LE MOTEUR A COURANT CONTINU 
1 
Réalisé par: 
EL KHOULAQUI Mohamed. 
ZEGOUM Lamia. 
MOUFID Ayoub. 
AMMARI Ibtissam. 
Encadré par : 
Mr A.NEDDAMI.
Plan 
Introduction 
Conception 
 inducteur 
 induit 
 collecteur/balais 
Principe de fonctionnement 
Champ magnétique 
 rôle 
 constitution 
Topographie du champ magnétique 
 principe 
 répartition du flux 
Pôles auxiliaires de commutation 
RMI 
Force électromotrice/couple électromotrice 
Fonctionnement génératrice et moteur 
Mode excitation shunt série séparé composé 
2
1. Introduction 
Machines électriques 
Machines à courant alternatif Exemple : synchrone et asynchrone 
Machines à courant continu 
Machine à courant continu = convertisseur d’énergie 
Énergie électrique 
Énergie Mécanique 
Moteur 
générateur 
3
2.1. l’inducteur 
L’inducteur est la partie fixe de la machine, son rôle est de créer un champ magnétique fixe dans l’espace. 
. 
. 
. 
. 
. 
. 
Bobine 
Pièce polaire 
Entrefer 
Noyau polaire 
Culasse 
En fonte ou en acier, elle forme la partie extérieur de la machine 
Autour desquels se trouvent les bobines inductrices, ils sont en acier coulé 
Ou épanouissement polaire 
Élargit la section d’entrée du flux dans l’entrefer 
4
2.2 le rotor 
5
6 
2.2.2. Collecteur Le collecteur est un ensemble de lames de cuivre isolées les unes des autres par des feuilles de mica. Ces lames sont montées sur l'arbre de la machine, mais isolées de ce dernier. 
2.2.3. Balais 
Les balais, ou frotteurs, sont fixes et appuient sur le collecteur pour assurer la transmission de l'énergie entre la machine et le circuit extérieur. Ils sont maintenus par des porte-balais dans lesquels des ressorts viennent maintenir une pression
7
3-3-3 Le principe de fonctionnement 
a- le mode moteur: 
8
b- le mode génératrice: 
9
10
11
Ce qu’il faut absolument retenir dans cette partie : 
A quoi sert un circuit magnétique ? 
Les éléments qui le composent 
Création du flux inducteur et sa répartition pour une machine à courant continu 
Pôles auxiliaires de 
commutations 
12
Le circuit magnétique 
• Le rôle du circuit magnétique est de canaliser le flux produit par les enroulements inducteurs supportés par les pôles principaux (stator), de façon à ce qu'il englobe un maximum de conducteurs de l'induit (rotor). 
13
Circuit magnétique 
•Il est constitué par l'ensemble: 
Partie fixe :stator 
Partie tournante :rotor 
L’entrefer 
14
Les éléments du circuit magnétique 
15
Les éléments du circuit magnétique 
•La culasse c en acier forme la partie extérieure de la machine. 
•Les noyaux polaires autour desquels se trouvent les bobines inductrices .Ils sont en acier ou en tôles épaisses 
•Épanouissements polaires qui élargissent la section de passage du flux dans l’entrefer 
• L’entrefer 
•L’anneau d’induit formé par un empilage de disques de tôles minces isolées entre elles 
•La denture de l’induit, c’est la partie du fer de l’induit ou se trouvent les dents et les encoches 
16
Topographie du champ magnétique 
»Principe 
•Le bobinage inducteur, traversé par le courant inducteur Ie, produit le flux magnétique dans la machine. Il est constitué d’un électro-aimant qui engendre la force magnétomotrice (F.M.M.) nécessaire à la production du flux. Dans les machines bipolaires (à deux pôles), deux bobines excitatrices Sont portées par deux pièces polaires montées à l’intérieur d’une culasse. La culasse est généralement en fonte d’acier, tandis que les pièces polaires sont formées de tôles d’acier doux. 
17
Topographie du champ magnétique 
•Répartition du flux 
•Circuit magnétique d’un moteur bipolaire 
•Circuit magnétique d’un moteur tétra polaire 
18
19
Topographie du champ magnétique 
Pôles auxiliaires de commutation 
•Aux bornes de la spire inductive apparaît alors une f.é.m d'auto- induction, qui tend à maintenir l'ancien sens du courant et qui se manifeste par un arc électrique entre le balai et la lame du collecteur qui le quitte. 
