REPUBLIQUE TUNISIENNE
MINISTERE DE L’ENSEIGNEMENT SUPERIEUR ET DE LA RECHERCHE SCIENTIFIQUE
*-*-*-*-*-*-*-*
DIRECTION	GENERALE	DES	ETUDES	TECHNOLOGIQUES	
INSTITUT	SUPERIEUR	DES	ETUDES	TECHNOLOGIQUES	DE	KSAR	HELLAL	
*-*-*-*-*-*-*-*
MEMOIRE DE PROJET DE FIN D’ETUDES
Présenté en vue de l’obtention du diplôme de Licence Appliquée en :
GENIE TEXTILE
Spécialité : Industrie textile
Par
Mayssem HACHANA & Donya CHETOUI
Thème :
Valorisation des fibres de polyester
recyclées
Effectué à l’entreprise : « LINDA OUATE »
Encadré par:
Mr Mounir JAOUADI ISET KH
Mlle Yosr BEN MLIK ENIM
Mdm Ibtissem SOUISSI STE « LINDA OUATE »
Année Universitaire : 2018/2019
Dédicaces
Je dédie ce travail à :
Monpère,
qui peut être fier et trouver ici le résultat de longues années de sacrifices
et de privations pour m'aider à avancer dans la vie. Puisse Dieu faire
en sorte que ce travail porte son fruit ; Merci pour les valeurs nobles,
l'éducation et le soutient permanent venu de toi.
Ma mère,
qui a oeuvré pour ma réussite, de par son amour, son soutien, pour toute
son assistance et sa présence dans ma vie, reçois à travers
ce travail aussi modeste soit-il, l'expression de mes sentiments et de mon
éternelle gratitude.
A mes sœurs : « Lamisse » et « Ines »
En témoignage de l’attachement, de l’amour et de
L’affection que je porte pour vous. Je vous souhaite un avenir plein de
joie, de bonheur, de réussite et de sérénité.
Je vous dédie ce travail avec tous mes vœux de bonheur, santé et de
réussite.
A ma chère amie et binôme « Donya »
Au nom de l’amitié qui nous réunit et tous les souvenirs inoubliables , et
pour tous les émotions que nous avons partagés lors de la réalisation de
ce travail .
Mayssem
Dédicaces
À mes chers parents
Pour tous leurs sacrifices, leur amour, leur tendresse, leur soutien et
leurs prières tout au long de mes études,
À ma chère tante et cher oncle
Nessrin et Hassene pour leurs soutiens moral et leurs conseils précieux
tout au long de mes études
Ma grand-mère chérie
Qui m’a accompagné par ses prières, sa douceur, puisse Dieu lui prêter
longue vie et beaucoup de santé et de bonheur.
À Mes très chers frères
Fares et Badiea pour leur appui et leur encouragement,
À MES CHERS PETITES SŒURS
Linda et Nayssen Aucune dédicace ne saurait exprimer tout l’amour
que j’ai pour vous, Votre joie et votre gaieté me comblent de bonheur.
Puisse Dieu vous garder, éclairer votre route et vous aider à réaliser
À votre tour vos vœux les plus chers.
À mon amie et binôme de ce projet,
Mayssem pour son soutien moral, sa patience et sa compréhension tout
au long de ce projet
À Tous ceux qui m’ont aidé par un des conseils, qui m’ont assisté et
m’ont encouragé.
DONYA
Remerciements
On remercie dieu le tout puissant de nous avoir donné la santé et la volonté d’entamer
et de terminer ce mémoire.
Tout d’abord, ce travail ne serait pas aussi riche et n’aurait pas pu avoir le jour sans
l’aide et l’encadrement de Mr Mounir JAOUADI, on le remercie pour la qualité de
son encadrement exceptionnel, pour sa patience, sa rigueur et sa disponibilité Durant
notre préparation de ce projet.
Nos remerciements s’adressent à Madame Yosr BEN MIIK pour son aide pratique et
théorique et ses encouragements.
Nos remerciements s’adressent également à tous nos professeurs pour leurs
générosités et la grande patience dont ils ont su faire preuve.
Nos profonds remerciements vont également à toutes les personnes qui nous ont aidé
et soutenue de prés ou de loin.
Sommaire
Introduction	générale	.....................................................................................................	1	
Chapitre	I:	Étude	bibliographique	...............................................................................	4	
I-	 Introduction	..........................................................................................................................	3	
II-	 Les	non-tissés	......................................................................................................................	3	
1-	 Définition	...........................................................................................................................................	3	
2-	 Processus	de	fabrications	...........................................................................................................	3	
3-	 Applications	......................................................................................................................................	9	
III-	 FIBRE		DE	POLYESTER	.................................................................................................	12	
1-	 Introduction	..................................................................................................................................	12	
2-	 Le	processus	de	recyclage	.......................................................................................................	13	
3-	 Propriétés	physiques	.................................................................................................................	15	
4-	 Propriétés	chimiques	:	..............................................................................................................	15	
5-	 Utilisations	.....................................................................................................................................	16	
IV-	 Conclusion	.......................................................................................................................	16	
Chapitre	II	:	Présentation	de	l’entreprise	...............................................................	17	
I-	 Introduction	.......................................................................................................................	17	
II-	 Identification	de	l’entreprise	.....................................................................................	17	
III-	 Organigramme	...............................................................................................................	17	
IV-	 Présentation	des	différents	ateliers	de	la	société	LINDA	OUATE	.................	18	
1-	 Magasin	matière	première	......................................................................................................	18	
2-	 Atelier	de	fabrication	.................................................................................................................	18	
V-	 Les	différents	produits	de	LINDA	OUATE	...............................................................	26	
1-	 OUATE	..............................................................................................................................................	26	
2-	 Linge	maison	.................................................................................................................................	27	
VI-	 Conclusion	.......................................................................................................................	27	
Chapitre	III:	Fabrication	et	caractérisation	des	structures	en	non-tissé	.....	28	
I-	 Introduction	.......................................................................................................................	28	
II-	 Plan	d’expérience	:	.........................................................................................................	28	
1-	 Définition	d’un	plan	d’expériences	:	...................................................................................	28	
2-	 Cas	pratique	:	................................................................................................................................	29	
III-	 Fabrication	de	non	tissé	..............................................................................................	32
1-	 Matériel	...........................................................................................................................................	32	
2-	 Fabrication	.....................................................................................................................................	34	
IV-	 Caractéristiques	des	nappes	fabriquées	...............................................................	35	
1-	 Détermination	de	l’épaisseur	.................................................................................................	36	
2-	 Détermination	de	la	masse	surfacique	..............................................................................	40	
3-	 Détermination	de	la	conductivité	thermique	..................................................................	45	
4-	 Détermination	de	la	perméabilité	à	l’air	...........................................................................	51	
5-	 Détermination	de	la	Résistance	à	la	traction	..................................................................	56	
6-	 Détermination	de	la	Résistance	au	déchirement	..........................................................	66	
V-	 Conclusion	.........................................................................................................................	71	
Chapitre	VI	:	Optimisation	des	résultats	.................................................................	72	
I-	 Introduction	:	.....................................................................................................................	72	
II-	 Optimisation	de	la	fabrication	des	non	tissés	.......................................................	72	
1-	 Optimisation	pour	l’isolation	thermique	..........................................................................	72	
2-	 Application	2	:	Filtration	..........................................................................................................	76	
3-	 Autres	applications	:	..................................................................................................................	78	
III-	 Conclusion	.......................................................................................................................	80	
Conclusion	générale	et	perspectives	........................................................................	81	
Références	bibliographiques	:	....................................................................................	82	
Annexes	.................................................................................................................................	I
Liste	des	figures	
Figure 1: La formation de voile de non-tissé.................................................................4	
Figure 2: La création du voile par cardage....................................................................5	
Figure 3: La création du voile par voie aérodynamique................................................5	
Figure 4: La création du voile par voie humide ............................................................6	
Figure 5: La création du voile par voie fondue .............................................................6	
Figure 6: La consolidation de la voile ...........................................................................7	
Figure 7 : Procédés d'aiguilletage..................................................................................8	
Figure 8: Le calandrage.................................................................................................9	
Figure 9: Le processus de recyclage [3]......................................................................14	
Figure 10: Organigramme de l'entreprise....................................................................18	
Figure 11 : Processus de travail de l'entreprise ...........................................................19	
Figure 12: Ouvre balle.................................................................................................20	
Figure 13: Pré-ouvreuse ..............................................................................................21	
Figure 14: Ouvreuse principale ...................................................................................21	
Figure 15: Chargeuse vibrante.....................................................................................22	
Figure 16: La carde......................................................................................................22	
Figure 17: Étaleur nappeur ..........................................................................................23	
Figure 18: Four de type « YYHG-320*1200 SINGLE LAYER OVEN »..................24	
Figure 19: Zone de refroidissement.............................................................................24	
Figure 20: Repassage...................................................................................................25	
Figure 21: Enrouleur et coupe .....................................................................................25	
Figure 22: Machine de recyclage des déchets de type « YYBK-100 RECYCLING
MACHINE » ...............................................................................................................26	
Figure 23: Ouate de rembourrage (non tissé)..............................................................27	
Figure 24: Stratégie de plan d’expérience...................................................................28	
Figure 25 : Processus de fabrication des nappes .........................................................32	
Figure 26 : Carde de type « 337 A CARDING MACHINE »....................................33	
Figure 27 : Aiguilleteuse type « TECTEX »...............................................................34	
Figure 28 : Diagramme de fusion des fibres thermo-liants .........................................35	
Figure 29 : Appareil de mesure d'épaisseur "SODEMAT".........................................36	
Figure 30: Graphique des effets principaux pour épaisseur ........................................38	
Figure 31: Diagramme des moyennes des épaisseurs en fonction de % de fibre 1.....38
Figure 32: Diagramme d'épaisseur en fonction de nombre de couches ......................39	
Figure 33: Diagramme d'épaisseur en fonction de thermo-liage.................................39	
Figure 34: Diagramme d'épaisseur en fonction de densité d'aiguilletage....................40	
Figure 35 : Découpoir..................................................................................................41	
Figure 36: Balance numérique....................................................................................41	
Figure 37: Graphique des effets principaux pour masse surfacique............................42	
Figure 38: Diagramme de la masse surfacique en fonction de % fibre 1....................43	
Figure 39: Diagramme de masse surfacique en g/m2 en fonction de nombre de
couches ........................................................................................................................44	
Figure 40: Diagramme de masse surfacique en fonction de thermo-liage ..................44	
Figure 41: Diagramme de masse surfacique en fonction de densité d'aiguilletage.....45	
Figure 42:Conductivimetre fil chaud "FP2C" ............................................................46	
Figure 43 : Graphique des effets principaux pour conductivité thermique.................48	
Figure 44: La conductivité thermique en fonction de % fibre 1..................................49	
Figure 45: Diagramme de conductivité thermique en fonction de nombre de couches
.....................................................................................................................................50	
Figure 46: Diagramme de conductivité thermique en fonction de thermo-liage.........50	
Figure 47: Diagramme de conductivité thermique en fonction de densité d'aiguilletage
.....................................................................................................................................51	
Figure 48 : Perméabilité à l'air: FX 3300 III ..............................................................52	
Figure 49: Graphique des effets principaux pour perméabilité a l’air.........................53	
Figure 50: Diagramme de perméabilité a l’air en fonction de % fibre 1.....................54	
Figure 51: Diagramme de perméabilité à l'air en fonction de nombre de couches .....54	
Figure 52: Diagramme de perméabilité à l'air en fonction de thermo-liage................55	
Figure 53 : Diagramme de perméabilité à l'air en fonction de densité d'aiguilletage..55	
Figure 54: Dynamomètre"LLOYD "...........................................................................56	
Figure 55: Graphique des effets principaux pour Force maximal ST .........................59	
Figure 56: Graphique des effets principaux pour Force max SM ...............................60	
Figure 57: Diagramme de la force maximal en fonction de % fibre 1.......................60	
Figure 58: Diagramme de la force maximal en fonction de nombre de couches.......61	
Figure 59: Diagramme de la force max en fonction de thermo-liage.........................62	
Figure 60: Diagramme de la force max en fonction de densité d'aiguilletage ...........62	
Figure 61 : Graphique des effets principaux pour % allongement maximal SM .......63	
Figure 62: Graphique des effets principaux pour % allongement maximal ST ..........63
Figure 63: Diagramme de % allongement maximal en fonction de % fibre 1............64	
Figure 64: Diagramme % allongement maximale en fonction de nombre de couches65	
Figure 65: Diagramme de % allongement maximal en fonction de thermo-liage.......65	
Figure 66: Diagramme d'allongement maximal en fonction de densité d'aiguilletage 66	
Figure 67: Déchiromètre" FX 3750 ELMENDOF" ....................................................66	
Figure 68: Graphique des effets principaux pour déchiromètre SM ...........................68	
Figure 69: Graphique des effets principaux pourrésistance au déchirement ST.........68	
Figure 70: Diagramme de la résistance au déchirement en fonction de % fibre 1......69	
Figure 71: Diagramme de la résistance au déchirement en fonction de nombre de
couches ........................................................................................................................69	
Figure 72: Diagramme de la résistance au déchirement en fonction de thermo-liage70	
Figure 73: Diagramme de la résistance au déchirement SM en fonction de densité
d'aiguilletage................................................................................................................70	
Figure 74 : Graphique de contour superposé de conductivité thermique et épaisseur
pour les échantillons non thermolié avec deux couches..............................................73	
Figure 75:Graphique de contour superposé de conductivité thermique et épaisseur
pour les échantillons non thermolié avec une seule couche........................................73	
Figure 76Graphique de contour superposé de conductivité thermique et épaisseur pour
les échantillons thermoliés avec une seule couche......................................................74	
Figure 77 : Graphique de contour superposé de conductivité thermique et épaisseur
pour les échantillons thermolié avec deux couches.....................................................74	
Figure 78: Diagramme d'optimisation conductivité thermique et épaisseur ...............75	
Figure 79 : graphiques de contour superposé de % de fibre et allongement et force
maximal .......................................................................................................................76	
Figure 80 : Diagramme d'optimisation........................................................................77	
Figure 81 : Graphique de contour superposé de la masse surfacique et l’épaisseur pour
les échantillons non thermolié avec une seule couche ................................................78	
Figure 82 : Graphique de contour superposé de la masse surfacique et l’épaisseur pour
les échantillons non thermoliés avec deux couches ....................................................78	
Figure 83 : Graphique de contour superposé de la masse surfacique et l’épaisseur pour
les échantillons thermoliés avec une seule couche......................................................79	
Figure 84 : Graphique de contour superposé de la masse surfacique et l’épaisseur pour
les échantillons thermoliées avec deux couches..........................................................79
Figure 86: Diagramme d’optimisation Perméabilité à l’air, % allongement maximal et
Force maximale ...........................................................................................................80
Liste	des	tableaux	
Tableau 1: Les applications des non-tissés..................................................................10	
Tableau 2:Les propriétés physiques de polyester........................................................15	
Tableau 3: Fiche signalétique de l'entreprise...............................................................17	
Tableau 4: Les paramétres de ouate fabrique au sein de l’entreprise..........................26	
Tableau 5: Les différents facteurs et leurs niveaux.....................................................29	
Tableau 6:Plan d'expériences ......................................................................................30	
Tableau 7: Les caractéristiques de fibre solide 1.........................................................34	
Tableau 8 : Les caractéristiques de fibre solide 2........................................................34	
Tableau 9: Les caractéristiques de fibre thermo-liantes..............................................35	
Tableau 10 : Résulat de l’essai de la masse de l’épaisseur..........................................36	
Tableau 11:Résulat de l’essai de la masse surfacique.................................................41	
Tableau 12: Résultat de l’essai de conductivité pour les différentes nappes...............46	
Tableau 13: résultat de l’essai perméabilité a l'air pour les différentes nappes...........52	
Tableau 14: Résultat de l’essai dynamométrique pour les différents nappes..............56	
Tableau 15: Résultat de l’essai résistance au déchirement pour les différentes nappes
.....................................................................................................................................67	
Tableau 16: Les valeurs des désirabilités individuelles de la conductivité thermique et
l’épaisseur....................................................................................................................76	
Tableau 17: Les valeurs des désirabilités individuelles de l’allongement maximal et la
force maximal..............................................................................................................77	
Tableau 18: Les valeurs des désirabilités individuelles Perméabilité à l’air, %
allongement maximal et Force maximale....................................................................80
1
Introduction générale
L'environnement recouvre l'ensemble des éléments (biotiques ou abiotiques) qui
entourent une espèce et qui lui permettent de vivre. Notre environnement, c'est notre
support de vie et toutes ses composantes : l'air, l'eau, l'atmosphère, les roches, les
végétaux, les animaux...
Or, notre environnement, élément clé de notre survie, est dangereusement affecté par
nos activités. En effet, les milieux (air, sols, eau) sont massivement pollués.
Les sources de pollutions sont nombreuses et l’identification de ces sources, des
différentes substances polluantes et de leurs effets sur les écosystèmes est complexe.
Elles peuvent provenir de catastrophes naturelles ou résulter de l'activité humaine. Les
pollutions peuvent être aussi bien les marées noires, les pollutions chimiques, les
accidents nucléaires, l'introduction d'espèces invasives, les déchets déversés dans la
nature...
Les matières plastiques ont désormais envahi notre quotidien. Elles représentent 10%
de la masse totale des ordures ménagères, et, n'étant pas dégradables, elles forment un
véritable danger pour l'environnement. Elles vont donc être cause de pollution
durable. Entre 60 et 85% des déchets ramassés sur le littoral sont des plastiques [1].
Les plastiques représentent donc un réel danger autant pour la faune que la flore
Dans une démarche de valorisation de la matière et de protection de l’environnement,
les industriels ont développé des projets très innovants autour du recyclage de la
bouteille plastique. Le recyclage des bouteilles en plastique commence par un tri, puis
un broyage, un nettoyage et un séchage et finalement une transformation finale où
les paillettes de polyéthylène tétaphtalate (PET) sont fondues et transformées en
fibres pour le PET.
Ces fibres de PET sont souvent employées par l’industrie textile à titre d’exemple le
rembourrage d'oreiller ou de couverture
Ce projet de fin d’études s’intègre dans ce cadre et s’intéresse à proposer un nouveau
produit de PET recyclé en collaboration avec la société LINDA OUATE qui est
spécialisée dans la fabrication de« Ouate », à base du non-tissés .
2
Ce travail est proposé pour l’industrie dont l’objectif est de proposer un nouveau
produit afin d'élargir la gamme de production et d'entrer dans un nouveau marché et
augmenter de plus en plus son capital.
Ainsi ce projet est divisé en 4 chapitres, le premier s'intéresse à l'étude
bibliographique, un deuxième est consacré à la présentation de l'entreprise, la partie
expérimentale est divisée en deux parties : dans un premier volet on s’est intéressé à
la fabrication et la caractérisation des structures en non tissés en suivant un plan
d’expériences bien établi . Afin d’optimiser la qualité des produits, une étude
d'optimisation des résultats a été réalisée via un outil statistique. Et enfin on terminera
notre rapport par une conclusion générale et proposition de certaines perspectives.
Chapitre I: Étude bibliographique
Chapitre I : Etude bibliographique ISET KH
Donya CH &Mayssem HA 3
I- Introduction
La fabrication des non tissés est issue des industries textile classique, de la fabrication
du papier et de fabrication des polymères en adaptant leurs procédés et leurs matières
premières pour répondre à un marché réel et émergeant.
Les non tissés se distinguent par rapport aux textiles classiques (tissus et tricots) par la
possibilité d’obtenir des étoffes avec un processus assez court (passer de l’état fibre à
une nappe de fibre sans filage).La différence majeure avec les papiers est la
composition fibreuse. En effet, une structure fibreuse sera classée "non-tissé" si plus
de 50% en masse de son contenu fibreux est constitué de fibres ayant un rapport
longueur / diamètre supérieur à 300. Dans le cas où cette première condition n'est pas
remplie, si plus de 30% en masse de son contenu fibreux est constitué de fibres ayant
un rapport longueur diamètre supérieur à 300 et une masse volumique inférieure à
0,40 g/cm3.
II- Les non-tissés
1- Définition
Selon les normes ISO 9092 et EN 29092, le non-tissé est "une feuille manufacturée,
constituée de voile ou de nappe de fibres orientées directionnellement ou au hasard,
liées par friction et/ou cohésion, et/ou adhésion, à l’exclusion du papier et des
produits obtenus par tissages, tricotages, tuftages, couturages incorporant des fils ou
filaments de liage ou feutrés par foulage humide, qu’ils soient ou non aiguilletés".
Selon l’INDA (Association Américaine des non tissés), le non-tissé est "une feuille ou
un voile de fibres naturelles et/ou de fibres ou filaments manufacturés, exclusion faite
du papier, qui n’ont pas été tissés et qui peuvent être liés entre eux de différentes
façons"[2].
2- Processus de fabrications
La fabrication des non-tissés se divise en pratique en trois étapes successives, bien
que continues :
• La formation du voile
• La consolidation
Chapitre I : Etude bibliographique ISET KH
Donya CH &Mayssem HA 4
• La finition
2.1- La formation du voile
Trois méthodes de base sont principalement utilisées pour la réalisation du voile :
• La voie sèche (voie textile ou directe)
• La voie humide (voie papetière)
• La voie fondue
Figure 1: La formation de voile de non-tissé
2.1.1- La voie sèche
Cette voie appelée aussi voie textile utilisé, pour la formation du voile, des cardes et
des procédés pneumatiques. Cette technique textile présente une grande polyvalence
en termes de fibres utilisées (possibilités d’utiliser des fibres recyclées) et en termes
de fabrication puisque l'ensemble des méthodes de liage existantes peuvent être
utilisées pour la consolidation. Les 2 figures ci-dessous expliquent la création du voile
par ces deux techniques[2].
Chapitre I : Etude bibliographique ISET KH
Donya CH &Mayssem HA 5
Figure 2: La création du voile par cardage Figure 3: La création du voile par voie
aérodynamique
Dans le cas de la création de voile par cardage, la carde est alimentée en fibres brutes,
dont les impuretés (graines, fibres courtes, poussières...) sont éliminées et les fibres
sont distribuées parallèles ou au hasard pour former un voile. Alors que le procédé par
voie aérodynamique consiste à amener et à faire passer les fibres à travers des
cylindres rotatifs perforés ou des systèmes de distribution pour former un voile sur
une toile transporteuse (caisse de distribution située au-dessus d’une toile avec
système de vide incorporé au-dessous de la toile). Les fibres utilisées doivent être plus
courtes que dans le procédé par cardage.
2.1.2- La voie humide
Elle utilise les mêmes technologies que la technique papetière avec de petites
modifications. Les propriétés des fibres utilisées et la concentration en matière
fibreuse sont différentes, le véhiculeur des fibres sera essentiellement de l'eau. Cette
technique permet des cadences de production élevées pour du non-tissé mais des
restrictions au niveau de choix de la matière première et du matériel de consolidation.
Les machines sont peu polyvalentes et l’investissement est assez lourd. La figure
suivante explique mieux cette méthode[2].
Chapitre I : Etude bibliographique ISET KH
Donya CH &Mayssem HA 6
Figure 4: La création du voile par voie humide
2.1.3- La voie fondue
Elle fait appel aux techniques d'extrusion associées à des systèmes de répartition et de
nappage pour la formation simultanée de l'étoffe non tissé. Ces techniques offrent peu
de polyvalence sur les produits d'une même ligne, mais suivant les techniques
employées, l'obtention de propriétés intéressantes est assurée : ténacité forte pour les
Spunbonds, douceur due à la finesse des fibres et poids par masse faible pour les
Meltblowns, homogénéité des propriétés pour les films.La figure suivante illustre
cette technique [2].
.
Figure 5: La création du voile par voie fondue
2.2- La consolidation du voile
La consolidation du voile est très importante et conditionne en grande partie les
propriétés du produit fini. On admet que la méthode de consolidation choisie, a au
Chapitre I : Etude bibliographique ISET KH
Donya CH &Mayssem HA 7
moins autant d'importance pour assurer les propriétés fonctionnelles du non-tissé final
que les fibres de base qui composent le voile. On distingue essentiellement trois
principales voies de consolidation.
Figure 6: La consolidation de la voile
2.2.1- Le liage mécanique
La technique la plus utilisée est l'aiguilletage qui est une méthode d'enchevêtrement
mécanique des fibres à l'intérieur du voile. Des aiguilles à barbes sont chargées de
déplacer les fibres en groupes lors de la pénétration dans la nappe tout en les laissant
en place lors du retrait de l'aiguille. Comme le montre la figure 5.
Le degré de liage dépendra de la profondeur de pénétration des aiguilles dans la
nappe, de la densité d'aiguilletage (nombre de coups d'aiguille par unité de surface) et
du nombre de faisceaux de fibres créés par chaque pénétration (type d'aiguille et
nombre de barbes en action) [2].
Chapitre I : Etude bibliographique ISET KH
Donya CH &Mayssem HA 8
Figure 7 : Procédés d'aiguilletage
2.2.2- Le liage chimique
C’est la méthode de liage la plus ancienne. Son évolution quantitative est en
diminution à cause des problèmes de rejets. Le liant choisi conditionne en grande
partie la cohésion, la souplesse et la tenue aux solvants des voiles fibreux. On trouve
des liants solides, des solutions et essentiellement des émulsions (latex). L’application
du liant peut se faire d’une manière continue dans un foulard pour avoir des structures
solides ou d’une manière discontinue (pulvérisation ou impression) pour obtenir des
articles plus souples.
2.2.3- Le liage thermique
Le thermo-liage est une consolidation cohésive d’un non-tissé réalisée par
l’adjonction de fibres thermo-liantes (de 10 à 40% de la masse fibreuse) créant des
points de soudure entre les fibres de base par fusion partielle ou totale de la fibre
liante. On utilise des polymères thermoplastiques comme le polyéthylène, le
polyamide, le polypropylène et le polyester etc. Le choix du type de fibre dépend des
conditions d’utilisation. Le chauffage du non-tissé peut être réalisable par plusieurs
méthodes dont le calandrage est la méthode la plus connue [2].
Chapitre I : Etude bibliographique ISET KH
Donya CH &Mayssem HA 9
Figure 8: Le calandrage
2.3- Finissage du non tissé
Il est possible de changer encore les propriétés de surface du non tissé pour l'ajuster
aux besoins de la clientèle en appliquant un apprêt mécanique ou chimique avant ou
après la phase de consolidation. Ainsi, on peut appliquer différents traitements
(enduction, impression, flockage, teinture) pour rendre les non-tissés hydrophobes,
poreux, antistatiques, absorbants, conducteurs, ignifuges, perméables à l'air[2].
3- Applications
Les non tissés sont des produits qu’on rencontre partout dans notre environnement
Les premiers articles fabriqués en non tissés étaient des articles sanitaires et les
matériaux pour chaussure.
Avec la multiplication des lignes de production et l’apparition des fibres synthétiques,
les applications étaient de plus en plus diversifiées. Les applications, où nous
retrouvons les non tissés, sont très variées. Ceci est dû aux procédés de fabrication des
non tissés qui permettent de fabriquer des structures avec des caractéristiques très
variables. De 2001 à 2006, la production européenne des non tissés a augmenté de
plus de 20%. Actuellement l’hygiène et les géotextiles représentent les marchés les
plus importants
Le tableau ci-dessous propose quelques applications des non-tissés.
Chapitre I : Etude bibliographique ISET KH
Donya CH &Mayssem HA 10
Tableau 1: Les applications des non-tissés
Applications Exemples Avantages
Les produits
d’hygiène
- Les lingettes antibactériennes
- Les lingettes pour bébés
- Une couche bébé
- Facilité d’utilisation et de
porter
- Bonne absorption, confort et
douceur
- Régularité de surface, bonne
résistance, élasticité et
uniformité
- Possibilité d’ajouter des
crèmes et des produits
La filtration - Le domaine automobile (filtres
à air, filtre de fioul et filtre à
l’huile)
- La filtration de l’air (chauffage
industriel, ventilation et
conditionnement d’air)
- La filtration des liquides (eau,
sang et hydraulique)
- Filtration spécifique
(biopharmaceutique,
antimicrobienne et des
impuretés fines)
- Eliminations d’un nombre
important de contaminant de
l’eau (bactéries, virus,
métaux...)
- Uniformité de structure
- Bonne résistance à la
déchirure, à l’abrasion, à la
traction et à la perforation
- Résistance chimique
- Grande capacité de rétention
- Grande perméabilité à l’air
- Bonne absorption des huiles et
corps gras
Le secteur
automobile
- Le rembourrage, le garnissage,
les tapis ainsi que les filtres à
air et à gasoil.
- Résistance importante à la
traction
- Résistance importante à
l’abrasion
- Protection thermique
- Résistance à la flamme et
Chapitre I : Etude bibliographique ISET KH
Donya CH &Mayssem HA 11
bonne isolation
- Filtration de l’eau
- Prêt à être cousu, enduit,
coloré, teint et laminé
- Montage facile sur le support
- Prend la forme
La construction - Le développement des murs et
dans l’enduction intérieure.
Revêtements muraux pour
améliorer l’isolation thermique
et phonique des toitures et en
enduction intérieure est un bon
indicateur du succès de ces
produits dans le domaine de la
construction
- Une grande perméabilité à
l’humidité et à la vapeur
- Une grande résistance à la
déchirure
- Une élongation
multidirectionnelle
- Une grande stabilité aux UV
- Une excellente durabilité
- Une isolation thermique et
acoustique
Les géotextiles - Les constructions du génie
civil
- Séparer des couches
structurelles globales du sol
tout en permettant le passage
de l'eau.
- Faciles à recycler et à
composter
- Facile à prendre la forme
- Grande résistance à la
déchirure
Les vêtements de
protection
- L’industrie pétrochimique et
chimique
- L’industrie automobile
- Les laboratoires
- L’industrie alimentaire
- Les visiteurs et les inspecteurs
visiteurs
- L’industrie médicale
- Protection contre le contact
sec et humide et les particules
qui sont gênantes à la
respiration
- Bonne uniformité
- Bonnes propriétés
antibactériennes
- Bonne résistance à l’abrasion,
Chapitre I : Etude bibliographique ISET KH
Donya CH &Mayssem HA 12
à la traction, la pénétration des
liquides et au feu
- Respiration
- Retardateur de flamme
L’agriculture et le
jardinage
- Bâche de récolte
- Protection de la terre
- Couverture de récolte
- Étoffes de contrôle des
mauvaises herbes
- Pot de terre biodégradable
- Etoffes avec une grande
résistance, élasticité et
durabilité
- Protection contre les gels et les
insectes
- Perméabilité intéressante
- Contrôle des mauvaises herbes
- Porosité suffisante pour l’air et
l’eau mais pas pour les
insectes
- La protection permet aux
plantes de pousser sans
utilisation des pesticides et des
herbicides
- Un développement avancé de
la récolte
III-FIBRE DE POLYESTER
1- Introduction
La fibre polyester est la fibre synthétique leader au niveau mondial. Elle possède
d’excellentes qualités de résistance mécanique et est facilement recyclable. Elle
apporte un excellent gonflant (résilience) pour les activités de remplissage (filling).
Elle est aussi reconnue pour ses propriétés ignifuges. Les fibres polyester bi-
composantes (lowmelt) ont d’excellentes propriétés de liage pour la fabrication de
ouate destinée à l’ameublement, la literie ou le marché automobile.
Chapitre I : Etude bibliographique ISET KH
Donya CH &Mayssem HA 13
Un éventuel traitement additionnel sur les fibres polyester permet d’obtenir des fibres
creuses siliconées, slick, conjuguées ainsi que divers traitements antibactériens.
Le polyester est le plus répondu sur le marché du textile parmi les fibres synthétiques.
Il est commercialisé sous le nom du Dacron (en U.S.A), Tergal (en France), etc.
Les filaments de polyester sont obtenus par extrusion à travers les filières. Les fils
sont, puis, étirés pour conférer à la fibre une certaine souplesse et une résistance
élevée. L’opération de filage, c’est-à-dire la transformation d’une masse visqueuse de
polymère en un filament continu, est un procédé complexe qui conditionne en grande
partie les propriétés physiques et mécaniques du matériau.
2- Le processus de recyclage
Les bouteilles plastiques collectées sont triées en 3 catégories dans un centre de tri :
PEHD (plastique opaque), Polyester clair et PET foncé. Elles sont ensuite mises en
balles pour être expédiées vers les usines de régénération. Lors du processus de
recyclage, la fibre de PET est cassée pour obtenir des éléments de base ou
« monomères » à partir desquels on pourra fabriquer de nouveaux matériaux
complexes ou « polymères ». Il n’y a pas de différence de qualité entre une fibre
polaire fabriquée à partir d’une matière vierge et les vêtements fabriqués à partir
d’une matière recyclée.
Chapitre I : Etude bibliographique ISET KH
Donya CH &Mayssem HA 14
Figure 9: Le processus de recyclage [3].
Le procèdé de fabrication s’établit en différentes étapes :
• Le procèdé principal de fabrication est l’extrusion à filière droite qui extrude
la matière vers le bas.
• Les déchets de bouteilles PET subissent les étapes de déchiquetage, le lavage,
le séchage puis le broyage.
• Les déchets broyés passent ensuite au déshumidificateur. A la fin de cette
étape, les déchets passent à l’extrusion.
• Les bris broyés alimentent une extrudeuse produisant des filaments de petites
épaisseurs (moins de 0.3 mm). A la sortie de la tête d’extrudeuse, un dispositif
de refroidissement diffuse de l’air entre les filaments pour les faire refroidir et
empêcher le collage entre des filaments.
• L’extrémité des filaments est tenue par un système d’étirage relié à un system
d’enroulement de filaments.
• Trempage des filaments dans des bains pour les donner les spécifications
recherchées
• Chauffage et frisage des filaments
Chapitre I : Etude bibliographique ISET KH
Donya CH &Mayssem HA 15
3- Propriétés physiques
Les polyesters sont des polymères contenant des groupes ester caractéristiques, –O–
CO, dans leur chaîne principale. Ils sont communément préparés par la réaction d’un
diacide (acide téréphtalique) avec un dialcool (éthylène glycol) Dans le tableau 2, on
présente les différentes propriétés physiques de polyester :
Tableau 2:Les propriétés physiques de polyester
Longueur Polyester recyclé : infinie
Couleur Blanc
Brillance Brillant ou mat
Morphologie Lisse
Élasticité Excellente
Résistance Très haute
Absorption d'humidité Très peu
Inflammabilité Brûle très lentement
Effet de la lumière du soleil Presque aucun effet
Densité : 1.38
Taux de reprise : 1%
Élasticité : moyenne
Résistance à la lumière : Bonne
Isolation thermique Bonne
Séchage très rapide et pas d’absorption de la sueur
Froissabilité Infroissable
Résistance à la traction et aux frottements Bonne
charge électrostatique Forte
Point de fusion 260°C
4- Propriétés chimiques :
La fibre de polyester a une excellente résistance aux acides mais elle est sensible aux
bases surtout à chaud, pourtant cette fibre a une excellente résistance aux oxydants, et
Les solvants usuels sont sans action sur le polyester.
