ROYAUME DU MAROC
OFPPT
        Office de la Formation Professionnelle et de la Promotion du Travail
                  DIRECTION RECHERCHE ET INGÉNIERIE DE FORMATION




               SUPPORTS PEDAGOGIQUES


                                      MECANIQUE ET RDM
         DOMAINE :                     PARTIE I : COURS


             SECTEUR : BTP

             SPÉCIALITÉ : GROS ŒUVRE

             NIVEAU : TECHNICIEN SPÉCIALISÉ.


             Modules concernés : 8; 9




                                                  20 MAI 2004
OP4 Finalisation des supports pédagogiques                                  Technicien spécialisé
Selon l’approche par compétence                                                      Gros Œuvre
                                                              Mécanique et RDM – Partie 1 : Cours



                              REMERCIEMENT

La DRIF remercie les personnes qui ont contribué à l’élaboration du présent document.




Pour la conception :
M. Alain BONHOMME                Expert SFERE France




Pour la validation :
M. Khalid BAROUTI                Chef projet BTP
Mme Najat IGGOUT                 Directeur du CDC BTP
M. Saïd MOURTAJI                 Formateur
M. Alain BONHOMME                Expert SFERE France




SFERE – OFPPT                                                                       Page 2 / 137
OP4 Finalisation des supports pédagogiques                                                                      Technicien spécialisé
Selon l’approche par compétence                                                                                          Gros Œuvre
                                                                                                  Mécanique et RDM – Partie 1 : Cours




                                                             SOMMAIRE

     1.NOTION DE FORCE................................................................................................................... 7
          1.1.Notion de force et de vecteur-force................................................................................. 7
          1.2.Composantes d’une force............................................................................................... 8
          1.3.Coordonnées cartésiennes d’un force (Repésentation algébrique) ................................ 8
          1.4.Exercices........................................................................................................................ 9

     2.NOTION DE MOMENT.............................................................................................................. 11
          2.1.Notion de moment........................................................................................................ 11
          2.2.Moment d’une force par rapport à un point................................................................... 11
          2.3.Notion de couple........................................................................................................... 13
          2.4.Moment résultant de plusieurs forces........................................................................... 14
          2.5.Exercices...................................................................................................................... 15

     3.NOTIONS GÉNÉRALES SUR LA MÉCANIQUE................................................................................... 16
           3.1.Définitions..................................................................................................................... 16
           3.2.Les actions mécaniques ou charges............................................................................. 16
           3.3.Exercices sur les actions mécaniques.......................................................................... 18
           3.4.Exercice sur les unités :................................................................................................ 19

     4. SYSTEMES EQUIVALENTS / REDUCTION DE SYSTEME (DE FORCES)............................... 21
           4.1.Systèmes de forces équivalents................................................................................... 21
           4.2.Réduction d’un système de forces (en 1 point)............................................................. 25
           4.3.Notion de torseur.......................................................................................................... 26
           4.4.Exercices : Notion de résultante................................................................................... 27
           4.5.Exercices : Notions de forces/moments/résultantes..................................................... 28

     5. ETUDE DES LIAISONS........................................................................................................... 30
           5.1.PRESENTATION.......................................................................................................... 30
           5.2.EFFORT TRANSMISSIBLE PAR UNE LIAISON ......................................................... 30
           5.3.Nombre d’inconnues induites par les liaisons............................................................... 31
           5.4.Exemples de differents types d’appuis de poutre......................................................... 32

     6. CONDITIONS GENERALES DE L’EQUILIBRE ..................................................................... 34
          6.1.Hypothèses................................................................................................................... 34
          6.2.But :.............................................................................................................................. 34
          6.3.Notion        d’action           mécanique               de        liaison         extérieure             et       intérieure
          à un système donné :......................................................................................................... 34
          6.4.Enoncé du principe Fondamental de la statique (P.F.S):.............................................. 35
          6.5.Cas particuliers :........................................................................................................... 35
          6.6.Résolution d'un problème de statique :......................................................................... 36
          6.7.METHODE DE RESOLUTION DES PROBLEMES DE STATIQUE............................. 39
          6.8.Le Degré Hyperstatique................................................................................................ 40
          6.9.Exercices : Degré Hyperstatique.................................................................................. 41
          6.10.Exercices d’applications du PFS................................................................................. 42



SFERE – OFPPT                                                                                                                     Page 3 / 137
OP4 Finalisation des supports pédagogiques                                                                        Technicien spécialisé
Selon l’approche par compétence                                                                                            Gros Œuvre
                                                                                                    Mécanique et RDM – Partie 1 : Cours

              6.11.Diaporama.................................................................................................................. 42

     7.CENTRE DE GRAVITE............................................................................................................. 43
          7.1.Cours élève.................................................................................................................. 43
          7.2.Exercices d’Applications : élève.................................................................................... 47
          7.3.Cours prof..................................................................................................................... 50
          7.4.Exercices d’Applications : prof...................................................................................... 54

     8. EQUILIBRE D’UN SYSTEME RETICULE............................................................................... 57
          8.1.Définition....................................................................................................................... 57
          8.2.Méthode des nœuds..................................................................................................... 59
          8.3.Méthode de RITTER..................................................................................................... 60
          8.4.Applications.................................................................................................................. 62

     9.RDM : GÉNÉRALITÉS.................................................................................................................. 65
          9.1.But de la RDM.............................................................................................................. 65
          9.2.Hypothèses de la RDM................................................................................................. 65
          9.3.Notion de contrainte...................................................................................................... 65
          9.4.Répartition uniforme des contraintes (sur une section)................................................. 68

     10.TRACTION SIMPLE ET COMPRESSION SIMPLE............................................................................... 70
          10.1.Définitions................................................................................................................... 70
          10.2.Essai de traction......................................................................................................... 70
          10.3.Applications : traction simple...................................................................................... 75
          10.4.Coefficient de Poisson : υ........................................................................................... 79

     11.CISAILLEMENT SIMPLE............................................................................................................... 80
           11.1.Définitions................................................................................................................... 80
           11.2.Contrainte de cisaillement ( En cisaillement simple)................................................... 80
           11.3.Equation de déformation............................................................................................. 82
           11.4.Calcul pratique ........................................................................................................... 82
           11.5.Exercice d’application................................................................................................. 83
           11.6.Exercice Formatif........................................................................................................ 83

     12.N, V, M..................................................................................................................................... 84
           12.1.Généralités................................................................................................................. 84
           12.2.Diagramme de N(x), V(x), M(x) Méthode de détermination........................................ 89
           12.3.Exercices.................................................................................................................... 92
           12.4.Diaporama.................................................................................................................. 93

     13.CARACTÉRISTIQUES DES SESSIONS............................................................................................ 94
          13.1.MOMENT STATIQUE................................................................................................. 94
          13.2.Moment quadratique................................................................................................... 96
          13.3.Changement de coordonnees ( th d’huygens)............................................................ 97
          13.4.Exercices.................................................................................................................... 98
          13.5.Moment quadratique polaire....................................................................................... 98

     14.CONTRAINTES DES POUTRES FLÉCHIES.................................................................................... 100
          14.1.Hypothèses............................................................................................................... 100
          14.2.Contraintes normales σ (dues à M(x)....................................................................... 100
              14.3.Déformations............................................................................................................ 102



SFERE – OFPPT                                                                                                                       Page 4 / 137
OP4 Finalisation des supports pédagogiques                                                                     Technicien spécialisé
Selon l’approche par compétence                                                                                         Gros Œuvre
                                                                                                 Mécanique et RDM – Partie 1 : Cours
              14.4.Contraintes de cisaillement longitudinal τ(dues à V(x))............................................ 104
              14.5.Applications.............................................................................................................. 108

     15.FLEXION COMPOSÉE................................................................................................................ 115
           15.1.Définition................................................................................................................... 115
           15.2.Exemples.................................................................................................................. 115
           15.3.Contraintes normales σ ........................................................................................... 115
              15.4.Contraintes Tangentielles ........................................................................................ 116
              15.5.Excentricité de charge ............................................................................................. 117
              15.6.Remarque ................................................................................................................ 117
              15.7.Exercices ................................................................................................................. 118

     16.LES FLÈCHES.......................................................................................................................... 119
          16.1.Définition................................................................................................................... 119
          16.2.Formulaire ............................................................................................................... 119
          16.3.Utilisation ................................................................................................................. 119

     17.POUTRE CONTINUE EN BETON ARME.................................................................................... 125
          17.1.Généralité................................................................................................................. 125
              17.2.Méthode forfaitaire. Artb.6.2,21 page 149................................................................ 125
              17.3.Méthode CAQUOT................................................................................................... 129
              17.4.Méthode CAQUOT minorée...................................................................................... 136
              17.5.Contrôle de beton .................................................................................................... 136
              17.6.Diaporama................................................................................................................ 136




SFERE – OFPPT                                                                                                                   Page 5 / 137
OP4 Finalisation des supports pédagogiques                  Technicien spécialisé
Selon l’approche par compétence                                      Gros Œuvre
                                             Mécanique et RDM – Partie 1 : Cours




            1 - COURS ET APPLICATIONS




SFERE – OFPPT                                                       Page 6 / 137
OP4 Finalisation des supports pédagogiques                                            Technicien spécialisé
Selon l’approche par compétence                                                                Gros Œuvre
                                                                       Mécanique et RDM – Partie 1 : Cours

   1. NOTION DE FORCE


   1.1.          NOTION DE FORCE ET DE VECTEUR-FORCE

En mécanique, les forces sont utilisées pour modéliser ou schématiser des charges concentrées et
des résultantes d’actions mécaniques très diverses ( poids, attraction magnétique, etc..).


Un vecteur force est défini par une intensité ou un module ( en Newton N ou unité dérivée daN, kN,
etc..), une direction, un sens et un point d’application.


Exemple 1 :




L’action de contact exercée par le câble(2) sur le support (1) est schématisée par le vecteur force A2/1,
de point d’application A de direction celle du câble, d’intensité 1000 daN, de sens A vers I ( le câble
tire sur le support).



Exemple 2 :




Au moment du tir, l’action de contact exercée par le pied du footballeur (2) sur le ballon (1) est
schématisée par le vecteur force T2/1, point d’application T incliné de 40° par rapport à la verticale (y),
d’intensité 15 N, de sens T vers K ( vers l’intérieur du ballon ).
Le poids du ballon est schématisé par le vecteur-poids P1, vertical (axe y), intensité 5N, sens du haut
vers le bas et de point d’application G, le centre de gravité du ballon.




SFERE – OFPPT                                                                                  Page 7 / 137
OP4 Finalisation des supports pédagogiques                                              Technicien spécialisé
Selon l’approche par compétence                                                                  Gros Œuvre
                                                                         Mécanique et RDM – Partie 1 : Cours



   1.2.          COMPOSANTES D’UNE FORCE

Une force F agissant en un point A peut toujours être remplacée par deux autres forces ou
composantes ( U et V ) agissant au même point et vérifiant la condition F = U + V




Les composantes sont les valeurs algébriques des projections de F sur un


   1.3.          COORDONNÉES CARTÉSIENNES D’UN FORCE (REPÉSENTATION ALGÉBRIQUE)

On peut considérer les coordonnées cartésiennes Fx et Fy comme étant des composantes
orthogonales particulières de la force F dans les directions x et y.⇒ (F(x) ) horizontale et (F(y)) verticale
Elles sont positives si elles sont orientées dans la même direction que ox et oy (négative dans le cas
contraire.




                      y              F                                    FA(x)
                            FA(y)                                   FA
                                                                          FA(y)
                                A
                                    FA(x)
                      o
                                                    x



Exemple : coordonnées cartésiennes de la force A2/1.


Ax = A2/1cos30° = 1000 x 0.866 = 866daN
Ay = -A2/1sin30° = -1000 x 0.5 = -500daN
║A2/1║ = √ 866² + 500² = 1000




SFERE – OFPPT                                                                                    Page 8 / 137
OP4 Finalisation des supports pédagogiques                                            Technicien spécialisé
Selon l’approche par compétence                                                                Gros Œuvre
                                                                       Mécanique et RDM – Partie 1 : Cours



   1.4.          EXERCICES

1. L’échelle utilisée pour représenter les forces est 1 mm pour 20 N.
Déterminer les modules des forces F1, F2, F3. Ecrire ces modules en N, daN et kN.




2.
a) Déterminer les coordonnées T1x et T1y de la tension T1 de la barre (1).
b) Déterminer T3 et T3x si T3y = 100 daN.
c) Déterminer T2 si (T1x+T2x+T3x=0).




3. L’action exercée par la route 0 sur la motrice 1 est schématisée par la force F0/1.
Si l’effort normal N0/1 suivant n a pour valeur 400 daN, déterminer F0/1 et T0/1 (suivant t) sachant que
F0/1 = N0/1 + T0/1




SFERE – OFPPT                                                                                  Page 9 / 137
OP4 Finalisation des supports pédagogiques                                          Technicien spécialisé
Selon l’approche par compétence                                                              Gros Œuvre
                                                                     Mécanique et RDM – Partie 1 : Cours

4. Sachant que la composante Tx de la tension T du câble en A est de 90 daN, déterminer Ty et T.




5.
a) Déterminer les coordonnées cartésiennes de F par rapport aux axes ( x, y ) et (x’,y’).




6.Ecrire les coordonnées cartésiennes Fx et Fy des forces F indiquées en fonction du module F et des
angles α et β . F = 1000 N dans les quatre cas.




SFERE – OFPPT                                                                               Page 10 / 137
OP4 Finalisation des supports pédagogiques                                          Technicien spécialisé
Selon l’approche par compétence                                                              Gros Œuvre
                                                                     Mécanique et RDM – Partie 1 : Cours

   2. NOTION DE MOMENT


   2.1.            NOTION DE MOMENT

Les effets d’une force sur un solide dépendent de la position de la force par rapport à ce corps.


Exemple de la navette spatiale :




Si la Force F passe par le centre de gravité G de la navette, le vaisseau est animé d’un mouvement
de translation de même direction que F.


Si la force ne passe pas par G, le vaisseau est à la fois animé d’un mouvement de translation et d’un
mouvement de rotation ( orientation des moteurs).


Pour traduire avec précision les effets d’une force, compte tenu de sa position, il est nécessaire de
faire intervenir la notion de moments.


   2.2.            MOMENT D’UNE FORCE PAR RAPPORT À UN POINT


          2.2.1.           Définition
Le moment de la force F par rapport au pont A, noté MA(F), est égal au produit de F par le bras de
levier d :
MA(F)= F.d (d : distance entre A et F)


Bras de levier : longueur du segment de droite issu du point de
calcul et joignant orthogonalement la droite d’action de F




SFERE – OFPPT                                                                              Page 11 / 137
OP4 Finalisation des supports pédagogiques                                            Technicien spécialisé
Selon l’approche par compétence                                                                Gros Œuvre
                                                                       Mécanique et RDM – Partie 1 : Cours

Convention de signe
Si F fait tourner le solide autour de A dans le sens trigonométrique, le moment est dit positif.


        sens trigo


                     +                -




Exemple 1 :


Déterminons F2 de façon que MA(F1) +MA(F2)=0
MA(F1) = F1 .d1= 240 x 0.1 = 24N.m
MA(F2) = -F2.d2 = -0.12F2
MA(F1)+ MA(F2)= -0.12F2+24 =0
Soit F2=200N



Exemple2 :


Déterminons le couple de serrage exercé par une clé plate sur un écrou en fonction de l’inclinaison de
l’effort B3/2.
Le couple de serrage est égal au moment en A de l’action B3/2 :
MA(B3/2)= B3/2 . AB . sin α
Si AB est perpendiculaire à B3/2 (α=90°) :
MA= B3/2 . AB . sin 90= 100x0.2x1=20 N.m
Si α= 60° :
MA1= B3/2 . AB . sin 60° = 17.3 N.m
Si α= 45° :
MA2= B3/2 . AB . sin 45° =14.1 N.m




SFERE – OFPPT                                                                                Page 12 / 137
OP4 Finalisation des supports pédagogiques                                         Technicien spécialisé
Selon l’approche par compétence                                                             Gros Œuvre
                                                                    Mécanique et RDM – Partie 1 : Cours


          2.2.2.           Théorème de Varignon




Le moment de la force F au point A est égal à la somme des moments de ses composantes U et V
par rapport au même point.


MA(F)= MA(U) + MA(V)


Pour notre cas: MA(F) = F.d = -U.dU + V.dV


Exemple :
Déterminons MA(F) de la Force F.


Fx = F cos60° = 1000 X 0.5 = 500 N
Fy = F sin60° = 1000 x 0.866 = 866 N
MA(F) = MA(Fx)+ MA(Fy)
        = -500 x 0.1 + 866 x 0.16
        = 88.6 N.m = F.d


Rq: Le calcul à partir des composantes est ici plus simple que l’application directe à partir de
F.d (détermination de d plus difficile).


   2.3.            NOTION DE COUPLE


          2.3.1.           Définition
Le moment engendré par deux forces égales et opposées ayant des
lignes d’action différentes constitue un couple (M).
L’intensité F.d du couple est indépendante du point O choisi ou de la
valeur de a. Elle ne dépend que de la distance d entre les deux forces
et de l’intensité F.



M= MO(F) + MO(-F) = F(a+b) – F.a = F.d




SFERE – OFPPT                                                                             Page 13 / 137
OP4 Finalisation des supports pédagogiques                                        Technicien spécialisé
Selon l’approche par compétence                                                            Gros Œuvre
                                                                   Mécanique et RDM – Partie 1 : Cours

Exemple:


Une clé à bougie se compose d’un
corps et d’une tige de manœuvre
coulissante et réglable.
F et –F schématisent les actions
exercées par les mains de
l’opérateur.
Si F = 100 N, déterminons le
couple de desserrage (M) exercé
par la clé sur l’écrou en E, pour les
positions indiquées.


Pour les quatre positions, on a :
M = ME(F) + ME(-F)= MO(F) + MO(-F)
  = F x OB + F x OA = F.AB = 0,4 F= 40 N.m


Pour la position 1: M = 0.2F + 0.2F = 0.4F             Pour la position 1: M = 0.15F + 0.25F = 0.4F
Pour la position 2: M = 0.3F + 0.1F = 0.4F             Pour la position 1: M = 0 + 0.4F = 0.4F


   2.4.          MOMENT RÉSULTANT DE PLUSIEURS FORCES

Le moment résultant MA en un point A de n forces F1,F2,F3,…..,Fn est égal à la somme des moments
en A de chacune des forces.
MA = MA(F1) + MA(F2) +MA(F3) +.........+MA(Fn)


Exemple: la balance romaine


Une balance romaine se compose d’un balancier 2 articulé en O sur un crochet 1 lié à un support fixe
et d’une masse d’équilibrage mobile 3 ( a variable) de poids q = 5daN.
La masse à peser, poids P, est suspendue en B par l’intermédiaire d’un crochet 4. si a = 70 cm,
déterminons la valeur de P.




Lorsqu’il y a équilibrage des deux masses, le moment résultant en O des poids P et q est nul.
MO = MO(P) + MO(q) = P x 0.1 – q x 0.7 = 0
D’où P = 7q = 7 x 5 = 35 daN




SFERE – OFPPT                                                                            Page 14 / 137
OP4 Finalisation des supports pédagogiques                                           Technicien spécialisé
Selon l’approche par compétence                                                               Gros Œuvre
                                                                      Mécanique et RDM – Partie 1 : Cours



   2.5.            EXERCICES


          2.5.1.           EXERCICE N°1
La force F schématise l’action de serrage exercée par l’opérateur.
Calculer le moment en B (couple de serrage sur l’écrou) de la force F.




          2.5.2.           EXERCICE N°2
Déterminer le moment en O de la force F agissant sur le point B de la potence.




          2.5.3.           EXERCICE N°3
Calculer le moment en O de la force F agissant au point B.




          2.5.4.           EXERCICE N°4
    a) Déterminer le moment résultant en (Mo) exercé par le couple de Force F et –F
    b) Calculer le moment en A, B, C.
    c) Quelle doit être la valeur de T pour que le couple T et (-T ) puisse équilibrer le couple
       précédent ?




SFERE – OFPPT                                                                               Page 15 / 137
OP4 Finalisation des supports pédagogiques                                          Technicien spécialisé
Selon l’approche par compétence                                                              Gros Œuvre
                                                                     Mécanique et RDM – Partie 1 : Cours

   3. NOTIONS GÉNÉRALES SUR LA MÉCANIQUE


   3.1.            DÉFINITIONS


          3.1.1.            Buts de la Mécanique:
- Etudier l'équilibre des solides (statique) ou le mouvement (dynamique)
- Déterminer un état de contrainte et un état de déformation en tout point de la matière (R.d.M)

          3.1.2.            Définition du solide en statique.
En statique, un solide est un corps :
• Homogène : la masse est répartie de façon homogène sur tout le volume.

• Géométriquement parfait : les défauts de forme ne sont pas pris en compte dans la schématisation
   du solide.

• Indéformable : on ne tient pas compte des déformations du solide soumis à un effort.

• Isotrope : le solide a les mêmes caractéristiques mécaniques dans toutes les directions.


          3.1.3.            Principe des actions mutuelles
Pour deux solides 0 et 1 en contact, l’action exercée par
le solide 0 sur le solide 1 est égale et opposée à l’action
exercée par le solide 1 sur le solide 0.


   3.2.            LES ACTIONS MÉCANIQUES OU CHARGES.

Les actions mécaniques représentent les efforts exercés sur des solides ou entre solides. Ces actions
mécaniques sont schématisées ou modélisées par des forces et des moments.

Il existe deux types d’actions mécaniques :
                         les actions à distance
                         les actions de contact

          3.2.1.            Les actions mécaniques à distance
On se limitera au poids d’un solide (effet de la gravité).


Le poids est représenté par un vecteur P :
                Point d’application : centre de gravité G
                Direction : verticale
                Sens : vers le bas
                Intensité : P = Mg (N)
                M : masse en Kg
                                                                    P
                g = 9,81 m/s² : accélération de la pesanteur
                ou attraction terrestre




SFERE – OFPPT                                                                              Page 16 / 137
OP4 Finalisation des supports pédagogiques                                           Technicien spécialisé
Selon l’approche par compétence                                                               Gros Œuvre
                                                                      Mécanique et RDM – Partie 1 : Cours

Dans le domaine du Génie Civil, on prendra :
   o pour un solide en surface (plancher) : le poids surfacique (relatif à une surface) N/m²
   o pour un solide en longueur (poutre) : le poids linéaire (relatif à une longueur) N/m


Exemple :
Déterminer le poids surfacique d’un plancher de 18 cm d’épaisseur.
Déterminer le poids linéaire d’une poutre de section 50x20 cm.
Données : Poids volumique du béton armé 25 kN/m3

        3.2.2.             Les actions mécaniques de contact


      A   Actions de contact ponctuelles (charges concentrées)

Si deux solides sont en contact en un point ou sur une très petite surface, l’action de contact est
représentée par un vecteur force dont le point d’application est le point de contact.


Exemple : Appui d’une poutre sur une poutre.                                  F2/1




                   2


                                1


                                                                                     Unité : N

      B   Actions de contact linéiques (charges réparties)

Si deux solides sont en contact suivant une ligne, l’action est schématisée par un vecteur force q
appliqué sur toute la ligne de contact.


Exemple : Cloison sur plancher.




                                                                                                        q




                                                                                                  Unité : N/ml




SFERE – OFPPT                                                                                    Page 17 / 137
OP4 Finalisation des supports pédagogiques                                         Technicien spécialisé
Selon l’approche par compétence                                                             Gros Œuvre
                                                                    Mécanique et RDM – Partie 1 : Cours


      C     Actions de contact ou charges réparties sur une surface

Exemple : Vent sur mur.




                                              schématiquement
          Vent




                                                                                           Unité : N/m²


   3.3.          EXERCICES SUR LES ACTIONS MÉCANIQUES

Exercice n°1 :
Poutre AB :
• Caractéristiques géométriques :

   Portée : 3.5 m
   Appui de gauche A : articulation
   Appui de droite B: appui simple
   Repère (A ; x ; y )

• Actions mécaniques

   Deux charges ponctuelles verticales vers le bas d’intensité F=3KN appliquées à x =1.00m et         x
   =2.50m.
   Une charge linéaire uniformément répartie verticale vers le bas d’intensité q=1.5 KN/ml sur toute la
   poutre.


Effectuer le schéma mécanique de la poutre AB.
Calculer le moment en A engendrée par les forces F .
Calculer le moment en A engendrée par la charge linéaire q.
En déduire le moment total en A.




SFERE – OFPPT                                                                             Page 18 / 137
OP4 Finalisation des supports pédagogiques                                            Technicien spécialisé
Selon l’approche par compétence                                                                Gros Œuvre
                                                                       Mécanique et RDM – Partie 1 : Cours

Poutre CD :
• Caractéristiques géométriques :

   Portée : 5.60m
   Appui de gauche C : encastrement
   Appui de droite D: libre
   Repère ( C ; x ;y )

• Actions mécaniques

          Une charge ponctuelle verticale F vers le bas d’intensité 10KN appliquées à x =2.50m
          Une charge linéaire uniformément répartie verticale vers le bas d’intensité q=1 KN/ml sur toute
          la poutre.


Effectuer le schéma mécanique de la poutre CD.
Calculer le moment en C engendrée par les forces F .
Calculer le moment en C engendrée par la charge linéaire q.
En déduire le moment engendrée par F + q


   3.4.            EXERCICE SUR LES UNITÉS :

10000cm² =            m²                 0.800MN/m =             KN/m
10 000 000cm3=              m3            10KN/mm² =             KN/m²
25KN/mm =            KN/m                1MN/cm² =              KN/m²
300N/m =             KN/m

          3.4.1.            Exercice N°2
Soit une poutre AB en béton armé de section 50 x 20cm et de portée 6.00m.
Appui A : articulation
Appui B : appui simple
Poids volumique du béton armé : 25 KN/m3


          1. Déterminer le poids P en KN de la poutre considérée.
          2. En déduire le poids linéaire p en KN/m de la poutre.
          3. Effectuer le schéma mécanique de la poutre AB.
          4. Calculer le moment en A engendré par le poids de la poutre.

          3.4.2.            Exercice N°3
Soit un plancher en béton armé d’épaisseur 18 cm et de surface 200m².


          1. Déterminer le poids surfacique Ps du plancher (KN/m²) .
          2. Déterminer le poids P du plancher (KN).




SFERE – OFPPT                                                                                Page 19 / 137
OP4 Finalisation des supports pédagogiques                                            Technicien spécialisé
  Selon l’approche par compétence                                                                Gros Œuvre
                                                                         Mécanique et RDM – Partie 1 : Cours


          3.4.3.             Exercice N°4
  Soit une poutre AB en béton armé supportant une partie d’un plancher béton armé.
  Largeur de dalle reprise par la poutre : 5 m
  Epaisseur du plancher : 16 cm
  Section de la poutre : 30 x 60 cm
  Portée de la poutre : 5.00 m
  Poids volumique du béton armé : 25KN/m3
  Appui A : appui simple
  Appui B : articulation.


                   1. Déterminer le poids P1 du plancher en KN.
                   2. Déterminer le poids P2de la poutre en KN.
                   3. En déduire le poids total P : plancher + poutre.
                   4. Effectuer le schéma mécanique de la poutre AB.
                   5. Calculer le moment en A engendré par P.




Plancher BA
                                                              Poutre BA




  SFERE – OFPPT                                                                                Page 20 / 137
OP4 Finalisation des supports pédagogiques                                         Technicien spécialisé
               Selon l’approche par compétence                                                             Gros Œuvre
                                                                                   Mécanique et RDM – Partie 1 : Cours

                      4. SYSTEMES EQUIVALENTS / REDUCTION DE SYSTEME (DE FORCES)


                      4.1.            SYSTÈMES DE FORCES ÉQUIVALENTS


                             4.1.1.          Définitions.
               Un système de forces est un ensemble de forces agissant simultanément sur un système matériel
               (= solide ou ensemble de solide)


               Des systèmes de forces différents sont dits équivalents si appliqués séparément à un solide ils
               provoque les mêmes effets :
               On dit également qu’ils ont les mêmes éléments de réductions.
               C'est à dire :
               Ils ont la même résultante et le même moment résultant en un point donné.
               ⇒         ∑ Forces      = identique
                         ∑ Moment      = identique


               Remarque : Il est toujours possible de remplacer un système de forces par un autre s'il est équivalent
               au précédent.

                             4.1.2.          Exemples


                         A     Composantes d’une force

               (= projections orthogonales de F sur ox ⇒F(x) et sur oy ⇒F(y), ayant la même origine que F).



                                                   y
y
           F
    F(y)                                                 F(y)
                  α
           F(x)                                                 F(x)
    1




                                                       1




o                                                  o
    2          1                x                        2      2             x




               Exercice
               Montrez le système 1 est équivalent au système 2 (prendre F = 20 kN et α = 40°)


               Conséquence :
               Le Mt F/o = F x OA est égal aussi à Mt Fx/o + Mt Fy/o
               = -F(x) x A + F(y) x B




               SFERE – OFPPT                                                                             Page 21 / 137
OP4 Finalisation des supports pédagogiques                                         Technicien spécialisé
Selon l’approche par compétence                                                             Gros Œuvre
                                                                    Mécanique et RDM – Partie 1 : Cours

En pratique :
Il sera plus simple de faire le moment d’une force en utilisant les valeurs de ses composantes,
placées à l’origine de F.




SFERE – OFPPT                                                                             Page 22 / 137
OP4 Finalisation des supports pédagogiques                                          Technicien spécialisé
Selon l’approche par compétence                                                              Gros Œuvre
                                                                     Mécanique et RDM – Partie 1 : Cours


      B   Résultante d’un système de forces.

• Si la somme des forces est non nulle, on peut dire que le système admet une résultante.

• En effet il sera possible de trouver un système de force à une force équivalent.

                - Σ Forces identique ⇒ R = Σ Forces
                - Σ Mt /même point ⇒ Position de R

Système à forces concourantes

                                                                                R
                                 F1
                                                           y
                 y
                                         F2


                 o                                         o
                                 1            x                             2         x
On veut que le système 2 soit équivalent au système 1
⇒ Σ Force identique ⇒ R = F1 + F2
   Σ Moments identique⇒ or Σ Mt A (F1,F2) = 0 ⇒ R passe par A


Conclusion :
Soit un système de n forces F1,F2,…,Fn concourantes en un même point I.
La résultante R des n forces passe aussi par I et est égale à la somme vectorielle des n forces :    R=
F1+F2+....+Fn


Exemple:
pour la vis proposée, déterminons la résultante ou l’effet combiné des quatre tensions de câbles
T1,T2,T3 et T4

                         1. Méthode graphique




SFERE – OFPPT                                                                              Page 23 / 137
OP4 Finalisation des supports pédagogiques                                              Technicien spécialisé
Selon l’approche par compétence                                                                  Gros Œuvre
                                                                         Mécanique et RDM – Partie 1 : Cours
                         2. Par le calcul :
R = T1+T2+T3+T4 donne en projection sur les axes x et y


Rx=


Ry=


║R║=

tanθ =


Système à forces parallèles
Soit le système 1 à deux forces : déterminer R dans le système 2 ( position et intensité)
Avec F1 = 10 KN et F2 = 40 KN



                                                                     A
                         A
                                 B                                            B


                  1.00   1.50                                 1.00   1.50



Exercice
Déterminer la résultante du système 1 (intensité, position)




Exemple
Pour l’exemple ci-contre :
Déterminons par le calcul la résultante de F1, F2 et F3
(intensité, position)




Résultante d’un système de forces planes quelconques
Si les forces connues ne sont pas toutes concourantes au même point, il est nécessaire de déterminer
graphiquement la ligne d’action de la résultante par approches successives, en combinant les forces
deux à deux.




SFERE – OFPPT                                                                                  Page 24 / 137
OP4 Finalisation des supports pédagogiques                                        Technicien spécialisé
Selon l’approche par compétence                                                            Gros Œuvre
                                                                   Mécanique et RDM – Partie 1 : Cours

Exemple :
Déterminons la résultante des actions F1,F2 et F3 exercées par trois remorqueurs pour manœuvrer un
pétrolier.




Le pétrolier se comporte comme si un seul remorqueur poussait dans la direction DJ avec une
poussée de 600 KN


   4.2.          RÉDUCTION D’UN SYSTÈME DE FORCES (EN 1 POINT)

Il s’agit de modifier un premier système de force pour que seul apparaisse un système de forces
appliqué en un point donné = Réduction de système en un point.
Le deuxième système ainsi obtenu devant être équivalent au premier.
-On obtient ainsi les éléments de réduction en un point.




                                                                                  C



Exemple:

                                     d2
                 FA         FB
                        A            d1      C
                                 B


Question :
Déterminer littéralement les éléments de réduction en C de FA et FB
                        a/ Algébriquement.
                        b/ Vectoriellement.




SFERE – OFPPT                                                                            Page 25 / 137
OP4 Finalisation des supports pédagogiques                                               Technicien spécialisé
Selon l’approche par compétence                                                                   Gros Œuvre
                                                                          Mécanique et RDM – Partie 1 : Cours



   4.3.              NOTION DE TORSEUR


          4.3.1.             Définition :
C’est une grandeur mathématique qui représente la réduction d’un système de force en un point.


                                                                      A




⇒Un torseur d’action mécanique en un point est un ensemble constitué de deux grandeurs :
          - une force S (somme des forces concernées), indépendante du point choisi ;
          - un couple MA (ou moment résultant), fonction du point A choisi.

                                                    S
⇒ TORSEUR en A = TA = ensemble

                                                    M   A


                   S et MA sont les éléments de réduction du torseur.


                                                        S1/2
          Exemple de notation    T1/2 = ensemble:                  est le torseur de actions de ½ en A
                                        A
                                                        M1/2   A


          4.3.2.             Ecriture Algébrique :




          4.3.3.             Somme de torseur :
La somme de plusieurs torseurs ne peut se faire que s'ils sont tous écrits au même point; c’est
impératif ! (une somme de moment ne pouvant se faire que s'ils sont calculés / même point).

          4.3.4.             Torseurs particuliers
          Couple



          Glisseur



          Torseur nul




SFERE – OFPPT                                                                                   Page 26 / 137
OP4 Finalisation des supports pédagogiques                                          Technicien spécialisé
Selon l’approche par compétence                                                              Gros Œuvre
                                                                     Mécanique et RDM – Partie 1 : Cours



   4.4.            EXERCICES : NOTION DE RÉSULTANTE


          4.4.1.           Exercice N°1 :
Déterminer le résultante R de T1 et T2
agissant sur le palier en A.




          4.4.2.           Exercice N°2 :
Le palier à roulement est soumis aux actions A et B.
Calculer les composantes horizontale (x) et (y) des forces A et B.
En déduire la résultante des deux forces.




          4.4.3.           Exercice N°3 :
Pour les trois cas proposés, déterminer la résultante des trois forces
F,T et S.

          4.4.4.           Exercice N°4 :
F1,F2,F3 et F4 schématisent les actions exercées par les câbles sur la
tête de la vis.
Déterminer la résultante des quatre forces.




SFERE – OFPPT                                                                              Page 27 / 137
OP4 Finalisation des supports pédagogiques                                        Technicien spécialisé
Selon l’approche par compétence                                                            Gros Œuvre
                                                                   Mécanique et RDM – Partie 1 : Cours


          4.4.5.            Exercice N°5 :
    P1 (150 kN) schématise le poids de la partie camion, P2(90kN) le
    poids du corps de la grue et P3(70kN) le poids de la flèche
    télescopique.
    Déterminer la résultante des trois forces.




   4.5.            EXERCICES : NOTIONS DE FORCES/MOMENTS/RÉSULTANTES


          4.5.1.            Exercice1
La force R schématise la résultante des forces de pression
dues au vent.
Calculer le moment en A de R, A étant la zone fragile du
panneau indicateur.



          4.5.2.            Exercice2
Calculer le moment en C de la force T et le moment en C
de la force S.
Déduire le moment résultant en C des deux forces.




          4.5.3.            Exercice3
Les forces F et T, appliquées en I et J, schématisent les
actions exercées par les roues dentées.


Calculer le moment en O de la force F
A partir de quelle valeur la force T équilibre-t-elle le couple
moteur engendré par F.




SFERE – OFPPT                                                                            Page 28 / 137
OP4 Finalisation des supports pédagogiques                                             Technicien spécialisé
Selon l’approche par compétence                                                                 Gros Œuvre
                                                                        Mécanique et RDM – Partie 1 : Cours


        4.5.4.              Exercice 4
La tension du câble AB est T1 = 18.5 kN, celle du câble
AC est T2=13kN avec α=45°
Déterminer la résultante R de T1 et T2 en kN, daN et N.




