1
Ergonomie, santé et travail36
La santé est communément définie par ce qu'elle n'est pas: pathologie, déficience,
restriction de vie sociale or la santé ne se résume pas à la non maladie, car il y a aussi peur,
agacement, inconfort, ennui, fatigue et les "infra pathologies" diverses qui méritent d'être
considérés comme des atteintes à la santé.
I - La santé au travail
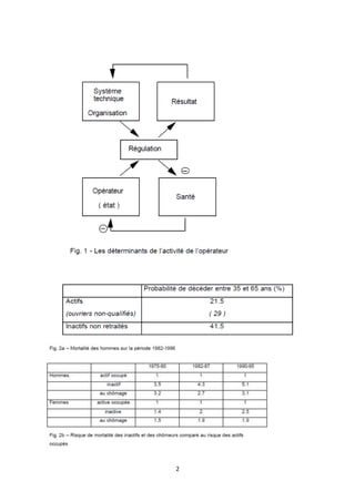
La santé est le résultat d'une adaptation dynamique entre l'homme et son
environnement (il y a un rôle actif de l'opérateur dans la préservation-construction) de sa
santé). Il y a mise en jeu de la santé au cours des régulations qui s’établissent au cours de
l’exécution des tâches (fig.1). Si cet équilibre n'est pas réussi, alors apparaissent des maladies
liées au travail, qui reflètent une inadéquation entre les individus, le milieu et le travail, c'est
un signal d'alarme. Un second signal d’alarme consiste en l’apparition d’effets sur la
production (qualité, quantité). Absentéisme, départs, conflits peuvent également survenir.
Le travail est cependant un encrage de la santé. Statistiquement, ne pas travailler
expose davantage à des accidents de santé, voire à la mort (fig. 2a, b). Attention, la catégorie
des inactifs est riche en cas de longues maladies, potentiellement mortelles.
L'existence de mauvaises conditions de travail n'est pas toujours évidente, au contraire
d’un mauvais éclairage ou de l'exposition au bruit. Par ailleurs, l’opérateur prend sur soi (par
manque de moyens de travail) pour respecter les objectifs, avec des conséquences sur la santé
36
Cnam Paris - Ergonomie B0 – Support provisoire de cours - 2004-2005 ; Ergonomie, Santé et travail ; p.1-14 ;
jedezel.free.fr/travail/.../Condition%20de%20travail/ergo_et_santé.pdf
2
3
II – L’ergonome et la santé
L’ergonome n’est pas un intervenant immédiatement identifié comme un acteur de la
santé, comme peut l’être le médecin du travail ; cependant, par l’analyse qu’il effectue du
poste ou de la situation de travail, et les modifications qui s’ensuivent, il a un rôle favorable
sur la santé des opérateurs.
En matière de santé au travail, le point de vue de l’ergonome, comme celui de chaque
catégorie d’acteurs concernés, ne peut être qu'une contribution à l'analyse globale de la
relation santé travail.
Si pratiquer l’ergonomie contribue à la préservation ou à l’amélioration de la santé,
l’analyse ergonomique du travail n’en fournit habituellement pas immédiatement les preuves
évidentes, d’une part car les améliorations apportent souvent des effets à long terme, d’autre
part parce que les méthodes employées ne suffisent pas forcément à la démonstration (effectif,
méthodes). L’ergonome doit alors être associé au médecin ou à d’autres catégories d’acteurs
de la santé (fig 3).
4
III - Relations Travail-Santé
Il y a souvent discordance entre la représentation de l'homme que peuvent avoir les
concepteurs et les organisateurs (vision un peu mécaniste, idée de fonctionnement stable du
système technique et de l'opérateur) et la réalité du travail et de la population au travail, d'où
un impact sur les opérateurs et leur santé.
Il existe des relations multiples et complexes entre le travail et la santé (fig. 4) :
- Effet direct du travail sur la santé des opérateurs (A), mais les problèmes de santé
peuvent modifier la façon de travailler. La modification du travail pourra alors avoir des
conséquences dans l'atteinte d'autres parties du corps (B).
- Les mêmes causes peuvent avoir des effets (gêne ou altérations) différents [C].
- Des causes différentes peuvent entraîner des effets convergents sur un même organe
cible ou des effets sur un même système (D).
Il y a donc combinaison de causes et multiplicité d'effets
Effet supplémentaire de l'environnement physique du poste sur les effets du poste lui-
même, par les manifestations perceptibles ou non de l’environnement.