Chapitre I : Etude bibliographique ISET KH
Donya CH &Mayssem HA 16
5- Utilisations
Le polyester est utilisé dans les vêtements de sport, les maillots de bain, les rideaux. Il
est souvent utilisé en mélange avec d’autres fibres naturelles comme le coton et la
laine et avec les fibres artificielles comme la viscose. Il est utilisé aussi pour la
fabrication des prothèses vasculaires et en géotextile.
Le polyester peut être recyclé et réutilisé une deuxième fois. Le recyclage des
vêtements en polyester et des bouteilles en plastique permet d’obtenir de nouvelles
fibres de polyester pour fabriquer des vêtements en fibre polaire.
IV- Conclusion
Dans cette étude bibliographique, on s’est intéressé aux techniques de formation des
non-tissés et de leur consolidation pour définir le processus de fabrication des
structures qu’on va réaliser. Par la suite, on a présenté les applications de non tissé
ainsi que le processus de recyclage de fibre de polyester et les différentes propriétés
physiques et chimiques
On a terminé notre étude bibliographique par les différentes applications des fibres de
polyester.
Chapitre II : Présentation de l’entreprise
Chapitre II : Présentation de l’entreprise ISET KH
Donya CH &Mayssem HA 17
I- Introduction
Dans ce chapitre, la Société LINDA OUATE et ses différents services ont été
présentées afin de montrer les ressources humaines et matérielles dont elle dispose.
Une explication des caractéristiques techniques du matériel disponible et des
procédures de travail permet de bien se familiariser avec l’entreprise.
II- Identification de l’entreprise
L’entreprise Linda OUATE a été fondée en 2013 à la Zone Industrielle bouhjar elle
possède deux sièges un pour la confection de ligne maison (couettes, couvre-lit, et
couverture) et le deuxième pour la fabrication de non-tissé (ouate).
Tableau 3: Fiche signalétique de l'entreprise
Dénomination LINDA OUATE
Raison sociale SARL
Gérant MOHAMED CHETOUI
Activité Confection linge maison et Fabrication de Non tissé
Adresse usine Zone Industrielle bouhjar 5015
Téléphone usine 94927988
E-mail Linda.ouate@gmail.com
Fax usine 31508004
Date de création 12/12/2013
Entrée en production 01/10/2016
Chiffre d’affaire en DT 900.000.000
Capacité de production de ouate 45 tonnes (en moyenne par mois)
Effectif 100
Matricule fiscale 1325937 DAM 000
III-Organigramme
L’organigramme de l’entreprise (siège non-tissé) est comme suit:
Chapitre II : Présentation de l’entreprise ISET KH
Donya CH &Mayssem HA 18
La société comprend plusieurs services, on distingue
• Le service de production qui a pour rôle la préparation technique du travail
et la fabrication des non tissés.
• Le service d’achat qui assure l’approvisionnement des matières premières
(fibres, emballages, colles, etc.) et des consommables (les huiles, les
graisses etc.).
• Le service vente spécialisé dans la livraison des produits finis (ouates).
• Le service comptabilité qui assure tous les enregistrements des
mouvements faits par l’entreprise.
IV- Présentation des différents ateliers de la société
LINDA OUATE
1- Magasin matière première
Ce magasin représente le point de départ du cycle de production. Il contient
• Réception et stockage de la matière première (les fibres)
• Pesage
2- Atelier de fabrication
Le processus technique de ligne de production pour la fabrication de ouate
Directeur
générale
Responsable
commercial
Responsable
production
Technicien de
production
Ouvriers
Responsable
maintenance
Mécanicien
Responsable
administratif
Secrétaire
Figure 10: Organigramme de l'entreprise
Chapitre II : Présentation de l’entreprise ISET KH
Donya CH &Mayssem HA 19
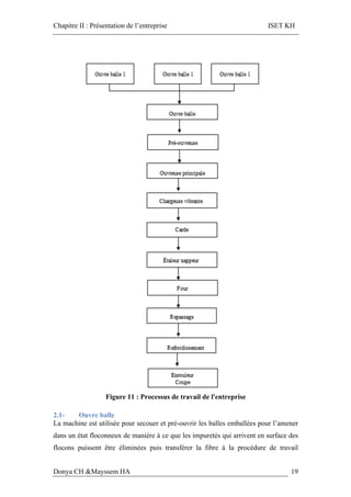
Figure 11 : Processus de travail de l'entreprise
2.1- Ouvre balle
La machine est utilisée pour secouer et pré-ouvrir les balles emballées pour l’amener
dans un état floconneux de manière à ce que les impuretés qui arrivent en surface des
flocons puissent être éliminées puis transférer la fibre à la procédure de travail
Chapitre II : Présentation de l’entreprise ISET KH
Donya CH &Mayssem HA 20
suivante Cette machine joue un rôle important dans le dosage de la matière première.
La quantité d'alimentation peut être réglée pour faire différent mélange de fibre.
Figure 12: Ouvre balle
Pour fabriquer ce produit il faut avoir 3 différents types de polyester.
- Fibre solide 1
- Fibre solide 2
- Fibre thermo-liantes (lowmelt) .
èLa fibre solide 1 et la fibre solide 2 ont presque les mêmes propriétés mais
la différence majeure est en terme de prix.
Chaque type de fibre doit passer par une ouvreuse
Balles des fibres Flocons
2.2- Pré-ouvreuse
Cette machine est utilisée pour pré-ouvrir et mélanger les fibres qui seront envoyés à
la prochaine procédure de travail par ventilateur.
Ouvre balles
Chapitre II : Présentation de l’entreprise ISET KH
Donya CH &Mayssem HA 21
Figure 13: Pré-ouvreuse
2.3- Ouvreuse principale
La machine est adaptée pour l’ouverture et le mélange des fibres de pré ouverture, qui
seront transférées à la chargeuse vibrante par le ventilateur.
Figure 14: Ouvreuse principale
2.4- Chargeuse vibrante :
La machine est utilisée pour avoir un mélange homogène de la masse fibreuse et pour
améliorer la qualité du non tissé de point de vue régularité et résistance. Elle assure
l’alimentation régulière de la carde.
Chapitre II : Présentation de l’entreprise ISET KH
Donya CH &Mayssem HA 22
Figure 15: Chargeuse vibrante
2.5- Carde :
Cette opération consiste à transformer la masse fibreuse en une nappe de fibre. Elle
assure plusieurs fonctions :
• Nettoyage final : entre cylindre alimentaire et briseur
• Démêlage et orientation : entre le grand tambour et le chapeau
• Le mélange à court terme
Figure 16: La carde
Chapitre II : Présentation de l’entreprise ISET KH
Donya CH &Mayssem HA 23
2.6- Étaleur nappeur :
La machine est utilisée pour plier uniformément et recouvrir les nappes de fibres
selon certaines largeurs et épaisseurs, ce qui correspond à la prochaine procédure de
travail. Le principe de nappage est de constituer des couches alternatives et les croiser
dans un mouvement continu dans le but d'obtenir une épaisseur bien déterminée et le
grammage désiré de la nappe (voile de carde), il faut superposer un certain nombre de
couches de ce voile.
Figure 17: Étaleur nappeur
2.7- Four
Afin de donner aux non-tissés un volume important, une consolidation et une
résistance, on utilise le liage de la nappe par passage dans un four. On peut utiliser des
fibres thermo-fusibles comme dans le cas du calandrage ou des fibres bi-composantes,
c’est à dire constituées de deux matières différentes au sein de la même fibre. La
nappe passe dans un four qui est en général chauffé à la température de fusion du
polymère ayant le plus bas point de fusion. Les fibres liantes sont fondues sous l’effet
de l’air chaud à l’intérieur de four.
Chapitre II : Présentation de l’entreprise ISET KH
Donya CH &Mayssem HA 24
Figure 18: Four de type « YYHG-320*1200 SINGLE LAYER OVEN »
2.8- Refroidissement
Cet appareil est utilisé pour refroidir la bande de four. Il permet de fixer l’épaisseur
du produit et surtout de le refroidir pour éviter de l’enrouler à chaud. Cette série de
machines de refroidissement adopte deux ventilateurs centrifuges, l’un au-dessus et
l’autre au-dessous, de sorte que le produit puisse être refroidi, solidifié et fini
rapidement.
Figure 19: Zone de refroidissement
Chapitre II : Présentation de l’entreprise ISET KH
Donya CH &Mayssem HA 25
2.9- Repassage :
La machine est utilisée pour le post-traitement de la ouate non tissée afin de rendre la
surface des non-tissés lisse et l’épaisseur uniforme. Cette opération consiste à faire
lisser les fibres tout en les séchant, les fixant ainsi dans la bonne "position".
2.10- Enrouleur et coupe :
Cette machine est principalement utilisée pour couper les bords du produit formé et
l'enrouler en un rouleau de quantité fixe pour un emballage facile
Figure 21: Enrouleur et coupe
2.11- Ouvreur de matériau chute
L'ouvreur de matériau restant est principalement utilisé pour ouvrir toute sorte de
non-tissés restants afin que le matériau ré-ouvert puisse être réutilisé.
Figure 20: Repassage
Chapitre II : Présentation de l’entreprise ISET KH
Donya CH &Mayssem HA 26
Répartir uniformément les matières à recycler sur la plaque d’alimentation, le rouleau
d’alimentation fonctionnant à grande vitesse les attirera vers l’ouate via l’action du
rouleau d’alimentation, puis les fibres ouvertes seront envoyées dans l’armoire à
coton en les conduisant avec l’aspiration du ventilateur de transport.
Figure 22: Machine de recyclage des déchets de type « YYBK-100 RECYCLING
MACHINE »
V- Les différents produits de LINDA OUATE
1- OUATE
La ouate de polyester est un produit textile écologique, d’origine synthétique, issu du
recyclage de bouteilles plastiques. Il est obtenu en superposant plusieurs couches de
voiles de fibres textiles provenant de la carde ou formés par soufflage ou aspiration,
puis en les comprimant afin d'accroître la cohésion des fibres. Les Ouates se
présentent sous la forme d'un matelas souple, gonflant, d'épaisseur régulière dont les
fibres peuvent être facilement séparées. Il est utilisé par exemple dans le rembourrage
des couettes, des couvertures ou bien des manteaux.
Les différents grammages et laize de ouate fabriquée au sein de l’entreprise sont :
Tableau 4: Les paramétres de ouate fabrique au sein de l’entreprise
Grammage 80 g/m2
=> 500 g/m2
Laize 150cm jusqu'à 250 cm
Nombre de couches De 2 à 5 couches
Chapitre II : Présentation de l’entreprise ISET KH
Donya CH &Mayssem HA 27
Longueur de rouleau 10 m jusqu'au à 60 m
Figure 23: Ouate de rembourrage (non tissé)
2- Linge maison
Les produits fabriqués chez l’entreprise sont les couettes, les couvre-lits et la
couverture
VI- Conclusion
L’intérêt du projet est la valorisation de la matière première au sein de l’entreprise
afin de réaliser un nouveau produit correspond à l’état actuel des connaissances et les
besoins de l’entreprise qui insiste sur le fait qu’un nouvel investissement peut ramener
l’entreprise à des nouveaux marchés et à l’augmentation de son capital. Pour un bon
développement de l’entreprise qui ne possède pas une aiguilleteuse, elle doit
s’investir pour acheter une pour produire des nouveaux produits avec la même
matière première ainsi d’élargir sa gamme de production. Le plus important est de
faire une étude complète et mettre un plan stratégique avant chaque investissement.
Chapitre III: Fabrication et caractérisation des
structures en non-tissé
Chapitre III : Fabrication et caractérisation des non-tissés ISET KH
Donya CH &Mayssem HA 28
I- Introduction
Dans ce chapitre, on va présenter la méthodologie de notre travail tout en précisant le
principe de fonctionnement de chaque machine ainsi que les méthodes et les tests
métrologiques appliqués sur les nappes fabriquées. Nous avons ainsi suivi un plan
d’expériences pour organiser et optimiser les essais à faire.
II- Plan d’expérience :
1- Définition d’un plan d’expériences :
Les plans d'expériences permettent d'organiser au mieux les essais qui accompagnent
une recherche scientifique ou des études industrielles, on obtient le maximum de
renseignements avec le minimum d'expériences.
Les plans d'expériences consistent à sélectionner et ordonner les essais afin
d'identifier, à moindres coûts, les effets des paramètres sur la réponse du produit. Il
s'agit de méthodes statistiques faisant appel à des notions mathématiques simples.
La mise en œuvre de ces méthodes comporte trois étapes :
1. Postuler un modèle de comportement du système (avec des coefficients pouvant
être inconnus) ;
2. Définir un plan d'expériences, c'est-à-dire une série d'essais permettant d'identifier
les coefficients du modèle ;
3. Faire les essais, identifier les coefficients et conclure.
Figure 24: Stratégie de plan d’expérience
Chapitre III : Fabrication et caractérisation des non-tissés ISET KH
Donya CH &Mayssem HA 29
Leur utilisation vise aux buts suivants :
§ Déterminer des valeurs optimales de réglage de différents paramètres, pour
obtenir une valeur souhaitée sur un produit ou un service à mettre au point.
§ Réduire le nombre d'essais à ce qui est strictement nécessaire, avec comme
effet direct de minimiser les dépenses.
§ Identifier les facteurs les plus influents, les interactions éventuelles entre les
facteurs, et le nombre de points de mesures minimum pour obtenir le
maximum d'informations [4].
Ø Facteurs : ce sont les paramètres que l'on fait varier au cours des essais
Ø
Niveaux : ce sont les valeurs possibles que l'on attribue à un facteur
2- Cas pratique :
Une étude préliminaire nous a permis de choisir les intervalles, les nombres de
niveaux et le pas de variation des paramètres.
On présente ci-dessous dans un tableau les différents facteurs et leurs niveaux
Tableau 5: Les différents facteurs et leurs niveaux
Les facteurs
Les niveaux
Intervalle de
valeurs
Nombre de
niveaux
Pas
%fibre 1 0 -100% 5 25
Nombre
de couches
1 ,2 2 1
Densité
d’aiguilletage
30 - 50 3 10
Thermo-liage Oui ou non 2 -
NB : l’unité de densité d’aiguilletage dans tout le rapport est frappe par centimètre
carré.
Le nombre d’échantillon à réaliser est déterminé selon la formule suivante :
!!!!!! !′é!h!!!!!!!!! = !!!!!! !! !!!!!! ! !!!!!e !! !!!!!!!!
Chapitre III : Fabrication et caractérisation des non-tissés ISET KH
Donya CH &Mayssem HA 30
Dans notre plan d'expérience, on a modifié les facteurs selon les différents niveaux, ce
qui nous a donné un plan de 60 échantillons. Chaque échantillon a des propriétés bien
déterminé ainsi qu’on a opté pour un plan d’expériences complet comme le montre le
tableau suivant :
Tableau 6:Plan d'expériences
N°
échantillon
% fibre 1 %fibre 2
Nombre de
couche
Densité
aiguilletage
Thermo-liage
1 0 100 1 30 Oui
2 0 100 1 40 Oui
3 0 100 1 50 Oui
4 0 100 2 30 Oui
5 0 100 2 40 Oui
6 0 100 2 50 Oui
7 0 100 1 30 Non
8 0 100 1 40 Non
9 0 100 1 50 Non
10 0 100 2 30 Non
11 0 100 2 40 Non
12 0 100 2 50 Non
13 25 75 2 40 Oui
14 25 75 2 50 Oui
15 25 75 1 30 Oui
16 25 75 2 30 Non
17 25 75 1 30 Oui
18 25 75 1 40 Oui
19 25 75 1 50 Oui
20 25 75 2 30 Oui
21 25 75 1 50 Non
22 25 75 2 30 Non
23 25 75 2 40 Non
24 25 75 2 50 Non
25 50 50 1 30 Oui
26 50 50 1 40 Oui
27 50 50 1 50 Oui
28 50 50 2 30 Oui
29 50 50 2 40 Oui
30 50 50 2 50 Oui
Chapitre III : Fabrication et caractérisation des non-tissés ISET KH
Donya CH &Mayssem HA 31
31 50 50 1 30 Non
32 50 50 1 40 Non
33 50 50 1 50 Non
34 50 50 2 30 Non
35 50 50 2 40 Non
36 50 50 2 50 Non
37 75 25 1 30 Oui
38 75 25 1 40 Oui
39 75 25 1 50 Oui
40 75 25 2 30 Oui
41 75 25 2 40 Oui
42 75 25 2 50 Oui
43 75 25 1 30 Non
44 75 25 1 40 Non
45 75 25 1 50 Non
46 75 25 2 30 Non
47 75 25 2 40 Non
48 75 25 2 50 Non
49 100 0 1 30 Oui
50 100 0 1 40 Oui
51 100 0 1 50 Oui
52 100 0 2 30 Oui
53 100 0 2 40 Oui
54 100 0 2 50 Oui
55 100 0 1 30 Non
56 100 0 1 40 Non
57 100 0 1 50 Non
58 100 0 2 30 Non
59 100 0 2 40 Non
60 100 0 2 50 Non
Les caractéristiques des fibres utilisées sont détaillées ultérieurement. Les masses de
polyester étant préparées égales à 120g/nappe, passent par la machine ouvreur de
matériau chute pour subir une ouvraison, un cardage puis un enroulement sous forme
d’un voile de carde homogène de point de vue masse, épaisseur et composition.
On a fabriqué 60 échantillons avec différentes propriétés qui vont être consolidées
par la suite mécaniquement avec l'aiguilleteuse et / ou thermiquement dans un four.
Chapitre III : Fabrication et caractérisation des non-tissés ISET KH
Donya CH &Mayssem HA 32
Pour chaque échantillon, le passage à travers l'aiguilleteuse est défini en jouant sur
deux paramètres qui sont :
● Le nombre de couches du voile qui alimente l’aiguilleteuse : soit 2 ou 3
couches.
● La densité d'aiguilletage : C'est le nombre de frappe de "n" aiguilles dans un
cm². Les valeurs de cette densité varient entre 20 et 80.
III-Fabrication de non tissé
La majorité de travail a été effectué au sein de l’ISET de Ksar Hellal puisque
l’entreprise est sollicitée par des contraintes de production lors de la période de stage.
Aussi l'entreprise ne possède pas une aiguilleteuse.
1- Matériel
Les machines utilisées pour fabriquer le nouveau produit sont :
Figure 25 : Processus de fabrication des nappes
Chapitre III : Fabrication et caractérisation des non-tissés ISET KH
Donya CH &Mayssem HA 33
1.1- Ouvreuse :
Pour ouvrir la matière on a utilisé la machine ouvreur type « YYBK-100
RECYCLING MACHINE » de matériau chute de l’entreprise pour bien ouvrir et
mélanger la matière. ( voir figure 22)
1.2- Carde
On a utilisé la carde de laboratoire de l’ISET. Elle est composée d’un grand tambour
avec quatre groupes gardant (cylindres travailleurs et dépouilleurs) et un cylindre
peigneur. À la sortie, le voile de carde est enroulé sur un tambour lisse pour former
l’épaisseur voulue ultérieurement.
Figure 26 : Carde de type « 337 A CARDING MACHINE »
1.3- Aiguilleteuse
Cette machine est composée :
• D’un tablier alimentaire.
• Deux plaques perforées pour le maintien de la nappe, l’un c’est le
débourreur qui permet le passage des aiguilles et retient en position les
nappes quand les aiguilles se retirent. L’autre c’est l’enclume qui sert à
ajuster la pénétration des aiguilles et leur profondeur d’action.
• D’une planche à aiguilles animée d’un mouvement alternatif de lève et
baisse sur laquelle sont fixées des aiguilles à barbes.
• Deux cylindres d’entraînement ou d’appel qui garantir le bon maintien de
la nappe consolidée.
Chapitre III : Fabrication et caractérisation des non-tissés ISET KH
Donya CH &Mayssem HA 34
Figure 27 : Aiguilleteuse type « TECTEX »
1.4- Four
Pour la consolidation thermique on a utilisé le four de l’entreprise de type « YYHG-
320*1200 SINGLE LAYER OVEN » avec une température de 195 ° C pendant 90 s
.Comme elle est présenté dans la figure 18
2- Fabrication
Pour former notre nappe, nous avons choisi 3 types de matières premières (voir
annexe 1) :
§ Fibre solide 1
Tableau 7: Les caractéristiques de fibre solide 1
Caractéristique Unité Fibre de Polyester Régénérer
Ténacité CN/dtex 3.2±0.3
Élongation % 39±5.0
Longueur Mm 64±2
§ Fibre solide 2
Tableau 8 : Les caractéristiques de fibre solide 2
Caractéristique Unité Fibre de Polyester Régénérer
Ténacité CN/dtex 3.2±0.3
Élongation % 39±5.0
Longueur Mm 63±2
Chapitre III : Fabrication et caractérisation des non-tissés ISET KH
Donya CH &Mayssem HA 35
§ Fibre thermoliantes
Pour qu’on puisse faire une consolidation thermique, il est nécessaire d’introduire un
liant au moment de la formation de la nappe. On a choisi de travailler avec un
pourcentage de fibres liantes qui est de 5% et on va utiliser des fibres de polyester
ayant les caractéristiques présentées dans le tableau n°7 :
Tableau 9: Les caractéristiques de fibre thermo-liantes
Caractéristiques Unité Fibre Polyester thermo-liantes
Ténacité CN/dtex 3.4±0.5
Elongation % 48±8
Longueur mm 51
Lustre Semi terne
Point de fusion ° C 110
Pour identifier les conditions de thermo-liage des non tissés fabriqués, nous avons eu
recourt au diagramme suivant qui présente l’état des fibres en fonction de la
température et le temps de thermo-fixation.
Figure 28 : Diagramme de fusion des fibres thermo-liants
IV- Caractéristiques des nappes fabriquées
Après la fabrication des échantillons, des tests métrologiques sont indispensables pour
bien définir les effets de chaque facteur sur les propriétés de la nappe fabriquée. Les
Chapitre III : Fabrication et caractérisation des non-tissés ISET KH
Donya CH &Mayssem HA 36
résultats des tests sont notés sur des fiches (voir annexe2) , puis nous les avons
interprétés.
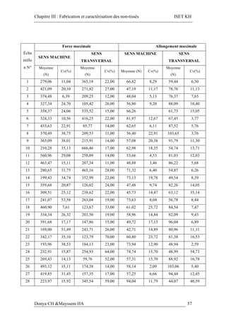
1- Détermination de l’épaisseur
Selon la norme ISO 5084, la mesure de l’épaisseur se fait avec un l’appareil de
mesure d’épaisseur ayant un pied presseur fixe et une surface de 25 cm². La charge
exercée est ajustable de 0.1 à 10 kPa par un jeu de masses interchangeables (7
masses) selon le domaine d’application du produit (géotextile, non tissé, textiles et
autres).Son étendue de mesure est de 10 mm, avec une précision de 0.01 mm. Après
avoir pris les valeurs de l’épaisseur (voir annexe 6 page 14) nous avons présentés les
moyennes des résultats dans le tableau ci-dessous.
Figure 29 : Appareil de mesure d'épaisseur "SODEMAT"
Tableau 10 : Résulat de l’essai de la masse de l’épaisseur
Échantillon
Moyenne
(mm)
cv% Échantillon
Moyenne
(mm)
cv%
1 6,95 6,31 31 7,60 6,68
2 7,08 4,05 32 5,52 3,08
3 6,13 5,01 33 5,41 0,66
4 7,72 7,71 34 6,64 3,02
5 6,64 4,41 35 5,85 2,68
Chapitre III : Fabrication et caractérisation des non-tissés ISET KH
Donya CH &Mayssem HA 37
6 7,05 1,81 36 6,41 7,57
7 6,87 5,61 37 7,34 3,39
8 6,35 2,01 38 9,12 2,79
9 6,84 4,73 39 5,62 3,47
10 7,23 2,39 40 6,60 2,49
11 6,80 3,95	 41 7,17 7,26
12 6,04 9,81 42 6,95 2,73
13 7,30 5,16 43 6,89 10,78
14 6,74 3,95 44 5,13 1,55
15 6,45 2,02 45 6,08 11,09
16 6,47 4,37 46 7,11 3,50
17 6,59 5,33 47 6,48 5,09
18 6,13 3,45 48 5,57 4,89
19 6,29 9,73 49 6,62 0,88
20 7,03 6,11 50 6,48 4,31
21 8,13 4,21 51 6,53 3,86
22 7,34 5,29 52 6,87 2,45
23 7,21 7,25 53 7,05 1,10
24 5,63 3,46 54 6,76 9,11
25 5,72 2,47 55 5,66 2,65
26 5,37 1,10 56 6,54 2,07
27 5,37 2,74 57 6,57 2,72
28 5.41 2.61 58 7,36 1,39
29 5.34 3.65 59 7,42 2,64
30 5.52 2.93 60 7,36 2,28
Les résultats de la mesure d’épaisseur variables avec un cv(%) son minimum égal à
0,66% et son maximum est égal à 11,09% Ainsi, les valeurs de l’épaisseur de ces 60
échantillons sont comprises entre 5,13 et 9, 12 . Les différents facteurs influent sur
ce paramètre différemment comme le montre la figure ci-dessous:
Chapitre III : Fabrication et caractérisation des non-tissés ISET KH
Donya CH &Mayssem HA 38
Figure 30: Graphique des effets principaux pour épaisseur
Suite aux essais, on a essayé d’interpréter les résultats et conclure l’effet de chaque
facteur indépendamment des autres pour ceci on présente les diagrammes suivants :
Figure 31: Diagramme des moyennes des épaisseurs en fonction de % de fibre 1
D’après le diagramme des moyennes des épaisseurs on remarque que pour 25% de
fibre 1 on obtient un maximum d’épaisseur égal à 7,30 cm alors que le 50% fibre 1 et
50% fibre 2 a un minimum d’épaisseur avec 5,34 cm.
6,64	
7,30	
5,34	
7,17	 7,05	
0,00	
1,00	
2,00	
3,00	
4,00	
5,00	
6,00	
7,00	
8,00	
0	 25	 50	 75	 100	
Epaisseur	en	cm		
%	Xibre	1	
Moyenne	des	épaisseurs
Chapitre III : Fabrication et caractérisation des non-tissés ISET KH
Donya CH &Mayssem HA 39
Figure 32: Diagramme d'épaisseur en fonction de nombre de couches
On remarque que l’épaisseur augmente en augmentant le nombre de couches avec
une valeur égale à 6,95 cm pour une seule couche et 7,72 cm pour deux couches.
Figure 33: Diagramme d'épaisseur en fonction de thermo-liage
Les nappes non thermo-liées sont plus épaisses que celles thermo-liées avec une
valeur de 5,84 cm pour les premières et 5,35 cm pour les autres.
6,40	
6,60	
6,80	
7,00	
7,20	
7,40	
7,60	
7,80	
1	 2	
Epaisseur	en	cm	
nombre	de	couches		
Epaisseur	en	cm		
5,00	
5,10	
5,20	
5,30	
5,40	
5,50	
5,60	
5,70	
5,80	
5,90	
oui	 non	
Epaisseur	en	cm		
Thermoliage		
Epaisseur	en	cm
Chapitre III : Fabrication et caractérisation des non-tissés ISET KH
Donya CH &Mayssem HA 40
Figure 34: Diagramme d'épaisseur en fonction de densité d'aiguilletage
D’après le diagramme d’épaisseur on remarque que la meilleure valeur de densité
d’aiguilletage est égale à 40 avec une épaisseur maximale de 7,08 alors que si on
augmente la densité jusqu’à 50 l’épaisseur atteint un minimum avec une valeur égale
à 6,13cm
2- Détermination de la masse surfacique
La masse surfacique est un paramètre très important pour l’industriel qui cherche à
consommer moins de matière première tout en conservant les performances du
produit fabriqué. Le principe est de déterminer la masse d’une éprouvette de surface
connue amenée à l’équilibre dans l’atmosphère normale de l’essai.
Selon la norme NF G38-011 on prélève les éprouvettes à l’aide de l’emporte-pièce ou
d’une paire de ciseaux ainsi que pour les éprouvettes découpées aux ciseaux, on fait
la mesure de la longueur et la largeur à 1 mm prés. Ainsi que chaque dimension doit
être mesurée en quatre endroits différents de l’éprouvette puis on pèse chaque
éprouvette à 0.01 g près.
5,60	
5,80	
6,00	
6,20	
6,40	
6,60	
6,80	
7,00	
7,20	
30	 40	 50	
Epaisseur	en	cm		
densité	d'aiguilletage	
epaisseur	en	cm
Chapitre III : Fabrication et caractérisation des non-tissés ISET KH
Donya CH &Mayssem HA 41
Figure 35 : Découpoir Figure 36: Balance numérique
Après les calculs des valeurs (voir annexe 2 page 2) ,les résultats sont présentés dans
le tableau ci-dessous :
Tableau 11:Résulat de l’essai de la masse surfacique
N° Échantillon Moyenne(g) CV(%) N° Échantillon Moyenne(g) CV(%)
1 5,11 9 31 5,34 2
2 6,03 11 32 3,76 7
3 5,10 7 33 3,88 2
4 6,72 11 34 4,32 2
5 7,20 21 35 4,60 9
6 6,73 14 36 5,28 2
7 4,08 13 37 4,14 4
8 3,64 4 38 3,91 6
9 4,00 2 39 3,87 7
10 5,44 11 40 3,92 8
11 4,46 16 41 3,90 13
12 5,28 8 42 3,99 9
13 6,14 7 43 3,90 9
14 5,88 18 44 3,13 5
15 4,09 8 45 4,52 10
16 3,53 7 46 5,04 11
17 3,84 5 47 4,22 10
18 4,00 4 48 3,53 11
Chapitre III : Fabrication et caractérisation des non-tissés ISET KH
Donya CH &Mayssem HA 42
19 4,61 10 49 4,75 8
20 5,83 11 50 4,22 12
21 4,49 11 51 3,81 4
22 5,50 11 52 5,42 8
23 4,72 7 53 5,24 9
24 3,17 4 54 5,40 2
25 4,52 7 55 3,73 13
26 4,62 8 56 4,07 11
27 4,54 4 57 3,78 5
28 5,52 14 58 4,60 9
29 5,36 8 59 4,32 2
30 5,26 7 60 4,76 17
On remarque que les valeurs de la masse surfacique obtenues sont comprises entre
3,13 g/cm et 7,2 g/cm avec une moyenne égale à 4,65 g/cm et un cv(%)= 19%.
Cette valeur de cv(%) est élevée donc on a une mauvaise distribution des fibres dans
les structures fabriquées. On passe à la présentation du graphique ci-dessous pour
étudier l’effet des paramètres de fabrication sur les résultats obtenus.
Figure 37: Graphique des effets principaux pour masse surfacique
Les 4 facteurs ont une grande influence sur la variation de la masse surfacique
Chapitre III : Fabrication et caractérisation des non-tissés ISET KH
Donya CH &Mayssem HA 43
La masse surfacique varie avec la variation du pourcentage des fibres, pour un
pourcentage de 0% de cette fibre on remarque que la masse surfacique est comprise
entre 3,64 et 7,2, pour 25% de fibre entre 3,17 et 6,14, alors que cette valeur diminue
pour 50% des fibres, la valeur minimum à 75% de fibre avec une valeur de 3,13 g/cm2
L’effet de nombre de couches sur la masse surfacique est presque nul. La densité
d’aiguilletage a un petit effet sur ce facteur tant que le thermo-liage influe sur la
masse surfacique avec des valeurs comprises entre 3,13 et 5,5 pour les échantillons
non thermo-liés et entre 3,81g/cm et 7,2g/cm pour les nappes thermo-liées
Figure 38: Diagramme de la masse surfacique en fonction de % fibre 1
D’après le diagramme de la masse surfacique en fonction de pourcentage de fibre 1
on remarque que on augmentant le pourcentage de fibre 1 la masse surfacique
augmente. Pour 0% fibre 1 la masse surfacique est égale à 325,43g/m2 alors que pour
100% fibre 1 la masse surfacique égale à 719,56 g/m2. Ainsi on peut conclure que le
pourcentage de fibre 1 a une influence directe sur la masse surfacique.
0,00	
100,00	
200,00	
300,00	
400,00	
500,00	
600,00	
700,00	
800,00	
0	 25	 50	 75	 100	
Masse	suraXique	en	g/m2	
%	Xibre	1	
Masse	surfacique
Chapitre III : Fabrication et caractérisation des non-tissés ISET KH
Donya CH &Mayssem HA 44
Figure 39: Diagramme de masse surfacique en g/m2 en fonction de nombre de
couches
D’après le diagramme de masse surfacique en g/m2 en fonction de nombre de
couches on peut conclure que la masse surfacique est en fonction de nombre de
couches ainsi pour deux couches la masse surfacique est presque le double d’une
seule avec 603,33g/m2et pour deux couches et 325,43 g/m2 pour une seule couche.
Figure 40: Diagramme de masse surfacique en fonction de thermo-liage
0,00	
100,00	
200,00	
300,00	
400,00	
500,00	
600,00	
700,00	
1	 2	
Masse	suraXique	en	g/m2	
	
nombre	de	couches		
Massse	surfacique	en		g/m2	
0,00	
100,00	
200,00	
300,00	
400,00	
500,00	
600,00	
700,00	
oui	 non	
Masse	suraXique	en	g/m2	
	
thermo-liage		
massse	surfacique	en		g/m2
Chapitre III : Fabrication et caractérisation des non-tissés ISET KH
Donya CH &Mayssem HA 45
D’après le diagramme de masse surfacique en fonction de thermo-liage on remarque
que la masse surfacique est plus grande pour les nappes non thermo-liées vu que pour
les thermo-liées la masse surfacique est égale à 325,43g/m2 et pour les non-thermo-
liées est égale à 603,33g/m2.
Figure 41: Diagramme de masse surfacique en fonction de densité d'aiguilletage
D’après le diagramme de masse surfacique en fonction de densité d’aiguilletage , on
conclut que la masse surfacique a un maximum égal à 603,33g/m2 pour une densité
d’aiguilletage moyenne égale à 40 , si on l’augmente jusqu’à 50 la masse surfacique
commence a diminué jusqu’à une valeur 509,78g/m2.
3- Détermination de la conductivité thermique
La conductivité thermique (λ : lambda, exprimé en W.m-1
.K-1
) caractérise l’aptitude
d’un matériau à conduire la chaleur. Plus cette valeur est faible, plus le matériau est
isolant. C’est une donnée essentielle pour la détermination de la performance
thermique d’un produit. Le matériel utilisé est présenté dans la figure suivante.
0,00	
100,00	
200,00	
300,00	
400,00	
500,00	
600,00	
700,00	
30	 40	 50	
Masse	suraXique	en	g/m2	
	
densité	d'aiguilletage		
massse	surfacique	en		g/m2
Chapitre III : Fabrication et caractérisation des non-tissés ISET KH
Donya CH &Mayssem HA 46
Figure 42:Conductivimetre fil chaud "FP2C"
La mesure de la conductivité thermique repose sur l’utilisation de sondes à chocs.
Leur principe est de produire localement un faible échauffement thermique du
matériau (quelques degrés au-dessus de la température ambiante) et de mesurer cette
élévation de température au cours du temps (durée de quelques minutes). Par un
traitement mathématique de ce signal intégré dans le logiciel fourni, l’identification
du paramètre thermique est réalisée.