        4.5.5.              Exercice 5
F1,F2 et F3 schématisent les forces exercées sur la structure en treillis.
Déterminer la résultante des trois forces.




SFERE – OFPPT                                                                                 Page 29 / 137
OP4 Finalisation des supports pédagogiques                                            Technicien spécialisé
Selon l’approche par compétence                                                                Gros Œuvre
                                                                       Mécanique et RDM – Partie 1 : Cours

   5. ETUDE DES LIAISONS


   5.1.           PRESENTATION

Dans le bâtiment, les liaisons entre solides se ramènent à trois familles principales :
Appui simple, articulation ou pivot et encastrement.


Chaque famille peut supporter ou transmettre des efforts différents.


   5.2.           EFFORT TRANSMISSIBLE PAR UNE LIAISON

L’action exercée par les surfaces de liaison des solides (0 et 1) en contact est schématisée par une
résultante S (coordonnées Sx et Sy ) et un moment éventuel M.


     Type de       Schématisation     Actions de
      liaison         usuelle        contact entre                     Exemples
                                         0 et 1


  Appui simple
  (1 inconnue)




  Articulation
  ou Pivot
  (2 inconnues)




  Encastrement
  (3 inconnues)




Plus généralement
Suivant la nature de la liaison entre deux solides, les six coordonnées Sx, Sy, ........Mz, du torseur
peuvent être nulles ou non. (Mouvements possibles ou non).

⇒ L’ensemble des coordonnées non nulles caractérisent l’effort transmissible par la liaison. (Par
conséquent une coordonnée nulle signifie que le mouvement correspondant et libre entre les deux
solides)

⇒ Le nombre de degré de liberté correspond au nombre des composantes nulles du torseur associé.




SFERE – OFPPT                                                                                Page 30 / 137
OP4 Finalisation des supports pédagogiques                                          Technicien spécialisé
Selon l’approche par compétence                                                              Gros Œuvre
                                                                     Mécanique et RDM – Partie 1 : Cours

Remarques :
- La somme des efforts transmissibles et des degrés de liberté est égale à 6 dans l’espace et à 3 dans
le plan (nombre de coordonnées du torseur).
- Si le nombre d’efforts transmissibles↑, le nombre des degrés de liberté↓.
- Les efforts transmissibles par une liaison correspondent généralement aux actions cherchées en
statique = nombre d’inconnues de statique.
                                               Mvt. relatifs       Torseur des        Exemples dans
     Liaisons                Schéma
                                                de liberté         interactions         le bâtiment
                                              0 Translation
                                                                     Sx Mx
                                               0 Rotation
  Encastrement                                                       Sy My
                                                                     Sz Mz
                                             ⇒ 0 °d de liberté
                                              0 Translation
                                                                      Sx 0
    Articulation                               1 Rotation
                                                                     Sy My
      (pivot)
                                                                     Sz Mz
                                             ⇒ 1 °d de liberté
                                              2 Translations
   Appui simple                                                       0 0
                                               3 Rotations
    (ponctuel)                                                        0 0
    (suivant z)                                                       Sz 0
                                             ⇒ 5 °d de liberté
                                              2 Translations
                                                                      0 Mx
                                                1 Rotation
    Appui plan                                                        0 My
                                                                      Sz 0
                                             ⇒ 3 °d de liberté


   5.3.            NOMBRE D’INCONNUES INDUITES PAR LES LIAISONS


      A     Dans l’espace :

Appui simple → 1 inconnue : Sz.
          Intensité de Sz inconnue
          direction connue ⊥ au plan de contact.


Articulation → 5 inconnues


Encastrement → 6 inconnues

      B     Dans le plan :

   Appui simple → 1 inconnue : Sz.
          Intensité de Sz inconnue
          direction connue ⊥ au plan de contact.


   Articulation → 2 inconnues : direction et intensité de S (= Sx, Sy) (Mz = 0)


   Encastrement → 3 inconnues : direction et intensité de S (= Sx, Sy) et intensité de Mz



SFERE – OFPPT                                                                              Page 31 / 137
OP4 Finalisation des supports pédagogiques                               Technicien spécialisé
Selon l’approche par compétence                                                   Gros Œuvre
                                                          Mécanique et RDM – Partie 1 : Cours



   5.4.          EXEMPLES DE DIFFERENTS TYPES D’APPUIS DE POUTRE




SFERE – OFPPT                                                                   Page 32 / 137
OP4 Finalisation des supports pédagogiques                  Technicien spécialisé
Selon l’approche par compétence                                      Gros Œuvre
                                             Mécanique et RDM – Partie 1 : Cours




SFERE – OFPPT                                                      Page 33 / 137
OP4 Finalisation des supports pédagogiques                                           Technicien spécialisé
Selon l’approche par compétence                                                               Gros Œuvre
                                                                      Mécanique et RDM – Partie 1 : Cours

   6. CONDITIONS GENERALES DE L’EQUILIBRE


   6.1.               HYPOTHÈSES

Tous les corps étudiés sont indéformables.
Les coordonnées d'un point quelconque sont constantes.
Les supports des forces sont invariables.


   6.2.               BUT :

On veut déterminer les actions extérieures agissant sur un système, dans le but ultérieur d’appliquer
la R.d.M.
Un système étant composé d’un solide unique ou d’un ensemble de solides.


   6.3.               NOTION D’ACTION MÉCANIQUE DE LIAISON EXTÉRIEURE ET INTÉRIEURE
                      À UN SYSTÈME DONNÉ :


Généralités :
- A chaque liaison s’exercent des actions mécaniques (Forces et moments) dites de liaison,
correspondant à l’action d’une barre sur une autre (plus généralement d’un système sur un autre au
niveau de cette liaison).
- Ces actions mécaniques sont dites :
        Extérieures au système lorsqu’elles remplacent l’action d’une liaison que l’on vient de couper
        pour isoler ce système.
        Intérieures au système quand la liaison n’a pas été coupée.


Exemple :
Soit le système (potence) modélisé ci-dessous composé de plusieurs solides (CE=3 ; CA=1 ; BD=2)

Cette potence est scellée (Encastrée) dans le sol.

                  3      D       E       Donnez :
     C
                                     F   a/ Au moins 2 actions extérieures au système Potence (1+2+3)

                  2                      b/ Au moins 2 actions intérieures au système Potence (1+2+3)
     B

                                         c/ Au moins 3 actions extérieures au système 1
              1
                                         b/ Au moins 2 actions intérieures au système 1+3

          A




SFERE – OFPPT                                                                               Page 34 / 137
OP4 Finalisation des supports pédagogiques                                         Technicien spécialisé
Selon l’approche par compétence                                                             Gros Œuvre
                                                                    Mécanique et RDM – Partie 1 : Cours



   6.4.          ENONCÉ DU PRINCIPE FONDAMENTAL DE LA STATIQUE (P.F.S):

Pour qu'un solide soit en équilibre (statique) il faut qu'il ne subisse aucun déplacement :
         Pas de translation (dans n'importe quelle direction).
         Pas de rotation
Donc un solide indéformable en équilibre sous l’action de n forces extérieures (F1,F2,….,Fn) reste en
équilibre si :

• la somme vectorielle S de toutes les forces extérieures est nulle (pas de translation)

   ∑Fext = F1 +F2+ …..+Fn =0


   En projection sur x et y : 2équations
                ∑Fx = F1x+F2x+…….+Fnx=0 (1)
                ∑Fy = F1y+F2y+……..+Fny=0 (2)


• Le moment résultant MI en n’importe quel point I de toutes les forces extérieures est nul (Pas de
   rotation).

                ∑MI(Fext) = MI(F1)+ MI(F2)+.......+ MI(Fn) =0 (3)


Dans le plan :
        1/ ∑ F(x) = 0
        2/ ∑ F(y) = 0
        3/ ∑ M(z) = 0
3 équations de la statique ⇒ 3 inconnues.


Dans l'espace :
        1/ ∑ F(x) = 0                   4/ ∑ M(x) = 0
        2/ ∑ F(y) = 0                   5/ ∑ M(y) = 0
        3/ ∑ F(z) = 0                   6/ ∑ M(z) = 0
        6 équations de la statique ⇒ 6 inconnues.


   6.5.          CAS PARTICULIERS :


                                                                         F




                                                                                    -F



Solide soumis à l'action de 2 forces
Un solide soumis à 2 forces est en équilibre si les 2 forces
sont directement opposées :




SFERE – OFPPT                                                                              Page 35 / 137
OP4 Finalisation des supports pédagogiques                                           Technicien spécialisé
Selon l’approche par compétence                                                               Gros Œuvre
                                                                      Mécanique et RDM – Partie 1 : Cours



Solide soumis à l'action de 3 forces
(dans le plan:)
                                                            F1
                                                                                              F2
                                                                      O
                                                                                  F2
                                                                                                      F3

                                                                                              F1

                                                                                         dynamique fermé
                                                                 F3




Un solide soumis à 3 forces est en équilibre si :
        Les 3 forces sont concourantes.
        La dynamique des forces est fermée.




   6.6.            RÉSOLUTION D'UN PROBLÈME DE STATIQUE :

Pour résoudre un problème de statique : 3 étapes sont nécessaires

          6.6.1.           Etablir le schéma mécanique
Un schéma mécanique est un schéma modélisé (simplifié) de la structure sur lequel seules
apparaissent les forces extérieures agissant directement sur le système.

Méthodologie :

      A     Modéliser le système :

Consiste à simplifier le dessin du système (gain de temps) tout en gardant statiquement équivalent :
       - Garder la forme générale du solide (ou les solides) et le représenter par sa fibre moyenne.
       - Schématiser les différentes liaisons (voir chap.II)

      B     Isoler le système matériel à étudier :

- "couper "au niveau des liaisons du système à étudier avec l’extérieur
- remplacer les liaisons coupées par les actions mécaniques associées.

      C     Ajouter les actions extérieures :

- représenter les actions extérieures (charges d'exploitation, charges permanentes) par des vecteurs
forces (charges ponctuelles, charges réparties) ou des vecteurs moments.
- indiquer toutes les cotes nécessaires.




SFERE – OFPPT                                                                               Page 36 / 137
OP4 Finalisation des supports pédagogiques                                         Technicien spécialisé
Selon l’approche par compétence                                                             Gros Œuvre
                                                                    Mécanique et RDM – Partie 1 : Cours

        6.6.2.             Faire le bilan
- Faire le bilan des inconnues (I)
- Faire le bilan des équations possibles (E) dans notre exemple :
                  si I ≤ E résoluble.
                  I > E non résoluble.




SFERE – OFPPT                                                                             Page 37 / 137
OP4 Finalisation des supports pédagogiques                                            Technicien spécialisé
Selon l’approche par compétence                                                                Gros Œuvre
                                                                       Mécanique et RDM – Partie 1 : Cours


        6.6.3.               Appliquer le principe fondamental de statique :
Dans le plan :
3 équations pour 3 inconnues (en général : actions de contact). Le système est dit isostatique.
Résoudre le système d'équations


Rappels et Remarques :
a/ Actions extérieures(à un système) : Actions directement appliquées sur le système (dont poids) et
actions des liaisons coupées

b/ Les coupures devront être choisies de façon à faire apparaître les actions recherchées (⇒ choix de
l’élément à isoler).


c/ Intérêt des systèmes soumis à 2 forces.
Le seul intérêt (non négligeable) d’un élément soumis à deux forces est de donner la direction des
forces (puisque opposées) qui se traduit par une équation supplémentaire dans la résolution de la
                                  F( x )
statique de la forme :   Tanα =            .
                                  F( y )



Exemple :


                                                       q = 2.5 KN/ml
                                                                                   F = 1 KN/ml

                                                                                           C
                                                                                                 1,00 m
                                               Μοδλισατιο
                                               ν⇒
                                                        A
                                                                       2,00 m              B
              encastrement
                                                                        g = 6 KN/ml
          Balcon à étudier

                                                       q = 2.5 KN/ml
                                                                                   F = 1 KN/ml
                                                                                           C
                                                 µA                                              1,00 m

                       schéma mécanique                A
                                                                                           B
                                                  RA                      2,00 m

                                                                        g = 6 KN/ml


Dans notre exemple.
       g charge permanente : poids propre.
       q charge d'exploitation : poids des personnes.
       F charge d'exploitation horizontale.




SFERE – OFPPT                                                                                Page 38 / 137
OP4 Finalisation des supports pédagogiques                                       Technicien spécialisé
Selon l’approche par compétence                                                           Gros Œuvre
                                                                  Mécanique et RDM – Partie 1 : Cours



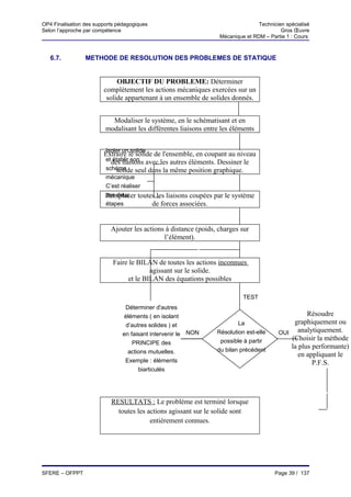
   6.7.          METHODE DE RESOLUTION DES PROBLEMES DE STATIQUE


                             OBJECTIF DU PROBLEME: Déterminer
                        complètement les actions mécaniques exercées sur un
                         solide appartenant à un ensemble de solides donnés.


                           Modaliser le système, en le schématisant et en
                         modalisant les différentes liaisons entre les éléments


                         Isoler un solide
                        Extraire le solide de l'ensemble, en coupant au niveau
                        et des liaisons avec les autres éléments. Dessiner le
                           établir son
                        schéma seul dans la même position graphique.
                             solide
                         mécanique
                         C’est réaliser
                         Remplacer toutes les liaisons coupées par le système
                         ces deux
                         étapes         de forces associées.


                           Ajouter les actions à distance (poids, charges sur
                                              l’élément).


                            Faire le BILAN de toutes les actions inconnues
                                         agissant sur le solide.
                                 et le BILAN des équations possibles

                                                                           TEST
                                 Déterminer d'autres
                                éléments ( en isolant                                             Résoudre
                                 d’autres solides ) et                   La                  graphiquement ou
                                en faisant intervenir le NON     Résolution est-elle     OUI analytiquement.
                                                                  possible à partir         (Choisir la méthode
                                    PRINCIPE des
                                                                 du bilan précédent
                                                                                            la plus performante)
                                  actions mutuelles.
                                                                                               en appliquant le
                                 Exemple : éléments                                                 P.F.S.
                                      biarticulés                                                                  a




                           RESULTATS : Le problème est terminé lorsque
                             toutes les actions agissant sur le solide sont
                                         entièrement connues.




SFERE – OFPPT                                                                           Page 39 / 137
OP4 Finalisation des supports pédagogiques                                            Technicien spécialisé
Selon l’approche par compétence                                                                Gros Œuvre
                                                                       Mécanique et RDM – Partie 1 : Cours



   6.8.           LE DEGRÉ HYPERSTATIQUE

Un solide, ou un ensemble de solides, qui possède des appuis ou des liaisons surabondantes par
rapport à ce qui est strictement nécessaire au maintien de l’équilibre, est dit statiquement
indéterminable ou hyperstatique.
Pour ce cas, les actions exercées ne peuvent pas être déterminées à partir des seules équations de la
statique.


Rappel :
Le PFS nous permet d’obtenir 3 équations :

∑Fext =0
En projection sur x et y        2 équations
                                                                   3 équations
∑M(Fext)=0                  1 équation


notation :        Ne : nombre d’équations fournies par le PFS
                  Ni : Nombre d’inconnues
                  Degré Hyperstatique DH : Ni -Ne


Exemple :
La poutre (ABC) est en appui sur trois articulations fixes A, B et C qui donnent au total six inconnues
statiques : Ax, Ay ,Bx ,By, Cx, Cy .On ne dispose que de trois équations pour la résolution, le système est
dit hyperstatique d’ordre 3 (6-3 = 3).




Remarque :
Le calcul du degré hyperstatique est indépendant du chargement


3 cas sont envisagés :
• si Ne=Ni : la structure est isostatique. La résolution du problème est possible par les équations de
   la statique.

• si Ne>Ni : la structure est hypostatique. Elle n’est pas en équilibre et donc instable.

• si Ne<Ni : La structure est hyperstatique. Elle possède des appuis ou des liaisons surabondantes
   par rapport à ce qui est strictement nécessaire au maintien de l’équilibre. Les équations de la
   statique ne suffisent pas pour la résolution du problème.




SFERE – OFPPT                                                                                Page 40 / 137
OP4 Finalisation des supports pédagogiques                                   Technicien spécialisé
Selon l’approche par compétence                                                       Gros Œuvre
                                                              Mécanique et RDM – Partie 1 : Cours



   6.9.          EXERCICES : DEGRÉ HYPERSTATIQUE

Déterminer le degré hyperstatique des structures proposées.




SFERE – OFPPT                                                                       Page 41 / 137
OP4 Finalisation des supports pédagogiques                                    Technicien spécialisé
          Selon l’approche par compétence                                                        Gros Œuvre
                                                                         Mécanique et RDM – Partie 1 : Cours



             6.10.         EXERCICES D’APPLICATIONS DU PFS

          Calculer les actions de liaisons des structures proposées :


     a)                                                   f)




                                                          g)
b)




                                                               h)
c)




                                                               i)
d)




                                                                    j)
     e)




             6.11.         DIAPORAMA

          Voir dans la partie « ANNEXES » de ce document.




          SFERE – OFPPT                                                                        Page 42 / 137
OP4 Finalisation des supports pédagogiques                                            Technicien spécialisé
 Selon l’approche par compétence                                                                Gros Œuvre
                                                                        Mécanique et RDM – Partie 1 : Cours

    7. CENTRE DE GRAVITE


    7.1.            COURS ÉLÈVE


           7.1.1.             Définitions
 • Points matériels : points qui ont une masse donc un poids (P = m.g)

 • Poids : force d’attraction terrestre qui est constante et toujours orientée vers le bas suivant une
    verticale

 • Centre de gravité : point particulier où l’on peut concentrer la masse (ou poids) de tous les points
    matériels constituant le système de façon que le système reste équivalent statiquement parlant.

 • ⇒ Détermination de la position de la résultante


           7.1.2.             Centre de gravité de 2 points matériels




                                     x2
                               B
                                     y2
                         x1
                    A         B ×
                         y1
                 A×                 P2            ⇔                         G×
                   P1                                                            R
y2 y1                                                  YG




            x1                                                     XG
                        x2


        Système équivalent ⇔               ΣF ⇔

            Σ M/O       ⇔


                                                XG =P1.x1+ 2.x2
                                                          P
                                                       P1+ 2
                                                          P

                                                    P1.y1+ 2.y2
                                                          P
                                                YG =
                                                       P1+ 2
                                                          P



 Remarque : si P1 = P2
        XG
            =                  ⇒     XG =


            YG =
                               ⇒         YG =




 SFERE – OFPPT                                                                                Page 43 / 137
OP4 Finalisation des supports pédagogiques                                                        Technicien spécialisé
Selon l’approche par compétence                                                                            Gros Œuvre
                                                                                   Mécanique et RDM – Partie 1 : Cours


           7.1.3.               Formule du BARYCENTRE (c.d.g de plusieurs points)
Exemple :
3 points




                                                   x2
                                            B
                                                   y2
                                x1
                          A           B ×                                                       G×
                                y1
                                                                      ⇔
                         A×                       P2                                                 R
                           P1                                   x3
                                                           C                YG
      y2                                                        y3
           y1                                              ×
                                                       C
 y3
                                                               P3

                                                                                        XG
                    x1
                                 x2
                                      x3


      Système équivalent ⇔                        ΣF           ⇔     R = P1 + P2 +P3


      Σ M/O         ⇔     xG R = x1 P1+ x2 P2 + x3 P3



                              yG R = y1 P1 + y2 P2 + y3 P3


                                              XG =P1.x1+ 2.x2
                                                        P
                                                     P1+ 2
                                                        P

                                                               ⇔
                                                                              P1.y1+ 2.y2
                                                                                    P
                                                                          YG =
                                                                                 P1+ 2
                                                                                    P


⇒ Formules du Barycentre:

                                       n

                                      ∑       Pi.xi
                                XG=   i→ 1
                                          n

                                        ∑  i→ 1
                                                  Pi

                                       n

                                      ∑       Pi.yi
                                YG=   i→ 1
                                          n

                                        ∑
                                        i→ 1
                                                  Pi



SFERE – OFPPT                                                                                            Page 44 / 137
OP4 Finalisation des supports pédagogiques                                         Technicien spécialisé
Selon l’approche par compétence                                                             Gros Œuvre
                                                                    Mécanique et RDM – Partie 1 : Cours

Remarque :
Pour les pièces ayant une épaisseur constante, le poids est proportionnel à la surface P = k S.

⇒ Centre de gravité de section



                                 n

                                 ∑     Si.xi
                           XG= i→ 1n
                                  ∑  i→1
                                           Si



                                 n

                                ∑      Si.yi
                           YG= i→ 1n
                                  ∑
                                  i→ 1
                                           Si

        7.1.4.             Centre de gravité de formes simples
                                                FORMULAIRE

                                            CENTRE DE GRAVITE

G est au milieu (intersection des                    G est au centre du cercle
diagonales)




G est à l’intersection des médianes




SFERE – OFPPT                                                                             Page 45 / 137
OP4 Finalisation des supports pédagogiques                                              Technicien spécialisé
Selon l’approche par compétence                                                                  Gros Œuvre
                                                                         Mécanique et RDM – Partie 1 : Cours


        7.1.5.               Méthode pour déterminer un centre de gravité
                             d’une section complexe
• Décomposer la section complexe en surface simple dont on connaît la surface et la position du
   centre de gravité (carré, rectangle, triangle, cercle, demi-cercle)

• Mettre les axes Ox, Oy (attention aux signes x,y)

• Appliquer la formule du barycentre sur chaque surface pour obtenir le centre de gravité de la
   section totale.

• Présenter les résultats dans un tableau

  Surface
                       xGi             yGi               Si                xGi Si              yGi Si
élémentaire




                 Totaux          Σ Si =           Σ xGi Si =                 Σ yGi Si =

⇒ Formule du barycentre


Remarque :
Lors de la décomposition il peut être plus rapide de prendre une surface plus grande à laquelle on
déduit une autre surface pour avoir la surface réelle de l’élément.

⇒ Dans ce cas S à déduire sera comptée négativement.




SFERE – OFPPT                                                                                  Page 46 / 137
OP4 Finalisation des supports pédagogiques                                            Technicien spécialisé
Selon l’approche par compétence                                                                Gros Œuvre
                                                                       Mécanique et RDM – Partie 1 : Cours



   7.2.            EXERCICES D’APPLICATIONS : ÉLÈVE


          7.2.1.           Exercice 1
Déterminer la position du centre de gravité des sections ci-dessous.




     2. Poutrelle en I                                        5. profilé creux




                                                              6.
       3. poutrelle en U




SFERE – OFPPT                                                                                Page 47 / 137
OP4 Finalisation des supports pédagogiques                  Technicien spécialisé
Selon l’approche par compétence                                      Gros Œuvre
                                             Mécanique et RDM – Partie 1 : Cours


        7.2.2.             Exercice 2




SFERE – OFPPT                                                      Page 48 / 137
OP4 Finalisation des supports pédagogiques                                            Technicien spécialisé
Selon l’approche par compétence                                                                Gros Œuvre
                                                                       Mécanique et RDM – Partie 1 : Cours


        7.2.3.             Exercice 3 : centre de gravité d’une section.
Pour les sections suivantes déterminer la position du centre de gravité




        7.2.4.             Exercice 2: vérification des caractéristiques d’un upn 300
A = 58.80 cm²


XG = 2.95 cm
YG = 15.00 cm




        7.2.5.             Exercice 3 : étude d’un acrotère
a) déterminer le centre de gravité de l’acrotère ainsi défini.
b) cet acrotère est-il autostable( est-il en équilibre ainsi posé) ?
c) si non quelle longueur doit on modifier et quelle doit être sa valeur ?




SFERE – OFPPT                                                                                Page 49 / 137
OP4 Finalisation des supports pédagogiques                                            Technicien spécialisé
 Selon l’approche par compétence                                                                Gros Œuvre
                                                                        Mécanique et RDM – Partie 1 : Cours



    7.3.            COURS PROF


           7.3.1.             Définitions
 • Points matériels : points qui ont une masse donc un poids (P = m.g)

 • Poids : force d’attraction terrestre qui est constante et toujours orientée vers le bas suivant une
    verticale

 • Centre de gravité : point particulier où l’on peut concentrer la masse (ou poids) de tous les points
    matériels constituant le système de façon que le système reste équivalent statiquement parlant.

 • ⇒ Détermination de la position de la résultante


           7.3.2.             Centre de gravité de 2 points matériels



                                     x2
                               B
                                     y2
                         x1
                    A         B ×
                         y1
                 A×                 P2            ⇔                         G×
                   P1                                                            R
y2 y1                                                      YG




            x1                                                     XG
                        x2

 Système équivalent ⇔               ΣF ⇔         R = P1 + P2

           Σ M/O    ⇔                xG.R = x1P1+ x2 P2
                                     yG.R = y1 P1 +y2 P2
                              XG =P1.x1+ 2.x2
                                        P
                                     P1+ 2
                                        P

                                  P1.y1+ 2.y2
                                        P
                              YG =
                                     P1+ 2
                                        P



 Remarque :
 si P1 = P2
                            P1.(x1+x2)
                                   .                   (x1+x2)
                                                           .
                        XG =
                                2P1
                                             ⇒     XG =
                                                          2

                            P1.(y1+y2)
                                                                    G au milieu de A et B
                                    .                  y1+y2
                                                          .
                        YG =
                                2P 1
                                             ⇒     YG =
                                                         2




 SFERE – OFPPT                                                                                Page 50 / 137
OP4 Finalisation des supports pédagogiques                                                                 Technicien spécialisé
Selon l’approche par compétence                                                                                     Gros Œuvre
                                                                                            Mécanique et RDM – Partie 1 : Cours


           7.3.3.               Formule du BARYCENTRE (c.d.g de plusieurs points)
Exemple :
3 points




                                                x2
                                           B
                                                y2
                                x1
                          A           B ×                                                                G×
                                y1
                                                                           ⇔
                         A×                    P2                                                             R
                           P1                                x3
                                                        C                         YG
      y2                                                     y3
           y1                                           ×
                                                    C
 y3
                                                            P3

                                                                                                  XG
                    x1
                                 x2
                                      x3


Système équivalent ⇔                  ΣF            ⇔            R = P1 + P2 +P3


Σ M/O      ⇔                  xG R = x1 P1+ x2 P2 + x3 P3


                              yG R = y1 P1 + y2 P2 + y3 P3



                                 XG =P1.x1+ 2.x2
                                           P
                                        P1+ 2
                                           P
                ⇔
                                    P1.y1+ 2.y2
                                          P
                                YG =
                                       P1+ 2
                                          P


⇒ Formules du Barycentre:
                                                                   n

                                                                  ∑       Pi.xi
                                                            XG=   i→ 1
                                                                      n

                                                                    ∑
                                                                    i→ 1
                                                                           Pi


                                                                                   n

                                                                                  ∑       Pi.yi
                                                                            YG=   i→ 1
                                                                                      n

                                                                                    ∑
                                                                                    i→ 1
                                                                                           Pi



SFERE – OFPPT                                                                                                     Page 51 / 137
OP4 Finalisation des supports pédagogiques                                           Technicien spécialisé
Selon l’approche par compétence                                                               Gros Œuvre
                                                                      Mécanique et RDM – Partie 1 : Cours


Remarque :
Pour les pièces ayant une épaisseur constante, le poids est proportionnel à la surface P = k S.

⇒ Centre de gravité de section

                                                     n

                                                    ∑
                                                    i →1
                                                             Si.xi
                                             XG =      n

                                                      ∑
                                                      i →1
                                                              Si



                                                     n

                                                    ∑       Si.yi
                                             YG=    i→ 1
                                                        n

                                                      ∑
                                                      i→ 1
                                                             Si

        7.3.4.             Centre de gravité de formes simples
                                             FORMULAIRE

                                       CENTRE DE GRAVITE

G est au milieu (intersection des                        G est au centre du cercle
diagonales)




G est à l’intersection des médianes




SFERE – OFPPT                                                                               Page 52 / 137
OP4 Finalisation des supports pédagogiques                                         Technicien spécialisé
Selon l’approche par compétence                                                             Gros Œuvre
                                                                    Mécanique et RDM – Partie 1 : Cours


        7.3.5.               Méthode pour déterminer un centre de gravité
                             d’une section complexe
Décomposer la section complexe en surface simple dont on connaît la surface et la position du centre
de gravité (carré, rectangle, triangle, cercle, demi-cercle)


Mettre les axes Ox, Oy (attention aux signes x,y)


Appliquer la formule du barycentre sur chaque surface pour obtenir le centre de gravité de la section
totale.


Présenter les résultats dans un tableau
  Surface
                       xGi             yGi             Si             xGi Si              yGi Si
élémentaire




                        Totaux            Σ Si =        Σ xGi Si =      Σ yGi Si =

⇒ Formule du barycentre


Remarque :
Lors de la décomposition il peut être plus rapide de prendre une surface plus grande à laquelle on
déduit une autre surface pour avoir la surface réelle de l’élément.

⇒ Dans ce cas S à déduire sera comptée négativement.




SFERE – OFPPT                                                                             Page 53 / 137
OP4 Finalisation des supports pédagogiques                                            Technicien spécialisé
Selon l’approche par compétence                                                                Gros Œuvre
                                                                       Mécanique et RDM – Partie 1 : Cours



   7.4.            EXERCICES D’APPLICATIONS : PROF


          7.4.1.           Exercice 1
Déterminer la position du centre de gravité des sections ci-dessous.
     1.                                                    4. tube
     cornière




     2. Poutrelle en I                                        5. profilé creux




                                                              6.
       3. poutrelle en U




SFERE – OFPPT                                                                                Page 54 / 137
OP4 Finalisation des supports pédagogiques                  Technicien spécialisé
Selon l’approche par compétence                                      Gros Œuvre
                                             Mécanique et RDM – Partie 1 : Cours


        7.4.2.             Exercice 2




SFERE – OFPPT                                                      Page 55 / 137
OP4 Finalisation des supports pédagogiques                                         Technicien spécialisé
Selon l’approche par compétence                                                             Gros Œuvre
                                                                    Mécanique et RDM – Partie 1 : Cours




        7.4.3.              Exercice 3 : centre de gravité d’une section.
Pour les sections suivantes déterminer la position du centre de gravité




        7.4.4.              Exercice 2: Vérification Des Caractéristiques D’un Upn 300
A = 58.80 cm²


XG = 2.95 cm
YG = 15.00 cm




        7.4.5.              Exercice 3 : étude d’un acrotère
a) déterminer le centre de gravité de l’acrotère
ainsi défini.
b) cet acrotère est-il autostable( est-il en équilibre
ainsi posé) ?
c) si non quelle longueur doit on modifier et quelle
doit être sa valeur ?




SFERE – OFPPT                                                                             Page 56 / 137
OP4 Finalisation des supports pédagogiques                                          Technicien spécialisé
Selon l’approche par compétence                                                              Gros Œuvre
                                                                     Mécanique et RDM – Partie 1 : Cours

   8. EQUILIBRE D’UN SYSTEME RETICULE


   8.1.            DÉFINITION

On appelle système réticulé ou treillis, une structure formée d’un assemblage de barres rectilignes
reliées entre elles par des articulations. Ces liaisons sont appelées des nœuds.


Exemples de systèmes réticulés




Détail d’un nœud :




          8.1.1.            Objectifs.
Déterminer les efforts exercés dans les barres, en vue de leur dimensionnement, au moyen
d’hypothèses simplificatrices.

          8.1.2.            Hypothèses simplificatrices :
    o     On considère les barres rectilignes et indéformables,
    o     Les efforts exercés sur la structure sont appliqués uniquement sur les nœuds,( pas de
          charges sur les barres).
    o     On néglige le poids des barres,


Remarque :
Une barre articulée à ses deux extrémités est appelée biellette et n’est soumise qu’à de l’effort
normal.




SFERE – OFPPT                                                                              Page 57 / 137
OP4 Finalisation des supports pédagogiques                                             Technicien spécialisé
Selon l’approche par compétence                                                                 Gros Œuvre
                                                                        Mécanique et RDM – Partie 1 : Cours

Les barres sont par conséquent soumises à de la traction ou de la compression.


Barre en compression :



Barre en traction :



        8.1.3.             Détermination du degré hyperstatique.
Relation entre le nombre de barres b et le nombre de nœuds n :
                                               b = 2n-3
• Si b < 2n-3 : la structure n’est pas rigide, elle est hypostatique.

• Si b = 2n-3 : la structure est en équilibre, elle est isostatique et la résolution est possible avec le
   principe fondamental de la statique.

• Si b > 2n-3 : la structure est hyperstatique, il y a des contraintes internes (des barres
   surabondantes).


Exemples :
Déterminer le degré hyperstatique des structures suivantes :




SFERE – OFPPT                                                                                 Page 58 / 137
OP4 Finalisation des supports pédagogiques                                           Technicien spécialisé
Selon l’approche par compétence                                                               Gros Œuvre
                                                                      Mécanique et RDM – Partie 1 : Cours




   8.2.            MÉTHODE DES NŒUDS

Principe de la méthode :
Déterminer les actions de liaisons dans les barres d’une structure réticulée en étudiant l’équilibre de
chaque nœud.


Remarque :
Chaque nœud étudié ne doit pas avoir plus de 2 « barres inconnues ».


Exemple




          8.2.1.            Détermination du degré hyperstatique de la structure
Vérifier que la structure est isostatique par la formule :
b = 2n-3 avec             b : nombre de barres
                          n : nombre de nœuds

          8.2.2.            Détermination des actions de liaisons avec l’extérieur
Application du PFS


Théorème de la résultante
∑Fext/x=0
∑Fext/y=0


Théorème du Moment
∑MA (Fext)=0


Schéma de la structure avec les actions de liaisons.




SFERE – OFPPT                                                                               Page 59 / 137
OP4 Finalisation des supports pédagogiques                                           Technicien spécialisé
Selon l’approche par compétence                                                               Gros Œuvre
                                                                      Mécanique et RDM – Partie 1 : Cours


          8.2.3.           Equilibre des différents nœuds
Rappel : un solide soumis à deux forces est en équilibre si et seulement si ces 2 forces sont égales et
opposées.


- équilibre du nœud A
                ∑F/x=0 soit
                ∑F/Y=0 soit


- équilibre du nœud B
                ∑F/x=0 soit
                ∑F/Y=0 soit


- équilibre du nœud C
                ∑F/x=0 soit
                ∑F/Y=0 soit


- équilibre du nœud D
                ∑F/x=0 soit
                ∑F/Y=0 soit

          8.2.4.           Tableau récapitulatif :
              Barres                             Effort                         Type d’effort
               AD
               AC
               CB
               CD
               DB

Remarque :
      Si la barre pousse le nœud, elle est en compression
      Si la barre tire le nœud, elle est en traction


   8.3.            MÉTHODE DE RITTER

Principe de la méthode :
1/Après avoir déterminer les actions de liaison entre le treillis et son support (réactions d’appuis)
2/ Pour déterminer les forces dans une ou plusieurs barres il suffit de la couper (pour faire apparaître
la force cherchée) .
3/ Continuer la coupure de façon à couper le treillis en deux
4/ Etudier l’équilibre d’un morceau pour déterminer les efforts dans les barres


Remarque :
Lors de la coupure du treillis il ne doit pas avoir plus de 3 « barres inconnues » coupées.




SFERE – OFPPT                                                                                 Page 60 / 137
OP4 Finalisation des supports pédagogiques                                          Technicien spécialisé
Selon l’approche par compétence                                                              Gros Œuvre
                                                                     Mécanique et RDM – Partie 1 : Cours

Exemple :




                        On veut déterminer la force dans la barre DB

• 1/ couper CB




                                                         FCB
                                                               FCB




• 2/ Continuer la coupure pour couper le treillis en 2




                                                         FCB
                                                               FCB

                                                  FDB     FDB




SFERE – OFPPT                                                                              Page 61 / 137
OP4 Finalisation des supports pédagogiques                                      Technicien spécialisé
Selon l’approche par compétence                                                          Gros Œuvre
                                                                 Mécanique et RDM – Partie 1 : Cours

• 3/ Etudier l’équilibre d’un morceau.