•Afin de remédier à ce problème, qui conduit à une usure prématurée des balais et du collecteur, la machine est équipée de pôles auxiliaires de commutation. 
•Ces derniers sont montés en série avec l'induit et ont une action localisée à la zone où se produisent ces inversions brutales de courant 
20
Topographie du champ magnétique 
•Pôles auxiliaires de commutation 
21
4- la réaction magnétique induit: 
22
23 
Pôles de compensation 
Ils sont placés dans les 
épanouissements polaires et 
sont connectés en série avec 
l’induit. 
Ils produisent un flux inverse 
de la RMI. 
Uniquement pour les inducteurs bobinés
Force électromotrice 
•Nous savons qu’une bobine en mouvement dans un champ magnétique voit apparaître à ses Borne une force électromotrice (f.é.m.) donnée par la loi de Faraday: 
Sur ce principe, la machine à courant continu est le siège d’une f.é.m. E : 
24
Force électromotrice 
25
° Couple électromagnétique 
•Soient deux conducteurs formant une spire parcourue par un courant I. Ceux-ci étant Placés dans un champ magnétique B, ils sont soumis aux forces de Laplace F1 et F2, qui forment un couple de force 
26
Couple électromagnétique 
•Expression du moment du couple électromagnétique 
27
Fonctionnement en génératrice 
1.Fonctionnement à vide et à fréquence de rotation constante 
Le rotor de la machine est entraîné par une source extérieure à la fréquence de rotation n. 
Alors le courant débité est nul 
28
29
Modèle équivalent d’une génératrice à vide 
30
On a E0=U0 
Fonctionnement sur charge résistive: 
La génératrice est entraînée par un moteur auxiliaire, elle débite un courant d’intensité I dans un rhéostat de charge 
31
On remplace L'induit de la génératrice par son modèle équivalent 
32
La loi d’Ohm de l’induit se déduit facilement du modèle équivalent : 
•U=E- RI 
33
On a aussi U =Rh*I 
34
Point de fonctionnement sur charge résistive 
35
Graphiquement Le point de fonctionnement du groupe Induit – Charge résistive est l’intersection des deux courbes 
36
Le point de fonctionnement peut également se calculer à partir des deux équations : 
•u=E- RI 
•U =Rh*I 
Bilan de puissance 
•Le bilan des puissances pr »sente toutes les puissances, depuis la puissance absorbée la puissance utile 
37
38
•Pa=T*Ω 
•Pc = Tp. Ω 
•Pem = Tem. Ω 
•Pem = E. I 
•Pj = R. I² 
•Pu = U. I 
39
•Le rendement η=Pu/Pa+Pex 
Pex=Uex*Iex 
=r*Iex 
40
Fonctionement en Moteur 
Fonctionement en charge : 
•L’induit du moteur est alimenté par une seconde source de tension continue, il entraîne une charge mécanique à la fréquence de rotation n. 
41 
Tu 
I 
Inducteur 
Uex 
U 
M 
Induit 
Iex
Fontionnement en charge (suite) 
•L'induit du moteur peut être remplacé par son modèle équivalent : 
U₌ E ₊RI 
42 
E 
Tu n 
I 
R 
Inducteur non représenté 
Induit 
U
Bilan de puissance du moteur 
•Arbre des puissance : 
Pj 
Pertes par effet Joule 
43 
Puissance utile Pu 
Pertes collectives 
Pc 
Puissance 
Absorbée 
Pa 
Puissance Électromagnétique 
Pem 
Puissance mécanique 
Puissance électrique
Essai du moteur 
Essai à vide 
Nous dirons que le moteur fonctionne à vide s’il n’entraîne aucune charge sur son arbre. 
Essai en charge 
Le moteur est maintenant chargé, c'est-à-dire que l’arbre de ce dernier entraîne une charge résistante qui s’oppose au mouvement du rotor. 
44
Point de fonctionnement 
Le point de fonctionnement se trouve sur l’intersection de caractéristique 
mécanique du moteur et de la courbe qui caractérise le moment du couple 
résistant de lacharge. 