Les résultats sont présentés dans le tableau n°12.
Tableau 12: Résultat de l’essai de conductivité pour les différentes nappes.
N° échantillon λ (w.m-1
.k-1
) N° échantillon λ (w.m-1
.k-1
)
1 0,039 31 0,039
2 0,041 32 0,042
3 0,04 33 0,043
4 0,04 34 0,039
5 0,043 35 0,039
6 0,041 36 0,039
7 0,037 37 0,038
8 0,038 38 0,036
9 0,039 39 0,04
10 0,04 40 0,041
11 0,037 41 0,041
12 0,037 42 0,042
Chapitre III : Fabrication et caractérisation des non-tissés ISET KH
Donya CH &Mayssem HA 47
13 0,042 43 0,036
14 0,037 44 0,038
15 0,041 45 0,039
16 0,037 46 0,04
17 0,034 47 0,037
18 0,037 48 0,041
19 0,038 49 0,04
20 0,035 50 0,04
21 0,038 51 0,04
22 0,041 52 0,037
23 0,041 53 0,042
24 0,036 54 0,042
25 0,038 55 0,039
26 0,039 56 0,039
27 0,038 57 0,038
28 0,038 58 0,037
29 0,042 59 0,04
30 0,039 60 0,041
On remarque que les résultats de la conductivité thermique obtenue varient entre
0,034 w.m-1
.k-1
et 0,043w.m-1
.k-1
. On présente le graphique ci-dessous qui montre
l’effet de chaque facteur sur la conductivité thermique
Chapitre III : Fabrication et caractérisation des non-tissés ISET KH
Donya CH &Mayssem HA 48
Figure 43 : Graphique des effets principaux pour conductivité thermique
Le % de fibre fait varier la conductivité thermique, pour 50% de fibre et 100% la
conductivité thermique atteint son maximum alors que le 25% de fibre a une
meilleure valeur pour l’isolation thermique. Le nombre de couches, la densité
d’aiguilletage et le thermo-liage qui ont aussi une influence remarquable sur la
conductivité thermique. Donc tous les paramètres ont une influence sur la
conductivité thermique des matériaux. En effet la densité d’aiguilletage modifie la
porosité du matériau, aussi la superposition des couches donc affecte la conductivité
thermique. Aussi la nature des fibres utilisées vu que la conductivité thermique du
non-tissé dépend de pouvoir thermique des fibres utilisées.
Chapitre III : Fabrication et caractérisation des non-tissés ISET KH
Donya CH &Mayssem HA 49
Figure 44: La conductivité thermique en fonction de % fibre 1
D’après le diagramme de conductivité thermique en fonction de fibre 1, on remarque
que pour 25%, 50% et 100% de la fibre 1 la conductivité thermique est égale avec une
valeur de 0,042 w.m-1
.k-1
pourtant pour 0% fibre 1 la conductivité thermique a un
maximum égal à 0,043 w.m-1
.k-1
. Ainsi on conclut que la conductivité thermique a
une valeur comprise entre 0,041 w.m-1
.k-1
et 0,043 w.m-1
.k-1
alors la variation reste
très faible de 0,002 w.m-1
.k-1
donc les valeurs sont presque égales donc le pourcentage
de fibre 1 n’a pas une grande influence sur la variation de ce paramètre.
0,04	
0,0405	
0,041	
0,0415	
0,042	
0,0425	
0,043	
0,0435	
0	 25	 50	 75	 100	
conductivité	thermique	en	
w.m-1.k-1			
%	Xibre	1	
conductivité	thermique	en	w.m-1.k-1
Chapitre III : Fabrication et caractérisation des non-tissés ISET KH
Donya CH &Mayssem HA 50
Figure 45: Diagramme de conductivité thermique en fonction de nombre de
couches
D’après le diagramme de conductivité thermique en fonction de nombre de couches
on remarque que la conductivité thermique augmente en fonction de nombre de
couches, lorsqu’on a une seule couche on a une conductivité thermique égale à
0,039 w.m-1
.k-1
alors que pour deux couches la conductivité thermique égale à 0,042
w.m-1
.k-1
. Pour la conductivité thermique, la valeur meilleure est en fonction de
l’application et de nos besoins.
Figure 46: Diagramme de conductivité thermique en fonction de thermo-liage
0,0375	
0,038	
0,0385	
0,039	
0,0395	
0,04	
0,0405	
0,041	
0,0415	
0,042	
0,0425	
1	 2	
conductivité	thermique	en	
w.m-1.k-1			
nombre	de	couches	
conductivité	thermique	en	w.m-1.k-1		
0,0375	
0,038	
0,0385	
0,039	
0,0395	
0,04	
0,0405	
0,041	
0,0415	
0,042	
0,0425	
oui	 non	
Conductivité	thermique	en	w.m-1.k-1		
conductivité	thermique	
thermo-liage
Chapitre III : Fabrication et caractérisation des non-tissés ISET KH
Donya CH &Mayssem HA 51
D’après le diagramme de conductivité thermique en fonction de thermo-liage, on
remarque que les nappes thermo-liées sont plus conductibles que celles non thermo-
liées.
Figure 47: Diagramme de conductivité thermique en fonction de densité
d'aiguilletage
D’après le diagramme de conductivité thermique en fonction de densité d’aiguilletage
on obtient un résultat minimum égal à 0,039 w.m-1.k-1 pour une densité
d’aiguilletage de 30 et une valeur maximum égale à 0,041 w.m-1
.k-1
pour 40 de
densité d’aiguilletage.
4- Détermination de la perméabilité à l’air
La présente norme internationale, ISO 9237, prescrit une méthode pour la
détermination de perméabilité à l’air des étoffes elle est applicable à la plupart des
types d’étoffes y compris les étoffes industrielles destinés à des usages technique, aux
non tissés et aux articles textile confectionnés qui sont perméables à l’air.
Le principe consiste à mesurer le débit d'air passant à travers l'étoffe pendant un
temps donné et une précision différentielle bien définie.
0,038	
0,0385	
0,039	
0,0395	
0,04	
0,0405	
0,041	
0,0415	
30	 40	 50	
conductivité	thermique	en	
w.m-1.k-1			
densité	d'aiguilletage		
Conductivité	thermique	en	w.m-1.k-1
Chapitre III : Fabrication et caractérisation des non-tissés ISET KH
Donya CH &Mayssem HA 52
Figure 48 : Perméabilité à l'air: FX 3300 III
Les moyennes des valeurs prises (voir annexe 3 page 5) de la mesure de la
perméabilité à l’air sont présentés dans le tableau n°13.
Tableau 13: résultat de l’essai perméabilité a l'air pour les différentes nappes.
N° échantillon Moyenne (l/m2
/s) cv (%) Échantillon Moyenne (l/m2
/s) cv (%)
1 2454 13 31 2388 7
2 2030 8 32 3282 11
3 2318 14 33 2860 13
4 1872 17 34 2794 8
5 1896 26 35 2684 6
6 1722 23 36 2532 10
7 2630 4 37 3436 4
8 3290 4 38 2344 7
9 3290 7 39 3314 12
10 2204 15 40 2088 8
11 2228 11 41 2656 11
12 2182 12 42 2526 10
13 1804 24 43 2478 9
14 2266 19 44 3622 6
15 3608 4 45 3118 13
16 2964 13 46 2570 7
17 3048 5 47 2684 14
18 3254 7 48 2258 25
Chapitre III : Fabrication et caractérisation des non-tissés ISET KH
Donya CH &Mayssem HA 53
19 2692 8 49 2776 8
20 1914 16 50 2582 15
21 2788 2 51 2866 4
22 2020 4 52 2574 11
23 3066 8 53 1998 12
24 3528 7 54 2556 9
25 3212 4 55 3084 5
26 2676 13 56 2720 4
27 3238 11 57 2938 15
28 1954 6 58 2558 15
29 1810 10 59 2242 12
30 2196 16 60 2532 15
La perméabilité à l’air mesuré donne des valeurs comprises entre 1722 (l/m/s) et 3622
(l/m/s) ce qui signifie que nos échantillons sont perméables à l’air et poreux. Les
valeurs varient avec un cv(%) de 19%, montre une distribution non uniforme des
fibres dans le voile.
Figure 49: Graphique des effets principaux pour perméabilité a l’air
NB : Pm air : perméabilité à l’air en (l/m2
/s)
Chapitre III : Fabrication et caractérisation des non-tissés ISET KH
Donya CH &Mayssem HA 54
Les 4 facteurs, % fibre, nombre de couches, densité d’aiguilletage et le thermo-liage
ont un grand effet sur la perméabilité à l’air.
Figure 50: Diagramme de perméabilité a l’air en fonction de % fibre 1
D’après le diagramme de Pm air en fonction de % fibre 1 , les résultats obtenus sont
variables selon le % fibre 1 avec une valeur minimum égale à 1810 l/m2
/s pour 50%
de fibre 1 et un maximum égal à 2656l/m2
/s pour 75% fibre 1 . Ainsi le choix de la
valeur désirée dépend de l’application du produit.
Figure 51: Diagramme de perméabilité à l'air en fonction de nombre de couches
D’après le diagramme de perméabilité à l’air en fonction de nombre de couches on
conclut que en augmentant le nombre de couches on diminue la perméabilité à l’air.
0	
500	
1000	
1500	
2000	
2500	
3000	
0	 25	 50	 75	 100	
%	Xibre	1	
Perméabilité	à	l'air		
	
perméabilité	à	l'air	en	(l/
m2/s)	
0	
500	
1000	
1500	
2000	
2500	
3000	
1	 2	
%	Xibre	1	
perméabilité	à	l'air	en(l/m2/s)	
perméabilité	à	l'air	en(l/
m2/s)
Chapitre III : Fabrication et caractérisation des non-tissés ISET KH
Donya CH &Mayssem HA 55
Figure 52: Diagramme de perméabilité à l'air en fonction de thermo-liage
D’après le diagramme ci-dessus on conclut que le thermo-liage à une grande
influence sur la perméabilité à l’air alors les nappes thermo-liées laisse passer l’air
avec une valeur de 1810 l/m2
/s tant que les nappes non thermo-liées avec une valeur
de 2684 l/m2
/s.
Figure 53 : Diagramme de perméabilité à l'air en fonction de densité
d'aiguilletage
D’après le diagramme ci-dessus, la perméabilité à l’air varie selon la densité
d’aiguilletage. Pour une densité de 30 , la perméabilité à l’air est égale à 2454 l/m2
/s ,
0	
500	
1000	
1500	
2000	
2500	
3000	
oui	 non	
Thermoliage	
Perméabilité	à	l'air	en	(l/m/s)	
perméabilité	à	l'air	en	(l/
m2/s)	
0	
500	
1000	
1500	
2000	
2500	
3000	
30	 40	 50	
densité	d'aiguilletage		
perméabilité	à	l'air	en	(l/m2/s)	
perméabilité	à	l'air	en	(l/
m2/s)
Chapitre III : Fabrication et caractérisation des non-tissés ISET KH
Donya CH &Mayssem HA 56
de 2030 l/m2
/s pour 40 de densité alors qu’elle est égale à 2318 l/m/s pour une densité
de 50.
5- Détermination de la Résistance à la traction
La présente norme, NF G 38-012, décrit une méthode de détermination de la
résistance à la traction et de l’allongement à l’effort maximal d’un géotextile sur un
dynamomètre Lloyd Instrument Mers LR 5K disponible au laboratoire de métrologie
de l’ISET Ksar Hellal.
Elle est applicable à tous les géotextiles sous forme de nappe. On réalise un essai
dynamométrique dans le but de déterminer la résistance du non tissé à la traction
puisque ce produit va recevoir des sollicitations mécaniques de traction lors de son
utilisation. La force maximale, la déformation et le pourcentage d'allongement sont
alors recherchés. Les moyennes des résultats prises (voir annexe 5 page 11) sont
présentés dans le tableau n°14
Figure 54: Dynamomètre"LLOYD "
Tableau 14: Résultat de l’essai dynamométrique pour les différents nappes
Chapitre III : Fabrication et caractérisation des non-tissés ISET KH
Donya CH &Mayssem HA 57
Écha
ntillo
n N°
Force maximale Allongement maximale
SENS MACHINE
SENS
TRANSVERSAL
SENS MACHINE SENS
TRANSVERSAL
Moyenne
(N)
Cv(%)
Moyenne
(N)
Cv(%) Moyenne (N) Cv(%)
Moyenne
(N)
Cv(%)
1 279,06 11,04 365,18 22,00 66,82 8,29 59,44 6,30
2 421,09 20,10 271,82 27,00 47,19 11,17 78,76 11,13
3 374,48 6,39 209,25 12,00 48,04 5,13 76,37 7,65
4 327,34 24,70 105,42 26,00 56,80 9,20 88,09 10,40
5 358,37 24,06 535,52 15,00 66,26 61,73 15,05
6 324,33 10,56 416,25 22,00 81,97 12,67 67,45 3,77
7 433,63 22,91 85,77 14,00 62,65 6,11 87,52 5,76
8 370,49 38,75 209,53 11,00 56,40 22,91 103,65 3,76
9 365,09 38,01 215,91 14,00 57,08 20,38 91,79 11,30
10 210,28 35,13 666,46 17,00 62,98 18,35 54,74 13,71
11 560,96 29,08 258,09 14,00 53,66 4,53 81,03 12,03
12 463,47 15,11 207,34 11,00 48,88 3,46 86,22 5,68
13 280,65 11,75 465,16 28,00 71,32 6,40 54,87 6,26
14 199,43 34,74 352,99 22,00 73,13 19,78 49,54 8,39
15 359,68 20,87 126,02 24,00 47,48 9,74 82,26 14,05
16 309,51 25,12 238,62 22,00 45,73 14,47 63,12 35,14
17 241,07 53,58 263,04 19,00 73,63 8,04 56,78 8,44
18 460,90 7,61 123,67 33,00 61,02 25,72 84,54 7,47
19 334,34 26,32 203,50 19,00 58,96 14,84 82,09 9,43
20 391,68 17,17 147,86 15,00 49,72 17,13 96,04 6,89
21 169,00 51,49 243,71 26,00 42,71 14,89 80,96 11,11
22 342,17 35,10 123,79 70,00 60,80 23,72 81,38 16,53
23 193,96 38,53 184,13 23,00 73,94 12,90 48,94 2,59
24 232,91 15,87 254,93 64,00 74,74 15,70 48,99 54,73
25 269,43 14,13 59,76 52,00 57,31 15,70 88,92 16,78
26 493,12 15,11 174,38 14,00 58,14 2,09 103,06 5,40
27 419,85 31,45 157,35 17,00 57,25 6,66 94,44 12,45
28 223,97 15,92 345,54 59,00 94,04 11,79 44,07 40,59
Chapitre III : Fabrication et caractérisation des non-tissés ISET KH
Donya CH &Mayssem HA 58
29 199,67 10,92 471,92 40,00 65,43 8,60 51,69 5,58
30 106,12 24,40 359,19 61,00 57,03 13,17 38,84 38,85
31 271,64 100,00 101,66 18,00 57,10 100,0 82,01 14,22
32 135,60 20,46 286,06 10,00 83,34 4,51 53,24 8,77
33 297,15 35,00 328,91 15,00 80,34 11,11 68,68 10,68
34 171,91 6,26 450,46 15,00 59,59 15,76 50,02 8,74
35 286,94 31,73 216,21 66,00 47,04 8,16 54,66 12,54
36 378,12 43,01 196,25 13,00 45,77 16,92 70,99 14,40
37 369,86 26,54 223,45 13,00 56,05 9,47 84,41 10,58
38 396,19 22,69 191,12 26,00 51,74 8,53 86,22 6,17
39 395,62 9,38 166,60 37,00 56,08 8,51 61,67 30,58
40 326,39 21,53 434,18 27,00 73,86 11,71 60,61 4,28
41 205,60 31,55 519,35 31,00 69,06 20,89 49,83 18,24
42 260,70 23,08 621,44 33,00 51,76 27,93 50,54 24,34
43 346,63 6,88 161,45 30,00 55,79 6,64 59,62 38,86
44 141,49 32,91 294,96 24,00 56,42 19,43 37,04 16,10
45 254,58 20,45 89,59 41,00 36,30 6,22 55,16 16,59
46 376,47 26,16 166,85 35,00 38,26 10,56 64,59 28,48
47 451,04 17,89 148,02 79,00 43,95 10,63 65,07 20,46
48 179,33 33,96 117,23 53,00 47,73 8,32 29,99 33,48
49 188,21 20,39 330,41 19,00 98,65 7,00 73,11 25,84
50 185,49 8,63 493,37 17,00 58,22 12,79 63,84 9,95
51 242,00 33,90 345,93 41,00 90,44 7,71 61,41 17,52
52 237,63 25,03 250,13 30,00 66,14 10,89 55,72 11,87
53 142,48 19,45 161,68 62,00 94,90 7,43 63,15 22,24
54 272,85 36,42 148,66 32,00 57,92 25,79 81,84 13,60
55 132,04 77,19 219,14 7,00 74,26 15,27 54,20 10,51
56 290,17 16,17 119,69 60,00 48,23 4,42 77,20 10,51
57 150,62 17,00 288,87 18,00 80,41 3,64 50,24 6,92
58 231,35 30,37 473,61 25,00 91,79 9,74 54,03 8,90
59 125,75 22,26 445,88 15,00 83,13 17,47 59,08 11,70
60 132,95 30,20 524,86 29,00 86,01 5,34 46,86 24,47
Chapitre III : Fabrication et caractérisation des non-tissés ISET KH
Donya CH &Mayssem HA 59
Après la mesure de pourcentage d’allongement maximale de nos structures on obtient
des valeurs variables entre 29,99 et 103,65 donc les non tissé fabriqués sont
extensible. Aussi les valeurs de la force maximale qui varient entre59,76 N et
666,46N. Pour étudier les causes de cette variation, on présente les deux graphiques
ci-dessous qui présentes les effets principaux pour la force maximale et ainsi pour le
% d’allongement maximale.
Figure 55: Graphique des effets principaux pour Force maximal ST
NB :
- Force max SM : Force maximale dans le sens machine.
- Force max ST : Force maximale dans le sens transversale.
Le graphique ci-dessus montre que les quatre facteurs ont une grande influence sur la
force maximale, pour 100% de fibre 1 on a une valeur de force maximale supérieure à
300 N alors que le 25% de fibre a une valeur minimale inférieure à 240N ce qui
prouve que les propriétés mécaniques sont liés aux propriétés des fibres.
Chapitre III : Fabrication et caractérisation des non-tissés ISET KH
Donya CH &Mayssem HA 60
Figure 56: Graphique des effets principaux pour Force max SM
Le graphique ci-dessus montre que les quatre facteurs ont une grande influence sur la
force maximale, pour 0% de fibre 1 on a une valeur de force maximale supérieure à
330 N alors que le 100% de fibre a une valeur minimale inférieure à 200N ce qui
prouve que les propriétés mécaniques sont liés aux propriétés des fibres.
La densité d’aiguilletage donne une valeur de force maximale meilleure avec la
densité 40 ceci montre que la consolidation améliore la cohésion dans la structure et
par la suite les propriétés mécaniques.
Figure 57: Diagramme de la force maximal en fonction de % fibre 1
358,37	
280,65	
199,67	 205,60	
142,48	
535,52	
465,16	 471,92	
519,35	
161,68	
0,00	
100,00	
200,00	
300,00	
400,00	
500,00	
600,00	
0	 25	 50	 75	 100	
%	Xibre	1	
Force	maximale	en	N	
SENS	MACHINE	
SENS	TRANSVERSALE
Chapitre III : Fabrication et caractérisation des non-tissés ISET KH
Donya CH &Mayssem HA 61
D’après le diagramme ci-dessus on remarque que la force maximale en sens machine
diminue en augmentant le pourcentage de fibre 1, alors on peut conclure que la fibre 1
possède des propriétés mécaniques plus faibles que la fibre 2. Par contre dans le sens
transversal on remarque que 0% fibre 1 donne une force maximale égale à 535,52 N
alors que 100% de fibre 1 donne une valeur minimale 161,68 N.
Figure 58: Diagramme de la force maximal en fonction de nombre de couches
La force maximale dans le sens transversal montre que pour une seule couche est
égale à 365.18 N et pour les deux couches est égale à 105.42 N.
Par contre dans le sens machine on remarque qu’une seule couche donne une valeur
plus faible égale à 279.06 que celle de deux couches avec une valeur égale à 327.34
ce qui est contraire de celui de la force maximale en sens transversal. Ainsi le nombre
de couches influe sur la variation de la force maximale ainsi que le sens.
279,06	
327,34	
365,18	
105,42	
0,00	
50,00	
100,00	
150,00	
200,00	
250,00	
300,00	
350,00	
400,00	
1	 2	
nombre	de	couches		
Force	maximale	en	N	
SENS	MACHINE	
SENS	TRANSVERSALE		
199,67	
286,94	
471,92	
216,21	
0,00	
50,00	
100,00	
150,00	
200,00	
250,00	
300,00	
350,00	
400,00	
450,00	
500,00	
oui	 non	
thermo-liage	
Force	maximale	en	N	
SENS	MACHINE	
SENS	TRANSVERSALE
Chapitre III : Fabrication et caractérisation des non-tissés ISET KH
Donya CH &Mayssem HA 62
Figure 59: Diagramme de la force max en fonction de thermo-liage
Le diagramme ci-dessus prouve que le thermo-liage influe sur la force maximale
ainsi les nappes non thermo-liées ont une valeur de force maximale en sens machine
égalé à 286,94N supérieur à celles du thermo-liées qui est égale à 199,67 N.
On remarque aussi l’influence de thermo-liage sur la force maximale en sens
transversale ce qui est prouvé par la valeur de cette dernière qui diminue de 471,92 N
des nappes thermo-liées jusqu’à une valeur égale à 216,21 N pour celles non thermo-
liées.
Figure 60: Diagramme de la force max en fonction de densité d'aiguilletage
Le diagramme ci-dessus montre que en sens machine la densité 40 donne une valeur
meilleure de force maximale égale à 421,09N alors que la densité 30 donne une valeur
minimale égale à 279,06. En outre dans le sens transversal lorsqu’on augmente la
densité la force maximale diminue. Cette valeur est comprise entre 365,18 N pour une
densité de 30 et 209,25N pour une densité égale à 50.
279,06	
421,09	
374,48	365,18	
271,82	
209,25	
0,00	
50,00	
100,00	
150,00	
200,00	
250,00	
300,00	
350,00	
400,00	
450,00	
30	 40	 50	
Densité	d'aiguilletage	
Force	maximale	en	N	
SENS	MACHINE	
SENS	TRANSVERSALE
Chapitre III : Fabrication et caractérisation des non-tissés ISET KH
Donya CH &Mayssem HA 63
Figure 61 : Graphique des effets principaux pour % allongement maximal SM
NB :
- % all max SM : pourcentage allongement maximale pour le sens machine.
- % all max ST : pourcentage allongement maximale pour le sens transversal.
Figure 62: Graphique des effets principaux pour % allongement maximal ST
Chapitre III : Fabrication et caractérisation des non-tissés ISET KH
Donya CH &Mayssem HA 64
Les deux graphiques ci-dessus montrent que le pourcentage de fibre influe
directement sur le pourcentage de l’allongement maximal. L’augmentation de la
cohésion dans les non tissés par consolidation et par augmentation de nombre de
couches bloque la structure et par la suite on a diminution de l’extensibilité.
Figure 63: Diagramme de % allongement maximal en fonction de % fibre 1
D’après le diagramme de pourcentage d’allongement maximal en fonction de
pourcentage de fibre 1, on remarque que dans le sens machine lorsqu’on augmente ce
pourcentage l’allongement maximal augmente par contre on obtient des valeurs de
pourcentage d’allongement dans le sens transversale variables selon le pourcentage de
fibre 1 utilisé avec une valeur maximale égale à 63,15% pour 100% fibre 1 et une
valeur minimale égale à 49,83% pour 75% fibre 1 .
Ainsi on peut conclure de ces deux diagrammes, qui montrent la variation de
pourcentage d’allongement dans le sens machine et les sens transversale en fonction
de pourcentage de fibres, que les propriétés mécaniques des fibres influent
directement sur les propriétés mécaniques de produit fabriqué.
66,26	
71,32	
65,43	 69,06	
94,90	
61,73	
54,87	 51,69	 49,83	
63,15	
0,00	
20,00	
40,00	
60,00	
80,00	
100,00	
0	 25	 50	 75	 100	
%	Xibre	1		
%	allongement	maximale		
SENS	MACHINE		
SENS	TRANSVERSALE
Chapitre III : Fabrication et caractérisation des non-tissés ISET KH
Donya CH &Mayssem HA 65
Figure 64: Diagramme % allongement maximale en fonction de nombre de
couches
Le diagramme ci-dessus prouve que en augmentant le nombre de couches dans le sens
transversale augmente le pourcentage d’allongement avec 88,09% pour la nappe de
deux couches et 59,44% pour celle d’une seule couche, au contraires pour le sens
machine en augmentant le nombre de couches le % d’allongement diminue.
Figure 65: Diagramme de % allongement maximal en fonction de thermo-liage
Le diagramme ci-dessus présent l’effet du thermo-liage sur le pourcentage
d’allongement maximal dans le sens machine les nappes thermo-liées sont plus
extensibles avec 65,43% d’allongement maximale que celles non thermo-liées.
66,82	
56,80	59,44	
88,09	
0,00	
20,00	
40,00	
60,00	
80,00	
100,00	
1	 2	
Nombre	de	couches		
%	allongement	maximale		
SENS	MACHINE		
SENS	TRANSVERSALE		
65,43	
47,04	
51,69	
54,66	
0,00	
10,00	
20,00	
30,00	
40,00	
50,00	
60,00	
70,00	
oui	 non	
thermo-liage		
%	allongement	maximale		
SENS	MACHINE		
SENS	TRANSVERSALE
Chapitre III : Fabrication et caractérisation des non-tissés ISET KH
Donya CH &Mayssem HA 66
Dans l’autre sens on remarque un résultat différent, les nappes non thermo-liées sont
les plus extensibles dans le sens transversal avec 54,66% d’allongement maximale.
Figure 66: Diagramme d'allongement maximal en fonction de densité
d'aiguilletage
Le diagramme précédent fait preuve d’une variation de pourcentage d’allongement en
fonction de densité d’aiguilletage dans le deux sens de la sorte d’une valeur
maximale égale à 66,82% pour une densité minimale dans le sens machine et une
valeur minimale de 47,19% pour une densité d’aiguilletage moyenne égale à 40.
Dans le sens transversal on atteint une valeur égale à 78,76% pour une densité de 40.
6- Détermination de la Résistance au déchirement
On réalise un essai de résistance au déchirement selon la norme AFNOR G 07- 149
sur le déchiromètre FX 3750 ELMENDOF TESTER présenté dans la figure suivante.
Figure 67: Déchiromètre" FX 3750 ELMENDOF"
66,82	
47,19	 48,04	
59,44	
78,76	 76,37	
0,00	
10,00	
20,00	
30,00	
40,00	
50,00	
60,00	
70,00	
80,00	
90,00	
30	 40	 50	
densité	d'aiguiletage		
%	allongement	maximale		
SENS	MACHINE		
SENS	TRANSVERSALE
Chapitre III : Fabrication et caractérisation des non-tissés ISET KH
Donya CH &Mayssem HA 67
Cet essai permet de déterminer la force moyenne requise pour la propagation d'une
déchirure à languette à déchirure unique à partir d'une coupe de papier, de carton, de
plastique, de non-tissé et de tissus. La valeur est exprimée en N. Les moyennes des
valeurs (voir annexe 4 page 8) sont présentés dans le tableau n°15
Tableau 15: Résultat de l’essai résistance au déchirement pour les différentes
nappes
n° échantillon
Sens machine sens transversal
n° échantillon
sens machine sens transversal
moyenne en N moyenne en N moyenne en N moyenne en N
1 90,15 51,8 31 75,3 115,5
2 95,9 53,1 32 76,85 79,9
3 104,3 76,8 33 65,75 90,15
4 133 133 34 62,45 49,5
5 111,3 75,65 35 95,95 114,75
6 136 136 36 66,1 84,1
7 62,2 42,15 37 81,4 108,3
8 75,1 79,8 38 104,8 108,3
9 95,8 68,55 39 80,75 83,95
10 110 130,5 40 122,5 84.8
11 111,05 79,4 41 85,6 102,95
12 109,5 122,5 42 132,5 132,5
13 123 132 43 65,95 71,55
14 95,4 94,85 44 76,85 55,5
15 64,7 94,4 45 105,45 76,6
16 82,4 68,15 46 112,4 120
17 48,9 56,5 47 125 85,35
18 57,75 61,75 48 111,15 108,95
19 115,5 72,6 49 65,2 65,2
20 120,5 136 50 120 85,7
21 78,05 111,2 51 46,65 88,3
22 135,5 51,5 52 136 133,5
23 77,7 109,15 53 96,1 80,55
24 95,05 49,6 54 54,05 122
25 125,5 86,35 55 79,45 120
26 122,5 107,35 56 109 28,55
Chapitre III : Fabrication et caractérisation des non-tissés ISET KH
Donya CH &Mayssem HA 68
27 89,8 73,95 57 123 79,25
28 113,5 125,5 58 69,4 114
29 93,6 109,5 59 93,8 124
30 120,5 133 60 132 80,5
Figure 68: Graphique des effets principaux pour déchiromètre SM
Figure 69: Graphique des effets principaux pourrésistance au déchirement ST
NB :
- Résistance au déchirement SM : résistance au déchirement dans le sens
machine.
Chapitre III : Fabrication et caractérisation des non-tissés ISET KH
Donya CH &Mayssem HA 69
- Résistance au déchirement ST : résistance au déchirement dans le sens
transversal.
Les deux graphiques ci-dessus montrent que les 4 facteurs ont une grande influence
sur la résistance au déchirement. Pour cette raison , on propose les diagrammes
suivants pour étudier l’effet de chaque facteur sur ce paramètre .
Figure 70: Diagramme de la résistance au déchirement en fonction de % fibre 1
Le diagramme ci-dessus insiste sur une variation de la résistance au déchirement dans
les deux sens en fonction de pourcentage de fibre 1. On peut tirer comme résultat que
25% de fibre 1 est la nappe la plus résistante au déchirement pour les deux sens.
Figure 71: Diagramme de la résistance au déchirement en fonction de nombre de
couches
111,30	
123,00	
93,60	
85,60	
96,10	
75,65	
132,00	
109,50	
102,95	
80,55	
0,00	
20,00	
40,00	
60,00	
80,00	
100,00	
120,00	
140,00	
0	 25	 50	 75	 100	
%	Xibre	1	
Résistance	au	déchirement	en	N	
sens	machine	
sens	transversal	
90,15	
133,00	
51,80	
133,00	
0,00	
20,00	
40,00	
60,00	
80,00	
100,00	
120,00	
140,00	
1	 2	
nombre	de	couches	
Résistance	au	déchirement	en	N	
sens	machine		
sens	transversal
Chapitre III : Fabrication et caractérisation des non-tissés ISET KH
Donya CH &Mayssem HA 70
Les deux diagrammes de résistance au déchirement dans le sens production (machine)
et dans le sens transversal en fonction de nombre de couches prouvent qu’une nappe
avec une seule couche n’est pas résistante comme celle de deux couches qui atteint
une résistante égale à 133N pour les deux sens.
Figure 72: Diagramme de la résistance au déchirement en fonction de thermo-liage
Le diagramme précédent de résistance au déchirement en fonction de thermo-liage
dans le sens machine et le sens transversale insiste sur le fait que les nappes non
thermo-liées sont plus résistantes que celles thermo-liées avec une résistance
supérieur à 95N.
Figure 73: Diagramme de la résistance au déchirement SM en fonction de
densité d'aiguilletage
93,60	 95,95	
109,50	 114,75	
0,00	
20,00	
40,00	
60,00	
80,00	
100,00	
120,00	
140,00	
oui	 non	
thermo-liage	
Résistance	au	déchirement	en	N	
sens	machine	
sens	transversale		
90,15	
95,90	
104,30	
51,80	 53,10	
76,80	
0,00	
20,00	
40,00	
60,00	
80,00	
100,00	
120,00	
30	 40	 50	
densité	d'aiguilletage	
Résistance	au	déchirement	en	N	
sens	machine	
sens	transversal
Chapitre III : Fabrication et caractérisation des non-tissés ISET KH
Donya CH &Mayssem HA 71
Le diagramme ci-dessus met en évidence la relation entre la consolidation mécanique
et la résistance au déchirement en N. On remarque que la résistance dans le sens
machine est plus important de celui dans le sens transversal.
Pour conclure , on peut dire que une densité égale à 30 ou 40 donne des valeurs de
résistance presque égales alors que lorsqu’on augmente la densité à 50 on obtient une
résistance plus importante supérieure à 75N.
V- Conclusion
Dans ce chapitre, on s’est intéressé en premier temps à la fabrication des structures
non tissé en variant différents paramètres de fabrication tel que la composition en
fibres, nombre de couches, le mode de consolidation et la densité d’aiguilletage.
Après la fabrication des structures, on a passé à la réalisation des tests métrologiques
pour caractériser les structures et déterminer leurs propriétés physiques, mécaniques
et thermiques. Pour analyser les résultats, on a présenté les diagrammes des effets
principaux pour chaque propriété. Les propriétés mesurées nous permettront de
choisir la structure qui répond au cahier des charges du produit choisi.
Chapitre VI : Optimisation des résultats
Chapitre VI : Optimisation des résultats ISET KH
Donya CH &Mayssem HA 72
I- Introduction :
Dans ce chapitre, on va s’intéresser à l’optimisation des résultats obtenus dans le but
de trouver un produit correspond au dossier technique et au cahier des charges de
l’application visée.
II- Optimisation de la fabrication des non tissés
1- Optimisation pour l’isolation thermique
1.1- En utilisant le graphique de contours superposés
Cette méthode consiste à identifier une zone où les moyennes des réponses répondent
aux conditions choisies. C’est une méthode d’identification visuelle une aire de
compromis blanche parmi les diverses réponses10, 11
.
L’optimisation par la méthode de contour superposé ne nous permet de travail
qu’avec deux paramètres d’entrée, ce qui est un inconvénient. C’est pourquoi nous
avons choisi de travailler avec le pourcentage de fibre et la densité d’aiguilletage
comme paramètres variable et nous avons fixé à chaque fois le nombre de couche et la
consolidation. L'isolation thermique fait l'objet d'une réglementation pour le neuf et
l'existant. La ouate de polyester est un bon isolant très utilisé.
La ouate de polyester est un isolant écologique, d’origine synthétique, issu du
recyclage de bouteilles plastiques qui s’utilise en isolation intérieure des murs et des
toitures :
• Elle existe sous forme de panneau, de rouleau et en vrac.
• La ouate de polyester est composée à 100 % de fibres de polyester recyclées.
Il faut environ 40 bouteilles plastiques pour réaliser 1 kilogramme de fibre
recyclée.
• Dans sa composition, Il n'y a pas de produits chimiques, d'amiante et d'agents
ignifugeants donc son utilisation pratiquement sans risque pour la santé : non
allergénique, non irritable, non toxique.