                                                                                      FCB
                          F                                                                 FCB
                              FC

                     FD
                              B                                                 FDB     FDB
                          FD
                     B
                          B




ou

⇒ P.F.S


     8.4.            APPLICATIONS


            8.4.1.                Exercice 1: systeme reticule
Soit la structure ci-dessous :




Vérifier que la résolution du problème est possible.
Calculer les actions de liaisons avec l’extérieur
Equilibre des différents nœuds
Conclusion : tableau récapitulatif
                Barres                             Effort                  Type d’effort
                 AB
                 AC
                 BD
                 BC
                 CD




SFERE – OFPPT                                                                          Page 62 / 137
OP4 Finalisation des supports pédagogiques                                         Technicien spécialisé
Selon l’approche par compétence                                                             Gros Œuvre
                                                                    Mécanique et RDM – Partie 1 : Cours


        8.4.2.             Exercice 2 :
Un pont est réalisé à partir d’une plate-forme soutenue par deux structures identiques en treillis.
                AE = EB = DC = 5m ;
                AD=DE = EC = CB;
                F (8000daN) appliquée en E schématise l’action exercée par la plate-forme chargée.




Déterminer le degré hyperstatique de la structure.
Déterminer les actions exercées sur les appuis en A et B.
Déterminer les actions dans toutes les barres de la structure.
Présenter les résultats dans un tableau récapitulatif.

        8.4.3.             Exercice 3 :




1. Déterminer le degré hyperstatique de la structure.
2. Déterminer les actions exercées sur les appuis en A et B.
3. Déterminer les actions dans toutes les barres de la structure.
4. Présenter les résultats dans un tableau récapitulatif.




SFERE – OFPPT                                                                             Page 63 / 137
OP4 Finalisation des supports pédagogiques                                Technicien spécialisé
Selon l’approche par compétence                                                    Gros Œuvre
                                                           Mécanique et RDM – Partie 1 : Cours


        8.4.4.             Exercice 2 : système réticule
Soit la structure ci-dessous :




Vérifier que la résolution du problème est possible.
Calculer les actions de liaisons avec l’extérieur
Equilibre des différents nœuds
Conclusion : tableau récapitulatif
            Barres                              Effort               Type d’effort
             AC
             AD
             AE
             BE
             BF
             CD
             DE
             DF
             EF




SFERE – OFPPT                                                                    Page 64 / 137
OP4 Finalisation des supports pédagogiques                                           Technicien spécialisé
Selon l’approche par compétence                                                               Gros Œuvre
                                                                      Mécanique et RDM – Partie 1 : Cours

   9. RDM : GÉNÉRALITÉS


   9.1.          BUT DE LA RDM.

La résistance des matériaux se propose d'étudier la déformation et la limite de résistance d'un solide
(structure) soumis à un système de forces extérieures.
Concrètement :
                Contrainte :
                Flèche :


   9.2.          HYPOTHÈSES DE LA RDM.

1) Les matériaux sont :          homogènes (texture du matériau continue et identique)
                                 isotropes (mêmes propriétés mécaniques dans toutes les


                                                                                   G2
                                                                        G1
                                                                                        Ligne moyenne

                                                              G0




                                directions)
2) Les solides étudiés sont en forme de poutre.
Solide engendré par une aire plane (s) dont le centre de gravité décrit une droite ou une faible courbe
G0G1, le plan de (S) restant normal à cette courbe.
* On étudie essentiellement les poutres droites possédant un plan de symétrie.
3) Navier Bernouilli :
Les sections planes perpendiculaires à la ligne moyenne restent planes après déformation et
perpendiculaires.
4) Loi de Hooke : les déformations sont faibles, progressives et réversibles
                        ⇒ Domaine élastique
                        ⇒ Relation linéaire entre contraintes et déformations
5) Principe de St Venant : les effets sont indépendants du mode de liaison, mais uniquement
fonction des sollicitations en se plaçant suffisamment loin de ces liaisons.


   9.3.          NOTION DE CONTRAINTE.

* Soit un solide en équilibre sous l'action de forces extérieures :




SFERE – OFPPT                                                                               Page 65 / 137
OP4 Finalisation des supports pédagogiques                                   Technicien spécialisé
Selon l’approche par compétence                                                       Gros Œuvre
                                                              Mécanique et RDM – Partie 1 : Cours



                                                         F2
                                                                   F3
                                                                              F4

                                               F1                   (S)                 F5

                                                    G0
                                                               G
                                                     1
                                                                                   G2
                                                                          2
                                                                                             Ligne moyenne




* Coupons le solide suivant une section (S).




SFERE – OFPPT                                                                                    Page 66 / 137
OP4 Finalisation des supports pédagogiques                                                 Technicien spécialisé
Selon l’approche par compétence                                                                     Gros Œuvre
                                                                            Mécanique et RDM – Partie 1 : Cours

* Isolons le tronçon (1) située à gauche et établissons son schéma mécanique :

                                                                                         F2
                                                                                                      F3


                                                                       F1
                                                                                                           ∆F
                                                                                G0
                                                                                                      ∆S
                                                                                                  G
                                                                                 1

                                                                                                (S)




Bilan des forces appliquées
♦ Forces extérieures (F1, F2, F3)
♦ Actions de contact de (2) → (1) en tous points de S


* Sur chaque élément de surface (∆s) sur S agit une force
∆F (de direction quelconque en générale)



Composantes d'une contrainte.
∆F : à 2 composantes
♣ Composante normale perpendiculaire à (S) : ∆Fn
                                                                                         ∆ Ft
                                                                                                  ∆F

                                                                                     ∆S
                                                                                                Fn
                                                                                     G
                                                                                                      x
                                                                               (S)




♣ Composante tangentielle dans le plan (S) : ∆Ft


L'ensemble des forces ∆F est:
a) des forces intérieures lorsque l'on étudie le solide en entier
b) des forces extérieures lorsque l'on étudie un tronçon de solide.


Définitions
                                        dFn
On appelle contrainte normale : σ =                  (traction, compression)
                                        dS

                                              dFt
On appelle contrainte tangentielle : τ=             (cisaillement)
                                              dS

Unités en Pascal et MégaPascal MPa




SFERE – OFPPT                                                                                                   Page 67 / 137
OP4 Finalisation des supports pédagogiques                                          Technicien spécialisé
Selon l’approche par compétence                                                              Gros Œuvre
                                                                     Mécanique et RDM – Partie 1 : Cours

     9.4.            RÉPARTITION UNIFORME DES CONTRAINTES (SUR UNE SECTION)

Soit une section fictive soumise à des contraintes σ et τ


                                                                                        ∆ ft
                                                                                                 ∆ F1

                                                                                        ∆s1
                                                                                               fn1
                                                                                    G
                                                                                                     x
                                                                                 (S) ∆
                                                                                       s2      fn2

                                                                                     S2

Hypothèse : Répartition uniforme des contraintes σ
sur S (traction ou compression).
Problème : Résultante des forces normales fn sur S (Intensité ; position).

            9.4.1.             Intensité de F (résultante des fn)
Sur chaque élément de surface ∆s agit une force normale fn.
            fn
or    σ=         ⇒ fn1 = σ x ∆s1 ; fn2 = σ x ∆s2
            ∆s

et fn // oz ⇒ F // oz
⇒ F = σ ( ∆s1 + ∆s2 + .............) = σ S
⇒F=σS




SFERE – OFPPT                                                                                   Page 68 / 137
OP4 Finalisation des supports pédagogiques                              Technicien spécialisé
Selon l’approche par compétence                                                  Gros Œuvre
                                                         Mécanique et RDM – Partie 1 : Cours


          9.4.2.              Point d'application de F
Méthode : Système équivalent ( Σ Mt identique)
⇒ Mt/ox(F) = Σ Mt/ox(fn)
⇒ F . yG = fn1 . y1 + fn2 . y2 .
       σ.S.yG = Σ σ.∆si.yi

  yG =
         ∑ y.∆s
           S


                   1
               yG = ∫y.ds
                   S




Si Mt/oy(F)

               x G =1 ∫x.ds
                    S




Concrètement :




SFERE – OFPPT                                                                  Page 69 / 137
OP4 Finalisation des supports pédagogiques                                              Technicien spécialisé
Selon l’approche par compétence                                                                  Gros Œuvre
                                                                         Mécanique et RDM – Partie 1 : Cours

   10. TRACTION SIMPLE ET COMPRESSION SIMPLE


   10.1.          DÉFINITIONS.

Un solide est sollicité :
En traction simple lorsqu'il est soumis à deux forces
                                                                       F                                 F

directement opposées situées sur la ligne moyenne et qui
tendent à l'allonger.
En compression simple lorsqu'il est soumis à deux forces
                                                                           F                                 F
directement opposées situées sur la ligne moyenne et qui
tendent à le raccourcir


   10.2.          ESSAI DE TRACTION

On soumet une éprouvette cylindrique de dimensions normalisées à un essai de traction. On
enregistre les déformations en fonction de la force N ( N augmentant progressivement jusqu’à obtenir
la rupture de l’éprouvette).

        10.2.1.                Etude du graphe :
                                                                N
                                                                                           B
                                                                Nr
                                                                                                     C
                                                                Ne
                                                                                 A




                                                                                     Acier doux



                                                                     O                                       ∆L


                                                                     Elastique       Plastique



N : effort de traction
∆L : allongement de l'éprouvette.
L : longueur de l'éprouvette.

        10.2.2.                Etude de la Zone élastique OA.
Les allongements sont proportionnels aux efforts de traction.
N = k ∆L
                          Ne
Limite élastique : fe =      avec S section de l'éprouvette.
                          S
Les fournisseurs d'acier garantissent cette valeur ; exemple : FeE 500 ⇒fe = 500 MPa
L’allongement de l’éprouvette ∆L est proportionnel à sa longueur initiale Lo
∆L : allongement de l’éprouvette
Lo : longueur initiale
                                       ∆L
⇒ définit un allongement relatif ε =
                                       Lo

SFERE – OFPPT                                                                                     Page 70 / 137
OP4 Finalisation des supports pédagogiques                                            Technicien spécialisé
Selon l’approche par compétence                                                                Gros Œuvre
                                                                       Mécanique et RDM – Partie 1 : Cours

• •Contraintes.

Pour faire apparaître les contraintes dans l’éprouvette il faut couper celle-ci (à une abscisse x)
Par application du principe de Bernouilli ( ∆x et donc ε constant pour toutes les fibres)
et de la Loi de Hooke σ = k ∆L ou σ = kε
⇒ σ : identique pour toutes les fibres ⇒ σ est uniformément répartie sur la section S




SFERE – OFPPT                                                                                Page 71 / 137
OP4 Finalisation des supports pédagogiques                                                Technicien spécialisé
Selon l’approche par compétence                                                                    Gros Œuvre
                                                                           Mécanique et RDM – Partie 1 : Cours



           y                                                   y

                                    (S)                                                     (S)




                                                       ⇒
               O                             x
                                                               N   O                                       x

                                                                                                  σ=   N
                                                                                                       S
                         x       ∆x
   z
                                                                            x




        10.2.3.              Diagramme contrainte - déformation:
               ∆L        N                       σ
Puisque ε =       et σ =   : on peut                                                  B
               Lo        S                       fr
                                                                                                       C
tracer le diagramme de l’essai en                 fe
                                                                       A
fonction de σ et ε (diagramme
homothétique au précédent)

                                                                           Acier doux



                                                           O                                                   ε

                                                       Elastique           Plastique




• • Loi de Hooke .

On peut remarquer que dans la zone élastique les contraintes sont bien proportionnelles aux
déformations :
                     σ
        ⇒ tan α =
                     ε
        σ = ε.tanα si on pose E = tanα
        σ = ε.E
E : module de Young ou module d'élasticité longitudinal
E : est une constante pour un matériau donné ; par exemple : E = 2          105   MPa pour l'acier




SFERE – OFPPT                                                                                          Page 72 / 137
OP4 Finalisation des supports pédagogiques                                       Technicien spécialisé
Selon l’approche par compétence                                                           Gros Œuvre
                                                                  Mécanique et RDM – Partie 1 : Cours

             10.2.4.       Zone plastique AC.
                                                     N
                                                                              B
                                                     Nr
                                                                                       C
                                                      Ne
                                                                    A




                                                                        Acier FeE500



                                                            O                               ∆L

                                                           ∆e
                                                                        Plastique



Lorsque l'on atteint cette zone on constate un allongement appréciable de l’éprouvette sans que
l’effort augmente beaucoup.
En déchargeant l'éprouvette on constate qu'il reste un allongement permanent de l'éprouvette ∆e
(déformation rémanente).

Résistance à la rupture Rr :
        Nr
 Rr =
        So




SFERE – OFPPT                                                                              Page 73 / 137
OP4 Finalisation des supports pédagogiques                                             Technicien spécialisé
Selon l’approche par compétence                                                                 Gros Œuvre
                                                                        Mécanique et RDM – Partie 1 : Cours


        10.2.5.               Calculs pratiques :
Compte tenu des hypothès de la RDM ( Bernoulli ) la contrainte dans les matériaux devra toujours
être inférieure à contrainte admissible fixée réglementairement, notée   (contrainte normale
                                                                           σ




admissible)


Exemple :
 σ
   = fe = 240 MPa ( pour un un acier FeE 240 suivant le CM 66)
 σ
   = fsu = 500/1.15 (pour un acier FeE 500 suivant le BAEL 93 à l’ELU)
 σ
   = σ = 0.6 fc28 (pour le béton comprimée, suivant le BAEL 93 à l’ELS)
          bc




      A        Vérification d’une section

Données :
N : Effort de traction ou de compression, en N.
S : Aire de la section sollicitée, en m².
 σ
     : Contrainte admissible du matériaux.

                                                    N
On doit vérifier que la contrainte normale σ =        ≤     σ


                                                    S

      B        Détermination d’une section

Données :
N : Effort de traction ou de compression, en N.
 σ
     : Contrainte admissible du matériaux.


On veut déterminer la section nécessaire et suffisante de façon à ce l’élément « résiste » :
                                              σ=N                   N
Donc faire en sorte que : σ ≤     σ
                                       ⇒        S   ≤   σ
                                                            ⇒ S≥    σ


      C        Calcul d’allongement ou de raccourcissement:

Données :
N : Effort de traction ou de compression, en N.
S : Aire de la section sollicitée, en m².
Lo: Longueur initiale de l’élément.
E : Module d'élasticité longitudinal

        σ = ε.E
                                  1/ σ = N
             ∆L                          S
          ε=
             Lo                        ε =σ
                                  2/      E                        Ou ∆L = N..S
                                                                           E
                                                                             Lo
               σ=N
                 S                3/ ∆L =ε.Lo

      D        Remarque :

Les formules précédentes sont valables pour les pièces tendues et les pièces comprimées, dites
courtes ( pour les pièces comprimées « longues », le calcul sera mené au flambement).




SFERE – OFPPT                                                                                 Page 74 / 137
OP4 Finalisation des supports pédagogiques                                        Technicien spécialisé
Selon l’approche par compétence                                                            Gros Œuvre
                                                                   Mécanique et RDM – Partie 1 : Cours


        10.2.6.            Exercice:
Soit un tirant métallique de longueur Lo = 5m en acier FeE 240 soumis à un effort de traction de 200
KN.
         E = 2.1 105 MPa


       a/ Déterminer les dimensions néssaires et suffisantes de sa section :
Cas d’une section carrée (arrondir au mm supérieur)
Cas d’une section circulaire (arrondir au mm supérieur)


       b/ Déterminer les dimensions néssaires et suffisantes de sa section de façon à limiter son
allongement à 5mm:
Cas d’une section carrée (arrondir au mm supérieur)
Cas d’une section circulaire (arrondir au mm supérieur)


   10.3.          APPLICATIONS : TRACTION SIMPLE


        10.3.1.            EXO 1:
                                       DONNEES :




Pc = 1200 N
E = 2.1 105 MPa


QUESTIONS


1/ Déterminer les efforts dans EB


2/ En déduire l'allongement de EB, si son diamètre est de 6 mm




SFERE – OFPPT                                                                            Page 75 / 137
OP4 Finalisation des supports pédagogiques                  Technicien spécialisé
Selon l’approche par compétence                                      Gros Œuvre
                                             Mécanique et RDM – Partie 1 : Cours




SFERE – OFPPT                                                      Page 76 / 137
OP4 Finalisation des supports pédagogiques                                        Technicien spécialisé
Selon l’approche par compétence                                                            Gros Œuvre
                                                                   Mécanique et RDM – Partie 1 : Cours


        10.3.2.            EXO 2
                                             DONNEES :




Pc = 1000 N
 σ
    = 160 MPa
E = 2.1 105 MPa


QUESTIONS



1/ Déterminer le diamètre de BC (arrondir au diamètre paire supérieur.


2/ En déduire son allongement.




        10.3.3.            EXO 3
                                                            DONNEES :




P = 50 N
 σ
    = 160 MPa
E = 2.1 105 MPa




SFERE – OFPPT                                                                            Page 77 / 137
OP4 Finalisation des supports pédagogiques                                       Technicien spécialisé
Selon l’approche par compétence                                                           Gros Œuvre
                                                                  Mécanique et RDM – Partie 1 : Cours

QUESTIONS


1/ Déterminer le diamètre de BC et de AB (arrondir au mm supérieur).


2/ En déduire leur allongement.




SFERE – OFPPT                                                                           Page 78 / 137
OP4 Finalisation des supports pédagogiques                                            Technicien spécialisé
Selon l’approche par compétence                                                                Gros Œuvre
                                                                       Mécanique et RDM – Partie 1 : Cours



   10.4.         COEFFICIENT DE POISSON : Υ

                                                                  ∆r                                 ∆L
Il existe un rapport constant entre la déformation transversale      et l'allongement longitudinal      .
                                                                   r                                  L
∆r         ∆L
   =-υ      L
                (∆r  quand ∆L )
 r
υ = coefficient de poisson (caractéristique du matériau)

Problème : déterminer la variation relative de volume en fonction de la variation relative de longueur

        V = π.r² L


        dV            dl
           = (1 − 2ν)
         V             l

Valeur de υ


        Cas limite = 0.5 ⇒ dV = 0 ( caoutchouc)
        Cas général : compris entre 0.25 et 0.3.




SFERE – OFPPT                                                                                Page 79 / 137
OP4 Finalisation des supports pédagogiques                                             Technicien spécialisé
Selon l’approche par compétence                                                                 Gros Œuvre
                                                                        Mécanique et RDM – Partie 1 : Cours

    11. CISAILLEMENT SIMPLE


    11.1.        DÉFINITIONS.

Un solide est sollicité en cisaillement simple lorsqu'il est soumis à                T     S

deux forces directement opposées agissant de part et d’autre d’une
même section
                                                                                     T


Remarques :
- Une telle disposition étant très théorique, les cas de cisaillement simple sont très rares et
s’accompagne souvent de flexion et de compression.
- On admet toutefois qu’il y a cisaillement simple dans les cas suivant :
                                                                  tôle• Découpage d’une tôle
                                            outil




• Assemblage au moyen de                                                     rivet
    rivets ou de boulons de 2                                                                     N
    pièces minces soumises à un
                                        N
    effort de traction simple




•
Assemblage par un axe créant une articulation




    11.2.        CONTRAINTE DE CISAILLEMENT ( EN CISAILLEMENT SIMPLE).

On admettra dans un but de simplification que les contraintes de cisaillement ( parallèles à la section
S) sont uniformément réparties sur la section cisaillée ( ce qui est faux en réalité, car cela dépend de
la forme de la section)
                               τ           τ : contrainte moyenne de cisaillement
                                    T        T : effort tranchant
                                =
                                    S        S : section cisaillée



SFERE – OFPPT                                                                                  Page 80 / 137
OP4 Finalisation des supports pédagogiques                         Technicien spécialisé
Selon l’approche par compétence                                             Gros Œuvre
                                                    Mécanique et RDM – Partie 1 : Cours

                          ⇒




Contrainte limite de cisaillement pour de l’acier
                                            65
Elle est fonction de fe de l’acier : τ =       fe
                                           100




SFERE – OFPPT                                                             Page 81 / 137
OP4 Finalisation des supports pédagogiques                                                Technicien spécialisé
Selon l’approche par compétence                                                                    Gros Œuvre
                                                                           Mécanique et RDM – Partie 1 : Cours



     11.3.        EQUATION DE DÉFORMATION

Le cisaillement entraîne le décrochement de la section droite ab par glissement par rapport à sa
voisine a’b’
                                                                                   dy
                  La déformation unitaire est ici une déformation angulaire i =       = tanα
                                                                                   dx
Or α est petit ⇒ tanα = α (en radian)
τ =Gα
En appliquant la loi de Hooke dans cas on a :
                                                               G : Module d’élasticité transversal
                                                               α : Déformation unitaire en radian
                                                               τ : Contrainte de cisaillement

Par l’élasticité on peut démontrer que     G= E
                                             2(1+υ)


     11.4.        CALCUL PRATIQUE


       A     Vérification d’une section

Données :
N : Effort de traction ou de compression, en N.
S : Aire de la section cisaillée, en m².
 τ
     : Contrainte admissible de cisaillement du matériau.


On doit vérifier que la contrainte de cisaillement       τ=N   ≤   τ
                                                           S


       B     Détermination d’une section

Données :
N : Effort de traction ou de compression, en N.
 τ
     : Contrainte admissible de cisaillement du matériau.


On veut déterminer la section nécessaire et suffisante de façon à ce l’élément « résiste » :
                                          τ=N                          N
Donc faire en sorte que : τ ≤    τ
                                     ⇒      S   ≤    τ
                                                          ⇒ S≥         τ




SFERE – OFPPT                                                                                    Page 82 / 137
OP4 Finalisation des supports pédagogiques                        Technicien spécialisé
Selon l’approche par compétence                                            Gros Œuvre
                                                   Mécanique et RDM – Partie 1 : Cours



   11.5.         EXERCICE D’APPLICATION                   Axe


Soit l’assemblage définit ci-contre


L’effort de traction dans le tirant et de 400 kN
L’axe est cylindrique est en FeE 240.
                                                                       Tirant
Déterminer le diamètre minimal de l’axe.




   11.6.         EXERCICE FORMATIF

Ferme métallique




SFERE – OFPPT                                                            Page 83 / 137
OP4 Finalisation des supports pédagogiques                                            Technicien spécialisé
Selon l’approche par compétence                                                                Gros Œuvre
                                                                       Mécanique et RDM – Partie 1 : Cours

   12. N, V, M


   12.1.           GÉNÉRALITÉS


        12.1.1.               Forme de poutre.
Voir définition dans le chapitre R D M.

        12.1.2.               Nature des charges.


      A    Charges ponctuelles (concentrées) :

Charges appliquées en un point.




                                             6.40



      B    Charges uniformément réparties : (q/ml ou g, v etc. ).

Sur chaque segment de même longueur agit la même charge.
Ex :    - Poutre de section constante soumise à son poids propre
        - Poutre sous un plancher B.A.
Unité : q s’exprime en N/ml = le taux de charge.
                                                                   q

                                                               g


                                   6.40


⇒ Diagramme de charge rectangulaire.

      C    Charges réparties quelconques:



                           ∆f                        q



                                ∆x
                       6.40


sur ∆x ⇒ ∆f
Intensité locale de la charge
           ∆f
⇒ q(x) =        (fonction de x).
           ∆x




SFERE – OFPPT                                                                                Page 84 / 137
OP4 Finalisation des supports pédagogiques                                      Technicien spécialisé
Selon l’approche par compétence                                                          Gros Œuvre
                                                                 Mécanique et RDM – Partie 1 : Cours




      D   Equivalence vectorielle des charges réparties :

Sur ∆x : charge ∆f = q(x) . ∆x (= aire hachurée)
       ⇒ Charge totale = aire totale du diagramme des charges.
       ⇒ Position de la résultante = au Cdg du diagramme.




SFERE – OFPPT                                                                          Page 85 / 137
OP4 Finalisation des supports pédagogiques                                                  Technicien spécialisé
Selon l’approche par compétence                                                                      Gros Œuvre
                                                                             Mécanique et RDM – Partie 1 : Cours


                          V = -∑ projections / oy des forces à gauche de S
          12.1.3.             Eléments de réduction des forces extérieures.
- Soit une poutre isostatique

                                         S

                                   x

- Si on coupe en S est qu’on isole le morceau de gauche (enlève le morceau de droite).
⇒ Il est nécessaire de rétablir l’équilibre de ce morceau en appliquant sur S les efforts suivants :


                                                      N : Effort suivant la ligne moyenne
                               S V
                                  N
                                                      V : Effort perpendiculaire à la ligne moyenne.
                             x   M
                                                      M : Moment autour de z.

⇒ N, V, M, remplacent les actions à droite de la coupure.
⇒ On peut dire aussi que les actions à gauche de la coupure + N, V, M = 0


      N = -∑ projections / ox des forces à gauche de S
       Ou ∑ projections / ox des forces à droite de S.
Définition :

          Ou ∑ projections / oy des forces à droite de S.

      M = -∑ Moments / oz au cdg de S des forces à gauche de S.

          Ou ∑ Moments / oz au cdg de S des forces à droite de S.




Remarque :
N, V, M, sont fonction de x (position de la coupure) ⇒ Diagramme N(x), V(x) et M(x) le long de la
poutre.

Cas particuliers :
          1/ N ≠ 0V = 0                M = 0 (Traction, compression simple)
          2/ N = 0          V=0               M≠0 (               )
          3/ N = 0          V≠0               M=0 (               )
          4/ N = 0          V≠0               M≠0 (               )
          5/ N ≠ 0V ≠ 0                M≠0 (               )




SFERE – OFPPT                                                                                      Page 86 / 137
OP4 Finalisation des supports pédagogiques                                                        Technicien spécialisé
Selon l’approche par compétence                                                                            Gros Œuvre
                                                                                   Mécanique et RDM – Partie 1 : Cours


        12.1.4.                       Relations entre V, M et q
* Soit un tronçon de poutre définie ci-dessous :
                                                                         q(x)
    V
                                                                                            -(M+dM)


    M                                        dx                                    -(V+dV)

⇒ Equilibre du tronçon :
 ∑ proj/oy = 0
                   V - q(x).dx - V -dV = 0
                   dV = q(x).dx
                         dV
        ⇒ q(x) = −
                         dx

 ∑ Mt/oz = 0
                                             dx2
                   M - V.dx + q(x)                 - M -dM = 0
                                              2

                   - V.dx = dM
                              − dM
                        V=              ⇒ V = 0 ⇒ extremum de M
                               dx

                d2M
 +  ⇒ q=
                dx 2


        12.1.5.                       Allure des diagrammes


                                                   Charge uniformément        Charge triangulaire
                  Charge concentrée
                                                         répartie                 p(x) = p.x

        V(x)

        M(x)

Remarque :
                                                                         x0       x1


                                                                         m0
                                                                                       m1



                                x1      x1

        dM = -Vdx ⇒             ∫dM = ∫−Vdx
                                x0      x0


                x1
⇒   [M ]   x1
           x0
              =− ∫Vdx     ⇒
                                               x
                                     M1−M 0 =−∫ 1V dx
                                               x0
                x0




SFERE – OFPPT                                                                                            Page 87 / 137
OP4 Finalisation des supports pédagogiques                                     Technicien spécialisé
Selon l’approche par compétence                                                         Gros Œuvre
                                                                Mécanique et RDM – Partie 1 : Cours

              x1
⇒   [ M ] x =− ∫Vdx
          1

          x
          0
                      ⇒
                                    x
                          M1−M 0 =−∫ 1V dx
                                    x0
              x0

        ⇒ M0 = aire à droite de S de l’effort tranchant. + M1




SFERE – OFPPT                                                                         Page 88 / 137
OP4 Finalisation des supports pédagogiques                                           Technicien spécialisé
Selon l’approche par compétence                                                               Gros Œuvre
                                                                      Mécanique et RDM – Partie 1 : Cours



   12.2.          DIAGRAMME DE N(X), V(X), M(X) MÉTHODE DE DÉTERMINATION.


        12.2.1.             La statique est supposée terminée :
⇒ Schéma mécanique réel ( ne pas concentrer les charges réparties ).


                                                                            Exemple :
                                    Rb                          F


                                                 Mc
                        a
                                                                Ra
                                    b
                                            L




        12.2.2.             Si N(x) ≠ 0 ( Flexion composée)
⇒ Dans un premier temps : Faire 2 schémas mécaniques


 Un en ne prenant que les projections ⊥ à la ligne moyenne de la poutre et les couples ( F(y), Mt)

                            Rb(y)                        F(y)


                                            Mc
                                                         Ra




                                                  


 Un en ne prenant que les projections // à la ligne moyenne (F(x).

                                        Rb(x)
                                                                     F(x)



                                                  




SFERE – OFPPT                                                                               Page 89 / 137
OP4 Finalisation des supports pédagogiques                                      Technicien spécialisé
Selon l’approche par compétence                                                          Gros Œuvre
                                                                 Mécanique et RDM – Partie 1 : Cours

        12.2.3.             Définir les zones pour chaque schéma 1 et 2
⇒ Donne une équation et donc une allure différente dans chaque zone.


Remarque :
Changement de zone quand :
pour N(x) :  - Changement de taux de charge en compression ou traction
             - Rencontre une force normale à la poutre.
pour V(x) :  - Changement de taux de charge ⊥ à la ligne moyenne
             - Rencontre une force ⊥ à la poutre.
pour M(x) :       - Changement de zone de V(x)
                  - Rencontre un moment appliquée à la poutre.




SFERE – OFPPT                                                                          Page 90 / 137
OP4 Finalisation des supports pédagogiques                                   Technicien spécialisé
Selon l’approche par compétence                                                       Gros Œuvre
                                                              Mécanique et RDM – Partie 1 : Cours


          12.2.4.             Tracé


                    Avec équations                             Sans équations




Exemple de résultats

                          L
      y

                                  F
                                                                x
     A                                       B


                                  F

     A                                       B        A
                                                                      F                         B



      V                                      Fy / 2   N                                            Fx
            A                          +                                          +
                                             B            A                                    B

 - Fy / 2           -

                                  Fy L /4
      Mf
            A                 +              B




SFERE – OFPPT                                                                         Page 91 / 137
OP4 Finalisation des supports pédagogiques                                                Technicien spécialisé
    Selon l’approche par compétence                                                                    Gros Œuvre
                                                                               Mécanique et RDM – Partie 1 : Cours



       12.3.           EXERCICES

    Pour chacun des schémas mécaniques ci-dessous
           1/ Donner l'équation de V(x) et du moment fléchissant M(x) le long de la poutre.
           (littéralement pour les 4 premiers schémas, puis prendre L =5 m, a =2 m, p = 2 kN/m, q= 5
           kN/m et F = 10 kN pour les autres cas
           2/ Tracer les diagrammes correspondants (allure et valeurs particulières)
                                                                                                                    q
                                       P
                       L/2


       A                           L                               B
                                                                                                               L



                                                   F                                                                p

           A                                       B                           A                                                   B
                           l
                                                                                                   l

    Tracer l'allure des graphes de V(x) et M(x) des schémas mécaniques suivants :



                                               F

                                                               q
                                                                                       p


                   A                       L                               B   a               C
                                   a




                                                                                                       F
                                                                                           a                            b


               p                                                                   A                                                   B

A                                                                      C
                                                                                                           L
                       L                               B   a
                               I




    SFERE – OFPPT                                                                                                  Page 92 / 137
OP4 Finalisation des supports pédagogiques                               Technicien spécialisé
Selon l’approche par compétence                                                   Gros Œuvre
                                                          Mécanique et RDM – Partie 1 : Cours


                                                  q




                                F
                         a                   b

                    A                                 B
                                    L




                                                                      q           L




   12.4.         DIAPORAMA

Voir dans la partie « ANNEXES » de ce document.




SFERE – OFPPT                                                                   Page 93 / 137
OP4 Finalisation des supports pédagogiques                                                        Technicien spécialisé
Selon l’approche par compétence                                                                            Gros Œuvre
                                                                                   Mécanique et RDM – Partie 1 : Cours

   13. CARACTÉRISTIQUES DES SESSIONS


   13.1.            MOMENT STATIQUE


        13.1.1.            Hypothèse
Soit une section S appartenant à un plan x.o.y soumise à des contraintes σ proportionnelles à x (σ =
k.x).




                                                         y
                                                                                                σ1 = k.x1
                                                              σ2    σ1
                                             x1                                                 σ2 = k.x2
avec                                    x2
                                                  σ3         ∆S2
                                                                    ∆S1
                                                                                                σ3 = k.x3
                                                        ∆S3                S
                                  x3


            o                                                                  x


        z                                                y
                                                                                                 f1 = k.x1.∆S1

avec                                          x1              f2    f1                           f2 = k.x2.∆S2
                                        x2
                                                              ∆S2
                                                   f3                ∆S1
                                                                                                 f3 = k.x3.∆S3
                                   x3                   ∆S3



            o                                                                  x
Remarque : Si l’axe oy traverse S, les f sont de sens contraire de part et d’autre de oy.


                                                                     y
                z




                                                          S



                                                                                    x




SFERE – OFPPT                                                                                            Page 94 / 137



                              z                                                     y
OP4 Finalisation des supports pédagogiques                                            Technicien spécialisé
Selon l’approche par compétence                                                                Gros Œuvre
                                                                       Mécanique et RDM – Partie 1 : Cours


        13.1.2.                        Problème
On veut déterminer l’intensité de la résultante R des f qui sera appelé :
= Moment statique de S/oy (oy appartenant au plan de S)
       R = f1 + f2 + f3….
         = k.x1.∆S1 + k.x2.∆S2 + k.x3.∆S3 +….
         = Σ k.x.∆S
        Si ∆S→0 ⇒ R = k                 ∫.ds
                                        x
                                           S




        13.1.3.                        Définition du Moment statique
• Moment statique de S/oy

        Ay =      ∫ .ds
                  x
                  S




• Moment statique de S/ox

        Ax =      ∫ .ds
                  S
                   y




Exercice : Calculer le moment statique d’un rectangle /base en fonction de b et h.

                       y
                                               h




                                                          x

                                       b



        13.1.4.                        Propriété du Moment statique

                       ∫ x.ds= 1 x.ds
a / On sait que XG =       s
                                ∫
                         ∫ ds S
                                   s
                               s


⇒ Ay = XG x S


⇒ Ax = YG x S


b / Si oy passe par G ⇒ XG= 0 ⇒ Ay = 0


c / Unité : L3 ( m3, cm3 …) et Signe de Ax ou Ay : Quelconque.


Exercice : Recalculer le moment statique d’un rectangle /base en fonction de b et h, mais en utilisant
le C.D.G.




SFERE – OFPPT                                                                                Page 95 / 137
OP4 Finalisation des supports pédagogiques                                                Technicien spécialisé
Selon l’approche par compétence                                                                    Gros Œuvre
                                                                           Mécanique et RDM – Partie 1 : Cours



   13.2.                MOMENT QUADRATIQUE


        13.2.1.                         Hypothèse
Même hypothèse que pour le moment statique.

        13.2.2.                         Problème
On veut déterminer le moment résultant/oy. = Moment quadratique de S/oy (oy appartenant au plan
de S)
⇒ Mtr/oy = f1.x1 + f2.x2 + f3.x3 + …..
                 = σ1.∆S1.x1 + σ2.∆S2.x2 + σ3.∆S3 x3 +….
                 = k.x1.∆S1.x1 + k.x2.∆S2 x2 + k.x3.∆S3 x3+….
                 = k.x1².∆S1 + k.x2².∆S2 + k.x3².∆S3 +….
Mtr/oy = k Σ x².ds
   =k      ∫
           S
            x   .
                ds
                2




        13.2.3.                         Définition du Moment quadratique
• Moment quadratique de S/oy


        Iy =            ∫x 2.ds
                            S
• Moment quadratique de S/ox

        Ix =        ∫y
                        S
                            .
                            ds
                            2




        13.2.4.                         Unité : L4 ( m4, cm4…..)
Exercice : Déterminer le moment quadratique d’un rectangle


1/base (ox) en fonction de b et h
2/médiatrice (Gx’)en fonction de b et h


                    y



                                    G                  x’
                                         h




                                                       x

                                b




SFERE – OFPPT                                                                                    Page 96 / 137
OP4 Finalisation des supports pédagogiques                                                        Technicien spécialisé
Selon l’approche par compétence                                                                            Gros Œuvre
                                                                                   Mécanique et RDM – Partie 1 : Cours



   13.3.                 CHANGEMENT DE COORDONNEES ( TH D’HUYGENS)

                 y

                                                 M
                                                                              x’
                                       y
                                                           G
                                       d

                                             H                                x



Problème
Connaissant Ix’ on veut déterminer Ix ; Or Ix =                     ∫
                                                                    S
                                                                     y   .
                                                                         ds
                                                                         2




Soit le point M à l’abscisse y
⇒ Ix =                            =     ∫y+
                     2
           ∫
           S
            HM           .ds             (
                                         S
                                           d)        .
                                                     ds
                                                     2




         Ix =    ∫(y
                     S
                              2.+ .d +)ds
                                2.y  d2                   Signe de Ax ou Ay : Quelconque.
         Ix =    ∫y
                     S
                          .
                          ds
                          2
                                  +2d        ∫ .ds
                                             S
                                              y          + d² ∫ds
                                                                S




⇒ Ix = Ix’ + 2d ∫ .ds
                 y
                          S            + Sd²

                                                               = Ay/Gx’= 0

⇒ Théorème d’HUYGENS
Ix = Ix’ + Sd²
                                      S : Aire de la section
                                      d : Distance entre les 2 axes


N.B : Le théorème d’Huygens permet de déterminer le moment quadratique d’une surface par rapport
à un axe quelconque, en partant uniquement d’un axe passant par G dont on connaît le moment
quadratique, et en y ajoutant le terme Sd² (les 2 axes étant //).




