A Chambéry Le 30/04/2010

                               Dossier de V.A.E
Master 1 - Management de l'Hôtellerie
DEPARTEMENT TOURISME - HOTELLERIE - LOISIRS
SPECIALITE MANAGEMENT DE L'HOTELLERIE - MH                                       [Année 2009/2010]




                                                                   Préparé par Léa Bloom
        330 Rue de La Parpillette, 73490 La Ravoire – Tel : 06.47.52.82.52 – Email : lea.bloom@yahoo.com
Dossier de VAE – Léa Bloom   2
TABLE DES MATIERES


 Description de la formation .............................................................................................................................. 8
 Diplômes et relevés de notes .......................................................................................................................... 13
      Deug LEA Anglais – Allemand (Admise mention Assez Bien) .................................................................................................. 13
      Deug IUP THTL – Gestion Hôtelière (Admise mention Bien) .................................................................................................. 15
      Licence IUP THTL – Gestion Hôtelière (Admise mention Bien) .............................................................................................. 18
      Maitrise IUP THTL – Gestion Hôtelière (Non-Admise) ............................................................................................................ 20
 Autres diplômes ............................................................................................................................................. 21
      Langue Allemande ................................................................................................................................................................... 21
      Langue Espagnole .................................................................................................................................................................... 22
      Prévention et secours physique Niveau 1................................................................................................................................ 24
LA NORIA – Directrice générale .......................................................................................................................... 26
                                        ..........................................................................................................................
                                                                              ................................................................
     1.   l’Etablissement : ........................................................................................................................................................ 26
     2.   Le Poste : ................................................................................................................................................................... 29
 Mission 1 : Ressources Humaines.................................................................................................................... 34
      Activité 1 : Recrutement, définition des postes et salaires...................................................................................................... 34
         1.     Réorganisation des postes dans l’entreprise ............................................................................................................. 34
         2.     Recrutement ............................................................................................................................................................. 35
         3.     Gestion du temps de travail et du personnel ............................................................................................................ 36
         4.     Rémunération ........................................................................................................................................................... 38
      Activité 2 : Formation .............................................................................................................................................................. 40
         1.     Evaluation des besoins en formation ........................................................................................................................ 40
         2.     Mise en place d’un plan de formation ...................................................................................................................... 40
         3.     Les formations ........................................................................................................................................................... 40
      Activité 3 : Leadership et animation ........................................................................................................................................ 43
         1.     Animation de réunions .............................................................................................................................................. 43
         2.     La gestion des conflits ............................................................................................................................................... 45
         3.     Animations ................................................................................................................................................................ 46
 Mission 2 : Marketing et vente ....................................................................................................................... 48
      Activité 1 : Personnalisation de l’image ................................................................................................................................... 48
         1.     Les fondements : ....................................................................................................................................................... 48
         2.     Les développements : ............................................................................................................................................... 49
      Activité 2: Amélioration des services et de la qualité .............................................................................................................. 51
         1.     Amélioration des services ......................................................................................................................................... 51
         2.     Le sondage de la qualité : .......................................................................................................................................... 53
      Activité 3 : développement des outils de ventes et de la communication .............................................................................. 54
         1.     La communication par les medias ............................................................................................................................. 54
         2.     La communication hors medias................................................................................................................................. 56
 Mission 3 : La Gestion .................................................................................................................................... 58
      Activités 1 : La gestion des stocks ............................................................................................................................................ 58
         1.     Les fiches techniques ................................................................................................................................................ 58
         2.     Vérification des prix d’achats et choix des fournisseurs ............................................................................................ 59
         3.     La détermination des quantités à commander ......................................................................................................... 59
         4.     Contrôle des stocks ................................................................................................................................................... 61
         5.     Les difficultés rencontrées ........................................................................................................................................ 62
      Activité 2 : l’analyse des ventes et dépenses ........................................................................................................................... 62
         1.     Les ventes et encaissements ..................................................................................................................................... 63
         2.     Les outils d’analyse des ventes .................................................................................................................................. 64
      Activités 3 : La conduite de projets.......................................................................................................................................... 66
         1.     Définition des objectifs ............................................................................................................................................. 67
         2.     La conception ............................................................................................................................................................ 67
         3.     Faisabilité .................................................................................................................................................................. 68
         4.     La réalisation ............................................................................................................................................................. 69
         5.     Le lancement et l’exploitation .................................................................................................................................. 70


     Dossier de VAE – Léa Bloom                                                                                                                                                                3
................................................................
                                                                                                                          ....................................................
LE GERSHWIN – Directrice des ventes et de la réservation .................................................................................... 73
      1. l’Etablissement : ........................................................................................................................................................ 73
      2. Le Poste : ................................................................................................................................................................... 75
 Mission 1 : Gestion des réservations et des ventes .......................................................................................... 80
      Activité 1 : Définir les tarifs...................................................................................................................................................... 80
         1.     L’analyse des facteurs ................................................................................................................................................ 80
         2.     Les outils de La tarification ........................................................................................................................................ 82
      Activité 2 : Gérer les ventes ..................................................................................................................................................... 87
         1.     Les différents modes de réservation ......................................................................................................................... 87
         2.     Gestion des ventes Agences ..................................................................................................................................... 88
         3.     Gestion des ventes distributeurs internet ................................................................................................................ 91
      Activité 3 : Yield management ................................................................................................................................................. 93
         1.     Définition................................................................................................................................................................... 93
         2.     La gestion des réseaux de distribution ...................................................................................................................... 94
         3.     La gestion de l’overbooking ....................................................................................................................................... 97
         4.     Les avantages et les inconvénients du yield .............................................................................................................. 98
 Mission 2 : Marketing et Communication ...................................................................................................... 100
      Activité 1 : Gestion de la communication Evénementielle .................................................................................................... 100
         1.     Définition................................................................................................................................................................. 100
         2.     Les objectifs ............................................................................................................................................................. 102
         3.     Les avantages et les inconvénients de la Communication événementielle ............................................................. 103
      Activité 2 : Mise en place du service de conférences ............................................................................................................ 104
         1.     La mise en place du service .................................................................................................................................... 104
         2.     L’organisation des événements ............................................................................................................................... 106
 Mission 3 : Manager résident ....................................................................................................................... 108
      Activité 1 : Responsable de la sécurité incendie.................................................................................................................... 108
         1.     Les responsabilités : ................................................................................................................................................ 108
         2.     Les évacuations : ..................................................................................................................................................... 109
      Activités 2 : Gestion des différentes situations de crise ........................................................................................................ 109
         1.     La gestion des clients difficiles ................................................................................................................................ 110
         2.     La gestion de la maladie et décès............................................................................................................................ 110
L’ECOLE D’HOTELLERIE ET DE TOURISME PAUL DUBRULE-Responsable de la formation..................................... 113
                                                                       DUBRULE-                                                             .....................................
     1.   l’Etablissement : ...................................................................................................................................................... 113
     2.   Le Poste : ................................................................................................................................................................. 114
 Mission 1 : Mise en place des procédures de recrutement ............................................................................. 122
      Activité 1 : L’analyse de la situation ....................................................................................................................................... 122
         1.     Ancien processus de recrutement........................................................................................................................... 122
         2.     Constat de départ.................................................................................................................................................... 122
      Activité 2 : La mise en place du nouveau processus .............................................................................................................. 124
         1.     Nouveau processus de recrutement ....................................................................................................................... 124
         2.     La description de la formation de pré-qualification ................................................................................................ 125
 Mission 2 : La formation Continue ................................................................................................................ 128
      Activité 1 : Développement de la formation continue .......................................................................................................... 128
         1.     La phase préparatoire ............................................................................................................................................. 128
      Activité 2 : Les formations ..................................................................................................................................................... 131
         1.     La progression pédagogique ................................................................................................................................... 132
         2.     Les méthodes pédagogiques ................................................................................................................................... 133
         3.     Le matériel pédagogique ......................................................................................................................................... 136
         4.     Le scenario pédagogique......................................................................................................................................... 138
         5.     Les premiers contacts avec le groupe ..................................................................................................................... 139
         6.     Les méthodes d’évaluation ...................................................................................................................................... 140




     Dossier de VAE – Léa Bloom                                                                                                                                                               4
ADN INFORMATIQUE – Formateur Installateur ................................................................................................ 145
                                               Installateur ................................................................
                                                                                                         ................................................................
     7.  l’Etablissement : ...................................................................................................................................................... 145
     8.  Le Poste : ................................................................................................................................................................. 147
 Mission 1 : Gestion de projets informatiques ................................................................................................ 153
      Activité 1 : La phase préparatoire .......................................................................................................................................... 153
         1.     La mise en place et le paramétrage ........................................................................................................................ 155
      Activités 2 : La mise en place de l’outil informatique ............................................................................................................ 156
         1.     Les outils de marketing dans Nymphéa .................................................................................................................. 157
         2.     Les outils de gestion dans Nymphéa ....................................................................................................................... 160
      Activité 3 : Le suivi ................................................................................................................................................................. 164
         1.     Les rapports de formation ....................................................................................................................................... 164
         2.     Le support technique .............................................................................................................................................. 165
 Conclusion ................................................................................................................................................... 167
      Attestation sur l’honneur ...................................................................................................................................................... 168
      Pièce d’identité ...................................................................................................................................................................... 171




     Dossier de VAE – Léa Bloom                                                                                                                                                                5
Léa Bloom
330 Rue de la Parpillette
73 490 La Ravoire
Tel : +33(0)6.47.52.82.52
Email : lea.bloom@yahoo.com


                                                                            Université de Savoie - IMUS
                                                                        74944 ANNECY-LE-VIEUX CEDEX

                                                                                         Le 30 Avril 2010

                                                           A l'attention des membres du jury de la V.A.E

Objet : Validation des Acquis de l’expérience



Madame, Monsieur,

       Je souhaite présenter mon dossier afin d’obtenir une Validation des Acquis de l’Expérience au
sein de l’IMUS.


       Suite à mes études et de part diverses expériences en hôtellerie j’ai pu acquérir de solides
connaissances techniques et surtout un réel goût pour la gestion, la formation et le leadership.



      Responsable, dynamique et créative, j'ai toujours relevé les challenges que l'on m'a confiés
comme par exemple la reprise complète de gestion d'un hôtel-restaurant au Cambodge. A la tête de 42
employés, cette expérience dense m'a permise d'acquérir une vision complète du management ainsi
que des stratégies de développement d’un établissement.

         Par la suite, à New York, en tant que Directrice des ventes d’un hôtel et espaces de conférences,
j'ai piloté de nombreux projets d'amélioration des outils de ventes et de marketing, me permettant
ainsi, d’atteindre de nouveaux marchés et de dépasser les objectifs de vente budgétés.

       Mon parcours professionnel m’a permis d’acquérir des expériences diverses et je souhaite,
aujourd’hui, renforcer mes connaissances, solidifier et valoriser mon parcours. J’aimerais continuer à
construire une carrière dans le milieu de l’hôtellerie et suis persuadée que l’obtention d’un niveau
d’étude supérieur m’ouvrirai des portes professionnelles me permettant de continuer à évoluer.


       Espérant que vous me donnerez l’opportunité de soutenir mon dossier de Validation des Acquis
de l’Expérience, je serais heureuse de vous présenter mon parcours ainsi que mon projet personnel au
cours d’une prochaine session de jury.

       Dans cette attente, je vous prie de trouver ci-joint mon dossier de Validation des Acquis,
retraçant mon parcours professionnel.

       Je vous prie d'agréer, Madame, Monsieur, l'expression de mes salutations distinguées.


Léa Bloom




    Dossier de VAE – Léa Bloom                                                                          6
Mon Curriculum Vitae




 Dossier de VAE – Léa Bloom   7
formation
                                                              Description de la formation

                Études, stages et séminaires
Années et
                     (libellés exacts)                    Acquis de formations (détail des
 durée
              Nom de l’Etablissement - Adresse             enseignements, contenus, etc)


Années           Maitrise IUP MTHTL –                Actions professionnelles :
2002/2003        Management de l’Hôtellerie
                                                        • Rapport de stage IUP2 (stage tournant
1 mois        IUP THTL – Université de Savoie             de direction, voir plus bas)
              Domaine Universitaire de Jacob-
              Bellecombette -                           • Projet consultant :
              Route de Saint-Cassin
              Bâts 23/24 - BP 1104 - 73011                  Etude sur les conséquences du tourisme
              CHAMBERY CEDEX                                sur des populations peu exposées en
                                                            partenariat    avec    IUCN     World
              Tél. : 04 79 75 91 40 Fax : 04 79 75          Conservation Union (Vietnam)
              84 55
                                                            Participation à un projet de tourisme
              Défaillant : Obtention de 7 crédits           responsable     avec   les    minorités
                                                            ethniques vietnamiennes et aide à la
                                                            mise en place d’une formation
                                                            adaptée pour les guides touristiques.




    Dossier de VAE – Léa Bloom                                                                   8
Études, stages et séminaires
Années et
                     (libellés exacts)                      Acquis de formations (détail des
 durée
              Nom de l’Etablissement - Adresse               enseignements, contenus, etc)


Années           Licence IUP MTHTL – Management Diagnostic :
2001/2002        de l’Hôtellerie                       • Diagnostic stratégique
                                                       • Diagnostique financier
6 mois        IUP THTL – Université de Savoie
              Domaine Universitaire de Jacob-       Techniques de gestions:
              Bellecombette - Route de Saint-Cassin    • Informatique de gestion
              Bâts 23/24 - BP 1104 - 73011             • Méthodologie de la recherche
              CHAMBERY CEDEX                           • Marketing et communication

              Tél. : 04 79 75 91 40 - Fax : 04 79 75   Anglais :
              84 55                                       • Anglais société et culture
                                                          • Anglais LTA2
              Admis : Mention Bien (14.98)
                                                       Allemand :
                                                           • Allemand société et culture
                                                           • Allemand LTA2

                                                       Spécialisation hôtelière :
                                                          • Marketing hôtelier
                                                          • Management hôtelier
                                                          • Réglementation hygiène & concurrence
                                                          • Sustainable tourism Developpement


                                                       Actions professionnelles :
Mars –           Stage de direction                    Stage tournant de direction: Réception,
Juillet
                                                       Cuisine, Service de chambre, comptabilité et
2002          Victoria Sapa Hôtel                      administration.
5 mois        Sapa District,                           Etude pour mon mémoire de maitrise :
               Lao Cai Province
              Vietnam                                  IUCN World Conservation Union (Vietnam)
                                                       Participation à un projet de tourisme
              Tél. : (+84) 203 4356                    responsable avec les minorités ethniques
              Fax : (+84) 203 4345                     vietnamiennes, aide à la
                                                       mise en place d’une formation adaptée pour les
              www.victoriahotels.asia                  guides touristiques.




    Dossier de VAE – Léa Bloom                                                                        9
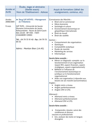
Études,
            Études, stages et séminaires
Années et        (libellés exacts)                            Acquis de formations (détail des
durée     Nom de l’Etablissement - Adresse                     enseignements, contenus, etc)


Années                            Management
                 Deug IUP MTHTL – Management           Connaissance des Marchés :
2000/2001        de l’Hôtellerie                         • Droit civil et commercial
                                                         • Micro économie
9 mois        IUP THTL – Université de Savoie            • Sociologie et culture
              Domaine Universitaire de Jacob-            • Environnement économique et
              Bellecombette - Route de Saint-Cassin         géopolitique internationale
              Bâts 23/24 - BP 1104 - 73011               • Droit du travail
              CHAMBERY CEDEX                             • Droit des sociétés

              Tél. : 04 79 75 91 40 - Fax : 04 79 75   Gestion :
              84 55                                       • Comportement des organisations
                                                          • Statistiques
                                                          • Comptabilité analytique
              Admis : Mention Bien (14.45)                • Etudes de marchés
                                                          • Marketing des services
                                                          • Informatique

                                                       Savoirs-
                                                       Savoirs-faires associés :
                                                          • Mener un diagnostic «complet» sur le
                                                              fonctionnement d’une organisation
                                                              (aspect RH, aspects financiers, aspects
                                                              stratégiques, aspects organisationnels)
                                                          • Réfléchir à l’influence de
                                                              l’environnement économique et
                                                              juridique sur le fonctionnement
                                                              organisationnel
                                                          • Aider une organisation à répondre aux
                                                              besoins de son marché (consommateur)
                                                       Anglais :
                                                          • Anglais remis a niveau
                                                          • Anglais perfectionnement
                                                          • Anglais LTA1 et LTG

                                                       Allemand :
                                                           • Allemand remis a niveau
                                                           • Allemand perfectionnement
                                                           • Allemand LTA1 et LTG

                                                       Savoirs-
                                                       Savoirs-faires associés :

                                                          •   Comprendre, écouter, suivre des
                                                             conférences et discours
                                                          courants et professionnels
                                                          • Lire, analyser des textes en langues
                                                             étrangères
   Dossier de VAE – Léa Bloom                                                                      10
Études, stages et séminaires
Années et
                    (libellés exacts)                 Acquis de formations (détail des
 durée
             Nom de l’Etablissement - Adresse          enseignements, contenus, etc)

                                                   • Parler et prendre part à une conversation
                                                     dans des situations familières, présenter
                                                     et défendre des opinions
                                                   • S’exprimer clairement et développer un
                                                     point de vue sur un sujet d’actualité
                                                     oralement
                                                   • Ecrire des textes et rapports clairs et
                                                     détaillés sur des sujets ou thèmes donnés
                                                   • Maîtriser deux à trois langues étrangères
                                                     ainsi que la culture des pays concernés

                                                Hôtellerie :
                                                  • Pratique restauration
                                                  • Environnement hôtelier
                                                  • Gestion d’une exploitation hôtelière
                                                  • Marketing Hôtelier
                                                  • Structure financière comptes hôteliers
                                                  • Visites et conférences

                                                Savoir-
                                                Savoir-faire associés :

                                                   • Comprendre la réalité de l’entreprise
                                                      hôtelière dans son fondement et objectifs
                                                   • Maîtriser les techniques de gestion-
                                                      marketing : finances –ressources
                                                      humaines - en matière d’hébergement
                                                      touristiques
                                                   • Développer une entreprise hôtelière en
                                                      France et à l’étranger
                                                   • Maîtriser la qualité et mettre en place
                                                      une démarche appropriée dans une
                                                      structure
                                                   • Comprendre les mutations du marché,
                                                      comportement des
                                                   consommateurs et réaliser un plan d’actions
                                                   commerciales




  Dossier de VAE – Léa Bloom                                                                 11
Études, stages et séminaires
Années et
                     (libellés exacts)                        Acquis de formations (détail des
 durée
              Nom de l’Etablissement - Adresse                 enseignements, contenus, etc)


Années           Deug LEA : Anglais / Allemand         Acquis de base :
2000/2001
              Université de Savoie                        •    Traduction anglaise
9 mois        Domaine Universitaire de Jacob-             •    Phonétique anglaise
              Bellecombette - Route de Saint-Cassin       •    Compréhension allemande
              Bâts 23/24 - BP 1104 - 73011                •    Version Allemande
              CHAMBERY CEDEX

              Tél. : 04 79 75 91 40 - Fax : 04 79 75   Grammaire :
              84 55                                       • Grammaire anglaise
                                                          • Grammaire Allemande
              Admis : Mention Assez Bien

                                                       Option Découverte :
                                                         • Espagnol


                                                       Approfondissement :
                                                         • Langue technique anglaise
                                                         • Traduction anglaise
                                                         • Langue technique allemande
                                                         • Thème allemand


                                                       Méthodologie :
                                                         • Méthodologie de la recherche et
                                                            information
                                                         • Méthodologie et expression


                                                       Monde économique et social :
                                                         • Système politique
                                                         • Organisation entreprise
                                                         • Comptabilité générale
                                                         • Economie




   Dossier de VAE – Léa Bloom                                                                    12
Diplômes et relevés de notes

Deug LEA Anglais – Allemand (Admise mention Assez Bien)
                                                  Bien)




  Dossier de VAE – Léa Bloom                                              13
Dossier de VAE – Léa Bloom   14
Deug IUP THTL – Gestion Hôtelière (Admise mention Bien)
                                                  Bien)




  Dossier de VAE – Léa Bloom                              15
Dossier de VAE – Léa Bloom   16
Dossier de VAE – Léa Bloom   17
Licence IUP THTL – Gestion Hôtelière (Admise mention Bien)
                                                     Bien)




  Dossier de VAE – Léa Bloom                                 18
Dossier de VAE – Léa Bloom   19
Maitrise IUP THTL – Gestion Hôtelière (Non-Admise)
                                      (Non-




  Dossier de VAE – Léa Bloom                         20
Autres diplômes
Langue Allemande




  Dossier de VAE – Léa Bloom                21
Langue Espagnole




  Dossier de VAE – Léa Bloom   22
Dossier de VAE – Léa Bloom   23
Prévention et secours physique Niveau 1




  Dossier de VAE – Léa Bloom              24
Dossier de VAE – Léa Bloom   25
Partie II : Expériences Professionnelles

  Années et
    durée                                                      fonction
                                          Intitulé exact de la fonction occupée
  d’exercice

Juillet 2005 –
Aout 2006

13 mois




                                                    LA NORIA – Directrice générale
                             1. l’Etablissement :
                                l’Etablissement




                            a. Un peu d’histoire….

                                 L’hôtel La Noria a été créé en 1999 par Benoit Duchateau Arminjon.
                        Fondateur d’une des plus importantes organisations non gouvernementales
                        du Cambodge ; Krousar Thmey. Il a ouvert deux hôtels indépendants, La
                        Noria et Le Borane afin d’obtenir des financements et de communiquer sur
                        l’association. (voir annexe 1 : Article Benoit Duchateau Arminjon)


                            b. Contexte touristique du pays et de la région :

                                Le Cambodge est un pays en pleine expansion touristique grâce aux
                        Temples d’Angkor, un des plus beaux sites archéologiques au monde.
                        L’augmentation de la sécurité des dernières années, après une période de
L’association Krousar
        Thmey           guerre civile, a permis un développement touristique rapide surtout sur la
                        région de Siem Reap.

                               En 2005-2006, période de mon activité, le Cambodge recevait
                        1 700 000 touristes par an, avec une durée moyenne de séjour de 6,5 jours.

      Dossier de VAE – Léa Bloom                                                                      26
Années et
  durée                                                       fonction
                                         Intitulé exact de la fonction occupée
d’exercice

                      Le taux d’occupation moyen des hôtels sur 2006 était de 54,79% et le
                      revenu touristique de 1,049 millions de dollars. Les visiteurs de nationalités
                      Coréenne et Japonaise représentent 25% des arrivées (tourisme de
                      proximité, voyages organisés en groupe). Le marché Européen de voyageurs
                      indépendants (Clients cibles de l’hôtel) ne représente que 10% des arrivées.

                             Le parc hôtelier sur la région de Siem Reap représente 4500
                      chambres et plus de 150 hôtels pour une ville de 750 000 habitants (voir
                      annexe 2 : Statistiques officielles du ministère du tourisme).

                               Nous pouvons considérer qu’il y a une forte concurrence au niveau
                      de l’offre hôtelière avec une grande concentration d’hôtels sur une zone
                      géographique réduite. Cette destination touristique propose une gamme de
                      confort et de prix très variables, allant du petit budget au haut de gamme.
                      Nous étudierons plus loin la difficulté de se positionner pour un hôtel de
                      gamme moyenne.




                          c. Présentation de l’établissement :
Photos de l’hôtel

                              La Noria est un hôtel de caractère avec 28 chambres et un
                      restaurant de 100 couverts.

                              Dispersé à travers un magnifique jardin tropical, cet hôtel se
                      compose de 7 maisons, chacune divisée en 4 chambres. Afin d’offrir un
                      séjour culturel et authentique aux clients, toutes les chambres sont
                      construites et décorées avec des matériaux et de l’artisanat Cambodgien
                      (par exemple des jarres d’eau dans la salle de bain pour prendre une
    Dossier de VAE – Léa Bloom                                                                         27
Années et
  durée                                                       fonction
                                         Intitulé exact de la fonction occupée
d’exercice

                    douche traditionnelle).

                            L’hôtel propose plusieurs services tel qu’un restaurant, un bar, un
                    centre de massage (massages par les élèves non-voyants de l’école Krousar
                    Thmey), une piscine, l’organisation d’excursions éthiques et solidaires,
                    transports et guides.

                            Cet établissement est un représentant du tourisme solidaire. Lors de
                    mon activité, j’ai pu continuer à développer de nombreux partenariats avec
                    des associations locales telles que :


                     • Krousar Thmey, première fondation cambodgienne pour les enfants
                       défavorisés en proposant des formations dans les domaines de la
                       musique, de la danse traditionnelle et du théâtre d’ombres, massages.
                       www.krousar-thmey.org

                     • Les Soieries du Mékong, qui forment aux métiers de la soie (de la
                       fabrication au tissage.) www.soieriesdumekong.com

Logo Friends         • Friends international, qui lutte pour la prévention du tourisme sexuel.
International
                       www.friends-international.org

                        d. Quelques chiffres

                         Les chambres

                             Seulement deux types de chambres, double ou twin avec
                    ventilateur (rack rate à 29usd) et avec air conditionné (rack rate à 39usd).



                 Les données suivantes concernent l’année 2005

                                         Le taux d’occupation moyen      77%
                                           Le prix de vente moyen        34 US$



                         Le restaurant

                        Nombre de couverts moyen / jour         70
                        Dépense moyenne par client              15 US$




  Dossier de VAE – Léa Bloom                                                                       28
Années et
  durée                                                       fonction
                                         Intitulé exact de la fonction occupée
d’exercice

                         2. Le Poste :

                        a. Intitulé

                               Directrice Générale de l’Etablissement

                        b. Responsabilités

                         Responsable de toutes les opérations journalières de l’Hôtel et du
                 Restaurant. Mes responsabilités incluaient les ressources humaines, la vente et
                 le marketing, la relation clientèle, la supervision des équipes et des services, le
                 maintien de l’établissement, information et report au propriétaire.

                        c. Organigramme

                           47 employés divisés en cinq départements : Administratif, Cuisine,
                 Restaurant et Bar, Chambres et maintenance /sécurité. La structure comporte 6
                 chefs de départements, 5 assistants et 1 directrice générale.




  Dossier de VAE – Léa Bloom                                                                           29
Années et
  durée                                             fonction
                               Intitulé exact de la fonction occupée
d’exercice




  Dossier de VAE – Léa Bloom                                           30
Années et
  durée                                                  fonction
                                    Intitulé exact de la fonction occupée
d’exercice

                        d. Lettre de recommandation




  Dossier de VAE – Léa Bloom                                                31
Années et
  durée                                                     fonction
                                       Intitulé exact de la fonction occupée
d’exercice

                        e. Fiche de paie et certificat de travail




  Dossier de VAE – Léa Bloom                                                   32
Années et
  durée                                             fonction
                               Intitulé exact de la fonction occupée
d’exercice




  Dossier de VAE – Léa Bloom                                           33
Missions /                                        Taches détaillées
   Activités                                  et Connaissances mises en œuvre


Mission1 : Les                                                Mission 1 : Ressources Humaines
Ressources
humaines
                      Activité 1 : Recrutement, définition des postes et salaires
    Recrutement,
                                1. Réorganisation des postes dans l’entreprise
    définition des
    postes et des
                            a. Actions menées
           salaires
                                 Au moment de ma prise de fonction, les postes de l’entreprise
                        étaient mal définis, ce qui créait une confusion quant aux taches et
                        responsabilités de chacun. J’ai donc créé des fiches de postes afin de
                        mieux identifier les ressources. J’ai pu me rendre compte qu’il manquait
                        de référents officiels même si ces personnes avaient déjà les connaissances
                        nécessaires afin obtenir des responsabilités. J’ai donc décidé de nommer
                        des assistants, personnes relais, dans chaque département.

                               Suite à ces changements, j’ai pu finaliser un organigramme
                        permettant d’officialiser la nouvelle structure.

                            b. Résultats

                                 La restructuration a permis de ne pas concentrer les
                        connaissances sur quelques employés seulement et de renforcer la
                        structure. De plus cela a été source de motivation pour des personnes
                        ayant un fort potentiel sans forcément avoir les années d’expériences ou
                        l’opportunité de monter en grade.

                                  Elle a aussi permis de limiter les risques de perturbations de
                        l’activité en cas d’absences ou de départ d’un chef de service puisque le
                        second pouvait reprendre son activité.

                            c. Les difficultés

                                 Les éléments les plus délicats dans cette opération ont été de
                        faire accepter, sans jalousies par les équipes, la mobilité verticale de
                        certains employés. Il n’est jamais facile de voir un collègue prendre des
                        responsabilités et pas toujours évident d’accepter et d’assumer ce
                        nouveau rôle pour la personne nommée. J’ai donc accompagné et
                        conseillé ces personnes, en définissant bien les rôles de chacun.

                                Il fallait aussi prendre en compte une dimension culturelle très
                        importante au Cambodge, le respect de l’âge et de la hiérarchie. J’ai été
                        obligée de nommer des personnes en fonction de leurs capacités et non

   Dossier de VAE – Léa Bloom                                                                         34
Missions /                                      Taches détaillées
   Activités                                et Connaissances mises en œuvre


Mission1 : Les          pas de leur âge ou ancienneté dans l’entreprise. Ceci est une notion
                        difficile à accepter dans une société plus traditionnelle.
Ressources
humaines                         De plus, la prise de responsabilité, dans ce cas, n’a pas été
                        accompagnée d’une augmentation des salaires (cette possibilité n’ayant
    Recrutement,        pas été validée par le propriétaire pour ne pas augmenter les dépenses
    définition des      salariales). Cependant le propriétaire n’étant pas sur place il ne pouvait
    postes et des       pas évaluer les besoins de restructuration.
           salaires
                                2. Recrutement

                            a. Actions menées

                                Afin de répondre à de nouveaux besoins (en saison haute par
                        exemple) et à des changements d’employés, j’ai eu l’occasion durant ma
                        mission de procéder à des recrutements.

                                La première étape du recrutement a été d’identifier le besoin en
                        personnel : création de postes, remplacement de postes, réponses à des
                        hausses ponctuelles de l’activité. Cela m’a permis de faire des choix quant
                        aux processus d’embauches à suivre : recrutement interne, recrutement
                        externe, CDI, CDD, stagiaires.

                                Dans le cas d’un recrutement en interne, se référer au premier
                        point et à la réorganisation de la structure salariale.

                                  Dans le cas d’un recrutement externe, j’ai choisi des canaux de
                                          cas
                        recrutement tels que le relationnel (communication aux employés et
                        partenaires), le contact avec des personnes ayant déjà travaillé dans
                        l’établissement (anciens stagiaires), les écoles hôtelières de la ville.

                                 Après réception et tri des CV et lettres de motivations, j’ai
                        organisé des entretiens non directifs en face à face. Une fois le candidat
                        retenu, il fallait fixer les conditions d’embauche et les officialiser lors de la
                        signature du contrat. (Voir annexe 3 : exemple de contrat CDI).
                        L’employé devait ensuite effectuer une période d’essai de deux mois afin
                        de mieux connaître ses capacités de travail.

                                 Pour les stagiaires, j’ai mis en place des partenariats avec les deux
                        écoles hôtelières de Siem Reap afin de recevoir un stagiaire de chaque
                        école par trimestre : signatures de conventions de stages et évaluations
                        des stagiaires pour les écoles. Les stages étaient effectués au service en
                        salle et à la réception. Ils ont permis de bons échanges avec les employés
                        déjà en place. Ces derniers avaient été formés sur place et ont pu obtenir

   Dossier de VAE – Léa Bloom                                                                               35
Missions /                                       Taches détaillées
   Activités                                 et Connaissances mises en œuvre


Mission 1 : Les         des bases plus théoriques au contact des stagiaires.
Ressources                       J’ai aussi effectué le contrôle du respect des contrats et du
humaines                règlement intérieur. En cas de faute grave, problèmes comportementaux
                        sur le lieu de travail, absences ou retards répétés j’ai donné des lettres
    Recrutement,        d’avertissements au cours d’entretiens individuels afin d’exposer les
    définition des      raisons de la lettre et le comportement attendu par l’employeur. Au bout
    postes et des       de trois lettres ou en cas de faute grave j’ai procédé à des renvois.
           salaires
                            b. Les difficultés :

                                 Le manque de canaux de communications au Cambodge, (pas de
                        sites internet de recrutement, les gens lisent peu le journal) réduit le
                        nombre de candidatures récoltées.

                                 Il peu y avoir des dimensions comportementales difficiles à
                        évaluer en entretiens car il y a bien souvent un choc de culture entre
                        l’attente de service « à l’européenne » et le mode de vie traditionnel au
                        Cambodge. Les entretiens sont donc plus souvent basés sur des savoir-
                        être que des savoir-faire.

                                 La législation du travail au Cambodge reste très peu appliquée et
                        limite les recours possibles en cas de problèmes.

                                  Le niveau de salaires proposés par l’établissement (salaire moyen
                        à 120 us$/mois) n’étant pas très élevé (considérant l’augmentation très
                        rapide du coût de la vie, motivée justement par les investissements
                        étrangers et le tourisme de masse), ne rendait pas les emplois très
                        attractifs pour de futurs employés. Ceci est un problème que l’on
                        retrouve dans nombreux domaines d’activités au Cambodge.

                                3. Gestion du temps de travail et du personnel

                            a. La durée du temps de travail

                                42 personnes étaient employées en CDI, à temps plein. Après
                        signature du contrat l’employé était tenu de faire 40 heures par semaine
                        avec un jour de repos hebdomadaire.

                            b. Les employés à temps particuliers

                        Temps partiel
                        Seulement un employé à temps partiel faisant 20 heures par semaine.

                        Travail de nuit

   Dossier de VAE – Léa Bloom                                                                         36
Missions /                                       Taches détaillées
  Activités                                 et Connaissances mises en œuvre


Mission 1 :                     3 employés de la sécurité étaient employés de nuit de 11 heures à
                        6 heures du matin avec une permanence de deux personnes chaque nuit.
Les Ressources
humaines                    c. Les repos et temps de pauses

                        1 jour de congé hebdomadaire et 1 jour et demi de congé payé au bout
    Recrutement,        du sixième mois de travail.
    définition des
    postes et des           d. Décompte et contrôle
           salaires
                                J’ai mis en place des emplois du temps pour l’ensemble de
                        l’équipe en essayant de limiter un maximum les horaires coupés. Ces
                        horaires étaient révisés tous les mois afin de répondre aux besoins de la
                        saisonnalité. (Voir annexe 4 : Emplois du temps).

                                Les heures supplémentaires étaient payées avec une majoration
                        de 25% du salaire ou rattrapées en saison basse. Nous n’avions pas de
                        système de pointage pour les employés et toute heure supplémentaire
                        devait être approuvée et signée afin d’être comptabilisée.

                                J’ai supervisé différentes taches de la gestion du personnel, telle
                        que la signature et vérification des arrêts maladie (sur ordonnance du
                        médecin), l’acceptation d’absences exceptionnelles du personnel (décès
                        dans les familles, mariages…), le contrôle des retards ainsi que la
                        comptabilisation et l'approbation des congés payés, jours de repos,
                        heures supplémentaires et récupérations.


                            e. Les difficultés

                                Le nombre important d’employés (47 employés et 2 stagiaires) a
                        pu rendre ce travail de contrôle difficile à certains moments, surtout à
                        cause du manque d’informatisation (pas de pointage).

                                Le manque de réglementation concernant le travail au
                        Cambodge laisse chaque établissement libre de fixer les temps de travail,
                        repos hebdomadaire et congés payés. Nous avons choisi de nous calquer
                        sur le modèle français afin d’offrir de bonnes conditions de travail aux
                        employés.

                                 N’ayant que 24 ans au moment de la prise de fonction, les
                        décisions de renvois, d’absences exceptionnelles n’étaient pas toujours
                        faciles à prendre. Il faut prendre en compte plusieurs paramètres,
                        humains, culturels et financiers afin de faire les bons choix.


   Dossier de VAE – Léa Bloom                                                                         37
Missions /                                      Taches détaillées
  Activités                                et Connaissances mises en œuvre


Mission 1 :                     4. Rémunération
Les Ressources                 Le coût de la vie augmentant très rapidement, la question des
humaines                rémunérations n’était pas évidente au Cambodge.

    Recrutement,                La rémunération est un facteur central dans l’entreprise car elle
    définition des      représente à la fois une source d’équilibre social (motivation et
    postes et des       reconnaissance du travail des employés) mais aussi un coût (le principal
           salaires     poste de dépense surtout dans les entreprises de service). En comparaison
                        à un hôtel et restaurant français le nombre d’employés était bien plus
                        élevé (47 employés) mais les salaires plus bas.

                            a. Rémunération principale

                                La moyenne du salaire d’un employé était de 120 USD/mois et
                        les rémunérations représentaient 30% des dépenses totales de l’hôtel par
                        mois.

                            b. Les rémunérations périphériques

                                L’hôtel offrait une prime de fin d’année équivalente au treizième
                        mois plus la centralisation et le partage des pourboires à toute l’équipe
                        en fin de mois.

                            c. Les avantages en nature

                              Les employés bénéficiaient d’un repas par jour et un repas
                        complémentaire si besoin, à un prix réduit.

                               Offre de logement à prix très réduit mais avec un nombre limité
                        à 8 personnes dans la maison du personnel. Les demandes
                        supplémentaires de logement étaient sur liste d’attente.

                                 En cas de problème de santé grave, l’hôtel payait pour les
                        médicaments et l’hospitalisation car il n’y a pas de système de santé au
                        Cambodge et les employés n’avaient pas les moyens de payer. Ceci était
                        à titre exceptionnel et en dehors de toutes règles écrites.

                            d. Les périphériques éloignés.

                               L’établissement n’offrait pas de complément retraite, assurance
                        ou mutuelle. (Pas de système de retraite et système d’assurances privées)


                            e. L’évaluation :

   Dossier de VAE – Léa Bloom                                                                       38
Missions /                                       Taches détaillées
  Activités                                 et Connaissances mises en œuvre


Mission 1 :
                                Je révisais les salaires une fois par an avec une augmentation
Les Ressources          moyenne de 10% (avec bien sur des variations suivant la prise de
humaines                responsabilités et les performances de chacun). J’ai effectué des
                        procédures d’évaluations préliminaires afin de mieux réviser les salaires.

    Recrutement,                  J’ai créé des grilles d’évaluations en plusieurs points (voir
    définition des      annexe 5: évaluations) à remplir par les chefs de services. Une fois
    postes et des       l’évaluation terminée, j’ai organisé des entretiens avec les responsables
           salaires     afin de discuter des résultats de l’évaluation de chaque employé en leur
                        demandant de motiver leurs réponses et de se confronter à mon point de
                        vu sur l’employé.

                                  Cette méthode d’évaluation m’a permis d’analyser les points
                        forts et faibles de chaque employé afin :

                                    •    D’apporter plus de soutien et d’aide à certains, d’analyser
                                        les besoins en formations.

                                    •   D’évaluer les modifications de rémunérations.

                                    •   D’améliorer la communication entre les responsables et
                                        leurs équipes en prenant conscience des besoins de
                                        chacun.

                            f. Les difficultés :

                              Très peu de liberté de ma part pour l’augmentation des salaires,
                        demande et soumission au propriétaire pour la décision finale.

                                 L’inflation galopante au Cambodge ne permettait pas au salaire
                        d’être un élément motivant. Nous verrons dans le chapitre suivant que
                        j’ai essayé de combler ce manque par des avantages autres et surtout par
                        la formation, le soutien, la mise en avant et la reconnaissance du travail
                        des employés.




   Dossier de VAE – Léa Bloom                                                                          39
Missions /                                        Taches détaillées
   Activités                                  et Connaissances mises en œuvre


Mission 1 :
Les Ressources Activité 2 : Formation
humaines                Le tourisme étant un secteur d’activité très récent au Cambodge,
                         il est difficile de trouver des personnes formées ou ayant une expérience
                         conséquente dans le domaine du service. Les premières écoles hôtelières
     La Formation        ayant été ouvert seulement en 2001, la professionnalisation des métiers
                         du service se fera petit à petit. N’ayant pas de personnes ressources déjà
                         formées disponibles, j’ai décidé de mettre en place des formations
                         internes.

                                 Les clients d’un hôtel ayant un contact avec de multiples
                         personnes durant leurs séjours, il n’est pas toujours facile de standardiser
                         le niveau de service mais la formation est un des outils les plus
                         performants pour en limiter la variabilité.


                                 1. Evaluation des besoins en formation

                                 Plusieurs critères m’ont permis d’identifier les besoins en
                         formation dans l’hôtel :

                      Phase d’observation personnelle : Mon expérience de deux ans et demi à
                      l’école d’Hôtellerie et de Tourisme Paul Dubrule m’a permis de faire une
                      première observation personnelle sur les manques en formation des
                      employés.

                      Recueil d’information externe : La mise en place de questionnaires de
                      satisfaction (voir chapitre mission 2 : Vente et marketing) m’ont aussi
                      permis, après extraction, d’identifier les manques au niveau du service et de
                      l’information donnée.

                      Recueil d’informations internes : Les chefs de services ont pu exprimer le
                      besoin en formation de leurs équipes à travers des évaluations et au cours
                      d’entretiens.

                                 2. Mise en place d’un plan de formation

                                 Suite au recueil d’informations et à l’identification des besoins j’ai
                         pu établir un plan de formation contenant les interventions à organiser,
                         les personnes pouvant les réaliser, le budget nécessaire, les horaires et
                         lieux de formation.

                                        formati
                                 3. Les formations


    Dossier de VAE – Léa Bloom                                                                            40
Missions /                                         Taches détaillées
  Activités                                   et Connaissances mises en œuvre


Mission 1 :                 a. Les formations internes
Les Ressources                  Formations courtes
humaines
                         Mise en place de formation de courte durée (sur des demi-journées) autour
                         des thèmes suivants :
    La Formation
                                •   Le Service en salle
                                •   L’Accueil, le téléphone
                                •   La gestion des plaintes
                                •   L’hygiène en cuisine
                                •   Le processus de control des chambres
                                •   L’anglais appliqué au service

                                 J’ai écrit ces formations lors de ma mission à l’école Paul
                        Dubrule, il s’agit de formations prenant en compte le contexte culturel,
                        avec des supports simples et beaucoup d’exercices pratiques. J’ai utilisé
                        des techniques de formation pour adultes qui facilitent l’apprentissage
                        par le jeu et l’animation (voir annexe 6 : Exemple de formation).

                                 Ayant animé toutes ces formations, elles n’ont pas nécessité de
                        budget particulier. Ceci a aussi été l’occasion de mieux connaître les
                        équipes, d’évaluer les niveaux, les attentes et de savoir exactement quels
                        savoir-faire ils devraient mieux maîtriser après formation.

                                Chaque formation était sanctionnée par un diplôme interne afin
                        de valoriser les connaissances des employés.

                                Formations ponctuelles sur des nouveaux produits

                                A la suite de la mise en place d’une nouvelle carte du bar et du
                        restaurant, j’ai formé les personnes concernées sur la préparation et la
                        présentation des nouvelles boissons ou nourriture afin d’accompagner le
                        changement. Ces formations étaient souvent ponctuelles et ne faisaient
                        pas partie du plan de formation.


                                •   Formation sur le terrain

                              Petites formations sur le moment quand je remarquais des
                        manques au niveau du service.



                            b. Les formations en partenariats

   Dossier de VAE – Léa Bloom                                                                        41
Missions /                                          Taches détaillées
   Activités                                    et Connaissances mises en œuvre


Mission 1 :
                                  •   Les formations en cuisine : Deux intervenants extérieurs
Les Ressources
humaines                           Par relationnel, j’ai eu la chance de faire intervenir deux chefs
                          français pendant une période totale de 3 mois.

      La Formation                 Le premier chef avait décidé de faire un tour du monde de la
                          cuisine en échangeant des cours de cuisine française contre des cours de
                          cuisine locale. Après m’avoir contacté, il est venu un mois et a développé
                          un véritable échange avec l’équipe de cuisine. Cette formation a plutôt
                          engendré une ouverture et un développement de la créativité chez la
                          chef et son équipe.

                                   Par la suite, un autre chef est venu au Cambodge pour
                          accompagner son mari et a proposé de commencer une formation sur
                          deux mois avec cette fois-ci de réels objectifs au niveau de la gestion des
                          stocks, de la mise en place de nouveaux plats pour le restaurant et de la
                          création d’une carte pour le bar.

                                   Nous avons réellement pu nous différencier en proposant des
                          plats de meilleure qualité, avec une plus belle présentation et une
                          diversification des prestations proposées.

                                   Afin de ne pas perdre les connaissances acquises, j’ai décidé de
                          créer des recettes en images que nous avons accrochées dans la cuisine
                          avec une photo de la présentation finale du plat avant de monter en
                          salle. (Voir annexe 7 : Recette en image)


                                  •   Formation générale sur les impacts du tourisme : Friends international

                                  Organisation d’un partenariat avec l’association Friends
                          International (http://www.childsafe-international.org/), responsable du
                          programme « Child safe Network ». Cette dernière a organisé une
Photos de présentation    formation pour les employés du front, les taxis et touk-touks partenaires
       des plats
                          sur la prévention du tourisme sexuel au Cambodge. Par la suite, notre
                          hôtel ainsi que les transports partenaires ont été certifiés « Child Safe ».

                                  La prostitution enfantine étant un très gros problème au
                          Cambodge à l’heure actuelle, il était important d’obtenir les outils
                          nécessaires pour reconnaître et dénoncer cette pratique.


    Les touk-touks                •   Formation en langues Française appliquée au tourisme


     Dossier de VAE – Léa Bloom                                                                           42
Missions /                                          Taches détaillées
  Activités                                    et Connaissances mises en œuvre


Mission 1 :                      Pour mieux répondre à la demande de la clientèle qui était
                        majoritairement Française, j’ai fait une demande auprès du propriétaire
Les Ressources          afin d’engager un professeur de Français à raison de deux heures par
humaines                semaine (une heure pour la réception et une heure pour le restaurant) et
                        ce, afin d’être capable d’assurer un service minimum en Français. Les
                        cours étaient non obligatoires et les employés motivés ont pu pratiquer
    La Formation        très rapidement pendant le service.

                            c. Impacts positifs de la formation :

                              Ces formations ont eu plusieurs impacts positifs sur les
                        employés :

                                      •   Améliorer l’image générale de l’hôtel.
                                      •   Améliorer la qualité du travail, développement des
                                          connaissances et aptitudes des employés.
                                      •   Motiver et valoriser le travail des employés.
                                      •   Permettre une meilleure adaptabilité aux spécificités de la
                                          clientèle.
                                      •   Permettre de mettre en place de nouveaux produits
                                          (nouveaux plat en cuisine, nouvelle carte) et donc
                                          améliorer les services.


                     Activité 3 : Leadership et animation
    Leadership et
       animation                Une de mes priorités a été de rassembler et de dynamiser les
                        équipes de l’hôtel vers des projets communs afin d’améliorer le niveau
                        général et l’image de l’établissement.

                                1. Animation de réunions

                            a. Les réunions d’équipes

                               J’ai mis en place des réunions hebdomadaires avec les chefs
                        d’équipes afin de communiquer sur les priorités, les événements, les
                        problèmes et projets de la semaine en cours.

                                  Les étapes

                                Préparation : Je préparais la réunion sur un tableau de suivi de
                        réunions (voir annexe 8 : Tableau de suivi des réunions) en reprenant les
                        points de la semaine précédente pour suivre l’avancement des projets et
                        y ajouter les nouveaux projets, événements ou sujets généraux.


   Dossier de VAE – Léa Bloom                                                                           43
Missions /                                      Taches détaillées
  Activités                                et Connaissances mises en œuvre


Mission 1 :                      Tour de table : les réunions commençaient toujours pas un tour
                        de table pour que chaque chef de services présentent l’avancement de ses
Les Ressources          projets, les nouveaux projets, les événements importants de la semaine à
humaines                venir et les difficultés rencontrées si besoin.

                                Récapitulatif : Si certains nouveaux points ou projets en cours
    Leadership et       n’avaient pas été abordés, nous les reprenions. J’avais la charge de
       animation        remplir le tableau récapitulatif pendant la réunion.

                                Les impacts positifs

                                 Les réunions sont un moyen de partager, au sein d’un groupe de
                        personnes, sur un sujet ou un problème et de prendre des décisions
                        collectivement. Je me suis rendue compte que les décisions prises
                        collectivement, avec les représentants des différents services, étaient
                        beaucoup plus facilement acceptées de tous.

                                 Elles permettaient aussi à chacun de donner son avis et de
                        participer au processus décisionnel concernant les rénovations, la
                        décoration etc… les décisions n’étaient pas prises de manière unanime
                        par le chef d’établissement. Ceci a donné confiance à l’équipe et surtout
                        la réelle impression de participer au devenir de leur hôtel.

                                 Les réunions permettaient de fixer des dates butoirs pour les
                        projets et de suivre l’avancement de l’équipe vers sa finalisation.


                                Les difficultés rencontrées

                                 La difficulté des réunions a été, au départ, de faire participer les
                        chefs d’équipes ouvertement, car ce n’est pas la coutume au Cambodge.
                        Après avoir instauré un climat de confiance avec mes chefs d’équipes, ces
                        réunions ont été très efficaces et ont vraiment participé à la cohésion des
                        projets et des équipes.

                            b. Les réunions partenaires

                                 J’ai mis en place une réunion mensuelle avec les taxis, tuk-tuk et
                        guides partenaires afin de communiquer sur l’hôtel, les nouveautés, de
                        faire remonter les plaintes ou les recommandations clients.

                            c. Les impacts positifs

                                 Permettre une harmonisation des services même à l’extérieur de
                        l’hôtel. Avoir un meilleur contrôle sur les différents acteurs du séjour des

   Dossier de VAE – Léa Bloom                                                                           44
Missions /                                         Taches détaillées
  Activités                                   et Connaissances mises en œuvre


Mission 1 :             clients. Même si les partenaires n’étaient pas directement sous contrat
                        avec nous ils étaient recommandés par l’hôtel et influençaient donc de
Les Ressources          manière directe l’image véhiculée par la Noria.
humaines
                               L’information sur les nouveautés permettait aux partenaires de
                        mieux communiquer et de vendre les services de l’hôtel.
    Leadership et
       animation
                            d. La communication informelle

                                En dehors de ces réunions, j’ai toujours beaucoup insisté sur ma
                        disponibilité pour recevoir et communiquer avec les équipes (en cas de
                        questions, de remarques et de problèmes). Cette disponibilité a participé
                        au climat de confiance et au renforcement de la cohésion.

                                 Ceci a été un facteur important pour éviter les situations de
                        conflits ou de crise.

                                2. La gestion des conflits

                                 La gestion des conflits passe par une bonne communication dans
                        l’entreprise afin d’identifier les composantes et les acteurs avant
                        d’entraîner des démissions ou des scissions trop importantes dans les
                        équipes. Laisser un conflit dégénérer pourrait entraîner une perturbation
                        de l’activité et une baisse du niveau de service.

                                La gestion de conflits est en général difficile à résoudre car elle
                        implique l’émotionnel des personnes concernées. Il faut être doté d’une
                        bonne capacité d’analyse psychologique et d’une bonne écoute pour
                        bien en comprendre les tenants et les aboutissants.

                            a. L’identification du conflit

                                En général, j’ai toujours été informée des tensions par les chefs
                        de services ou les employés eux même. Par exemple, une des personnes
                        nouvellement embauchée au service en salle ne prenait pas en compte les
                        remarques du chef de service et avait un problème avec l’autorité.

                            b. L’écoute en entretien

                                Suite à ce problème reporté par le chef de service, j’ai convoqué
                        l’employé seul afin d’entendre son point de vue. L’employé semblait en
                        effet avoir un problème avec la manière dont le responsable lui donnait
                        les directives (de manière trop autoritaire) et souhaitait avoir plus
                        d’indépendance dans son travail car il avait suivi une formation en école

   Dossier de VAE – Léa Bloom                                                                         45
Missions /                                       Taches détaillées
  Activités                                 et Connaissances mises en œuvre


Mission 1 :             hôtelière qui lui apportait de bonnes connaissances.
Les Ressources                  J’ai ensuite, convoqué le responsable pour avoir une discussion
humaines                plus ouverte entre les deux employés, en les poussant à exprimer leurs
                        points de vue.

    Leadership et           c. Trouver des solutions
       animation
                                Enfin, j’ai ndemandé à chacun de me proposer des solutions.
                        Après négociation de chaque côté, nous avons décidé de nommer cet
                        employé au bar où il pourrait prendre plus d’initiatives et de
                        responsabilités.

                            d. Mise en pratique et résultats

                                Cette solution a permis à l’employé de s’épanouir dans son
                        travail et d’atteindre ses objectifs d’indépendance. Le responsable
                        restauration avait tout de même un contrôle sur l’employé mais de
                        manière plus ponctuelle.

                                 La gestion de conflit doit permettre de trouver des solutions et
                        en générant des situations positives ou chacun trouve ses marques. Il ne
                        faut certainement pas négliger ou ignorer ce genre de situation car en y
                        faisant face, la sensibilité et les besoins des employés sont pris en compte.

                                3. Animations

                                J’ai organisé des événements pour les employés afin de sortir du
                        contexte du travail et se retrouver en équipe. Ces sorties ou repas sont un
                        facteur de motivation pour les équipes car elles se sentent considérées et
                        reconnues pour leur implication. Je pense qu’il est très important de
                        motiver, de remercier les équipes et de pousser à la cohésion. L’ambiance
                        de l’hôtel s’en ressent, une équipe soudée sera toujours plus performante.

                                Tous les mois, je fêtais les anniversaires avec un petit cadeau
                        pour les personnes étant nées dans le mois,

                                 Nous avons organisé des repas après des périodes de forte
                        activité afin de remercier les employés pour leur implication.

                                 Chaque mois, au cours d’un petit meeting, je faisais un
                        débriefing des commentaires clients en donnant les remarques positives
                        aussi bien que les remarques négatives.




   Dossier de VAE – Léa Bloom                                                                           46
Missions /                                     Taches détaillées
  Activités                               et Connaissances mises en œuvre


Mission 1 :                       Les Savoirs Associés:
Les Ressources           • Utilisation d'outils bureautiques (traitement de texte, tableur,...)
humaines                 • Utilisation des langues
                         • Droit du travail
                         • Gestion prévisionnelle des emplois et des compétences
       Les Savoirs       • Gestion des Ressources Humaines
                         • Techniques de management
                         • Techniques de communication
                         • Techniques d'animation d'équipe, de réunions et de gestion du
                           conflit
                         • Ingénierie de la formation
                         • Animation de formation
                         • Ingénierie pédagogique




   Dossier de VAE – Léa Bloom                                                                     47
Missions /                                        Taches détaillées
   Activités                                  et Connaissances mises en œuvre


Mission 2 :                                                     Mission 2 : Marketing et vente
Marketing et
vente
                                  Comme mentionné dans l’introduction, à partir de 2001 le
  Personnalisation
                         tourisme a eu un très fort développement au Cambodge.                   Cet
       de l’image
                         accroissement a attiré de nombreux investissements étrangers dans toutes
                         les infrastructures touristiques ; hôtels, restaurants, transports et tours
                         operateurs.

                                  Dans ce contexte, une de mes priorités a été de développer une
                         véritable identité pour cet hôtel et d’améliorer la qualité des produits et
                         services proposé, afin de se démarquer de la concurrence toujours
                         croissante.

                                   Notre clientèle cible était les voyageurs européens indépendants
                         ayant tendance à chercher à échapper au tourisme de masse pour partir à
                         la rencontre des populations et coutumes locales (Touristes non
                         institutionnalisés du type explorateurs). Cette catégorie représentait,
                         cependant, une faible part des arrivées touristiques mais avec des moyens
                         et un intérêt plus grand pour le tourisme éthique.


                      Activité 1 : Personnalisation de l’image

                                 Afin de se placer sur le marché, j’ai, dès le début de mon contrat,
                         investi des efforts considérables dans la communication de l’esprit
                         éthique de La Noria. Depuis sa création, cet hôtel a toujours eu un
                         caractère social.

                                 Le renforcement de la communication et la personnalisation de
                         l’image ont été des arguments de ventes importants pour l’établissement.


                                        fondemen
                                 1. Les fondements :

                                  L’hôtel a été créé dans le but d’aider au financement de
                         l’association Krousar Thmey et tous les ans une partie des bénéfices était
                         reversée à cette dernière. Il y avait peu de communication sur cet aspect
                         car le propriétaire ne voulait pas s’en servir comme argument de vente.

                                  Par contre nous fournissions de nombreuses informations sur
                         l’association, la possibilité de visiter les écoles et les orphelinats. Des
                         adultes issus de l’association travaillaient à l’hôtel. Les massages proposés
                         dans l’établissement étaient faits uniquement par les élèves de l’école de

    Dossier de VAE – Léa Bloom                                                                           48
Missions /                                       Taches détaillées
   Activités                                 et Connaissances mises en œuvre


Mission 2 :              massage pour non voyants de Krousar Thmey et tous les mercredis soirs
Marketing et             nous organisions un spectacle de danse traditionnelle et marionnettes
                         d’ombres mis en scène par les enfants de l’association (l’ensemble des
vente
                         bénéfices des entrées était reversé à l’association).

  Personnalisation               Ces événements étaient, une fois de plus, l’occasion de
       de l’image        communiquer sur l’association sans se servir de la part des revenus
                         reversés comme argument de vente.

                                 2. Les développements :

                                Lors de mon activité, j’ai voulu développer cette image éthique
                         en mettant plus d’information à la disposition des clients.

                             a. Boutique équitable

                                   J’ai créé (supervision de la construction, décoration, choix des
                         produits vendus) une boutique équitable, permettant de ne pas vendre
                         simplement des souvenirs mais de vendre des produits de qualité issus du
                         commerce équitable local. Chaque section du magasin donnait une
                         information complète sur les activités de l’association et la possibilité
                         d’aller les visiter sur site. (Voir annexe 9 : fiche produits)
 Le théâtre d’ombres
                             b. Espace culturel

                                  J’ai crée un espace de lecture / bibliothèque (supervision de la
                         construction, décoration, choix des livres à disposition) ne comportant
                         que des ouvrages sur la culture et l’histoire du Cambodge afin que les
                         clients puissent s’informer un maximum sur le pays qu’ils visitaient (nous
                         avons eu des retours très positifs de la part des clients sur cet espace).

                             c. Excursions éthiques et écologiques

                                  J’ai mis en place des excursions éthiques pour les visiteurs, pas
                         simplement un tour des temples mais la possibilité d’aller visiter des
                         projets (centres de fabrique de la soie, centre de réinsertion des
                         personnes victimes de mines, visites de sites producteurs de riz ou de
    Logo Osmose          soie, visites du marché et cours de cuisine khmer. J’ai de plus, développé
                         des partenariats avec des associations telles que Osmose
                         (www.osmosetonlesap.net)          et      les     Chemins         d’Angkor
                         (www.cheminsdangkor.com) deux associations du tourisme solidaire
                         pour organiser les sorties.

                                Ces activités étaient uniques et hors de sentiers touristiques de
                         masse. Notre clientèle, plutôt friande d’expériences culturelles, a

    Dossier de VAE – Léa Bloom                                                                        49
Missions /                                        Taches détaillées
   Activités                                  et Connaissances mises en œuvre


Mission 2 :               beaucoup participé à ces activités.
Marketing et
                              d. Code de conduite
vente
                                  J’ai créé et mis à disposition dans chaque chambre un guide du
   Personnalisation       comportement responsable du touriste au Cambodge afin d’informer et
        de l’image        de sensibiliser nos clients au respect de la culture et des mœurs locales.
                          (Voir annexe 10 : Code de conduite)



                              e. Labellisation « child safe »

                                  Nous avons reçu le label hôtel « Child Safe » après avoir suivi la
 Code de conduite des
       touristes
                          formation de Friends International (voir chapitre formation plus haut).




