innovation         0,3              1,8            3,8                          4,8            0,5            2,9             2,0          1,0     17,2
                                 Ingénieurs Confirmés                           1,3                           1,0           1,7            1,3            2,2             2,1          1,0     10,4
  Délégations enseignants-chercheurs                          14,1              8,4            5,3            6,5          15,4           12,7            7,7             6,3          1,0     77,5
  CDD sur ressources propres                                   0,3                             0,1            0,8           5,9            1,0            0,1             1,3          5,2     14,7
  Contrats emplois temporaires                                 5,7              8,5            3,3           15,8          20,4            9,2            4,4            15,4         10,3     92,8
  Vacataires                                                                                                                0,8            5,3                                         0,1      6,2
  Apprentis                                                                     2,7                                         4,3            1,0            0,3             2,0          3,5     13,8
  Stagiaires                                                  10,6             38,0            7,3            9,8           9,2           14,5           13,7            12,1          1,2     116,3
  Total général                                               112,3            242,0          93,8          137,0          211,7          238,8          143,3           232,8        30,6    1442,3




20
                                                                           Bilan social INRIA 2011
LES PERSONNELS RÉMUNÉRÉS D’INRIA
             2.3 - Les personnels non permanents rémunérés par Inria




    Evolution des effectifs des personnels contractuels par catégorie en équivalent temps
    plein travaillés


                                             2005            2006     2007     2008    2009    2010    2011
Doctorants*                                 241,0            232,0    291,8    343,0   380,2   434,5   471,0
Post-doctorants                              78,9             94,2    135,8    157,4   154,4   185,2   184,7
Ingénieurs                                  185,4            237,0    326,5    346,9   401,2   445,6   439,1
CDD sur ressources propres                   24,4            41,4     48,8     43,6    59,1    12,6    14,7
Contrats emplois temporaires                118,2            102,4    114,6    83,0    80,1    125,9   92,8
Stagiaires                                  133,1            131,8    135,4    132,0   158,0   74,7    116,3
        * Doctorants avec un financement principal Inria




                                                                                                               21
                                                           Bilan social INRIA 2011
LES PERSONNELS RÉMUNÉRÉS D’INRIA
     2.3 - Les personnels non permanents rémunérés par Inria
     Répartition des personnels non permanents par type de ressource.
     Effectifs réels au 31 décembre 2011


                                                                        Ressources
                                                           Subvention                TOTAL
                                                                         propres
     Jeunes chercheurs                                        177          525       702
                                           Doctorants         106          407       513
                               CORDI-S sur subvention         103                     103
                  CORDI-C sur ressources contractuelles                    395        395
                         Doctorants complémentés Inria                      1          1
                             Doctorants Inria via EGIDE        3            4          7
                   Doctorants complémentés via EGIDE                        7          7
                                     Post-doctorants          71           118       189
                         Post-doctorants sur subvention       71                      71
          Post-doctorants sur ressources contractuelles                    118        118
     Ingénieurs                                               124          315       439
                                     Ingénieurs experts                    294        294
                            Ingénieurs jeunes diplômés        94            4         98
                                 Ingénieurs spécialistes       9                       9
                     Ingénieurs Transfert et Innovation        8           14         22
                                 Ingénieurs Confirmés         13            3         16
     Délégations enseignants chercheurs                       58           28         86
     CDD sur resources propres                                             24         24
     Contrats emplois temporaires                             19           52         71
     Vacataires                                                1            4         5
     Apprentis                                                10            3         13
     Stagiaires                                                1            4         5
     Total général                                            390          955       1345




22
                                               Bilan social INRIA 2011
LES PERSONNELS RÉMUNÉRÉS D’INRIA
             2.4 - Répartition par agrégat NCBC (Nouveau Cadre Budgétaire et Comptable)
             Répartition des personnels par entité - effectifs réels au 31 décembre 2011
             (personnels permanents et non permanents)

                                                                                                                                Rennes -
                                                      Bordeaux -    Grenoble -   Lille - Nord   Nancy - Grand      Paris -                  Saclay - Ile de Sophia Antipolis
                                                                                                                               Bretagne                                        Siège   Total
                                                      Sud Ouest    Rhône-Alpes     Europe           Est         Rocquencourt                    France       Méditerranée
                                                                                                                               Atlantique

1. Activités de recherche conduites par les CRI          151          303           123             189            328           294             214             356                   1958
2. Actions communes                                       9            12            7               14             19            15              7               13            74      170
        2-1. Moyens scientifiques communs
        2-2. Valorisation de la recherche                 3            4              4              5               7            10              3                6            34      76
        2-4. Echanges internationaux                                                  1                              3                                                          8       12
        2-5. IST et communication                         6            8              2              9               9             5              4                7            32      82
        2-7. Formation permanente
3. Fonctions support                                     28            45            32              45             62            57             39               56           200     564
        3-1. Action sociale                                                                                                                                                     4       4
        3-2. Moyens informatiques communs                3             10             6              6              17            13             8                16            60     139
        3-41. Moyens généraux des CRI                    25            35            26              39             45            43             31               40                   284
        3-42. Moyens généraux des services centraux                                                                                                                            136     136
        3-6. Autres dépenses générales                                                                                             1                                                    1
Total                                                    188          360           162             248            409           366             260             425           274     2692
CRI : Centres de Recherche Inria




            Evolution de la répartition
            A noter que les activités de développement technologique (initialement agrégat 2-1) et d'assistanat dans les équipes
            de recherche (initialement agrégat 3-41) font désormais partie de l'agrégat 1.

                                                                                             %                    %                     %                    %
                                                                                            2008                 2009                  2010                 2011
              1. Activités de recherche conduites par les CRI                               65%                  66%                   67%                   73%
              2. Actions communes                                                           12%                  12%                   12%                   6%
                              2-1. Moyens scientifiques communs                              6%                  6%                     5%
                              2-2. Valorisation de la recherche                              2%                  2%                     3%                   3%
                              2-4. Echanges internationaux                                   0%                 0,7%                   0,4%                 0,4%
                              2-5. IST et communication                                      3%                  3%                     3%                   3%
                              2-7. Formation permanente                                     0,0%                0,04%
              3. Fonctions support                                                          23%                  22%                   21%                  21%
                              3-1. Action sociale                                           0,2%                0,2%                   0,2%                0,1%
                              3-2. Moyens informatiques communs                              1%                  1%                     1%                  5%
                              3-41. Moyens généraux des CRI                                 16%                  15%                   15%                  11%
                              3-42. Moyens généraux des services centraux                    6%                  5%                     5%                  5%
                              3-6. Autres dépenses générales                                                                                               0,04%
              Total                                                                         100%                100%                   100%                100%




                                                                                                                                                                                               23
                                                                            Bilan social INRIA 2011
LES PERSONNELS RÉMUNÉRÉS D’INRIA
         2.4 - Répartition par agrégat NCBC (Nouveau Cadre Budgétaire et Comptable)
         Répartition des personnels sur activité de recherche (agrégat 1) par domaine de recherche
         - effectifs réels au 31 décembre 2011



                                                                                                                                           Rennes -
                                                                 Bordeaux -    Grenoble -   Lille - Nord   Nancy - Grand      Paris -                  Saclay - Ile de Sophia Antipolis
                                                                                                                                          Bretagne                                         Total
                                                                 Sud Ouest    Rhône-Alpes      Europe           Est        Rocquencourt                    France       Méditerranée
                                                                                                                                          Atlantique

 Domaine de recherche                                               136          274           110             167            295           268             195              327           1772
 D1 : Mathématiques appliquées, calcul et simulation                 43           38            33              20             35            17              62               50           298
 D2 : Algorithmique, programmation, logiciels et architectures       3            26            7               50             80            50              65               39           320
 D3 : Réseaux, systèmes et services, calcul distribué                41           89            41              20             52            92              21               70           426
 D4 : Perception, cognition, interaction                             31           71            15              69             65            71              30               89           441
 D5 : STIC pour les sciences de la vie et de l'environnement         18           50            14              8              63            38              17               79           287
 Personnels hors projet                                              15           29            13              22             33            26              19               29           186
 Total                                                              151          303           123             189            328           294             214              356           1958




         Les Equipes de recherche

         On compte 224 équipes de recherche au 31/12/2011, dont 179 Equipes-Projets Inria, 42 équipes Inria et
         3 actions exploratoires.


                                                                                                                               Autres                Actions
                                                                                                            EPI                                                                    Total
                                                                                                                               équipes            exploratoires
         Domaine de recherche
         D1 : Mathématiques appliquées, calcul et simulation                                                 33                     12                                               45
         D2 : Algorithmique, programmation, logiciels et architectures                                       40                     5                                                45
         D3 : Réseaux, systèmes et services, calcul distribué                                                35                     8                                                43
         D4 : Perception, cognition, interaction                                                             40                     8                                                48
         D5 : STIC pour les sciences de la vie et de l'environnement                                         31                     9                                                40
         Equipes non affectées                                                                                                                              3                        3
         Total                                                                                              179                     42                      3                       224




24
                                                                    Bilan social INRIA 2011
LES PERSONNELS RÉMUNÉRÉS D’INRIA
 2.4 - Répartition par agrégat NCBC (suite)
 Répartition des personnels sur agrégats 2, 3 et agrégat 1 hors projet par domaine d'activité
 - Effectifs réels au 31 décembre 2011


                                                            %
                                                           2011
Administratif et financier / Juridique                     21,9%
Secrétariat / Assistanat                                   18,4%
Moyens informatiques                                       14,0%
Ressources Humaines                                        10,3%
Développement technologique                                8,9%
Valorisation et Relations industrielles                    6,8%
Services Techniques                                        6,0%
Communication                                              4,2%
Direction                                                  3,7%
Information Scientifique et Technique                      3,7%
Relations internationales                                  1,2%
Gestion des œuvres sociales                                0,9%
Total                                                      100%




                                                                                           25
                                          Bilan social INRIA 2011
LES PERSONNELS RÉMUNÉRÉS D’INRIA
     2.5 - La parité
     2.5.1 - Les personnels permanents
     Répartition des personnels permanents par genre - effectifs réels au 31 décembre 2011
     (y compris personnels détachés, CDI et CDD sur support budgétaire)




                                                 Femmes                          Hommes             Total   Total
                                     Effectifs             %         Effectifs              %      Grades   Corps
 Chercheurs                            91                 15,7%        489                84,3%     580     580
                             DR0                                          19              100,0%     19
                             DR1       15                 19,0%           64              81,0%      79     247
                             DR2       21                 14,1%        128                85,9%     149
                             CR1       48                 16,6%        241                83,4%     289
                                                                                                            333
                             CR2        7                 15,9%           37              84,1%      44
 ITA                                   460                60,0%        307                40,0%     767     767
 Ingénieurs                            290                53,6%        251                46,4%     541     541
                              IR0       2                 22,2%           7               77,8%      9
                              IR1      15                 27,3%           40              72,7%      55     196
                              IR2      38                 28,8%           94              71,2%     132
                              IE0       3                 60,0%           2               40,0%      5
                              IE1      13                 56,5%           10              43,5%      23     178
                              IE2      94                 62,7%           56              37,3%     150
                               AI      125                74,9%           42              25,1%     167     167
 Techniciens                           170                76,2%           53              23,8%     223     223
                             TRE       15                 71,4%           6               28,6%      21
                             TRS       28                 87,5%           4               12,5%      32     205
                             TRN       118                77,6%           34              22,4%     152
                           AJTP1        4                 44,4%           5               55,6%      9
                                                                                                             18
                           AJTP2        5                 55,6%           4               44,4%      9
 Administratifs                                                           3               100,0%     3        3
               Postes Fonctionnels                                        3               100%       3        3
 Total                                 551                40,9%        796                59,1%    1347     1347




26
                                                 Bilan social INRIA 2011
LES PERSONNELS RÉMUNÉRÉS D’INRIA
2.5 - La parité (suite)
2.5.1 - Les personnels permanents (suite)
Répartition des personnels sur emploi budgétaire par genre et catégorie de la fonction publique
- effectifs réels en personnes physiques au 31 décembre 2011
(y compris personnels détachés, CDI et CDD sur support budgétaire)




                    Chercheurs         ITA                  Total
                      Effectif       Effectif    Effectif           %
A                      580             544        1124          83,4%
           Femmes       91             290         381          33,9%
           Hommes      489             254         743          66,1%
% femmes              15,7%          53,3%
B                                      205         205          15,2%
           Femmes                      161         161          78,5%
           Hommes                      44          44           21,5%
% femmes                             78,5%
C                                      18          18           1,3%
           Femmes                       9           9           50,0%
           Hommes                       9           9           50,0%
% femmes                             50,0%
Total                  580             767        1347          100%
           Femmes       91             460         551          40,9%
           Hommes      489             307         796          59,1%
% femmes              15,7%          60,0%        40,9%




                                                                                              27
                                     Bilan social INRIA 2011
LES PERSONNELS RÉMUNÉRÉS D’INRIA
     2.5 - La parité (suite)
     2.5.1 - Les personnels permanents (suite)
     Répartition par entité
     Répartition des personnels permanents par genre et par centre - effectifs réels au 31 décembre 2011
     (y compris personnels détachés, CDI et CDD sur support budgétaire)

                                                  Chercheurs    Ingénieurs   Techniciens   Administratifs   Total
     Bordeaux - Sud Ouest                            36             29           19              0           84
                                        Femmes        2             13           14              0           29
                                        Hommes       34             16           5               0           55
                                       % femmes      6%            45%          74%                         35%
     Grenoble - Rhône-Alpes                          81             51           22              0          154
                                        Femmes        9             29           17              0           55
                                        Hommes       72             22           5               0           99
                                       % femmes      11%           57%          77%                         36%
     Lille - Nord Europe                             27             27           16              0           70
                                        Femmes        4             14           11              0           29
                                        Hommes       23             13           5               0           41
                                       % femmes      15%           52%          69%                         41%
     Nancy - Grand Est                               58             44           22              0          124
                                        Femmes        5             25           18              0           48
                                        Hommes       53             19           4               0           76
                                       % femmes      9%            57%          82%                         39%
     Paris - Rocquencourt                            117            56           35              0          208
                                        Femmes       21             32           23              0           76
                                        Hommes       96             24           12              0          132
                                       % femmes      18%           57%          66%                         37%
     Rennes - Bretagne Atlantique                    71             53           25              0          149
                                        Femmes        8             30           18              0           56
                                        Hommes       63             23           7               0           93
                                       % femmes      11%           57%          72%                         38%
     Saclay - Ile de France                          69             33           22              0          124
                                        Femmes       18             17           20              0           55
                                        Hommes       51             16           2               0           69
                                       % femmes      26%           52%          91%                         44%
     Sophia Antipolis - Méditerranée                 113            51           27              0          191
                                        Femmes       23             26           23              0           72
                                        Hommes       90             25           4               0          119
                                       % femmes      20%           51%          85%                         38%
     Siège                                            8            197           35              3          243
                                        Femmes        1            104           26              0          131
                                        Hommes        7             93           9               3          112
                                       % femmes      13%           53%          74%             0%          54%
     TOTAL                                           580           541          223              3          1347
                                        Femmes       16%           54%          76%             0%          41%
                                        Hommes       84%           46%          24%            100%         59%




28
                                                           Bilan social INRIA 2011
LES PERSONNELS RÉMUNÉRÉS D’INRIA
2.5 - La parité (suite)
2.5.2 - Les personnels non permanents
Répartition des personnels non permanents par genre - effectifs réels en personnes
physiques au 31 décembre 2011

                                                                             Femmes                                            Hommes
                                                                                                                                                 Total
                                                                Effectifs                      %                   Effectifs              %
Jeunes chercheurs                                                 157                     22,4%                       545               77,6%    702
                                               Doctorants         126                     24,6%                       387               75,4%    513
                               CORDI-S sur subvention               27                    26,2%                       76                73,8%    103
           CORDI-C sur ressources contractuelles                    93                    23,5%                       302               76,5%    395
                   Doctorants complémentés INRIA                     0                        0,0%                     1                100,0%    1
                           Doctorants INRIA via EGIDE                4                    57,1%                        3                42,9%     7
              Doctorants complémentés via EGIDE                      2                    28,6%                        5                71,4%     7
                                      Post-doctorants               31                    16,4%                       158               83,6%    189
                        Post-doctorants sur subvention              12                    16,9%                       59                83,1%     71
   Post-doctorants sur ressources contractuelles                    19                    16,1%                       99                83,9%    118
Ingénieurs                                                          91                    20,7%                       348               79,3%    439
                                      Ingénieurs experts            69                    23,5%                       225               76,5%    294
                           Ingénieurs jeunes diplômés               15                    15,3%                       83                84,7%     98
                                 Ingénieurs spécialistes             0                        0,0%                     9                100,0%    9
                 Ingénieurs Transfert et Innovation                  3                    13,6%                       19                86,4%     22
                                    Ingénieurs confirmés             4                    25,0%                       12                75,0%     16
Délégations d'enseignants-chercheurs                                23                    26,7%                       63                73,3%     86
CDD sur ressources propres                                           5                    20,8%                       19                79,2%     24
Contrats emplois temporaires                                        29                    40,8%                       42                59,2%     71
Vacataires                                                           4                    80,0%                       1                 20,0%     5
Apprentis                                                            3                    23,1%                       10                76,9%     13
Stagiaires                                                           1                    20,0%                       4                 80,0%     5
Total général                                                     313                     23,3%                     1032                76,7%    1345




Répartition des personnels non permanents par genre et par centre - effectifs réels en
personnes physiques au 31 décembre 2011
                                                                              Délégations        Contrats
                                                     Post-
                                      Doctorants                Ingénieurs   d'enseignants-       agents     Autres         TOTAL
                                                   doctorants
                                                                               chercheurs      temporaires
  Bordeaux - Sud Ouest                    50          10            25            15               3           1             104
                            Femmes        12           2            5              2               1           1             23
                            Hommes        38           8            20            13               2           0             81
                           % femmes      24%          20%          20%            13%              33%       100%           22%
  Grenoble - Rhône-Alpes                  84          32            69            11               7           3             206
                            Femmes        16           3            13             5               2           0             39
                            Hommes        68           29           56             6               5           3             167
                           % femmes      19%          9%           19%            45%              29%        0%            19%
  Lille - Nord Europe                     32          10            40             7                2          1             92
                            Femmes        8            0            9              3               0           0             20
                            Hommes        24          10            31             4                2          1             72
                           % femmes      25%          0%           23%            43%              0%         0%            22%
  Nancy - Grand Est                       43          14            43             8               12          4             124
                            Femmes        14           4            6              0               7           1             32
                            Hommes        29           10           37             8               5           3             92
                           % femmes      33%          29%          14%            0%               58%       25%            26%
  Paris - Rocquencourt                    73          28            55            19               13         13             201
                            Femmes        27           7            11             6               3           1             55
                            Hommes        46           21           44            13               10         12             146
                           % femmes      37%          25%          20%            32%              23%        8%            27%
  Rennes - Bretagne Atlantique            87          25            81            10               7           7             217
                            Femmes        13           1            20             2               3           4             43
                            Hommes        74           24           61             8               4           3             174
                           % femmes      15%          4%           25%            20%              43%       57%            20%
  Saclay - Ile de France                  46          34            41             7               7           1             136
                            Femmes        13           4            9              1               1           1             29
                            Hommes        33           30           32             6               6           0             107
                           % femmes      28%          12%          22%            14%              14%       100%           21%
  Sophia Antipolis - Méditerranée         98          36            76             8               11          5             234
                            Femmes        23           10           16             4               6           2             61
                            Hommes        75           26           60             4               5           3             173
                           % femmes      23%          28%          21%            50%              55%       40%            26%
  Siège                                   0            0            9              1               9          12             31
                            Femmes        0            0            2              0               6           3             11
                            Hommes        0            0            7              1               3           9             20
                           % femmes                                22%            0%               67%       25%            35%
  Total                                  513          189          439            86               71         47            1345
                            Femmes       126           31           91            23               29         13             313
                            Hommes       387          158          348            63               42         34            1032
                           % femmes      25%          16%          21%            27%              41%       28%            23%



                                                                                                                                                         29
                                                                   Bilan social INRIA 2011
LES PERSONNELS RÉMUNÉRÉS DE L’INRIA
     2.5 - La parité (suite)
     2.5.2 - Les personnels non permanents
     Répartition des personnels non permanents par genre et par centre - effectifs réels en
     personnes physiques au 31 décembre 2011




     2.5 - La parité (suite)
     2.5.3 - Répartition par domaine d'activité
     Répartition des personnels permanents et non permanents par domaine d'activité et par
     genre - effectifs réels en personnes physiques au 31 décembre 2011

                                                    Femmes    Hommes
                                                       %        %

         Recherche                                  18,8%      81,2%
         Administratif et financier / Juridique     72,4%      27,6%
         Secrétariat / Assistanat                   97,6%      2,4%
         Moyens informatiques                       18,3%      81,7%
         Ressources Humaines                        80,4%      19,6%
         Développement technologique                 7,5%      92,5%
         Valorisation et Relations industrielles    45,9%      54,1%
         Services Techniques                        24,1%      75,9%
         Communication                              73,7%      26,3%
         Direction                                  30,3%      69,7%
         Information Scientifique et Technique      75,8%      24,2%
         Relations internationales                  63,6%      36,4%
         Gestion des œuvres sociales                100,0%     0,0%
         Total                                      32,1%      67,9%




30
                                            Bilan social INRIA 2011
LES PERSONNELS RÉMUNÉRÉS DE L’INRIA
2.5 - La parité (suite)
2.5.4 - Pyramides des âges par genre
Pyramide des âges des personnels sur activités de recherche - effectifs réels en
personnes physiques
Personnels permanents et non permanents au 31 décembre 2011

          Moyenne personnels sur activité de recherche (agrégat 1) : 34,6 ans




Pyramide des âges des personnels sur fonctions supports - effectifs réels en personnes
physiques
Personnels permanents et non permanents au 31 décembre 2011

        Moyenne personnels sur fonctions support (agrégats 2 et 3) : 42,1 ans




                     La moyenne d'âge générale est de 36,7 ans




                                                                                         31
                                Bilan social INRIA 2011
32
     Bilan social INRIA 2011
3- LES MOUVEMENTS DE PERSONNELS

  3.1 - Les concours chercheurs
  3.2 - Les concours ITA
  3.3 - Les promotions
  3.4 - La mobilité interne
  3.5 - La mobilité externe
  3.6 - Les départs à la retraite




                           Ce chapitre présente les mouvements de
                           personnel enregistrés en 2011 à travers
                           les concours, les campagnes de
                           recrutement, les promotions, la mobilité et
                           les départs en retraite.




                                                                         33
                                     Bilan social INRIA 2011
MOUVEMENTS DE PERSONNELS
     3.1 - Les concours chercheurs
     Recrutements des chercheurs en 2011

                           Postes ouverts            Candidatures              Pression             Postes pourvus
      DR1                            1                         3                   3,0                    1
      DR2                            10                        95                  9,5                    10
      CR1                            1                         39                 39,0                    1
      CR2                            7                     161                    23,0                    7
      Total                          19                    298                    15,7                    19


     Répartition des affectations par Centre de Recherche

                                                          DR1               DR2               CR1               CR2     TOTAL
                Bordeaux - Sud Ouest                                         1                                    2          3
               Grenoble - Rhône-Alpes                                        3                                               3
                 Lille - Nord Europe                                                            1                 1          2
                  Nancy - Grand Est                                          1                                               1
                 Paris - Rocquencourt                      1                 1                                    1          3
             Rennes - Bretagne Atlantique                                    3                                    1          4
                Saclay - Ile de France                                                                            2          2
          Sophia Antipolis - Méditerranée                                     1                                              1
                        TOTAL                              1                 10                 1                 7          19




     Evolution des concours chercheurs

                                         2004       2005            2006          2007          2008           2009   2010        2011
     DR
                      candidatures        53         40              60            64            78             86     92          98
                    postes pourvus         9          8              15            13            11             16     18          11
                         pression*        5,9        5,0            4,0           4,9            7,8           5,7    5,7         9,5
     CR
                      candidatures        340        319            514           454           386            349    405         200
                    postes pourvus        24         17              34            34            27             25     25          8
                          pression        14,2      18,8            15,1          13,4          12,5           14,0   16,2        25,0
     Total
                    candidatures          393        359            574           518           464            435    497         298
                  postes pourvus          33         25              49            47            38             41     43          19
     * La pression correspond au rapport entre le nombre de postes ouverts et le nombre de candidatures




34
                                                 Bilan social INRIA 2011
MOUVEMENTS DE PERSONNELS
3.1 - Les concours chercheurs (suite)


Recrutements des chercheurs par nationalité
                                                                               Total        % origine
                            CR        % origine CR    DR      %origine DR
                                                                             Chercheurs    chercheurs

  France                    4            50%              9        82%            13          68%
  Autres pays européens     2            25%                                      2           11%
  Reste du monde            2            25%              2        18%            4           21%
  Total                     8            100%         11           100%           19         100%




 32% des chercheurs recrutés en 2011 sont de nationalité étrangère contre 40% en 2010.




Chercheurs recrutés par pays de soutenance de la thèse

                                                                                            Total        % origine
                                 CR        % origine CR       DR          %origine DR
                                                                                          Chercheurs    chercheurs

 France                          4              50%           10             91%             14            74%
 Autres pays européens           2              25%                                           2            11%
 Reste du monde                  2              25%           1              9%               3            16%
 Total                           8             100%           11             91%             19           100%




 Répartition des recrutés par domaine de recherche




                                                                                                                     35
                                      Bilan social INRIA 2011
MOUVEMENTS DE PERSONNELS
     3.1 - Les concours chercheurs (suite)
     Répartition des candidatures par Centre de Recherche visé

                                                  DR1          DR2           CR1          CR2         TOTAL
              Bordeaux - Sud Ouest                 1            11            11           25           48
             Grenoble - Rhône-Alpes                             18                         18           36
               Lille - Nord Europe                               8            11           19           38
                Nancy - Grand Est                               13                         15           28
              Paris - Rocquencourt                 1            10                         24           35
          Rennes - Bretagne Atlantique                          13                         16           29
              Saclay - Ile de France                            11            17           27           55
         Sophia Antipolis - Méditerranée           1            11                         17           29
                     TOTAL                         3            95            39          161           298




     Caractéristiques comparées des candidats et des chercheurs recrutés
     La nationalité
                                  Pourcentage d’étrangers candidats et recrutés




      Sur la totalité des concours chercheurs, les postulants étrangers représentent 45% des candidatures et
      26% des recrutés.


36
                                       Bilan social INRIA 2011
MOUVEMENTS DE PERSONNELS
                3.1 - Les concours chercheurs (suite)
                Le genre

                                         Candidatures        Recrutés
                 DR1
                                Hommes            3              1
                                Femmes
                 DR2
                                Hommes           84              7
                                Femmes           11              3
                 CR1
                                Hommes           32              1
                                Femmes            7
                 CR2
                                Hommes          139              7
                                Femmes           22



                 En 2011, on observe un net avantage féminin de 3,27 pour l'accès au grade DR2. Pour l'accès aux autres
                 grades, l'avantage masculin est total. (Cf. définition avantage masculin dans le glossaire).