SFERE – OFPPT                                                                                            Page 97 / 137
OP4 Finalisation des supports pédagogiques                                                                          Technicien spécialisé
Selon l’approche par compétence                                                                                              Gros Œuvre
                                                                                                     Mécanique et RDM – Partie 1 : Cours



   13.4.               EXERCICES

1/ Déterminer les moments statiques et quadratiques des sections suivantes :
                 a/ par rapport à ox
                 b/ par rapport à oy
c/ par rapport à Gx’       50 mm

                                                       x
                                                                                               35 mm
                                 5 mm




                                 3 mm                                                                           x

                             G
                                            x’                                                   G
                                                                                                                x’




                                                                                                         4 mm
    100 mm




                                                                            40 mm
                                                                                      y        5 mm
                       y
                                  5 mm




2/ Déterminer les moments quadratiques/ Gz (cdg de l’ensemble) des sections suivantes, composées
d’assemblage soudé de profilés du commerce.


                       UAP 100                                                                IPE 200


                  IPE 200
                             z                                              G                    z
              G
                                                                                              IPE 200




   13.5.               MOMENT QUADRATIQUE POLAIRE


             13.5.1.                    Hypothèses
Soit une section S appartenant à un plan x.o.y soumise à des contraintes tangentielles τ avec :
a/τ proportionnelles à x (τ=                     ρ2
                                                       ∆S2
k.x).                                              2
                                                                   y            ∆S1
b/τ perpendiculaire au rayon                                            ρ                                                 ft = τ.∆S
                                                 ft2                            ft1              x                   et
issu de oz.                                                    ρ
                                                             ft3       o1                 S                                         τ1 = k.ρ1
                                                       ∆S3
a/τ ou ft dans le même sens                                   3
                                                                                                                                    τ2 = k. ρ2
de rotation/ oz ( cas de la                                                                                                      τ3 = k. ρ3
torsion).




SFERE – OFPPT                                                                                                               Page 98 / 137
OP4 Finalisation des supports pédagogiques                                     Technicien spécialisé
Selon l’approche par compétence                                                         Gros Œuvre
                                                                Mécanique et RDM – Partie 1 : Cours


        13.5.2.            Problème
On veut déterminer le moment résultant des ft/oz. = Moment quadratique polaire de S/oz (S
appartenant au plan xoy)
⇒ Mtr/oz = f1. ρ1 + f2. ρ2 + f3. ρ3 + …..
                = k. ρ1.∆S1. ρ1 + k. ρ2.∆S2 ρ2 + k. ρ3.∆S3 ρ3+….
                = k. ρ1².∆S1 + k. ρ2².∆S2 + k. ρ3².∆S3 +….
Mtr/oy = k Σ ρ ².∆s
=k     ∫ .
        ρ
        S
         ds 2




        13.5.3.            Définition du Moment polaire
Moment quadratique polaire de S/oz


                  ∫ .
                   ρds
                    2
        Ip =
                  S

        13.5.4.            Unité : L4 ( m4, cm4…..)


        13.5.5.            Propriété :
ρ² = x² + y²



Ip =
            ∫
            S
              (x2+y2).ds                     =    ∫x2.ds
                                                   S
                                                                  +   ∫ ds
                                                                       y2.
                                                                        S

Le moment quadratique polaire est la somme des moments quadratiques/ 2 axes perpendiculaires
                                             Ip = Ix + Iy




SFERE – OFPPT                                                                         Page 99 / 137
OP4 Finalisation des supports pédagogiques                                         Technicien spécialisé
Selon l’approche par compétence                                                             Gros Œuvre
                                                                    Mécanique et RDM – Partie 1 : Cours

   14. CONTRAINTES DES POUTRES FLÉCHIES


   14.1.         HYPOTHÈSES.




                                                                                           Plan de symétrie




Poutre comportant un plan de symétrie vertical.
Lignes d'action des forces dans ce plan de symétrie

Poutre en flexion simple (N=0 ; V≠0 ; M≠0)


   14.2.         CONTRAINTES NORMALES σ (DUES À M(X).

Soit la poutre suivante reposant sur deux appuis simples et soumise à la flexion.
                            y




                                               d
                        O                                             x
                                                   G




                                                   (S)
                                                   S
Etudions la section (S) :
⇒ Isoler un petit tronçon de longueur dx.
D'après Navier Bernoulli les sections droites restent planes pendant la déformation.
On constate donc une rotation de la section (S) autour de G.
Les allongements ou les raccourcissements sont proportionnels à l'ordonnée y de la fibre
correspondante.

      y


                                          ∆x


          a                     b        b'
                                dα             y
     O                                             x
                                     G



                  dx

                                         (S)




Prenons une fibre ab’// ligne moyenne



SFERE – OFPPT                                                                           Page 100 / 137
OP4 Finalisation des supports pédagogiques                                               Technicien spécialisé
Selon l’approche par compétence                                                                   Gros Œuvre
                                                                          Mécanique et RDM – Partie 1 : Cours


⇒ bb’= ∆x = -y dα (∆x <0 qd. dα >0




En appliquant la Loi de Hooke :          σ = ε E:
On déduit que les contraintes normales σ sont proportionnelles aux déformations
                          ∆x
ε : déformation      ε=
                          dx

E : module de Young ou module d'élasticité longitudinal.
                            dα                         dα
⇒σ   =εE=          E. y.−
                            dx   σ=εE=       − E. y.
                                                       dx   ⇒ σ est proportionnelle à y




SFERE – OFPPT                                                                                 Page 101 / 137
OP4 Finalisation des supports pédagogiques                                                                              Technicien spécialisé
Selon l’approche par compétence                                                                                                  Gros Œuvre
                                                                                                         Mécanique et RDM – Partie 1 : Cours



    14.3.                       DÉFORMATIONS.

Hypothèses : On néglige l’influence de V
               y




                                                      σ
                                                df            ds
                                      h1                                 -M
        M                                                            y
               O                                                              x
                                                      G
                                      h2




                                     dx

                                                           (S)




La section S étant en équilibre :
Les forces élémentaires exercées sur la section (S) (forces de liaisons) doivent équilibrer le moment
fléchissant M.



⇒ Calcul du moment résultant .                     M t / Gz        des efforts sur S :
 M t / Gz      =       ∫ y×df     =-M
df = σ ds                       et σ = k y


                                                          ∫y×(−E.y dα)×ds
                                                                                          dα                          dα
⇒     ∫ y×df       =              ∫y×σ×ds      =                   dx             = -E.            ∫ y ×ds
                                                                                                     2       = - E.        I GZ
                                                                                                                                  =-M
                                                                                          dx                          dx

       dα   M
⇒         =
       dx E. I GZ




Expression de σ (Contrainte normale).
                       dα
    σ = −E. y.                                                                                           M(x)× y
                                             ⇒ Contrainte de flexion : σ(y)
                       dx
                                                                                               =    −
                                                                                                          IGZ


    dα   M
       =
    dx E. I GZ


Avec :      σ(y) = contrainte normale à l’ordonnée y et l’abscisse x de la poutre.
                                y ordonnée du point de calcul de σ.
                                M(x) Moment fléchissant à l’abscisse du point de calcul




SFERE – OFPPT                                                                                                                     Page 102 / 137
OP4 Finalisation des supports pédagogiques                                          Technicien spécialisé
Selon l’approche par compétence                                                              Gros Œuvre
                                                                     Mécanique et RDM – Partie 1 : Cours

Contraintes Extrêmes
Pour obtenir les contraintes normales extrêmes sollicitant une poutre donnée, il suffit de « prendre »
les moments extrêmes ( Mmax) et les ordonnées extrêmes de la section.
                                            M(max)×h1
        Fibre sup .....    σsup =       −
                                              IGZ

                                        M(max)×h 2
        Fibre inf .....   σinf =    −
                                          IGZ




SFERE – OFPPT                                                                            Page 103 / 137
OP4 Finalisation des supports pédagogiques                                                           Technicien spécialisé
Selon l’approche par compétence                                                                               Gros Œuvre
                                                                                      Mécanique et RDM – Partie 1 : Cours

Utilisation de l’expression
• a/ Vérification d’une section donnée :

Données:                 Mf maxi
                         I/GZ
                         σad
⇒ Calcul de σ et vérifie                σ < σad

• b/ Choix d’un profilé du commerce :

Données:                 Mf maxi
                         σad
                                 M× y
On veut       :σ=            −
                                 I
                                   GZ
                                        ≤ σad
Posons v = y
                   M
                                                IGZ ≥ − M
              −                                  v      σ
⇒σ     =          I GZ   ⇒
                    v

       I GZ
avec     v
              = caractéristique du profilé ( dans un tableau)


                                                                      h
Remarque : quand le profilé est symétrique                       v=
                                                                      2




Exercice : Etablir la formule de σ(max) pour une section rectangulaire pleine en fonction de b et h.


   14.4.                 CONTRAINTES DE CISAILLEMENT LONGITUDINAL τ (DUES À V(X))


Mise en évidence :
Soit un empilage de planches (ou autre) reposant sur deux appuis simples et soumises à de la flexion.

                                                                 déformation
                                                                          ⇒




                                                                               On remarque que les planches glissent les
                                                             τ            τ    unes sur les autres ce qui implique des
                                                        τ
                                                            τ⇒        τ⇒       contraintes ⁄⁄ au plan de glissement
                                                        ⇒
                                                            τ⇒ τ ⇒             ( contraintes tangentielles τ)
                                                            ⇒
                                                                ⇒




SFERE – OFPPT                                                                                             Page 104 / 137
OP4 Finalisation des supports pédagogiques                                                                                                              Technicien spécialisé
Selon l’approche par compétence                                                                                                                                  Gros Œuvre
                                                                                                                                         Mécanique et RDM – Partie 1 : Cours



Expression de τ :
Soit le tronçon de poutre de longueur dx. Sur ce tronçon étudions la portion inférieure représentée par
des hachures. L'équilibre de ce morceau de tronçon nous permet d'écrire :

                                                                                                                                                                     b



                        τ1ds                                                                                         τ2ds
                                 G1                                                                                                                              corde
                                                                                                                    G2                      x
                                                                         τ ds
                                                                                                                            σ2dS

                σ1dS
                                                                                   dx                                                                                    So



  − ∫ σ 1ds       +         ∫ σ ds +
                                 2              − ∫ τ ds        = 0 si on peut considérer sur dx que τ est constant
      So                    So                   Sn



  ∫ τ ds =
 Sn
                         τ×b dx                       si en              G1
                                                                                  le moment fléchissant est égal                  M f1




                                                      en            G2
                                                                              le moment fléchissant est égal                Mf2




                Mf × y                                                         Mf1 × y                        Mf 2 × y
σ =              I GZ
                                     ⇒                     σ1
                                                                     =          I GZ
                                                                                                    σ2
                                                                                                         =     I GZ

                                        Mf2×y                          Mf1×y                       dMf y ds
 τ×b dx                 =            ∫   IGZ
                                              ds           -         ∫  IGZ
                                                                             ds            =            ∫
                                                                                                    IGZ So
                                     So                             So



or         ∫ y ds = Moment statique de So par rapport à Gz
           So


                     dM f ×/ Gz
                           µ                                                            V×µ / Gz                                                              dM f
 τ

           =        −                                                         =     −                    sachant que l'effort tranchant V =               −
                      dx× Gz b
                          I/                                                             I/ Gz.b                                                               dx




                                                                    V×µ / Gz
                                            τ

                                                   =            −
                                                                     I/ Gz .b




                    τ

                            : contrainte de cisaillement longitudinal au niveau de la corde (coupure fictive)



SFERE – OFPPT                                                                                                                                                   Page 105 / 137
OP4 Finalisation des supports pédagogiques                                        Technicien spécialisé
Selon l’approche par compétence                                                            Gros Œuvre
                                                                   Mécanique et RDM – Partie 1 : Cours

        V : effort tranchant
µ/Gz : moment statique /Gz de la portion de section située au-delà de y
          I/
          Gz
             : Inertie totale de la section / Gz
        b : est la largeur de la coupure fictive.




SFERE – OFPPT                                                                          Page 106 / 137
OP4 Finalisation des supports pédagogiques                                                       Technicien spécialisé
Selon l’approche par compétence                                                                           Gros Œuvre
                                                                                  Mécanique et RDM – Partie 1 : Cours

Exercices :
1/ Etablir la formule des     τ

                                  situées sur G(z) pour une section rectangulaire pleine en fonction de V,b
et h


2/ Tracer le diagramme d’évolution des                τ

                                                          le long d’une section rectangulaire en fonction de V, b et h
pour y = h/2, h/4, 0 et symétriquement.


3/ Tracer le diagramme d’évolution des                τ

                                                          le long d’une section d’ I.P.E défini ci-dessous pour les
point A, B+, B-, C, G et symétriquement
                                        50 mm
                                                                 x
                                              5 mm


                                               3 mm
                                          G
                                                            x’
                                          C
                                  h/4
                  h =100 mm




                                           B

                                    y      A
                                               5 mm




SFERE – OFPPT                                                                                          Page 107 / 137
OP4 Finalisation des supports pédagogiques                                         Technicien spécialisé
Selon l’approche par compétence                                                             Gros Œuvre
                                                                    Mécanique et RDM – Partie 1 : Cours



   14.5.          APPLICATIONS


        14.5.1.            PLONGEOIR
L'ensemble proposé sur la figure est un plongeoir à une seule planche utilisé sur le bord des piscines.
Soit à étudier la flexion de la planche ABC représentée schématiquement sur les figures 2 et 3. Le
poids propre de la planche est négligé.


1/ Déterminer les actions mécaniques de contacts exercées en A et B sur la planche


2/ Tracer les digrammes de V(x) et M(x) (sans équations) en précisant toutes les valeurs particulières.


3/ Tracer le diagramme des contraintes normales sur la section la plus sollicitée (section 30 x 600 mm
sur le tronçon AB)


4/ Calculer la contrainte de cisaillement maxi (section 30 x 600 mm sur le tronçon AB)




SFERE – OFPPT                                                                            Page 108 / 137
OP4 Finalisation des supports pédagogiques                                            Technicien spécialisé
Selon l’approche par compétence                                                                Gros Œuvre
                                                                       Mécanique et RDM – Partie 1 : Cours


        14.5.2.            PORTIQUE TOURNANT
Le portique tournant, d'une usine de poutres B.A préfabriquées, proposé sur les figures 1 et 2 se
compose d'une poutre principale en I. La poutre est liée en A ( liaison pivot ou articulation vertical )à
un fût fixe 2, elle est en appui sur un support mobil 3. Ce support est guidé par un rail circulaire (
rayon R, centre A ), il est équipé de deux moteurs. L'ensemble tu portique pivote autour de A. Le
porte-palan avec cabine 4 translate le long de AC, il peut effectuer le levage d'une charge ne
dépassant pas 10000 daN.
Notre étude portera sur la poutre 1 dont on propose le schéma de calcul (fig. 3). Les 500 daN/m
correspondent au poids propre de la poutre, et la charge de 10000 daN est située en C (cas le pus
défavorable ).




1/ Déterminer les actions mécaniques de contacts exercées en A et B sur la poutre


2/ Tracer les diagrammes de V(x) et M(x) le long de la poutre (sans équations) en précisant toutes les
valeurs particulières.


3/ Tracer le diagramme des contraintes normales sur la section B (section la plus sollicitée : fig 4).


4/ Calculer la contrainte de cisaillement en C. ( même section qu'en B, excepté la hauteur = 800 mm).
Vous justifierez succinctement le choix de cette section.




SFERE – OFPPT                                                                               Page 109 / 137
OP4 Finalisation des supports pédagogiques                                           Technicien spécialisé
Selon l’approche par compétence                                                               Gros Œuvre
                                                                      Mécanique et RDM – Partie 1 : Cours


        14.5.3.            CUVE DE STOCKAGE
La cuve de stockage proposée ci-dessous est réalisée d'une virole (1)et de deux fonds (2 et 3) soudés
aux extrémités. La cuve repose sur deux supports (4 et 5) posés à même le sol (0).
On se propose d'étudier le comportement de la cuve en flexion.
Le schéma de calcul correspondant est défini fig. 2, dans lequel la charge répartie q de 5000 daN
représente l'action exercée par le liquide contenu dans la cuve.




1/ Déterminer les actions mécaniques de contacts exercées en A et B sur la cuve.


2/ Donner les équations de V(x) et M(x) le long de la poutre, ainsi que toutes les valeurs particulières.


2/ Tracer les diagrammes de V(x) et M(x) le long de la poutre.


3/ Déterminer littéralement la valeur de a en fonction de L donnant le même moment maxi sur appuis
qu'en travée (en valeur absolue).


4/ Tracer le diagramme des contraintes normales sur la section de cuve située sur l'appui A.




SFERE – OFPPT                                                                              Page 110 / 137
OP4 Finalisation des supports pédagogiques                                           Technicien spécialisé
Selon l’approche par compétence                                                               Gros Œuvre
                                                                      Mécanique et RDM – Partie 1 : Cours


        14.5.4.            PONT ROULANT
Le pont roulant ci-dessous proposé sur la figure 1 se compose d'une poutre principale (1) ( Profilé
IPER ) monté sur deux sommiers latéraux (3) ( composés chacun de deux UAP soudés). L'ensemble
translate sur deux rails (0) aux moyen de deux moteurs de translation (4).
La charge est fixé au crochet (5), et manœuvrée par le palan (2) ( levage et translation le long de (1)).
L'élément étant le boîtier de commande.




      A   ETUDE DE LA POUTRE 1

Le palan 2 occupe la position définie par la figure 2 ( a = 4000 mm ). Le schéma de calcul de la poutre
ABC est représenté par la figure 3.
P représente l'action exercée par le palan sur (1) dont le poids propre est négligé




1/ Déterminer RA et RB.


2/ Tracer les graphes de V(x) et M(x) en précisant toutes les valeurs particulières.


3/ Exprimer RA en fonction de P, a et L; puis l'équation de M(x) en fonction de P, a et L ( dans le
tronçon AB ).




SFERE – OFPPT                                                                              Page 111 / 137
OP4 Finalisation des supports pédagogiques                                            Technicien spécialisé
Selon l’approche par compétence                                                                Gros Œuvre
                                                                       Mécanique et RDM – Partie 1 : Cours

4/ Déterminer la valeur de a donnant le moment fléchissant maxi pour le tronçon AB et en déduire sa
valeur numérique.

5/ Si Mmax = 80.1 kN/m et la     σ
                                     = 100 MPa, choisir L'IPER qui convient.




      B   ETUDE DU SOMMIER 3

Le chargement maximum du sommier est obtenu lorsque le palan (2) est situé au droit de l'appui
correspondant, la charge est P (3000 daN ). L'étude du sommier se ramène schématiquement à la
poutre DAE figure 5 (le poids propre du sommier sera négligé).




1/ Déterminer le moment maxi dans le sommier.

2/ Choisir l'UAP nécessaire et suffisant pour satisfaire la condition de résistance si   σ
                                                                                             = 160 MPa.


3/ Vérifier que la contrainte de cisaillement longitudinal reste inférieur à 150 Mpa dans le sommier.




SFERE – OFPPT                                                                                 Page 112 / 137
OP4 Finalisation des supports pédagogiques                  Technicien spécialisé
Selon l’approche par compétence                                      Gros Œuvre
                                             Mécanique et RDM – Partie 1 : Cours




SFERE – OFPPT                                                    Page 113 / 137
OP4 Finalisation des supports pédagogiques                                           Technicien spécialisé
Selon l’approche par compétence                                                               Gros Œuvre
                                                                      Mécanique et RDM – Partie 1 : Cours


        14.5.5.            ANTENNE RADIO
Pour effectuer le levage d'une antenne radio on utilise le montage de la figure 1. L'antenne (1) est liée
à sa base O à un mât de charge (2)de 15 m de long. Le câble (5) , lié en B à (2) et en A sur (1),
maintient constant l'écartement AB ( l'angle BOA reste constamment égal à 90° ) Un deuxième câble
(4) fixé en B sur (2) et en D à un treuil réalise le levage de l'ensemble (1) + (2) + (5). Cet ensemble
pivote autour de O jusqu'à la position verticale.
On se propose étudier le comportement de l'antenne en flexion au début du levage (OA horizontal )
dont le schéma de calcul est définit à la figure 3.




1/ Donner la charge répartie q ( poids propre de l'antenne/m )


2/ En déduire les actions mécaniques de contact en O et A.

3/ Déterminer le diamètre minimal du câble (5) réalisé en acier dont σe = 1600 Mpa et compte tenu
d'un coefficient de sécurité de 6.


4/ Tracer les diagrammes de N(x), V(x) M(x) de long de l'antenne. Préciser les valeurs particulières.


Dans la suite du problème On négligera l'effet de N(x).


5/ Déterminer le moment quadratique de la section de l'antenne définit par la figure 4.


6/ Tracer le diagramme de Navier
de la section de l'antenne située
sur l'appui A.




SFERE – OFPPT                                                                             Page 114 / 137
OP4 Finalisation des supports pédagogiques                                             Technicien spécialisé
Selon l’approche par compétence                                                                 Gros Œuvre
                                                                        Mécanique et RDM – Partie 1 : Cours

   15. FLEXION COMPOSÉE


   15.1.          DÉFINITION

Un élément est soumis à de la flexion composée, si étant sollicité en flexion simple il est soumis en
plus à un effort normal.

Flexion composée ⇒ (N≠0 ; V≠0 ; M≠0)


   15.2.          EXEMPLES                                              p




Arbalétrier d’une ferme




                                              p

Poutre inclinée


                                                                            p




Poteau de portique




           Etc…


   15.3.          CONTRAINTES NORMALES σ

Puisque l’élément en flexion composé est soumis à M(x) et à N(x) les contraintes σ auront deux
origines
                                        M.y
                  σf (due à M(x)) = −          (diagramme triangulaire)
                                        IGZ

                  σN (due à N(x)) = N
                                    S       (diagramme rectangulaire)

En appliquant le principe de superposition on peut écrire :
                                     M. y
                       σ= N
                          S
                                 −
                                     IGZ


Le diagramme des contraintes σ ( ou de Navier) sur une section donnée pourra être défini en
additionnant les diagrammes de σf et σN



SFERE – OFPPT                                                                               Page 115 / 137
OP4 Finalisation des supports pédagogiques                                          Technicien spécialisé
Selon l’approche par compétence                                                              Gros Œuvre
                                                                     Mécanique et RDM – Partie 1 : Cours

Allures possibles du diagramme
    Valeurs relatives de σf    Diagramme du à N(x) :   Diagramme du à M(x) :
                                                                                 Diagramme Résultat
            et σN                     σN (+)               σf (+ en haut)



                                   l.m                   l.m                      l.m
     σ
     N
            >   σ
                f




     σ
     N
            =   σ
                f




     σ
     N
            <   σ
                f




Remarque (fibre neutre , ligne moyenne)


Exercice
Soit une section d’une poutre en bois de hauteur h = 50 cm et de largeur b = 10 cm soumis à un
moment fléchissant = 5 kN.m et à un effort normal N = 50 kN
1/ Tracer le diagramme de Navier sur cette section ( précisez les valeurs extrêmes
2/ Déterminer e (distance entre la fibre neutre et la ligne moyenne en fonction de N, I/GZ, M et S
3/ En déduire la valeur de e.


    15.4.           CONTRAINTES TANGENTIELLES

Les contraintes tangentielles n’étant engendrées que par la flexion (V(x))


                                   V×µ / Gz
                       τ

                           =   −
                                    I/ Gz .b




⇒        Comme en flexion simple




SFERE – OFPPT                                                                            Page 116 / 137
OP4 Finalisation des supports pédagogiques                                                           Technicien spécialisé
Selon l’approche par compétence                                                                               Gros Œuvre
                                                                                      Mécanique et RDM – Partie 1 : Cours



      15.5.            EXCENTRICITÉ DE CHARGE

Soit une pièce soumise uniquement à un effort normal N non appliqué au C.d.G de la section, mais
excentré d’une valeur e.


                                                   N
                                                                  G
                                                                                               h
                                                                                e




Remarque : pour faire la RdM il faut déterminer les éléments de réduction des charges au CdG de la
section (transférer les actions en G).


                        n                                                                  N
                                                                                                     M =N.e

                                                           Réduction
                             e                             en G
                                                              ⇒


Conclusion : Une pièce comprimée ou tendue par une force non appliquée au CdG de sa section, est
sollicitée en flexion composée, (N et M = N.e)


Problème : Déterminer dans le cas ci dessus l’excentricité maxi e en fonction de h de façon qu’aucune
des fibres du poteau ne soit tendue.


                                               N           M .y                                bh3
Solution : Il faut      σ
                        N
                             >     σ
                                   f
                                           ⇒   S
                                                       >          avec y = h/2 et I/GZ =
                                                           IGZ                                 12

              > M.h3             > 6M                                 > 6Ne
⇒ N
  S
                  bh   ⇒ N
                         S         bh 2.
                                                       N
                                           or M = Ne ⇒ bh               bh 2.   ⇒e≤   h
                                                                                      6    (Noyau central)
               2.
                  12


      15.6.            REMARQUE

On ne peut déterminer une poutre en flexion composée (2 inconnues I/V et S pour une équation :σ ≤
  σ
   ). On ne peut donc que la vérifier.
En pratique : choisir le profilé en flexion simple (néglige N(x)) puis vérifier en flexion composée.




SFERE – OFPPT                                                                                                 Page 117 / 137
OP4 Finalisation des supports pédagogiques                                               Technicien spécialisé
Selon l’approche par compétence                                                                   Gros Œuvre
                                                                          Mécanique et RDM – Partie 1 : Cours



   15.7.         EXERCICES

• Soit la ferme définie ci-dessous. L’entrait est un I.P.E 120 et les arbalétriers en I.P.E 160


                                                           p = 8 kN/m horizontal

                                             A




                                                            2.00
                                      1.00



1/ Déterminer l’effort dans l’entrait, puis en déduire le diagramme de Navier
2/ Etablir les diagrammes de N(x), V(x) et M(x) le long d’un l’arbalétrier.
3/ Tracer le diagramme de Navier sur la section A
4/ Donner la valeur de la contrainte τ maxi pour l’arbalétrier.


• soit la prédalle précontrainte définie ci-dessous


                                                                         Données :
                                                                            Câble
                                                                         -Taux de travail du câble = 90 %
                                                                         -Effort de rupture = 35 kN
                                                                            Prédalle : longueur = 5.50 m
On vous demande de vérifier la prédalle ( vérifier que la contrainte du béton situé sur la fibre
supérieure est toujours comprise entre 0 et 15 Mpa) dans les cas suivants
a/ au stockage
      55 mm



                2 mm




                          115 mm
                                             4m       φ=5 mm


                                                                   60°
b/ au levage                                          4m




SFERE – OFPPT                                                                                 Page 118 / 137
OP4 Finalisation des supports pédagogiques                                              Technicien spécialisé
Selon l’approche par compétence                                                                  Gros Œuvre
                                                                         Mécanique et RDM – Partie 1 : Cours

   16. LES FLÈCHES


   16.1.          DÉFINITION

La flèche d’une poutre fléchie est la longueur du déplacement de sa ligne moyenne par rapport à sa
position théorique (droite) sous l’effet des charges qui lui sont appliquées




                                       P




                          flèche                         déformée
   16.2.          FORMULAIRE

Le formulaire fourni (pages 3 à 6) donne entre autres choses:


Les équations de V(x) (noté T ici) et de M(x)
L’équation de la déformée ( fonction des appuis et des charges)
Les valeurs particulières de V(x), M(x) et la flèche (F max, …)


   16.3.          UTILISATION


        16.3.1.             Vérification d’un profilé.
Ici les caractéristiques de la poutre ainsi que son chargement sont connus
Il suffit de vérifier que la flèche maxi reste inférieure à une flèche limite ou flèche admissible

Exemple : L/200 =portée/200)


Exercice
                                                                   Questions (si p = 5 kN/m et L = 5 m)

                                   p N/ml
                                                                   a/ Déterminer le profilé à la résistance (σ≤
                                                                     σ
                                                                       )
           A                       L                               b/ Déterminer sa flèche maxi. ( E = 2.1
                                                                   105¨Mpa)




SFERE – OFPPT                                                                                 Page 119 / 137
OP4 Finalisation des supports pédagogiques                                            Technicien spécialisé
Selon l’approche par compétence                                                                Gros Œuvre
                                                                       Mécanique et RDM – Partie 1 : Cours


        16.3.2.            Détermination d’un profilé à la flèche.
Choisir le profilé nécessaire et suffisant pour satisfaire la condition de flèche imposée.


1/ Données
Formulaire des flèches
Schéma mécanique de la poutre
Tableau de profilé
Flèche admissible


2/ Méthode
Ecrire que la flèche (fonction de I/GZ ) ≤ flèche admissible
⇒ Sort I/GZ de l'inéquation ⇒choix du profilé (dans le tableau)


Exercice
                                                                 Question (si p = 5 kN/m et P = 10 kN et =5
                                                       P         m)
                                 p N/ml

                                                                 En utilisant le principe de superposition,
           A                      L
                                                                 déterminer le profilé nécessaire et suffisant
                                                                 pour que la flèche maxi reste inférieur à
                                                                 L/200
                                                                 b/ Déterminer sa flèche maxi. ( E = 2.1
        16.3.3.            Résoudre un problème hyperstatique
1/ Données
Formulaire des flèches
Schéma mécanique de la poutre : hyper de degré 1


2/ Méthode
Décomposer le schéma mécanique en 2 schémas isostatiques dont l’un des deux fait apparaître une
réaction d’appui.
Puis écrire que la somme des flèches au niveau de cet appui = 0 ; ce qui constitue une équation
supplémentaire. (permet de déterminer la réaction d’appui)


Exercice
Déterminer RB pour le schéma mécanique                                                           suivant
                                                                     p N/ml

                                                                                                 B
                                               A                      L




SFERE – OFPPT                                                                                Page 120 / 137
OP4 Finalisation des supports pédagogiques                  Technicien spécialisé
Selon l’approche par compétence                                      Gros Œuvre
                                             Mécanique et RDM – Partie 1 : Cours




SFERE – OFPPT                                                    Page 121 / 137
OP4 Finalisation des supports pédagogiques                  Technicien spécialisé
Selon l’approche par compétence                                      Gros Œuvre
                                             Mécanique et RDM – Partie 1 : Cours




SFERE – OFPPT                                                    Page 122 / 137
OP4 Finalisation des supports pédagogiques                  Technicien spécialisé
Selon l’approche par compétence                                      Gros Œuvre
                                             Mécanique et RDM – Partie 1 : Cours




SFERE – OFPPT                                                    Page 123 / 137
OP4 Finalisation des supports pédagogiques                  Technicien spécialisé
Selon l’approche par compétence                                      Gros Œuvre
                                             Mécanique et RDM – Partie 1 : Cours




SFERE – OFPPT                                                    Page 124 / 137
OP4 Finalisation des supports pédagogiques                                           Technicien spécialisé
Selon l’approche par compétence                                                               Gros Œuvre
                                                                      Mécanique et RDM – Partie 1 : Cours


   17. POUTRE CONTINUE EN BETON ARME


   17.1.            GÉNÉRALITÉ

On a remarqué qu’en utilisant les méthodes de R.D.M ( Méthodes des forces ; Théorème des trois
moments ) pour les poutres continues en B.A, les résultats obtenus ne coïncidaient pas avec la
réalité.
En particulier les moments sur appuis sont surestimés. Cela vient du fait que les méthodes de R.D.M
• Ne tiennent pas compte de la variation d’inertie de la poutre en béton ( inertie différente en travée
   et sur appui )

• Ne tient pas compte du caractère fluant du béton.

• Est trop parfaite puisqu’elle tient compte des charges situées sur des travées éloignées de la
   travée considérée, alors que le béton amorti rapidement les effets.

Par conséquent pour les poutres en B.A il existe 2 méthodes
                         Méthode forfaitaire
                         Méthode Caquot
Remarques
Calculs envisagés à l' ELU ou à l' ELS.
Ne concerne que les poutres associées à un plancher ou dalles calculées en flexion dans un seul
sens.


   17.2.            MÉTHODE FORFAITAIRE. ARTB.6.2,21 PAGE 149


        17.2.1.             Domaine d'utilisation. artB.6.2,210
a) Applicable aux planchers à charges d'exploitation modérée: QB soit G : charges permanentes
                il faut QB ≤ 2G
                  ou
                         QB ≤ 5 kN/m2
b) Travées ayant même inertie.
c) Les portées successives sont dans un rapport compris entre 0,8 et 1,25.
d) Fissuration peu nuisible.
Ces quatre conditions sont impératives pour utiliser cette méthode forfaitaire définie ci- après.




SFERE – OFPPT                                                                             Page 125 / 137
OP4 Finalisation des supports pédagogiques                                      Technicien spécialisé
Selon l’approche par compétence                                                          Gros Œuvre
                                                                 Mécanique et RDM – Partie 1 : Cours


        17.2.2.             Principe de la méthode. artB.6.2,211
Principe de la méthode basé sur le phénomène d’adaptation des poutres en B.A
On évalue les moments maxi sur appuis et en travées en fonction du moment de flexion maxi Mo de
la travée iso associée ( avec le même chargement). Les moments correspondent à une fraction de Mo
Mt = kt x Mo              Mt moment en travée
Ma = ka x Mo Ma moment sur appui
Les coefficients kt et ka sont choisis forfaitairement dans les plages définies au 2.3

Démonstration
Soit la poutre sur appuis simples

                                 P



                                                     M0 = PL/4 ⇒A0


                                     Ao

Soit la même poutre encastrée à chaque extrémité avec uniquement des aciers inférieurs

                              P


Après fissuration : ⇒ Cas 1
Encore Mo ⇒ A0
                            Ao

Soit encore la même poutre encastrée à chaque extrémité mais avec uniquement des aciers en
chapeau




                                          Ao
Après fissuration :
                                  P



                      P/2                 P/2                     M max= P/2 x L/2 =PL/4 = Mo ⇒
                                                                  A0
                                      +




SFERE – OFPPT                                                                        Page 126 / 137
OP4 Finalisation des supports pédagogiques                                             Technicien spécialisé
Selon l’approche par compétence                                                                 Gros Œuvre
                                                                        Mécanique et RDM – Partie 1 : Cours

Conclusion
Quelle que soit la position des aciers pour une poutre bi-encastrée, la section d’acier nécessaire est la
même et correspond à la section obtenue pour une poutre iso.
Il suffira donc de répartir cette section Ao (légèrement majorée par sécurité) dans la poutre de façon à
éviter les fissures.
                                                      At




                                    Aw                        Ae



Avec :        At +Aw +Ae ≥Ao
                    2

Or A est proportionnelle à M ⇒

Avec une sécurité          Mt +Mw +Me ≥ .Mo
                                       k
                                 2


            17.2.3.             Détermination des moments en travées et sur appuis
Annexes E page 231
Notation des moments en valeurs absolues
Mw: moment de flexion sur l'appui de gauche (à l'Ouest)
Me: moment de flexion sur l'appui de droite (à Est)
Mt: moment de flexion maximal dans la travée
Mo: moment de flexion maximal dans la travée iso associée
           pl 2
    Mo =           Mo = pour une charge uniformément répartie
            8

Les valeurs de Mt, Mw, et Me doivent vérifier les conditions suivantes :



•     Mt +Mw +Me ≥max(1,05;1+ ,3α Mo
                             0   ).
            2

       QB
    α=                        QB : charge d'exploitation non pondérée
      G+QB

G : charge permanente non pondérée
          (1+ ,3α
             0   )
•     Mt ≥         .Mo           pour une travée intermédiaire
             2

                      (1,2+ ,3α
                           0   )
                  Mt ≥           .Mo     pour une travée de rive
                          2




SFERE – OFPPT                                                                               Page 127 / 137
OP4 Finalisation des supports pédagogiques                                         Technicien spécialisé
Selon l’approche par compétence                                                             Gros Œuvre
                                                                    Mécanique et RDM – Partie 1 : Cours

• Les moments sur appuis intermédiaires ne sont pas inférieurs à:

-pour une poutre à deux travées




. -pour une poutre à plus de deux travées




De part et d’autre de chaque appui intermédiaire, on retient la plus grande valeur des moments sur
appuis (gauche ou droite).