   Logo Child Safe




                                                        La formation Child Safe


                              f.   Les impacts

                                   Toute cette communication et ces services ont permis de donner
                          une meilleure connaissance de la culture khmère à nos clients. Notre
                          clientèle pouvait faire une vraie découverte et ne venait pas simplement
                          dormir dans une chambre d’hôtel. (voir annexe 11 : La Noria et le
                          tourisme Participatif)

                                   Dans cet environnement nos clients posaient plus de questions
                          aux employés sur leur culture et mode de vie, cela permettait aussi de
                          valoriser les employés et en développant des contacts plus personnalisés.
                          La Noria étant un petit hôtel familiale, nous avions beaucoup
                          d’opportunités d’échanges avec les voyageurs.


     Dossier de VAE – Léa Bloom                                                                        50
Missions /                                        Taches détaillées
    Activités                                  et Connaissances mises en œuvre


Mission 2 :                         Le bouche-à-oreille étant un des facteurs clef de la vente, ce
Marketing et               travail sur l’image a eu des retombées financières positives pour La Noria.
vente
                          Activité 2: Amélioration des services et de la qualité
       Amélioration .
      des services et        L’amélioration de la qualité est devenue une considération
        de la qualité incontournable des industries du service. Elle engendre une véritable
                           influence dans le processus de choix d’un établissement pour les touristes.

                                    Le service étant intangible et l’hôtel indépendant, les
                           consommateurs ne pouvaient avoir aucune garantie du niveau de
                           service avant d’être sur place. C’est pour cette raison qu’en améliorant la
                           qualité des services et en gérant les plaintes clients, je pense avoir
                           renforcé les avantages compétitifs de l’établissement afin d’atteindre de
                           nouveaux marchés et de fidéliser la clientèle existante.

                                    J’ai réussi à toucher un marché d’expatriés vivants au Cambodge
                           (clients répétés, ayant un fort pouvoir d’achat et qui envoient leurs
                           familles et amis quand ils viennent visiter le Cambodge). N’étant pas une
                           clientèle de passage, les expatriés portaient plus d’importance au rapport
                           qualité / prix et la constance du niveau de service de l’établissement.

                                  1. Amélioration des services

                                    Le serviscène englobe tous les aspects liés au décor, à l’ambiance,
                           aux uniformes du personnel, à la musique etc. Il fait partie intégrante de
                           la qualité d’un hôtel et ne doit pas être sous estimé.

                                    Pour rendre l’ambiance de l’hôtel plus attrayante voici les
                           différentes actions que j’ai prises en main :


                               a. Au restaurant


                                        •   Reprise et design de tous les menus du restaurant.

                                        •   Création de menus pour le bar.

Photo pour les nouveaux                 •   Amélioration de la présentation des plats et boissons.
        menus

                                        •   Création de luminaires originaux pour le restaurant.

                                        •   Rénovation    de     l’espace   piscine   et   bar   (peinture,

     Dossier de VAE – Léa Bloom                                                                               51
Missions /                                      Taches détaillées
    Activités                                et Connaissances mises en œuvre


Mission 2 :                              décoration mise en place de torches autour de la piscine,
Marketing et                             création de nouveaux coussins pour les chaises longues).
vente
                                     •   Création de nouveaux uniformes pour le restaurant, la
                                         réception et le magasin (uniformes plus modernes avec
       Amélioration                      une identité asiatique).
      des services et
        de la qualité                •   Création d’un lieu de lecture au milieu du jardin.

                                     •   Mise en place d’expositions tournantes par des artistes
                                         Cambodgiens au restaurant.

                                    Toutes ces actions font partie du marketing sensoriel qui gère les
                          couleurs, les ambiances… le client préfère consommer au sein de l’hôtel
 Artiste cambodgienne     car il s’y sent bien, plutôt que de consommer ailleurs. La résultante est
ayant exposé à la Noria   une augmentation de la dépense moyenne par client.

                                    Par exemple avant rénovation de l’espace piscine, (menus du bar,
                          présentation des plats et boissons, aménagement de l’espace lecture),
                          l’activité bar était quasi inexistante car les clients ne souhaitaient pas
                          passer du temps dans un environnement négatif. Suite à cela nous avons
                          triplé les recettes.


                              b. Dans les chambres

                                     •   Dans les chambres nous avons aussi entamé des
                                         rénovations pendant la saison basse en changeant, par
                                         exemple, tous les rideaux et les dessus de lit,

                                     •   j’ai animé des formations sur le nettoyage des chambres et
                                         crée des fiches d’évaluation pour la personne qui était en
                                         charge de la vérification des chambres (voir annexe 12 :
                                         Fiche d’évaluation des chambres). J’ai moi-même choisi
                                         un jour de la semaine pour faire le tour des chambres et
                                         vérifier l’application des procédures de nettoyage.

                                  Le fait de faire un suivi plus strict de la propreté des chambres a
                          permis une nette amélioration du niveau de propreté.

                              c. Pour la cuisine

                                  Grosse rénovation de la cuisine, nettoyage, peinture,
                          rangements, hotte, éclairage, espace de plonge. Nous avons fermé la
                          cuisine pendant deux semaines afin de mener à bien cette rénovation

     Dossier de VAE – Léa Bloom                                                                          52
Missions /                                         Taches détaillées
   Activités                                   et Connaissances mises en œuvre


Mission 2 :              indispensable pour l’hygiène.
Marketing et
                                  Au même moment, la chef française formait l’équipe à l’hygiène,
vente
                         la gestion des stocks et des achats.

     Amélioration                  Suite aux rénovations j’ai mis en place des règles strictes sur
    des services et      l’organisation des frigos et des rangements. Une fois par semaine, je
      de la qualité      vérifiais le rangement et la propreté des équipements.

                                 De la même façon, cette amélioration de la qualité en cuisine,
                         suivi de formations, ont été une vraie motivation pour l’équipe afin de
                         continuer leurs efforts. Cette amélioration n’a pas été ressentie comme
                         contrainte et a donc bien été appliquée.

                                       sondage
                                 2. Le sondage de la qualité :

                                 On sait qu’un client mécontent parlera à 11 personnes alors
                         qu’un client satisfait n’en parlera qu’à cinq. Nous savons aussi qu’un
                         client non satisfait prendra peu l’initiative de se plaindre mais ne
                         consommera tout simplement plus dans cet établissement. J’ai donc
                         développée des outils de sondage et de communication à la clientèle.

                             a. Questionnaires de satisfaction

                                  Afin de vérifier le niveau de satisfaction des clients, j’ai mis en
                         place des questionnaires de satisfaction (voir annexe 13 : Questionnaires
                         de satisfaction). Les résultats nous ont aidés à faire un suivi et à améliorer
                         les points négatifs. Je communiquai les résultats positifs ou négatifs lors
                         des réunions mensuelles pour que les équipes soient directement
                         informées.

                             b. La communication client

                                  La communication directe avec les clients était une autre forme
                         de sondage plus directe. La récupération d’informations directe est
                         toujours efficace car elle permet de réagir sans attendre. Par exemple, si
                         un client n’est pas satisfait de la qualité de la nourriture au restaurant, on
                         peut toujours lui offrir un dessert. Il est très important de pouvoir
                         identifier et résoudre un problème le plus rapidement possible pour ne
                         pas susciter une réputation négative sur l’établissement.

                                 Les plaintes les plus fréquentes concernaient l’infrastructure
                         (manque de pression de la douche, eau pas assez chaude) et ces questions
                         étaient délicates à gérer puisqu’elles nécessitaient une rénovation lourde
                         de toute la plomberie.

    Dossier de VAE – Léa Bloom                                                                            53
Missions /                                        Taches détaillées
    Activités                                  et Connaissances mises en œuvre


Mission 2 :
Marketing et                       Le propriétaire cherchant à vendre l’hôtel, ne voulait pas investir
                           dans de tels travaux.
vente

   Développement Activité 3 : développement des outils de ventes et de la
                    Activ
      des outils de
                    communication
    ventes et de la
   communication
                                    L’hôtel La Noria avait toujours pu se différencier des autres
                           établissements grâce à son esprit éthique et familial, mais entre 2005 et
                           2006 j’ai vu plusieurs établissements très similaires au notre se construire.

                                  Je pense que la concurrence peut être un moteur pour chercher
                           de nouveaux marchés et c’est pour cette raison que j’ai développé la
                           communication afin d’atteindre une cible plus large.


                                  1. La communication par les medias


                               a. Internet

                                   Internet est devenu, aujourd’hui, un moyen incontournable de
L’équipe de La Noria sur
                           communiquer sur un établissement. Pour les entreprises, l’avantage
     le site internet      d’internet réside dans son moindre coût par rapport à d’autres supports
                           de communication et surtout permet une mise à jour immédiate.

                                    Nous savons aujourd’hui qu’en 2005 le poids du tourisme en
                           ligne représentait 3 140 millions d’euros.

                                   Pour cette raison J’ai décidé de réaliser le site internet de l’hôtel
                           www.angkorlanoria.com (voir annexe 14 : pages internet). En mettant en
                           avant l’esprit de famille, le charme et l’expérience authentique que cet
                           hôtel pouvait procurer. Le site comportait des textes courts, de
                           nombreuses photos (que j’ai réalisées), des liens utiles vers des sites
                           d’ONG du tourisme équitable et un lien vers une page de réservation.

                                    Dès sa mise en ligne, nous avons reçu beaucoup de réservations
                           via le site et nous avons vu le nombre de visites augmenter très
                           rapidement. Le site internet est un excellent moyen de communication
                           car il permet aux prospects de se faire une idée de l’établissement avant
                           d’être sur place. De plus le rapport cout de mise en ligne / retombées
                           financières est très intéressant.


     Dossier de VAE – Léa Bloom                                                                            54
Missions /                                       Taches détaillées
   Activités                                 et Connaissances mises en œuvre


Mission 2 :
Marketing et                 b. Affichage extérieur
vente
                                  J’ai réalisé un nouveau panneau d’affichage lumineux devant
                         l’hôtel pour que les clients puissent repérer l’hôtel facilement en passant
  Développement          devant et attirer les clients walk-in (puisque de nombreux voyageurs au
     des outils de       Cambodge ne réservaient pas avant le départ).
   ventes et de la
  communication                  De plus, j’ai fait construire un tableau en ardoise sur pied, placé
                         devant l’hôtel, afin d’écrire en gros si nous avions des chambres
                         disponibles.


                             c. Publicités

                                J’ai crée différentes publicités pour des journaux gratuits de
                         voyage et pour des plans de Siem Reap gratuits, distribués dans la ville.
                         Nous avons pris des espaces publicités sur Canby, Siem Reap Guide,
                         Angkor Guide, pocket guide et Siem Reap Angkor.

                                 Ces guides étaient distribués partout en ville et j’ai décidé d’axer
                         les publicités sur le restaurant car les visiteurs prenant ces guides étaient
                         déjà sur place mais cherchaient juste des endroits où manger et boire un
                         verre.




                                                   Publicité dans un des guides local



                                 A travers ces différents medias, j’ai essayé de créer une ligne de
                         communication cohérente qui participait à l’image de La Noria. J’ai
                         gardé les mêmes couleurs, styles de photos, styles d’écritures afin que
                         notre hôtel soit reconnaissable sans même lire l’information.




    Dossier de VAE – Léa Bloom                                                                           55
Missions /                                       Taches détaillées
   Activités                                 et Connaissances mises en œuvre


Mission 2 :
Marketing et
                                 2. La communication hors medias
vente

  Développement              a. Les partenariats
     des outils de
   ventes et de la                Ayant crée de nombreux partenariats avec des ONG et
  communication          associations que l’on sponsorisait à travers notre site internet et système
                         d’information dans l’hôtel, je pense avoir développé une image positive
                         de l’hôtel qui nous a permis d’avoir une clientèle recommandée par ces
                         partenaires.

                             b. Les agences

                                 J’ai réalisé un dvd de présentation de l’hôtel pour les agences de
                         voyages rencontrées sur Siem Reap et Phnom Penh. cette présentation
                         avait pour but, de permettre aux agences de mieux connaitre notre
                         produit et donc de le vendre de manière plus active.

                                  J’ai surtout voulu développer des menus agences originaux pour
                         remplir le restaurant le midi (grande capacité) car les clients de l’hôtel
                         étaient souvent en visite à cette heure là.

                                  J’ai donc mis au point des menus agences autour de 4 thèmes :
                         Les légumes, les couleurs, l’eau et les fruits. Ces menus étaient originaux
                         dans leur approche et les plats proposés. (Voir annexe 15 : Menu agence).
                         Lors du service des menus, j’ai mis en place des paniers d’épices
                         Cambodgiennes qui servaient pour la préparation des menus. Pour
                         chaque épice, un petit panneau indiquait le nom et sur les tables, des
                         petits guides des épices, précisant sa provenance et son utilisation.

                                   De plus, à la fin du repas, nous offrions la recette du plat
                         principal comme souvenir. J’ai joué la carte de la différenciation pour
                         attirer les groupes au restaurant.

                                 En vue des visites agences, j’ai préparé des plaquettes, des
                         dépliants, des dvd, et des questionnaires de satisfaction agence pour
                         avoir des retours clients agence.

                                 Voyant notre effort pour proposer un produit différent, ces
                         agences ont joué le jeu et nous ont envoyé de nombreux groupes.

                                De plus, j’ai mis en place des news letter que j’envoyais tout les
                         mois aux agences pour les informer sur les nouveautés dans l’hôtel (voir

    Dossier de VAE – Léa Bloom                                                                         56
Missions /                                      Taches détaillées
   Activités                                et Connaissances mises en œuvre


Mission 2 :              annexe 16 : News letter)
Marketing et
                                Développer un rapport privilégié et direct avec les responsables
vente
                         d’agences a permis un meilleur échange et des partenariats plus proches.

  Développement
     des outils de           c. Relations personnelles
   ventes et de la
  communication                 Ayant habité longtemps au Cambodge je connaissais de
                         nombreux expatriés sur Siem Reap et Phnom Penh. Cette clientèle est une
                         bonne source de bénéfice car elle est fidèle et participe beaucoup au
                         bouche-à-oreille.


                             d. Les collaborations à l’édition de guide touristique

                                  La Noria étant un des premiers établissements éthique au
                         Cambodge, nous avons eu de très bonnes critiques dans les guides de
                         voyages. Visant une clientèle de voyageurs indépendants, les
                         recommandations de guides de voyages influencent beaucoup le choix de
                         cette catégorie touristique.

                                 Nous étions mentionnés dans le Petit Futé, le Guide du routard
                         et le Lonely Planet (voir annexe 17: critiques guides de voyages). J’ai
                         essayé de contacter d’autres guides comme le Rough Guide et des guides
                         allemands mais sans succès.

                             e. Communication interne.

                                  J’ai développé des outils de communication dans l’hôtel pour
                         que les clients consomment les services proposés :

                                    •   Présentations de l’hôtel dans les chambres en proposant
                                        tous les services.
                                    •   Panneaux d’affichages attrayants pour les excursions,
                                    •   Panneaux à l’entrée du restaurant avec les plats du jour et
                                        les nouveautés.

                                 Cette communication interne est importante pour augmenter les
                         revenus.




    Dossier de VAE – Léa Bloom                                                                        57
Missions /                                         Taches détaillées
   Activités                                   et Connaissances mises en œuvre


Mission 2 :
Marketing et
                                       Les Savoirs associés:
vente
                                       •   Connaissances informatiques
        Les Savoirs                    •   Utilisation de logiciels d'édition multimédia
                                       •   Connaissances rédactionnelles des langues étrangères
                                       •   Techniques commerciales
                                       •   Gestion budgétaire
                                       •   Conduite de projets
                                       •   Circuits de distribution commerciale
                                       •   Techniques de communication
                                       •   Techniques de négociation
                                       •   Techniques de planification
                                       •   Management d'un projet d'innovation
                                       •   Typologie des clients/consommateurs
                                       •   Analyse statistique



Mission 3 : La                                                               Mission 3 : La Gestion
Gestion

    La gestion des Activités 1 : La gestion des stocks
             stocks
                                   L’approvisionnement et la gestion des stocks occupent une place
                         importante dans l’activité journalière du restaurateur car elle influence
                         énormément les bénéfices de l’établissement. Lors de ma prise de
                         fonction, il n’y avait aucune procédure de gestion des stocks, ce qui
                         laissait le champ libre à des abus et une mauvaise gestion en cuisine et au
                         restaurant. J’ai donc mis en place différents outils de contrôle tout au
                         long du cycle d’approvisionnement.

                                 1. Les fiches techniques

                                  En partenariat avec la chef de cuisine nous avons mis en place
                         des fiches techniques pour chaque plat en cuisine. (Voir annexe 18: Fiche
                         technique).La fiche technique décrit la composition d’un plat et permet
                         de prévoir les quantités de denrées nécessaires ainsi que le coût matière
                         du plat.

                             a. Les avantages

                                       •   Elle permet de mieux gérer et théoriser les quantités et le

    Dossier de VAE – Léa Bloom                                                                           58
Missions /                                         Taches détaillées
   Activités                                   et Connaissances mises en œuvre


Mission 3 : La                             coût nécessaire à la réalisation d’un plat.
Gestion
                                       •   Elle permet de vérifier si les ventes correspondent aux
                                           quantités commandées. (Je faisais un comptage des ventes
    La gestion des                         de certains plats à la carte pour vérifier que les quantités
             stocks                        de matières premières correspondaient aux ventes).

                                       •   Les fiches permettent de déterminer le prix de vente d’un
                                           plat en appliquant le coefficient multiplicateur qui est
                                           généralement de 3.

                                       •   Elle permet aussi de former plus facilement les nouveaux
                                           membres d’équipe car les fiches techniques étaient
                                           accompagnées de la recette et d’une photo du plat.


                             b. Les désavantages


                                       •   Les fiches techniques sont à titre indicatif, elles ne peuvent
                                           pas être respectées à la lettre et ne donnent donc pas un
                                           état réel des stocks.
                                       •   Sans outil informatique complet de gestion, la vérification
                                           et le suivi des vente / stocks est souvent difficile et
                                           consommatrice de temps.


                                                          d’acha
                                 2. Vérification des prix d’achats et choix des fournisseurs

                                  Afin de vérifier les prix de matières premières pratiquées dans
                         d’autres établissements, j’ai dressé une liste des produits les plus communs
                         utilisés en cuisine (viandes, poissons, légumes) que j’ai fait passer aux
                         chefs d’autres établissements en ville afin de réaliser un comparatif.

                                  Il faut savoir qu’au Cambodge la corruption et le
                         commissionnement sont des pratiques extrêmement courantes et il est
                         important de vérifier les prix pratiqués par les fournisseurs. L’hôtel et le
                         système de commande étant déjà en place lors de mon arrivée il a fallut
                         que je fasse des vérifications. Je me suis rendu compte que le prix de la
                         viande et du poisson chez nous était bien supérieur à d’autres
                         établissements, j’ai donc demandé à la chef de trouver des produits au
                         même prix qu’ailleurs.


                                 3. La détermination des quantités à commander

    Dossier de VAE – Léa Bloom                                                                              59
Missions /                                       Taches détaillées
   Activités                                 et Connaissances mises en œuvre


Mission 3 : La
Gestion                          La détermination des quantités à commander dépend de la
                         prévision de fréquentation et de l’état des stocks.

    La gestion des           a. Prévision de la fréquentation
             stocks

                                  La prévision de fréquentation d’un restaurant n’est pas toujours
                         facile à déterminer mais j’ai essayé de dresser un tableau de fréquentation
                         par rapport aux éléments suivants:

                                     •   Le taux d’occupation de l’hôtel
                                     •   La saisonnalité
                                     •   Les jours de la semaine (voir annexe 19 : rapport de suivi
                                         de fréquentation)
                                     •   Les réservations de groupe et d’individuels
                                     •   La popularité des plats (Mise en place d’un comptage des
                                         plats en sortie de cuisine pour déterminer les plats les plus
                                         commandés)


                             b. Les erreurs d’approvisionnement

                               Les prévisions de fréquentation permettent d’éviter trop d’erreur
                         de commande.

                                 Des commandes trop importantes provoquent une perte des
                         denrées périssables. Pour éviter les pertes en cas d’erreur, j’ai mis en place
                         un système de plat du jour pour écouler les stocks. De plus j’ai demandé
                         à la chef de communiquer les plats à vendre en priorité au restaurant
                         chaque jour.

                                  Des commandes insuffisantes provoquent un risque de rupture de
                         stocks et donc de mécontentement de la clientèle. Lors de ma prise de
                         fonctions certains plats de la carte étaient souvent non disponibles au
                         moment de la commande, créant une réelle frustration de la clientèle.
                         Certains plats n’étaient pas disponibles car ils n’étaient pas très populaires
                         et la chef ne commandait plus les matières premières pour ces plats. Nous
                         avons donc retravaillé la carte.

                                Les fournisseurs étant souvent des vendeurs au marché de Siem
                         Reap la possibilité de faire des commandes en cours de journée a
                         beaucoup facilité la réduction des problèmes liés aux ruptures de stocks.



    Dossier de VAE – Léa Bloom                                                                            60
Missions /                                         Taches détaillées
   Activités                                   et Connaissances mises en œuvre


Mission 3 : La                   4. Contrôle des stocks
Gestion
                                Afin de faire un état précis des stocks, j’ai mis en place différentes
                         procédures de contrôle :
    La gestion des
             stocks                    •   Construction d’une salle des stocks adjacente à la cuisine.
                                           Salle fermée avec un accès contrôlé par la comptable, la
                                           chef de cuisine et le responsable du restaurant.
                                       •   Mise en place de fiche de sorties de stock à remplir, dater
                                           et signer avant chaque sortie de produit (voir annexe 20 :
                                           fiche de sortie de stock)
                                       •   Mise en place de fiches de suivi de stock des boissons au
                                           restaurant, à remplir tous les jours par le responsable de la
                                           salle de restaurant (voir annexe 21 : fiche de suivi de
                                           stock).
                                       •   Mise en place de fiche de sortie de plat en cuisine, à
                                           remplir par les personnes en charge du passe plat pour
                                           suivre les sorties et vérifier la correspondance avec le stock
                                           réel.

                             a. Commandes

                                 Afin de mieux contrôler les commandes, j’ai demandé aux chefs
                         de services de remplir des bons de commandes à faire signer par moi ou
                         la comptable. Cette procédure un peu lourde à permis de vérifier
                         l’écoulement des stocks en fonction des ventes.

                                 Les commandes étaient ensuite faites par téléphone directement
                         aux fournisseurs.

                             b. Réception des marchandises

                                 Lors de la livraison, les marchandises devaient être vérifiées et
                         cochées sur le bon de commande afin de s’assurer qu’elles
                         correspondaient bien en quantité et qualité.

                                  La vérification était faite par la chef ou la sous chef de cuisine et
                         par le responsable du restaurant lors de l’arrivée des produits. Puis les
                         denrées non périssables étaient placées en salle de stocks en remplissant
                         la fiche de stock (en entées) pour que les fiches soient toujours à jour.

                                 Puis les bons de livraisons étaient remis à la comptable pour
                         quantifier les commandes en fin de mois et procéder au règlement des
                         fournisseurs.


    Dossier de VAE – Léa Bloom                                                                              61
Missions /                                         Taches détaillées
   Activités                                   et Connaissances mises en œuvre


Mission 3 : La               c. L’inventaire
Gestion
                                 L’inventaire doit être réalisé par une personne différente de la
                         personne en charge de la tenue des stocks. Par exemple, la chef de cuisine
    La gestion des       en charge de la réception et la comptable en charge des inventaires. Au
             stocks      restaurant, le responsable du restaurant en charge du suivi et moi en
                         charge de la vérification.

                                  Un inventaire en salle des stocks était fait à chaque fin de mois
                         par la comptable puis je faisais une deuxième vérification partielle sur
                         certains produits pour comparer les stocks réels aux stocks théoriques
                         contenu sur les fiche de stocks. Au restaurant le responsable faisait un
                         inventaire journalier puis je faisais un inventaire en fin de mois.


                                 5. Les difficultés rencontrées

                                   Les procédures de contrôle des stocks étant lourdes et souvent
                         consommatrices de temps, elles ont été difficiles à mettre en place dans
                         l’établissement. Lors de la mise en place des procédures, j’ai rencontré
                         des résistances de la part des employés il a donc fallut une grande
                         implication de ma part avec des vérifications et des rappels à l’ordre
                         réguliers.

                                  Au final, cela a suscité une réduction des dépenses générales de
                         l’hôtel de 10% par rapport à l’année précédente et une diminution des
                         pertes non justifiées.

       Analyse des
         ventes et Activité 2 : l’analyse des ventes et dépenses
         dépenses
                                  Dans un hôtel restaurant, il faut mettre en place un système de
                         comptabilisation et de centralisations ventes de la journée. Ces
                         procédures doivent être simples et permettre une vérification de toutes
                         les actions de caisses.

                                    Elles permettent aussi de :

                                        •   Contrôler le bon déroulement des opérations (Toutes les
                                            commandes ont été enregistrées, la caisse correspond aux
                                            enregistrements).
                                        •   Analyser les ventes, produire des rapports en fin de mois
                                            pour faire un suivi complet de la consommation dans
                                            l’établissement.
                                        •   Comptabiliser les ventes.

    Dossier de VAE – Léa Bloom                                                                          62
Missions /                                          Taches détaillées
   Activités                                    et Connaissances mises en œuvre


Mission 3 : La
Gestion

       Analyse des               1. Les ventes et encaissements
         ventes et
         dépenses            a. Le bar et le restaurant


                                           Les comparatifs de ventes

                                  Afin de comparer les ventes avec les sorties réelles, j’ai mis en
                         place les procédures de contrôles suivantes :

                                       •    Les plats sortants de la cuisine étaient comptabilisés sur
                                            une liste par la personne en charge du passe plat.
                                       •    Les notes étaient enregistrées dans une caisse enregistreuse
                                            par la personne en charge de la caisse.
                                       •    Les commandes étaient notées sur des bulletins de
                                            commande numérotés et datés en trois exemplaires. Un
                                            exemplaire pour le client, un pour la cuisine et un pour la
                                            caisse.


                                  En début de journée suivante, je faisais un comparatif des tickets
                         en cuisine, en caisse, de la liste des sorties de cuisine et du ticket de caisse
                         afin de vérifier qu’il n’y ait pas eu d’oublis de facturation.

                                           Les rapports de caisses

                                 A chaque fin de service, le responsable de la caisse devait
                         produire un rapport de fin de service avec les montants des
                         encaissements par type, puis sortir le rapport de la caisse enregistreuse et
                         remettre les encaissements ainsi que le rapport en comptabilité.
                                 Les prestations à facturer sur les chambres étaient aussi remises à
                         la réception pour comptabiliser sur la chambre client.

                                 Ces données m’ont permis de produire des rapports mensuels de
                         ventes en restauration.


                             b. Les services annexes

                                 Les services annexes comme les massages, la lingerie étaient
                         toujours refacturés sur la chambre du client. Une copie de la facture était
                         fournie au client et l’autre à la réception.

    Dossier de VAE – Léa Bloom                                                                              63
Missions /                                         Taches détaillées
   Activités                                   et Connaissances mises en œuvre


Mission 3 : La
Gestion

       Analyse des            c. Les chambres
         ventes et
         dépenses                 Chaque chambre avait un casier où étaient stockées toutes les
                         factures du client pendant son séjour. En fin de séjour, les réceptionnistes
                         avaient la charge de récupérer tous les documents et de préparer la note
                         client. La facture était numérotée et tous les numéros de factures
                         provenant d’autres services étaient reportés sur cette note finale.

                                 Le réceptionniste devait produire une feuille de caisse en fin de
                         journée avec les numéros de factures enregistrées et les totaux par mode
                         de règlement. Puis les règlements ainsi que le rapport étaient remis à la
                         comptabilité.

                                 Chaque jour, la comptabilité devait mettre en rapport les factures
                         en attente de paiement des différents services et les factures payées à la
                         réception afin de régulariser les comptes de chaque service.

                                 2. Les outils d’analyse des ventes

                             L’enregistrement des ventes journalières m’a aidé à dresser des
                        analyses de mon activité au restaurant et dans les chambres. En fin de
                        mois je faisais les tableaux récapitulatifs suivants :

                              a. Le Bar et restaurant (voir annexe 22 : Tableau récapitulatif restaurant)

                      Le tableau d’analyse de fin de mois se présentait en différentes parties :

                          •      Dépenses journalières (cuisine + bar)
                          •      Revenu journalier
                          •      Revenu boissons
                          •      Revenu nourriture
                          •      Revenu petit déjeuner
                          •      Revenu Déjeuner + dîner
                          •      Nombre de couvert

                      Puis le tableau d’analyse

                          • Dépenses totales mensuelles
                          • Revenu total mensuel
                          • Chiffre d’affaire = Revenu total mensuel – Dépenses totales
                            mensuelles
                          • Nombre de couverts

    Dossier de VAE – Léa Bloom                                                                          64
Missions /                                          Taches détaillées
   Activités                                    et Connaissances mises en œuvre


Mission 3 : La            • Addition moyenne = Chiffre d’affaire / nombre de couverts
Gestion                   • Le ratio = Dépenses totales mensuelles / revenu mensuel (en %)

       Analyse des       Ces rapports m’ont permis de suivre l’évolution du comportement
         ventes et d’achat des clients, en faisant des comparatifs avec n-1.
         dépenses


                             b. Les chambres (voir annexe 23 : Tableau d’analyse des chambres)


                       Pour les chambres le tableau d’analyse de présentait comme suit :

                                                                  N-
                                                          En N et N-1
                         Mois     Nombre de        Nombre de         Taux           Chiffre        Prix
                                   nuitées          nuitées     d’occupation       d’affaires    moyen
                                    (mois)          (cumul)                        chambres        de la
                                                                                                chambre
                                  Nombre de         Nombre de      (Nombre de                     Chiffre
                                   chambres          chambres    chambres louée                 d’affaires
                                    louées             louées     / nombre de                   chambres
                                                     cumulées       chambres                         /
                                                     depuis le    disponibles) *                Nombre
                                                     début de          100                          de
                                                      l’année                                   chambres
                                                                                                 vendues

                            Ce tableau permet de faire une bonne analyse comparative avec les
                      années précédentes et de voir l’évolution de l’occupation de l’hôtel.



                             c. L’analyse de compte (voir annexe 24 : Analyse des comptes)

                      Ce tableau d’analyse de fin de mois dresse un tableau complet de l’activité
                      de l’hôtel et du restaurant pour en rendre compte au propriétaire de La
                      Noria. Ce tableau permet aussi d’analyser les centres de dépenses et de
                      revenus les plus importants et d’en faire le comparatif avec les années
                      précédentes.



                                                                     YTD                 %

                                 % of occupancy                      801              92.28%
                                 Nbe of guest                        1416

    Dossier de VAE – Léa Bloom                                                                           65
Missions /                                         Taches détaillées
   Activités                                   et Connaissances mises en œuvre


Mission 3 : La                   Average room rate                   $36.48
Gestion                          Average spending per guest          $39.98
                                                              Revenues
       Analyse des               Room sales                        $29'222.41       51.62%
         ventes et
         dépenses                Restaurant                        $22'405.94       39.58%
                                 Swimming pool                      $1'489.25       2.63%
                                 Laundry                            $514.05         0.91%
                                 Telephone                          $159.50         0.28%
                                 Commission and change              $2'818.92       4.98%
                                 Boutique                            $0.00          0.00%
                                 TOTAL SALES                       $56'610.07      100.00%
                                                              Expenses
                                 Cost of sales (1+2+3+5)            $8'199.17       36.90%
                                 Others                            $6'250.00        28.12%
                                 Payroll                           $4'346.78        19.56%
                                 Administration                     $671.06         3.02%
                                 Marketing                           $27.00         0.12%
                                 Energy                             $1'862.13       8.38%
                                 Maintenance                        $866.60         3.90%
                                 TOTAL EXPENSES                    $22'222.74      100.00%
                                 GOP                               $34'387.33
                                 Taxe alcool, insurances
                                                                   $5'826.66
                                 other & benefit 1%
                                 TOTAL                             $28'560.67




    La conduite de Activités 3 : La conduite de projets
           projets
                                  Un projet peut être comparé à une activité opérationnelle avec
                         une durée de vie limitée dans le temps et un budget alloué. Un projet
                         doit être innovant et unique et doit répondre à un besoin précis.

                                 Lors de mon activité à la Noria, j’ai géré plusieurs projets tels
                         que :

                                     •     La création d’un site web
                                     •     La création d’une bibliothèque
                                     •     La création d’une boutique équitable
                                     •     La rénovation de la cuisine

    Dossier de VAE – Léa Bloom                                                                       66
Missions /                                         Taches détaillées
   Activités                                   et Connaissances mises en œuvre


Mission 3 : La                         •   La rénovation et le remodelage du bar
Gestion
                               Afin de suivre les étapes de la gestion de projet, je vais prendre
    La conduite de       comme exemple le développement du bar.
           projets
                                 1. Définition des objectifs


                                 Avant d’entamer un projet, il faut se poser la question suivante :
                         quel besoins doit satisfaire le produit finit du projet ? La définition des
                         besoins et des objectifs est donc très importante.

                                    La définition de l’objectif doit être :
                                       • Réalisable (l’objectif ne doit surtout pas être impossible à
                                           atteindre car cela provoquera une démotivation des
                                           équipes).
                                       • Mesurable (on doit pouvoir évaluer les résultats du
                                           projet).
                                       • Motivante (ceux qui sont impliqués dans le projet doivent
                                           sentir une satisfaction vis-à-vis du but atteindre).

                                 2. La conception

                             a. Le diagnostique

                                  La première phase consiste à faire un diagnostique de la
                         situation. Dans notre exemple, la Noria possédait déjà un bar prés de la
                         piscine mais ce centre de revenu était très faible.

                                 Nous avons donc, avec les responsables de la restauration, essayé
                         d’analyser quelles pouvaient en être les raisons :

                                       •   Le bar n’était pas bien entretenu (vieux bâtiment,
                                           peinture, etc).
                                       •   Les clients n’avaient pas de lieu où s’asseoir et profiter du
                                           bar.
                                       •   La carte ne comportait pas de produits attractifs (pas de
                                           cocktails, pas de nourriture).
                                       •   Il n’y avait aucune communication sur le bar et les
                                           produits disponibles.
                                       •   Il n’y avait pas de personnel chargé du bar.
                                       •   Les horaires d’ouvertures du bar étaient réduits.

                             b. La recherche de solutions

    Dossier de VAE – Léa Bloom                                                                             67
Missions /                                            Taches détaillées
   Activités                                      et Connaissances mises en œuvre


Mission 3 : La
Gestion                         Suite à l’identification des besoins, nous avons listé les
                         améliorations possibles :
    La conduite de
           projets                   • Rénovation des lieux
                                 Nous avons décidé des réaménager le bar, refaire la peinture, la
                         lumière, achat de vaisselle et verres originaux.

                                    • Création d’un lieu confortable
                                 Nous avons fait des coussins pour les chaises longues, création
                         d’un abri en bois (bibliothèque en pleine air) dans le jardin tropical avec
                         des chaises et tables pour que les clients puissent passer du temps et
                         consommer au bar.

                                    • Renouvellement la carte (voir annexe 25: Menus bar)
                                 Recherche des boissons originales cocktails avec et sans alcool
                         avec des produit locaux (Thé froid à la citronnelle, khmer punch, etc…).

                                  Création d’un menu de tapas cambodgien (nous savions que les
                         clients revenaient souvent aux heures les plus chaudes de la journée pour
                         profiter de la piscine, le bar étant devant la piscine nous avons pensé que
                         les clients apprécieraient de manger des plats légers sans avoir à venir au
                         restaurant).

                               Mise en place des cartes dans les chambres pour que les clients
                         commandent et consomment sur leurs terrasses.

                                        •   Amélioration du serviscène

                                  Mise place d’un éclairage dans les plantes, des torches, pour que
                         les clients viennent consommer dans le jardin tropical le soir, avant le
                         repas. Mise en place d’un système sonore pour rendre l’endroit plus
                         agréable le soir.

                                        •   Affectation d’un personnel en charge

                                 Nous avons décidé de placer une personne en charge du bar afin
                         de responsabiliser et d’impliquer cette personne en particulier dans la
                         conception et la réalisation des nouveaux produits.




                                 3. Faisabilité


    Dossier de VAE – Léa Bloom                                                                         68
Missions /                                         Taches détaillées
   Activités                                   et Connaissances mises en œuvre


Mission 3 : La                   Nous avons étudié la faisabilité technique du projet (avait-on les
Gestion                  ressources disponibles et capable de mener à bien le projet)

    La conduite de               La faisabilité budgétaire (création d’un budget pour les
           projets       rénovations, mise en place avec les responsables de maintenance,
                         obtention de devis à présenter au propriétaire).

                                  La Faisabilité temporelle : nous avons défini le temps imparti à la
                         mise en place du projet avec les personnes en charge des différentes
                         parties, la maintenance, la cuisine, le restaurant (2 mois).

                                 4. La réalisation

                                  Une fois le projet accepté par tous les acteurs et le propriétaire,
                         j’ai mis en place un plan de déroulement avec les actions à mener, les
                         personnes responsables, les deadlines de chacun.

                                  Ce plan de déroulement, mis en place avec les personnes
                         concernées nous a permis de faire un suivi de l’avancement du projet et
                         de faire un point chaque semaine sur les choses à mettre en place.


                       Action to be taken            Pax in charge              Deadline         Done

                       1. Building of a small Reading and Relaxing place
                       Construction                  Hong                                        OK
                                                                                Beginning
                       Electricity                   Hong Antoine Rotha
                                                                                august
                       2. The making of the furniture and decoration
                       Book shelve                   Hong
                                                                                Mid august
                       Table in the middle
                                                                                Beginning
                       Black seats and table         Chantha
                                                                                august
                       Lamp                          Lea
                                                                                Beginning
                       Flowers                       Sitivan
                                                                                august
                       3. Developing the menu
                       Making the new menus          Lea                                         OK
                       Trying of the cocktails       Lea Sophat Sambo                            OK
                       Trying of the food            Lea Kimleang               Mid august
                       Installing fridge             Lea Benito                 Mid August

    Dossier de VAE – Léa Bloom                                                                          69
Missions /                                        Taches détaillées
   Activités                                  et Connaissances mises en œuvre


Mission 3 : La         Installing barbecue           Lea Chantha                  Mid august
Gestion
                       4. Atmosphere bar
    La conduite de                                                                Beginning
                       Painting                      Hong – Antoine – Rotha
           projets                                                                august
                       Music                         Lea                          October
                       Live music                    Sergio                       ASAP

                                 5. Le lancement et l’exploitation

                                    Nous avons atteint nos objectifs temps pour la mise en place du
                         projet.

                             a. Le lancement

                                  La phase de lancement a nécessité un suivi important,
                         accompagné de conception de procédures, de fiche techniques (voir
                         annexe 26 : Fiches techniques au bar) et de plans de formation en
                         cuisine et au bar.

                             b. L’exploitation

                                      Suivi des performances

                                Une fois le projet mis en place, il fallait suivre l’évolution des
                         performances et voir si les objectifs définis à la base avaient été atteints.

                                  J’ai réalisé un suivi quantitatif en observant l’évolution du chiffre
                         d’affaire et l’évolution qualitative en sondant les clients pour voir si la
                         prestation était satisfaisante

                                       Les réajustements

                                Apres quelques mois d’activité nous avons pu faire des
                         ajustements sur les horaires d’ouvertures, les produits proposés, la
                         communication etc.….




    Dossier de VAE – Léa Bloom                                                                            70
Missions /                                      Taches détaillées
Activités                                et Connaissances mises en œuvre


     Les savoirs

                                 Les Savoirs associés :

                                 •   Chiffrage/calcul de coût
                                 •   Techniques d'inventaire
                                 •   Règles de gestion de stocks
                                 •   Réglementation en Hygiène, Sécurité, Environnement
                                 •   Analyse statistique
                                 •   Gestion comptable et administrative
                                 •   Techniques de planification
                                 •   Gestion de projet




     Conclusion :

        Dans la fonction de directrice, le plus important c’est l'enthousiasme. Je devais être
polyvalente au vue du nombre d’employés et de la taille de l'établissement. Etant ma
première expérience à hautes responsabilités j’ai du apprendre par moi-même au fil de mon
expérience à La Noria. Je devais gérer et administrer l’établissement, le personnel, les
finances, le matériel, et l'accueil du public.

En tant que directrice d'hôtel il fallait développer les activités de l’établissement et en assurer
la promotion auprès des agences, des partenaires et des clients. J’ai voulu donner un style
particulier à La Noria, définir un cadre, une décoration qui était éthique, propre à la région
et qui répondait à la demande du public.

Mes tâches et responsabilités était donc nombreuses et diversifiées et répondant aux besoins
des équipes mais aussi à ceux des clients. En tant que directrice je visais surtout une
occupation maximale des lieux afin de rentabiliser l’établissement et de permettre aux
différents services de bénéficier d’une activité économique accrue.

Cette expérience a été très enrichissante pour moi car elle m’a donné la possibilité de mettre
à exécution mes idées, d’être créative, indépendante et responsable.


     Les principales qualités (savoir-être) mobilisées pour cet emploi :
                              (savoir-      mobilisées


         • La polyvalence :
        Surtout dans un petit établissement il faut savoir être polyvalent et s’intéresser à tout
les domaines d’activités d’un hôtel (le bâtiment, la gestion, la communication, la cuisine,
l’hygiène)
 Dossier de VAE – Léa Bloom                                                                           71
• La prise de décision :
          Pour gérer un établissement il faut être capable d’analyser les situations et de prendre
  des décisions rapides et régulières.

            • Le leadership :
           Etant à la tête de 42 employés j’ai du faire appel à des techniques d’animation, à la
  délégation, à l’organisation et à la motivation des équipes afin d’améliorer la qualité du
  service dans l’hôtel. Il faut être capable de motiver son équipe.

             • La communication :
            Etant la représentante de l’hôtel, j’ai dû développer la communication sur
  l’établissement    en développant des relations avec des partenaires ainsi que    la
  communication interne.

           • L’organisation :
          Afin de développer ou améliorer les services existants j’ai été amenée à gérer
  plusieurs projets. Ces projets ont nécessité de l’organisation, du suivi et de l’animation.

          • L’animation :
         Toujours dans l’optique d’améliorer la qualité de l’hôtel, j’ai mis en place beaucoup
  de formations nécessitant de bonnes connaissances des techniques d’animations.




       Bibliographie :


- Le marketing du tourisme (2007) – Isabelle Frochot et Patrick Legoherel – Edition Dunod

- Pratiquer la conduite de projet (2002) – Henri- Pierre Maders et Etienne Clet – Editions
d’Organisation

- Gestion des conflits (2004) – Pierre Pastor et Richard Bréard – Editions Liaison

- La gestion des ressources humaines (2009)– Chloé Guillot-Soulez – Edition Lextenso

- Gestion de l’entreprise (2002) – Nicole Bach et Jean Claude Oulé – Edition BPI




   Dossier de VAE – Léa Bloom                                                                        72
Années et
     durée                                   Intitulé exact de la fonction occupée
   d’exercice

                            LE GERSHWIN – Directrice des ventes et de
                                                       la réservation
                                                                 1. l’Etablissement :

                                                                  Hotel Le Gershwin
                                                                  7 east 27th street
                                                                  New York 10016

                                                                  Tel: (+1) 212 545 -8000
                                                                  Fax: (+1) 212 545 5546

                                                                  www.gershwinhotel.com
                                                                  info@gershwinhotel.com

                                                                a. Le concept

                                                              L’hôtel Le Gershwin est un hôtel
                                                     indépendant situé en plein cœur de
                                                     Manhattan. L’hôtel a été repris en 1990 par
                        un couple de propriétaires canadiens. C’est un lieu artistique qui a pour
                        but de promouvoir l’art sur New York. Chaque étage ainsi que certaines
                        chambres on été décorés par des artistes. Chaque année, nous recevions
                        des artistes en résidences qui montaient des projets et expositions dans
                        l’hôtel. La devanture de l’hôtel a, elle-même, été désignée par un artiste
La façade du Gerswhin   norvégien qui a créé d’énormes cornes lumineuses.

                                 Les chambres représentent réellement l’esprit New-yorkais,
                        bâtiment ancien (construit la même année que le Flat Iron), Le Gershwin
                        a été conçu avec un véritable esprit créatif et artistique. Nous offrons une
                        réelle expérience New-yorkaise aux clients.

                                b. L’établissement

                                    • Les chambres

                                    L’hôtel est composé de 150 chambres divisées en 5 types :
                                    L’essentiel - Le standard - La supérieure - Famille & amis et Suites
Une Chambre dortoir

                                    • Les dortoirs

                                La partie inférieure était composée de plusieurs types de
                        dortoirs ; les 2 places, les 4 places, les 6 places et les 10 places.


   Dossier de VAE – Léa Bloom                                                                              73
Années et
    durée                                   Intitulé exact de la fonction occupée
  d’exercice

                                   • Les services

                                   Les nombres de services internes étaient limités faute de place.
                                   Un Restaurant
                                   Des Espaces de conférences et réunions
   Une Chambre
    individuelle
                                   Un service de lingerie

                               c. La clientèle visée

                               La clientèle visée est nationale et internationale, plutôt jeune et
                       indépendante en recherche d’expériences uniques et artistiques. La
                       plupart des hôtels sur Manhattan visent une clientèle d’affaire ce qui
Espace de conférence   nous a permis de nous placer plus facilement sur ce marché.

                               d. Contexte touristique

                               New York est la destination la plus en vogue des Etats unis
                       depuis les 10 dernières années. Nous sommes donc dans un contexte
                       favorable pour le développement hôtelier.

                                   Quelques chiffres

                                   • Le nombre total de visiteurs est passé de 33 à 47 millions entre
                                     2000 et 2008, soit une hausse de totale de 34%.

                                   • 79% de ces 47 millions de visiteurs sont issus du marché
                                     domestique et seulement 21% du marché international.

                                   • En 2008, les nationalités les plus représentées sont:
                                                                                         :

                                                1. La grande Bretagne 1, 328,000
                                                2. Le canada 964,000
                                                3. L’Allemagne 590,000
                                                4. La France 561,000
                                                5. La Scandinavie (Suède, Danemark, Norvège, Finlande)
                                                457,000

                                   • Le nombre de chambres estimé en 2008 est de 76,000 avec un
                                     taux d’occupation moyen à 85.3% et un prix de vente moyen à
                                     $312.




  Dossier de VAE – Léa Bloom                                                                          74
Années et
  durée                                    Intitulé exact de la fonction occupée
d’exercice

                             2. Le Poste :

                             a. Intitulé
                                 Directrice des ventes et du marketing
                                 Manager résidente

                             b. Responsabilités

                             Mes fonctions au poste de responsable des ventes et du
                     marketing étaient les suivantes: la coordination de toutes les opérations
                     journalières en réservations, la supervision de l’équipe de réservations,
                     le développement des relations et outils de ventes et l'application des
                     techniques du yield management.

                             En tant que manager résident, j’habitais sur place et étais en
                     charge du bon fonctionnement des équipes de nuits et du week-end ainsi
                     que dans les cas d’urgence.


                             c. Organigramme

                              Le personnel de l’hôtel comptait 53 employés. Nous étions 5
                     chefs de département directement sous la coordination du directeur
                     général.




Dossier de VAE – Léa Bloom                                                                       75
Années et
  durée                                 Intitulé exact de la fonction occupée
d’exercice


                             d. Lettre de recommandation




Dossier de VAE – Léa Bloom                                                      76
Années et
  durée                                   Intitulé exact de la fonction occupée
d’exercice

                             e. Fiches de paie et certificat de travail




Dossier de VAE – Léa Bloom                                                        77
Années et
  durée                      Intitulé exact de la fonction occupée
d’exercice




Dossier de VAE – Léa Bloom                                           78
Années et
  durée                      Intitulé exact de la fonction occupée
d’exercice




Dossier de VAE – Léa Bloom                                           79
Missions /                                         Taches détaillées
  Activités                                   et Connaissances mises en œuvre


Mission 1 :                              Mission 1 : Gestion des réservations et des ventes
Gestion des
réservations et
des ventes          Activité 1 : Définir les tarifs

      Définir les               Les tarifs sont un facteur de plus en plus important dans le
           tarifs     processus de choix du touriste. La tarification dans l’hôtellerie permet de
                      mettre en adéquation l’offre et la demande et influence l’image de
                      l’établissement. Le Gershwin est un établissement de gamme moyenne
                      avec une forte image de marque.

                              Nous offrions une large gamme de prix allant du dortoir le moins
                      cher à 32usd/nuit aux suites à 360usd/nuit. Nous avions cependant une
                      politique de communication complètement séparée entre la partie
                      auberge et la partie hôtel. Cette gamme étendue nous a permis de
                      segmenter nos marchés et d’atteindre une clientèle large.

                                            des
                               1. L’analyse des facteurs

                                J’ai participé à la fixation des prix de l’établissement en début
                      d’année en partenariat avec le directeur général et la propriétaire de
                      l’établissement.

                              Les prix de bases sont généralement fixés à l’aide de trois facteurs
                      principaux :

                           a. Les coûts

                               L’analyse des coûts permet de définir un seuil minimum en
                      dessous duquel il ne faut pas descendre pour permettre une rentabilité.
                      Ce facteur est d’autant plus important sur des bâtiments neufs avec un
                      fort investissement.
                               Le Gershwin a été construit dans les années trente et a été un
                      hôtel depuis longtemps. Le retour sur investissement avait déjà été
                      atteint et seuls les coûts opérationnels étaient à prendre en compte.

                                     •    Les charges fixes : les coûts étant totalement indépendants
                                          de l’activité. Les loyers, les assurances etc.

                                     •    Les charges variables : en lien avec l’activité de l’hôtel,
                                          l’eau, électricité etc…

                            Je n’avais pas accès à ces données pour le Gershwin et ce prix
                      minimum était donc défini par la direction.
  Dossier de VAE – Léa Bloom                                                                            80
Missions /                                     Taches détaillées
  Activités                               et Connaissances mises en œuvre


Mission 1 :
Gestion des                b. La demande
réservations et
                               En général, on estime qu’il y a une élasticité de la demande par
des ventes            rapport au prix. Plus le prix est bas, plus la demande est grande mais il y
                      a des limites à cette théorie.
      Définir les              L’image de marque de l’hôtel peut être une limite, un prix trop
           tarifs     bas peut rendre le consommateur méfiant par rapport au service. Le
                      consommateur est plus souvent en recherche d’un bon rapport qualité /
                      prix.

                               Les clients potentiels du Gershwin pouvaient définir une valeur
                      qualitative approximative avant leur arrivée grâce à la communication
                      directe (le site internet, les publicités, les sites de reventes, articles) et la
                      communication indirecte (Trip Advisor, le bouche à oreille…). La notion
                      de valeur peut permettre d’afficher des prix moyens supérieurs sachant
                      que le Gershwin n’offrait pas uniquement une nuit d’hôtel impersonnelle
                      mais une occasion de faire une vraie expérience new yorkaise, de
                      rencontrer des artistes, des mannequins, et donc de vivre une aventure
                      unique et excitante.

                             Cette notion rend le produit désirable et le client accepte de
                      payer un prix supérieur pour être « dans le coup ».


                           c.   La concurrence

                               La concurrence directe influence généralement la fixation des prix
                      de l’établissement. Si nous offrons des tarifs supérieurs à tous les hôtels
                      alentours, notre clientèle risque de se fatiguer et de choisir d’autres
                      établissements, ou au contraire si nous sommes bien inférieurs, le client
                      va se méfier. Il faut donc analyser cette concurrence et trouver un juste
                      milieu (voir annexe 27 : Article The Independant).

                               La concurrence peut être géographique : le Gershwin étant en
                      plein centre de Manhattan, il y avait de nombreux établissements dans
                      les quartiers adjacents. Ces établissements étaient généralement tournés
                      vers une clientèle d’affaire car près du centre économique de la ville, ils
                      proposaient donc un service et des prix totalement différents des nôtres.
                      La clientèle affaire est prête à payer le prix fort en échange d’un niveau
                      de service supérieur.

                             Nous devons aussi prendre en compte la concurrence des services
                      proposés.


  Dossier de VAE – Léa Bloom                                                                              81
Missions /                                          Taches détaillées
  Activités                                    et Connaissances mises en œuvre


Mission 1 :                    L’hôtel à forte identité : Le Gershwin n’avait pas réellement de
Gestion des            concurrence sur Manhattan à part quelques hôtels indépendants comme
                       le Chealsea www.hotelchelsea.com (hôtel ayant toujours été au centre de
réservations et
                       la vie artistique de New York, des artistes tels que Janis Joplin et Bob
des ventes             Dylan ont séjourné dans cet établissement).

        Définir les            L’auberge de jeunesse : Le système d’auberge de jeunesse se
             tarifs    développait de plus en plus sur New York. Souvent loin du centre ville et
                       n’ayant aucun charme, nous ne les considérions pas comme de réels
                       concurrents bien que nous pratiquions des tarifs similaires.

                               La seule auberge qui pouvait présenter une concurrence était The
                       Pod Hotel www.thepodhotel.com . Cet établissement très bien rénové,
                       offrant un produit plus moderne, était un réel concurrent pour le
                       Gershwin car il offrait des prix similaires pour une qualité supérieure.
  Le Chelsea Hôtel
                                La veille concurrentielle : Afin de faire une veille de la
                       concurrence nous demandions au night audit d’appeler les hôtels en
                       concurrence pour demander le prix de vente moyen et le taux
                       d’occupation journalier. Ce rapport comportant une dizaine
                       d’établissements, nous permettait de nous situer par rapport aux autres et
                       d’ajuster nos prix si besoin.
   The Pod Hôtel

                                2. Les outils de La tarification

                                 Afin de définir la tarification initiale en début d’année (qui bien
                       entendu était modulable grâce aux techniques du yield : voir activité 2),
                       j’ai fait appel à plusieurs outils d’analyses qui m’ont permis d’établir les
                       tarifs les plus justes lors de la mise en vente annuelle.


                            a. La segmentation de la clientèle

                                La segmentation permet d'identifier différentes catégories de
                       clientèles en fonction de critères clairement établis. Cette segmentation
                       est une donnée clef pour adapter ses tarifs mais elle va aussi permettre
                       d’établir le comportement des clients en termes de :

                                    - antériorité de réservation : 2 mois avant ou la veille
                                    - mode de réservation
                                    - mode de paiement
                                    - comportement pendant le séjour : petit déjeuner à 6h30 pour
                                    un homme d'affaires, 9h30 pour une famille
                                    - exigences : le client affaires exigera un business center par

   Dossier de VAE – Léa Bloom                                                                          82
Missions /                                        Taches détaillées
  Activités                                  et Connaissances mises en œuvre


Mission 1 :                       exemple.
Gestion des
réservations et
                                  Nous avons établi notre segmentation comme suit :
des ventes

      Définir les
                                                        Agence
           tarifs                      Individuel                         National          International
                        Clients                         indépendants
                        Auberge                         Agence
                                       Groupe                             National          International
                                                        indépendants
                                                        Agence
                                       Individuel                         National          International
                        Clients                         indépendants
                        Hôtel                           Agence
                                       Groupe                             National          International
                                                        indépendants

                              La différenciation en termes de comportements et de sensibilité
                      aux prix était très marquée entre les clients auberge et hôtel.

                                             En recherche du prix le plus bas (élasticité importante).
                                             Réservations à la dernière minute.
                                             Réservations par internet ou agences.
                                             Population jeune avec un faible pouvoir d’achat.
                                             Une clientèle plutôt étrangère.
                        Clients
                        Auberge
                                             Il ne fallait pourtant pas négliger cette segmentation car
                                             le revenu par chambre était plus important qu’une
                                             chambre individuelle (Par exemple un dortoir de 10 lits
                                             nous rapportait en moyenne 320 USD / nuit)

                                             Moins d’élasticité au prix, accorde plus d’importance à la
                                             notion de valeurs.
                                             Plus de fidélité;
                                             Client plus âgé avec un pouvoir d’achat plus important;
                        Clients Hôtel
                                             Plus d’individuels et de réservations directes;
                                             Des séjours plus longs.
                                             Plus d’impacts sur la communication de l’hôtel (bouche à
                                             oreille, sites internet, forums).


                           b. Le calendrier annuel

                               Afin d’avoir une meilleure visibilité des tarifs à pratiquer tout au
                      long de l’année, je mettais en place un calendrier des événements et des
                      saisons afin d’adapter nos tarifs aux impacts des ces événements.

  Dossier de VAE – Léa Bloom                                                                                83
Missions /                                        Taches détaillées
  Activités                                  et Connaissances mises en œuvre


Mission 1 :                   L’établissement d’un calendrier est un outil indispensable à la
Gestion des           politique tarifaire et la maximisation du revenu.
réservations et
                                  Ce calendrier prenait en compte différents types de données :
des ventes
                               Les événements externes
      Définir les                  - Les événements sportifs : l’US open, le marathon de New York.
           tarifs                  - Les événements culturels: New York performing art festival.
                                   - Les fêtes : Noël, le nouvel an, Thanksgiving
                                   - Autres : Les périodes de soldes

                               Les événements internes

                              Les événements organisés par l’hôtel et qui nécessitaient une
                      réduction des ventes indirectes comme par exemple le Jazz festival, les
                      expositions etc.…


                           c. Les saisons

                              Nous avons établi un calendrier des saisons avec deux saisons
                      (haute et basse) en 4 périodes :

                                  Septembre – Mi- Janvier : saison très haute
                                  Mi-janvier – Fin février : Très basse
                                  Mars – Juin : Haute
                                  Juillet - Aout : basse

                               Lors de mon activité ces saisons étaient déjà en train de se
                      transformer, nous pouvions observer une augmentation de l’activité
                      touristique sur toute l’année. Les mois de Juillet et Aout, par exemple
                      affichaient un taux d’occupation plutôt bon.

                           d. L’historique des données

                              L’analyse de l’historique des données permet d’analyser le
                      comportement des réservations par segment et de définir des tarifs
                      adaptés aux jours de la semaine par exemple.

                               Au Gershwin nous pouvions, par exemple, observer une
                      augmentation des réservations individuelles en segment hôtel à partir du
                      jeudi soir. Ainsi, nous pouvions protéger les ventes directes avec un rack
                      rate plus élevé sur les fins de semaine.

                                  L’analyse des données se fait à partir d’un rapport appelé le daily

  Dossier de VAE – Léa Bloom                                                                            84
Missions /                                    Taches détaillées
  Activités                              et Connaissances mises en œuvre


Mission 1 :           actual (voir l’exemple ci-dessous).
Gestion des
réservations et
                                Mois de mars n                    1    2   3   4   5 6
des ventes                                                        J    V   S   D   L Ma
                                Evènements                                            1
      Définir les
                                Auberge
           tarifs
                                                            Prix
                                                            moy
                                Individuels                  en
                                Plein tarif                 43   71    6   1   1 56 66
                                Corporate                   36 36      3   0   1 12 31
                                Barter                      34    0    0   0   0 0 30
                                Groupes
                                Contrats direct             37     0   4   2   2 0       0
                                Agences                     88     5   0   0   0 21     14
                                Barter
                                                                                        18
                                Total "Auberge"                   112 13   3   4 89      4
                                Taux d'occupation
                                "Auberge"                         56 7 2 2 45 92
                                Prix moyen "Auberge"              95 88 79 82 95 88
                                Hotel
                                Hotel
                                Individuels
                                Plein tarif                 154   12 19 42 8       7    12
                                Corporate                   123    0 21 33 17      0     0
                                Barter                      132    8 12 14 4       0     4
                                Groupes
                                Contrats direct             143    0 46 48 0       0    0
                                Agences                     121    0 0 48 0        0    0
                                Barter                      134    0 0 12 0        0    0
                                                                        19
                                Total "Hotel"                     20 98 7 29        7   16
                                Taux d'occupation
                                "Hotel"                           10 49 99 15       4    8
                                Prix moyen "Hotel"                87 74 76 81      98   91
                                                                  13     20             20
                                Total chambres louées              2 111 0 33      96    0
                                                                         10             10
                                Taux d'occupation                 66 56 0 17       48    0
                                Prix moyen                        94 76 76 81      95   89
                                Refus                              0 0 0 0          0    5
                                Annulations / No show              2   1 4          3    7
                                Délogés                            0 0 0 0          0    1

  Dossier de VAE – Léa Bloom                                                                 85
Missions /                                      Taches détaillées
  Activités                                et Connaissances mises en œuvre


Mission 1 :
Gestion des
                           e. Les tarifs
réservations et
des ventes
                               Nous avions différents tarifs dans l’hôtel :
      Définir les
           tarifs            Le rack rate : Ce prix était défini en début d’année mais était
                      extrêmement variable et modifiable durant l’année.

