ECOLE INTER-ETATS DES TECHNICIENS SUPERIEURS
DE L’HYDRAULIQUE ET DE L’EQUIPEMENT RURAL
Département Infrastructures-Equipements-Energie ( I.E.E.)
01 BP 594 Ouagadougou 01 Burkina Faso
Tél : (226) 31 92 03 / 31 92 04 / 31 92 18
Email : etsher@etsher.org Fax : (226) 31 92 34
COURS
DE GESTION
DE
CHANTIER
Mise à jour ( avril 2005 )
Jean – Pierre ESSONE NKOGHE
Ingénieur Ponts et Chaussées
1
TABLE DES MATIERES
Cours de gestion du chantier :
Chapitre 1 : Organisation de l’entreprise
1-1 : Terminologie des acteurs d’un projet,
1-2 : Du dossier marché au dossier au dossier travaux,
1-3 : Analyse des relations entre partenaires d’une opération,
1-4 : L’organisation interne de l’entreprise,
1-5 : Rôles spécifiques du conducteur des travaux et du chef de chantier.
Chapitre 2 : La gestion des interfaces
2-1 : Rapport avec la direction
2-2 : Rapport avec les techniciens
2-3 : Rapports avec le personnel administratif
Chapitre 3 : La gestion du personnel
3-1 : Management du personnel par le chef d’entreprise
3-1-a : le recrutement,
3-1-b : la gestion prévisionnelle,
3-1-c : les rémunérations,
3-1-d : la formation,
3-1-e : l’évaluation
3-2 : La gestion du personnel de chantier
3-2-a : Comment gérer les hommes et prévenir les conflits ?
3-2-b : Comment éviter les conflits ?
3-2-c : quelques aspects juridiques de la gestion du personnel
3-3 : Le cahier d'appel et la fiche de pointage du personnel
3-4 : Le règlement intérieur
Chapitre 4 : La gestion du matériel
4-1 : Les principes de bonne exploitation du matériel
4-2 : Les moyens de gestion
4-3 : Quelques conseils pratiques
4-4 : Généralités sur les différents types d’engins et matériels de chantier
Chapitre 5 : La gestion des consommables
5-1 : Les objectifs de la gestion des consommables
5-2 : Les outils de gestion
5-3 : Le cahier des stocks
5-4 : Gestion par stock critique
5-5 : Gestion par stock prévisionnel
Chapitre 6 : Hygiène et sécurité
6-1 : Prévention des accidents
6-2 : Mesures d'Hygiène sur les chantiers
6-3 : Conduite à tenir en cas d'accidents
Annexe : Les premiers secours
BIBLIOGRAPHIE
2
INTRODUCTION
Dans l’exécution des activités du secteur du génie rural, il est exigé au
technicien supérieur de l’ETSHER d’accomplir des tâches de gestion et
d’organisation de chantier. C’est pourquoi nous avons prévu ce cours dont le
contenu permettra à tout technicien d’avoir les éléments de base. Ce cours sera
centré essentiellement sur :
• L’organisation de l’entreprise,
• La gestion des interfaces en entreprise,
• Les éléments de base de la gestion du personnel de chantier,
• La gestion du matériel et des consommables
• Les notions d’hygiène et sécurité sur les chantiers.
Il est en effet indispensable que les Techniciens Supérieurs de l’ETSHER
aient conscience des responsabilités qu’ils auront dans leurs activités, pour cela
ils doivent appréhender :
• La compréhension de la vie dans l’entreprise,
• La vie et la communication sur les chantiers,
• Les relations humaines,
• La qualité du travail et le respect des normes de sécurité.
Nous espérons que ce cours sera un outil pratique pour améliorer le
rendement et donner à nos Techniciens une maîtrise de la dynamique du
chantier dans ses différents contours.
3
Chapitre 1 : Organisation de l’entreprise
1-1: Terminologie des acteurs d’un projet
4 idées-clés
1. avant l’ouverture du chantier, on prépare, on organise :
voir et étudier ce qui existe, savoir ce qu’il faut faire, avant de pouvoir
mettre en route un chantier
2. mise en pratique des connaissances acquises : la gestion d’un chantier est pour nous
l’occasion de mettre en pratique les enseignements reçus durant notre formation.
3. dans l’exécution de la commande, il faut garder en vue le caractère dynamique du
chantier et s’attendre à résoudre les difficultés, il faut savoir innover.
4. dans la gestion du chantier, il faut envisager :
- la mise en pratique des décisions prises au stade de la préparation et de l’organisation ;
- coordonner et contrôler ;
- apprendre à assumer ses responsabilités.
1-1-a ) Différentes personnes concourant à l’acte de construire
¤ le promoteur : Maître de l’ouvrage
- il donne l’ordre d’exécuter les travaux,
- il assure le règlement.
Profane, il désigne des techniciens compétents :
- pour établir et mettre au point le projet (architectes, ingénieurs),
- pour exécuter les travaux (entrepreneurs).
Il lui arrive d’imposer certains choix techniques.
¤ l’architecte, ou maître d’œuvre
c’est le représentant du Maître d’ouvrage.
a) ses fonctions :
- il dresse les plans des travaux à exécuter, établit les projets;
- il assure l’appel d’offres;
- il dirige et surveille l’exécution des travaux qu’il coordonne et contrôle;
- il donne les ordres par écrit (O.S.) ;
- il s’occupe du règlement des travaux après vérification des mémoires et réception.
Il est aidé d’ingénieurs, de dessinateurs et divers techniciens.
b) ses responsabilités :
- la responsabilité décennale relative à tout vice de construction mettant l’ouvrage
en péril ;
- la responsabilité de 2 ans pour vices cachés dans les menus ouvrages.
¤ les techniciens spécialisés :
- les géomètres: pour les travaux topographiques
- les ingénieurs spécialistes de bureaux d’études : ils étudient et établissent au détail
les pointstrès particuliers du projet : (calculs et plans B.A, les problèmes
4
d’acoustique, l’étude des sols, la rentabilité financière, le planning d’exécution et
le pilotage du chantier ).
¤ l’entrepreneur :
il est chargé, après la signature du contrat, d’exécuter les travaux, en fournissant les
matériaux, le matériel et la main-d’ œuvre .
a) ses responsabilités :
- il est soumis, au même titre que l’architecte, aux responsabilités décennale et
biennale prévues par le code civil ;
- il est soumis au respect de la réglementation du code du travail ;
- il est responsable de tout retard à la livraison des travaux.
b) les employés de l’entrepreneur :
Il y en a 3 grandes catégories :
-les I.A.C.: Ingénieurs Assimilés et Cadres: les chefs de services, les conducteurs de travaux,
les techniciens supérieurs, les chefs métreurs, les chefs comptables,...
-les E.T.A.M.: Employés, Techniciens et Agents de Maîtrise: les chefs de chantiers,
les métreurs, les techniciens moyens des services techniques, les agents de la gestion
administrative.
-la main-d’œuvre ouvrière :
. manœuvre : personnel de simple exécution, sans responsabilité, effectuant des tâches
auxiliaires, ne nécessitant pas de spécialisation ou d’adaptation préalable: rangements,
manutention manuelle de terre et chargement sur camions, nettoyage ordinaire, gardiennage,...
. ouvrier spécialisé: personnel effectuant des travaux simples nécessitant une
spécialisation ou une adaptation préalable, sans initiative particulière ni formation
professionnelle: ex. dosage selon instructions reçues, fabrication à la bétonnière usuelle des
bétons et mortiers couramment utilisés,...
. ouvrier qualifié: personnel effectuant des travaux pouvant appeler des initiatives
et nécessitant des connaissances acquises par formation professionnelle ou pratique
équivalente: ex: maçonnerie, coffrage, carrelage, ouvrages simples en B.A., assemblage et
façonnage d’armatures,...
. chef d’équipe: ouvrier qualifié possédant la maîtrise de son métier, et chargé de
conduire une équipe suivant les directives données par les agents de maîtrise.
. agents de maîtrise.
¤ les organismes spécialisés :
- les laboratoires spécialisés : ex. L.N.B.T.P.
- les organismes de contrôle : SOCOTEC, VERITAS, ...
- les assurances
1-2 : Du dossier marché au dossier au dossier travaux
a) Définition : ( qu’est-ce qu’un chantier ? )
Un chantier est à la fois le lieu où l’on construit, et la réalisation même de la
construction projetée, dans un délai donné. Il est limité dans le temps et dans l’espace, et
sera pratiquement toujours différent des chantiers précédents. Il faut donc chaque fois
repenser le problème de son organisation. Tout chantier est donc unique ( critère d’unicité
des ouvrages ).
b) Comment se décide l’ouverture d’un chantier ?