Point de fonctionnement 
45 
TR [Nm] 
Tu [Nm] 
n [tr.min- 1] 
Tu’ 
n’ 
0
Le risque d’emballement du moteur 
• E = N.n.f n = U-RI/Nf 
•Si l’intensité du courant dans l’inducteur s’annule, le flux tend alors vers zéro. 
•La fréquence de rotation d’un moteur alimenté tend vers l’infini si le flux s’annule 
46
Étude du moteur shunt 
47
L’induit et l’inducteur sont alimentés par la même tension 
•J=u/Rh+rd et E = u –Ra* Ia 
Fonctionnement sous tension d induit constante et excitation cts 
• caractéristique de vitesse 
48
•E=u-Ra*Ia=KE n Ø alors 
•n=U/KE Ø -Ra *Ia /kE Ø 
•C’ est une droite a pente negative tres faible 
•Conclusion a tension d induit cts et excitation cts la vitesse du moteur shunt reste presque cst 
49
50
Caractéristique du couple 
•Avec u cst et j cst 
•On a TE =Km Ø *Ia 
•Alors 
51
52
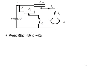
Problème de démarrage 
53
•Avec Rhd =U/Id –Ra 
54
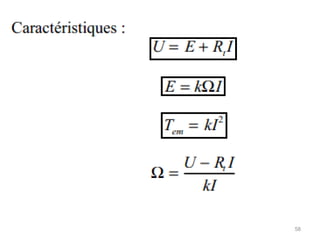
Bilan de puissance et rendement 
55
Moteur série 
56
57
58
Caractéristique 
•U=E +(Ra+Rs)Ia 
Caractéristique du vitesse 
E= k n Ia alors n =E/ k Ia =U -(Ra+Rs)Ia /KI a 
59
•Le moteur série ne doit jamais démarrer a 
vide (emballement) 
Il faut démarrer a pleine de charge 
60
BILAN DE PUISSANCE ET RENDEMENT 
61
Caractéristique du couple 
62
Caractéristique mécanique 
63
Sens de rotation 
64
Génératrices a courant continu excitation séparée 
•L'excitation de l'inducteur et l induit se fait indépendamment 
65
Machine a courant continu excitation séparée 
•Essai a vide : 
La caractéristique à vide a la même forme que la courbe de première aimantation du circuit magnétique. 
66
Machine a courant continu excitation séparée 
Influence de la vitesse de rotation : 
•cet étape consiste, à courant d'excitation nominal (constant) 
de faire varier la vitesse de rotation de la génératrice à courant continu pour voir l'évolution de la f.e.m en fonction de cette vitesse de rotation. 
67
Machine a courant continu excitation séparée 
•Fonctionnement en charge : 
•Expression de la tension de sortie 
La tensions Va aux bornes de l’induit s’écrit: 
Va=E- eb – La dIa/dt - R a I a 
68
Machine a courant continu excitation séparée 
• La réaction magnétique de l’induit entraîne une diminution de la f.é.m. en charge E: 
E = Ev – Ermi 
L’expression de la tension Va devient 
Va = E v − e RMI − R a I a = E − R a I a 
Ve = R e I e 
69
Machine a courant continu excitation séparée 
Caractéristique de sortie Va = f(Ia) 
La tension Va s’écrit : Va = Ev – eRMI – Ra Ia 
70
Machine a courant continu excitation séparée 
Caractéristique de réglage Ia = f(Ie) 
Courbe donnant Ia = f(Ie) à tension Va constante 
71
Machine a courant continu excitation séparée 
 bilan de puissance 
72
Génératrice CC : Excitation Composée 
Génératrice à excitation composée (appelée aussi génératrice compound). 
Le flux inducteur est crée à la fois par : 
Un enroulement connecté en série avec l’induit. 
Un enroulement shunt connecté en parallèle avec l’induit 
73
Machine a courant continu excitation composee 
•Modes de branchement 
 courte Derivation : 
L'enroulement Nj est shunté directement avec l'induit 
de la génératrice 
 longue derivation : 
L'enroulement Nj est shunté en série avec Ns, et 
tous les deux sont montés en parallèle avec 
l'induit de la génératrice 
74
Machine a courant continu excitation composee 
•Concernant les deux modes de branchement, on peut réaliser 
un compoundage additif ou un compoundage soustractif suivant 
le sens d'orientation du flux de l'enroulement série par rapport 
au flux de l'enroulement inducteur. 