Pour choisir le bon produit, parmi les non tissés fabriqués, qui peut être utilisés
comme isolant thermique, nous nous somme référé au cahier des charges des produits
commercialisés (voir annexe 7 page 17) où les deux propriétés les plus intéressantes
sont la conductivité thermique et l’épaisseur.
Chapitre VI : Optimisation des résultats ISET KH
Donya CH &Mayssem HA 73
Figure 74 : Graphique de contour superposé de conductivité thermique et
épaisseur pour les échantillons non thermolié avec deux couches
Figure 75:Graphique de contour superposé de conductivité thermique et
épaisseur pour les échantillons non thermolié avec une seule couche
Les deux diagrammes précédents montrent les limites des échantillons avec les
paramètres convenables pour une application d’isolation thermique
La région en blanc dans les graphiques affiche la combinaison de valeurs pour la
densité d’aiguilletage et le pourcentage de fibre 1, qui fournit des valeurs ajustées
satisfaisantes pour les deux variables de réponse.
Chapitre VI : Optimisation des résultats ISET KH
Donya CH &Mayssem HA 74
Figure 76Graphique de contour superposé de conductivité thermique et
épaisseur pour les échantillons thermoliés avec une seule couche
La région en blanc dans le graphique affiche la combinaison de valeurs pour la
densité d’aiguilletage et % fibre 1, qui fournit des pour conductivité thermique et
l’épaisseur lorsque les structures sont thermo-liées et possèdent une seule couche.
Figure 77 : Graphique de contour superposé de conductivité thermique et
épaisseur pour les échantillons thermolié avec deux couches
La région en blanc dans ce graphique est très limité lorsque les structures sont thème-
liés et possèdent deux couches donc on n’a pas assez valeurs ajustées satisfaisantes
1.2- En utilisant la méthode de désirabilité
L'optimisation des réponses permet d'identifier la combinaison des paramètres de
variables d'entrée qui optimisent conjointement une réponse unique ou un ensemble
de réponses. L’optimisation doit satisfaire aux exigences pour toutes les réponses de
Chapitre VI : Optimisation des résultats ISET KH
Donya CH &Mayssem HA 75
l'ensemble. Pour se faire on a eu recourt au Minitab qui calcule une solution optimale
et trace un diagramme d’optimisation et donne le degré de satisfaction des exigences
ou conditions annoncés à travers le calcul de la désirabilité individuelle pour chaque
sortie et la désirabilité globales pour l’ensemble des sorties. Cette méthode,
contrairement à la méthode des contours superposés, permet de définir la meilleure
combinaison satisfaisant les conditions imposées sur les réponses.
Nous nous sommes basés sur les cahiers des charges de l’annexe 4 pour faire
l’optimisation. Donc nous avons comme condition une conductivité thermique égale à
0,0379 et une épaisseur égale à 8mm. On propose le diagramme d’optimisation des
réponses pour préciser la meilleure nappe pour notre application d’isolation
thermique.	
Figure 78: Diagramme d'optimisation conductivité thermique et épaisseur
Pour l'isolation, la désirabilité globale est de 76,24%. Cette valeur de la désirabilité
globale est proches de 1 ce qui indique que les paramètres atteignent des résultats
favorables pour toutes les réponses. Le meilleur non-tissé qui permet de satisfaire les
conditions imposés est obtenue en utilisant les fibres 2 en deux couches avec une
densité d’aiguilletage de 30 et ayant recourt au thermoliage.
Cette valeur de désirabilité globale est donnée par des désirabilités individuelles
comme présentées dans le tableau ci-dessous :
Chapitre VI : Optimisation des résultats ISET KH
Donya CH &Mayssem HA 76
Tableau 16: Les valeurs des désirabilités individuelles de la conductivité thermique et l’épaisseur
Propriétés Valeur moyenne Désirabilité individuelle
Conductivité thermique 0,037 0,84
Épaisseur 7,1 0,68
2- Application 2 : Filtration
Le contrôle des particules fines en présence de contraintes hydrauliques (écoulement
d’eau) et mécaniques (mouvements des véhicules) est nécessaire afin de préserver la
stabilité de l’ouvrage. Les géotextiles non-tissés possèdent des ouvertures de
filtration optimisées pour permettre la filtration en présence de sols fins et argileux.
Ces géotextiles sont nécessaires pour limiter le lessivage des particules libres et pour
faciliter l’écoulement des liquides vers le système drainant.
Pour choisir le bon produit, parmi les non tissés fabriqués, qui peut être utilisés
comme filtration, nous nous somme référé au cahier des charges des produits
commercialisés (voir annexe 8 page 17) où les propriétés les plus intéressantes sont
pourcentage d’allongement maximale et force maximale
Figure 79 : graphiques de contour superposé de % de fibre et allongement et
force maximal
Chapitre VI : Optimisation des résultats ISET KH
Donya CH &Mayssem HA 77
Les 4 graphiques de contour superposé montrent que tous les 60 nappes dans
les figures répondent à nos besoins, ils ont les mêmes paramètres des fiches
techniques (voir annexe3). Ainsi on propose le diagramme d’optimisation des
réponses pour préciser la meilleure nappe pour notre application d’isolation thermique 	
Figure 80 : Diagramme d'optimisation
Pour la filtration, la désirabilité globale est de 0,5163 .La meilleure structure du non-
tissé qui permet de satisfaire les conditions imposés est obtenue en utilisant 100% les
fibres 2, nombre de couches≈2 avec une densité d’aiguilletage de ≈40 et ayant
recourt au thermoliage. La désirabilité globale est un résultat des désirabilités
individuelles comme le présente le tableau suivant :
Tableau 17: Les valeurs des désirabilités individuelles de l’allongement maximal et la force maximal
Propriétés Valeur moyenne Désirabilité individuelle
% all max SM 75,54 0,61
% all max ST 63,42 0,43
F max SM 367,18 0,57
F max ST 338,94 0,46
Chapitre VI : Optimisation des résultats ISET KH
Donya CH &Mayssem HA 78
3- Autres applications :
Après la comparaison des valeurs avec les valeurs des fiches techniques , on a essayé
de faire varier les limites du graphique de contour superposé afin d’optimiser d’autres
résultats qui peuvent être convenables pour d’autres produits .
Figure 81 : Graphique de contour superposé de la masse surfacique et
l’épaisseur pour les échantillons non thermolié avec une seule couche
Figure 82 : Graphique de contour superposé de la masse surfacique et
l’épaisseur pour les échantillons non thermoliés avec deux couches
La région en blanc dans le graphique affiche la combinaison de valeurs pour la % de
fibre et la densité d’aiguilletage, qui fournit des valeurs ajustées satisfaisantes pour
une masse surfacique comprise entre 300g /m2
et 500 g/m2
et le une épaisseur entre
3,4 cm et 6,5 cm la valeur de nombre de couche est maintenue à 1 ou 2 couches
pour des structures non thermoliés.
Chapitre VI : Optimisation des résultats ISET KH
Donya CH &Mayssem HA 79
Figure 83 : Graphique de contour superposé de la masse surfacique et
l’épaisseur pour les échantillons thermoliés avec une seule couche
Figure 84 : Graphique de contour superposé de la masse surfacique et
l’épaisseur pour les échantillons thermoliées avec deux couches
La région en blanc dans le graphique affiche la combinaison de valeurs pour la % de
fibre et la densité d’aiguilletage, qui fournit des valeurs ajustées satisfaisantes pour
une masse surfacique comprise entre 300g /m2
et 500 g/m2
et le une épaisseur entre
3,4 cm et 6,5 cm la valeur de nombre de couche est maintenue à 1 ou 2 couches
pour des structures thermoliés.
Chapitre VI : Optimisation des résultats ISET KH
Donya CH &Mayssem HA 80
Figure 85: Diagramme d’optimisation de la perméabilité à l’air, %
d’allongement maximal et force maximale
La désirabilité globale est de 0,530 dans les conditions suivantes :
Le meilleur pourcentage de fibre est 100% fibre 1 et 0% fibre 2 avec les paramètres
de fabrication de nombre de couche ≈ 2, densité≈30 et une structure thermoliée.
Cette désirabilité globale est obtenue par les valeurs des désirabilités individuelles
présentées dans le tableau ci-dessous :
Tableau 18: Les valeurs des désirabilités individuelles Perméabilité à l’air, % allongement maximal et Force
maximale
Propriétés Valeur moyenne Désirabilité individuelle
Pm air 1724,34 (l /m2
/s) 0,99
% all max SM 67,73 0,51
% all max ST 69,08 0,52
F max SM 299,61 0,42
F max ST 353,36 0,48
III-Conclusion
Dans le but d’optimiser nos résultats nous avons mené une analyse fonctionnelle pour
définir nos besoins. Par la suite, en utilisant le logiciel Mini-Tab, on a transformé les
valeurs en diagrammes en se basant sur des observations et en contrôlant les facteurs
variables :
81
Conclusion générale et perspectives
Le stage effectué au sein de l’entreprise «LINDAOUATE », nous a permis de
mettre en application les connaissances théoriques acquises tout au long de notre
formation et d’avoir une idée sur la vie professionnelle en général et l’industrie du
non tissé en particulier.
L’objectif de ce travail était d’ajouter une consolidation mécanique à l’aide
d’une aiguilleteuse dans la ligne de production afin d’élargir la gamme de produits
pour l’entreprise et de la permettre d’entrer dans des nouveaux marchés .
Dans ce travail nous avons commencé par une étude bibliographique qui nous a
permis de découvrir les différentes techniques de fabrication des non-tissés, surtout de
connaitre les différents systèmes de formation de voile
Nous avons utilisé comme point de départ un plan d'expérience, dans lequel nous
avons pris en compte les différents facteurs et leurs niveaux.
Suite à cette étude nous avons fabriqué des structures de non-tissé et on a caractérisé
ces structure en déterminant les caractéristiques physiques (masse surfacique,
épaisseur), les caractéristiques hydrique (la perméabilité à l’air) et les caractéristiques
mécaniques (la résistance à la déchirure, la force et l’allongement de rupture).L’étude
d’optimisation de la fabrication des non-tissés nous a permis de connaitre le produit
correspond au dossier technique désiré.
Au cours de ce travail, nous avons pu:
- Réaliser un nouveau produit correspond à l’état actuel de besoins de
l’entreprise
- Optimiser les réglages de l’aiguilleteuse
Ce travail peut être complété par d’autres parties possibles, nous soulignons qu’il sera
utile par exemple de :
- Faire l’étude du coût de nouveau produit
82
Références bibliographiques :
[1].http://tpe-bioplastique.e-monsite.com/pages/tpe/le-plastique-et-ses-
effets-nocifs-sur-l-environnement.html
[2].http://cerig.pagora.grenoble-inp.fr/tutoriel/non-tisse
[3].http://clublr.pro/photo/cycle-plastique?context=latest
[4].https://eduscol.education.fr/rnchimie/math/triboulet/plans_experiences
.pdf
[5] support de cours de plan d’expériences de Mr Mounir JAOUADI
[6] livre Lean	 Six	 Sigma	 &	 Minitab	 de	 Quentin	 Brook
I
Annexes
1
Annexe 1 :
2
Annexe 2
Echantillon	
masse	en	g		 masse	surfacique		
	essai	1		 essai	2		 essai	3		 moyenne		 essai	2	 essai3	 moyenne		 écart	type		 CV%	
1	 8,43	 7,00	 7,56	 5,62	 4,67	 5,04	 5,11	 0,480385648	 9%	
2	 8,46	 8,54	 10,15	 5,64	 5,69	 6,77	 6,03	 0,635644904	 11%	
3	 7,60	 8,24	 7,10	 5,07	 5,49	 4,73	 5,10	 0,380953968	 7%	
4	 10,50	 8,82	 10,92	 7,00	 5,88	 7,28	 6,72	 0,740810367	 11%	
5	 13,28	 9,00	 10,10	 8,85	 6,00	 6,73	 7,20	 1,481760714	 21%	
6	 11,65	 8,92	 9,70	 7,77	 5,95	 6,47	 6,73	 0,937443332	 14%	
7	 5,22	 6,46	 6,68	 3,48	 4,31	 4,45	 4,08	 0,523240048	 13%	
8	 5,71	 5,31	 5,34	 3,81	 3,54	 3,56	 3,64	 0,148018017	 4%	
9	 6,10	 6,00	 5,90	 4,07	 4,00	 3,93	 4,00	 0,066666667	 2%	
10	 8,71	 8,62	 7,17	 5,81	 5,75	 4,78	 5,44	 0,576207267	 11%	
11	 6,17	 5,99	 7,91	 4,11	 3,99	 5,27	 4,46	 0,707081744	 16%	
12	 8,46	 8,11	 7,20	 5,64	 5,41	 4,80	 5,28	 0,433606751	 8%	
13	 10,00	 8,90	 8,75	 6,67	 5,93	 5,83	 6,14	 0,455013227	 7%	
14	 9,12	 7,12	 10,20	 6,08	 4,75	 6,80	 5,88	 1,041821766	 18%	
15	 5,73	 6,67	 6,01	 3,82	 4,45	 4,01	 4,09	 0,32175445	 8%	
16	 5,70	 5,20	 5,00	 3,80	 3,47	 3,33	 3,53	 0,240370085	 7%	
17	 6,09	 5,55	 5,66	 4,06	 3,70	 3,77	 3,84	 0,190243509	 5%	
18	 5,80	 5,90	 6,29	 3,87	 3,93	 4,19	 4,00	 0,172605309	 4%	
19	 6,78	 7,63	 6,33	 4,52	 5,09	 4,22	 4,61	 0,440117829	 10%	
20	 9,80	 8,40	 8,04	 6,53	 5,60	 5,36	 5,83	 0,619868564	 11%	
21	 5,90	 7,40	 6,90	 3,93	 4,93	 4,60	 4,49	 0,509175077	 11%	
22	 7,24	 8,70	 8,80	 4,83	 5,80	 5,87	 5,50	 0,582154364	 11%
3
23	 6,63	 7,60	 7,00	 4,42	 5,07	 4,67	 4,72	 0,326349052	 7%	
24	 4,78	 4,57	 4,91	 3,19	 3,05	 3,27	 3,17	 0,114374304	 4%	
25	 6,63	 7,30	 6,40	 4,42	 4,87	 4,27	 4,52	 0,311721623	 7%	
26	 5,89	 6,54	 5,59	 4,53	 5,03	 4,30	 4,62	 0,373559033	 8%	
27	 5,71	 5,80	 6,20	 4,39	 4,46	 4,77	 4,54	 0,200640002	 4%	
28	 6,62	 6,61	 8,30	 5,09	 5,08	 6,38	 5,52	 0,748344656	 14%	
29	 6,30	 7,40	 7,20	 4,85	 5,69	 5,54	 5,36	 0,450728098	 8%	
30	 7,20	 6,30	 7,01	 5,54	 4,85	 5,39	 5,26	 0,364905219	 7%	
31	 7,83	 8,19	 8,02	 5,22	 5,46	 5,35	 5,34	 0,120061713	 2%	
32	 5,90	 5,80	 5,20	 3,93	 3,87	 3,47	 3,76	 0,252395926	 7%	
33	 5,74	 5,94	 5,80	 3,83	 3,96	 3,87	 3,88	 0,068421353	 2%	
34	 6,50	 6,46	 6,48	 4,33	 4,31	 4,32	 4,32	 0,013333333	 0%	
35	 6,63	 7,59	 6,47	 4,42	 5,06	 4,31	 4,60	 0,403833482	 9%	
36	 7,90	 8,06	 7,82	 5,27	 5,37	 5,21	 5,28	 0,081468012	 2%	
37	 6,48	 6,07	 6,09	 4,32	 4,05	 4,06	 4,14	 0,154104342	 4%	
38	 5,48	 6,20	 5,90	 3,65	 4,13	 3,93	 3,91	 0,241108551	 6%	
39	 5,44	 6,20	 5,79	 3,63	 4,13	 3,86	 3,87	 0,253596355	 7%	
40	 5,40	 5,90	 6,33	 3,60	 3,93	 4,22	 3,92	 0,310292574	 8%	
41	 5,65	 5,78	 5,23	 3,77	 4,45	 3,49	 3,90	 0,493409646	 13%	
42	 5,45	 5,67	 5,96	 3,63	 4,36	 3,97	 3,99	 0,364368387	 9%	
43	 5,70	 5,60	 5,39	 3,80	 4,31	 3,59	 3,90	 0,367598362	 9%	
44	 4,47	 4,27	 4,69	 2,98	 3,28	 3,13	 3,13	 0,152342509	 5%	
45	 6,36	 6,55	 6,44	 4,24	 5,04	 4,29	 4,52	 0,446393196	 10%	
46	 7,23	 7,40	 6,92	 4,82	 5,69	 4,61	 5,04	 0,572686285	 11%	
47	 5,72	 6,08	 6,24	 3,81	 4,68	 4,16	 4,22	 0,434583036	 10%	
48	 4,67	 5,07	 5,38	 3,11	 3,90	 3,59	 3,53	 0,396035913	 11%
4
49	 6,52	 7,65	 7,19	 4,35	 5,10	 4,79	 4,75	 0,378828604	 8%	
50	 7,00	 5,52	 6,47	 4,67	 3,68	 4,31	 4,22	 0,499911103	 12%	
51	 5,73	 5,50	 5,90	 3,82	 3,67	 3,93	 3,81	 0,133832399	 4%	
52	 8,47	 7,39	 8,55	 5,65	 4,93	 5,70	 5,42	 0,4319122	 8%	
53	 7,06	 8,50	 8,00	 4,71	 5,67	 5,33	 5,24	 0,48741191	 9%	
54	 8,10	 7,90	 8,30	 5,40	 5,27	 5,53	 5,40	 0,133333333	 2%	
55	 5,17	 5,27	 4,74	 3,98	 4,05	 3,16	 3,73	 0,495351966	 13%	
56	 5,60	 5,65	 5,32	 4,31	 4,35	 3,55	 4,07	 0,450891537	 11%	
57	 5,07	 5,00	 5,37	 3,90	 3,85	 3,58	 3,78	 0,171336549	 5%	
58	 6,39	 6,14	 6,22	 4,92	 4,72	 4,15	 4,60	 0,400032981	 9%	
59	 5,50	 5,60	 6,65	 4,23	 4,31	 4,43	 4,32	 0,102253804	 2%	
60	 5,66	 7,41	 6,34	 4,35	 5,70	 4,23	 4,76	 0,816396137	 17%
5
Annexe 3
n°	échanttillon		
Perméabilité	à	l'air		
essai	1		 essai	2	 essai	3	 essai	4	 essai	5	 moyenne		 ecart	type	 cv%	
1	 2640	 2150	 2500	 2870	 2110	 2454	 324,24	 13%	
2	 2140	 2030	 2220	 1900	 1860	 2030	 153,30	 8%	
3	 1980	 2330	 2660	 2600	 2020	 2318	 316,10	 14%	
4	 1770	 1570	 1780	 2410	 1830	 1872	 316,73	 17%	
5	 1360	 1620	 2020	 2640	 1840	 1896	 483,61	 26%	
6	 1290	 1830	 1320	 2170	 2000	 1722	 399,34	 23%	
7	 2640	 2560	 2580	 2790	 2580	 2630	 94,34	 4%	
8	 3150	 3190	 3440	 3320	 3350	 3290	 118,95	 4%	
9	 3000	 3420	 3540	 3060	 3430	 3290	 242,90	 7%	
10	 2770	 2100	 2170	 2120	 1860	 2204	 338,28	 15%	
11	 2110	 2220	 2040	 2670	 2100	 2228	 255,48	 11%	
12	 2050	 2010	 2000	 2230	 2620	 2182	 261,86	 12%	
13	 1160	 2050	 2310	 1730	 1770	 1804	 429,51	 24%	
14	 2600	 1890	 1810	 2220	 2810	 2266	 435,58	 19%	
15	 3590	 3430	 3870	 3540	 3610	 3608	 162,23	 4%	
16	 2660	 2900	 3520	 3130	 2610	 2964	 373,67	 13%	
17	 2940	 3020	 3010	 3330	 2940	 3048	 162,08	 5%	
18	 3230	 3260	 3000	 3640	 3140	 3254	 238,29	 7%	
19	 2940	 2690	 2330	 2770	 2730	 2692	 223,65	 8%
6
20	 1500	 1890	 2350	 1980	 1850	 1914	 304,35	 16%	
21	 2750	 2860	 2800	 2800	 2730	 2788	 50,70	 2%	
22	 1980	 2050	 1900	 2080	 2090	 2020	 79,69	 4%	
23	 3260	 3200	 2830	 2780	 3260	 3066	 240,17	 8%	
24	 3700	 3690	 3640	 3520	 3090	 3528	 255,09	 7%	
25	 3080	 3370	 3260	 3110	 3240	 3212	 118,19	 4%	
26	 2460	 2620	 2600	 2410	 3290	 2676	 354,73	 13%	
27	 2640	 3450	 3590	 3320	 3190	 3238	 365,88	 11%	
28	 1850	 1830	 1960	 2110	 2020	 1954	 117,18	 6%	
29	 1620	 1940	 1640	 1820	 2030	 1810	 180,55	 10%	
30	 2430	 1700	 1930	 2440	 2480	 2196	 357,67	 16%	
31	 2580	 2190	 2240	 2420	 2510	 2388	 168,73	 7%	
32	 3350	 2810	 3020	 3740	 3490	 3282	 370,50	 11%	
33	 3040	 2930	 3290	 2260	 2780	 2860	 383,60	 13%	
34	 2770	 2730	 2620	 2660	 3190	 2794	 228,98	 8%	
35	 2520	 2910	 2780	 2510	 2700	 2684	 171,55	 6%	
36	 2110	 2770	 2630	 2580	 2570	 2532	 249,04	 10%	
37	 3430	 3250	 3620	 3500	 3380	 3436	 137,59	 4%	
38	 2450	 2480	 2140	 2190	 2460	 2344	 164,71	 7%	
39	 2870	 2910	 3470	 3760	 3560	 3314	 401,29	 12%	
40	 1930	 2250	 1950	 2290	 2020	 2088	 170,06	 8%	
41	 3090	 2660	 2600	 2620	 2310	 2656	 279,52	 11%	
42	 2580	 2720	 2250	 2790	 2290	 2526	 246,03	 10%	
43	 2330	 2460	 2280	 2490	 2830	 2478	 215,34	 9%	
44	 3700	 3230	 3660	 3780	 3740	 3622	 223,65	 6%	
45	 3040	 2730	 3740	 2770	 3310	 3118	 418,77	 13%
7
46	 2400	 2660	 2790	 2340	 2660	 2570	 191,31	 7%	
47	 2520	 3300	 2780	 2540	 2280	 2684	 387,14	 14%	
48	 1950	 2610	 2590	 1410	 2730	 2258	 563,67	 25%	
49	 2870	 2780	 2830	 2990	 2410	 2776	 218,81	 8%	
50	 2740	 2890	 2810	 2560	 1910	 2582	 394,93	 15%	
51	 2930	 2940	 2740	 2730	 2990	 2866	 121,78	 4%	
52	 2900	 2330	 2700	 2740	 2200	 2574	 295,43	 11%	
53	 2400	 2010	 1900	 1840	 1840	 1998	 235,20	 12%	
54	 2400	 2780	 2680	 2680	 2240	 2556	 226,45	 9%	
55	 3070	 3250	 2810	 3120	 3170	 3084	 166,97	 5%	
56	 2690	 2610	 2700	 2890	 2710	 2720	 102,96	 4%	
57	 2430	 3010	 3490	 2600	 3160	 2938	 427,63	 15%	
58	 3010	 2930	 2460	 2140	 2250	 2558	 394,30	 15%	
59	 2280	 2040	 2700	 2130	 2060	 2242	 272,80	 12%	
60	 2170	 2690	 2720	 2100	 2980	 2532	 380,36	 15%
8
Annexe 4
n°	
echantillon		
Résistance	au	déchirement		
sens	machine		 sens	transversal	
		 essai	1	 essai	2	 moyenne		 essai1	 essai	2	 moyenne		
1	 77,3	 103	 90,15	 43,3	 60,3	 51,8	
2	 94,2	 97,6	 95,9	 44,9	 61,3	 53,1	
3	 128	 80,6	 104,3	 56,3	 97,3	 76,8	
4	 132	 134	 133	 130	 136	 133	
5	 86,6	 136	 111,3	 56,3	 95	 75,65	
6	 136	 136	 136	 136	 136	 136	
7	 73,2	 51,2	 62,2	 32,1	 52,2	 42,15	
8	 56	 94,2	 75,1	 93,2	 66,4	 79,8	
9	 98	 93,6	 95,8	 77,3	 59,8	 68,55	
10	 113	 107	 110	 131	 130	 130,5	
11	 97,1	 125	 111,05	 102	 56,8	 79,4	
12	 85	 134	 109,5	 128	 117	 122,5	
13	 115	 131	 123	 129	 135	 132	
14	 119	 71,8	 95,4	 110	 79,7	 94,85	
15	 61,8	 67,6	 64,7	 102	 86,8	 94,4	
16	 61,8	 103	 82,4	 64,7	 71,6	 68,15	
17	 44,3	 53,5	 48,9	 53,7	 59,3	 56,5	
18	 59,3	 56,2	 57,75	 64	 59,5	 61,75	
19	 100	 131	 115,5	 83,4	 61,8	 72,6	
20	 105	 136	 120,5	 136	 136	 136
9
21	 90,5	 65,6	 78,05	 136	 86,4	 111,2	
22	 135	 136	 135,5	 49,3	 53,7	 51,5	
23	 76,8	 78,6	 77,7	 96,3	 122	 109,15	
24	 96,9	 93,2	 95,05	 41,4	 57,8	 49,6	
25	 120	 131	 125,5	 79,7	 93	 86,35	
26	 112	 133	 122,5	 81,7	 133	 107,35	
27	 89,3	 90,3	 89,8	 80,2	 67,7	 73,95	
28	 116	 111	 113,5	 120	 131	 125,5	
29	 87,4	 99,8	 93,6	 116	 103	 109,5	
30	 133	 108	 120,5	 130	 136	 133	
31	 73,6	 77	 75,3	 117	 114	 115,5	
32	 52,7	 101	 76,85	 60,3	 99,5	 79,9	
33	 67,1	 64,4	 65,75	 79,3	 101	 90,15	
34	 52,2	 72,7	 62,45	 59,8	 39,2	 49,5	
35	 81,9	 110	 95,95	 96,5	 133	 114,75	
36	 65,4	 66,8	 66,1	 54,2	 114	 84,1	
37	 59,8	 103	 81,4	 129	 87,6	 108,3	
38	 88,6	 121	 104,8	 129	 87,6	 108,3	
39	 77,5	 84	 80,75	 49,9	 118	 83,95	
40	 136	 109	 122,5	 136	 136	 136	
41	 47,2	 124	 85,6	 120	 85,9	 102,95	
42	 136	 129	 132,5	 130	 135	 132,5	
43	 62,2	 69,7	 65,95	 64,9	 78,2	 71,55	
44	 79,4	 74,3	 76,85	 69,9	 41,1	 55,5	
45	 126	 84,9	 105,45	 80,9	 72,3	 76,6	
46	 125	 99,8	 112,4	 127	 113	 120	
47	 121	 129	 125	 69,7	 101	 85,35	
48	 130	 92,3	 111,15	 128	 89,9	 108,95
10
49	 87,4	 43	 65,2	 64	 66,4	 65,2	
50	 106	 134	 120	 64,4	 107	 85,7	
51	 40,6	 52,7	 46,65	 93,6	 83	 88,3	
52	 136	 136	 136	 131	 136	 133,5	
53	 104	 88,2	 96,1	 65,2	 95,9	 80,55	
54	 57,5	 50,6	 54,05	 118	 126	 122	
55	 91,1	 67,8	 79,45	 125	 115	 120	
56	 103	 115	 109	 36,8	 20,3	 28,55	
57	 121	 125	 123	 82,3	 76,2	 79,25	
58	 55	 83,8	 69,4	 113	 115	 114	
59	 91,3	 96,3	 93,8	 124	 124	 124	
60	 130	 134	 132	 74,8	 86,2	 80,5
11
Annexe 5
N°	
échantillon		
%	d'allongement	maximale	 force	maximale	en	N		
SENS	MACHINE	 SENS	TRANSVERSALE		 SENS	MACHINE		 SENS	TRANSVERSALE		
1	 279,06	 365,18	 66,82	 59,44	
2	 421,09	 271,82	 47,19	 78,76	
3	 374,48	 209,25	 48,04	 76,37	
4	 327,34	 105,42	 56,80	 88,09	
5	 358,37	 535,52	 66,26	 61,73	
6	 324,33	 416,25	 81,97	 67,45	
7	 433,63	 85,77	 62,65	 87,52	
8	 370,49	 209,53	 56,40	 103,65	
9	 365,09	 215,91	 57,08	 91,79	
10	 210,28	 666,46	 62,98	 54,74	
11	 560,96	 258,09	 53,66	 81,03	
12	 463,47	 207,34	 48,88	 86,22	
13	 280,65	 465,16	 71,32	 54,87	
14	 199,43	 352,99	 73,13	 49,54	
15	 359,68	 126,02	 47,48	 82,26	
16	 309,51	 238,62	 45,73	 63,12	
17	 241,07	 263,04	 73,63	 56,78	
18	 460,90	 123,67	 61,02	 84,54
12
19	 334,34	 203,50	 58,96	 82,09	
20	 391,68	 147,86	 49,72	 96,04	
21	 169,00	 243,71	 42,71	 80,96	
22	 342,17	 123,79	 60,80	 81,38	
23	 193,96	 184,13	 73,94	 48,94	
24	 232,91	 254,93	 74,74	 48,99	
25	 269,43	 59,76	 57,31	 88,92	
26	 493,12	 174,38	 58,14	 103,06	
27	 419,85	 157,35	 57,25	 94,44	
28	 223,97	 345,54	 94,04	 44,07	
29	 199,67	 471,92	 65,43	 51,69	
30	 106,12	 359,19	 57,03	 38,84	
31	 271,64	 101,66	 57,10	 82,01	
32	 135,60	 286,06	 83,34	 53,24	
33	 297,15	 328,91	 80,34	 68,68	
34	 171,91	 450,46	 59,59	 50,02	
35	 286,94	 216,21	 47,04	 54,66	
36	 378,12	 196,25	 45,77	 70,99	
37	 369,86	 223,45	 56,05	 84,41	
38	 396,19	 191,12	 51,74	 86,22	
39	 395,62	 166,60	 56,08	 61,67	
40	 326,39	 434,18	 73,86	 60,61	
41	 205,60	 519,35	 69,06	 49,83	
42	 260,70	 621,44	 51,76	 50,54	
43	 346,63	 161,45	 55,79	 59,62	
44	 141,49	 294,96	 56,42	 37,04
13
45	 254,58	 89,59	 36,30	 55,16	
46	 376,47	 166,85	 38,26	 64,59	
47	 451,04	 148,02	 43,95	 65,07	
48	 179,33	 117,23	 47,73	 29,99	
49	 188,21	 330,41	 98,65	 73,11	
50	 185,49	 493,37	 58,22	 63,84	
51	 242,00	 345,93	 90,44	 61,41	
52	 237,63	 250,13	 66,14	 55,72	
53	 142,48	 161,68	 94,90	 63,15	
54	 272,85	 148,66	 57,92	 81,84	
55	 132,04	 219,14	 74,26	 54,20	
56	 290,17	 119,69	 48,23	 77,20	
57	 150,62	 288,87	 80,41	 50,24	
58	 231,35	 473,61	 91,79	 54,03	
59	 125,75	 445,88	 83,13	 59,08	
60	 132,95	 524,86	 86,01	 46,86
14
Annexe 6 :
n°	
échantillon		
Epaisseur		
essai	1		 essai	2		 essai	3		 essai	4	 essai	5	 moyenne		 ecart	type		 CV	
1	 7	 6,78	 6,3	 7,43	 7,24	 6,95	 0,44	 6,31%	
2	 7,36	 7,4	 7	 6,88	 6,76	 7,08	 0,29	 4,05%	
3	 5,84	 5,97	 5,96	 6,32	 6,58	 6,13	 0,31	 5,01%	
4	 6,84	 7,39	 7,97	 8,2	 8,21	 7,72	 0,60	 7,71%	
5	 6,5	 7	 6,37	 6,41	 6,9	 6,64	 0,29	 4,41%	
6	 7,22	 6,99	 7,15	 6,93	 6,96	 7,05	 0,13	 1,81%	
7	 7,43	 5,97	 7,45	 7,87	 6,54	 7,05	 0,78	 10,99%	
8	 6,56	 6,33	 6,34	 6,32	 6,21	 6,35	 0,13	 2,01%	
9	 7,46	 7,45	 7,17	 7,01	 7,63	 7,34	 0,25	 3,39%	
10	 7,43	 7,38	 7,18	 7,13	 7,02	 7,23	 0,17	 2,39%	
11	 6,76	 6,9	 7,13	 6,8	 6,39	 6,80	 0,27	 3,95%	
12	 6,76	 6,28	 6,11	 5,92	 5,14	 6,04	 0,59	 9,81%	
13	 6,66	 7,62	 7,3	 7,43	 7,5	 7,30	 0,38	 5,16%	
14	 6,9	 6,8	 6,69	 7	 6,31	 6,74	 0,27	 3,95%	
15	 6,3	 6,41	 6,58	 6,6	 6,38	 6,45	 0,13	 2,02%	
16	 6,88	 6,54	 6,44	 6,1	 6,38	 6,47	 0,28	 4,37%	
17	 7,13	 6,76	 6,38	 6,3	 6,38	 6,59	 0,35	 5,33%	
18	 6,21	 6,32	 6,24	 6,09	 5,78	 6,13	 0,21	 3,45%
15
19	 5,75	 5,71	 6,1	 6,93	 6,94	 6,29	 0,61	 9,73%	
20	 6,69	 6,87	 6,71	 7,17	 7,72	 7,03	 0,43	 6,11%	
21	 7,66	 8,5	 8,35	 8,25	 7,91	 8,13	 0,34	 4,21%	
22	 7,74	 7,31	 7,72	 6,85	 7,1	 7,34	 0,39	 5,29%	
23	 6,64	 7,63	 6,73	 7,81	 7,26	 7,21	 0,52	 7,25%	
24	 5,56	 5,79	 5,78	 5,68	 5,32	 5,63	 0,19	 3,46%	
25	 6,77	 7,27	 6,71	 5,85	 5,49	 6,42	 0,73	 11,34%	
26	 5,29	 5,4	 5,44	 5,34	 5,4	 5,37	 0,06	 1,10%	
27	 5,12	 5,46	 5,39	 5,41	 5,49	 5,37	 0,15	 2,74%	
28	 5,22	 5,46	 6,39	 5,41	 5,49	 5,59	 0,46	 8,17%	
29	 5,44	 5,63	 5,28	 5,22	 5,14	 5,34	 0,19	 3,65%	
30	 5,42	 6,54	 5,28	 4,34	 5,14	 7,60	 0,51	 6,68%	
31	 7,5	 7,82	 7,56	 8,25	 6,86	 7,60	 0,51	 6,68%	
32	 5,42	 6,41	 5,36	 5,66	 5,42	 5,65	 0,44	 7,75%	
33	 5,42	 5,41	 5,36	 5,46	 5,42	 5,41	 0,04	 0,66%	
34	 6,77	 6,37	 6,71	 6,85	 6,49	 6,64	 0,20	 3,02%	
35	 5,81	 5,77	 5,95	 5,67	 6,07	 5,85	 0,16	 2,68%	
36	 6,06	 6,1	 6,03	 6,77	 7,08	 6,41	 0,49	 7,57%	
37	 7,46	 7,45	 7,17	 7,01	 7,63	 7,34	 0,25	 3,39%	
38	 8,99	 9,36	 9,43	 8,9	 8,92	 9,12	 0,25	 2,79%	
39	 5,75	 5,68	 5,83	 5,5	 5,35	 5,62	 0,19	 3,47%	
40	 7,2	 6,32	 5,23	 7,23	 7,09	 6,61	 0,86	 12,99%	
41	 6,42	 6,87	 7,72	 7,41	 7,44	 7,17	 0,52	 7,26%	
42	 6,81	 6,93	 6,85	 7,28	 6,88	 6,95	 0,19	 2,73%	
43	 7,88	 7,28	 6,97	 6,26	 6,07	 6,89	 0,74	 10,78%	
44	 5,03	 5,21	 5,13	 5,08	 5,21	 5,13	 0,08	 1,55%
16
45	 5,54	 5,5	 5,75	 6,72	 6,9	 6,08	 0,67	 11,09%	
46	 6,85	 6,95	 6,99	 7,42	 7,32	 7,11	 0,25	 3,50%	
47	 6,66	 6,49	 6,13	 6,2	 6,93	 6,48	 0,33	 5,09%	
48	 5,81	 5,91	 5,44	 5,33	 5,35	 5,57	 0,27	 4,89%	
49	 6,56	 6,66	 6,7	 6,6	 6,58	 6,62	 0,06	 0,88%	
50	 6,64	 6,88	 6,22	 6,4	 6,25	 6,48	 0,28	 4,31%	
51	 5,03	 5,43	 5,13	 6,45	 5,21	 5,45	 0,58	 10,61%	
52	 6,92	 6,6	 6,84	 7,04	 6,96	 6,87	 0,17	 2,45%	
53	 7,16	 6,95	 7,06	 7,01	 7,07	 7,05	 0,08	 1,10%	
54	 7,04	 6,9	 7,57	 6,2	 6,09	 6,76	 0,62	 9,11%	
55	 5,78	 5,77	 5,53	 5,74	 5,46	 5,66	 0,15	 2,65%	
56	 6,7	 6,43	 6,53	 6,64	 6,38	 6,54	 0,14	 2,07%	
57	 5,44	 5,46	 5,39	 5,41	 5,49	 5,44	 0,04	 0,73%	
58	 5,9	 7,1	 6,76	 5,33	 5,35	 6,09	 0,81	 13,32%	
59	 5,22	 5,46	 6,39	 6,34	 5,43	 5,77	 0,55	 9,59%	
60	 7,27	 7,33	 7,2	 7,64	 7,36	 7,36	 0,17	 2,28%
17
Annexe 7 :
Application 1 Isolation
thermique
Epaisseur Densité
Fonction Entre 80mm et
180mm
12kg/!!