                               Les tarifs agence : Je travaillais avec une trentaine d’agences dont
                      Kuoni travel, Expédia, booking.com. J’étais en charge de la négociation
                      des contrats agences en début d’année. Les prix agences étaient
                      complètement fixes à l’intérieur des allotements mais pouvaient varier
                      une fois les allotements atteints ou dépassés.

                              Les tarifs corporate : Les tarifs entreprises sont négociés à l’avance
                      avec un tarif préférentiel. Nous ne donnions aucun allottement à ces
                      entreprises mais elles bénéficiaient d’un tarif réduit. Je travaillais avec 15
                      compagnies surtout dans le domaine des arts :

                               Salles de concerts: Smoke jazz club, Rodeo Bar
                               Salles de théâtre : Blue man group
                               Galléries d’Expositions : Dans le quartier de Chealsea
                               Agences de mannequins : Elite…

                               J’ai essayé de développer ces contrats avec de nombreuses
                      galeries d’art et des musées afin de favoriser le partenariat et de
                      communiquer sur l’hôtel dans le milieu artistique. J’ai donc contacté de
                      nombreux établissements afin de les rencontrer, de présenter l’hôtel et
                      d’organiser des visites.

                              Les tarifs groupes : Les tarifs groupes étaient ponctuels pour les
                      réservations de + de 15 chambres. A la demande, je mettais en place des
                      contrats groupe avec des tarifs réduits.

                              Les tarifs mariages : Nous mettions en place des contrats avec des
                      futurs mariés, ces derniers s’engageaient à communiquer notre hôtel à la
                      liste des invités. Nous demandions un minimum de 10 réservations
                      « mariage » avec une date limite en échange d’un tarif réduit.

                               Les tarifs barter : Un barter agreement est un contrat d’échange.
                      Nous étions partenaires de l’événement et en échange nous offrions un
                      tarif réduit pour tous les participants. Ces contrats étaient de nature
                      ponctuelle.

  Dossier de VAE – Léa Bloom                                                                           86
Missions /                                       Taches détaillées
  Activités                                 et Connaissances mises en œuvre


Mission 1 :
Gestion des
réservations et     Activité 2 : Gérer les ventes
des ventes
                               1. Les différents modes de réservation
                                                          ré
        Gérer les
          ventes
                               Lors de mon activité au Gershwin, j’avais la charge de gérer les
                      différents modes de réservations.

                                  Ces modes se regroupent comme suit :

                                Réservations hôtel : Les réservations s'effectuaient en direct à
                      l'hôtel, par téléphone, par courrier électronique ou par fax, ou bien
                      lorsque le client se présentait directement sur place. Il n'y avait aucune
                      commission sur ce type de réservation. Elles ne représentaient pas la
                      majorité des réservations reçues.

                                Bouton de réservation : Ce sont les réservations provenant du
                      site de l'hôtel, lorsqu'il est équipé d'un outil qui confirme on-line (en
                      temps réel) à l’internaute. J’avais la charge de gérer les disponibilités et
                      les tarifs sur notre site. Ces ventes n’étaient pas commissionnées non plus
                      et représentaient une large part des réservations directes car notre site
                      était très visible sur les moteurs de recherche.
                                Il peut souvent être difficile de trouver le site direct de l’hôtel sur
                      un moteur de recherche. Par exemple en tapant « Gershwin Hotel NYC »
                      nous pouvons tomber sur le site direct en première page alors que
                      souvent les revendeurs apparaissent avant car ils ont de plus gros moyens
                      pour accentuer leur visibilité. Nous faisions appel à un webmaster qui
                      gérait cette partie pour nous.

                            Réservations contrats : Nous recevions des réservations par les
                      compagnies partenaires (corporate), par les contrats mariage et le barter.

                               Les distributeurs : Ce sont les IDS (Internet Distribution System).
                      Ces distributeurs étaient des partenaires pour l'hôtel, puisqu’ils
                      favorisaient la vente de nos chambres sur le web. Nous travaillions avec
                      plusieurs sites de revente tels que booking.com, Expedia, Hostel booker
                      etc.

                              Nous avions deux méthodes de tarification, soit ils achetaient les
                      chambres en prix net (exemple d'Expedia qui applique ensuite son 'mark-
                      up' à la revente), soit ils recevaient sur le prix de vente fixé par l'hôtel
                      une commission au pourcentage.


  Dossier de VAE – Léa Bloom                                                                              87
Missions /                                       Taches détaillées
  Activités                                 et Connaissances mises en œuvre


Mission 1 :                   Les GDS : Nous recevions aussi des réservations du GDS Amadeus
Gestion des           (qui permettait la visibilité de l'hôtel auprès de toutes les agences de
                      voyages connectées dans le monde - environ 450 000 agents de
réservations et
                      voyages). Nous devions payer une commission agent de voyages de 8 à
des ventes            10 %, plus un forfait d'environ 5 Euros par réservation au GDS.

        Gérer les
          ventes               2. Gestion des ventes Agences

                              Nous travaillions avec une quinzaine d’agences de voyages.
                      Avant les événements du 11 septembre, l’hôtel travaillait avec un nombre
                      beaucoup plus important d’agences mais durant cette année difficile,
                      beaucoup de ces dernières n’envoyaient plus de clients. Nous n’avons
                      gardé que celles qui nous avaient soutenus pendant cette période.

                                Comparativement à d’autres hôtels, nous ne travaillions qu’avec
                      très peu d’agences mais ceci était un choix judicieux au vu de notre
                      capacité plutôt réduite (150 chambres) et du fait que les nouvelles
                      méthodes de reventes par internet nous permettaient une plus grande
                      flexibilité.

                       Il est important de comprendre que l'agence est l'intermédiaire entre le
                       client final et l’hôtel. Elle apporte une réelle valeur ajoutée par :
                            - sa connaissance du produit.
                            - son marketing.
                            - ses conseils.
                            - ses méthodes de travail.
                            - les garanties au client.
                            - les garanties à l'hôtelier.

                           a. Développement du relationnel agence

                            Dans la mesure où l'agence est face au client, il est important d’établir
                       une bonne communication avec l’agence. Mon rôle était de développer
                       des rapports commerciaux avec les responsables d’agences grâce à
                       différentes actions :

                        • Faire de visites annuelles de sondage de satisfaction.
                        • Organiser des formations « connaissance du produit » auprès des agents
                          pour qu’ils puissent mieux vendre le produit.
                        • Confirmer rapidement les réservations.
                        • Etre flexible (par exemple accepter des réservations hors allottements
                          lorsque cela était possible).
                        • Tenir les responsables au courant des travaux, aménagements.
                          fermeture...

  Dossier de VAE – Léa Bloom                                                                            88
Missions /                                     Taches détaillées
  Activités                               et Connaissances mises en œuvre


Mission 1 :
Gestion des                b. Négociation et signature des contrats
réservations et
                       En prévision de l’année suivante je devais réviser et négocier les contrats
des ventes             agences.

        Gérer les      Ces contrats comportaient plusieurs points importants à négocier :
          ventes
                        • Le type de chambres : Le type de chambres vendues variant selon
                          l’agence. Certaines agences vendaient des lits auberge et des
                          chambres hôtel. Nous mettions à disposition les dortoirs 6 et 10 lits
                          ainsi que les chambres standards et supérieures en vente. Nous
                          indiquions aussi le nombre de Twin ou Double sur le contrat.

                        • Les tarifs : Les tarifs étaient définis comme expliqué dans le chapitre 1.

                        • Les commissions : Les commissions agences étaient généralement de
                          10%.

                        • Les allotements : C’est le nombre de chambres fixes, allouées par jour
                          aux agences. Elles peuvent donc réserver un certain nombre de
                          chambres au prix contrat et nous sommes dans l’obligation de les
                          accepter. Le nombre de chambres variait en fonction de l’agence et
                          de la saison.

                        • Les dates de rétrocession : Dans le secteur hôtelier, l'allotement est
                          souvent associé à une date de rétrocession. Celle-ci précise jusqu'à
                          quand les chambres allotées sont réservées pour l’agence. Une fois la
                          date de rétrocession passée, l’hôtel récupère la capacité de vendre ses
                          chambres par d'autres moyens s'il le souhaite. Les réservations étant
                          de plus en plus tardives, la date de rétrocession est de plus en plus un
                          élément de négociation lors de la signature des contrats. Nous avions
                          des dates différentes en saison haute (15 jours) et basse (7 jours).

                        • Les black dates : Les « black dates » étaient les dates de l’année ou
                          nous d’accordions pas d’allottements aux agences car la demande en
                          réservations directes était trop forte.

                        • Les conditions d’annulation : Les délais minimums auxquels les
                          agences devaient nous communiquer les annulations pour ne pas
                          avoir de retenues.

                        • Les modalités de paiement : Les délais auxquels les agences devaient
                          nous payer le séjour client (A partir de l’envoi de la facture par
                          l’hôtel).

  Dossier de VAE – Léa Bloom                                                                           89
Missions /                                    Taches détaillées
  Activités                              et Connaissances mises en œuvre


Mission 1 :
Gestion des             • Les modalités de réservation : Les critères qui devaient apparaître sur
                          les réservations pour être accepté par l’hôtel.
réservations
réservations et
des ventes                 c. Gestion des réservations
        Gérer les       • Le contrôle des allotements
          ventes
                               Lors de la réception des réservations nous devions comptabiliser
                      et déduire le nombre de réservations du nombre d’allotements. J’ai mis
                      en place un système de comptage sur Excel permettant de faire un réel
                      suivi. Nous nous étions rendu compte que certaines agences dépassaient
                      le nombre de réservations sans le notifier par la mention « outside
                      allotement ». Si le cas se présentait, nous pouvions refuser ou accepter
                      cette réservation après analyse du niveau d’occupation prévisionnelle de
                      l’hôtel.

                              Au contraire, il est généralement impossible pour l’hôtel de
                      revenir sur cet allotement. Quelques agences nous permettaient de
                      fermer des dates mais ceci n’était pas systématique.

                               Certaines agences envoyaient les réservations individuellement
                      dès la prise de réservation alors que d'autres attendaient la fin du délai de
                      rétrocession pour transmettre toutes les réservations : dans le 2ème cas,
                      nous devions faire très attention de ne pas enregistrer trop de
                      réservations directes afin de ne pas se trouver en surbooking.


                        • Contrôle des dates de rétrocession

                              Je demandais aussi aux agents de faire attention aux dates de
                      rétrocession lors de l’enregistrement des réservations car les agences
                      reçoivent de plus en plus de réservations de dernière minute et essaient
                      de répondre aux exigences quand même. Si la réservation était en dehors
                      des dates, nous n’étions pas dans l’obligation de l’accepter. Je faisais donc
                      une analyse de l’occupation avant décision.

                        • Le contrôle des prix, des services inclus et des mentions spéciales

                               Lors de l’enregistrement des réservations nous devions faire une
                      vérification des prix entrés dans le système par rapport aux prix indiqués
                      sur la réservation. Il fallait aussi mentionner les services inclus et non
                      inclus sur le voucher et les mentions spéciales telles que les lits enfants,
                      etc.


  Dossier de VAE – Léa Bloom                                                                          90
Missions /                                        Taches détaillées
  Activités                                  et Connaissances mises en œuvre


Mission 1 :
Gestion des                    En conclusion, comme dans toute relation B to B, les rapports
                      humains sont très importants. Un bon relationnel avec les agences nous a
réservations et
                      évité trop de rigidité en cas d'erreur ou de surbooking. L’échange de
des ventes            services nous permettait de demander à une agence de ne pas utiliser son
                      quota de réservations en cas de surbooking et dans le cas contraire nous
        Gérer les     pouvions accepter un nombre supérieur de réservation.
          ventes
                              Ayant investi beaucoup d’efforts dans le relationnel, nous avons
                      vraiment atteint un bon niveau de flexibilité malgré cette méthode à la
                      base assez rigide.


                               3. Gestion des ventes distributeurs internet
                                                     distributeurs

                               La vente par internet est aujourd’hui un outil incontournable de
                      la vente pour les hôteliers. Nous travaillions avec 6 sites internet de
                      revente. Chaque canal de vente nécessitait une gestion quotidienne et
                      consistait.

                           a. Choisir les partenaires

                             Nous avions beaucoup d’offres d’association avec des sites mais
                      nous ne voulions pas augmenter le nombre et nous posions un certain
                      nombre de questions avant de signer un contrat :

                                 - Quel droit d'entrée ?
                                 - Quelle assistance utilisateur ?
                                 - Quel mode de facturation : coût par résa, pourcentage, forfait
                                   mensuel... et quel mode de paiement ?
                                 - Quelle durée de contrat ?
                                 - Quelle liberté de changement ?
                                 - Quelles possibilités de paramétrage : combien de tarifs, Combien
                                   de types de chambres, combien d'options, combien de
                                   conditions de paiement, combien de conditions d'annulation ?
                                 - Peut-on avoir un accès protégé (login & mot de passe) ?
                                 - Quelles données client sont collectées ?
                                 - Combien de langues sont accessibles ?
                                 - Peut-on intégrer la charte graphique du site de l'hôtel ?

                              Ces questions sont importantes car la vente par internet est un
                      outil important du yield management et doit être efficace.

                           b. Négociation et signature de contrats


  Dossier de VAE – Léa Bloom                                                                          91
Missions /                                      Taches détaillées
  Activités                                et Connaissances mises en œuvre


Mission 1 :                   Les tarifs : Les revendeurs n’imposaient pas de tarifs minimums
Gestion des           contractuels. Les tarifs revendeurs étaient basés sur les tarifs rack rate en
                      sachant qu’ils étaient ensuite fluctuants au jour le jour.
réservations et
des ventes                    Seule la clause de parité tarifaire pouvait nous contraindre à
                      appliquer une parité entre les différents distributeurs afin de ne pas
        Gérer les     favoriser tel ou tel canal. Cela empêche aussi de pratiquer des tarifs plus
          ventes      bas sur le site de l’hôtel. Cette clause était une limite à la pratique du
                      yield mais était une garantie de concurrence loyale pour les revendeurs.

                               Les commissions : Le mode de rétribution des revendeurs est varié.

                                   - Soit le revendeur vend au prix rack rate et récupère une
                                    commission de 5% sur chaque vente que l’hôtel reverse
                                    ensuite.

                                  - Soit le revendeur vend au prix rack rate mais récupère le
                                    montant de la chambre tout de suite et reverse le montant
                                    moins la commission à l’hôtel.

                                  - Soit le revendeur (comme expedia) obtient un tarif
                                   contractuel et revend avec une marge directement au client.
                                   Le revendeur reverse le prix de la chambre en fin de mois.

                              Les alottements : En général les revendeurs n’imposaient pas de
                                   alottements
                      disponibilité minimum, seul Expedia avait un contrat similaire au contrat
                      agence classique. Le fait de ne pas avoir d’allotement me permettait de
                      fermer certains canaux de distribution.

                              Les dates de rétrocessions : Il n’y avait pas de dates de
                                               rétrocessions
                      rétrocession dans les contrats revendeurs puisque la plupart ne
                      bénéficiaient pas d’allotements. Je pouvais arrêter ou ouvrir les stocks de
                      chambres en ligne à tout moment. Il faut faire un suivi très précis du
                      nombre de chambres en vente sur les différents canaux pour ne pas
                      oublier de les fermer et ainsi éviter le surbooking.

                              Les autres clauses du contrat concernant le type de chambres, les
                      modalités de règlement et de réservation étaient similaires aux contrats
                      agences classiques.

                           c. La gestion des réservations

                              La mise en ligne des chambres : Une fois le contrat signé, je
                                                       chambres
                      devais mettre en ligne toutes les informations nécessaires à la vente. Cette
                      mise en vente se faisait directement sur le site revendeur. Je devais rentrer

  Dossier de VAE – Léa Bloom                                                                          92
Missions /                                          Taches détaillées
  Activités                                    et Connaissances mises en œuvre


Mission 1 :           les chambres disponibles, les tarifs, la description de l’établissement, des
Gestion des           chambres, les photos etc…
                              Ce travail était en général assez long et précis car il pouvait
réservations et
                      influencer toutes les ventes futures.
des ventes
                               La réception des réservations : Dès qu’une réservation était
                                            des
        Le yield      effectuée par l’intermédiaire du distributeur, le distributeur informait
    management        l’hôtel de manière quasi-instantanée soit par email, soit par fax. Toute
                      modification ou annulation était aussi transmise de manière instantanée à
                      l’hôtel.

                             Les distributeurs qui ne collectaient pas l’intégralité du séjour en
                      ligne nous demandaient de vérifier nous même les informations
                      concernant les cartes de crédits.




                    Activité 3 : Yield management

                                En tant que responsable des ventes au Gershwin, une de mes
                      tâches les plus importantes a été de gérer la politique tarifaire de
                      l’établissement en appliquant les principes du yield management.


                               1. Définition

                              Le Yield Management vise l’amélioration du taux d’occupation et
                      du prix de vente unitaire moyen en vue d’optimiser le profit global d’une
                      entreprise.

                              D’une manière générale, le Yield Management n’est pas
                      applicable à tous les secteurs de distribution, ni à toutes les formes de
                      vente. Pour appliquer le yield mangement, il faut que les caractéristiques
                      suivantes soient regroupées :


                           a. Coût fixe élevé

                               Avoir des coûts fixes élevés permet de définir plus facilement le
                      prix minimum en dessous duquel il ne faut pas tomber en pratiquant le
                      yield management. Par exemple, dans l’hôtellerie les coûts variables liés à
                      l’occupation d’une chambre (nettoyage) représentent une part minime
                      par rapport aux coûts fixes (l’amortissement de la construction ou bien le
                      coût lié au personnel).


  Dossier de VAE – Léa Bloom                                                                         93
Missions /                                         Taches détaillées
  Activités                                   et Connaissances mises en œuvre


Mission 1 :                b. Caractère périssable
Gestion des
                              Par exemple une chambre inoccupée n’a plus aucune valeur une
réservations et
                      fois la nuit passée. On peut donc penser que de ne pas vendre une
des ventes            chambre entraînera une perte de revenus.

        Le yield           c. Demande prévisible
    management
                               L’application du Yield Management se base sur un système de
                      prévision qui repose sur une base de données historique par segment de
                      clientèle. Ceci permet d’analyser les comportements par segments et agir
                      en conséquence sur les prix.

                           d. Système de réservation

                               Il faut que les ventes se fassent à l’avance au moyen des systèmes
                      de réservations pour avoir une vision à l’avance de la demande (celle-ci
                      est parfois inférieure ou supérieure à la capacité offerte).

                           e. Plusieurs réseaux de distribution

                               Avoir plusieurs réseaux de distribution permettra d’atteindre
                      différents secteurs de marché et donc de jouer sur les prix par type de
                      consommateurs.

                           f. Distribution électronique

                              Internet permet une variabilité en temps réel qui est nécessaire au
                      yield management.


                               2. La gestion des réseaux de distribution

                                Lors de mon activité au Gershwin je gérais quotidiennement 8
                      sites internet en comptant le site de l’hôtel, les distributeurs internet et le
                      GDS.

                           a. La visibilité

                              Afin de gérer les tarifs, il était nécessaire de pouvoir analyser ses
                      prévisions :

                                  - en terme de remplissage ;
                                  - en terme de prix moyen ;
                                  - en terme de segmentation ;

  Dossier de VAE – Léa Bloom                                                                            94
Missions /                                    Taches détaillées
  Activités                              et Connaissances mises en œuvre


Mission
Mission 1 :                    - en comparaison aux exercices précédents.
Gestion des
                                La connaissance de ces paramètres me permettait de prendre des
réservations et
                      mesures sans attendre le dernier moment : par exemple, si je me rendais
des ventes            compte qu'une semaine ne se remplissait pas comme d'habitude, alors
                      j’agissais sur les prix et les disponibilités. A contrario, si une semaine se
        Le yield      remplissait "trop" vite alors je fermais les canaux les plus coûteux.
    management
                        • La visibilité en début d’année

                               Après réception des contrats signés, je faisais un premier tour
                      d’horizon sur l’année afin d’assigner les disponibilités et les tarifs sur
                      chaque site internet.
                               Il faut faire très attention de ne pas mettre à disposition plus de
                      chambres que celles dont on dispose. Ayant beaucoup de sites à gérer,
                      plus des allotements pour les agences, cet exercice nécessitait beaucoup
                      d’attention.

                        • La visibilité à 3 mois

                              Une fois par semaine, je faisais le tour de mes réservations à 3
                      mois par segment. Je faisais ce travail à l’aide des statistiques disponibles
                      de notre outil informatique. Ainsi je révisais les disponibilités et les prix
                      sur chaque canal de distribution.

                        • La visibilité à une semaine

                              Tous les jours, je faisais un constat de mes réservations pour la ou
                      les deux semaines à venir, nous pouvons déjà considérer cela comme de
                      la prévision dernière minute. Suivant les réservations déjà dans le
                      système, il fallait booster ou bloquer les ventes.

                               Pour ce faire, j’utilisais différemment les canaux. Par exemple,
                      sachant que certains sites marchaient mieux pour la dernière minute et
                      jouais principalement avec ceux là pour être mieux classé et plus visible
                      sur ces sites (hostel booker, expedia).

                               Modalités de classement & hôtel privilégié/favori.
                               De plus en plus de distributeurs proposaient aux hôteliers de
                      participer à un programme qui leur permettait d‘être proposés en priorité
                      aux internautes.
                      Les méthodes de classement des hôtels pouvaient parfois être difficiles à
                      cerner.
                               - Des notations clients élevées.
                               - Un respect strict de la parité.

  Dossier de VAE – Léa Bloom                                                                          95
Missions /                                     Taches détaillées
  Activités                               et Connaissances mises en œuvre


Mission 1 :                    - Le paiement régulier des commissions.
Gestion des                    - L’absence de plainte de client et de délogement.
réservations et
                               Il fallait faire très attention de bien respecter les règles de la mise
des ventes            en ligne car cela pouvait vraiment servir en cas de demandes spéciales.
                      Par exemple, il m’est arrivé de demander à un responsable régional de
        Le yield      nous mettre en première position pour booster les ventes ou au contraire
    management        de les prévenir d’une fermeture totale longtemps à l’avance pour ne pas
                      les « fâcher ». Se fâcher avec son responsable de compte peut être très
                      pénalisant.

                        • La visibilité journalière

                              Tous les jours, je devais mettre à jour les sites, par exemple, en
                      recevant une réservation de groupe ; il fallait tout de suite réduire les
                      ventes car la disponibilité de l’hôtel baissait rapidement.

                           b. la concurrence

                               La connaissance de son produit est une bonne chose. Par contre
                      la connaissance de la concurrence est encore plus importante : si tous les
                      concurrents sont affichés à 80usd quand mon hôtel est à 120usd, je ne
                      vais pas vendre grand chose.
                               Il fallait donc surveiller les tarifs pratiqués par la concurrence afin
                      d’être compétitif. Cela se faisait directement sur les sites internet qui
                      offraient souvent la possibilité d’obtenir des statistiques sur les hôtels
                      concurrents.
                               Les canaux étant nombreux, il était difficile d’obtenir des
                      données de manière simultanée.

                           c. La gestion quotidienne

                       Pour gérer les tarifs et disponibilités de manière quotidienne, chaque
                       distributeur mettait à disposition un extranet sur lequel je pouvais :

                        - Paramétrer ou modifier mes types de chambres.
                        - Paramétrer ou modifier mes tarifs.
                        - Ajouter ou modifier mes textes et photos
                        - Mettre à jour mes prix.
                        - Mettre à jour mes disponibilités.
                        - Vérifier les réservations.
                        - Collecter les informations de carte de crédit quand elles n’avaient pas
                      déjà été transmises à l’hôtel.



  Dossier de VAE – Léa Bloom                                                                             96
Missions /                                       Taches détaillées
  Activités                                 et Connaissances mises en œuvre


Mission 1 :                    3. La gestion de l’overbooking
                                     ge
Gestion des
réservations et          L’overbooking est une pratique commune du yield management. Afin
                         d’obtenir un taux de remplissage optimisé je pratiquais la
des
des ventes
                         surréservation.
        Le yield
                           a. Les outils de contrôle
    management
                             Afin de bien gérer la surréservation il faut vraiment analyser les
                      données statistiques passées en terme :

                               - D’annulations : quel est le taux d’annulation ? Quels sont les
                      délais d’annulation ? Par exemple sachant que les années précédentes le
                      taux d’annulation était de 10% à un mois, on peut se permettre un
                      overbooking de 5% (il faut aussi tenir compte des agences qui n’ont pas
                      atteint leur date de rétrocession) puis fermer les ventes.

                             - De no shows : Il faut aussi connaître son taux de no show (les
                      personnes qui ne viennent pas sans annuler la réservation).


                           b. Gérer l’overbooking


                               Les situations d’overbooking sont toujours délicates et difficiles à
                      gérer. En cas d’overbooking excessif le jour même, je devais mener les
                      actions suivantes :

                        • Vérifier toutes les arrivées du jour et éliminer les doublons possibles.
                        • Vérifier toutes les réservations des sites et agences papier pour faire
                          un contrôle absolu des arrivées.
                        • Appeler les clients ou agences pour confirmer les bookings
                          « douteux ».
                        • Appeler les hôtels alentours et connaitre leurs disponibilités
                          restantes.
                        • Réserver des chambres si besoin (à confirmer avant 6 heures du
                          soir).
                        • Essayer de lister les clients que l’on veut déplacer (nous ne
                          choisissions que des clients indépendants, qui n’avaient réservé
                          qu’une chambre pour une nuit et qui avaient les tarifs les plus bas).
                        • Suivre les arrivées toute la journée pour voir quels sont les clients qui
                          tardent le plus à venir.
                        • Laisser des directives à la réception pour gérer l’overbooking et
                          déplacer les clients.


  Dossier de VAE – Léa Bloom                                                                          97
Missions /                                        Taches détaillées
  Activités                                  et Connaissances mises en œuvre


Mission 1 :                   En conclusion, nous pouvons dire qu’un délogement réussi est un
Gestion des           délogement qui se fait "proprement" : du personnel formé, chambre
                      équivalente ou supérieure réservée dans un hôtel équivalent ou de
réservations et
                      catégorie supérieure, un mot d’excuse sincère, le paiement du taxi entre
des ventes            les deux hôtels, un dédommagement simple : une bouteille de vin, une
                      remise sur un prochain séjour…
        Le yield
    management
                           c. Les désavantages de l’overbooking

                               Les situations d’overbooking sont néfastes pour l’hôtel pour les
                      raisons suivantes :

                                  • Elles donnent une mauvaise image de l’établissement.

                                  • Elles génèrent une colère chez le client. Etant un établissement
                                    très particulier, les clients étaient d’autant plus déçus que nous
                                    ne pouvions trouver un hôtel similaire sur New York. Par
                                    exemple un hôtel d’affaire faisant partie d’une chaîne aura
                                    plus de facilité à trouver un hôtel de même standing et ainsi
                                    déclenchera une frustration moins grande chez ses clients.

                                  • En général, elles coûtent cher car il faut trouver un hôtel au
                                    même tarif (ce qui est très difficile en dernière minute), dans
                                    la même zone géographique et qui a des disponibilités (ceci n
                                    est pas toujours facile car en général les dates en
                                    l’overbooking sont des périodes de forte activité pour tous
                                    les établissements).

                                  • Elles provoquent une perte de la clientèle sur plusieurs jours,
                                    par exemple, si nous avons une seule nuit en overbooking,
                                    certains clients doivent être déplacés et ne reviendront en
                                    général pas pour le reste du séjour. Nous pouvions donc nous
                                    retrouver avec plusieurs chambres à vendre pour le
                                    lendemain et pas toujours la possibilité de les remplir.

                                  • Ce sont des moments qui mettent énormément de pression
                                    sur les employés du front. Des situations d’overbooking
                                    permanentes peuvent déprimer une équipe car elle subit la
                                    colère du client.


                               4. Les avantages et les inconvénients du yield



  Dossier de VAE – Léa Bloom                                                                             98
Missions /                                    Taches détaillées
  Activités                              et Connaissances mises en œuvre


Mission 1 :                a. Les avantages
Gestion des
réservations et                Le yield management permettait un gain de 6 à 10 % du revenu.
des ventes
                               La vente sur les sites internet permettait une augmentation des
                      sources de réservations et donc une moins grande dépendance aux
        Le yield
                      distributeurs. (Voir annexe 28 : Articles de l’hôtellerie)
    management
                               Cette forme de gestion des ventes correspond plus à la demande
                      des clients qui réservent de plus en plus sur le web (Voir article
                      l’hôtellerie).

                             La mise à jour quotidienne des tarifs permettait vraiment
                      d’optimiser les revenus.


                           b. Les points faibles du yield management

                               La mise à jour des sites devient vite contraignante car il faut
                      modifier toutes les disponibilités canal par canal pouvant entraîner des
                      erreurs. Si l’on ne met pas à jour son exposition au fur et à mesure des
                      réservations reçues ont peut vite se retrouver en situation d’overbooking
                      non maîtrisé.

                               Il pouvait être difficile de mettre en ligne des prix qui
                      correspondaient au marché, avec le risque de ne pas enregistrer des
                      réservations en cas de surprix ou de perdre du chiffre d'affaires en cas de
                      bas prix.

                              Laisser ouverts plusieurs plannings, même en cas de faible
                      disponibilité, et donc prendre un risque énorme au cas où les différents
                      canaux apporteraient simultanément des clients.

                             La gestion des sites est très consommatrice de temps et pouvait
                      empiéter sur mes autres responsabilités quotidiennes.

                              Le changement quotidien des prix pouvait déconcerter les clients
                      et rendre l’image de l’hôtel moins stable.

                               En général, les sites permettaient aux clients de laisser des
                      commentaires sur l’hôtel mais nous n’avions aucun droit de réponse ce
                      qui est un désavantage pour nous.

                                La clause de parité des prix et des disponibilités pouvait être
                      difficile à respecter à certains moments et me valait des rappels des

  Dossier de VAE – Léa Bloom                                                                        99
Missions /                                          Taches détaillées
  Activités                                    et Connaissances mises en œuvre


Mission 1 :             distributeurs.
Gestion des
réservations et
                                      Les savoirs associés :
des ventes
                                      •   L’analyse statistique
       Les Savoirs                    •   La veille concurrentielle
                                      •   Les techniques du yield management
                                      •   L’utilisation des techniques du web
                                      •   L’utilisation de l’extranet
                                      •   Les langues étrangères Anglais, Français, Espagnol et
                                          Allemand
                                      •   Le sens de l’organisation
                                      •   Les techniques relationnelles et commerciales
                                      •   Les techniques de suivi des ventes



Mission 2 :                                        Mission 2 : Marketing et Communication
Marketing et
Communication
                     Activité 1 : Gestion de la communication Evénementielle
     Gestion de la
   communication
   événementielle              1. Définition


                                 La communication événementielle est une pratique récente. Elle
                        consiste à s’associer médiatiquement à un événement afin de susciter
                        l’intérêt ou la sympathie du public. Les événements regroupent des
                        publics internes, externes ou mixtes.

                                  Une de mes missions à été de développer et de gérer cette
                        communication. Etant un hôtel artistique, le Gershwin se devait d’être
                        actif, d’organiser et de participer à de nombreux événements.
                                  Nous participions a deux types d’évènements :


                               a. Les événements internes

                                Communication par le biais d’évènements spécialement conçus
                        par l’hôtel comme par exemple :


                               Les Expositions :
  Dossier de VAE – Léa Bloom                                                                      100
Missions /                                         Taches détaillées
  Activités                                   et Connaissances mises en œuvre


Mission 2 :
Marketing et                     J’organisais chaque mois des expositions au sein de l’hôtel avec
Communication           un vernissage. Ce dernier était ouvert aux clients de l’hôtel mais aussi aux
                        personnes de l’extérieur. Nous les communiquions dans les journaux
                        comme le time out, New York Magazine, les sites internet, les mailings et
     Gestion de la      les affiches dans l’établissement. Ces vernissage était l’occasion de
   communication        rencontrer les clients, de se faire connaitre en tant que lieu artistique et
   événementielle       culturel. Souvent les artistes étaient des artistes en résidence qui
                        exposaient le travail fait pendant leur séjour à New York. C’était aussi
                        l’occasion de faire connaitre notre programme de parrainage artistique
                        (Voir Annexe 29 : Programme Artistes en résidence).

                               Les soirées concerts :

                                  En partenariat avec une personne ayant de très bonnes relations
                        dans le milieu des arts, nous organisions toutes les semaines une soirée
                        concert. Cette soirée était payante et ouverte au publique externe et
                        interne. Ceci était une fois de plus, une manière de communiquer sur
                        l’établissement car nos concerts étaient listés dans tous les magazines
                        culturels de New York.

                               Les soirées spéciales :

                                 Nous avons organisé trois jours d’événements dans l’hôtel pour
                        fêter les 20 ans de la mort d’Andy Warhol. Notre hôtel représentait le
                        pop’art dans son style et nous avons donc organisé des concerts,
                        projections de film, invités de la Factory (Lou Reed, Ultra Violet),
                        conférences, fêtes etc. Cet événement a était très médiatisé (télévision,
                        journaux) et nous avons ainsi pu faire connaitre l’hôtel sur New York.

                               Les séances photos :

                                 De nombreux magazines de mode me contactaient pour
                        organiser des séances photos dans l’hôtel. L’hôtel était souvent cité lors
                        de la parution des photos dans les magazines de mode, nous obtenions
                        ainsi, de la publicité et une image de marque.


                               b. Evénements externes :

                                Participation du Gershwin à des évènements organisés par
                        d’autres : sponsoring ou Parrainage.

                               Le sponsoring ou parrainage consiste à s’associer à un événement
                        ou à une activité organisée par d’autres en vue d’atteindre des objectifs

  Dossier de VAE – Léa Bloom                                                                           101
Missions /                                        Taches détaillées
  Activités                                  et Connaissances mises en œuvre


Mission 2 :             de communication. Pour cela nous mettions en place des barter
Marketing et            agreements (un échange de services).
Communication
                                J’étais en charge de toute la phase de négociation du contrat de
                        sponsorship avec le détail des services échangés par chacun. Une fois le
     Gestion de la      contrat signé, j’étais responsable de toute la phase d’organisation des
   communication        supports de communication (création de publicité, de textes etc.) en
   événementielle       partenariat avec les organisateurs. Puis lors de l’événement, je devais me
                        charger de l’organisation, de l’accueil des artistes, et de la participation
                        aux activités (soirées, concerts, films etc.) pour vérifier que les termes du
                        contrat étaient bien respectés, pour marquer la présence de l’hôtel et
                        rencontrer les participants.

                     Les différents partenariats que j’ai mis en place ont été les suivants :

                               Le New York Jazz Festival:

                                  Nous étions les partenaires officiels du New York Jazz festival. En
                        échange d’un certain nombre de chambres réservées pour les artistes du
                        festival à un prix réduit ou même en gratuité, nous avions le droit à de la
                        publicité dans les magazines et dans le programme, des affiches pendant
                        le festival, d'être cité par les organisateurs pendant les soirées, des places
                        gratuites (j’ai organisé un concours pour les clients de l’hôtel afin de leur
                        offrir les places).

                                                       Américain:
                               Le festival du film Sud Américain:

                                De la même manière nous avons eu une très bonne couverture
                        médiatique pour cet événement. La plupart des réalisateurs étaient
                        interviewés à l’hôtel avec notre nom en fond d’écran.

                               Le festival des arts numériques :

                               En plus des échanges médiatiques habituels, les organisateurs ont
                        mis en place des œuvres d’art numériques dans l’hôtel pendant toute la
                        durée du festival. Ce qui était aussi un bénéfice pour les clients.


                               2. Les objectifs

                                 Nos objectifs en développant ce type de communication étaient
                        les suivants :

                               •   Gérer des expériences et stimuler des émotions qui sont
                                   transférées dans l’événement.

  Dossier de VAE – Léa Bloom                                                                             102
Missions /                                         Taches détaillées
  Activités                                   et Connaissances mises en œuvre


Mission 2 :                    •   Créer ou renforcer la perception par les clients des attributs ou
Marketing et                       bénéfices offerts par le Gershwin.
Communication                  •   Faire identifier la marque à un marché cible ou à un style de vie
                                   particulier (ex : le milieu artistique).
                               •   Exprimer l’engagement de l’entreprise pour les causes d’intérêt
     Gestion de la                 général (les arts avec notre système d’artistes en résidence).
   communication               •   Renforcer l’image de l’entreprise.
   événementielle              •   Augmenter la notoriété de l’entreprise ou du produit.
                               •   Divertir les clients et les employés.
                               •   Offrir des opportunités d’opérations promotionnelles ou de
                                   merchandising.
                               •   Générer une forte couverture médiatique.


                                                   les
                               3. Les avantages et les inconvénients de la Communication
                                  événementielle


                                          Les avantages

                               •   Création rapide de notoriété, démultiplication par les retombées
                                   presses.
                               •   Impact sur l’image si l’opération est bien choisie, transfert des
                                   valeurs de l’événement sponsorisé sur la marque qui sponsorise.
                               •   Prétexte aux contacts avec la distribution et les partenaires divers.


                                          Les Inconvénients

                               •   Les effets étaient difficilement mesurables.
                               •   Les actions étaient souvent ponctuelles,
                               •   Il était difficile de prévoir ou de garantir le succès de
                                   l’événement.
                               •   Il était difficile de choisir les événements car nous étions très
                                   sollicités.


                                   Conclusion

                                 Ces techniques permettent d’atteindre de multiples objectifs en
                        termes d’image, de notoriété et d’attachement émotionnel et ce, auprès
                        du grand public, des clients les plus importants ou des employés de
                        l’entreprise. Il faut noter que la communication événementielle a les
                        mêmes objectifs que la publicité média mais elle coûte moins chère et est
                        plus spécifique. Je pense que ce type de communication était une des

  Dossier de VAE – Léa Bloom                                                                               103
Missions /                                         Taches détaillées
  Activités                                   et Connaissances mises en œuvre


Mission 2 :             clefs du succès pour un établissement comme le notre car comme
Marketing et            mentionné dans la première partie les clients voulaient venir chez nous
Communication           pour être dans l’endroit le plus excitant de New York.


     Mise en place   Activité 2 : Mise en place du service de conférences
     du service de
      conférences
                                 Lors du commencement de mon contrat au Gershwin, l’hôtel
                        possédait trois salles qui n’étaient utilisées que ponctuellement et sans
                        réelle stratégie de vente ou de communication. J’ai donc demandé à
                        développer cette activité pour ne pas perdre cet espace non utilisé.

                               Etant un établissement à caractère artistique, j’ai voulu proposer
                        des espaces de conférences avec du caractère, hauts en couleurs, des
                        thèmes originaux pour des soirées de mariage, des anniversaires, des
                        réunions et conférences.

                               1. La mise en place du service

                               a. Préparation des supports

                                          Les fiches techniques:
                                                     techniques:

                                 Afin de vendre les trois espaces, j’ai, dans un premier temps, créé
                        des fiches techniques pour chacun d’eux. Ces fiches recensaient :

                                      •   La dimension des salles.

                                      •   Le nombre de personnes maximal pouvant être accueillies
                                          (en accord avec les lois de sécurité de New York et le ratio
                                          moyen d’occupation des locaux).

                                      •   Le prix de la location brute (j’ai fait une étude sur les prix
                                          et les services offerts par les autres hôtels de notre quartier
                                          afin de déterminer un prix juste).

                                      •   Les services inclus (installation, préparation et nettoyage),
                                          le matériel inclus (table, chaise, paper board, l’eau).

                                      •   Les services supplémentaires (location de matériel audio-
                                          visuel, rétroprojecteur, écran, téléviseur, magnétoscope,
                                          service de nourriture comme les pauses café et les repas).

                                  Afin de proposer des services complémentaires, j’ai demandé à

  Dossier de VAE – Léa Bloom                                                                                104
Missions /                                        Taches détaillées
  Activités                                  et Connaissances mises en œuvre


Mission 2 :             différentes entreprises externes de nous proposer des devis de location ou
Marketing et            de fourniture des services.
Communication
                                         Le catalogue de vente

     Mise en place               J’ai mis en place un catalogue de vente en format pdf (pour
     du service de      avoir la possibilité de l’envoyer aux clients par email et limiter les
      conférences       dépenses d’impression) qui regroupaient l’ensemble des prestations
                        offertes aux clients avec des photos des salles et des événements déjà
                        organisés, les ambiances possibles, les configurations et équipement des
                        salons avec tarifs, les propositions d’assortiments de canapés, les menus à
                        prix fixe, les assortiments de buffets.

                                         Les fiches de réservation :

                                 J’ai ensuite préparé des fiches réservation détaillées afin de
                        mettre par écrit tous les éléments de la demande des clients (les jours, les
                        heures, les services demandés, la mise en place de la salle, les demandes
                        spéciales). Ces documents de réservation étaient très importants car ils
                        étaient le support qui servirait ensuite à la création du contrat, à
                        l’organisation de l’événement et à la facturation.

                               J’ai aussi créé un planning des réservations afin de placer tous les
                        événements organisés par l’hôtel au long de l’année (expos, concerts)
                        pour organiser la vente autour de ces dates.

                                         Les contrats :

                               J’ai mis en place des contrats types afin de lister les engagements
                        à respecter, les délais d’annulation ou de changement, les délais de
                        paiements etc.

                               b. La communication et la vente


                                         Communication sur le web

                                 Afin de vendre et de communiquer sur notre espace de
                        conférence, j’ai mis en place une section d’information et de demande de
                        réservation sur notre site internet. De plus j’ai demandé à notre
                        webmaster de nous référencer sur les moteurs de recherche en temps que
                        « service des banquets », « organisation événements », « salle de réunion ».

                                         Les lettres d’information ou Newsletter


  Dossier de VAE – Léa Bloom                                                                           105
Missions /                                         Taches détaillées
  Activités                                   et Connaissances mises en œuvre


Mission 2 :                      J’ai mis en place une newsletter avec le descriptif de notre
Marketing et            nouvelle activité et la mise en avant d’un espace de conférence avec une
Communication           âme artistique. Les lieux de réunions et conférences sur New York étaient
                        généralement situés dans des hôtels d’affaire qui proposaient un produit
                        sobre. Nous proposions aux clients de mettre en place leurs projets les
     Mise en place      plus fous et de ne pas miser sur la sobriété mais sur la créativité !
     du service de               J’ai donc ciblé la communication de cette newsletter vers une
      conférences       clientèle cible (les salles de concert, les galeries d’art, les partenaires
                        événementiels) qui recherchait des lieux originaux pour se regrouper.


                                          Les visites

                                 J’ai organisé des visites pour tous les prospects (personnes ayant
                        demandé des informations sur notre produit) en essayant de connaître les
                        attentes du client, de lui donner des idées et l’envie de venir chez nous.


                               2. L’organisation des événements

                               a. La phase préparatoire avec le client

                                 Après la phase de prospection du client et la détermination des
                        dates de l’événement à organiser, je le rencontrais en général plusieurs
                        fois afin de déterminer avec lui ses attentes et le détail de l’organisation à
                        mettre en place. Je me servais de la fiche de réservation pour lister tous
                        les éléments, préparer un devis et le contrat détaillé à signer. Après
                        signature du contrat nous pouvions commencer la phase de préparation
                        interne.

                               b. La phase préparatoire en interne

                                 Cette phase était déterminante pour la réussite de l’événement et
                        la satisfaction du client. Elle nécessitait la coordination des différents
                        services afin d’organiser au mieux.

                                          La prévision matérielle

                                Elle consiste à l’élaboration d’un plan de salle, la prévision du
                        mobilier et du linge (en utilisant un document récapitulatif), la prévision
                        du matériel (commandé auprès d’un loueur de matériel), la commande
                        nourriture/boissons (sans oublier les mentions spéciales comme les
                        végétariens ou kasher).




  Dossier de VAE – Léa Bloom                                                                             106
Missions /                                         Taches détaillées
  Activités                                   et Connaissances mises en œuvre


Mission 2 :                               Prévision du personnel de service
Marketing et
Communication                   Le personnel était composé d’employés permanents ou
                        d’employés « extra » dont le nombre variait selon la nature de la
                        manifestation. J’étais en charge d’organiser les emplois du temps pour la
     Mise en place      mise en place, l’événement et le nettoyage.
     du service de
      conférences
                                          Mise en place

                                 Pour la mise en place j’ai crée des fiches de consignes avec les
                        horaires : réception du matériel, réception de la nourriture, mise en
                        place, les taches et le rôle de chacun (service de maintenance, le service
                        d’étage). La distribution des tâches et consignes se faisait lors des réunions
                        hebdomadaires avec les chefs de départements en expliquant
                        l’événement et en distribuant la fiche de consigne à chacun.


                               c. Le déroulement de la manifestation

                                 Je me chargeais généralement d’accueillir l’organisateur avant la
                        manifestation afin de vérifier la configuration et la présentation avec lui.
                        Dès leur arrivée, les participants devaient être accueillis par du personnel
                        et trouver une signalétique claire sur le lieu de l’événement et tous autres
                        renseignements utiles.
                                 Durant la manifestation, je faisais le suivi afin de vérifier le bon
                        déroulement et la coordination des actions. Le relationnel client était une
                        partie très importante pour le lancement de l’activité car nous avons très
                        bien fonctionné avec le bouche à oreille.

                               d. La facturation

                                   La location de la salle était facturée en termes de durée.
                                   La nourriture au forfait avec un prix par participant.
                                   Le matériel facturé à la consommation réelle.


                                   Conclusion :

                                  La mise en place de cette activité à été très motivante car il
                        s’agissait d’une nouvelle prestation offerte par l’établissement. J’ai suivi
                        toutes les phases de préparation et de lancement.
                                  Cette activité a nécessité que je développe un certain nombre de
                        qualités telles que :



  Dossier de VAE – Léa Bloom                                                                             107
Missions /                                        Taches détaillées
  Activités                                  et Connaissances mises en œuvre


Mission 2 :                           •   la rigueur et l'organisation,
Marketing et                          •   le souci du détail, du contrôle et de la qualité,
Communication                         •   l’esprit d'initiative et créatif,
                                      •   un grand sens relationnel et commercial,
                                      •   une bonne connaissance du produit restauration.
     Mise en place
     du service de
      conférences               L’hôtel a aujourd’hui décidé de louer l’espace principal à un café
                        et cette activité n’existe plus au sein du Gershwin. N’ayant pas eu une
                        durée de vie suffisante, nous n’avons pas mesuré les résultats au long
                        terme.

                                  • Les savoirs associés :

                                      •   techniques de communication,
                                      •   techniques commerciales,
                                      •   chiffrage/calcul de coûts,
                                      •   techniques organisationnelles,
                                      •   coordination d’équipes,
                                      •   gestion de projet.



Mission 3 :
                                                                  Mission 3 : Manager résident
Manager                          En tant que responsable résidente de l’établissement, je logeais
résident                dans l’hôtel et étais en charge de l’établissement à la place du directeur
                        hors horaires de bureau. Dans cette dernière partie j’aimerais exposer mes
   Responsable de
                        activités dans les situations de crises.
        la sécurité
          incendie
                      Activité 1 : Responsable de la sécurité incendie

                                Etant résidente, la législation de New York exigeait que je passe
                        le diplôme de chef de la sécurité incendie. J’ai suivi un mois de formation
                        sanctionnée par un diplôme d’état (voir annexe 30: modules du diplôme
                        de chef de la sécurité incendie).

                               1. Les responsabilités :

                                 Suite à l’obtention du diplôme, j’ai étudié les plans d’évacuation
                        de l’hôtel (les sorties de secours, les escaliers de secours, les lieux de
                        signalisation de l’hôtel).
                                 L’utilisation et la lecture du tableau incendie de l’hôtel
                        directement relié au centre des pompier le plus proche (lecture des
                        signaux d’alarme, utilisation du système d’annonce, l’arrêt provisoire de
                        l’alarme).
  Dossier de VAE – Léa Bloom                                                                          108
Missions /                                        Taches détaillées
  Activités                                  et Connaissances mises en œuvre


Mission 3 :
Manager                         La signalisation et gestion de l’évacuation, gestion              de
résident                l’évacuation des clients, l’information dès l’arrivée des pompiers.

   Responsable de
        la sécurité            2. Les évacuations :
          incendie
                                J’ai du faire face à plusieurs évacuations en pleine nuit. Il fallait
                        donc commencer par repérer l’étage depuis lequel venait l’alarme sur le
                        tableau incendie.

                                 Demander au responsable de la sécurité de nuit d’aller vérifier si
                        l’alarme incendie n’avait pas été déclenchée volontairement par des
                        clients.

                               Faire une annonce dans tous les étages pour donner les consignes
                        d’évacuations d’un ou plusieurs étages ainsi que les points de
                        rassemblement.

                                 Demander aux employés présents d’aider à l’évacuation des
                        clients dans les étages.

                               Attendre les secours, être la personne relais pour les pompiers en
                        indiquant l’étage et les informations récupérées par les employés.

                                 Après instruction de la part des pompiers, continuer à informer
                         les clients par annonces en étant le plus calme et le plus rassurant
                         possible.

                                  Arrêter l’alarme sur le tableau de bord après décision des secours.

                                 Nous n’avons jamais eu d’alarme grave nécessitant une
                         évacuation complète de l'établissement. Les clients étant généralement
                         stressés par les questions de sécurité, il fallait que je fasse preuve de
                         calme et d’organisation afin de donner des instructions claires et
                         précises. Une évacuation chaotique ou mal gérée peut entraîner des
                         plaintes clients et donner une mauvaise image de l’hôtel.



                      Activités 2 : Gestion des différentes situations de crise

                                 En tant que responsable résidente, j’ai du faire face à des
                        situations difficiles.


  Dossier de VAE – Léa Bloom                                                                            109
Missions /                                         Taches détaillées
  Activités                                   et Connaissances mises en œuvre


Mission 3 :                    1. La gestion des clients difficiles
Manager
résident                       Nous avons fait face plusieurs situations de clients déséquilibrés
                       ou sous drogue qui ont provoqué une gêne pour les autres clients.
       Gestion des
      situations de             Dans un premier temps, je devais essayer de diagnostiquer les
              crises   raisons de la gêne. Puis, essayer de négocier avec les clients tout en faisant
                       attention à ma sécurité et à la sécurité des autres. En dernier recours, je
                       devais appeler la police et donner toutes les informations nécessaires
                       (raison de l’appel, l’adresse exacte, étage et chambre du client). Puis
                       j’attendais l’arrivée de la police afin de répondre à leurs questions
                       supplémentaires, indiquer le lieu exact et faire une déposition.

                                En cas d’intervention de la police je rédigeais un « incident
                       report » afin d’informer le directeur général des faits et mesures prises.

                               2. La gestion de la maladie et décès

                               J’ai du gérer plusieurs situations de crises maladie avec des clients
                       victimes d’attaques cardiaques, de malaise, de crise d’épilepsie ou de
                       décès.

                                  En cas d’urgence médicale je devais :

                                      •   Sécuriser le lieu de l’accident et établir un périmètre de
                                          sécurité pour que les autres clients n’approchent pas.

                                      •   Faire un constat rapide de l’état de la victime (la victime
                                          est elle consciente ou non, respire-t-elle ?)

                                      •   Appeler les secours et fournir les informations suivantes :
                                          le lieu de l’accident, le nombre de personnes, l’état du
                                          client, la localisation précise de la victime dans l’hôtel,
                                          mon nom et où je me situerais lors de l’arrivée des
                                          secours.


                                Toutes ces situations d’urgence sont souvent très difficiles à gérer
                       car elles nécessitent une fois de plus, beaucoup de maitrise du stress. Elles
                       doivent surtout rester discrètes, ne pas inquiéter les autres clients. Voir
                       arriver la police ou les secours n’est jamais très rassurant pour la clientèle.


                                  • Savoirs associés :


  Dossier de VAE – Léa Bloom                                                                             110
Missions /                                    Taches détaillées
  Activités                              et Connaissances mises en œuvre


Mission 3 :                      •   Réglementation sécurité incendie,
Manager                          •   utilisation d'équipements de secours et de sauvetage,
résident                         •   gestion du stress,
                                 •   communication,
       Gestion des               •   utilisation d'outils de radiocommunication,
      situations de              •   techniques de médiation,
              crises             •   techniques de gestion de crises.




      Conclusion :

         Cette expérience beaucoup plus spécialisée et technique que la précédente, m’a
 permis de découvrir une pratique nouvelle de plus en plus utilisée dans le milieu hôtelier.

         Grace au yield management, j’ai dépassé les budgets mensuels qui m’étaient fixés en
 optimisant au maximum le revenu par chambre disponible. N’ayant pas d’expérience dans ce
 domaine au moment de mon embauche, j’ai pu développer une nouvelle compétence
 technique indispensable pour ma carrière.

       Ce poste à responsabilités m’a donné l’opportunité de faire évoluer mes qualités
 managériales, organisationnelles, relationnelles et marketing.

          De plus, l’environnement très compétitif et rapide de New York à été un réel
 chalenge pour moi après avoir gérer des équipe au Cambodge. Cette expérience à été très
 enrichissante.


      Les principales qualités (savoir-être) mobilisées pour cet emploi :
                               (savoir-




          • Rigueur et suivi :
         Le yield management nécessite un très bon suivi des ventes et des statistiques afin de
 ne pas survendre ou au contraire ne pas vendre assez. Une grande responsabilité au niveau
 des revenus de l’établissement va dépendre de cette rigueur.

          • Le sens commercial et relationnel :
         Etant en charge du département des réservations et de la vente, une de mes
 fonctions principale a été de développer de bonnes relations commerciales pour le Gershwin
 afin d’augmenter les ventes et la notoriété de l’établissement.

           • La gestion du stress:
           Afin d’assurer le poste de manager résident il fallait être capable de prendre des
  Dossier de VAE – Léa Bloom                                                                      111
responsabilités et de gérer les situations d’urgences calmement afin de rassurer les équipes
  ainsi que les clients.

          • L’organisation :
         Le développement de l’activité de la location des espaces et la mise en place
  d’événements a nécessité une bonne coordination des équipes et un grand sens du détail.

           • Le bilinguisme :
          Travaillant dans un pays anglophone avec une grande partie rédactionnelle et
  relationnelle, ma maîtrise de l’anglais devait être parfaite.



      Bibliographie et webographie:
                       webographie:


- Le marketing du tourisme (2007) – Isabelle Frochot et Patrick Legoherel – Edition Dunod

- Le Blog des experts (2010) – www.lhotellerie-restauration.fr - Commercialiser ses chambres sur
internet par GuilainDenisselle

- Le Site Studya - www.studya.com – Les 1000 fiches métiers




  Dossier de VAE – Léa Bloom                                                                     112
Missions /                                         Taches détaillées
Activités                                   et Connaissances mises en œuvre

                                 L’ECOLE D’HOTELLERIE ET DE TOURISME
                                       PAUL DUBRULE-Responsable de la
                                                             formation


                             1. l’Etablissement :

                                Ecole d'Hôtellerie et de Tourisme Paul Dubrule
                                La Glacière - Route Nationale 6 (Airport Road)
                                Siem Reap, Angkor Province
                                CAMBODIA

                                Tel: +855 (0) 63 963 672 | (0) 63 963 673
                                Fax: +855 (0) 63 963 671
                                Email: info@ecolepauldubrule.org


                             a. Un peu d’histoire….

                                L’école a été fondée en 2002 avec l’aide de Paul Dubrule,
                      président et fondateur du groupe hôtelier multinational Accor et du
                      gouvernement cambodgien. Elle fait suite à la visite de l’homme d’affaire
                      à Siem Reap un peu plus tôt dans l’année, Paul Dubrule alors âgé de 68
                      ans, venait d’effectuer en vélo les quelques 15,000 kilomètres séparant sa
                      ville de Fontainebleau à Siem Reap, un voyage de huit mois. Paul
                      Dubrule, qui a personnellement donné 1,2 million de dollars pour
                      construire et faire tourner l’école, a officiellement inauguré
                      l’établissement le 14 octobre 2002.

                              Monsieur Dubrule a crée l’école dans le but de former des jeunes
                      cambodgiens aux métiers du tourisme et de la restauration pour
                      permettre de les intégrer dans une économie en pleine croissance qu’il
                      souhaite durable.

                               L’école est partenaire de plusieurs établissements professionnels
                      français, notamment l’école hôtelière de Saint-Quentin dans les Yvelines,
                      l’école de Santos Dumont à Saint-Cloud, l’école Lenotre, la Fondation
                      Mérieux, et la Fondation Paul Bocuse, sans oublier le groupe Accor.
                               Plus en avant, l’école espère étendre ses relations avec d’autres
                      écoles françaises, mais aussi d’autres établissements renommés en Asie.


                             b. Présentation de l’établissement :

Dossier de VAE – Léa Bloom                                                                         113
Missions /                                          Taches détaillées
Activités                                    et Connaissances mises en œuvre



                               L’Ecole d’Hôtellerie et de Tourisme Paul Dubrule reçoit 200
                      élèves chaque année, la plupart d’entre eux étant boursiers. L’école
                      fournit un programme d’enseignement d’un an dans le service,
                      sommellerie, bar, cuisine, pâtisserie, et boulangerie, l’accueil des clients et
                      le nettoyage. Des sessions plus courtes sont aussi proposées aux petits
                      hôtels, guestshouses (maisons d’hôtes) et restaurants locaux.

                              Tous les cursus comprennent des cours d’informatique et de
                      langue française et anglaise.

                               L’école peut se vanter d’avoir un taux de 91% de recrutement de
                      ses diplômés dans l’industrie hospitalière et la restauration, l’objectif étant
                      de contribuer au développement durable du secteur touristique au
                      Cambodge. Le nombre d’étudiants placés a fluctué au cours des années,
                      mais la tendance reste tout de même à la hausse. 116 élèves ont été placés
                      en 2002-2003, de 2004 à 2005 leur nombre a baissé à 90 et 82, puis a
                      remonté, avec notamment 160 étudiants trouvant du travail en 2008.


                             c. Les Financements


                               Financée à 55% par les donations, l’école dispose aussi d’un
                      hôtel de quatre chambres, et deux restaurants d’application. Le Jardin des
                      Délices, situé dans un jardin tropical au sein de l’école, peut accueillir
                      jusqu’à 150 convives, et propose un menu du jour du mardi au vendredi
                      pour le déjeuner.

                             Le Café, à proximité du Centre Culturel Français dans le vieux
                      Siem Reap, sert quant à lui des salades, des pâtisseries et des cafés.