                Age moyen des candidats et des recrutés par grade
                                                   Candidats            Recrutés
                                DR1                   48,8                   46,9
                                DR2                   44,3                   42,5
                                CR1                   35,4                   35,7
                                CR2                   30,4                   30,8




                3.2 - Les concours IT
                Recrutement des IT en 2011
                                                       Concours externes                                           Concours internes
                                                                                                                                                     Total postes
                                      Postes                          Postes                      Postes                     Postes                    pourvus
                                                  Candidatures                      Pression *              Candidatures                Pression *
                                      ouverts                        pourvus                      ouverts                   pourvus

Ingénieurs                               21           596              19             28,4             13          70            13          5,4         32
   Ingénieurs de recherche               4             63              4              15,8             2           8             2           4,0          6
         Ingénieurs d'études             7            124              5              17,7             5           22            5           4,4         10
        Assistants ingénieurs            10           409              10             40,9             6           40            6           6,7         16
Techniciens                              6            202              5              33,7             2           5             2           2,5          7
  Techniciens de recherche               6            202              5              33,7             2           5             2           2,5          7
Total                                    27           798              24             29,6             15          75            15          5,0         39
                                             * La pression correspond au rapport entre le nombre de postes ouverts et le nombre de candidatures



                Evolution du nombre de postes d'IT ouverts aux concours

                                       2004           2005            2006            2007       2008       2009           2010        2011
        Concours internes                 6              9              19              22        19          19            19          15
        Concours externes                29             77              62              77        43          40            30          27
        Total                            35             86             81               99       62          59            49          42




                                                                                                                                                                    37
                                                                            Bilan social INRIA 2011
MOUVEMENTS DE PERSONNELS
     3.2 - Les concours IT (suite)
      Répartition des recrutements IT (concours externes) par affectation géographique
                                                                                  Ingénieurs                      Techniciens
                                                                                                                                      TOTAL
                                                                  IR                  IE                AI             TR
                  Bordeaux - Sud Ouest                                                1                  2              2                5
                Grenoble - Rhône-Alpes                                                1                  2                               3
                   Lille - Nord Europe                                                                   3              2                5
                    Nancy - Grand Est                             2                                                                      2
                  Saclay - Ile de France                                                                 1              1                2
                  Paris - Rocquencourt
             Rennes - Bretagne Atlantique
            Sophia Antipolis - Méditerranée                       1                   1                                                  2
                           Siège                                  1                   2                  2                               5
                          TOTAL                                   4                   5                 10             5                 24




      Répartition des recrutements IT (concours externes) par BAP
                                                                                     Nombre de
                                                                                                      Postes ouverts Postes pourvus
                                                                                    candidatures

     Par branche d'activité professionnelle (BAP)                                         798                27             24
     BAP E : informatique et calcul scientifique                                           38                2              2
     BAP F : documentation, édition, communication                                         130               1              1
     BAP G : patrimoine, logistique, prévention et restauration                             9                1              1
     BAP J : gestion scientifique et techniques des EPST                                   621               23             20
     * La pression correspond au rapport entre le nombre de postes ouverts et le nombre de candidatures



     Répartition des recrutements IT (concours externes) par filière

                                                                    Nombre de
                                                                                          Postes ouverts Postes pourvus          Pression
                                                                   candidatures

                             Par filière                                  798                    27               24              29,6
                      Administratif et financier                          233                    10                9              23,3
                          Communication                                   130                    1                 1              130,0
                            Informatique                                  38                     2                 2              19,0
                       Ressources Humaines                                211                    7                 6              30,1
                         Services généraux                                140                    4                 3              35,0
                      Secrétariat - assistanat                                9                  1                 1               9,0
                             Valorisation                                 37                     2                 2              18,5


     Caractéristiques comparées des candidats et des recrutés (concours externes)
     Le genre                                         Candidats        Recrutés
                             IR
                                                                                                      Globalement, on observe un avantage
                                            Hommes       43               2
                                                         20               2
                                            Femmes
                                                                                                      féminin de 1,75 pour l'accès aux
                             IE                                                                       différents postes pourvus par
                                            Hommes       41               2                           concours externe. On constate
                                            Femmes       83               3                           notamment un net avantage féminin
                             AI
                                                                                                      de 2,15 pour l'accès aux postes IR et
                                            Hommes       106
                                                                                                      un avantage féminin total pour l'accès
                                            Femmes       303              10
                             TR
                                                                                                      aux postes AI. A l'inverse, on constate
                                            Hommes       31               1                           un avantage masculin pour les postes
                                            Femmes       171              4                           de niveau IE et TR, respectivement de
                             Total                                                                    1,35 et 1,38.
                                            Hommes       190              4
                                            Femmes       406              15
38
                                                     Bilan social INRIA 2011
MOUVEMENTS DE PERSONNELS
   3.2 - Les concours IT (suite)

   Caractéristiques comparées des candidats et des recrutés (concours externes)
   Le genre (suite)
                      Pourcentage d’hommes et de femmes candidats et recrutés




   3.3 - Les promotions

   LES CHERCHEURS
   Promotions au choix des chercheurs (échelons et grades)
                                             Agents                               % Agents
                                                            Agents promus
                                          promouvables                            promus

    DR0 éch 1 -> DR0 éch 2                       8                 1               12,5%
    DR1 -> DR0                                  40                 1               2,5%
    DR2 -> DR1                                  85                 9               10,6%
    CR2 -> CR1                                  39                 21              53,8%
    TOTAL                                      172                 32             18,6%



   Répartition hommes / femmes

                              Agents promouvables             Agents promus                              Age moyen
                                                                                     Avantage masculin
                                                                                                         des promus
                              Hommes        Femmes         Hommes        Femmes

DR0 éch 1 -> DR0 éch 2            8             0              1              0               -             56
DR1 -> DR0                        32            8              1              0               ×             60
DR2 -> DR1                        75           10              9              0               ×             46
CR2 -> CR1                        33            6             19              2              1,73           32
TOTAL                            148           24             30              2              2,43           38
                             Avantage masculin : Cf. définition dans glossaire.
                           × : avantage infini (aucun recrutement de femme)



    L'avantage masculin est total pour l'accès aux grades DR0 et DR1. Il est de 1,73 pour l'accès au grade CR1..




                                                                                                                      39
                                         Bilan social INRIA 2011
MOUVEMENTS DE PERSONNELS
     3.3 - Les promotions (suite)

     LES ITA
     Promotions de corps des ITA

                                                Agents               Agents           % Agents
                                             promouvables            promus           promus

     Ingénieurs                                     153                4               2,6%
                              IE->IR2               97                 1               1,0%
                              AI->IE2               56                 3               5,4%
     Techniciens                                    124                9               7,3%
                                  TR->AI            109                7               6,4%
                              AJT->TR               15                 2               13,3%
     TOTAL                                          277               13               4,7%


     Répartition hommes / femmes
                                       Agents promouvables                    Agents promus
                                                                                                        Avantage masculin
                                       Hommes             Femmes           Hommes         Femmes
     Ingénieurs                             47             106                0                4              0,00
                        IE->IR2             37              60                0                1              0,00
                        AI->IE2             10              46                0                3              0,00
     Techniciens                            26              98                1                8              0,47
                        TR->AI              19              90                0                7              0,00
                        AJT->TR             7               8                 1                1              1,14
     TOTAL                                  73             204                1               12              0,23


       On observe un avantage féminin total pour l'accès aux corps IR, IE et AI. A l'inverse, c'est un avantage
       masculin de 1,14 pour l'accès au corps des TR.

     Promotions de grades des ITA
                                        Agents              Agents          % Agents
                                     promouvables           promus          promus

             IR2->IR1                        59                  8            13,6%
             IE1->IE0                        2                   0             0,0%
             IE2->IE1                        27                  5            18,5%
             TRS->TRE                        28                  5            17,9%
             TRN->TRS                        33                  8            24,2%
         AJTP2 -> AJTP1                      4                   2            50,0%
              TOTAL                         153              28               18,3%


     Répartition hommes / femmes

                                           Agents promouvables                    Agents promus
                                                                                                           Avantage masculin
                                           Hommes           Femmes            Hommes           Femmes

             IR2->IR1                        44                 15                6                2                 1,02
             IE1->IE0                           2                0                0                0                  ×
             IE2->IE1                        11                 16                1                4                 0,36
             TRS->TRE                           2               26                0                5                 0,00
             TRN->TRS                           7               26                1                7                 0,53
         AJTP2 -> AJTP1                         3                1                2                0                  ×
              TOTAL                          69                 84                10               18             0,68



          En 2011, l'avantage est globalement féminin pour les promotions de grade ITA.


40
                                                     Bilan social INRIA 2011
MOUVEMENTS DE PERSONNELS
   3.3 - Les promotions (suite)

   LES ITA
   Examens professionnels de sélection

                                                                                     nombre         nombre de
                                                                 Nombre de                                           Nombre d'agents
                                                                                    d'admis à         postes
                                                                  candidats                                             promus
                                                                                    concourir         offerts
   Ingénieur de recherche hors classe                                5                   5               2                     2
   Technicien de la recherche classe exceptionnelle                 11                   11              4                     5
   TOTAL                                                            16                   16              6                     7




   Répartition hommes / femmes

                                                                             Candidats                            Agents promus             Avantage
                                                                    Hommes            Femmes             Hommes                Femmes       masculin

   Ingénieur de recherche hors classe                                    3                   2                0                    2          0,00
   Technicien de la recherche classe exceptionnelle                      3                   8                1                    4          0,67
   TOTAL                                                                 6                10                  1                    6          0,28




   Avancements accélérés d'échelon des ITA


                                                                                                 Agents (2)
                                                                                                                                         Moyenne
                                                      Mois (1)
                                                                                                                                        mois/agents
                                                                             Hommes               Femmes               Total

Ingénieurs                                              489                    35                   43                  78                 6,27
                 Ingénieurs de recherche                162                    21                    6                  27                 6,00
              Ingénieurs d'études et AAR                177                    9                    17                  26                 6,81
                     Assistants ingénieurs              150                    5                    20                  25                 6,00
Techniciens - Administratifs                            246                    11                   30                  41                 6,00
                                Techniciens             231                    7                    28                  35                 6,60
                       Adjoints techniques              15                     4                     2                   6                 2,50
TOTAL                                                   735                    46                   73                  119                6,18


               (1) nombre de mois attribués
               (2) nombre d'agents ayant bénéficié d'une réduction d'ancienneté




                                                                                                                                                       41
                                                        Bilan social INRIA 2011
MOUVEMENTS DE PERSONNELS
     3.3 - Les promotions (suite)



     Titulaires ayant atteint l'échelon terminal de leur grade


                                            Nombre de personnes                        Nombre de personnes
                                           ayant atteint l'échelon                    ayant atteint l'échelon
                                                                      %/Titulaires                               %/Titulaires
                                          terminal de leur grade au                  terminal depuis plus de 5
                                                31/12/2011                              ans au 31/12/2011
     Directeurs de recherche                        112                 50,5%                   55                 24,8%
                                   DR0               9                  50,0%                   5                  27,8%
                                   DR1               40                 54,8%                   22                 30,1%
                                   DR2               63                 48,1%                   28                 21,4%
     Chargés de recherche                            65                 20,0%                   40                 12,3%
                                   CR1               51                 17,8%                   40                 13,9%
                                   CR2               14                 36,8%
     Ingénieurs de recherche                         39                 23,9%                   23                 14,1%
                                    IR0              4                  50,0%                   2                  25,0%
                                    IR1              20                 37,0%                   10                 18,5%
                                    IR2              15                 14,9%                   11                 10,9%
     Ingénieurs d'étude                              20                 14,3%                   7                   5,0%
                                    IE0              3                  60,0%
                                    IE1              8                  34,8%                   2                   8,7%
                                IE2/AAR              9                   8,0%                   5                   4,5%
     Assistants ingénieurs                           21                 14,3%                   3                   2,0%
     Techniciens                                     11                  5,6%                   2                   1,0%
                               TRE/SARE              3                  14,3%                   1                   4,8%
                                   TRS               5                  15,6%
                                   TRN               3                   2,1%                   1                   0,7%
     Adjoints/Agents techniques                      1                   5,9%                   1                   5,9%
                                  AJTP1              1                  11,1%                   1                  11,1%
                                  AJTP2
     Total                                          269                 22,2%                  131                 10,8%




     Evolution du taux de promotion
     Evolution des promotions de corps et de grade des populations chercheurs et ITA




42
                                           Bilan social INRIA 2011
MOUVEMENTS DE PERSONNELS
             3.4 - La mobilité interne


             Synthèse des mobilités inter-centres en 2011
             Mobilités des personnels permanents et non permanents

                                                            Chercheurs                           ITA
                                                     arrivées        départs          arrivées         départs

             Bordeaux - Sud Ouest                       1                 0               3               -2
             Grenoble - Rhône-Alpes                     4                -2               1              -13
             Lille - Nord Europe                        0                -1               0               -2
             Nancy - Grand Est                          3                -3               2               -5
             Paris - Rocquencourt                       4                -3               3              -10
             Rennes - Bretagne Atlantique               4                -3               2               -5
             Saclay - Ile de France                     3                -6               9               -7
             Sophia Antipolis - Méditerranée            6                -6               0               -5
             Siège                                      0                -1              33               -4
             TOTAL                                      25               -25             53              -53

               Parmi les chercheurs sont comptabilisés 13 contractuels (doctorants ou post-doctorants). On compte
               également 10 contractuels parmi les IT. Au sein des arrivées au siège, 26 sont liées à la réorganisation de la
               ligne métier SI (systèmes d'information).


             3.5 - La mobilité externe

             Personnel accueilli en détachement et en délégation chez Inria
             Evolution par corps au 31 décembre

                                           2006          2007           2008           2009             2010             2011
Chercheurs                                  98           113            122            118              120              116
              accueillis en détachement     45              60           54             44               39               30
                accueillis en délégation    53              53           68             74               81               86
ITA               (détachements)            32              42           63             53               43               40
Total                                      130           155            185            171              163              156




                                                                                                                                43
                                                   Bilan social INRIA 2011
MOUVEMENTS DE PERSONNELS
     3.5 - La mobilité externe (suite)


     Organismes d'origine du personnel détaché chez Inria au 31 décembre (Chercheurs et ITA).
                              Répartition des effectifs par organisme d'origine




     Organismes d'origine des chercheurs accueillis en délégation
                                                Etablissements                            Effectifs
                                                Université Bordeaux I                        8
                                           Université Paris Sud : Paris XI                   6
                                                 Université Rennes I                         6
                                       Université de Nice - Sophia Antipolis                 5
                                        Université Denis Diderot : Paris VII                 5
                                         Université Paris-Nord : Paris XIII                  5
                                      Université Joseph-Fourier : Grenoble I                 4
                                        Institut Polytechnique de Grenoble                   3
                            Université des Sciences et Technologie De Lille : Lille I        2
                                        Université Henri Poincaré : Nancy I                  2
                                          Université d'Évry-Val d'Essonne                    2
                                    Université de Pau et des Pays de l'Adour                 2
                        Université Montpellier II (Sciences et Techniques du Languedoc)      2
                                          Université de Bourgogne : Dijon                    2
                                                Université de Nantes                         2
                                        Ecole Normale Supérieure Cachan                      2
                                     Université Victor Segalen : Bordeaux II                 2
                                               Université Bordeaux IV                        2
                               Université de Versailles Saint-Quentin-en-Yvelines            2
                                              Université de Strasbourg                       2
                                                      ENSEIRB                                2
                                       Université René Descartes : Paris V                   1
                                       Université Paris-Sorbonne : Paris IV                  1
                                     Institut National Polytechnique - Nancy                 1
                                          Ecole Normale Supérieure Paris                     1
                                    Université Pierre et Marie Curie : Paris VI              1
                                              Université Bretagne Sud                        1
                                       Université Charles-de-Gaulle : Lille III              1
                                        Institut Polytechnique de Bordeaux                   1
                                    Université du Droit et de la Santé : Lille II            1
                                    Université Paris-Val-de-Marne : Paris XII                1
                                                       ENSIIE                                1
                                  Université Pierre Mendes France Grenoble II                1
                                         Université de Dauphine : Paris IX                   1
                                 Institut National des Sciences Appliquées Lyon              1
                                  Université Blaise Pascal : Clermont-Ferrand II             1
                                                  Université Nancy II                        1
                                            Ecole des Mines de Nantes                        1
                             Université de Valenciennes et du Hainaut-Cambrésis              1
                                             TOTAL                                           86

44
                                      Bilan social INRIA 2011
MOUVEMENTS DE PERSONNELS
      3.5 - La mobilité externe (suite)

      La mobilité externe sortante
      Personnels en situation de mobilité externe sortante au 31 décembre de l'année

                                             2006           2007           2008            2009   2010   2011
Chercheurs                                     53            49             52             49     50     45
            en détachement à l'extérieur       9              8              11             10     8      6
                          en disponibilté      31             28             29             29     33     33
                        mis à disposition      10             10             9              9      7      4
                              Hors cadre       3              3              3              1      2      2
ITA                                            27            32             38             78     81     86
            en détachement à l'extérieur       20             23             25             32     40     45
                          en disponibilté      7              9              12             35     31     30
                        mis à disposition      0              0              1              11     10     11
Total                                          80            81             90             127    131    131




      Organismes d'accueil du personnel en mobilité externe
      (Hors agents en disponibilité pour convenance personnelle sans affectation connue)




                                                                                                                45
                                              Bilan social INRIA 2011
MOUVEMENTS DE PERSONNELS
       3.6 - Les départs à la retraite

       Evolution des départs par corps et par genre

                              2008                         2009                      2010                      2011
                    Femmes   Hommes   Total      Femmes   Hommes   Total   Femmes   Hommes   Total   Femmes   Hommes   Total
 Chercheurs           1        6       7                    6       6        1        3       4                 7       7
              DR      1        6       7                    6       6        1        3       4                 6        6
              CR                                                                                                1       1
 ITA                  5        7       12          14       6       20       9        10     19        8        4      12
               IR     2        5       7           4        3       7        3        6       9        1        2        3
               IE     1        1       2           3        1       4        4        2       6        3                 3
               AI     1        1       2           2        1       3                                  3        1        4
              TR      1                1           4        1       5        2        2       4        1        1        2
              AJT                                  1                1
 Total                6        13      19          14       12      26       10       13     23        8        11     19




46
                                              Bilan social INRIA 2011
MOUVEMENTS DE PERSONNELS
        3.6 - Les départs à la retraite (suite)

        Répartition des départs en fonction du motif

                             2005     2006        2007   2008   2009     2010     2011
Limite d'âge                  7                    1      3      7        5        3
Avant âge limite              8        11          12     16     16       14       11
Père et mère de 3 enfants     1        1                                  1        3
Invalidité                                                       1        2
Reversion                     2        1                         2        1        2
Total                        18       13           13     19     26       23       19




        Evolution du nombre d'estimations individuelles réalisées à la demande des agents
        (simulations de montants de pensions civiles)




                                                                                            47
                                     Bilan social INRIA 2011
48
     Bilan social INRIA 2011
4- Les rémunérations



  4.1 - La masse salariale et les traitements
  4.2 - La répartition des primes
  4.3 - Structure de la rémunération des personnels permanents
  4.4 - les cotisations patronales
  4.5 - Les remboursements de transports




                               Ce chapitre présente les éléments de
                               rémunération essentiellement pour les
                               personnels sur emplois budgétaires.




                                                                       49
                                     Bilan social INRIA 2011
LES RÉMUNÉRATIONS
        4.1 - La masse salariale et les traitements

        Masse salariale annuelle chargée par nature de dépense et par Centre

                                                                                           Dépenses non
                                                          Dépenses limitatives
                                                                                            limitatives

             Bordeaux - Sud-Ouest                                       6 586 063                2 153 902
             Lille - Nord Europe                                        5 877 655                1 862 550
             Saclay - Ile de France                                   10 404 637                 3 855 489
             Grenoble - Rhône-Alpes                                   13 454 588                 5 893 110
             Nancy - Grand Est                                        10 685 198                 3 215 858
             Paris - Rocquencourt                                     19 726 716                 5 889 829
             Rennes - Bretagne Atlantique                             13 210 378                 6 702 640
             Sophia-Antipolis - Méditerranée                          18 455 537                 6 725 944
             Siège                                                    19 423 874                    594 431
             TOTAL                                              117 824 646                 36 893 753




        Traitement brut annuel et montant total des primes des personnels ITA et chercheurs sur
        emplois budgétaires

                                                                                                                   Primes (brut annuel)
                                                                                                                     Prime         Prime de
                       Agents payés en 2011     Traitement brut       Traitement brut                  Prime de                                  Prime de
                                                                                          PPRS                    d'excellence      fonction                  ISFIC
                            (en ETP*)                total**             moyen**                      recherche                                 technicité
                                                                                                                  scientifique   informatique

     Chercheurs                586,8              27 667 708              47 151                       496 158     696 789                                   763 344
     ITA                       743,8              22 241 391              29 902        2 850 362                                  937 143       14 783      201 362
     TOTAL                    1330,6              49 909 099             37 509         2 850 362      496 158     696 789        937 143       14 783       964 705


     * ETP : Equivalent Temps Plein
     ** y compris Supplément Familial de Traitement (SFT) et Indemnité de Résidence (IR)

     PPRS : prime de participation à la recherche scientifique
     ISFIC : indemnité spécifique pour fonction d'intérêt collectif




           Traitement brut annuel des personnels permanents chercheurs`
           (y compris personnels détachés, CDI et CDD sur support budgétaire; hors postes fonctionnels.)


                                                          Agents payés en 2011                                    Traitement
                                                                               Traitement brut total
                                                               (en ETPT)                                          brut moyen

             Directeurs de recherche                                  242,6                14 414 024                59 411
                                                  DRO                   20,4                     1 562 701           76 540
                                                   DR1                  80,6                     5 290 460           65 652
                                                   DR2                 141,6                     7 560 863           53 390
             Chargés de recherche                                     344,2                13 253 685                38 509
                                                   CR1                 294,2                  11 588 366             39 385
                                                   CR2                  49,9                     1 665 319           33 351
             Total                                                    586,8                27 667 708                47 151




50
                                                           Bilan social INRIA 2011
LES RÉMUNÉRATIONS
          4.1 - La masse salariale et les traitements (suite)
             Rémunération brute annuelle des personnels permanents ITA
             (y compris personnels détachés, CDI et CDD sur support budgétaire; hors postes fonctionnels.)

                                                                     Agents payés en 2011                                                    Traitement
                                                                                          Traitement brut total
                                                                          (en ETP)*                                                          brut moyen
             Ingénieurs                                                           522,5                                 17 434 154            33 367
                               Ingénieurs de recherche                             193,3                                 8 032 345             41 559
                                      Ingénieurs d'études                          174,3                                 5 357 515             30 729
                                    Assistants ingénieurs                          154,9                                 4 044 295             26 115
             Techniciens                                                          221,3                                  4 807 237            21 720
                                                       Techniciens                 203,6                                 4 476 328             21 983
                                       Adjoints techniques                         17,7                                   330 908              18 695
             Total                                                                743,8                                 22 241 391            29 902

             * Le personnel administratif est intégré dans les catégories d'IT



          4.2 - La répartition des primes
          PPRS versées

                                                                     Agents payés en 2011                               PPRS totale        PPRS moyenne             Écart type

             Ingénieurs                                                            478                                  2 260 032             4 728                  2 639
                                                               IR                  170                                  1 202 012             7 071                   2 928
                                                               IE                  155                                   597 148              3 853                   1 297
                                                               AI                  153                                   460 873              3 012                     857
             Techniciens                                                           237                                   590 330              2 491                     658
                                                              TR                   220                                   551 273              2 506                     668
                                                              AJT                   17                                    39 056              2 297                     492
             Total                                                                 715                                  2 850 362             3 987                  2 430



         Répartition des agents par corps et niveau de contribution

                                       Niveau 1                               Niveau 2                                    Niveau 3                   Niveau 4                    Total
Corps                     Effectifs                     %             Effectifs               %                Effectifs             %       Effectifs          %        Effectifs        %

        IR                     2                       1%                73                 43%                     68               40%        27           16%          170            100%
        IE                     2                       1%                71                 46%                     56               36%        26           17%          155            100%
        AI                     2                       1%                72                 47%                     60               39%        19           12%          153            100%
        TR                     5                       2%               107                 49%                     76               35%        32           15%          220            100%
        AJT                    0                       0%                12                 71%                      3               18%        2            12%           17            100%
Total                         11                       2%              335                  47%                     263              37%      106            15%          715            100%


               Niveau 1 : Contribution insuffisante                        Niveau 3 : Contribution très satisfaisante

               Niveau 2 : Contribution satisfaisante                       Niveau 4 : Contribution exceptionnelle




         Prime de fonctions informatiques versée
         Par niveau de prime
          Niveau de prime                                        Agents payés en 2011                                PFI versée en 2011                  Moyenne annuelle

          Pupitreurs                                                           5                                            18 747                              3 749
          Analystes                                                           21                                            66 855                              3 184
          Programmeur Système d’Exploitation                                  146                                          839 965                              5 753
          Chef de projet                                                       3                                            11 576                              3 859
          TOTAL                                                               175                                          937 143                              5 355




                                                                                                                                                                                                51
                                                                              Bilan social INRIA 2011
LES RÉMUNÉRATIONS
     4.2 - La répartition des primes (suite)

     Prime de fonctions informatiques versée
     Par grade

     Grade                                           Agents payés en 2011            PFI versée en 2011       Moyenne annuelle

     IR                                                      108                         615 989                  5 704
     IE                                                          50                      264 431                  5 289
     AI                                                          12                        37 975                 3 165
     TR                                                          4                         15 096                 3 774
     AJT                                                         1                         3 651                  3 651
     TOTAL                                                   175                         937 143                  5 355




     Bénéficiaires de l'Isfic par fonction

                                                                                                                  Effectifs

     Resp. scientifique de projet de recherche ou de développement                                                  166
     Responsable de service d'un centre ou d'une direction du siège                                                  86
     Chargé de mission auprès de la DG ou d’un directeur (centre ou direction fonctionnelle)                         43
     Délégué scientifique et vice-présidents du comité des projets                                                   21
     Membre du comité de Direction de l'institut                                                                     20
     Directeur adjoint ou délégué à l'administration du centre                                                       17
     Président et vice-pérsidents de la commission d’évaluation                                                      3
     Total                                                                                                          356
     AEN : Actions d'Envergure Nationale
     ANRD : actions nationales de recherche et développement




     Prime d'Excellence Scientifique
     La prime d'excellence scientifique est attribuée pour 4 ans aux chercheurs Inria.

                                                Eligibles                Candidats              %             Retenus 2011

      Directeurs de recherche                       215                     28                 13%                 15
      Chargés de recherche                          337                     21                 6%                  19
      TOTAL                                         552                     49                 9%                  34




     Prime d'Excellence Scientifique versée
     La prime d'excellence scientifique est versée trimestriellement. Les montants annuels sont de 6 048 € pour
     les CR et 9 072 € pour les DR

                                         Nombre d'agents*             PES versée en 2011            Moyenne

      Directeurs de recherche                      45,8                   415 049                    9 072
      Chargés de recherche                         46,6                   281 740                    6 048
      TOTAL                                        92                     696 789                   7 546

      * Nombre d'agent proratisés en fonction du nombre de trimestres perçus, des changements de corps et des départs en cours d'année.




52
                                               Bilan social INRIA 2011
LES RÉMUNÉRATIONS
4.3 - Structure de rémunération des personnels permanents et non permanents
(ensemble des personnels permanents et non permanents)

Les traitements représentent 89,8 % de la rémunération. Les autres postes se découpent
de la manière suivante :




                                                          Dont :
                                                                                 714 437 €
PR : Prime de Recherche
CET : Compte Epargne Temps                                SFT
                                                          IR                     607 967 €
GIPA : Garantie Individuelle du Pouvoir d'Achat

                                                          CET                   1 067 175 €
                                                          Intéressement          143 464 €
                                                          Transport              222 309 €
                                                          GIPA                   152 200 €
                                                          Autres primes          404 534 €




4.4 - Les cotisations patronales
(ensemble des personnels permanents et non permanents)
Les cotisations patronales sont constituées pour plus de la moitié par les cotisations retraites :




                                                                            Sécurité sociale         19 430 048 €
                                                                            ASSEDIC                  2 054 364 €
                                                                            Retraite                 30 865 820 €
                                                                            Taxe sur les salaires    7 648 772 €




                                                                                                                    53
                                                  Bilan social INRIA 2011
4.5 - Les remboursements de transports

     Bénéficiaires des remboursements en décembre 2011

                                        Personnels    Personnels non
                                                                       Total
                                        permanents     permanents

     Bordeaux - Sud-Ouest                 26,2%          26,0%         26,1%
     Grenoble - Rhône-Alpes               20,1%          41,7%         32,5%
     Lille - Nord Europe                  21,4%          28,3%         25,3%
     Nancy - Grand Est                    13,7%          15,3%         14,5%
     Paris - Rocquencourt                 24,0%          31,3%         27,6%
     Rennes - Bretagne Atlantique         18,1%          28,1%         24,0%
     Saclay - Ile de France               23,4%          32,4%         28,1%
     Sophia-Antipolis - Méditerranée      5,2%           11,5%         8,7%
     Siège                                22,6%          16,1%         21,9%
     TOTAL                               19,0%           26,6%         22,8%




54
                                       Bilan social INRIA 2011
5- Les conditions de travail



  5.1 - Le temps de travail des personnels permanents
  5.2 - Les congés maternité, paternité et maladie
  5.3 - Les accidents du travail




                                   Ce chapitre traite des conditions de travail à
                                   travers le temps de travail, divers congés et
                                   les accidents du travail.




                                                                                    55
                                    Bilan social INRIA 2011
LES CONDITIONS DE TRAVAIL
       5.1 - Le temps de travail des personnels permanents
       Répartition des temps partiels par genre et par âge au 31 décembre 2011
       (Personnels sur emplois budgétaires, y compris personnels détachés, CDI et CDD)


                                  50%      60%      70%      80%    90%        Total      % / effectif
     Femmes                        4                 3        82     15        104           19%
                       18 à 23
                       24 à 29                                2                 2
                       30 à 35                       1        16                17
                       36 à 41     1                 1        21      5         28
                       42 à 47     2                 1        27      5         35
                       48 à 53                                11      3         14
                       54 à 59                                3       1         4
                     60 et plus    1                          2       1         4
     Hommes                        5        1                 13      1         21            3%
                       18 à 23
                       24 à 29                                1                 1
                       30 à 35              1                 3                 4
                       36 à 41     1                          3                 4
                       42 à 47     2                 1        1                 4
                       48 à 53     1                                  1         2
                       54 à 59     1                          2                 3
                     60 et plus                               3                 3
     Total général                 9        1        3        95     16        125            9%




        Répartition des temps partiels par filière et par genre au 31 décembre 2011
        (Personnels sur emplois budgétaires, y compris personnels détachés, CDI et CDD)

                                  50%      60%      70%      80%    90%        Total      % / effectif
     Chercheurs                    2                 1        4       1         8             1%
                      Femmes                                  2       1         3
                      Hommes       2                 1        2                 5
     Ingénieurs                    5        1        1        55      7         69           13%
                      Femmes       2                 1        47      6         56
                      Hommes       3        1                 8       1         13
     Techniciens                   2                 2        36      8         48           20%
                      Femmes       2                 2        33      8         45
                      Hommes                                  3                 3
     Total                         9        1        4        95     16        125            9%
                      Femmes       4                 3        82     15        104
                      Hommes       5        1        1        13      1         21




56
                                        Bilan social INRIA 2011
LES CONDITIONS DE TRAVAIL
           5.2 - Les congés maternité, paternité et maladie
           (agents permanents et non permanents)

                      • 33 femmes ont bénéficié d'un congé maternité au cours de l'année 2011
                      • 34 hommes ont bénéficié d'un congé paternité

           La maladie

                        Congés de maladie
                                                                   Congés de longue durée                        Mi-temps thérapeutiques
                           < à 90 jours
                  nb agents         durée en jours               nb agents          durée en jours           nb agents          durée en jours
  2003                280                4397                       3                    613                      2                     151
  2004                284                3767                       3                    667                      3                     295
  2005                315                4515                       3                    668                      5                     438
  2006                334                4569                       6                    729                      6                     778
  2007                384                5800                       8                    436                      6                     332
  2008                434                6199                       7                    900                      7                  1191
  2009                462                7249                       10                   2568                     6                     700
  2010                453                6147                       13                   2828                     7                     449
  2011                501                5910                       12                   3063                     8                  1002




          5.3 - Les accidents du travail


                                                 2007                        2008                    2009                    2010                  2011
                                             S            T              S           T          S           T            S          T         S           T

Bordeaux - Sud Ouest                                                     0           1          0           1            1          1         0           1
Lille - Nord Europe                          4            0              0           0          0           1            0          0         2           0
Saclay - Ile de France                                                   0           0          0           1            2          0         1           2
Grenoble - Rhône-Alpes                       1            0              0           3          4           2            4          1         3           0
Nancy - Grand Est                            1            0              1           1          2           1            0          1         1           4
Paris - Rocquencourt                         3            2              1           2          2           3            1          3         3           4
Rennes - Bretagne Atlantique                 1            1              0           2          2           3            1          5         3           2
Sophia Antipolis - Méditerranée              7            1              4           3          4           2            7          2         2           1
Siège                                        1            0              2           6          4           7            5          3         2           0
TOTAL                                       18            4              8          18          18          21        21            16        17          14
        Les accidents de mission sont ici assimilés à des accidents de service


                                        S : accident de service
                                        T : accident de trajet




                                                                                                                                                               57
                                                              Bilan social INRIA 2011
58
     Bilan social INRIA 2011
6- LA FORMATION EN 2011

  6.1 - Formation permanente : données globales (plans locaux et plan national)
         6.1.1 - Nombre d'agents formés
         6.1.2 - Nombre de départs en formation réalisés
         6.1.3 - Population formée
         6.1.4 - Accès à la formation
         6.1.5 - Zoom sur la catégorie C
  6.2 - Plan transverse 2011 réalisé




                  Ce chapitre présente les principales actions
                  de formation réalisées en 2011 et propose
                  une évaluation de l'effort de formation par le
                  budget consacré, le nombre d'agents formés
                  et les populations visées.