75
Machine a courant continu excitation composee 
•le moteur ne s'emballe pas à vide (shunt). 
•Il possède un bon couple au démarrage en charge (série). 
Le moteur est susceptible de tourner à vide 
76
Freinage d’un moteur à courant continu 
•C’est l’opération qui consiste à immobiliser instantanément l’arbre du moteur en transformant l’énergie cinétique du moteur et de la charge en énergie électrique. On utilise des fois des freins mécaniques (patins…). 
•a/ freinage rhéostatique : 
•L’énergie de freinage est dissipée dans un rhéostat : l’inducteur doit rester alimenté. On coupe l’alimentation de l’induit et on le fait débiter dans le rhéostat. 
•Le moteur fonctionne alors en génératrice. 
•L’énergie cinétique du moteur est dissipée par effet joule :
Freinage d’un moteur à courant continu 
•Pour maintenir le couple de freinage suffisant, on doit diminuer progressivement la résistance du rhéostat. A la fin de la phase de freinage, il faut prévoir un procédé de blocage mécanique si un couple à l’arrêt est nécessaire. 
•b/ freinage à contre courant : 
•Ce mode de freinage est utilisé lorsqu’on exige un arrêt brutal de déplacement de la charge (engins de levage…). Il consiste à croiser les deux bornes de l’alimentation de l’induit. 
•Il faudra nécessairement introduire un capteur tachymétrique pour détecter l’annulation de vitesse et couper l’alimentation de l’induit avant que le moteur ne change de sens de rotation.
L'avantage principal des machines à courant continu réside dans leur adaptation simple aux moyens permettant de régler ou de faire varier leur vitesse, leur couple et leur sens de rotation . 
Le principal problème de ces machines vient de la liaison entre les balais, ou « charbons » et le collecteur rotatif. Ainsi que le collecteur et la complexité de sa réalisation. De plus il faut signaler que : 
plus la vitesse de rotation est élevée, plus la pression des balais doit augmenter pour rester en contact avec le collecteur donc plus le frottement est important ; aux vitesses élevées les balais doivent donc être remplacés très régulièrement ; 
le collecteur imposant des ruptures de contact provoque des arcs, qui usent rapidement le commutateur et génèrent des parasites dans le circuit d'alimentation. 
Avantages et inconvénients 
79

Mcc

  • 1.
    LE MOTEUR ACOURANT CONTINU 1 Réalisé par: EL KHOULAQUI Mohamed. ZEGOUM Lamia. MOUFID Ayoub. AMMARI Ibtissam. Encadré par : Mr A.NEDDAMI.
  • 2.
    Plan Introduction Conception  inducteur  induit  collecteur/balais Principe de fonctionnement Champ magnétique  rôle  constitution Topographie du champ magnétique  principe  répartition du flux Pôles auxiliaires de commutation RMI Force électromotrice/couple électromotrice Fonctionnement génératrice et moteur Mode excitation shunt série séparé composé 2
  • 3.
    1. Introduction Machinesélectriques Machines à courant alternatif Exemple : synchrone et asynchrone Machines à courant continu Machine à courant continu = convertisseur d’énergie Énergie électrique Énergie Mécanique Moteur générateur 3
  • 4.
    2.1. l’inducteur L’inducteurest la partie fixe de la machine, son rôle est de créer un champ magnétique fixe dans l’espace. . . . . . . Bobine Pièce polaire Entrefer Noyau polaire Culasse En fonte ou en acier, elle forme la partie extérieur de la machine Autour desquels se trouvent les bobines inductrices, ils sont en acier coulé Ou épanouissement polaire Élargit la section d’entrée du flux dans l’entrefer 4
  • 5.
  • 6.
    6 2.2.2. CollecteurLe collecteur est un ensemble de lames de cuivre isolées les unes des autres par des feuilles de mica. Ces lames sont montées sur l'arbre de la machine, mais isolées de ce dernier. 2.2.3. Balais Les balais, ou frotteurs, sont fixes et appuient sur le collecteur pour assurer la transmission de l'énergie entre la machine et le circuit extérieur. Ils sont maintenus par des porte-balais dans lesquels des ressorts viennent maintenir une pression
  • 7.
  • 8.