5
D éro u lem en t d ’u n e A ffa ireD éro u lem en t d ’u n e A ffa ire
6
In ten tio n d e co n stru ire A v is d ’ap p el p u b lic à la co n cu rren ce
R em ise d es o ffres - S ig n atu re d u m arch é - M o is d e référen ce d es p rix
O rd re d e serv ice
R écep tio n d es trav au x - liv raiso n
E la b o ra tio n d u p ro jet
M a ître d ’O eu vre
C o n su lta tio n d es en trep rises
E la b o ra tio n d es o ffres
P rép a ra tio n d e l ’ex écu tio n
O rg a n isa tio n d u ch a n tier
E x écu tio n - P ro d u ctio n
C o n trô les T ech n iq u es
B ilan d e l ’o p ératio n
P h a se I : C o n cep tio nP h a se I : C o n cep tio n
P h a se II : ré a lisa tio nP h a se II : réa lisa tio n
S ig n atu re d u m arch é
Phase conception ...Phase conception ...
Description
d’intention
Enveloppe
budgétaire
Architecte
•Esquise APS
•Estimationrapides
•Ratios prix/m2
Architecte
•Plans
•CCTP
•CCAP
•RPAO
•Avant-métré
•Devis quantitatif
BET
•Plans BA
•Etudes desol
•etc.
Etape I : l ’élaborationduprojet
Projet détaillé (APD)
Projet
client
Dossier de consultationdes entreprises (DCE)Dossier de consultationdes entreprises (DCE)
… Phase conception… Phase conception
DCE
Etudes des
procédés et des
matériaux
Consultation des
fournisseurs.
Remise de prix
Etudes et
proposition
de variantes
Avant-métré
et devis
quantitatif
Choix et
adaptation des
prix unitaire
Devis estimatif.
Prix global
forfaitaire
Etape II : Avis d ’appel à la concurrence
Sous-détail de prix.
Déboursés prévisionels.
Coefficient de prix de vente
Bordereaux
d ’entreprise.
Expérience
des chantiers
Prix de ventePrix de vente
7
En particulier l ’APS et APDEn particulier l ’APS et APD
Objectifs Documents émis
AVANTS PROJET SOMMAIRE (APS)
Préciser la composition du projet en plan et en volume
Apprécier les volumes intérieurs et l’aspect extérieur de l’ouvrage
Proposer les dispositions techniques envisagées
Préciser le calendrier de réalisation
Etablir une estimation provisioire du coût des travaux.
Analyse des besoins
Plans et schémas de principes
Echelle au 1 : 200
Détails au 1 : 100
Descriptif (liste des travaux à faire)
Planing enveloppe
Métré sommaire et estimation
Objectifs Documents émis
AVANTS PROJET DETAILLE (APD)
Déterminer les surfaces détaillées du programme
Arrêter : plans, coupes, façades en dimensions et en aspect
Définir : principes constructifs, matériaux, installations techniques
Etablir l’estimation définitive du coût prévisionnel des travaux par lots
Documents graphiques :
Echelle au 1 : 100
Détails au 1 : 50
Descriptif détaillé des ouvrages
Planing enveloppe affiné
Métré et estimation détaillées
Chronologie évolutive du chantier (Comment se décide l’ouverture d’un chantier ?)
Repliement définitif du Chantier
Délai garantie Décennale
Fin période Garantie décennale
Délai garantie parfait achèvement
Délai d’exécution des travaux
Réception provisoire des travaux
Ouverture officielle du chantier
Date de démarrage des travaux
Installation du Chantier
Naissance du Projet
( Intention et fixation des objectifs )
Réalisation des Etudes
( Elaboration du Projet )Recherche des sources de
financement par le Maître
d’Ouvrage.
Préparation du D.A.O.Consultation des Entreprises
( DCE )
Dépôt des soumissions
Dépouillement des offres
Notification du démarrage des travaux par ordre de service
AVANT-
METRE
Ou
Préparation
de chantier
METRE
Ou
Phase de
Gestion du
chantier
Réception définitive des travaux
Choix de l’Entreprise
Etapes de la Gestion du chantier
Etapes de Préparation du chantier
8
1-3 : Analyse des relations entre partenaires d’une opération
INTERVENANTS DEFINITIONS RÔLES
Maître de l’ouvrage Personne physique ou morale pour le compte
de qui les travaux, ou les ouvrages sont
exécutés : particulier, promoteur,
constructeur,état,collectivité, administrations
Etablir précisément ses besoins
de construction,
Organiser toutes les opérations
d’investissement,
Choisir le Maître d’œuvre et les
BET,
Assurer le suivi et le contrôle
des travaux ( où faire assurer )
Financer les travaux réalisés.
Maître d’œuvre Personne physique ou morale qui,
Pour sa compétence, est chargé par le maître
d’ouvrage de diriger l’exécution du marché
et de proposer la réception ainsi que le
règlement des travaux : ( architecte, Bureau
d’Etude Technique ( BET ),Entrepreneur,
services techniques municipaux ,…)
S’assurer de la faisabilité de
l’opération,
Concevoir, décrire, évaluer les
ouvrages,
Etablir les dispositions
réglémentaires,
Préparer les marchés, consulter
les entreprises,
Diriger les travaux,
Contrôler la conformité de
l’ouvrage avec le projet,
Superviser les versements
d’acomptes aux entreprises.
Bureaux d’études
technique ( BET )
• Béton armé
• Aménagement
hudroagricole
• Etude de sols
• Adduction d’eau
potable
• Etude d’impact.
Organisme indépendant ou service interne
d’une entreprise, chargé d’étudier sur le plan
technique le projet du maître d’œuvre afin de
garantir la résistance mécanique et la stabilité
des ouvrages ainsi que le bon fonctionnement
des équipements techniques.
Rédiger des rapports d’études
techniques ( géotechnique,
béton armé, hydraulique,…),
Etablir toutes les notes de
calculs nécessaires au
dimensionnement des ouvrages,
Dessiner tous les plans
d’exécution des ouvrages,
accompagnés de leur
nomenclature et instructions
techniques éventuelles,
définissant sans ambiguïté les
travaux des divers corps d’état.
Contrôleur technique Personne physique ou morale agréée pour
remplir la mission de contrôleur technique
Bureau de contrôle :
( SOCOTEC ; VERITAS)
Organisme choisi et rémunéré par le maître
d’ouvrage, qui prend en charge le projet pour
assurer la sécurité des biens et des personnes.
Garantir sur le plan technique
la bonne exécution,
Assurer le contrôle des travaux
pendant leur réalisation,
Effectuer tous les essais et les
mesures de contrôle,
Rédiger les procès – verbaux
correspondants.
Entrepreneur Personne physique ou morale qui a la charge
de réaliser les travaux ou les ouvrages aux
conditions définies dans les pièces du
marché.
Entrepreneur général Entrepreneur titulaire d’un marché unique
qui a pour objet l’ensemble des travaux
cocourant à la réalisation d’un même
ouvrage.
Etudier le projet du point de
vue des coûts et prix,
Vérifier l’avant – métré des
quantités d’ouvrages,
Déterminer les prix de vente
unitaires H.T. pour réaliser
chaque ouvrage élémentaire (
sous – détail de prix ) ,
Compléter les cadres des
9
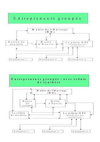
Entrepreneurs groupés
Entrepreneurs groupés
solidaires
Entrepreneurs groupés
conjoints
Mandataire d’un
groupement
Entrepreneurs titulaires chacun d’une partie
du marché, après avoir étudié en commun,
chacun pour sa spécialité, des travaux
cocourant à la réalisation d’un ouvrage et
avoir soumissionné par l’ntermédiaire d’un
mandataire commun.
Les entrepreneurs groupés sont solidaires si
chacun d’eux est engagé pour la totalité du
marché et doit palier une éventuelle
défaillance de ses partenaires. Ce système est
adapté au cas où les travaux ne sont pas
scindés en lots.
Les entreprises groupés sont conjoints
lorsque les travaux étant divisés en lots,
chaque entrepreneur est engagé pour le ou les
lots qui lui sont assignés.
Le Mandataire est la personne physique ou
morale chargée de représenter un
groupement d’entrepreneurs ( solidaires ou
conjoints ). Il est désigné par un acte
d’engagement joint à la soumission. Le
Mandataire est seul habilité à recevoir les
ordres de service, présenter les projets de
décomptes, ou transmettre les réclamation
des autres entreprises. Il assure également les
tâches de pilotage du chantier. Il est le seul
interlocuteur du Maître d’ouvrage et du
Maître d’œuvre.
Entrepreneurs séparés Entrepreneurs ayant signé indépendamment
les uns des autres des marchés étudiés
séparément par chacun d’eux, relatifs à des
travaux concourant à la réalisation d’un
même ouvrage .
bordereaux de prix,
Sous-traitant :
Sous – traitant déclaré
Sous-traitant non
déclaré
Désigne la personne morale chargée par
l’entrepreneur de réaliser une partie des
travaux. L’entrepreneur doit obtenir l’accord
préalable du Maître d’œuvre avant de
formaliser un contrat de sous-traitance.
Lentrepreneur ne peut sous-traiter la totalité
de son marché. Les documents administratifs
du marché fixent parfois le pourcentage
maximum du contrat qu’il est possible de
sous-traiter. L’entrepreneur demeure
personnellement responsable de l’exécution
du marché vis-à-vis du Maître d’ouvrage.
Entreprise agissant pour le compte d’un
entrepreneur et déclarée au maître
d’ouvrage,
Entreprise agissant pour le compte d’un
entrepreneur et non déclarée au maître
d’ouvrage,
Réaliser une partie d’ouvrage
( achat et mise en œuvre des
matériaux ) .