                                                                                  59
                                        Bilan social INRIA 2011
LA FORMATION EN 2011


     Le plan de formation de l'Institut regroupe :

        • le plan de formation national (en 2011 = 518 250 euros)

              Des actions à caractère national :
                     - Pour une population (ex. : doctorants)
                     - Pour une ligne métier (ex. : ligne SI)
              Des actions transverses
                     - Exemple 2011 : Atelier Projet Professionnel


        • les plans de formation locaux
              Les actions locales (en 2011 = 781 750 euros dont 250 000 euros de formations langues
              déconcentrées dans les centres)



     Rappel des objectifs du plan de formation de l'institut :
        - Garantir un accès à la formation pour tous les agents quel que soit leur statut, leur sexe, leur âge
          ou leur handicap
        - Garantir l'adaptation des collaborateurs à leur poste de travail
        - Accompagner le développement des compétences et favoriser l'évolution professionnelle des agents
        - Préparer la reconversion professionnelle




     Le plan de formation est la rencontre entre des besoins exprimés par Inria et des attentes portées par les
     agents.
     L'expression des souhaits de formation et l'analyse des besoins ne peuvent se concevoir sans une
     explicitation par la hiérarchie et une bonne compréhension par les agents des orientations stratégiques
     d'Inria. Chaque responsable de service a un rôle déterminant dans la prise en compte des évolutions de
     compétences de ses agents.




60
                                         Bilan social INRIA 2011
LA FORMATION EN 2011

6.1 Formation permanente : données globales (plans locaux et plan national)
6.1.1 Nombre d'agents formés


                                      2008           2009           2010           2011
  Nombre d'agents                     11 43          1 477          1309           1357
  Taux de croiss ance                     -          29%            -11%            4%




6.1.2 Nombre de départs en formation réalisés


                                   2008            2009           2010           2011
Nombre de départs                  264 8           344 6          31 31          27 17
Taux de croiss ance                   -            30%            -9%           -13%




Le nombre de départs en formation correspond au nombre d'actions suivies par un agent au cours
de l'année. Un agent peut avoir suivi une formation à l'anglais et une formation en informatique sur
la même année.
Le nombre de départs en formation est en baisse de 13% en 2011. Néanmoins, le nombre d'heures
de formation réalisées a augmenté de près de 2%, la durée de chaque formation étant en moyenne
plus importante.

                                                                                                       61
                                    Bilan social INRIA 2011
LA FORMATION EN 2011
     6.1.2 Nombre de départs en formation réalisés
                  Nombre d'heures de formations réalisées




     6.1.3 Population formée
                                        2008          2009           2010           2011
     Chercheurs                         498            78 5           67 8           7 89
     ITA                                215 0         266 1          24 53          19 28
     Total                             2648           3446           3131           2717




     En 2011, l'offre de formation pour les chercheurs a été développée ce qui explique en partie la
     diminution du nombre de départs en formations des ITA.

     Les thèmes les plus représentatifs :
         • Scientifiques : Langues, Hygiène et sécurité et Développement Personnel
         • ITA : Langues, Hygiène et sécurité, Développement Personnel, Gestion financière, logiciels




62
                                     Bilan social INRIA 2011
LA FORMATION EN 2011
6.1.4 Accès à la formation
Nombre de départs en formation des fonctionnaires par corps
(Hors personnel accueilli en détachement)

                                             2008             2009          2010           2011
 AJT                                           43              60           38             17
 TR                                           555             59 4          61 8           4 41
 AI                                           339             41 2          44 4           3 68
 IE                                           430             48 1          38 5           3 14
 IR                                           346             42 9          36 9           3 05
  Total                                      1713             1976          1854           1445


Nombre moyen de départs en formation par agent selon le corps

                                            2008              2009          2010           2011
AJT                                           1,4             2,3           1,7             0,9
TR                                            2,4             2,7           2,8             2,2
AI                                            3,0             3,3           3,2             2,5
IE                                            2,8             3,1           2,6             2,2
IR                                            2,2             2,7           2,1             1,9
 Total                                        2,5             2,9           2,6             2,2

 Les agents les plus formés sont les agents du grade AI puis des grades TR et IE.




Taux d'accès par sexe

                                               Femmes           Hommes             Total
 Nombre d'agents formés                             578              779           1357
 Effectif *                                         835              1757          2592
 Taux d'accès                                       69%              4 4%          52%

 * au 31 décembre hors délégations et doctorants via Egide.




                                                                                                  63
                                               Bilan social INRIA 2011
LA FORMATION EN 2011

     6.1.5 Zoom sur la catégorie C


                                2008       2009          2010   2011
     Effectif total              31         26           23     16
     Nombre d'agents formés      18         18           14     11




64

                               Bilan social INRIA 2011
LA FORMATION EN 2011
6.2 Plan transverse 2011 réalisé




                                                     65
                           Bilan social INRIA 2011
LA FORMATION EN 2011
     6.2 Plan transverse 2011 réalisé




66
                              Bilan social INRIA 2011
LA FORMATION EN 2011
6.2 Plan transverse 2011 réalisé




                                                     67
                           Bilan social INRIA 2011
LA FORMATION EN 2011
     6.2 Plan transverse 2011 réalisé




68
                              Bilan social INRIA 2011
7- LE DÉVELOPPEMENT SOCIAL
  ET LES RELATIONS PROFESSIONNELLES



  7.1 - Action sociale

  7.2 - Hygiène et sécurité

  7.3 - Instances et dialogue social




                     Ce chapitre aborde le développement social à
                     travers l'action sociale et l'hygiène et sécurité.

                     Il présente également les ordres du jour des
                     instances nationales d'Inria.




                                                                          69
                                       Bilan social INRIA 2011
LE DÉVELOPPEMENT SOCIAL ET LES RELATIONS
     PROFESSIONNELLES
     7.1 - L’action sociale
     En 2011, les subventions dédiées à l'action sociale s'élèvent à 2 751 662 euros. Les
     subventions se répartissent sur les postes suivants :


             Subvention AGOS (fonctionnement et activité)                              885 300 €
                  Dont frais de personnels                                             210 000 €
             Restauration *                                                           1 565 809 €
             Dépenses de prestations sociales Inria                                        90 553 €
             Total                                                                    2 751 662 €




     7.2 - Hygiène et sécurité 2011
     Inria a adopté un programme pluriannuel de prévention en 2009 et poursuit sa mise en œuvre à
     travers les axes suivants :

         •    Conforter l'organisation de la prévention et de la sécurité
         •    Evaluer les risques professionnels et programmer les actions de prévention
         •    Renforcer le rôle des Comités d'Hygiène et Sécurité (CHS)
         •    Développer l'information et la formation des agents
         •    Améliorer le suivi de la prévention médicale
         •    Assurer le suivi de la politique de prévention
         •    Intégrer la sécurité dans la conception et l'entretien des locaux
         •    Respecter l'environnement

     De plus, ce programme prend en compte les priorités du programme annuel de prévention de
     l'enseignement supérieur et de la recherche, qui se développent autour de 3 axes :
          • L'évaluation et la prévention des risques psycho-sociaux et des troubles musculo-
             squelettiques
          • L'accueil des nouveaux arrivants
          • La transformation des comités d'hygiène et de sécurité (CHS) en comités d'hygiène, de
             sécurité et des conditions de travail (CHSCT).




70
                                     Bilan social INRIA 2011
LE DÉVELOPPEMENT SOCIAL ET LES RELATIONS
PROFESSIONNELLES
7.3 - Instances et dialogue social

Conseil d'administration
4 réunions en 2011 :
Le 7 avril
    1.   Approbation du procès-verbal de la séance du 21 décembre 2010
    2.   Points d'actualité
    3.   L'activité scientifique en 2010
    4.   Rapport sur l'exécution du budget 2010
    5.   Comptes de l'exercice 2010 :
                a) Rapport de l'Agent comptable
                b) Avis des Commissaires aux comptes
                c) Approbation du compte financier
    6.   Projet de décision budgétaire modificative n° 1 relative au budget de 2011
    7.   La politique d'Inria en matière de développement technologique Attribution du titre de
         directeur de recherche émérite
    8.   Questions diverses.


Le 7 juillet
    1.   Approbation du procès-verbal de la séance du 7 avril 2011
    2.   Points d'actualité
    3.   Le dispositif Institut Carnot Inria et le projet de consortium de valorisation thématique
         CVSTENE
    4.   Nouvelle identité visuelle d'Inria
    5.   Communication du rapport annuel 2010. Présentation du dossier de suivi des activités et
         du tableau des indicateurs
   6.    Projet de contrat d'objectif 2011-2014 entre l'Etat et Inria
   7.    La politique d'Inria en matière de développement technologique
   8.    Devenir du site de Rocquencourt
   9.    Attribution du titre de directeur de recherche émérite
  10.    Projet de décision budgétaire modificative n°2 relative au budget 2011
  11.    Mesure d'ordre comptable
  12.    Questions diverses.


Le 13 octobre
    1.   Approbation du procès-verbal de la séance du 7 juillet 2011
    2.   Points d'actualité
    3.   Point d'étape relatif aux participations Inria à des projets retenus dans le cadre du
         Programme Investissements d'Avenir - Délégation au Président pour les prises de
         participation à des personnes morales dans ce cadre
    4.   Création du CIRIC, centre conjoint de recherche et d'innovation au Chili
    5.   Prime d'excellence scientifique : bilan et évolutions
    6.   Projet de décision budgétaire modificative n° 3 relative au budget de 2011
    7.   Questions diverses.




                                                                                                     71
                                   Bilan social INRIA 2011
LE DÉVELOPPEMENT SOCIAL ET LES RELATIONS
     PROFESSIONNELLES
     7.3 - Instances et dialogue social (suite)

     Le 8 décembre
         1.      Approbation du procès-verbal de la séance du 13 octobre 2011
         2.      Points d'actualité
         3.      Consolidation des comptes de l'exercice 2010
         4.      Projet de décision budgétaire modificative n°4 relative au budget de 2011
         5.      Projet de budget primitif pour l'année 2012
         6.      Point d'étape relatif aux participations à des projets retenus dans le cadre du Programme
                 Investissements d'avenir
         7.      Plan d'actions pluriannuel pour l'évolution des fonctions support
         8.      Les équipes-projets de recherche Inria : modalités de création, d'évaluation et de
                 renouvellement, dynamique d'évolution
         9.      Information sur les travaux du Conseil scientifique
        10.      Mise en œuvre de la démarche de contrôle interne comptable et financier, mesures de
                 simplification en matière de gestion
        11.      Rattachement des fonctions d'Inspection Santé et sécurité au travail
        12.      Questions diverses.

     Comité technique paritaire
     Le Comité Technique Inria remplace de Comité Technique Paritaire le 16 novembre 2011. Ses
     attributions restent identiques : donner son avis sur les questions et projets de textes relatifs à
     l'organisation et au fonctionnement des services. Y sont examinées les questions relatives aux
     effectifs, aux emplois et aux compétences, aux règles statutaires, aux méthodes de travail, aux
     grandes orientations en matière de politique indemnitaire, à la formation, à l'insertion
     professionnelle, à l'égalité professionnelle et à la lutte contre les discriminations...
     5 réunions en 2011 :

     Le 16 mars
         1.      Approbation des procès verbaux des séances du 16 novembre 2010 et du 7 décembre 2010 (vote)
         2.      Présentation du bilan de formation 2010 et du plan de formation 2011 (information)
         3.      Relations avec le CNRS (information)
         4.      Règlements intérieurs des centres de Bordeaux, Lille et Saclay (information)
         5.      Contrat d'objectifs 2011-2014 (information)
         6.      Questions diverses.
     Le 8 juin
         1.      Approbation du procès-verbal de la séance du 16 mars 2011 (vote)
         2.      Projet de contrat d'objectifs Inria 2011-2014 (vote)
         3.      Présentation du rapport annuel 2010 de l'Hygiène et Sécurité et du programme annuel de
                 prévention 2011 (information)
         4.      Règlements intérieurs des centres de Nancy, Rennes et Saclay (information)
         5.      Mise en œuvre d'un Comité opérationnel d'évaluation des risques légaux et éthiques (vote)
         6.      Mise en œuvre de l'indemnité de départ volontaire (information)
         7.      Mise en place de l'entretien annuel chercheur et point d'étape sur le dossier « suivi carrière
                 chercheur » (information)
         8.      Projet d'arrêtés du Ministère de l'Enseignement Supérieur et de la Recherche concernant
                 la prorogation et la réduction du mandat des membres de certaines instances
                 représentatives du personnel d'Inria (information) et mise en place du comité technique de
                 proximité (vote)
         9.      Questions diverses.
72
                                       Bilan social INRIA 2011
LE DÉVELOPPEMENT SOCIAL ET LES RELATIONS
PROFESSIONNELLES
7.3 - Instances et dialogue social (suite)

Le 25 octobre
    1.     Approbation du procès-verbal de la séance du 8 juin 2011 (vote)
    2.     Projet d'arrêté portant création du Comité National d'Hygiène de Sécurité et des Conditions de
           Travail (CNHSCT) d'Inria (information)
    3.     Mise en place du suivi RH des scientifiques (vote)
    4.     Première orientation du plan d'action ligne fonctions support (information)
    5.     Questions diverses.
Le 14 novembre
    1.     Approbation du procès-verbal de la séance du 25 octobre 2011 (vote)
    2.     Orientation pour le plan d'actions relatif aux fonctions support (information)
    3.     Présentation du bilan social 2010 (information)
    4.     Questions diverses.
Le 5 décembre
    1.     Approbation du procès-verbal de la séance du 14 novembre 2011 (vote)
    2.     Plan d'action pour l'évolution des fonctions support (vote)
    3.     Projet de loi relatif aux personnels contractuels (information)
    4.     Règlement intérieur du Comité Technique Inria (vote)
    5.     Validation de la suppression du Comité de Concertation (information)
    6.     Questions diverses.


Comité de concertation
1 réunion en 2011 :
Le 28 septembre
     1. Approbation du procès-verbal des séances du 15 juin 2010 et du 30 septembre 2010
     2. Accord cadre CNRS/Inria et relations avec les universités
     3. Projet de loi relatif aux personnels contractuels
     4. Echanges sur l'évolution du Comité de Concertation (en lien avec la mise en place du comité
        technique de proximité)
     5. Présentation du rapport d'audit des fonctions support réalisé par l'IGAENR
     6. Bilan de la Prime d'Excellence Scientifique pour les campagnes 2009, 2010 et 2011 et
        préconisations d'évolution du dispositif
     7. Questions diverses.


Conseil scientifique
Le conseil scientifique est l'instance de réflexion et de proposition de l'institut en matière de politique
scientifique. Il donne son avis au conseil d'administration sur les grandes orientations de la politique
scientifique de l'institut, les programmes de recherche et le rapport annuel d'activité.
3 réunions en 2011 :
Le 9 mai
     1. Introduction et missions générales du Conseil scientifique
     2. Présentation générale d'Inria et de sa structure scientifique
     3. Nouvelles scientifiques d'Inria

                                                                                                          73
                                      Bilan social INRIA 2011
LE DÉVELOPPEMENT SOCIAL ET LES RELATIONS
     PROFESSIONNELLES
     7.3 - Instances et dialogue social (suite)
     Conseil scientifique (suite)

     Le 9 mai (suite)
          4. Bilan du Conseil sur les nominations de Directeurs de centre
          5. Présentation générale du domaine scientifique Inria Mathématiques appliquées, calcul et
             simulation
          6. Retour d'évaluation des thèmes Modèles et méthodes stochastiques et Optimisation,
             apprentissage et méthodes statistiques.


     Le 1er juillet
          1. Examen d'une demande d'éméritat
          2. Retour d'évaluation du thème Vision et interprétation multimédia (domaine perception,
             cognition et interaction)
          3. Retour d'évaluation du thème Observation et modélisation pour les sciences de
             l'environnement (domaine STIC pour les sciences de la vie et de l'environnement)
          4. Présentation du contrat d'objectifs entre Inria et le gouvernement
          5. Orientations stratégiques jusqu'à 2020.


     Le 18 novembre
          1. 1. Approbation du procès-verbal de la séance du 1er juillet
          2. Planning des réunions 2012 du Conseil Scientifique
          3. Bilan et conseil à l'équipe-projet Dolphin suivant les recommandations du Conseil
             Scientifique du 9 mai
          4. Retour d'évaluation des thèmes du domaine Algorithmique, programmation, logiciels et
             architectures :
                 - Programmation, vérification et preuves (17 équipes-projets)
                 - Algorithmique, calcul certifié et cryptographie (10 équipes-projets)
          5. Présentation de la nouvelle subvention « ProofCert » de l'ERC
          6. Méthodologie et planning pour l'élaboration du prochain plan stratégique d'Inria
          7. Présentation des Orientations stratégiques jusqu'à 2020
          8. Présentation de l'Institut Carnot Inria et de la politique d'Inria en matière de transfert et
             d'innovation.


     Comité national d'hygiène et de sécurité
     Les comités d'hygiène et de sécurité ont pour mission de contribuer à la protection de la santé et à
     la sécurité des agents dans leur travail. Ils procèdent également à l'analyse des risques
     professionnels auxquels sont exposés les agents du ou des services entrant dans leur champ de
     compétence. À cette fin, ils délibèrent chaque année d'un rapport sur l'évolution des risques
     professionnels présenté par leur président.
     3 réunions en 2011 :

     Le 30 mars
         1. Approbation du procès verbal de la séance du 15 décembre 2010
         2. Retour des inspections Hygiène et Sécurité 2010 des centres et de l'inspection
             transversale d'Inria
         3. Rapport annuel 2010 et Programme annuel de prévention 2011
74
                                     Bilan social INRIA 2011
LE DÉVELOPPEMENT SOCIAL ET LES RELATIONS
PROFESSIONNELLES
7.3 - Instances et dialogue social (suite)
Comité national d'hygiène et de sécurité (suite)

Le 30 mars (suite)
     4. Présentation des fiches actions de la Convention Handicap
     5. Questions diverses.

Le 29 juin
     1. Approbation du procès-verbal de la séance du 30 mars 2011
     2. Présentation des évolutions de la loi n° 2010-751 du 5 juillet 2010 instituant des comités
         d'hygiène, de sécurité et des conditions de travail ainsi que du décret 82-453 du 28 mai 1982
         relatif à l'hygiène, la sécurité et la prévention médicale dans la fonction publique de l'Etat (modifié)
     3. Point sur les travaux du groupe de travail relatif au bien-être au travail
     4. Groupe de travail « déplacement » : reprise des travaux
     5. Règlements Intérieurs : Le point sur le chapitre prévention
     6. Questions diverses.

Le 19 octobre
     1. Approbation du procès-verbal de la séance du 29 juin 2011
     2. Mise en place du CNHSCT chez Inria : évolution règlementaire, impact, mission, composition de
         l'instance
     3. Projet d'arrêté de création du CNHSCT d'Etablissement public
     4. Groupe de travail « ligne métier des assistants de prévention »
     5. Point des Agent Chargé de la Mise en Œuvre (ACMO)
     6. Point d'étape sur les groupes de travail en cours
     7. Questions diverses : médecine de prévention, dates et modalités de réunion du CNHSCT en 2012.

Commission d’évaluation
La commission d'Evaluation est en charge de l'évaluation scientifique de l'institut. Composée de
personnalités scientifiques élues et nommées d'Inria et d'experts extérieurs à l'Institut, elle coordonne
l'évaluation externe du travail des équipes-projets Inria domaine de recherche par domaine de recherche.

Le 14 janvier
        Réunion générale.
Les 25 et 26 janvier
       Primes d'Excellence Scientifiques.
Le 24 février
        Recevabilité concours CR et DR.
Les 22, 23, 24 et 25 mars
        Séminaire d'évaluation des thèmes :
           - Programmation, vérification et preuves
           - Algorithmique, calcul certifié et cryptographie.
Le 6 avril
        Pré-sélection concours DR2.

Les 20 et 21 avril
        Concours CR national.


                                                                                                                    75
                                       Bilan social INRIA 2011
LE DÉVELOPPEMENT SOCIAL
     7.3 - Instances et dialogue social (suite)

     Commission d’évaluation (suite)
     Les 4 et 5 mai
             Jury de concours DR2.

     Le 20 juin
             Journée de synthèse.

     Les 11 et 14 octobre
             Séminaire d'évaluation des thèmes : Perception, cognition, interaction :
                - Représentation et traitement des données et des connaissances multimédia
                - Langue, parole et audio.

     Les 8 et novembre
                - Promotions CR1
                - Retour d'évaluation des thèmes Programmation, vérifications et preuves et Algorithmique,
                  calcul certifié et Cryptographie.

     Le 25 novembre
             Admissibilité DR1.

     Les 8 et 9 décembre
             Avis de la Commission sur les promotions DR1, DR0 et DR0 2ème échelon.




     Commissions administratives paritaires
     Les CAP traitent des différents sujets suivants :
         -      Titularisations
         -      Accueils en détachement
         -      Intégrations
         -      Promotions
         -      Questions disciplinaires

     Les CAP du mois de février sont consacrées aux promotions (promotions de corps, de grades et
     avancements accélérés d'échelons). Les autres sont dédiées aux évènements courants.
     Les réunions se sont tenues tout au long de l'année 2011 :

     CAP N° 3 - Ingénieurs de Recherche
              -   Le 7 février
              -   Le 26 mai
              -   Le 22 septembre
              -   Le 24 novembre


     CAP N° 4 - Ingénieurs d'Etudes
              -   Le 8 février
              -   Le 17 février
              -   Le 26 mai
              -   Le 22 septembre
              -   Le 18 octobre
              -   Le 24 novembre


76
                                             Bilan social INRIA 2011
LE DÉVELOPPEMENT SOCIAL
7.3 - Instances et dialogue social (suite)

Commissions administratives paritaires (suite)

CAP N° 5 - Assistants Ingénieurs
         -   Le 10 février
         -   Le 26 mai
         -   Le 22 septembre
         -   Le 24 novembre


CAP N° 6 - Techniciens de la Recherche
         -   Le 10 février
         -   Le 26 mai
         -   Le 22 septembre
         -   Le 24 novembre


CAP N° 7 - Adjoints Techniques de la Recherche
         -   Le 11 février

Les CAP n° 1 et n° 2 consacrées respectivement aux Directeurs de Recherche et Chargés de Recherche ne
se sont pas réunies en 2011. En l'absence de question disciplinaire et en l'absence de refus de
titularisation, seule la Commission d'Evaluation a statué.




Commissions Consultatives Paritaires
Les CCP peuvent être saisies de toute question d'ordre individuel relative à la situation professionnelle des
agents non titulaires.
Les CCP sont obligatoirement consultées pour les décisions individuelles relatives aux licenciements
intervenant postérieurement à la période d'essai et aux sanctions disciplinaires autres que l'avertissement
et le blâme.

On distingue 2 commissions : la CCP « support à la recherche » et la CCP « scientifique ».

Les CCP n'ont pas été saisies au cours de l'année 2011.


L'exercice du droit de grève
On compte 5 journées de grève pour l'année 2011. Sur ces journées,
3 agents se sont déclarés grévistes :


                             C herche urs              1
                             ITA                       1
                             Non-titulaires            1
                             T otal                    3




                                                                                                                77
                                            Bilan social INRIA 2011
78
     Bilan social INRIA 2011
8- LA POLITIQUE HANDICAP




            Ce chapitre présente la politique handicap à
            travers ses enjeux et ses grandes réalisations.




                                                              79
                        Bilan social INRIA 2011
LA POLITIQUE HANDICAP



     L'institut s'est engagé en 2011 dans une politique handicap basée autour d'un
     conventionnement avec le FIPHFP (Fonds pour l'Insertion des Personnes Handicapées
     dans la Fonction Publique).

     Celle-ci s'articule autour d'un plan d'action établi pour une durée de 3 ans.
     Ce plan d'action a été élaboré grâce à la collaboration de près de 70 agents d'Inria (chercheurs et ITA), à partir
     des résultats de l'audit interne mené au 1er trimestre 2011.

     Le plan d'action se définit autour de 4 axes :
          • Développer et animer un réseau de correspondants handicap locaux
          • Former les acteurs internes et sensibiliser à la question du handicap au travail
          • Faciliter l'intégration, le recrutement et le maintien dans l'emploi des agents en situation de
             handicap
          • Améliorer l'accessibilité de nos locaux et faciliter les déplacements des agents en situation de
             handicap dans le cadre de leurs missions.
     Sa mise en œuvre va impliquer la participation active des centres et du siège, en lien avec les
     correspondants handicap, la ligne ressources humaines et la direction.


     1) Développer et animer un réseau de correspondants handicap locaux :
         • Redéfinition du réseau des correspondants handicap initié en 2007
         • Formation des correspondants handicap

     2) Former les acteurs internes et sensibiliser les agents à la question du handicap au travail
         • Sensibilisation et information de l'ensemble des collaborateurs via un dispositif de e-learning ;
         • Formation des acteurs impliqués dans le process de recrutement ;
         • Formation des managers ;
         • Sensibilisation des équipes lors de l'intégration d'un agent en situation de handicap ;
         • Formation des assistants de prévention (anciens Agent Chargé de la Mise en Oeuvre des règles
            d'hygiène et de sécurité ou ACMO), et des agents des Services Généraux et des Moyens
            Informatiques sur les questions d'accessibilité ;
         • Formation sur l'interfaçage de logiciels spécifiques.


     3) Faciliter l'intégration, le recrutement et le maintien dans l'emploi des agents en
     situation de handicap
         • Formalisation et mise en œuvre du processus de maintien dans l'emploi, recrutement et reclassement ;

     Au 31 décembre 2011, on recense 31 travailleurs handicapés au sein d'Inria, soit un taux d'emploi de 1,2%.
     Ce taux reste très inférieur à l'obligation légale portée à 6%. Inria poursuit donc ses efforts au niveau du
     recrutement comme au niveau des autres leviers à sa disposition.




80
                                        Bilan social INRIA 2010
POLITIQUE HANDICAP EN 2011


         Nombre d'agents reconnus travailleurs handicapés au 31 décembre




    • Développement d'un réseau de partenaires nationaux et locaux œuvrant sur l'insertion des
      personnes en situation de handicap (CAP Emploi, Sameth…) ;
    • Intégration d'agents en situation de handicap par la voie de l'apprentissage et des stages ;
    • Promotion de la politique handicap de l'institut afin de susciter des candidatures.
    • Elaboration d'outils d'information (plaquettes…) ;
    • Mise en œuvre d'aménagements pour améliorer les conditions de travail et de déplacement des
      agents en situation de handicap (rampe d'accès, transport adapté, …).


4) Améliorer l'accessibilité de nos locaux et faciliter les déplacements des agents en
situation de handicap dans le cadre de leurs missions
    • Amélioration de l'accès aux locaux pour les agents en situation de handicap ;
    • Recensement des structures d'accueil accessibles afin de faciliter les missions et déplacement
       des agents (hôtels, lieux de séminaire…) ;
    • Sensibilisation à la question de l'accessibilité des acteurs en charge des locaux d'Inria et de
       l'organisation d'événements ;
    • Audit des locaux Inria sur la question de l'accessibilité, afin de réaliser un programme de travaux
       pour améliorer l'accessibilité des locaux.

Il est à noter que la politique handicap lancée au 1er septembre 2011 montre ses premiers résultats dès
le 1er trimestre 2012 :
      • Des évènements autour du handicap ont été mis en place dans les centres,
      • Quelques travaux d'accessibilité et dispositifs de maintien dans l'emploi ont été réalisés sur les
          centres,
      • on recense 3 agents bénéficiant de l'obligation d'emploi supplémentaires sur le 1er trimestre
          2012



                                                                                                             81
                                Bilan social INRIA 2010
82

     Bilan social INRIA 2011
9- GLOSSAIRE




               Le glossaire définit quelques termes parfois
               spécifiques à Inria qui méritent une explication.