Les données techniques
Conductivité thermique : λ = 0,038 W/(m.k).
Masse volumique Résistance à la
vapeur d'eau
: 18 kg/m
Résistance thermique Conductivité thermique λd=0.0434
W/(m.K)
Epaisseur de l’isolant De 50 à 120mm
Annexe 8 :
Application2 Géotextiles
Masse surfacique
(g/!!
)
Epaisseur en mm
Fonction Filtration
100
185
285
475
0,8
1,3
1,8
2,9
Les données techniques
18
Propriétés
Méthode de
test
P1 P2 P3 P4
Masse surfacique
ASTM D5261
100 g/m2 185 g/m2 285 g/m2 475 g/m2
Résistance en
tension
CAN 148.1
No.7.3
135 N 400 N 600 N 1100 N
Allongement à la
rupture (2)
CAN 148.1
No.7.3
50 - 100 % 50 - 100 % 50 - 100 % 50 - 100 %
Résistance en
déchirure
CAN 4.2
No.12.2
70 N 200 N 275 N 425 N
Poinçonnement CBR ASTM D6241 500 N 1350 N 2000 N 3700 N
Perméabilité
CAN 148.1
No.4
0.35 cm/s 0.12 cm/s 0.05 cm/s
Titre de projet :
Valorisation des fibres de polyester recyclées
Entreprise :
Linda ouate
Réalisé par :
Donya CHETOUI & Mayssem HACHANA
Encadré par :
M. Mounir JAOUADI : ISET-KH
Mlle Yosr BEN MLIK : ENIM
Mme Ibtissem SOUISSI : STE LINDA OUATE
Résumé :
Le but de ce projet est de proposer un nouveau produit pour l’industrie afin d’élargir sa gamme
de production et d’entrer dans des nouveaux marchés.
Le premier chapitre a été consacré pour une étude bibliographique.
Ensuite, le deuxième chapitre s’intéresse à la présentation de l’entreprise, et dans le troisième
chapitre on présente l’étude réalisée qui concerne la fabrication et la caractérisation des nappes
fabriquées. Suite à cette étude nous avons fabriqué les structures et les caractérisés en déterminant
les caractéristiques physiques, mécaniques et hydriques de chaque structure.
Dans le dernier chapitre nous avons optimisé les résultats afin de préciser le produit conforme au
dossier technique préparé.
Enfin, nous clôturons notre rapport par une conclusion et perspectives.
Année universitaire : 2018/2019
Institut supérieur des études technologiques de Ksar Hellal
Département : Génie textile Spécialité : Industrie textile

Valorisation des fibres de polyester recyclées

  • 1.
    REPUBLIQUE TUNISIENNE MINISTERE DEL’ENSEIGNEMENT SUPERIEUR ET DE LA RECHERCHE SCIENTIFIQUE *-*-*-*-*-*-*-* DIRECTION GENERALE DES ETUDES TECHNOLOGIQUES INSTITUT SUPERIEUR DES ETUDES TECHNOLOGIQUES DE KSAR HELLAL *-*-*-*-*-*-*-* MEMOIRE DE PROJET DE FIN D’ETUDES Présenté en vue de l’obtention du diplôme de Licence Appliquée en : GENIE TEXTILE Spécialité : Industrie textile Par Mayssem HACHANA & Donya CHETOUI Thème : Valorisation des fibres de polyester recyclées Effectué à l’entreprise : « LINDA OUATE » Encadré par: Mr Mounir JAOUADI ISET KH Mlle Yosr BEN MLIK ENIM Mdm Ibtissem SOUISSI STE « LINDA OUATE » Année Universitaire : 2018/2019
  • 2.
    Dédicaces Je dédie cetravail à : Monpère, qui peut être fier et trouver ici le résultat de longues années de sacrifices et de privations pour m'aider à avancer dans la vie. Puisse Dieu faire en sorte que ce travail porte son fruit ; Merci pour les valeurs nobles, l'éducation et le soutient permanent venu de toi. Ma mère, qui a oeuvré pour ma réussite, de par son amour, son soutien, pour toute son assistance et sa présence dans ma vie, reçois à travers ce travail aussi modeste soit-il, l'expression de mes sentiments et de mon éternelle gratitude. A mes sœurs : « Lamisse » et « Ines » En témoignage de l’attachement, de l’amour et de L’affection que je porte pour vous. Je vous souhaite un avenir plein de joie, de bonheur, de réussite et de sérénité. Je vous dédie ce travail avec tous mes vœux de bonheur, santé et de réussite. A ma chère amie et binôme « Donya » Au nom de l’amitié qui nous réunit et tous les souvenirs inoubliables , et pour tous les émotions que nous avons partagés lors de la réalisation de ce travail . Mayssem
  • 3.
    Dédicaces À mes chersparents Pour tous leurs sacrifices, leur amour, leur tendresse, leur soutien et leurs prières tout au long de mes études, À ma chère tante et cher oncle Nessrin et Hassene pour leurs soutiens moral et leurs conseils précieux tout au long de mes études Ma grand-mère chérie Qui m’a accompagné par ses prières, sa douceur, puisse Dieu lui prêter longue vie et beaucoup de santé et de bonheur. À Mes très chers frères Fares et Badiea pour leur appui et leur encouragement, À MES CHERS PETITES SŒURS Linda et Nayssen Aucune dédicace ne saurait exprimer tout l’amour que j’ai pour vous, Votre joie et votre gaieté me comblent de bonheur. Puisse Dieu vous garder, éclairer votre route et vous aider à réaliser À votre tour vos vœux les plus chers. À mon amie et binôme de ce projet, Mayssem pour son soutien moral, sa patience et sa compréhension tout au long de ce projet À Tous ceux qui m’ont aidé par un des conseils, qui m’ont assisté et m’ont encouragé. DONYA
  • 4.
    Remerciements On remercie dieule tout puissant de nous avoir donné la santé et la volonté d’entamer et de terminer ce mémoire. Tout d’abord, ce travail ne serait pas aussi riche et n’aurait pas pu avoir le jour sans l’aide et l’encadrement de Mr Mounir JAOUADI, on le remercie pour la qualité de son encadrement exceptionnel, pour sa patience, sa rigueur et sa disponibilité Durant notre préparation de ce projet. Nos remerciements s’adressent à Madame Yosr BEN MIIK pour son aide pratique et théorique et ses encouragements. Nos remerciements s’adressent également à tous nos professeurs pour leurs générosités et la grande patience dont ils ont su faire preuve. Nos profonds remerciements vont également à toutes les personnes qui nous ont aidé et soutenue de prés ou de loin.
  • 5.
    Sommaire Introduction générale ..................................................................................................... 1 Chapitre I: Étude bibliographique ............................................................................... 4 I- Introduction .......................................................................................................................... 3 II- Les non-tissés ...................................................................................................................... 3 1- Définition ........................................................................................................................................... 3 2- Processus de fabrications ........................................................................................................... 3 3- Applications ...................................................................................................................................... 9 III- FIBRE DE POLYESTER ................................................................................................. 12 1- Introduction .................................................................................................................................. 12 2- Le processus de recyclage ....................................................................................................... 13 3- Propriétés physiques ................................................................................................................. 15 4- Propriétés chimiques : .............................................................................................................. 15 5- Utilisations ..................................................................................................................................... 16 IV- Conclusion ....................................................................................................................... 16 Chapitre II : Présentation de l’entreprise ............................................................... 17 I- Introduction ....................................................................................................................... 17 II- Identification de l’entreprise ..................................................................................... 17 III- Organigramme ............................................................................................................... 17 IV- Présentation des différents ateliers de la société LINDA OUATE ................. 18 1- Magasin matière première ...................................................................................................... 18 2- Atelier de fabrication ................................................................................................................. 18 V- Les différents produits de LINDA OUATE ............................................................... 26 1- OUATE .............................................................................................................................................. 26 2- Linge maison ................................................................................................................................. 27 VI- Conclusion ....................................................................................................................... 27 Chapitre III: Fabrication et caractérisation des structures en non-tissé ..... 28 I- Introduction ....................................................................................................................... 28 II- Plan d’expérience : ......................................................................................................... 28 1- Définition d’un plan d’expériences : ................................................................................... 28 2- Cas pratique : ................................................................................................................................ 29 III- Fabrication de non tissé .............................................................................................. 32
  • 6.
    1- Matériel ........................................................................................................................................... 32 2- Fabrication ..................................................................................................................................... 34 IV- Caractéristiques des nappes fabriquées ............................................................... 35 1- Détermination de l’épaisseur ................................................................................................. 36 2- Détermination de la masse surfacique .............................................................................. 40 3- Détermination de la conductivité thermique .................................................................. 45 4- Détermination de la perméabilité à l’air ........................................................................... 51 5- Détermination de la Résistance à la traction .................................................................. 56 6- Détermination de la Résistance au déchirement .......................................................... 66 V- Conclusion ......................................................................................................................... 71 Chapitre VI : Optimisation des résultats ................................................................. 72 I- Introduction : ..................................................................................................................... 72 II- Optimisation de la fabrication des non tissés ....................................................... 72 1- Optimisation pour l’isolation thermique .......................................................................... 72 2- Application 2 : Filtration .......................................................................................................... 76 3- Autres applications : .................................................................................................................. 78 III- Conclusion ....................................................................................................................... 80 Conclusion générale et perspectives ........................................................................ 81 Références bibliographiques : .................................................................................... 82 Annexes ................................................................................................................................. I
  • 7.
    Liste des figures Figure 1: Laformation de voile de non-tissé.................................................................4 Figure 2: La création du voile par cardage....................................................................5 Figure 3: La création du voile par voie aérodynamique................................................5 Figure 4: La création du voile par voie humide ............................................................6 Figure 5: La création du voile par voie fondue .............................................................6 Figure 6: La consolidation de la voile ...........................................................................7 Figure 7 : Procédés d'aiguilletage..................................................................................8 Figure 8: Le calandrage.................................................................................................9 Figure 9: Le processus de recyclage [3]......................................................................14 Figure 10: Organigramme de l'entreprise....................................................................18 Figure 11 : Processus de travail de l'entreprise ...........................................................19 Figure 12: Ouvre balle.................................................................................................20 Figure 13: Pré-ouvreuse ..............................................................................................21 Figure 14: Ouvreuse principale ...................................................................................21 Figure 15: Chargeuse vibrante.....................................................................................22 Figure 16: La carde......................................................................................................22 Figure 17: Étaleur nappeur ..........................................................................................23 Figure 18: Four de type « YYHG-320*1200 SINGLE LAYER OVEN »..................24 Figure 19: Zone de refroidissement.............................................................................24 Figure 20: Repassage...................................................................................................25 Figure 21: Enrouleur et coupe .....................................................................................25 Figure 22: Machine de recyclage des déchets de type « YYBK-100 RECYCLING MACHINE » ...............................................................................................................26 Figure 23: Ouate de rembourrage (non tissé)..............................................................27 Figure 24: Stratégie de plan d’expérience...................................................................28 Figure 25 : Processus de fabrication des nappes .........................................................32 Figure 26 : Carde de type « 337 A CARDING MACHINE »....................................33 Figure 27 : Aiguilleteuse type « TECTEX »...............................................................34 Figure 28 : Diagramme de fusion des fibres thermo-liants .........................................35 Figure 29 : Appareil de mesure d'épaisseur "SODEMAT".........................................36 Figure 30: Graphique des effets principaux pour épaisseur ........................................38 Figure 31: Diagramme des moyennes des épaisseurs en fonction de % de fibre 1.....38
  • 8.
    Figure 32: Diagrammed'épaisseur en fonction de nombre de couches ......................39 Figure 33: Diagramme d'épaisseur en fonction de thermo-liage.................................39 Figure 34: Diagramme d'épaisseur en fonction de densité d'aiguilletage....................40 Figure 35 : Découpoir..................................................................................................41 Figure 36: Balance numérique....................................................................................41 Figure 37: Graphique des effets principaux pour masse surfacique............................42 Figure 38: Diagramme de la masse surfacique en fonction de % fibre 1....................43 Figure 39: Diagramme de masse surfacique en g/m2 en fonction de nombre de couches ........................................................................................................................44 Figure 40: Diagramme de masse surfacique en fonction de thermo-liage ..................44 Figure 41: Diagramme de masse surfacique en fonction de densité d'aiguilletage.....45 Figure 42:Conductivimetre fil chaud "FP2C" ............................................................46 Figure 43 : Graphique des effets principaux pour conductivité thermique.................48 Figure 44: La conductivité thermique en fonction de % fibre 1..................................49 Figure 45: Diagramme de conductivité thermique en fonction de nombre de couches .....................................................................................................................................50 Figure 46: Diagramme de conductivité thermique en fonction de thermo-liage.........50 Figure 47: Diagramme de conductivité thermique en fonction de densité d'aiguilletage .....................................................................................................................................51 Figure 48 : Perméabilité à l'air: FX 3300 III ..............................................................52 Figure 49: Graphique des effets principaux pour perméabilité a l’air.........................53 Figure 50: Diagramme de perméabilité a l’air en fonction de % fibre 1.....................54 Figure 51: Diagramme de perméabilité à l'air en fonction de nombre de couches .....54 Figure 52: Diagramme de perméabilité à l'air en fonction de thermo-liage................55 Figure 53 : Diagramme de perméabilité à l'air en fonction de densité d'aiguilletage..55 Figure 54: Dynamomètre"LLOYD "...........................................................................56 Figure 55: Graphique des effets principaux pour Force maximal ST .........................59 Figure 56: Graphique des effets principaux pour Force max SM ...............................60 Figure 57: Diagramme de la force maximal en fonction de % fibre 1.......................60 Figure 58: Diagramme de la force maximal en fonction de nombre de couches.......61 Figure 59: Diagramme de la force max en fonction de thermo-liage.........................62 Figure 60: Diagramme de la force max en fonction de densité d'aiguilletage ...........62 Figure 61 : Graphique des effets principaux pour % allongement maximal SM .......63 Figure 62: Graphique des effets principaux pour % allongement maximal ST ..........63
  • 9.
    Figure 63: Diagrammede % allongement maximal en fonction de % fibre 1............64 Figure 64: Diagramme % allongement maximale en fonction de nombre de couches65 Figure 65: Diagramme de % allongement maximal en fonction de thermo-liage.......65 Figure 66: Diagramme d'allongement maximal en fonction de densité d'aiguilletage 66 Figure 67: Déchiromètre" FX 3750 ELMENDOF" ....................................................66 Figure 68: Graphique des effets principaux pour déchiromètre SM ...........................68 Figure 69: Graphique des effets principaux pourrésistance au déchirement ST.........68 Figure 70: Diagramme de la résistance au déchirement en fonction de % fibre 1......69 Figure 71: Diagramme de la résistance au déchirement en fonction de nombre de couches ........................................................................................................................69 Figure 72: Diagramme de la résistance au déchirement en fonction de thermo-liage70 Figure 73: Diagramme de la résistance au déchirement SM en fonction de densité d'aiguilletage................................................................................................................70 Figure 74 : Graphique de contour superposé de conductivité thermique et épaisseur pour les échantillons non thermolié avec deux couches..............................................73 Figure 75:Graphique de contour superposé de conductivité thermique et épaisseur pour les échantillons non thermolié avec une seule couche........................................73 Figure 76Graphique de contour superposé de conductivité thermique et épaisseur pour les échantillons thermoliés avec une seule couche......................................................74 Figure 77 : Graphique de contour superposé de conductivité thermique et épaisseur pour les échantillons thermolié avec deux couches.....................................................74 Figure 78: Diagramme d'optimisation conductivité thermique et épaisseur ...............75 Figure 79 : graphiques de contour superposé de % de fibre et allongement et force maximal .......................................................................................................................76 Figure 80 : Diagramme d'optimisation........................................................................77 Figure 81 : Graphique de contour superposé de la masse surfacique et l’épaisseur pour les échantillons non thermolié avec une seule couche ................................................78 Figure 82 : Graphique de contour superposé de la masse surfacique et l’épaisseur pour les échantillons non thermoliés avec deux couches ....................................................78 Figure 83 : Graphique de contour superposé de la masse surfacique et l’épaisseur pour les échantillons thermoliés avec une seule couche......................................................79 Figure 84 : Graphique de contour superposé de la masse surfacique et l’épaisseur pour les échantillons thermoliées avec deux couches..........................................................79
  • 10.
    Figure 86: Diagrammed’optimisation Perméabilité à l’air, % allongement maximal et Force maximale ...........................................................................................................80
  • 11.
    Liste des tableaux Tableau 1: Lesapplications des non-tissés..................................................................10 Tableau 2:Les propriétés physiques de polyester........................................................15 Tableau 3: Fiche signalétique de l'entreprise...............................................................17 Tableau 4: Les paramétres de ouate fabrique au sein de l’entreprise..........................26 Tableau 5: Les différents facteurs et leurs niveaux.....................................................29 Tableau 6:Plan d'expériences ......................................................................................30 Tableau 7: Les caractéristiques de fibre solide 1.........................................................34 Tableau 8 : Les caractéristiques de fibre solide 2........................................................34 Tableau 9: Les caractéristiques de fibre thermo-liantes..............................................35 Tableau 10 : Résulat de l’essai de la masse de l’épaisseur..........................................36 Tableau 11:Résulat de l’essai de la masse surfacique.................................................41 Tableau 12: Résultat de l’essai de conductivité pour les différentes nappes...............46 Tableau 13: résultat de l’essai perméabilité a l'air pour les différentes nappes...........52 Tableau 14: Résultat de l’essai dynamométrique pour les différents nappes..............56 Tableau 15: Résultat de l’essai résistance au déchirement pour les différentes nappes .....................................................................................................................................67 Tableau 16: Les valeurs des désirabilités individuelles de la conductivité thermique et l’épaisseur....................................................................................................................76 Tableau 17: Les valeurs des désirabilités individuelles de l’allongement maximal et la force maximal..............................................................................................................77 Tableau 18: Les valeurs des désirabilités individuelles Perméabilité à l’air, % allongement maximal et Force maximale....................................................................80
  • 12.
    1 Introduction générale L'environnement recouvrel'ensemble des éléments (biotiques ou abiotiques) qui entourent une espèce et qui lui permettent de vivre. Notre environnement, c'est notre support de vie et toutes ses composantes : l'air, l'eau, l'atmosphère, les roches, les végétaux, les animaux... Or, notre environnement, élément clé de notre survie, est dangereusement affecté par nos activités. En effet, les milieux (air, sols, eau) sont massivement pollués. Les sources de pollutions sont nombreuses et l’identification de ces sources, des différentes substances polluantes et de leurs effets sur les écosystèmes est complexe. Elles peuvent provenir de catastrophes naturelles ou résulter de l'activité humaine. Les pollutions peuvent être aussi bien les marées noires, les pollutions chimiques, les accidents nucléaires, l'introduction d'espèces invasives, les déchets déversés dans la nature... Les matières plastiques ont désormais envahi notre quotidien. Elles représentent 10% de la masse totale des ordures ménagères, et, n'étant pas dégradables, elles forment un véritable danger pour l'environnement. Elles vont donc être cause de pollution durable. Entre 60 et 85% des déchets ramassés sur le littoral sont des plastiques [1]. Les plastiques représentent donc un réel danger autant pour la faune que la flore Dans une démarche de valorisation de la matière et de protection de l’environnement, les industriels ont développé des projets très innovants autour du recyclage de la bouteille plastique. Le recyclage des bouteilles en plastique commence par un tri, puis un broyage, un nettoyage et un séchage et finalement une transformation finale où les paillettes de polyéthylène tétaphtalate (PET) sont fondues et transformées en fibres pour le PET. Ces fibres de PET sont souvent employées par l’industrie textile à titre d’exemple le rembourrage d'oreiller ou de couverture Ce projet de fin d’études s’intègre dans ce cadre et s’intéresse à proposer un nouveau produit de PET recyclé en collaboration avec la société LINDA OUATE qui est spécialisée dans la fabrication de« Ouate », à base du non-tissés .
  • 13.
    2 Ce travail estproposé pour l’industrie dont l’objectif est de proposer un nouveau produit afin d'élargir la gamme de production et d'entrer dans un nouveau marché et augmenter de plus en plus son capital. Ainsi ce projet est divisé en 4 chapitres, le premier s'intéresse à l'étude bibliographique, un deuxième est consacré à la présentation de l'entreprise, la partie expérimentale est divisée en deux parties : dans un premier volet on s’est intéressé à la fabrication et la caractérisation des structures en non tissés en suivant un plan d’expériences bien établi . Afin d’optimiser la qualité des produits, une étude d'optimisation des résultats a été réalisée via un outil statistique. Et enfin on terminera notre rapport par une conclusion générale et proposition de certaines perspectives.
  • 14.
    Chapitre I: Étudebibliographique
  • 15.
    Chapitre I :Etude bibliographique ISET KH Donya CH &Mayssem HA 3 I- Introduction La fabrication des non tissés est issue des industries textile classique, de la fabrication du papier et de fabrication des polymères en adaptant leurs procédés et leurs matières premières pour répondre à un marché réel et émergeant. Les non tissés se distinguent par rapport aux textiles classiques (tissus et tricots) par la possibilité d’obtenir des étoffes avec un processus assez court (passer de l’état fibre à une nappe de fibre sans filage).La différence majeure avec les papiers est la composition fibreuse. En effet, une structure fibreuse sera classée "non-tissé" si plus de 50% en masse de son contenu fibreux est constitué de fibres ayant un rapport longueur / diamètre supérieur à 300. Dans le cas où cette première condition n'est pas remplie, si plus de 30% en masse de son contenu fibreux est constitué de fibres ayant un rapport longueur diamètre supérieur à 300 et une masse volumique inférieure à 0,40 g/cm3. II- Les non-tissés 1- Définition Selon les normes ISO 9092 et EN 29092, le non-tissé est "une feuille manufacturée, constituée de voile ou de nappe de fibres orientées directionnellement ou au hasard, liées par friction et/ou cohésion, et/ou adhésion, à l’exclusion du papier et des produits obtenus par tissages, tricotages, tuftages, couturages incorporant des fils ou filaments de liage ou feutrés par foulage humide, qu’ils soient ou non aiguilletés". Selon l’INDA (Association Américaine des non tissés), le non-tissé est "une feuille ou un voile de fibres naturelles et/ou de fibres ou filaments manufacturés, exclusion faite du papier, qui n’ont pas été tissés et qui peuvent être liés entre eux de différentes façons"[2]. 2- Processus de fabrications La fabrication des non-tissés se divise en pratique en trois étapes successives, bien que continues : • La formation du voile • La consolidation
  • 16.
    Chapitre I :Etude bibliographique ISET KH Donya CH &Mayssem HA 4 • La finition 2.1- La formation du voile Trois méthodes de base sont principalement utilisées pour la réalisation du voile : • La voie sèche (voie textile ou directe) • La voie humide (voie papetière) • La voie fondue Figure 1: La formation de voile de non-tissé 2.1.1- La voie sèche Cette voie appelée aussi voie textile utilisé, pour la formation du voile, des cardes et des procédés pneumatiques. Cette technique textile présente une grande polyvalence en termes de fibres utilisées (possibilités d’utiliser des fibres recyclées) et en termes de fabrication puisque l'ensemble des méthodes de liage existantes peuvent être utilisées pour la consolidation. Les 2 figures ci-dessous expliquent la création du voile par ces deux techniques[2].
  • 17.
    Chapitre I :Etude bibliographique ISET KH Donya CH &Mayssem HA 5 Figure 2: La création du voile par cardage Figure 3: La création du voile par voie aérodynamique Dans le cas de la création de voile par cardage, la carde est alimentée en fibres brutes, dont les impuretés (graines, fibres courtes, poussières...) sont éliminées et les fibres sont distribuées parallèles ou au hasard pour former un voile. Alors que le procédé par voie aérodynamique consiste à amener et à faire passer les fibres à travers des cylindres rotatifs perforés ou des systèmes de distribution pour former un voile sur une toile transporteuse (caisse de distribution située au-dessus d’une toile avec système de vide incorporé au-dessous de la toile). Les fibres utilisées doivent être plus courtes que dans le procédé par cardage. 2.1.2- La voie humide Elle utilise les mêmes technologies que la technique papetière avec de petites modifications. Les propriétés des fibres utilisées et la concentration en matière fibreuse sont différentes, le véhiculeur des fibres sera essentiellement de l'eau. Cette technique permet des cadences de production élevées pour du non-tissé mais des restrictions au niveau de choix de la matière première et du matériel de consolidation. Les machines sont peu polyvalentes et l’investissement est assez lourd. La figure suivante explique mieux cette méthode[2].
  • 18.
    Chapitre I :Etude bibliographique ISET KH Donya CH &Mayssem HA 6 Figure 4: La création du voile par voie humide 2.1.3- La voie fondue Elle fait appel aux techniques d'extrusion associées à des systèmes de répartition et de nappage pour la formation simultanée de l'étoffe non tissé. Ces techniques offrent peu de polyvalence sur les produits d'une même ligne, mais suivant les techniques employées, l'obtention de propriétés intéressantes est assurée : ténacité forte pour les Spunbonds, douceur due à la finesse des fibres et poids par masse faible pour les Meltblowns, homogénéité des propriétés pour les films.La figure suivante illustre cette technique [2]. . Figure 5: La création du voile par voie fondue 2.2- La consolidation du voile La consolidation du voile est très importante et conditionne en grande partie les propriétés du produit fini. On admet que la méthode de consolidation choisie, a au
  • 19.
    Chapitre I :Etude bibliographique ISET KH Donya CH &Mayssem HA 7 moins autant d'importance pour assurer les propriétés fonctionnelles du non-tissé final que les fibres de base qui composent le voile. On distingue essentiellement trois principales voies de consolidation. Figure 6: La consolidation de la voile 2.2.1- Le liage mécanique La technique la plus utilisée est l'aiguilletage qui est une méthode d'enchevêtrement mécanique des fibres à l'intérieur du voile. Des aiguilles à barbes sont chargées de déplacer les fibres en groupes lors de la pénétration dans la nappe tout en les laissant en place lors du retrait de l'aiguille. Comme le montre la figure 5. Le degré de liage dépendra de la profondeur de pénétration des aiguilles dans la nappe, de la densité d'aiguilletage (nombre de coups d'aiguille par unité de surface) et du nombre de faisceaux de fibres créés par chaque pénétration (type d'aiguille et nombre de barbes en action) [2].
  • 20.
    Chapitre I :Etude bibliographique ISET KH Donya CH &Mayssem HA 8 Figure 7 : Procédés d'aiguilletage 2.2.2- Le liage chimique C’est la méthode de liage la plus ancienne. Son évolution quantitative est en diminution à cause des problèmes de rejets. Le liant choisi conditionne en grande partie la cohésion, la souplesse et la tenue aux solvants des voiles fibreux. On trouve des liants solides, des solutions et essentiellement des émulsions (latex). L’application du liant peut se faire d’une manière continue dans un foulard pour avoir des structures solides ou d’une manière discontinue (pulvérisation ou impression) pour obtenir des articles plus souples. 2.2.3- Le liage thermique Le thermo-liage est une consolidation cohésive d’un non-tissé réalisée par l’adjonction de fibres thermo-liantes (de 10 à 40% de la masse fibreuse) créant des points de soudure entre les fibres de base par fusion partielle ou totale de la fibre liante. On utilise des polymères thermoplastiques comme le polyéthylène, le polyamide, le polypropylène et le polyester etc. Le choix du type de fibre dépend des conditions d’utilisation. Le chauffage du non-tissé peut être réalisable par plusieurs méthodes dont le calandrage est la méthode la plus connue [2].
  • 21.
    Chapitre I :Etude bibliographique ISET KH Donya CH &Mayssem HA 9 Figure 8: Le calandrage 2.3- Finissage du non tissé Il est possible de changer encore les propriétés de surface du non tissé pour l'ajuster aux besoins de la clientèle en appliquant un apprêt mécanique ou chimique avant ou après la phase de consolidation. Ainsi, on peut appliquer différents traitements (enduction, impression, flockage, teinture) pour rendre les non-tissés hydrophobes, poreux, antistatiques, absorbants, conducteurs, ignifuges, perméables à l'air[2]. 3- Applications Les non tissés sont des produits qu’on rencontre partout dans notre environnement Les premiers articles fabriqués en non tissés étaient des articles sanitaires et les matériaux pour chaussure. Avec la multiplication des lignes de production et l’apparition des fibres synthétiques, les applications étaient de plus en plus diversifiées. Les applications, où nous retrouvons les non tissés, sont très variées. Ceci est dû aux procédés de fabrication des non tissés qui permettent de fabriquer des structures avec des caractéristiques très variables. De 2001 à 2006, la production européenne des non tissés a augmenté de plus de 20%. Actuellement l’hygiène et les géotextiles représentent les marchés les plus importants Le tableau ci-dessous propose quelques applications des non-tissés.
  • 22.
    Chapitre I :Etude bibliographique ISET KH Donya CH &Mayssem HA 10 Tableau 1: Les applications des non-tissés Applications Exemples Avantages Les produits d’hygiène - Les lingettes antibactériennes - Les lingettes pour bébés - Une couche bébé - Facilité d’utilisation et de porter - Bonne absorption, confort et douceur - Régularité de surface, bonne résistance, élasticité et uniformité - Possibilité d’ajouter des crèmes et des produits La filtration - Le domaine automobile (filtres à air, filtre de fioul et filtre à l’huile) - La filtration de l’air (chauffage industriel, ventilation et conditionnement d’air) - La filtration des liquides (eau, sang et hydraulique) - Filtration spécifique (biopharmaceutique, antimicrobienne et des impuretés fines) - Eliminations d’un nombre important de contaminant de l’eau (bactéries, virus, métaux...) - Uniformité de structure - Bonne résistance à la déchirure, à l’abrasion, à la traction et à la perforation - Résistance chimique - Grande capacité de rétention - Grande perméabilité à l’air - Bonne absorption des huiles et corps gras Le secteur automobile - Le rembourrage, le garnissage, les tapis ainsi que les filtres à air et à gasoil. - Résistance importante à la traction - Résistance importante à l’abrasion - Protection thermique - Résistance à la flamme et
  • 23.
    Chapitre I :Etude bibliographique ISET KH Donya CH &Mayssem HA 11 bonne isolation - Filtration de l’eau - Prêt à être cousu, enduit, coloré, teint et laminé - Montage facile sur le support - Prend la forme La construction - Le développement des murs et dans l’enduction intérieure. Revêtements muraux pour améliorer l’isolation thermique et phonique des toitures et en enduction intérieure est un bon indicateur du succès de ces produits dans le domaine de la construction - Une grande perméabilité à l’humidité et à la vapeur - Une grande résistance à la déchirure - Une élongation multidirectionnelle - Une grande stabilité aux UV - Une excellente durabilité - Une isolation thermique et acoustique Les géotextiles - Les constructions du génie civil - Séparer des couches structurelles globales du sol tout en permettant le passage de l'eau. - Faciles à recycler et à composter - Facile à prendre la forme - Grande résistance à la déchirure Les vêtements de protection - L’industrie pétrochimique et chimique - L’industrie automobile - Les laboratoires - L’industrie alimentaire - Les visiteurs et les inspecteurs visiteurs - L’industrie médicale - Protection contre le contact sec et humide et les particules qui sont gênantes à la respiration - Bonne uniformité - Bonnes propriétés antibactériennes - Bonne résistance à l’abrasion,
  • 24.
    Chapitre I :Etude bibliographique ISET KH Donya CH &Mayssem HA 12 à la traction, la pénétration des liquides et au feu - Respiration - Retardateur de flamme L’agriculture et le jardinage - Bâche de récolte - Protection de la terre - Couverture de récolte - Étoffes de contrôle des mauvaises herbes - Pot de terre biodégradable - Etoffes avec une grande résistance, élasticité et durabilité - Protection contre les gels et les insectes - Perméabilité intéressante - Contrôle des mauvaises herbes - Porosité suffisante pour l’air et l’eau mais pas pour les insectes - La protection permet aux plantes de pousser sans utilisation des pesticides et des herbicides - Un développement avancé de la récolte III-FIBRE DE POLYESTER 1- Introduction La fibre polyester est la fibre synthétique leader au niveau mondial. Elle possède d’excellentes qualités de résistance mécanique et est facilement recyclable. Elle apporte un excellent gonflant (résilience) pour les activités de remplissage (filling). Elle est aussi reconnue pour ses propriétés ignifuges. Les fibres polyester bi- composantes (lowmelt) ont d’excellentes propriétés de liage pour la fabrication de ouate destinée à l’ameublement, la literie ou le marché automobile.