                               Les revenus de l’hôtel et des restaurants, et les autres ventes,
                      représentent 28% du budget de l’école, alors que le montant des
                      inscriptions atteint lui 17%. Un fonds est aussi en place pour financer les
                      études des élèves en difficulté sociale, et une fois les procédures normales
                      d’inscription des élèves, l’école conduit une ‘enquête sociale’ sur les
                      familles des candidats boursiers. Il revient alors à une commission spéciale
                      d’attribuer les bourses aux jeunes sélectionnés.




                             2. Le Poste :

                             a. Intitulé
Dossier de VAE – Léa Bloom                                                                              114
Missions /                                        Taches détaillées
Activités                                  et Connaissances mises en œuvre


                                Appui à la formation

                             b. Responsabilités

                              Je suis partie en tant que volontaire pour une durée de deux ans
                      et demi.
                              Ma mission a changé au cours des cette période. A début j’ai aidé
                      à mettre ne place tous les programmes et supports pédagogiques pour la
                      section accueil, réception et réservation. J’ai ensuite travaillé en binôme
                      avec un professeur Cambodgien afin de le former pour me remplacer.

                               Sur les 6 derniers mois j’ai finalisé et mis en place un système de
                      recrutement plus cadré et développé l’activité formation continue qui
                      n’existait pas encore.

                             c. Organigramme




Dossier de VAE – Léa Bloom                                                                           115
Missions /                          Taches détaillées
Activités                    et Connaissances mises en œuvre




Dossier de VAE – Léa Bloom                                     116
Missions /                                       Taches détaillées
Activités                                 et Connaissances mises en œuvre

                             d. Lettres de recommandation




Dossier de VAE – Léa Bloom                                                  117
Missions /                          Taches détaillées
Activités                    et Connaissances mises en œuvre




Dossier de VAE – Léa Bloom                                     118
Missions /                                         Taches détaillées
Activités                                   et Connaissances mises en œuvre

                             e. Fiche de paie et certificat de travail




Dossier de VAE – Léa Bloom                                                    119
Missions /                          Taches détaillées
Activités                    et Connaissances mises en œuvre




Dossier de VAE – Léa Bloom                                     120
Missions /                          Taches détaillées
Activités                    et Connaissances mises en œuvre




Dossier de VAE – Léa Bloom                                     121
Taches détaillées
  Missions /                                et Connaissances mises en œuvre
  Activités

Mission 1 :                            Mis
                           Mission 1 : Mise en place des procédures de recrutement
Mise en place
des procédures
de recrutement                   En 2005 après 2 ans de mise en place je me suis rendue compte
                        que les étapes de recrutement des élèves étaient trop aléatoires et qu’il
         L’analyse      n’y avait pas de réelles procédures. Cette étape déterminait le niveau des
             de la      classes et surtout le taux de recrutement en fin d’année.
         situation
                                J’ai donc proposé de mettre en place ces procédures et de créer
                        un nouveau projet de pré-qualification afin de réduire la perte des élèves
                        au moment du recrutement. Ce projet consistait à mettre en place un
                        système de remise à niveau pour les élèves n’ayant pas répondu aux
                        exigences des tests d’entrée.

                                Programme de remise à niveau destiné à une catégorie d’élèves
                        ne répondant pas aux critères de sélection mis en place par l’école, mais
                        ayant un bon potentiel pour les métiers de services.

                     Activité 1 : L’analyse de la situation

                               1. Ancien processus de recrutement




                               2. Constat de départ


  Dossier de VAE – Léa Bloom                                                                         122
Missions /                                         Taches détaillées
  Activités                                   et Connaissances mises en œuvre

Mission 1 :                       Une grande partie des candidatures était rejetée alors que les
Mise en place           effectifs n’étaient pas atteints
des procédures
de recrutement                 f. Proportion de rejet des candidatures (année 2004-2005)

         L’analyse
             de la
         situation




                               g. Les raisons de des rejets

                                   (Chiffres basés sur les fiches d’évaluation des entretiens élèves)

                                                    Raisons                           %
                                                Niveau d'Anglais                    54%
                                           Attitude (Peu adaptée aux
                                               métiers de services)                  16%
                                           Justification de leur choix
                                                     d’études                        12%
                                             Pré requis (Grade 12)                    7%
                                                  Non connues                         7%
                                                    Illettrisme                       2%
                                                        Age                           2%



                                 La raison principale de rejet était le niveau d’anglais des élèves :
                        Il ne s’agissait pas d’un problème de motivation ou d’attitude ce qui veut
                        dire qu’ils pouvaient avoir un bon potentiel à condition d’améliorer leur
                        niveau d’anglais.


                               h. Profile des candidats non acceptés


  Dossier de VAE – Léa Bloom                                                                            123
Missions /                                      Taches détaillées
  Activités                                et Connaissances mises en œuvre

Mission 1 :
Mise en place
des procédures
de recrutement

         L’analyse
             de la
         situation




                                La majorité des élèves non retenus n’étaient pas titulaires du BAC
                        ou n’étaient jamais allés au lycée. Cela pouvait entraîner un niveau en
                        connaissances générales et en langue moins élevé. Ces candidats
                        pouvaient être motivés et donc avoir un bon potentiel.

                                 Une grande partie des élèves, qui n’avait pas les pré-requis
                        spécifiques à une section, ne souhaitaient pas se réorienter vers une autre
                        section par manque de connaissances du métier proposé (par exemple un
                        élève qui se présentait pour la section réception et qui était refusé à cause
                        de son niveau d’anglais, refusait souvent d’être réorienté vers les métiers
                        de la restauration).

                                Les élèves ayant été acceptés sans avoir le niveau scolaire requis,
                        avait souvent de plus grandes difficultés dans l’apprentissage et donc des
                        déséquilibres de niveau. (voir annexe 31 : Plan d’action du programme
                        de pré-qualification)


                     Activité 2 : La mise en place du nouveau processus

                               1. Nouveau processus de recrutement

                                 Voici le nouveau processus de recrutement que j’ai proposé au
                        conseil d’administration en 2005.




  Dossier de VAE – Léa Bloom                                                                            124
Missions /                                         Taches détaillées
  Activités                                   et Connaissances mises en œuvre

Mission 1 :
Mise en place
des procédures
de recrutement

          Mise en
         place du
        nouveau
        processus




                                  Les finalités de ce projet

                                      •   Permettre une sélection plus large de candidatures afin
                                          d’atteindre ou d’augmenter les effectifs,

                                      •   Réduire la perte de candidature,

                                      •   Permettre une période de découverte et de remise à
                                          niveau afin de mieux orienter les élèves et de réduire le
                                          nombre de démissions en cours d’année scolaire,

                                      •   Avoir un niveau de départ plus homogène,

                                      •   Permettre de travailler plus en partenariat avec des ONG
                                          qui souhaitent orienter leurs jeunes vers des formations
                                          certifiantes, même si ils n’ont pas le niveau scolaire requis.


                                                                    pré-
                               2. La description de la formation de pré-qualification


                               a. La durée

                                      (Juillet-
                               2 mois (Juillet-Août)


  Dossier de VAE – Léa Bloom                                                                               125
Missions /                                        Taches détaillées
  Activités                                  et Connaissances mises en œuvre

Mission 1 :             Cette période « hors formation initiale » permettrait une plus grande
Mise en place           disponibilité des professeurs de spécialité.
des procédures
de recrutement                 b. Les modules de formation

          Mise en J’ai crée un programme pré-qualification qui se divisait en plusieurs
         place du modules :
        nouveau
        processus            Description                                       Heures
                      M1            Anglais technique

                                    Vocabulaire technique
                      Module 1                                                              100 heures
                                    Conversation technique
                                                                                            60 heures
                      M2            Culture générale
                                    Cours de khmer
                                    Mathématiques appliquées à l’hôtellerie (pourcentage,
                                    calcul en croix, fraction)
                      Module
                                    Informatique appliquée à l’hôtellerie (Word, Excel)
                      2                                                                     40 heures
                                    Géographie et culture (en rapport avec les pays et
                                    cultures de provenance touristique)
                                    Visites (sites touristiques, hôtels, restaurants)
                      M3            Découverte des métiers
                                    Présentation du métier par les professeurs de chaque
                                    spécialité
                      Module                                                                20 Heures
                                    Conférences de professionnels hôteliers
                      3
                                    Conférences d’anciens élèves de chaque section
                                    Cours d’initiation pratique
                      M4            Observation en entreprise
                                    Placement en entreprise et observation des différents
                      Module
                                    départements (cuisine, service en salle et accueil,     7 jours
                      4
                                    femmes de chambre)
                      M5            Orientation et conseil
                                    A partir des modules M3 et M4, l’élève devra dresser
                                    un bilan pour chaque spécialité (points forts, points
                      Module
                                    faibles, pré-requis nécessaires et atteints)
                      5                                                                     8 heures
                                    Suite à ce bilan et à cette auto évaluation l’élève
                                    pourra choisir sa spécialité



                               a. Les formules de pré-qualification

                               Un bilan des pré-requis atteints et non atteints devait être dressé
                        pour chaque élève à la fin du processus de recrutement. A la suite de ce

  Dossier de VAE – Léa Bloom                                                                           126
Missions /                                          Taches détaillées
  Activités                                    et Connaissances mises en œuvre

Mission 1 :             bilan une ou plusieurs formules de pré-qualification étaient proposées aux
Mise en place           élèves.
des procédures
de recrutement                                                           Pré requis non
                                                    Pré requis atteint                  Modules
                                                                         atteint
          Mise en     Programme 1(P1)               Connaissances
                                                                                       M1.1 : Anglais niveau
         place du                                   générales
                                                                         Niveau        1
        nouveau       Anglais Intensif              Connaissances
                                                                         d’anglais     M1.2 : Anglais niveau
        processus     (Niveau 1 ou 2)               des métiers
                                                                                       2
                                                    Savoir être
                                                                                       M3: Découverte des
                      Programme 2 (P2)
                                                    Niveau d’anglais                   métiers
                                                                         Connaissances
                                                    Connaissances                      M4: Observation
                      Découverte des                                     des métiers
                                                    générales                          entreprise
                      métiers de services
                                                    Savoir être                        M5 : Orientation et
                      et orientation
                                                                                       conseil

                                                                                       M1.1 ou M1.2 :
                                                                                       Anglais
                                                                         Niveau
                                                                                       M2: Culture générale
                      Programme 3 (P3)                                   d’anglais
                                                                                       M3: Découverte des
                                                                         Connaissances
                                                    Savoir être                        métiers
                      Programme complet                                  générales
                                                                                       M4: Observation
                      de pré qualification                               Connaissance
                                                                                       entreprise
                                                                         des métiers
                                                                                       M5 : Orientation et
                                                                                       conseil




                               b. Les certificats

                         • Certificat de remise à niveau d’anglais pour les élèves ayant suivi le
                           programme P1
                         • Certificat de remise à niveau générale pour les élèves ayant suivi le
                           programme P3
                         • Pas de certificat délivré aux élèves ayant suivit le programme P2 (il
                           s’agissait d’un programme de découverte et d’orientation)

                               c. La réorientation

                     A la fin de sa formation de pré qualification, l’élève était accompagné et orienté
                     dans la section la plus adaptée à ses capacités.

                     Cela lui permettrait d’accéder soit :


  Dossier de VAE – Léa Bloom                                                                             127
Missions /                                         Taches détaillées
  Activités                                   et Connaissances mises en œuvre

Mission 1 :                        -   A une formation initiale (restauration, cuisine, accueil)
Mise en place                      -   A une autre formation continue professionnalisante (aide cuisinier,
des procédures                         femme de chambre, plongeur)
de recrutement

          Mise en Conclusion :
         place du
        nouveau             Après acceptation de mon projet par le conseil d’administration,
        processus  j’ai mis en place un plan d’action (voir 31 : plan d’action). Avec l’aide de
                          toute l’équipe pédagogique, cette formule à était un vrai succès et a
                          permis d’augmenter les effectifs.


                                                            Mission 2 : La formation Continue
Mission 2 : La
formation
Continue
                     Activité 1 : Développement de la formation continue
       Développ
        ement de
                la                Ma dernière mission à l’école Paul Dubrule a été de mettre ne
       formation          place un système de formation continue pour les hôtels, guest houses et
         continue         restaurants déjà existants sur Siem Reap.

                                   Voyant que de plus en plus d’établissements étaient en ouverture
                          et qu’il n’y avait aucune offre de formation continue, j’ai voulu monter
                          ce projet afin d’apporter des financements supplémentaires à l’école et
                          permettre ainsi d’avoir plus d’élèves boursiers.

                               1. La phase préparatoire

                               a. Mise en place d’un plan d’action


                                                                     Person
                            Action                                                     Deadline
                                                                     responsible
                        Preparing the programs and short
                      1                                              Lea / Chhang      Done
                        course schedules
                         Preparing the short course training
                      2                                              Lea / Chhang      ASAP
                        material
                      3 Building a paper board                       Ponleu            ASAP

                      4 Making the brochures                         Lea               Done



  Dossier de VAE – Léa Bloom                                                                           128
Missions /                                       Taches détaillées
  Activités                                 et Connaissances mises en œuvre

Mission 2 : La        5
                        Sending the mailing to the hotels and
                                                              Lea / Thida          26.11.2004
formation               restaurant
Continue                Sending the mailing to the guest
                      6                                       Chhang / Thida       26.11.2004
                        houses
       Développ         Making the Hotel and Guest House
                      7                                       Thida                12.11.2004
        ement de        data base
                la                                                                 End of November
                                                                  BB / DN / LB /
       formation      8 Visiting the hotels                                        / Begining of
                                                                  CC
         continue                                                                  december
                      9 Visiting the guest houses                 Chhang           End of November
                      1
                         Contacting the hotels in construction Darith              19.11.2004
                      0
                         Mailing the short course training
                                                                                   Two weeks before
                         program two weeks before the
                      11                                       Thida               the start of the
                         training starts to the hotel, guest
                                                                                   trainings
                         houses and restaurants
                      1
                         Advertising on the radio              School
                      2


                               b. Création des programmes

                                  J’ai mis en place des programmes de formations complets afin de
                          décrire les modules abordés pendant les formations (voir annexe 32 :
                          Programmes de formation)

                     Les sujets proposés étaient les suivants :

                                        L’art de l’hôtellerie:
                                  • The art of Hospitality for guest houses PART 1: Basics of
                                    Reception
                                  • The art of Hospitality for guest houses PART 2: Basics of
                                    housekeeping
                                  • The art of Hospitality for guest houses PART 3: Basics of
                                    Service
                                  • The art of Hospitality for guest houses PART 4: Basics of Cost
                                    control and Marketing


                                        Relation clientele:
                                  • The Welcoming, a key to success
                                  • Dealing with complaints and difficult guests
                                  • Professional use of the Telephone



  Dossier de VAE – Léa Bloom                                                                         129
Missions /                                          Taches détaillées
  Activités                                    et Connaissances mises en œuvre

Mission 2 : La                             L’hygiène :
formation                          • Hygiene for F&B
Continue                           • Hygiene for Housekeeping

       Développ                            Anglais appliqué
        ement de                   • English applied to F&B
                la                 • English applied to the reception
       formation
         continue
                               c. Création des emplois du temps de formation

                                J’ai mis en place un emploi du temps détaillé des formations sur
                        l’année afin de pouvoir commencer la vente de la formation continue
                        aux hôteliers. (Voir annexe 33: Emplois du temps)

                                 Ce document comportait le titre des formations, le nombre
                        d’heures de formation, le nombre de jours, le nombre maximum de
                        participants, le prix et les dates de sessions sur l’année.

                               d. Création d’une base de données

                               J’ai mis en place une base de données avec une liste des hôtels,
                        guest houses et restaurants déjà existants (avec les coordonnées, la
                        personne en charge, le nombre d’employés etc). Une deuxième base de
                        données comprenait les établissements en pré-ouverture qui avaient
                        souvent un besoin en formation pour leurs nouveaux employés.

                                Cette base donnée m’a ensuite servi à contacter les hôtels par
                        téléphone afin de présenter le projet et prendre rendez-vous pour faire
                        une présentation plus détaillée aux chefs d’établissements.

                                  J’ai crée une fiche de suivi des visites :

                               Hotel Visited          Contact    Interest                 Remarks
                                                 Gayan
                      6    City Royal            Ranaweera       Med
                      7    Monarch Angkor        Sophea Soth     Med
                      8    Taphrum               Rattana yin     Med
                      3
                       1   Rama Hotel            Malean Um       Med
                      4                                                     Must contact the GM Phoueng
                      5    Molina Hotel          Phally          Med        Chamnith
                      9    Freedom hotel         Day             Med
                       1
                      0    Khemara Angkor        Phanary Tan     Med
                      11   Angkor Century        Sarah Moya      Pos
                       1
                      2    Angkor Saphir         Kinhort Keo     Pos        Evening classes management

  Dossier de VAE – Léa Bloom                                                                              130
Missions /                                         Taches détaillées
  Activités                                   et Connaissances mises en œuvre

Mission 2 : La        1
                      3   Casa Angkor Hotel    Phillip To        Pos
formation             1
Continue              4   Nokor Phnom          Sovichet Heng     Pos
                      4
       Développ       2   Angkor Land          Pich Thy Ravuth   Pos    Hotel opening contact again
                      4   Angkor Howard
        ement de
                      3   hotel                Poeung Chien      Pos    Hotel opening contact again
                la    4   Angkor riverside
       formation      4   Hotel                Van La            Pos    On the spot trainings
         continue     1                                          Very
                      5   Bopha Angkor Hotel William Telliez     Pos
                      1                                          Very
                      6   Princess Angkor      Iegadesan Veloo   Pos
                      2                                          Very
                      4   Day Inns Angkor      Mr Poolpraseth    pos    Training directly in the the hotel
                      1                                          Very
                      7   Angkor Diamond       Christine Chen    pos    Management especially
                      1                                          Very
                      8   Auberge Mt Royal     Phloeun Prim      Pos

                                                                                 etaient
                                 Sur la base de 58 visites d’hotel les resultats etaient les suivants :




                                 Nous avons quand même décidé de mettre en place le projet car
                        nous pensions que le concept de formation des employés dans
                        l’entreprise était nouveau au Cambodge mais qu’il fallait voir sur le long
                        terme.



                                      formations
                     Activité 2 : Les formations


                                Nous avons pu commencer les formations rapidement sur
                        demande, pour différents hôtels et restaurants en pré-ouverture ou
                        ouvertes au publique.

  Dossier de VAE – Léa Bloom                                                                                 131
Missions /                                        Taches détaillées
  Activités                                  et Connaissances mises en œuvre

Mission 2 : La
formation                        Dans cette partie j’aimerais décrire les spécificités des techniques
Continue                utilisées afin d’animer des formations pour un publique d’adulte étant
                        déjà dans le monde du travail.
             Les
      Formations                Je pense que les spécificités de ces formations sont importantes à
                        connaître et permettent tout au long d’un parcours professionnel, même
                        au sein d’une entreprise, de savoir animer des équipes.

                               1. La progression pédagogique

                     Avant de préparer une formation je me posais les questions suivantes :

                               a. Qui doit être formé ?

                                Plus un formateur peut connaître son publique plus il sera
                        capable de motiver et d’intéresser les stagiaires. Par exemple on peut
                        essayer de savoir quelles sont les raisons de l’entrée en formation, quelles
                        sont leurs expériences, les liens hiérarchiques entre les participants etc.

                               b. Quel est le but de la formation ?

                                Généralement les objectifs opérationnels de mes formations
                        étaient variés (Maitriser les techniques d’accueil téléphonique, connaître
                        les mesures d’hygiène nécessaires dans une cuisine)

                               La question clef était de savoir quels changements les stagiaires
                        devaient pouvoir observer sur le terrain après la formation ? Je cherchais
                        donc à préciser le plus possible les critères qualitatifs ou quantitatifs qui
                        me permettraient d’évaluer les résultats.

                                 Je transmettais, en général, ces critères au responsable direct du
                        stagiaire pour qu’il puisse aussi évaluer les résultats sur le lieu de travail
                        après formation.

                               c. Comment arriver aux objectifs fixés ?

                                 Afin d’atteindre les buts fixés, il fallait déterminer la méthode
                        pédagogique à adopter (nous verrons dans le chapitre suivant les
                        différentes méthodes que j’ai utilisé)

                                 Toutes ces questions me permettaient de mettre en place un
                        escalier pédagogique, c’est à dire de commencer la progression par les
                        choses les plus simples en continuant sur les acquis précédents.

                               Par exemple pour la formation sur les techniques d’accueil
                        téléphonique
  Dossier de VAE – Léa Bloom                                                                             132
Missions /                                        Taches détaillées
  Activités                                  et Connaissances mises en œuvre

Mission 2 : La
formation                         Je décrivais d’abord le but général :
Continue                              • Offrir un service au delà des attentes clients au téléphone

             Les                  Puis je listais les points qui permettraient d’atteindre cet objectif :
      Formations                      • Organiser son lieu de travail
                                      • Connaitre les méthodes de communication verbale
                                      • Connaître les méthodes de communication non verbale
                                      • Savoir prendre un message
                                      • Savoir mettre un client en attente
                                      • Savoir répondre aux questions des clients
                                      • Comprendre les attentes clients

                                Puis je les mettais dans l’ordre qui me paraissait le plus logique en
                        sachant qu’il fallait respecter certaines règles :
                                    • Ne pas faire des étapes (de marches) trop grandes sinon le
                                        stagiaire se décourageait rapidement.
                                    • Toujours évaluer si les étapes étaient bien intégrées avant
                                        de passer à l’étape suivante.
                                    • Adapter les étapes aux connaissances des stagiaires pour
                                        qu’elles soient réalisables.

                                 Cette étape préparatoire est très importante car elle permet de
                        rendre la formation logique et pertinente. Sans passer par cette étape le
                        travail de formation serait désorganisé et les stagiaires repartiraient avec
                        plus de frustrations que de savoirs.


                               2. Les méthodes pédagogiques

                                Lors de mes formations, j’utilisais des méthodes pédagogiques
                        plutôt centrées sur l’action.

                                Ayant un publique d’adulte (déjà dans le monde du travail) j’ai
                        toujours essayé de faciliter l’apprentissage en le rendant le plus ludique
                        possible. Ma devise « Apprendre sans efforts ».

                                Les stages de formation continue permettent vraiment au
                        formateur de faire preuve d’une grande créativité et d’être libre dans les
                        méthodes auxquelles il peut faire appel. J’ai donc fait beaucoup d’efforts
                        pour trouver les chemins les plus simples pour d’atteindre les buts fixés au
                        départ.

                               a. La méthode de la découverte.

                                  Cette méthode permet au stagiaire de découvrir les savoirs,

  Dossier de VAE – Léa Bloom                                                                                133
Missions /                                        Taches détaillées
  Activités                                  et Connaissances mises en œuvre

Mission 2 : La          savoir faires ou savoir-être par lui-même (sans que le formateur donne
formation               des réponses toutes faites). Par exemple montrer une image ou demander
Continue                aux stagiaires de jouer un rôle puis d’en faire une analyse et d’en tirer des
                        conclusions qui pourront être intégrées plus facilement.
             Les
      Formations                  Pour mener à bien ses exercices j’observais les règles suivantes :

                                      •   Bien définir l’objectif de la séance
                                      •   Donner des consignes claires et précises
                                      •   Surprendre les stagiaires
                                      •   Organiser des groupes de travail le plus souvent possible
                                          pour créer une dynamique et rassurer les stagiaires.

                                Voici un exemple pour aider les étudiants à comprendre les
                        pièges de la communication verbale en utilisant la méthode de la
                        découverte:

                          Exercise: The meaning of the words
                          The teacher gives a list of words and the student must write down what
                           it corresponds to in their mind. For example “Old” one student will
                                                                            Old”
                           write 30 years old, another one will write 50, etc
                          When the students are finished the teachers asks each students their
                           answer, this will help to show that each person has its own idea of
                           what a word represent depending on their experience, their age or
                           culture.
                          This will also bring to the next point: Words are not enough to
                           communicate. Ask the students, what else do you need?


                               b. La méthode du jeu de rôle

                                 Le jeu de rôle est une méthode très efficace pour acquérir de
                        nouveaux savoirs êtres ou savoirs faire. Le stagiaire est au centre de
                        l’action et pourra analyser plus facilement son propre comportement et
                        les choses qui pourraient être améliorées.

                                Etant formatrice sur des sujets très pratiques, je faisais souvent
                        appel à cette méthode.




  Dossier de VAE – Léa Bloom                                                                            134
Missions /                                        Taches détaillées
  Activités                                  et Connaissances mises en œuvre

Mission 2 : La             Exercices: The first impression by role play
formation
Continue                    The students go at the front desk; two students are the guest
                           checking in the hotel, the teacher will be the receptionist. The other
             Les           students must take notes about the first impression that is given the
      Formations           guest; the positive and negative points of the presentation.

                           They will be 3 different role plays:

                                 •   Unfriendly, not smiley receptionist
                                 •   Not well groomed receptionist
                                 •   A receptionist not paying attention and not very active

                               Feed Back

                            At the end of the role plays, the students must explain the positive
                           and negative points they have found for each role play. The teacher
                           writes down the remarks on the board. The feedback will also be
                           made by groups. 3 groups, one group makes feedback on one of the
                           role play.

                            When the remarks are finished, the students and the teacher try to
                           answer these two questions together
                            Why is the first impression so important?
                            How can you give a good first impression to the guests?

                           After that the teacher shows these main points on the overhead



                               c. Les jeux pédagogiques

                                Les jeux pédagogiques peuvent être de variés (jeux de pistes, jeux
                        de logique, jeux de balles etc.) et permettent très souvent de casser un
                        peu le rythme, de souder le groupe, de donner confiance et de briser la
                        glace (Technique très utilisée dans les pays anglophones les « Ice
                        breakers »).




  Dossier de VAE – Léa Bloom                                                                         135
Missions /                                         Taches détaillées
  Activités                                   et Connaissances mises en œuvre

Mission 2 : La             Exercise: The communication techniques
formation                  The students must make a drawing from a verbal explanation
Continue

             Les
      Formations




                           Action
                           The teacher gives a drawing to student A and student B stands at the board. The
                          two students must not look at each other.
                           Student A must describe the drawing and give directions to student B in order to
                          help him draw the same picture on the board. Student B can ask questions to the
                          speaker.

                           Feed Back
                          At the end we compare the 2 drawings (the original one and the one on the
                          board) usually both will be quite different.Ask the students what difficulties they
                          have experienced during the exercise. Try to highlight the fact that being precise
                          when communicating is important if not the message given can be very different
                          from the one the receiver will understand.



                               3. Le matériel pédagogique

                                  Le matériel pédagogique permet de faciliter la transmission des
                        messages. Lors de mes formations je variais le plus possible le matériel
                        utilisé afin d’illustrer au mieux les formations.

                               a. Les aides visuelles

                                Les aides visuelles servent à illustrer les exposés, à clarifier les
                        démonstrations et à déclencher des réflexions de groupes. Ces aides
                        doivent être concises et ne comporter que les points importants.


                                    • Le paper-board
                                           paper-
                                 Je me servais du paper-board pour noter les informations ou les
                        réflexions des stagiaires, pour ensuite les accrocher dans la classe (et ainsi
                        pouvoir revenir dessus pendant la formation)

                                      •   Les transparents
  Dossier de VAE – Léa Bloom                                                                                    136
Missions /                                        Taches détaillées
  Activités                                  et Connaissances mises en œuvre

Mission 2 : La                   Je me servais du transparent surtout pour les exercices basés sur
formation               des images. Par exemple, pour illustrer un exercice sur la communication
Continue                non-verbale, les étudiants pouvaient visualiser les dessins ci-dessous et
                        participer ensemble à l’exercice
             Les
      Formations
                               Exercice : The non verbal communication




                                  Please look at these drawings and for each one, find the corresponding adjective
                                  to their feeling




                                    •   Les vidéos

                                L’utilisation des vidéos me permettait de filmer les étudiants
                        pendant les jeux de rôle et d’en faire une analyse dans la classe. Ceci
                        donnait l’opportunité aux étudiants de s’observer. C’était un support très
                        utile pour les jeux traitants de la communication.


                                    •   Les aides audio

                                Je faisais énormément d’enregistrement audio pour illustrer les
                        cours. Pour les prises de messages ou de commandes par exemple, je
                        demandais aux étudiants d’écouter la bande sonore et de noter les
  Dossier de VAE – Léa Bloom                                                                                   137
Missions /                                         Taches détaillées
  Activités                                   et Connaissances mises en œuvre

Mission 2 : La          informations pour les mettre en situation d’écoute.
formation
Continue
                               b. Les supports de cours
             Les
      Formations                 Je préparais pour chaque formation un support de cours que je
                        donnais aux étudiants en fin de stage. Ces supports étaient ludiques avec
                        une information concise, beaucoup d’illustrations et d’images. J’utilisais
                        peu de texte et des exemples adaptés au contexte culturel et économique
                        de la région (voir annexe 34: support de stage)


                               4. Le scenario pédagogique
                                     scenario pédagogi

                                Afin de finaliser la préparation de la formation je mettais en
                        place un scenario pédagogique qui me servait de support de cours.
                        C’était ma ligne directrice tout au long de la formation.

                                Ce document comportait les sous objectifs, les étapes pour
                        atteindre l’objectif, le matériel nécessaire et le temps de réalisation.

                      Subject         Important steps                                Material    Time
                                                                                     needed      needed

                      Organizing      Material                                       Projector   10 min for
                      your                                                                       the students
                      working         Write down a list of material, let the
                      area            students read it and then by groups of two                  15 min
                                      they must tick the ones that should stand at               Feedback
                                      the operator desk.                                         on the
                                                                                                 board
                                      When the students are finished the teacher
                                      shows the same list on the projector and
                                      then the students discuss on whether they                  5 min
                                      should have this material or not.              Projector

                                      Environment                                                Total:
                                                                                                 30 min
                                      Showing the two pictures about the
                                      environment to show the importance of
                                      working in a quiet place




  Dossier de VAE – Léa Bloom                                                                                138
Missions /                                             Taches détaillées
  Activités                                       et Connaissances mises en œuvre

Mission 2 : La        Attitudes        Attitude
formation             and skills                                                       Projector   20 min
                      needed           Show the picture “find the errors and
Continue
Continue                               why”, show it on the projector than the
                                       students must discuss about the errors
             Les                       down by the operator.
      Formations                       From the pictures we will find some rules
                                       concerning the attitude of the operator,
                                       writing the rules on a paper board, keep it
                                       in the class room during the training           Camera      5 min per
                                                                                       TV          film
                                       Skills                                                       10 min of
                                                                                                   feedback
                                       Show a small movie where the operator                       per film
                                       receives different phone calls, in each scene
                                       the operator is missing one skill the                       Total:
                                       students have to find which one. 5 movies,                  60min
                                       one per skill.




                               5. Les premiers contacts avec le groupe

                               a. Préparer sa salle

                                 Il est important que les stagiaires se sentent attendus quand ils
                        arrivent en formation. Il faut donc prendre un moment avant l’arrivée
                        des stagiaires pour préparer la salle, vérifier que le nombre de places est
                        suffisant, que l’on a le matériel nécessaire (souvent les formations courtes
                        nécessitent beaucoup de matériel, audio, vidéo, paper-board, et matériel
                        de jeux) créer en environnement chaleureux (ne pas hésiter à mettre des
                        posters).

                               b. Accueillir les participants

                               Les adultes arrivants dans une salle de formation ne se sentent
                        pas toujours à l’aise, c’était donc à moi d’aller vers les étudiants et
                        d’échanger quelques mots de manière informelle afin de les rassurer en
                        attendant que tout le monde arrivent.

                               c. Faire connaissance :

                                 Les participants aux formations avaient souvent une expérience
                        et un passé professionnel qu’ils étaient désireux de partager avec les
                        autres. Je prenais donc un moment pour que les participants
                        s’interviewent et présentent un autre stagiaire au reste de la classe.


  Dossier de VAE – Léa Bloom                                                                                    139
Missions /                                          Taches détaillées
  Activités                                    et Connaissances mises en œuvre

Mission 2 : La                   Premièrement, les étudiants prenaient le temps de se connaitre
formation               individuellement pendant l’interview et ils se sentaient ensuite plus à
Continue                l’aise de présenter une autre personne plutôt qu’eux même. Je n’oubliais
                        jamais non plus de me présenter au groupe.
             Les
      Formations               d. Recueillir les attentes

                                Chaque participant a, en général, des attentes différentes par
                        rapport au stage, certains viennent de leur propre initiative, d’autres y
                        sont contraints.

                                 Je demandais à chacun d’exprimer leurs attentes et je notais les
                        réponses sur un paper-board (ensuite accroché dans la classe) pour voir si
                        les objectifs de chacun étaient atteints en fin de formation.

                                Je présentais ensuite le programme en expliquant les bénéfices
                        qu’ils pouvaient tirer des étapes de formation en les reliant à leurs
                        expériences.

                               e. Définir les règles de la formation :

                                 Il fallait quand même définir quelques règle sur le respect des
                        horaires, sur l‘écoute de l’autre, sur l’utilisation des techniques
                        participatives et actives pendant la formation.

                               6. Les méthodes d’évaluation


                                 La formation est un réel investissement pour les entreprises ou les
                        stagiaires. Il est donc important de pouvoir mettre en évidence les
                        compétences acquises tout au long de la formation afin d’évaluer le
                        retour sur investissement.

                                 Ce retour peut se manifester de différentes façons : Une plus
                        grande technicité, un regain de motivation, une communication plus
                        efficace. L’évaluation doit permettre de mettre en avant les écarts entre
                        les objectifs et les résultats de la formation pour mettre en place des
                        actions correctives.

                                Il n’est pas toujours évident de mesurer les résultats de la
                        formation car beaucoup de paramètres non maitrisables entre en jeux : la
                        volonté du stagiaire, la structure dans lequel l’employé travail, un
                        changement de direction etc.


                               a. Avant la formation

  Dossier de VAE – Léa Bloom                                                                           140
Missions /                                         Taches détaillées
  Activités                                   et Connaissances mises en œuvre

Mission 2 : La                    Comme expliqué précédemment il est important de décrire les
formation               objectifs et sous objectifs de la formation avant le commencement du
Continue                stage afin de savoir quels seront les critères à évaluer.
                                  Je faisais toujours valider ces objectifs par les responsables de
             Les        l’établissement demandeurs ou par le stagiaire.
      Formations
                                Je demandais en général au stagiaire de remplir une auto-
                        évaluation en début de stage afin qu’ils puissent évaluer eux même les
                        acquis après formation. (Voir annexe 35 : Grille d’auto-évaluation)

                               b. Pendant la formation

                                 Le formateur doit évaluer les acquis tout au long de la formation,
                        si l’on ne fait une évaluation qu’à la fin du stage il est déjà trop tard pour
                        corriger les choses.
                                 De plus il est important que les stagiaires se basent sur les acquis
                        précédents pour gravir les marches de l’escalier pédagogique.

                              Lors de mes formations, je pratiquais l’évaluation de manière
                        permanente de la manière suivante :

                                      •   Poser des questions pour voir si les savoirs sont bien été
                                          intégrés
                                      •   Demander aux stagiaires de reformuler
                                      •   Préparer des exercices actifs de mise en situation ou de
                                          simulation (jeu de rôle sur l’accueil client par exemple)
                                      •   Préparer des quiz et QCM
                                      •   Toujours faire un bilan de la journée précédente avec les
                                          stagiaires afin de leurs laisser le temps d’assimiler et de
                                          poser des questions supplémentaires ou de revenir sur
                                          certains points.


                               c. En fin de formation

                                 En fin de formation il est important de faire un bilan avec les
                        stagiaires.

                                Nous faisions un premier bilan oral en groupe pour savoir
                        comment ils pensaient utiliser leurs acquis sur leur lieu de travail, quelles
                        pourraient être les difficultés de mise en œuvre.

                                Puis je leurs demandais de remplir une fiche d’évaluation en
                        plusieurs points et un commentaire libre :




  Dossier de VAE – Léa Bloom                                                                             141
Missions /                                       Taches détaillées
  Activités                                 et Connaissances mises en œuvre

Mission 2 : La
formation                                Description                 Very good Good Bad Worst
Continue
                           Organisation and timing of the training
             Les
      Formations
                           Understanding of the contents


                           Quality of the practical courses


                           Quality of the theoretical courses


                           Quality of the material used


                           Overall appreciation


                                Ces fiches permettent de faire évoluer les formations, d’améliorer
                        et d’ajuster les méthodes. Elles doivent être exploitées pour les
                        formations suivantes.


                                           Conclusion :

                                Le projet de formation continue a eu du mal à démarrer dans le
                        contexte économique du pays en 2004 :

                                    •   Il n’y avait pas d’aides à la formation continue et les
                                        établissements prenaient en charge la totalité des coûts de
                                        formation.

                                    •   Les petits établissements ayant moins de moyens, ne
                                        voyaient pas l’intérêt d’investir sur les employés afin
                                        d’augmenter la qualité du service.

                                    •   Les grands établissements ou chaînes hôtelières menaient
                                        leurs formations en interne par le responsable des
                                        ressources humaines

                                    •   Les formations en journée continue et en horaires jour ne
                                        correspondaient peut être pas à la demande. Il aurait
                                        fallut aménager des demi journées ou cours du soir (nous
  Dossier de VAE – Léa Bloom                                                                          142
Missions /                                      Taches détaillées
Activités                                et Connaissances mises en œuvre

                                     n’avions pas les ressources nécessaires à l’époque)

                              N’ayant pas suivit le projet assez longtemps (seulement six mois
                      pour mettre en place et lancer le projet) je n’ai pas pu voir son
                      évolution, mais reste persuader qu’il y avait de réels besoins en formation
                      afin d’accompagner le développement extrêmement rapide du tourisme
                      dans cette région.



                                 Les savoirs Associés :

                                 •   Techniques de communication
                                 •   Techniques d'animation d'équipe
     Les Savoirs                 •   Méthodes d'analyse des besoins de formation
                                 •   Utilisation d'outils d'évaluation
                                 •   Ingénierie de la formation
                                 •   Utilisation d'outils et supports audiovisuel
                                 •   Utilisation d'outils bureautiques (traitement de texte,
                                     tableur,...)
                                 •   Techniques pédagogiques
                                 •   Conduite de projet




Dossier de VAE – Léa Bloom                                                                          143
Conclusion :

         Je pense que le métier de formateur nécessite de la passion, il faut aimer l’idée de
 transmettre un savoir à des publics divers, venant de tous horizons. Il est important de
 prendre plaisir à communiquer avec les stagiaires pour pouvoir évoluer. Personnellement, je
 me remets continuellement en question, ce qui me permet d’avoir une approche différente et
 de m’adapter au fil du temps. Le formateur ne sait pas tout, naturellement, mais il doit être
 curieux de sa propre discipline. Il faut aussi avoir un certain sens des priorités. Parfois, les
 demandes des stagiaires dépassent le référentiel de formation, Il faut donc les canaliser.

          Quand on est formateur, on accompagne des gens dans leur insertion
 professionnelle. Et qu’y a-t-il de plus beau que de donner à quelqu’un les clés pour qu’il
 trouve un travail ? Au-delà du titre qu’ils pouvaient obtenir, ma satisfaction, c’était que les
 stagiaires décrochent un poste après leur formation.



      Les principales qualités (savoir-être) mobilisées pour cet emploi :
                               (savoir-


           • L’adaptabilité et les Qualités relationnelles:
          Etant en face des groupes différents il faut savoir s'adapter à des publics divers en
 toutes circonstances. Cibler les besoins et percevoir les réactions individuelles et collectives.
 S'enrichir en permanence de nouvelles techniques et supports pédagogique.

          • Le sens de l’initiative :
         Pour animer les formations il faut savoir s’organiser et être autonome. Il faut un
 grand sens de l’initiative pour mener à bout les stages.

         • Le sens pédagogique :
        Malgré les techniques qui sont a disposition des formateurs il faut avoir un sens de la
 diplomatie et de la pédagogie pour animer ces formations de manière originale et attrayante.



                        webographie:
       Bibliographie et webographie:

- Le guide du nouveau formateur : (2002) – Isolde Feuillette-Cunningham - Edition Dunod

- Le Site Studya - www.studya.com – Les 1000 fiches métiers




  Dossier de VAE – Léa Bloom                                                                         144
Années et
  durée                                  Intitulé exact de la fonction occupée
d’exercice

                                            ADN INFORMATIQUE – Formateur
                                                             Installateur


                             7. l’Etablissement :

                                ADN informatique
                                Z.A du Puits d’Ordet
                                73490 La Ravoire

                                Tel: 04 79 72 96 26
                                Fax: 04 79 72 96 96
                                Email: info@adn-informatique.com
                                www.adn-informatique.com




                             a. Un peu d’histoire….

                              ADN Informatique a été créée le 1er mars 1980 par Monsieur
                      Audoin sous forme de S.A.R..L. (les initiales ADN se réfèrent au nom de
                      code que le fondateur, Monsieur Audoin, utilisait lors de ses sorties
                      aériennes).

                              Dès la fin 1987, le développement de la structure est tel que la
                      société voit son nombre de salariés s’accroître pour passer de 3 à 10 et
                      doit louer des bureaux secondaires.

                               En 1989, elle passe au statut de S.A, compte 27 employés, ouvre
                      son capital aux salariés et emménage dans ses locaux actuels. L’activité de
                      l’entreprise est orientée vers l’installation de solutions informatiques et le
                      suivi de l’exploitation des PME dans tous les domaines d’activité.

                              Dès 1995, l’activité internationale s’ouvre vers les pays à fort
                      potentiel touristique et de destination « bien-être ». A partir de 2000, la
                      plate forme mini informatique commence à régresser alors que la micro
                      informatique explose. C’est donc à cette période que l’activité principale
                      de la société va s’orienter vers des solutions de micro informatique.
                              NYMPHEA©, le logiciel de gestion des centres d’hydrothérapie,
                      devient alors le produit phare de la société et est entièrement repensé en

Dossier de VAE – Léa Bloom                                                                             145
Années et
  durée                                 Intitulé exact de la fonction occupée
d’exercice

                      1990 afin de s’adapter aux nouvelles technologies et aux évolutions de
                      ce domaine. La société s’adapte également à la demande croissante en
                      logiciel de gestion hôtelière et développe la solution HOMING© dès
                      1999.

                              Dès la fin 2005, ADN Informatique investit dans une société
                      basée à SOPHIA ANTIPOLIS, SOFTBOOKING qui développe un produit
                      complémentaire associable à HOMING.

                              Aujourd’hui la société a ouvert une succursale à Casablanca au
                      Maroc dans le but de développer le marché en Afrique. Et projette de
                      fusionner avec la société softbooking afin d’optimiser et de centraliser le
                      développement des logiciels et la commercialisation.


                             b. Les produits proposés par ADN:

                                       Nymphéa Spa : Destiné à la gestion commerciale,
                                       optimisation des ressources, gestion de la boutique et des
                                       stocks, gestion administrative (comptabilité, clôture,
                                       rapports), La facturation, le contrôle d’accès, la vente et
                                       réservation en ligne.

                                       Nymphéa M3 Thermes : Les mêmes fonctionnalités que
                                       précédemment citées plus un système de téléfacturation
                                       directe avec les organismes de santés. Il gère plus
                                       spécifiquement les plannings de cure en prenant en
                                       compte la dimension médicale (prescriptions, prises en
                                       charges, médecins thermaux et prescripteurs)

                                       Nymphéa M3 Thalasso : Reprenant les mêmes
                                       fonctionnalités que précédemment citées mais avec des
                                       spécificités liées à la thalassothérapie.

                                       Enymphéa : Logiciel de vente et réservation en ligne.
                                       Réservation et mise à jour des plannings en temps réel,
                                       consultation de son compte, historique de factures et
                                       calendrier des soins, paiement sécurisé en ligne.

                                       Homing : Logiciel de gestion de l’hébergement.

                                       Interfaces : développent d’interfaces avec des logiciels
                                       hôteliers, des logiciels de contrôle d’accès et logiciels de
                                       comptabilité.


Dossier de VAE – Léa Bloom                                                                            146
Années et
  durée                                     Intitulé exact de la fonction occupée
d’exercice

                              Tous ses systèmes sont réalisés en mode client/serveur, avec le
                      langage DELPHI © exploitant la base de données relationnelle ORACLE
                      ©. Il est destiné prioritairement à des environnements graphiques
                      WINDOWS ©.


                             c. Les clients et Les partenaires

                             Nymphéa compte aujourd’hui plus de 200 clients partout dans
                      le monde. Depuis 2003 le chiffre d’affaire augmente d’environ 20% par
                      an pour attendre 2,55 millions en 2008.

                                           Les marques partenaires

                              Nous avons des grandes marques partenaires telles
                      qu’Algotherme, Cinq Mondes, Nuxe, Payot, Thalgo, Yonka qui nous
                      aident dans le développement du logiciel en nous communiquant les
                      développements indispensables pour être à la pointe des attentes clients.
                      Ceci est un des grands points forts d’ADN, les solutions proposées ont
                      été développées en partenariat avec ces marques.

                                           Les consultants : Hydro concept, Star Wellness, Unique
                                           Spa

                                           Les sociétés partenaires : Oracle (base de données),
                                           Skidata (contrôle d’accés), softbooking (réservation en
                                           ligne)



                             8. Le Poste :

                             d. Intitulé

                                 Formateur installateur

                             e. Responsabilités


                             •   Étude des besoins organisationnels dans le domaine de la
                                 gestion,
                             •   Conseil pour l’implantation du système d’information,
                             •   Installation des solutions métiers et intégration éventuelle avec
                                 d’autres systèmes de gestion,
                             •   Paramétrage des logiciels selon les processus définis avec le client

Dossier de VAE – Léa Bloom                                                                              147
Années et
  durée                                   Intitulé exact de la fonction occupée
d’exercice

                                 et formation des utilisateurs,
                             •   Suivi de l’exploitation et assistance.


                             f. Organigramme




Dossier de VAE – Léa Bloom                                                        148
Années et
  durée                                   Intitulé exact de la fonction occupée
d’exercice


                             g. Fiche de paie et contrat de travail




Dossier de VAE – Léa Bloom                                                        149
Années et
  durée                      Intitulé exact de la fonction occupée
d’exercice




Dossier de VAE – Léa Bloom                                           150
Années et
  durée                      Intitulé exact de la fonction occupée
d’exercice




Dossier de VAE – Léa Bloom                                           151
Années et
  durée                      Intitulé exact de la fonction occupée
d’exercice




Dossier de VAE – Léa Bloom                                           152
Missions /                                      Taches détaillées
  Activités                                et Connaissances mises en œuvre

Mission 1 :                                Mission 1 : Gestion de projets informatiques
Gestion de
projets
informatiques                    Le domaine du bien être est en pleine expansion et fait,
                        aujourd’hui partie intégrante de l’environnement touristique en France et
        La phase        à l’étranger. Le terme d’installateur formateur parait un peu réducteur
     préparatoire       par rapport aux missions et responsabilités que j’ai assurées chez ADN
                        informatique.

                      Ces missions comprenaient les points suivants :

                          • préparation du paramétrage du logiciel (propre à chaque centre),
                          • organisation des réunions de préparation (spa manager ou directeur du
                            centre, ingénieur informatique responsable du network),
                          • établissement des rétro-plannings d’installation et de formation,
                          • organisation des déplacements,
                          • coordination avec le spa-manager du travail en amont et en aval,
                          • installation en réseaux de la solution NYMPHEA M3,
                          • formation aux utilisateurs,
                          • organisation des réunions sur place avec les dirigeants des centres,
                          • réalisation de compte rendu
                          • suivi en exploitation,
                          • hotline et service après-vente…

                                 Il s’agissait à chaque fois d’une vraie gestion de projet, de la
                        préparation à la mise en place de la solution informatique pour les
                        centres.

                               Connaître le domaine informatique des logiciels de gestion est
                        un atout considérable dans le milieu de l’hôtellerie et du tourisme car il
                        permet d’améliorer la rentabilité d’un établissement.

                      Activité 1 : La phase préparatoire

                      la préparation

                      L’analyse des termes du contrat

                                J’analysais d’abord, les points principaux du contrat clients (voir
                        annexe 36 : exemple de contrat):

                                   •   Le type de serveur client : Ce type (serveur 2007 ou 2008
                                       en 32 ou 64 bits) pouvait changer le mode d’installation
                                       et les contraintes liées à la base données Oracle.


  Dossier de VAE – Léa Bloom                                                                          153
Missions /                                         Taches détaillées
  Activités                                   et Connaissances mises en œuvre

Mission 1 :                           •    Le nombre de licences informatiques, le nombre de
Gestion de                                postes à installer et le type de connexion (connexion en
projets                                   réseau ou bureau à distance). Ces éléments influençaient
informatiques                             le temps d’installation sur place.

        La phase                      •   Le type de base de données à installer : Oracle XE pour
     préparatoire                         un nombre de licences inférieur à deux et Oracle 10 G
                                          pour les centres avec plus de trois postes. Les bases 10G
                                          étaient beaucoup plus longues et compliquées à installer
                                          et comptaient dans le temps d’installation sur place.

                                      •   Le type de programme à installer : Système Spa, thalasso
                                          ou thermal

                                      •   Les prestations et le matériel supplémentaires commandés
                                          par le client : Nous avions différentes options lors de
                                          l’installation, le programme Nymphéa uniquement, nous
                                          pouvions aussi installer des impressions de cartes
                                          membres, des lecteurs de code barres, des interfaces
                                          (comptable, hôtelière), du contrôle d’accès avec un
                                          système de contrôle des entrées et sorties à travers des
                                          bornes.

                                      •    Le nombre de jours de formation prévu : Ce nombre de
                                          jours pouvait varier entre 4 et 15 jours suivant la taille du
                                          centre, les prestations comprises et le nombre de
                                          personnes à former.

                               h. L’analyse préparatoire de la structure

                                Après la phase commerciale et la signature du contrat, je me
                        mettais en relation avec le client pour déterminer ses attentes.

                                  J’ai mis en place un document d’analyse préparatoire (voir
                        annexe 37: Analyse préparatoire) Afin d’avoir les détails de la
                        configuration du centre, le nombre de cabines de soins, le nombre de
                        thérapeutes, les soins, forfaits, les abonnements et les autres prestations
                        offertes.

                                  Cela me permettait déjà de comprendre le fonctionnement et les
                        spécificités du centre afin de préparer le paramétrage du système. Le
                        système était entièrement paramétrable pour être en adéquation totale
                        avec la structure client.

                                 Je contactais souvent les clients pendant cette phase afin de
                        préciser et de clarifier le plus possible ses attentes en les traduisant par

  Dossier de VAE – Léa Bloom                                                                              154
Missions /                                         Taches détaillées
  Activités                                   et Connaissances mises en œuvre

Mission 1 :             rapport au notre système informatique. Il s’agit vraiment de pouvoir
Gestion de              analyser et traduire les demandes.
projets
informatiques                  i. La mise en contact avec les autres intervenants

                                  Suivant les termes du contrat, je devais souvent me mettre en
        La phase
     préparatoire       rapport avec les prestataires informatique du centre pour être sûre que
                        l’installation du serveur et du réseau était prête.

                                Je devais, par ailleurs me mettre en contact avec les intervenants
                        contrôle d’accès (l’équipe de ski data qui faisait toute l’installation des
                        bornes de contrôle) pour vérifier l’avancement de leur coté et pour
                        prévoir une journée de test commune.

                                Si le client commandait des interfaces avec des systèmes hôteliers
                        je contactais le responsable projet interface (Fidelio par exemple) pour
                        prévoir une demi-journée d’installation et de tests d’interface.

                                 Certains projets nécessitaient une phase de coordination avec de
                        nombreux partenaires (pas toujours évidente car chacun gérait d’autres
                        projets en même temps).

                               j. La préparation du déplacement

                                 Je me mettais ensuite en accord avec le client pour finaliser les
                        conditions de déplacement, mode de transport, type d’hébergement etc.
                        le client prenait toutes les dépenses à sa charge lors des déplacements.
                        Une fois ces informations notifiées par écrit, j’organisais le déplacement
                        avec l’aide du secrétariat (réservation de billet, location de voiture etc.)


                                     mise                paramétrage
                               1. La mise en place et le paramétrage

                                En général les formations ce faisaient en deux fois, la première
                        pour l’installation technique et le paramétrage du programme et une
                        deuxième à deux semaines d’intervalle pour l’utilisation.


                               a. L’installation

                                 L’installation de la base de données, du matériel et le
                        déploiement de Nymphéa sur les postes prenait entre une demie et une
                        journée entière. Nous faisions souvent fasse à des problèmes d’ordre
                        technique lors de cette phase et devions trouver des solutions rapides
                        afin de ne pas perdre trop de temps et pouvoir avancer sur le
                        paramétrage. Cette partie était la plus compliquée pour moi car elle
                        nécessitait une bonne connaissance technique de l’informatique, des
  Dossier de VAE – Léa Bloom                                                                           155
Missions /                                        Taches détaillées
  Activités                                  et Connaissances mises en œuvre

Mission 1 :             installations en réseau etc. N’ayant pas étudié dans ce domaine
Gestion de              d’activité, j’ai appris en faisant fasse à des situations et des
projets                 problématiques diverses.
informatiques
                               Les clients, n’ayant, en général, pas une compréhension très
                        étendue de l’informatique, avaient parfois du mal à comprendre les
        La phase
     préparatoire       problématiques que nous pouvions rencontrer. Il fallait faire preuve de
                        beaucoup de tact et de diplomatie afin d’en expliquer les raisons.

                               b. La mise en place

                                 Une fois l’installation terminée, j’organisais une réunion avec les
                        membres de la direction et chefs de service pour remettre à plat les
                        attentes et voir si nous pouvions bien répondre à toutes leurs demandes
                        ou si certaines applications devraient être développées par la suite.

                                Des questions importantes étaient soulevées pendant cette
                        rencontre :

                                      •   Déterminer la ventilation du chiffre d’affaire
                                      •   Analyse des ventes (les familles de soins à mettre en place)
                                      •   Type de valorisation du stock
                                      •   Type d’éléments à extraire pour faire le suivi clientèle (les
                                          critères d’analyse)

                                 Il ne faut pas oublier que Nymphéa est avant tout un outil de
                        gestion et de vente qui doit permettre d’extraire les données nécessaires
                        au développement du centre. Les questions précédentes devaient être
                        déterminées dés le début de la formation pour ne pas revenir dessus une
                        fois le paramétrage terminé.

                               c. Le paramétrage

                               Le paramétrage du système devait être fait avec le responsable
                        pour qu’il soit ensuite capable de changer ou mettre à jour le système de
                        manière autonome pour suivre l’évolution son activité.


                      Activités 2 : La mise en place de l’outil informatique

                                 L’outil informatique est une aide considérable pour gérer son
                        entreprise. Les bases clients permettent aujourd’hui aux entreprises du
                        tourisme de développer un marketing relationnel. Le marketing
                        relationnel vise à créer et animer une "relation" entre une marque et son
                        marché cible. Le marché cible peut correspondre aussi bien à la clientèle
                        établie qu'aux clients potentiels (prospects).

  Dossier de VAE – Léa Bloom                                                                              156
Missions /                                         Taches détaillées
  Activités                                   et Connaissances mises en œuvre

Mission 1 :
Gestion de                      Les progrès technologiques (base de données), ont grandement
projets                 contribué à l'avènement du marketing relationnel qui se veut avant tout
                        un marketing axé sur les besoins du public cible.
informatiques
                                C’est pour cette raison que nous avons développé de nombreux
        La mise en
          place de      outils de centralisation de données clients, de marketing direct et de
            l’outil     gestion dans Nymphéa.
     informatique
                               1. Les outils de marketing dans Nymphéa

                               a. Le système d’information marketing

                                 Nous avons développé des outils de collecte de données
                        clientèle afin de pouvoir segmenter et suivre les clients.

                                          Le fichier client

                               Nous mettions à disposition des fiches clients et prospects
                        paramétrables pour les centres :

                                      •   Les informations basiques : nom, prénom, coordonnées

                                      •   Des données destinées à définir les profils des
                                          consommateurs : ces critères étaient libres et définis par
                                          les centres. Par exemple la tranche d’âge, la connaissance
                                          du centre, le parrainage, la CSP etc. Toutes ces données
                                          pouvaient ensuite être extraites pour pratiquer des
                                          politiques de marketing ciblées.

                                Les données pouvaient ensuite être traitées afin de connaître le
                        chiffre d’affaire du client, le nombre de visites, les habitudes de
                        consommation etc.




  Dossier de VAE – Léa Bloom                                                                           157
Missions /                                        Taches détaillées
  Activités                                  et Connaissances mises en œuvre

Mission 1 :
Gestion de
projets
informatiques
informatiques

        La mise en
          place de
            l’outil
     informatique




                               b. Le marketing direct

                                 Le marketing direct a pour vocation d’établir des relations
                        directes avec le client. Il consiste à collecter et exploiter des informations
                        individuelles dans une base de données pour ensuite créer une relation
                        personnelle.

                               La personnalisation du message n’est donc pas seulement liée au
                        segment mais directement à chaque consommateur.

                                 Nymphéa permettait d’extraire des informations relatives aux
                        habitudes de consommation et d’envoyer des messages nominatifs aux
                        clients par le biais de différents outils du marketing direct.

                                Après sélections des listes des consommateurs dans un outil
                        d’extraction statistique (avec plus d’une centaine de critères), le message
                        pouvait être envoyé sous différentes formes :




                                      •   Le mailing et publipostage : Une méthode plus
                                          traditionnelle qui servait surtout aux centres thermaux
                                      •   Le emailing et le smsing : des techniques plus récentes
                                          avec comme avantage, la réception directe et le coût

  Dossier de VAE – Léa Bloom                                                                             158
Missions /                                        Taches détaillées
  Activités                                  et Connaissances mises en œuvre

Mission 1 :                              faible.
Gestion de
projets
informatiques

        La mise en
          place de
            l’outil
     informatique




                               Ces techniques permettent d’envoyer des promos, des offres, les
                        nouveautés, les rappels de rendez-vous et de fin d’abonnements etc.

                               c. Les programmes fidélité

                                 La fidélisation de la clientèle est un objectif central pour les
                        acteurs du tourisme. Elle permet de développer des relations privilégiées
                        avec les meilleurs clients de l’entreprise.

                                 Nymphéa offrait la possibilité de mettre en place des
                        programmes de fidélité en paramétrant un système de points acquis au
                        moment de la facturation client. Le centre mettait ensuite un système de
                        palier avec des prestations offertes pour récompenser les bons clients.

                                Des cartes de fidélité pouvaient être imprimées directement
                        depuis le système avec le nom, prénom et la photo du client. Ceci
                        permettait aux clients de vraiment se sentir « membre » du centre de bien
                        être.

                                Nous mettions à disposition un système de suivi des programmes
                        de fidélité sur les fiches clients pour pouvoir suivre les acquis et les
                        consommations de chaque membre.



  Dossier de VAE – Léa Bloom                                                                        159
Missions /                                        Taches détaillées
  Activités                                  et Connaissances mises en œuvre

Mission 1 :
Gestion de
projets
informatiques

        La mise en
          place de
            l’outil
     informatique




                               d. Les abonnés

                                 Nous gérions aussi les abonnements clients. Ces abonnements
                        pouvaient être gérés en séances (10 séances d’aquagym), en temps (20
                        heures de massages), en entrées avec une durée de validité. Ces systèmes
                        permettent aux centres, de fidéliser leur clientèle et de faire des offres
                        spéciales destinées à ces abonnés.

                                  Nous suivions les consommations et toutes les données
                        statistiques de ce segment, avec des relances automatiques en fin
                        d’abonnement.


                                                gestion
                               2. Les outils de gestion dans Nymphéa

                               a. La gestion des stocks

                                 L’outil informatique de gestion permet une valorisation et un
                        suivi exact de l’état des ses stocks.

                                          Les produits d’achats

                                Nous pouvions rentrer la liste des produits d’achats : Les produits
                        de ventes, les produits cabines, les produits entretiens et accessoires.