Tâcheron Entreprise individuelle, agissant pour le
compte d’un entrepreneur ou d’un sous –
tratant, et en charge uniquement de la mise
en œuvre des matériaux. Il est rémunéré à la
tâche effectuée.
Mise en œuvre seule des
matériaux.
Etablir les devis
quantitatifs et estimatifs
prévisionnels,
Organiser le chantier,
Choisir les méthodes
d’exécution ,
Elaborer les plannings
d’exécution des travaux,
Dessiner les plans
d’installation de chantier,
Commander les
matériaux nécessaires,
Réaliser les ouvrages
prévus,
Gérer le déroulement du
chantier,
Etablir le métré des
ouvrages réalisés à
comparer avec l’avant –
métré,
Présenter au maître
d’œuvre les projets de
décomptes mensuels liés
aux situations de travaux.
10
11
E n t r e p r e n e u r g é n é r a lE n t r e p r e n e u r g é n é r a l
M a î t r e d e l ’ O u v r a g e
( M O )
B u r e a u
d e
c o n t r ô l e
M a î t r e
d ’ O e u v r e
E n t r e p r e n e u r g é n é r a l P i l o t a g e
i n t e r n e
S T 1 S T 2 S T nS o u s - t r a i t a n t s
E n t r e p r e n e u r s g r o u p é s :E n t r e p r e n e u r s g r o u p é s :
s o l i d a i r e ss o l i d a i r e s
M a î t r e d e l ’ O u v r a g e
( M O )
B u r e a u
d e
c o n t r ô l e
M a î t r e
d ’ O e u v r e
L e p i l o t e
O P C
E n t r e p r i s e 1 E n t r e p r i s e 2 E n t r e p r i s e n
E n t r e p r e n e u r s g r o u p é sE n t r e p r e n e u r s g r o u p é s
12
M a î t r e d e l ’ O u v r a g e
( M O )
B u r e a u d e
c o n t r ô l e
M a î t r e
d ’ O e u v r e
L e p i l o t e O P C
( m a n d a t a i r e d e s
e n t r e p r i s e s )
E n t r e p r i s e 1 E n t r e p r i s e 2 E n t r e p r i s e n
E n t r e p r e n e u r s g r o u p é s : a v e c c e l l u l eE n t r e p r e n e u r s g r o u p é s : a v e c c e l l u l e
d e s y n t h è s ed e s y n t h è s e
M a î t r e d e l ’ O u v r a g e
( M O )
B u r e a u
d e
c o n t r ô l e
M a î t r e
d ’ O e u v r e
L e p i l o t e O P C
( m a n d a t a i r e d e s
e n t r e p r i s e s )
E n t r e p r i s e 1 E n t r e p r i s e 2 E n t r e p r i s e n
L a c e l l u l e
d e s y n t h è s e
1-4 : L’organisation interne de l’entreprise
a) quelques fonctions essentielles
on peut distinguer au moins 4 fonctions essentielles dans l’entreprise :
- technique : préparer, organiser, faire exécuter l’ouvrage
- financière : rechercher et gérer des capitaux
- comptable : inventaire, bilan, prix de revient, prévision et contrôle des dépenses
- administrative : prévoir, organiser, commander, coordonner et contrôler.
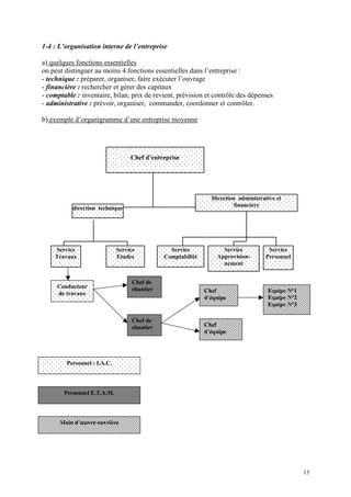
b) exemple d’organigramme d’une entreprise moyenne
direction technique
Service
Travaux
Service
Etudes
Service
Personnel
Service
Comptabilité
Service
Approvision-
nement
Direction administrative et
financière
Chef d’entreprise
Chef de
chantier Equipe N°1
Equipe N°2
Equipe N°3
Chef
d’équipe
Chef
d’équipe
Chef de
chantier
Conducteur
de travaux
Personnel : I.A.C.
Personnel E.T.A.M.
Main d’œuvre ouvrière
13
Interfaces o
Main d’œuvre ouvrière
Personnel ETAM
(Employés*Techniciens*Agents de
Maîtrise )
Personnel I.A.C.
(Ingénieur*Assimilés* Cadres )
c) Les principaux services d’une direction technique:
La direction technique peut comprendre les services suivants :
- le bureau d’études,
- le bureau d’estimation et de commande,
- le bureau des travaux,
- le bureau des méthodes,
- le service matériel.
1.Le bureau d’études :
¤ il est chargé d’établir après calculs appropriés, les plans d’exécution (coffrage, ferraillage,
préfabrication, montage...) à partir des plans du DAO;
les calculs B.A. sont parfois réalisés par des bureaux d’études spécialisés extérieurs à
l’entreprise adjudicataire; ils peuvent être imposés par le maître d’œuvre.
¤ il participe à l’établissement des soumissions pour répondre aux appels d’offres;
¤ il comprend des dessinateurs, des calculateurs,...
2.Le bureau d’estimation et de commande :
¤ il est chargé de chiffrer les commandes d’après les plans, de contacter fournisseurs et sous-
traitants, d’établir les situations mensuelles de travaux et les mémoires; au stade de
l’adjudication, il est chargé d’établir le prix de revient d’une offre;
¤ il comprend essentiellement des métreurs
3.Le bureau des travaux :
¤ il est chargé de mobiliser et ouvrir les chantiers, de faire exécuter les travaux selon les plans
fournis et les règles de l’art, en respectant les plannings, les prix découlant du marché
concerné;
¤ il assure l’approvisionnement des chantiers, surveille, contrôle le déroulement des travaux,
fait appliquer les règlements d’hygiène et de sécurité;
¤ il comprend des conducteurs de travaux, des chefs de chantiers, des commis de chantiers, le
personnel d’exécution.
4.Le bureau des méthodes :
¤ il fait les études de prix : chiffrer les ouvrages élémentaires, les temps élémentaires;
¤ il établit les documents de préparation de chantier :
-plans d’aménagement général
-fiches d’instruction détaillées sur les modes opératoires, avec introduction des
dispositifs de sécurité dans le processus d’exécution (organisation des postes de travail)
-plannings d’ordonnancement et d’exécution (approvisionnements, rotation d’équipes
spécialisées et de matériels...)
14
5.Le service matériel :
il gère le parc matériel: il est chargé d’entreposer, d’acheminer, d’entretenir et de réparer le
matériel et l’outillage nécessaires au fonctionnement des chantiers:
-mise à jour des fiches de stocks du service magasin;
-codification du matériel avec fiches d’emploi;
-planning d’utilisation, de contrôle périodique;
-centralisation des mouvements de matériels (il reçoit les prévisions des services
intéressés et organise la rotation des camions);
-travaux d’installation des engins sur les chantiers.
1-5 : Rôles spécifiques du conducteur des travaux et du chef de chantier.
a) Le conducteur des travaux :
Il élabore le devis matière prévisionnel faisant ressortir les besoins en personnel, matériel,
matériaux avec leurs coûts nécessaires à l’exécution des travaux ;
Il élabore le planning d’exécution des travaux ;
Il dresse le planning d’utilisation du matériel et du personnel ( ordre d’acheminement du
personnel et du matériel ) conformément au planning d’exécution ;
Il identifie les problèmes techniques de terrains et les résout ou les transmet à son chef
pour résolution ;
Il établit les attachements en vue de l’établissement des décomptes ;
Il assure le suivi budgétaire du chantier ( bonne exécution du devis ) ;
Il supervise les activités des autres intervenants sur le chantier ( chef de chantier ) ;
Il prépare l’exécution du travail : commande de matériel et d’outillage, demande d’études
et de main-d’œuvre, approvisionnements.
Il suit l’exécution du chantier et le respect du planning, fait les croquis nécessaires,
participe aux réceptions ;
Il prépare la facturation et peut assister aux rendez-vous.
b) Le chef de chantier :
C’est le technicien de l’exécution proprement dite, la charnière entre la main-d’œuvre
ouvrière et les intellectuels du siège. C’est l’homme des travaux.
Il répartit les tâches aux chefs d’équipes ;
Il établit les rapports hebdomadaires et journaliers avec l’aide du commis pointeur ;
Il contrôle et vérifie la bonne exécution des tâches confiées aux chefs d’équipes ;
Il gère le personnel et le matériel sous sa responsabilité ;
Il dispose des hommes, du matériel et des matériaux nécessaires à l’exercice de sa
fonction ;
Il met en application les règlements d’hygiène et de sécurité sur le chantier ;
Il assure l’organisation, le commandement d’un ou plusieurs chantiers, l’exécution des
travaux d’après les plans, en se conformant aux règles de l’art, et en respectant les
règlements en vigueur et le programme établi ;
Il prévoit les besoins du chantier en main-d’œuvre, matériaux, matériels et outillage dont
il assure le meilleur emploi, participe aux rendez-vous de chantier ;
Il assure l’implantation des ouvrages et les tracés.