Les effets du travail sur la santé sont variables (connus ou non, stables ou non,
immédiats ou retardés, précis ou diffus, reconnus ou non).
Il y a :
5
- inégalité de résistance entre les personnes, du fait de différences génétiques, des
différences
de mode de vie et d'association différentes de facteurs, d'histoire professionnelle
(passée ou actuelle) différente
- variabilité de la vitesse d'établissement des effets sur la santé
- effets de sélection (fragiles partis) Il est donc important de s'intéresser à ceux qui ont
quitté l'emploi: pourquoi ? , état de santé maintenant ? , etc (fig. 5).
Fig. 5 – Les survivants (en %) entre 55 et 70 ans selon le métier dans une imprimerie
de presse, d’après Teiger et coll., 1982.
Les effets du travail sur la santé peuvent également être différents selon :
- L'heure (rythmes biologiques). Exemple : L’effet de l’exposition à un produit irritant
ou dangereux peut donc se révéler différent selon la position de la ou des durées d’exposition
6
dans le cycle. Ainsi, des ouvriers exposés aux iso cyanates (composant de vernis, laques)
souffrent de dyspnée (difficulté à respirer, essoufflement) la nuit et non pendant le travail de
jour. Le phénomène peut se répéter plusieurs nuits de suite pour une seule exposition diurne.
- selon l’organisation du travail (fig. 6a et b), selon l’explication proposée par le
modèle de Karasek
Il y a donc un équilibre fragile entre santé et non-santé au travail, une faible
modification de la marge de manœuvre laissée au salarié suffit à déclencher des phénomènes
pathologiques.
A ce titre, le travail est une combinaison de facteurs d'usure.
En conclusion :
Utiliser l'analyse du travail pour identifier l'origine des atteintes possibles à la santé
Modifier (ou concevoir) le travail pour protéger la santé et la sécurité (adéquation des
postes aux capacités réelles des opérateurs)
La préservation de la santé comme aboutissement de l'intervention ergonomique (agir
sur le travail, c'est agir sur la santé).
IV- - Recueillir des informations concernant la santé et les opérateurs
Différents acteurs de l’entreprises sont concernés, à des degrés divers, par les
conditions de travail et la santé (fig. 7) et détiennent des informations utilisables.
7
4.1 - Quelles informations
Nombre d'employés, âge, sexe, CDD ou CDI, ancienneté, politique d’embauche,
préretraite, départs, absentéisme (fig. 8),
Les acteurs de la santé dans l’entreprise
D’après Le travail en France, santé et sécurité. Liaisons sociales 1997
4.2 - Le qualitatif récupéré en discutant avec les opérateurs
Souvent pas de "mesure" (fatigue auditive), c'est par entretien que l'on apprend des
choses mais attention, il n’est pas question de répercuter en l’état les propos des salariés à
l’entreprise ou au médecin du travail.
- petites (infra-) pathologies (maux de tête, insomnie)
- mal être : gêne, peur, agacement, fatigue
- non développement des capacités (si on ne peut pas le faire pendant le travail, il y a
une forme d'atteinte à la santé),
- décalage vis à vis de la vie sociale (je ne lis plus, je ne regarde plus la télé, je ne sors
plus...)
ex: travail sous forte pression temporelle
- consommation de médicaments psycho actifs (somnifères,tranquillisants,
remontants).
8
V - Où se procurer des informations dans l’entreprise :
5.1 - La population au travail
Bilan social (>300 salariés): structure d'âge, de sexe, formation.
Registres du personnel (éventuellement documents par atelier) : affectation
5.2 - La santé
Cahier et rapports du CHSCT (>50 salariés)
Rapport médecin du travail
Registre d'infirmerie
Problème : l’entreprise souhaite ne pas avoir d'accident ou de pathologie déclarés,
conflit entre la survenue de l’accident et l'objectif du service ou de l'atelier (voir zéro accident
..., non ou sous déclaration, etc...).
5.3 - Remarques
Attention à l’utilisation des entretiens avec les opérateurs (attention à garder anonymes
ou secrètes leurs paroles) et les différents interlocuteurs : il faut administrer la preuve.
Eviter les comparaisons sur de trop petites populations, éviter les pourcentages.