                                                                   83
                              Bilan social INRIA 2011
9 - GLOSSAIRE
     TYPES DE CONTRATS


     Les ingénieurs experts sont des ingénieurs diplômés, collaborateurs temporaires, qualifiés, recrutés
     pour faire face à une activité générée par un contrat de recherche

     Les ingénieurs jeunes diplômés sont de jeunes diplômés de niveau bac+5 ne se destinant pas à une
     carrière de recherche, pour lesquels le séjour à Inria fera à la fois fonction de complément de formation
     et de première expérience professionnelle.

     Les spécialistes sont plutôt des seniors, d'origine académique ou industrielle, français ou étrangers,
     experts en informatique ou mathématiques appliquées ou dans d'autres domaines scientifiques ou
     technologiques connexes avec lesquels interagissent les équipes d’Inria.

     Les Ingénieurs transfert et innovation sont recrutés pour mettre en œuvre ou accompagner les
     projets de transfert technologique de l'institut. Ils interviennent notamment dans la phase de
     maturation des projets de transfert issus de travaux de recherche, que cette maturation soit
     technologique et/ou économique.

     Les agents en contrat d'emploi temporaire (ACET) sont recrutés pour faire face à un surcroît
     occasionnel d'activité ou au remplacement d'un salarié absent. Leur contrat de travail est de 10 mois
     maximum non renouvelable.

     Les « CDD sur poste » sont des agents qui remplissent des fonctions pour lesquelles le recrutement de
     fonctionnaires n'est pas pertinent.

     Les doctorants effectuent des Étude doctorants 2010 :
     travaux de recherche pour http://intranet.inria.fr/drh/bibliotheque/etudes/doctorants2010.pdf
     préparer une thèse d'université
     sous la direction d'un chercheur attaché à l'institut. Inria est le laboratoire d'accueil de ce projet doctoral.
     La durée de la thèse est de 3 ans.
     Depuis juin 2005, les CORDI ont remplacé les bourses doctorales. Ainsi, les doctorants bénéficient à
     Inria d'un véritable contrat de travail à durée déterminée, d'une protection sociale et d'une rémunération.
     L'institut a souhaité en effet mettre fin aux « bourses » jugées précaires et non adaptées à la situation
     professionnelle des doctorants. On distingue désormais les CORDI sur subvention (CORDI-S) et les CORDI
     sur ressources contractuelles (CORDI-C).

     Les post-doctorants complètent, prolongent ou élargissent leurs travaux de recherche au sein d'une
     des équipes d’Inria, à l'issue de leur soutenance de thèse. On distingue les post-doctorants sur
     subventions des post-doctorants sur ressources contractuelles.

     Le PACTE ou Parcours d'Accès aux Carrières de la Fonction Publique Territoriale Hospitalière et d'État,
     est un nouveau mode de recrutement réservé aux catégories C. Depuis 2006, il permet de recruter un
     jeune entre 16 et 26 ans sur un contrat d'un à deux ans alternant formation et stage, avec une
     possibilité d'intégration dans la fonction publique à l'issue d'une vérification d'aptitude.

     Les CDD Handicap désignent la voie contractuelle spécifiquement destinée aux travailleurs
     handicapés. Ils permettent au bout d'un an et après titularisation, d'accéder au statut de fonctionnaire.




84
                                      Bilan social INRIA 2011
PARITE

L'avantage masculin
Dans un concours, l'avantage masculin se mesure par la proportion relative d'hommes recrutés parmi
les hommes candidats, rapportée à la proportion de femmes recrutées parmi les femmes candidates.
Au-delà de 1, le rapport correspond à un avantage masculin. En deçà, on parle d'avantage féminin.


CARRIERE

Evolution à l'ancienneté
La durée moyenne passée dans chaque échelon varie suivant les corps. L'intervalle entre les deux
échelons, généralement d'un an et demi en début de carrière, se situe ensuite à deux ans ou deux
ans et demi, pour atteindre trois ou quatre ans en fin de carrière


Concours internes
Le concours interne est une démarche active qui permet de changer de corps. Plus encore que la
promotion au choix, il a pour objectif de faire reconnaître et de valoriser l'expérience et/ou le
potentiel de l'agent en lui permettant d'argumenter lui-même son parcours professionnel et ses
choix de carrière.
Lorsqu'il est ouvert sur un poste déterminé, il permet à un fonctionnaire d'associer mobilité et
promotion.
Pour pouvoir se porter candidat à un concours interne, il faut répondre aux conditions d'activité et
d'ancienneté demandées.


Promotion au choix ou avancement accéléré
ITA : Les responsables hiérarchiques proposent l'avancement d'un membre de leur équipe au moment
de l'appréciation annuelle. La promotion au choix est validée après avis de la commission
administrative paritaire et sur décision du Président.

Chercheurs : L'avancement des chercheurs (chargés de recherche et directeurs de recherche)
comprend l'avancement d'échelon et l'avancement de grade. Les avancements aux grades de CR1,
DR1 et DR0 ont lieu exclusivement au choix. Ils sont décidés par le Président de l'Institut après avis
de la commission d'évaluation.


Sélection professionnelle
Les statuts particuliers des corps des IR et TR prévoient, sous réserve de conditions d'échelon et
d'ancienneté, la possibilité d'accéder au grade terminal de chacun de ces corps par la voie d'un
examen professionnel de sélection.

Cette procédure, différente de la procédure du concours, combine le dispositif de l'examen et l'avis
des Commissions Administratives Paritaires (CAP) pour le classement sur un tableau d'avancement.




                                                                                                         85
                                   Bilan social INRIA 2011
MOBILITE

     Mobilité interne

     • Mobilité géographique
          Il s'agit d'un changement de lieu de travail. Dans ce bilan, sont comptabilisées Les mobilités
          inter-centres y compris entre le siège et le centre Paris-Rocquencourt.

     • Mobilité fonctionnelle
          Il s'agit de changements de lignes fonctionnelles (regroupement de services par domaine
          d'activités). Les changements de fonction ou de métier au sein d'une même ligne
          fonctionnelle ne sont pas comptabilisés - sauf prises de responsabilités.

     • Mobilité thématique
          Ce sont les changements de thème de recherche, liés donc nécessairement à un changement
          de projet (condition nécessaire mais pas suffisante).

     Mobilité externe

     • Mobilité externe entrante
          Il s'agit des agents accueillis chez Inria, quelle que soit leur position administrative :
          détachement, mise à disposition, ou encore délégation.

     • Mobilité externe sortante
          Il s'agit des agents Inria travaillant temporairement en dehors de l'Institut.
          Les mobilités externes sortantes ne donnant pas lieu à activité professionnelle (convenances
          personnelles par exemple) en sont exclues.


     Les positions statutaires

     • La disponibilité
             - Lien faible avec Inria.
             - Librement rémunéré par l'organisme d'accueil.
             - Suspension des droits à avancement et à la retraite chez Inria.
             - Droit à la réintégration.
             - Obligation de respecter la règle du cumul et de la déontologie.

     • Le détachement
             - Lien intermédiaire avec Inria.
             - Rémunéré par l'organisme d'accueil, principe de la «double carrière» Inria et
     organisme d'accueil.

     • La mise à disposition
             - Lien fort avec Inria.
             - Projet d'intérêt majeur pour Inria, qui rémunère l'agent.
             - Droits à l'avancement et à la retraite conservés.
             - Le programme «sabbatique» rentre dans ce cadre.

     • La délégation
     La procédure de délégation permet à des enseignants-chercheurs universitaires d'être, pendant une
     période limitée, déchargés de leur service d'enseignement et mis à disposition d'un établissement
     scientifique pour se consacrer à des activités de recherche.



86
                                         Bilan social INRIA 2011
RETRAITES

Pension de réversion
En cas de décès du fonctionnaire en activité ou en retraite, les ayants droit, c'est-à-dire le conjoint
survivant ou un ancien conjoint divorcé mais non remarié et les orphelins, ont droit à une pension de
réversion, sous certaines conditions.


Les pères et mères de 3 enfants
Les pères ou mères de 3 enfants qui ont cumulé au moins 15 ans de service, peuvent toucher leur
pension, sans avoir atteint l'âge de 60 ans.



HANDICAP

La notion de travailleur handicapé
La loi du 11 février 2005 pour l'égalité des droits et des chances, la participation et la citoyenneté
des personnes handicapées définit le handicap comme : « toute limitation d'activité ou restriction
de participation à la vie en société subie dans un environnement par une personne en raison d'une
altération substantielle, durable ou définitive d'une ou plusieurs fonctions physiques, sensorielles,
mentales, cognitives ou psychiques, d'un polyhandicap ou d'un trouble invalidant ».




                                                                                                          87
                                    Bilan social INRIA 2011
ANNEXE :
       Répartition des personnels par nationalité
       Effectifs réels au 31 décembre 2011



                                 Personnels sur     Personnels sur
                                                                                               % actvité de   % fonctions
                                   activité de      activité d'appui        Total                                           % Total
                                                                                                recherche      support
                                   recherche         à la recherche


     France                            1263               704               1967                    64,50%     95,91%       73,07%
     Europe hors France                295                 14                309                    15,07%      1,91%       11,48%
                     italienne          64                  6                 70                    3,27%       0,82%       2,60%
                   allemande            43                  2                 45                    2,20%       0,27%       1,67%
                    roumaine            36                  0                 36                    1,84%       0,00%       1,34%
                        russe           23                  0                 23                    1,17%       0,00%       0,85%
                    espagnole           20                  0                 20                    1,02%       0,00%       0,74%
                        belge           14                  2                 16                    0,72%       0,27%       0,59%
                    polonaise           16                  0                 16                    0,82%       0,00%       0,59%
                      anglaise          16                  0                 16                    0,82%       0,00%       0,59%
                      grecque           12                  1                 13                    0,61%       0,14%       0,48%
                   portugaise            6                  3                 9                     0,31%       0,41%       0,33%
                 néerlandaise            5                  0                 5                     0,26%       0,00%       0,19%
                        serbe            5                  0                 5                     0,26%       0,00%       0,19%
                    irlandaise           5                  0                 5                     0,26%       0,00%       0,19%
                     suédoise            4                  0                 4                     0,20%       0,00%       0,15%
                       turque            4                  0                 4                     0,20%       0,00%       0,15%
                       croate            3                  0                 3                     0,15%       0,00%       0,11%
                     slovaque            3                  0                 3                     0,15%       0,00%       0,11%
                macédonienne             3                  0                 3                     0,15%       0,00%       0,11%
                      tchèque            2                  0                 2                     0,10%       0,00%       0,07%
                  ukrainienne            2                  0                 2                     0,10%       0,00%       0,07%
              luxembourgeoise            1                  0                 1                     0,05%       0,00%       0,04%
                        suisse           1                  0                 1                     0,05%       0,00%       0,04%
                    hongroise            1                  0                 1                     0,05%       0,00%       0,04%
                    albanaise            1                  0                 1                     0,05%       0,00%       0,04%
                  autrichienne           1                  0                 1                     0,05%       0,00%       0,04%
                  arménienne             1                  0                 1                     0,05%       0,00%       0,04%
                    islandaise           1                  0                 1                     0,05%       0,00%       0,04%
                     moldave             1                  0                 1                     0,05%       0,00%       0,04%
                      slovène            1                  0                 1                     0,05%       0,00%       0,04%
     Amérique                          109                  3                112                    5,57%       0,41%       4,16%
                   brésilienne          25                  0                 25                    1,28%       0,00%       0,93%
                   américaine           17                  1                 18                    0,87%       0,14%       0,67%
                    mexicaine           15                  0                 15                    0,77%       0,00%       0,56%
                    argentine           14                  0                 14                    0,72%       0,00%       0,52%
                 colombienne            13                  1                 14                    0,66%       0,14%       0,52%
                   canadienne            9                  1                 10                    0,46%       0,14%       0,37%
                     chilienne           5                  0                 5                     0,26%       0,00%       0,19%
                 urugyayenne             4                  0                 4                     0,20%       0,00%       0,15%
                    bolivienne           2                  0                 2                     0,10%       0,00%       0,07%
                   péruvienne            1                  0                 1                     0,05%       0,00%       0,04%
                  costaricaine           1                  0                 1                     0,05%       0,00%       0,04%
                vénézuélienne            1                  0                 1                     0,05%       0,00%       0,04%
                      cubaine            1                  0                 1                     0,05%       0,00%       0,04%
                guatémaltèque            1                  0                 1                     0,05%       0,00%       0,04%


                                 Personnels sur activité de recherche : personnels sur agrégat 1
                                 Personnels des fonctions support : personnels sur agrégat 2 et 3




88
                                               Bilan social INRIA 2011
ANNEXE :
Répartition des personnels par nationalité
Effectifs réels au 31 décembre 2011



                             Personnels sur     Personnels sur
                                                                                           % actvité de   % fonctions
                               activité de      activité d'appui        Total                                            %
                                                                                            recherche      support
                               recherche         à la recherche
Afrique / Moyen Orient             143                 12                155                    7,30%       1,63%       5,76%
             tunisienne             50                  0                 50                    2,55%       0,00%       1,86%
             algérienne             22                  2                 24                    1,12%       0,27%       0,89%
                 libanaise          15                  0                 15                    0,77%       0,00%       0,56%
              iranienne             11                  0                 11                    0,56%       0,00%       0,41%
             marocaine              10                  1                 11                    0,51%       0,14%       0,41%
          camerounaise               6                  4                 10                    0,31%       0,54%       0,37%
            sénégalaise              7                  1                 8                     0,36%       0,14%       0,30%
             nigérienne              3                  0                 3                     0,15%       0,00%       0,11%
              béninoise              2                  0                 2                     0,10%       0,00%       0,07%
                 togolaise           2                  0                 2                     0,10%       0,00%       0,07%
                 syrienne            2                  0                 2                     0,10%       0,00%       0,07%
            éthiopienne              2                  0                 2                     0,10%       0,00%       0,07%
            israélienne              2                  0                 2                     0,10%       0,00%       0,07%
              malgache               2                  0                 2                     0,10%       0,00%       0,07%
             ivoirienne              0                  2                 2                     0,00%       0,27%       0,07%
             gabonaise               0                  1                 1                     0,00%       0,14%       0,04%
            égyptienne               1                  0                 1                     0,05%       0,00%       0,04%
             congolaise              1                  0                 1                     0,05%       0,00%       0,04%
           mauricienne               1                  0                 1                     0,05%       0,00%       0,04%
          centrafricaine             1                  0                 1                     0,05%       0,00%       0,04%
         mauritanienne               1                  0                 1                     0,05%       0,00%       0,04%
                 malienne            1                  0                 1                     0,05%       0,00%       0,04%
           djiboutienne              0                  1                 1                     0,00%       0,14%       0,04%
          palestinienne              1                  0                 1                     0,05%       0,00%       0,04%
Asie / Océanie                     148                  1                149                    7,56%       0,14%       5,53%
                 indienne           47                  0                 47                    2,40%       0,00%       1,75%
                 chinoise           46                  0                 46                    2,35%       0,00%       1,71%
          vietnamienne              23                  1                 24                    1,17%       0,14%       0,89%
           pakistanaise              8                  0                 8                     0,41%       0,00%       0,30%
              japonaise              5                  0                 5                     0,26%       0,00%       0,19%
          sud-coréenne               4                  0                 4                     0,20%       0,00%       0,15%
           australienne              4                  0                 4                     0,20%       0,00%       0,15%
         néo-zélandaise              3                  0                 3                     0,15%       0,00%       0,11%
          indonésienne               2                  0                 2                     0,10%       0,00%       0,07%
            sri-lankaise             2                  0                 2                     0,10%       0,00%       0,07%
           bangladaise               1                  0                 1                     0,05%       0,00%       0,04%
             taïlandaise             1                  0                 1                     0,05%       0,00%       0,04%
             taïwanaise              1                  0                 1                     0,05%       0,00%       0,04%
                  kazakh             1                  0                 1                     0,05%       0,00%       0,04%
TOTAL                              1958               734               2692                    100%        100%        100%


                             Personnels sur activité de recherche : personnels sur agrégat 1
                             Personnels des fonctions support : personnels sur agrégat 2 et 3