  • 25.
    Chapitre I :Etude bibliographique ISET KH Donya CH &Mayssem HA 13 Un éventuel traitement additionnel sur les fibres polyester permet d’obtenir des fibres creuses siliconées, slick, conjuguées ainsi que divers traitements antibactériens. Le polyester est le plus répondu sur le marché du textile parmi les fibres synthétiques. Il est commercialisé sous le nom du Dacron (en U.S.A), Tergal (en France), etc. Les filaments de polyester sont obtenus par extrusion à travers les filières. Les fils sont, puis, étirés pour conférer à la fibre une certaine souplesse et une résistance élevée. L’opération de filage, c’est-à-dire la transformation d’une masse visqueuse de polymère en un filament continu, est un procédé complexe qui conditionne en grande partie les propriétés physiques et mécaniques du matériau. 2- Le processus de recyclage Les bouteilles plastiques collectées sont triées en 3 catégories dans un centre de tri : PEHD (plastique opaque), Polyester clair et PET foncé. Elles sont ensuite mises en balles pour être expédiées vers les usines de régénération. Lors du processus de recyclage, la fibre de PET est cassée pour obtenir des éléments de base ou « monomères » à partir desquels on pourra fabriquer de nouveaux matériaux complexes ou « polymères ». Il n’y a pas de différence de qualité entre une fibre polaire fabriquée à partir d’une matière vierge et les vêtements fabriqués à partir d’une matière recyclée.
  • 26.
    Chapitre I :Etude bibliographique ISET KH Donya CH &Mayssem HA 14 Figure 9: Le processus de recyclage [3]. Le procèdé de fabrication s’établit en différentes étapes : • Le procèdé principal de fabrication est l’extrusion à filière droite qui extrude la matière vers le bas. • Les déchets de bouteilles PET subissent les étapes de déchiquetage, le lavage, le séchage puis le broyage. • Les déchets broyés passent ensuite au déshumidificateur. A la fin de cette étape, les déchets passent à l’extrusion. • Les bris broyés alimentent une extrudeuse produisant des filaments de petites épaisseurs (moins de 0.3 mm). A la sortie de la tête d’extrudeuse, un dispositif de refroidissement diffuse de l’air entre les filaments pour les faire refroidir et empêcher le collage entre des filaments. • L’extrémité des filaments est tenue par un système d’étirage relié à un system d’enroulement de filaments. • Trempage des filaments dans des bains pour les donner les spécifications recherchées • Chauffage et frisage des filaments
  • 27.
    Chapitre I :Etude bibliographique ISET KH Donya CH &Mayssem HA 15 3- Propriétés physiques Les polyesters sont des polymères contenant des groupes ester caractéristiques, –O– CO, dans leur chaîne principale. Ils sont communément préparés par la réaction d’un diacide (acide téréphtalique) avec un dialcool (éthylène glycol) Dans le tableau 2, on présente les différentes propriétés physiques de polyester : Tableau 2:Les propriétés physiques de polyester Longueur Polyester recyclé : infinie Couleur Blanc Brillance Brillant ou mat Morphologie Lisse Élasticité Excellente Résistance Très haute Absorption d'humidité Très peu Inflammabilité Brûle très lentement Effet de la lumière du soleil Presque aucun effet Densité : 1.38 Taux de reprise : 1% Élasticité : moyenne Résistance à la lumière : Bonne Isolation thermique Bonne Séchage très rapide et pas d’absorption de la sueur Froissabilité Infroissable Résistance à la traction et aux frottements Bonne charge électrostatique Forte Point de fusion 260°C 4- Propriétés chimiques : La fibre de polyester a une excellente résistance aux acides mais elle est sensible aux bases surtout à chaud, pourtant cette fibre a une excellente résistance aux oxydants, et Les solvants usuels sont sans action sur le polyester.
  • 28.
    Chapitre I :Etude bibliographique ISET KH Donya CH &Mayssem HA 16 5- Utilisations Le polyester est utilisé dans les vêtements de sport, les maillots de bain, les rideaux. Il est souvent utilisé en mélange avec d’autres fibres naturelles comme le coton et la laine et avec les fibres artificielles comme la viscose. Il est utilisé aussi pour la fabrication des prothèses vasculaires et en géotextile. Le polyester peut être recyclé et réutilisé une deuxième fois. Le recyclage des vêtements en polyester et des bouteilles en plastique permet d’obtenir de nouvelles fibres de polyester pour fabriquer des vêtements en fibre polaire. IV- Conclusion Dans cette étude bibliographique, on s’est intéressé aux techniques de formation des non-tissés et de leur consolidation pour définir le processus de fabrication des structures qu’on va réaliser. Par la suite, on a présenté les applications de non tissé ainsi que le processus de recyclage de fibre de polyester et les différentes propriétés physiques et chimiques On a terminé notre étude bibliographique par les différentes applications des fibres de polyester.
  • 29.
    Chapitre II :Présentation de l’entreprise
  • 30.
    Chapitre II :Présentation de l’entreprise ISET KH Donya CH &Mayssem HA 17 I- Introduction Dans ce chapitre, la Société LINDA OUATE et ses différents services ont été présentées afin de montrer les ressources humaines et matérielles dont elle dispose. Une explication des caractéristiques techniques du matériel disponible et des procédures de travail permet de bien se familiariser avec l’entreprise. II- Identification de l’entreprise L’entreprise Linda OUATE a été fondée en 2013 à la Zone Industrielle bouhjar elle possède deux sièges un pour la confection de ligne maison (couettes, couvre-lit, et couverture) et le deuxième pour la fabrication de non-tissé (ouate). Tableau 3: Fiche signalétique de l'entreprise Dénomination LINDA OUATE Raison sociale SARL Gérant MOHAMED CHETOUI Activité Confection linge maison et Fabrication de Non tissé Adresse usine Zone Industrielle bouhjar 5015 Téléphone usine 94927988 E-mail Linda.ouate@gmail.com Fax usine 31508004 Date de création 12/12/2013 Entrée en production 01/10/2016 Chiffre d’affaire en DT 900.000.000 Capacité de production de ouate 45 tonnes (en moyenne par mois) Effectif 100 Matricule fiscale 1325937 DAM 000 III-Organigramme L’organigramme de l’entreprise (siège non-tissé) est comme suit:
  • 31.
    Chapitre II :Présentation de l’entreprise ISET KH Donya CH &Mayssem HA 18 La société comprend plusieurs services, on distingue • Le service de production qui a pour rôle la préparation technique du travail et la fabrication des non tissés. • Le service d’achat qui assure l’approvisionnement des matières premières (fibres, emballages, colles, etc.) et des consommables (les huiles, les graisses etc.). • Le service vente spécialisé dans la livraison des produits finis (ouates). • Le service comptabilité qui assure tous les enregistrements des mouvements faits par l’entreprise. IV- Présentation des différents ateliers de la société LINDA OUATE 1- Magasin matière première Ce magasin représente le point de départ du cycle de production. Il contient • Réception et stockage de la matière première (les fibres) • Pesage 2- Atelier de fabrication Le processus technique de ligne de production pour la fabrication de ouate Directeur générale Responsable commercial Responsable production Technicien de production Ouvriers Responsable maintenance Mécanicien Responsable administratif Secrétaire Figure 10: Organigramme de l'entreprise
  • 32.
    Chapitre II :Présentation de l’entreprise ISET KH Donya CH &Mayssem HA 19 Figure 11 : Processus de travail de l'entreprise 2.1- Ouvre balle La machine est utilisée pour secouer et pré-ouvrir les balles emballées pour l’amener dans un état floconneux de manière à ce que les impuretés qui arrivent en surface des flocons puissent être éliminées puis transférer la fibre à la procédure de travail
  • 33.
    Chapitre II :Présentation de l’entreprise ISET KH Donya CH &Mayssem HA 20 suivante Cette machine joue un rôle important dans le dosage de la matière première. La quantité d'alimentation peut être réglée pour faire différent mélange de fibre. Figure 12: Ouvre balle Pour fabriquer ce produit il faut avoir 3 différents types de polyester. - Fibre solide 1 - Fibre solide 2 - Fibre thermo-liantes (lowmelt) . èLa fibre solide 1 et la fibre solide 2 ont presque les mêmes propriétés mais la différence majeure est en terme de prix. Chaque type de fibre doit passer par une ouvreuse Balles des fibres Flocons 2.2- Pré-ouvreuse Cette machine est utilisée pour pré-ouvrir et mélanger les fibres qui seront envoyés à la prochaine procédure de travail par ventilateur. Ouvre balles
  • 34.
    Chapitre II :Présentation de l’entreprise ISET KH Donya CH &Mayssem HA 21 Figure 13: Pré-ouvreuse 2.3- Ouvreuse principale La machine est adaptée pour l’ouverture et le mélange des fibres de pré ouverture, qui seront transférées à la chargeuse vibrante par le ventilateur. Figure 14: Ouvreuse principale 2.4- Chargeuse vibrante : La machine est utilisée pour avoir un mélange homogène de la masse fibreuse et pour améliorer la qualité du non tissé de point de vue régularité et résistance. Elle assure l’alimentation régulière de la carde.
  • 35.
    Chapitre II :Présentation de l’entreprise ISET KH Donya CH &Mayssem HA 22 Figure 15: Chargeuse vibrante 2.5- Carde : Cette opération consiste à transformer la masse fibreuse en une nappe de fibre. Elle assure plusieurs fonctions : • Nettoyage final : entre cylindre alimentaire et briseur • Démêlage et orientation : entre le grand tambour et le chapeau • Le mélange à court terme Figure 16: La carde
  • 36.
    Chapitre II :Présentation de l’entreprise ISET KH Donya CH &Mayssem HA 23 2.6- Étaleur nappeur : La machine est utilisée pour plier uniformément et recouvrir les nappes de fibres selon certaines largeurs et épaisseurs, ce qui correspond à la prochaine procédure de travail. Le principe de nappage est de constituer des couches alternatives et les croiser dans un mouvement continu dans le but d'obtenir une épaisseur bien déterminée et le grammage désiré de la nappe (voile de carde), il faut superposer un certain nombre de couches de ce voile. Figure 17: Étaleur nappeur 2.7- Four Afin de donner aux non-tissés un volume important, une consolidation et une résistance, on utilise le liage de la nappe par passage dans un four. On peut utiliser des fibres thermo-fusibles comme dans le cas du calandrage ou des fibres bi-composantes, c’est à dire constituées de deux matières différentes au sein de la même fibre. La nappe passe dans un four qui est en général chauffé à la température de fusion du polymère ayant le plus bas point de fusion. Les fibres liantes sont fondues sous l’effet de l’air chaud à l’intérieur de four.
  • 37.
    Chapitre II :Présentation de l’entreprise ISET KH Donya CH &Mayssem HA 24 Figure 18: Four de type « YYHG-320*1200 SINGLE LAYER OVEN » 2.8- Refroidissement Cet appareil est utilisé pour refroidir la bande de four. Il permet de fixer l’épaisseur du produit et surtout de le refroidir pour éviter de l’enrouler à chaud. Cette série de machines de refroidissement adopte deux ventilateurs centrifuges, l’un au-dessus et l’autre au-dessous, de sorte que le produit puisse être refroidi, solidifié et fini rapidement. Figure 19: Zone de refroidissement
  • 38.
    Chapitre II :Présentation de l’entreprise ISET KH Donya CH &Mayssem HA 25 2.9- Repassage : La machine est utilisée pour le post-traitement de la ouate non tissée afin de rendre la surface des non-tissés lisse et l’épaisseur uniforme. Cette opération consiste à faire lisser les fibres tout en les séchant, les fixant ainsi dans la bonne "position". 2.10- Enrouleur et coupe : Cette machine est principalement utilisée pour couper les bords du produit formé et l'enrouler en un rouleau de quantité fixe pour un emballage facile Figure 21: Enrouleur et coupe 2.11- Ouvreur de matériau chute L'ouvreur de matériau restant est principalement utilisé pour ouvrir toute sorte de non-tissés restants afin que le matériau ré-ouvert puisse être réutilisé. Figure 20: Repassage
  • 39.
    Chapitre II :Présentation de l’entreprise ISET KH Donya CH &Mayssem HA 26 Répartir uniformément les matières à recycler sur la plaque d’alimentation, le rouleau d’alimentation fonctionnant à grande vitesse les attirera vers l’ouate via l’action du rouleau d’alimentation, puis les fibres ouvertes seront envoyées dans l’armoire à coton en les conduisant avec l’aspiration du ventilateur de transport. Figure 22: Machine de recyclage des déchets de type « YYBK-100 RECYCLING MACHINE » V- Les différents produits de LINDA OUATE 1- OUATE La ouate de polyester est un produit textile écologique, d’origine synthétique, issu du recyclage de bouteilles plastiques. Il est obtenu en superposant plusieurs couches de voiles de fibres textiles provenant de la carde ou formés par soufflage ou aspiration, puis en les comprimant afin d'accroître la cohésion des fibres. Les Ouates se présentent sous la forme d'un matelas souple, gonflant, d'épaisseur régulière dont les fibres peuvent être facilement séparées. Il est utilisé par exemple dans le rembourrage des couettes, des couvertures ou bien des manteaux. Les différents grammages et laize de ouate fabriquée au sein de l’entreprise sont : Tableau 4: Les paramétres de ouate fabrique au sein de l’entreprise Grammage 80 g/m2 => 500 g/m2 Laize 150cm jusqu'à 250 cm Nombre de couches De 2 à 5 couches
  • 40.
    Chapitre II :Présentation de l’entreprise ISET KH Donya CH &Mayssem HA 27 Longueur de rouleau 10 m jusqu'au à 60 m Figure 23: Ouate de rembourrage (non tissé) 2- Linge maison Les produits fabriqués chez l’entreprise sont les couettes, les couvre-lits et la couverture VI- Conclusion L’intérêt du projet est la valorisation de la matière première au sein de l’entreprise afin de réaliser un nouveau produit correspond à l’état actuel des connaissances et les besoins de l’entreprise qui insiste sur le fait qu’un nouvel investissement peut ramener l’entreprise à des nouveaux marchés et à l’augmentation de son capital. Pour un bon développement de l’entreprise qui ne possède pas une aiguilleteuse, elle doit s’investir pour acheter une pour produire des nouveaux produits avec la même matière première ainsi d’élargir sa gamme de production. Le plus important est de faire une étude complète et mettre un plan stratégique avant chaque investissement.
  • 41.
    Chapitre III: Fabricationet caractérisation des structures en non-tissé
  • 42.
    Chapitre III :Fabrication et caractérisation des non-tissés ISET KH Donya CH &Mayssem HA 28 I- Introduction Dans ce chapitre, on va présenter la méthodologie de notre travail tout en précisant le principe de fonctionnement de chaque machine ainsi que les méthodes et les tests métrologiques appliqués sur les nappes fabriquées. Nous avons ainsi suivi un plan d’expériences pour organiser et optimiser les essais à faire. II- Plan d’expérience : 1- Définition d’un plan d’expériences : Les plans d'expériences permettent d'organiser au mieux les essais qui accompagnent une recherche scientifique ou des études industrielles, on obtient le maximum de renseignements avec le minimum d'expériences. Les plans d'expériences consistent à sélectionner et ordonner les essais afin d'identifier, à moindres coûts, les effets des paramètres sur la réponse du produit. Il s'agit de méthodes statistiques faisant appel à des notions mathématiques simples. La mise en œuvre de ces méthodes comporte trois étapes : 1. Postuler un modèle de comportement du système (avec des coefficients pouvant être inconnus) ; 2. Définir un plan d'expériences, c'est-à-dire une série d'essais permettant d'identifier les coefficients du modèle ; 3. Faire les essais, identifier les coefficients et conclure. Figure 24: Stratégie de plan d’expérience
  • 43.
    Chapitre III :Fabrication et caractérisation des non-tissés ISET KH Donya CH &Mayssem HA 29 Leur utilisation vise aux buts suivants : § Déterminer des valeurs optimales de réglage de différents paramètres, pour obtenir une valeur souhaitée sur un produit ou un service à mettre au point. § Réduire le nombre d'essais à ce qui est strictement nécessaire, avec comme effet direct de minimiser les dépenses. § Identifier les facteurs les plus influents, les interactions éventuelles entre les facteurs, et le nombre de points de mesures minimum pour obtenir le maximum d'informations [4]. Ø Facteurs : ce sont les paramètres que l'on fait varier au cours des essais Ø Niveaux : ce sont les valeurs possibles que l'on attribue à un facteur 2- Cas pratique : Une étude préliminaire nous a permis de choisir les intervalles, les nombres de niveaux et le pas de variation des paramètres. On présente ci-dessous dans un tableau les différents facteurs et leurs niveaux Tableau 5: Les différents facteurs et leurs niveaux Les facteurs Les niveaux Intervalle de valeurs Nombre de niveaux Pas %fibre 1 0 -100% 5 25 Nombre de couches 1 ,2 2 1 Densité d’aiguilletage 30 - 50 3 10 Thermo-liage Oui ou non 2 - NB : l’unité de densité d’aiguilletage dans tout le rapport est frappe par centimètre carré. Le nombre d’échantillon à réaliser est déterminé selon la formule suivante : !!!!!! !′é!h!!!!!!!!! = !!!!!! !! !!!!!! ! !!!!!e !! !!!!!!!!
  • 44.
    Chapitre III :Fabrication et caractérisation des non-tissés ISET KH Donya CH &Mayssem HA 30 Dans notre plan d'expérience, on a modifié les facteurs selon les différents niveaux, ce qui nous a donné un plan de 60 échantillons. Chaque échantillon a des propriétés bien déterminé ainsi qu’on a opté pour un plan d’expériences complet comme le montre le tableau suivant : Tableau 6:Plan d'expériences N° échantillon % fibre 1 %fibre 2 Nombre de couche Densité aiguilletage Thermo-liage 1 0 100 1 30 Oui 2 0 100 1 40 Oui 3 0 100 1 50 Oui 4 0 100 2 30 Oui 5 0 100 2 40 Oui 6 0 100 2 50 Oui 7 0 100 1 30 Non 8 0 100 1 40 Non 9 0 100 1 50 Non 10 0 100 2 30 Non 11 0 100 2 40 Non 12 0 100 2 50 Non 13 25 75 2 40 Oui 14 25 75 2 50 Oui 15 25 75 1 30 Oui 16 25 75 2 30 Non 17 25 75 1 30 Oui 18 25 75 1 40 Oui 19 25 75 1 50 Oui 20 25 75 2 30 Oui 21 25 75 1 50 Non 22 25 75 2 30 Non 23 25 75 2 40 Non 24 25 75 2 50 Non 25 50 50 1 30 Oui 26 50 50 1 40 Oui 27 50 50 1 50 Oui 28 50 50 2 30 Oui 29 50 50 2 40 Oui 30 50 50 2 50 Oui
  • 45.
    Chapitre III :Fabrication et caractérisation des non-tissés ISET KH Donya CH &Mayssem HA 31 31 50 50 1 30 Non 32 50 50 1 40 Non 33 50 50 1 50 Non 34 50 50 2 30 Non 35 50 50 2 40 Non 36 50 50 2 50 Non 37 75 25 1 30 Oui 38 75 25 1 40 Oui 39 75 25 1 50 Oui 40 75 25 2 30 Oui 41 75 25 2 40 Oui 42 75 25 2 50 Oui 43 75 25 1 30 Non 44 75 25 1 40 Non 45 75 25 1 50 Non 46 75 25 2 30 Non 47 75 25 2 40 Non 48 75 25 2 50 Non 49 100 0 1 30 Oui 50 100 0 1 40 Oui 51 100 0 1 50 Oui 52 100 0 2 30 Oui 53 100 0 2 40 Oui 54 100 0 2 50 Oui 55 100 0 1 30 Non 56 100 0 1 40 Non 57 100 0 1 50 Non 58 100 0 2 30 Non 59 100 0 2 40 Non 60 100 0 2 50 Non Les caractéristiques des fibres utilisées sont détaillées ultérieurement. Les masses de polyester étant préparées égales à 120g/nappe, passent par la machine ouvreur de matériau chute pour subir une ouvraison, un cardage puis un enroulement sous forme d’un voile de carde homogène de point de vue masse, épaisseur et composition. On a fabriqué 60 échantillons avec différentes propriétés qui vont être consolidées par la suite mécaniquement avec l'aiguilleteuse et / ou thermiquement dans un four.
  • 46.
    Chapitre III :Fabrication et caractérisation des non-tissés ISET KH Donya CH &Mayssem HA 32 Pour chaque échantillon, le passage à travers l'aiguilleteuse est défini en jouant sur deux paramètres qui sont : ● Le nombre de couches du voile qui alimente l’aiguilleteuse : soit 2 ou 3 couches. ● La densité d'aiguilletage : C'est le nombre de frappe de "n" aiguilles dans un cm². Les valeurs de cette densité varient entre 20 et 80. III-Fabrication de non tissé La majorité de travail a été effectué au sein de l’ISET de Ksar Hellal puisque l’entreprise est sollicitée par des contraintes de production lors de la période de stage. Aussi l'entreprise ne possède pas une aiguilleteuse. 1- Matériel Les machines utilisées pour fabriquer le nouveau produit sont : Figure 25 : Processus de fabrication des nappes
  • 47.
    Chapitre III :Fabrication et caractérisation des non-tissés ISET KH Donya CH &Mayssem HA 33 1.1- Ouvreuse : Pour ouvrir la matière on a utilisé la machine ouvreur type « YYBK-100 RECYCLING MACHINE » de matériau chute de l’entreprise pour bien ouvrir et mélanger la matière. ( voir figure 22) 1.2- Carde On a utilisé la carde de laboratoire de l’ISET. Elle est composée d’un grand tambour avec quatre groupes gardant (cylindres travailleurs et dépouilleurs) et un cylindre peigneur. À la sortie, le voile de carde est enroulé sur un tambour lisse pour former l’épaisseur voulue ultérieurement. Figure 26 : Carde de type « 337 A CARDING MACHINE » 1.3- Aiguilleteuse Cette machine est composée : • D’un tablier alimentaire. • Deux plaques perforées pour le maintien de la nappe, l’un c’est le débourreur qui permet le passage des aiguilles et retient en position les nappes quand les aiguilles se retirent. L’autre c’est l’enclume qui sert à ajuster la pénétration des aiguilles et leur profondeur d’action. • D’une planche à aiguilles animée d’un mouvement alternatif de lève et baisse sur laquelle sont fixées des aiguilles à barbes. • Deux cylindres d’entraînement ou d’appel qui garantir le bon maintien de la nappe consolidée.
  • 48.
    Chapitre III :Fabrication et caractérisation des non-tissés ISET KH Donya CH &Mayssem HA 34 Figure 27 : Aiguilleteuse type « TECTEX » 1.4- Four Pour la consolidation thermique on a utilisé le four de l’entreprise de type « YYHG- 320*1200 SINGLE LAYER OVEN » avec une température de 195 ° C pendant 90 s .Comme elle est présenté dans la figure 18 2- Fabrication Pour former notre nappe, nous avons choisi 3 types de matières premières (voir annexe 1) : § Fibre solide 1 Tableau 7: Les caractéristiques de fibre solide 1 Caractéristique Unité Fibre de Polyester Régénérer Ténacité CN/dtex 3.2±0.3 Élongation % 39±5.0 Longueur Mm 64±2 § Fibre solide 2 Tableau 8 : Les caractéristiques de fibre solide 2 Caractéristique Unité Fibre de Polyester Régénérer Ténacité CN/dtex 3.2±0.3 Élongation % 39±5.0 Longueur Mm 63±2
  • 49.
    Chapitre III :Fabrication et caractérisation des non-tissés ISET KH Donya CH &Mayssem HA 35 § Fibre thermoliantes Pour qu’on puisse faire une consolidation thermique, il est nécessaire d’introduire un liant au moment de la formation de la nappe. On a choisi de travailler avec un pourcentage de fibres liantes qui est de 5% et on va utiliser des fibres de polyester ayant les caractéristiques présentées dans le tableau n°7 : Tableau 9: Les caractéristiques de fibre thermo-liantes Caractéristiques Unité Fibre Polyester thermo-liantes Ténacité CN/dtex 3.4±0.5 Elongation % 48±8 Longueur mm 51 Lustre Semi terne Point de fusion ° C 110 Pour identifier les conditions de thermo-liage des non tissés fabriqués, nous avons eu recourt au diagramme suivant qui présente l’état des fibres en fonction de la température et le temps de thermo-fixation. Figure 28 : Diagramme de fusion des fibres thermo-liants IV- Caractéristiques des nappes fabriquées Après la fabrication des échantillons, des tests métrologiques sont indispensables pour bien définir les effets de chaque facteur sur les propriétés de la nappe fabriquée. Les
  • 50.
    Chapitre III :Fabrication et caractérisation des non-tissés ISET KH Donya CH &Mayssem HA 36 résultats des tests sont notés sur des fiches (voir annexe2) , puis nous les avons interprétés. 1- Détermination de l’épaisseur Selon la norme ISO 5084, la mesure de l’épaisseur se fait avec un l’appareil de mesure d’épaisseur ayant un pied presseur fixe et une surface de 25 cm². La charge exercée est ajustable de 0.1 à 10 kPa par un jeu de masses interchangeables (7 masses) selon le domaine d’application du produit (géotextile, non tissé, textiles et autres).Son étendue de mesure est de 10 mm, avec une précision de 0.01 mm. Après avoir pris les valeurs de l’épaisseur (voir annexe 6 page 14) nous avons présentés les moyennes des résultats dans le tableau ci-dessous. Figure 29 : Appareil de mesure d'épaisseur "SODEMAT" Tableau 10 : Résulat de l’essai de la masse de l’épaisseur Échantillon Moyenne (mm) cv% Échantillon Moyenne (mm) cv% 1 6,95 6,31 31 7,60 6,68 2 7,08 4,05 32 5,52 3,08 3 6,13 5,01 33 5,41 0,66 4 7,72 7,71 34 6,64 3,02 5 6,64 4,41 35 5,85 2,68
  • 51.
    Chapitre III :Fabrication et caractérisation des non-tissés ISET KH Donya CH &Mayssem HA 37 6 7,05 1,81 36 6,41 7,57 7 6,87 5,61 37 7,34 3,39 8 6,35 2,01 38 9,12 2,79 9 6,84 4,73 39 5,62 3,47 10 7,23 2,39 40 6,60 2,49 11 6,80 3,95 41 7,17 7,26 12 6,04 9,81 42 6,95 2,73 13 7,30 5,16 43 6,89 10,78 14 6,74 3,95 44 5,13 1,55 15 6,45 2,02 45 6,08 11,09 16 6,47 4,37 46 7,11 3,50 17 6,59 5,33 47 6,48 5,09 18 6,13 3,45 48 5,57 4,89 19 6,29 9,73 49 6,62 0,88 20 7,03 6,11 50 6,48 4,31 21 8,13 4,21 51 6,53 3,86 22 7,34 5,29 52 6,87 2,45 23 7,21 7,25 53 7,05 1,10 24 5,63 3,46 54 6,76 9,11 25 5,72 2,47 55 5,66 2,65 26 5,37 1,10 56 6,54 2,07 27 5,37 2,74 57 6,57 2,72 28 5.41 2.61 58 7,36 1,39 29 5.34 3.65 59 7,42 2,64 30 5.52 2.93 60 7,36 2,28 Les résultats de la mesure d’épaisseur variables avec un cv(%) son minimum égal à 0,66% et son maximum est égal à 11,09% Ainsi, les valeurs de l’épaisseur de ces 60 échantillons sont comprises entre 5,13 et 9, 12 . Les différents facteurs influent sur ce paramètre différemment comme le montre la figure ci-dessous:
  • 52.
    Chapitre III :Fabrication et caractérisation des non-tissés ISET KH Donya CH &Mayssem HA 38 Figure 30: Graphique des effets principaux pour épaisseur Suite aux essais, on a essayé d’interpréter les résultats et conclure l’effet de chaque facteur indépendamment des autres pour ceci on présente les diagrammes suivants : Figure 31: Diagramme des moyennes des épaisseurs en fonction de % de fibre 1 D’après le diagramme des moyennes des épaisseurs on remarque que pour 25% de fibre 1 on obtient un maximum d’épaisseur égal à 7,30 cm alors que le 50% fibre 1 et 50% fibre 2 a un minimum d’épaisseur avec 5,34 cm. 6,64 7,30 5,34 7,17 7,05 0,00 1,00 2,00 3,00 4,00 5,00 6,00 7,00 8,00 0 25 50 75 100 Epaisseur en cm % Xibre 1 Moyenne des épaisseurs
  • 53.
    Chapitre III :Fabrication et caractérisation des non-tissés ISET KH Donya CH &Mayssem HA 39 Figure 32: Diagramme d'épaisseur en fonction de nombre de couches On remarque que l’épaisseur augmente en augmentant le nombre de couches avec une valeur égale à 6,95 cm pour une seule couche et 7,72 cm pour deux couches. Figure 33: Diagramme d'épaisseur en fonction de thermo-liage Les nappes non thermo-liées sont plus épaisses que celles thermo-liées avec une valeur de 5,84 cm pour les premières et 5,35 cm pour les autres. 6,40 6,60 6,80 7,00 7,20 7,40 7,60 7,80 1 2 Epaisseur en cm nombre de couches Epaisseur en cm 5,00 5,10 5,20 5,30 5,40 5,50 5,60 5,70 5,80 5,90 oui non Epaisseur en cm Thermoliage Epaisseur en cm
  • 54.
    Chapitre III :Fabrication et caractérisation des non-tissés ISET KH Donya CH &Mayssem HA 40 Figure 34: Diagramme d'épaisseur en fonction de densité d'aiguilletage D’après le diagramme d’épaisseur on remarque que la meilleure valeur de densité d’aiguilletage est égale à 40 avec une épaisseur maximale de 7,08 alors que si on augmente la densité jusqu’à 50 l’épaisseur atteint un minimum avec une valeur égale à 6,13cm 2- Détermination de la masse surfacique La masse surfacique est un paramètre très important pour l’industriel qui cherche à consommer moins de matière première tout en conservant les performances du produit fabriqué. Le principe est de déterminer la masse d’une éprouvette de surface connue amenée à l’équilibre dans l’atmosphère normale de l’essai. Selon la norme NF G38-011 on prélève les éprouvettes à l’aide de l’emporte-pièce ou d’une paire de ciseaux ainsi que pour les éprouvettes découpées aux ciseaux, on fait la mesure de la longueur et la largeur à 1 mm prés. Ainsi que chaque dimension doit être mesurée en quatre endroits différents de l’éprouvette puis on pèse chaque éprouvette à 0.01 g près. 5,60 5,80 6,00 6,20 6,40 6,60 6,80 7,00 7,20 30 40 50 Epaisseur en cm densité d'aiguilletage epaisseur en cm
  • 55.
    Chapitre III :Fabrication et caractérisation des non-tissés ISET KH Donya CH &Mayssem HA 41 Figure 35 : Découpoir Figure 36: Balance numérique Après les calculs des valeurs (voir annexe 2 page 2) ,les résultats sont présentés dans le tableau ci-dessous : Tableau 11:Résulat de l’essai de la masse surfacique N° Échantillon Moyenne(g) CV(%) N° Échantillon Moyenne(g) CV(%) 1 5,11 9 31 5,34 2 2 6,03 11 32 3,76 7 3 5,10 7 33 3,88 2 4 6,72 11 34 4,32 2 5 7,20 21 35 4,60 9 6 6,73 14 36 5,28 2 7 4,08 13 37 4,14 4 8 3,64 4 38 3,91 6 9 4,00 2 39 3,87 7 10 5,44 11 40 3,92 8 11 4,46 16 41 3,90 13 12 5,28 8 42 3,99 9 13 6,14 7 43 3,90 9 14 5,88 18 44 3,13 5 15 4,09 8 45 4,52 10 16 3,53 7 46 5,04 11 17 3,84 5 47 4,22 10 18 4,00 4 48 3,53 11
  • 56.
    Chapitre III :Fabrication et caractérisation des non-tissés ISET KH Donya CH &Mayssem HA 42 19 4,61 10 49 4,75 8 20 5,83 11 50 4,22 12 21 4,49 11 51 3,81 4 22 5,50 11 52 5,42 8 23 4,72 7 53 5,24 9 24 3,17 4 54 5,40 2 25 4,52 7 55 3,73 13 26 4,62 8 56 4,07 11 27 4,54 4 57 3,78 5 28 5,52 14 58 4,60 9 29 5,36 8 59 4,32 2 30 5,26 7 60 4,76 17 On remarque que les valeurs de la masse surfacique obtenues sont comprises entre 3,13 g/cm et 7,2 g/cm avec une moyenne égale à 4,65 g/cm et un cv(%)= 19%. Cette valeur de cv(%) est élevée donc on a une mauvaise distribution des fibres dans les structures fabriquées. On passe à la présentation du graphique ci-dessous pour étudier l’effet des paramètres de fabrication sur les résultats obtenus. Figure 37: Graphique des effets principaux pour masse surfacique Les 4 facteurs ont une grande influence sur la variation de la masse surfacique
  • 57.
    Chapitre III :Fabrication et caractérisation des non-tissés ISET KH Donya CH &Mayssem HA 43 La masse surfacique varie avec la variation du pourcentage des fibres, pour un pourcentage de 0% de cette fibre on remarque que la masse surfacique est comprise entre 3,64 et 7,2, pour 25% de fibre entre 3,17 et 6,14, alors que cette valeur diminue pour 50% des fibres, la valeur minimum à 75% de fibre avec une valeur de 3,13 g/cm2 L’effet de nombre de couches sur la masse surfacique est presque nul. La densité d’aiguilletage a un petit effet sur ce facteur tant que le thermo-liage influe sur la masse surfacique avec des valeurs comprises entre 3,13 et 5,5 pour les échantillons non thermo-liés et entre 3,81g/cm et 7,2g/cm pour les nappes thermo-liées Figure 38: Diagramme de la masse surfacique en fonction de % fibre 1 D’après le diagramme de la masse surfacique en fonction de pourcentage de fibre 1 on remarque que on augmentant le pourcentage de fibre 1 la masse surfacique augmente. Pour 0% fibre 1 la masse surfacique est égale à 325,43g/m2 alors que pour 100% fibre 1 la masse surfacique égale à 719,56 g/m2. Ainsi on peut conclure que le pourcentage de fibre 1 a une influence directe sur la masse surfacique. 0,00 100,00 200,00 300,00 400,00 500,00 600,00 700,00 800,00 0 25 50 75 100 Masse suraXique en g/m2 % Xibre 1 Masse surfacique
  • 58.