15
C’est le chef de famille du chantier et à ce titre, il doit avoir une bonne moralité et les qualités
humaines requises pour entretenir une ambiance de famille propice au travail. Il est le garant
de la discipline sur le chantier.
Le chef de chantier possède des collaborateurs qui l’aident directement dans l’exécution de
ses tâches. Il s’agit de :
Personnel d’appui technique : topographe, mécanicien,…
Personnel administratif et de gestion : magasinier, commis, gestionnaire,…
Ils concourent tous à la bonne exécution des tâches du chef de chantier.
Comme tous les autres techniciens du génie civil, le langage commun est le dessin graphique
et la technologie de la construction.
¤ Lieu où l’on construit
Définition d’un Chantier : ¤ L’ouvrage à réaliser
¤ Le temps
¤ Limite dans le temps et dans l’espace
( Caractère dynamique )
¤ Unicité et caractère spécifique de chaque ouvrage
Nature d’un chantier : ¤ Le lieu = Une Constante
¤ L’ouvrage est défini en fonction de
( le temps + budget = variables dans le temps )
¤ Le temps+l’espace+le lieu+le budget = Contraintes de
réalisation du projet
Evolution d’un chantier :
¤ Du site
¤ De la méthodologie d’exécution
Organisation ¤ De la gestion des ressources
¤ De la vie sur le site
¤ De la planification des activités
Préparation ¤ De la planification des ressources
¤ De la gestion opérationnelle
16
CHAPITRE 2 : LA GESTION DES INTERFACES
La Pyramide de l’entreprise :
I.A.C
ETAM
Main d’œuvre ouvrière
FLUX
REFLUX
¤ Les FLUX sont les communications descendantes du sommet de la Pyramide vers la base. La transmission est assurée
par les différentes couches de la structure de l’entreprise.
¤ Les REFLUX correspondent aux communications ascendantes de la base vers le sommet. Ce sont les retours
d’information ( feedback ).
PERSONNEL
ADMINISTRATIFTECHNICIENS
DIRECTION
Réseaux de communication ( Formel et informel ) Gestion des Interfaces
17
Ces différents processus dynamiques ( formels et informels ), mettent en évidence les
impératifs d’une gestion adéquate des interfaces
2-1 : Rapports avec la Direction
Ces rapports sont les plus difficiles à établir et à maintenir pour les raisons suivantes :
2-1-a) Ambiguïté des stratégies, buts et onjectifs :
En gestion des processus de communication dans l’entreprise, on met souvent l’accent sur
l’importance d’objectifs clairs, précis et mesurables. En pratique, ce n’est pas souvent facile
à réaliser. L’hésitation des chefs d’entreprise à formuler des buts et objectifs trop précis
s’explique pour des raisons suivantes :
Effet de centralisation :
L’annonce de buts trop précis peut :
- centraliser la firme,
- fixer trop rapidement les positions,
- éliminer la créativité,
- réduire les choix d’options
Opposition :
Les chefs d’entreprise craignent de fournir trop facilement à leurs opposants des
moyens de défense,
Ils hésitent à rendre explicits des buts et politiques susceptibles de porter à
controverse.
Marge de manœuvre :
Les chefs d’entreprise souhaitent généralement retarder le plus possible le moment de
la prise de décision, afin de pouvoir profiter jusqu’au dernier moment des
opportunités imprévues.
Concurrence :
Les chefs d’entreprise hésitent souvent à fournir à leurs concurrents des informations
stratégiques trop précises sur les décisions prochaines : certains d’entre eux annoncent
les stratégies de l’entreprise une fois leur mise en place effectuée.
Les décisions pour lesquelles des objectifs clairs, précis et mesurables peuvent être établis,
sont les plus faciles à identifier par tout le personnel. Cependant, un autre aspect concerne
les intérêts. Il est nécessaire de faire l’équilibre entre les intérêts de tous dans une entreprise.
Ainsi donc, les objectifs sont très fluides. Assurer leur cohérence à l’intérieur de
l’organisation exige beaucoup d’énergie parce que chacun les interprète à sa façon, les colore
de ses biais personnels et même les évalue en fonction de ses intérêts propres. Il est
également très important de mentionner la relation entre les objectifs et les moyens mis en
œuvre pour les atteindre.
18
2-1-b) Ambiguïté d’attitudes
Un autre ensemble de considérations, intangibles mais combien significatifs, concerne
les attitudes que les dirigeants d’entreprises adoptent dans la gestion des interfaces. Ces
attitudes sont l’expression de croyances fondamentales, et indiquent clairement l’importance
que représentent les différents projets, activités ou chantiers, aux yeux de la direction.
Le manque d’intérêt de la part des hauts dirigeants affecte la crédibilité du projet et mine la
dynamique des énergies des équipes.
Quand les attitudes du chef d’entreprise semblent inappropriées, ceci complique la
gestion des flux jusqu’à rendre la communication impossible. Ce manque d’intérêt doit
absolument trouver une solution. Autant la direction doit s’efforcer de comprendre les
doléances des techniciens et du personnel administratif, pour autant l’ensemble du personnel
doit s’efforcer de comprendre les préoccupations globales de la haute direction.
2-1-c) La nécessité de mécanismes formels
Il est nécessaire d’établir des mécanismes formels pour faciliter la gestion des flux entre les
équipes ( techniciens et personnel administratif ) et la haute direction. Ces mécanismes sont :
L’établissement d’un comité directeur,
La mise en place d’un plan directeur.
Objectifs
PERSONNEL
ADMINISTRATIFTECHNICIENS
HAUTE DIRECTION
COMITE DIRECTEUR
Plan Directeur
Politiques Générales
Stratégies
Buts
Priorités
Budget
Réseaux formels de communication pour la Gestion des Interfaces
19
A) Le comité directeur :
Ce comité est investi des pouvoirs que lui donne la haute direction. Un comité directeur doit
être :
Responsable,
Dynamique,
Exigeant.
Cependant, ce comité doit éviter d’être :
Un comité d’acceptation,
Un comité conservateur et distant.
Les buts fixés par le comité directeur sont :
Veiller à la formulation d’objectfs clairs et précis,
Etablir les priorités,
Attribution des tâches et contrôle de mise en application,
Suivre l’avancement ( quantitatif et qualitatif ) des divers projets.
Pour remplir ce rôle, le comité directeur doit :
Se composer de membres de la haute direction,
Intégrer le processus de planification mis en place par le chef d’entreprise,
Veiller à établir des standards et des procédures simples pour le lancement,
l’établissement des rapports d’avancement et les analyses avantages/coûts,
Maintenir son autorité et sa crédibilité par une prise de décision efficace et impartiale.
B) Le plan directeur
Le plan directeur constitue l’un des principaux outils dont dispose l’entreprise pour orienter
les systèmes selon une planification d’ensemble. Le plan directeur doit être :
Clairement établi,
Compris et largement diffusé,
Dynamique et avec une capacité de s’ajuster aux nouvelles situations et priorités de
l’entreprise,
La haute direction et le comité directeur doivent s’engager unanimement sur les principes
de mise en œuvre du plan directeur et sur les orientations établies.
Il faut qu’au plan directeur soient associés des mécanismes de revue, de suivi et de
contrôle.
C’est à ce titre que le plan directeur peut réellement représenter un moyen valable de gestion
des flux de communication et de planification.
Le contenu du plan directeur :
Evaluation des besoins :
Etat des équipements disponibles et leur utilisation,
Evaluation des ressources humaines ( personnel d’exploitation, d’entretien et personnel
administratif ),
Les procédures de contrôle et les normes de sécurité,
Les niveaux de compétence et de motivation du personnel,
Evaluation des points forts/points faibles de l’entreprise,
Identifier les pressions en vue d’un changement.
20
Ces pressions ou besoins peuvent provenir de :
Changements dans les politiques de l’entreprise ( décentralisation, réorganisation
administrative, diversification, acquisition, etc… ),
Changements technologiques ( baisse des coûts d’équipements, etc… ),
Contraintes législatives ( confidentialité des données, divulgation, etc.. ),
Pression des consommateurs pour l’amélioration des services de meilleure qualité,
Identifier les possibilités pour améliorer le rendement :
Réaménagement des effectifs,
Réduction des coûts,
Formation des employés.
Chaque solution sera évaluée et quantifiée pour mieux identifier les critères de rendement et
de bénéfices attendus.
On peut envisager l’élaboration du plan directeur selon une approche en six étapes couvrant
les différents éléments décrits précédemment.
ETAPES POINTS DE CONTRÔLES
1. Planification de l’étude :
Activités :
- Examen du contexte actuel
(organisation, technologie,
législatif,…),
- Détermination du calendrier de
l’étude,
- Etablissement des mécanismes de
revue de projet.
Résultats :
- Plan de travail et calendrier des
rencontres,
- Structure du rapport final.