    3-3-3 Le principede fonctionnement a- le mode moteur: 8
  • 9.
    b- le modegénératrice: 9
  • 10.
  • 11.
  • 12.
    Ce qu’il fautabsolument retenir dans cette partie : A quoi sert un circuit magnétique ? Les éléments qui le composent Création du flux inducteur et sa répartition pour une machine à courant continu Pôles auxiliaires de commutations 12
  • 13.
    Le circuit magnétique • Le rôle du circuit magnétique est de canaliser le flux produit par les enroulements inducteurs supportés par les pôles principaux (stator), de façon à ce qu'il englobe un maximum de conducteurs de l'induit (rotor). 13
  • 14.
    Circuit magnétique •Ilest constitué par l'ensemble: Partie fixe :stator Partie tournante :rotor L’entrefer 14
  • 15.
    Les éléments ducircuit magnétique 15
  • 16.
    Les éléments ducircuit magnétique •La culasse c en acier forme la partie extérieure de la machine. •Les noyaux polaires autour desquels se trouvent les bobines inductrices .Ils sont en acier ou en tôles épaisses •Épanouissements polaires qui élargissent la section de passage du flux dans l’entrefer • L’entrefer •L’anneau d’induit formé par un empilage de disques de tôles minces isolées entre elles •La denture de l’induit, c’est la partie du fer de l’induit ou se trouvent les dents et les encoches 16
  • 17.
    Topographie du champmagnétique »Principe •Le bobinage inducteur, traversé par le courant inducteur Ie, produit le flux magnétique dans la machine. Il est constitué d’un électro-aimant qui engendre la force magnétomotrice (F.M.M.) nécessaire à la production du flux. Dans les machines bipolaires (à deux pôles), deux bobines excitatrices Sont portées par deux pièces polaires montées à l’intérieur d’une culasse. La culasse est généralement en fonte d’acier, tandis que les pièces polaires sont formées de tôles d’acier doux. 17
  • 18.
    Topographie du champmagnétique •Répartition du flux •Circuit magnétique d’un moteur bipolaire •Circuit magnétique d’un moteur tétra polaire 18
  • 19.
  • 20.
    Topographie du champmagnétique Pôles auxiliaires de commutation •Aux bornes de la spire inductive apparaît alors une f.é.m d'auto- induction, qui tend à maintenir l'ancien sens du courant et qui se manifeste par un arc électrique entre le balai et la lame du collecteur qui le quitte. •Afin de remédier à ce problème, qui conduit à une usure prématurée des balais et du collecteur, la machine est équipée de pôles auxiliaires de commutation. •Ces derniers sont montés en série avec l'induit et ont une action localisée à la zone où se produisent ces inversions brutales de courant 20
  • 21.
    Topographie du champmagnétique •Pôles auxiliaires de commutation 21
  • 22.
    4- la réactionmagnétique induit: 22
  • 23.
    23 Pôles decompensation Ils sont placés dans les épanouissements polaires et sont connectés en série avec l’induit. Ils produisent un flux inverse de la RMI. Uniquement pour les inducteurs bobinés
  • 24.
    Force électromotrice •Noussavons qu’une bobine en mouvement dans un champ magnétique voit apparaître à ses Borne une force électromotrice (f.é.m.) donnée par la loi de Faraday: Sur ce principe, la machine à courant continu est le siège d’une f.é.m. E : 24
  • 25.
  • 26.
    ° Couple électromagnétique •Soient deux conducteurs formant une spire parcourue par un courant I. Ceux-ci étant Placés dans un champ magnétique B, ils sont soumis aux forces de Laplace F1 et F2, qui forment un couple de force 26
  • 27.
    Couple électromagnétique •Expressiondu moment du couple électromagnétique 27
  • 28.
    Fonctionnement en génératrice 1.Fonctionnement à vide et à fréquence de rotation constante Le rotor de la machine est entraîné par une source extérieure à la fréquence de rotation n. Alors le courant débité est nul 28
  • 29.
  • 30.
    Modèle équivalent d’unegénératrice à vide 30
  • 31.
    On a E0=U0 Fonctionnement sur charge résistive: La génératrice est entraînée par un moteur auxiliaire, elle débite un courant d’intensité I dans un rhéostat de charge 31
  • 32.