        17.2.4.            Evaluation des efforts tranchants
- Soit en calculant les efforts tranchants en tenant compte des moments sur appuis.
- Soit en appliquant une pondération forfaitaire.




SFERE – OFPPT                                                                           Page 128 / 137
OP4 Finalisation des supports pédagogiques                                          Technicien spécialisé
Selon l’approche par compétence                                                              Gros Œuvre
                                                                     Mécanique et RDM – Partie 1 : Cours




         17.2.5.           Longueur des chapeaux et arrêts des barres inférieures
                           du second lit.
Annexe E.l,3 page 232
Cas général: on trace les courbes enveloppes et l'on détermine l'épure d'arrêt des barres ( décalage
de 0,9 d + longueur d'ancrage ).

Toutefois si QB ≤ G et si les charges sont uniformément réparties on peut adopter la disposition
suivante :




. avec   L' = Max    ( L1; L2 ;Ls)          si travée de rive
                       4 4

L' = Max - ( L1; L2 ;Ls)
             5 5                     si travée intermédiaire

L " = Max ( ( L';Ls)
              2                  Ls : longueur de scellement



   17.3.           MÉTHODE CAQUOT


         17.3.1.           Domaine d'application. art B.6.2,220
S'applique aux poutres, poutrelles, associées à des planchers de constructions industrielles, c'est à
dire à charges d'exploitation relativement élevées.
                         QB > 2G
                         ou
                         QB > 5 kN/m2

         17.3.2.           Principe de la méthode. artB.6.2,221
Méthode de continuité simplifiée due à Albert CAQUOT :
Cette méthode est dérivée du théorème des trois moments, mais avec certains ajustements,
propre aux poutres en B.A .(cf : Généralités)
Elle permet donc de déterminer les moments sur chaque appui, en ne considérant, notamment, que
les deux travées adjacentes et leur chargement.




SFERE – OFPPT                                                                            Page 129 / 137
OP4 Finalisation des supports pédagogiques                                              Technicien spécialisé
Selon l’approche par compétence                                                                  Gros Œuvre
                                                                         Mécanique et RDM – Partie 1 : Cours


        17.3.3.             Méthode Caquot.
Annexe E2

Appliquée poutres à moments d'inertie égaux dans les différentes travées et
non solidaires des poteaux. Annexe E2,2
Moment sur appui
• Moment sur appui A pour des charges uniformément réparties. (l = Cte )




                  3         3
      p w × 'w + e× 'e
           L    p L
  MA =                                    I= Cte
        8.5(L'w + 'e )
                 L


avec L' = L si c'est une travée de rive
avec L' = 0,8 L dans les autres cas.

• Moment sur appui A pour des charges ponctuelles. ( l = Cte )

Kw et Ke sont lus sur un tableau pour une valeur de -et -voir BAEL Annexe E.2.2, 1




                        2                 2
      K w × w × 'w K e× e× 'e
           P L         P L
  MA =            +
        L'w +L'e    L'w +L'e


Kw et Ke sont lus dans un tableau pour une valeur de     a    et   b       voir BAEL Annexe E.2.2,1
                                                        L'w        L'e




SFERE – OFPPT                                                                                Page 130 / 137
OP4 Finalisation des supports pédagogiques                                           Technicien spécialisé
Selon l’approche par compétence                                                               Gros Œuvre
                                                                      Mécanique et RDM – Partie 1 : Cours


        17.3.4.            Courbes enveloppes des M(x) art B.6.2,3 et art B.6.1,21


      A   Cas de charge

Pour construire la courbe enveloppe des moments ou même déterminer les moments extrêmes, il est
nécessaire de considérer 3 cas de charge différents :

Cas 1

                                                           1.35g +1.5q


                                     ⇒ Moments maxis sur appui.
                                    ⇒ Section des aciers sur appuis

Cas 2

                                                            1.35g +1.5q(travées impaires)
                             ⇒ Moments maxis pour les travées impaires.
                            ⇒ Section des aciers dans les travées impaires.

                                                             1.35g +1.5q(travées
                                                             paires)
                              ⇒ Moments maxis pour les travées paires.
                             ⇒Section des aciers dans les travées paires.

Cas 3
                                                              g +1.5 q(travées impaires)

⇒ Moments maxis pour les travées impaires
⇒Longueurs des chapeaux dans les travées paires


                                                              g +1.5q(travées paires)


                             ⇒ Moments maxis pour les travées paires
                         ⇒Longueurs des chapeaux dans les travées impaires




SFERE – OFPPT                                                                             Page 131 / 137
OP4 Finalisation des supports pédagogiques                                             Technicien spécialisé
Selon l’approche par compétence                                                                 Gros Œuvre
                                                                        Mécanique et RDM – Partie 1 : Cours


      B     Résultat

           0.8h
                                                            0.8h


                                                                   Courbe enveloppe décalée de
                                                                   0.8h




       0.8h                                                        Cas 3
                                                            0.8h


                                                                   Cas 2


                                                                   Cas 1



      C     Tracé d’une courbe enveloppe

On peut envisager deux Méthodes

Méthode théorique (équation de M(x) et calculette )
                                               p



           Mw                                       Me

                                                    Mw−Me
M(x) =-(Mw-RA.x + p.x2/2) Avec RA = pL/2 -            L

              Mw −Me .x +pL                  px 2
⇒ M(x) = −Mw −              .x −
                         L           2        2

               px 2    pL Mw −Me).x −
⇒ M(x) = −          +(    −          Mw              (équation à rentrer dans la calculette)
                2       2   L



       !      Les Moments ont un signe.


Méthode graphique’
L’étude d’une travée d’une poutre continue peut se décomposer en 2 cas de base :
                Moment sur appuis seuls
                Chargement iso




SFERE – OFPPT                                                                                  Page 132 / 137
OP4 Finalisation des supports pédagogiques                                        Technicien spécialisé
Selon l’approche par compétence                                                            Gros Œuvre
                                                                   Mécanique et RDM – Partie 1 : Cours




Mt =                                              +


                                                                                             Ligne de fermeture
⇒ Tracer sur la travée considérée la ligne de fermeture à partir des moments sur appui
puis le moment iso seul et enfin faire l’addition des deux diagrammes




       M1                                    M2        M1                                    M2


               Cas d’une charge
               uniformément répartie                        Cas d’une charge ponctuelle

Remarque : pour tracer la parabole correspondant au cas iso d’une charge uniformément répartie, il
suffit de calculer les valeurs des moments tous les 0.1L
Or M(x) = pl/2.x-px2/2
                               p                             0.36pL2
                ⇒M(0.1L) =       (0.1L2 − .01L2 ) = .09L2 p =
                                         0         0                        =0.36Mo
                               2                                8

                   M(0.2L)=                                             0.64Mo
                   M(0.3L)=                                             0.84Mo
                   M(0.4L)=                                             0.96Mo




SFERE – OFPPT                                                                            Page 133 / 137
OP4 Finalisation des supports pédagogiques                                                  Technicien spécialisé
Selon l’approche par compétence                                                                      Gros Œuvre
                                                                             Mécanique et RDM – Partie 1 : Cours


       D       Détermination de Mmax

Précis


Or M(x) =-(Mw-RA.x + p.x2/2)
Et M est maxi quand V(x) =0
Or V(x) =-RA +px/2           Avec RA = pL/2 -        Mw−Me
                                                       L           !       signe des moments

               RA
⇒X(o) =         p   (valeur à rentrer dans l’expression de M(x))


         17.3.5.                  Calcul de Vu max (Effort Tranchant) Annexe E.2.2,3

       A       Expression de V

Les efforts tranchants d'appui sont calculés par la méthode générale aux poutres continues en faisant
état des moments de continuité.                                                         p

Isolons une travée d’une poutre continue
                                                                       A                           B
                                            p

                                                                       A                            B
           A                            B                                                               M3
                                                M3
 M2
                                                                       A                           B
V(A-B) = -RA
                                                             M2
V(A-B) = -(RAiso + M3 - M 2        )
                   L    L


⇒V(A-B) = -RAiso -
                       M3 − M 2
                          L
V(B-A) = RB

⇒ V(B-A) =     RAiso -
                            M3 − M 2
                               L

Formule générale            V(x) = Viso -
                                                 M3 − M 2
                                                    L
                            avec Viso effort tranchant de la poutre isostatique

       B       Cas à considérer

Pour obtenir l’effort tranchant sur chaque appui il suffit de charger au maximum les travées
adjacentes à celui-ci :

Appui de rive

                                                                   1.35g +1.5q
                                                                   (travées de rive)


SFERE – OFPPT                                                                                    Page 134 / 137
OP4 Finalisation des supports pédagogiques                  Technicien spécialisé
Selon l’approche par compétence                                      Gros Œuvre
                                             Mécanique et RDM – Partie 1 : Cours




SFERE – OFPPT                                                    Page 135 / 137
OP4 Finalisation des supports pédagogiques                                         Technicien spécialisé
Selon l’approche par compétence                                                             Gros Œuvre
                                                                    Mécanique et RDM – Partie 1 : Cours

Appui intermédiaire




                                                          1.35g +1.5q :
                                                          de part et d’autre de
                                                          l’appui considéré

Etc..


   17.4.          MÉTHODE CAQUOT MINORÉE.

Dans le cas où l'une des trois conditions complémentaires à celle du chargement ne serait pas
satisfaite, on doit appliquer la méthode CAQUOT et il est admissible de minorer les moments sur
appuis dus aux seules charges permanentes par un coefficient compris entre 1 et 2/3 ; les valeurs des
moments en travée sont majorées en conséquence


   17.5.          CONTRÔLE DE BETON

Méthode Forfaitaire et méthode Caquot .

        17.5.1.            DONNEES
Soit la poutre continue définie ci-dessous
                                                                       g = 15 kN/ml
                                                                       q = 25 kN/ml


                       A                      B                 C                     D
                           6.00                   6.00                 6.00


La fissuration est jugée peu préjudiciable.

        17.5.2.            QUESTIONS
I/ Méthode forfaitaire
1/ MtA étant estimé à 0.4 Mo, déterminer tous les moments minimaux réglementaires sur appuis et en
travée en utilisant la méthode forfaitaire.
2/ En déduire l'allure du diagramme de M(x) en précisant les valeurs particulières.
II/ Méthode Caquot
1/ En ne considérant que les cas de charge donnant les moments maximaux en travée, déterminer
ces moments.
2/ Tracer pour ces cas de charge, et de façon précise, le diagramme de M(x) pour les travées AB et
CD.


   17.6.          DIAPORAMA

Voir dans la partie « ANNEXES » de ce document.




SFERE – OFPPT                                                                             Page 136 / 137
OP4 Finalisation des supports pédagogiques                  Technicien spécialisé
Selon l’approche par compétence                                      Gros Œuvre
                                             Mécanique et RDM – Partie 1 : Cours