                                Pour chaque produit il fallait définir le conditionnement, les
                        stocks minimum et maximum et le type de valorisation (Prix d’achat

  Dossier de VAE – Léa Bloom                                                                          160
Missions /                                      Taches détaillées
  Activités                                et Connaissances mises en œuvre

Mission 1 :             moyen pondéré ou dernier prix d’achat).
Gestion de
projets
informatiques

        La mise en
          place de
            l’outil
     informatique




                                       Les fournisseurs

                                 Il fallait ensuite renseigner les informations concernant les
                        fournisseurs afin de mettre en place des bons de commandes et de
                        livraisons.

                                       Les entrées : Les commandes et livraisons

                                Il était possible de faire ses commandes (voir annexe 38 : Bon de
                        commande) directement depuis Nymphéa en renseignant le nom du
                        fournisseur, les produits à commander et le prix d’achat HT.

                                 A la livraison, les centres retournaient sur leur commande afin de
                        renseigner les produits réceptionnés et la quantité. Toute commande
                        partiellement livrée était notifié et ressortait sur le prochain bon de
                        livraison (voir annexe 39 : Bon de livraison)


                                       Les Sorties : Les fiches techniques et ventes

                               Pour créer des mouvements de sortie de stock, tous les produits
                        boutique étaient suivis en stock, donc chaque vente créait des sorties
                        automatiques de stocks.

                                 Les soins en cabines pouvaient aussi contenir des fiches
                        techniques avec le produit utilisé, la quantité et le produit en croix
                        permettant d’obtenir le coût produit pour chaque soin. Chaque vente de
                        soins créait ainsi des sorties de stock en produit cabine.




  Dossier de VAE – Léa Bloom                                                                          161
Missions /                                       Taches détaillées
  Activités                                 et Connaissances mises en œuvre

Mission 1 :
Gestion de
projets
informatiques

        La mise en
          place de
            l’outil
     informatique




                                        Les mouvements

                                 Il y avait aussi la possibilité de rentrer des mouvements de stocks
                        positifs ou négatifs avec la raison du mouvement (Produit périmés,
                        cassés, manquants etc.)




                                        Les inventaires :

                                 Le système permettait de faire un inventaire de départ, puis il
                        incrémentait automatiquement les entrées et sorties enregistrées pour
                        ensuite fournir un stock théorique à comparer au stock réel.

                                        Les éditions :

                                  Quelques éditions      intéressantes   permettent   d’obtenir   des
                        statistiques sur les stocks :

                                  • La valorisation du stock pour connaître la valeur de son stock
                               à une date donnée. (voir annexe 40 : Valorisation du stock)

                                  • Les minimum et maximum : (voir annexe 41 : Minimum /

  Dossier de VAE – Léa Bloom                                                                            162
Missions /                                        Taches détaillées
  Activités                                  et Connaissances mises en œuvre

Mission 1 :                    Maximum) Pour éditer la liste des produits qui sont en dessous ou
Gestion de                     au dessus du maximum défini dans la fiche du produit d’achat
projets                        (outils qui aide à faire ces commandes)
informatiques
                                  • Les marges : Permettant de calculer les pourcentages de
        La mise en             marges sur les ventes produits (voir annexe 42: Marges)
          place de
            l’outil               • Les prévisions de commande : Rapport basé sur les
     informatique              commandes de l’année précédente mois par mois.



                               b. Les contrôles

                               L’outil informatique permet aussi de croiser des données afin de
                        procéder à des contrôles de son activité.

                                         Les feuilles de caisse

                                 La feuille de caisse doit être éditée chaque jour avant clôture des
                        comptes. Elle contient tous les enregistrements de caisse reçus
                        informatiquement qu’il faut ensuite comparer à la caisse physique. Les
                        paiements sont regroupés par type, avec les factures correspondantes et
                        le total pour chaque mode de règlement. (voir annexe 43 : Feuille de
                        caisse)

                                         Les dossiers à facturer

                                Il s’agit de la liste des dossiers clients qui ont un encours avec une
                        date de vente au jour d’aujourd’hui mais qui n’ont pas été facturés. La
                        date de vente peut très bien ne pas correspondre à la date de
                        consommation du client. Il est donc important de vérifier que la date de
                        vente soit la même que la date de rendez-vous du soin. En fin de
                        journée, il ne devrait pas y avoir de dossiers à facturer restants.

                                         Les impayés

                                L’édition des impayés (les encours facturés mais non réglés) peut
                        être de deux types : les impayés masters groupe qui seront réglés dans les
                        30 jours après facturation et les impayés individuels. La liste des impayés
                        individuels ne devraient normalement contenir aucun dossier en fin de
                        journée.

                                         Les factures et encaissements

                                   Le rapport des factures en encaissements donne un état de toutes

  Dossier de VAE – Léa Bloom                                                                             163
Missions /                                         Taches détaillées
  Activités                                   et Connaissances mises en œuvre

Mission 1 :             les ventes et de la ventilation du Chiffre d’affaire par service
Gestion de              d’exploitation (voir annexe 44 : Factures et encaissements)
projets
informatiques                  c. Les autres éditions :

                                   D’autres éditions intéressantes sont disponibles :
        La mise en
          place de
            l’outil                Les arrhes en cours
     informatique                  Les bons cadeaux en cours (chiffre d’affaire constaté d’avance)
                                   Les raison des remises et offerts
                                   Les statistiques de ventes etc…

           Le suivi
                      Activité 3 : Le suivi


                               1. Les rapports de formation

                                  Chaque formation faisait l’objet d’un rapport à faire signer par le
                        client. (voir annexe 45 : Rapport de formation)

                                   Ces rapports contiennent les points suivants :

                                      •   Le nom de l’établissement, les dates de formation, les
                                          participants etc.…
                                      •   Les conditions particulières (Une serveur non installé, des
                                          postes qui ne sont pas arrivés etc.)
                                      •   Les points abordés jour par jour
                                      •   Les demandes clients (demandes d’aménagements)
                                      •   Les bugs informatiques signalés pendant la formation
                                      •   Les points à suivre par le client et par ADN informatique

                                 Ce rapport était la base nécessaire au suivi du client. Il
                        permettait aussi de communiquer, au service de développement du
                        programme, les problèmes et choses à améliorer. Ce point est
                        extrêmement important car il aide l’entreprise à mieux adapter son
                        produit aux demandes du marché.

                                 Etant aussi en charge du service après vente et du support
                        technique nous suivions les clients (qui payaient une prestation de
                        support techniques).
                               a. Les mises à jour

                                 Lors de la sorties de nouvelles options ou de la correction de
                        bugs, je préparais des fiches de suivis de versions (voir annexe 46 : Suivi
                        de version) à envoyer aux clients pour les informer des nouveautés.

  Dossier de VAE – Léa Bloom                                                                            164
Missions /                                        Taches détaillées
  Activités                                  et Connaissances mises en œuvre

Mission 1 :             Nous faisions ensuite, à distance, des mises à jour de leur système
Gestion de              informatique.
projets
informatiques                  2. Le support technique

                                  Nous devions répondre à la ligne téléphonique de support et
                        faire face à de nombreuses questions d’utilisation, régler de nombreux
           Le suivi
                        problèmes de facturation, de comptabilité, de gestion des stocks et
                        autres.

                                 Cet aspect du travail était très formateur car il nécessitait une
                        très bonne écoute, une compréhension rapide et surtout une capacité
                        d’être réactif et de trouver des solutions rapidement.

                                  Les savoirs associés

                                      •   Outils de planification et de suivi
                                      •   Procédures d'élaboration d'un plan de tests (étapes,
                                          scénario)
                                      •   Méthodes d'analyse (fonctionnelle)
                                      •   Modélisation informatique
                                      •   Utilisation d’un outil informatique spécialisé
                                      •   Connaissance      du      langage    de     développement
                                          informatique
                                      •   Connaissance      du     fonctionnement      d’un   réseau
                                          informatique
                                      •   Connaissances des techniques de connexion à distance




      Conclusion :

         N’ayant jamais fait d’informatique avant de rentrer chez ADN, j’ai eu une période
 d’apprentissage très intensive afin de rattraper le niveau de connaissance nécessaire pour
 exercer ce métier.

         Si des bases techniques solides sont évidemment indispensables, d'autres qualités,
 axées sur la pédagogie, s'imposent : une bonne communication orale, des capacités à animer
 un groupe et l'aptitude à transmettre des savoir-faire et des connaissances.

         Cela m’a permis de renforcer ma connaissance dans le domaine de la formation mais
 aussi de découvrir deux métiers importants du service : l’informatique et le bien-être qui
 explose en ce moment.


  Dossier de VAE – Léa Bloom                                                                           165
Lors de mes diverses missions je me suis retrouvée face à des clients très différents
devant sans cesse m’adapter à leurs attentes et demandes, à de nouvelles structures, de
nouvelles équipes et différents niveaux d’exigences.

        Bien qu’extrêmement stressant mon poste chez ADN m’a permis de développer de
nouvelles compétences et de surmonter de nombreux challenges.



    Les principales qualités (savoir-être) mobilisées pour cet emploi :
                             (savoir-


         • L’adaptabilité

         Les formations se faisaient dans les établissements clients, je me déplaçais partout en
Europe et devais sans cesse m’intégrer dans de nouvelles équipes avec des chefs
d’établissements aux caractères très divers.

         • La résistance au stress:

         Ayant 400 clients pour seulement 4 installateurs formateurs, il fallait être capable de
travailler très rapidement et de définir des priorités dans les demandes. Le matériel
informatique étant un gros investissement pour les clients ils avaient beaucoup d’exigences
par rapport au système.

         • Le sens de la négociation :

        Faire face à des clients qui ont des attentes diverses et pour certaines irréalisables
(une fois traduite en langage informatique) il faut être capable de négocier afin d’arriver à un
consentement sur d’autres solutions possibles.




Dossier de VAE – Léa Bloom                                                                         166
Conclusion




              Ce travail de rédaction a été l’occasion pour moi de formaliser mon
      parcours professionnel en reliant mes expériences pratiques à des connaissances
      plus théoriques autour des ressources humaines, de la gestion, formation,
      animation et leadership.


              Mes nombreuses expériences professionnelles m’ont donné une
      connaissance solide du domaine hôtelier, me permettant de développer des
      compétences et des qualités indispensables aux métiers du service.


               J’espère avoir démontré, que mes diverses missions aussi bien dans le
      domaine technique et managérial de l’hôtellerie que dans le domaine de
      l’ingénierie de la formation, me permettent d’avoir le niveau requis pour obtenir
      mon master 1 en gestion de l’hôtellerie.


              Suite à l'obtention de ce diplômeje souhaite d'intégrer le cursus de Master
      2 au sein de l’IMUS de Chambéry afin d' enrichir mon niveau d’expertise en
      gestion et de parfaire mon expérience pratique . J'espère ainsi, mettre tous les
      atouts de mon côté et afin d'atteindre des postes à hautes responsabilités au sein
      d’une structure hôtelière.


             Je vous remercie d’avance, pour toute l’attention que vous porterez à
      mon dossier et me réjouis de vous présenter mon parcours ainsi que mon projet
      personnel au cours de la prochaine session du jury au mois de juin.




Dossier de VAE – Léa Bloom                                                                  167
Pièces complémentaires

Attestation sur l’honneur




  Dossier de VAE – Léa Bloom       168
Pièce d’identité




  Dossier de VAE – Léa Bloom   169
LES ANNEXES




Dossier de VAE – Léa Bloom   170
Article Benoit Duchateau Arminjon   ANNEXE 1




Dossier de VAE – Léa Bloom                                                  171
Dossier de VAE – Léa Bloom   172
Statistiques touristique 2006 du Ministère du Tourisme   ANNEXE 2




Dossier de VAE – Léa Bloom                                                 173
Contrat de travail   ANNEXE 3




Dossier de VAE – Léa Bloom                                   174
Dossier de VAE – Léa Bloom   175
Emplois du temps des employés   ANNEXE 4




Dossier de VAE – Léa Bloom                                              176
Dossier de VAE – Léa Bloom   177
Evaluations   ANNEXE 5




Dossier de VAE – Léa Bloom                            178
Dossier de VAE – Léa Bloom   179
Exemple de formation   ANNEXE 6




Dossier de VAE – Léa Bloom                                     180
Recettes en images   ANNEXE 7




Dossier de VAE – Léa Bloom                                   181
Tableau de suivi des réunions   ANNEXE 8




Dossier de VAE – Léa Bloom                                              182
Les fiches produits   ANNEXE 09




Dossier de VAE – Léa Bloom                                     183
Code de conduite   ANNEXE 10




Dossier de VAE – Léa Bloom                                  184
La Noria et le tourisme participatif   ANNEXE 11




Dossier de VAE – Léa Bloom                                                      185
Fiche d’évaluation des chambres      ANNEXE 12

         Check          Room    Room    Room    Room    Room      Room    Room
                           N°      N°      N°      N°      N°        N°      N°
   The terrace
   The outdoor fan

   The outdoor light

   The indoor lights

   The indoor fan

   A/C

   Flower

   Water

   Bed

   Puppets
   Guest
   information
   Dresser (6
   hangers, mirror,
   laundry basket
   and towel)
   Light bathroom

   Hot water

   Jar

   Toilets

   Glasses and soap

   Ground general

   Ceiling general




Dossier de VAE – Léa Bloom                                                        186
Questionnaires de satisfaction   ANNEXE 13




Dossier de VAE – Léa Bloom                                                187
Pages internet   ANNEXE 14




Dossier de VAE – Léa Bloom                                188
Dossier de VAE – Léa Bloom   189
Menu Agences   ANNEXE 15




Dossier de VAE – Léa Bloom                              190
News Letter   ANNEXE 16




Dossier de VAE – Léa Bloom                             191
Article Guide de voyage   ANNEXE 17




Dossier de VAE – Léa Bloom                                     192
Fiches techniques Cuisine   ANNEXE 18




Dossier de VAE – Léa Bloom                                       193
Rapport de suivi de fréquentation - Restaurant   ANNEXE 19




Dossier de VAE – Léa Bloom                                            194
Fiche de sortie de stocks   ANNEXE 20




Dossier de VAE – Léa Bloom                                       195
Fiche suivi de stock restaurant   ANNEXE 21




Dossier de VAE – Léa Bloom                                             196
Tableau récapitulatif Restaurant   ANNEXE 22




Dossier de VAE – Léa Bloom                                              197
Tableau d’analyse des chambres   ANNEXE 23




Dossier de VAE – Léa Bloom                                            198
Tableau d’analyse des comptes   ANNEXE 24




Dossier de VAE – Léa Bloom                                           199
Menu du Bar   ANNEXE 25




Dossier de VAE – Léa Bloom                         200
Fiches techniques bar   ANNEXE 26




Dossier de VAE – Léa Bloom                                   201
Article The Independant   ANNEXE 27




Dossier de VAE – Léa Bloom                                     202
Articles l’Hotellerie.fr   ANNEXE 28




Dossier de VAE – Léa Bloom                                      203
Dossier de VAE – Léa Bloom   204
Programme Artistes en résidences   ANNEXE 29




Dossier de VAE – Léa Bloom                                              205
Dossier de VAE – Léa Bloom   206
Modules du Diplôme de Chef de la sécurité Incendie          30
                                                         ANNEXE 30




Dossier de VAE – Léa Bloom                                       207
Plan d’action : Programme de pré-qualification   ANNEXE 31
                                                            ANNEXE 31




Dossier de VAE – Léa Bloom                                              208
Les programmes de formation          32
                                                           ANNEXE 32




Dossier de VAE – Léa Bloom                                         209
Emploi du temps des formations          33
                                                              ANNEXE 33




Dossier de VAE – Léa Bloom                                            210
Exemple de supports de stages          34
                                                             ANNEXE 34




Dossier de VAE – Léa Bloom                                           211
Dossier de VAE – Léa Bloom   212
Grille d’auto évaluation   ANNEXE 35
                                                        ANNEXE 35




Dossier de VAE – Léa Bloom                                      213
Exemple de contrat          36
                                                  ANNEXE 36




Dossier de VAE – Léa Bloom                                214
Dossier de VAE – Léa Bloom   215
Dossier de VAE – Léa Bloom   216
Dossier de VAE – Léa Bloom   217
Dossier de VAE – Léa Bloom   218
Dossier de VAE – Léa Bloom   219
Analyse préparatoire   ANNEXE 37
                                                           37




Dossier de VAE – Léa Bloom                                  220
Bon de commande      ANNEXE 38




                               Bon de livraison   ANNEXE 39




Dossier de VAE – Léa Bloom                                221
Valorisation du stock   ANNEXE 30




                             Stock minimum et maximum      ANNEXE 41




                                             Les marges    ANNEXE
                                                           ANNEXE 42




Dossier de VAE – Léa Bloom                                         222
La feuille de caisse   ANNEXE 43




Dossier de VAE – Léa Bloom                                  223
Factures et encaissements   ANNEXE 44




Dossier de VAE – Léa Bloom                                       224
Rapports de formation   ANNEXE 45




Dossier de VAE – Léa Bloom                                   225
Dossier de VAE – Léa Bloom   226
Dossier de VAE – Léa Bloom   227
Dossier de VAE – Léa Bloom   228
Dossier de VAE – Léa Bloom   229
Suivi de version   ANNEXE 46




Dossier de VAE – Léa Bloom                              230
Dossier de VAE – Léa Bloom   231
Dossier de VAE – Léa Bloom   232
Dossier de VAE – Léa Bloom   233