                                                                                                                                89
                                                   Bilan social INRIA 2011
Inria - Bilan social 2011

Inria - Bilan social 2011

  • 1.
    Bilan social 2011 directiondes ressources humaines
  • 3.
    Table des matières 1-LES EMPLOIS . . . . . . . . . . . . . . . . . . . . . . . . . . . . . . . . . . . . . . . . . . . . . . . . . . . . . . . . . . . . . . . . . . . . . . . . . . . . . . . . . . . . . . . . . . . . . . . . . . . . . . 3 1.1 - Evolution des emplois budgétaires par grade . . . . . . . . . . . . . . . . . . . . . . . . . . . . . . . . . . . . . . . . . . . . . . . . . . . . . . . . 4 1.2 - Evolution des emplois budgétaires par filière . . . . . . . . . . . . . . . . . . . . . . . . . . . . . . . . . . . . . . . . . . . . . . . . . . . . . . . . 4 2- LES PERSONNELS RÉMUNÉRÉS D’INRIA . . . . . . . . . . . . . . . . . . . . . . . . . . . . . . . . . . . . . . . . . . . . . . . . . . . . . . . . . . . . . . . . . . . . . . . . . . . . . 5 2.1 - Les effectifs réels . . . . . . . . . . . . . . . . . . . . . . . . . . . . . . . . . . . . . . . . . . . . . . . . . . . . . . . . . . . . . . . . . . . . . . . . . . . . . . . . . 6 2.1.1 - Les personnels sur support d'emploi chercheurs, ITA et postes fonctionnels . . . . . . . . . . . . . . . . . . 6 2.1.2 - Les personnels non permanents rémunérés par Inria au 31 décembre . . . . . . . . . . . . . . . . . . . . . . . . 10 2.1.3 - Total des effectifs réels (permanents et non permanents) au 31 décembre . . . . . . . . . . . . . . . . . . . 11 2.2 - Répartition des personnels permanents . . . . . . . . . . . . . . . . . . . . . . . . . . . . . . . . . . . . . . . . . . . . . . . . . . . . . . . . . . . . . . . 12 2.2.1 - Répartition par catégorie . . . . . . . . . . . . . . . . . . . . . . . . . . . . . . . . . . . . . . . . . . . . . . . . . . . . . . . . . . . . . . . . . . 12 2.2.2 - Répartition par âge . . . . . . . . . . . . . . . . . . . . . . . . . . . . . . . . . . . . . . . . . . . . . . . . . . . . . . . . . . . . . . . . . . . . . . . 14 2.2.3 - Répartition par entité . . . . . . . . . . . . . . . . . . . . . . . . . . . . . . . . . . . . . . . . . . . . . . . . . . . . . . . . . . . . . . . . . . . . . 17 2.3 - Les personnels non permanents rémunérés par Inria . . . . . . . . . . . . . . . . . . . . . . . . . . . . . . . . . . . . . . . . . . . . . . . . . . . 19 2.4 - Répartition des personnels par agrégat du cadre budgétaire . . . . . . . . . . . . . . . . . . . . . . . . . . . . . . . . . . . . . . . . . . . 23 2.5 - La parité . . . . . . . . . . . . . . . . . . . . . . . . . . . . . . . . . . . . . . . . . . . . . . . . . . . . . . . . . . . . . . . . . . . . . . . . . . . . . . . . . . . . . . . . . . . 26 2.5.1 - Les personnels permanents . . . . . . . . . . . . . . . . . . . . . . . . . . . . . . . . . . . . . . . . . . . . . . . . . . . . . . . . . . . . . . . . 26 2.5.2 - Les personnels non permanents . . . . . . . . . . . . . . . . . . . . . . . . . . . . . . . . . . . . . . . . . . . . . . . . . . . . . . . . . . . 29 2.5.3 - Répartition par domaine d'activité . . . . . . . . . . . . . . . . . . . . . . . . . . . . . . . . . . . . . . . . . . . . . . . . . . . . . . . . . 30 2.5.4 - Pyramides des âges par genre . . . . . . . . . . . . . . . . . . . . . . . . . . . . . . . . . . . . . . . . . . . . . . . . . . . . . . . . . . . . . 31 3- LES MOUVEMENTS DE PERSONNEL . . . . . . . . . . . . . . . . . . . . . . . . . . . . . . . . . . . . . . . . . . . . . . . . . . . . . . . . . . . . . . . . . . . . . . . . . . . . . . . . . . 33 3.1 - Les concours chercheurs . . . . . . . . . . . . . . . . . . . . . . . . . . . . . . . . . . . . . . . . . . . . . . . . . . . . . . . . . . . . . . . . . . . . . . . . . . . . 34 3.2 - Les concours ITA . . . . . . . . . . . . . . . . . . . . . . . . . . . . . . . . . . . . . . . . . . . . . . . . . . . . . . . . . . . . . . . . . . . . . . . . . . . . . . . . . . . . 37 3.3 - Les promotions . . . . . . . . . . . . . . . . . . . . . . . . . . . . . . . . . . . . . . . . . . . . . . . . . . . . . . . . . . . . . . . . . . . . . . . . . . . . . . . . . . . . . . 39 3.4 - La mobilité interne . . . . . . . . . . . . . . . . . . . . . . . . . . . . . . . . . . . . . . . . . . . . . . . . . . . . . . . . . . . . . . . . . . . . . . . . . . . . . . . . . . 43 3.5 - La mobilité externe . . . . . . . . . . . . . . . . . . . . . . . . . . . . . . . . . . . . . . . . . . . . . . . . . . . . . . . . . . . . . . . . . . . . . . . . . . . . . . . . . . 43 3.6 - Les départs à la retraite . . . . . . . . . . . . . . . . . . . . . . . . . . . . . . . . . . . . . . . . . . . . . . . . . . . . . . . . . . . . . . . . . . . . . . . . . . . . . . 46 4- LES REMUNERATIONS . . . . . . . . . . . . . . . . . . . . . . . . . . . . . . . . . . . . . . . . . . . . . . . . . . . . . . . . . . . . . . . . . . . . . . . . . . . . . . . . . . . . . . . . . . . . . 49 4.1 - La masse salariale et les traitements . . . . . . . . . . . . . . . . . . . . . . . . . . . . . . . . . . . . . . . . . . . . . . . . . . . . . . . . . . . . . . . 50 4.2 - La répartition des primes . . . . . . . . . . . . . . . . . . . . . . . . . . . . . . . . . . . . . . . . . . . . . . . . . . . . . . . . . . . . . . . . . . . . . . . . . . . . 51 4.3 - Structure de rémunérations des personnels permanents et non permanents . . . . . . . . . . . . . . . . . . . . . . . . . . . . 53 4.4 - Les cotisations patronales . . . . . . . . . . . . . . . . . . . . . . . . . . . . . . . . . . . . . . . . . . . . . . . . . . . . . . . . . . . . . . . . . . . . . . . . . . . 53 4.5 - Les remboursements de transports . . . . . . . . . . . . . . . . . . . . . . . . . . . . . . . . . . . . . . . . . . . . . . . . . . . . . . . . . . . . . . . . . . 54 5- LES CONDITIONS DE TRAVAIL . . . . . . . . . . . . . . . . . . . . . . . . . . . . . . . . . . . . . . . . . . . . . . . . . . . . . . . . . . . . . . . . . . . . . . . . . . . . . . . . . . . . . . . 55 5.1 - Le temps de travail des personnels permanents . . . . . . . . . . . . . . . . . . . . . . . . . . . . . . . . . . . . . . . . . . . . . . . . . . . . . . 56 5.2 - Les congés maternité, paternité et maladie . . . . . . . . . . . . . . . . . . . . . . . . . . . . . . . . . . . . . . . . . . . . . . . . . . . . . . . . . . 57 5.3 - Les accidents du travail . . . . . . . . . . . . . . . . . . . . . . . . . . . . . . . . . . . . . . . . . . . . . . . . . . . . . . . . . . . . . . . . . . . . . . . . . . . . 57 6- LA FORMATION PERMANENTE . . . . . . . . . . . . . . . . . . . . . . . . . . . . . . . . . . . . . . . . . . . . . . . . . . . . . . . . . . . . . . . . . . . . . . . . . . . . . . . . . . . . . . . 59 6.1 - Formation permanente : données globales . . . . . . . . . . . . . . . . . . . . . . . . . . . . . . . . . . . . . . . . . . . . . . . . . . . . . . . . . . . 61 6.1.1 - Nombre d'agents formés . . . . . . . . . . . . . . . . . . . . . . . . . . . . . . . . . . . . . . . . . . . . . . . . . . . . . . . . . . . . . . . . . . . . . 61 6.1.2 - Nombre de départs en formation réalisés . . . . . . . . . . . . . . . . . . . . . . . . . . . . . . . . . . . . . . . . . . . . . . . . . . . . . . 61 6.1.3 - Population formée . . . . . . . . . . . . . . . . . . . . . . . . . . . . . . . . . . . . . . . . . . . . . . . . . . . . . . . . . . . . . . . . . . . . . . . . . . . 62 6.1.4 - Accès à la formation . . . . . . . . . . . . . . . . . . . . . . . . . . . . . . . . . . . . . . . . . . . . . . . . . . . . . . . . . . . . . . . . . . . . . . . . . 63 6.1.5 - Zoom sur la catégorie C . . . . . . . . . . . . . . . . . . . . . . . . . . . . . . . . . . . . . . . . . . . . . . . . . . . . . . . . . . . . . . . . . . . . . . 64 6.2 - Plan transverse 2011 réalisé . . . . . . . . . . . . . . . . . . . . . . . . . . . . . . . . . . . . . . . . . . . . . . . . . . . . . . . . . . . . . . . . . . . . . . . 65 7- LE DEVELOPPEMENT SOCIAL ET LES RELATIONS PROFESSIONNELLES . . . . . . . . . . . . . . . . . . . . . . . . . . . . . . . . . . . . . . . . . . . . . . . . . . . 69 7.1 - Action sociale . . . . . . . . . . . . . . . . . . . . . . . . . . . . . . . . . . . . . . . . . . . . . . . . . . . . . . . . . . . . . . . . . . . . . . . . . . . . . . . . . . . . . 70 7.2 - Hygiène et Sécurité . . . . . . . . . . . . . . . . . . . . . . . . . . . . . . . . . . . . . . . . . . . . . . . . . . . . . . . . . . . . . . . . . . . . . . . . . . . . . . . . 70 7.3 - Instances et dialogue social . . . . . . . . . . . . . . . . . . . . . . . . . . . . . . . . . . . . . . . . . . . . . . . . . . . . . . . . . . . . . . . . . . . . . . . . 71 8- POLITIQUE HANDICAP . . . . . . . . . . . . . . . . . . . . . . . . . . . . . . . . . . . . . . . . . . . . . . . . . . . . . . . . . . . . . . . . . . . . . . . . . . . . . . . . . . . . . . . . . . . . . . 79 9- GLOSSAIRE . . . . . . . . . . . . . . . . . . . . . . . . . . . . . . . . . . . . . . . . . . . . . . . . . . . . . . . . . . . . . . . . . . . . . . . . . . . . . . . . . . . . . . . . . . . . . . . . . . 83 10- ANNEXE . . . . . . . . . . . . . . . . . . . . . . . . . . . . . . . . . . . . . . . . . . . . . . . . . . . . . . . . . . . . . . . . . . . . . . . . . . . . . . . . . . . . . . . . . . . . . . . . . . 88 1 Bilan social INRIA 2011
  • 4.
    2 Bilan social INRIA 2011
  • 5.
    1- LES EMPLOIS 1.1 - Evolution des emplois budgétaires par grade 1.2 - Evolution des emplois budgétaires par filière Ce chapitre présente l'évolution des emplois budgétaires de l'institut, sur 10 ans. En 2011 Inria n'a pas bénéficié d'emplois supplémentaires. 3 Bilan social INRIA 2011
  • 6.
    LES EMPLOIS Les emplois budgétaires (1) 2002 2003 2004 2005 2006 2007 2008 2009 2010 2011 Chercheurs 456 468 468 468 520 570 590 605 619 619 ITA 536 563 563 563 651 741 776 796 812 812 Total 992 1031 1031 1031 1171 1311 1366 1401 1431 1431 (1) Les supports d'emplois correspondent à un plafond défini par le ministère. Pour rappel, depuis la mise en place du Nouveau Cadre Budgétaire et Comptable (NCBC), la Subvention pour Charge de Service Public ne dote plus Inria en emplois mais en ETPT (Equivalent Temps Plein Travaillé) et en masse salariale. 1.2 - Evolution des emplois budgétaires par filière Evolution des emplois budgétaires sur 10 ans Le plafond d'emplois attribués par le ministère se stabilise en 2011 avec un total de 1431 postes. 4 Bilan social INRIA 2011
  • 7.
    2- LES PERSONNELSD’INRIA 2.1 - Les effectifs réels* 2.1.1 - Les personnels sur supports d'emploi chercheurs, ITA et postes fonctionnels 2.1.2 - Les personnels non permanents rémunérés par Inria au 31 décembre 2.1.3 - Total des effectifs réels (permanents et non permanents) au 31 décembre 2.2 - Répartition des personnels permanents 2.2.1 - Répartition par catégorie 2.2.2 - Répartition par âge 2.2.3 - Répartition par entité 2.3 - Les personnels non permanents rémunérés par Inria 2.4 - Répartition des personnels par agrégat du cadre budgétaire 2.5 - La parité 2.5.1 - Les personnels permanents 2.5.2 - Les personnels non permanents 2.5.3 - Répartition par domaine d'activité Ce chapitre présente une répartition des personnels rémunérés par Inria selon leur catégorie, leur âge, leur affectation, leur domaine d'activité et leur genre. * L'effectif réel est le nombre d'agents rémunérés par Inria. Il peut être exprimé en personnes physiques au 31 décembre de l'année ou en Équivalent Temps Plein Travaillés (ETPT) sur l'année. L'ETPT permet de comptabiliser le nombre d'agent à proportion de leur période de présence et de leur quotité de travail. 5 Bilan social INRIA 2011
  • 8.
    LES PERSONNELS RÉMUNÉRÉSD’INRIA 2.1 - Les effectifs réels Les personnels sur emploi chercheurs, ITA et postes fonctionnels au 31 décembre 2.1.1 - Les personnels sur support d'emploi chercheurs, ITA et postes fonctionnels (personnels permanents) Personnels au 31 décembre 2011 EFFECTIFS dont titulaires dont détachés dont dét. sur dont dont Grades TOTAL Inria sur poste contrat CDI CDD Chercheurs 580 545 2 26 1 6 DR0 19 17 1 1 DR1 79 73 5 1 DR2 149 131 15 3 CR1 289 286 1 1 1 CR2 44 38 4 2 ITA 767 633 35 6 12 81 Ingénieurs 541 426 24 6 10 75 IR0 9 8 1 IR1 55 48 6 1 IR2 132 95 6 5 6 20 IE0 5 5 IE1 23 22 1 IE2 150 106 6 2 36 AI 167 142 5 1 19 Techniciens 223 207 8 2 6 TRE 21 19 2 TRS 32 31 1 TRN 152 141 4 2 5 AJTP1 9 9 AJTP2 9 7 1 1 Administratifs 3 3 Postes Fonctionnels 3 3 AAR SARE Total général 1347 1178 37 32 13 87 ITA : Ingénieurs Techniciens et Administratifs 6 Bilan social INRIA 2011
  • 9.
    LES PERSONNELS RÉMUNÉRÉSD’INRIA Rappel 2010 : Personnel au 31 décembre 2010 EFFECTIFS dont titulaires dont détachés dont dét. sur dont dont Grades TOTAL Inria sur poste contrat CDI CDD Chercheurs 597 553 5 33 6 DR0 19 16 2 1 DR1 70 61 3 6 DR2 160 140 17 3 CR1 255 251 3 1 CR2 93 85 6 2 ITA 777 660 34 10 10 63 Ingénieurs 530 427 23 9 8 63 IR0 9 8 1 IR1 54 45 7 2 IR2 135 100 4 7 4 20 IE0 7 6 1 IE1 22 18 3 1 IE2 152 117 3 2 30 AI 151 133 5 1 12 Techniciens 243 232 9 2 TRE 23 22 1 TRS 32 28 4 TRN 165 160 3 2 AJTP1 11 11 AJTP2 12 11 1 Administratifs 4 1 2 1 Postes Fonctionnels 3 2 1 AAR 1 1 SARE Total général 1374 1213 39 43 10 69 NB : contrairement à 2010, les promotions chercheurs avec nomination rétroactive au 1er janvier ont été pris en compte pour l'année 2011. D'où un décalage notamment sur les effectifs CR2 entre les 2 années. 7 Bilan social INRIA 2011
  • 10.
    LES PERSONNELS RÉMUNÉRÉSDE L’INRIA 2.1.1 - Les personnels sur support d'emploi chercheurs, ITA et postes fonctionnels Personnel en ETPT (Equivalent Temps Plein Travaillé) sur l'année 2011 EFFECTIFS dont titulaires dont détachés dont dét. sur dont dont Grades TOTAL Inria sur poste Inria contrat Inria CDI CDD Chercheurs 586,8 547,1 3,5 28,4 0,3 7,5 DR0 20,4 17,8 1,7 1,0 DR1 80,6 74,5 0,3 5,5 0,3 DR2 141,6 123,9 14,7 3,0 CR1 294,2 289,3 1,0 2,3 0,3 1,3 CR2 49,9 41,6 0,6 5,0 2,8 ITA 746,5 620,3 33,7 6,7 9,9 76,0 Ingénieurs 521,8 411,4 22,6 6,7 7,9 73,2 IR0 9,7 8,7 1,0 IR1 57,1 49,0 7,1 1,0 IR2 126,4 91,4 5,1 5,7 3,9 20,4 IE0 5,9 5,2 0,7 IE1 24,7 22,4 1,5 0,8 IE2 143,2 103,2 4,1 2,0 33,9 AI 154,9 131,5 4,3 1,0 18,1 Techniciens 221,3 208,2 8,4 2,0 2,7 TRE 25,4 23,4 2,0 TRS 32,8 30,7 2,2 TRN 145,4 137,5 3,2 2,0 2,7 AJTP1 9,5 9,5 AJTP2 8,2 7,2 1,0 0,1 Administratifs 3,3 0,7 2,7 Postes Fonctionnels 2,7 2,7 AAR 0,7 0,7 SARE Total général 1333,3 1167,3 37,2 35,1 10,3 83,4 8 Bilan social INRIA 2011
  • 11.
    LES PERSONNELS RÉMUNÉRÉSD’INRIA Rappel 2010 : Personnel en ETPT (Equivalent Temps Plein Travaillé) en 2010 EFFECTIFS dont titulaires dont détachés dont détachés dont dont Grades TOTAL INRIA sur poste Inria sur contrat Inria CDI CDD Chercheurs 581,5 535,5 6,2 35,2 0,8 3,8 DR0 19,0 16,0 2,0 1,0 DR1 74,0 62,3 3,5 7,3 0,8 DR2 146,1 127,2 18,0 0,8 CR1 264,6 258,7 0,7 4,2 1,0 CR2 77,9 71,2 4,7 2,0 ITA 751,3 622,8 37,0 10,5 9,4 71,5 Ingénieurs 510,7 401,1 26,2 9,1 7,4 66,9 IR0 9,2 8,2 1,0 IR1 55,5 46,5 6,3 2,7 IR2 128,6 92,7 3,9 6,4 4,0 21,5 IE0 7,9 6,9 1,0 IE1 24,8 19,1 4,6 1,0 IE2 148,1 110,6 5,5 2,1 29,9 AI 136,6 117,0 4,9 0,3 14,4 Techniciens 235,8 219,9 8,9 0,4 2,0 4,6 TRE 25,2 24,2 1,0 TRS 32,6 29,5 3,2 TRN 153,6 142,8 3,8 0,4 2,0 4,6 AJTP1 10,4 10,4 AJTP2 13,9 13,0 0,9 Administratifs 4,8 1,8 2,0 1,0 Postes Fonctionnels 3,0 2,0 1,0 AAR 1,0 1,0 SARE 0,8 0,8 Total général 1332,7 1158,3 43,2 45,7 10,3 75,3 Les effectifs permanents sont restés stables en moyenne sur l'année. Ils sont en baisse de 2% en revanche entre le 31 décembre 2010 et le 31 décembre 2011. 9 Bilan social INRIA 2011
  • 12.
    LES PERSONNELS RÉMUNÉRÉSD’INRIA 2.1.2 - Les personnels non permanents rémunérés par Inria Effectifs réels au 31 décembre 2010 2011 Effectifs % Effectifs % Jeunes chercheurs 731 48,8% 702 52,2% Doctorants 545 36,7% 513 38,1% CORDI-S sur subvention 108 7,3% 103 7,7% CORDI-C sur ressources contractuelles 392 23,7% 395 29,4% Doctorants complémentés Inria 13 2,7% 1 0,1% Doctorants Inria via EGIDE* 10 0,7% 7 0,5% Doctorants complémentés via EGIDE* 22 2,2% 7 0,5% Post-doctorants 186 12,1% 189 14,1% Post-doctorants sur subvention 63 5,4% 71 5,3% Post-doctorants sur ressources contractuelles 123 6,8% 118 8,8% Ingénieurs contractuels 444 31,7% 439 32,6% Ingénieurs experts 313 22,8% 294 21,9% Ingénieurs jeunes diplômés 98 7,5% 98 7,3% Ingénieurs spécialistes 11 0,9% 9 0,7% Ingénieurs Transfert et Innovation 15 0,5% 22 1,6% Ingénieurs Confirmés 7 16 1,2% Délégations d'enseignants-chercheurs* 81 5,1% 86 6,4% CDD sur ressources propres 11 5,6% 24 1,8% Contrats emplois temporaires 70 6,4% 71 5,3% Vacataires 3 0,2% 5 0,4% Apprentis 14 1,1% 13 1,0% Stagiaires 8 1% 5 0% Total général 1362 100% 1345 100% * Les personnels Inria via Egide et les enseignants-chercheurs en délégation ne sont pas directement rémunérés par l'institut. Par convention et comme les années précédentes, ils sont néanmoins pris en compte dans le bilan social. Le nombre de jeunes chercheurs diminue avec notamment une baisse de près de 6% du nombre de doctorants rémunérés par Inria. Le nombre d'ingénieurs contractuels affiche un léger recul de 1%. Globalement, les effectifs non permanents sont en baisse de 1%. 2.1.3 - Total des effectifs réels (permanents et non permanents) au 31 décembre Répartition des effectifs réels permanents et non permanents Répartition des effectifs réels au 31 décembre 2010 2011 Effectifs % Effectifs % Personnel permanent 1374 50,2% 1347 50,0% Personnel non permanent 1362 49,8% 1345 50,0% Total général 2736 100% 2692 100% Tout effectif confondu, le nombre d'agents Inria est en baisse de 1,6% entre le 31 décembre 2010 et le 31 décembre 2011. Les effectifs permanents et non permanents sont pratiquement au même niveau au 31 décembre 2011. 10 Bilan social INRIA 2011
  • 13.
    LES PERSONNELS RÉMUNÉRÉSD’INRIA 2.1.3 - Total des effectifs réels (permanents et non permanents) au 31 décembre Répartition des effectifs par nationalité Répartition par nationalité des effectifs réels au 31 décembre 2011 Afrique / Moyen- France Europe Asie / Océanie Amériques Total Orient Personnel permanent 1219 85 18 10 15 1347 Chercheurs 474 73 11 9 14 581 ITA 745 12 7 1 1 766 Personnel non permanent 748 224 137 139 97 1345 Jeunes chercheurs 276 160 91 110 65 702 Ingénieurs 304 48 34 24 29 439 Délégations d'enseignants-chercheurs 77 6 2 1 86 Contrats emplois temporaires 50 5 9 4 3 71 Autres* 41 5 1 47 Total 1967 309 155 149 112 2692 * Délégations d'enseignants-chercheurs, CDD sur ressources propres, vacataires, apprentis et stagiaires. Les effectifs réels par centre de recherche au 31 décembre 2011 % % Personnel Personnel non TOTAL Total par Personnel non permanent permanent centre permanent Centre de recherche INRIA Bordeaux - Sud Ouest 84 104 188 7,0% 55,3% Centre de recherche INRIA Grenoble - Rhône-Alpes 154 206 360 13,4% 57,2% Centre de recherche INRIA Lille - Nord Europe 70 92 162 6,0% 56,8% Centre de recherche INRIA Nancy - Grand Est 124 124 248 9,2% 50,0% Centre de recherche INRIA Paris - Rocquencourt 208 201 409 15,2% 49,1% Centre de recherche INRIA Rennes - Bretagne Atlantique 149 217 366 13,6% 59,3% Centre de recherche INRIA Saclay - Ile de France 124 136 260 9,7% 52,3% Centre de recherche INRIA Sophia Antipolis - Méditerranée 191 234 425 15,8% 55,1% Siège 243 31 274 10,2% 11,3% TOTAL 1347 1345 2692 100% 50,0% 11 Bilan social INRIA 2011
  • 14.
    LES PERSONNELS RÉMUNÉRÉSD’INRIA 2.2 - Répartition des personnel permanents 2.2.1 - Répartition par catégories Répartition des personnels sur supports budgétaires par corps - effectifs réels en personnes physiques au 31 décembre 2011 (Personnels sur emplois budgétaires, y compris personnels détachés, CDI et CDD) Total Corps Chercheurs 580 DR 247 CR 333 ITA 767 Ingénieurs 541 IR 196 IE 178 AI 167 Techniciens 223 TR 205 AJT 18 Administratifs 3 Postes fonctionnels 3 AAR SAR Total général 1347 Répartition des personnels sur supports budgétaires par grade - effectifs réels en personnes physiques au 31 décembre 2011 (Personnels sur emplois budgétaires, y compris personnels détachés, CDI et CDD) Les chercheurs par corps (580 pers.) 12 Bilan social INRIA 2011
  • 15.
    LES PERSONNELS RÉMUNÉRÉSD’INRIA 2.2 - Répartition des personnel permanents 2.2.1 - Répartition par catégories (suite) Les ingénieurs par corps (541 pers.) Les techniciens par corps (223 pers.) 13 Bilan social INRIA 2011
  • 16.
    LES PERSONNELS RÉMUNÉRÉSD’INRIA 2.2 - Répartition des personnel permanents 2.2.2 - Répartition par âge Répartition des personnels sur emploi chercheurs et ITA par grade et âge - effectifs réels en personnes physiques au 31 décembre 2011 (Personnels sur emplois budgétaires, y compris personnels détachés, CDI et CDD) 18 à 23 24 à 29 30 à 35 36 à 41 42 à 47 48 à 53 54 à 59 60 à 65 Total Chercheurs 12 127 141 106 90 67 39 580 DR0 1 9 9 19 DR1 2 20 20 23 14 79 DR2 5 29 52 38 16 9 149 DR 5 31 72 59 48 32 247 CR1 2 91 106 33 31 19 7 289 CR2 8 31 4 1 44 CR 10 122 110 34 31 19 7 333 IT 4 68 123 134 178 118 95 43 764 Ingénieurs 3 45 97 93 111 82 79 31 541 IR0 1 2 3 3 9 IR1 2 17 11 20 5 55 IR2 6 25 28 31 17 15 10 132 IR 6 25 30 49 30 38 18 196 IE0 1 2 2 5 IE1 2 4 6 9 2 23 IE2 24 41 32 24 14 9 6 150 IE 24 41 34 28 21 20 10 178 AI 3 15 31 29 34 31 21 3 167 Techniciens 2 23 26 41 67 36 16 12 223 TRE 2 7 7 2 3 21 TRS 3 10 14 3 2 32 TRN 1 22 26 33 45 12 8 5 152 TR 1 22 26 38 62 33 13 10 205 AJTP1 3 1 3 2 9 AJTP2 1 1 3 2 2 9 AJT 1 1 3 5 3 3 2 18 Total 5 78 250 275 284 208 162 82 1344 La moyenne d'âge des chercheurs est de 43,6 ans. La moyenne d'âge des ITA est de 43,3 ans. 14 Bilan social INRIA 2011
  • 17.
    LES PERSONNELS RÉMUNÉRÉSD’INRIA 2.2 - Répartition des personnel permanents 2.2.2 - Répartition par âge (suite) Age moyen des personnels sur supports budgétaires au 31 décembre 2011 (Personnels sur emplois budgétaires, y compris personnels détachés, CDI et CDD) Par filière et par centre : Age moyen Age moyen ITA Age moyen total chercheurs Bordeaux - Sud Ouest 38,1 39,3 38,8 Grenoble - Rhône-Alpes 42,6 41,1 41,9 Lille - Nord Europe 36,4 35,7 36,0 Nancy - Grand Est 41,4 43,3 42,4 Paris - Rocquencourt 46,2 47,2 46,6 Rennes - Bretagne Atlantique 44,4 45,3 44,8 Saclay - Ile de France 41,2 38,6 40,0 Sophia Antipolis - Méditerranée 46,5 47,4 46,8 Siège 55,5 43,7 44,1 TOTAL 43,6 43,3 43,4 Par grade : Grade Age moyen Grade Age moyen DR0 59,3 IR0 54,6 DR1 52,7 IR1 52,0 DR2 46,8 IR2 43,7 CR1 40,2 IE0 58,2 CR2 32,1 IE1 52,1 Total chercheurs 43,6 IE2 39,1 AI 42,0 TRE 49,5 TRS 49,2 TRN 40,1 AJTP1 52,8 AJTP2 39,1 Total IT 43,3 15 Bilan social INRIA 2011
  • 18.
    LES PERSONNELS RÉMUNÉRÉSD’INRIA 2.2 - Répartition des personnel permanents 2.2.2 - Répartition par âge (suite) Fonctionnaires atteignant l'âge de 65 ans dans les 10 prochaines années Chercheurs ITA TOTAL 2012 7 1 8 2013 5 5 10 2014 8 6 14 2015 9 8 17 2016 6 11 17 2017 4 10 14 2018 11 18 29 2019 13 12 25 2020 8 19 27 2021 10 12 22 TOTAL 81 102 183 16 Bilan social INRIA 2011
  • 19.
    LES PERSONNELS RÉMUNÉRÉSD’INRIA 2.2.3 - Répartition par entité Répartition des personnels sur support d'emploi chercheurs et ITA - effectifs réels au 31 décembre 2011 (Personnels sur emplois budgétaires, y compris personnels détachés, CDI et CDD) Bordeaux - Sud Grenoble - Lille - Nord Nancy - Paris - Rennes - Bretagne Saclay - Ile de Sophia Antipolis Siège TOTAL Ouest Rhône-Alpes Europe Grand Est Rocquencourt Atlantique France Méditerranée Chercheurs 36 81 27 58 117 71 69 113 8 580 DR0 0 0 0 0 6 3 1 8 1 19 DR1 1 11 0 5 15 14 9 20 4 79 DR2 10 18 6 13 42 13 18 26 3 149 CR1 20 48 16 34 44 37 34 56 0 289 CR2 5 4 5 6 10 4 7 3 0 44 ITA 48 73 43 66 91 78 55 78 235 767 Ingénieurs 29 51 27 44 56 53 33 51 197 541 IR0 0 0 0 0 1 1 0 2 5 9 IR1 1 4 2 6 3 12 1 5 21 55 IR2 9 16 5 9 13 11 9 14 46 132 IE0 0 0 0 0 2 0 0 2 1 5 IE1 0 0 0 3 4 3 0 4 9 23 IE2 11 11 12 10 15 7 12 7 65 150 AI 8 20 8 16 18 19 11 17 50 167 Techniciens 19 22 16 22 35 25 22 27 35 223 TRE 3 0 1 2 3 2 4 2 4 21 TRS 1 3 0 1 9 3 1 7 7 32 TRN 15 18 14 16 19 17 17 15 21 152 AJTP1 0 0 0 2 3 2 0 1 1 9 AJTP2 0 1 1 1 1 1 0 2 2 9 Administratifs 0 0 0 0 0 0 0 0 3 3 Poste Fonctionnel 0 0 0 0 0 0 0 0 3 3 Total 84 154 70 124 208 149 124 191 243 1347 Répartition en pourcentage du total par grade Bordeaux - Sud Grenoble - Lille - Nord Nancy - Paris - Rennes - Bretagne Saclay - Ile de Sophia Antipolis Siège TOTAL Ouest Rhône-Alpes Europe Grand Est Rocquencourt Atlantique France Méditerranée Chercheurs 6% 14% 5% 10% 20% 12% 12% 19% 1% 100% DR0 0% 0% 0% 0% 32% 16% 5% 42% 5% 100% DR1 1% 14% 0% 6% 19% 18% 11% 25% 5% 100% DR2 7% 12% 4% 9% 28% 9% 12% 17% 2% 100% CR1 7% 17% 6% 12% 15% 13% 12% 19% 0% 100% CR2 11% 9% 11% 14% 23% 9% 16% 7% 0% 100% ITA 6% 10% 6% 9% 12% 10% 7% 10% 31% 100% Ingénieurs 5% 9% 5% 8% 10% 10% 6% 9% 36% 100% IR0 0% 0% 0% 0% 11% 11% 0% 22% 56% 100% IR1 2% 7% 4% 11% 5% 22% 2% 9% 38% 100% IR2 7% 12% 4% 7% 10% 8% 7% 11% 35% 100% IE0 0% 0% 0% 0% 40% 0% 0% 40% 20% 100% IE1 0% 0% 0% 13% 17% 13% 0% 17% 39% 100% IE2 7% 7% 8% 7% 10% 5% 8% 5% 43% 100% AI 5% 12% 5% 10% 11% 11% 7% 10% 30% 100% Techniciens 9% 10% 7% 10% 16% 11% 10% 12% 16% 100% TRE 14% 0% 5% 10% 14% 10% 19% 10% 19% 100% TRS 3% 9% 0% 3% 28% 9% 3% 22% 22% 100% TRN 10% 12% 9% 11% 13% 11% 11% 10% 14% 100% AJTP1 0% 0% 0% 22% 33% 22% 0% 11% 11% 100% AJTP2 0% 11% 11% 11% 11% 11% 0% 22% 22% 100% Administratifs 0% 0% 0% 0% 0% 0% 0% 0% 100% 100% Poste Fonctionnel 0% 0% 0% 0% 0% 0% 0% 0% 100% 100% Total 6% 12% 5% 9% 16% 11% 9% 14% 18% 100% 17 Bilan social INRIA 2011
  • 20.
    LES PERSONNELS RÉMUNÉRÉSD’INRIA 2.2.3 - Répartition par entité Répartition des personnels sur support d'emploi chercheurs et ITA - effectifs réels au 31 décembre 2011 (Personnels sur emplois budgétaires, y compris personnels détachés, CDI et CDD) Quelques indicateurs (hors Siège) Bordeaux - Sud Grenoble - Lille - Nord Nancy - Paris - Rennes - Bretagne Saclay - Ile de Sophia Antipolis TOTAL Ouest Rhône-Alpes Europe Grand Est Rocquencourt Atlantique France Méditerranée Rapport CR/DR 2,27 1,79 3,50 2,22 0,86 1,37 1,46 1,09 1,39 Rapport CR2/CR1 0,25 0,08 0,31 0,18 0,23 0,11 0,21 0,05 0,15 Rapport ITA/Chercheur 1,33 0,90 1,59 1,14 0,78 1,10 0,80 0,69 0,93 Répartition des personnels sur emploi chercheurs et ITA par entité - effectifs réels au 31 décembre 2011 (% de l'entité sur l'ensemble des personnels sur supports d'emplois budgétaires) 18 Bilan social INRIA 2011
  • 21.