                                 2 - : ANNEXES




SFERE – OFPPT                                                    Page 137 / 137

Mécanique et rdm partie1

  • 1.
    ROYAUME DU MAROC OFPPT Office de la Formation Professionnelle et de la Promotion du Travail DIRECTION RECHERCHE ET INGÉNIERIE DE FORMATION SUPPORTS PEDAGOGIQUES MECANIQUE ET RDM DOMAINE : PARTIE I : COURS SECTEUR : BTP SPÉCIALITÉ : GROS ŒUVRE NIVEAU : TECHNICIEN SPÉCIALISÉ. Modules concernés : 8; 9 20 MAI 2004
  • 2.
    OP4 Finalisation dessupports pédagogiques Technicien spécialisé Selon l’approche par compétence Gros Œuvre Mécanique et RDM – Partie 1 : Cours REMERCIEMENT La DRIF remercie les personnes qui ont contribué à l’élaboration du présent document. Pour la conception : M. Alain BONHOMME Expert SFERE France Pour la validation : M. Khalid BAROUTI Chef projet BTP Mme Najat IGGOUT Directeur du CDC BTP M. Saïd MOURTAJI Formateur M. Alain BONHOMME Expert SFERE France SFERE – OFPPT Page 2 / 137
  • 3.
    OP4 Finalisation dessupports pédagogiques Technicien spécialisé Selon l’approche par compétence Gros Œuvre Mécanique et RDM – Partie 1 : Cours SOMMAIRE 1.NOTION DE FORCE................................................................................................................... 7 1.1.Notion de force et de vecteur-force................................................................................. 7 1.2.Composantes d’une force............................................................................................... 8 1.3.Coordonnées cartésiennes d’un force (Repésentation algébrique) ................................ 8 1.4.Exercices........................................................................................................................ 9 2.NOTION DE MOMENT.............................................................................................................. 11 2.1.Notion de moment........................................................................................................ 11 2.2.Moment d’une force par rapport à un point................................................................... 11 2.3.Notion de couple........................................................................................................... 13 2.4.Moment résultant de plusieurs forces........................................................................... 14 2.5.Exercices...................................................................................................................... 15 3.NOTIONS GÉNÉRALES SUR LA MÉCANIQUE................................................................................... 16 3.1.Définitions..................................................................................................................... 16 3.2.Les actions mécaniques ou charges............................................................................. 16 3.3.Exercices sur les actions mécaniques.......................................................................... 18 3.4.Exercice sur les unités :................................................................................................ 19 4. SYSTEMES EQUIVALENTS / REDUCTION DE SYSTEME (DE FORCES)............................... 21 4.1.Systèmes de forces équivalents................................................................................... 21 4.2.Réduction d’un système de forces (en 1 point)............................................................. 25 4.3.Notion de torseur.......................................................................................................... 26 4.4.Exercices : Notion de résultante................................................................................... 27 4.5.Exercices : Notions de forces/moments/résultantes..................................................... 28 5. ETUDE DES LIAISONS........................................................................................................... 30 5.1.PRESENTATION.......................................................................................................... 30 5.2.EFFORT TRANSMISSIBLE PAR UNE LIAISON ......................................................... 30 5.3.Nombre d’inconnues induites par les liaisons............................................................... 31 5.4.Exemples de differents types d’appuis de poutre......................................................... 32 6. CONDITIONS GENERALES DE L’EQUILIBRE ..................................................................... 34 6.1.Hypothèses................................................................................................................... 34 6.2.But :.............................................................................................................................. 34 6.3.Notion d’action mécanique de liaison extérieure et intérieure à un système donné :......................................................................................................... 34 6.4.Enoncé du principe Fondamental de la statique (P.F.S):.............................................. 35 6.5.Cas particuliers :........................................................................................................... 35 6.6.Résolution d'un problème de statique :......................................................................... 36 6.7.METHODE DE RESOLUTION DES PROBLEMES DE STATIQUE............................. 39 6.8.Le Degré Hyperstatique................................................................................................ 40 6.9.Exercices : Degré Hyperstatique.................................................................................. 41 6.10.Exercices d’applications du PFS................................................................................. 42 SFERE – OFPPT Page 3 / 137
  • 4.
    OP4 Finalisation dessupports pédagogiques Technicien spécialisé Selon l’approche par compétence Gros Œuvre Mécanique et RDM – Partie 1 : Cours 6.11.Diaporama.................................................................................................................. 42 7.CENTRE DE GRAVITE............................................................................................................. 43 7.1.Cours élève.................................................................................................................. 43 7.2.Exercices d’Applications : élève.................................................................................... 47 7.3.Cours prof..................................................................................................................... 50 7.4.Exercices d’Applications : prof...................................................................................... 54 8. EQUILIBRE D’UN SYSTEME RETICULE............................................................................... 57 8.1.Définition....................................................................................................................... 57 8.2.Méthode des nœuds..................................................................................................... 59 8.3.Méthode de RITTER..................................................................................................... 60 8.4.Applications.................................................................................................................. 62 9.RDM : GÉNÉRALITÉS.................................................................................................................. 65 9.1.But de la RDM.............................................................................................................. 65 9.2.Hypothèses de la RDM................................................................................................. 65 9.3.Notion de contrainte...................................................................................................... 65 9.4.Répartition uniforme des contraintes (sur une section)................................................. 68 10.TRACTION SIMPLE ET COMPRESSION SIMPLE............................................................................... 70 10.1.Définitions................................................................................................................... 70 10.2.Essai de traction......................................................................................................... 70 10.3.Applications : traction simple...................................................................................... 75 10.4.Coefficient de Poisson : υ........................................................................................... 79 11.CISAILLEMENT SIMPLE............................................................................................................... 80 11.1.Définitions................................................................................................................... 80 11.2.Contrainte de cisaillement ( En cisaillement simple)................................................... 80 11.3.Equation de déformation............................................................................................. 82 11.4.Calcul pratique ........................................................................................................... 82 11.5.Exercice d’application................................................................................................. 83 11.6.Exercice Formatif........................................................................................................ 83 12.N, V, M..................................................................................................................................... 84 12.1.Généralités................................................................................................................. 84 12.2.Diagramme de N(x), V(x), M(x) Méthode de détermination........................................ 89 12.3.Exercices.................................................................................................................... 92 12.4.Diaporama.................................................................................................................. 93 13.CARACTÉRISTIQUES DES SESSIONS............................................................................................ 94 13.1.MOMENT STATIQUE................................................................................................. 94 13.2.Moment quadratique................................................................................................... 96 13.3.Changement de coordonnees ( th d’huygens)............................................................ 97 13.4.Exercices.................................................................................................................... 98 13.5.Moment quadratique polaire....................................................................................... 98 14.CONTRAINTES DES POUTRES FLÉCHIES.................................................................................... 100 14.1.Hypothèses............................................................................................................... 100 14.2.Contraintes normales σ (dues à M(x)....................................................................... 100 14.3.Déformations............................................................................................................ 102 SFERE – OFPPT Page 4 / 137
  • 5.
    OP4 Finalisation dessupports pédagogiques Technicien spécialisé Selon l’approche par compétence Gros Œuvre Mécanique et RDM – Partie 1 : Cours 14.4.Contraintes de cisaillement longitudinal τ(dues à V(x))............................................ 104 14.5.Applications.............................................................................................................. 108 15.FLEXION COMPOSÉE................................................................................................................ 115 15.1.Définition................................................................................................................... 115 15.2.Exemples.................................................................................................................. 115 15.3.Contraintes normales σ ........................................................................................... 115 15.4.Contraintes Tangentielles ........................................................................................ 116 15.5.Excentricité de charge ............................................................................................. 117 15.6.Remarque ................................................................................................................ 117 15.7.Exercices ................................................................................................................. 118 16.LES FLÈCHES.......................................................................................................................... 119 16.1.Définition................................................................................................................... 119 16.2.Formulaire ............................................................................................................... 119 16.3.Utilisation ................................................................................................................. 119 17.POUTRE CONTINUE EN BETON ARME.................................................................................... 125 17.1.Généralité................................................................................................................. 125 17.2.Méthode forfaitaire. Artb.6.2,21 page 149................................................................ 125 17.3.Méthode CAQUOT................................................................................................... 129 17.4.Méthode CAQUOT minorée...................................................................................... 136 17.5.Contrôle de beton .................................................................................................... 136 17.6.Diaporama................................................................................................................ 136 SFERE – OFPPT Page 5 / 137
  • 6.
    OP4 Finalisation dessupports pédagogiques Technicien spécialisé Selon l’approche par compétence Gros Œuvre Mécanique et RDM – Partie 1 : Cours 1 - COURS ET APPLICATIONS SFERE – OFPPT Page 6 / 137
  • 7.
    OP4 Finalisation dessupports pédagogiques Technicien spécialisé Selon l’approche par compétence Gros Œuvre Mécanique et RDM – Partie 1 : Cours 1. NOTION DE FORCE 1.1. NOTION DE FORCE ET DE VECTEUR-FORCE En mécanique, les forces sont utilisées pour modéliser ou schématiser des charges concentrées et des résultantes d’actions mécaniques très diverses ( poids, attraction magnétique, etc..). Un vecteur force est défini par une intensité ou un module ( en Newton N ou unité dérivée daN, kN, etc..), une direction, un sens et un point d’application. Exemple 1 : L’action de contact exercée par le câble(2) sur le support (1) est schématisée par le vecteur force A2/1, de point d’application A de direction celle du câble, d’intensité 1000 daN, de sens A vers I ( le câble tire sur le support). Exemple 2 : Au moment du tir, l’action de contact exercée par le pied du footballeur (2) sur le ballon (1) est schématisée par le vecteur force T2/1, point d’application T incliné de 40° par rapport à la verticale (y), d’intensité 15 N, de sens T vers K ( vers l’intérieur du ballon ). Le poids du ballon est schématisé par le vecteur-poids P1, vertical (axe y), intensité 5N, sens du haut vers le bas et de point d’application G, le centre de gravité du ballon. SFERE – OFPPT Page 7 / 137
  • 8.
    OP4 Finalisation dessupports pédagogiques Technicien spécialisé Selon l’approche par compétence Gros Œuvre Mécanique et RDM – Partie 1 : Cours 1.2. COMPOSANTES D’UNE FORCE Une force F agissant en un point A peut toujours être remplacée par deux autres forces ou composantes ( U et V ) agissant au même point et vérifiant la condition F = U + V Les composantes sont les valeurs algébriques des projections de F sur un 1.3. COORDONNÉES CARTÉSIENNES D’UN FORCE (REPÉSENTATION ALGÉBRIQUE) On peut considérer les coordonnées cartésiennes Fx et Fy comme étant des composantes orthogonales particulières de la force F dans les directions x et y.⇒ (F(x) ) horizontale et (F(y)) verticale Elles sont positives si elles sont orientées dans la même direction que ox et oy (négative dans le cas contraire. y F FA(x) FA(y) FA FA(y) A FA(x) o x Exemple : coordonnées cartésiennes de la force A2/1. Ax = A2/1cos30° = 1000 x 0.866 = 866daN Ay = -A2/1sin30° = -1000 x 0.5 = -500daN ║A2/1║ = √ 866² + 500² = 1000 SFERE – OFPPT Page 8 / 137
  • 9.
    OP4 Finalisation dessupports pédagogiques Technicien spécialisé Selon l’approche par compétence Gros Œuvre Mécanique et RDM – Partie 1 : Cours 1.4. EXERCICES 1. L’échelle utilisée pour représenter les forces est 1 mm pour 20 N. Déterminer les modules des forces F1, F2, F3. Ecrire ces modules en N, daN et kN. 2. a) Déterminer les coordonnées T1x et T1y de la tension T1 de la barre (1). b) Déterminer T3 et T3x si T3y = 100 daN. c) Déterminer T2 si (T1x+T2x+T3x=0). 3. L’action exercée par la route 0 sur la motrice 1 est schématisée par la force F0/1. Si l’effort normal N0/1 suivant n a pour valeur 400 daN, déterminer F0/1 et T0/1 (suivant t) sachant que F0/1 = N0/1 + T0/1 SFERE – OFPPT Page 9 / 137
  • 10.
    OP4 Finalisation dessupports pédagogiques Technicien spécialisé Selon l’approche par compétence Gros Œuvre Mécanique et RDM – Partie 1 : Cours 4. Sachant que la composante Tx de la tension T du câble en A est de 90 daN, déterminer Ty et T. 5. a) Déterminer les coordonnées cartésiennes de F par rapport aux axes ( x, y ) et (x’,y’). 6.Ecrire les coordonnées cartésiennes Fx et Fy des forces F indiquées en fonction du module F et des angles α et β . F = 1000 N dans les quatre cas. SFERE – OFPPT Page 10 / 137
  • 11.
    OP4 Finalisation dessupports pédagogiques Technicien spécialisé Selon l’approche par compétence Gros Œuvre Mécanique et RDM – Partie 1 : Cours 2. NOTION DE MOMENT 2.1. NOTION DE MOMENT Les effets d’une force sur un solide dépendent de la position de la force par rapport à ce corps. Exemple de la navette spatiale : Si la Force F passe par le centre de gravité G de la navette, le vaisseau est animé d’un mouvement de translation de même direction que F. Si la force ne passe pas par G, le vaisseau est à la fois animé d’un mouvement de translation et d’un mouvement de rotation ( orientation des moteurs). Pour traduire avec précision les effets d’une force, compte tenu de sa position, il est nécessaire de faire intervenir la notion de moments. 2.2. MOMENT D’UNE FORCE PAR RAPPORT À UN POINT 2.2.1. Définition Le moment de la force F par rapport au pont A, noté MA(F), est égal au produit de F par le bras de levier d : MA(F)= F.d (d : distance entre A et F) Bras de levier : longueur du segment de droite issu du point de calcul et joignant orthogonalement la droite d’action de F SFERE – OFPPT Page 11 / 137
  • 12.
    OP4 Finalisation dessupports pédagogiques Technicien spécialisé Selon l’approche par compétence Gros Œuvre Mécanique et RDM – Partie 1 : Cours Convention de signe Si F fait tourner le solide autour de A dans le sens trigonométrique, le moment est dit positif. sens trigo + - Exemple 1 : Déterminons F2 de façon que MA(F1) +MA(F2)=0 MA(F1) = F1 .d1= 240 x 0.1 = 24N.m MA(F2) = -F2.d2 = -0.12F2 MA(F1)+ MA(F2)= -0.12F2+24 =0 Soit F2=200N Exemple2 : Déterminons le couple de serrage exercé par une clé plate sur un écrou en fonction de l’inclinaison de l’effort B3/2. Le couple de serrage est égal au moment en A de l’action B3/2 : MA(B3/2)= B3/2 . AB . sin α Si AB est perpendiculaire à B3/2 (α=90°) : MA= B3/2 . AB . sin 90= 100x0.2x1=20 N.m Si α= 60° : MA1= B3/2 . AB . sin 60° = 17.3 N.m Si α= 45° : MA2= B3/2 . AB . sin 45° =14.1 N.m SFERE – OFPPT Page 12 / 137
  • 13.
    OP4 Finalisation dessupports pédagogiques Technicien spécialisé Selon l’approche par compétence Gros Œuvre Mécanique et RDM – Partie 1 : Cours 2.2.2. Théorème de Varignon Le moment de la force F au point A est égal à la somme des moments de ses composantes U et V par rapport au même point. MA(F)= MA(U) + MA(V) Pour notre cas: MA(F) = F.d = -U.dU + V.dV Exemple : Déterminons MA(F) de la Force F. Fx = F cos60° = 1000 X 0.5 = 500 N Fy = F sin60° = 1000 x 0.866 = 866 N MA(F) = MA(Fx)+ MA(Fy) = -500 x 0.1 + 866 x 0.16 = 88.6 N.m = F.d Rq: Le calcul à partir des composantes est ici plus simple que l’application directe à partir de F.d (détermination de d plus difficile). 2.3. NOTION DE COUPLE 2.3.1. Définition Le moment engendré par deux forces égales et opposées ayant des lignes d’action différentes constitue un couple (M). L’intensité F.d du couple est indépendante du point O choisi ou de la valeur de a. Elle ne dépend que de la distance d entre les deux forces et de l’intensité F. M= MO(F) + MO(-F) = F(a+b) – F.a = F.d SFERE – OFPPT Page 13 / 137
  • 14.
    OP4 Finalisation dessupports pédagogiques Technicien spécialisé Selon l’approche par compétence Gros Œuvre Mécanique et RDM – Partie 1 : Cours Exemple: Une clé à bougie se compose d’un corps et d’une tige de manœuvre coulissante et réglable. F et –F schématisent les actions exercées par les mains de l’opérateur. Si F = 100 N, déterminons le couple de desserrage (M) exercé par la clé sur l’écrou en E, pour les positions indiquées. Pour les quatre positions, on a : M = ME(F) + ME(-F)= MO(F) + MO(-F) = F x OB + F x OA = F.AB = 0,4 F= 40 N.m Pour la position 1: M = 0.2F + 0.2F = 0.4F Pour la position 1: M = 0.15F + 0.25F = 0.4F Pour la position 2: M = 0.3F + 0.1F = 0.4F Pour la position 1: M = 0 + 0.4F = 0.4F 2.4. MOMENT RÉSULTANT DE PLUSIEURS FORCES Le moment résultant MA en un point A de n forces F1,F2,F3,…..,Fn est égal à la somme des moments en A de chacune des forces. MA = MA(F1) + MA(F2) +MA(F3) +.........+MA(Fn) Exemple: la balance romaine Une balance romaine se compose d’un balancier 2 articulé en O sur un crochet 1 lié à un support fixe et d’une masse d’équilibrage mobile 3 ( a variable) de poids q = 5daN. La masse à peser, poids P, est suspendue en B par l’intermédiaire d’un crochet 4. si a = 70 cm, déterminons la valeur de P. Lorsqu’il y a équilibrage des deux masses, le moment résultant en O des poids P et q est nul. MO = MO(P) + MO(q) = P x 0.1 – q x 0.7 = 0 D’où P = 7q = 7 x 5 = 35 daN SFERE – OFPPT Page 14 / 137
  • 15.
    OP4 Finalisation dessupports pédagogiques Technicien spécialisé Selon l’approche par compétence Gros Œuvre Mécanique et RDM – Partie 1 : Cours 2.5. EXERCICES 2.5.1. EXERCICE N°1 La force F schématise l’action de serrage exercée par l’opérateur. Calculer le moment en B (couple de serrage sur l’écrou) de la force F. 2.5.2. EXERCICE N°2 Déterminer le moment en O de la force F agissant sur le point B de la potence. 2.5.3. EXERCICE N°3 Calculer le moment en O de la force F agissant au point B. 2.5.4. EXERCICE N°4 a) Déterminer le moment résultant en (Mo) exercé par le couple de Force F et –F b) Calculer le moment en A, B, C. c) Quelle doit être la valeur de T pour que le couple T et (-T ) puisse équilibrer le couple précédent ? SFERE – OFPPT Page 15 / 137
  • 16.
    OP4 Finalisation dessupports pédagogiques Technicien spécialisé Selon l’approche par compétence Gros Œuvre Mécanique et RDM – Partie 1 : Cours 3. NOTIONS GÉNÉRALES SUR LA MÉCANIQUE 3.1. DÉFINITIONS 3.1.1. Buts de la Mécanique: - Etudier l'équilibre des solides (statique) ou le mouvement (dynamique) - Déterminer un état de contrainte et un état de déformation en tout point de la matière (R.d.M) 3.1.2. Définition du solide en statique. En statique, un solide est un corps : • Homogène : la masse est répartie de façon homogène sur tout le volume. • Géométriquement parfait : les défauts de forme ne sont pas pris en compte dans la schématisation du solide. • Indéformable : on ne tient pas compte des déformations du solide soumis à un effort. • Isotrope : le solide a les mêmes caractéristiques mécaniques dans toutes les directions. 3.1.3. Principe des actions mutuelles Pour deux solides 0 et 1 en contact, l’action exercée par le solide 0 sur le solide 1 est égale et opposée à l’action exercée par le solide 1 sur le solide 0. 3.2. LES ACTIONS MÉCANIQUES OU CHARGES. Les actions mécaniques représentent les efforts exercés sur des solides ou entre solides. Ces actions mécaniques sont schématisées ou modélisées par des forces et des moments. Il existe deux types d’actions mécaniques : les actions à distance les actions de contact 3.2.1. Les actions mécaniques à distance On se limitera au poids d’un solide (effet de la gravité). Le poids est représenté par un vecteur P : Point d’application : centre de gravité G Direction : verticale Sens : vers le bas Intensité : P = Mg (N) M : masse en Kg P g = 9,81 m/s² : accélération de la pesanteur ou attraction terrestre SFERE – OFPPT Page 16 / 137
  • 17.
    OP4 Finalisation dessupports pédagogiques Technicien spécialisé Selon l’approche par compétence Gros Œuvre Mécanique et RDM – Partie 1 : Cours Dans le domaine du Génie Civil, on prendra : o pour un solide en surface (plancher) : le poids surfacique (relatif à une surface) N/m² o pour un solide en longueur (poutre) : le poids linéaire (relatif à une longueur) N/m Exemple : Déterminer le poids surfacique d’un plancher de 18 cm d’épaisseur. Déterminer le poids linéaire d’une poutre de section 50x20 cm. Données : Poids volumique du béton armé 25 kN/m3 3.2.2. Les actions mécaniques de contact A Actions de contact ponctuelles (charges concentrées) Si deux solides sont en contact en un point ou sur une très petite surface, l’action de contact est représentée par un vecteur force dont le point d’application est le point de contact. Exemple : Appui d’une poutre sur une poutre. F2/1 2 1 Unité : N B Actions de contact linéiques (charges réparties) Si deux solides sont en contact suivant une ligne, l’action est schématisée par un vecteur force q appliqué sur toute la ligne de contact. Exemple : Cloison sur plancher. q Unité : N/ml SFERE – OFPPT Page 17 / 137
  • 18.
    OP4 Finalisation dessupports pédagogiques Technicien spécialisé Selon l’approche par compétence Gros Œuvre Mécanique et RDM – Partie 1 : Cours C Actions de contact ou charges réparties sur une surface Exemple : Vent sur mur. schématiquement Vent Unité : N/m² 3.3. EXERCICES SUR LES ACTIONS MÉCANIQUES Exercice n°1 : Poutre AB : • Caractéristiques géométriques : Portée : 3.5 m Appui de gauche A : articulation Appui de droite B: appui simple Repère (A ; x ; y ) • Actions mécaniques Deux charges ponctuelles verticales vers le bas d’intensité F=3KN appliquées à x =1.00m et x =2.50m. Une charge linéaire uniformément répartie verticale vers le bas d’intensité q=1.5 KN/ml sur toute la poutre. Effectuer le schéma mécanique de la poutre AB. Calculer le moment en A engendrée par les forces F . Calculer le moment en A engendrée par la charge linéaire q. En déduire le moment total en A. SFERE – OFPPT Page 18 / 137
  • 19.
    OP4 Finalisation dessupports pédagogiques Technicien spécialisé Selon l’approche par compétence Gros Œuvre Mécanique et RDM – Partie 1 : Cours Poutre CD : • Caractéristiques géométriques : Portée : 5.60m Appui de gauche C : encastrement Appui de droite D: libre Repère ( C ; x ;y ) • Actions mécaniques Une charge ponctuelle verticale F vers le bas d’intensité 10KN appliquées à x =2.50m Une charge linéaire uniformément répartie verticale vers le bas d’intensité q=1 KN/ml sur toute la poutre. Effectuer le schéma mécanique de la poutre CD. Calculer le moment en C engendrée par les forces F . Calculer le moment en C engendrée par la charge linéaire q. En déduire le moment engendrée par F + q 3.4. EXERCICE SUR LES UNITÉS : 10000cm² = m² 0.800MN/m = KN/m 10 000 000cm3= m3 10KN/mm² = KN/m² 25KN/mm = KN/m 1MN/cm² = KN/m² 300N/m = KN/m 3.4.1. Exercice N°2 Soit une poutre AB en béton armé de section 50 x 20cm et de portée 6.00m. Appui A : articulation Appui B : appui simple Poids volumique du béton armé : 25 KN/m3 1. Déterminer le poids P en KN de la poutre considérée. 2. En déduire le poids linéaire p en KN/m de la poutre. 3. Effectuer le schéma mécanique de la poutre AB. 4. Calculer le moment en A engendré par le poids de la poutre. 3.4.2. Exercice N°3 Soit un plancher en béton armé d’épaisseur 18 cm et de surface 200m². 1. Déterminer le poids surfacique Ps du plancher (KN/m²) . 2. Déterminer le poids P du plancher (KN). SFERE – OFPPT Page 19 / 137
  • 20.
    OP4 Finalisation dessupports pédagogiques Technicien spécialisé Selon l’approche par compétence Gros Œuvre Mécanique et RDM – Partie 1 : Cours 3.4.3. Exercice N°4 Soit une poutre AB en béton armé supportant une partie d’un plancher béton armé. Largeur de dalle reprise par la poutre : 5 m Epaisseur du plancher : 16 cm Section de la poutre : 30 x 60 cm Portée de la poutre : 5.00 m Poids volumique du béton armé : 25KN/m3 Appui A : appui simple Appui B : articulation. 1. Déterminer le poids P1 du plancher en KN. 2. Déterminer le poids P2de la poutre en KN. 3. En déduire le poids total P : plancher + poutre. 4. Effectuer le schéma mécanique de la poutre AB. 5. Calculer le moment en A engendré par P. Plancher BA Poutre BA SFERE – OFPPT Page 20 / 137
  • 21.
    OP4 Finalisation dessupports pédagogiques Technicien spécialisé Selon l’approche par compétence Gros Œuvre Mécanique et RDM – Partie 1 : Cours 4. SYSTEMES EQUIVALENTS / REDUCTION DE SYSTEME (DE FORCES) 4.1. SYSTÈMES DE FORCES ÉQUIVALENTS 4.1.1. Définitions. Un système de forces est un ensemble de forces agissant simultanément sur un système matériel (= solide ou ensemble de solide) Des systèmes de forces différents sont dits équivalents si appliqués séparément à un solide ils provoque les mêmes effets : On dit également qu’ils ont les mêmes éléments de réductions. C'est à dire : Ils ont la même résultante et le même moment résultant en un point donné. ⇒ ∑ Forces = identique ∑ Moment = identique Remarque : Il est toujours possible de remplacer un système de forces par un autre s'il est équivalent au précédent. 4.1.2. Exemples A Composantes d’une force (= projections orthogonales de F sur ox ⇒F(x) et sur oy ⇒F(y), ayant la même origine que F). y y F F(y) F(y) α F(x) F(x) 1 1 o o 2 1 x 2 2 x Exercice Montrez le système 1 est équivalent au système 2 (prendre F = 20 kN et α = 40°) Conséquence : Le Mt F/o = F x OA est égal aussi à Mt Fx/o + Mt Fy/o = -F(x) x A + F(y) x B SFERE – OFPPT Page 21 / 137
  • 22.
    OP4 Finalisation dessupports pédagogiques Technicien spécialisé Selon l’approche par compétence Gros Œuvre Mécanique et RDM – Partie 1 : Cours En pratique : Il sera plus simple de faire le moment d’une force en utilisant les valeurs de ses composantes, placées à l’origine de F. SFERE – OFPPT Page 22 / 137
  • 23.
    OP4 Finalisation dessupports pédagogiques Technicien spécialisé Selon l’approche par compétence Gros Œuvre Mécanique et RDM – Partie 1 : Cours B Résultante d’un système de forces. • Si la somme des forces est non nulle, on peut dire que le système admet une résultante. • En effet il sera possible de trouver un système de force à une force équivalent. - Σ Forces identique ⇒ R = Σ Forces - Σ Mt /même point ⇒ Position de R Système à forces concourantes R F1 y y F2 o o 1 x 2 x On veut que le système 2 soit équivalent au système 1 ⇒ Σ Force identique ⇒ R = F1 + F2 Σ Moments identique⇒ or Σ Mt A (F1,F2) = 0 ⇒ R passe par A Conclusion : Soit un système de n forces F1,F2,…,Fn concourantes en un même point I. La résultante R des n forces passe aussi par I et est égale à la somme vectorielle des n forces : R= F1+F2+....+Fn Exemple: pour la vis proposée, déterminons la résultante ou l’effet combiné des quatre tensions de câbles T1,T2,T3 et T4 1. Méthode graphique SFERE – OFPPT Page 23 / 137
  • 24.
    OP4 Finalisation dessupports pédagogiques Technicien spécialisé Selon l’approche par compétence Gros Œuvre Mécanique et RDM – Partie 1 : Cours 2. Par le calcul : R = T1+T2+T3+T4 donne en projection sur les axes x et y Rx= Ry= ║R║= tanθ = Système à forces parallèles Soit le système 1 à deux forces : déterminer R dans le système 2 ( position et intensité) Avec F1 = 10 KN et F2 = 40 KN A A B B 1.00 1.50 1.00 1.50 Exercice Déterminer la résultante du système 1 (intensité, position) Exemple Pour l’exemple ci-contre : Déterminons par le calcul la résultante de F1, F2 et F3 (intensité, position) Résultante d’un système de forces planes quelconques Si les forces connues ne sont pas toutes concourantes au même point, il est nécessaire de déterminer graphiquement la ligne d’action de la résultante par approches successives, en combinant les forces deux à deux. SFERE – OFPPT Page 24 / 137
  • 25.
    OP4 Finalisation dessupports pédagogiques Technicien spécialisé Selon l’approche par compétence Gros Œuvre Mécanique et RDM – Partie 1 : Cours Exemple : Déterminons la résultante des actions F1,F2 et F3 exercées par trois remorqueurs pour manœuvrer un pétrolier. Le pétrolier se comporte comme si un seul remorqueur poussait dans la direction DJ avec une poussée de 600 KN 4.2. RÉDUCTION D’UN SYSTÈME DE FORCES (EN 1 POINT) Il s’agit de modifier un premier système de force pour que seul apparaisse un système de forces appliqué en un point donné = Réduction de système en un point. Le deuxième système ainsi obtenu devant être équivalent au premier. -On obtient ainsi les éléments de réduction en un point. C Exemple: d2 FA FB A d1 C B Question : Déterminer littéralement les éléments de réduction en C de FA et FB a/ Algébriquement. b/ Vectoriellement. SFERE – OFPPT Page 25 / 137
  • 26.
    OP4 Finalisation dessupports pédagogiques Technicien spécialisé Selon l’approche par compétence Gros Œuvre Mécanique et RDM – Partie 1 : Cours 4.3. NOTION DE TORSEUR 4.3.1. Définition : C’est une grandeur mathématique qui représente la réduction d’un système de force en un point. A ⇒Un torseur d’action mécanique en un point est un ensemble constitué de deux grandeurs : - une force S (somme des forces concernées), indépendante du point choisi ; - un couple MA (ou moment résultant), fonction du point A choisi. S ⇒ TORSEUR en A = TA = ensemble M A S et MA sont les éléments de réduction du torseur. S1/2 Exemple de notation T1/2 = ensemble: est le torseur de actions de ½ en A A M1/2 A 4.3.2. Ecriture Algébrique : 4.3.3. Somme de torseur : La somme de plusieurs torseurs ne peut se faire que s'ils sont tous écrits au même point; c’est impératif ! (une somme de moment ne pouvant se faire que s'ils sont calculés / même point). 4.3.4. Torseurs particuliers Couple Glisseur Torseur nul SFERE – OFPPT Page 26 / 137
  • 27.
    OP4 Finalisation dessupports pédagogiques Technicien spécialisé Selon l’approche par compétence Gros Œuvre Mécanique et RDM – Partie 1 : Cours 4.4. EXERCICES : NOTION DE RÉSULTANTE 4.4.1. Exercice N°1 : Déterminer le résultante R de T1 et T2 agissant sur le palier en A. 4.4.2. Exercice N°2 : Le palier à roulement est soumis aux actions A et B. Calculer les composantes horizontale (x) et (y) des forces A et B. En déduire la résultante des deux forces. 4.4.3. Exercice N°3 : Pour les trois cas proposés, déterminer la résultante des trois forces F,T et S. 4.4.4. Exercice N°4 : F1,F2,F3 et F4 schématisent les actions exercées par les câbles sur la tête de la vis. Déterminer la résultante des quatre forces. SFERE – OFPPT Page 27 / 137
  • 28.
    OP4 Finalisation dessupports pédagogiques Technicien spécialisé Selon l’approche par compétence Gros Œuvre Mécanique et RDM – Partie 1 : Cours 4.4.5. Exercice N°5 : P1 (150 kN) schématise le poids de la partie camion, P2(90kN) le poids du corps de la grue et P3(70kN) le poids de la flèche télescopique. Déterminer la résultante des trois forces. 4.5. EXERCICES : NOTIONS DE FORCES/MOMENTS/RÉSULTANTES 4.5.1. Exercice1 La force R schématise la résultante des forces de pression dues au vent. Calculer le moment en A de R, A étant la zone fragile du panneau indicateur. 4.5.2. Exercice2 Calculer le moment en C de la force T et le moment en C de la force S. Déduire le moment résultant en C des deux forces. 4.5.3. Exercice3 Les forces F et T, appliquées en I et J, schématisent les actions exercées par les roues dentées. Calculer le moment en O de la force F A partir de quelle valeur la force T équilibre-t-elle le couple moteur engendré par F. SFERE – OFPPT Page 28 / 137
  • 29.
    OP4 Finalisation dessupports pédagogiques Technicien spécialisé Selon l’approche par compétence Gros Œuvre Mécanique et RDM – Partie 1 : Cours 4.5.4. Exercice 4 La tension du câble AB est T1 = 18.5 kN, celle du câble AC est T2=13kN avec α=45° Déterminer la résultante R de T1 et T2 en kN, daN et N. 4.5.5. Exercice 5 F1,F2 et F3 schématisent les forces exercées sur la structure en treillis. Déterminer la résultante des trois forces. SFERE – OFPPT Page 29 / 137
  • 30.
    OP4 Finalisation dessupports pédagogiques Technicien spécialisé Selon l’approche par compétence Gros Œuvre Mécanique et RDM – Partie 1 : Cours 5. ETUDE DES LIAISONS 5.1. PRESENTATION Dans le bâtiment, les liaisons entre solides se ramènent à trois familles principales : Appui simple, articulation ou pivot et encastrement. Chaque famille peut supporter ou transmettre des efforts différents. 5.2. EFFORT TRANSMISSIBLE PAR UNE LIAISON L’action exercée par les surfaces de liaison des solides (0 et 1) en contact est schématisée par une résultante S (coordonnées Sx et Sy ) et un moment éventuel M. Type de Schématisation Actions de liaison usuelle contact entre Exemples 0 et 1 Appui simple (1 inconnue) Articulation ou Pivot (2 inconnues) Encastrement (3 inconnues) Plus généralement Suivant la nature de la liaison entre deux solides, les six coordonnées Sx, Sy, ........Mz, du torseur peuvent être nulles ou non. (Mouvements possibles ou non). ⇒ L’ensemble des coordonnées non nulles caractérisent l’effort transmissible par la liaison. (Par conséquent une coordonnée nulle signifie que le mouvement correspondant et libre entre les deux solides) ⇒ Le nombre de degré de liberté correspond au nombre des composantes nulles du torseur associé. SFERE – OFPPT Page 30 / 137
  • 31.
    OP4 Finalisation dessupports pédagogiques Technicien spécialisé Selon l’approche par compétence Gros Œuvre Mécanique et RDM – Partie 1 : Cours Remarques : - La somme des efforts transmissibles et des degrés de liberté est égale à 6 dans l’espace et à 3 dans le plan (nombre de coordonnées du torseur). - Si le nombre d’efforts transmissibles↑, le nombre des degrés de liberté↓. - Les efforts transmissibles par une liaison correspondent généralement aux actions cherchées en statique = nombre d’inconnues de statique. Mvt. relatifs Torseur des Exemples dans Liaisons Schéma de liberté interactions le bâtiment 0 Translation Sx Mx 0 Rotation Encastrement Sy My Sz Mz ⇒ 0 °d de liberté 0 Translation Sx 0 Articulation 1 Rotation Sy My (pivot) Sz Mz ⇒ 1 °d de liberté 2 Translations Appui simple 0 0 3 Rotations (ponctuel) 0 0 (suivant z) Sz 0 ⇒ 5 °d de liberté 2 Translations 0 Mx 1 Rotation Appui plan 0 My Sz 0 ⇒ 3 °d de liberté 5.3. NOMBRE D’INCONNUES INDUITES PAR LES LIAISONS A Dans l’espace : Appui simple → 1 inconnue : Sz. Intensité de Sz inconnue direction connue ⊥ au plan de contact. Articulation → 5 inconnues Encastrement → 6 inconnues B Dans le plan : Appui simple → 1 inconnue : Sz. Intensité de Sz inconnue direction connue ⊥ au plan de contact. Articulation → 2 inconnues : direction et intensité de S (= Sx, Sy) (Mz = 0) Encastrement → 3 inconnues : direction et intensité de S (= Sx, Sy) et intensité de Mz SFERE – OFPPT Page 31 / 137
  • 32.
    OP4 Finalisation dessupports pédagogiques Technicien spécialisé Selon l’approche par compétence Gros Œuvre Mécanique et RDM – Partie 1 : Cours 5.4. EXEMPLES DE DIFFERENTS TYPES D’APPUIS DE POUTRE SFERE – OFPPT Page 32 / 137
  • 33.
    OP4 Finalisation dessupports pédagogiques Technicien spécialisé Selon l’approche par compétence Gros Œuvre Mécanique et RDM – Partie 1 : Cours SFERE – OFPPT Page 33 / 137
  • 34.