Revue du plan de travail avec la direction
2. Collecte des besoins :
Activités :
- Identification des fonctions actelles et
désirées,
- Documentations sur les différents
processus actuels,
- Elaboration d’un modèle conceptuel
regroupant l’ensemble des principaux
processus,
- Identification et documentation des
problèmes liés aux processus,
- Identification des processus-clés
(actuels et futurs ) pour réaliser les
objectifs.
Résultats :
- Modélisation des processus actuels en
mettant l’accent sur les activités en
cours et futures dans l’entreprise.
- Enoncé des besoins.
21
3. Analyse des besoins :
Activités :
- Documentation des besoins par secteur
d’activités selon une typologie
permettant de distinguer les besoins de
gestion stratégique, de contrôle et de
gestion opérationnelle,
- Documentation des besoins au niveau :
• fonctionnel ( fonctions requises ),
• quantitatif (volume, périodicité ),
• qualitatif ( seuil de conformité ),
- Soumission à la direction d’une liste
de priorités quant aux actions
suggérées.
Résultats :
- Description des besoins par secteur
d’activités ( aspects fonctionnels,
qualitatifs et quantitatif )
- Description des actions envisagées,
- Liste des priorités.
Revue des priorités :
- Revue et établissement des
priorités par la direction.
4. Orientations générales :
Activités :
- Synthèse des données recueillies pour
dégager les constatations d’ensemble
et les faits saillants de la situation
actuelle, telles que :
• objectifs d’entreprise,
• besoins et contraintes,
- Les orientations organisationnelles et
technologiques fondamentales
envisagées pour les années futures :
• politiques de fonctionnement ( rôles
et responsabilités ),
• centralisation et/ou décentralisation,
Résultats :
- Enoncé d’orientations générales.
5. Choix possibles
Activités :
- Détermination des changements à
apporter aux politiques actuelles,
- Détermination des ressources
humaines et financières requises pour
l’élaboration, la mise en œuvre et
l’exploitation des différents chantiers,
- Analyse avantages/coûts.
Résultats :
- Analyse comparative des choix
possibles ( description, coûts
d’élaboration ),
Revue des choix possibles
22
6. Choix de l’orientation
Activités :
- Préparation des recommandations
d’orientation ( relevé des bénéfices ),
- Revue et discussion des
recommandations avec la haute
direction,
- Description détaillée de l’orientation
retenue,
- Calendrier de réalisation :
• effectifs,
• équipements,
• budgets,
Résultats :
- Recommandation du choix,
- Plan de réalisation
- Rapport final.
Présentation du rapport final :
( contenu type du rapport final )
1) Sommaire à la direction,
2) L’étude,
3) La situation actuelle,
4) Description des besoins, des actions et des
priorités,
5) Les caractéristiques des orientations
générales ( politiques de fonctionnement,
orientations organisationnelles et
technologiques ),
6) Les choix possibles ( politiques de
gestion, équipements et ressources
humaines,..),
7) Analyse avantages/coûts,
8) Recommandations,
9) Plan d’action.
2-2 : Rapport avec le personnel administratif
Les rapports avec le personnel administratif représentent la pierre d’achoppement de plusieurs
projets par rapport aux techniciens. Le personnel des équipes techniques trouve que le
personnel administratif est inconstant, change constamment d’idées et ne parvient pas à
définir clairement leurs besoins.
Le personnel administratif doit aussi vérifier et approuver les différents résultats fournis par
les techniciens. Certaines demandes de changement peuvent intervenir selon les demandes
exprimées par le client ou bénéficiaire du projet. Il faut veiller au dépassement du budget
disponible. Certains tiraillements peuvent entraîner des conflits capables de compromettre le
succès du projet.
Les échanges entre techniciens et personnel administratif sont extrêmement importants. Il faut
s’assurer que la communication soit constante, franche et sous l’enseigne de la recherche de
solutions à des coûts les plus bas possibles.
Le personnel administratif est émotif, loyal à l’entreprise et orienté vers le court terme.
2-3 : Rapports avec les techniciens
Les projets prennent fréquemment en compte les intérêts propres des techniciens. Il est donc
souhaitable d’envisager un ensemble de relations symétriques dans l’entreprise, pour
permettre une juste perspective des contributions de chacun.
Le projet requiert des équipes affectées à la réalisation des travaux sur le chantier ; de plus le
projet est assujetti aux politiques, normes et standards. Les réunions de chantier doivent
permettre d’obtenir des feedback importants.
Les techniciens sont rationnels de nature et orientés vers le long terme.
23
Les résultats de système et résultats de gestion :
Tout chantier doit donner des résultats rapides et efficaces. Ainsi donc, un des facteurs de
succès d’un projet réside en sa capacité de produire les résultats attendus. Les résultats
doivent donc être tangibles. Ces résultats varient d’une phase à l’autre. Ces résultats peuvent
se regrouper en deux grandes catégories :
Les résultats de système :
Ce sont les résultats du projet reliés directement à la problématique et à la solution identifiée :
Il s’agit du rapport d’étude d’opportunité,
Du rapport d’analyse du système actuel,
Des résultats d’essais, etc….
Ces résultats sont soumis à la révision et à l’approbation par les responsables du chantier.
Les résultats de gestion :
Ce sont les résultats du projet reliés à la gestion proprement dite du projet. Il s’agit de :
Plans de contrôle,
Estimations des coûts,
Partage des rôles et responsabilités.
En résumé, les rapports entre les techniciens, personnel administratifs et la haute direction
présentent des difficultés particulières parce que les objectifs et attitudes sont parfois difficiles
à connaître.
Tout projet doit fournir des résultats de système et des résultats de gestion.
24
CHAPITRE 3 : LA GESTION DU PERSONNEL DE CHANTIER
3-1 : Management du personnel par le chef d’entreprise.
Pour H. FAYOL ( 1916 ), les principes fondamentaux d’une bonne organisation reposent sur :
L’unité de direction et de commandement,
La hiérarchie,
La discipline,
L’autorité,
La division du travail,
L’ordre,
L’équité,
La responsabilité,
L’esprit d’équipe,
La tenue des dossiers du personnel :
- Documents d’embauche,
- Fiche individuelle de renseignements,
- Fiche de poste,
- Fiche de congés,
- Fiches d’affectations et de mutations,
- Fiches de promotion,
- Documents de paie,
- Documents des avantages sociaux.
Ces principes, joints aux fonctions majeures qui sont :
Prévoir,
Organiser,
Commander,
Coordonner,
Contrôler.
Forment les composantes du rôle du chef d’entreprise. Les développements récents mettent
l’accent sur les fonctions d’animation, d’encadrement des équipes et une plus grande prise en
compte de la communication.
La gestion du personnel a une dimension technique incontournable et dont la connaissance
permet une utilisation optimum des ressources humaines de l’entreprise. Ces techniques
doivent être maîtrisées par le chef d’entreprise et concernent :
Le recrutement,
La gestion prévisionnelle,
Les rémunérations,
La formation,
L’évaluation.
3-1-a : Le recrutement :
Le recrutement sous entend :
La description de postes,
Définition de la fiche de poste :
- Les données du poste,
- Le résumé des fonctions,
25
- L’organigramme,
- L’énoncé des compétences requises,
- L’énoncé des aptitudes requises,
- La description des conditions particulières.
Les opérations de recrutement proprement dites,
L’accueil.
Ces trois activités ont pour but de fournir à l’entreprise un personnel qualifié.
La description de postes :
C’est un résumé précis, succinct et factuel du poste. Un exposé des exigences et des
conditions de travail imposées à son titulaire.
Les opérations de recrutement proprement dites :
Ces opérations font appel à un processus qui fait appel à plusieurs méthodes visant à recueillir
l’information sur le candidat : il s’agit de :
L’administration d’un questionnaire d’embauche,
Les examens psychotechniques,
L’expérience professionnelle.
Pour opérer un bon recrutement, les personnes appelées à conduire le processus doivent au
préalable bien connaître la nature du poste à pourvoir, s’accorder sur les critères et les
qualifications exigées. Le recrutement peut être interne ou externe. La lettre d’engagement
constitue la phase finale de la sélection. Cette lettre d’engagement doit mentionner les
éléments concernant :
La qualification professionnelle,
La catégorie,
Le salaire,
La nature du contrat (délai déterminé ou indéterminé ou renouvelable ),
La durée de l’essai.
L’accueil :
Le processus de l’embauche prend fin avec l’embauche. Il s’agit de familiariser le nouveau
venu avec l’entreprise.
3-1-b : La gestion prévisionnelle :
C’est l’outil technique de gestion à long terme des ressources humaines. Elle consiste en la
projection à long terme de l’état du personnel. Pour donner une plus grande probabilité de
succès à la prévision, on considère généralement deux éléments :
Une certaine fixité des hommes de l’organisation,
Une certaine adaptation de ces mêmes hommes se traduisant par une adaptation des
savoirs, des talents et des capacités techniques pour faire face à des tâches nouvelles.
La prise en compte de ces deux facteurs permet l'établissement d'un cadre de réflexion
prévisionnelle dont les principaux éléments sont :
Les besoins en personnel à l’horizon choisi en fonction des projections de production et de
l’état du système productif dans l’entreprise,
Les projections des ressources en tenant compte des ( retraites, démissions, etc… ),
L’ajustement des ressources dans le temps (augmentation ou réduction des effectifs )
suivant l’évolution des activités dans le temps.