    LES PERSONNELS RÉMUNÉRÉSD’INRIA 2.3 - Les personnels non permanents rémunérés par Inria En équivalent temps plein travaillés par catégorie et par année 2010 2011 Effectifs % Effectifs % Jeunes chercheurs 687,5 48,2% 682,0 47,3% Doctorants 502,2 35,2% 497,3 34,5% CORDI-S sur subvention 102,3 7,2% 107,5 7,5% CORDI-C sur ressources contractuelles 332,2 23,3% 363,5 25,2% Doctorants complémentés Inria 31,9 2,2% 11,5 0,8% Doctorants Inria via EGIDE 10,8 0,8% 7,8 0,5% Doctorants complémentés via EGIDE 25,0 1,8% 7,0 0,5% Post-doctorants 185,2 13,0% 184,7 12,8% Post-doctorants sur subvention 73,6 5,2% 62,2 4,3% Post-doctorants sur ressources contractuelles 111,6 7,8% 122,5 8,5% Ingénieurs 445,6 31,2% 439,1 30,4% Ingénieurs Experts 314,6 22,1% 297,2 20,6% Ingénieurs Jeunes Diplômés 104,6 7,3% 105,2 7,3% Ingénieurs Spécialistes 14,7 1,0% 9,1 0,6% Ingénieurs Transfert et Innovation 10,3 0,7% 17,2 1,2% Ingénieurs confirmés 1,3 0,1% 10,4 0,7% Délégations enseignants-chercheurs 63,0 4,4% 77,5 5,4% CDD sur ressources propres 12,6 0,9% 14,7 1,0% Contrats emplois temporaires 125,9 8,8% 92,8 6,4% Vacataires 2,3 0,2% 6,2 0,4% Apprentis 14,8 1,0% 13,8 1,0% Stagiaires 74,7 5,2% 116,3 8,1% Total général 1426,3 100% 1442,3 100% 19 Bilan social INRIA 2011
  • 22.
    LES PERSONNELS RÉMUNÉRÉSD’INRIA 2.3 - Les personnels non permanents rémunérés par Inria Effectifs en personnes physiques par catégorie et entité au 31 décembre 2011 Rennes - Sophia Bordeaux - Sud Grenoble - Lille - Nord Nancy - Paris - Saclay - Ile Bretagne Antipolis Siège TOTAL Ouest Rhône-Alpes Europe Grand Est Rocquencourt de France Atlantique Méditerranée Jeunes chercheurs 60 116 42 57 101 112 80 134 702 Doctorants 50 84 32 43 73 87 46 98 513 CORDI-S sur subvention 12 15 15 14 12 11 9 15 103 CORDI-C sur ressources contractuelles 37 67 17 28 59 74 36 77 395 Doctorants complémentés Inria 1 1 Doctorants Inria via EGIDE 1 1 1 1 3 7 Doctorants complémentés via EGIDE 1 1 1 1 3 7 Post-doctorants 10 32 10 14 28 25 34 36 189 Post-doctorants sur subvention 3 12 4 6 13 10 8 15 Post-doctorants sur ressources contractuelles 7 20 6 8 15 15 26 21 71 Ingénieurs contractuels 25 69 40 43 55 81 41 76 9 439 Ingénieurs experts 14 45 21 27 41 64 25 55 2 294 Ingénieurs jeunes diplômés 11 17 13 14 6 14 8 12 3 98 Ingénieurs spécialistes 1 2 1 2 1 2 9 Ingénieurs Transfert et Innovation 3 4 5 1 5 3 1 22 Ingénieurs Confirmés 3 1 1 1 3 6 1 16 Délégations enseignants-chercheurs 15 11 7 8 19 10 7 8 1 86 CDD sur ressources propres 1 2 10 1 3 7 24 Contrats emplois temporaires 3 7 2 12 13 7 7 11 9 71 Vacataires 5 5 Apprentis 2 2 1 1 2 5 13 Stagiaires 1 1 2 1 5 Total général 104 206 92 124 201 217 136 234 31 1345 Effectifs en équivalent temps plein travaillés par catégorie et entité en 2011 Rennes - Sophia Bordeaux - Sud Grenoble - Lille - Nord Nancy - Paris - Saclay - Ile Bretagne Antipolis Siège TOTAL Ouest Rhône-Alpes Europe Grand Est Rocquencourt de France Atlantique Méditerranée Jeunes chercheurs 52,1 111,8 41,3 61,2 102,1 113,4 74,7 125,4 682,0 Doctorants 42,5 83,4 29,0 43,2 72,5 87,0 45,7 94,0 497,3 CORDI-S sur subvention 13,3 16,4 14,7 15,7 11,8 12,5 8,3 14,8 107,5 CORDI-C sur ressources contractuelles 28,9 65,2 13,6 27,0 54,1 69,6 34,9 70,3 363,5 Doctorants complémentés Inria 1,0 3,8 2,3 1,4 3,1 11,5 Doctorants Inria via EGIDE 0,3 0,7 0,8 0,8 1,6 1,1 2,6 7,8 Doctorants complémentés via EGIDE 0,1 0,5 2,1 1,0 3,3 7,0 Post-doctorants 9,6 28,4 12,3 18,1 29,6 26,4 28,9 31,3 184,7 Post-doctorants sur subvention 3,8 9,7 5,2 7,7 11,2 7,2 7,4 10,1 62,2 Post-doctorants sur ressources contractuelles 5,8 18,8 7,2 10,4 18,4 19,2 21,5 21,3 122,5 Ingénieurs contractuels 29,6 72,6 36,5 42,8 53,7 81,7 42,5 70,3 9,4 439,1 Ingénieurs experts 15,8 51,6 17,8 27,5 39,5 63,0 27,0 52,7 2,4 297,2 Ingénieurs jeunes diplômés 13,6 17,0 13,1 13,3 5,8 16,7 10,4 12,2 3,2 105,2 Ingénieurs spécialistes 1,0 1,8 1,0 1,9 0,3 1,4 1,8 9,1 Ingénieurs Transfert et Innovation 0,3 1,8 3,8 4,8 0,5 2,9 2,0 1,0 17,2 Ingénieurs Confirmés 1,3 1,0 1,7 1,3 2,2 2,1 1,0 10,4 Délégations enseignants-chercheurs 14,1 8,4 5,3 6,5 15,4 12,7 7,7 6,3 1,0 77,5 CDD sur ressources propres 0,3 0,1 0,8 5,9 1,0 0,1 1,3 5,2 14,7 Contrats emplois temporaires 5,7 8,5 3,3 15,8 20,4 9,2 4,4 15,4 10,3 92,8 Vacataires 0,8 5,3 0,1 6,2 Apprentis 2,7 4,3 1,0 0,3 2,0 3,5 13,8 Stagiaires 10,6 38,0 7,3 9,8 9,2 14,5 13,7 12,1 1,2 116,3 Total général 112,3 242,0 93,8 137,0 211,7 238,8 143,3 232,8 30,6 1442,3 20 Bilan social INRIA 2011
  • 23.
    LES PERSONNELS RÉMUNÉRÉSD’INRIA 2.3 - Les personnels non permanents rémunérés par Inria Evolution des effectifs des personnels contractuels par catégorie en équivalent temps plein travaillés 2005 2006 2007 2008 2009 2010 2011 Doctorants* 241,0 232,0 291,8 343,0 380,2 434,5 471,0 Post-doctorants 78,9 94,2 135,8 157,4 154,4 185,2 184,7 Ingénieurs 185,4 237,0 326,5 346,9 401,2 445,6 439,1 CDD sur ressources propres 24,4 41,4 48,8 43,6 59,1 12,6 14,7 Contrats emplois temporaires 118,2 102,4 114,6 83,0 80,1 125,9 92,8 Stagiaires 133,1 131,8 135,4 132,0 158,0 74,7 116,3 * Doctorants avec un financement principal Inria 21 Bilan social INRIA 2011
  • 24.
    LES PERSONNELS RÉMUNÉRÉSD’INRIA 2.3 - Les personnels non permanents rémunérés par Inria Répartition des personnels non permanents par type de ressource. Effectifs réels au 31 décembre 2011 Ressources Subvention TOTAL propres Jeunes chercheurs 177 525 702 Doctorants 106 407 513 CORDI-S sur subvention 103 103 CORDI-C sur ressources contractuelles 395 395 Doctorants complémentés Inria 1 1 Doctorants Inria via EGIDE 3 4 7 Doctorants complémentés via EGIDE 7 7 Post-doctorants 71 118 189 Post-doctorants sur subvention 71 71 Post-doctorants sur ressources contractuelles 118 118 Ingénieurs 124 315 439 Ingénieurs experts 294 294 Ingénieurs jeunes diplômés 94 4 98 Ingénieurs spécialistes 9 9 Ingénieurs Transfert et Innovation 8 14 22 Ingénieurs Confirmés 13 3 16 Délégations enseignants chercheurs 58 28 86 CDD sur resources propres 24 24 Contrats emplois temporaires 19 52 71 Vacataires 1 4 5 Apprentis 10 3 13 Stagiaires 1 4 5 Total général 390 955 1345 22 Bilan social INRIA 2011
  • 25.
    LES PERSONNELS RÉMUNÉRÉSD’INRIA 2.4 - Répartition par agrégat NCBC (Nouveau Cadre Budgétaire et Comptable) Répartition des personnels par entité - effectifs réels au 31 décembre 2011 (personnels permanents et non permanents) Rennes - Bordeaux - Grenoble - Lille - Nord Nancy - Grand Paris - Saclay - Ile de Sophia Antipolis Bretagne Siège Total Sud Ouest Rhône-Alpes Europe Est Rocquencourt France Méditerranée Atlantique 1. Activités de recherche conduites par les CRI 151 303 123 189 328 294 214 356 1958 2. Actions communes 9 12 7 14 19 15 7 13 74 170 2-1. Moyens scientifiques communs 2-2. Valorisation de la recherche 3 4 4 5 7 10 3 6 34 76 2-4. Echanges internationaux 1 3 8 12 2-5. IST et communication 6 8 2 9 9 5 4 7 32 82 2-7. Formation permanente 3. Fonctions support 28 45 32 45 62 57 39 56 200 564 3-1. Action sociale 4 4 3-2. Moyens informatiques communs 3 10 6 6 17 13 8 16 60 139 3-41. Moyens généraux des CRI 25 35 26 39 45 43 31 40 284 3-42. Moyens généraux des services centraux 136 136 3-6. Autres dépenses générales 1 1 Total 188 360 162 248 409 366 260 425 274 2692 CRI : Centres de Recherche Inria Evolution de la répartition A noter que les activités de développement technologique (initialement agrégat 2-1) et d'assistanat dans les équipes de recherche (initialement agrégat 3-41) font désormais partie de l'agrégat 1. % % % % 2008 2009 2010 2011 1. Activités de recherche conduites par les CRI 65% 66% 67% 73% 2. Actions communes 12% 12% 12% 6% 2-1. Moyens scientifiques communs 6% 6% 5% 2-2. Valorisation de la recherche 2% 2% 3% 3% 2-4. Echanges internationaux 0% 0,7% 0,4% 0,4% 2-5. IST et communication 3% 3% 3% 3% 2-7. Formation permanente 0,0% 0,04% 3. Fonctions support 23% 22% 21% 21% 3-1. Action sociale 0,2% 0,2% 0,2% 0,1% 3-2. Moyens informatiques communs 1% 1% 1% 5% 3-41. Moyens généraux des CRI 16% 15% 15% 11% 3-42. Moyens généraux des services centraux 6% 5% 5% 5% 3-6. Autres dépenses générales 0,04% Total 100% 100% 100% 100% 23 Bilan social INRIA 2011
  • 26.
    LES PERSONNELS RÉMUNÉRÉSD’INRIA 2.4 - Répartition par agrégat NCBC (Nouveau Cadre Budgétaire et Comptable) Répartition des personnels sur activité de recherche (agrégat 1) par domaine de recherche - effectifs réels au 31 décembre 2011 Rennes - Bordeaux - Grenoble - Lille - Nord Nancy - Grand Paris - Saclay - Ile de Sophia Antipolis Bretagne Total Sud Ouest Rhône-Alpes Europe Est Rocquencourt France Méditerranée Atlantique Domaine de recherche 136 274 110 167 295 268 195 327 1772 D1 : Mathématiques appliquées, calcul et simulation 43 38 33 20 35 17 62 50 298 D2 : Algorithmique, programmation, logiciels et architectures 3 26 7 50 80 50 65 39 320 D3 : Réseaux, systèmes et services, calcul distribué 41 89 41 20 52 92 21 70 426 D4 : Perception, cognition, interaction 31 71 15 69 65 71 30 89 441 D5 : STIC pour les sciences de la vie et de l'environnement 18 50 14 8 63 38 17 79 287 Personnels hors projet 15 29 13 22 33 26 19 29 186 Total 151 303 123 189 328 294 214 356 1958 Les Equipes de recherche On compte 224 équipes de recherche au 31/12/2011, dont 179 Equipes-Projets Inria, 42 équipes Inria et 3 actions exploratoires. Autres Actions EPI Total équipes exploratoires Domaine de recherche D1 : Mathématiques appliquées, calcul et simulation 33 12 45 D2 : Algorithmique, programmation, logiciels et architectures 40 5 45 D3 : Réseaux, systèmes et services, calcul distribué 35 8 43 D4 : Perception, cognition, interaction 40 8 48 D5 : STIC pour les sciences de la vie et de l'environnement 31 9 40 Equipes non affectées 3 3 Total 179 42 3 224 24 Bilan social INRIA 2011
  • 27.
    LES PERSONNELS RÉMUNÉRÉSD’INRIA 2.4 - Répartition par agrégat NCBC (suite) Répartition des personnels sur agrégats 2, 3 et agrégat 1 hors projet par domaine d'activité - Effectifs réels au 31 décembre 2011 % 2011 Administratif et financier / Juridique 21,9% Secrétariat / Assistanat 18,4% Moyens informatiques 14,0% Ressources Humaines 10,3% Développement technologique 8,9% Valorisation et Relations industrielles 6,8% Services Techniques 6,0% Communication 4,2% Direction 3,7% Information Scientifique et Technique 3,7% Relations internationales 1,2% Gestion des œuvres sociales 0,9% Total 100% 25 Bilan social INRIA 2011
  • 28.
    LES PERSONNELS RÉMUNÉRÉSD’INRIA 2.5 - La parité 2.5.1 - Les personnels permanents Répartition des personnels permanents par genre - effectifs réels au 31 décembre 2011 (y compris personnels détachés, CDI et CDD sur support budgétaire) Femmes Hommes Total Total Effectifs % Effectifs % Grades Corps Chercheurs 91 15,7% 489 84,3% 580 580 DR0 19 100,0% 19 DR1 15 19,0% 64 81,0% 79 247 DR2 21 14,1% 128 85,9% 149 CR1 48 16,6% 241 83,4% 289 333 CR2 7 15,9% 37 84,1% 44 ITA 460 60,0% 307 40,0% 767 767 Ingénieurs 290 53,6% 251 46,4% 541 541 IR0 2 22,2% 7 77,8% 9 IR1 15 27,3% 40 72,7% 55 196 IR2 38 28,8% 94 71,2% 132 IE0 3 60,0% 2 40,0% 5 IE1 13 56,5% 10 43,5% 23 178 IE2 94 62,7% 56 37,3% 150 AI 125 74,9% 42 25,1% 167 167 Techniciens 170 76,2% 53 23,8% 223 223 TRE 15 71,4% 6 28,6% 21 TRS 28 87,5% 4 12,5% 32 205 TRN 118 77,6% 34 22,4% 152 AJTP1 4 44,4% 5 55,6% 9 18 AJTP2 5 55,6% 4 44,4% 9 Administratifs 3 100,0% 3 3 Postes Fonctionnels 3 100% 3 3 Total 551 40,9% 796 59,1% 1347 1347 26 Bilan social INRIA 2011
  • 29.
    LES PERSONNELS RÉMUNÉRÉSD’INRIA 2.5 - La parité (suite) 2.5.1 - Les personnels permanents (suite) Répartition des personnels sur emploi budgétaire par genre et catégorie de la fonction publique - effectifs réels en personnes physiques au 31 décembre 2011 (y compris personnels détachés, CDI et CDD sur support budgétaire) Chercheurs ITA Total Effectif Effectif Effectif % A 580 544 1124 83,4% Femmes 91 290 381 33,9% Hommes 489 254 743 66,1% % femmes 15,7% 53,3% B 205 205 15,2% Femmes 161 161 78,5% Hommes 44 44 21,5% % femmes 78,5% C 18 18 1,3% Femmes 9 9 50,0% Hommes 9 9 50,0% % femmes 50,0% Total 580 767 1347 100% Femmes 91 460 551 40,9% Hommes 489 307 796 59,1% % femmes 15,7% 60,0% 40,9% 27 Bilan social INRIA 2011
  • 30.
    LES PERSONNELS RÉMUNÉRÉSD’INRIA 2.5 - La parité (suite) 2.5.1 - Les personnels permanents (suite) Répartition par entité Répartition des personnels permanents par genre et par centre - effectifs réels au 31 décembre 2011 (y compris personnels détachés, CDI et CDD sur support budgétaire) Chercheurs Ingénieurs Techniciens Administratifs Total Bordeaux - Sud Ouest 36 29 19 0 84 Femmes 2 13 14 0 29 Hommes 34 16 5 0 55 % femmes 6% 45% 74% 35% Grenoble - Rhône-Alpes 81 51 22 0 154 Femmes 9 29 17 0 55 Hommes 72 22 5 0 99 % femmes 11% 57% 77% 36% Lille - Nord Europe 27 27 16 0 70 Femmes 4 14 11 0 29 Hommes 23 13 5 0 41 % femmes 15% 52% 69% 41% Nancy - Grand Est 58 44 22 0 124 Femmes 5 25 18 0 48 Hommes 53 19 4 0 76 % femmes 9% 57% 82% 39% Paris - Rocquencourt 117 56 35 0 208 Femmes 21 32 23 0 76 Hommes 96 24 12 0 132 % femmes 18% 57% 66% 37% Rennes - Bretagne Atlantique 71 53 25 0 149 Femmes 8 30 18 0 56 Hommes 63 23 7 0 93 % femmes 11% 57% 72% 38% Saclay - Ile de France 69 33 22 0 124 Femmes 18 17 20 0 55 Hommes 51 16 2 0 69 % femmes 26% 52% 91% 44% Sophia Antipolis - Méditerranée 113 51 27 0 191 Femmes 23 26 23 0 72 Hommes 90 25 4 0 119 % femmes 20% 51% 85% 38% Siège 8 197 35 3 243 Femmes 1 104 26 0 131 Hommes 7 93 9 3 112 % femmes 13% 53% 74% 0% 54% TOTAL 580 541 223 3 1347 Femmes 16% 54% 76% 0% 41% Hommes 84% 46% 24% 100% 59% 28 Bilan social INRIA 2011
  • 31.
    LES PERSONNELS RÉMUNÉRÉSD’INRIA 2.5 - La parité (suite) 2.5.2 - Les personnels non permanents Répartition des personnels non permanents par genre - effectifs réels en personnes physiques au 31 décembre 2011 Femmes Hommes Total Effectifs % Effectifs % Jeunes chercheurs 157 22,4% 545 77,6% 702 Doctorants 126 24,6% 387 75,4% 513 CORDI-S sur subvention 27 26,2% 76 73,8% 103 CORDI-C sur ressources contractuelles 93 23,5% 302 76,5% 395 Doctorants complémentés INRIA 0 0,0% 1 100,0% 1 Doctorants INRIA via EGIDE 4 57,1% 3 42,9% 7 Doctorants complémentés via EGIDE 2 28,6% 5 71,4% 7 Post-doctorants 31 16,4% 158 83,6% 189 Post-doctorants sur subvention 12 16,9% 59 83,1% 71 Post-doctorants sur ressources contractuelles 19 16,1% 99 83,9% 118 Ingénieurs 91 20,7% 348 79,3% 439 Ingénieurs experts 69 23,5% 225 76,5% 294 Ingénieurs jeunes diplômés 15 15,3% 83 84,7% 98 Ingénieurs spécialistes 0 0,0% 9 100,0% 9 Ingénieurs Transfert et Innovation 3 13,6% 19 86,4% 22 Ingénieurs confirmés 4 25,0% 12 75,0% 16 Délégations d'enseignants-chercheurs 23 26,7% 63 73,3% 86 CDD sur ressources propres 5 20,8% 19 79,2% 24 Contrats emplois temporaires 29 40,8% 42 59,2% 71 Vacataires 4 80,0% 1 20,0% 5 Apprentis 3 23,1% 10 76,9% 13 Stagiaires 1 20,0% 4 80,0% 5 Total général 313 23,3% 1032 76,7% 1345 Répartition des personnels non permanents par genre et par centre - effectifs réels en personnes physiques au 31 décembre 2011 Délégations Contrats Post- Doctorants Ingénieurs d'enseignants- agents Autres TOTAL doctorants chercheurs temporaires Bordeaux - Sud Ouest 50 10 25 15 3 1 104 Femmes 12 2 5 2 1 1 23 Hommes 38 8 20 13 2 0 81 % femmes 24% 20% 20% 13% 33% 100% 22% Grenoble - Rhône-Alpes 84 32 69 11 7 3 206 Femmes 16 3 13 5 2 0 39 Hommes 68 29 56 6 5 3 167 % femmes 19% 9% 19% 45% 29% 0% 19% Lille - Nord Europe 32 10 40 7 2 1 92 Femmes 8 0 9 3 0 0 20 Hommes 24 10 31 4 2 1 72 % femmes 25% 0% 23% 43% 0% 0% 22% Nancy - Grand Est 43 14 43 8 12 4 124 Femmes 14 4 6 0 7 1 32 Hommes 29 10 37 8 5 3 92 % femmes 33% 29% 14% 0% 58% 25% 26% Paris - Rocquencourt 73 28 55 19 13 13 201 Femmes 27 7 11 6 3 1 55 Hommes 46 21 44 13 10 12 146 % femmes 37% 25% 20% 32% 23% 8% 27% Rennes - Bretagne Atlantique 87 25 81 10 7 7 217 Femmes 13 1 20 2 3 4 43 Hommes 74 24 61 8 4 3 174 % femmes 15% 4% 25% 20% 43% 57% 20% Saclay - Ile de France 46 34 41 7 7 1 136 Femmes 13 4 9 1 1 1 29 Hommes 33 30 32 6 6 0 107 % femmes 28% 12% 22% 14% 14% 100% 21% Sophia Antipolis - Méditerranée 98 36 76 8 11 5 234 Femmes 23 10 16 4 6 2 61 Hommes 75 26 60 4 5 3 173 % femmes 23% 28% 21% 50% 55% 40% 26% Siège 0 0 9 1 9 12 31 Femmes 0 0 2 0 6 3 11 Hommes 0 0 7 1 3 9 20 % femmes 22% 0% 67% 25% 35% Total 513 189 439 86 71 47 1345 Femmes 126 31 91 23 29 13 313 Hommes 387 158 348 63 42 34 1032 % femmes 25% 16% 21% 27% 41% 28% 23% 29 Bilan social INRIA 2011
  • 32.
    LES PERSONNELS RÉMUNÉRÉSDE L’INRIA 2.5 - La parité (suite) 2.5.2 - Les personnels non permanents Répartition des personnels non permanents par genre et par centre - effectifs réels en personnes physiques au 31 décembre 2011 2.5 - La parité (suite) 2.5.3 - Répartition par domaine d'activité Répartition des personnels permanents et non permanents par domaine d'activité et par genre - effectifs réels en personnes physiques au 31 décembre 2011 Femmes Hommes % % Recherche 18,8% 81,2% Administratif et financier / Juridique 72,4% 27,6% Secrétariat / Assistanat 97,6% 2,4% Moyens informatiques 18,3% 81,7% Ressources Humaines 80,4% 19,6% Développement technologique 7,5% 92,5% Valorisation et Relations industrielles 45,9% 54,1% Services Techniques 24,1% 75,9% Communication 73,7% 26,3% Direction 30,3% 69,7% Information Scientifique et Technique 75,8% 24,2% Relations internationales 63,6% 36,4% Gestion des œuvres sociales 100,0% 0,0% Total 32,1% 67,9% 30 Bilan social INRIA 2011
  • 33.
    LES PERSONNELS RÉMUNÉRÉSDE L’INRIA 2.5 - La parité (suite) 2.5.4 - Pyramides des âges par genre Pyramide des âges des personnels sur activités de recherche - effectifs réels en personnes physiques Personnels permanents et non permanents au 31 décembre 2011 Moyenne personnels sur activité de recherche (agrégat 1) : 34,6 ans Pyramide des âges des personnels sur fonctions supports - effectifs réels en personnes physiques Personnels permanents et non permanents au 31 décembre 2011 Moyenne personnels sur fonctions support (agrégats 2 et 3) : 42,1 ans La moyenne d'âge générale est de 36,7 ans 31 Bilan social INRIA 2011
  • 34.
    32 Bilan social INRIA 2011
  • 35.
    3- LES MOUVEMENTSDE PERSONNELS 3.1 - Les concours chercheurs 3.2 - Les concours ITA 3.3 - Les promotions 3.4 - La mobilité interne 3.5 - La mobilité externe 3.6 - Les départs à la retraite Ce chapitre présente les mouvements de personnel enregistrés en 2011 à travers les concours, les campagnes de recrutement, les promotions, la mobilité et les départs en retraite. 33 Bilan social INRIA 2011
  • 36.
    MOUVEMENTS DE PERSONNELS 3.1 - Les concours chercheurs Recrutements des chercheurs en 2011 Postes ouverts Candidatures Pression Postes pourvus DR1 1 3 3,0 1 DR2 10 95 9,5 10 CR1 1 39 39,0 1 CR2 7 161 23,0 7 Total 19 298 15,7 19 Répartition des affectations par Centre de Recherche DR1 DR2 CR1 CR2 TOTAL Bordeaux - Sud Ouest 1 2 3 Grenoble - Rhône-Alpes 3 3 Lille - Nord Europe 1 1 2 Nancy - Grand Est 1 1 Paris - Rocquencourt 1 1 1 3 Rennes - Bretagne Atlantique 3 1 4 Saclay - Ile de France 2 2 Sophia Antipolis - Méditerranée 1 1 TOTAL 1 10 1 7 19 Evolution des concours chercheurs 2004 2005 2006 2007 2008 2009 2010 2011 DR candidatures 53 40 60 64 78 86 92 98 postes pourvus 9 8 15 13 11 16 18 11 pression* 5,9 5,0 4,0 4,9 7,8 5,7 5,7 9,5 CR candidatures 340 319 514 454 386 349 405 200 postes pourvus 24 17 34 34 27 25 25 8 pression 14,2 18,8 15,1 13,4 12,5 14,0 16,2 25,0 Total candidatures 393 359 574 518 464 435 497 298 postes pourvus 33 25 49 47 38 41 43 19 * La pression correspond au rapport entre le nombre de postes ouverts et le nombre de candidatures 34 Bilan social INRIA 2011
  • 37.
    MOUVEMENTS DE PERSONNELS 3.1- Les concours chercheurs (suite) Recrutements des chercheurs par nationalité Total % origine CR % origine CR DR %origine DR Chercheurs chercheurs France 4 50% 9 82% 13 68% Autres pays européens 2 25% 2 11% Reste du monde 2 25% 2 18% 4 21% Total 8 100% 11 100% 19 100% 32% des chercheurs recrutés en 2011 sont de nationalité étrangère contre 40% en 2010. Chercheurs recrutés par pays de soutenance de la thèse Total % origine CR % origine CR DR %origine DR Chercheurs chercheurs France 4 50% 10 91% 14 74% Autres pays européens 2 25% 2 11% Reste du monde 2 25% 1 9% 3 16% Total 8 100% 11 91% 19 100% Répartition des recrutés par domaine de recherche 35 Bilan social INRIA 2011
  • 38.
    MOUVEMENTS DE PERSONNELS 3.1 - Les concours chercheurs (suite) Répartition des candidatures par Centre de Recherche visé DR1 DR2 CR1 CR2 TOTAL Bordeaux - Sud Ouest 1 11 11 25 48 Grenoble - Rhône-Alpes 18 18 36 Lille - Nord Europe 8 11 19 38 Nancy - Grand Est 13 15 28 Paris - Rocquencourt 1 10 24 35 Rennes - Bretagne Atlantique 13 16 29 Saclay - Ile de France 11 17 27 55 Sophia Antipolis - Méditerranée 1 11 17 29 TOTAL 3 95 39 161 298 Caractéristiques comparées des candidats et des chercheurs recrutés La nationalité Pourcentage d’étrangers candidats et recrutés Sur la totalité des concours chercheurs, les postulants étrangers représentent 45% des candidatures et 26% des recrutés. 36 Bilan social INRIA 2011
  • 39.
    MOUVEMENTS DE PERSONNELS 3.1 - Les concours chercheurs (suite) Le genre Candidatures Recrutés DR1 Hommes 3 1 Femmes DR2 Hommes 84 7 Femmes 11 3 CR1 Hommes 32 1 Femmes 7 CR2 Hommes 139 7 Femmes 22 En 2011, on observe un net avantage féminin de 3,27 pour l'accès au grade DR2. Pour l'accès aux autres grades, l'avantage masculin est total. (Cf. définition avantage masculin dans le glossaire). Age moyen des candidats et des recrutés par grade Candidats Recrutés DR1 48,8 46,9 DR2 44,3 42,5 CR1 35,4 35,7 CR2 30,4 30,8 3.2 - Les concours IT Recrutement des IT en 2011 Concours externes Concours internes Total postes Postes Postes Postes Postes pourvus Candidatures Pression * Candidatures Pression * ouverts pourvus ouverts pourvus Ingénieurs 21 596 19 28,4 13 70 13 5,4 32 Ingénieurs de recherche 4 63 4 15,8 2 8 2 4,0 6 Ingénieurs d'études 7 124 5 17,7 5 22 5 4,4 10 Assistants ingénieurs 10 409 10 40,9 6 40 6 6,7 16 Techniciens 6 202 5 33,7 2 5 2 2,5 7 Techniciens de recherche 6 202 5 33,7 2 5 2 2,5 7 Total 27 798 24 29,6 15 75 15 5,0 39 * La pression correspond au rapport entre le nombre de postes ouverts et le nombre de candidatures Evolution du nombre de postes d'IT ouverts aux concours 2004 2005 2006 2007 2008 2009 2010 2011 Concours internes 6 9 19 22 19 19 19 15 Concours externes 29 77 62 77 43 40 30 27 Total 35 86 81 99 62 59 49 42 37 Bilan social INRIA 2011
  • 40.
    MOUVEMENTS DE PERSONNELS 3.2 - Les concours IT (suite) Répartition des recrutements IT (concours externes) par affectation géographique Ingénieurs Techniciens TOTAL IR IE AI TR Bordeaux - Sud Ouest 1 2 2 5 Grenoble - Rhône-Alpes 1 2 3 Lille - Nord Europe 3 2 5 Nancy - Grand Est 2 2 Saclay - Ile de France 1 1 2 Paris - Rocquencourt Rennes - Bretagne Atlantique Sophia Antipolis - Méditerranée 1 1 2 Siège 1 2 2 5 TOTAL 4 5 10 5 24 Répartition des recrutements IT (concours externes) par BAP Nombre de Postes ouverts Postes pourvus candidatures Par branche d'activité professionnelle (BAP) 798 27 24 BAP E : informatique et calcul scientifique 38 2 2 BAP F : documentation, édition, communication 130 1 1 BAP G : patrimoine, logistique, prévention et restauration 9 1 1 BAP J : gestion scientifique et techniques des EPST 621 23 20 * La pression correspond au rapport entre le nombre de postes ouverts et le nombre de candidatures Répartition des recrutements IT (concours externes) par filière Nombre de Postes ouverts Postes pourvus Pression candidatures Par filière 798 27 24 29,6 Administratif et financier 233 10 9 23,3 Communication 130 1 1 130,0 Informatique 38 2 2 19,0 Ressources Humaines 211 7 6 30,1 Services généraux 140 4 3 35,0 Secrétariat - assistanat 9 1 1 9,0 Valorisation 37 2 2 18,5 Caractéristiques comparées des candidats et des recrutés (concours externes) Le genre Candidats Recrutés IR Globalement, on observe un avantage Hommes 43 2 20 2 Femmes féminin de 1,75 pour l'accès aux IE différents postes pourvus par Hommes 41 2 concours externe. On constate Femmes 83 3 notamment un net avantage féminin AI de 2,15 pour l'accès aux postes IR et Hommes 106 un avantage féminin total pour l'accès Femmes 303 10 TR aux postes AI. A l'inverse, on constate Hommes 31 1 un avantage masculin pour les postes Femmes 171 4 de niveau IE et TR, respectivement de Total 1,35 et 1,38. Hommes 190 4 Femmes 406 15 38 Bilan social INRIA 2011
  • 41.
    MOUVEMENTS DE PERSONNELS 3.2 - Les concours IT (suite) Caractéristiques comparées des candidats et des recrutés (concours externes) Le genre (suite) Pourcentage d’hommes et de femmes candidats et recrutés 3.3 - Les promotions LES CHERCHEURS Promotions au choix des chercheurs (échelons et grades) Agents % Agents Agents promus promouvables promus DR0 éch 1 -> DR0 éch 2 8 1 12,5% DR1 -> DR0 40 1 2,5% DR2 -> DR1 85 9 10,6% CR2 -> CR1 39 21 53,8% TOTAL 172 32 18,6% Répartition hommes / femmes Agents promouvables Agents promus Age moyen Avantage masculin des promus Hommes Femmes Hommes Femmes DR0 éch 1 -> DR0 éch 2 8 0 1 0 - 56 DR1 -> DR0 32 8 1 0 × 60 DR2 -> DR1 75 10 9 0 × 46 CR2 -> CR1 33 6 19 2 1,73 32 TOTAL 148 24 30 2 2,43 38 Avantage masculin : Cf. définition dans glossaire. × : avantage infini (aucun recrutement de femme) L'avantage masculin est total pour l'accès aux grades DR0 et DR1. Il est de 1,73 pour l'accès au grade CR1.. 39 Bilan social INRIA 2011
  • 42.
    MOUVEMENTS DE PERSONNELS 3.3 - Les promotions (suite) LES ITA Promotions de corps des ITA Agents Agents % Agents promouvables promus promus Ingénieurs 153 4 2,6% IE->IR2 97 1 1,0% AI->IE2 56 3 5,4% Techniciens 124 9 7,3% TR->AI 109 7 6,4% AJT->TR 15 2 13,3% TOTAL 277 13 4,7% Répartition hommes / femmes Agents promouvables Agents promus Avantage masculin Hommes Femmes Hommes Femmes Ingénieurs 47 106 0 4 0,00 IE->IR2 37 60 0 1 0,00 AI->IE2 10 46 0 3 0,00 Techniciens 26 98 1 8 0,47 TR->AI 19 90 0 7 0,00 AJT->TR 7 8 1 1 1,14 TOTAL 73 204 1 12 0,23 On observe un avantage féminin total pour l'accès aux corps IR, IE et AI. A l'inverse, c'est un avantage masculin de 1,14 pour l'accès au corps des TR. Promotions de grades des ITA Agents Agents % Agents promouvables promus promus IR2->IR1 59 8 13,6% IE1->IE0 2 0 0,0% IE2->IE1 27 5 18,5% TRS->TRE 28 5 17,9% TRN->TRS 33 8 24,2% AJTP2 -> AJTP1 4 2 50,0% TOTAL 153 28 18,3% Répartition hommes / femmes Agents promouvables Agents promus Avantage masculin Hommes Femmes Hommes Femmes IR2->IR1 44 15 6 2 1,02 IE1->IE0 2 0 0 0 × IE2->IE1 11 16 1 4 0,36 TRS->TRE 2 26 0 5 0,00 TRN->TRS 7 26 1 7 0,53 AJTP2 -> AJTP1 3 1 2 0 × TOTAL 69 84 10 18 0,68 En 2011, l'avantage est globalement féminin pour les promotions de grade ITA. 40 Bilan social INRIA 2011
  • 43.
    MOUVEMENTS DE PERSONNELS 3.3 - Les promotions (suite) LES ITA Examens professionnels de sélection nombre nombre de Nombre de Nombre d'agents d'admis à postes candidats promus concourir offerts Ingénieur de recherche hors classe 5 5 2 2 Technicien de la recherche classe exceptionnelle 11 11 4 5 TOTAL 16 16 6 7 Répartition hommes / femmes Candidats Agents promus Avantage Hommes Femmes Hommes Femmes masculin Ingénieur de recherche hors classe 3 2 0 2 0,00 Technicien de la recherche classe exceptionnelle 3 8 1 4 0,67 TOTAL 6 10 1 6 0,28 Avancements accélérés d'échelon des ITA Agents (2) Moyenne Mois (1) mois/agents Hommes Femmes Total Ingénieurs 489 35 43 78 6,27 Ingénieurs de recherche 162 21 6 27 6,00 Ingénieurs d'études et AAR 177 9 17 26 6,81 Assistants ingénieurs 150 5 20 25 6,00 Techniciens - Administratifs 246 11 30 41 6,00 Techniciens 231 7 28 35 6,60 Adjoints techniques 15 4 2 6 2,50 TOTAL 735 46 73 119 6,18 (1) nombre de mois attribués (2) nombre d'agents ayant bénéficié d'une réduction d'ancienneté 41 Bilan social INRIA 2011