    OP4 Finalisation dessupports pédagogiques Technicien spécialisé Selon l’approche par compétence Gros Œuvre Mécanique et RDM – Partie 1 : Cours 6. CONDITIONS GENERALES DE L’EQUILIBRE 6.1. HYPOTHÈSES Tous les corps étudiés sont indéformables. Les coordonnées d'un point quelconque sont constantes. Les supports des forces sont invariables. 6.2. BUT : On veut déterminer les actions extérieures agissant sur un système, dans le but ultérieur d’appliquer la R.d.M. Un système étant composé d’un solide unique ou d’un ensemble de solides. 6.3. NOTION D’ACTION MÉCANIQUE DE LIAISON EXTÉRIEURE ET INTÉRIEURE À UN SYSTÈME DONNÉ : Généralités : - A chaque liaison s’exercent des actions mécaniques (Forces et moments) dites de liaison, correspondant à l’action d’une barre sur une autre (plus généralement d’un système sur un autre au niveau de cette liaison). - Ces actions mécaniques sont dites : Extérieures au système lorsqu’elles remplacent l’action d’une liaison que l’on vient de couper pour isoler ce système. Intérieures au système quand la liaison n’a pas été coupée. Exemple : Soit le système (potence) modélisé ci-dessous composé de plusieurs solides (CE=3 ; CA=1 ; BD=2) Cette potence est scellée (Encastrée) dans le sol. 3 D E Donnez : C F a/ Au moins 2 actions extérieures au système Potence (1+2+3) 2 b/ Au moins 2 actions intérieures au système Potence (1+2+3) B c/ Au moins 3 actions extérieures au système 1 1 b/ Au moins 2 actions intérieures au système 1+3 A SFERE – OFPPT Page 34 / 137
  • 35.
    OP4 Finalisation dessupports pédagogiques Technicien spécialisé Selon l’approche par compétence Gros Œuvre Mécanique et RDM – Partie 1 : Cours 6.4. ENONCÉ DU PRINCIPE FONDAMENTAL DE LA STATIQUE (P.F.S): Pour qu'un solide soit en équilibre (statique) il faut qu'il ne subisse aucun déplacement : Pas de translation (dans n'importe quelle direction). Pas de rotation Donc un solide indéformable en équilibre sous l’action de n forces extérieures (F1,F2,….,Fn) reste en équilibre si : • la somme vectorielle S de toutes les forces extérieures est nulle (pas de translation) ∑Fext = F1 +F2+ …..+Fn =0 En projection sur x et y : 2équations ∑Fx = F1x+F2x+…….+Fnx=0 (1) ∑Fy = F1y+F2y+……..+Fny=0 (2) • Le moment résultant MI en n’importe quel point I de toutes les forces extérieures est nul (Pas de rotation). ∑MI(Fext) = MI(F1)+ MI(F2)+.......+ MI(Fn) =0 (3) Dans le plan : 1/ ∑ F(x) = 0 2/ ∑ F(y) = 0 3/ ∑ M(z) = 0 3 équations de la statique ⇒ 3 inconnues. Dans l'espace : 1/ ∑ F(x) = 0 4/ ∑ M(x) = 0 2/ ∑ F(y) = 0 5/ ∑ M(y) = 0 3/ ∑ F(z) = 0 6/ ∑ M(z) = 0 6 équations de la statique ⇒ 6 inconnues. 6.5. CAS PARTICULIERS : F -F Solide soumis à l'action de 2 forces Un solide soumis à 2 forces est en équilibre si les 2 forces sont directement opposées : SFERE – OFPPT Page 35 / 137
  • 36.
    OP4 Finalisation dessupports pédagogiques Technicien spécialisé Selon l’approche par compétence Gros Œuvre Mécanique et RDM – Partie 1 : Cours Solide soumis à l'action de 3 forces (dans le plan:) F1 F2 O F2 F3 F1 dynamique fermé F3 Un solide soumis à 3 forces est en équilibre si : Les 3 forces sont concourantes. La dynamique des forces est fermée. 6.6. RÉSOLUTION D'UN PROBLÈME DE STATIQUE : Pour résoudre un problème de statique : 3 étapes sont nécessaires 6.6.1. Etablir le schéma mécanique Un schéma mécanique est un schéma modélisé (simplifié) de la structure sur lequel seules apparaissent les forces extérieures agissant directement sur le système. Méthodologie : A Modéliser le système : Consiste à simplifier le dessin du système (gain de temps) tout en gardant statiquement équivalent : - Garder la forme générale du solide (ou les solides) et le représenter par sa fibre moyenne. - Schématiser les différentes liaisons (voir chap.II) B Isoler le système matériel à étudier : - "couper "au niveau des liaisons du système à étudier avec l’extérieur - remplacer les liaisons coupées par les actions mécaniques associées. C Ajouter les actions extérieures : - représenter les actions extérieures (charges d'exploitation, charges permanentes) par des vecteurs forces (charges ponctuelles, charges réparties) ou des vecteurs moments. - indiquer toutes les cotes nécessaires. SFERE – OFPPT Page 36 / 137
  • 37.
    OP4 Finalisation dessupports pédagogiques Technicien spécialisé Selon l’approche par compétence Gros Œuvre Mécanique et RDM – Partie 1 : Cours 6.6.2. Faire le bilan - Faire le bilan des inconnues (I) - Faire le bilan des équations possibles (E) dans notre exemple : si I ≤ E résoluble. I > E non résoluble. SFERE – OFPPT Page 37 / 137
  • 38.
    OP4 Finalisation dessupports pédagogiques Technicien spécialisé Selon l’approche par compétence Gros Œuvre Mécanique et RDM – Partie 1 : Cours 6.6.3. Appliquer le principe fondamental de statique : Dans le plan : 3 équations pour 3 inconnues (en général : actions de contact). Le système est dit isostatique. Résoudre le système d'équations Rappels et Remarques : a/ Actions extérieures(à un système) : Actions directement appliquées sur le système (dont poids) et actions des liaisons coupées b/ Les coupures devront être choisies de façon à faire apparaître les actions recherchées (⇒ choix de l’élément à isoler). c/ Intérêt des systèmes soumis à 2 forces. Le seul intérêt (non négligeable) d’un élément soumis à deux forces est de donner la direction des forces (puisque opposées) qui se traduit par une équation supplémentaire dans la résolution de la F( x ) statique de la forme : Tanα = . F( y ) Exemple : q = 2.5 KN/ml F = 1 KN/ml C 1,00 m Μοδλισατιο ν⇒ A 2,00 m B encastrement g = 6 KN/ml Balcon à étudier q = 2.5 KN/ml F = 1 KN/ml C µA 1,00 m schéma mécanique A B RA 2,00 m g = 6 KN/ml Dans notre exemple. g charge permanente : poids propre. q charge d'exploitation : poids des personnes. F charge d'exploitation horizontale. SFERE – OFPPT Page 38 / 137
  • 39.
    OP4 Finalisation dessupports pédagogiques Technicien spécialisé Selon l’approche par compétence Gros Œuvre Mécanique et RDM – Partie 1 : Cours 6.7. METHODE DE RESOLUTION DES PROBLEMES DE STATIQUE OBJECTIF DU PROBLEME: Déterminer complètement les actions mécaniques exercées sur un solide appartenant à un ensemble de solides donnés. Modaliser le système, en le schématisant et en modalisant les différentes liaisons entre les éléments Isoler un solide Extraire le solide de l'ensemble, en coupant au niveau et des liaisons avec les autres éléments. Dessiner le établir son schéma seul dans la même position graphique. solide mécanique C’est réaliser Remplacer toutes les liaisons coupées par le système ces deux étapes de forces associées. Ajouter les actions à distance (poids, charges sur l’élément). Faire le BILAN de toutes les actions inconnues agissant sur le solide. et le BILAN des équations possibles TEST Déterminer d'autres éléments ( en isolant Résoudre d’autres solides ) et La graphiquement ou en faisant intervenir le NON Résolution est-elle OUI analytiquement. possible à partir (Choisir la méthode PRINCIPE des du bilan précédent la plus performante) actions mutuelles. en appliquant le Exemple : éléments P.F.S. biarticulés a RESULTATS : Le problème est terminé lorsque toutes les actions agissant sur le solide sont entièrement connues. SFERE – OFPPT Page 39 / 137
  • 40.
    OP4 Finalisation dessupports pédagogiques Technicien spécialisé Selon l’approche par compétence Gros Œuvre Mécanique et RDM – Partie 1 : Cours 6.8. LE DEGRÉ HYPERSTATIQUE Un solide, ou un ensemble de solides, qui possède des appuis ou des liaisons surabondantes par rapport à ce qui est strictement nécessaire au maintien de l’équilibre, est dit statiquement indéterminable ou hyperstatique. Pour ce cas, les actions exercées ne peuvent pas être déterminées à partir des seules équations de la statique. Rappel : Le PFS nous permet d’obtenir 3 équations : ∑Fext =0 En projection sur x et y 2 équations 3 équations ∑M(Fext)=0 1 équation notation : Ne : nombre d’équations fournies par le PFS Ni : Nombre d’inconnues Degré Hyperstatique DH : Ni -Ne Exemple : La poutre (ABC) est en appui sur trois articulations fixes A, B et C qui donnent au total six inconnues statiques : Ax, Ay ,Bx ,By, Cx, Cy .On ne dispose que de trois équations pour la résolution, le système est dit hyperstatique d’ordre 3 (6-3 = 3). Remarque : Le calcul du degré hyperstatique est indépendant du chargement 3 cas sont envisagés : • si Ne=Ni : la structure est isostatique. La résolution du problème est possible par les équations de la statique. • si Ne>Ni : la structure est hypostatique. Elle n’est pas en équilibre et donc instable. • si Ne<Ni : La structure est hyperstatique. Elle possède des appuis ou des liaisons surabondantes par rapport à ce qui est strictement nécessaire au maintien de l’équilibre. Les équations de la statique ne suffisent pas pour la résolution du problème. SFERE – OFPPT Page 40 / 137
  • 41.
    OP4 Finalisation dessupports pédagogiques Technicien spécialisé Selon l’approche par compétence Gros Œuvre Mécanique et RDM – Partie 1 : Cours 6.9. EXERCICES : DEGRÉ HYPERSTATIQUE Déterminer le degré hyperstatique des structures proposées. SFERE – OFPPT Page 41 / 137
  • 42.
    OP4 Finalisation dessupports pédagogiques Technicien spécialisé Selon l’approche par compétence Gros Œuvre Mécanique et RDM – Partie 1 : Cours 6.10. EXERCICES D’APPLICATIONS DU PFS Calculer les actions de liaisons des structures proposées : a) f) g) b) h) c) i) d) j) e) 6.11. DIAPORAMA Voir dans la partie « ANNEXES » de ce document. SFERE – OFPPT Page 42 / 137
  • 43.
    OP4 Finalisation dessupports pédagogiques Technicien spécialisé Selon l’approche par compétence Gros Œuvre Mécanique et RDM – Partie 1 : Cours 7. CENTRE DE GRAVITE 7.1. COURS ÉLÈVE 7.1.1. Définitions • Points matériels : points qui ont une masse donc un poids (P = m.g) • Poids : force d’attraction terrestre qui est constante et toujours orientée vers le bas suivant une verticale • Centre de gravité : point particulier où l’on peut concentrer la masse (ou poids) de tous les points matériels constituant le système de façon que le système reste équivalent statiquement parlant. • ⇒ Détermination de la position de la résultante 7.1.2. Centre de gravité de 2 points matériels x2 B y2 x1 A B × y1 A× P2 ⇔ G× P1 R y2 y1 YG x1 XG x2 Système équivalent ⇔ ΣF ⇔ Σ M/O ⇔ XG =P1.x1+ 2.x2 P P1+ 2 P P1.y1+ 2.y2 P YG = P1+ 2 P Remarque : si P1 = P2 XG = ⇒ XG = YG = ⇒ YG = SFERE – OFPPT Page 43 / 137
  • 44.
    OP4 Finalisation dessupports pédagogiques Technicien spécialisé Selon l’approche par compétence Gros Œuvre Mécanique et RDM – Partie 1 : Cours 7.1.3. Formule du BARYCENTRE (c.d.g de plusieurs points) Exemple : 3 points x2 B y2 x1 A B × G× y1 ⇔ A× P2 R P1 x3 C YG y2 y3 y1 × C y3 P3 XG x1 x2 x3 Système équivalent ⇔ ΣF ⇔ R = P1 + P2 +P3 Σ M/O ⇔ xG R = x1 P1+ x2 P2 + x3 P3 yG R = y1 P1 + y2 P2 + y3 P3 XG =P1.x1+ 2.x2 P P1+ 2 P ⇔ P1.y1+ 2.y2 P YG = P1+ 2 P ⇒ Formules du Barycentre: n ∑ Pi.xi XG= i→ 1 n ∑ i→ 1 Pi n ∑ Pi.yi YG= i→ 1 n ∑ i→ 1 Pi SFERE – OFPPT Page 44 / 137
  • 45.
    OP4 Finalisation dessupports pédagogiques Technicien spécialisé Selon l’approche par compétence Gros Œuvre Mécanique et RDM – Partie 1 : Cours Remarque : Pour les pièces ayant une épaisseur constante, le poids est proportionnel à la surface P = k S. ⇒ Centre de gravité de section n ∑ Si.xi XG= i→ 1n ∑ i→1 Si n ∑ Si.yi YG= i→ 1n ∑ i→ 1 Si 7.1.4. Centre de gravité de formes simples FORMULAIRE CENTRE DE GRAVITE G est au milieu (intersection des G est au centre du cercle diagonales) G est à l’intersection des médianes SFERE – OFPPT Page 45 / 137
  • 46.
    OP4 Finalisation dessupports pédagogiques Technicien spécialisé Selon l’approche par compétence Gros Œuvre Mécanique et RDM – Partie 1 : Cours 7.1.5. Méthode pour déterminer un centre de gravité d’une section complexe • Décomposer la section complexe en surface simple dont on connaît la surface et la position du centre de gravité (carré, rectangle, triangle, cercle, demi-cercle) • Mettre les axes Ox, Oy (attention aux signes x,y) • Appliquer la formule du barycentre sur chaque surface pour obtenir le centre de gravité de la section totale. • Présenter les résultats dans un tableau Surface xGi yGi Si xGi Si yGi Si élémentaire Totaux Σ Si = Σ xGi Si = Σ yGi Si = ⇒ Formule du barycentre Remarque : Lors de la décomposition il peut être plus rapide de prendre une surface plus grande à laquelle on déduit une autre surface pour avoir la surface réelle de l’élément. ⇒ Dans ce cas S à déduire sera comptée négativement. SFERE – OFPPT Page 46 / 137
  • 47.
    OP4 Finalisation dessupports pédagogiques Technicien spécialisé Selon l’approche par compétence Gros Œuvre Mécanique et RDM – Partie 1 : Cours 7.2. EXERCICES D’APPLICATIONS : ÉLÈVE 7.2.1. Exercice 1 Déterminer la position du centre de gravité des sections ci-dessous. 2. Poutrelle en I 5. profilé creux 6. 3. poutrelle en U SFERE – OFPPT Page 47 / 137
  • 48.
    OP4 Finalisation dessupports pédagogiques Technicien spécialisé Selon l’approche par compétence Gros Œuvre Mécanique et RDM – Partie 1 : Cours 7.2.2. Exercice 2 SFERE – OFPPT Page 48 / 137
  • 49.
    OP4 Finalisation dessupports pédagogiques Technicien spécialisé Selon l’approche par compétence Gros Œuvre Mécanique et RDM – Partie 1 : Cours 7.2.3. Exercice 3 : centre de gravité d’une section. Pour les sections suivantes déterminer la position du centre de gravité 7.2.4. Exercice 2: vérification des caractéristiques d’un upn 300 A = 58.80 cm² XG = 2.95 cm YG = 15.00 cm 7.2.5. Exercice 3 : étude d’un acrotère a) déterminer le centre de gravité de l’acrotère ainsi défini. b) cet acrotère est-il autostable( est-il en équilibre ainsi posé) ? c) si non quelle longueur doit on modifier et quelle doit être sa valeur ? SFERE – OFPPT Page 49 / 137
  • 50.
    OP4 Finalisation dessupports pédagogiques Technicien spécialisé Selon l’approche par compétence Gros Œuvre Mécanique et RDM – Partie 1 : Cours 7.3. COURS PROF 7.3.1. Définitions • Points matériels : points qui ont une masse donc un poids (P = m.g) • Poids : force d’attraction terrestre qui est constante et toujours orientée vers le bas suivant une verticale • Centre de gravité : point particulier où l’on peut concentrer la masse (ou poids) de tous les points matériels constituant le système de façon que le système reste équivalent statiquement parlant. • ⇒ Détermination de la position de la résultante 7.3.2. Centre de gravité de 2 points matériels x2 B y2 x1 A B × y1 A× P2 ⇔ G× P1 R y2 y1 YG x1 XG x2 Système équivalent ⇔ ΣF ⇔ R = P1 + P2 Σ M/O ⇔ xG.R = x1P1+ x2 P2 yG.R = y1 P1 +y2 P2 XG =P1.x1+ 2.x2 P P1+ 2 P P1.y1+ 2.y2 P YG = P1+ 2 P Remarque : si P1 = P2 P1.(x1+x2) . (x1+x2) . XG = 2P1 ⇒ XG = 2 P1.(y1+y2) G au milieu de A et B . y1+y2 . YG = 2P 1 ⇒ YG = 2 SFERE – OFPPT Page 50 / 137
  • 51.
    OP4 Finalisation dessupports pédagogiques Technicien spécialisé Selon l’approche par compétence Gros Œuvre Mécanique et RDM – Partie 1 : Cours 7.3.3. Formule du BARYCENTRE (c.d.g de plusieurs points) Exemple : 3 points x2 B y2 x1 A B × G× y1 ⇔ A× P2 R P1 x3 C YG y2 y3 y1 × C y3 P3 XG x1 x2 x3 Système équivalent ⇔ ΣF ⇔ R = P1 + P2 +P3 Σ M/O ⇔ xG R = x1 P1+ x2 P2 + x3 P3 yG R = y1 P1 + y2 P2 + y3 P3 XG =P1.x1+ 2.x2 P P1+ 2 P ⇔ P1.y1+ 2.y2 P YG = P1+ 2 P ⇒ Formules du Barycentre: n ∑ Pi.xi XG= i→ 1 n ∑ i→ 1 Pi n ∑ Pi.yi YG= i→ 1 n ∑ i→ 1 Pi SFERE – OFPPT Page 51 / 137
  • 52.
    OP4 Finalisation dessupports pédagogiques Technicien spécialisé Selon l’approche par compétence Gros Œuvre Mécanique et RDM – Partie 1 : Cours Remarque : Pour les pièces ayant une épaisseur constante, le poids est proportionnel à la surface P = k S. ⇒ Centre de gravité de section n ∑ i →1 Si.xi XG = n ∑ i →1 Si n ∑ Si.yi YG= i→ 1 n ∑ i→ 1 Si 7.3.4. Centre de gravité de formes simples FORMULAIRE CENTRE DE GRAVITE G est au milieu (intersection des G est au centre du cercle diagonales) G est à l’intersection des médianes SFERE – OFPPT Page 52 / 137
  • 53.
    OP4 Finalisation dessupports pédagogiques Technicien spécialisé Selon l’approche par compétence Gros Œuvre Mécanique et RDM – Partie 1 : Cours 7.3.5. Méthode pour déterminer un centre de gravité d’une section complexe Décomposer la section complexe en surface simple dont on connaît la surface et la position du centre de gravité (carré, rectangle, triangle, cercle, demi-cercle) Mettre les axes Ox, Oy (attention aux signes x,y) Appliquer la formule du barycentre sur chaque surface pour obtenir le centre de gravité de la section totale. Présenter les résultats dans un tableau Surface xGi yGi Si xGi Si yGi Si élémentaire Totaux Σ Si = Σ xGi Si = Σ yGi Si = ⇒ Formule du barycentre Remarque : Lors de la décomposition il peut être plus rapide de prendre une surface plus grande à laquelle on déduit une autre surface pour avoir la surface réelle de l’élément. ⇒ Dans ce cas S à déduire sera comptée négativement. SFERE – OFPPT Page 53 / 137
  • 54.
    OP4 Finalisation dessupports pédagogiques Technicien spécialisé Selon l’approche par compétence Gros Œuvre Mécanique et RDM – Partie 1 : Cours 7.4. EXERCICES D’APPLICATIONS : PROF 7.4.1. Exercice 1 Déterminer la position du centre de gravité des sections ci-dessous. 1. 4. tube cornière 2. Poutrelle en I 5. profilé creux 6. 3. poutrelle en U SFERE – OFPPT Page 54 / 137
  • 55.
    OP4 Finalisation dessupports pédagogiques Technicien spécialisé Selon l’approche par compétence Gros Œuvre Mécanique et RDM – Partie 1 : Cours 7.4.2. Exercice 2 SFERE – OFPPT Page 55 / 137
  • 56.
    OP4 Finalisation dessupports pédagogiques Technicien spécialisé Selon l’approche par compétence Gros Œuvre Mécanique et RDM – Partie 1 : Cours 7.4.3. Exercice 3 : centre de gravité d’une section. Pour les sections suivantes déterminer la position du centre de gravité 7.4.4. Exercice 2: Vérification Des Caractéristiques D’un Upn 300 A = 58.80 cm² XG = 2.95 cm YG = 15.00 cm 7.4.5. Exercice 3 : étude d’un acrotère a) déterminer le centre de gravité de l’acrotère ainsi défini. b) cet acrotère est-il autostable( est-il en équilibre ainsi posé) ? c) si non quelle longueur doit on modifier et quelle doit être sa valeur ? SFERE – OFPPT Page 56 / 137
  • 57.
    OP4 Finalisation dessupports pédagogiques Technicien spécialisé Selon l’approche par compétence Gros Œuvre Mécanique et RDM – Partie 1 : Cours 8. EQUILIBRE D’UN SYSTEME RETICULE 8.1. DÉFINITION On appelle système réticulé ou treillis, une structure formée d’un assemblage de barres rectilignes reliées entre elles par des articulations. Ces liaisons sont appelées des nœuds. Exemples de systèmes réticulés Détail d’un nœud : 8.1.1. Objectifs. Déterminer les efforts exercés dans les barres, en vue de leur dimensionnement, au moyen d’hypothèses simplificatrices. 8.1.2. Hypothèses simplificatrices : o On considère les barres rectilignes et indéformables, o Les efforts exercés sur la structure sont appliqués uniquement sur les nœuds,( pas de charges sur les barres). o On néglige le poids des barres, Remarque : Une barre articulée à ses deux extrémités est appelée biellette et n’est soumise qu’à de l’effort normal. SFERE – OFPPT Page 57 / 137
  • 58.
    OP4 Finalisation dessupports pédagogiques Technicien spécialisé Selon l’approche par compétence Gros Œuvre Mécanique et RDM – Partie 1 : Cours Les barres sont par conséquent soumises à de la traction ou de la compression. Barre en compression : Barre en traction : 8.1.3. Détermination du degré hyperstatique. Relation entre le nombre de barres b et le nombre de nœuds n : b = 2n-3 • Si b < 2n-3 : la structure n’est pas rigide, elle est hypostatique. • Si b = 2n-3 : la structure est en équilibre, elle est isostatique et la résolution est possible avec le principe fondamental de la statique. • Si b > 2n-3 : la structure est hyperstatique, il y a des contraintes internes (des barres surabondantes). Exemples : Déterminer le degré hyperstatique des structures suivantes : SFERE – OFPPT Page 58 / 137
  • 59.
    OP4 Finalisation dessupports pédagogiques Technicien spécialisé Selon l’approche par compétence Gros Œuvre Mécanique et RDM – Partie 1 : Cours 8.2. MÉTHODE DES NŒUDS Principe de la méthode : Déterminer les actions de liaisons dans les barres d’une structure réticulée en étudiant l’équilibre de chaque nœud. Remarque : Chaque nœud étudié ne doit pas avoir plus de 2 « barres inconnues ». Exemple 8.2.1. Détermination du degré hyperstatique de la structure Vérifier que la structure est isostatique par la formule : b = 2n-3 avec b : nombre de barres n : nombre de nœuds 8.2.2. Détermination des actions de liaisons avec l’extérieur Application du PFS Théorème de la résultante ∑Fext/x=0 ∑Fext/y=0 Théorème du Moment ∑MA (Fext)=0 Schéma de la structure avec les actions de liaisons. SFERE – OFPPT Page 59 / 137
  • 60.
    OP4 Finalisation dessupports pédagogiques Technicien spécialisé Selon l’approche par compétence Gros Œuvre Mécanique et RDM – Partie 1 : Cours 8.2.3. Equilibre des différents nœuds Rappel : un solide soumis à deux forces est en équilibre si et seulement si ces 2 forces sont égales et opposées. - équilibre du nœud A ∑F/x=0 soit ∑F/Y=0 soit - équilibre du nœud B ∑F/x=0 soit ∑F/Y=0 soit - équilibre du nœud C ∑F/x=0 soit ∑F/Y=0 soit - équilibre du nœud D ∑F/x=0 soit ∑F/Y=0 soit 8.2.4. Tableau récapitulatif : Barres Effort Type d’effort AD AC CB CD DB Remarque : Si la barre pousse le nœud, elle est en compression Si la barre tire le nœud, elle est en traction 8.3. MÉTHODE DE RITTER Principe de la méthode : 1/Après avoir déterminer les actions de liaison entre le treillis et son support (réactions d’appuis) 2/ Pour déterminer les forces dans une ou plusieurs barres il suffit de la couper (pour faire apparaître la force cherchée) . 3/ Continuer la coupure de façon à couper le treillis en deux 4/ Etudier l’équilibre d’un morceau pour déterminer les efforts dans les barres Remarque : Lors de la coupure du treillis il ne doit pas avoir plus de 3 « barres inconnues » coupées. SFERE – OFPPT Page 60 / 137
  • 61.
    OP4 Finalisation dessupports pédagogiques Technicien spécialisé Selon l’approche par compétence Gros Œuvre Mécanique et RDM – Partie 1 : Cours Exemple : On veut déterminer la force dans la barre DB • 1/ couper CB FCB FCB • 2/ Continuer la coupure pour couper le treillis en 2 FCB FCB FDB FDB SFERE – OFPPT Page 61 / 137
  • 62.
    OP4 Finalisation dessupports pédagogiques Technicien spécialisé Selon l’approche par compétence Gros Œuvre Mécanique et RDM – Partie 1 : Cours • 3/ Etudier l’équilibre d’un morceau. FCB F FCB FC FD B FDB FDB FD B B ou ⇒ P.F.S 8.4. APPLICATIONS 8.4.1. Exercice 1: systeme reticule Soit la structure ci-dessous : Vérifier que la résolution du problème est possible. Calculer les actions de liaisons avec l’extérieur Equilibre des différents nœuds Conclusion : tableau récapitulatif Barres Effort Type d’effort AB AC BD BC CD SFERE – OFPPT Page 62 / 137
  • 63.
    OP4 Finalisation dessupports pédagogiques Technicien spécialisé Selon l’approche par compétence Gros Œuvre Mécanique et RDM – Partie 1 : Cours 8.4.2. Exercice 2 : Un pont est réalisé à partir d’une plate-forme soutenue par deux structures identiques en treillis. AE = EB = DC = 5m ; AD=DE = EC = CB; F (8000daN) appliquée en E schématise l’action exercée par la plate-forme chargée. Déterminer le degré hyperstatique de la structure. Déterminer les actions exercées sur les appuis en A et B. Déterminer les actions dans toutes les barres de la structure. Présenter les résultats dans un tableau récapitulatif. 8.4.3. Exercice 3 : 1. Déterminer le degré hyperstatique de la structure. 2. Déterminer les actions exercées sur les appuis en A et B. 3. Déterminer les actions dans toutes les barres de la structure. 4. Présenter les résultats dans un tableau récapitulatif. SFERE – OFPPT Page 63 / 137
  • 64.
    OP4 Finalisation dessupports pédagogiques Technicien spécialisé Selon l’approche par compétence Gros Œuvre Mécanique et RDM – Partie 1 : Cours 8.4.4. Exercice 2 : système réticule Soit la structure ci-dessous : Vérifier que la résolution du problème est possible. Calculer les actions de liaisons avec l’extérieur Equilibre des différents nœuds Conclusion : tableau récapitulatif Barres Effort Type d’effort AC AD AE BE BF CD DE DF EF SFERE – OFPPT Page 64 / 137
  • 65.
    OP4 Finalisation dessupports pédagogiques Technicien spécialisé Selon l’approche par compétence Gros Œuvre Mécanique et RDM – Partie 1 : Cours 9. RDM : GÉNÉRALITÉS 9.1. BUT DE LA RDM. La résistance des matériaux se propose d'étudier la déformation et la limite de résistance d'un solide (structure) soumis à un système de forces extérieures. Concrètement : Contrainte : Flèche : 9.2. HYPOTHÈSES DE LA RDM. 1) Les matériaux sont : homogènes (texture du matériau continue et identique) isotropes (mêmes propriétés mécaniques dans toutes les G2 G1 Ligne moyenne G0 directions) 2) Les solides étudiés sont en forme de poutre. Solide engendré par une aire plane (s) dont le centre de gravité décrit une droite ou une faible courbe G0G1, le plan de (S) restant normal à cette courbe. * On étudie essentiellement les poutres droites possédant un plan de symétrie. 3) Navier Bernouilli : Les sections planes perpendiculaires à la ligne moyenne restent planes après déformation et perpendiculaires. 4) Loi de Hooke : les déformations sont faibles, progressives et réversibles ⇒ Domaine élastique ⇒ Relation linéaire entre contraintes et déformations 5) Principe de St Venant : les effets sont indépendants du mode de liaison, mais uniquement fonction des sollicitations en se plaçant suffisamment loin de ces liaisons. 9.3. NOTION DE CONTRAINTE. * Soit un solide en équilibre sous l'action de forces extérieures : SFERE – OFPPT Page 65 / 137
  • 66.
    OP4 Finalisation dessupports pédagogiques Technicien spécialisé Selon l’approche par compétence Gros Œuvre Mécanique et RDM – Partie 1 : Cours F2 F3 F4 F1 (S) F5 G0 G 1 G2 2 Ligne moyenne * Coupons le solide suivant une section (S). SFERE – OFPPT Page 66 / 137
  • 67.
    OP4 Finalisation dessupports pédagogiques Technicien spécialisé Selon l’approche par compétence Gros Œuvre Mécanique et RDM – Partie 1 : Cours * Isolons le tronçon (1) située à gauche et établissons son schéma mécanique : F2 F3 F1 ∆F G0 ∆S G 1 (S) Bilan des forces appliquées ♦ Forces extérieures (F1, F2, F3) ♦ Actions de contact de (2) → (1) en tous points de S * Sur chaque élément de surface (∆s) sur S agit une force ∆F (de direction quelconque en générale) Composantes d'une contrainte. ∆F : à 2 composantes ♣ Composante normale perpendiculaire à (S) : ∆Fn ∆ Ft ∆F ∆S Fn G x (S) ♣ Composante tangentielle dans le plan (S) : ∆Ft L'ensemble des forces ∆F est: a) des forces intérieures lorsque l'on étudie le solide en entier b) des forces extérieures lorsque l'on étudie un tronçon de solide. Définitions dFn On appelle contrainte normale : σ = (traction, compression) dS dFt On appelle contrainte tangentielle : τ= (cisaillement) dS Unités en Pascal et MégaPascal MPa SFERE – OFPPT Page 67 / 137
  • 68.
    OP4 Finalisation dessupports pédagogiques Technicien spécialisé Selon l’approche par compétence Gros Œuvre Mécanique et RDM – Partie 1 : Cours 9.4. RÉPARTITION UNIFORME DES CONTRAINTES (SUR UNE SECTION) Soit une section fictive soumise à des contraintes σ et τ ∆ ft ∆ F1 ∆s1 fn1 G x (S) ∆ s2 fn2 S2 Hypothèse : Répartition uniforme des contraintes σ sur S (traction ou compression). Problème : Résultante des forces normales fn sur S (Intensité ; position). 9.4.1. Intensité de F (résultante des fn) Sur chaque élément de surface ∆s agit une force normale fn. fn or σ= ⇒ fn1 = σ x ∆s1 ; fn2 = σ x ∆s2 ∆s et fn // oz ⇒ F // oz ⇒ F = σ ( ∆s1 + ∆s2 + .............) = σ S ⇒F=σS SFERE – OFPPT Page 68 / 137
  • 69.
    OP4 Finalisation dessupports pédagogiques Technicien spécialisé Selon l’approche par compétence Gros Œuvre Mécanique et RDM – Partie 1 : Cours 9.4.2. Point d'application de F Méthode : Système équivalent ( Σ Mt identique) ⇒ Mt/ox(F) = Σ Mt/ox(fn) ⇒ F . yG = fn1 . y1 + fn2 . y2 . σ.S.yG = Σ σ.∆si.yi yG = ∑ y.∆s S 1 yG = ∫y.ds S Si Mt/oy(F) x G =1 ∫x.ds S Concrètement : SFERE – OFPPT Page 69 / 137
  • 70.
    OP4 Finalisation dessupports pédagogiques Technicien spécialisé Selon l’approche par compétence Gros Œuvre Mécanique et RDM – Partie 1 : Cours 10. TRACTION SIMPLE ET COMPRESSION SIMPLE 10.1. DÉFINITIONS. Un solide est sollicité : En traction simple lorsqu'il est soumis à deux forces F F directement opposées situées sur la ligne moyenne et qui tendent à l'allonger. En compression simple lorsqu'il est soumis à deux forces F F directement opposées situées sur la ligne moyenne et qui tendent à le raccourcir 10.2. ESSAI DE TRACTION On soumet une éprouvette cylindrique de dimensions normalisées à un essai de traction. On enregistre les déformations en fonction de la force N ( N augmentant progressivement jusqu’à obtenir la rupture de l’éprouvette). 10.2.1. Etude du graphe : N B Nr C Ne A Acier doux O ∆L Elastique Plastique N : effort de traction ∆L : allongement de l'éprouvette. L : longueur de l'éprouvette. 10.2.2. Etude de la Zone élastique OA. Les allongements sont proportionnels aux efforts de traction. N = k ∆L Ne Limite élastique : fe = avec S section de l'éprouvette. S Les fournisseurs d'acier garantissent cette valeur ; exemple : FeE 500 ⇒fe = 500 MPa L’allongement de l’éprouvette ∆L est proportionnel à sa longueur initiale Lo ∆L : allongement de l’éprouvette Lo : longueur initiale ∆L ⇒ définit un allongement relatif ε = Lo SFERE – OFPPT Page 70 / 137
  • 71.
    OP4 Finalisation dessupports pédagogiques Technicien spécialisé Selon l’approche par compétence Gros Œuvre Mécanique et RDM – Partie 1 : Cours • •Contraintes. Pour faire apparaître les contraintes dans l’éprouvette il faut couper celle-ci (à une abscisse x) Par application du principe de Bernouilli ( ∆x et donc ε constant pour toutes les fibres) et de la Loi de Hooke σ = k ∆L ou σ = kε ⇒ σ : identique pour toutes les fibres ⇒ σ est uniformément répartie sur la section S SFERE – OFPPT Page 71 / 137
  • 72.
    OP4 Finalisation dessupports pédagogiques Technicien spécialisé Selon l’approche par compétence Gros Œuvre Mécanique et RDM – Partie 1 : Cours y y (S) (S) ⇒ O x N O x σ= N S x ∆x z x 10.2.3. Diagramme contrainte - déformation: ∆L N σ Puisque ε = et σ = : on peut B Lo S fr C tracer le diagramme de l’essai en fe A fonction de σ et ε (diagramme homothétique au précédent) Acier doux O ε Elastique Plastique • • Loi de Hooke . On peut remarquer que dans la zone élastique les contraintes sont bien proportionnelles aux déformations : σ ⇒ tan α = ε σ = ε.tanα si on pose E = tanα σ = ε.E E : module de Young ou module d'élasticité longitudinal E : est une constante pour un matériau donné ; par exemple : E = 2 105 MPa pour l'acier SFERE – OFPPT Page 72 / 137
  • 73.
    OP4 Finalisation dessupports pédagogiques Technicien spécialisé Selon l’approche par compétence Gros Œuvre Mécanique et RDM – Partie 1 : Cours 10.2.4. Zone plastique AC. N B Nr C Ne A Acier FeE500 O ∆L ∆e Plastique Lorsque l'on atteint cette zone on constate un allongement appréciable de l’éprouvette sans que l’effort augmente beaucoup. En déchargeant l'éprouvette on constate qu'il reste un allongement permanent de l'éprouvette ∆e (déformation rémanente). Résistance à la rupture Rr : Nr Rr = So SFERE – OFPPT Page 73 / 137
  • 74.
    OP4 Finalisation dessupports pédagogiques Technicien spécialisé Selon l’approche par compétence Gros Œuvre Mécanique et RDM – Partie 1 : Cours 10.2.5. Calculs pratiques : Compte tenu des hypothès de la RDM ( Bernoulli ) la contrainte dans les matériaux devra toujours être inférieure à contrainte admissible fixée réglementairement, notée (contrainte normale σ admissible) Exemple : σ = fe = 240 MPa ( pour un un acier FeE 240 suivant le CM 66) σ = fsu = 500/1.15 (pour un acier FeE 500 suivant le BAEL 93 à l’ELU) σ = σ = 0.6 fc28 (pour le béton comprimée, suivant le BAEL 93 à l’ELS) bc A Vérification d’une section Données : N : Effort de traction ou de compression, en N. S : Aire de la section sollicitée, en m². σ : Contrainte admissible du matériaux. N On doit vérifier que la contrainte normale σ = ≤ σ S B Détermination d’une section Données : N : Effort de traction ou de compression, en N. σ : Contrainte admissible du matériaux. On veut déterminer la section nécessaire et suffisante de façon à ce l’élément « résiste » : σ=N N Donc faire en sorte que : σ ≤ σ ⇒ S ≤ σ ⇒ S≥ σ C Calcul d’allongement ou de raccourcissement: Données : N : Effort de traction ou de compression, en N. S : Aire de la section sollicitée, en m². Lo: Longueur initiale de l’élément. E : Module d'élasticité longitudinal σ = ε.E 1/ σ = N ∆L S ε= Lo ε =σ 2/ E Ou ∆L = N..S E Lo σ=N S 3/ ∆L =ε.Lo D Remarque : Les formules précédentes sont valables pour les pièces tendues et les pièces comprimées, dites courtes ( pour les pièces comprimées « longues », le calcul sera mené au flambement). SFERE – OFPPT Page 74 / 137
  • 75.
    OP4 Finalisation dessupports pédagogiques Technicien spécialisé Selon l’approche par compétence Gros Œuvre Mécanique et RDM – Partie 1 : Cours 10.2.6. Exercice: Soit un tirant métallique de longueur Lo = 5m en acier FeE 240 soumis à un effort de traction de 200 KN. E = 2.1 105 MPa a/ Déterminer les dimensions néssaires et suffisantes de sa section : Cas d’une section carrée (arrondir au mm supérieur) Cas d’une section circulaire (arrondir au mm supérieur) b/ Déterminer les dimensions néssaires et suffisantes de sa section de façon à limiter son allongement à 5mm: Cas d’une section carrée (arrondir au mm supérieur) Cas d’une section circulaire (arrondir au mm supérieur) 10.3. APPLICATIONS : TRACTION SIMPLE 10.3.1. EXO 1: DONNEES : Pc = 1200 N E = 2.1 105 MPa QUESTIONS 1/ Déterminer les efforts dans EB 2/ En déduire l'allongement de EB, si son diamètre est de 6 mm SFERE – OFPPT Page 75 / 137
  • 76.
    OP4 Finalisation dessupports pédagogiques Technicien spécialisé Selon l’approche par compétence Gros Œuvre Mécanique et RDM – Partie 1 : Cours SFERE – OFPPT Page 76 / 137
  • 77.
    OP4 Finalisation dessupports pédagogiques Technicien spécialisé Selon l’approche par compétence Gros Œuvre Mécanique et RDM – Partie 1 : Cours 10.3.2. EXO 2 DONNEES : Pc = 1000 N σ = 160 MPa E = 2.1 105 MPa QUESTIONS 1/ Déterminer le diamètre de BC (arrondir au diamètre paire supérieur. 2/ En déduire son allongement. 10.3.3. EXO 3 DONNEES : P = 50 N σ = 160 MPa E = 2.1 105 MPa SFERE – OFPPT Page 77 / 137
  • 78.
    OP4 Finalisation dessupports pédagogiques Technicien spécialisé Selon l’approche par compétence Gros Œuvre Mécanique et RDM – Partie 1 : Cours QUESTIONS 1/ Déterminer le diamètre de BC et de AB (arrondir au mm supérieur). 2/ En déduire leur allongement. SFERE – OFPPT Page 78 / 137
  • 79.
    OP4 Finalisation dessupports pédagogiques Technicien spécialisé Selon l’approche par compétence Gros Œuvre Mécanique et RDM – Partie 1 : Cours 10.4. COEFFICIENT DE POISSON : Υ ∆r ∆L Il existe un rapport constant entre la déformation transversale et l'allongement longitudinal . r L ∆r ∆L =-υ L (∆r  quand ∆L ) r υ = coefficient de poisson (caractéristique du matériau) Problème : déterminer la variation relative de volume en fonction de la variation relative de longueur V = π.r² L dV dl = (1 − 2ν) V l Valeur de υ Cas limite = 0.5 ⇒ dV = 0 ( caoutchouc) Cas général : compris entre 0.25 et 0.3. SFERE – OFPPT Page 79 / 137
  • 80.
    OP4 Finalisation dessupports pédagogiques Technicien spécialisé Selon l’approche par compétence Gros Œuvre Mécanique et RDM – Partie 1 : Cours 11. CISAILLEMENT SIMPLE 11.1. DÉFINITIONS. Un solide est sollicité en cisaillement simple lorsqu'il est soumis à T S deux forces directement opposées agissant de part et d’autre d’une même section T Remarques : - Une telle disposition étant très théorique, les cas de cisaillement simple sont très rares et s’accompagne souvent de flexion et de compression. - On admet toutefois qu’il y a cisaillement simple dans les cas suivant : tôle• Découpage d’une tôle outil • Assemblage au moyen de rivet rivets ou de boulons de 2 N pièces minces soumises à un N effort de traction simple • Assemblage par un axe créant une articulation 11.2. CONTRAINTE DE CISAILLEMENT ( EN CISAILLEMENT SIMPLE). On admettra dans un but de simplification que les contraintes de cisaillement ( parallèles à la section S) sont uniformément réparties sur la section cisaillée ( ce qui est faux en réalité, car cela dépend de la forme de la section) τ τ : contrainte moyenne de cisaillement T T : effort tranchant = S S : section cisaillée SFERE – OFPPT Page 80 / 137
  • 81.
    OP4 Finalisation dessupports pédagogiques Technicien spécialisé Selon l’approche par compétence Gros Œuvre Mécanique et RDM – Partie 1 : Cours ⇒ Contrainte limite de cisaillement pour de l’acier 65 Elle est fonction de fe de l’acier : τ = fe 100 SFERE – OFPPT Page 81 / 137
  • 82.
    OP4 Finalisation dessupports pédagogiques Technicien spécialisé Selon l’approche par compétence Gros Œuvre Mécanique et RDM – Partie 1 : Cours 11.3. EQUATION DE DÉFORMATION Le cisaillement entraîne le décrochement de la section droite ab par glissement par rapport à sa voisine a’b’ dy La déformation unitaire est ici une déformation angulaire i = = tanα dx Or α est petit ⇒ tanα = α (en radian) τ =Gα En appliquant la loi de Hooke dans cas on a : G : Module d’élasticité transversal α : Déformation unitaire en radian τ : Contrainte de cisaillement Par l’élasticité on peut démontrer que G= E 2(1+υ) 11.4. CALCUL PRATIQUE A Vérification d’une section Données : N : Effort de traction ou de compression, en N. S : Aire de la section cisaillée, en m². τ : Contrainte admissible de cisaillement du matériau. On doit vérifier que la contrainte de cisaillement τ=N ≤ τ S B Détermination d’une section Données : N : Effort de traction ou de compression, en N. τ : Contrainte admissible de cisaillement du matériau. On veut déterminer la section nécessaire et suffisante de façon à ce l’élément « résiste » : τ=N N Donc faire en sorte que : τ ≤ τ ⇒ S ≤ τ ⇒ S≥ τ SFERE – OFPPT Page 82 / 137
  • 83.
    OP4 Finalisation dessupports pédagogiques Technicien spécialisé Selon l’approche par compétence Gros Œuvre Mécanique et RDM – Partie 1 : Cours 11.5. EXERCICE D’APPLICATION Axe Soit l’assemblage définit ci-contre L’effort de traction dans le tirant et de 400 kN L’axe est cylindrique est en FeE 240. Tirant Déterminer le diamètre minimal de l’axe. 11.6. EXERCICE FORMATIF Ferme métallique SFERE – OFPPT Page 83 / 137
  • 84.
    OP4 Finalisation dessupports pédagogiques Technicien spécialisé Selon l’approche par compétence Gros Œuvre Mécanique et RDM – Partie 1 : Cours 12. N, V, M 12.1. GÉNÉRALITÉS 12.1.1. Forme de poutre. Voir définition dans le chapitre R D M. 12.1.2. Nature des charges. A Charges ponctuelles (concentrées) : Charges appliquées en un point. 6.40 B Charges uniformément réparties : (q/ml ou g, v etc. ). Sur chaque segment de même longueur agit la même charge. Ex : - Poutre de section constante soumise à son poids propre - Poutre sous un plancher B.A. Unité : q s’exprime en N/ml = le taux de charge. q g 6.40 ⇒ Diagramme de charge rectangulaire. C Charges réparties quelconques: ∆f q ∆x 6.40 sur ∆x ⇒ ∆f Intensité locale de la charge ∆f ⇒ q(x) = (fonction de x). ∆x SFERE – OFPPT Page 84 / 137
  • 85.
    OP4 Finalisation dessupports pédagogiques Technicien spécialisé Selon l’approche par compétence Gros Œuvre Mécanique et RDM – Partie 1 : Cours D Equivalence vectorielle des charges réparties : Sur ∆x : charge ∆f = q(x) . ∆x (= aire hachurée) ⇒ Charge totale = aire totale du diagramme des charges. ⇒ Position de la résultante = au Cdg du diagramme. SFERE – OFPPT Page 85 / 137
  • 86.
    OP4 Finalisation dessupports pédagogiques Technicien spécialisé Selon l’approche par compétence Gros Œuvre Mécanique et RDM – Partie 1 : Cours V = -∑ projections / oy des forces à gauche de S 12.1.3. Eléments de réduction des forces extérieures. - Soit une poutre isostatique S x - Si on coupe en S est qu’on isole le morceau de gauche (enlève le morceau de droite). ⇒ Il est nécessaire de rétablir l’équilibre de ce morceau en appliquant sur S les efforts suivants : N : Effort suivant la ligne moyenne S V N V : Effort perpendiculaire à la ligne moyenne. x M M : Moment autour de z. ⇒ N, V, M, remplacent les actions à droite de la coupure. ⇒ On peut dire aussi que les actions à gauche de la coupure + N, V, M = 0 N = -∑ projections / ox des forces à gauche de S Ou ∑ projections / ox des forces à droite de S. Définition : Ou ∑ projections / oy des forces à droite de S. M = -∑ Moments / oz au cdg de S des forces à gauche de S. Ou ∑ Moments / oz au cdg de S des forces à droite de S. Remarque : N, V, M, sont fonction de x (position de la coupure) ⇒ Diagramme N(x), V(x) et M(x) le long de la poutre. Cas particuliers : 1/ N ≠ 0V = 0 M = 0 (Traction, compression simple) 2/ N = 0 V=0 M≠0 ( ) 3/ N = 0 V≠0 M=0 ( ) 4/ N = 0 V≠0 M≠0 ( ) 5/ N ≠ 0V ≠ 0 M≠0 ( ) SFERE – OFPPT Page 86 / 137
  • 87.