Cette gestion prévisionnelle se trouve dynamisée par la variante temps.
26
Etapes de la gestion prévisionnelle du personnelle :
Analyser les préalables ;
- Déterminer la mission de l’entreprise,
- Identifier les orientations et les politiques,
- Identifier les besoins éventuels.
Inventorier les postes et le personnel en place ;
- Identifier le nombre de postes,
- Identifier le personnel de l’organisation.
Déterminer les prévisions en personnel ;
- Identifier les besoins réels pour les années à venir,
- Identifier les écarts,
- Identifier le nombre de postes à créer ou à supprimer.
Déterminer les postes et les effectifs excédentaires ou déficitaires ;
- Inventorier ces postes,
- Identifier les options pour la réaffectation du personnel en surnombre,
- Identifier les options pour le recrutement du personnel manquant,
- Donner les avis et conseils nécessaires.
Analyser et corriger les besoins ;
- Evaluer les écarts,
- Etablir un plan d’action,
- Appliquer les correctifs nécessaires,
- Recruter les effectifs nécessaires,
- Effectuer les promotions nécessaires.
3-1-c : Les rémunérations
La rémunération est une des conditions de travail que l’organisation peut offrir dans la
perspective de maintenir la participation des travailleurs aux objectifs fixés par le chef
d’entreprise. Il s’agit d’un enjeu majeur ; la rémunération devient le facteur qui retient et
incite le travailleur à la performance dans l’entreprise ou au contraire la source d’une
insatisfaction de celui-ci entraînant diminution d’effort, absence ou démission.
Au titre des facteurs qui balisent la fixation des salaires, nous citons :
L’existence d’un salaire minimum,
L’existence des salaires catégoriels minima ou salaire de base,
L’égalité des salaires masculins et féminins à niveau égal,
La capacité de trésorerie de l’entreprise à supporter la masse salariale,
Le temps écoulé ou l’efficacité,
La prise en compte des heures supplémentaires, primes et indemnités diverses.
3-1-d : La formation :
La prise en charge de la formation se décompose en deux opérations qui sont :
Le plan et le financement,
L’évaluation.
Après le diagnostique, il y a lieu d’établir la nature et la séquence des activités de formation à
entreprendre à l’intérieur d’un plan. Ce plan comprendra :
Le calendrier de formation,
Le lieu de réalisation,
Le contenu de la formation et les supports pédagogiques,
27
Le mode de financement,
L’évaluation et le suivi de la formation constituent une phase où se mesure l’efficacité de
la formation.
3-1-e : L’évaluation :
Il s’agit d’évaluer le personnel. La méthode habituelle est celle de la notation. Beaucoup
d’entreprises font usage des méthodes inspirées du management participatif.
Dans cette approche, l’évaluation des personnes et de leurs performances n’a plus pour but de
juger et noter pour sanctionner ou rendre possible un avancement impersonnellement défini ;
elle a pour but d’aider l’agent à faire son bilan de compétences, de l’aider à évaluer son
potentiel et donc de l’aider à progresser. On distingue dans ce processus six étapes.
1. La description des fonctions et des postes de travail,
2. La définition des objectifs du poste et de son titulaire,
3. L’évaluation des performances de l’agent sur son poste, par entretien avec son supérieur, à
partir d’un guide d’entretien,
4. Lors de l’entretien oral, l’agent aura à expliquer son point de vue et pourra librement
s’exprimer devant son supérieur,
5. L’entretien a tout autant une fonction de conseil et de soutien. C’est dans cette perspective
d’évolution qu’est orienté l’entretien.
6. Tout entretien doit aboutir à une fixation de nouveaux objectifs pour l’agent.
3-2 : La gestion du personnel de chantier
Le rôle du chef de chantier est de bien réaliser ce qu’on lui demande et à moindre coût.
Ceci nécessite une rationalité dans le travail, donc une bonne gestion des moyens mis à sa
disposition.
Le chef de chantier doit aider le chef d’entreprise dans la gestion du personnel en
apportant sa contribution dans l’utilisation de la description des tâches :
Gestion du personnel,
- Recrutement et sélection du personnel de chantier,
- Identification des objectifs de rendement,
- Evaluation du rendement,
- Identification des besoins du personnel de chantier,
- Etablissement de la base de rémunération.
Gestion des responsabilités,
- Attribution des responsabilités,
- Délimitation de l’autorité,
- Etablissement des objectifs de rendement au niveau des responsables.
Gestion de la production,
- Standardisation du travail et des procédés,
- Etablissement des normes de production.
Résolution des situations contractuelles liées à :
- La responsabilité du titulaire,
- La coordination,
- La mission,
- La prise de décisions.
Le personnel de chantier est composé essentiellement : du chef de chantier, des chefs
d’équipes, des ouvriers qualifiés ou spécialisés, des manœuvres, des pointeurs, magasiniers,
gardiens, ...
28
3-2-a : Comment gérer les hommes et prévenir les conflits ?
Le chef de chantier ayant sous sa coupe un effectif d’individus à gérer aura plus ou moins
de facilité à exécuter son métier en fonction du jugement qu’aura de lui son personnel. Cette
idée sera forgée autour de l’appréciation que feront les ouvriers de :
• ses compétences techniques
• son sens de pédagogie et de commandeur
• sa moralité
• son sens de l’équité et de la justice
Pour ce faire, il devra en dehors des techniques acquises, connaître la psychologie, la
mentalité de ses ouvriers au sens large du terme. De l’ambiance sociale régnant sur le chantier
dépend fortement les rendements fournis par les animateurs, donc de leur efficacité. Il sera
recommandé au chef de chantier afin d’éviter ou tout au moins limiter des conflits éventuels :
De cultiver le respect mutuel entre ouvriers ou entre les ouvriers et leurs supérieurs, de
manière à créer un esprit de famille. Le but de la manœuvre étant entre autres d’éviter des
cloisonnements soit entre classes professionnelles, soit entre classes d’âges.
Elaborer les caractéristiques d’un bon objectif de rendement qui consiste à :
- Enoncer le résultat final et spécifique escompté,
- Définir les normes de rendement se rapportant à la qualité, à la quantité, au délai, à
la satisfaction du client et au coût,
- Etre réaliste et réalisable,
- Etre à la portée de l’employé et être motivant,
- Etre contrôlable par celui qui doit le réaliser et par son supérieur hiérarchique,
- Etre utile en ce qu’il répond à un besoin de l’entreprise.
Le chef de chantier veillera à ce que ses hommes s’intègrent harmonieusement autant que
possible dans la population locale. Il faudra alors sensibiliser le personnel au respect des
dites populations. Un problème survenant entre la population et des éléments du chantier
peut perturber énormément le cours des travaux.
Le chef de chantier doit faire preuve de fermeté dans la gestion de ses hommes au chantier et
envers tout le personnel sous ses ordres sans aucune exception. Si cette fermeté est appliquée
avec équité, les effets sont souvent positifs. Il ne s’agit pas d’être méchant, car les effets
seront contraires.
Le chef de chantier devrait au préalable mettre en place un système d’évaluation du
rendement, en se posant les questions suivantes :
- Quels sont les objectifs du système d’évaluation du personnel ?
- Qui sera responsble de la rédaction de l’évaluation ?
- Quel est le rôle du supérieur immédiat dans l’évaluation ?
- Quel est le rôle des collaborateurs ?
- Qui doit coordonner le système ?
- Quel formulaire utiliser ?
- Quelle formation doit-on donner aux évaluateurs ?
- Existe-t-il un processus de révision des évaluations ?
Pour avoir le meilleur de ses hommes, le chef de chantier devra connaître leurs limites de
production de manière à ne pas demander l’impossible ou sous employer le personnel. Il est
donc nécessaire qu’il sache le rendement moyen des différents intervenants et exiger au moins
cela afin de respecter les délais d’exécution établis par le planning et de ne pas occasionner
des dépassements financiers en utilisant plus d’effectifs qu’il ne faut pour une tâche donnée.
29
Le chef de chantier doit prouver qu’il maîtrise son métier en anticipant la succession des
actions et éviter ou plutôt abolir toute improvisation. Il devra coordonner l’intervention des
différentes équipes, prévoir les difficultés probables et penser aux solutions éventuelles avant
même-que celles-ci ne surviennent.
Par exemple : Éclairage à prévoir dans la journée dès lors que l’on prévoit des travaux pouvant se
prolonger nuitamment.
Il devra éviter autant que possible les interruptions intempestives d’action en cours, ainsi
que les mouvements sans arrêt de personnel changeant d’occupation à tout moment. Il irritera
le personnel et perdra dans l’efficacité.
En confiant une tâche à un subordonné, il fera en sorte qu’il n’y ait aucune ambiguïté
possible. Il doit s’assurer que l’intéressé a compris ce qu’on lui demande et donner toutes les
explications nécessaires à l’exécution de la tâche.
En cours d’exécution, il devra vérifier que l’orientation prise est celle souhaitée, et
encourager l’exécutant si besoin en est. Les ouvriers aiment que l’on s’intéresse à leur travail
et que l’on les apprécie : cela les stimule et les galvanise.