  • 44.
    MOUVEMENTS DE PERSONNELS 3.3 - Les promotions (suite) Titulaires ayant atteint l'échelon terminal de leur grade Nombre de personnes Nombre de personnes ayant atteint l'échelon ayant atteint l'échelon %/Titulaires %/Titulaires terminal de leur grade au terminal depuis plus de 5 31/12/2011 ans au 31/12/2011 Directeurs de recherche 112 50,5% 55 24,8% DR0 9 50,0% 5 27,8% DR1 40 54,8% 22 30,1% DR2 63 48,1% 28 21,4% Chargés de recherche 65 20,0% 40 12,3% CR1 51 17,8% 40 13,9% CR2 14 36,8% Ingénieurs de recherche 39 23,9% 23 14,1% IR0 4 50,0% 2 25,0% IR1 20 37,0% 10 18,5% IR2 15 14,9% 11 10,9% Ingénieurs d'étude 20 14,3% 7 5,0% IE0 3 60,0% IE1 8 34,8% 2 8,7% IE2/AAR 9 8,0% 5 4,5% Assistants ingénieurs 21 14,3% 3 2,0% Techniciens 11 5,6% 2 1,0% TRE/SARE 3 14,3% 1 4,8% TRS 5 15,6% TRN 3 2,1% 1 0,7% Adjoints/Agents techniques 1 5,9% 1 5,9% AJTP1 1 11,1% 1 11,1% AJTP2 Total 269 22,2% 131 10,8% Evolution du taux de promotion Evolution des promotions de corps et de grade des populations chercheurs et ITA 42 Bilan social INRIA 2011
  • 45.
    MOUVEMENTS DE PERSONNELS 3.4 - La mobilité interne Synthèse des mobilités inter-centres en 2011 Mobilités des personnels permanents et non permanents Chercheurs ITA arrivées départs arrivées départs Bordeaux - Sud Ouest 1 0 3 -2 Grenoble - Rhône-Alpes 4 -2 1 -13 Lille - Nord Europe 0 -1 0 -2 Nancy - Grand Est 3 -3 2 -5 Paris - Rocquencourt 4 -3 3 -10 Rennes - Bretagne Atlantique 4 -3 2 -5 Saclay - Ile de France 3 -6 9 -7 Sophia Antipolis - Méditerranée 6 -6 0 -5 Siège 0 -1 33 -4 TOTAL 25 -25 53 -53 Parmi les chercheurs sont comptabilisés 13 contractuels (doctorants ou post-doctorants). On compte également 10 contractuels parmi les IT. Au sein des arrivées au siège, 26 sont liées à la réorganisation de la ligne métier SI (systèmes d'information). 3.5 - La mobilité externe Personnel accueilli en détachement et en délégation chez Inria Evolution par corps au 31 décembre 2006 2007 2008 2009 2010 2011 Chercheurs 98 113 122 118 120 116 accueillis en détachement 45 60 54 44 39 30 accueillis en délégation 53 53 68 74 81 86 ITA (détachements) 32 42 63 53 43 40 Total 130 155 185 171 163 156 43 Bilan social INRIA 2011
  • 46.
    MOUVEMENTS DE PERSONNELS 3.5 - La mobilité externe (suite) Organismes d'origine du personnel détaché chez Inria au 31 décembre (Chercheurs et ITA). Répartition des effectifs par organisme d'origine Organismes d'origine des chercheurs accueillis en délégation Etablissements Effectifs Université Bordeaux I 8 Université Paris Sud : Paris XI 6 Université Rennes I 6 Université de Nice - Sophia Antipolis 5 Université Denis Diderot : Paris VII 5 Université Paris-Nord : Paris XIII 5 Université Joseph-Fourier : Grenoble I 4 Institut Polytechnique de Grenoble 3 Université des Sciences et Technologie De Lille : Lille I 2 Université Henri Poincaré : Nancy I 2 Université d'Évry-Val d'Essonne 2 Université de Pau et des Pays de l'Adour 2 Université Montpellier II (Sciences et Techniques du Languedoc) 2 Université de Bourgogne : Dijon 2 Université de Nantes 2 Ecole Normale Supérieure Cachan 2 Université Victor Segalen : Bordeaux II 2 Université Bordeaux IV 2 Université de Versailles Saint-Quentin-en-Yvelines 2 Université de Strasbourg 2 ENSEIRB 2 Université René Descartes : Paris V 1 Université Paris-Sorbonne : Paris IV 1 Institut National Polytechnique - Nancy 1 Ecole Normale Supérieure Paris 1 Université Pierre et Marie Curie : Paris VI 1 Université Bretagne Sud 1 Université Charles-de-Gaulle : Lille III 1 Institut Polytechnique de Bordeaux 1 Université du Droit et de la Santé : Lille II 1 Université Paris-Val-de-Marne : Paris XII 1 ENSIIE 1 Université Pierre Mendes France Grenoble II 1 Université de Dauphine : Paris IX 1 Institut National des Sciences Appliquées Lyon 1 Université Blaise Pascal : Clermont-Ferrand II 1 Université Nancy II 1 Ecole des Mines de Nantes 1 Université de Valenciennes et du Hainaut-Cambrésis 1 TOTAL 86 44 Bilan social INRIA 2011
  • 47.
    MOUVEMENTS DE PERSONNELS 3.5 - La mobilité externe (suite) La mobilité externe sortante Personnels en situation de mobilité externe sortante au 31 décembre de l'année 2006 2007 2008 2009 2010 2011 Chercheurs 53 49 52 49 50 45 en détachement à l'extérieur 9 8 11 10 8 6 en disponibilté 31 28 29 29 33 33 mis à disposition 10 10 9 9 7 4 Hors cadre 3 3 3 1 2 2 ITA 27 32 38 78 81 86 en détachement à l'extérieur 20 23 25 32 40 45 en disponibilté 7 9 12 35 31 30 mis à disposition 0 0 1 11 10 11 Total 80 81 90 127 131 131 Organismes d'accueil du personnel en mobilité externe (Hors agents en disponibilité pour convenance personnelle sans affectation connue) 45 Bilan social INRIA 2011
  • 48.
    MOUVEMENTS DE PERSONNELS 3.6 - Les départs à la retraite Evolution des départs par corps et par genre 2008 2009 2010 2011 Femmes Hommes Total Femmes Hommes Total Femmes Hommes Total Femmes Hommes Total Chercheurs 1 6 7 6 6 1 3 4 7 7 DR 1 6 7 6 6 1 3 4 6 6 CR 1 1 ITA 5 7 12 14 6 20 9 10 19 8 4 12 IR 2 5 7 4 3 7 3 6 9 1 2 3 IE 1 1 2 3 1 4 4 2 6 3 3 AI 1 1 2 2 1 3 3 1 4 TR 1 1 4 1 5 2 2 4 1 1 2 AJT 1 1 Total 6 13 19 14 12 26 10 13 23 8 11 19 46 Bilan social INRIA 2011
  • 49.
    MOUVEMENTS DE PERSONNELS 3.6 - Les départs à la retraite (suite) Répartition des départs en fonction du motif 2005 2006 2007 2008 2009 2010 2011 Limite d'âge 7 1 3 7 5 3 Avant âge limite 8 11 12 16 16 14 11 Père et mère de 3 enfants 1 1 1 3 Invalidité 1 2 Reversion 2 1 2 1 2 Total 18 13 13 19 26 23 19 Evolution du nombre d'estimations individuelles réalisées à la demande des agents (simulations de montants de pensions civiles) 47 Bilan social INRIA 2011
  • 50.
    48 Bilan social INRIA 2011
  • 51.
    4- Les rémunérations 4.1 - La masse salariale et les traitements 4.2 - La répartition des primes 4.3 - Structure de la rémunération des personnels permanents 4.4 - les cotisations patronales 4.5 - Les remboursements de transports Ce chapitre présente les éléments de rémunération essentiellement pour les personnels sur emplois budgétaires. 49 Bilan social INRIA 2011
  • 52.
    LES RÉMUNÉRATIONS 4.1 - La masse salariale et les traitements Masse salariale annuelle chargée par nature de dépense et par Centre Dépenses non Dépenses limitatives limitatives Bordeaux - Sud-Ouest 6 586 063 2 153 902 Lille - Nord Europe 5 877 655 1 862 550 Saclay - Ile de France 10 404 637 3 855 489 Grenoble - Rhône-Alpes 13 454 588 5 893 110 Nancy - Grand Est 10 685 198 3 215 858 Paris - Rocquencourt 19 726 716 5 889 829 Rennes - Bretagne Atlantique 13 210 378 6 702 640 Sophia-Antipolis - Méditerranée 18 455 537 6 725 944 Siège 19 423 874 594 431 TOTAL 117 824 646 36 893 753 Traitement brut annuel et montant total des primes des personnels ITA et chercheurs sur emplois budgétaires Primes (brut annuel) Prime Prime de Agents payés en 2011 Traitement brut Traitement brut Prime de Prime de PPRS d'excellence fonction ISFIC (en ETP*) total** moyen** recherche technicité scientifique informatique Chercheurs 586,8 27 667 708 47 151 496 158 696 789 763 344 ITA 743,8 22 241 391 29 902 2 850 362 937 143 14 783 201 362 TOTAL 1330,6 49 909 099 37 509 2 850 362 496 158 696 789 937 143 14 783 964 705 * ETP : Equivalent Temps Plein ** y compris Supplément Familial de Traitement (SFT) et Indemnité de Résidence (IR) PPRS : prime de participation à la recherche scientifique ISFIC : indemnité spécifique pour fonction d'intérêt collectif Traitement brut annuel des personnels permanents chercheurs` (y compris personnels détachés, CDI et CDD sur support budgétaire; hors postes fonctionnels.) Agents payés en 2011 Traitement Traitement brut total (en ETPT) brut moyen Directeurs de recherche 242,6 14 414 024 59 411 DRO 20,4 1 562 701 76 540 DR1 80,6 5 290 460 65 652 DR2 141,6 7 560 863 53 390 Chargés de recherche 344,2 13 253 685 38 509 CR1 294,2 11 588 366 39 385 CR2 49,9 1 665 319 33 351 Total 586,8 27 667 708 47 151 50 Bilan social INRIA 2011
  • 53.
    LES RÉMUNÉRATIONS 4.1 - La masse salariale et les traitements (suite) Rémunération brute annuelle des personnels permanents ITA (y compris personnels détachés, CDI et CDD sur support budgétaire; hors postes fonctionnels.) Agents payés en 2011 Traitement Traitement brut total (en ETP)* brut moyen Ingénieurs 522,5 17 434 154 33 367 Ingénieurs de recherche 193,3 8 032 345 41 559 Ingénieurs d'études 174,3 5 357 515 30 729 Assistants ingénieurs 154,9 4 044 295 26 115 Techniciens 221,3 4 807 237 21 720 Techniciens 203,6 4 476 328 21 983 Adjoints techniques 17,7 330 908 18 695 Total 743,8 22 241 391 29 902 * Le personnel administratif est intégré dans les catégories d'IT 4.2 - La répartition des primes PPRS versées Agents payés en 2011 PPRS totale PPRS moyenne Écart type Ingénieurs 478 2 260 032 4 728 2 639 IR 170 1 202 012 7 071 2 928 IE 155 597 148 3 853 1 297 AI 153 460 873 3 012 857 Techniciens 237 590 330 2 491 658 TR 220 551 273 2 506 668 AJT 17 39 056 2 297 492 Total 715 2 850 362 3 987 2 430 Répartition des agents par corps et niveau de contribution Niveau 1 Niveau 2 Niveau 3 Niveau 4 Total Corps Effectifs % Effectifs % Effectifs % Effectifs % Effectifs % IR 2 1% 73 43% 68 40% 27 16% 170 100% IE 2 1% 71 46% 56 36% 26 17% 155 100% AI 2 1% 72 47% 60 39% 19 12% 153 100% TR 5 2% 107 49% 76 35% 32 15% 220 100% AJT 0 0% 12 71% 3 18% 2 12% 17 100% Total 11 2% 335 47% 263 37% 106 15% 715 100% Niveau 1 : Contribution insuffisante Niveau 3 : Contribution très satisfaisante Niveau 2 : Contribution satisfaisante Niveau 4 : Contribution exceptionnelle Prime de fonctions informatiques versée Par niveau de prime Niveau de prime Agents payés en 2011 PFI versée en 2011 Moyenne annuelle Pupitreurs 5 18 747 3 749 Analystes 21 66 855 3 184 Programmeur Système d’Exploitation 146 839 965 5 753 Chef de projet 3 11 576 3 859 TOTAL 175 937 143 5 355 51 Bilan social INRIA 2011
  • 54.
    LES RÉMUNÉRATIONS 4.2 - La répartition des primes (suite) Prime de fonctions informatiques versée Par grade Grade Agents payés en 2011 PFI versée en 2011 Moyenne annuelle IR 108 615 989 5 704 IE 50 264 431 5 289 AI 12 37 975 3 165 TR 4 15 096 3 774 AJT 1 3 651 3 651 TOTAL 175 937 143 5 355 Bénéficiaires de l'Isfic par fonction Effectifs Resp. scientifique de projet de recherche ou de développement 166 Responsable de service d'un centre ou d'une direction du siège 86 Chargé de mission auprès de la DG ou d’un directeur (centre ou direction fonctionnelle) 43 Délégué scientifique et vice-présidents du comité des projets 21 Membre du comité de Direction de l'institut 20 Directeur adjoint ou délégué à l'administration du centre 17 Président et vice-pérsidents de la commission d’évaluation 3 Total 356 AEN : Actions d'Envergure Nationale ANRD : actions nationales de recherche et développement Prime d'Excellence Scientifique La prime d'excellence scientifique est attribuée pour 4 ans aux chercheurs Inria. Eligibles Candidats % Retenus 2011 Directeurs de recherche 215 28 13% 15 Chargés de recherche 337 21 6% 19 TOTAL 552 49 9% 34 Prime d'Excellence Scientifique versée La prime d'excellence scientifique est versée trimestriellement. Les montants annuels sont de 6 048 € pour les CR et 9 072 € pour les DR Nombre d'agents* PES versée en 2011 Moyenne Directeurs de recherche 45,8 415 049 9 072 Chargés de recherche 46,6 281 740 6 048 TOTAL 92 696 789 7 546 * Nombre d'agent proratisés en fonction du nombre de trimestres perçus, des changements de corps et des départs en cours d'année. 52 Bilan social INRIA 2011
  • 55.
    LES RÉMUNÉRATIONS 4.3 -Structure de rémunération des personnels permanents et non permanents (ensemble des personnels permanents et non permanents) Les traitements représentent 89,8 % de la rémunération. Les autres postes se découpent de la manière suivante : Dont : 714 437 € PR : Prime de Recherche CET : Compte Epargne Temps SFT IR 607 967 € GIPA : Garantie Individuelle du Pouvoir d'Achat CET 1 067 175 € Intéressement 143 464 € Transport 222 309 € GIPA 152 200 € Autres primes 404 534 € 4.4 - Les cotisations patronales (ensemble des personnels permanents et non permanents) Les cotisations patronales sont constituées pour plus de la moitié par les cotisations retraites : Sécurité sociale 19 430 048 € ASSEDIC 2 054 364 € Retraite 30 865 820 € Taxe sur les salaires 7 648 772 € 53 Bilan social INRIA 2011
  • 56.
    4.5 - Lesremboursements de transports Bénéficiaires des remboursements en décembre 2011 Personnels Personnels non Total permanents permanents Bordeaux - Sud-Ouest 26,2% 26,0% 26,1% Grenoble - Rhône-Alpes 20,1% 41,7% 32,5% Lille - Nord Europe 21,4% 28,3% 25,3% Nancy - Grand Est 13,7% 15,3% 14,5% Paris - Rocquencourt 24,0% 31,3% 27,6% Rennes - Bretagne Atlantique 18,1% 28,1% 24,0% Saclay - Ile de France 23,4% 32,4% 28,1% Sophia-Antipolis - Méditerranée 5,2% 11,5% 8,7% Siège 22,6% 16,1% 21,9% TOTAL 19,0% 26,6% 22,8% 54 Bilan social INRIA 2011
  • 57.
    5- Les conditionsde travail 5.1 - Le temps de travail des personnels permanents 5.2 - Les congés maternité, paternité et maladie 5.3 - Les accidents du travail Ce chapitre traite des conditions de travail à travers le temps de travail, divers congés et les accidents du travail. 55 Bilan social INRIA 2011
  • 58.
    LES CONDITIONS DETRAVAIL 5.1 - Le temps de travail des personnels permanents Répartition des temps partiels par genre et par âge au 31 décembre 2011 (Personnels sur emplois budgétaires, y compris personnels détachés, CDI et CDD) 50% 60% 70% 80% 90% Total % / effectif Femmes 4 3 82 15 104 19% 18 à 23 24 à 29 2 2 30 à 35 1 16 17 36 à 41 1 1 21 5 28 42 à 47 2 1 27 5 35 48 à 53 11 3 14 54 à 59 3 1 4 60 et plus 1 2 1 4 Hommes 5 1 13 1 21 3% 18 à 23 24 à 29 1 1 30 à 35 1 3 4 36 à 41 1 3 4 42 à 47 2 1 1 4 48 à 53 1 1 2 54 à 59 1 2 3 60 et plus 3 3 Total général 9 1 3 95 16 125 9% Répartition des temps partiels par filière et par genre au 31 décembre 2011 (Personnels sur emplois budgétaires, y compris personnels détachés, CDI et CDD) 50% 60% 70% 80% 90% Total % / effectif Chercheurs 2 1 4 1 8 1% Femmes 2 1 3 Hommes 2 1 2 5 Ingénieurs 5 1 1 55 7 69 13% Femmes 2 1 47 6 56 Hommes 3 1 8 1 13 Techniciens 2 2 36 8 48 20% Femmes 2 2 33 8 45 Hommes 3 3 Total 9 1 4 95 16 125 9% Femmes 4 3 82 15 104 Hommes 5 1 1 13 1 21 56 Bilan social INRIA 2011
  • 59.
    LES CONDITIONS DETRAVAIL 5.2 - Les congés maternité, paternité et maladie (agents permanents et non permanents) • 33 femmes ont bénéficié d'un congé maternité au cours de l'année 2011 • 34 hommes ont bénéficié d'un congé paternité La maladie Congés de maladie Congés de longue durée Mi-temps thérapeutiques < à 90 jours nb agents durée en jours nb agents durée en jours nb agents durée en jours 2003 280 4397 3 613 2 151 2004 284 3767 3 667 3 295 2005 315 4515 3 668 5 438 2006 334 4569 6 729 6 778 2007 384 5800 8 436 6 332 2008 434 6199 7 900 7 1191 2009 462 7249 10 2568 6 700 2010 453 6147 13 2828 7 449 2011 501 5910 12 3063 8 1002 5.3 - Les accidents du travail 2007 2008 2009 2010 2011 S T S T S T S T S T Bordeaux - Sud Ouest 0 1 0 1 1 1 0 1 Lille - Nord Europe 4 0 0 0 0 1 0 0 2 0 Saclay - Ile de France 0 0 0 1 2 0 1 2 Grenoble - Rhône-Alpes 1 0 0 3 4 2 4 1 3 0 Nancy - Grand Est 1 0 1 1 2 1 0 1 1 4 Paris - Rocquencourt 3 2 1 2 2 3 1 3 3 4 Rennes - Bretagne Atlantique 1 1 0 2 2 3 1 5 3 2 Sophia Antipolis - Méditerranée 7 1 4 3 4 2 7 2 2 1 Siège 1 0 2 6 4 7 5 3 2 0 TOTAL 18 4 8 18 18 21 21 16 17 14 Les accidents de mission sont ici assimilés à des accidents de service S : accident de service T : accident de trajet 57 Bilan social INRIA 2011
  • 60.
    58 Bilan social INRIA 2011
  • 61.
    6- LA FORMATIONEN 2011 6.1 - Formation permanente : données globales (plans locaux et plan national) 6.1.1 - Nombre d'agents formés 6.1.2 - Nombre de départs en formation réalisés 6.1.3 - Population formée 6.1.4 - Accès à la formation 6.1.5 - Zoom sur la catégorie C 6.2 - Plan transverse 2011 réalisé Ce chapitre présente les principales actions de formation réalisées en 2011 et propose une évaluation de l'effort de formation par le budget consacré, le nombre d'agents formés et les populations visées. 59 Bilan social INRIA 2011
  • 62.
    LA FORMATION EN2011 Le plan de formation de l'Institut regroupe : • le plan de formation national (en 2011 = 518 250 euros) Des actions à caractère national : - Pour une population (ex. : doctorants) - Pour une ligne métier (ex. : ligne SI) Des actions transverses - Exemple 2011 : Atelier Projet Professionnel • les plans de formation locaux Les actions locales (en 2011 = 781 750 euros dont 250 000 euros de formations langues déconcentrées dans les centres) Rappel des objectifs du plan de formation de l'institut : - Garantir un accès à la formation pour tous les agents quel que soit leur statut, leur sexe, leur âge ou leur handicap - Garantir l'adaptation des collaborateurs à leur poste de travail - Accompagner le développement des compétences et favoriser l'évolution professionnelle des agents - Préparer la reconversion professionnelle Le plan de formation est la rencontre entre des besoins exprimés par Inria et des attentes portées par les agents. L'expression des souhaits de formation et l'analyse des besoins ne peuvent se concevoir sans une explicitation par la hiérarchie et une bonne compréhension par les agents des orientations stratégiques d'Inria. Chaque responsable de service a un rôle déterminant dans la prise en compte des évolutions de compétences de ses agents. 60 Bilan social INRIA 2011
  • 63.
    LA FORMATION EN2011 6.1 Formation permanente : données globales (plans locaux et plan national) 6.1.1 Nombre d'agents formés 2008 2009 2010 2011 Nombre d'agents 11 43 1 477 1309 1357 Taux de croiss ance - 29% -11% 4% 6.1.2 Nombre de départs en formation réalisés 2008 2009 2010 2011 Nombre de départs 264 8 344 6 31 31 27 17 Taux de croiss ance - 30% -9% -13% Le nombre de départs en formation correspond au nombre d'actions suivies par un agent au cours de l'année. Un agent peut avoir suivi une formation à l'anglais et une formation en informatique sur la même année. Le nombre de départs en formation est en baisse de 13% en 2011. Néanmoins, le nombre d'heures de formation réalisées a augmenté de près de 2%, la durée de chaque formation étant en moyenne plus importante. 61 Bilan social INRIA 2011
  • 64.
    LA FORMATION EN2011 6.1.2 Nombre de départs en formation réalisés Nombre d'heures de formations réalisées 6.1.3 Population formée 2008 2009 2010 2011 Chercheurs 498 78 5 67 8 7 89 ITA 215 0 266 1 24 53 19 28 Total 2648 3446 3131 2717 En 2011, l'offre de formation pour les chercheurs a été développée ce qui explique en partie la diminution du nombre de départs en formations des ITA. Les thèmes les plus représentatifs : • Scientifiques : Langues, Hygiène et sécurité et Développement Personnel • ITA : Langues, Hygiène et sécurité, Développement Personnel, Gestion financière, logiciels 62 Bilan social INRIA 2011
  • 65.
    LA FORMATION EN2011 6.1.4 Accès à la formation Nombre de départs en formation des fonctionnaires par corps (Hors personnel accueilli en détachement) 2008 2009 2010 2011 AJT 43 60 38 17 TR 555 59 4 61 8 4 41 AI 339 41 2 44 4 3 68 IE 430 48 1 38 5 3 14 IR 346 42 9 36 9 3 05 Total 1713 1976 1854 1445 Nombre moyen de départs en formation par agent selon le corps 2008 2009 2010 2011 AJT 1,4 2,3 1,7 0,9 TR 2,4 2,7 2,8 2,2 AI 3,0 3,3 3,2 2,5 IE 2,8 3,1 2,6 2,2 IR 2,2 2,7 2,1 1,9 Total 2,5 2,9 2,6 2,2 Les agents les plus formés sont les agents du grade AI puis des grades TR et IE. Taux d'accès par sexe Femmes Hommes Total Nombre d'agents formés 578 779 1357 Effectif * 835 1757 2592 Taux d'accès 69% 4 4% 52% * au 31 décembre hors délégations et doctorants via Egide. 63 Bilan social INRIA 2011
  • 66.
    LA FORMATION EN2011 6.1.5 Zoom sur la catégorie C 2008 2009 2010 2011 Effectif total 31 26 23 16 Nombre d'agents formés 18 18 14 11 64 Bilan social INRIA 2011
  • 67.
    LA FORMATION EN2011 6.2 Plan transverse 2011 réalisé 65 Bilan social INRIA 2011
  • 68.
    LA FORMATION EN2011 6.2 Plan transverse 2011 réalisé 66 Bilan social INRIA 2011
  • 69.
    LA FORMATION EN2011 6.2 Plan transverse 2011 réalisé 67 Bilan social INRIA 2011
  • 70.
    LA FORMATION EN2011 6.2 Plan transverse 2011 réalisé 68 Bilan social INRIA 2011
  • 71.
    7- LE DÉVELOPPEMENTSOCIAL ET LES RELATIONS PROFESSIONNELLES 7.1 - Action sociale 7.2 - Hygiène et sécurité 7.3 - Instances et dialogue social Ce chapitre aborde le développement social à travers l'action sociale et l'hygiène et sécurité. Il présente également les ordres du jour des instances nationales d'Inria. 69 Bilan social INRIA 2011
  • 72.
    LE DÉVELOPPEMENT SOCIALET LES RELATIONS PROFESSIONNELLES 7.1 - L’action sociale En 2011, les subventions dédiées à l'action sociale s'élèvent à 2 751 662 euros. Les subventions se répartissent sur les postes suivants : Subvention AGOS (fonctionnement et activité) 885 300 € Dont frais de personnels 210 000 € Restauration * 1 565 809 € Dépenses de prestations sociales Inria 90 553 € Total 2 751 662 € 7.2 - Hygiène et sécurité 2011 Inria a adopté un programme pluriannuel de prévention en 2009 et poursuit sa mise en œuvre à travers les axes suivants : • Conforter l'organisation de la prévention et de la sécurité • Evaluer les risques professionnels et programmer les actions de prévention • Renforcer le rôle des Comités d'Hygiène et Sécurité (CHS) • Développer l'information et la formation des agents • Améliorer le suivi de la prévention médicale • Assurer le suivi de la politique de prévention • Intégrer la sécurité dans la conception et l'entretien des locaux • Respecter l'environnement De plus, ce programme prend en compte les priorités du programme annuel de prévention de l'enseignement supérieur et de la recherche, qui se développent autour de 3 axes : • L'évaluation et la prévention des risques psycho-sociaux et des troubles musculo- squelettiques • L'accueil des nouveaux arrivants • La transformation des comités d'hygiène et de sécurité (CHS) en comités d'hygiène, de sécurité et des conditions de travail (CHSCT). 70 Bilan social INRIA 2011
  • 73.
    LE DÉVELOPPEMENT SOCIALET LES RELATIONS PROFESSIONNELLES 7.3 - Instances et dialogue social Conseil d'administration 4 réunions en 2011 : Le 7 avril 1. Approbation du procès-verbal de la séance du 21 décembre 2010 2. Points d'actualité 3. L'activité scientifique en 2010 4. Rapport sur l'exécution du budget 2010 5. Comptes de l'exercice 2010 : a) Rapport de l'Agent comptable b) Avis des Commissaires aux comptes c) Approbation du compte financier 6. Projet de décision budgétaire modificative n° 1 relative au budget de 2011 7. La politique d'Inria en matière de développement technologique Attribution du titre de directeur de recherche émérite 8. Questions diverses. Le 7 juillet 1. Approbation du procès-verbal de la séance du 7 avril 2011 2. Points d'actualité 3. Le dispositif Institut Carnot Inria et le projet de consortium de valorisation thématique CVSTENE 4. Nouvelle identité visuelle d'Inria 5. Communication du rapport annuel 2010. Présentation du dossier de suivi des activités et du tableau des indicateurs 6. Projet de contrat d'objectif 2011-2014 entre l'Etat et Inria 7. La politique d'Inria en matière de développement technologique 8. Devenir du site de Rocquencourt 9. Attribution du titre de directeur de recherche émérite 10. Projet de décision budgétaire modificative n°2 relative au budget 2011 11. Mesure d'ordre comptable 12. Questions diverses. Le 13 octobre 1. Approbation du procès-verbal de la séance du 7 juillet 2011 2. Points d'actualité 3. Point d'étape relatif aux participations Inria à des projets retenus dans le cadre du Programme Investissements d'Avenir - Délégation au Président pour les prises de participation à des personnes morales dans ce cadre 4. Création du CIRIC, centre conjoint de recherche et d'innovation au Chili 5. Prime d'excellence scientifique : bilan et évolutions 6. Projet de décision budgétaire modificative n° 3 relative au budget de 2011 7. Questions diverses. 71 Bilan social INRIA 2011
  • 74.
    LE DÉVELOPPEMENT SOCIALET LES RELATIONS PROFESSIONNELLES 7.3 - Instances et dialogue social (suite) Le 8 décembre 1. Approbation du procès-verbal de la séance du 13 octobre 2011 2. Points d'actualité 3. Consolidation des comptes de l'exercice 2010 4. Projet de décision budgétaire modificative n°4 relative au budget de 2011 5. Projet de budget primitif pour l'année 2012 6. Point d'étape relatif aux participations à des projets retenus dans le cadre du Programme Investissements d'avenir 7. Plan d'actions pluriannuel pour l'évolution des fonctions support 8. Les équipes-projets de recherche Inria : modalités de création, d'évaluation et de renouvellement, dynamique d'évolution 9. Information sur les travaux du Conseil scientifique 10. Mise en œuvre de la démarche de contrôle interne comptable et financier, mesures de simplification en matière de gestion 11. Rattachement des fonctions d'Inspection Santé et sécurité au travail 12. Questions diverses. Comité technique paritaire Le Comité Technique Inria remplace de Comité Technique Paritaire le 16 novembre 2011. Ses attributions restent identiques : donner son avis sur les questions et projets de textes relatifs à l'organisation et au fonctionnement des services. Y sont examinées les questions relatives aux effectifs, aux emplois et aux compétences, aux règles statutaires, aux méthodes de travail, aux grandes orientations en matière de politique indemnitaire, à la formation, à l'insertion professionnelle, à l'égalité professionnelle et à la lutte contre les discriminations... 5 réunions en 2011 : Le 16 mars 1. Approbation des procès verbaux des séances du 16 novembre 2010 et du 7 décembre 2010 (vote) 2. Présentation du bilan de formation 2010 et du plan de formation 2011 (information) 3. Relations avec le CNRS (information) 4. Règlements intérieurs des centres de Bordeaux, Lille et Saclay (information) 5. Contrat d'objectifs 2011-2014 (information) 6. Questions diverses. Le 8 juin 1. Approbation du procès-verbal de la séance du 16 mars 2011 (vote) 2. Projet de contrat d'objectifs Inria 2011-2014 (vote) 3. Présentation du rapport annuel 2010 de l'Hygiène et Sécurité et du programme annuel de prévention 2011 (information) 4. Règlements intérieurs des centres de Nancy, Rennes et Saclay (information) 5. Mise en œuvre d'un Comité opérationnel d'évaluation des risques légaux et éthiques (vote) 6. Mise en œuvre de l'indemnité de départ volontaire (information) 7. Mise en place de l'entretien annuel chercheur et point d'étape sur le dossier « suivi carrière chercheur » (information) 8. Projet d'arrêtés du Ministère de l'Enseignement Supérieur et de la Recherche concernant la prorogation et la réduction du mandat des membres de certaines instances représentatives du personnel d'Inria (information) et mise en place du comité technique de proximité (vote) 9. Questions diverses. 72 Bilan social INRIA 2011