    On remplace L'induitde la génératrice par son modèle équivalent 32
  • 33.
    La loi d’Ohmde l’induit se déduit facilement du modèle équivalent : •U=E- RI 33
  • 34.
    On a aussiU =Rh*I 34
  • 35.
    Point de fonctionnementsur charge résistive 35
  • 36.
    Graphiquement Le pointde fonctionnement du groupe Induit – Charge résistive est l’intersection des deux courbes 36
  • 37.
    Le point defonctionnement peut également se calculer à partir des deux équations : •u=E- RI •U =Rh*I Bilan de puissance •Le bilan des puissances pr »sente toutes les puissances, depuis la puissance absorbée la puissance utile 37
  • 38.
  • 39.
    •Pa=T*Ω •Pc =Tp. Ω •Pem = Tem. Ω •Pem = E. I •Pj = R. I² •Pu = U. I 39
  • 40.
    •Le rendement η=Pu/Pa+Pex Pex=Uex*Iex =r*Iex 40
  • 41.
    Fonctionement en Moteur Fonctionement en charge : •L’induit du moteur est alimenté par une seconde source de tension continue, il entraîne une charge mécanique à la fréquence de rotation n. 41 Tu I Inducteur Uex U M Induit Iex
  • 42.
    Fontionnement en charge(suite) •L'induit du moteur peut être remplacé par son modèle équivalent : U₌ E ₊RI 42 E Tu n I R Inducteur non représenté Induit U
  • 43.
    Bilan de puissancedu moteur •Arbre des puissance : Pj Pertes par effet Joule 43 Puissance utile Pu Pertes collectives Pc Puissance Absorbée Pa Puissance Électromagnétique Pem Puissance mécanique Puissance électrique
  • 44.
    Essai du moteur Essai à vide Nous dirons que le moteur fonctionne à vide s’il n’entraîne aucune charge sur son arbre. Essai en charge Le moteur est maintenant chargé, c'est-à-dire que l’arbre de ce dernier entraîne une charge résistante qui s’oppose au mouvement du rotor. 44
  • 45.
    Point de fonctionnement Le point de fonctionnement se trouve sur l’intersection de caractéristique mécanique du moteur et de la courbe qui caractérise le moment du couple résistant de lacharge. Point de fonctionnement 45 TR [Nm] Tu [Nm] n [tr.min- 1] Tu’ n’ 0
  • 46.
    Le risque d’emballementdu moteur • E = N.n.f n = U-RI/Nf •Si l’intensité du courant dans l’inducteur s’annule, le flux tend alors vers zéro. •La fréquence de rotation d’un moteur alimenté tend vers l’infini si le flux s’annule 46
  • 47.
  • 48.
    L’induit et l’inducteursont alimentés par la même tension •J=u/Rh+rd et E = u –Ra* Ia Fonctionnement sous tension d induit constante et excitation cts • caractéristique de vitesse 48
  • 49.
    •E=u-Ra*Ia=KE n Øalors •n=U/KE Ø -Ra *Ia /kE Ø •C’ est une droite a pente negative tres faible •Conclusion a tension d induit cts et excitation cts la vitesse du moteur shunt reste presque cst 49
  • 50.
  • 51.
    Caractéristique du couple •Avec u cst et j cst •On a TE =Km Ø *Ia •Alors 51
  • 52.
  • 53.
  • 54.
  • 55.
    Bilan de puissanceet rendement 55
  • 56.
  • 57.
  • 58.
  • 59.
    Caractéristique •U=E +(Ra+Rs)Ia Caractéristique du vitesse E= k n Ia alors n =E/ k Ia =U -(Ra+Rs)Ia /KI a 59
  • 60.
    •Le moteur sériene doit jamais démarrer a vide (emballement) Il faut démarrer a pleine de charge 60
  • 61.
    BILAN DE PUISSANCEET RENDEMENT 61
  • 62.
  • 63.
  • 64.
  • 65.
    Génératrices a courantcontinu excitation séparée •L'excitation de l'inducteur et l induit se fait indépendamment 65
  • 66.
    Machine a courantcontinu excitation séparée •Essai a vide : La caractéristique à vide a la même forme que la courbe de première aimantation du circuit magnétique. 66
  • 67.