3-2-b : Comment éviter les conflits ?
L’homme n’étant mobilisable que sur la base de ses intérêts, la diversité des effectifs sur
un chantier pourrait confronter des intérêts contradictoires entraînant parfois des conflits dont
la résolution n’est pas toujours évidente.
Le meilleur moyen pour éviter ce genre de problème est d’avoir dès le départ, une base
claire de gestion du personnel.
Pour ce faire, le chef de chantier devra disposer d’outils simples accessibles à la
compréhension du personnel et régissant les mesures d’organisation et de rémunération du
personnel sur le chantier.
Ces mesures tiendront compte de la législation du travail en vigueur dans le pays
d’exécution des travaux et préciseront :
le mode de recrutement du personnel
les salaires ( évaluation et paiement )
les règles de discipline, d’hygiène et de sécurité
les sanctions encourues,...
Il faut définir clairement les obligations des travailleurs :
- Un travailleur doit exécuter lui-même le travail,
- Ne pas s’absenter sans autorisation au risque de perdre son salaire,
- Exécuter le travail correspondant à ses aptitudes et à ses qualifications
professionnelles,
- Avoir la conscience professionnelle,
- Etre ponctuel,
- Etre loyal ( secret professionnel et non concurrence ),
- Etre obéissant et respectueux,
- Respecter les consignes d’hygiène et de sécurité.
Nous pouvons citer quelques exemples de fautes lourdes :
- Absence prolongée sans autorisation et sans justification,
- Manque de conscience professionnelle accompagnée de graves négligences,
- Violation de l’obligation de loyauté,
- Refus d’obéissance et manque de respect,
30
- Manquement à la discipline et à la bonne tenue sur les lieux de travail,
- Vol et détournement au préjudice de l’employeur,
- Non-paiement des salaires par le personnel de la comptabilité,
- Non-mise en place des règles de sécurité par les chefs d’équipes.
A cet effet, le chef de chantier utilisera les outils suivants :
les fiches, cartes, notes ou tout autre document individuel d’embauche mettant
officiellement le titulaire sous la responsabilité du chef de chantier,
un cahier d’appel pour le pointage journalier du personnel,
les fiches mensuelles et hebdomadaires de pointage ( tout pointage doit pouvoir être
justifié ultérieurement ),
un journal de chantier contenant toutes les quantités de travaux journaliers, hebdomadaires
et mensuelles exécutées, les intempéries, les pannes, le quotidien du chantier.
Il est aidé dans la tenue de ces documents par le commis pointeur.
En dehors de ces documents d’usage courant, l’idéal serait que l’ensemble des mesures soit
consigné dans un règlement intérieur régissant la vie sur le chantier.
Exemple d’articles de règlement intérieur
Art. 1 : objet
2 : horaires de travail
3 :discipline
4 : utilisation du matériel et engins
5 : interdictions
6 :modalité de paie
7 : fautes et sanctions
8 : hygiène et sécurité
Quelques obligations de l’employeur :
Fournir le travail prévu au contrat ;
- Ne pas exiger un travail plus qualifié à un ouvrier,
- Assurer de bonnes conditions de travail,
- Assurer les conditions d’hygiène et de sécurité.
Payer les salaires convenus en intégralité et dans les délais,
Traiter le travailleur avec dignité,
Exercer une surveillance morale s’il s’agit de jeunes travailleurs,
Délivrer un certificat de travail ne comportant aucune mention susceptible de nuire au
travailleur ( sauf cas flagrant de mauvais comportement ).
Ceci étant, il sera le plus souvent fait appel au sens de jugement et à la sagesse du chef
de chantier dans le règlement des litiges :
le chef de chantier préférera la sensibilisation à la sévère sanction ;
les sanctions doivent être progressives ;
ne jamais sanctionner sans entendre les justificatifs du fautif si nécessaire ;
prévoir aussi les mesures incitatives ( félicitations, encouragement, primes ) ;
si nécessaire, porter le résultat ( bon ou mauvais ) des litiges au supérieur hiérarchique .
31
Le chef de chantier fera les mêmes efforts qu’il demande à son personnel pour être le
plus correct possible ; il devra donc rendre régulièrement compte de ses activités à son
supérieur hiérarchique pour éviter tout conflit avec ses supérieurs.
3-2-c : Quelques aspects juridiques de la gestion du personnel :
A) Le contrat de travail :
Pour l’examen du contrat de travail, il est nécessaire d’analyser sa formation, son
exécution et sa cession. Le contrat de travail est un ensemble de liens contractuels régis par le
code du travail selon les textes en vigueur. Ce contrat est établi à durée déterminée ou à durée
indéterminée. Avant qu’il ne soit définitivement scellé, le contrat de travail soumet les parties
à une période d’essai.
Ce contrat précise :
Les obligations des parties,
- Le travailleur doit exécuter lui-même le travail pour lequel il a été embauché avec
conscience professionnelle,
- L’employeur doit fournir le travail prévu au contrat dans de bonnes conditions et
rémunérer le travail selon les bases du contrat signé.
Les modifications et les suspensions éventuelles.
- Modifications liées au changement dans la situation juridique de l’employeur,
- Evénements suspensifs du contrat de travail ( la maladie, l’accident de travail ou la
maladie professionnelle, le congé de maternité, le congé payé,…).
La fin du contrat de travail intervient à l’arrivée du terme pour le contrat de travail à
durée déterminée ou par la volonté de l’une des parties dans le cas de contrat à durée
indéterminée. Dans ce dernier cas, qu’il s’agisse de licenciement ou de démission, le motif
invoqué doit être légitime et le préavis doit être respecté.
B) La réglementation du travail :
Le règlement du travail a objet de fixer :
La durée du travail :
- Durée hebdomadaire du travail égale à 40h00 par semaine,
- Tout travail au-delà des heures régulières donne lieu au paiement des heures
suppléméntaires,
- Il existe une réglementation particulière pour le travail de nuit et pendant les jours
fériés,
- Le travailleur peut bénéficier de congés payés après un an d’activités dont le
pricipe et la durée sont fixés par les textes.
L’hygiène et la sécurité du travail :
- Il s’agit des mesures contre les incendies,
- Soit de prévention contre les accidents de travail,
- Soit de discipline générale.
32
3-3 : Le Cahier d’appel et la Fiche de pointage du personnel
33
FAIRE LE SUVI DU PERSONNEL DE
CHANTIER : Pourquoi Faire ?
Pour une bonne maîtrise du coût de revient global des travauxPour une bonne maîtrise du coût de revient global des travaux
Pour ce faire on utilisePour ce faire on utilise une fiche de pointage journalièreune fiche de pointage journalière..
•• Une bonne composition des équipes de travailUne bonne composition des équipes de travail
(qualité et efficacité du chantier)(qualité et efficacité du chantier)
Mais aussi pour :Mais aussi pour :
•• Eviter les retards d’exécution.Eviter les retards d’exécution.
L ’e x p lo ita tio n d e s fic h e s d e p o in ta g e p e rm e t d ’é v a lu e r
le e rs o n n e l.
C e re n d e m e n t e s t é v a lu e r e n fo n c tio n d e :
D e la q u a n tité e t d e la q u a lité d e tra v a u x ré a lis é s ,
D e l ’e ffe c tif p a r tâ c h e ,
D u te m p s d ’é x é c u tio n d e s tra v a u x .
C e re n d e m e n t e s t e v a lu é e n
L E S U I V I
r e n d e m e n t d u P
n o m b r e d ’h e u r e s / q u a n tité d e tâ c h e s
LAFICHE DE POINTAGE
CetteficheCettefichecomportecomportecommeinformations:commeinformations:
Lesheurestravailléespendantlejouret/oulanuit,Lesheurestravailléespendantlejouret/oulanuit,
Lesheuressupplémentaires,Lesheuressupplémentaires,
Lesabsencespourmaladies,congésouaccidents,Lesabsencespourmaladies,congésouaccidents,
LesobservationsetappréciationsduchefdechantierLesobservationsetappréciationsduchefdechantier
34
FICHE DE POINTAGE
LUN MAR MER JEU VEN SAM DIM
1 Maçonnerie agglo creux m2 5 1 6 12000 F/m2 72 000 F
2 Enduit extérieur m2 2 3 1 6 15 000 F/m2 90 000 F
3 Enduit intérieur m2 2 3 1 6 15 000 F/m2 90 000 F
4 Raccordement ml 2 2 300 F/ml 600 F Finition standard
5
6
7
8
9
10
11
12
13
14
15
16
17
18
19
20
21
252 600 F
N° Remarques
QUANTITES
UDESIGNATION DES TRAVAUX
TOTAL
TOTAL TARIF MONTANT
Nom/Société : NIGIBAU Qualification: Maçon
Prénom/Adresse: Luc Compositionde l ’Equipe: +1
Chantier : ENEPGAOUA
Lot : 13.b/ Maçonnerie Semaine : 25/2000
Le Conducteur des Travaux Le Chef dechantier Le commis pointeur
35
Heures
Travaillées Absences
FICHEDEPOINTAGE
Nom&Prénon:OUEDRAOGONathanael
N°Matricule:1.02.68.051.057
Emploi-catégorie:Maçon Chantier:ENEPGAOUA
Semaine&Année:25/2001 Lot:13.b/Maçonnerie
JOURS Jour Nuit
H.