Work experience Lea Bloom

  • 1.
    A Chambéry Le30/04/2010 Dossier de V.A.E Master 1 - Management de l'Hôtellerie DEPARTEMENT TOURISME - HOTELLERIE - LOISIRS SPECIALITE MANAGEMENT DE L'HOTELLERIE - MH [Année 2009/2010] Préparé par Léa Bloom 330 Rue de La Parpillette, 73490 La Ravoire – Tel : 06.47.52.82.52 – Email : lea.bloom@yahoo.com
  • 2.
    Dossier de VAE– Léa Bloom 2
  • 3.
    TABLE DES MATIERES Description de la formation .............................................................................................................................. 8 Diplômes et relevés de notes .......................................................................................................................... 13 Deug LEA Anglais – Allemand (Admise mention Assez Bien) .................................................................................................. 13 Deug IUP THTL – Gestion Hôtelière (Admise mention Bien) .................................................................................................. 15 Licence IUP THTL – Gestion Hôtelière (Admise mention Bien) .............................................................................................. 18 Maitrise IUP THTL – Gestion Hôtelière (Non-Admise) ............................................................................................................ 20 Autres diplômes ............................................................................................................................................. 21 Langue Allemande ................................................................................................................................................................... 21 Langue Espagnole .................................................................................................................................................................... 22 Prévention et secours physique Niveau 1................................................................................................................................ 24 LA NORIA – Directrice générale .......................................................................................................................... 26 .......................................................................................................................... ................................................................ 1. l’Etablissement : ........................................................................................................................................................ 26 2. Le Poste : ................................................................................................................................................................... 29 Mission 1 : Ressources Humaines.................................................................................................................... 34 Activité 1 : Recrutement, définition des postes et salaires...................................................................................................... 34 1. Réorganisation des postes dans l’entreprise ............................................................................................................. 34 2. Recrutement ............................................................................................................................................................. 35 3. Gestion du temps de travail et du personnel ............................................................................................................ 36 4. Rémunération ........................................................................................................................................................... 38 Activité 2 : Formation .............................................................................................................................................................. 40 1. Evaluation des besoins en formation ........................................................................................................................ 40 2. Mise en place d’un plan de formation ...................................................................................................................... 40 3. Les formations ........................................................................................................................................................... 40 Activité 3 : Leadership et animation ........................................................................................................................................ 43 1. Animation de réunions .............................................................................................................................................. 43 2. La gestion des conflits ............................................................................................................................................... 45 3. Animations ................................................................................................................................................................ 46 Mission 2 : Marketing et vente ....................................................................................................................... 48 Activité 1 : Personnalisation de l’image ................................................................................................................................... 48 1. Les fondements : ....................................................................................................................................................... 48 2. Les développements : ............................................................................................................................................... 49 Activité 2: Amélioration des services et de la qualité .............................................................................................................. 51 1. Amélioration des services ......................................................................................................................................... 51 2. Le sondage de la qualité : .......................................................................................................................................... 53 Activité 3 : développement des outils de ventes et de la communication .............................................................................. 54 1. La communication par les medias ............................................................................................................................. 54 2. La communication hors medias................................................................................................................................. 56 Mission 3 : La Gestion .................................................................................................................................... 58 Activités 1 : La gestion des stocks ............................................................................................................................................ 58 1. Les fiches techniques ................................................................................................................................................ 58 2. Vérification des prix d’achats et choix des fournisseurs ............................................................................................ 59 3. La détermination des quantités à commander ......................................................................................................... 59 4. Contrôle des stocks ................................................................................................................................................... 61 5. Les difficultés rencontrées ........................................................................................................................................ 62 Activité 2 : l’analyse des ventes et dépenses ........................................................................................................................... 62 1. Les ventes et encaissements ..................................................................................................................................... 63 2. Les outils d’analyse des ventes .................................................................................................................................. 64 Activités 3 : La conduite de projets.......................................................................................................................................... 66 1. Définition des objectifs ............................................................................................................................................. 67 2. La conception ............................................................................................................................................................ 67 3. Faisabilité .................................................................................................................................................................. 68 4. La réalisation ............................................................................................................................................................. 69 5. Le lancement et l’exploitation .................................................................................................................................. 70 Dossier de VAE – Léa Bloom 3
  • 4.
    ................................................................ .................................................... LE GERSHWIN – Directrice des ventes et de la réservation .................................................................................... 73 1. l’Etablissement : ........................................................................................................................................................ 73 2. Le Poste : ................................................................................................................................................................... 75 Mission 1 : Gestion des réservations et des ventes .......................................................................................... 80 Activité 1 : Définir les tarifs...................................................................................................................................................... 80 1. L’analyse des facteurs ................................................................................................................................................ 80 2. Les outils de La tarification ........................................................................................................................................ 82 Activité 2 : Gérer les ventes ..................................................................................................................................................... 87 1. Les différents modes de réservation ......................................................................................................................... 87 2. Gestion des ventes Agences ..................................................................................................................................... 88 3. Gestion des ventes distributeurs internet ................................................................................................................ 91 Activité 3 : Yield management ................................................................................................................................................. 93 1. Définition................................................................................................................................................................... 93 2. La gestion des réseaux de distribution ...................................................................................................................... 94 3. La gestion de l’overbooking ....................................................................................................................................... 97 4. Les avantages et les inconvénients du yield .............................................................................................................. 98 Mission 2 : Marketing et Communication ...................................................................................................... 100 Activité 1 : Gestion de la communication Evénementielle .................................................................................................... 100 1. Définition................................................................................................................................................................. 100 2. Les objectifs ............................................................................................................................................................. 102 3. Les avantages et les inconvénients de la Communication événementielle ............................................................. 103 Activité 2 : Mise en place du service de conférences ............................................................................................................ 104 1. La mise en place du service .................................................................................................................................... 104 2. L’organisation des événements ............................................................................................................................... 106 Mission 3 : Manager résident ....................................................................................................................... 108 Activité 1 : Responsable de la sécurité incendie.................................................................................................................... 108 1. Les responsabilités : ................................................................................................................................................ 108 2. Les évacuations : ..................................................................................................................................................... 109 Activités 2 : Gestion des différentes situations de crise ........................................................................................................ 109 1. La gestion des clients difficiles ................................................................................................................................ 110 2. La gestion de la maladie et décès............................................................................................................................ 110 L’ECOLE D’HOTELLERIE ET DE TOURISME PAUL DUBRULE-Responsable de la formation..................................... 113 DUBRULE- ..................................... 1. l’Etablissement : ...................................................................................................................................................... 113 2. Le Poste : ................................................................................................................................................................. 114 Mission 1 : Mise en place des procédures de recrutement ............................................................................. 122 Activité 1 : L’analyse de la situation ....................................................................................................................................... 122 1. Ancien processus de recrutement........................................................................................................................... 122 2. Constat de départ.................................................................................................................................................... 122 Activité 2 : La mise en place du nouveau processus .............................................................................................................. 124 1. Nouveau processus de recrutement ....................................................................................................................... 124 2. La description de la formation de pré-qualification ................................................................................................ 125 Mission 2 : La formation Continue ................................................................................................................ 128 Activité 1 : Développement de la formation continue .......................................................................................................... 128 1. La phase préparatoire ............................................................................................................................................. 128 Activité 2 : Les formations ..................................................................................................................................................... 131 1. La progression pédagogique ................................................................................................................................... 132 2. Les méthodes pédagogiques ................................................................................................................................... 133 3. Le matériel pédagogique ......................................................................................................................................... 136 4. Le scenario pédagogique......................................................................................................................................... 138 5. Les premiers contacts avec le groupe ..................................................................................................................... 139 6. Les méthodes d’évaluation ...................................................................................................................................... 140 Dossier de VAE – Léa Bloom 4
  • 5.
    ADN INFORMATIQUE –Formateur Installateur ................................................................................................ 145 Installateur ................................................................ ................................................................ 7. l’Etablissement : ...................................................................................................................................................... 145 8. Le Poste : ................................................................................................................................................................. 147 Mission 1 : Gestion de projets informatiques ................................................................................................ 153 Activité 1 : La phase préparatoire .......................................................................................................................................... 153 1. La mise en place et le paramétrage ........................................................................................................................ 155 Activités 2 : La mise en place de l’outil informatique ............................................................................................................ 156 1. Les outils de marketing dans Nymphéa .................................................................................................................. 157 2. Les outils de gestion dans Nymphéa ....................................................................................................................... 160 Activité 3 : Le suivi ................................................................................................................................................................. 164 1. Les rapports de formation ....................................................................................................................................... 164 2. Le support technique .............................................................................................................................................. 165 Conclusion ................................................................................................................................................... 167 Attestation sur l’honneur ...................................................................................................................................................... 168 Pièce d’identité ...................................................................................................................................................................... 171 Dossier de VAE – Léa Bloom 5
  • 6.
    Léa Bloom 330 Ruede la Parpillette 73 490 La Ravoire Tel : +33(0)6.47.52.82.52 Email : lea.bloom@yahoo.com Université de Savoie - IMUS 74944 ANNECY-LE-VIEUX CEDEX Le 30 Avril 2010 A l'attention des membres du jury de la V.A.E Objet : Validation des Acquis de l’expérience Madame, Monsieur, Je souhaite présenter mon dossier afin d’obtenir une Validation des Acquis de l’Expérience au sein de l’IMUS. Suite à mes études et de part diverses expériences en hôtellerie j’ai pu acquérir de solides connaissances techniques et surtout un réel goût pour la gestion, la formation et le leadership. Responsable, dynamique et créative, j'ai toujours relevé les challenges que l'on m'a confiés comme par exemple la reprise complète de gestion d'un hôtel-restaurant au Cambodge. A la tête de 42 employés, cette expérience dense m'a permise d'acquérir une vision complète du management ainsi que des stratégies de développement d’un établissement. Par la suite, à New York, en tant que Directrice des ventes d’un hôtel et espaces de conférences, j'ai piloté de nombreux projets d'amélioration des outils de ventes et de marketing, me permettant ainsi, d’atteindre de nouveaux marchés et de dépasser les objectifs de vente budgétés. Mon parcours professionnel m’a permis d’acquérir des expériences diverses et je souhaite, aujourd’hui, renforcer mes connaissances, solidifier et valoriser mon parcours. J’aimerais continuer à construire une carrière dans le milieu de l’hôtellerie et suis persuadée que l’obtention d’un niveau d’étude supérieur m’ouvrirai des portes professionnelles me permettant de continuer à évoluer. Espérant que vous me donnerez l’opportunité de soutenir mon dossier de Validation des Acquis de l’Expérience, je serais heureuse de vous présenter mon parcours ainsi que mon projet personnel au cours d’une prochaine session de jury. Dans cette attente, je vous prie de trouver ci-joint mon dossier de Validation des Acquis, retraçant mon parcours professionnel. Je vous prie d'agréer, Madame, Monsieur, l'expression de mes salutations distinguées. Léa Bloom Dossier de VAE – Léa Bloom 6
  • 7.
    Mon Curriculum Vitae Dossier de VAE – Léa Bloom 7
  • 8.
    formation Description de la formation Études, stages et séminaires Années et (libellés exacts) Acquis de formations (détail des durée Nom de l’Etablissement - Adresse enseignements, contenus, etc) Années Maitrise IUP MTHTL – Actions professionnelles : 2002/2003 Management de l’Hôtellerie • Rapport de stage IUP2 (stage tournant 1 mois IUP THTL – Université de Savoie de direction, voir plus bas) Domaine Universitaire de Jacob- Bellecombette - • Projet consultant : Route de Saint-Cassin Bâts 23/24 - BP 1104 - 73011 Etude sur les conséquences du tourisme CHAMBERY CEDEX sur des populations peu exposées en partenariat avec IUCN World Tél. : 04 79 75 91 40 Fax : 04 79 75 Conservation Union (Vietnam) 84 55 Participation à un projet de tourisme Défaillant : Obtention de 7 crédits responsable avec les minorités ethniques vietnamiennes et aide à la mise en place d’une formation adaptée pour les guides touristiques. Dossier de VAE – Léa Bloom 8
  • 9.
    Études, stages etséminaires Années et (libellés exacts) Acquis de formations (détail des durée Nom de l’Etablissement - Adresse enseignements, contenus, etc) Années Licence IUP MTHTL – Management Diagnostic : 2001/2002 de l’Hôtellerie • Diagnostic stratégique • Diagnostique financier 6 mois IUP THTL – Université de Savoie Domaine Universitaire de Jacob- Techniques de gestions: Bellecombette - Route de Saint-Cassin • Informatique de gestion Bâts 23/24 - BP 1104 - 73011 • Méthodologie de la recherche CHAMBERY CEDEX • Marketing et communication Tél. : 04 79 75 91 40 - Fax : 04 79 75 Anglais : 84 55 • Anglais société et culture • Anglais LTA2 Admis : Mention Bien (14.98) Allemand : • Allemand société et culture • Allemand LTA2 Spécialisation hôtelière : • Marketing hôtelier • Management hôtelier • Réglementation hygiène & concurrence • Sustainable tourism Developpement Actions professionnelles : Mars – Stage de direction Stage tournant de direction: Réception, Juillet Cuisine, Service de chambre, comptabilité et 2002 Victoria Sapa Hôtel administration. 5 mois Sapa District, Etude pour mon mémoire de maitrise : Lao Cai Province Vietnam IUCN World Conservation Union (Vietnam) Participation à un projet de tourisme Tél. : (+84) 203 4356 responsable avec les minorités ethniques Fax : (+84) 203 4345 vietnamiennes, aide à la mise en place d’une formation adaptée pour les www.victoriahotels.asia guides touristiques. Dossier de VAE – Léa Bloom 9
  • 10.
    Études, Études, stages et séminaires Années et (libellés exacts) Acquis de formations (détail des durée Nom de l’Etablissement - Adresse enseignements, contenus, etc) Années Management Deug IUP MTHTL – Management Connaissance des Marchés : 2000/2001 de l’Hôtellerie • Droit civil et commercial • Micro économie 9 mois IUP THTL – Université de Savoie • Sociologie et culture Domaine Universitaire de Jacob- • Environnement économique et Bellecombette - Route de Saint-Cassin géopolitique internationale Bâts 23/24 - BP 1104 - 73011 • Droit du travail CHAMBERY CEDEX • Droit des sociétés Tél. : 04 79 75 91 40 - Fax : 04 79 75 Gestion : 84 55 • Comportement des organisations • Statistiques • Comptabilité analytique Admis : Mention Bien (14.45) • Etudes de marchés • Marketing des services • Informatique Savoirs- Savoirs-faires associés : • Mener un diagnostic «complet» sur le fonctionnement d’une organisation (aspect RH, aspects financiers, aspects stratégiques, aspects organisationnels) • Réfléchir à l’influence de l’environnement économique et juridique sur le fonctionnement organisationnel • Aider une organisation à répondre aux besoins de son marché (consommateur) Anglais : • Anglais remis a niveau • Anglais perfectionnement • Anglais LTA1 et LTG Allemand : • Allemand remis a niveau • Allemand perfectionnement • Allemand LTA1 et LTG Savoirs- Savoirs-faires associés : • Comprendre, écouter, suivre des conférences et discours courants et professionnels • Lire, analyser des textes en langues étrangères Dossier de VAE – Léa Bloom 10
  • 11.
    Études, stages etséminaires Années et (libellés exacts) Acquis de formations (détail des durée Nom de l’Etablissement - Adresse enseignements, contenus, etc) • Parler et prendre part à une conversation dans des situations familières, présenter et défendre des opinions • S’exprimer clairement et développer un point de vue sur un sujet d’actualité oralement • Ecrire des textes et rapports clairs et détaillés sur des sujets ou thèmes donnés • Maîtriser deux à trois langues étrangères ainsi que la culture des pays concernés Hôtellerie : • Pratique restauration • Environnement hôtelier • Gestion d’une exploitation hôtelière • Marketing Hôtelier • Structure financière comptes hôteliers • Visites et conférences Savoir- Savoir-faire associés : • Comprendre la réalité de l’entreprise hôtelière dans son fondement et objectifs • Maîtriser les techniques de gestion- marketing : finances –ressources humaines - en matière d’hébergement touristiques • Développer une entreprise hôtelière en France et à l’étranger • Maîtriser la qualité et mettre en place une démarche appropriée dans une structure • Comprendre les mutations du marché, comportement des consommateurs et réaliser un plan d’actions commerciales Dossier de VAE – Léa Bloom 11
  • 12.
    Études, stages etséminaires Années et (libellés exacts) Acquis de formations (détail des durée Nom de l’Etablissement - Adresse enseignements, contenus, etc) Années Deug LEA : Anglais / Allemand Acquis de base : 2000/2001 Université de Savoie • Traduction anglaise 9 mois Domaine Universitaire de Jacob- • Phonétique anglaise Bellecombette - Route de Saint-Cassin • Compréhension allemande Bâts 23/24 - BP 1104 - 73011 • Version Allemande CHAMBERY CEDEX Tél. : 04 79 75 91 40 - Fax : 04 79 75 Grammaire : 84 55 • Grammaire anglaise • Grammaire Allemande Admis : Mention Assez Bien Option Découverte : • Espagnol Approfondissement : • Langue technique anglaise • Traduction anglaise • Langue technique allemande • Thème allemand Méthodologie : • Méthodologie de la recherche et information • Méthodologie et expression Monde économique et social : • Système politique • Organisation entreprise • Comptabilité générale • Economie Dossier de VAE – Léa Bloom 12
  • 13.
    Diplômes et relevésde notes Deug LEA Anglais – Allemand (Admise mention Assez Bien) Bien) Dossier de VAE – Léa Bloom 13
  • 14.
    Dossier de VAE– Léa Bloom 14
  • 15.
    Deug IUP THTL– Gestion Hôtelière (Admise mention Bien) Bien) Dossier de VAE – Léa Bloom 15
  • 16.
    Dossier de VAE– Léa Bloom 16
  • 17.
    Dossier de VAE– Léa Bloom 17
  • 18.
    Licence IUP THTL– Gestion Hôtelière (Admise mention Bien) Bien) Dossier de VAE – Léa Bloom 18
  • 19.
    Dossier de VAE– Léa Bloom 19
  • 20.
    Maitrise IUP THTL– Gestion Hôtelière (Non-Admise) (Non- Dossier de VAE – Léa Bloom 20
  • 21.
    Autres diplômes Langue Allemande Dossier de VAE – Léa Bloom 21
  • 22.
    Langue Espagnole Dossier de VAE – Léa Bloom 22
  • 23.
    Dossier de VAE– Léa Bloom 23
  • 24.
    Prévention et secoursphysique Niveau 1 Dossier de VAE – Léa Bloom 24
  • 25.
    Dossier de VAE– Léa Bloom 25
  • 26.
    Partie II :Expériences Professionnelles Années et durée fonction Intitulé exact de la fonction occupée d’exercice Juillet 2005 – Aout 2006 13 mois LA NORIA – Directrice générale 1. l’Etablissement : l’Etablissement a. Un peu d’histoire…. L’hôtel La Noria a été créé en 1999 par Benoit Duchateau Arminjon. Fondateur d’une des plus importantes organisations non gouvernementales du Cambodge ; Krousar Thmey. Il a ouvert deux hôtels indépendants, La Noria et Le Borane afin d’obtenir des financements et de communiquer sur l’association. (voir annexe 1 : Article Benoit Duchateau Arminjon) b. Contexte touristique du pays et de la région : Le Cambodge est un pays en pleine expansion touristique grâce aux Temples d’Angkor, un des plus beaux sites archéologiques au monde. L’augmentation de la sécurité des dernières années, après une période de L’association Krousar Thmey guerre civile, a permis un développement touristique rapide surtout sur la région de Siem Reap. En 2005-2006, période de mon activité, le Cambodge recevait 1 700 000 touristes par an, avec une durée moyenne de séjour de 6,5 jours. Dossier de VAE – Léa Bloom 26
  • 27.
    Années et durée fonction Intitulé exact de la fonction occupée d’exercice Le taux d’occupation moyen des hôtels sur 2006 était de 54,79% et le revenu touristique de 1,049 millions de dollars. Les visiteurs de nationalités Coréenne et Japonaise représentent 25% des arrivées (tourisme de proximité, voyages organisés en groupe). Le marché Européen de voyageurs indépendants (Clients cibles de l’hôtel) ne représente que 10% des arrivées. Le parc hôtelier sur la région de Siem Reap représente 4500 chambres et plus de 150 hôtels pour une ville de 750 000 habitants (voir annexe 2 : Statistiques officielles du ministère du tourisme). Nous pouvons considérer qu’il y a une forte concurrence au niveau de l’offre hôtelière avec une grande concentration d’hôtels sur une zone géographique réduite. Cette destination touristique propose une gamme de confort et de prix très variables, allant du petit budget au haut de gamme. Nous étudierons plus loin la difficulté de se positionner pour un hôtel de gamme moyenne. c. Présentation de l’établissement : Photos de l’hôtel La Noria est un hôtel de caractère avec 28 chambres et un restaurant de 100 couverts. Dispersé à travers un magnifique jardin tropical, cet hôtel se compose de 7 maisons, chacune divisée en 4 chambres. Afin d’offrir un séjour culturel et authentique aux clients, toutes les chambres sont construites et décorées avec des matériaux et de l’artisanat Cambodgien (par exemple des jarres d’eau dans la salle de bain pour prendre une Dossier de VAE – Léa Bloom 27
  • 28.
    Années et durée fonction Intitulé exact de la fonction occupée d’exercice douche traditionnelle). L’hôtel propose plusieurs services tel qu’un restaurant, un bar, un centre de massage (massages par les élèves non-voyants de l’école Krousar Thmey), une piscine, l’organisation d’excursions éthiques et solidaires, transports et guides. Cet établissement est un représentant du tourisme solidaire. Lors de mon activité, j’ai pu continuer à développer de nombreux partenariats avec des associations locales telles que : • Krousar Thmey, première fondation cambodgienne pour les enfants défavorisés en proposant des formations dans les domaines de la musique, de la danse traditionnelle et du théâtre d’ombres, massages. www.krousar-thmey.org • Les Soieries du Mékong, qui forment aux métiers de la soie (de la fabrication au tissage.) www.soieriesdumekong.com Logo Friends • Friends international, qui lutte pour la prévention du tourisme sexuel. International www.friends-international.org d. Quelques chiffres Les chambres Seulement deux types de chambres, double ou twin avec ventilateur (rack rate à 29usd) et avec air conditionné (rack rate à 39usd). Les données suivantes concernent l’année 2005 Le taux d’occupation moyen 77% Le prix de vente moyen 34 US$ Le restaurant Nombre de couverts moyen / jour 70 Dépense moyenne par client 15 US$ Dossier de VAE – Léa Bloom 28
  • 29.
    Années et durée fonction Intitulé exact de la fonction occupée d’exercice 2. Le Poste : a. Intitulé Directrice Générale de l’Etablissement b. Responsabilités Responsable de toutes les opérations journalières de l’Hôtel et du Restaurant. Mes responsabilités incluaient les ressources humaines, la vente et le marketing, la relation clientèle, la supervision des équipes et des services, le maintien de l’établissement, information et report au propriétaire. c. Organigramme 47 employés divisés en cinq départements : Administratif, Cuisine, Restaurant et Bar, Chambres et maintenance /sécurité. La structure comporte 6 chefs de départements, 5 assistants et 1 directrice générale. Dossier de VAE – Léa Bloom 29
  • 30.
    Années et durée fonction Intitulé exact de la fonction occupée d’exercice Dossier de VAE – Léa Bloom 30
  • 31.
    Années et durée fonction Intitulé exact de la fonction occupée d’exercice d. Lettre de recommandation Dossier de VAE – Léa Bloom 31
  • 32.
    Années et durée fonction Intitulé exact de la fonction occupée d’exercice e. Fiche de paie et certificat de travail Dossier de VAE – Léa Bloom 32
  • 33.
    Années et durée fonction Intitulé exact de la fonction occupée d’exercice Dossier de VAE – Léa Bloom 33
  • 34.
    Missions / Taches détaillées Activités et Connaissances mises en œuvre Mission1 : Les Mission 1 : Ressources Humaines Ressources humaines Activité 1 : Recrutement, définition des postes et salaires Recrutement, 1. Réorganisation des postes dans l’entreprise définition des postes et des a. Actions menées salaires Au moment de ma prise de fonction, les postes de l’entreprise étaient mal définis, ce qui créait une confusion quant aux taches et responsabilités de chacun. J’ai donc créé des fiches de postes afin de mieux identifier les ressources. J’ai pu me rendre compte qu’il manquait de référents officiels même si ces personnes avaient déjà les connaissances nécessaires afin obtenir des responsabilités. J’ai donc décidé de nommer des assistants, personnes relais, dans chaque département. Suite à ces changements, j’ai pu finaliser un organigramme permettant d’officialiser la nouvelle structure. b. Résultats La restructuration a permis de ne pas concentrer les connaissances sur quelques employés seulement et de renforcer la structure. De plus cela a été source de motivation pour des personnes ayant un fort potentiel sans forcément avoir les années d’expériences ou l’opportunité de monter en grade. Elle a aussi permis de limiter les risques de perturbations de l’activité en cas d’absences ou de départ d’un chef de service puisque le second pouvait reprendre son activité. c. Les difficultés Les éléments les plus délicats dans cette opération ont été de faire accepter, sans jalousies par les équipes, la mobilité verticale de certains employés. Il n’est jamais facile de voir un collègue prendre des responsabilités et pas toujours évident d’accepter et d’assumer ce nouveau rôle pour la personne nommée. J’ai donc accompagné et conseillé ces personnes, en définissant bien les rôles de chacun. Il fallait aussi prendre en compte une dimension culturelle très importante au Cambodge, le respect de l’âge et de la hiérarchie. J’ai été obligée de nommer des personnes en fonction de leurs capacités et non Dossier de VAE – Léa Bloom 34
  • 35.
    Missions / Taches détaillées Activités et Connaissances mises en œuvre Mission1 : Les pas de leur âge ou ancienneté dans l’entreprise. Ceci est une notion difficile à accepter dans une société plus traditionnelle. Ressources humaines De plus, la prise de responsabilité, dans ce cas, n’a pas été accompagnée d’une augmentation des salaires (cette possibilité n’ayant Recrutement, pas été validée par le propriétaire pour ne pas augmenter les dépenses définition des salariales). Cependant le propriétaire n’étant pas sur place il ne pouvait postes et des pas évaluer les besoins de restructuration. salaires 2. Recrutement a. Actions menées Afin de répondre à de nouveaux besoins (en saison haute par exemple) et à des changements d’employés, j’ai eu l’occasion durant ma mission de procéder à des recrutements. La première étape du recrutement a été d’identifier le besoin en personnel : création de postes, remplacement de postes, réponses à des hausses ponctuelles de l’activité. Cela m’a permis de faire des choix quant aux processus d’embauches à suivre : recrutement interne, recrutement externe, CDI, CDD, stagiaires. Dans le cas d’un recrutement en interne, se référer au premier point et à la réorganisation de la structure salariale. Dans le cas d’un recrutement externe, j’ai choisi des canaux de cas recrutement tels que le relationnel (communication aux employés et partenaires), le contact avec des personnes ayant déjà travaillé dans l’établissement (anciens stagiaires), les écoles hôtelières de la ville. Après réception et tri des CV et lettres de motivations, j’ai organisé des entretiens non directifs en face à face. Une fois le candidat retenu, il fallait fixer les conditions d’embauche et les officialiser lors de la signature du contrat. (Voir annexe 3 : exemple de contrat CDI). L’employé devait ensuite effectuer une période d’essai de deux mois afin de mieux connaître ses capacités de travail. Pour les stagiaires, j’ai mis en place des partenariats avec les deux écoles hôtelières de Siem Reap afin de recevoir un stagiaire de chaque école par trimestre : signatures de conventions de stages et évaluations des stagiaires pour les écoles. Les stages étaient effectués au service en salle et à la réception. Ils ont permis de bons échanges avec les employés déjà en place. Ces derniers avaient été formés sur place et ont pu obtenir Dossier de VAE – Léa Bloom 35
  • 36.
    Missions / Taches détaillées Activités et Connaissances mises en œuvre Mission 1 : Les des bases plus théoriques au contact des stagiaires. Ressources J’ai aussi effectué le contrôle du respect des contrats et du humaines règlement intérieur. En cas de faute grave, problèmes comportementaux sur le lieu de travail, absences ou retards répétés j’ai donné des lettres Recrutement, d’avertissements au cours d’entretiens individuels afin d’exposer les définition des raisons de la lettre et le comportement attendu par l’employeur. Au bout postes et des de trois lettres ou en cas de faute grave j’ai procédé à des renvois. salaires b. Les difficultés : Le manque de canaux de communications au Cambodge, (pas de sites internet de recrutement, les gens lisent peu le journal) réduit le nombre de candidatures récoltées. Il peu y avoir des dimensions comportementales difficiles à évaluer en entretiens car il y a bien souvent un choc de culture entre l’attente de service « à l’européenne » et le mode de vie traditionnel au Cambodge. Les entretiens sont donc plus souvent basés sur des savoir- être que des savoir-faire. La législation du travail au Cambodge reste très peu appliquée et limite les recours possibles en cas de problèmes. Le niveau de salaires proposés par l’établissement (salaire moyen à 120 us$/mois) n’étant pas très élevé (considérant l’augmentation très rapide du coût de la vie, motivée justement par les investissements étrangers et le tourisme de masse), ne rendait pas les emplois très attractifs pour de futurs employés. Ceci est un problème que l’on retrouve dans nombreux domaines d’activités au Cambodge. 3. Gestion du temps de travail et du personnel a. La durée du temps de travail 42 personnes étaient employées en CDI, à temps plein. Après signature du contrat l’employé était tenu de faire 40 heures par semaine avec un jour de repos hebdomadaire. b. Les employés à temps particuliers Temps partiel Seulement un employé à temps partiel faisant 20 heures par semaine. Travail de nuit Dossier de VAE – Léa Bloom 36
  • 37.
    Missions / Taches détaillées Activités et Connaissances mises en œuvre Mission 1 : 3 employés de la sécurité étaient employés de nuit de 11 heures à 6 heures du matin avec une permanence de deux personnes chaque nuit. Les Ressources humaines c. Les repos et temps de pauses 1 jour de congé hebdomadaire et 1 jour et demi de congé payé au bout Recrutement, du sixième mois de travail. définition des postes et des d. Décompte et contrôle salaires J’ai mis en place des emplois du temps pour l’ensemble de l’équipe en essayant de limiter un maximum les horaires coupés. Ces horaires étaient révisés tous les mois afin de répondre aux besoins de la saisonnalité. (Voir annexe 4 : Emplois du temps). Les heures supplémentaires étaient payées avec une majoration de 25% du salaire ou rattrapées en saison basse. Nous n’avions pas de système de pointage pour les employés et toute heure supplémentaire devait être approuvée et signée afin d’être comptabilisée. J’ai supervisé différentes taches de la gestion du personnel, telle que la signature et vérification des arrêts maladie (sur ordonnance du médecin), l’acceptation d’absences exceptionnelles du personnel (décès dans les familles, mariages…), le contrôle des retards ainsi que la comptabilisation et l'approbation des congés payés, jours de repos, heures supplémentaires et récupérations. e. Les difficultés Le nombre important d’employés (47 employés et 2 stagiaires) a pu rendre ce travail de contrôle difficile à certains moments, surtout à cause du manque d’informatisation (pas de pointage). Le manque de réglementation concernant le travail au Cambodge laisse chaque établissement libre de fixer les temps de travail, repos hebdomadaire et congés payés. Nous avons choisi de nous calquer sur le modèle français afin d’offrir de bonnes conditions de travail aux employés. N’ayant que 24 ans au moment de la prise de fonction, les décisions de renvois, d’absences exceptionnelles n’étaient pas toujours faciles à prendre. Il faut prendre en compte plusieurs paramètres, humains, culturels et financiers afin de faire les bons choix. Dossier de VAE – Léa Bloom 37
  • 38.
    Missions / Taches détaillées Activités et Connaissances mises en œuvre Mission 1 : 4. Rémunération Les Ressources Le coût de la vie augmentant très rapidement, la question des humaines rémunérations n’était pas évidente au Cambodge. Recrutement, La rémunération est un facteur central dans l’entreprise car elle définition des représente à la fois une source d’équilibre social (motivation et postes et des reconnaissance du travail des employés) mais aussi un coût (le principal salaires poste de dépense surtout dans les entreprises de service). En comparaison à un hôtel et restaurant français le nombre d’employés était bien plus élevé (47 employés) mais les salaires plus bas. a. Rémunération principale La moyenne du salaire d’un employé était de 120 USD/mois et les rémunérations représentaient 30% des dépenses totales de l’hôtel par mois. b. Les rémunérations périphériques L’hôtel offrait une prime de fin d’année équivalente au treizième mois plus la centralisation et le partage des pourboires à toute l’équipe en fin de mois. c. Les avantages en nature Les employés bénéficiaient d’un repas par jour et un repas complémentaire si besoin, à un prix réduit. Offre de logement à prix très réduit mais avec un nombre limité à 8 personnes dans la maison du personnel. Les demandes supplémentaires de logement étaient sur liste d’attente. En cas de problème de santé grave, l’hôtel payait pour les médicaments et l’hospitalisation car il n’y a pas de système de santé au Cambodge et les employés n’avaient pas les moyens de payer. Ceci était à titre exceptionnel et en dehors de toutes règles écrites. d. Les périphériques éloignés. L’établissement n’offrait pas de complément retraite, assurance ou mutuelle. (Pas de système de retraite et système d’assurances privées) e. L’évaluation : Dossier de VAE – Léa Bloom 38
  • 39.
    Missions / Taches détaillées Activités et Connaissances mises en œuvre Mission 1 : Je révisais les salaires une fois par an avec une augmentation Les Ressources moyenne de 10% (avec bien sur des variations suivant la prise de humaines responsabilités et les performances de chacun). J’ai effectué des procédures d’évaluations préliminaires afin de mieux réviser les salaires. Recrutement, J’ai créé des grilles d’évaluations en plusieurs points (voir définition des annexe 5: évaluations) à remplir par les chefs de services. Une fois postes et des l’évaluation terminée, j’ai organisé des entretiens avec les responsables salaires afin de discuter des résultats de l’évaluation de chaque employé en leur demandant de motiver leurs réponses et de se confronter à mon point de vu sur l’employé. Cette méthode d’évaluation m’a permis d’analyser les points forts et faibles de chaque employé afin : • D’apporter plus de soutien et d’aide à certains, d’analyser les besoins en formations. • D’évaluer les modifications de rémunérations. • D’améliorer la communication entre les responsables et leurs équipes en prenant conscience des besoins de chacun. f. Les difficultés : Très peu de liberté de ma part pour l’augmentation des salaires, demande et soumission au propriétaire pour la décision finale. L’inflation galopante au Cambodge ne permettait pas au salaire d’être un élément motivant. Nous verrons dans le chapitre suivant que j’ai essayé de combler ce manque par des avantages autres et surtout par la formation, le soutien, la mise en avant et la reconnaissance du travail des employés. Dossier de VAE – Léa Bloom 39
  • 40.
    Missions / Taches détaillées Activités et Connaissances mises en œuvre Mission 1 : Les Ressources Activité 2 : Formation humaines Le tourisme étant un secteur d’activité très récent au Cambodge, il est difficile de trouver des personnes formées ou ayant une expérience conséquente dans le domaine du service. Les premières écoles hôtelières La Formation ayant été ouvert seulement en 2001, la professionnalisation des métiers du service se fera petit à petit. N’ayant pas de personnes ressources déjà formées disponibles, j’ai décidé de mettre en place des formations internes. Les clients d’un hôtel ayant un contact avec de multiples personnes durant leurs séjours, il n’est pas toujours facile de standardiser le niveau de service mais la formation est un des outils les plus performants pour en limiter la variabilité. 1. Evaluation des besoins en formation Plusieurs critères m’ont permis d’identifier les besoins en formation dans l’hôtel : Phase d’observation personnelle : Mon expérience de deux ans et demi à l’école d’Hôtellerie et de Tourisme Paul Dubrule m’a permis de faire une première observation personnelle sur les manques en formation des employés. Recueil d’information externe : La mise en place de questionnaires de satisfaction (voir chapitre mission 2 : Vente et marketing) m’ont aussi permis, après extraction, d’identifier les manques au niveau du service et de l’information donnée. Recueil d’informations internes : Les chefs de services ont pu exprimer le besoin en formation de leurs équipes à travers des évaluations et au cours d’entretiens. 2. Mise en place d’un plan de formation Suite au recueil d’informations et à l’identification des besoins j’ai pu établir un plan de formation contenant les interventions à organiser, les personnes pouvant les réaliser, le budget nécessaire, les horaires et lieux de formation. formati 3. Les formations Dossier de VAE – Léa Bloom 40
  • 41.
    Missions / Taches détaillées Activités et Connaissances mises en œuvre Mission 1 : a. Les formations internes Les Ressources Formations courtes humaines Mise en place de formation de courte durée (sur des demi-journées) autour des thèmes suivants : La Formation • Le Service en salle • L’Accueil, le téléphone • La gestion des plaintes • L’hygiène en cuisine • Le processus de control des chambres • L’anglais appliqué au service J’ai écrit ces formations lors de ma mission à l’école Paul Dubrule, il s’agit de formations prenant en compte le contexte culturel, avec des supports simples et beaucoup d’exercices pratiques. J’ai utilisé des techniques de formation pour adultes qui facilitent l’apprentissage par le jeu et l’animation (voir annexe 6 : Exemple de formation). Ayant animé toutes ces formations, elles n’ont pas nécessité de budget particulier. Ceci a aussi été l’occasion de mieux connaître les équipes, d’évaluer les niveaux, les attentes et de savoir exactement quels savoir-faire ils devraient mieux maîtriser après formation. Chaque formation était sanctionnée par un diplôme interne afin de valoriser les connaissances des employés. Formations ponctuelles sur des nouveaux produits A la suite de la mise en place d’une nouvelle carte du bar et du restaurant, j’ai formé les personnes concernées sur la préparation et la présentation des nouvelles boissons ou nourriture afin d’accompagner le changement. Ces formations étaient souvent ponctuelles et ne faisaient pas partie du plan de formation. • Formation sur le terrain Petites formations sur le moment quand je remarquais des manques au niveau du service. b. Les formations en partenariats Dossier de VAE – Léa Bloom 41
  • 42.
    Missions / Taches détaillées Activités et Connaissances mises en œuvre Mission 1 : • Les formations en cuisine : Deux intervenants extérieurs Les Ressources humaines Par relationnel, j’ai eu la chance de faire intervenir deux chefs français pendant une période totale de 3 mois. La Formation Le premier chef avait décidé de faire un tour du monde de la cuisine en échangeant des cours de cuisine française contre des cours de cuisine locale. Après m’avoir contacté, il est venu un mois et a développé un véritable échange avec l’équipe de cuisine. Cette formation a plutôt engendré une ouverture et un développement de la créativité chez la chef et son équipe. Par la suite, un autre chef est venu au Cambodge pour accompagner son mari et a proposé de commencer une formation sur deux mois avec cette fois-ci de réels objectifs au niveau de la gestion des stocks, de la mise en place de nouveaux plats pour le restaurant et de la création d’une carte pour le bar. Nous avons réellement pu nous différencier en proposant des plats de meilleure qualité, avec une plus belle présentation et une diversification des prestations proposées. Afin de ne pas perdre les connaissances acquises, j’ai décidé de créer des recettes en images que nous avons accrochées dans la cuisine avec une photo de la présentation finale du plat avant de monter en salle. (Voir annexe 7 : Recette en image) • Formation générale sur les impacts du tourisme : Friends international Organisation d’un partenariat avec l’association Friends International (http://www.childsafe-international.org/), responsable du programme « Child safe Network ». Cette dernière a organisé une Photos de présentation formation pour les employés du front, les taxis et touk-touks partenaires des plats sur la prévention du tourisme sexuel au Cambodge. Par la suite, notre hôtel ainsi que les transports partenaires ont été certifiés « Child Safe ». La prostitution enfantine étant un très gros problème au Cambodge à l’heure actuelle, il était important d’obtenir les outils nécessaires pour reconnaître et dénoncer cette pratique. Les touk-touks • Formation en langues Française appliquée au tourisme Dossier de VAE – Léa Bloom 42
  • 43.
    Missions / Taches détaillées Activités et Connaissances mises en œuvre Mission 1 : Pour mieux répondre à la demande de la clientèle qui était majoritairement Française, j’ai fait une demande auprès du propriétaire Les Ressources afin d’engager un professeur de Français à raison de deux heures par humaines semaine (une heure pour la réception et une heure pour le restaurant) et ce, afin d’être capable d’assurer un service minimum en Français. Les cours étaient non obligatoires et les employés motivés ont pu pratiquer La Formation très rapidement pendant le service. c. Impacts positifs de la formation : Ces formations ont eu plusieurs impacts positifs sur les employés : • Améliorer l’image générale de l’hôtel. • Améliorer la qualité du travail, développement des connaissances et aptitudes des employés. • Motiver et valoriser le travail des employés. • Permettre une meilleure adaptabilité aux spécificités de la clientèle. • Permettre de mettre en place de nouveaux produits (nouveaux plat en cuisine, nouvelle carte) et donc améliorer les services. Activité 3 : Leadership et animation Leadership et animation Une de mes priorités a été de rassembler et de dynamiser les équipes de l’hôtel vers des projets communs afin d’améliorer le niveau général et l’image de l’établissement. 1. Animation de réunions a. Les réunions d’équipes J’ai mis en place des réunions hebdomadaires avec les chefs d’équipes afin de communiquer sur les priorités, les événements, les problèmes et projets de la semaine en cours. Les étapes Préparation : Je préparais la réunion sur un tableau de suivi de réunions (voir annexe 8 : Tableau de suivi des réunions) en reprenant les points de la semaine précédente pour suivre l’avancement des projets et y ajouter les nouveaux projets, événements ou sujets généraux. Dossier de VAE – Léa Bloom 43
  • 44.
    Missions / Taches détaillées Activités et Connaissances mises en œuvre Mission 1 : Tour de table : les réunions commençaient toujours pas un tour de table pour que chaque chef de services présentent l’avancement de ses Les Ressources projets, les nouveaux projets, les événements importants de la semaine à humaines venir et les difficultés rencontrées si besoin. Récapitulatif : Si certains nouveaux points ou projets en cours Leadership et n’avaient pas été abordés, nous les reprenions. J’avais la charge de animation remplir le tableau récapitulatif pendant la réunion. Les impacts positifs Les réunions sont un moyen de partager, au sein d’un groupe de personnes, sur un sujet ou un problème et de prendre des décisions collectivement. Je me suis rendue compte que les décisions prises collectivement, avec les représentants des différents services, étaient beaucoup plus facilement acceptées de tous. Elles permettaient aussi à chacun de donner son avis et de participer au processus décisionnel concernant les rénovations, la décoration etc… les décisions n’étaient pas prises de manière unanime par le chef d’établissement. Ceci a donné confiance à l’équipe et surtout la réelle impression de participer au devenir de leur hôtel. Les réunions permettaient de fixer des dates butoirs pour les projets et de suivre l’avancement de l’équipe vers sa finalisation. Les difficultés rencontrées La difficulté des réunions a été, au départ, de faire participer les chefs d’équipes ouvertement, car ce n’est pas la coutume au Cambodge. Après avoir instauré un climat de confiance avec mes chefs d’équipes, ces réunions ont été très efficaces et ont vraiment participé à la cohésion des projets et des équipes. b. Les réunions partenaires J’ai mis en place une réunion mensuelle avec les taxis, tuk-tuk et guides partenaires afin de communiquer sur l’hôtel, les nouveautés, de faire remonter les plaintes ou les recommandations clients. c. Les impacts positifs Permettre une harmonisation des services même à l’extérieur de l’hôtel. Avoir un meilleur contrôle sur les différents acteurs du séjour des Dossier de VAE – Léa Bloom 44
  • 45.
    Missions / Taches détaillées Activités et Connaissances mises en œuvre Mission 1 : clients. Même si les partenaires n’étaient pas directement sous contrat avec nous ils étaient recommandés par l’hôtel et influençaient donc de Les Ressources manière directe l’image véhiculée par la Noria. humaines L’information sur les nouveautés permettait aux partenaires de mieux communiquer et de vendre les services de l’hôtel. Leadership et animation d. La communication informelle En dehors de ces réunions, j’ai toujours beaucoup insisté sur ma disponibilité pour recevoir et communiquer avec les équipes (en cas de questions, de remarques et de problèmes). Cette disponibilité a participé au climat de confiance et au renforcement de la cohésion. Ceci a été un facteur important pour éviter les situations de conflits ou de crise. 2. La gestion des conflits La gestion des conflits passe par une bonne communication dans l’entreprise afin d’identifier les composantes et les acteurs avant d’entraîner des démissions ou des scissions trop importantes dans les équipes. Laisser un conflit dégénérer pourrait entraîner une perturbation de l’activité et une baisse du niveau de service. La gestion de conflits est en général difficile à résoudre car elle implique l’émotionnel des personnes concernées. Il faut être doté d’une bonne capacité d’analyse psychologique et d’une bonne écoute pour bien en comprendre les tenants et les aboutissants. a. L’identification du conflit En général, j’ai toujours été informée des tensions par les chefs de services ou les employés eux même. Par exemple, une des personnes nouvellement embauchée au service en salle ne prenait pas en compte les remarques du chef de service et avait un problème avec l’autorité. b. L’écoute en entretien Suite à ce problème reporté par le chef de service, j’ai convoqué l’employé seul afin d’entendre son point de vue. L’employé semblait en effet avoir un problème avec la manière dont le responsable lui donnait les directives (de manière trop autoritaire) et souhaitait avoir plus d’indépendance dans son travail car il avait suivi une formation en école Dossier de VAE – Léa Bloom 45
  • 46.
    Missions / Taches détaillées Activités et Connaissances mises en œuvre Mission 1 : hôtelière qui lui apportait de bonnes connaissances. Les Ressources J’ai ensuite, convoqué le responsable pour avoir une discussion humaines plus ouverte entre les deux employés, en les poussant à exprimer leurs points de vue. Leadership et c. Trouver des solutions animation Enfin, j’ai ndemandé à chacun de me proposer des solutions. Après négociation de chaque côté, nous avons décidé de nommer cet employé au bar où il pourrait prendre plus d’initiatives et de responsabilités. d. Mise en pratique et résultats Cette solution a permis à l’employé de s’épanouir dans son travail et d’atteindre ses objectifs d’indépendance. Le responsable restauration avait tout de même un contrôle sur l’employé mais de manière plus ponctuelle. La gestion de conflit doit permettre de trouver des solutions et en générant des situations positives ou chacun trouve ses marques. Il ne faut certainement pas négliger ou ignorer ce genre de situation car en y faisant face, la sensibilité et les besoins des employés sont pris en compte. 3. Animations J’ai organisé des événements pour les employés afin de sortir du contexte du travail et se retrouver en équipe. Ces sorties ou repas sont un facteur de motivation pour les équipes car elles se sentent considérées et reconnues pour leur implication. Je pense qu’il est très important de motiver, de remercier les équipes et de pousser à la cohésion. L’ambiance de l’hôtel s’en ressent, une équipe soudée sera toujours plus performante. Tous les mois, je fêtais les anniversaires avec un petit cadeau pour les personnes étant nées dans le mois, Nous avons organisé des repas après des périodes de forte activité afin de remercier les employés pour leur implication. Chaque mois, au cours d’un petit meeting, je faisais un débriefing des commentaires clients en donnant les remarques positives aussi bien que les remarques négatives. Dossier de VAE – Léa Bloom 46
  • 47.
    Missions / Taches détaillées Activités et Connaissances mises en œuvre Mission 1 : Les Savoirs Associés: Les Ressources • Utilisation d'outils bureautiques (traitement de texte, tableur,...) humaines • Utilisation des langues • Droit du travail • Gestion prévisionnelle des emplois et des compétences Les Savoirs • Gestion des Ressources Humaines • Techniques de management • Techniques de communication • Techniques d'animation d'équipe, de réunions et de gestion du conflit • Ingénierie de la formation • Animation de formation • Ingénierie pédagogique Dossier de VAE – Léa Bloom 47
  • 48.
    Missions / Taches détaillées Activités et Connaissances mises en œuvre Mission 2 : Mission 2 : Marketing et vente Marketing et vente Comme mentionné dans l’introduction, à partir de 2001 le Personnalisation tourisme a eu un très fort développement au Cambodge. Cet de l’image accroissement a attiré de nombreux investissements étrangers dans toutes les infrastructures touristiques ; hôtels, restaurants, transports et tours operateurs. Dans ce contexte, une de mes priorités a été de développer une véritable identité pour cet hôtel et d’améliorer la qualité des produits et services proposé, afin de se démarquer de la concurrence toujours croissante. Notre clientèle cible était les voyageurs européens indépendants ayant tendance à chercher à échapper au tourisme de masse pour partir à la rencontre des populations et coutumes locales (Touristes non institutionnalisés du type explorateurs). Cette catégorie représentait, cependant, une faible part des arrivées touristiques mais avec des moyens et un intérêt plus grand pour le tourisme éthique. Activité 1 : Personnalisation de l’image Afin de se placer sur le marché, j’ai, dès le début de mon contrat, investi des efforts considérables dans la communication de l’esprit éthique de La Noria. Depuis sa création, cet hôtel a toujours eu un caractère social. Le renforcement de la communication et la personnalisation de l’image ont été des arguments de ventes importants pour l’établissement. fondemen 1. Les fondements : L’hôtel a été créé dans le but d’aider au financement de l’association Krousar Thmey et tous les ans une partie des bénéfices était reversée à cette dernière. Il y avait peu de communication sur cet aspect car le propriétaire ne voulait pas s’en servir comme argument de vente. Par contre nous fournissions de nombreuses informations sur l’association, la possibilité de visiter les écoles et les orphelinats. Des adultes issus de l’association travaillaient à l’hôtel. Les massages proposés dans l’établissement étaient faits uniquement par les élèves de l’école de Dossier de VAE – Léa Bloom 48
  • 49.
    Missions / Taches détaillées Activités et Connaissances mises en œuvre Mission 2 : massage pour non voyants de Krousar Thmey et tous les mercredis soirs Marketing et nous organisions un spectacle de danse traditionnelle et marionnettes d’ombres mis en scène par les enfants de l’association (l’ensemble des vente bénéfices des entrées était reversé à l’association). Personnalisation Ces événements étaient, une fois de plus, l’occasion de de l’image communiquer sur l’association sans se servir de la part des revenus reversés comme argument de vente. 2. Les développements : Lors de mon activité, j’ai voulu développer cette image éthique en mettant plus d’information à la disposition des clients. a. Boutique équitable J’ai créé (supervision de la construction, décoration, choix des produits vendus) une boutique équitable, permettant de ne pas vendre simplement des souvenirs mais de vendre des produits de qualité issus du commerce équitable local. Chaque section du magasin donnait une information complète sur les activités de l’association et la possibilité d’aller les visiter sur site. (Voir annexe 9 : fiche produits) Le théâtre d’ombres b. Espace culturel J’ai crée un espace de lecture / bibliothèque (supervision de la construction, décoration, choix des livres à disposition) ne comportant que des ouvrages sur la culture et l’histoire du Cambodge afin que les clients puissent s’informer un maximum sur le pays qu’ils visitaient (nous avons eu des retours très positifs de la part des clients sur cet espace). c. Excursions éthiques et écologiques J’ai mis en place des excursions éthiques pour les visiteurs, pas simplement un tour des temples mais la possibilité d’aller visiter des projets (centres de fabrique de la soie, centre de réinsertion des personnes victimes de mines, visites de sites producteurs de riz ou de Logo Osmose soie, visites du marché et cours de cuisine khmer. J’ai de plus, développé des partenariats avec des associations telles que Osmose (www.osmosetonlesap.net) et les Chemins d’Angkor (www.cheminsdangkor.com) deux associations du tourisme solidaire pour organiser les sorties. Ces activités étaient uniques et hors de sentiers touristiques de masse. Notre clientèle, plutôt friande d’expériences culturelles, a Dossier de VAE – Léa Bloom 49
  • 50.
    Missions / Taches détaillées Activités et Connaissances mises en œuvre Mission 2 : beaucoup participé à ces activités. Marketing et d. Code de conduite vente J’ai créé et mis à disposition dans chaque chambre un guide du Personnalisation comportement responsable du touriste au Cambodge afin d’informer et de l’image de sensibiliser nos clients au respect de la culture et des mœurs locales. (Voir annexe 10 : Code de conduite) e. Labellisation « child safe » Nous avons reçu le label hôtel « Child Safe » après avoir suivi la Code de conduite des touristes formation de Friends International (voir chapitre formation plus haut). Logo Child Safe La formation Child Safe f. Les impacts Toute cette communication et ces services ont permis de donner une meilleure connaissance de la culture khmère à nos clients. Notre clientèle pouvait faire une vraie découverte et ne venait pas simplement dormir dans une chambre d’hôtel. (voir annexe 11 : La Noria et le tourisme Participatif) Dans cet environnement nos clients posaient plus de questions aux employés sur leur culture et mode de vie, cela permettait aussi de valoriser les employés et en développant des contacts plus personnalisés. La Noria étant un petit hôtel familiale, nous avions beaucoup d’opportunités d’échanges avec les voyageurs. Dossier de VAE – Léa Bloom 50
  • 51.
    Missions / Taches détaillées Activités et Connaissances mises en œuvre Mission 2 : Le bouche-à-oreille étant un des facteurs clef de la vente, ce Marketing et travail sur l’image a eu des retombées financières positives pour La Noria. vente Activité 2: Amélioration des services et de la qualité Amélioration . des services et L’amélioration de la qualité est devenue une considération de la qualité incontournable des industries du service. Elle engendre une véritable influence dans le processus de choix d’un établissement pour les touristes. Le service étant intangible et l’hôtel indépendant, les consommateurs ne pouvaient avoir aucune garantie du niveau de service avant d’être sur place. C’est pour cette raison qu’en améliorant la qualité des services et en gérant les plaintes clients, je pense avoir renforcé les avantages compétitifs de l’établissement afin d’atteindre de nouveaux marchés et de fidéliser la clientèle existante. J’ai réussi à toucher un marché d’expatriés vivants au Cambodge (clients répétés, ayant un fort pouvoir d’achat et qui envoient leurs familles et amis quand ils viennent visiter le Cambodge). N’étant pas une clientèle de passage, les expatriés portaient plus d’importance au rapport qualité / prix et la constance du niveau de service de l’établissement. 1. Amélioration des services Le serviscène englobe tous les aspects liés au décor, à l’ambiance, aux uniformes du personnel, à la musique etc. Il fait partie intégrante de la qualité d’un hôtel et ne doit pas être sous estimé. Pour rendre l’ambiance de l’hôtel plus attrayante voici les différentes actions que j’ai prises en main : a. Au restaurant • Reprise et design de tous les menus du restaurant. • Création de menus pour le bar. Photo pour les nouveaux • Amélioration de la présentation des plats et boissons. menus • Création de luminaires originaux pour le restaurant. • Rénovation de l’espace piscine et bar (peinture, Dossier de VAE – Léa Bloom 51
  • 52.
    Missions / Taches détaillées Activités et Connaissances mises en œuvre Mission 2 : décoration mise en place de torches autour de la piscine, Marketing et création de nouveaux coussins pour les chaises longues). vente • Création de nouveaux uniformes pour le restaurant, la réception et le magasin (uniformes plus modernes avec Amélioration une identité asiatique). des services et de la qualité • Création d’un lieu de lecture au milieu du jardin. • Mise en place d’expositions tournantes par des artistes Cambodgiens au restaurant. Toutes ces actions font partie du marketing sensoriel qui gère les couleurs, les ambiances… le client préfère consommer au sein de l’hôtel Artiste cambodgienne car il s’y sent bien, plutôt que de consommer ailleurs. La résultante est ayant exposé à la Noria une augmentation de la dépense moyenne par client. Par exemple avant rénovation de l’espace piscine, (menus du bar, présentation des plats et boissons, aménagement de l’espace lecture), l’activité bar était quasi inexistante car les clients ne souhaitaient pas passer du temps dans un environnement négatif. Suite à cela nous avons triplé les recettes. b. Dans les chambres • Dans les chambres nous avons aussi entamé des rénovations pendant la saison basse en changeant, par exemple, tous les rideaux et les dessus de lit, • j’ai animé des formations sur le nettoyage des chambres et crée des fiches d’évaluation pour la personne qui était en charge de la vérification des chambres (voir annexe 12 : Fiche d’évaluation des chambres). J’ai moi-même choisi un jour de la semaine pour faire le tour des chambres et vérifier l’application des procédures de nettoyage. Le fait de faire un suivi plus strict de la propreté des chambres a permis une nette amélioration du niveau de propreté. c. Pour la cuisine Grosse rénovation de la cuisine, nettoyage, peinture, rangements, hotte, éclairage, espace de plonge. Nous avons fermé la cuisine pendant deux semaines afin de mener à bien cette rénovation Dossier de VAE – Léa Bloom 52
  • 53.
    Missions / Taches détaillées Activités et Connaissances mises en œuvre Mission 2 : indispensable pour l’hygiène. Marketing et Au même moment, la chef française formait l’équipe à l’hygiène, vente la gestion des stocks et des achats. Amélioration Suite aux rénovations j’ai mis en place des règles strictes sur des services et l’organisation des frigos et des rangements. Une fois par semaine, je de la qualité vérifiais le rangement et la propreté des équipements. De la même façon, cette amélioration de la qualité en cuisine, suivi de formations, ont été une vraie motivation pour l’équipe afin de continuer leurs efforts. Cette amélioration n’a pas été ressentie comme contrainte et a donc bien été appliquée. sondage 2. Le sondage de la qualité : On sait qu’un client mécontent parlera à 11 personnes alors qu’un client satisfait n’en parlera qu’à cinq. Nous savons aussi qu’un client non satisfait prendra peu l’initiative de se plaindre mais ne consommera tout simplement plus dans cet établissement. J’ai donc développée des outils de sondage et de communication à la clientèle. a. Questionnaires de satisfaction Afin de vérifier le niveau de satisfaction des clients, j’ai mis en place des questionnaires de satisfaction (voir annexe 13 : Questionnaires de satisfaction). Les résultats nous ont aidés à faire un suivi et à améliorer les points négatifs. Je communiquai les résultats positifs ou négatifs lors des réunions mensuelles pour que les équipes soient directement informées. b. La communication client La communication directe avec les clients était une autre forme de sondage plus directe. La récupération d’informations directe est toujours efficace car elle permet de réagir sans attendre. Par exemple, si un client n’est pas satisfait de la qualité de la nourriture au restaurant, on peut toujours lui offrir un dessert. Il est très important de pouvoir identifier et résoudre un problème le plus rapidement possible pour ne pas susciter une réputation négative sur l’établissement. Les plaintes les plus fréquentes concernaient l’infrastructure (manque de pression de la douche, eau pas assez chaude) et ces questions étaient délicates à gérer puisqu’elles nécessitaient une rénovation lourde de toute la plomberie. Dossier de VAE – Léa Bloom 53
  • 54.
    Missions / Taches détaillées Activités et Connaissances mises en œuvre Mission 2 : Marketing et Le propriétaire cherchant à vendre l’hôtel, ne voulait pas investir dans de tels travaux. vente Développement Activité 3 : développement des outils de ventes et de la Activ des outils de communication ventes et de la communication L’hôtel La Noria avait toujours pu se différencier des autres établissements grâce à son esprit éthique et familial, mais entre 2005 et 2006 j’ai vu plusieurs établissements très similaires au notre se construire. Je pense que la concurrence peut être un moteur pour chercher de nouveaux marchés et c’est pour cette raison que j’ai développé la communication afin d’atteindre une cible plus large. 1. La communication par les medias a. Internet Internet est devenu, aujourd’hui, un moyen incontournable de L’équipe de La Noria sur communiquer sur un établissement. Pour les entreprises, l’avantage le site internet d’internet réside dans son moindre coût par rapport à d’autres supports de communication et surtout permet une mise à jour immédiate. Nous savons aujourd’hui qu’en 2005 le poids du tourisme en ligne représentait 3 140 millions d’euros. Pour cette raison J’ai décidé de réaliser le site internet de l’hôtel www.angkorlanoria.com (voir annexe 14 : pages internet). En mettant en avant l’esprit de famille, le charme et l’expérience authentique que cet hôtel pouvait procurer. Le site comportait des textes courts, de nombreuses photos (que j’ai réalisées), des liens utiles vers des sites d’ONG du tourisme équitable et un lien vers une page de réservation. Dès sa mise en ligne, nous avons reçu beaucoup de réservations via le site et nous avons vu le nombre de visites augmenter très rapidement. Le site internet est un excellent moyen de communication car il permet aux prospects de se faire une idée de l’établissement avant d’être sur place. De plus le rapport cout de mise en ligne / retombées financières est très intéressant. Dossier de VAE – Léa Bloom 54
  • 55.
    Missions / Taches détaillées Activités et Connaissances mises en œuvre Mission 2 : Marketing et b. Affichage extérieur vente J’ai réalisé un nouveau panneau d’affichage lumineux devant l’hôtel pour que les clients puissent repérer l’hôtel facilement en passant Développement devant et attirer les clients walk-in (puisque de nombreux voyageurs au des outils de Cambodge ne réservaient pas avant le départ). ventes et de la communication De plus, j’ai fait construire un tableau en ardoise sur pied, placé devant l’hôtel, afin d’écrire en gros si nous avions des chambres disponibles. c. Publicités J’ai crée différentes publicités pour des journaux gratuits de voyage et pour des plans de Siem Reap gratuits, distribués dans la ville. Nous avons pris des espaces publicités sur Canby, Siem Reap Guide, Angkor Guide, pocket guide et Siem Reap Angkor. Ces guides étaient distribués partout en ville et j’ai décidé d’axer les publicités sur le restaurant car les visiteurs prenant ces guides étaient déjà sur place mais cherchaient juste des endroits où manger et boire un verre. Publicité dans un des guides local A travers ces différents medias, j’ai essayé de créer une ligne de communication cohérente qui participait à l’image de La Noria. J’ai gardé les mêmes couleurs, styles de photos, styles d’écritures afin que notre hôtel soit reconnaissable sans même lire l’information. Dossier de VAE – Léa Bloom 55
  • 56.
    Missions / Taches détaillées Activités et Connaissances mises en œuvre Mission 2 : Marketing et 2. La communication hors medias vente Développement a. Les partenariats des outils de ventes et de la Ayant crée de nombreux partenariats avec des ONG et communication associations que l’on sponsorisait à travers notre site internet et système d’information dans l’hôtel, je pense avoir développé une image positive de l’hôtel qui nous a permis d’avoir une clientèle recommandée par ces partenaires. b. Les agences J’ai réalisé un dvd de présentation de l’hôtel pour les agences de voyages rencontrées sur Siem Reap et Phnom Penh. cette présentation avait pour but, de permettre aux agences de mieux connaitre notre produit et donc de le vendre de manière plus active. J’ai surtout voulu développer des menus agences originaux pour remplir le restaurant le midi (grande capacité) car les clients de l’hôtel étaient souvent en visite à cette heure là. J’ai donc mis au point des menus agences autour de 4 thèmes : Les légumes, les couleurs, l’eau et les fruits. Ces menus étaient originaux dans leur approche et les plats proposés. (Voir annexe 15 : Menu agence). Lors du service des menus, j’ai mis en place des paniers d’épices Cambodgiennes qui servaient pour la préparation des menus. Pour chaque épice, un petit panneau indiquait le nom et sur les tables, des petits guides des épices, précisant sa provenance et son utilisation. De plus, à la fin du repas, nous offrions la recette du plat principal comme souvenir. J’ai joué la carte de la différenciation pour attirer les groupes au restaurant. En vue des visites agences, j’ai préparé des plaquettes, des dépliants, des dvd, et des questionnaires de satisfaction agence pour avoir des retours clients agence. Voyant notre effort pour proposer un produit différent, ces agences ont joué le jeu et nous ont envoyé de nombreux groupes. De plus, j’ai mis en place des news letter que j’envoyais tout les mois aux agences pour les informer sur les nouveautés dans l’hôtel (voir Dossier de VAE – Léa Bloom 56
  • 57.
    Missions / Taches détaillées Activités et Connaissances mises en œuvre Mission 2 : annexe 16 : News letter) Marketing et Développer un rapport privilégié et direct avec les responsables vente d’agences a permis un meilleur échange et des partenariats plus proches. Développement des outils de c. Relations personnelles ventes et de la communication Ayant habité longtemps au Cambodge je connaissais de nombreux expatriés sur Siem Reap et Phnom Penh. Cette clientèle est une bonne source de bénéfice car elle est fidèle et participe beaucoup au bouche-à-oreille. d. Les collaborations à l’édition de guide touristique La Noria étant un des premiers établissements éthique au Cambodge, nous avons eu de très bonnes critiques dans les guides de voyages. Visant une clientèle de voyageurs indépendants, les recommandations de guides de voyages influencent beaucoup le choix de cette catégorie touristique. Nous étions mentionnés dans le Petit Futé, le Guide du routard et le Lonely Planet (voir annexe 17: critiques guides de voyages). J’ai essayé de contacter d’autres guides comme le Rough Guide et des guides allemands mais sans succès. e. Communication interne. J’ai développé des outils de communication dans l’hôtel pour que les clients consomment les services proposés : • Présentations de l’hôtel dans les chambres en proposant tous les services. • Panneaux d’affichages attrayants pour les excursions, • Panneaux à l’entrée du restaurant avec les plats du jour et les nouveautés. Cette communication interne est importante pour augmenter les revenus. Dossier de VAE – Léa Bloom 57
  • 58.
    Missions / Taches détaillées Activités et Connaissances mises en œuvre Mission 2 : Marketing et Les Savoirs associés: vente • Connaissances informatiques Les Savoirs • Utilisation de logiciels d'édition multimédia • Connaissances rédactionnelles des langues étrangères • Techniques commerciales • Gestion budgétaire • Conduite de projets • Circuits de distribution commerciale • Techniques de communication • Techniques de négociation • Techniques de planification • Management d'un projet d'innovation • Typologie des clients/consommateurs • Analyse statistique Mission 3 : La Mission 3 : La Gestion Gestion La gestion des Activités 1 : La gestion des stocks stocks L’approvisionnement et la gestion des stocks occupent une place importante dans l’activité journalière du restaurateur car elle influence énormément les bénéfices de l’établissement. Lors de ma prise de fonction, il n’y avait aucune procédure de gestion des stocks, ce qui laissait le champ libre à des abus et une mauvaise gestion en cuisine et au restaurant. J’ai donc mis en place différents outils de contrôle tout au long du cycle d’approvisionnement. 1. Les fiches techniques En partenariat avec la chef de cuisine nous avons mis en place des fiches techniques pour chaque plat en cuisine. (Voir annexe 18: Fiche technique).La fiche technique décrit la composition d’un plat et permet de prévoir les quantités de denrées nécessaires ainsi que le coût matière du plat. a. Les avantages • Elle permet de mieux gérer et théoriser les quantités et le Dossier de VAE – Léa Bloom 58