VI - Les enquêtes Conditions de travail et santé
Remarque:
- différence entre enquête effectuée par un anonyme et la connaissance qu’a le
Médecin du Travail de l’état de santé et du travail de l’opérateur,
6.1 - Statistiques technologiques des accidents du travail et des maladies
professionnelles
- Organisme: CNAM des TS
- Mode d’enquête: déclarations des entreprises
- Objet de l’enquête: accidents du travail et maladies professionnelles.

Thème09

  • 1.
    1 Ergonomie, santé ettravail36 La santé est communément définie par ce qu'elle n'est pas: pathologie, déficience, restriction de vie sociale or la santé ne se résume pas à la non maladie, car il y a aussi peur, agacement, inconfort, ennui, fatigue et les "infra pathologies" diverses qui méritent d'être considérés comme des atteintes à la santé. I - La santé au travail La santé est le résultat d'une adaptation dynamique entre l'homme et son environnement (il y a un rôle actif de l'opérateur dans la préservation-construction) de sa santé). Il y a mise en jeu de la santé au cours des régulations qui s’établissent au cours de l’exécution des tâches (fig.1). Si cet équilibre n'est pas réussi, alors apparaissent des maladies liées au travail, qui reflètent une inadéquation entre les individus, le milieu et le travail, c'est un signal d'alarme. Un second signal d’alarme consiste en l’apparition d’effets sur la production (qualité, quantité). Absentéisme, départs, conflits peuvent également survenir. Le travail est cependant un encrage de la santé. Statistiquement, ne pas travailler expose davantage à des accidents de santé, voire à la mort (fig. 2a, b). Attention, la catégorie des inactifs est riche en cas de longues maladies, potentiellement mortelles. L'existence de mauvaises conditions de travail n'est pas toujours évidente, au contraire d’un mauvais éclairage ou de l'exposition au bruit. Par ailleurs, l’opérateur prend sur soi (par manque de moyens de travail) pour respecter les objectifs, avec des conséquences sur la santé 36 Cnam Paris - Ergonomie B0 – Support provisoire de cours - 2004-2005 ; Ergonomie, Santé et travail ; p.1-14 ; jedezel.free.fr/travail/.../Condition%20de%20travail/ergo_et_santé.pdf
  • 2.
  • 3.
    3 II – L’ergonomeet la santé L’ergonome n’est pas un intervenant immédiatement identifié comme un acteur de la santé, comme peut l’être le médecin du travail ; cependant, par l’analyse qu’il effectue du poste ou de la situation de travail, et les modifications qui s’ensuivent, il a un rôle favorable sur la santé des opérateurs. En matière de santé au travail, le point de vue de l’ergonome, comme celui de chaque catégorie d’acteurs concernés, ne peut être qu'une contribution à l'analyse globale de la relation santé travail. Si pratiquer l’ergonomie contribue à la préservation ou à l’amélioration de la santé, l’analyse ergonomique du travail n’en fournit habituellement pas immédiatement les preuves évidentes, d’une part car les améliorations apportent souvent des effets à long terme, d’autre part parce que les méthodes employées ne suffisent pas forcément à la démonstration (effectif, méthodes). L’ergonome doit alors être associé au médecin ou à d’autres catégories d’acteurs de la santé (fig 3).
  • 4.
    4 III - RelationsTravail-Santé Il y a souvent discordance entre la représentation de l'homme que peuvent avoir les concepteurs et les organisateurs (vision un peu mécaniste, idée de fonctionnement stable du système technique et de l'opérateur) et la réalité du travail et de la population au travail, d'où un impact sur les opérateurs et leur santé. Il existe des relations multiples et complexes entre le travail et la santé (fig. 4) : - Effet direct du travail sur la santé des opérateurs (A), mais les problèmes de santé peuvent modifier la façon de travailler. La modification du travail pourra alors avoir des conséquences dans l'atteinte d'autres parties du corps (B). - Les mêmes causes peuvent avoir des effets (gêne ou altérations) différents [C]. - Des causes différentes peuvent entraîner des effets convergents sur un même organe cible ou des effets sur un même système (D). Il y a donc combinaison de causes et multiplicité d'effets Effet supplémentaire de l'environnement physique du poste sur les effets du poste lui- même, par les manifestations perceptibles ou non de l’environnement. Les effets du travail sur la santé sont variables (connus ou non, stables ou non, immédiats ou retardés, précis ou diffus, reconnus ou non). Il y a :
  • 5.