  • 75.
    LE DÉVELOPPEMENT SOCIALET LES RELATIONS PROFESSIONNELLES 7.3 - Instances et dialogue social (suite) Le 25 octobre 1. Approbation du procès-verbal de la séance du 8 juin 2011 (vote) 2. Projet d'arrêté portant création du Comité National d'Hygiène de Sécurité et des Conditions de Travail (CNHSCT) d'Inria (information) 3. Mise en place du suivi RH des scientifiques (vote) 4. Première orientation du plan d'action ligne fonctions support (information) 5. Questions diverses. Le 14 novembre 1. Approbation du procès-verbal de la séance du 25 octobre 2011 (vote) 2. Orientation pour le plan d'actions relatif aux fonctions support (information) 3. Présentation du bilan social 2010 (information) 4. Questions diverses. Le 5 décembre 1. Approbation du procès-verbal de la séance du 14 novembre 2011 (vote) 2. Plan d'action pour l'évolution des fonctions support (vote) 3. Projet de loi relatif aux personnels contractuels (information) 4. Règlement intérieur du Comité Technique Inria (vote) 5. Validation de la suppression du Comité de Concertation (information) 6. Questions diverses. Comité de concertation 1 réunion en 2011 : Le 28 septembre 1. Approbation du procès-verbal des séances du 15 juin 2010 et du 30 septembre 2010 2. Accord cadre CNRS/Inria et relations avec les universités 3. Projet de loi relatif aux personnels contractuels 4. Echanges sur l'évolution du Comité de Concertation (en lien avec la mise en place du comité technique de proximité) 5. Présentation du rapport d'audit des fonctions support réalisé par l'IGAENR 6. Bilan de la Prime d'Excellence Scientifique pour les campagnes 2009, 2010 et 2011 et préconisations d'évolution du dispositif 7. Questions diverses. Conseil scientifique Le conseil scientifique est l'instance de réflexion et de proposition de l'institut en matière de politique scientifique. Il donne son avis au conseil d'administration sur les grandes orientations de la politique scientifique de l'institut, les programmes de recherche et le rapport annuel d'activité. 3 réunions en 2011 : Le 9 mai 1. Introduction et missions générales du Conseil scientifique 2. Présentation générale d'Inria et de sa structure scientifique 3. Nouvelles scientifiques d'Inria 73 Bilan social INRIA 2011
  • 76.
    LE DÉVELOPPEMENT SOCIALET LES RELATIONS PROFESSIONNELLES 7.3 - Instances et dialogue social (suite) Conseil scientifique (suite) Le 9 mai (suite) 4. Bilan du Conseil sur les nominations de Directeurs de centre 5. Présentation générale du domaine scientifique Inria Mathématiques appliquées, calcul et simulation 6. Retour d'évaluation des thèmes Modèles et méthodes stochastiques et Optimisation, apprentissage et méthodes statistiques. Le 1er juillet 1. Examen d'une demande d'éméritat 2. Retour d'évaluation du thème Vision et interprétation multimédia (domaine perception, cognition et interaction) 3. Retour d'évaluation du thème Observation et modélisation pour les sciences de l'environnement (domaine STIC pour les sciences de la vie et de l'environnement) 4. Présentation du contrat d'objectifs entre Inria et le gouvernement 5. Orientations stratégiques jusqu'à 2020. Le 18 novembre 1. 1. Approbation du procès-verbal de la séance du 1er juillet 2. Planning des réunions 2012 du Conseil Scientifique 3. Bilan et conseil à l'équipe-projet Dolphin suivant les recommandations du Conseil Scientifique du 9 mai 4. Retour d'évaluation des thèmes du domaine Algorithmique, programmation, logiciels et architectures : - Programmation, vérification et preuves (17 équipes-projets) - Algorithmique, calcul certifié et cryptographie (10 équipes-projets) 5. Présentation de la nouvelle subvention « ProofCert » de l'ERC 6. Méthodologie et planning pour l'élaboration du prochain plan stratégique d'Inria 7. Présentation des Orientations stratégiques jusqu'à 2020 8. Présentation de l'Institut Carnot Inria et de la politique d'Inria en matière de transfert et d'innovation. Comité national d'hygiène et de sécurité Les comités d'hygiène et de sécurité ont pour mission de contribuer à la protection de la santé et à la sécurité des agents dans leur travail. Ils procèdent également à l'analyse des risques professionnels auxquels sont exposés les agents du ou des services entrant dans leur champ de compétence. À cette fin, ils délibèrent chaque année d'un rapport sur l'évolution des risques professionnels présenté par leur président. 3 réunions en 2011 : Le 30 mars 1. Approbation du procès verbal de la séance du 15 décembre 2010 2. Retour des inspections Hygiène et Sécurité 2010 des centres et de l'inspection transversale d'Inria 3. Rapport annuel 2010 et Programme annuel de prévention 2011 74 Bilan social INRIA 2011
  • 77.
    LE DÉVELOPPEMENT SOCIALET LES RELATIONS PROFESSIONNELLES 7.3 - Instances et dialogue social (suite) Comité national d'hygiène et de sécurité (suite) Le 30 mars (suite) 4. Présentation des fiches actions de la Convention Handicap 5. Questions diverses. Le 29 juin 1. Approbation du procès-verbal de la séance du 30 mars 2011 2. Présentation des évolutions de la loi n° 2010-751 du 5 juillet 2010 instituant des comités d'hygiène, de sécurité et des conditions de travail ainsi que du décret 82-453 du 28 mai 1982 relatif à l'hygiène, la sécurité et la prévention médicale dans la fonction publique de l'Etat (modifié) 3. Point sur les travaux du groupe de travail relatif au bien-être au travail 4. Groupe de travail « déplacement » : reprise des travaux 5. Règlements Intérieurs : Le point sur le chapitre prévention 6. Questions diverses. Le 19 octobre 1. Approbation du procès-verbal de la séance du 29 juin 2011 2. Mise en place du CNHSCT chez Inria : évolution règlementaire, impact, mission, composition de l'instance 3. Projet d'arrêté de création du CNHSCT d'Etablissement public 4. Groupe de travail « ligne métier des assistants de prévention » 5. Point des Agent Chargé de la Mise en Œuvre (ACMO) 6. Point d'étape sur les groupes de travail en cours 7. Questions diverses : médecine de prévention, dates et modalités de réunion du CNHSCT en 2012. Commission d’évaluation La commission d'Evaluation est en charge de l'évaluation scientifique de l'institut. Composée de personnalités scientifiques élues et nommées d'Inria et d'experts extérieurs à l'Institut, elle coordonne l'évaluation externe du travail des équipes-projets Inria domaine de recherche par domaine de recherche. Le 14 janvier Réunion générale. Les 25 et 26 janvier Primes d'Excellence Scientifiques. Le 24 février Recevabilité concours CR et DR. Les 22, 23, 24 et 25 mars Séminaire d'évaluation des thèmes : - Programmation, vérification et preuves - Algorithmique, calcul certifié et cryptographie. Le 6 avril Pré-sélection concours DR2. Les 20 et 21 avril Concours CR national. 75 Bilan social INRIA 2011
  • 78.
    LE DÉVELOPPEMENT SOCIAL 7.3 - Instances et dialogue social (suite) Commission d’évaluation (suite) Les 4 et 5 mai Jury de concours DR2. Le 20 juin Journée de synthèse. Les 11 et 14 octobre Séminaire d'évaluation des thèmes : Perception, cognition, interaction : - Représentation et traitement des données et des connaissances multimédia - Langue, parole et audio. Les 8 et novembre - Promotions CR1 - Retour d'évaluation des thèmes Programmation, vérifications et preuves et Algorithmique, calcul certifié et Cryptographie. Le 25 novembre Admissibilité DR1. Les 8 et 9 décembre Avis de la Commission sur les promotions DR1, DR0 et DR0 2ème échelon. Commissions administratives paritaires Les CAP traitent des différents sujets suivants : - Titularisations - Accueils en détachement - Intégrations - Promotions - Questions disciplinaires Les CAP du mois de février sont consacrées aux promotions (promotions de corps, de grades et avancements accélérés d'échelons). Les autres sont dédiées aux évènements courants. Les réunions se sont tenues tout au long de l'année 2011 : CAP N° 3 - Ingénieurs de Recherche - Le 7 février - Le 26 mai - Le 22 septembre - Le 24 novembre CAP N° 4 - Ingénieurs d'Etudes - Le 8 février - Le 17 février - Le 26 mai - Le 22 septembre - Le 18 octobre - Le 24 novembre 76 Bilan social INRIA 2011
  • 79.
    LE DÉVELOPPEMENT SOCIAL 7.3- Instances et dialogue social (suite) Commissions administratives paritaires (suite) CAP N° 5 - Assistants Ingénieurs - Le 10 février - Le 26 mai - Le 22 septembre - Le 24 novembre CAP N° 6 - Techniciens de la Recherche - Le 10 février - Le 26 mai - Le 22 septembre - Le 24 novembre CAP N° 7 - Adjoints Techniques de la Recherche - Le 11 février Les CAP n° 1 et n° 2 consacrées respectivement aux Directeurs de Recherche et Chargés de Recherche ne se sont pas réunies en 2011. En l'absence de question disciplinaire et en l'absence de refus de titularisation, seule la Commission d'Evaluation a statué. Commissions Consultatives Paritaires Les CCP peuvent être saisies de toute question d'ordre individuel relative à la situation professionnelle des agents non titulaires. Les CCP sont obligatoirement consultées pour les décisions individuelles relatives aux licenciements intervenant postérieurement à la période d'essai et aux sanctions disciplinaires autres que l'avertissement et le blâme. On distingue 2 commissions : la CCP « support à la recherche » et la CCP « scientifique ». Les CCP n'ont pas été saisies au cours de l'année 2011. L'exercice du droit de grève On compte 5 journées de grève pour l'année 2011. Sur ces journées, 3 agents se sont déclarés grévistes : C herche urs 1 ITA 1 Non-titulaires 1 T otal 3 77 Bilan social INRIA 2011
  • 80.
    78 Bilan social INRIA 2011
  • 81.
    8- LA POLITIQUEHANDICAP Ce chapitre présente la politique handicap à travers ses enjeux et ses grandes réalisations. 79 Bilan social INRIA 2011
  • 82.
    LA POLITIQUE HANDICAP L'institut s'est engagé en 2011 dans une politique handicap basée autour d'un conventionnement avec le FIPHFP (Fonds pour l'Insertion des Personnes Handicapées dans la Fonction Publique). Celle-ci s'articule autour d'un plan d'action établi pour une durée de 3 ans. Ce plan d'action a été élaboré grâce à la collaboration de près de 70 agents d'Inria (chercheurs et ITA), à partir des résultats de l'audit interne mené au 1er trimestre 2011. Le plan d'action se définit autour de 4 axes : • Développer et animer un réseau de correspondants handicap locaux • Former les acteurs internes et sensibiliser à la question du handicap au travail • Faciliter l'intégration, le recrutement et le maintien dans l'emploi des agents en situation de handicap • Améliorer l'accessibilité de nos locaux et faciliter les déplacements des agents en situation de handicap dans le cadre de leurs missions. Sa mise en œuvre va impliquer la participation active des centres et du siège, en lien avec les correspondants handicap, la ligne ressources humaines et la direction. 1) Développer et animer un réseau de correspondants handicap locaux : • Redéfinition du réseau des correspondants handicap initié en 2007 • Formation des correspondants handicap 2) Former les acteurs internes et sensibiliser les agents à la question du handicap au travail • Sensibilisation et information de l'ensemble des collaborateurs via un dispositif de e-learning ; • Formation des acteurs impliqués dans le process de recrutement ; • Formation des managers ; • Sensibilisation des équipes lors de l'intégration d'un agent en situation de handicap ; • Formation des assistants de prévention (anciens Agent Chargé de la Mise en Oeuvre des règles d'hygiène et de sécurité ou ACMO), et des agents des Services Généraux et des Moyens Informatiques sur les questions d'accessibilité ; • Formation sur l'interfaçage de logiciels spécifiques. 3) Faciliter l'intégration, le recrutement et le maintien dans l'emploi des agents en situation de handicap • Formalisation et mise en œuvre du processus de maintien dans l'emploi, recrutement et reclassement ; Au 31 décembre 2011, on recense 31 travailleurs handicapés au sein d'Inria, soit un taux d'emploi de 1,2%. Ce taux reste très inférieur à l'obligation légale portée à 6%. Inria poursuit donc ses efforts au niveau du recrutement comme au niveau des autres leviers à sa disposition. 80 Bilan social INRIA 2010
  • 83.
    POLITIQUE HANDICAP EN2011 Nombre d'agents reconnus travailleurs handicapés au 31 décembre • Développement d'un réseau de partenaires nationaux et locaux œuvrant sur l'insertion des personnes en situation de handicap (CAP Emploi, Sameth…) ; • Intégration d'agents en situation de handicap par la voie de l'apprentissage et des stages ; • Promotion de la politique handicap de l'institut afin de susciter des candidatures. • Elaboration d'outils d'information (plaquettes…) ; • Mise en œuvre d'aménagements pour améliorer les conditions de travail et de déplacement des agents en situation de handicap (rampe d'accès, transport adapté, …). 4) Améliorer l'accessibilité de nos locaux et faciliter les déplacements des agents en situation de handicap dans le cadre de leurs missions • Amélioration de l'accès aux locaux pour les agents en situation de handicap ; • Recensement des structures d'accueil accessibles afin de faciliter les missions et déplacement des agents (hôtels, lieux de séminaire…) ; • Sensibilisation à la question de l'accessibilité des acteurs en charge des locaux d'Inria et de l'organisation d'événements ; • Audit des locaux Inria sur la question de l'accessibilité, afin de réaliser un programme de travaux pour améliorer l'accessibilité des locaux. Il est à noter que la politique handicap lancée au 1er septembre 2011 montre ses premiers résultats dès le 1er trimestre 2012 : • Des évènements autour du handicap ont été mis en place dans les centres, • Quelques travaux d'accessibilité et dispositifs de maintien dans l'emploi ont été réalisés sur les centres, • on recense 3 agents bénéficiant de l'obligation d'emploi supplémentaires sur le 1er trimestre 2012 81 Bilan social INRIA 2010
  • 84.
    82 Bilan social INRIA 2011
  • 85.
    9- GLOSSAIRE Le glossaire définit quelques termes parfois spécifiques à Inria qui méritent une explication. 83 Bilan social INRIA 2011
  • 86.
    9 - GLOSSAIRE TYPES DE CONTRATS Les ingénieurs experts sont des ingénieurs diplômés, collaborateurs temporaires, qualifiés, recrutés pour faire face à une activité générée par un contrat de recherche Les ingénieurs jeunes diplômés sont de jeunes diplômés de niveau bac+5 ne se destinant pas à une carrière de recherche, pour lesquels le séjour à Inria fera à la fois fonction de complément de formation et de première expérience professionnelle. Les spécialistes sont plutôt des seniors, d'origine académique ou industrielle, français ou étrangers, experts en informatique ou mathématiques appliquées ou dans d'autres domaines scientifiques ou technologiques connexes avec lesquels interagissent les équipes d’Inria. Les Ingénieurs transfert et innovation sont recrutés pour mettre en œuvre ou accompagner les projets de transfert technologique de l'institut. Ils interviennent notamment dans la phase de maturation des projets de transfert issus de travaux de recherche, que cette maturation soit technologique et/ou économique. Les agents en contrat d'emploi temporaire (ACET) sont recrutés pour faire face à un surcroît occasionnel d'activité ou au remplacement d'un salarié absent. Leur contrat de travail est de 10 mois maximum non renouvelable. Les « CDD sur poste » sont des agents qui remplissent des fonctions pour lesquelles le recrutement de fonctionnaires n'est pas pertinent. Les doctorants effectuent des Étude doctorants 2010 : travaux de recherche pour http://intranet.inria.fr/drh/bibliotheque/etudes/doctorants2010.pdf préparer une thèse d'université sous la direction d'un chercheur attaché à l'institut. Inria est le laboratoire d'accueil de ce projet doctoral. La durée de la thèse est de 3 ans. Depuis juin 2005, les CORDI ont remplacé les bourses doctorales. Ainsi, les doctorants bénéficient à Inria d'un véritable contrat de travail à durée déterminée, d'une protection sociale et d'une rémunération. L'institut a souhaité en effet mettre fin aux « bourses » jugées précaires et non adaptées à la situation professionnelle des doctorants. On distingue désormais les CORDI sur subvention (CORDI-S) et les CORDI sur ressources contractuelles (CORDI-C). Les post-doctorants complètent, prolongent ou élargissent leurs travaux de recherche au sein d'une des équipes d’Inria, à l'issue de leur soutenance de thèse. On distingue les post-doctorants sur subventions des post-doctorants sur ressources contractuelles. Le PACTE ou Parcours d'Accès aux Carrières de la Fonction Publique Territoriale Hospitalière et d'État, est un nouveau mode de recrutement réservé aux catégories C. Depuis 2006, il permet de recruter un jeune entre 16 et 26 ans sur un contrat d'un à deux ans alternant formation et stage, avec une possibilité d'intégration dans la fonction publique à l'issue d'une vérification d'aptitude. Les CDD Handicap désignent la voie contractuelle spécifiquement destinée aux travailleurs handicapés. Ils permettent au bout d'un an et après titularisation, d'accéder au statut de fonctionnaire. 84 Bilan social INRIA 2011
  • 87.
    PARITE L'avantage masculin Dans unconcours, l'avantage masculin se mesure par la proportion relative d'hommes recrutés parmi les hommes candidats, rapportée à la proportion de femmes recrutées parmi les femmes candidates. Au-delà de 1, le rapport correspond à un avantage masculin. En deçà, on parle d'avantage féminin. CARRIERE Evolution à l'ancienneté La durée moyenne passée dans chaque échelon varie suivant les corps. L'intervalle entre les deux échelons, généralement d'un an et demi en début de carrière, se situe ensuite à deux ans ou deux ans et demi, pour atteindre trois ou quatre ans en fin de carrière Concours internes Le concours interne est une démarche active qui permet de changer de corps. Plus encore que la promotion au choix, il a pour objectif de faire reconnaître et de valoriser l'expérience et/ou le potentiel de l'agent en lui permettant d'argumenter lui-même son parcours professionnel et ses choix de carrière. Lorsqu'il est ouvert sur un poste déterminé, il permet à un fonctionnaire d'associer mobilité et promotion. Pour pouvoir se porter candidat à un concours interne, il faut répondre aux conditions d'activité et d'ancienneté demandées. Promotion au choix ou avancement accéléré ITA : Les responsables hiérarchiques proposent l'avancement d'un membre de leur équipe au moment de l'appréciation annuelle. La promotion au choix est validée après avis de la commission administrative paritaire et sur décision du Président. Chercheurs : L'avancement des chercheurs (chargés de recherche et directeurs de recherche) comprend l'avancement d'échelon et l'avancement de grade. Les avancements aux grades de CR1, DR1 et DR0 ont lieu exclusivement au choix. Ils sont décidés par le Président de l'Institut après avis de la commission d'évaluation. Sélection professionnelle Les statuts particuliers des corps des IR et TR prévoient, sous réserve de conditions d'échelon et d'ancienneté, la possibilité d'accéder au grade terminal de chacun de ces corps par la voie d'un examen professionnel de sélection. Cette procédure, différente de la procédure du concours, combine le dispositif de l'examen et l'avis des Commissions Administratives Paritaires (CAP) pour le classement sur un tableau d'avancement. 85 Bilan social INRIA 2011
  • 88.
    MOBILITE Mobilité interne • Mobilité géographique Il s'agit d'un changement de lieu de travail. Dans ce bilan, sont comptabilisées Les mobilités inter-centres y compris entre le siège et le centre Paris-Rocquencourt. • Mobilité fonctionnelle Il s'agit de changements de lignes fonctionnelles (regroupement de services par domaine d'activités). Les changements de fonction ou de métier au sein d'une même ligne fonctionnelle ne sont pas comptabilisés - sauf prises de responsabilités. • Mobilité thématique Ce sont les changements de thème de recherche, liés donc nécessairement à un changement de projet (condition nécessaire mais pas suffisante). Mobilité externe • Mobilité externe entrante Il s'agit des agents accueillis chez Inria, quelle que soit leur position administrative : détachement, mise à disposition, ou encore délégation. • Mobilité externe sortante Il s'agit des agents Inria travaillant temporairement en dehors de l'Institut. Les mobilités externes sortantes ne donnant pas lieu à activité professionnelle (convenances personnelles par exemple) en sont exclues. Les positions statutaires • La disponibilité - Lien faible avec Inria. - Librement rémunéré par l'organisme d'accueil. - Suspension des droits à avancement et à la retraite chez Inria. - Droit à la réintégration. - Obligation de respecter la règle du cumul et de la déontologie. • Le détachement - Lien intermédiaire avec Inria. - Rémunéré par l'organisme d'accueil, principe de la «double carrière» Inria et organisme d'accueil. • La mise à disposition - Lien fort avec Inria. - Projet d'intérêt majeur pour Inria, qui rémunère l'agent. - Droits à l'avancement et à la retraite conservés. - Le programme «sabbatique» rentre dans ce cadre. • La délégation La procédure de délégation permet à des enseignants-chercheurs universitaires d'être, pendant une période limitée, déchargés de leur service d'enseignement et mis à disposition d'un établissement scientifique pour se consacrer à des activités de recherche. 86 Bilan social INRIA 2011
  • 89.
    RETRAITES Pension de réversion Encas de décès du fonctionnaire en activité ou en retraite, les ayants droit, c'est-à-dire le conjoint survivant ou un ancien conjoint divorcé mais non remarié et les orphelins, ont droit à une pension de réversion, sous certaines conditions. Les pères et mères de 3 enfants Les pères ou mères de 3 enfants qui ont cumulé au moins 15 ans de service, peuvent toucher leur pension, sans avoir atteint l'âge de 60 ans. HANDICAP La notion de travailleur handicapé La loi du 11 février 2005 pour l'égalité des droits et des chances, la participation et la citoyenneté des personnes handicapées définit le handicap comme : « toute limitation d'activité ou restriction de participation à la vie en société subie dans un environnement par une personne en raison d'une altération substantielle, durable ou définitive d'une ou plusieurs fonctions physiques, sensorielles, mentales, cognitives ou psychiques, d'un polyhandicap ou d'un trouble invalidant ». 87 Bilan social INRIA 2011
  • 90.
    ANNEXE : Répartition des personnels par nationalité Effectifs réels au 31 décembre 2011 Personnels sur Personnels sur % actvité de % fonctions activité de activité d'appui Total % Total recherche support recherche à la recherche France 1263 704 1967 64,50% 95,91% 73,07% Europe hors France 295 14 309 15,07% 1,91% 11,48% italienne 64 6 70 3,27% 0,82% 2,60% allemande 43 2 45 2,20% 0,27% 1,67% roumaine 36 0 36 1,84% 0,00% 1,34% russe 23 0 23 1,17% 0,00% 0,85% espagnole 20 0 20 1,02% 0,00% 0,74% belge 14 2 16 0,72% 0,27% 0,59% polonaise 16 0 16 0,82% 0,00% 0,59% anglaise 16 0 16 0,82% 0,00% 0,59% grecque 12 1 13 0,61% 0,14% 0,48% portugaise 6 3 9 0,31% 0,41% 0,33% néerlandaise 5 0 5 0,26% 0,00% 0,19% serbe 5 0 5 0,26% 0,00% 0,19% irlandaise 5 0 5 0,26% 0,00% 0,19% suédoise 4 0 4 0,20% 0,00% 0,15% turque 4 0 4 0,20% 0,00% 0,15% croate 3 0 3 0,15% 0,00% 0,11% slovaque 3 0 3 0,15% 0,00% 0,11% macédonienne 3 0 3 0,15% 0,00% 0,11% tchèque 2 0 2 0,10% 0,00% 0,07% ukrainienne 2 0 2 0,10% 0,00% 0,07% luxembourgeoise 1 0 1 0,05% 0,00% 0,04% suisse 1 0 1 0,05% 0,00% 0,04% hongroise 1 0 1 0,05% 0,00% 0,04% albanaise 1 0 1 0,05% 0,00% 0,04% autrichienne 1 0 1 0,05% 0,00% 0,04% arménienne 1 0 1 0,05% 0,00% 0,04% islandaise 1 0 1 0,05% 0,00% 0,04% moldave 1 0 1 0,05% 0,00% 0,04% slovène 1 0 1 0,05% 0,00% 0,04% Amérique 109 3 112 5,57% 0,41% 4,16% brésilienne 25 0 25 1,28% 0,00% 0,93% américaine 17 1 18 0,87% 0,14% 0,67% mexicaine 15 0 15 0,77% 0,00% 0,56% argentine 14 0 14 0,72% 0,00% 0,52% colombienne 13 1 14 0,66% 0,14% 0,52% canadienne 9 1 10 0,46% 0,14% 0,37% chilienne 5 0 5 0,26% 0,00% 0,19% urugyayenne 4 0 4 0,20% 0,00% 0,15% bolivienne 2 0 2 0,10% 0,00% 0,07% péruvienne 1 0 1 0,05% 0,00% 0,04% costaricaine 1 0 1 0,05% 0,00% 0,04% vénézuélienne 1 0 1 0,05% 0,00% 0,04% cubaine 1 0 1 0,05% 0,00% 0,04% guatémaltèque 1 0 1 0,05% 0,00% 0,04% Personnels sur activité de recherche : personnels sur agrégat 1 Personnels des fonctions support : personnels sur agrégat 2 et 3 88 Bilan social INRIA 2011
  • 91.
    ANNEXE : Répartition despersonnels par nationalité Effectifs réels au 31 décembre 2011 Personnels sur Personnels sur % actvité de % fonctions activité de activité d'appui Total % recherche support recherche à la recherche Afrique / Moyen Orient 143 12 155 7,30% 1,63% 5,76% tunisienne 50 0 50 2,55% 0,00% 1,86% algérienne 22 2 24 1,12% 0,27% 0,89% libanaise 15 0 15 0,77% 0,00% 0,56% iranienne 11 0 11 0,56% 0,00% 0,41% marocaine 10 1 11 0,51% 0,14% 0,41% camerounaise 6 4 10 0,31% 0,54% 0,37% sénégalaise 7 1 8 0,36% 0,14% 0,30% nigérienne 3 0 3 0,15% 0,00% 0,11% béninoise 2 0 2 0,10% 0,00% 0,07% togolaise 2 0 2 0,10% 0,00% 0,07% syrienne 2 0 2 0,10% 0,00% 0,07% éthiopienne 2 0 2 0,10% 0,00% 0,07% israélienne 2 0 2 0,10% 0,00% 0,07% malgache 2 0 2 0,10% 0,00% 0,07% ivoirienne 0 2 2 0,00% 0,27% 0,07% gabonaise 0 1 1 0,00% 0,14% 0,04% égyptienne 1 0 1 0,05% 0,00% 0,04% congolaise 1 0 1 0,05% 0,00% 0,04% mauricienne 1 0 1 0,05% 0,00% 0,04% centrafricaine 1 0 1 0,05% 0,00% 0,04% mauritanienne 1 0 1 0,05% 0,00% 0,04% malienne 1 0 1 0,05% 0,00% 0,04% djiboutienne 0 1 1 0,00% 0,14% 0,04% palestinienne 1 0 1 0,05% 0,00% 0,04% Asie / Océanie 148 1 149 7,56% 0,14% 5,53% indienne 47 0 47 2,40% 0,00% 1,75% chinoise 46 0 46 2,35% 0,00% 1,71% vietnamienne 23 1 24 1,17% 0,14% 0,89% pakistanaise 8 0 8 0,41% 0,00% 0,30% japonaise 5 0 5 0,26% 0,00% 0,19% sud-coréenne 4 0 4 0,20% 0,00% 0,15% australienne 4 0 4 0,20% 0,00% 0,15% néo-zélandaise 3 0 3 0,15% 0,00% 0,11% indonésienne 2 0 2 0,10% 0,00% 0,07% sri-lankaise 2 0 2 0,10% 0,00% 0,07% bangladaise 1 0 1 0,05% 0,00% 0,04% taïlandaise 1 0 1 0,05% 0,00% 0,04% taïwanaise 1 0 1 0,05% 0,00% 0,04% kazakh 1 0 1 0,05% 0,00% 0,04% TOTAL 1958 734 2692 100% 100% 100% Personnels sur activité de recherche : personnels sur agrégat 1 Personnels des fonctions support : personnels sur agrégat 2 et 3 89 Bilan social INRIA 2011