    Machine a courantcontinu excitation séparée Influence de la vitesse de rotation : •cet étape consiste, à courant d'excitation nominal (constant) de faire varier la vitesse de rotation de la génératrice à courant continu pour voir l'évolution de la f.e.m en fonction de cette vitesse de rotation. 67
  • 68.
    Machine a courantcontinu excitation séparée •Fonctionnement en charge : •Expression de la tension de sortie La tensions Va aux bornes de l’induit s’écrit: Va=E- eb – La dIa/dt - R a I a 68
  • 69.
    Machine a courantcontinu excitation séparée • La réaction magnétique de l’induit entraîne une diminution de la f.é.m. en charge E: E = Ev – Ermi L’expression de la tension Va devient Va = E v − e RMI − R a I a = E − R a I a Ve = R e I e 69
  • 70.
    Machine a courantcontinu excitation séparée Caractéristique de sortie Va = f(Ia) La tension Va s’écrit : Va = Ev – eRMI – Ra Ia 70
  • 71.
    Machine a courantcontinu excitation séparée Caractéristique de réglage Ia = f(Ie) Courbe donnant Ia = f(Ie) à tension Va constante 71
  • 72.
    Machine a courantcontinu excitation séparée  bilan de puissance 72
  • 73.
    Génératrice CC :Excitation Composée Génératrice à excitation composée (appelée aussi génératrice compound). Le flux inducteur est crée à la fois par : Un enroulement connecté en série avec l’induit. Un enroulement shunt connecté en parallèle avec l’induit 73
  • 74.
    Machine a courantcontinu excitation composee •Modes de branchement  courte Derivation : L'enroulement Nj est shunté directement avec l'induit de la génératrice  longue derivation : L'enroulement Nj est shunté en série avec Ns, et tous les deux sont montés en parallèle avec l'induit de la génératrice 74
  • 75.
    Machine a courantcontinu excitation composee •Concernant les deux modes de branchement, on peut réaliser un compoundage additif ou un compoundage soustractif suivant le sens d'orientation du flux de l'enroulement série par rapport au flux de l'enroulement inducteur. 75
  • 76.
    Machine a courantcontinu excitation composee •le moteur ne s'emballe pas à vide (shunt). •Il possède un bon couple au démarrage en charge (série). Le moteur est susceptible de tourner à vide 76
  • 77.
    Freinage d’un moteurà courant continu •C’est l’opération qui consiste à immobiliser instantanément l’arbre du moteur en transformant l’énergie cinétique du moteur et de la charge en énergie électrique. On utilise des fois des freins mécaniques (patins…). •a/ freinage rhéostatique : •L’énergie de freinage est dissipée dans un rhéostat : l’inducteur doit rester alimenté. On coupe l’alimentation de l’induit et on le fait débiter dans le rhéostat. •Le moteur fonctionne alors en génératrice. •L’énergie cinétique du moteur est dissipée par effet joule :
  • 78.
    Freinage d’un moteurà courant continu •Pour maintenir le couple de freinage suffisant, on doit diminuer progressivement la résistance du rhéostat. A la fin de la phase de freinage, il faut prévoir un procédé de blocage mécanique si un couple à l’arrêt est nécessaire. •b/ freinage à contre courant : •Ce mode de freinage est utilisé lorsqu’on exige un arrêt brutal de déplacement de la charge (engins de levage…). Il consiste à croiser les deux bornes de l’alimentation de l’induit. •Il faudra nécessairement introduire un capteur tachymétrique pour détecter l’annulation de vitesse et couper l’alimentation de l’induit avant que le moteur ne change de sens de rotation.
  • 79.
    L'avantage principal desmachines à courant continu réside dans leur adaptation simple aux moyens permettant de régler ou de faire varier leur vitesse, leur couple et leur sens de rotation . Le principal problème de ces machines vient de la liaison entre les balais, ou « charbons » et le collecteur rotatif. Ainsi que le collecteur et la complexité de sa réalisation. De plus il faut signaler que : plus la vitesse de rotation est élevée, plus la pression des balais doit augmenter pour rester en contact avec le collecteur donc plus le frottement est important ; aux vitesses élevées les balais doivent donc être remplacés très régulièrement ; le collecteur imposant des ruptures de contact provoque des arcs, qui usent rapidement le commutateur et génèrent des parasites dans le circuit d'alimentation. Avantages et inconvénients 79