    5 - inégalité derésistance entre les personnes, du fait de différences génétiques, des différences de mode de vie et d'association différentes de facteurs, d'histoire professionnelle (passée ou actuelle) différente - variabilité de la vitesse d'établissement des effets sur la santé - effets de sélection (fragiles partis) Il est donc important de s'intéresser à ceux qui ont quitté l'emploi: pourquoi ? , état de santé maintenant ? , etc (fig. 5). Fig. 5 – Les survivants (en %) entre 55 et 70 ans selon le métier dans une imprimerie de presse, d’après Teiger et coll., 1982. Les effets du travail sur la santé peuvent également être différents selon : - L'heure (rythmes biologiques). Exemple : L’effet de l’exposition à un produit irritant ou dangereux peut donc se révéler différent selon la position de la ou des durées d’exposition
  • 6.
    6 dans le cycle.Ainsi, des ouvriers exposés aux iso cyanates (composant de vernis, laques) souffrent de dyspnée (difficulté à respirer, essoufflement) la nuit et non pendant le travail de jour. Le phénomène peut se répéter plusieurs nuits de suite pour une seule exposition diurne. - selon l’organisation du travail (fig. 6a et b), selon l’explication proposée par le modèle de Karasek Il y a donc un équilibre fragile entre santé et non-santé au travail, une faible modification de la marge de manœuvre laissée au salarié suffit à déclencher des phénomènes pathologiques. A ce titre, le travail est une combinaison de facteurs d'usure. En conclusion : Utiliser l'analyse du travail pour identifier l'origine des atteintes possibles à la santé Modifier (ou concevoir) le travail pour protéger la santé et la sécurité (adéquation des postes aux capacités réelles des opérateurs) La préservation de la santé comme aboutissement de l'intervention ergonomique (agir sur le travail, c'est agir sur la santé). IV- - Recueillir des informations concernant la santé et les opérateurs Différents acteurs de l’entreprises sont concernés, à des degrés divers, par les conditions de travail et la santé (fig. 7) et détiennent des informations utilisables.
  • 7.
    7 4.1 - Quellesinformations Nombre d'employés, âge, sexe, CDD ou CDI, ancienneté, politique d’embauche, préretraite, départs, absentéisme (fig. 8), Les acteurs de la santé dans l’entreprise D’après Le travail en France, santé et sécurité. Liaisons sociales 1997 4.2 - Le qualitatif récupéré en discutant avec les opérateurs Souvent pas de "mesure" (fatigue auditive), c'est par entretien que l'on apprend des choses mais attention, il n’est pas question de répercuter en l’état les propos des salariés à l’entreprise ou au médecin du travail. - petites (infra-) pathologies (maux de tête, insomnie) - mal être : gêne, peur, agacement, fatigue - non développement des capacités (si on ne peut pas le faire pendant le travail, il y a une forme d'atteinte à la santé), - décalage vis à vis de la vie sociale (je ne lis plus, je ne regarde plus la télé, je ne sors plus...) ex: travail sous forte pression temporelle - consommation de médicaments psycho actifs (somnifères,tranquillisants, remontants).
  • 8.
    8 V - Oùse procurer des informations dans l’entreprise : 5.1 - La population au travail Bilan social (>300 salariés): structure d'âge, de sexe, formation. Registres du personnel (éventuellement documents par atelier) : affectation 5.2 - La santé Cahier et rapports du CHSCT (>50 salariés) Rapport médecin du travail Registre d'infirmerie Problème : l’entreprise souhaite ne pas avoir d'accident ou de pathologie déclarés, conflit entre la survenue de l’accident et l'objectif du service ou de l'atelier (voir zéro accident ..., non ou sous déclaration, etc...). 5.3 - Remarques Attention à l’utilisation des entretiens avec les opérateurs (attention à garder anonymes ou secrètes leurs paroles) et les différents interlocuteurs : il faut administrer la preuve. Eviter les comparaisons sur de trop petites populations, éviter les pourcentages. VI - Les enquêtes Conditions de travail et santé Remarque: - différence entre enquête effectuée par un anonyme et la connaissance qu’a le Médecin du Travail de l’état de santé et du travail de l’opérateur, 6.1 - Statistiques technologiques des accidents du travail et des maladies professionnelles - Organisme: CNAM des TS - Mode d’enquête: déclarations des entreprises - Objet de l’enquête: accidents du travail et maladies professionnelles.