    Chapitre III :Fabrication et caractérisation des non-tissés ISET KH Donya CH &Mayssem HA 44 Figure 39: Diagramme de masse surfacique en g/m2 en fonction de nombre de couches D’après le diagramme de masse surfacique en g/m2 en fonction de nombre de couches on peut conclure que la masse surfacique est en fonction de nombre de couches ainsi pour deux couches la masse surfacique est presque le double d’une seule avec 603,33g/m2et pour deux couches et 325,43 g/m2 pour une seule couche. Figure 40: Diagramme de masse surfacique en fonction de thermo-liage 0,00 100,00 200,00 300,00 400,00 500,00 600,00 700,00 1 2 Masse suraXique en g/m2 nombre de couches Massse surfacique en g/m2 0,00 100,00 200,00 300,00 400,00 500,00 600,00 700,00 oui non Masse suraXique en g/m2 thermo-liage massse surfacique en g/m2
  • 59.
    Chapitre III :Fabrication et caractérisation des non-tissés ISET KH Donya CH &Mayssem HA 45 D’après le diagramme de masse surfacique en fonction de thermo-liage on remarque que la masse surfacique est plus grande pour les nappes non thermo-liées vu que pour les thermo-liées la masse surfacique est égale à 325,43g/m2 et pour les non-thermo- liées est égale à 603,33g/m2. Figure 41: Diagramme de masse surfacique en fonction de densité d'aiguilletage D’après le diagramme de masse surfacique en fonction de densité d’aiguilletage , on conclut que la masse surfacique a un maximum égal à 603,33g/m2 pour une densité d’aiguilletage moyenne égale à 40 , si on l’augmente jusqu’à 50 la masse surfacique commence a diminué jusqu’à une valeur 509,78g/m2. 3- Détermination de la conductivité thermique La conductivité thermique (λ : lambda, exprimé en W.m-1 .K-1 ) caractérise l’aptitude d’un matériau à conduire la chaleur. Plus cette valeur est faible, plus le matériau est isolant. C’est une donnée essentielle pour la détermination de la performance thermique d’un produit. Le matériel utilisé est présenté dans la figure suivante. 0,00 100,00 200,00 300,00 400,00 500,00 600,00 700,00 30 40 50 Masse suraXique en g/m2 densité d'aiguilletage massse surfacique en g/m2
  • 60.
    Chapitre III :Fabrication et caractérisation des non-tissés ISET KH Donya CH &Mayssem HA 46 Figure 42:Conductivimetre fil chaud "FP2C" La mesure de la conductivité thermique repose sur l’utilisation de sondes à chocs. Leur principe est de produire localement un faible échauffement thermique du matériau (quelques degrés au-dessus de la température ambiante) et de mesurer cette élévation de température au cours du temps (durée de quelques minutes). Par un traitement mathématique de ce signal intégré dans le logiciel fourni, l’identification du paramètre thermique est réalisée. Les résultats sont présentés dans le tableau n°12. Tableau 12: Résultat de l’essai de conductivité pour les différentes nappes. N° échantillon λ (w.m-1 .k-1 ) N° échantillon λ (w.m-1 .k-1 ) 1 0,039 31 0,039 2 0,041 32 0,042 3 0,04 33 0,043 4 0,04 34 0,039 5 0,043 35 0,039 6 0,041 36 0,039 7 0,037 37 0,038 8 0,038 38 0,036 9 0,039 39 0,04 10 0,04 40 0,041 11 0,037 41 0,041 12 0,037 42 0,042
  • 61.
    Chapitre III :Fabrication et caractérisation des non-tissés ISET KH Donya CH &Mayssem HA 47 13 0,042 43 0,036 14 0,037 44 0,038 15 0,041 45 0,039 16 0,037 46 0,04 17 0,034 47 0,037 18 0,037 48 0,041 19 0,038 49 0,04 20 0,035 50 0,04 21 0,038 51 0,04 22 0,041 52 0,037 23 0,041 53 0,042 24 0,036 54 0,042 25 0,038 55 0,039 26 0,039 56 0,039 27 0,038 57 0,038 28 0,038 58 0,037 29 0,042 59 0,04 30 0,039 60 0,041 On remarque que les résultats de la conductivité thermique obtenue varient entre 0,034 w.m-1 .k-1 et 0,043w.m-1 .k-1 . On présente le graphique ci-dessous qui montre l’effet de chaque facteur sur la conductivité thermique
  • 62.
    Chapitre III :Fabrication et caractérisation des non-tissés ISET KH Donya CH &Mayssem HA 48 Figure 43 : Graphique des effets principaux pour conductivité thermique Le % de fibre fait varier la conductivité thermique, pour 50% de fibre et 100% la conductivité thermique atteint son maximum alors que le 25% de fibre a une meilleure valeur pour l’isolation thermique. Le nombre de couches, la densité d’aiguilletage et le thermo-liage qui ont aussi une influence remarquable sur la conductivité thermique. Donc tous les paramètres ont une influence sur la conductivité thermique des matériaux. En effet la densité d’aiguilletage modifie la porosité du matériau, aussi la superposition des couches donc affecte la conductivité thermique. Aussi la nature des fibres utilisées vu que la conductivité thermique du non-tissé dépend de pouvoir thermique des fibres utilisées.
  • 63.
    Chapitre III :Fabrication et caractérisation des non-tissés ISET KH Donya CH &Mayssem HA 49 Figure 44: La conductivité thermique en fonction de % fibre 1 D’après le diagramme de conductivité thermique en fonction de fibre 1, on remarque que pour 25%, 50% et 100% de la fibre 1 la conductivité thermique est égale avec une valeur de 0,042 w.m-1 .k-1 pourtant pour 0% fibre 1 la conductivité thermique a un maximum égal à 0,043 w.m-1 .k-1 . Ainsi on conclut que la conductivité thermique a une valeur comprise entre 0,041 w.m-1 .k-1 et 0,043 w.m-1 .k-1 alors la variation reste très faible de 0,002 w.m-1 .k-1 donc les valeurs sont presque égales donc le pourcentage de fibre 1 n’a pas une grande influence sur la variation de ce paramètre. 0,04 0,0405 0,041 0,0415 0,042 0,0425 0,043 0,0435 0 25 50 75 100 conductivité thermique en w.m-1.k-1 % Xibre 1 conductivité thermique en w.m-1.k-1
  • 64.
    Chapitre III :Fabrication et caractérisation des non-tissés ISET KH Donya CH &Mayssem HA 50 Figure 45: Diagramme de conductivité thermique en fonction de nombre de couches D’après le diagramme de conductivité thermique en fonction de nombre de couches on remarque que la conductivité thermique augmente en fonction de nombre de couches, lorsqu’on a une seule couche on a une conductivité thermique égale à 0,039 w.m-1 .k-1 alors que pour deux couches la conductivité thermique égale à 0,042 w.m-1 .k-1 . Pour la conductivité thermique, la valeur meilleure est en fonction de l’application et de nos besoins. Figure 46: Diagramme de conductivité thermique en fonction de thermo-liage 0,0375 0,038 0,0385 0,039 0,0395 0,04 0,0405 0,041 0,0415 0,042 0,0425 1 2 conductivité thermique en w.m-1.k-1 nombre de couches conductivité thermique en w.m-1.k-1 0,0375 0,038 0,0385 0,039 0,0395 0,04 0,0405 0,041 0,0415 0,042 0,0425 oui non Conductivité thermique en w.m-1.k-1 conductivité thermique thermo-liage
  • 65.
    Chapitre III :Fabrication et caractérisation des non-tissés ISET KH Donya CH &Mayssem HA 51 D’après le diagramme de conductivité thermique en fonction de thermo-liage, on remarque que les nappes thermo-liées sont plus conductibles que celles non thermo- liées. Figure 47: Diagramme de conductivité thermique en fonction de densité d'aiguilletage D’après le diagramme de conductivité thermique en fonction de densité d’aiguilletage on obtient un résultat minimum égal à 0,039 w.m-1.k-1 pour une densité d’aiguilletage de 30 et une valeur maximum égale à 0,041 w.m-1 .k-1 pour 40 de densité d’aiguilletage. 4- Détermination de la perméabilité à l’air La présente norme internationale, ISO 9237, prescrit une méthode pour la détermination de perméabilité à l’air des étoffes elle est applicable à la plupart des types d’étoffes y compris les étoffes industrielles destinés à des usages technique, aux non tissés et aux articles textile confectionnés qui sont perméables à l’air. Le principe consiste à mesurer le débit d'air passant à travers l'étoffe pendant un temps donné et une précision différentielle bien définie. 0,038 0,0385 0,039 0,0395 0,04 0,0405 0,041 0,0415 30 40 50 conductivité thermique en w.m-1.k-1 densité d'aiguilletage Conductivité thermique en w.m-1.k-1
  • 66.
    Chapitre III :Fabrication et caractérisation des non-tissés ISET KH Donya CH &Mayssem HA 52 Figure 48 : Perméabilité à l'air: FX 3300 III Les moyennes des valeurs prises (voir annexe 3 page 5) de la mesure de la perméabilité à l’air sont présentés dans le tableau n°13. Tableau 13: résultat de l’essai perméabilité a l'air pour les différentes nappes. N° échantillon Moyenne (l/m2 /s) cv (%) Échantillon Moyenne (l/m2 /s) cv (%) 1 2454 13 31 2388 7 2 2030 8 32 3282 11 3 2318 14 33 2860 13 4 1872 17 34 2794 8 5 1896 26 35 2684 6 6 1722 23 36 2532 10 7 2630 4 37 3436 4 8 3290 4 38 2344 7 9 3290 7 39 3314 12 10 2204 15 40 2088 8 11 2228 11 41 2656 11 12 2182 12 42 2526 10 13 1804 24 43 2478 9 14 2266 19 44 3622 6 15 3608 4 45 3118 13 16 2964 13 46 2570 7 17 3048 5 47 2684 14 18 3254 7 48 2258 25
  • 67.
    Chapitre III :Fabrication et caractérisation des non-tissés ISET KH Donya CH &Mayssem HA 53 19 2692 8 49 2776 8 20 1914 16 50 2582 15 21 2788 2 51 2866 4 22 2020 4 52 2574 11 23 3066 8 53 1998 12 24 3528 7 54 2556 9 25 3212 4 55 3084 5 26 2676 13 56 2720 4 27 3238 11 57 2938 15 28 1954 6 58 2558 15 29 1810 10 59 2242 12 30 2196 16 60 2532 15 La perméabilité à l’air mesuré donne des valeurs comprises entre 1722 (l/m/s) et 3622 (l/m/s) ce qui signifie que nos échantillons sont perméables à l’air et poreux. Les valeurs varient avec un cv(%) de 19%, montre une distribution non uniforme des fibres dans le voile. Figure 49: Graphique des effets principaux pour perméabilité a l’air NB : Pm air : perméabilité à l’air en (l/m2 /s)
  • 68.
    Chapitre III :Fabrication et caractérisation des non-tissés ISET KH Donya CH &Mayssem HA 54 Les 4 facteurs, % fibre, nombre de couches, densité d’aiguilletage et le thermo-liage ont un grand effet sur la perméabilité à l’air. Figure 50: Diagramme de perméabilité a l’air en fonction de % fibre 1 D’après le diagramme de Pm air en fonction de % fibre 1 , les résultats obtenus sont variables selon le % fibre 1 avec une valeur minimum égale à 1810 l/m2 /s pour 50% de fibre 1 et un maximum égal à 2656l/m2 /s pour 75% fibre 1 . Ainsi le choix de la valeur désirée dépend de l’application du produit. Figure 51: Diagramme de perméabilité à l'air en fonction de nombre de couches D’après le diagramme de perméabilité à l’air en fonction de nombre de couches on conclut que en augmentant le nombre de couches on diminue la perméabilité à l’air. 0 500 1000 1500 2000 2500 3000 0 25 50 75 100 % Xibre 1 Perméabilité à l'air perméabilité à l'air en (l/ m2/s) 0 500 1000 1500 2000 2500 3000 1 2 % Xibre 1 perméabilité à l'air en(l/m2/s) perméabilité à l'air en(l/ m2/s)
  • 69.
    Chapitre III :Fabrication et caractérisation des non-tissés ISET KH Donya CH &Mayssem HA 55 Figure 52: Diagramme de perméabilité à l'air en fonction de thermo-liage D’après le diagramme ci-dessus on conclut que le thermo-liage à une grande influence sur la perméabilité à l’air alors les nappes thermo-liées laisse passer l’air avec une valeur de 1810 l/m2 /s tant que les nappes non thermo-liées avec une valeur de 2684 l/m2 /s. Figure 53 : Diagramme de perméabilité à l'air en fonction de densité d'aiguilletage D’après le diagramme ci-dessus, la perméabilité à l’air varie selon la densité d’aiguilletage. Pour une densité de 30 , la perméabilité à l’air est égale à 2454 l/m2 /s , 0 500 1000 1500 2000 2500 3000 oui non Thermoliage Perméabilité à l'air en (l/m/s) perméabilité à l'air en (l/ m2/s) 0 500 1000 1500 2000 2500 3000 30 40 50 densité d'aiguilletage perméabilité à l'air en (l/m2/s) perméabilité à l'air en (l/ m2/s)
  • 70.
    Chapitre III :Fabrication et caractérisation des non-tissés ISET KH Donya CH &Mayssem HA 56 de 2030 l/m2 /s pour 40 de densité alors qu’elle est égale à 2318 l/m/s pour une densité de 50. 5- Détermination de la Résistance à la traction La présente norme, NF G 38-012, décrit une méthode de détermination de la résistance à la traction et de l’allongement à l’effort maximal d’un géotextile sur un dynamomètre Lloyd Instrument Mers LR 5K disponible au laboratoire de métrologie de l’ISET Ksar Hellal. Elle est applicable à tous les géotextiles sous forme de nappe. On réalise un essai dynamométrique dans le but de déterminer la résistance du non tissé à la traction puisque ce produit va recevoir des sollicitations mécaniques de traction lors de son utilisation. La force maximale, la déformation et le pourcentage d'allongement sont alors recherchés. Les moyennes des résultats prises (voir annexe 5 page 11) sont présentés dans le tableau n°14 Figure 54: Dynamomètre"LLOYD " Tableau 14: Résultat de l’essai dynamométrique pour les différents nappes
  • 71.
    Chapitre III :Fabrication et caractérisation des non-tissés ISET KH Donya CH &Mayssem HA 57 Écha ntillo n N° Force maximale Allongement maximale SENS MACHINE SENS TRANSVERSAL SENS MACHINE SENS TRANSVERSAL Moyenne (N) Cv(%) Moyenne (N) Cv(%) Moyenne (N) Cv(%) Moyenne (N) Cv(%) 1 279,06 11,04 365,18 22,00 66,82 8,29 59,44 6,30 2 421,09 20,10 271,82 27,00 47,19 11,17 78,76 11,13 3 374,48 6,39 209,25 12,00 48,04 5,13 76,37 7,65 4 327,34 24,70 105,42 26,00 56,80 9,20 88,09 10,40 5 358,37 24,06 535,52 15,00 66,26 61,73 15,05 6 324,33 10,56 416,25 22,00 81,97 12,67 67,45 3,77 7 433,63 22,91 85,77 14,00 62,65 6,11 87,52 5,76 8 370,49 38,75 209,53 11,00 56,40 22,91 103,65 3,76 9 365,09 38,01 215,91 14,00 57,08 20,38 91,79 11,30 10 210,28 35,13 666,46 17,00 62,98 18,35 54,74 13,71 11 560,96 29,08 258,09 14,00 53,66 4,53 81,03 12,03 12 463,47 15,11 207,34 11,00 48,88 3,46 86,22 5,68 13 280,65 11,75 465,16 28,00 71,32 6,40 54,87 6,26 14 199,43 34,74 352,99 22,00 73,13 19,78 49,54 8,39 15 359,68 20,87 126,02 24,00 47,48 9,74 82,26 14,05 16 309,51 25,12 238,62 22,00 45,73 14,47 63,12 35,14 17 241,07 53,58 263,04 19,00 73,63 8,04 56,78 8,44 18 460,90 7,61 123,67 33,00 61,02 25,72 84,54 7,47 19 334,34 26,32 203,50 19,00 58,96 14,84 82,09 9,43 20 391,68 17,17 147,86 15,00 49,72 17,13 96,04 6,89 21 169,00 51,49 243,71 26,00 42,71 14,89 80,96 11,11 22 342,17 35,10 123,79 70,00 60,80 23,72 81,38 16,53 23 193,96 38,53 184,13 23,00 73,94 12,90 48,94 2,59 24 232,91 15,87 254,93 64,00 74,74 15,70 48,99 54,73 25 269,43 14,13 59,76 52,00 57,31 15,70 88,92 16,78 26 493,12 15,11 174,38 14,00 58,14 2,09 103,06 5,40 27 419,85 31,45 157,35 17,00 57,25 6,66 94,44 12,45 28 223,97 15,92 345,54 59,00 94,04 11,79 44,07 40,59
  • 72.
    Chapitre III :Fabrication et caractérisation des non-tissés ISET KH Donya CH &Mayssem HA 58 29 199,67 10,92 471,92 40,00 65,43 8,60 51,69 5,58 30 106,12 24,40 359,19 61,00 57,03 13,17 38,84 38,85 31 271,64 100,00 101,66 18,00 57,10 100,0 82,01 14,22 32 135,60 20,46 286,06 10,00 83,34 4,51 53,24 8,77 33 297,15 35,00 328,91 15,00 80,34 11,11 68,68 10,68 34 171,91 6,26 450,46 15,00 59,59 15,76 50,02 8,74 35 286,94 31,73 216,21 66,00 47,04 8,16 54,66 12,54 36 378,12 43,01 196,25 13,00 45,77 16,92 70,99 14,40 37 369,86 26,54 223,45 13,00 56,05 9,47 84,41 10,58 38 396,19 22,69 191,12 26,00 51,74 8,53 86,22 6,17 39 395,62 9,38 166,60 37,00 56,08 8,51 61,67 30,58 40 326,39 21,53 434,18 27,00 73,86 11,71 60,61 4,28 41 205,60 31,55 519,35 31,00 69,06 20,89 49,83 18,24 42 260,70 23,08 621,44 33,00 51,76 27,93 50,54 24,34 43 346,63 6,88 161,45 30,00 55,79 6,64 59,62 38,86 44 141,49 32,91 294,96 24,00 56,42 19,43 37,04 16,10 45 254,58 20,45 89,59 41,00 36,30 6,22 55,16 16,59 46 376,47 26,16 166,85 35,00 38,26 10,56 64,59 28,48 47 451,04 17,89 148,02 79,00 43,95 10,63 65,07 20,46 48 179,33 33,96 117,23 53,00 47,73 8,32 29,99 33,48 49 188,21 20,39 330,41 19,00 98,65 7,00 73,11 25,84 50 185,49 8,63 493,37 17,00 58,22 12,79 63,84 9,95 51 242,00 33,90 345,93 41,00 90,44 7,71 61,41 17,52 52 237,63 25,03 250,13 30,00 66,14 10,89 55,72 11,87 53 142,48 19,45 161,68 62,00 94,90 7,43 63,15 22,24 54 272,85 36,42 148,66 32,00 57,92 25,79 81,84 13,60 55 132,04 77,19 219,14 7,00 74,26 15,27 54,20 10,51 56 290,17 16,17 119,69 60,00 48,23 4,42 77,20 10,51 57 150,62 17,00 288,87 18,00 80,41 3,64 50,24 6,92 58 231,35 30,37 473,61 25,00 91,79 9,74 54,03 8,90 59 125,75 22,26 445,88 15,00 83,13 17,47 59,08 11,70 60 132,95 30,20 524,86 29,00 86,01 5,34 46,86 24,47
  • 73.
    Chapitre III :Fabrication et caractérisation des non-tissés ISET KH Donya CH &Mayssem HA 59 Après la mesure de pourcentage d’allongement maximale de nos structures on obtient des valeurs variables entre 29,99 et 103,65 donc les non tissé fabriqués sont extensible. Aussi les valeurs de la force maximale qui varient entre59,76 N et 666,46N. Pour étudier les causes de cette variation, on présente les deux graphiques ci-dessous qui présentes les effets principaux pour la force maximale et ainsi pour le % d’allongement maximale. Figure 55: Graphique des effets principaux pour Force maximal ST NB : - Force max SM : Force maximale dans le sens machine. - Force max ST : Force maximale dans le sens transversale. Le graphique ci-dessus montre que les quatre facteurs ont une grande influence sur la force maximale, pour 100% de fibre 1 on a une valeur de force maximale supérieure à 300 N alors que le 25% de fibre a une valeur minimale inférieure à 240N ce qui prouve que les propriétés mécaniques sont liés aux propriétés des fibres.
  • 74.
    Chapitre III :Fabrication et caractérisation des non-tissés ISET KH Donya CH &Mayssem HA 60 Figure 56: Graphique des effets principaux pour Force max SM Le graphique ci-dessus montre que les quatre facteurs ont une grande influence sur la force maximale, pour 0% de fibre 1 on a une valeur de force maximale supérieure à 330 N alors que le 100% de fibre a une valeur minimale inférieure à 200N ce qui prouve que les propriétés mécaniques sont liés aux propriétés des fibres. La densité d’aiguilletage donne une valeur de force maximale meilleure avec la densité 40 ceci montre que la consolidation améliore la cohésion dans la structure et par la suite les propriétés mécaniques. Figure 57: Diagramme de la force maximal en fonction de % fibre 1 358,37 280,65 199,67 205,60 142,48 535,52 465,16 471,92 519,35 161,68 0,00 100,00 200,00 300,00 400,00 500,00 600,00 0 25 50 75 100 % Xibre 1 Force maximale en N SENS MACHINE SENS TRANSVERSALE
  • 75.
    Chapitre III :Fabrication et caractérisation des non-tissés ISET KH Donya CH &Mayssem HA 61 D’après le diagramme ci-dessus on remarque que la force maximale en sens machine diminue en augmentant le pourcentage de fibre 1, alors on peut conclure que la fibre 1 possède des propriétés mécaniques plus faibles que la fibre 2. Par contre dans le sens transversal on remarque que 0% fibre 1 donne une force maximale égale à 535,52 N alors que 100% de fibre 1 donne une valeur minimale 161,68 N. Figure 58: Diagramme de la force maximal en fonction de nombre de couches La force maximale dans le sens transversal montre que pour une seule couche est égale à 365.18 N et pour les deux couches est égale à 105.42 N. Par contre dans le sens machine on remarque qu’une seule couche donne une valeur plus faible égale à 279.06 que celle de deux couches avec une valeur égale à 327.34 ce qui est contraire de celui de la force maximale en sens transversal. Ainsi le nombre de couches influe sur la variation de la force maximale ainsi que le sens. 279,06 327,34 365,18 105,42 0,00 50,00 100,00 150,00 200,00 250,00 300,00 350,00 400,00 1 2 nombre de couches Force maximale en N SENS MACHINE SENS TRANSVERSALE 199,67 286,94 471,92 216,21 0,00 50,00 100,00 150,00 200,00 250,00 300,00 350,00 400,00 450,00 500,00 oui non thermo-liage Force maximale en N SENS MACHINE SENS TRANSVERSALE
  • 76.
    Chapitre III :Fabrication et caractérisation des non-tissés ISET KH Donya CH &Mayssem HA 62 Figure 59: Diagramme de la force max en fonction de thermo-liage Le diagramme ci-dessus prouve que le thermo-liage influe sur la force maximale ainsi les nappes non thermo-liées ont une valeur de force maximale en sens machine égalé à 286,94N supérieur à celles du thermo-liées qui est égale à 199,67 N. On remarque aussi l’influence de thermo-liage sur la force maximale en sens transversale ce qui est prouvé par la valeur de cette dernière qui diminue de 471,92 N des nappes thermo-liées jusqu’à une valeur égale à 216,21 N pour celles non thermo- liées. Figure 60: Diagramme de la force max en fonction de densité d'aiguilletage Le diagramme ci-dessus montre que en sens machine la densité 40 donne une valeur meilleure de force maximale égale à 421,09N alors que la densité 30 donne une valeur minimale égale à 279,06. En outre dans le sens transversal lorsqu’on augmente la densité la force maximale diminue. Cette valeur est comprise entre 365,18 N pour une densité de 30 et 209,25N pour une densité égale à 50. 279,06 421,09 374,48 365,18 271,82 209,25 0,00 50,00 100,00 150,00 200,00 250,00 300,00 350,00 400,00 450,00 30 40 50 Densité d'aiguilletage Force maximale en N SENS MACHINE SENS TRANSVERSALE
  • 77.
    Chapitre III :Fabrication et caractérisation des non-tissés ISET KH Donya CH &Mayssem HA 63 Figure 61 : Graphique des effets principaux pour % allongement maximal SM NB : - % all max SM : pourcentage allongement maximale pour le sens machine. - % all max ST : pourcentage allongement maximale pour le sens transversal. Figure 62: Graphique des effets principaux pour % allongement maximal ST
  • 78.
    Chapitre III :Fabrication et caractérisation des non-tissés ISET KH Donya CH &Mayssem HA 64 Les deux graphiques ci-dessus montrent que le pourcentage de fibre influe directement sur le pourcentage de l’allongement maximal. L’augmentation de la cohésion dans les non tissés par consolidation et par augmentation de nombre de couches bloque la structure et par la suite on a diminution de l’extensibilité. Figure 63: Diagramme de % allongement maximal en fonction de % fibre 1 D’après le diagramme de pourcentage d’allongement maximal en fonction de pourcentage de fibre 1, on remarque que dans le sens machine lorsqu’on augmente ce pourcentage l’allongement maximal augmente par contre on obtient des valeurs de pourcentage d’allongement dans le sens transversale variables selon le pourcentage de fibre 1 utilisé avec une valeur maximale égale à 63,15% pour 100% fibre 1 et une valeur minimale égale à 49,83% pour 75% fibre 1 . Ainsi on peut conclure de ces deux diagrammes, qui montrent la variation de pourcentage d’allongement dans le sens machine et les sens transversale en fonction de pourcentage de fibres, que les propriétés mécaniques des fibres influent directement sur les propriétés mécaniques de produit fabriqué. 66,26 71,32 65,43 69,06 94,90 61,73 54,87 51,69 49,83 63,15 0,00 20,00 40,00 60,00 80,00 100,00 0 25 50 75 100 % Xibre 1 % allongement maximale SENS MACHINE SENS TRANSVERSALE
  • 79.
    Chapitre III :Fabrication et caractérisation des non-tissés ISET KH Donya CH &Mayssem HA 65 Figure 64: Diagramme % allongement maximale en fonction de nombre de couches Le diagramme ci-dessus prouve que en augmentant le nombre de couches dans le sens transversale augmente le pourcentage d’allongement avec 88,09% pour la nappe de deux couches et 59,44% pour celle d’une seule couche, au contraires pour le sens machine en augmentant le nombre de couches le % d’allongement diminue. Figure 65: Diagramme de % allongement maximal en fonction de thermo-liage Le diagramme ci-dessus présent l’effet du thermo-liage sur le pourcentage d’allongement maximal dans le sens machine les nappes thermo-liées sont plus extensibles avec 65,43% d’allongement maximale que celles non thermo-liées. 66,82 56,80 59,44 88,09 0,00 20,00 40,00 60,00 80,00 100,00 1 2 Nombre de couches % allongement maximale SENS MACHINE SENS TRANSVERSALE 65,43 47,04 51,69 54,66 0,00 10,00 20,00 30,00 40,00 50,00 60,00 70,00 oui non thermo-liage % allongement maximale SENS MACHINE SENS TRANSVERSALE
  • 80.
    Chapitre III :Fabrication et caractérisation des non-tissés ISET KH Donya CH &Mayssem HA 66 Dans l’autre sens on remarque un résultat différent, les nappes non thermo-liées sont les plus extensibles dans le sens transversal avec 54,66% d’allongement maximale. Figure 66: Diagramme d'allongement maximal en fonction de densité d'aiguilletage Le diagramme précédent fait preuve d’une variation de pourcentage d’allongement en fonction de densité d’aiguilletage dans le deux sens de la sorte d’une valeur maximale égale à 66,82% pour une densité minimale dans le sens machine et une valeur minimale de 47,19% pour une densité d’aiguilletage moyenne égale à 40. Dans le sens transversal on atteint une valeur égale à 78,76% pour une densité de 40. 6- Détermination de la Résistance au déchirement On réalise un essai de résistance au déchirement selon la norme AFNOR G 07- 149 sur le déchiromètre FX 3750 ELMENDOF TESTER présenté dans la figure suivante. Figure 67: Déchiromètre" FX 3750 ELMENDOF" 66,82 47,19 48,04 59,44 78,76 76,37 0,00 10,00 20,00 30,00 40,00 50,00 60,00 70,00 80,00 90,00 30 40 50 densité d'aiguiletage % allongement maximale SENS MACHINE SENS TRANSVERSALE
  • 81.
    Chapitre III :Fabrication et caractérisation des non-tissés ISET KH Donya CH &Mayssem HA 67 Cet essai permet de déterminer la force moyenne requise pour la propagation d'une déchirure à languette à déchirure unique à partir d'une coupe de papier, de carton, de plastique, de non-tissé et de tissus. La valeur est exprimée en N. Les moyennes des valeurs (voir annexe 4 page 8) sont présentés dans le tableau n°15 Tableau 15: Résultat de l’essai résistance au déchirement pour les différentes nappes n° échantillon Sens machine sens transversal n° échantillon sens machine sens transversal moyenne en N moyenne en N moyenne en N moyenne en N 1 90,15 51,8 31 75,3 115,5 2 95,9 53,1 32 76,85 79,9 3 104,3 76,8 33 65,75 90,15 4 133 133 34 62,45 49,5 5 111,3 75,65 35 95,95 114,75 6 136 136 36 66,1 84,1 7 62,2 42,15 37 81,4 108,3 8 75,1 79,8 38 104,8 108,3 9 95,8 68,55 39 80,75 83,95 10 110 130,5 40 122,5 84.8 11 111,05 79,4 41 85,6 102,95 12 109,5 122,5 42 132,5 132,5 13 123 132 43 65,95 71,55 14 95,4 94,85 44 76,85 55,5 15 64,7 94,4 45 105,45 76,6 16 82,4 68,15 46 112,4 120 17 48,9 56,5 47 125 85,35 18 57,75 61,75 48 111,15 108,95 19 115,5 72,6 49 65,2 65,2 20 120,5 136 50 120 85,7 21 78,05 111,2 51 46,65 88,3 22 135,5 51,5 52 136 133,5 23 77,7 109,15 53 96,1 80,55 24 95,05 49,6 54 54,05 122 25 125,5 86,35 55 79,45 120 26 122,5 107,35 56 109 28,55
  • 82.
    Chapitre III :Fabrication et caractérisation des non-tissés ISET KH Donya CH &Mayssem HA 68 27 89,8 73,95 57 123 79,25 28 113,5 125,5 58 69,4 114 29 93,6 109,5 59 93,8 124 30 120,5 133 60 132 80,5 Figure 68: Graphique des effets principaux pour déchiromètre SM Figure 69: Graphique des effets principaux pourrésistance au déchirement ST NB : - Résistance au déchirement SM : résistance au déchirement dans le sens machine.
  • 83.
    Chapitre III :Fabrication et caractérisation des non-tissés ISET KH Donya CH &Mayssem HA 69 - Résistance au déchirement ST : résistance au déchirement dans le sens transversal. Les deux graphiques ci-dessus montrent que les 4 facteurs ont une grande influence sur la résistance au déchirement. Pour cette raison , on propose les diagrammes suivants pour étudier l’effet de chaque facteur sur ce paramètre . Figure 70: Diagramme de la résistance au déchirement en fonction de % fibre 1 Le diagramme ci-dessus insiste sur une variation de la résistance au déchirement dans les deux sens en fonction de pourcentage de fibre 1. On peut tirer comme résultat que 25% de fibre 1 est la nappe la plus résistante au déchirement pour les deux sens. Figure 71: Diagramme de la résistance au déchirement en fonction de nombre de couches 111,30 123,00 93,60 85,60 96,10 75,65 132,00 109,50 102,95 80,55 0,00 20,00 40,00 60,00 80,00 100,00 120,00 140,00 0 25 50 75 100 % Xibre 1 Résistance au déchirement en N sens machine sens transversal 90,15 133,00 51,80 133,00 0,00 20,00 40,00 60,00 80,00 100,00 120,00 140,00 1 2 nombre de couches Résistance au déchirement en N sens machine sens transversal
  • 84.
    Chapitre III :Fabrication et caractérisation des non-tissés ISET KH Donya CH &Mayssem HA 70 Les deux diagrammes de résistance au déchirement dans le sens production (machine) et dans le sens transversal en fonction de nombre de couches prouvent qu’une nappe avec une seule couche n’est pas résistante comme celle de deux couches qui atteint une résistante égale à 133N pour les deux sens. Figure 72: Diagramme de la résistance au déchirement en fonction de thermo-liage Le diagramme précédent de résistance au déchirement en fonction de thermo-liage dans le sens machine et le sens transversale insiste sur le fait que les nappes non thermo-liées sont plus résistantes que celles thermo-liées avec une résistance supérieur à 95N. Figure 73: Diagramme de la résistance au déchirement SM en fonction de densité d'aiguilletage 93,60 95,95 109,50 114,75 0,00 20,00 40,00 60,00 80,00 100,00 120,00 140,00 oui non thermo-liage Résistance au déchirement en N sens machine sens transversale 90,15 95,90 104,30 51,80 53,10 76,80 0,00 20,00 40,00 60,00 80,00 100,00 120,00 30 40 50 densité d'aiguilletage Résistance au déchirement en N sens machine sens transversal
  • 85.
    Chapitre III :Fabrication et caractérisation des non-tissés ISET KH Donya CH &Mayssem HA 71 Le diagramme ci-dessus met en évidence la relation entre la consolidation mécanique et la résistance au déchirement en N. On remarque que la résistance dans le sens machine est plus important de celui dans le sens transversal. Pour conclure , on peut dire que une densité égale à 30 ou 40 donne des valeurs de résistance presque égales alors que lorsqu’on augmente la densité à 50 on obtient une résistance plus importante supérieure à 75N. V- Conclusion Dans ce chapitre, on s’est intéressé en premier temps à la fabrication des structures non tissé en variant différents paramètres de fabrication tel que la composition en fibres, nombre de couches, le mode de consolidation et la densité d’aiguilletage. Après la fabrication des structures, on a passé à la réalisation des tests métrologiques pour caractériser les structures et déterminer leurs propriétés physiques, mécaniques et thermiques. Pour analyser les résultats, on a présenté les diagrammes des effets principaux pour chaque propriété. Les propriétés mesurées nous permettront de choisir la structure qui répond au cahier des charges du produit choisi.
  • 86.
    Chapitre VI :Optimisation des résultats
  • 87.