    OP4 Finalisation dessupports pédagogiques Technicien spécialisé Selon l’approche par compétence Gros Œuvre Mécanique et RDM – Partie 1 : Cours 12.1.4. Relations entre V, M et q * Soit un tronçon de poutre définie ci-dessous : q(x) V -(M+dM) M dx -(V+dV) ⇒ Equilibre du tronçon :  ∑ proj/oy = 0 V - q(x).dx - V -dV = 0 dV = q(x).dx dV ⇒ q(x) = − dx  ∑ Mt/oz = 0 dx2 M - V.dx + q(x) - M -dM = 0 2 - V.dx = dM − dM V= ⇒ V = 0 ⇒ extremum de M dx d2M  +  ⇒ q= dx 2 12.1.5. Allure des diagrammes Charge uniformément Charge triangulaire Charge concentrée répartie p(x) = p.x V(x) M(x) Remarque : x0 x1 m0 m1 x1 x1 dM = -Vdx ⇒ ∫dM = ∫−Vdx x0 x0 x1 ⇒ [M ] x1 x0 =− ∫Vdx ⇒ x M1−M 0 =−∫ 1V dx x0 x0 SFERE – OFPPT Page 87 / 137
  • 88.
    OP4 Finalisation dessupports pédagogiques Technicien spécialisé Selon l’approche par compétence Gros Œuvre Mécanique et RDM – Partie 1 : Cours x1 ⇒ [ M ] x =− ∫Vdx 1 x 0 ⇒ x M1−M 0 =−∫ 1V dx x0 x0 ⇒ M0 = aire à droite de S de l’effort tranchant. + M1 SFERE – OFPPT Page 88 / 137
  • 89.
    OP4 Finalisation dessupports pédagogiques Technicien spécialisé Selon l’approche par compétence Gros Œuvre Mécanique et RDM – Partie 1 : Cours 12.2. DIAGRAMME DE N(X), V(X), M(X) MÉTHODE DE DÉTERMINATION. 12.2.1. La statique est supposée terminée : ⇒ Schéma mécanique réel ( ne pas concentrer les charges réparties ). Exemple : Rb F Mc a Ra b L 12.2.2. Si N(x) ≠ 0 ( Flexion composée) ⇒ Dans un premier temps : Faire 2 schémas mécaniques  Un en ne prenant que les projections ⊥ à la ligne moyenne de la poutre et les couples ( F(y), Mt) Rb(y) F(y) Mc Ra   Un en ne prenant que les projections // à la ligne moyenne (F(x). Rb(x) F(x)  SFERE – OFPPT Page 89 / 137
  • 90.
    OP4 Finalisation dessupports pédagogiques Technicien spécialisé Selon l’approche par compétence Gros Œuvre Mécanique et RDM – Partie 1 : Cours 12.2.3. Définir les zones pour chaque schéma 1 et 2 ⇒ Donne une équation et donc une allure différente dans chaque zone. Remarque : Changement de zone quand : pour N(x) : - Changement de taux de charge en compression ou traction - Rencontre une force normale à la poutre. pour V(x) : - Changement de taux de charge ⊥ à la ligne moyenne - Rencontre une force ⊥ à la poutre. pour M(x) : - Changement de zone de V(x) - Rencontre un moment appliquée à la poutre. SFERE – OFPPT Page 90 / 137
  • 91.
    OP4 Finalisation dessupports pédagogiques Technicien spécialisé Selon l’approche par compétence Gros Œuvre Mécanique et RDM – Partie 1 : Cours 12.2.4. Tracé Avec équations Sans équations Exemple de résultats L y F x A B F A B A F B V Fy / 2 N Fx A + + B A B - Fy / 2 - Fy L /4 Mf A + B SFERE – OFPPT Page 91 / 137
  • 92.
    OP4 Finalisation dessupports pédagogiques Technicien spécialisé Selon l’approche par compétence Gros Œuvre Mécanique et RDM – Partie 1 : Cours 12.3. EXERCICES Pour chacun des schémas mécaniques ci-dessous 1/ Donner l'équation de V(x) et du moment fléchissant M(x) le long de la poutre. (littéralement pour les 4 premiers schémas, puis prendre L =5 m, a =2 m, p = 2 kN/m, q= 5 kN/m et F = 10 kN pour les autres cas 2/ Tracer les diagrammes correspondants (allure et valeurs particulières) q P L/2 A L B L F p A B A B l l Tracer l'allure des graphes de V(x) et M(x) des schémas mécaniques suivants : F q p A L B a C a F a b p A B A C L L B a I SFERE – OFPPT Page 92 / 137
  • 93.
    OP4 Finalisation dessupports pédagogiques Technicien spécialisé Selon l’approche par compétence Gros Œuvre Mécanique et RDM – Partie 1 : Cours q F a b A B L q L 12.4. DIAPORAMA Voir dans la partie « ANNEXES » de ce document. SFERE – OFPPT Page 93 / 137
  • 94.
    OP4 Finalisation dessupports pédagogiques Technicien spécialisé Selon l’approche par compétence Gros Œuvre Mécanique et RDM – Partie 1 : Cours 13. CARACTÉRISTIQUES DES SESSIONS 13.1. MOMENT STATIQUE 13.1.1. Hypothèse Soit une section S appartenant à un plan x.o.y soumise à des contraintes σ proportionnelles à x (σ = k.x). y σ1 = k.x1 σ2 σ1 x1 σ2 = k.x2 avec x2 σ3 ∆S2 ∆S1 σ3 = k.x3 ∆S3 S x3 o x z y f1 = k.x1.∆S1 avec x1 f2 f1 f2 = k.x2.∆S2 x2 ∆S2 f3 ∆S1 f3 = k.x3.∆S3 x3 ∆S3 o x Remarque : Si l’axe oy traverse S, les f sont de sens contraire de part et d’autre de oy. y z S x SFERE – OFPPT Page 94 / 137 z y
  • 95.
    OP4 Finalisation dessupports pédagogiques Technicien spécialisé Selon l’approche par compétence Gros Œuvre Mécanique et RDM – Partie 1 : Cours 13.1.2. Problème On veut déterminer l’intensité de la résultante R des f qui sera appelé : = Moment statique de S/oy (oy appartenant au plan de S) R = f1 + f2 + f3…. = k.x1.∆S1 + k.x2.∆S2 + k.x3.∆S3 +…. = Σ k.x.∆S Si ∆S→0 ⇒ R = k ∫.ds x S 13.1.3. Définition du Moment statique • Moment statique de S/oy Ay = ∫ .ds x S • Moment statique de S/ox Ax = ∫ .ds S y Exercice : Calculer le moment statique d’un rectangle /base en fonction de b et h. y h x b 13.1.4. Propriété du Moment statique ∫ x.ds= 1 x.ds a / On sait que XG = s ∫ ∫ ds S s s ⇒ Ay = XG x S ⇒ Ax = YG x S b / Si oy passe par G ⇒ XG= 0 ⇒ Ay = 0 c / Unité : L3 ( m3, cm3 …) et Signe de Ax ou Ay : Quelconque. Exercice : Recalculer le moment statique d’un rectangle /base en fonction de b et h, mais en utilisant le C.D.G. SFERE – OFPPT Page 95 / 137
  • 96.
    OP4 Finalisation dessupports pédagogiques Technicien spécialisé Selon l’approche par compétence Gros Œuvre Mécanique et RDM – Partie 1 : Cours 13.2. MOMENT QUADRATIQUE 13.2.1. Hypothèse Même hypothèse que pour le moment statique. 13.2.2. Problème On veut déterminer le moment résultant/oy. = Moment quadratique de S/oy (oy appartenant au plan de S) ⇒ Mtr/oy = f1.x1 + f2.x2 + f3.x3 + ….. = σ1.∆S1.x1 + σ2.∆S2.x2 + σ3.∆S3 x3 +…. = k.x1.∆S1.x1 + k.x2.∆S2 x2 + k.x3.∆S3 x3+…. = k.x1².∆S1 + k.x2².∆S2 + k.x3².∆S3 +…. Mtr/oy = k Σ x².ds =k ∫ S x . ds 2 13.2.3. Définition du Moment quadratique • Moment quadratique de S/oy Iy = ∫x 2.ds S • Moment quadratique de S/ox Ix = ∫y S . ds 2 13.2.4. Unité : L4 ( m4, cm4…..) Exercice : Déterminer le moment quadratique d’un rectangle 1/base (ox) en fonction de b et h 2/médiatrice (Gx’)en fonction de b et h y G x’ h x b SFERE – OFPPT Page 96 / 137
  • 97.
    OP4 Finalisation dessupports pédagogiques Technicien spécialisé Selon l’approche par compétence Gros Œuvre Mécanique et RDM – Partie 1 : Cours 13.3. CHANGEMENT DE COORDONNEES ( TH D’HUYGENS) y M x’ y G d H x Problème Connaissant Ix’ on veut déterminer Ix ; Or Ix = ∫ S y . ds 2 Soit le point M à l’abscisse y ⇒ Ix = = ∫y+ 2 ∫ S HM .ds ( S d) . ds 2 Ix = ∫(y S 2.+ .d +)ds 2.y d2 Signe de Ax ou Ay : Quelconque. Ix = ∫y S . ds 2 +2d ∫ .ds S y + d² ∫ds S ⇒ Ix = Ix’ + 2d ∫ .ds y S + Sd² = Ay/Gx’= 0 ⇒ Théorème d’HUYGENS Ix = Ix’ + Sd² S : Aire de la section d : Distance entre les 2 axes N.B : Le théorème d’Huygens permet de déterminer le moment quadratique d’une surface par rapport à un axe quelconque, en partant uniquement d’un axe passant par G dont on connaît le moment quadratique, et en y ajoutant le terme Sd² (les 2 axes étant //). SFERE – OFPPT Page 97 / 137
  • 98.
    OP4 Finalisation dessupports pédagogiques Technicien spécialisé Selon l’approche par compétence Gros Œuvre Mécanique et RDM – Partie 1 : Cours 13.4. EXERCICES 1/ Déterminer les moments statiques et quadratiques des sections suivantes : a/ par rapport à ox b/ par rapport à oy c/ par rapport à Gx’ 50 mm x 35 mm 5 mm 3 mm x G x’ G x’ 4 mm 100 mm 40 mm y 5 mm y 5 mm 2/ Déterminer les moments quadratiques/ Gz (cdg de l’ensemble) des sections suivantes, composées d’assemblage soudé de profilés du commerce. UAP 100 IPE 200 IPE 200 z G z G IPE 200 13.5. MOMENT QUADRATIQUE POLAIRE 13.5.1. Hypothèses Soit une section S appartenant à un plan x.o.y soumise à des contraintes tangentielles τ avec : a/τ proportionnelles à x (τ= ρ2 ∆S2 k.x). 2 y ∆S1 b/τ perpendiculaire au rayon ρ ft = τ.∆S ft2 ft1 x et issu de oz. ρ ft3 o1 S τ1 = k.ρ1 ∆S3 a/τ ou ft dans le même sens 3 τ2 = k. ρ2 de rotation/ oz ( cas de la τ3 = k. ρ3 torsion). SFERE – OFPPT Page 98 / 137
  • 99.
    OP4 Finalisation dessupports pédagogiques Technicien spécialisé Selon l’approche par compétence Gros Œuvre Mécanique et RDM – Partie 1 : Cours 13.5.2. Problème On veut déterminer le moment résultant des ft/oz. = Moment quadratique polaire de S/oz (S appartenant au plan xoy) ⇒ Mtr/oz = f1. ρ1 + f2. ρ2 + f3. ρ3 + ….. = k. ρ1.∆S1. ρ1 + k. ρ2.∆S2 ρ2 + k. ρ3.∆S3 ρ3+…. = k. ρ1².∆S1 + k. ρ2².∆S2 + k. ρ3².∆S3 +…. Mtr/oy = k Σ ρ ².∆s =k ∫ . ρ S ds 2 13.5.3. Définition du Moment polaire Moment quadratique polaire de S/oz ∫ . ρds 2 Ip = S 13.5.4. Unité : L4 ( m4, cm4…..) 13.5.5. Propriété : ρ² = x² + y² Ip = ∫ S (x2+y2).ds = ∫x2.ds S + ∫ ds y2. S Le moment quadratique polaire est la somme des moments quadratiques/ 2 axes perpendiculaires Ip = Ix + Iy SFERE – OFPPT Page 99 / 137
  • 100.
    OP4 Finalisation dessupports pédagogiques Technicien spécialisé Selon l’approche par compétence Gros Œuvre Mécanique et RDM – Partie 1 : Cours 14. CONTRAINTES DES POUTRES FLÉCHIES 14.1. HYPOTHÈSES. Plan de symétrie Poutre comportant un plan de symétrie vertical. Lignes d'action des forces dans ce plan de symétrie Poutre en flexion simple (N=0 ; V≠0 ; M≠0) 14.2. CONTRAINTES NORMALES σ (DUES À M(X). Soit la poutre suivante reposant sur deux appuis simples et soumise à la flexion. y d O x G (S) S Etudions la section (S) : ⇒ Isoler un petit tronçon de longueur dx. D'après Navier Bernoulli les sections droites restent planes pendant la déformation. On constate donc une rotation de la section (S) autour de G. Les allongements ou les raccourcissements sont proportionnels à l'ordonnée y de la fibre correspondante. y ∆x a b b' dα y O x G dx (S) Prenons une fibre ab’// ligne moyenne SFERE – OFPPT Page 100 / 137
  • 101.
    OP4 Finalisation dessupports pédagogiques Technicien spécialisé Selon l’approche par compétence Gros Œuvre Mécanique et RDM – Partie 1 : Cours ⇒ bb’= ∆x = -y dα (∆x <0 qd. dα >0 En appliquant la Loi de Hooke : σ = ε E: On déduit que les contraintes normales σ sont proportionnelles aux déformations ∆x ε : déformation ε= dx E : module de Young ou module d'élasticité longitudinal. dα dα ⇒σ =εE= E. y.− dx σ=εE= − E. y. dx ⇒ σ est proportionnelle à y SFERE – OFPPT Page 101 / 137
  • 102.
    OP4 Finalisation dessupports pédagogiques Technicien spécialisé Selon l’approche par compétence Gros Œuvre Mécanique et RDM – Partie 1 : Cours 14.3. DÉFORMATIONS. Hypothèses : On néglige l’influence de V y σ df ds h1 -M M y O x G h2 dx (S) La section S étant en équilibre : Les forces élémentaires exercées sur la section (S) (forces de liaisons) doivent équilibrer le moment fléchissant M. ⇒ Calcul du moment résultant . M t / Gz des efforts sur S : M t / Gz = ∫ y×df =-M df = σ ds et σ = k y ∫y×(−E.y dα)×ds dα dα ⇒ ∫ y×df = ∫y×σ×ds = dx = -E. ∫ y ×ds 2 = - E. I GZ =-M dx dx dα M ⇒ = dx E. I GZ Expression de σ (Contrainte normale). dα σ = −E. y. M(x)× y ⇒ Contrainte de flexion : σ(y) dx = − IGZ dα M = dx E. I GZ Avec : σ(y) = contrainte normale à l’ordonnée y et l’abscisse x de la poutre. y ordonnée du point de calcul de σ. M(x) Moment fléchissant à l’abscisse du point de calcul SFERE – OFPPT Page 102 / 137
  • 103.
    OP4 Finalisation dessupports pédagogiques Technicien spécialisé Selon l’approche par compétence Gros Œuvre Mécanique et RDM – Partie 1 : Cours Contraintes Extrêmes Pour obtenir les contraintes normales extrêmes sollicitant une poutre donnée, il suffit de « prendre » les moments extrêmes ( Mmax) et les ordonnées extrêmes de la section. M(max)×h1 Fibre sup ..... σsup = − IGZ M(max)×h 2 Fibre inf ..... σinf = − IGZ SFERE – OFPPT Page 103 / 137
  • 104.
    OP4 Finalisation dessupports pédagogiques Technicien spécialisé Selon l’approche par compétence Gros Œuvre Mécanique et RDM – Partie 1 : Cours Utilisation de l’expression • a/ Vérification d’une section donnée : Données: Mf maxi I/GZ σad ⇒ Calcul de σ et vérifie σ < σad • b/ Choix d’un profilé du commerce : Données: Mf maxi σad M× y On veut :σ= − I GZ ≤ σad Posons v = y M IGZ ≥ − M − v σ ⇒σ = I GZ ⇒ v I GZ avec v = caractéristique du profilé ( dans un tableau) h Remarque : quand le profilé est symétrique v= 2 Exercice : Etablir la formule de σ(max) pour une section rectangulaire pleine en fonction de b et h. 14.4. CONTRAINTES DE CISAILLEMENT LONGITUDINAL τ (DUES À V(X)) Mise en évidence : Soit un empilage de planches (ou autre) reposant sur deux appuis simples et soumises à de la flexion. déformation ⇒ On remarque que les planches glissent les τ τ unes sur les autres ce qui implique des τ τ⇒ τ⇒ contraintes ⁄⁄ au plan de glissement ⇒ τ⇒ τ ⇒ ( contraintes tangentielles τ) ⇒ ⇒ SFERE – OFPPT Page 104 / 137
  • 105.
    OP4 Finalisation dessupports pédagogiques Technicien spécialisé Selon l’approche par compétence Gros Œuvre Mécanique et RDM – Partie 1 : Cours Expression de τ : Soit le tronçon de poutre de longueur dx. Sur ce tronçon étudions la portion inférieure représentée par des hachures. L'équilibre de ce morceau de tronçon nous permet d'écrire : b τ1ds τ2ds G1 corde G2 x τ ds σ2dS σ1dS dx So − ∫ σ 1ds + ∫ σ ds + 2 − ∫ τ ds = 0 si on peut considérer sur dx que τ est constant So So Sn ∫ τ ds = Sn τ×b dx si en G1 le moment fléchissant est égal M f1 en G2 le moment fléchissant est égal Mf2 Mf × y Mf1 × y Mf 2 × y σ = I GZ ⇒ σ1 = I GZ σ2 = I GZ Mf2×y Mf1×y dMf y ds τ×b dx = ∫ IGZ ds - ∫ IGZ ds = ∫ IGZ So So So or ∫ y ds = Moment statique de So par rapport à Gz So dM f ×/ Gz µ V×µ / Gz dM f τ = − = − sachant que l'effort tranchant V = − dx× Gz b I/ I/ Gz.b dx V×µ / Gz τ = − I/ Gz .b τ : contrainte de cisaillement longitudinal au niveau de la corde (coupure fictive) SFERE – OFPPT Page 105 / 137
  • 106.
    OP4 Finalisation dessupports pédagogiques Technicien spécialisé Selon l’approche par compétence Gros Œuvre Mécanique et RDM – Partie 1 : Cours V : effort tranchant µ/Gz : moment statique /Gz de la portion de section située au-delà de y I/ Gz : Inertie totale de la section / Gz b : est la largeur de la coupure fictive. SFERE – OFPPT Page 106 / 137
  • 107.
    OP4 Finalisation dessupports pédagogiques Technicien spécialisé Selon l’approche par compétence Gros Œuvre Mécanique et RDM – Partie 1 : Cours Exercices : 1/ Etablir la formule des τ situées sur G(z) pour une section rectangulaire pleine en fonction de V,b et h 2/ Tracer le diagramme d’évolution des τ le long d’une section rectangulaire en fonction de V, b et h pour y = h/2, h/4, 0 et symétriquement. 3/ Tracer le diagramme d’évolution des τ le long d’une section d’ I.P.E défini ci-dessous pour les point A, B+, B-, C, G et symétriquement 50 mm x 5 mm 3 mm G x’ C h/4 h =100 mm B y A 5 mm SFERE – OFPPT Page 107 / 137
  • 108.
    OP4 Finalisation dessupports pédagogiques Technicien spécialisé Selon l’approche par compétence Gros Œuvre Mécanique et RDM – Partie 1 : Cours 14.5. APPLICATIONS 14.5.1. PLONGEOIR L'ensemble proposé sur la figure est un plongeoir à une seule planche utilisé sur le bord des piscines. Soit à étudier la flexion de la planche ABC représentée schématiquement sur les figures 2 et 3. Le poids propre de la planche est négligé. 1/ Déterminer les actions mécaniques de contacts exercées en A et B sur la planche 2/ Tracer les digrammes de V(x) et M(x) (sans équations) en précisant toutes les valeurs particulières. 3/ Tracer le diagramme des contraintes normales sur la section la plus sollicitée (section 30 x 600 mm sur le tronçon AB) 4/ Calculer la contrainte de cisaillement maxi (section 30 x 600 mm sur le tronçon AB) SFERE – OFPPT Page 108 / 137
  • 109.
    OP4 Finalisation dessupports pédagogiques Technicien spécialisé Selon l’approche par compétence Gros Œuvre Mécanique et RDM – Partie 1 : Cours 14.5.2. PORTIQUE TOURNANT Le portique tournant, d'une usine de poutres B.A préfabriquées, proposé sur les figures 1 et 2 se compose d'une poutre principale en I. La poutre est liée en A ( liaison pivot ou articulation vertical )à un fût fixe 2, elle est en appui sur un support mobil 3. Ce support est guidé par un rail circulaire ( rayon R, centre A ), il est équipé de deux moteurs. L'ensemble tu portique pivote autour de A. Le porte-palan avec cabine 4 translate le long de AC, il peut effectuer le levage d'une charge ne dépassant pas 10000 daN. Notre étude portera sur la poutre 1 dont on propose le schéma de calcul (fig. 3). Les 500 daN/m correspondent au poids propre de la poutre, et la charge de 10000 daN est située en C (cas le pus défavorable ). 1/ Déterminer les actions mécaniques de contacts exercées en A et B sur la poutre 2/ Tracer les diagrammes de V(x) et M(x) le long de la poutre (sans équations) en précisant toutes les valeurs particulières. 3/ Tracer le diagramme des contraintes normales sur la section B (section la plus sollicitée : fig 4). 4/ Calculer la contrainte de cisaillement en C. ( même section qu'en B, excepté la hauteur = 800 mm). Vous justifierez succinctement le choix de cette section. SFERE – OFPPT Page 109 / 137
  • 110.
    OP4 Finalisation dessupports pédagogiques Technicien spécialisé Selon l’approche par compétence Gros Œuvre Mécanique et RDM – Partie 1 : Cours 14.5.3. CUVE DE STOCKAGE La cuve de stockage proposée ci-dessous est réalisée d'une virole (1)et de deux fonds (2 et 3) soudés aux extrémités. La cuve repose sur deux supports (4 et 5) posés à même le sol (0). On se propose d'étudier le comportement de la cuve en flexion. Le schéma de calcul correspondant est défini fig. 2, dans lequel la charge répartie q de 5000 daN représente l'action exercée par le liquide contenu dans la cuve. 1/ Déterminer les actions mécaniques de contacts exercées en A et B sur la cuve. 2/ Donner les équations de V(x) et M(x) le long de la poutre, ainsi que toutes les valeurs particulières. 2/ Tracer les diagrammes de V(x) et M(x) le long de la poutre. 3/ Déterminer littéralement la valeur de a en fonction de L donnant le même moment maxi sur appuis qu'en travée (en valeur absolue). 4/ Tracer le diagramme des contraintes normales sur la section de cuve située sur l'appui A. SFERE – OFPPT Page 110 / 137
  • 111.
    OP4 Finalisation dessupports pédagogiques Technicien spécialisé Selon l’approche par compétence Gros Œuvre Mécanique et RDM – Partie 1 : Cours 14.5.4. PONT ROULANT Le pont roulant ci-dessous proposé sur la figure 1 se compose d'une poutre principale (1) ( Profilé IPER ) monté sur deux sommiers latéraux (3) ( composés chacun de deux UAP soudés). L'ensemble translate sur deux rails (0) aux moyen de deux moteurs de translation (4). La charge est fixé au crochet (5), et manœuvrée par le palan (2) ( levage et translation le long de (1)). L'élément étant le boîtier de commande. A ETUDE DE LA POUTRE 1 Le palan 2 occupe la position définie par la figure 2 ( a = 4000 mm ). Le schéma de calcul de la poutre ABC est représenté par la figure 3. P représente l'action exercée par le palan sur (1) dont le poids propre est négligé 1/ Déterminer RA et RB. 2/ Tracer les graphes de V(x) et M(x) en précisant toutes les valeurs particulières. 3/ Exprimer RA en fonction de P, a et L; puis l'équation de M(x) en fonction de P, a et L ( dans le tronçon AB ). SFERE – OFPPT Page 111 / 137
  • 112.
    OP4 Finalisation dessupports pédagogiques Technicien spécialisé Selon l’approche par compétence Gros Œuvre Mécanique et RDM – Partie 1 : Cours 4/ Déterminer la valeur de a donnant le moment fléchissant maxi pour le tronçon AB et en déduire sa valeur numérique. 5/ Si Mmax = 80.1 kN/m et la σ = 100 MPa, choisir L'IPER qui convient. B ETUDE DU SOMMIER 3 Le chargement maximum du sommier est obtenu lorsque le palan (2) est situé au droit de l'appui correspondant, la charge est P (3000 daN ). L'étude du sommier se ramène schématiquement à la poutre DAE figure 5 (le poids propre du sommier sera négligé). 1/ Déterminer le moment maxi dans le sommier. 2/ Choisir l'UAP nécessaire et suffisant pour satisfaire la condition de résistance si σ = 160 MPa. 3/ Vérifier que la contrainte de cisaillement longitudinal reste inférieur à 150 Mpa dans le sommier. SFERE – OFPPT Page 112 / 137
  • 113.
    OP4 Finalisation dessupports pédagogiques Technicien spécialisé Selon l’approche par compétence Gros Œuvre Mécanique et RDM – Partie 1 : Cours SFERE – OFPPT Page 113 / 137
  • 114.
    OP4 Finalisation dessupports pédagogiques Technicien spécialisé Selon l’approche par compétence Gros Œuvre Mécanique et RDM – Partie 1 : Cours 14.5.5. ANTENNE RADIO Pour effectuer le levage d'une antenne radio on utilise le montage de la figure 1. L'antenne (1) est liée à sa base O à un mât de charge (2)de 15 m de long. Le câble (5) , lié en B à (2) et en A sur (1), maintient constant l'écartement AB ( l'angle BOA reste constamment égal à 90° ) Un deuxième câble (4) fixé en B sur (2) et en D à un treuil réalise le levage de l'ensemble (1) + (2) + (5). Cet ensemble pivote autour de O jusqu'à la position verticale. On se propose étudier le comportement de l'antenne en flexion au début du levage (OA horizontal ) dont le schéma de calcul est définit à la figure 3. 1/ Donner la charge répartie q ( poids propre de l'antenne/m ) 2/ En déduire les actions mécaniques de contact en O et A. 3/ Déterminer le diamètre minimal du câble (5) réalisé en acier dont σe = 1600 Mpa et compte tenu d'un coefficient de sécurité de 6. 4/ Tracer les diagrammes de N(x), V(x) M(x) de long de l'antenne. Préciser les valeurs particulières. Dans la suite du problème On négligera l'effet de N(x). 5/ Déterminer le moment quadratique de la section de l'antenne définit par la figure 4. 6/ Tracer le diagramme de Navier de la section de l'antenne située sur l'appui A. SFERE – OFPPT Page 114 / 137
  • 115.
    OP4 Finalisation dessupports pédagogiques Technicien spécialisé Selon l’approche par compétence Gros Œuvre Mécanique et RDM – Partie 1 : Cours 15. FLEXION COMPOSÉE 15.1. DÉFINITION Un élément est soumis à de la flexion composée, si étant sollicité en flexion simple il est soumis en plus à un effort normal. Flexion composée ⇒ (N≠0 ; V≠0 ; M≠0) 15.2. EXEMPLES p Arbalétrier d’une ferme p Poutre inclinée p Poteau de portique Etc… 15.3. CONTRAINTES NORMALES σ Puisque l’élément en flexion composé est soumis à M(x) et à N(x) les contraintes σ auront deux origines M.y σf (due à M(x)) = − (diagramme triangulaire) IGZ σN (due à N(x)) = N S (diagramme rectangulaire) En appliquant le principe de superposition on peut écrire : M. y σ= N S − IGZ Le diagramme des contraintes σ ( ou de Navier) sur une section donnée pourra être défini en additionnant les diagrammes de σf et σN SFERE – OFPPT Page 115 / 137
  • 116.
    OP4 Finalisation dessupports pédagogiques Technicien spécialisé Selon l’approche par compétence Gros Œuvre Mécanique et RDM – Partie 1 : Cours Allures possibles du diagramme Valeurs relatives de σf Diagramme du à N(x) : Diagramme du à M(x) : Diagramme Résultat et σN σN (+) σf (+ en haut) l.m l.m l.m σ N > σ f σ N = σ f σ N < σ f Remarque (fibre neutre , ligne moyenne) Exercice Soit une section d’une poutre en bois de hauteur h = 50 cm et de largeur b = 10 cm soumis à un moment fléchissant = 5 kN.m et à un effort normal N = 50 kN 1/ Tracer le diagramme de Navier sur cette section ( précisez les valeurs extrêmes 2/ Déterminer e (distance entre la fibre neutre et la ligne moyenne en fonction de N, I/GZ, M et S 3/ En déduire la valeur de e. 15.4. CONTRAINTES TANGENTIELLES Les contraintes tangentielles n’étant engendrées que par la flexion (V(x)) V×µ / Gz τ = − I/ Gz .b ⇒ Comme en flexion simple SFERE – OFPPT Page 116 / 137
  • 117.
    OP4 Finalisation dessupports pédagogiques Technicien spécialisé Selon l’approche par compétence Gros Œuvre Mécanique et RDM – Partie 1 : Cours 15.5. EXCENTRICITÉ DE CHARGE Soit une pièce soumise uniquement à un effort normal N non appliqué au C.d.G de la section, mais excentré d’une valeur e. N G h e Remarque : pour faire la RdM il faut déterminer les éléments de réduction des charges au CdG de la section (transférer les actions en G). n N M =N.e Réduction e en G ⇒ Conclusion : Une pièce comprimée ou tendue par une force non appliquée au CdG de sa section, est sollicitée en flexion composée, (N et M = N.e) Problème : Déterminer dans le cas ci dessus l’excentricité maxi e en fonction de h de façon qu’aucune des fibres du poteau ne soit tendue. N M .y bh3 Solution : Il faut σ N > σ f ⇒ S > avec y = h/2 et I/GZ = IGZ 12 > M.h3 > 6M > 6Ne ⇒ N S bh ⇒ N S bh 2. N or M = Ne ⇒ bh bh 2. ⇒e≤ h 6 (Noyau central) 2. 12 15.6. REMARQUE On ne peut déterminer une poutre en flexion composée (2 inconnues I/V et S pour une équation :σ ≤ σ ). On ne peut donc que la vérifier. En pratique : choisir le profilé en flexion simple (néglige N(x)) puis vérifier en flexion composée. SFERE – OFPPT Page 117 / 137
  • 118.
    OP4 Finalisation dessupports pédagogiques Technicien spécialisé Selon l’approche par compétence Gros Œuvre Mécanique et RDM – Partie 1 : Cours 15.7. EXERCICES • Soit la ferme définie ci-dessous. L’entrait est un I.P.E 120 et les arbalétriers en I.P.E 160 p = 8 kN/m horizontal A 2.00 1.00 1/ Déterminer l’effort dans l’entrait, puis en déduire le diagramme de Navier 2/ Etablir les diagrammes de N(x), V(x) et M(x) le long d’un l’arbalétrier. 3/ Tracer le diagramme de Navier sur la section A 4/ Donner la valeur de la contrainte τ maxi pour l’arbalétrier. • soit la prédalle précontrainte définie ci-dessous Données : Câble -Taux de travail du câble = 90 % -Effort de rupture = 35 kN Prédalle : longueur = 5.50 m On vous demande de vérifier la prédalle ( vérifier que la contrainte du béton situé sur la fibre supérieure est toujours comprise entre 0 et 15 Mpa) dans les cas suivants a/ au stockage 55 mm 2 mm 115 mm 4m φ=5 mm 60° b/ au levage 4m SFERE – OFPPT Page 118 / 137
  • 119.
    OP4 Finalisation dessupports pédagogiques Technicien spécialisé Selon l’approche par compétence Gros Œuvre Mécanique et RDM – Partie 1 : Cours 16. LES FLÈCHES 16.1. DÉFINITION La flèche d’une poutre fléchie est la longueur du déplacement de sa ligne moyenne par rapport à sa position théorique (droite) sous l’effet des charges qui lui sont appliquées P flèche déformée 16.2. FORMULAIRE Le formulaire fourni (pages 3 à 6) donne entre autres choses: Les équations de V(x) (noté T ici) et de M(x) L’équation de la déformée ( fonction des appuis et des charges) Les valeurs particulières de V(x), M(x) et la flèche (F max, …) 16.3. UTILISATION 16.3.1. Vérification d’un profilé. Ici les caractéristiques de la poutre ainsi que son chargement sont connus Il suffit de vérifier que la flèche maxi reste inférieure à une flèche limite ou flèche admissible Exemple : L/200 =portée/200) Exercice Questions (si p = 5 kN/m et L = 5 m) p N/ml a/ Déterminer le profilé à la résistance (σ≤ σ ) A L b/ Déterminer sa flèche maxi. ( E = 2.1 105¨Mpa) SFERE – OFPPT Page 119 / 137
  • 120.
    OP4 Finalisation dessupports pédagogiques Technicien spécialisé Selon l’approche par compétence Gros Œuvre Mécanique et RDM – Partie 1 : Cours 16.3.2. Détermination d’un profilé à la flèche. Choisir le profilé nécessaire et suffisant pour satisfaire la condition de flèche imposée. 1/ Données Formulaire des flèches Schéma mécanique de la poutre Tableau de profilé Flèche admissible 2/ Méthode Ecrire que la flèche (fonction de I/GZ ) ≤ flèche admissible ⇒ Sort I/GZ de l'inéquation ⇒choix du profilé (dans le tableau) Exercice Question (si p = 5 kN/m et P = 10 kN et =5 P m) p N/ml En utilisant le principe de superposition, A L déterminer le profilé nécessaire et suffisant pour que la flèche maxi reste inférieur à L/200 b/ Déterminer sa flèche maxi. ( E = 2.1 16.3.3. Résoudre un problème hyperstatique 1/ Données Formulaire des flèches Schéma mécanique de la poutre : hyper de degré 1 2/ Méthode Décomposer le schéma mécanique en 2 schémas isostatiques dont l’un des deux fait apparaître une réaction d’appui. Puis écrire que la somme des flèches au niveau de cet appui = 0 ; ce qui constitue une équation supplémentaire. (permet de déterminer la réaction d’appui) Exercice Déterminer RB pour le schéma mécanique suivant p N/ml B A L SFERE – OFPPT Page 120 / 137
  • 121.
    OP4 Finalisation dessupports pédagogiques Technicien spécialisé Selon l’approche par compétence Gros Œuvre Mécanique et RDM – Partie 1 : Cours SFERE – OFPPT Page 121 / 137
  • 122.
    OP4 Finalisation dessupports pédagogiques Technicien spécialisé Selon l’approche par compétence Gros Œuvre Mécanique et RDM – Partie 1 : Cours SFERE – OFPPT Page 122 / 137
  • 123.
    OP4 Finalisation dessupports pédagogiques Technicien spécialisé Selon l’approche par compétence Gros Œuvre Mécanique et RDM – Partie 1 : Cours SFERE – OFPPT Page 123 / 137
  • 124.
    OP4 Finalisation dessupports pédagogiques Technicien spécialisé Selon l’approche par compétence Gros Œuvre Mécanique et RDM – Partie 1 : Cours SFERE – OFPPT Page 124 / 137
  • 125.
    OP4 Finalisation dessupports pédagogiques Technicien spécialisé Selon l’approche par compétence Gros Œuvre Mécanique et RDM – Partie 1 : Cours 17. POUTRE CONTINUE EN BETON ARME 17.1. GÉNÉRALITÉ On a remarqué qu’en utilisant les méthodes de R.D.M ( Méthodes des forces ; Théorème des trois moments ) pour les poutres continues en B.A, les résultats obtenus ne coïncidaient pas avec la réalité. En particulier les moments sur appuis sont surestimés. Cela vient du fait que les méthodes de R.D.M • Ne tiennent pas compte de la variation d’inertie de la poutre en béton ( inertie différente en travée et sur appui ) • Ne tient pas compte du caractère fluant du béton. • Est trop parfaite puisqu’elle tient compte des charges situées sur des travées éloignées de la travée considérée, alors que le béton amorti rapidement les effets. Par conséquent pour les poutres en B.A il existe 2 méthodes Méthode forfaitaire Méthode Caquot Remarques Calculs envisagés à l' ELU ou à l' ELS. Ne concerne que les poutres associées à un plancher ou dalles calculées en flexion dans un seul sens. 17.2. MÉTHODE FORFAITAIRE. ARTB.6.2,21 PAGE 149 17.2.1. Domaine d'utilisation. artB.6.2,210 a) Applicable aux planchers à charges d'exploitation modérée: QB soit G : charges permanentes il faut QB ≤ 2G ou QB ≤ 5 kN/m2 b) Travées ayant même inertie. c) Les portées successives sont dans un rapport compris entre 0,8 et 1,25. d) Fissuration peu nuisible. Ces quatre conditions sont impératives pour utiliser cette méthode forfaitaire définie ci- après. SFERE – OFPPT Page 125 / 137
  • 126.
    OP4 Finalisation dessupports pédagogiques Technicien spécialisé Selon l’approche par compétence Gros Œuvre Mécanique et RDM – Partie 1 : Cours 17.2.2. Principe de la méthode. artB.6.2,211 Principe de la méthode basé sur le phénomène d’adaptation des poutres en B.A On évalue les moments maxi sur appuis et en travées en fonction du moment de flexion maxi Mo de la travée iso associée ( avec le même chargement). Les moments correspondent à une fraction de Mo Mt = kt x Mo Mt moment en travée Ma = ka x Mo Ma moment sur appui Les coefficients kt et ka sont choisis forfaitairement dans les plages définies au 2.3 Démonstration Soit la poutre sur appuis simples P M0 = PL/4 ⇒A0 Ao Soit la même poutre encastrée à chaque extrémité avec uniquement des aciers inférieurs P Après fissuration : ⇒ Cas 1 Encore Mo ⇒ A0 Ao Soit encore la même poutre encastrée à chaque extrémité mais avec uniquement des aciers en chapeau Ao Après fissuration : P P/2 P/2 M max= P/2 x L/2 =PL/4 = Mo ⇒ A0 + SFERE – OFPPT Page 126 / 137
  • 127.
    OP4 Finalisation dessupports pédagogiques Technicien spécialisé Selon l’approche par compétence Gros Œuvre Mécanique et RDM – Partie 1 : Cours Conclusion Quelle que soit la position des aciers pour une poutre bi-encastrée, la section d’acier nécessaire est la même et correspond à la section obtenue pour une poutre iso. Il suffira donc de répartir cette section Ao (légèrement majorée par sécurité) dans la poutre de façon à éviter les fissures. At Aw Ae Avec : At +Aw +Ae ≥Ao 2 Or A est proportionnelle à M ⇒ Avec une sécurité Mt +Mw +Me ≥ .Mo k 2 17.2.3. Détermination des moments en travées et sur appuis Annexes E page 231 Notation des moments en valeurs absolues Mw: moment de flexion sur l'appui de gauche (à l'Ouest) Me: moment de flexion sur l'appui de droite (à Est) Mt: moment de flexion maximal dans la travée Mo: moment de flexion maximal dans la travée iso associée pl 2 Mo = Mo = pour une charge uniformément répartie 8 Les valeurs de Mt, Mw, et Me doivent vérifier les conditions suivantes : • Mt +Mw +Me ≥max(1,05;1+ ,3α Mo 0 ). 2 QB α= QB : charge d'exploitation non pondérée G+QB G : charge permanente non pondérée (1+ ,3α 0 ) • Mt ≥ .Mo pour une travée intermédiaire 2 (1,2+ ,3α 0 ) Mt ≥ .Mo pour une travée de rive 2 SFERE – OFPPT Page 127 / 137
  • 128.
    OP4 Finalisation dessupports pédagogiques Technicien spécialisé Selon l’approche par compétence Gros Œuvre Mécanique et RDM – Partie 1 : Cours • Les moments sur appuis intermédiaires ne sont pas inférieurs à: -pour une poutre à deux travées . -pour une poutre à plus de deux travées De part et d’autre de chaque appui intermédiaire, on retient la plus grande valeur des moments sur appuis (gauche ou droite). 17.2.4. Evaluation des efforts tranchants - Soit en calculant les efforts tranchants en tenant compte des moments sur appuis. - Soit en appliquant une pondération forfaitaire. SFERE – OFPPT Page 128 / 137
  • 129.
    OP4 Finalisation dessupports pédagogiques Technicien spécialisé Selon l’approche par compétence Gros Œuvre Mécanique et RDM – Partie 1 : Cours 17.2.5. Longueur des chapeaux et arrêts des barres inférieures du second lit. Annexe E.l,3 page 232 Cas général: on trace les courbes enveloppes et l'on détermine l'épure d'arrêt des barres ( décalage de 0,9 d + longueur d'ancrage ). Toutefois si QB ≤ G et si les charges sont uniformément réparties on peut adopter la disposition suivante : . avec L' = Max ( L1; L2 ;Ls) si travée de rive 4 4 L' = Max - ( L1; L2 ;Ls) 5 5 si travée intermédiaire L " = Max ( ( L';Ls) 2 Ls : longueur de scellement 17.3. MÉTHODE CAQUOT 17.3.1. Domaine d'application. art B.6.2,220 S'applique aux poutres, poutrelles, associées à des planchers de constructions industrielles, c'est à dire à charges d'exploitation relativement élevées. QB > 2G ou QB > 5 kN/m2 17.3.2. Principe de la méthode. artB.6.2,221 Méthode de continuité simplifiée due à Albert CAQUOT : Cette méthode est dérivée du théorème des trois moments, mais avec certains ajustements, propre aux poutres en B.A .(cf : Généralités) Elle permet donc de déterminer les moments sur chaque appui, en ne considérant, notamment, que les deux travées adjacentes et leur chargement. SFERE – OFPPT Page 129 / 137
  • 130.
    OP4 Finalisation dessupports pédagogiques Technicien spécialisé Selon l’approche par compétence Gros Œuvre Mécanique et RDM – Partie 1 : Cours 17.3.3. Méthode Caquot. Annexe E2 Appliquée poutres à moments d'inertie égaux dans les différentes travées et non solidaires des poteaux. Annexe E2,2 Moment sur appui • Moment sur appui A pour des charges uniformément réparties. (l = Cte ) 3 3 p w × 'w + e× 'e L p L MA = I= Cte 8.5(L'w + 'e ) L avec L' = L si c'est une travée de rive avec L' = 0,8 L dans les autres cas. • Moment sur appui A pour des charges ponctuelles. ( l = Cte ) Kw et Ke sont lus sur un tableau pour une valeur de -et -voir BAEL Annexe E.2.2, 1 2 2 K w × w × 'w K e× e× 'e P L P L MA = + L'w +L'e L'w +L'e Kw et Ke sont lus dans un tableau pour une valeur de a et b voir BAEL Annexe E.2.2,1 L'w L'e SFERE – OFPPT Page 130 / 137
  • 131.
    OP4 Finalisation dessupports pédagogiques Technicien spécialisé Selon l’approche par compétence Gros Œuvre Mécanique et RDM – Partie 1 : Cours 17.3.4. Courbes enveloppes des M(x) art B.6.2,3 et art B.6.1,21 A Cas de charge Pour construire la courbe enveloppe des moments ou même déterminer les moments extrêmes, il est nécessaire de considérer 3 cas de charge différents : Cas 1 1.35g +1.5q ⇒ Moments maxis sur appui. ⇒ Section des aciers sur appuis Cas 2 1.35g +1.5q(travées impaires) ⇒ Moments maxis pour les travées impaires. ⇒ Section des aciers dans les travées impaires. 1.35g +1.5q(travées paires) ⇒ Moments maxis pour les travées paires. ⇒Section des aciers dans les travées paires. Cas 3 g +1.5 q(travées impaires) ⇒ Moments maxis pour les travées impaires ⇒Longueurs des chapeaux dans les travées paires g +1.5q(travées paires) ⇒ Moments maxis pour les travées paires ⇒Longueurs des chapeaux dans les travées impaires SFERE – OFPPT Page 131 / 137
  • 132.
    OP4 Finalisation dessupports pédagogiques Technicien spécialisé Selon l’approche par compétence Gros Œuvre Mécanique et RDM – Partie 1 : Cours B Résultat 0.8h 0.8h Courbe enveloppe décalée de 0.8h 0.8h Cas 3 0.8h Cas 2 Cas 1 C Tracé d’une courbe enveloppe On peut envisager deux Méthodes Méthode théorique (équation de M(x) et calculette ) p Mw Me Mw−Me M(x) =-(Mw-RA.x + p.x2/2) Avec RA = pL/2 - L Mw −Me .x +pL px 2 ⇒ M(x) = −Mw − .x − L 2 2 px 2 pL Mw −Me).x − ⇒ M(x) = − +( − Mw (équation à rentrer dans la calculette) 2 2 L ! Les Moments ont un signe. Méthode graphique’ L’étude d’une travée d’une poutre continue peut se décomposer en 2 cas de base : Moment sur appuis seuls Chargement iso SFERE – OFPPT Page 132 / 137
  • 133.
    OP4 Finalisation dessupports pédagogiques Technicien spécialisé Selon l’approche par compétence Gros Œuvre Mécanique et RDM – Partie 1 : Cours Mt = + Ligne de fermeture ⇒ Tracer sur la travée considérée la ligne de fermeture à partir des moments sur appui puis le moment iso seul et enfin faire l’addition des deux diagrammes M1 M2 M1 M2 Cas d’une charge uniformément répartie Cas d’une charge ponctuelle Remarque : pour tracer la parabole correspondant au cas iso d’une charge uniformément répartie, il suffit de calculer les valeurs des moments tous les 0.1L Or M(x) = pl/2.x-px2/2 p 0.36pL2 ⇒M(0.1L) = (0.1L2 − .01L2 ) = .09L2 p = 0 0 =0.36Mo 2 8 M(0.2L)= 0.64Mo M(0.3L)= 0.84Mo M(0.4L)= 0.96Mo SFERE – OFPPT Page 133 / 137
  • 134.
    OP4 Finalisation dessupports pédagogiques Technicien spécialisé Selon l’approche par compétence Gros Œuvre Mécanique et RDM – Partie 1 : Cours D Détermination de Mmax Précis Or M(x) =-(Mw-RA.x + p.x2/2) Et M est maxi quand V(x) =0 Or V(x) =-RA +px/2 Avec RA = pL/2 - Mw−Me L ! signe des moments RA ⇒X(o) = p (valeur à rentrer dans l’expression de M(x)) 17.3.5. Calcul de Vu max (Effort Tranchant) Annexe E.2.2,3 A Expression de V Les efforts tranchants d'appui sont calculés par la méthode générale aux poutres continues en faisant état des moments de continuité. p Isolons une travée d’une poutre continue A B p A B A B M3 M3 M2 A B V(A-B) = -RA M2 V(A-B) = -(RAiso + M3 - M 2 ) L L ⇒V(A-B) = -RAiso - M3 − M 2 L V(B-A) = RB ⇒ V(B-A) = RAiso - M3 − M 2 L Formule générale V(x) = Viso - M3 − M 2 L avec Viso effort tranchant de la poutre isostatique B Cas à considérer Pour obtenir l’effort tranchant sur chaque appui il suffit de charger au maximum les travées adjacentes à celui-ci : Appui de rive 1.35g +1.5q (travées de rive) SFERE – OFPPT Page 134 / 137
  • 135.
    OP4 Finalisation dessupports pédagogiques Technicien spécialisé Selon l’approche par compétence Gros Œuvre Mécanique et RDM – Partie 1 : Cours SFERE – OFPPT Page 135 / 137
  • 136.
    OP4 Finalisation dessupports pédagogiques Technicien spécialisé Selon l’approche par compétence Gros Œuvre Mécanique et RDM – Partie 1 : Cours Appui intermédiaire 1.35g +1.5q : de part et d’autre de l’appui considéré Etc.. 17.4. MÉTHODE CAQUOT MINORÉE. Dans le cas où l'une des trois conditions complémentaires à celle du chargement ne serait pas satisfaite, on doit appliquer la méthode CAQUOT et il est admissible de minorer les moments sur appuis dus aux seules charges permanentes par un coefficient compris entre 1 et 2/3 ; les valeurs des moments en travée sont majorées en conséquence 17.5. CONTRÔLE DE BETON Méthode Forfaitaire et méthode Caquot . 17.5.1. DONNEES Soit la poutre continue définie ci-dessous g = 15 kN/ml q = 25 kN/ml A B C D 6.00 6.00 6.00 La fissuration est jugée peu préjudiciable. 17.5.2. QUESTIONS I/ Méthode forfaitaire 1/ MtA étant estimé à 0.4 Mo, déterminer tous les moments minimaux réglementaires sur appuis et en travée en utilisant la méthode forfaitaire. 2/ En déduire l'allure du diagramme de M(x) en précisant les valeurs particulières. II/ Méthode Caquot 1/ En ne considérant que les cas de charge donnant les moments maximaux en travée, déterminer ces moments. 2/ Tracer pour ces cas de charge, et de façon précise, le diagramme de M(x) pour les travées AB et CD. 17.6. DIAPORAMA Voir dans la partie « ANNEXES » de ce document. SFERE – OFPPT Page 136 / 137
  • 137.
    OP4 Finalisation dessupports pédagogiques Technicien spécialisé Selon l’approche par compétence Gros Œuvre Mécanique et RDM – Partie 1 : Cours 2 - : ANNEXES SFERE – OFPPT Page 137 / 137