  • 59.
    Missions / Taches détaillées Activités et Connaissances mises en œuvre Mission 3 : La coût nécessaire à la réalisation d’un plat. Gestion • Elle permet de vérifier si les ventes correspondent aux quantités commandées. (Je faisais un comptage des ventes La gestion des de certains plats à la carte pour vérifier que les quantités stocks de matières premières correspondaient aux ventes). • Les fiches permettent de déterminer le prix de vente d’un plat en appliquant le coefficient multiplicateur qui est généralement de 3. • Elle permet aussi de former plus facilement les nouveaux membres d’équipe car les fiches techniques étaient accompagnées de la recette et d’une photo du plat. b. Les désavantages • Les fiches techniques sont à titre indicatif, elles ne peuvent pas être respectées à la lettre et ne donnent donc pas un état réel des stocks. • Sans outil informatique complet de gestion, la vérification et le suivi des vente / stocks est souvent difficile et consommatrice de temps. d’acha 2. Vérification des prix d’achats et choix des fournisseurs Afin de vérifier les prix de matières premières pratiquées dans d’autres établissements, j’ai dressé une liste des produits les plus communs utilisés en cuisine (viandes, poissons, légumes) que j’ai fait passer aux chefs d’autres établissements en ville afin de réaliser un comparatif. Il faut savoir qu’au Cambodge la corruption et le commissionnement sont des pratiques extrêmement courantes et il est important de vérifier les prix pratiqués par les fournisseurs. L’hôtel et le système de commande étant déjà en place lors de mon arrivée il a fallut que je fasse des vérifications. Je me suis rendu compte que le prix de la viande et du poisson chez nous était bien supérieur à d’autres établissements, j’ai donc demandé à la chef de trouver des produits au même prix qu’ailleurs. 3. La détermination des quantités à commander Dossier de VAE – Léa Bloom 59
  • 60.
    Missions / Taches détaillées Activités et Connaissances mises en œuvre Mission 3 : La Gestion La détermination des quantités à commander dépend de la prévision de fréquentation et de l’état des stocks. La gestion des a. Prévision de la fréquentation stocks La prévision de fréquentation d’un restaurant n’est pas toujours facile à déterminer mais j’ai essayé de dresser un tableau de fréquentation par rapport aux éléments suivants: • Le taux d’occupation de l’hôtel • La saisonnalité • Les jours de la semaine (voir annexe 19 : rapport de suivi de fréquentation) • Les réservations de groupe et d’individuels • La popularité des plats (Mise en place d’un comptage des plats en sortie de cuisine pour déterminer les plats les plus commandés) b. Les erreurs d’approvisionnement Les prévisions de fréquentation permettent d’éviter trop d’erreur de commande. Des commandes trop importantes provoquent une perte des denrées périssables. Pour éviter les pertes en cas d’erreur, j’ai mis en place un système de plat du jour pour écouler les stocks. De plus j’ai demandé à la chef de communiquer les plats à vendre en priorité au restaurant chaque jour. Des commandes insuffisantes provoquent un risque de rupture de stocks et donc de mécontentement de la clientèle. Lors de ma prise de fonctions certains plats de la carte étaient souvent non disponibles au moment de la commande, créant une réelle frustration de la clientèle. Certains plats n’étaient pas disponibles car ils n’étaient pas très populaires et la chef ne commandait plus les matières premières pour ces plats. Nous avons donc retravaillé la carte. Les fournisseurs étant souvent des vendeurs au marché de Siem Reap la possibilité de faire des commandes en cours de journée a beaucoup facilité la réduction des problèmes liés aux ruptures de stocks. Dossier de VAE – Léa Bloom 60
  • 61.
    Missions / Taches détaillées Activités et Connaissances mises en œuvre Mission 3 : La 4. Contrôle des stocks Gestion Afin de faire un état précis des stocks, j’ai mis en place différentes procédures de contrôle : La gestion des stocks • Construction d’une salle des stocks adjacente à la cuisine. Salle fermée avec un accès contrôlé par la comptable, la chef de cuisine et le responsable du restaurant. • Mise en place de fiche de sorties de stock à remplir, dater et signer avant chaque sortie de produit (voir annexe 20 : fiche de sortie de stock) • Mise en place de fiches de suivi de stock des boissons au restaurant, à remplir tous les jours par le responsable de la salle de restaurant (voir annexe 21 : fiche de suivi de stock). • Mise en place de fiche de sortie de plat en cuisine, à remplir par les personnes en charge du passe plat pour suivre les sorties et vérifier la correspondance avec le stock réel. a. Commandes Afin de mieux contrôler les commandes, j’ai demandé aux chefs de services de remplir des bons de commandes à faire signer par moi ou la comptable. Cette procédure un peu lourde à permis de vérifier l’écoulement des stocks en fonction des ventes. Les commandes étaient ensuite faites par téléphone directement aux fournisseurs. b. Réception des marchandises Lors de la livraison, les marchandises devaient être vérifiées et cochées sur le bon de commande afin de s’assurer qu’elles correspondaient bien en quantité et qualité. La vérification était faite par la chef ou la sous chef de cuisine et par le responsable du restaurant lors de l’arrivée des produits. Puis les denrées non périssables étaient placées en salle de stocks en remplissant la fiche de stock (en entées) pour que les fiches soient toujours à jour. Puis les bons de livraisons étaient remis à la comptable pour quantifier les commandes en fin de mois et procéder au règlement des fournisseurs. Dossier de VAE – Léa Bloom 61
  • 62.
    Missions / Taches détaillées Activités et Connaissances mises en œuvre Mission 3 : La c. L’inventaire Gestion L’inventaire doit être réalisé par une personne différente de la personne en charge de la tenue des stocks. Par exemple, la chef de cuisine La gestion des en charge de la réception et la comptable en charge des inventaires. Au stocks restaurant, le responsable du restaurant en charge du suivi et moi en charge de la vérification. Un inventaire en salle des stocks était fait à chaque fin de mois par la comptable puis je faisais une deuxième vérification partielle sur certains produits pour comparer les stocks réels aux stocks théoriques contenu sur les fiche de stocks. Au restaurant le responsable faisait un inventaire journalier puis je faisais un inventaire en fin de mois. 5. Les difficultés rencontrées Les procédures de contrôle des stocks étant lourdes et souvent consommatrices de temps, elles ont été difficiles à mettre en place dans l’établissement. Lors de la mise en place des procédures, j’ai rencontré des résistances de la part des employés il a donc fallut une grande implication de ma part avec des vérifications et des rappels à l’ordre réguliers. Au final, cela a suscité une réduction des dépenses générales de l’hôtel de 10% par rapport à l’année précédente et une diminution des pertes non justifiées. Analyse des ventes et Activité 2 : l’analyse des ventes et dépenses dépenses Dans un hôtel restaurant, il faut mettre en place un système de comptabilisation et de centralisations ventes de la journée. Ces procédures doivent être simples et permettre une vérification de toutes les actions de caisses. Elles permettent aussi de : • Contrôler le bon déroulement des opérations (Toutes les commandes ont été enregistrées, la caisse correspond aux enregistrements). • Analyser les ventes, produire des rapports en fin de mois pour faire un suivi complet de la consommation dans l’établissement. • Comptabiliser les ventes. Dossier de VAE – Léa Bloom 62
  • 63.
    Missions / Taches détaillées Activités et Connaissances mises en œuvre Mission 3 : La Gestion Analyse des 1. Les ventes et encaissements ventes et dépenses a. Le bar et le restaurant Les comparatifs de ventes Afin de comparer les ventes avec les sorties réelles, j’ai mis en place les procédures de contrôles suivantes : • Les plats sortants de la cuisine étaient comptabilisés sur une liste par la personne en charge du passe plat. • Les notes étaient enregistrées dans une caisse enregistreuse par la personne en charge de la caisse. • Les commandes étaient notées sur des bulletins de commande numérotés et datés en trois exemplaires. Un exemplaire pour le client, un pour la cuisine et un pour la caisse. En début de journée suivante, je faisais un comparatif des tickets en cuisine, en caisse, de la liste des sorties de cuisine et du ticket de caisse afin de vérifier qu’il n’y ait pas eu d’oublis de facturation. Les rapports de caisses A chaque fin de service, le responsable de la caisse devait produire un rapport de fin de service avec les montants des encaissements par type, puis sortir le rapport de la caisse enregistreuse et remettre les encaissements ainsi que le rapport en comptabilité. Les prestations à facturer sur les chambres étaient aussi remises à la réception pour comptabiliser sur la chambre client. Ces données m’ont permis de produire des rapports mensuels de ventes en restauration. b. Les services annexes Les services annexes comme les massages, la lingerie étaient toujours refacturés sur la chambre du client. Une copie de la facture était fournie au client et l’autre à la réception. Dossier de VAE – Léa Bloom 63
  • 64.
    Missions / Taches détaillées Activités et Connaissances mises en œuvre Mission 3 : La Gestion Analyse des c. Les chambres ventes et dépenses Chaque chambre avait un casier où étaient stockées toutes les factures du client pendant son séjour. En fin de séjour, les réceptionnistes avaient la charge de récupérer tous les documents et de préparer la note client. La facture était numérotée et tous les numéros de factures provenant d’autres services étaient reportés sur cette note finale. Le réceptionniste devait produire une feuille de caisse en fin de journée avec les numéros de factures enregistrées et les totaux par mode de règlement. Puis les règlements ainsi que le rapport étaient remis à la comptabilité. Chaque jour, la comptabilité devait mettre en rapport les factures en attente de paiement des différents services et les factures payées à la réception afin de régulariser les comptes de chaque service. 2. Les outils d’analyse des ventes L’enregistrement des ventes journalières m’a aidé à dresser des analyses de mon activité au restaurant et dans les chambres. En fin de mois je faisais les tableaux récapitulatifs suivants : a. Le Bar et restaurant (voir annexe 22 : Tableau récapitulatif restaurant) Le tableau d’analyse de fin de mois se présentait en différentes parties : • Dépenses journalières (cuisine + bar) • Revenu journalier • Revenu boissons • Revenu nourriture • Revenu petit déjeuner • Revenu Déjeuner + dîner • Nombre de couvert Puis le tableau d’analyse • Dépenses totales mensuelles • Revenu total mensuel • Chiffre d’affaire = Revenu total mensuel – Dépenses totales mensuelles • Nombre de couverts Dossier de VAE – Léa Bloom 64
  • 65.
    Missions / Taches détaillées Activités et Connaissances mises en œuvre Mission 3 : La • Addition moyenne = Chiffre d’affaire / nombre de couverts Gestion • Le ratio = Dépenses totales mensuelles / revenu mensuel (en %) Analyse des Ces rapports m’ont permis de suivre l’évolution du comportement ventes et d’achat des clients, en faisant des comparatifs avec n-1. dépenses b. Les chambres (voir annexe 23 : Tableau d’analyse des chambres) Pour les chambres le tableau d’analyse de présentait comme suit : N- En N et N-1 Mois Nombre de Nombre de Taux Chiffre Prix nuitées nuitées d’occupation d’affaires moyen (mois) (cumul) chambres de la chambre Nombre de Nombre de (Nombre de Chiffre chambres chambres chambres louée d’affaires louées louées / nombre de chambres cumulées chambres / depuis le disponibles) * Nombre début de 100 de l’année chambres vendues Ce tableau permet de faire une bonne analyse comparative avec les années précédentes et de voir l’évolution de l’occupation de l’hôtel. c. L’analyse de compte (voir annexe 24 : Analyse des comptes) Ce tableau d’analyse de fin de mois dresse un tableau complet de l’activité de l’hôtel et du restaurant pour en rendre compte au propriétaire de La Noria. Ce tableau permet aussi d’analyser les centres de dépenses et de revenus les plus importants et d’en faire le comparatif avec les années précédentes. YTD % % of occupancy 801 92.28% Nbe of guest 1416 Dossier de VAE – Léa Bloom 65
  • 66.
    Missions / Taches détaillées Activités et Connaissances mises en œuvre Mission 3 : La Average room rate $36.48 Gestion Average spending per guest $39.98 Revenues Analyse des Room sales $29'222.41 51.62% ventes et dépenses Restaurant $22'405.94 39.58% Swimming pool $1'489.25 2.63% Laundry $514.05 0.91% Telephone $159.50 0.28% Commission and change $2'818.92 4.98% Boutique $0.00 0.00% TOTAL SALES $56'610.07 100.00% Expenses Cost of sales (1+2+3+5) $8'199.17 36.90% Others $6'250.00 28.12% Payroll $4'346.78 19.56% Administration $671.06 3.02% Marketing $27.00 0.12% Energy $1'862.13 8.38% Maintenance $866.60 3.90% TOTAL EXPENSES $22'222.74 100.00% GOP $34'387.33 Taxe alcool, insurances $5'826.66 other & benefit 1% TOTAL $28'560.67 La conduite de Activités 3 : La conduite de projets projets Un projet peut être comparé à une activité opérationnelle avec une durée de vie limitée dans le temps et un budget alloué. Un projet doit être innovant et unique et doit répondre à un besoin précis. Lors de mon activité à la Noria, j’ai géré plusieurs projets tels que : • La création d’un site web • La création d’une bibliothèque • La création d’une boutique équitable • La rénovation de la cuisine Dossier de VAE – Léa Bloom 66
  • 67.
    Missions / Taches détaillées Activités et Connaissances mises en œuvre Mission 3 : La • La rénovation et le remodelage du bar Gestion Afin de suivre les étapes de la gestion de projet, je vais prendre La conduite de comme exemple le développement du bar. projets 1. Définition des objectifs Avant d’entamer un projet, il faut se poser la question suivante : quel besoins doit satisfaire le produit finit du projet ? La définition des besoins et des objectifs est donc très importante. La définition de l’objectif doit être : • Réalisable (l’objectif ne doit surtout pas être impossible à atteindre car cela provoquera une démotivation des équipes). • Mesurable (on doit pouvoir évaluer les résultats du projet). • Motivante (ceux qui sont impliqués dans le projet doivent sentir une satisfaction vis-à-vis du but atteindre). 2. La conception a. Le diagnostique La première phase consiste à faire un diagnostique de la situation. Dans notre exemple, la Noria possédait déjà un bar prés de la piscine mais ce centre de revenu était très faible. Nous avons donc, avec les responsables de la restauration, essayé d’analyser quelles pouvaient en être les raisons : • Le bar n’était pas bien entretenu (vieux bâtiment, peinture, etc). • Les clients n’avaient pas de lieu où s’asseoir et profiter du bar. • La carte ne comportait pas de produits attractifs (pas de cocktails, pas de nourriture). • Il n’y avait aucune communication sur le bar et les produits disponibles. • Il n’y avait pas de personnel chargé du bar. • Les horaires d’ouvertures du bar étaient réduits. b. La recherche de solutions Dossier de VAE – Léa Bloom 67
  • 68.
    Missions / Taches détaillées Activités et Connaissances mises en œuvre Mission 3 : La Gestion Suite à l’identification des besoins, nous avons listé les améliorations possibles : La conduite de projets • Rénovation des lieux Nous avons décidé des réaménager le bar, refaire la peinture, la lumière, achat de vaisselle et verres originaux. • Création d’un lieu confortable Nous avons fait des coussins pour les chaises longues, création d’un abri en bois (bibliothèque en pleine air) dans le jardin tropical avec des chaises et tables pour que les clients puissent passer du temps et consommer au bar. • Renouvellement la carte (voir annexe 25: Menus bar) Recherche des boissons originales cocktails avec et sans alcool avec des produit locaux (Thé froid à la citronnelle, khmer punch, etc…). Création d’un menu de tapas cambodgien (nous savions que les clients revenaient souvent aux heures les plus chaudes de la journée pour profiter de la piscine, le bar étant devant la piscine nous avons pensé que les clients apprécieraient de manger des plats légers sans avoir à venir au restaurant). Mise en place des cartes dans les chambres pour que les clients commandent et consomment sur leurs terrasses. • Amélioration du serviscène Mise place d’un éclairage dans les plantes, des torches, pour que les clients viennent consommer dans le jardin tropical le soir, avant le repas. Mise en place d’un système sonore pour rendre l’endroit plus agréable le soir. • Affectation d’un personnel en charge Nous avons décidé de placer une personne en charge du bar afin de responsabiliser et d’impliquer cette personne en particulier dans la conception et la réalisation des nouveaux produits. 3. Faisabilité Dossier de VAE – Léa Bloom 68
  • 69.
    Missions / Taches détaillées Activités et Connaissances mises en œuvre Mission 3 : La Nous avons étudié la faisabilité technique du projet (avait-on les Gestion ressources disponibles et capable de mener à bien le projet) La conduite de La faisabilité budgétaire (création d’un budget pour les projets rénovations, mise en place avec les responsables de maintenance, obtention de devis à présenter au propriétaire). La Faisabilité temporelle : nous avons défini le temps imparti à la mise en place du projet avec les personnes en charge des différentes parties, la maintenance, la cuisine, le restaurant (2 mois). 4. La réalisation Une fois le projet accepté par tous les acteurs et le propriétaire, j’ai mis en place un plan de déroulement avec les actions à mener, les personnes responsables, les deadlines de chacun. Ce plan de déroulement, mis en place avec les personnes concernées nous a permis de faire un suivi de l’avancement du projet et de faire un point chaque semaine sur les choses à mettre en place. Action to be taken Pax in charge Deadline Done 1. Building of a small Reading and Relaxing place Construction Hong OK Beginning Electricity Hong Antoine Rotha august 2. The making of the furniture and decoration Book shelve Hong Mid august Table in the middle Beginning Black seats and table Chantha august Lamp Lea Beginning Flowers Sitivan august 3. Developing the menu Making the new menus Lea OK Trying of the cocktails Lea Sophat Sambo OK Trying of the food Lea Kimleang Mid august Installing fridge Lea Benito Mid August Dossier de VAE – Léa Bloom 69
  • 70.
    Missions / Taches détaillées Activités et Connaissances mises en œuvre Mission 3 : La Installing barbecue Lea Chantha Mid august Gestion 4. Atmosphere bar La conduite de Beginning Painting Hong – Antoine – Rotha projets august Music Lea October Live music Sergio ASAP 5. Le lancement et l’exploitation Nous avons atteint nos objectifs temps pour la mise en place du projet. a. Le lancement La phase de lancement a nécessité un suivi important, accompagné de conception de procédures, de fiche techniques (voir annexe 26 : Fiches techniques au bar) et de plans de formation en cuisine et au bar. b. L’exploitation Suivi des performances Une fois le projet mis en place, il fallait suivre l’évolution des performances et voir si les objectifs définis à la base avaient été atteints. J’ai réalisé un suivi quantitatif en observant l’évolution du chiffre d’affaire et l’évolution qualitative en sondant les clients pour voir si la prestation était satisfaisante Les réajustements Apres quelques mois d’activité nous avons pu faire des ajustements sur les horaires d’ouvertures, les produits proposés, la communication etc.…. Dossier de VAE – Léa Bloom 70
  • 71.
    Missions / Taches détaillées Activités et Connaissances mises en œuvre Les savoirs Les Savoirs associés : • Chiffrage/calcul de coût • Techniques d'inventaire • Règles de gestion de stocks • Réglementation en Hygiène, Sécurité, Environnement • Analyse statistique • Gestion comptable et administrative • Techniques de planification • Gestion de projet Conclusion : Dans la fonction de directrice, le plus important c’est l'enthousiasme. Je devais être polyvalente au vue du nombre d’employés et de la taille de l'établissement. Etant ma première expérience à hautes responsabilités j’ai du apprendre par moi-même au fil de mon expérience à La Noria. Je devais gérer et administrer l’établissement, le personnel, les finances, le matériel, et l'accueil du public. En tant que directrice d'hôtel il fallait développer les activités de l’établissement et en assurer la promotion auprès des agences, des partenaires et des clients. J’ai voulu donner un style particulier à La Noria, définir un cadre, une décoration qui était éthique, propre à la région et qui répondait à la demande du public. Mes tâches et responsabilités était donc nombreuses et diversifiées et répondant aux besoins des équipes mais aussi à ceux des clients. En tant que directrice je visais surtout une occupation maximale des lieux afin de rentabiliser l’établissement et de permettre aux différents services de bénéficier d’une activité économique accrue. Cette expérience a été très enrichissante pour moi car elle m’a donné la possibilité de mettre à exécution mes idées, d’être créative, indépendante et responsable. Les principales qualités (savoir-être) mobilisées pour cet emploi : (savoir- mobilisées • La polyvalence : Surtout dans un petit établissement il faut savoir être polyvalent et s’intéresser à tout les domaines d’activités d’un hôtel (le bâtiment, la gestion, la communication, la cuisine, l’hygiène) Dossier de VAE – Léa Bloom 71
  • 72.
    • La prisede décision : Pour gérer un établissement il faut être capable d’analyser les situations et de prendre des décisions rapides et régulières. • Le leadership : Etant à la tête de 42 employés j’ai du faire appel à des techniques d’animation, à la délégation, à l’organisation et à la motivation des équipes afin d’améliorer la qualité du service dans l’hôtel. Il faut être capable de motiver son équipe. • La communication : Etant la représentante de l’hôtel, j’ai dû développer la communication sur l’établissement en développant des relations avec des partenaires ainsi que la communication interne. • L’organisation : Afin de développer ou améliorer les services existants j’ai été amenée à gérer plusieurs projets. Ces projets ont nécessité de l’organisation, du suivi et de l’animation. • L’animation : Toujours dans l’optique d’améliorer la qualité de l’hôtel, j’ai mis en place beaucoup de formations nécessitant de bonnes connaissances des techniques d’animations. Bibliographie : - Le marketing du tourisme (2007) – Isabelle Frochot et Patrick Legoherel – Edition Dunod - Pratiquer la conduite de projet (2002) – Henri- Pierre Maders et Etienne Clet – Editions d’Organisation - Gestion des conflits (2004) – Pierre Pastor et Richard Bréard – Editions Liaison - La gestion des ressources humaines (2009)– Chloé Guillot-Soulez – Edition Lextenso - Gestion de l’entreprise (2002) – Nicole Bach et Jean Claude Oulé – Edition BPI Dossier de VAE – Léa Bloom 72
  • 73.
    Années et durée Intitulé exact de la fonction occupée d’exercice LE GERSHWIN – Directrice des ventes et de la réservation 1. l’Etablissement : Hotel Le Gershwin 7 east 27th street New York 10016 Tel: (+1) 212 545 -8000 Fax: (+1) 212 545 5546 www.gershwinhotel.com info@gershwinhotel.com a. Le concept L’hôtel Le Gershwin est un hôtel indépendant situé en plein cœur de Manhattan. L’hôtel a été repris en 1990 par un couple de propriétaires canadiens. C’est un lieu artistique qui a pour but de promouvoir l’art sur New York. Chaque étage ainsi que certaines chambres on été décorés par des artistes. Chaque année, nous recevions des artistes en résidences qui montaient des projets et expositions dans l’hôtel. La devanture de l’hôtel a, elle-même, été désignée par un artiste La façade du Gerswhin norvégien qui a créé d’énormes cornes lumineuses. Les chambres représentent réellement l’esprit New-yorkais, bâtiment ancien (construit la même année que le Flat Iron), Le Gershwin a été conçu avec un véritable esprit créatif et artistique. Nous offrons une réelle expérience New-yorkaise aux clients. b. L’établissement • Les chambres L’hôtel est composé de 150 chambres divisées en 5 types : L’essentiel - Le standard - La supérieure - Famille & amis et Suites Une Chambre dortoir • Les dortoirs La partie inférieure était composée de plusieurs types de dortoirs ; les 2 places, les 4 places, les 6 places et les 10 places. Dossier de VAE – Léa Bloom 73
  • 74.
    Années et durée Intitulé exact de la fonction occupée d’exercice • Les services Les nombres de services internes étaient limités faute de place. Un Restaurant Des Espaces de conférences et réunions Une Chambre individuelle Un service de lingerie c. La clientèle visée La clientèle visée est nationale et internationale, plutôt jeune et indépendante en recherche d’expériences uniques et artistiques. La plupart des hôtels sur Manhattan visent une clientèle d’affaire ce qui Espace de conférence nous a permis de nous placer plus facilement sur ce marché. d. Contexte touristique New York est la destination la plus en vogue des Etats unis depuis les 10 dernières années. Nous sommes donc dans un contexte favorable pour le développement hôtelier. Quelques chiffres • Le nombre total de visiteurs est passé de 33 à 47 millions entre 2000 et 2008, soit une hausse de totale de 34%. • 79% de ces 47 millions de visiteurs sont issus du marché domestique et seulement 21% du marché international. • En 2008, les nationalités les plus représentées sont: : 1. La grande Bretagne 1, 328,000 2. Le canada 964,000 3. L’Allemagne 590,000 4. La France 561,000 5. La Scandinavie (Suède, Danemark, Norvège, Finlande) 457,000 • Le nombre de chambres estimé en 2008 est de 76,000 avec un taux d’occupation moyen à 85.3% et un prix de vente moyen à $312. Dossier de VAE – Léa Bloom 74
  • 75.
    Années et durée Intitulé exact de la fonction occupée d’exercice 2. Le Poste : a. Intitulé Directrice des ventes et du marketing Manager résidente b. Responsabilités Mes fonctions au poste de responsable des ventes et du marketing étaient les suivantes: la coordination de toutes les opérations journalières en réservations, la supervision de l’équipe de réservations, le développement des relations et outils de ventes et l'application des techniques du yield management. En tant que manager résident, j’habitais sur place et étais en charge du bon fonctionnement des équipes de nuits et du week-end ainsi que dans les cas d’urgence. c. Organigramme Le personnel de l’hôtel comptait 53 employés. Nous étions 5 chefs de département directement sous la coordination du directeur général. Dossier de VAE – Léa Bloom 75
  • 76.
    Années et durée Intitulé exact de la fonction occupée d’exercice d. Lettre de recommandation Dossier de VAE – Léa Bloom 76
  • 77.
    Années et durée Intitulé exact de la fonction occupée d’exercice e. Fiches de paie et certificat de travail Dossier de VAE – Léa Bloom 77
  • 78.
    Années et durée Intitulé exact de la fonction occupée d’exercice Dossier de VAE – Léa Bloom 78
  • 79.
    Années et durée Intitulé exact de la fonction occupée d’exercice Dossier de VAE – Léa Bloom 79
  • 80.
    Missions / Taches détaillées Activités et Connaissances mises en œuvre Mission 1 : Mission 1 : Gestion des réservations et des ventes Gestion des réservations et des ventes Activité 1 : Définir les tarifs Définir les Les tarifs sont un facteur de plus en plus important dans le tarifs processus de choix du touriste. La tarification dans l’hôtellerie permet de mettre en adéquation l’offre et la demande et influence l’image de l’établissement. Le Gershwin est un établissement de gamme moyenne avec une forte image de marque. Nous offrions une large gamme de prix allant du dortoir le moins cher à 32usd/nuit aux suites à 360usd/nuit. Nous avions cependant une politique de communication complètement séparée entre la partie auberge et la partie hôtel. Cette gamme étendue nous a permis de segmenter nos marchés et d’atteindre une clientèle large. des 1. L’analyse des facteurs J’ai participé à la fixation des prix de l’établissement en début d’année en partenariat avec le directeur général et la propriétaire de l’établissement. Les prix de bases sont généralement fixés à l’aide de trois facteurs principaux : a. Les coûts L’analyse des coûts permet de définir un seuil minimum en dessous duquel il ne faut pas descendre pour permettre une rentabilité. Ce facteur est d’autant plus important sur des bâtiments neufs avec un fort investissement. Le Gershwin a été construit dans les années trente et a été un hôtel depuis longtemps. Le retour sur investissement avait déjà été atteint et seuls les coûts opérationnels étaient à prendre en compte. • Les charges fixes : les coûts étant totalement indépendants de l’activité. Les loyers, les assurances etc. • Les charges variables : en lien avec l’activité de l’hôtel, l’eau, électricité etc… Je n’avais pas accès à ces données pour le Gershwin et ce prix minimum était donc défini par la direction. Dossier de VAE – Léa Bloom 80
  • 81.
    Missions / Taches détaillées Activités et Connaissances mises en œuvre Mission 1 : Gestion des b. La demande réservations et En général, on estime qu’il y a une élasticité de la demande par des ventes rapport au prix. Plus le prix est bas, plus la demande est grande mais il y a des limites à cette théorie. Définir les L’image de marque de l’hôtel peut être une limite, un prix trop tarifs bas peut rendre le consommateur méfiant par rapport au service. Le consommateur est plus souvent en recherche d’un bon rapport qualité / prix. Les clients potentiels du Gershwin pouvaient définir une valeur qualitative approximative avant leur arrivée grâce à la communication directe (le site internet, les publicités, les sites de reventes, articles) et la communication indirecte (Trip Advisor, le bouche à oreille…). La notion de valeur peut permettre d’afficher des prix moyens supérieurs sachant que le Gershwin n’offrait pas uniquement une nuit d’hôtel impersonnelle mais une occasion de faire une vraie expérience new yorkaise, de rencontrer des artistes, des mannequins, et donc de vivre une aventure unique et excitante. Cette notion rend le produit désirable et le client accepte de payer un prix supérieur pour être « dans le coup ». c. La concurrence La concurrence directe influence généralement la fixation des prix de l’établissement. Si nous offrons des tarifs supérieurs à tous les hôtels alentours, notre clientèle risque de se fatiguer et de choisir d’autres établissements, ou au contraire si nous sommes bien inférieurs, le client va se méfier. Il faut donc analyser cette concurrence et trouver un juste milieu (voir annexe 27 : Article The Independant). La concurrence peut être géographique : le Gershwin étant en plein centre de Manhattan, il y avait de nombreux établissements dans les quartiers adjacents. Ces établissements étaient généralement tournés vers une clientèle d’affaire car près du centre économique de la ville, ils proposaient donc un service et des prix totalement différents des nôtres. La clientèle affaire est prête à payer le prix fort en échange d’un niveau de service supérieur. Nous devons aussi prendre en compte la concurrence des services proposés. Dossier de VAE – Léa Bloom 81
  • 82.
    Missions / Taches détaillées Activités et Connaissances mises en œuvre Mission 1 : L’hôtel à forte identité : Le Gershwin n’avait pas réellement de Gestion des concurrence sur Manhattan à part quelques hôtels indépendants comme le Chealsea www.hotelchelsea.com (hôtel ayant toujours été au centre de réservations et la vie artistique de New York, des artistes tels que Janis Joplin et Bob des ventes Dylan ont séjourné dans cet établissement). Définir les L’auberge de jeunesse : Le système d’auberge de jeunesse se tarifs développait de plus en plus sur New York. Souvent loin du centre ville et n’ayant aucun charme, nous ne les considérions pas comme de réels concurrents bien que nous pratiquions des tarifs similaires. La seule auberge qui pouvait présenter une concurrence était The Pod Hotel www.thepodhotel.com . Cet établissement très bien rénové, offrant un produit plus moderne, était un réel concurrent pour le Gershwin car il offrait des prix similaires pour une qualité supérieure. Le Chelsea Hôtel La veille concurrentielle : Afin de faire une veille de la concurrence nous demandions au night audit d’appeler les hôtels en concurrence pour demander le prix de vente moyen et le taux d’occupation journalier. Ce rapport comportant une dizaine d’établissements, nous permettait de nous situer par rapport aux autres et d’ajuster nos prix si besoin. The Pod Hôtel 2. Les outils de La tarification Afin de définir la tarification initiale en début d’année (qui bien entendu était modulable grâce aux techniques du yield : voir activité 2), j’ai fait appel à plusieurs outils d’analyses qui m’ont permis d’établir les tarifs les plus justes lors de la mise en vente annuelle. a. La segmentation de la clientèle La segmentation permet d'identifier différentes catégories de clientèles en fonction de critères clairement établis. Cette segmentation est une donnée clef pour adapter ses tarifs mais elle va aussi permettre d’établir le comportement des clients en termes de : - antériorité de réservation : 2 mois avant ou la veille - mode de réservation - mode de paiement - comportement pendant le séjour : petit déjeuner à 6h30 pour un homme d'affaires, 9h30 pour une famille - exigences : le client affaires exigera un business center par Dossier de VAE – Léa Bloom 82
  • 83.
    Missions / Taches détaillées Activités et Connaissances mises en œuvre Mission 1 : exemple. Gestion des réservations et Nous avons établi notre segmentation comme suit : des ventes Définir les Agence tarifs Individuel National International Clients indépendants Auberge Agence Groupe National International indépendants Agence Individuel National International Clients indépendants Hôtel Agence Groupe National International indépendants La différenciation en termes de comportements et de sensibilité aux prix était très marquée entre les clients auberge et hôtel. En recherche du prix le plus bas (élasticité importante). Réservations à la dernière minute. Réservations par internet ou agences. Population jeune avec un faible pouvoir d’achat. Une clientèle plutôt étrangère. Clients Auberge Il ne fallait pourtant pas négliger cette segmentation car le revenu par chambre était plus important qu’une chambre individuelle (Par exemple un dortoir de 10 lits nous rapportait en moyenne 320 USD / nuit) Moins d’élasticité au prix, accorde plus d’importance à la notion de valeurs. Plus de fidélité; Client plus âgé avec un pouvoir d’achat plus important; Clients Hôtel Plus d’individuels et de réservations directes; Des séjours plus longs. Plus d’impacts sur la communication de l’hôtel (bouche à oreille, sites internet, forums). b. Le calendrier annuel Afin d’avoir une meilleure visibilité des tarifs à pratiquer tout au long de l’année, je mettais en place un calendrier des événements et des saisons afin d’adapter nos tarifs aux impacts des ces événements. Dossier de VAE – Léa Bloom 83
  • 84.
    Missions / Taches détaillées Activités et Connaissances mises en œuvre Mission 1 : L’établissement d’un calendrier est un outil indispensable à la Gestion des politique tarifaire et la maximisation du revenu. réservations et Ce calendrier prenait en compte différents types de données : des ventes Les événements externes Définir les - Les événements sportifs : l’US open, le marathon de New York. tarifs - Les événements culturels: New York performing art festival. - Les fêtes : Noël, le nouvel an, Thanksgiving - Autres : Les périodes de soldes Les événements internes Les événements organisés par l’hôtel et qui nécessitaient une réduction des ventes indirectes comme par exemple le Jazz festival, les expositions etc.… c. Les saisons Nous avons établi un calendrier des saisons avec deux saisons (haute et basse) en 4 périodes : Septembre – Mi- Janvier : saison très haute Mi-janvier – Fin février : Très basse Mars – Juin : Haute Juillet - Aout : basse Lors de mon activité ces saisons étaient déjà en train de se transformer, nous pouvions observer une augmentation de l’activité touristique sur toute l’année. Les mois de Juillet et Aout, par exemple affichaient un taux d’occupation plutôt bon. d. L’historique des données L’analyse de l’historique des données permet d’analyser le comportement des réservations par segment et de définir des tarifs adaptés aux jours de la semaine par exemple. Au Gershwin nous pouvions, par exemple, observer une augmentation des réservations individuelles en segment hôtel à partir du jeudi soir. Ainsi, nous pouvions protéger les ventes directes avec un rack rate plus élevé sur les fins de semaine. L’analyse des données se fait à partir d’un rapport appelé le daily Dossier de VAE – Léa Bloom 84
  • 85.
    Missions / Taches détaillées Activités et Connaissances mises en œuvre Mission 1 : actual (voir l’exemple ci-dessous). Gestion des réservations et Mois de mars n 1 2 3 4 5 6 des ventes J V S D L Ma Evènements 1 Définir les Auberge tarifs Prix moy Individuels en Plein tarif 43 71 6 1 1 56 66 Corporate 36 36 3 0 1 12 31 Barter 34 0 0 0 0 0 30 Groupes Contrats direct 37 0 4 2 2 0 0 Agences 88 5 0 0 0 21 14 Barter 18 Total "Auberge" 112 13 3 4 89 4 Taux d'occupation "Auberge" 56 7 2 2 45 92 Prix moyen "Auberge" 95 88 79 82 95 88 Hotel Hotel Individuels Plein tarif 154 12 19 42 8 7 12 Corporate 123 0 21 33 17 0 0 Barter 132 8 12 14 4 0 4 Groupes Contrats direct 143 0 46 48 0 0 0 Agences 121 0 0 48 0 0 0 Barter 134 0 0 12 0 0 0 19 Total "Hotel" 20 98 7 29 7 16 Taux d'occupation "Hotel" 10 49 99 15 4 8 Prix moyen "Hotel" 87 74 76 81 98 91 13 20 20 Total chambres louées 2 111 0 33 96 0 10 10 Taux d'occupation 66 56 0 17 48 0 Prix moyen 94 76 76 81 95 89 Refus 0 0 0 0 0 5 Annulations / No show 2 1 4 3 7 Délogés 0 0 0 0 0 1 Dossier de VAE – Léa Bloom 85
  • 86.
    Missions / Taches détaillées Activités et Connaissances mises en œuvre Mission 1 : Gestion des e. Les tarifs réservations et des ventes Nous avions différents tarifs dans l’hôtel : Définir les tarifs Le rack rate : Ce prix était défini en début d’année mais était extrêmement variable et modifiable durant l’année. Les tarifs agence : Je travaillais avec une trentaine d’agences dont Kuoni travel, Expédia, booking.com. J’étais en charge de la négociation des contrats agences en début d’année. Les prix agences étaient complètement fixes à l’intérieur des allotements mais pouvaient varier une fois les allotements atteints ou dépassés. Les tarifs corporate : Les tarifs entreprises sont négociés à l’avance avec un tarif préférentiel. Nous ne donnions aucun allottement à ces entreprises mais elles bénéficiaient d’un tarif réduit. Je travaillais avec 15 compagnies surtout dans le domaine des arts : Salles de concerts: Smoke jazz club, Rodeo Bar Salles de théâtre : Blue man group Galléries d’Expositions : Dans le quartier de Chealsea Agences de mannequins : Elite… J’ai essayé de développer ces contrats avec de nombreuses galeries d’art et des musées afin de favoriser le partenariat et de communiquer sur l’hôtel dans le milieu artistique. J’ai donc contacté de nombreux établissements afin de les rencontrer, de présenter l’hôtel et d’organiser des visites. Les tarifs groupes : Les tarifs groupes étaient ponctuels pour les réservations de + de 15 chambres. A la demande, je mettais en place des contrats groupe avec des tarifs réduits. Les tarifs mariages : Nous mettions en place des contrats avec des futurs mariés, ces derniers s’engageaient à communiquer notre hôtel à la liste des invités. Nous demandions un minimum de 10 réservations « mariage » avec une date limite en échange d’un tarif réduit. Les tarifs barter : Un barter agreement est un contrat d’échange. Nous étions partenaires de l’événement et en échange nous offrions un tarif réduit pour tous les participants. Ces contrats étaient de nature ponctuelle. Dossier de VAE – Léa Bloom 86
  • 87.
    Missions / Taches détaillées Activités et Connaissances mises en œuvre Mission 1 : Gestion des réservations et Activité 2 : Gérer les ventes des ventes 1. Les différents modes de réservation ré Gérer les ventes Lors de mon activité au Gershwin, j’avais la charge de gérer les différents modes de réservations. Ces modes se regroupent comme suit : Réservations hôtel : Les réservations s'effectuaient en direct à l'hôtel, par téléphone, par courrier électronique ou par fax, ou bien lorsque le client se présentait directement sur place. Il n'y avait aucune commission sur ce type de réservation. Elles ne représentaient pas la majorité des réservations reçues. Bouton de réservation : Ce sont les réservations provenant du site de l'hôtel, lorsqu'il est équipé d'un outil qui confirme on-line (en temps réel) à l’internaute. J’avais la charge de gérer les disponibilités et les tarifs sur notre site. Ces ventes n’étaient pas commissionnées non plus et représentaient une large part des réservations directes car notre site était très visible sur les moteurs de recherche. Il peut souvent être difficile de trouver le site direct de l’hôtel sur un moteur de recherche. Par exemple en tapant « Gershwin Hotel NYC » nous pouvons tomber sur le site direct en première page alors que souvent les revendeurs apparaissent avant car ils ont de plus gros moyens pour accentuer leur visibilité. Nous faisions appel à un webmaster qui gérait cette partie pour nous. Réservations contrats : Nous recevions des réservations par les compagnies partenaires (corporate), par les contrats mariage et le barter. Les distributeurs : Ce sont les IDS (Internet Distribution System). Ces distributeurs étaient des partenaires pour l'hôtel, puisqu’ils favorisaient la vente de nos chambres sur le web. Nous travaillions avec plusieurs sites de revente tels que booking.com, Expedia, Hostel booker etc. Nous avions deux méthodes de tarification, soit ils achetaient les chambres en prix net (exemple d'Expedia qui applique ensuite son 'mark- up' à la revente), soit ils recevaient sur le prix de vente fixé par l'hôtel une commission au pourcentage. Dossier de VAE – Léa Bloom 87
  • 88.
    Missions / Taches détaillées Activités et Connaissances mises en œuvre Mission 1 : Les GDS : Nous recevions aussi des réservations du GDS Amadeus Gestion des (qui permettait la visibilité de l'hôtel auprès de toutes les agences de voyages connectées dans le monde - environ 450 000 agents de réservations et voyages). Nous devions payer une commission agent de voyages de 8 à des ventes 10 %, plus un forfait d'environ 5 Euros par réservation au GDS. Gérer les ventes 2. Gestion des ventes Agences Nous travaillions avec une quinzaine d’agences de voyages. Avant les événements du 11 septembre, l’hôtel travaillait avec un nombre beaucoup plus important d’agences mais durant cette année difficile, beaucoup de ces dernières n’envoyaient plus de clients. Nous n’avons gardé que celles qui nous avaient soutenus pendant cette période. Comparativement à d’autres hôtels, nous ne travaillions qu’avec très peu d’agences mais ceci était un choix judicieux au vu de notre capacité plutôt réduite (150 chambres) et du fait que les nouvelles méthodes de reventes par internet nous permettaient une plus grande flexibilité. Il est important de comprendre que l'agence est l'intermédiaire entre le client final et l’hôtel. Elle apporte une réelle valeur ajoutée par : - sa connaissance du produit. - son marketing. - ses conseils. - ses méthodes de travail. - les garanties au client. - les garanties à l'hôtelier. a. Développement du relationnel agence Dans la mesure où l'agence est face au client, il est important d’établir une bonne communication avec l’agence. Mon rôle était de développer des rapports commerciaux avec les responsables d’agences grâce à différentes actions : • Faire de visites annuelles de sondage de satisfaction. • Organiser des formations « connaissance du produit » auprès des agents pour qu’ils puissent mieux vendre le produit. • Confirmer rapidement les réservations. • Etre flexible (par exemple accepter des réservations hors allottements lorsque cela était possible). • Tenir les responsables au courant des travaux, aménagements. fermeture... Dossier de VAE – Léa Bloom 88
  • 89.
    Missions / Taches détaillées Activités et Connaissances mises en œuvre Mission 1 : Gestion des b. Négociation et signature des contrats réservations et En prévision de l’année suivante je devais réviser et négocier les contrats des ventes agences. Gérer les Ces contrats comportaient plusieurs points importants à négocier : ventes • Le type de chambres : Le type de chambres vendues variant selon l’agence. Certaines agences vendaient des lits auberge et des chambres hôtel. Nous mettions à disposition les dortoirs 6 et 10 lits ainsi que les chambres standards et supérieures en vente. Nous indiquions aussi le nombre de Twin ou Double sur le contrat. • Les tarifs : Les tarifs étaient définis comme expliqué dans le chapitre 1. • Les commissions : Les commissions agences étaient généralement de 10%. • Les allotements : C’est le nombre de chambres fixes, allouées par jour aux agences. Elles peuvent donc réserver un certain nombre de chambres au prix contrat et nous sommes dans l’obligation de les accepter. Le nombre de chambres variait en fonction de l’agence et de la saison. • Les dates de rétrocession : Dans le secteur hôtelier, l'allotement est souvent associé à une date de rétrocession. Celle-ci précise jusqu'à quand les chambres allotées sont réservées pour l’agence. Une fois la date de rétrocession passée, l’hôtel récupère la capacité de vendre ses chambres par d'autres moyens s'il le souhaite. Les réservations étant de plus en plus tardives, la date de rétrocession est de plus en plus un élément de négociation lors de la signature des contrats. Nous avions des dates différentes en saison haute (15 jours) et basse (7 jours). • Les black dates : Les « black dates » étaient les dates de l’année ou nous d’accordions pas d’allottements aux agences car la demande en réservations directes était trop forte. • Les conditions d’annulation : Les délais minimums auxquels les agences devaient nous communiquer les annulations pour ne pas avoir de retenues. • Les modalités de paiement : Les délais auxquels les agences devaient nous payer le séjour client (A partir de l’envoi de la facture par l’hôtel). Dossier de VAE – Léa Bloom 89
  • 90.
    Missions / Taches détaillées Activités et Connaissances mises en œuvre Mission 1 : Gestion des • Les modalités de réservation : Les critères qui devaient apparaître sur les réservations pour être accepté par l’hôtel. réservations réservations et des ventes c. Gestion des réservations Gérer les • Le contrôle des allotements ventes Lors de la réception des réservations nous devions comptabiliser et déduire le nombre de réservations du nombre d’allotements. J’ai mis en place un système de comptage sur Excel permettant de faire un réel suivi. Nous nous étions rendu compte que certaines agences dépassaient le nombre de réservations sans le notifier par la mention « outside allotement ». Si le cas se présentait, nous pouvions refuser ou accepter cette réservation après analyse du niveau d’occupation prévisionnelle de l’hôtel. Au contraire, il est généralement impossible pour l’hôtel de revenir sur cet allotement. Quelques agences nous permettaient de fermer des dates mais ceci n’était pas systématique. Certaines agences envoyaient les réservations individuellement dès la prise de réservation alors que d'autres attendaient la fin du délai de rétrocession pour transmettre toutes les réservations : dans le 2ème cas, nous devions faire très attention de ne pas enregistrer trop de réservations directes afin de ne pas se trouver en surbooking. • Contrôle des dates de rétrocession Je demandais aussi aux agents de faire attention aux dates de rétrocession lors de l’enregistrement des réservations car les agences reçoivent de plus en plus de réservations de dernière minute et essaient de répondre aux exigences quand même. Si la réservation était en dehors des dates, nous n’étions pas dans l’obligation de l’accepter. Je faisais donc une analyse de l’occupation avant décision. • Le contrôle des prix, des services inclus et des mentions spéciales Lors de l’enregistrement des réservations nous devions faire une vérification des prix entrés dans le système par rapport aux prix indiqués sur la réservation. Il fallait aussi mentionner les services inclus et non inclus sur le voucher et les mentions spéciales telles que les lits enfants, etc. Dossier de VAE – Léa Bloom 90
  • 91.
    Missions / Taches détaillées Activités et Connaissances mises en œuvre Mission 1 : Gestion des En conclusion, comme dans toute relation B to B, les rapports humains sont très importants. Un bon relationnel avec les agences nous a réservations et évité trop de rigidité en cas d'erreur ou de surbooking. L’échange de des ventes services nous permettait de demander à une agence de ne pas utiliser son quota de réservations en cas de surbooking et dans le cas contraire nous Gérer les pouvions accepter un nombre supérieur de réservation. ventes Ayant investi beaucoup d’efforts dans le relationnel, nous avons vraiment atteint un bon niveau de flexibilité malgré cette méthode à la base assez rigide. 3. Gestion des ventes distributeurs internet distributeurs La vente par internet est aujourd’hui un outil incontournable de la vente pour les hôteliers. Nous travaillions avec 6 sites internet de revente. Chaque canal de vente nécessitait une gestion quotidienne et consistait. a. Choisir les partenaires Nous avions beaucoup d’offres d’association avec des sites mais nous ne voulions pas augmenter le nombre et nous posions un certain nombre de questions avant de signer un contrat : - Quel droit d'entrée ? - Quelle assistance utilisateur ? - Quel mode de facturation : coût par résa, pourcentage, forfait mensuel... et quel mode de paiement ? - Quelle durée de contrat ? - Quelle liberté de changement ? - Quelles possibilités de paramétrage : combien de tarifs, Combien de types de chambres, combien d'options, combien de conditions de paiement, combien de conditions d'annulation ? - Peut-on avoir un accès protégé (login & mot de passe) ? - Quelles données client sont collectées ? - Combien de langues sont accessibles ? - Peut-on intégrer la charte graphique du site de l'hôtel ? Ces questions sont importantes car la vente par internet est un outil important du yield management et doit être efficace. b. Négociation et signature de contrats Dossier de VAE – Léa Bloom 91
  • 92.
    Missions / Taches détaillées Activités et Connaissances mises en œuvre Mission 1 : Les tarifs : Les revendeurs n’imposaient pas de tarifs minimums Gestion des contractuels. Les tarifs revendeurs étaient basés sur les tarifs rack rate en sachant qu’ils étaient ensuite fluctuants au jour le jour. réservations et des ventes Seule la clause de parité tarifaire pouvait nous contraindre à appliquer une parité entre les différents distributeurs afin de ne pas Gérer les favoriser tel ou tel canal. Cela empêche aussi de pratiquer des tarifs plus ventes bas sur le site de l’hôtel. Cette clause était une limite à la pratique du yield mais était une garantie de concurrence loyale pour les revendeurs. Les commissions : Le mode de rétribution des revendeurs est varié. - Soit le revendeur vend au prix rack rate et récupère une commission de 5% sur chaque vente que l’hôtel reverse ensuite. - Soit le revendeur vend au prix rack rate mais récupère le montant de la chambre tout de suite et reverse le montant moins la commission à l’hôtel. - Soit le revendeur (comme expedia) obtient un tarif contractuel et revend avec une marge directement au client. Le revendeur reverse le prix de la chambre en fin de mois. Les alottements : En général les revendeurs n’imposaient pas de alottements disponibilité minimum, seul Expedia avait un contrat similaire au contrat agence classique. Le fait de ne pas avoir d’allotement me permettait de fermer certains canaux de distribution. Les dates de rétrocessions : Il n’y avait pas de dates de rétrocessions rétrocession dans les contrats revendeurs puisque la plupart ne bénéficiaient pas d’allotements. Je pouvais arrêter ou ouvrir les stocks de chambres en ligne à tout moment. Il faut faire un suivi très précis du nombre de chambres en vente sur les différents canaux pour ne pas oublier de les fermer et ainsi éviter le surbooking. Les autres clauses du contrat concernant le type de chambres, les modalités de règlement et de réservation étaient similaires aux contrats agences classiques. c. La gestion des réservations La mise en ligne des chambres : Une fois le contrat signé, je chambres devais mettre en ligne toutes les informations nécessaires à la vente. Cette mise en vente se faisait directement sur le site revendeur. Je devais rentrer Dossier de VAE – Léa Bloom 92
  • 93.
    Missions / Taches détaillées Activités et Connaissances mises en œuvre Mission 1 : les chambres disponibles, les tarifs, la description de l’établissement, des Gestion des chambres, les photos etc… Ce travail était en général assez long et précis car il pouvait réservations et influencer toutes les ventes futures. des ventes La réception des réservations : Dès qu’une réservation était des Le yield effectuée par l’intermédiaire du distributeur, le distributeur informait management l’hôtel de manière quasi-instantanée soit par email, soit par fax. Toute modification ou annulation était aussi transmise de manière instantanée à l’hôtel. Les distributeurs qui ne collectaient pas l’intégralité du séjour en ligne nous demandaient de vérifier nous même les informations concernant les cartes de crédits. Activité 3 : Yield management En tant que responsable des ventes au Gershwin, une de mes tâches les plus importantes a été de gérer la politique tarifaire de l’établissement en appliquant les principes du yield management. 1. Définition Le Yield Management vise l’amélioration du taux d’occupation et du prix de vente unitaire moyen en vue d’optimiser le profit global d’une entreprise. D’une manière générale, le Yield Management n’est pas applicable à tous les secteurs de distribution, ni à toutes les formes de vente. Pour appliquer le yield mangement, il faut que les caractéristiques suivantes soient regroupées : a. Coût fixe élevé Avoir des coûts fixes élevés permet de définir plus facilement le prix minimum en dessous duquel il ne faut pas tomber en pratiquant le yield management. Par exemple, dans l’hôtellerie les coûts variables liés à l’occupation d’une chambre (nettoyage) représentent une part minime par rapport aux coûts fixes (l’amortissement de la construction ou bien le coût lié au personnel). Dossier de VAE – Léa Bloom 93
  • 94.
    Missions / Taches détaillées Activités et Connaissances mises en œuvre Mission 1 : b. Caractère périssable Gestion des Par exemple une chambre inoccupée n’a plus aucune valeur une réservations et fois la nuit passée. On peut donc penser que de ne pas vendre une des ventes chambre entraînera une perte de revenus. Le yield c. Demande prévisible management L’application du Yield Management se base sur un système de prévision qui repose sur une base de données historique par segment de clientèle. Ceci permet d’analyser les comportements par segments et agir en conséquence sur les prix. d. Système de réservation Il faut que les ventes se fassent à l’avance au moyen des systèmes de réservations pour avoir une vision à l’avance de la demande (celle-ci est parfois inférieure ou supérieure à la capacité offerte). e. Plusieurs réseaux de distribution Avoir plusieurs réseaux de distribution permettra d’atteindre différents secteurs de marché et donc de jouer sur les prix par type de consommateurs. f. Distribution électronique Internet permet une variabilité en temps réel qui est nécessaire au yield management. 2. La gestion des réseaux de distribution Lors de mon activité au Gershwin je gérais quotidiennement 8 sites internet en comptant le site de l’hôtel, les distributeurs internet et le GDS. a. La visibilité Afin de gérer les tarifs, il était nécessaire de pouvoir analyser ses prévisions : - en terme de remplissage ; - en terme de prix moyen ; - en terme de segmentation ; Dossier de VAE – Léa Bloom 94
  • 95.
    Missions / Taches détaillées Activités et Connaissances mises en œuvre Mission Mission 1 : - en comparaison aux exercices précédents. Gestion des La connaissance de ces paramètres me permettait de prendre des réservations et mesures sans attendre le dernier moment : par exemple, si je me rendais des ventes compte qu'une semaine ne se remplissait pas comme d'habitude, alors j’agissais sur les prix et les disponibilités. A contrario, si une semaine se Le yield remplissait "trop" vite alors je fermais les canaux les plus coûteux. management • La visibilité en début d’année Après réception des contrats signés, je faisais un premier tour d’horizon sur l’année afin d’assigner les disponibilités et les tarifs sur chaque site internet. Il faut faire très attention de ne pas mettre à disposition plus de chambres que celles dont on dispose. Ayant beaucoup de sites à gérer, plus des allotements pour les agences, cet exercice nécessitait beaucoup d’attention. • La visibilité à 3 mois Une fois par semaine, je faisais le tour de mes réservations à 3 mois par segment. Je faisais ce travail à l’aide des statistiques disponibles de notre outil informatique. Ainsi je révisais les disponibilités et les prix sur chaque canal de distribution. • La visibilité à une semaine Tous les jours, je faisais un constat de mes réservations pour la ou les deux semaines à venir, nous pouvons déjà considérer cela comme de la prévision dernière minute. Suivant les réservations déjà dans le système, il fallait booster ou bloquer les ventes. Pour ce faire, j’utilisais différemment les canaux. Par exemple, sachant que certains sites marchaient mieux pour la dernière minute et jouais principalement avec ceux là pour être mieux classé et plus visible sur ces sites (hostel booker, expedia). Modalités de classement & hôtel privilégié/favori. De plus en plus de distributeurs proposaient aux hôteliers de participer à un programme qui leur permettait d‘être proposés en priorité aux internautes. Les méthodes de classement des hôtels pouvaient parfois être difficiles à cerner. - Des notations clients élevées. - Un respect strict de la parité. Dossier de VAE – Léa Bloom 95
  • 96.
    Missions / Taches détaillées Activités et Connaissances mises en œuvre Mission 1 : - Le paiement régulier des commissions. Gestion des - L’absence de plainte de client et de délogement. réservations et Il fallait faire très attention de bien respecter les règles de la mise des ventes en ligne car cela pouvait vraiment servir en cas de demandes spéciales. Par exemple, il m’est arrivé de demander à un responsable régional de Le yield nous mettre en première position pour booster les ventes ou au contraire management de les prévenir d’une fermeture totale longtemps à l’avance pour ne pas les « fâcher ». Se fâcher avec son responsable de compte peut être très pénalisant. • La visibilité journalière Tous les jours, je devais mettre à jour les sites, par exemple, en recevant une réservation de groupe ; il fallait tout de suite réduire les ventes car la disponibilité de l’hôtel baissait rapidement. b. la concurrence La connaissance de son produit est une bonne chose. Par contre la connaissance de la concurrence est encore plus importante : si tous les concurrents sont affichés à 80usd quand mon hôtel est à 120usd, je ne vais pas vendre grand chose. Il fallait donc surveiller les tarifs pratiqués par la concurrence afin d’être compétitif. Cela se faisait directement sur les sites internet qui offraient souvent la possibilité d’obtenir des statistiques sur les hôtels concurrents. Les canaux étant nombreux, il était difficile d’obtenir des données de manière simultanée. c. La gestion quotidienne Pour gérer les tarifs et disponibilités de manière quotidienne, chaque distributeur mettait à disposition un extranet sur lequel je pouvais : - Paramétrer ou modifier mes types de chambres. - Paramétrer ou modifier mes tarifs. - Ajouter ou modifier mes textes et photos - Mettre à jour mes prix. - Mettre à jour mes disponibilités. - Vérifier les réservations. - Collecter les informations de carte de crédit quand elles n’avaient pas déjà été transmises à l’hôtel. Dossier de VAE – Léa Bloom 96
  • 97.
    Missions / Taches détaillées Activités et Connaissances mises en œuvre Mission 1 : 3. La gestion de l’overbooking ge Gestion des réservations et L’overbooking est une pratique commune du yield management. Afin d’obtenir un taux de remplissage optimisé je pratiquais la des des ventes surréservation. Le yield a. Les outils de contrôle management Afin de bien gérer la surréservation il faut vraiment analyser les données statistiques passées en terme : - D’annulations : quel est le taux d’annulation ? Quels sont les délais d’annulation ? Par exemple sachant que les années précédentes le taux d’annulation était de 10% à un mois, on peut se permettre un overbooking de 5% (il faut aussi tenir compte des agences qui n’ont pas atteint leur date de rétrocession) puis fermer les ventes. - De no shows : Il faut aussi connaître son taux de no show (les personnes qui ne viennent pas sans annuler la réservation). b. Gérer l’overbooking Les situations d’overbooking sont toujours délicates et difficiles à gérer. En cas d’overbooking excessif le jour même, je devais mener les actions suivantes : • Vérifier toutes les arrivées du jour et éliminer les doublons possibles. • Vérifier toutes les réservations des sites et agences papier pour faire un contrôle absolu des arrivées. • Appeler les clients ou agences pour confirmer les bookings « douteux ». • Appeler les hôtels alentours et connaitre leurs disponibilités restantes. • Réserver des chambres si besoin (à confirmer avant 6 heures du soir). • Essayer de lister les clients que l’on veut déplacer (nous ne choisissions que des clients indépendants, qui n’avaient réservé qu’une chambre pour une nuit et qui avaient les tarifs les plus bas). • Suivre les arrivées toute la journée pour voir quels sont les clients qui tardent le plus à venir. • Laisser des directives à la réception pour gérer l’overbooking et déplacer les clients. Dossier de VAE – Léa Bloom 97
  • 98.
    Missions / Taches détaillées Activités et Connaissances mises en œuvre Mission 1 : En conclusion, nous pouvons dire qu’un délogement réussi est un Gestion des délogement qui se fait "proprement" : du personnel formé, chambre équivalente ou supérieure réservée dans un hôtel équivalent ou de réservations et catégorie supérieure, un mot d’excuse sincère, le paiement du taxi entre des ventes les deux hôtels, un dédommagement simple : une bouteille de vin, une remise sur un prochain séjour… Le yield management c. Les désavantages de l’overbooking Les situations d’overbooking sont néfastes pour l’hôtel pour les raisons suivantes : • Elles donnent une mauvaise image de l’établissement. • Elles génèrent une colère chez le client. Etant un établissement très particulier, les clients étaient d’autant plus déçus que nous ne pouvions trouver un hôtel similaire sur New York. Par exemple un hôtel d’affaire faisant partie d’une chaîne aura plus de facilité à trouver un hôtel de même standing et ainsi déclenchera une frustration moins grande chez ses clients. • En général, elles coûtent cher car il faut trouver un hôtel au même tarif (ce qui est très difficile en dernière minute), dans la même zone géographique et qui a des disponibilités (ceci n est pas toujours facile car en général les dates en l’overbooking sont des périodes de forte activité pour tous les établissements). • Elles provoquent une perte de la clientèle sur plusieurs jours, par exemple, si nous avons une seule nuit en overbooking, certains clients doivent être déplacés et ne reviendront en général pas pour le reste du séjour. Nous pouvions donc nous retrouver avec plusieurs chambres à vendre pour le lendemain et pas toujours la possibilité de les remplir. • Ce sont des moments qui mettent énormément de pression sur les employés du front. Des situations d’overbooking permanentes peuvent déprimer une équipe car elle subit la colère du client. 4. Les avantages et les inconvénients du yield Dossier de VAE – Léa Bloom 98
  • 99.
    Missions / Taches détaillées Activités et Connaissances mises en œuvre Mission 1 : a. Les avantages Gestion des réservations et Le yield management permettait un gain de 6 à 10 % du revenu. des ventes La vente sur les sites internet permettait une augmentation des sources de réservations et donc une moins grande dépendance aux Le yield distributeurs. (Voir annexe 28 : Articles de l’hôtellerie) management Cette forme de gestion des ventes correspond plus à la demande des clients qui réservent de plus en plus sur le web (Voir article l’hôtellerie). La mise à jour quotidienne des tarifs permettait vraiment d’optimiser les revenus. b. Les points faibles du yield management La mise à jour des sites devient vite contraignante car il faut modifier toutes les disponibilités canal par canal pouvant entraîner des erreurs. Si l’on ne met pas à jour son exposition au fur et à mesure des réservations reçues ont peut vite se retrouver en situation d’overbooking non maîtrisé. Il pouvait être difficile de mettre en ligne des prix qui correspondaient au marché, avec le risque de ne pas enregistrer des réservations en cas de surprix ou de perdre du chiffre d'affaires en cas de bas prix. Laisser ouverts plusieurs plannings, même en cas de faible disponibilité, et donc prendre un risque énorme au cas où les différents canaux apporteraient simultanément des clients. La gestion des sites est très consommatrice de temps et pouvait empiéter sur mes autres responsabilités quotidiennes. Le changement quotidien des prix pouvait déconcerter les clients et rendre l’image de l’hôtel moins stable. En général, les sites permettaient aux clients de laisser des commentaires sur l’hôtel mais nous n’avions aucun droit de réponse ce qui est un désavantage pour nous. La clause de parité des prix et des disponibilités pouvait être difficile à respecter à certains moments et me valait des rappels des Dossier de VAE – Léa Bloom 99
  • 100.
    Missions / Taches détaillées Activités et Connaissances mises en œuvre Mission 1 : distributeurs. Gestion des réservations et Les savoirs associés : des ventes • L’analyse statistique Les Savoirs • La veille concurrentielle • Les techniques du yield management • L’utilisation des techniques du web • L’utilisation de l’extranet • Les langues étrangères Anglais, Français, Espagnol et Allemand • Le sens de l’organisation • Les techniques relationnelles et commerciales • Les techniques de suivi des ventes Mission 2 : Mission 2 : Marketing et Communication Marketing et Communication Activité 1 : Gestion de la communication Evénementielle Gestion de la communication événementielle 1. Définition La communication événementielle est une pratique récente. Elle consiste à s’associer médiatiquement à un événement afin de susciter l’intérêt ou la sympathie du public. Les événements regroupent des publics internes, externes ou mixtes. Une de mes missions à été de développer et de gérer cette communication. Etant un hôtel artistique, le Gershwin se devait d’être actif, d’organiser et de participer à de nombreux événements. Nous participions a deux types d’évènements : a. Les événements internes Communication par le biais d’évènements spécialement conçus par l’hôtel comme par exemple : Les Expositions : Dossier de VAE – Léa Bloom 100
  • 101.
    Missions / Taches détaillées Activités et Connaissances mises en œuvre Mission 2 : Marketing et J’organisais chaque mois des expositions au sein de l’hôtel avec Communication un vernissage. Ce dernier était ouvert aux clients de l’hôtel mais aussi aux personnes de l’extérieur. Nous les communiquions dans les journaux comme le time out, New York Magazine, les sites internet, les mailings et Gestion de la les affiches dans l’établissement. Ces vernissage était l’occasion de communication rencontrer les clients, de se faire connaitre en tant que lieu artistique et événementielle culturel. Souvent les artistes étaient des artistes en résidence qui exposaient le travail fait pendant leur séjour à New York. C’était aussi l’occasion de faire connaitre notre programme de parrainage artistique (Voir Annexe 29 : Programme Artistes en résidence). Les soirées concerts : En partenariat avec une personne ayant de très bonnes relations dans le milieu des arts, nous organisions toutes les semaines une soirée concert. Cette soirée était payante et ouverte au publique externe et interne. Ceci était une fois de plus, une manière de communiquer sur l’établissement car nos concerts étaient listés dans tous les magazines culturels de New York. Les soirées spéciales : Nous avons organisé trois jours d’événements dans l’hôtel pour fêter les 20 ans de la mort d’Andy Warhol. Notre hôtel représentait le pop’art dans son style et nous avons donc organisé des concerts, projections de film, invités de la Factory (Lou Reed, Ultra Violet), conférences, fêtes etc. Cet événement a était très médiatisé (télévision, journaux) et nous avons ainsi pu faire connaitre l’hôtel sur New York. Les séances photos : De nombreux magazines de mode me contactaient pour organiser des séances photos dans l’hôtel. L’hôtel était souvent cité lors de la parution des photos dans les magazines de mode, nous obtenions ainsi, de la publicité et une image de marque. b. Evénements externes : Participation du Gershwin à des évènements organisés par d’autres : sponsoring ou Parrainage. Le sponsoring ou parrainage consiste à s’associer à un événement ou à une activité organisée par d’autres en vue d’atteindre des objectifs Dossier de VAE – Léa Bloom 101
  • 102.
    Missions / Taches détaillées Activités et Connaissances mises en œuvre Mission 2 : de communication. Pour cela nous mettions en place des barter Marketing et agreements (un échange de services). Communication J’étais en charge de toute la phase de négociation du contrat de sponsorship avec le détail des services échangés par chacun. Une fois le Gestion de la contrat signé, j’étais responsable de toute la phase d’organisation des communication supports de communication (création de publicité, de textes etc.) en événementielle partenariat avec les organisateurs. Puis lors de l’événement, je devais me charger de l’organisation, de l’accueil des artistes, et de la participation aux activités (soirées, concerts, films etc.) pour vérifier que les termes du contrat étaient bien respectés, pour marquer la présence de l’hôtel et rencontrer les participants. Les différents partenariats que j’ai mis en place ont été les suivants : Le New York Jazz Festival: Nous étions les partenaires officiels du New York Jazz festival. En échange d’un certain nombre de chambres réservées pour les artistes du festival à un prix réduit ou même en gratuité, nous avions le droit à de la publicité dans les magazines et dans le programme, des affiches pendant le festival, d'être cité par les organisateurs pendant les soirées, des places gratuites (j’ai organisé un concours pour les clients de l’hôtel afin de leur offrir les places). Américain: Le festival du film Sud Américain: De la même manière nous avons eu une très bonne couverture médiatique pour cet événement. La plupart des réalisateurs étaient interviewés à l’hôtel avec notre nom en fond d’écran. Le festival des arts numériques : En plus des échanges médiatiques habituels, les organisateurs ont mis en place des œuvres d’art numériques dans l’hôtel pendant toute la durée du festival. Ce qui était aussi un bénéfice pour les clients. 2. Les objectifs Nos objectifs en développant ce type de communication étaient les suivants : • Gérer des expériences et stimuler des émotions qui sont transférées dans l’événement. Dossier de VAE – Léa Bloom 102
  • 103.
    Missions / Taches détaillées Activités et Connaissances mises en œuvre Mission 2 : • Créer ou renforcer la perception par les clients des attributs ou Marketing et bénéfices offerts par le Gershwin. Communication • Faire identifier la marque à un marché cible ou à un style de vie particulier (ex : le milieu artistique). • Exprimer l’engagement de l’entreprise pour les causes d’intérêt Gestion de la général (les arts avec notre système d’artistes en résidence). communication • Renforcer l’image de l’entreprise. événementielle • Augmenter la notoriété de l’entreprise ou du produit. • Divertir les clients et les employés. • Offrir des opportunités d’opérations promotionnelles ou de merchandising. • Générer une forte couverture médiatique. les 3. Les avantages et les inconvénients de la Communication événementielle Les avantages • Création rapide de notoriété, démultiplication par les retombées presses. • Impact sur l’image si l’opération est bien choisie, transfert des valeurs de l’événement sponsorisé sur la marque qui sponsorise. • Prétexte aux contacts avec la distribution et les partenaires divers. Les Inconvénients • Les effets étaient difficilement mesurables. • Les actions étaient souvent ponctuelles, • Il était difficile de prévoir ou de garantir le succès de l’événement. • Il était difficile de choisir les événements car nous étions très sollicités. Conclusion Ces techniques permettent d’atteindre de multiples objectifs en termes d’image, de notoriété et d’attachement émotionnel et ce, auprès du grand public, des clients les plus importants ou des employés de l’entreprise. Il faut noter que la communication événementielle a les mêmes objectifs que la publicité média mais elle coûte moins chère et est plus spécifique. Je pense que ce type de communication était une des Dossier de VAE – Léa Bloom 103
  • 104.
    Missions / Taches détaillées Activités et Connaissances mises en œuvre Mission 2 : clefs du succès pour un établissement comme le notre car comme Marketing et mentionné dans la première partie les clients voulaient venir chez nous Communication pour être dans l’endroit le plus excitant de New York. Mise en place Activité 2 : Mise en place du service de conférences du service de conférences Lors du commencement de mon contrat au Gershwin, l’hôtel possédait trois salles qui n’étaient utilisées que ponctuellement et sans réelle stratégie de vente ou de communication. J’ai donc demandé à développer cette activité pour ne pas perdre cet espace non utilisé. Etant un établissement à caractère artistique, j’ai voulu proposer des espaces de conférences avec du caractère, hauts en couleurs, des thèmes originaux pour des soirées de mariage, des anniversaires, des réunions et conférences. 1. La mise en place du service a. Préparation des supports Les fiches techniques: techniques: Afin de vendre les trois espaces, j’ai, dans un premier temps, créé des fiches techniques pour chacun d’eux. Ces fiches recensaient : • La dimension des salles. • Le nombre de personnes maximal pouvant être accueillies (en accord avec les lois de sécurité de New York et le ratio moyen d’occupation des locaux). • Le prix de la location brute (j’ai fait une étude sur les prix et les services offerts par les autres hôtels de notre quartier afin de déterminer un prix juste). • Les services inclus (installation, préparation et nettoyage), le matériel inclus (table, chaise, paper board, l’eau). • Les services supplémentaires (location de matériel audio- visuel, rétroprojecteur, écran, téléviseur, magnétoscope, service de nourriture comme les pauses café et les repas). Afin de proposer des services complémentaires, j’ai demandé à Dossier de VAE – Léa Bloom 104
  • 105.
    Missions / Taches détaillées Activités et Connaissances mises en œuvre Mission 2 : différentes entreprises externes de nous proposer des devis de location ou Marketing et de fourniture des services. Communication Le catalogue de vente Mise en place J’ai mis en place un catalogue de vente en format pdf (pour du service de avoir la possibilité de l’envoyer aux clients par email et limiter les conférences dépenses d’impression) qui regroupaient l’ensemble des prestations offertes aux clients avec des photos des salles et des événements déjà organisés, les ambiances possibles, les configurations et équipement des salons avec tarifs, les propositions d’assortiments de canapés, les menus à prix fixe, les assortiments de buffets. Les fiches de réservation : J’ai ensuite préparé des fiches réservation détaillées afin de mettre par écrit tous les éléments de la demande des clients (les jours, les heures, les services demandés, la mise en place de la salle, les demandes spéciales). Ces documents de réservation étaient très importants car ils étaient le support qui servirait ensuite à la création du contrat, à l’organisation de l’événement et à la facturation. J’ai aussi créé un planning des réservations afin de placer tous les événements organisés par l’hôtel au long de l’année (expos, concerts) pour organiser la vente autour de ces dates. Les contrats : J’ai mis en place des contrats types afin de lister les engagements à respecter, les délais d’annulation ou de changement, les délais de paiements etc. b. La communication et la vente Communication sur le web Afin de vendre et de communiquer sur notre espace de conférence, j’ai mis en place une section d’information et de demande de réservation sur notre site internet. De plus j’ai demandé à notre webmaster de nous référencer sur les moteurs de recherche en temps que « service des banquets », « organisation événements », « salle de réunion ». Les lettres d’information ou Newsletter Dossier de VAE – Léa Bloom 105
  • 106.
    Missions / Taches détaillées Activités et Connaissances mises en œuvre Mission 2 : J’ai mis en place une newsletter avec le descriptif de notre Marketing et nouvelle activité et la mise en avant d’un espace de conférence avec une Communication âme artistique. Les lieux de réunions et conférences sur New York étaient généralement situés dans des hôtels d’affaire qui proposaient un produit sobre. Nous proposions aux clients de mettre en place leurs projets les Mise en place plus fous et de ne pas miser sur la sobriété mais sur la créativité ! du service de J’ai donc ciblé la communication de cette newsletter vers une conférences clientèle cible (les salles de concert, les galeries d’art, les partenaires événementiels) qui recherchait des lieux originaux pour se regrouper. Les visites J’ai organisé des visites pour tous les prospects (personnes ayant demandé des informations sur notre produit) en essayant de connaître les attentes du client, de lui donner des idées et l’envie de venir chez nous. 2. L’organisation des événements a. La phase préparatoire avec le client Après la phase de prospection du client et la détermination des dates de l’événement à organiser, je le rencontrais en général plusieurs fois afin de déterminer avec lui ses attentes et le détail de l’organisation à mettre en place. Je me servais de la fiche de réservation pour lister tous les éléments, préparer un devis et le contrat détaillé à signer. Après signature du contrat nous pouvions commencer la phase de préparation interne. b. La phase préparatoire en interne Cette phase était déterminante pour la réussite de l’événement et la satisfaction du client. Elle nécessitait la coordination des différents services afin d’organiser au mieux. La prévision matérielle Elle consiste à l’élaboration d’un plan de salle, la prévision du mobilier et du linge (en utilisant un document récapitulatif), la prévision du matériel (commandé auprès d’un loueur de matériel), la commande nourriture/boissons (sans oublier les mentions spéciales comme les végétariens ou kasher). Dossier de VAE – Léa Bloom 106
  • 107.
    Missions / Taches détaillées Activités et Connaissances mises en œuvre Mission 2 : Prévision du personnel de service Marketing et Communication Le personnel était composé d’employés permanents ou d’employés « extra » dont le nombre variait selon la nature de la manifestation. J’étais en charge d’organiser les emplois du temps pour la Mise en place mise en place, l’événement et le nettoyage. du service de conférences Mise en place Pour la mise en place j’ai crée des fiches de consignes avec les horaires : réception du matériel, réception de la nourriture, mise en place, les taches et le rôle de chacun (service de maintenance, le service d’étage). La distribution des tâches et consignes se faisait lors des réunions hebdomadaires avec les chefs de départements en expliquant l’événement et en distribuant la fiche de consigne à chacun. c. Le déroulement de la manifestation Je me chargeais généralement d’accueillir l’organisateur avant la manifestation afin de vérifier la configuration et la présentation avec lui. Dès leur arrivée, les participants devaient être accueillis par du personnel et trouver une signalétique claire sur le lieu de l’événement et tous autres renseignements utiles. Durant la manifestation, je faisais le suivi afin de vérifier le bon déroulement et la coordination des actions. Le relationnel client était une partie très importante pour le lancement de l’activité car nous avons très bien fonctionné avec le bouche à oreille. d. La facturation La location de la salle était facturée en termes de durée. La nourriture au forfait avec un prix par participant. Le matériel facturé à la consommation réelle. Conclusion : La mise en place de cette activité à été très motivante car il s’agissait d’une nouvelle prestation offerte par l’établissement. J’ai suivi toutes les phases de préparation et de lancement. Cette activité a nécessité que je développe un certain nombre de qualités telles que : Dossier de VAE – Léa Bloom 107