    Chapitre VI :Optimisation des résultats ISET KH Donya CH &Mayssem HA 72 I- Introduction : Dans ce chapitre, on va s’intéresser à l’optimisation des résultats obtenus dans le but de trouver un produit correspond au dossier technique et au cahier des charges de l’application visée. II- Optimisation de la fabrication des non tissés 1- Optimisation pour l’isolation thermique 1.1- En utilisant le graphique de contours superposés Cette méthode consiste à identifier une zone où les moyennes des réponses répondent aux conditions choisies. C’est une méthode d’identification visuelle une aire de compromis blanche parmi les diverses réponses10, 11 . L’optimisation par la méthode de contour superposé ne nous permet de travail qu’avec deux paramètres d’entrée, ce qui est un inconvénient. C’est pourquoi nous avons choisi de travailler avec le pourcentage de fibre et la densité d’aiguilletage comme paramètres variable et nous avons fixé à chaque fois le nombre de couche et la consolidation. L'isolation thermique fait l'objet d'une réglementation pour le neuf et l'existant. La ouate de polyester est un bon isolant très utilisé. La ouate de polyester est un isolant écologique, d’origine synthétique, issu du recyclage de bouteilles plastiques qui s’utilise en isolation intérieure des murs et des toitures : • Elle existe sous forme de panneau, de rouleau et en vrac. • La ouate de polyester est composée à 100 % de fibres de polyester recyclées. Il faut environ 40 bouteilles plastiques pour réaliser 1 kilogramme de fibre recyclée. • Dans sa composition, Il n'y a pas de produits chimiques, d'amiante et d'agents ignifugeants donc son utilisation pratiquement sans risque pour la santé : non allergénique, non irritable, non toxique. Pour choisir le bon produit, parmi les non tissés fabriqués, qui peut être utilisés comme isolant thermique, nous nous somme référé au cahier des charges des produits commercialisés (voir annexe 7 page 17) où les deux propriétés les plus intéressantes sont la conductivité thermique et l’épaisseur.
  • 88.
    Chapitre VI :Optimisation des résultats ISET KH Donya CH &Mayssem HA 73 Figure 74 : Graphique de contour superposé de conductivité thermique et épaisseur pour les échantillons non thermolié avec deux couches Figure 75:Graphique de contour superposé de conductivité thermique et épaisseur pour les échantillons non thermolié avec une seule couche Les deux diagrammes précédents montrent les limites des échantillons avec les paramètres convenables pour une application d’isolation thermique La région en blanc dans les graphiques affiche la combinaison de valeurs pour la densité d’aiguilletage et le pourcentage de fibre 1, qui fournit des valeurs ajustées satisfaisantes pour les deux variables de réponse.
  • 89.
    Chapitre VI :Optimisation des résultats ISET KH Donya CH &Mayssem HA 74 Figure 76Graphique de contour superposé de conductivité thermique et épaisseur pour les échantillons thermoliés avec une seule couche La région en blanc dans le graphique affiche la combinaison de valeurs pour la densité d’aiguilletage et % fibre 1, qui fournit des pour conductivité thermique et l’épaisseur lorsque les structures sont thermo-liées et possèdent une seule couche. Figure 77 : Graphique de contour superposé de conductivité thermique et épaisseur pour les échantillons thermolié avec deux couches La région en blanc dans ce graphique est très limité lorsque les structures sont thème- liés et possèdent deux couches donc on n’a pas assez valeurs ajustées satisfaisantes 1.2- En utilisant la méthode de désirabilité L'optimisation des réponses permet d'identifier la combinaison des paramètres de variables d'entrée qui optimisent conjointement une réponse unique ou un ensemble de réponses. L’optimisation doit satisfaire aux exigences pour toutes les réponses de
  • 90.
    Chapitre VI :Optimisation des résultats ISET KH Donya CH &Mayssem HA 75 l'ensemble. Pour se faire on a eu recourt au Minitab qui calcule une solution optimale et trace un diagramme d’optimisation et donne le degré de satisfaction des exigences ou conditions annoncés à travers le calcul de la désirabilité individuelle pour chaque sortie et la désirabilité globales pour l’ensemble des sorties. Cette méthode, contrairement à la méthode des contours superposés, permet de définir la meilleure combinaison satisfaisant les conditions imposées sur les réponses. Nous nous sommes basés sur les cahiers des charges de l’annexe 4 pour faire l’optimisation. Donc nous avons comme condition une conductivité thermique égale à 0,0379 et une épaisseur égale à 8mm. On propose le diagramme d’optimisation des réponses pour préciser la meilleure nappe pour notre application d’isolation thermique. Figure 78: Diagramme d'optimisation conductivité thermique et épaisseur Pour l'isolation, la désirabilité globale est de 76,24%. Cette valeur de la désirabilité globale est proches de 1 ce qui indique que les paramètres atteignent des résultats favorables pour toutes les réponses. Le meilleur non-tissé qui permet de satisfaire les conditions imposés est obtenue en utilisant les fibres 2 en deux couches avec une densité d’aiguilletage de 30 et ayant recourt au thermoliage. Cette valeur de désirabilité globale est donnée par des désirabilités individuelles comme présentées dans le tableau ci-dessous :
  • 91.
    Chapitre VI :Optimisation des résultats ISET KH Donya CH &Mayssem HA 76 Tableau 16: Les valeurs des désirabilités individuelles de la conductivité thermique et l’épaisseur Propriétés Valeur moyenne Désirabilité individuelle Conductivité thermique 0,037 0,84 Épaisseur 7,1 0,68 2- Application 2 : Filtration Le contrôle des particules fines en présence de contraintes hydrauliques (écoulement d’eau) et mécaniques (mouvements des véhicules) est nécessaire afin de préserver la stabilité de l’ouvrage. Les géotextiles non-tissés possèdent des ouvertures de filtration optimisées pour permettre la filtration en présence de sols fins et argileux. Ces géotextiles sont nécessaires pour limiter le lessivage des particules libres et pour faciliter l’écoulement des liquides vers le système drainant. Pour choisir le bon produit, parmi les non tissés fabriqués, qui peut être utilisés comme filtration, nous nous somme référé au cahier des charges des produits commercialisés (voir annexe 8 page 17) où les propriétés les plus intéressantes sont pourcentage d’allongement maximale et force maximale Figure 79 : graphiques de contour superposé de % de fibre et allongement et force maximal
  • 92.
    Chapitre VI :Optimisation des résultats ISET KH Donya CH &Mayssem HA 77 Les 4 graphiques de contour superposé montrent que tous les 60 nappes dans les figures répondent à nos besoins, ils ont les mêmes paramètres des fiches techniques (voir annexe3). Ainsi on propose le diagramme d’optimisation des réponses pour préciser la meilleure nappe pour notre application d’isolation thermique Figure 80 : Diagramme d'optimisation Pour la filtration, la désirabilité globale est de 0,5163 .La meilleure structure du non- tissé qui permet de satisfaire les conditions imposés est obtenue en utilisant 100% les fibres 2, nombre de couches≈2 avec une densité d’aiguilletage de ≈40 et ayant recourt au thermoliage. La désirabilité globale est un résultat des désirabilités individuelles comme le présente le tableau suivant : Tableau 17: Les valeurs des désirabilités individuelles de l’allongement maximal et la force maximal Propriétés Valeur moyenne Désirabilité individuelle % all max SM 75,54 0,61 % all max ST 63,42 0,43 F max SM 367,18 0,57 F max ST 338,94 0,46
  • 93.
    Chapitre VI :Optimisation des résultats ISET KH Donya CH &Mayssem HA 78 3- Autres applications : Après la comparaison des valeurs avec les valeurs des fiches techniques , on a essayé de faire varier les limites du graphique de contour superposé afin d’optimiser d’autres résultats qui peuvent être convenables pour d’autres produits . Figure 81 : Graphique de contour superposé de la masse surfacique et l’épaisseur pour les échantillons non thermolié avec une seule couche Figure 82 : Graphique de contour superposé de la masse surfacique et l’épaisseur pour les échantillons non thermoliés avec deux couches La région en blanc dans le graphique affiche la combinaison de valeurs pour la % de fibre et la densité d’aiguilletage, qui fournit des valeurs ajustées satisfaisantes pour une masse surfacique comprise entre 300g /m2 et 500 g/m2 et le une épaisseur entre 3,4 cm et 6,5 cm la valeur de nombre de couche est maintenue à 1 ou 2 couches pour des structures non thermoliés.
  • 94.
    Chapitre VI :Optimisation des résultats ISET KH Donya CH &Mayssem HA 79 Figure 83 : Graphique de contour superposé de la masse surfacique et l’épaisseur pour les échantillons thermoliés avec une seule couche Figure 84 : Graphique de contour superposé de la masse surfacique et l’épaisseur pour les échantillons thermoliées avec deux couches La région en blanc dans le graphique affiche la combinaison de valeurs pour la % de fibre et la densité d’aiguilletage, qui fournit des valeurs ajustées satisfaisantes pour une masse surfacique comprise entre 300g /m2 et 500 g/m2 et le une épaisseur entre 3,4 cm et 6,5 cm la valeur de nombre de couche est maintenue à 1 ou 2 couches pour des structures thermoliés.
  • 95.
    Chapitre VI :Optimisation des résultats ISET KH Donya CH &Mayssem HA 80 Figure 85: Diagramme d’optimisation de la perméabilité à l’air, % d’allongement maximal et force maximale La désirabilité globale est de 0,530 dans les conditions suivantes : Le meilleur pourcentage de fibre est 100% fibre 1 et 0% fibre 2 avec les paramètres de fabrication de nombre de couche ≈ 2, densité≈30 et une structure thermoliée. Cette désirabilité globale est obtenue par les valeurs des désirabilités individuelles présentées dans le tableau ci-dessous : Tableau 18: Les valeurs des désirabilités individuelles Perméabilité à l’air, % allongement maximal et Force maximale Propriétés Valeur moyenne Désirabilité individuelle Pm air 1724,34 (l /m2 /s) 0,99 % all max SM 67,73 0,51 % all max ST 69,08 0,52 F max SM 299,61 0,42 F max ST 353,36 0,48 III-Conclusion Dans le but d’optimiser nos résultats nous avons mené une analyse fonctionnelle pour définir nos besoins. Par la suite, en utilisant le logiciel Mini-Tab, on a transformé les valeurs en diagrammes en se basant sur des observations et en contrôlant les facteurs variables :
  • 96.
    81 Conclusion générale etperspectives Le stage effectué au sein de l’entreprise «LINDAOUATE », nous a permis de mettre en application les connaissances théoriques acquises tout au long de notre formation et d’avoir une idée sur la vie professionnelle en général et l’industrie du non tissé en particulier. L’objectif de ce travail était d’ajouter une consolidation mécanique à l’aide d’une aiguilleteuse dans la ligne de production afin d’élargir la gamme de produits pour l’entreprise et de la permettre d’entrer dans des nouveaux marchés . Dans ce travail nous avons commencé par une étude bibliographique qui nous a permis de découvrir les différentes techniques de fabrication des non-tissés, surtout de connaitre les différents systèmes de formation de voile Nous avons utilisé comme point de départ un plan d'expérience, dans lequel nous avons pris en compte les différents facteurs et leurs niveaux. Suite à cette étude nous avons fabriqué des structures de non-tissé et on a caractérisé ces structure en déterminant les caractéristiques physiques (masse surfacique, épaisseur), les caractéristiques hydrique (la perméabilité à l’air) et les caractéristiques mécaniques (la résistance à la déchirure, la force et l’allongement de rupture).L’étude d’optimisation de la fabrication des non-tissés nous a permis de connaitre le produit correspond au dossier technique désiré. Au cours de ce travail, nous avons pu: - Réaliser un nouveau produit correspond à l’état actuel de besoins de l’entreprise - Optimiser les réglages de l’aiguilleteuse Ce travail peut être complété par d’autres parties possibles, nous soulignons qu’il sera utile par exemple de : - Faire l’étude du coût de nouveau produit
  • 97.
  • 98.
  • 99.
  • 100.
    2 Annexe 2 Echantillon masse en g masse surfacique essai 1 essai 2 essai 3 moyenne essai 2 essai3 moyenne écart type CV% 1 8,43 7,00 7,56 5,62 4,67 5,04 5,11 0,480385648 9% 2 8,46 8,54 10,15 5,64 5,69 6,77 6,03 0,635644904 11% 3 7,60 8,24 7,10 5,07 5,49 4,73 5,10 0,380953968 7% 4 10,50 8,82 10,92 7,00 5,88 7,28 6,72 0,740810367 11% 5 13,28 9,00 10,10 8,85 6,00 6,73 7,20 1,481760714 21% 6 11,65 8,92 9,70 7,77 5,95 6,47 6,73 0,937443332 14% 7 5,22 6,46 6,68 3,48 4,31 4,45 4,08 0,523240048 13% 8 5,71 5,31 5,34 3,81 3,54 3,56 3,64 0,148018017 4% 9 6,10 6,00 5,90 4,07 4,00 3,93 4,00 0,066666667 2% 10 8,71 8,62 7,17 5,81 5,75 4,78 5,44 0,576207267 11% 11 6,17 5,99 7,91 4,11 3,99 5,27 4,46 0,707081744 16% 12 8,46 8,11 7,20 5,64 5,41 4,80 5,28 0,433606751 8% 13 10,00 8,90 8,75 6,67 5,93 5,83 6,14 0,455013227 7% 14 9,12 7,12 10,20 6,08 4,75 6,80 5,88 1,041821766 18% 15 5,73 6,67 6,01 3,82 4,45 4,01 4,09 0,32175445 8% 16 5,70 5,20 5,00 3,80 3,47 3,33 3,53 0,240370085 7% 17 6,09 5,55 5,66 4,06 3,70 3,77 3,84 0,190243509 5% 18 5,80 5,90 6,29 3,87 3,93 4,19 4,00 0,172605309 4% 19 6,78 7,63 6,33 4,52 5,09 4,22 4,61 0,440117829 10% 20 9,80 8,40 8,04 6,53 5,60 5,36 5,83 0,619868564 11% 21 5,90 7,40 6,90 3,93 4,93 4,60 4,49 0,509175077 11% 22 7,24 8,70 8,80 4,83 5,80 5,87 5,50 0,582154364 11%
  • 101.
    3 23 6,63 7,60 7,00 4,42 5,07 4,67 4,72 0,326349052 7% 24 4,78 4,57 4,91 3,19 3,05 3,27 3,17 0,114374304 4% 25 6,63 7,30 6,40 4,42 4,87 4,27 4,52 0,311721623 7% 26 5,89 6,54 5,59 4,53 5,03 4,30 4,62 0,373559033 8% 27 5,71 5,80 6,20 4,39 4,46 4,77 4,54 0,200640002 4% 28 6,62 6,61 8,30 5,09 5,08 6,38 5,52 0,748344656 14% 29 6,30 7,40 7,20 4,85 5,69 5,54 5,36 0,450728098 8% 30 7,20 6,30 7,01 5,54 4,85 5,39 5,26 0,364905219 7% 31 7,83 8,19 8,02 5,22 5,46 5,35 5,34 0,120061713 2% 32 5,90 5,80 5,20 3,93 3,87 3,47 3,76 0,252395926 7% 33 5,74 5,94 5,80 3,83 3,96 3,87 3,88 0,068421353 2% 34 6,50 6,46 6,48 4,33 4,31 4,32 4,32 0,013333333 0% 35 6,63 7,59 6,47 4,42 5,06 4,31 4,60 0,403833482 9% 36 7,90 8,06 7,82 5,27 5,37 5,21 5,28 0,081468012 2% 37 6,48 6,07 6,09 4,32 4,05 4,06 4,14 0,154104342 4% 38 5,48 6,20 5,90 3,65 4,13 3,93 3,91 0,241108551 6% 39 5,44 6,20 5,79 3,63 4,13 3,86 3,87 0,253596355 7% 40 5,40 5,90 6,33 3,60 3,93 4,22 3,92 0,310292574 8% 41 5,65 5,78 5,23 3,77 4,45 3,49 3,90 0,493409646 13% 42 5,45 5,67 5,96 3,63 4,36 3,97 3,99 0,364368387 9% 43 5,70 5,60 5,39 3,80 4,31 3,59 3,90 0,367598362 9% 44 4,47 4,27 4,69 2,98 3,28 3,13 3,13 0,152342509 5% 45 6,36 6,55 6,44 4,24 5,04 4,29 4,52 0,446393196 10% 46 7,23 7,40 6,92 4,82 5,69 4,61 5,04 0,572686285 11% 47 5,72 6,08 6,24 3,81 4,68 4,16 4,22 0,434583036 10% 48 4,67 5,07 5,38 3,11 3,90 3,59 3,53 0,396035913 11%
  • 102.
    4 49 6,52 7,65 7,19 4,35 5,10 4,79 4,75 0,378828604 8% 50 7,00 5,52 6,47 4,67 3,68 4,31 4,22 0,499911103 12% 51 5,73 5,50 5,90 3,82 3,67 3,93 3,81 0,133832399 4% 52 8,47 7,39 8,55 5,65 4,93 5,70 5,42 0,4319122 8% 53 7,06 8,50 8,00 4,71 5,67 5,33 5,24 0,48741191 9% 54 8,10 7,90 8,30 5,40 5,27 5,53 5,40 0,133333333 2% 55 5,17 5,27 4,74 3,98 4,05 3,16 3,73 0,495351966 13% 56 5,60 5,65 5,32 4,31 4,35 3,55 4,07 0,450891537 11% 57 5,07 5,00 5,37 3,90 3,85 3,58 3,78 0,171336549 5% 58 6,39 6,14 6,22 4,92 4,72 4,15 4,60 0,400032981 9% 59 5,50 5,60 6,65 4,23 4,31 4,43 4,32 0,102253804 2% 60 5,66 7,41 6,34 4,35 5,70 4,23 4,76 0,816396137 17%
  • 103.
    5 Annexe 3 n° échanttillon Perméabilité à l'air essai 1 essai 2 essai 3 essai 4 essai 5 moyenne ecart type cv% 1 2640 2150 2500 2870 2110 2454 324,24 13% 2 2140 2030 2220 1900 1860 2030 153,30 8% 3 1980 2330 2660 2600 2020 2318 316,10 14% 4 1770 1570 1780 2410 1830 1872 316,73 17% 5 1360 1620 2020 2640 1840 1896 483,61 26% 6 1290 1830 1320 2170 2000 1722 399,34 23% 7 2640 2560 2580 2790 2580 2630 94,34 4% 8 3150 3190 3440 3320 3350 3290 118,95 4% 9 3000 3420 3540 3060 3430 3290 242,90 7% 10 2770 2100 2170 2120 1860 2204 338,28 15% 11 2110 2220 2040 2670 2100 2228 255,48 11% 12 2050 2010 2000 2230 2620 2182 261,86 12% 13 1160 2050 2310 1730 1770 1804 429,51 24% 14 2600 1890 1810 2220 2810 2266 435,58 19% 15 3590 3430 3870 3540 3610 3608 162,23 4% 16 2660 2900 3520 3130 2610 2964 373,67 13% 17 2940 3020 3010 3330 2940 3048 162,08 5% 18 3230 3260 3000 3640 3140 3254 238,29 7% 19 2940 2690 2330 2770 2730 2692 223,65 8%
  • 104.
    6 20 1500 1890 2350 1980 1850 1914 304,35 16% 21 2750 2860 2800 2800 2730 2788 50,70 2% 22 1980 2050 1900 2080 2090 2020 79,69 4% 23 3260 3200 2830 2780 3260 3066 240,17 8% 24 3700 3690 3640 3520 3090 3528 255,09 7% 25 3080 3370 3260 3110 3240 3212 118,19 4% 26 2460 2620 2600 2410 3290 2676 354,73 13% 27 2640 3450 3590 3320 3190 3238 365,88 11% 28 1850 1830 1960 2110 2020 1954 117,18 6% 29 1620 1940 1640 1820 2030 1810 180,55 10% 30 2430 1700 1930 2440 2480 2196 357,67 16% 31 2580 2190 2240 2420 2510 2388 168,73 7% 32 3350 2810 3020 3740 3490 3282 370,50 11% 33 3040 2930 3290 2260 2780 2860 383,60 13% 34 2770 2730 2620 2660 3190 2794 228,98 8% 35 2520 2910 2780 2510 2700 2684 171,55 6% 36 2110 2770 2630 2580 2570 2532 249,04 10% 37 3430 3250 3620 3500 3380 3436 137,59 4% 38 2450 2480 2140 2190 2460 2344 164,71 7% 39 2870 2910 3470 3760 3560 3314 401,29 12% 40 1930 2250 1950 2290 2020 2088 170,06 8% 41 3090 2660 2600 2620 2310 2656 279,52 11% 42 2580 2720 2250 2790 2290 2526 246,03 10% 43 2330 2460 2280 2490 2830 2478 215,34 9% 44 3700 3230 3660 3780 3740 3622 223,65 6% 45 3040 2730 3740 2770 3310 3118 418,77 13%
  • 105.
    7 46 2400 2660 2790 2340 2660 2570 191,31 7% 47 2520 3300 2780 2540 2280 2684 387,14 14% 48 1950 2610 2590 1410 2730 2258 563,67 25% 49 2870 2780 2830 2990 2410 2776 218,81 8% 50 2740 2890 2810 2560 1910 2582 394,93 15% 51 2930 2940 2740 2730 2990 2866 121,78 4% 52 2900 2330 2700 2740 2200 2574 295,43 11% 53 2400 2010 1900 1840 1840 1998 235,20 12% 54 2400 2780 2680 2680 2240 2556 226,45 9% 55 3070 3250 2810 3120 3170 3084 166,97 5% 56 2690 2610 2700 2890 2710 2720 102,96 4% 57 2430 3010 3490 2600 3160 2938 427,63 15% 58 3010 2930 2460 2140 2250 2558 394,30 15% 59 2280 2040 2700 2130 2060 2242 272,80 12% 60 2170 2690 2720 2100 2980 2532 380,36 15%
  • 106.
    8 Annexe 4 n° echantillon Résistance au déchirement sens machine sens transversal essai 1 essai 2 moyenne essai1 essai 2 moyenne 1 77,3 103 90,15 43,3 60,3 51,8 2 94,2 97,6 95,9 44,9 61,3 53,1 3 128 80,6 104,3 56,3 97,3 76,8 4 132 134 133 130 136 133 5 86,6 136 111,3 56,3 95 75,65 6 136 136 136 136 136 136 7 73,2 51,2 62,2 32,1 52,2 42,15 8 56 94,2 75,1 93,2 66,4 79,8 9 98 93,6 95,8 77,3 59,8 68,55 10 113 107 110 131 130 130,5 11 97,1 125 111,05 102 56,8 79,4 12 85 134 109,5 128 117 122,5 13 115 131 123 129 135 132 14 119 71,8 95,4 110 79,7 94,85 15 61,8 67,6 64,7 102 86,8 94,4 16 61,8 103 82,4 64,7 71,6 68,15 17 44,3 53,5 48,9 53,7 59,3 56,5 18 59,3 56,2 57,75 64 59,5 61,75 19 100 131 115,5 83,4 61,8 72,6 20 105 136 120,5 136 136 136
  • 107.
    9 21 90,5 65,6 78,05 136 86,4 111,2 22 135 136 135,5 49,3 53,7 51,5 23 76,8 78,6 77,7 96,3 122 109,15 24 96,9 93,2 95,05 41,4 57,8 49,6 25 120 131 125,5 79,7 93 86,35 26 112 133 122,5 81,7 133 107,35 27 89,3 90,3 89,8 80,2 67,7 73,95 28 116 111 113,5 120 131 125,5 29 87,4 99,8 93,6 116 103 109,5 30 133 108 120,5 130 136 133 31 73,6 77 75,3 117 114 115,5 32 52,7 101 76,85 60,3 99,5 79,9 33 67,1 64,4 65,75 79,3 101 90,15 34 52,2 72,7 62,45 59,8 39,2 49,5 35 81,9 110 95,95 96,5 133 114,75 36 65,4 66,8 66,1 54,2 114 84,1 37 59,8 103 81,4 129 87,6 108,3 38 88,6 121 104,8 129 87,6 108,3 39 77,5 84 80,75 49,9 118 83,95 40 136 109 122,5 136 136 136 41 47,2 124 85,6 120 85,9 102,95 42 136 129 132,5 130 135 132,5 43 62,2 69,7 65,95 64,9 78,2 71,55 44 79,4 74,3 76,85 69,9 41,1 55,5 45 126 84,9 105,45 80,9 72,3 76,6 46 125 99,8 112,4 127 113 120 47 121 129 125 69,7 101 85,35 48 130 92,3 111,15 128 89,9 108,95
  • 108.
    10 49 87,4 43 65,2 64 66,4 65,2 50 106 134 120 64,4 107 85,7 51 40,6 52,7 46,65 93,6 83 88,3 52 136 136 136 131 136 133,5 53 104 88,2 96,1 65,2 95,9 80,55 54 57,5 50,6 54,05 118 126 122 55 91,1 67,8 79,45 125 115 120 56 103 115 109 36,8 20,3 28,55 57 121 125 123 82,3 76,2 79,25 58 55 83,8 69,4 113 115 114 59 91,3 96,3 93,8 124 124 124 60 130 134 132 74,8 86,2 80,5
  • 109.
    11 Annexe 5 N° échantillon % d'allongement maximale force maximale en N SENS MACHINE SENS TRANSVERSALE SENS MACHINE SENS TRANSVERSALE 1 279,06 365,18 66,82 59,44 2 421,09 271,82 47,19 78,76 3 374,48 209,25 48,04 76,37 4 327,34 105,42 56,80 88,09 5 358,37 535,52 66,26 61,73 6 324,33 416,25 81,97 67,45 7 433,63 85,77 62,65 87,52 8 370,49 209,53 56,40 103,65 9 365,09 215,91 57,08 91,79 10 210,28 666,46 62,98 54,74 11 560,96 258,09 53,66 81,03 12 463,47 207,34 48,88 86,22 13 280,65 465,16 71,32 54,87 14 199,43 352,99 73,13 49,54 15 359,68 126,02 47,48 82,26 16 309,51 238,62 45,73 63,12 17 241,07 263,04 73,63 56,78 18 460,90 123,67 61,02 84,54
  • 110.
    12 19 334,34 203,50 58,96 82,09 20 391,68 147,86 49,72 96,04 21 169,00 243,71 42,71 80,96 22 342,17 123,79 60,80 81,38 23 193,96 184,13 73,94 48,94 24 232,91 254,93 74,74 48,99 25 269,43 59,76 57,31 88,92 26 493,12 174,38 58,14 103,06 27 419,85 157,35 57,25 94,44 28 223,97 345,54 94,04 44,07 29 199,67 471,92 65,43 51,69 30 106,12 359,19 57,03 38,84 31 271,64 101,66 57,10 82,01 32 135,60 286,06 83,34 53,24 33 297,15 328,91 80,34 68,68 34 171,91 450,46 59,59 50,02 35 286,94 216,21 47,04 54,66 36 378,12 196,25 45,77 70,99 37 369,86 223,45 56,05 84,41 38 396,19 191,12 51,74 86,22 39 395,62 166,60 56,08 61,67 40 326,39 434,18 73,86 60,61 41 205,60 519,35 69,06 49,83 42 260,70 621,44 51,76 50,54 43 346,63 161,45 55,79 59,62 44 141,49 294,96 56,42 37,04
  • 111.
    13 45 254,58 89,59 36,30 55,16 46 376,47 166,85 38,26 64,59 47 451,04 148,02 43,95 65,07 48 179,33 117,23 47,73 29,99 49 188,21 330,41 98,65 73,11 50 185,49 493,37 58,22 63,84 51 242,00 345,93 90,44 61,41 52 237,63 250,13 66,14 55,72 53 142,48 161,68 94,90 63,15 54 272,85 148,66 57,92 81,84 55 132,04 219,14 74,26 54,20 56 290,17 119,69 48,23 77,20 57 150,62 288,87 80,41 50,24 58 231,35 473,61 91,79 54,03 59 125,75 445,88 83,13 59,08 60 132,95 524,86 86,01 46,86
  • 112.
    14 Annexe 6 : n° échantillon Epaisseur essai 1 essai 2 essai 3 essai 4 essai 5 moyenne ecart type CV 1 7 6,78 6,3 7,43 7,24 6,95 0,44 6,31% 2 7,36 7,4 7 6,88 6,76 7,08 0,29 4,05% 3 5,84 5,97 5,96 6,32 6,58 6,13 0,31 5,01% 4 6,84 7,39 7,97 8,2 8,21 7,72 0,60 7,71% 5 6,5 7 6,37 6,41 6,9 6,64 0,29 4,41% 6 7,22 6,99 7,15 6,93 6,96 7,05 0,13 1,81% 7 7,43 5,97 7,45 7,87 6,54 7,05 0,78 10,99% 8 6,56 6,33 6,34 6,32 6,21 6,35 0,13 2,01% 9 7,46 7,45 7,17 7,01 7,63 7,34 0,25 3,39% 10 7,43 7,38 7,18 7,13 7,02 7,23 0,17 2,39% 11 6,76 6,9 7,13 6,8 6,39 6,80 0,27 3,95% 12 6,76 6,28 6,11 5,92 5,14 6,04 0,59 9,81% 13 6,66 7,62 7,3 7,43 7,5 7,30 0,38 5,16% 14 6,9 6,8 6,69 7 6,31 6,74 0,27 3,95% 15 6,3 6,41 6,58 6,6 6,38 6,45 0,13 2,02% 16 6,88 6,54 6,44 6,1 6,38 6,47 0,28 4,37% 17 7,13 6,76 6,38 6,3 6,38 6,59 0,35 5,33% 18 6,21 6,32 6,24 6,09 5,78 6,13 0,21 3,45%
  • 113.
    15 19 5,75 5,71 6,1 6,93 6,94 6,29 0,61 9,73% 20 6,69 6,87 6,71 7,17 7,72 7,03 0,43 6,11% 21 7,66 8,5 8,35 8,25 7,91 8,13 0,34 4,21% 22 7,74 7,31 7,72 6,85 7,1 7,34 0,39 5,29% 23 6,64 7,63 6,73 7,81 7,26 7,21 0,52 7,25% 24 5,56 5,79 5,78 5,68 5,32 5,63 0,19 3,46% 25 6,77 7,27 6,71 5,85 5,49 6,42 0,73 11,34% 26 5,29 5,4 5,44 5,34 5,4 5,37 0,06 1,10% 27 5,12 5,46 5,39 5,41 5,49 5,37 0,15 2,74% 28 5,22 5,46 6,39 5,41 5,49 5,59 0,46 8,17% 29 5,44 5,63 5,28 5,22 5,14 5,34 0,19 3,65% 30 5,42 6,54 5,28 4,34 5,14 7,60 0,51 6,68% 31 7,5 7,82 7,56 8,25 6,86 7,60 0,51 6,68% 32 5,42 6,41 5,36 5,66 5,42 5,65 0,44 7,75% 33 5,42 5,41 5,36 5,46 5,42 5,41 0,04 0,66% 34 6,77 6,37 6,71 6,85 6,49 6,64 0,20 3,02% 35 5,81 5,77 5,95 5,67 6,07 5,85 0,16 2,68% 36 6,06 6,1 6,03 6,77 7,08 6,41 0,49 7,57% 37 7,46 7,45 7,17 7,01 7,63 7,34 0,25 3,39% 38 8,99 9,36 9,43 8,9 8,92 9,12 0,25 2,79% 39 5,75 5,68 5,83 5,5 5,35 5,62 0,19 3,47% 40 7,2 6,32 5,23 7,23 7,09 6,61 0,86 12,99% 41 6,42 6,87 7,72 7,41 7,44 7,17 0,52 7,26% 42 6,81 6,93 6,85 7,28 6,88 6,95 0,19 2,73% 43 7,88 7,28 6,97 6,26 6,07 6,89 0,74 10,78% 44 5,03 5,21 5,13 5,08 5,21 5,13 0,08 1,55%
  • 114.
    16 45 5,54 5,5 5,75 6,72 6,9 6,08 0,67 11,09% 46 6,85 6,95 6,99 7,42 7,32 7,11 0,25 3,50% 47 6,66 6,49 6,13 6,2 6,93 6,48 0,33 5,09% 48 5,81 5,91 5,44 5,33 5,35 5,57 0,27 4,89% 49 6,56 6,66 6,7 6,6 6,58 6,62 0,06 0,88% 50 6,64 6,88 6,22 6,4 6,25 6,48 0,28 4,31% 51 5,03 5,43 5,13 6,45 5,21 5,45 0,58 10,61% 52 6,92 6,6 6,84 7,04 6,96 6,87 0,17 2,45% 53 7,16 6,95 7,06 7,01 7,07 7,05 0,08 1,10% 54 7,04 6,9 7,57 6,2 6,09 6,76 0,62 9,11% 55 5,78 5,77 5,53 5,74 5,46 5,66 0,15 2,65% 56 6,7 6,43 6,53 6,64 6,38 6,54 0,14 2,07% 57 5,44 5,46 5,39 5,41 5,49 5,44 0,04 0,73% 58 5,9 7,1 6,76 5,33 5,35 6,09 0,81 13,32% 59 5,22 5,46 6,39 6,34 5,43 5,77 0,55 9,59% 60 7,27 7,33 7,2 7,64 7,36 7,36 0,17 2,28%
  • 115.
    17 Annexe 7 : Application1 Isolation thermique Epaisseur Densité Fonction Entre 80mm et 180mm 12kg/!! Les données techniques Conductivité thermique : λ = 0,038 W/(m.k). Masse volumique Résistance à la vapeur d'eau : 18 kg/m Résistance thermique Conductivité thermique λd=0.0434 W/(m.K) Epaisseur de l’isolant De 50 à 120mm Annexe 8 : Application2 Géotextiles Masse surfacique (g/!! ) Epaisseur en mm Fonction Filtration 100 185 285 475 0,8 1,3 1,8 2,9 Les données techniques
  • 116.
    18 Propriétés Méthode de test P1 P2P3 P4 Masse surfacique ASTM D5261 100 g/m2 185 g/m2 285 g/m2 475 g/m2 Résistance en tension CAN 148.1 No.7.3 135 N 400 N 600 N 1100 N Allongement à la rupture (2) CAN 148.1 No.7.3 50 - 100 % 50 - 100 % 50 - 100 % 50 - 100 % Résistance en déchirure CAN 4.2 No.12.2 70 N 200 N 275 N 425 N Poinçonnement CBR ASTM D6241 500 N 1350 N 2000 N 3700 N Perméabilité CAN 148.1 No.4 0.35 cm/s 0.12 cm/s 0.05 cm/s
  • 117.
    Titre de projet: Valorisation des fibres de polyester recyclées Entreprise : Linda ouate Réalisé par : Donya CHETOUI & Mayssem HACHANA Encadré par : M. Mounir JAOUADI : ISET-KH Mlle Yosr BEN MLIK : ENIM Mme Ibtissem SOUISSI : STE LINDA OUATE Résumé : Le but de ce projet est de proposer un nouveau produit pour l’industrie afin d’élargir sa gamme de production et d’entrer dans des nouveaux marchés. Le premier chapitre a été consacré pour une étude bibliographique. Ensuite, le deuxième chapitre s’intéresse à la présentation de l’entreprise, et dans le troisième chapitre on présente l’étude réalisée qui concerne la fabrication et la caractérisation des nappes fabriquées. Suite à cette étude nous avons fabriqué les structures et les caractérisés en déterminant les caractéristiques physiques, mécaniques et hydriques de chaque structure. Dans le dernier chapitre nous avons optimisé les résultats afin de préciser le produit conforme au dossier technique préparé. Enfin, nous clôturons notre rapport par une conclusion et perspectives. Année universitaire : 2018/2019 Institut supérieur des études technologiques de Ksar Hellal Département : Génie textile Spécialité : Industrie textile