  • 108.
    Missions / Taches détaillées Activités et Connaissances mises en œuvre Mission 2 : • la rigueur et l'organisation, Marketing et • le souci du détail, du contrôle et de la qualité, Communication • l’esprit d'initiative et créatif, • un grand sens relationnel et commercial, • une bonne connaissance du produit restauration. Mise en place du service de conférences L’hôtel a aujourd’hui décidé de louer l’espace principal à un café et cette activité n’existe plus au sein du Gershwin. N’ayant pas eu une durée de vie suffisante, nous n’avons pas mesuré les résultats au long terme. • Les savoirs associés : • techniques de communication, • techniques commerciales, • chiffrage/calcul de coûts, • techniques organisationnelles, • coordination d’équipes, • gestion de projet. Mission 3 : Mission 3 : Manager résident Manager En tant que responsable résidente de l’établissement, je logeais résident dans l’hôtel et étais en charge de l’établissement à la place du directeur hors horaires de bureau. Dans cette dernière partie j’aimerais exposer mes Responsable de activités dans les situations de crises. la sécurité incendie Activité 1 : Responsable de la sécurité incendie Etant résidente, la législation de New York exigeait que je passe le diplôme de chef de la sécurité incendie. J’ai suivi un mois de formation sanctionnée par un diplôme d’état (voir annexe 30: modules du diplôme de chef de la sécurité incendie). 1. Les responsabilités : Suite à l’obtention du diplôme, j’ai étudié les plans d’évacuation de l’hôtel (les sorties de secours, les escaliers de secours, les lieux de signalisation de l’hôtel). L’utilisation et la lecture du tableau incendie de l’hôtel directement relié au centre des pompier le plus proche (lecture des signaux d’alarme, utilisation du système d’annonce, l’arrêt provisoire de l’alarme). Dossier de VAE – Léa Bloom 108
  • 109.
    Missions / Taches détaillées Activités et Connaissances mises en œuvre Mission 3 : Manager La signalisation et gestion de l’évacuation, gestion de résident l’évacuation des clients, l’information dès l’arrivée des pompiers. Responsable de la sécurité 2. Les évacuations : incendie J’ai du faire face à plusieurs évacuations en pleine nuit. Il fallait donc commencer par repérer l’étage depuis lequel venait l’alarme sur le tableau incendie. Demander au responsable de la sécurité de nuit d’aller vérifier si l’alarme incendie n’avait pas été déclenchée volontairement par des clients. Faire une annonce dans tous les étages pour donner les consignes d’évacuations d’un ou plusieurs étages ainsi que les points de rassemblement. Demander aux employés présents d’aider à l’évacuation des clients dans les étages. Attendre les secours, être la personne relais pour les pompiers en indiquant l’étage et les informations récupérées par les employés. Après instruction de la part des pompiers, continuer à informer les clients par annonces en étant le plus calme et le plus rassurant possible. Arrêter l’alarme sur le tableau de bord après décision des secours. Nous n’avons jamais eu d’alarme grave nécessitant une évacuation complète de l'établissement. Les clients étant généralement stressés par les questions de sécurité, il fallait que je fasse preuve de calme et d’organisation afin de donner des instructions claires et précises. Une évacuation chaotique ou mal gérée peut entraîner des plaintes clients et donner une mauvaise image de l’hôtel. Activités 2 : Gestion des différentes situations de crise En tant que responsable résidente, j’ai du faire face à des situations difficiles. Dossier de VAE – Léa Bloom 109
  • 110.
    Missions / Taches détaillées Activités et Connaissances mises en œuvre Mission 3 : 1. La gestion des clients difficiles Manager résident Nous avons fait face plusieurs situations de clients déséquilibrés ou sous drogue qui ont provoqué une gêne pour les autres clients. Gestion des situations de Dans un premier temps, je devais essayer de diagnostiquer les crises raisons de la gêne. Puis, essayer de négocier avec les clients tout en faisant attention à ma sécurité et à la sécurité des autres. En dernier recours, je devais appeler la police et donner toutes les informations nécessaires (raison de l’appel, l’adresse exacte, étage et chambre du client). Puis j’attendais l’arrivée de la police afin de répondre à leurs questions supplémentaires, indiquer le lieu exact et faire une déposition. En cas d’intervention de la police je rédigeais un « incident report » afin d’informer le directeur général des faits et mesures prises. 2. La gestion de la maladie et décès J’ai du gérer plusieurs situations de crises maladie avec des clients victimes d’attaques cardiaques, de malaise, de crise d’épilepsie ou de décès. En cas d’urgence médicale je devais : • Sécuriser le lieu de l’accident et établir un périmètre de sécurité pour que les autres clients n’approchent pas. • Faire un constat rapide de l’état de la victime (la victime est elle consciente ou non, respire-t-elle ?) • Appeler les secours et fournir les informations suivantes : le lieu de l’accident, le nombre de personnes, l’état du client, la localisation précise de la victime dans l’hôtel, mon nom et où je me situerais lors de l’arrivée des secours. Toutes ces situations d’urgence sont souvent très difficiles à gérer car elles nécessitent une fois de plus, beaucoup de maitrise du stress. Elles doivent surtout rester discrètes, ne pas inquiéter les autres clients. Voir arriver la police ou les secours n’est jamais très rassurant pour la clientèle. • Savoirs associés : Dossier de VAE – Léa Bloom 110
  • 111.
    Missions / Taches détaillées Activités et Connaissances mises en œuvre Mission 3 : • Réglementation sécurité incendie, Manager • utilisation d'équipements de secours et de sauvetage, résident • gestion du stress, • communication, Gestion des • utilisation d'outils de radiocommunication, situations de • techniques de médiation, crises • techniques de gestion de crises. Conclusion : Cette expérience beaucoup plus spécialisée et technique que la précédente, m’a permis de découvrir une pratique nouvelle de plus en plus utilisée dans le milieu hôtelier. Grace au yield management, j’ai dépassé les budgets mensuels qui m’étaient fixés en optimisant au maximum le revenu par chambre disponible. N’ayant pas d’expérience dans ce domaine au moment de mon embauche, j’ai pu développer une nouvelle compétence technique indispensable pour ma carrière. Ce poste à responsabilités m’a donné l’opportunité de faire évoluer mes qualités managériales, organisationnelles, relationnelles et marketing. De plus, l’environnement très compétitif et rapide de New York à été un réel chalenge pour moi après avoir gérer des équipe au Cambodge. Cette expérience à été très enrichissante. Les principales qualités (savoir-être) mobilisées pour cet emploi : (savoir- • Rigueur et suivi : Le yield management nécessite un très bon suivi des ventes et des statistiques afin de ne pas survendre ou au contraire ne pas vendre assez. Une grande responsabilité au niveau des revenus de l’établissement va dépendre de cette rigueur. • Le sens commercial et relationnel : Etant en charge du département des réservations et de la vente, une de mes fonctions principale a été de développer de bonnes relations commerciales pour le Gershwin afin d’augmenter les ventes et la notoriété de l’établissement. • La gestion du stress: Afin d’assurer le poste de manager résident il fallait être capable de prendre des Dossier de VAE – Léa Bloom 111
  • 112.
    responsabilités et degérer les situations d’urgences calmement afin de rassurer les équipes ainsi que les clients. • L’organisation : Le développement de l’activité de la location des espaces et la mise en place d’événements a nécessité une bonne coordination des équipes et un grand sens du détail. • Le bilinguisme : Travaillant dans un pays anglophone avec une grande partie rédactionnelle et relationnelle, ma maîtrise de l’anglais devait être parfaite. Bibliographie et webographie: webographie: - Le marketing du tourisme (2007) – Isabelle Frochot et Patrick Legoherel – Edition Dunod - Le Blog des experts (2010) – www.lhotellerie-restauration.fr - Commercialiser ses chambres sur internet par GuilainDenisselle - Le Site Studya - www.studya.com – Les 1000 fiches métiers Dossier de VAE – Léa Bloom 112
  • 113.
    Missions / Taches détaillées Activités et Connaissances mises en œuvre L’ECOLE D’HOTELLERIE ET DE TOURISME PAUL DUBRULE-Responsable de la formation 1. l’Etablissement : Ecole d'Hôtellerie et de Tourisme Paul Dubrule La Glacière - Route Nationale 6 (Airport Road) Siem Reap, Angkor Province CAMBODIA Tel: +855 (0) 63 963 672 | (0) 63 963 673 Fax: +855 (0) 63 963 671 Email: info@ecolepauldubrule.org a. Un peu d’histoire…. L’école a été fondée en 2002 avec l’aide de Paul Dubrule, président et fondateur du groupe hôtelier multinational Accor et du gouvernement cambodgien. Elle fait suite à la visite de l’homme d’affaire à Siem Reap un peu plus tôt dans l’année, Paul Dubrule alors âgé de 68 ans, venait d’effectuer en vélo les quelques 15,000 kilomètres séparant sa ville de Fontainebleau à Siem Reap, un voyage de huit mois. Paul Dubrule, qui a personnellement donné 1,2 million de dollars pour construire et faire tourner l’école, a officiellement inauguré l’établissement le 14 octobre 2002. Monsieur Dubrule a crée l’école dans le but de former des jeunes cambodgiens aux métiers du tourisme et de la restauration pour permettre de les intégrer dans une économie en pleine croissance qu’il souhaite durable. L’école est partenaire de plusieurs établissements professionnels français, notamment l’école hôtelière de Saint-Quentin dans les Yvelines, l’école de Santos Dumont à Saint-Cloud, l’école Lenotre, la Fondation Mérieux, et la Fondation Paul Bocuse, sans oublier le groupe Accor. Plus en avant, l’école espère étendre ses relations avec d’autres écoles françaises, mais aussi d’autres établissements renommés en Asie. b. Présentation de l’établissement : Dossier de VAE – Léa Bloom 113
  • 114.
    Missions / Taches détaillées Activités et Connaissances mises en œuvre L’Ecole d’Hôtellerie et de Tourisme Paul Dubrule reçoit 200 élèves chaque année, la plupart d’entre eux étant boursiers. L’école fournit un programme d’enseignement d’un an dans le service, sommellerie, bar, cuisine, pâtisserie, et boulangerie, l’accueil des clients et le nettoyage. Des sessions plus courtes sont aussi proposées aux petits hôtels, guestshouses (maisons d’hôtes) et restaurants locaux. Tous les cursus comprennent des cours d’informatique et de langue française et anglaise. L’école peut se vanter d’avoir un taux de 91% de recrutement de ses diplômés dans l’industrie hospitalière et la restauration, l’objectif étant de contribuer au développement durable du secteur touristique au Cambodge. Le nombre d’étudiants placés a fluctué au cours des années, mais la tendance reste tout de même à la hausse. 116 élèves ont été placés en 2002-2003, de 2004 à 2005 leur nombre a baissé à 90 et 82, puis a remonté, avec notamment 160 étudiants trouvant du travail en 2008. c. Les Financements Financée à 55% par les donations, l’école dispose aussi d’un hôtel de quatre chambres, et deux restaurants d’application. Le Jardin des Délices, situé dans un jardin tropical au sein de l’école, peut accueillir jusqu’à 150 convives, et propose un menu du jour du mardi au vendredi pour le déjeuner. Le Café, à proximité du Centre Culturel Français dans le vieux Siem Reap, sert quant à lui des salades, des pâtisseries et des cafés. Les revenus de l’hôtel et des restaurants, et les autres ventes, représentent 28% du budget de l’école, alors que le montant des inscriptions atteint lui 17%. Un fonds est aussi en place pour financer les études des élèves en difficulté sociale, et une fois les procédures normales d’inscription des élèves, l’école conduit une ‘enquête sociale’ sur les familles des candidats boursiers. Il revient alors à une commission spéciale d’attribuer les bourses aux jeunes sélectionnés. 2. Le Poste : a. Intitulé Dossier de VAE – Léa Bloom 114
  • 115.
    Missions / Taches détaillées Activités et Connaissances mises en œuvre Appui à la formation b. Responsabilités Je suis partie en tant que volontaire pour une durée de deux ans et demi. Ma mission a changé au cours des cette période. A début j’ai aidé à mettre ne place tous les programmes et supports pédagogiques pour la section accueil, réception et réservation. J’ai ensuite travaillé en binôme avec un professeur Cambodgien afin de le former pour me remplacer. Sur les 6 derniers mois j’ai finalisé et mis en place un système de recrutement plus cadré et développé l’activité formation continue qui n’existait pas encore. c. Organigramme Dossier de VAE – Léa Bloom 115
  • 116.
    Missions / Taches détaillées Activités et Connaissances mises en œuvre Dossier de VAE – Léa Bloom 116
  • 117.
    Missions / Taches détaillées Activités et Connaissances mises en œuvre d. Lettres de recommandation Dossier de VAE – Léa Bloom 117
  • 118.
    Missions / Taches détaillées Activités et Connaissances mises en œuvre Dossier de VAE – Léa Bloom 118
  • 119.
    Missions / Taches détaillées Activités et Connaissances mises en œuvre e. Fiche de paie et certificat de travail Dossier de VAE – Léa Bloom 119
  • 120.
    Missions / Taches détaillées Activités et Connaissances mises en œuvre Dossier de VAE – Léa Bloom 120
  • 121.
    Missions / Taches détaillées Activités et Connaissances mises en œuvre Dossier de VAE – Léa Bloom 121
  • 122.
    Taches détaillées Missions / et Connaissances mises en œuvre Activités Mission 1 : Mis Mission 1 : Mise en place des procédures de recrutement Mise en place des procédures de recrutement En 2005 après 2 ans de mise en place je me suis rendue compte que les étapes de recrutement des élèves étaient trop aléatoires et qu’il L’analyse n’y avait pas de réelles procédures. Cette étape déterminait le niveau des de la classes et surtout le taux de recrutement en fin d’année. situation J’ai donc proposé de mettre en place ces procédures et de créer un nouveau projet de pré-qualification afin de réduire la perte des élèves au moment du recrutement. Ce projet consistait à mettre en place un système de remise à niveau pour les élèves n’ayant pas répondu aux exigences des tests d’entrée. Programme de remise à niveau destiné à une catégorie d’élèves ne répondant pas aux critères de sélection mis en place par l’école, mais ayant un bon potentiel pour les métiers de services. Activité 1 : L’analyse de la situation 1. Ancien processus de recrutement 2. Constat de départ Dossier de VAE – Léa Bloom 122
  • 123.
    Missions / Taches détaillées Activités et Connaissances mises en œuvre Mission 1 : Une grande partie des candidatures était rejetée alors que les Mise en place effectifs n’étaient pas atteints des procédures de recrutement f. Proportion de rejet des candidatures (année 2004-2005) L’analyse de la situation g. Les raisons de des rejets (Chiffres basés sur les fiches d’évaluation des entretiens élèves) Raisons % Niveau d'Anglais 54% Attitude (Peu adaptée aux métiers de services) 16% Justification de leur choix d’études 12% Pré requis (Grade 12) 7% Non connues 7% Illettrisme 2% Age 2% La raison principale de rejet était le niveau d’anglais des élèves : Il ne s’agissait pas d’un problème de motivation ou d’attitude ce qui veut dire qu’ils pouvaient avoir un bon potentiel à condition d’améliorer leur niveau d’anglais. h. Profile des candidats non acceptés Dossier de VAE – Léa Bloom 123
  • 124.
    Missions / Taches détaillées Activités et Connaissances mises en œuvre Mission 1 : Mise en place des procédures de recrutement L’analyse de la situation La majorité des élèves non retenus n’étaient pas titulaires du BAC ou n’étaient jamais allés au lycée. Cela pouvait entraîner un niveau en connaissances générales et en langue moins élevé. Ces candidats pouvaient être motivés et donc avoir un bon potentiel. Une grande partie des élèves, qui n’avait pas les pré-requis spécifiques à une section, ne souhaitaient pas se réorienter vers une autre section par manque de connaissances du métier proposé (par exemple un élève qui se présentait pour la section réception et qui était refusé à cause de son niveau d’anglais, refusait souvent d’être réorienté vers les métiers de la restauration). Les élèves ayant été acceptés sans avoir le niveau scolaire requis, avait souvent de plus grandes difficultés dans l’apprentissage et donc des déséquilibres de niveau. (voir annexe 31 : Plan d’action du programme de pré-qualification) Activité 2 : La mise en place du nouveau processus 1. Nouveau processus de recrutement Voici le nouveau processus de recrutement que j’ai proposé au conseil d’administration en 2005. Dossier de VAE – Léa Bloom 124
  • 125.
    Missions / Taches détaillées Activités et Connaissances mises en œuvre Mission 1 : Mise en place des procédures de recrutement Mise en place du nouveau processus Les finalités de ce projet • Permettre une sélection plus large de candidatures afin d’atteindre ou d’augmenter les effectifs, • Réduire la perte de candidature, • Permettre une période de découverte et de remise à niveau afin de mieux orienter les élèves et de réduire le nombre de démissions en cours d’année scolaire, • Avoir un niveau de départ plus homogène, • Permettre de travailler plus en partenariat avec des ONG qui souhaitent orienter leurs jeunes vers des formations certifiantes, même si ils n’ont pas le niveau scolaire requis. pré- 2. La description de la formation de pré-qualification a. La durée (Juillet- 2 mois (Juillet-Août) Dossier de VAE – Léa Bloom 125
  • 126.
    Missions / Taches détaillées Activités et Connaissances mises en œuvre Mission 1 : Cette période « hors formation initiale » permettrait une plus grande Mise en place disponibilité des professeurs de spécialité. des procédures de recrutement b. Les modules de formation Mise en J’ai crée un programme pré-qualification qui se divisait en plusieurs place du modules : nouveau processus Description Heures M1 Anglais technique Vocabulaire technique Module 1 100 heures Conversation technique 60 heures M2 Culture générale Cours de khmer Mathématiques appliquées à l’hôtellerie (pourcentage, calcul en croix, fraction) Module Informatique appliquée à l’hôtellerie (Word, Excel) 2 40 heures Géographie et culture (en rapport avec les pays et cultures de provenance touristique) Visites (sites touristiques, hôtels, restaurants) M3 Découverte des métiers Présentation du métier par les professeurs de chaque spécialité Module 20 Heures Conférences de professionnels hôteliers 3 Conférences d’anciens élèves de chaque section Cours d’initiation pratique M4 Observation en entreprise Placement en entreprise et observation des différents Module départements (cuisine, service en salle et accueil, 7 jours 4 femmes de chambre) M5 Orientation et conseil A partir des modules M3 et M4, l’élève devra dresser un bilan pour chaque spécialité (points forts, points Module faibles, pré-requis nécessaires et atteints) 5 8 heures Suite à ce bilan et à cette auto évaluation l’élève pourra choisir sa spécialité a. Les formules de pré-qualification Un bilan des pré-requis atteints et non atteints devait être dressé pour chaque élève à la fin du processus de recrutement. A la suite de ce Dossier de VAE – Léa Bloom 126
  • 127.
    Missions / Taches détaillées Activités et Connaissances mises en œuvre Mission 1 : bilan une ou plusieurs formules de pré-qualification étaient proposées aux Mise en place élèves. des procédures de recrutement Pré requis non Pré requis atteint Modules atteint Mise en Programme 1(P1) Connaissances M1.1 : Anglais niveau place du générales Niveau 1 nouveau Anglais Intensif Connaissances d’anglais M1.2 : Anglais niveau processus (Niveau 1 ou 2) des métiers 2 Savoir être M3: Découverte des Programme 2 (P2) Niveau d’anglais métiers Connaissances Connaissances M4: Observation Découverte des des métiers générales entreprise métiers de services Savoir être M5 : Orientation et et orientation conseil M1.1 ou M1.2 : Anglais Niveau M2: Culture générale Programme 3 (P3) d’anglais M3: Découverte des Connaissances Savoir être métiers Programme complet générales M4: Observation de pré qualification Connaissance entreprise des métiers M5 : Orientation et conseil b. Les certificats • Certificat de remise à niveau d’anglais pour les élèves ayant suivi le programme P1 • Certificat de remise à niveau générale pour les élèves ayant suivi le programme P3 • Pas de certificat délivré aux élèves ayant suivit le programme P2 (il s’agissait d’un programme de découverte et d’orientation) c. La réorientation A la fin de sa formation de pré qualification, l’élève était accompagné et orienté dans la section la plus adaptée à ses capacités. Cela lui permettrait d’accéder soit : Dossier de VAE – Léa Bloom 127
  • 128.
    Missions / Taches détaillées Activités et Connaissances mises en œuvre Mission 1 : - A une formation initiale (restauration, cuisine, accueil) Mise en place - A une autre formation continue professionnalisante (aide cuisinier, des procédures femme de chambre, plongeur) de recrutement Mise en Conclusion : place du nouveau Après acceptation de mon projet par le conseil d’administration, processus j’ai mis en place un plan d’action (voir 31 : plan d’action). Avec l’aide de toute l’équipe pédagogique, cette formule à était un vrai succès et a permis d’augmenter les effectifs. Mission 2 : La formation Continue Mission 2 : La formation Continue Activité 1 : Développement de la formation continue Développ ement de la Ma dernière mission à l’école Paul Dubrule a été de mettre ne formation place un système de formation continue pour les hôtels, guest houses et continue restaurants déjà existants sur Siem Reap. Voyant que de plus en plus d’établissements étaient en ouverture et qu’il n’y avait aucune offre de formation continue, j’ai voulu monter ce projet afin d’apporter des financements supplémentaires à l’école et permettre ainsi d’avoir plus d’élèves boursiers. 1. La phase préparatoire a. Mise en place d’un plan d’action Person Action Deadline responsible Preparing the programs and short 1 Lea / Chhang Done course schedules Preparing the short course training 2 Lea / Chhang ASAP material 3 Building a paper board Ponleu ASAP 4 Making the brochures Lea Done Dossier de VAE – Léa Bloom 128
  • 129.
    Missions / Taches détaillées Activités et Connaissances mises en œuvre Mission 2 : La 5 Sending the mailing to the hotels and Lea / Thida 26.11.2004 formation restaurant Continue Sending the mailing to the guest 6 Chhang / Thida 26.11.2004 houses Développ Making the Hotel and Guest House 7 Thida 12.11.2004 ement de data base la End of November BB / DN / LB / formation 8 Visiting the hotels / Begining of CC continue december 9 Visiting the guest houses Chhang End of November 1 Contacting the hotels in construction Darith 19.11.2004 0 Mailing the short course training Two weeks before program two weeks before the 11 Thida the start of the training starts to the hotel, guest trainings houses and restaurants 1 Advertising on the radio School 2 b. Création des programmes J’ai mis en place des programmes de formations complets afin de décrire les modules abordés pendant les formations (voir annexe 32 : Programmes de formation) Les sujets proposés étaient les suivants : L’art de l’hôtellerie: • The art of Hospitality for guest houses PART 1: Basics of Reception • The art of Hospitality for guest houses PART 2: Basics of housekeeping • The art of Hospitality for guest houses PART 3: Basics of Service • The art of Hospitality for guest houses PART 4: Basics of Cost control and Marketing Relation clientele: • The Welcoming, a key to success • Dealing with complaints and difficult guests • Professional use of the Telephone Dossier de VAE – Léa Bloom 129
  • 130.
    Missions / Taches détaillées Activités et Connaissances mises en œuvre Mission 2 : La L’hygiène : formation • Hygiene for F&B Continue • Hygiene for Housekeeping Développ Anglais appliqué ement de • English applied to F&B la • English applied to the reception formation continue c. Création des emplois du temps de formation J’ai mis en place un emploi du temps détaillé des formations sur l’année afin de pouvoir commencer la vente de la formation continue aux hôteliers. (Voir annexe 33: Emplois du temps) Ce document comportait le titre des formations, le nombre d’heures de formation, le nombre de jours, le nombre maximum de participants, le prix et les dates de sessions sur l’année. d. Création d’une base de données J’ai mis en place une base de données avec une liste des hôtels, guest houses et restaurants déjà existants (avec les coordonnées, la personne en charge, le nombre d’employés etc). Une deuxième base de données comprenait les établissements en pré-ouverture qui avaient souvent un besoin en formation pour leurs nouveaux employés. Cette base donnée m’a ensuite servi à contacter les hôtels par téléphone afin de présenter le projet et prendre rendez-vous pour faire une présentation plus détaillée aux chefs d’établissements. J’ai crée une fiche de suivi des visites : Hotel Visited Contact Interest Remarks Gayan 6 City Royal Ranaweera Med 7 Monarch Angkor Sophea Soth Med 8 Taphrum Rattana yin Med 3 1 Rama Hotel Malean Um Med 4 Must contact the GM Phoueng 5 Molina Hotel Phally Med Chamnith 9 Freedom hotel Day Med 1 0 Khemara Angkor Phanary Tan Med 11 Angkor Century Sarah Moya Pos 1 2 Angkor Saphir Kinhort Keo Pos Evening classes management Dossier de VAE – Léa Bloom 130
  • 131.
    Missions / Taches détaillées Activités et Connaissances mises en œuvre Mission 2 : La 1 3 Casa Angkor Hotel Phillip To Pos formation 1 Continue 4 Nokor Phnom Sovichet Heng Pos 4 Développ 2 Angkor Land Pich Thy Ravuth Pos Hotel opening contact again 4 Angkor Howard ement de 3 hotel Poeung Chien Pos Hotel opening contact again la 4 Angkor riverside formation 4 Hotel Van La Pos On the spot trainings continue 1 Very 5 Bopha Angkor Hotel William Telliez Pos 1 Very 6 Princess Angkor Iegadesan Veloo Pos 2 Very 4 Day Inns Angkor Mr Poolpraseth pos Training directly in the the hotel 1 Very 7 Angkor Diamond Christine Chen pos Management especially 1 Very 8 Auberge Mt Royal Phloeun Prim Pos etaient Sur la base de 58 visites d’hotel les resultats etaient les suivants : Nous avons quand même décidé de mettre en place le projet car nous pensions que le concept de formation des employés dans l’entreprise était nouveau au Cambodge mais qu’il fallait voir sur le long terme. formations Activité 2 : Les formations Nous avons pu commencer les formations rapidement sur demande, pour différents hôtels et restaurants en pré-ouverture ou ouvertes au publique. Dossier de VAE – Léa Bloom 131
  • 132.
    Missions / Taches détaillées Activités et Connaissances mises en œuvre Mission 2 : La formation Dans cette partie j’aimerais décrire les spécificités des techniques Continue utilisées afin d’animer des formations pour un publique d’adulte étant déjà dans le monde du travail. Les Formations Je pense que les spécificités de ces formations sont importantes à connaître et permettent tout au long d’un parcours professionnel, même au sein d’une entreprise, de savoir animer des équipes. 1. La progression pédagogique Avant de préparer une formation je me posais les questions suivantes : a. Qui doit être formé ? Plus un formateur peut connaître son publique plus il sera capable de motiver et d’intéresser les stagiaires. Par exemple on peut essayer de savoir quelles sont les raisons de l’entrée en formation, quelles sont leurs expériences, les liens hiérarchiques entre les participants etc. b. Quel est le but de la formation ? Généralement les objectifs opérationnels de mes formations étaient variés (Maitriser les techniques d’accueil téléphonique, connaître les mesures d’hygiène nécessaires dans une cuisine) La question clef était de savoir quels changements les stagiaires devaient pouvoir observer sur le terrain après la formation ? Je cherchais donc à préciser le plus possible les critères qualitatifs ou quantitatifs qui me permettraient d’évaluer les résultats. Je transmettais, en général, ces critères au responsable direct du stagiaire pour qu’il puisse aussi évaluer les résultats sur le lieu de travail après formation. c. Comment arriver aux objectifs fixés ? Afin d’atteindre les buts fixés, il fallait déterminer la méthode pédagogique à adopter (nous verrons dans le chapitre suivant les différentes méthodes que j’ai utilisé) Toutes ces questions me permettaient de mettre en place un escalier pédagogique, c’est à dire de commencer la progression par les choses les plus simples en continuant sur les acquis précédents. Par exemple pour la formation sur les techniques d’accueil téléphonique Dossier de VAE – Léa Bloom 132
  • 133.
    Missions / Taches détaillées Activités et Connaissances mises en œuvre Mission 2 : La formation Je décrivais d’abord le but général : Continue • Offrir un service au delà des attentes clients au téléphone Les Puis je listais les points qui permettraient d’atteindre cet objectif : Formations • Organiser son lieu de travail • Connaitre les méthodes de communication verbale • Connaître les méthodes de communication non verbale • Savoir prendre un message • Savoir mettre un client en attente • Savoir répondre aux questions des clients • Comprendre les attentes clients Puis je les mettais dans l’ordre qui me paraissait le plus logique en sachant qu’il fallait respecter certaines règles : • Ne pas faire des étapes (de marches) trop grandes sinon le stagiaire se décourageait rapidement. • Toujours évaluer si les étapes étaient bien intégrées avant de passer à l’étape suivante. • Adapter les étapes aux connaissances des stagiaires pour qu’elles soient réalisables. Cette étape préparatoire est très importante car elle permet de rendre la formation logique et pertinente. Sans passer par cette étape le travail de formation serait désorganisé et les stagiaires repartiraient avec plus de frustrations que de savoirs. 2. Les méthodes pédagogiques Lors de mes formations, j’utilisais des méthodes pédagogiques plutôt centrées sur l’action. Ayant un publique d’adulte (déjà dans le monde du travail) j’ai toujours essayé de faciliter l’apprentissage en le rendant le plus ludique possible. Ma devise « Apprendre sans efforts ». Les stages de formation continue permettent vraiment au formateur de faire preuve d’une grande créativité et d’être libre dans les méthodes auxquelles il peut faire appel. J’ai donc fait beaucoup d’efforts pour trouver les chemins les plus simples pour d’atteindre les buts fixés au départ. a. La méthode de la découverte. Cette méthode permet au stagiaire de découvrir les savoirs, Dossier de VAE – Léa Bloom 133
  • 134.
    Missions / Taches détaillées Activités et Connaissances mises en œuvre Mission 2 : La savoir faires ou savoir-être par lui-même (sans que le formateur donne formation des réponses toutes faites). Par exemple montrer une image ou demander Continue aux stagiaires de jouer un rôle puis d’en faire une analyse et d’en tirer des conclusions qui pourront être intégrées plus facilement. Les Formations Pour mener à bien ses exercices j’observais les règles suivantes : • Bien définir l’objectif de la séance • Donner des consignes claires et précises • Surprendre les stagiaires • Organiser des groupes de travail le plus souvent possible pour créer une dynamique et rassurer les stagiaires. Voici un exemple pour aider les étudiants à comprendre les pièges de la communication verbale en utilisant la méthode de la découverte: Exercise: The meaning of the words The teacher gives a list of words and the student must write down what it corresponds to in their mind. For example “Old” one student will Old” write 30 years old, another one will write 50, etc When the students are finished the teachers asks each students their answer, this will help to show that each person has its own idea of what a word represent depending on their experience, their age or culture. This will also bring to the next point: Words are not enough to communicate. Ask the students, what else do you need? b. La méthode du jeu de rôle Le jeu de rôle est une méthode très efficace pour acquérir de nouveaux savoirs êtres ou savoirs faire. Le stagiaire est au centre de l’action et pourra analyser plus facilement son propre comportement et les choses qui pourraient être améliorées. Etant formatrice sur des sujets très pratiques, je faisais souvent appel à cette méthode. Dossier de VAE – Léa Bloom 134
  • 135.
    Missions / Taches détaillées Activités et Connaissances mises en œuvre Mission 2 : La Exercices: The first impression by role play formation Continue The students go at the front desk; two students are the guest checking in the hotel, the teacher will be the receptionist. The other Les students must take notes about the first impression that is given the Formations guest; the positive and negative points of the presentation. They will be 3 different role plays: • Unfriendly, not smiley receptionist • Not well groomed receptionist • A receptionist not paying attention and not very active Feed Back At the end of the role plays, the students must explain the positive and negative points they have found for each role play. The teacher writes down the remarks on the board. The feedback will also be made by groups. 3 groups, one group makes feedback on one of the role play. When the remarks are finished, the students and the teacher try to answer these two questions together Why is the first impression so important? How can you give a good first impression to the guests? After that the teacher shows these main points on the overhead c. Les jeux pédagogiques Les jeux pédagogiques peuvent être de variés (jeux de pistes, jeux de logique, jeux de balles etc.) et permettent très souvent de casser un peu le rythme, de souder le groupe, de donner confiance et de briser la glace (Technique très utilisée dans les pays anglophones les « Ice breakers »). Dossier de VAE – Léa Bloom 135
  • 136.
    Missions / Taches détaillées Activités et Connaissances mises en œuvre Mission 2 : La Exercise: The communication techniques formation The students must make a drawing from a verbal explanation Continue Les Formations Action The teacher gives a drawing to student A and student B stands at the board. The two students must not look at each other. Student A must describe the drawing and give directions to student B in order to help him draw the same picture on the board. Student B can ask questions to the speaker. Feed Back At the end we compare the 2 drawings (the original one and the one on the board) usually both will be quite different.Ask the students what difficulties they have experienced during the exercise. Try to highlight the fact that being precise when communicating is important if not the message given can be very different from the one the receiver will understand. 3. Le matériel pédagogique Le matériel pédagogique permet de faciliter la transmission des messages. Lors de mes formations je variais le plus possible le matériel utilisé afin d’illustrer au mieux les formations. a. Les aides visuelles Les aides visuelles servent à illustrer les exposés, à clarifier les démonstrations et à déclencher des réflexions de groupes. Ces aides doivent être concises et ne comporter que les points importants. • Le paper-board paper- Je me servais du paper-board pour noter les informations ou les réflexions des stagiaires, pour ensuite les accrocher dans la classe (et ainsi pouvoir revenir dessus pendant la formation) • Les transparents Dossier de VAE – Léa Bloom 136
  • 137.
    Missions / Taches détaillées Activités et Connaissances mises en œuvre Mission 2 : La Je me servais du transparent surtout pour les exercices basés sur formation des images. Par exemple, pour illustrer un exercice sur la communication Continue non-verbale, les étudiants pouvaient visualiser les dessins ci-dessous et participer ensemble à l’exercice Les Formations Exercice : The non verbal communication Please look at these drawings and for each one, find the corresponding adjective to their feeling • Les vidéos L’utilisation des vidéos me permettait de filmer les étudiants pendant les jeux de rôle et d’en faire une analyse dans la classe. Ceci donnait l’opportunité aux étudiants de s’observer. C’était un support très utile pour les jeux traitants de la communication. • Les aides audio Je faisais énormément d’enregistrement audio pour illustrer les cours. Pour les prises de messages ou de commandes par exemple, je demandais aux étudiants d’écouter la bande sonore et de noter les Dossier de VAE – Léa Bloom 137
  • 138.
    Missions / Taches détaillées Activités et Connaissances mises en œuvre Mission 2 : La informations pour les mettre en situation d’écoute. formation Continue b. Les supports de cours Les Formations Je préparais pour chaque formation un support de cours que je donnais aux étudiants en fin de stage. Ces supports étaient ludiques avec une information concise, beaucoup d’illustrations et d’images. J’utilisais peu de texte et des exemples adaptés au contexte culturel et économique de la région (voir annexe 34: support de stage) 4. Le scenario pédagogique scenario pédagogi Afin de finaliser la préparation de la formation je mettais en place un scenario pédagogique qui me servait de support de cours. C’était ma ligne directrice tout au long de la formation. Ce document comportait les sous objectifs, les étapes pour atteindre l’objectif, le matériel nécessaire et le temps de réalisation. Subject Important steps Material Time needed needed Organizing Material Projector 10 min for your the students working Write down a list of material, let the area students read it and then by groups of two 15 min they must tick the ones that should stand at Feedback the operator desk. on the board When the students are finished the teacher shows the same list on the projector and then the students discuss on whether they 5 min should have this material or not. Projector Environment Total: 30 min Showing the two pictures about the environment to show the importance of working in a quiet place Dossier de VAE – Léa Bloom 138
  • 139.
    Missions / Taches détaillées Activités et Connaissances mises en œuvre Mission 2 : La Attitudes Attitude formation and skills Projector 20 min needed Show the picture “find the errors and Continue Continue why”, show it on the projector than the students must discuss about the errors Les down by the operator. Formations From the pictures we will find some rules concerning the attitude of the operator, writing the rules on a paper board, keep it in the class room during the training Camera 5 min per TV film Skills 10 min of feedback Show a small movie where the operator per film receives different phone calls, in each scene the operator is missing one skill the Total: students have to find which one. 5 movies, 60min one per skill. 5. Les premiers contacts avec le groupe a. Préparer sa salle Il est important que les stagiaires se sentent attendus quand ils arrivent en formation. Il faut donc prendre un moment avant l’arrivée des stagiaires pour préparer la salle, vérifier que le nombre de places est suffisant, que l’on a le matériel nécessaire (souvent les formations courtes nécessitent beaucoup de matériel, audio, vidéo, paper-board, et matériel de jeux) créer en environnement chaleureux (ne pas hésiter à mettre des posters). b. Accueillir les participants Les adultes arrivants dans une salle de formation ne se sentent pas toujours à l’aise, c’était donc à moi d’aller vers les étudiants et d’échanger quelques mots de manière informelle afin de les rassurer en attendant que tout le monde arrivent. c. Faire connaissance : Les participants aux formations avaient souvent une expérience et un passé professionnel qu’ils étaient désireux de partager avec les autres. Je prenais donc un moment pour que les participants s’interviewent et présentent un autre stagiaire au reste de la classe. Dossier de VAE – Léa Bloom 139
  • 140.
    Missions / Taches détaillées Activités et Connaissances mises en œuvre Mission 2 : La Premièrement, les étudiants prenaient le temps de se connaitre formation individuellement pendant l’interview et ils se sentaient ensuite plus à Continue l’aise de présenter une autre personne plutôt qu’eux même. Je n’oubliais jamais non plus de me présenter au groupe. Les Formations d. Recueillir les attentes Chaque participant a, en général, des attentes différentes par rapport au stage, certains viennent de leur propre initiative, d’autres y sont contraints. Je demandais à chacun d’exprimer leurs attentes et je notais les réponses sur un paper-board (ensuite accroché dans la classe) pour voir si les objectifs de chacun étaient atteints en fin de formation. Je présentais ensuite le programme en expliquant les bénéfices qu’ils pouvaient tirer des étapes de formation en les reliant à leurs expériences. e. Définir les règles de la formation : Il fallait quand même définir quelques règle sur le respect des horaires, sur l‘écoute de l’autre, sur l’utilisation des techniques participatives et actives pendant la formation. 6. Les méthodes d’évaluation La formation est un réel investissement pour les entreprises ou les stagiaires. Il est donc important de pouvoir mettre en évidence les compétences acquises tout au long de la formation afin d’évaluer le retour sur investissement. Ce retour peut se manifester de différentes façons : Une plus grande technicité, un regain de motivation, une communication plus efficace. L’évaluation doit permettre de mettre en avant les écarts entre les objectifs et les résultats de la formation pour mettre en place des actions correctives. Il n’est pas toujours évident de mesurer les résultats de la formation car beaucoup de paramètres non maitrisables entre en jeux : la volonté du stagiaire, la structure dans lequel l’employé travail, un changement de direction etc. a. Avant la formation Dossier de VAE – Léa Bloom 140
  • 141.
    Missions / Taches détaillées Activités et Connaissances mises en œuvre Mission 2 : La Comme expliqué précédemment il est important de décrire les formation objectifs et sous objectifs de la formation avant le commencement du Continue stage afin de savoir quels seront les critères à évaluer. Je faisais toujours valider ces objectifs par les responsables de Les l’établissement demandeurs ou par le stagiaire. Formations Je demandais en général au stagiaire de remplir une auto- évaluation en début de stage afin qu’ils puissent évaluer eux même les acquis après formation. (Voir annexe 35 : Grille d’auto-évaluation) b. Pendant la formation Le formateur doit évaluer les acquis tout au long de la formation, si l’on ne fait une évaluation qu’à la fin du stage il est déjà trop tard pour corriger les choses. De plus il est important que les stagiaires se basent sur les acquis précédents pour gravir les marches de l’escalier pédagogique. Lors de mes formations, je pratiquais l’évaluation de manière permanente de la manière suivante : • Poser des questions pour voir si les savoirs sont bien été intégrés • Demander aux stagiaires de reformuler • Préparer des exercices actifs de mise en situation ou de simulation (jeu de rôle sur l’accueil client par exemple) • Préparer des quiz et QCM • Toujours faire un bilan de la journée précédente avec les stagiaires afin de leurs laisser le temps d’assimiler et de poser des questions supplémentaires ou de revenir sur certains points. c. En fin de formation En fin de formation il est important de faire un bilan avec les stagiaires. Nous faisions un premier bilan oral en groupe pour savoir comment ils pensaient utiliser leurs acquis sur leur lieu de travail, quelles pourraient être les difficultés de mise en œuvre. Puis je leurs demandais de remplir une fiche d’évaluation en plusieurs points et un commentaire libre : Dossier de VAE – Léa Bloom 141
  • 142.
    Missions / Taches détaillées Activités et Connaissances mises en œuvre Mission 2 : La formation Description Very good Good Bad Worst Continue Organisation and timing of the training Les Formations Understanding of the contents Quality of the practical courses Quality of the theoretical courses Quality of the material used Overall appreciation Ces fiches permettent de faire évoluer les formations, d’améliorer et d’ajuster les méthodes. Elles doivent être exploitées pour les formations suivantes. Conclusion : Le projet de formation continue a eu du mal à démarrer dans le contexte économique du pays en 2004 : • Il n’y avait pas d’aides à la formation continue et les établissements prenaient en charge la totalité des coûts de formation. • Les petits établissements ayant moins de moyens, ne voyaient pas l’intérêt d’investir sur les employés afin d’augmenter la qualité du service. • Les grands établissements ou chaînes hôtelières menaient leurs formations en interne par le responsable des ressources humaines • Les formations en journée continue et en horaires jour ne correspondaient peut être pas à la demande. Il aurait fallut aménager des demi journées ou cours du soir (nous Dossier de VAE – Léa Bloom 142
  • 143.
    Missions / Taches détaillées Activités et Connaissances mises en œuvre n’avions pas les ressources nécessaires à l’époque) N’ayant pas suivit le projet assez longtemps (seulement six mois pour mettre en place et lancer le projet) je n’ai pas pu voir son évolution, mais reste persuader qu’il y avait de réels besoins en formation afin d’accompagner le développement extrêmement rapide du tourisme dans cette région. Les savoirs Associés : • Techniques de communication • Techniques d'animation d'équipe Les Savoirs • Méthodes d'analyse des besoins de formation • Utilisation d'outils d'évaluation • Ingénierie de la formation • Utilisation d'outils et supports audiovisuel • Utilisation d'outils bureautiques (traitement de texte, tableur,...) • Techniques pédagogiques • Conduite de projet Dossier de VAE – Léa Bloom 143
  • 144.
    Conclusion : Je pense que le métier de formateur nécessite de la passion, il faut aimer l’idée de transmettre un savoir à des publics divers, venant de tous horizons. Il est important de prendre plaisir à communiquer avec les stagiaires pour pouvoir évoluer. Personnellement, je me remets continuellement en question, ce qui me permet d’avoir une approche différente et de m’adapter au fil du temps. Le formateur ne sait pas tout, naturellement, mais il doit être curieux de sa propre discipline. Il faut aussi avoir un certain sens des priorités. Parfois, les demandes des stagiaires dépassent le référentiel de formation, Il faut donc les canaliser. Quand on est formateur, on accompagne des gens dans leur insertion professionnelle. Et qu’y a-t-il de plus beau que de donner à quelqu’un les clés pour qu’il trouve un travail ? Au-delà du titre qu’ils pouvaient obtenir, ma satisfaction, c’était que les stagiaires décrochent un poste après leur formation. Les principales qualités (savoir-être) mobilisées pour cet emploi : (savoir- • L’adaptabilité et les Qualités relationnelles: Etant en face des groupes différents il faut savoir s'adapter à des publics divers en toutes circonstances. Cibler les besoins et percevoir les réactions individuelles et collectives. S'enrichir en permanence de nouvelles techniques et supports pédagogique. • Le sens de l’initiative : Pour animer les formations il faut savoir s’organiser et être autonome. Il faut un grand sens de l’initiative pour mener à bout les stages. • Le sens pédagogique : Malgré les techniques qui sont a disposition des formateurs il faut avoir un sens de la diplomatie et de la pédagogie pour animer ces formations de manière originale et attrayante. webographie: Bibliographie et webographie: - Le guide du nouveau formateur : (2002) – Isolde Feuillette-Cunningham - Edition Dunod - Le Site Studya - www.studya.com – Les 1000 fiches métiers Dossier de VAE – Léa Bloom 144
  • 145.
    Années et durée Intitulé exact de la fonction occupée d’exercice ADN INFORMATIQUE – Formateur Installateur 7. l’Etablissement : ADN informatique Z.A du Puits d’Ordet 73490 La Ravoire Tel: 04 79 72 96 26 Fax: 04 79 72 96 96 Email: info@adn-informatique.com www.adn-informatique.com a. Un peu d’histoire…. ADN Informatique a été créée le 1er mars 1980 par Monsieur Audoin sous forme de S.A.R..L. (les initiales ADN se réfèrent au nom de code que le fondateur, Monsieur Audoin, utilisait lors de ses sorties aériennes). Dès la fin 1987, le développement de la structure est tel que la société voit son nombre de salariés s’accroître pour passer de 3 à 10 et doit louer des bureaux secondaires. En 1989, elle passe au statut de S.A, compte 27 employés, ouvre son capital aux salariés et emménage dans ses locaux actuels. L’activité de l’entreprise est orientée vers l’installation de solutions informatiques et le suivi de l’exploitation des PME dans tous les domaines d’activité. Dès 1995, l’activité internationale s’ouvre vers les pays à fort potentiel touristique et de destination « bien-être ». A partir de 2000, la plate forme mini informatique commence à régresser alors que la micro informatique explose. C’est donc à cette période que l’activité principale de la société va s’orienter vers des solutions de micro informatique. NYMPHEA©, le logiciel de gestion des centres d’hydrothérapie, devient alors le produit phare de la société et est entièrement repensé en Dossier de VAE – Léa Bloom 145
  • 146.
    Années et durée Intitulé exact de la fonction occupée d’exercice 1990 afin de s’adapter aux nouvelles technologies et aux évolutions de ce domaine. La société s’adapte également à la demande croissante en logiciel de gestion hôtelière et développe la solution HOMING© dès 1999. Dès la fin 2005, ADN Informatique investit dans une société basée à SOPHIA ANTIPOLIS, SOFTBOOKING qui développe un produit complémentaire associable à HOMING. Aujourd’hui la société a ouvert une succursale à Casablanca au Maroc dans le but de développer le marché en Afrique. Et projette de fusionner avec la société softbooking afin d’optimiser et de centraliser le développement des logiciels et la commercialisation. b. Les produits proposés par ADN: Nymphéa Spa : Destiné à la gestion commerciale, optimisation des ressources, gestion de la boutique et des stocks, gestion administrative (comptabilité, clôture, rapports), La facturation, le contrôle d’accès, la vente et réservation en ligne. Nymphéa M3 Thermes : Les mêmes fonctionnalités que précédemment citées plus un système de téléfacturation directe avec les organismes de santés. Il gère plus spécifiquement les plannings de cure en prenant en compte la dimension médicale (prescriptions, prises en charges, médecins thermaux et prescripteurs) Nymphéa M3 Thalasso : Reprenant les mêmes fonctionnalités que précédemment citées mais avec des spécificités liées à la thalassothérapie. Enymphéa : Logiciel de vente et réservation en ligne. Réservation et mise à jour des plannings en temps réel, consultation de son compte, historique de factures et calendrier des soins, paiement sécurisé en ligne. Homing : Logiciel de gestion de l’hébergement. Interfaces : développent d’interfaces avec des logiciels hôteliers, des logiciels de contrôle d’accès et logiciels de comptabilité. Dossier de VAE – Léa Bloom 146
  • 147.
    Années et durée Intitulé exact de la fonction occupée d’exercice Tous ses systèmes sont réalisés en mode client/serveur, avec le langage DELPHI © exploitant la base de données relationnelle ORACLE ©. Il est destiné prioritairement à des environnements graphiques WINDOWS ©. c. Les clients et Les partenaires Nymphéa compte aujourd’hui plus de 200 clients partout dans le monde. Depuis 2003 le chiffre d’affaire augmente d’environ 20% par an pour attendre 2,55 millions en 2008. Les marques partenaires Nous avons des grandes marques partenaires telles qu’Algotherme, Cinq Mondes, Nuxe, Payot, Thalgo, Yonka qui nous aident dans le développement du logiciel en nous communiquant les développements indispensables pour être à la pointe des attentes clients. Ceci est un des grands points forts d’ADN, les solutions proposées ont été développées en partenariat avec ces marques. Les consultants : Hydro concept, Star Wellness, Unique Spa Les sociétés partenaires : Oracle (base de données), Skidata (contrôle d’accés), softbooking (réservation en ligne) 8. Le Poste : d. Intitulé Formateur installateur e. Responsabilités • Étude des besoins organisationnels dans le domaine de la gestion, • Conseil pour l’implantation du système d’information, • Installation des solutions métiers et intégration éventuelle avec d’autres systèmes de gestion, • Paramétrage des logiciels selon les processus définis avec le client Dossier de VAE – Léa Bloom 147
  • 148.
    Années et durée Intitulé exact de la fonction occupée d’exercice et formation des utilisateurs, • Suivi de l’exploitation et assistance. f. Organigramme Dossier de VAE – Léa Bloom 148
  • 149.
    Années et durée Intitulé exact de la fonction occupée d’exercice g. Fiche de paie et contrat de travail Dossier de VAE – Léa Bloom 149
  • 150.
    Années et durée Intitulé exact de la fonction occupée d’exercice Dossier de VAE – Léa Bloom 150
  • 151.
    Années et durée Intitulé exact de la fonction occupée d’exercice Dossier de VAE – Léa Bloom 151
  • 152.
    Années et durée Intitulé exact de la fonction occupée d’exercice Dossier de VAE – Léa Bloom 152
  • 153.
    Missions / Taches détaillées Activités et Connaissances mises en œuvre Mission 1 : Mission 1 : Gestion de projets informatiques Gestion de projets informatiques Le domaine du bien être est en pleine expansion et fait, aujourd’hui partie intégrante de l’environnement touristique en France et La phase à l’étranger. Le terme d’installateur formateur parait un peu réducteur préparatoire par rapport aux missions et responsabilités que j’ai assurées chez ADN informatique. Ces missions comprenaient les points suivants : • préparation du paramétrage du logiciel (propre à chaque centre), • organisation des réunions de préparation (spa manager ou directeur du centre, ingénieur informatique responsable du network), • établissement des rétro-plannings d’installation et de formation, • organisation des déplacements, • coordination avec le spa-manager du travail en amont et en aval, • installation en réseaux de la solution NYMPHEA M3, • formation aux utilisateurs, • organisation des réunions sur place avec les dirigeants des centres, • réalisation de compte rendu • suivi en exploitation, • hotline et service après-vente… Il s’agissait à chaque fois d’une vraie gestion de projet, de la préparation à la mise en place de la solution informatique pour les centres. Connaître le domaine informatique des logiciels de gestion est un atout considérable dans le milieu de l’hôtellerie et du tourisme car il permet d’améliorer la rentabilité d’un établissement. Activité 1 : La phase préparatoire la préparation L’analyse des termes du contrat J’analysais d’abord, les points principaux du contrat clients (voir annexe 36 : exemple de contrat): • Le type de serveur client : Ce type (serveur 2007 ou 2008 en 32 ou 64 bits) pouvait changer le mode d’installation et les contraintes liées à la base données Oracle. Dossier de VAE – Léa Bloom 153
  • 154.
    Missions / Taches détaillées Activités et Connaissances mises en œuvre Mission 1 : • Le nombre de licences informatiques, le nombre de Gestion de postes à installer et le type de connexion (connexion en projets réseau ou bureau à distance). Ces éléments influençaient informatiques le temps d’installation sur place. La phase • Le type de base de données à installer : Oracle XE pour préparatoire un nombre de licences inférieur à deux et Oracle 10 G pour les centres avec plus de trois postes. Les bases 10G étaient beaucoup plus longues et compliquées à installer et comptaient dans le temps d’installation sur place. • Le type de programme à installer : Système Spa, thalasso ou thermal • Les prestations et le matériel supplémentaires commandés par le client : Nous avions différentes options lors de l’installation, le programme Nymphéa uniquement, nous pouvions aussi installer des impressions de cartes membres, des lecteurs de code barres, des interfaces (comptable, hôtelière), du contrôle d’accès avec un système de contrôle des entrées et sorties à travers des bornes. • Le nombre de jours de formation prévu : Ce nombre de jours pouvait varier entre 4 et 15 jours suivant la taille du centre, les prestations comprises et le nombre de personnes à former. h. L’analyse préparatoire de la structure Après la phase commerciale et la signature du contrat, je me mettais en relation avec le client pour déterminer ses attentes. J’ai mis en place un document d’analyse préparatoire (voir annexe 37: Analyse préparatoire) Afin d’avoir les détails de la configuration du centre, le nombre de cabines de soins, le nombre de thérapeutes, les soins, forfaits, les abonnements et les autres prestations offertes. Cela me permettait déjà de comprendre le fonctionnement et les spécificités du centre afin de préparer le paramétrage du système. Le système était entièrement paramétrable pour être en adéquation totale avec la structure client. Je contactais souvent les clients pendant cette phase afin de préciser et de clarifier le plus possible ses attentes en les traduisant par Dossier de VAE – Léa Bloom 154
  • 155.
    Missions / Taches détaillées Activités et Connaissances mises en œuvre Mission 1 : rapport au notre système informatique. Il s’agit vraiment de pouvoir Gestion de analyser et traduire les demandes. projets informatiques i. La mise en contact avec les autres intervenants Suivant les termes du contrat, je devais souvent me mettre en La phase préparatoire rapport avec les prestataires informatique du centre pour être sûre que l’installation du serveur et du réseau était prête. Je devais, par ailleurs me mettre en contact avec les intervenants contrôle d’accès (l’équipe de ski data qui faisait toute l’installation des bornes de contrôle) pour vérifier l’avancement de leur coté et pour prévoir une journée de test commune. Si le client commandait des interfaces avec des systèmes hôteliers je contactais le responsable projet interface (Fidelio par exemple) pour prévoir une demi-journée d’installation et de tests d’interface. Certains projets nécessitaient une phase de coordination avec de nombreux partenaires (pas toujours évidente car chacun gérait d’autres projets en même temps). j. La préparation du déplacement Je me mettais ensuite en accord avec le client pour finaliser les conditions de déplacement, mode de transport, type d’hébergement etc. le client prenait toutes les dépenses à sa charge lors des déplacements. Une fois ces informations notifiées par écrit, j’organisais le déplacement avec l’aide du secrétariat (réservation de billet, location de voiture etc.) mise paramétrage 1. La mise en place et le paramétrage En général les formations ce faisaient en deux fois, la première pour l’installation technique et le paramétrage du programme et une deuxième à deux semaines d’intervalle pour l’utilisation. a. L’installation L’installation de la base de données, du matériel et le déploiement de Nymphéa sur les postes prenait entre une demie et une journée entière. Nous faisions souvent fasse à des problèmes d’ordre technique lors de cette phase et devions trouver des solutions rapides afin de ne pas perdre trop de temps et pouvoir avancer sur le paramétrage. Cette partie était la plus compliquée pour moi car elle nécessitait une bonne connaissance technique de l’informatique, des Dossier de VAE – Léa Bloom 155
  • 156.
    Missions / Taches détaillées Activités et Connaissances mises en œuvre Mission 1 : installations en réseau etc. N’ayant pas étudié dans ce domaine Gestion de d’activité, j’ai appris en faisant fasse à des situations et des projets problématiques diverses. informatiques Les clients, n’ayant, en général, pas une compréhension très étendue de l’informatique, avaient parfois du mal à comprendre les La phase préparatoire problématiques que nous pouvions rencontrer. Il fallait faire preuve de beaucoup de tact et de diplomatie afin d’en expliquer les raisons. b. La mise en place Une fois l’installation terminée, j’organisais une réunion avec les membres de la direction et chefs de service pour remettre à plat les attentes et voir si nous pouvions bien répondre à toutes leurs demandes ou si certaines applications devraient être développées par la suite. Des questions importantes étaient soulevées pendant cette rencontre : • Déterminer la ventilation du chiffre d’affaire • Analyse des ventes (les familles de soins à mettre en place) • Type de valorisation du stock • Type d’éléments à extraire pour faire le suivi clientèle (les critères d’analyse) Il ne faut pas oublier que Nymphéa est avant tout un outil de gestion et de vente qui doit permettre d’extraire les données nécessaires au développement du centre. Les questions précédentes devaient être déterminées dés le début de la formation pour ne pas revenir dessus une fois le paramétrage terminé. c. Le paramétrage Le paramétrage du système devait être fait avec le responsable pour qu’il soit ensuite capable de changer ou mettre à jour le système de manière autonome pour suivre l’évolution son activité. Activités 2 : La mise en place de l’outil informatique L’outil informatique est une aide considérable pour gérer son entreprise. Les bases clients permettent aujourd’hui aux entreprises du tourisme de développer un marketing relationnel. Le marketing relationnel vise à créer et animer une "relation" entre une marque et son marché cible. Le marché cible peut correspondre aussi bien à la clientèle établie qu'aux clients potentiels (prospects). Dossier de VAE – Léa Bloom 156
  • 157.
    Missions / Taches détaillées Activités et Connaissances mises en œuvre Mission 1 : Gestion de Les progrès technologiques (base de données), ont grandement projets contribué à l'avènement du marketing relationnel qui se veut avant tout un marketing axé sur les besoins du public cible. informatiques C’est pour cette raison que nous avons développé de nombreux La mise en place de outils de centralisation de données clients, de marketing direct et de l’outil gestion dans Nymphéa. informatique 1. Les outils de marketing dans Nymphéa a. Le système d’information marketing Nous avons développé des outils de collecte de données clientèle afin de pouvoir segmenter et suivre les clients. Le fichier client Nous mettions à disposition des fiches clients et prospects paramétrables pour les centres : • Les informations basiques : nom, prénom, coordonnées • Des données destinées à définir les profils des consommateurs : ces critères étaient libres et définis par les centres. Par exemple la tranche d’âge, la connaissance du centre, le parrainage, la CSP etc. Toutes ces données pouvaient ensuite être extraites pour pratiquer des politiques de marketing ciblées. Les données pouvaient ensuite être traitées afin de connaître le chiffre d’affaire du client, le nombre de visites, les habitudes de consommation etc. Dossier de VAE – Léa Bloom 157
  • 158.
    Missions / Taches détaillées Activités et Connaissances mises en œuvre Mission 1 : Gestion de projets informatiques informatiques La mise en place de l’outil informatique b. Le marketing direct Le marketing direct a pour vocation d’établir des relations directes avec le client. Il consiste à collecter et exploiter des informations individuelles dans une base de données pour ensuite créer une relation personnelle. La personnalisation du message n’est donc pas seulement liée au segment mais directement à chaque consommateur. Nymphéa permettait d’extraire des informations relatives aux habitudes de consommation et d’envoyer des messages nominatifs aux clients par le biais de différents outils du marketing direct. Après sélections des listes des consommateurs dans un outil d’extraction statistique (avec plus d’une centaine de critères), le message pouvait être envoyé sous différentes formes : • Le mailing et publipostage : Une méthode plus traditionnelle qui servait surtout aux centres thermaux • Le emailing et le smsing : des techniques plus récentes avec comme avantage, la réception directe et le coût Dossier de VAE – Léa Bloom 158
  • 159.
    Missions / Taches détaillées Activités et Connaissances mises en œuvre Mission 1 : faible. Gestion de projets informatiques La mise en place de l’outil informatique Ces techniques permettent d’envoyer des promos, des offres, les nouveautés, les rappels de rendez-vous et de fin d’abonnements etc. c. Les programmes fidélité La fidélisation de la clientèle est un objectif central pour les acteurs du tourisme. Elle permet de développer des relations privilégiées avec les meilleurs clients de l’entreprise. Nymphéa offrait la possibilité de mettre en place des programmes de fidélité en paramétrant un système de points acquis au moment de la facturation client. Le centre mettait ensuite un système de palier avec des prestations offertes pour récompenser les bons clients. Des cartes de fidélité pouvaient être imprimées directement depuis le système avec le nom, prénom et la photo du client. Ceci permettait aux clients de vraiment se sentir « membre » du centre de bien être. Nous mettions à disposition un système de suivi des programmes de fidélité sur les fiches clients pour pouvoir suivre les acquis et les consommations de chaque membre. Dossier de VAE – Léa Bloom 159
  • 160.
    Missions / Taches détaillées Activités et Connaissances mises en œuvre Mission 1 : Gestion de projets informatiques La mise en place de l’outil informatique d. Les abonnés Nous gérions aussi les abonnements clients. Ces abonnements pouvaient être gérés en séances (10 séances d’aquagym), en temps (20 heures de massages), en entrées avec une durée de validité. Ces systèmes permettent aux centres, de fidéliser leur clientèle et de faire des offres spéciales destinées à ces abonnés. Nous suivions les consommations et toutes les données statistiques de ce segment, avec des relances automatiques en fin d’abonnement. gestion 2. Les outils de gestion dans Nymphéa a. La gestion des stocks L’outil informatique de gestion permet une valorisation et un suivi exact de l’état des ses stocks. Les produits d’achats Nous pouvions rentrer la liste des produits d’achats : Les produits de ventes, les produits cabines, les produits entretiens et accessoires. Pour chaque produit il fallait définir le conditionnement, les stocks minimum et maximum et le type de valorisation (Prix d’achat Dossier de VAE – Léa Bloom 160
  • 161.
    Missions / Taches détaillées Activités et Connaissances mises en œuvre Mission 1 : moyen pondéré ou dernier prix d’achat). Gestion de projets informatiques La mise en place de l’outil informatique Les fournisseurs Il fallait ensuite renseigner les informations concernant les fournisseurs afin de mettre en place des bons de commandes et de livraisons. Les entrées : Les commandes et livraisons Il était possible de faire ses commandes (voir annexe 38 : Bon de commande) directement depuis Nymphéa en renseignant le nom du fournisseur, les produits à commander et le prix d’achat HT. A la livraison, les centres retournaient sur leur commande afin de renseigner les produits réceptionnés et la quantité. Toute commande partiellement livrée était notifié et ressortait sur le prochain bon de livraison (voir annexe 39 : Bon de livraison) Les Sorties : Les fiches techniques et ventes Pour créer des mouvements de sortie de stock, tous les produits boutique étaient suivis en stock, donc chaque vente créait des sorties automatiques de stocks. Les soins en cabines pouvaient aussi contenir des fiches techniques avec le produit utilisé, la quantité et le produit en croix permettant d’obtenir le coût produit pour chaque soin. Chaque vente de soins créait ainsi des sorties de stock en produit cabine. Dossier de VAE – Léa Bloom 161
  • 162.
    Missions / Taches détaillées Activités et Connaissances mises en œuvre Mission 1 : Gestion de projets informatiques La mise en place de l’outil informatique Les mouvements Il y avait aussi la possibilité de rentrer des mouvements de stocks positifs ou négatifs avec la raison du mouvement (Produit périmés, cassés, manquants etc.) Les inventaires : Le système permettait de faire un inventaire de départ, puis il incrémentait automatiquement les entrées et sorties enregistrées pour ensuite fournir un stock théorique à comparer au stock réel. Les éditions : Quelques éditions intéressantes permettent d’obtenir des statistiques sur les stocks : • La valorisation du stock pour connaître la valeur de son stock à une date donnée. (voir annexe 40 : Valorisation du stock) • Les minimum et maximum : (voir annexe 41 : Minimum / Dossier de VAE – Léa Bloom 162
  • 163.
    Missions / Taches détaillées Activités et Connaissances mises en œuvre Mission 1 : Maximum) Pour éditer la liste des produits qui sont en dessous ou Gestion de au dessus du maximum défini dans la fiche du produit d’achat projets (outils qui aide à faire ces commandes) informatiques • Les marges : Permettant de calculer les pourcentages de La mise en marges sur les ventes produits (voir annexe 42: Marges) place de l’outil • Les prévisions de commande : Rapport basé sur les informatique commandes de l’année précédente mois par mois. b. Les contrôles L’outil informatique permet aussi de croiser des données afin de procéder à des contrôles de son activité. Les feuilles de caisse La feuille de caisse doit être éditée chaque jour avant clôture des comptes. Elle contient tous les enregistrements de caisse reçus informatiquement qu’il faut ensuite comparer à la caisse physique. Les paiements sont regroupés par type, avec les factures correspondantes et le total pour chaque mode de règlement. (voir annexe 43 : Feuille de caisse) Les dossiers à facturer Il s’agit de la liste des dossiers clients qui ont un encours avec une date de vente au jour d’aujourd’hui mais qui n’ont pas été facturés. La date de vente peut très bien ne pas correspondre à la date de consommation du client. Il est donc important de vérifier que la date de vente soit la même que la date de rendez-vous du soin. En fin de journée, il ne devrait pas y avoir de dossiers à facturer restants. Les impayés L’édition des impayés (les encours facturés mais non réglés) peut être de deux types : les impayés masters groupe qui seront réglés dans les 30 jours après facturation et les impayés individuels. La liste des impayés individuels ne devraient normalement contenir aucun dossier en fin de journée. Les factures et encaissements Le rapport des factures en encaissements donne un état de toutes Dossier de VAE – Léa Bloom 163
  • 164.
    Missions / Taches détaillées Activités et Connaissances mises en œuvre Mission 1 : les ventes et de la ventilation du Chiffre d’affaire par service Gestion de d’exploitation (voir annexe 44 : Factures et encaissements) projets informatiques c. Les autres éditions : D’autres éditions intéressantes sont disponibles : La mise en place de l’outil Les arrhes en cours informatique Les bons cadeaux en cours (chiffre d’affaire constaté d’avance) Les raison des remises et offerts Les statistiques de ventes etc… Le suivi Activité 3 : Le suivi 1. Les rapports de formation Chaque formation faisait l’objet d’un rapport à faire signer par le client. (voir annexe 45 : Rapport de formation) Ces rapports contiennent les points suivants : • Le nom de l’établissement, les dates de formation, les participants etc.… • Les conditions particulières (Une serveur non installé, des postes qui ne sont pas arrivés etc.) • Les points abordés jour par jour • Les demandes clients (demandes d’aménagements) • Les bugs informatiques signalés pendant la formation • Les points à suivre par le client et par ADN informatique Ce rapport était la base nécessaire au suivi du client. Il permettait aussi de communiquer, au service de développement du programme, les problèmes et choses à améliorer. Ce point est extrêmement important car il aide l’entreprise à mieux adapter son produit aux demandes du marché. Etant aussi en charge du service après vente et du support technique nous suivions les clients (qui payaient une prestation de support techniques). a. Les mises à jour Lors de la sorties de nouvelles options ou de la correction de bugs, je préparais des fiches de suivis de versions (voir annexe 46 : Suivi de version) à envoyer aux clients pour les informer des nouveautés. Dossier de VAE – Léa Bloom 164
  • 165.
    Missions / Taches détaillées Activités et Connaissances mises en œuvre Mission 1 : Nous faisions ensuite, à distance, des mises à jour de leur système Gestion de informatique. projets informatiques 2. Le support technique Nous devions répondre à la ligne téléphonique de support et faire face à de nombreuses questions d’utilisation, régler de nombreux Le suivi problèmes de facturation, de comptabilité, de gestion des stocks et autres. Cet aspect du travail était très formateur car il nécessitait une très bonne écoute, une compréhension rapide et surtout une capacité d’être réactif et de trouver des solutions rapidement. Les savoirs associés • Outils de planification et de suivi • Procédures d'élaboration d'un plan de tests (étapes, scénario) • Méthodes d'analyse (fonctionnelle) • Modélisation informatique • Utilisation d’un outil informatique spécialisé • Connaissance du langage de développement informatique • Connaissance du fonctionnement d’un réseau informatique • Connaissances des techniques de connexion à distance Conclusion : N’ayant jamais fait d’informatique avant de rentrer chez ADN, j’ai eu une période d’apprentissage très intensive afin de rattraper le niveau de connaissance nécessaire pour exercer ce métier. Si des bases techniques solides sont évidemment indispensables, d'autres qualités, axées sur la pédagogie, s'imposent : une bonne communication orale, des capacités à animer un groupe et l'aptitude à transmettre des savoir-faire et des connaissances. Cela m’a permis de renforcer ma connaissance dans le domaine de la formation mais aussi de découvrir deux métiers importants du service : l’informatique et le bien-être qui explose en ce moment. Dossier de VAE – Léa Bloom 165
  • 166.
    Lors de mesdiverses missions je me suis retrouvée face à des clients très différents devant sans cesse m’adapter à leurs attentes et demandes, à de nouvelles structures, de nouvelles équipes et différents niveaux d’exigences. Bien qu’extrêmement stressant mon poste chez ADN m’a permis de développer de nouvelles compétences et de surmonter de nombreux challenges. Les principales qualités (savoir-être) mobilisées pour cet emploi : (savoir- • L’adaptabilité Les formations se faisaient dans les établissements clients, je me déplaçais partout en Europe et devais sans cesse m’intégrer dans de nouvelles équipes avec des chefs d’établissements aux caractères très divers. • La résistance au stress: Ayant 400 clients pour seulement 4 installateurs formateurs, il fallait être capable de travailler très rapidement et de définir des priorités dans les demandes. Le matériel informatique étant un gros investissement pour les clients ils avaient beaucoup d’exigences par rapport au système. • Le sens de la négociation : Faire face à des clients qui ont des attentes diverses et pour certaines irréalisables (une fois traduite en langage informatique) il faut être capable de négocier afin d’arriver à un consentement sur d’autres solutions possibles. Dossier de VAE – Léa Bloom 166
  • 167.
    Conclusion Ce travail de rédaction a été l’occasion pour moi de formaliser mon parcours professionnel en reliant mes expériences pratiques à des connaissances plus théoriques autour des ressources humaines, de la gestion, formation, animation et leadership. Mes nombreuses expériences professionnelles m’ont donné une connaissance solide du domaine hôtelier, me permettant de développer des compétences et des qualités indispensables aux métiers du service. J’espère avoir démontré, que mes diverses missions aussi bien dans le domaine technique et managérial de l’hôtellerie que dans le domaine de l’ingénierie de la formation, me permettent d’avoir le niveau requis pour obtenir mon master 1 en gestion de l’hôtellerie. Suite à l'obtention de ce diplômeje souhaite d'intégrer le cursus de Master 2 au sein de l’IMUS de Chambéry afin d' enrichir mon niveau d’expertise en gestion et de parfaire mon expérience pratique . J'espère ainsi, mettre tous les atouts de mon côté et afin d'atteindre des postes à hautes responsabilités au sein d’une structure hôtelière. Je vous remercie d’avance, pour toute l’attention que vous porterez à mon dossier et me réjouis de vous présenter mon parcours ainsi que mon projet personnel au cours de la prochaine session du jury au mois de juin. Dossier de VAE – Léa Bloom 167
  • 168.
    Pièces complémentaires Attestation surl’honneur Dossier de VAE – Léa Bloom 168
  • 169.
    Pièce d’identité Dossier de VAE – Léa Bloom 169
  • 170.
    LES ANNEXES Dossier deVAE – Léa Bloom 170
  • 171.
    Article Benoit DuchateauArminjon ANNEXE 1 Dossier de VAE – Léa Bloom 171
  • 172.
    Dossier de VAE– Léa Bloom 172
  • 173.
    Statistiques touristique 2006du Ministère du Tourisme ANNEXE 2 Dossier de VAE – Léa Bloom 173
  • 174.
    Contrat de travail ANNEXE 3 Dossier de VAE – Léa Bloom 174
  • 175.
    Dossier de VAE– Léa Bloom 175
  • 176.
    Emplois du tempsdes employés ANNEXE 4 Dossier de VAE – Léa Bloom 176
  • 177.
    Dossier de VAE– Léa Bloom 177
  • 178.
    Evaluations ANNEXE 5 Dossier de VAE – Léa Bloom 178
  • 179.
    Dossier de VAE– Léa Bloom 179
  • 180.
    Exemple de formation ANNEXE 6 Dossier de VAE – Léa Bloom 180
  • 181.
    Recettes en images ANNEXE 7 Dossier de VAE – Léa Bloom 181
  • 182.
    Tableau de suivides réunions ANNEXE 8 Dossier de VAE – Léa Bloom 182
  • 183.
    Les fiches produits ANNEXE 09 Dossier de VAE – Léa Bloom 183
  • 184.
    Code de conduite ANNEXE 10 Dossier de VAE – Léa Bloom 184
  • 185.
    La Noria etle tourisme participatif ANNEXE 11 Dossier de VAE – Léa Bloom 185
  • 186.
    Fiche d’évaluation deschambres ANNEXE 12 Check Room Room Room Room Room Room Room N° N° N° N° N° N° N° The terrace The outdoor fan The outdoor light The indoor lights The indoor fan A/C Flower Water Bed Puppets Guest information Dresser (6 hangers, mirror, laundry basket and towel) Light bathroom Hot water Jar Toilets Glasses and soap Ground general Ceiling general Dossier de VAE – Léa Bloom 186
  • 187.
    Questionnaires de satisfaction ANNEXE 13 Dossier de VAE – Léa Bloom 187
  • 188.
    Pages internet ANNEXE 14 Dossier de VAE – Léa Bloom 188
  • 189.
    Dossier de VAE– Léa Bloom 189
  • 190.
    Menu Agences ANNEXE 15 Dossier de VAE – Léa Bloom 190
  • 191.
    News Letter ANNEXE 16 Dossier de VAE – Léa Bloom 191
  • 192.
    Article Guide devoyage ANNEXE 17 Dossier de VAE – Léa Bloom 192
  • 193.
    Fiches techniques Cuisine ANNEXE 18 Dossier de VAE – Léa Bloom 193
  • 194.
    Rapport de suivide fréquentation - Restaurant ANNEXE 19 Dossier de VAE – Léa Bloom 194
  • 195.
    Fiche de sortiede stocks ANNEXE 20 Dossier de VAE – Léa Bloom 195
  • 196.
    Fiche suivi destock restaurant ANNEXE 21 Dossier de VAE – Léa Bloom 196
  • 197.
    Tableau récapitulatif Restaurant ANNEXE 22 Dossier de VAE – Léa Bloom 197
  • 198.
    Tableau d’analyse deschambres ANNEXE 23 Dossier de VAE – Léa Bloom 198
  • 199.
    Tableau d’analyse descomptes ANNEXE 24 Dossier de VAE – Léa Bloom 199
  • 200.
    Menu du Bar ANNEXE 25 Dossier de VAE – Léa Bloom 200
  • 201.
    Fiches techniques bar ANNEXE 26 Dossier de VAE – Léa Bloom 201
  • 202.
    Article The Independant ANNEXE 27 Dossier de VAE – Léa Bloom 202
  • 203.
    Articles l’Hotellerie.fr ANNEXE 28 Dossier de VAE – Léa Bloom 203
  • 204.
    Dossier de VAE– Léa Bloom 204
  • 205.
    Programme Artistes enrésidences ANNEXE 29 Dossier de VAE – Léa Bloom 205
  • 206.
    Dossier de VAE– Léa Bloom 206
  • 207.
    Modules du Diplômede Chef de la sécurité Incendie 30 ANNEXE 30 Dossier de VAE – Léa Bloom 207
  • 208.
    Plan d’action :Programme de pré-qualification ANNEXE 31 ANNEXE 31 Dossier de VAE – Léa Bloom 208
  • 209.
    Les programmes deformation 32 ANNEXE 32 Dossier de VAE – Léa Bloom 209
  • 210.
    Emploi du tempsdes formations 33 ANNEXE 33 Dossier de VAE – Léa Bloom 210
  • 211.
    Exemple de supportsde stages 34 ANNEXE 34 Dossier de VAE – Léa Bloom 211
  • 212.
    Dossier de VAE– Léa Bloom 212
  • 213.
    Grille d’auto évaluation ANNEXE 35 ANNEXE 35 Dossier de VAE – Léa Bloom 213
  • 214.
    Exemple de contrat 36 ANNEXE 36 Dossier de VAE – Léa Bloom 214
  • 215.
    Dossier de VAE– Léa Bloom 215
  • 216.
    Dossier de VAE– Léa Bloom 216
  • 217.
    Dossier de VAE– Léa Bloom 217
  • 218.
    Dossier de VAE– Léa Bloom 218
  • 219.
    Dossier de VAE– Léa Bloom 219
  • 220.
    Analyse préparatoire ANNEXE 37 37 Dossier de VAE – Léa Bloom 220
  • 221.
    Bon de commande ANNEXE 38 Bon de livraison ANNEXE 39 Dossier de VAE – Léa Bloom 221
  • 222.
    Valorisation du stock ANNEXE 30 Stock minimum et maximum ANNEXE 41 Les marges ANNEXE ANNEXE 42 Dossier de VAE – Léa Bloom 222
  • 223.
    La feuille decaisse ANNEXE 43 Dossier de VAE – Léa Bloom 223
  • 224.
    Factures et encaissements ANNEXE 44 Dossier de VAE – Léa Bloom 224
  • 225.
    Rapports de formation ANNEXE 45 Dossier de VAE – Léa Bloom 225
  • 226.
    Dossier de VAE– Léa Bloom 226
  • 227.
    Dossier de VAE– Léa Bloom 227
  • 228.
    Dossier de VAE– Léa Bloom 228
  • 229.
    Dossier de VAE– Léa Bloom 229
  • 230.
    Suivi de version ANNEXE 46 Dossier de VAE – Léa Bloom 230
  • 231.
    Dossier de VAE– Léa Bloom 231
  • 232.
    Dossier de VAE– Léa Bloom 232
  • 233.
    Dossier de VAE– Léa Bloom 233