Nor
H.
Sup
Maj
50% Remarques Cong. Malad. AT …
LUN 8 8
MAR 8 8
MER 8 8
JEU 8 8
VEN 8 8
SAM 10 8 2 R.A.S
DIM
LeConducteurdesTravaux LeChefdechantier Lecommispointeur
Imputationanalytique
desheurestravaillées
36
3-4 : Le Règlement intérieur
Il a pour objet :
• De favoriser les conditions de travail appropriées et efficaces,
• D’assurer l’harmonie entre le personnel de la direction et le reste du personnel.
Le Règlement intérieur contient :
3-4-a : Préambule – Dispositions générales
• Fixation des prescriptions et les règles de vie qui régissent la discipline générale, la bonne
exécution des travaux ainsi que l’hygiène et la sécurité applicables sur tous les lieux de
travail de l’entreprise.
• Ce règlement s’applique sans aucune restriction ni réserve à tous les travailleurs de
l’entreprise à quelque catégorie professionnelle qu’ils appartiennent.
• Toute personne par le fait de son embauche accepte le présent règlement et déclare s’y
soumettre ultérieurement. C’est ainsi que ce règlement devient un document juridique
régissant les relations de travail au sein de l’entreprise.
3-4-b : Organisation technique du travail, pointage et contrôle
- Fixation de la durée de travail ; la direction se réserve d’instaurer tous modes de
contrôles des heures d’entrée et sortie du personnel.
- Le personnel ne peut refuser d’accomplir des heures supplémentaires demandées
par le chef de chantier, si les conditions réglementaires en vigueur sont réunies.
- Le non-respect de l’horaire caractérise l’indiscipline et l’irrégularité dans le travail,
les sanctions disciplinaires peuvent s’en suivre.
- Toute absence doit, sauf cas de force majeure, faire l’objet d’une autorisation
préalable du chef de chantier. Un certificat médical indiquant la durée prévisible
d’indisponibilité peut être exigé.
3-4-c : L’embauche
- L’embauche du travailleur est effectuée après présentation d’un certificat de son
précédent employeur attestant que l’ouvrier a quitté ce dernier libre de tout
engagement.
- Toute embauche de personnel est au préalable soumise à la signature par
l’employeur d’une fiche pré embauche, suivie d’un contrat de travail.
• Période d’essai :
- Tout engagement définitif sera précédé d’une période d’essai. C’est la période
pendant laquelle l’employeur appréciera les aptitudes physiques, morales et
professionnelles du travailleur.
- Cette période varie selon le type de contrat et pendant celle-ci, les parties ont la
faculté réciproque de rompre le contrat, sans indemnité ni préavis.
Durée du travail :
- La durée légale de travail est de 40h00 par semaine,
- De la 41ème
à la 48ème
heure, majoration de 15% pour heure supplémentaire,
- De la 48ème
heure, majoration de 35% pour heure supplémentaire,
- 50% de majoration pour les heures effectuées de nuit,
- 60% de majoration pour les heures effectuées de jour les dimanches et les jours
fériés,
- 120% de majoration pour les heures effectuées de nuit les dimanches et les jours
fériés
37
- En cas de nécessité ou d’urgence, le travailleur peut être appelé à travailler le
dimanche ou un jour férié et sera rémunéré en conséquence.
3-4-d : Permission exceptionnelle
Les permissions exceptionnelles en raison d’événements familiaux sur présentation des
pièces justificatives pourront être accordées dans la limite de vingt ( 20 ) jours par an
selon le code du travail.
- Mariage du travailleur : 3 jours
- Décès du conjoint, d’un enfant ou d’un parent proche : 3 jours
- Naissance d’un enfant : 3 jours
Ces congés exceptionnels ne seront pas déduits du congé réglementaire et n’entraînent
aucune retenue de salaire pour les travailleurs.
A titre exceptionnel, la possibilité peut être accordée au travailleur de suivre un stage de
perfectionnement ou d’assister à un séminaire.
3-4-e : Modalités de paiement du salaire et des congés payés
Toute année de travail donne droit à un (1) mois de congé à jouissance obligatoire à la
charge de l’employeur,
La rémunération comprend toutes les indemnités légales, réglementaires ou
conventionnelles.
Les augmentations de salaire restent à la discrétion de la Direction et auront lieu une fois
l’an sur la base d’une évaluation individuelle.
Les salaires seront payés chaque fin de mois sur les lieux de travail ou par virement. Au
cours de chaque paye, il est remis au travailleur un bulletin de paye.
3-4-f : Discipline et sanctions
Il est interdit de :
- Quitter son poste de travail de façon prolongé sans en avoir informé le responsable
( chef d’équipe, chef de chantier, chef d’entreprise ),
- Diffuser des tracts ou de procéder à des affichages non autorisés,
- Introduire des personnes étrangères dans le chantier,
- Se livrer à des travaux personnels sur les lieux de travail,
Fautes lourdes du travailleur :
- Manque de conscience professionnelle surtout accompagnée de négligence grave (
préjudice important ),
- Refus d’obéissance et manque de respect ( refus d’exécuter le travail entrant dans
ses attributions et injures, coups et blessures, insolence à l’égard de l’employeur ),
- Manquement à la discipline ( état d’ébriété répété, scandale sur les lieux du travail,
transport clandestin de passager à bord de véhicule de service ),
- Violation des règles de sécurité ( refus d’éteindre une cigarette dans un lieu
inflammable, non-respect de l’équipement ou du matériel de sécurité mis à la
disposition de l’employé ),
- Malhonnêteté flagrante ( vol commis au préjudice de l’employeur, détournement
de fond ).
Fautes lourdes de l’employeur :
- Non-paiementt de salaire dans le délai légal,
- Non-respect des clauses contractuelles,
- Violation des règles de sécurité et d’hygiène,
- Injures, coups et blessures à l’adresse du travailleur.
L’employeur peut être poursuivi par la juridiction compétente ( inspection du travail ).
38
Procédures et sanctions disciplinaires
En cas d’infraction au règlement intérieur, la direction peut, en considération de la gravité des
fautes et de leur répétition, appliquer les sanctions suivantes :
- Avertissement écrit ou réprimande,
- Mise à pied d’un à trois jours,
- Mise à pied de quatre à huit jours,
- La sanction est signifiée par écrit au travailleur. Une demande d’explication écrite
peut être demandée à l’employé.
3-4-g : Entretien des outillages et véhicules
Lorsqu’une caisse à outil est confiée à un travailleur, il doit dresser un inventaire avec le
magasinier avant de l’emporter sur son lieu de travail,
Pour les conducteurs des véhicules et engins, toute mauvaise manipulation intentionnelle
sera considéree comme faute grave.
A la fin de la journée de travail, tout le matériel sera nettoyé et rangé soigneusement.
3-4-h : Disposition diverse
Le règlement intérieur sera soumis au visa de l’inspection du travail et entre en vigueur
après son affichage dans l’enceinte de l’entreprise et sur les chantiers à un endroit
accessible à tout le personnel de l’entreprise.
39
CHAPITRE 4 : LA GESTION DU MATERIEL
La bonne organisation d’un chantier, donc sa rentabilité, réside pour l’essentiel dans l’état
du matériel. Sans matériel sûr, il est impossible d’élaborer une bonne programmation,
on fait place à l’improvisation.
L’exploitation physique d’un parc matériel est soumise à un facteur essentiel : l’Aspect
financier. Ce facteur est lié à l’Aspect comptable par la prise en compte des valeurs
d’immobilisation sur le matériel. L’aspect financier trouve par ailleurs son importance sur
la prise en compte des investissements ou acquisitions d’actifs (industriels ou financiers).
Les immobilisations subissent chaque année d’exploitation ou d’exercice, une
dépréciation appelée Amortissement. Cette dépréciation a pour cause, l’usure, la
désuétude, le progrès technique. Certains matériels peuvent être dépréciés bien que
n’ayant jamais servi, du seul fait que le progrès technique les ait rendus vétustes et
inaptes à remplir rentablement leur rôle dans la production. Cette dépréciation
fonctionnelle des biens a été appelée l’Obsolescence ou déclassement technologique du
matériel industriel.
Ces éléments interviennent dans l’élaboration des éléments comptables du Bilan et du
compte de résultat ou d’exploitation.
Le Bilan est l’image comptable de l’entreprise à un moment donné, généralement à la fin
de chaque exercice.
Le Bilan fait le rapprochement entre l’Actif = ce que l’on possède et le Passif = ce que
l’on doit.
Le Compte de résultat est l’image de la vie de l’entreprise ( recettes dépenses ) sur une
période donnée, généralement à la fin de l’exercice.
4-1 : Les principes de bonne exploitation du matériel
Le Rendement et les performances du matériel de chantier dépendent non seulement de la
puissance de la force motrice, mais aussi d’autres critères qui sont :
la fonction du matériel :
Le chef de chantier veillera à ce que tout engin fasse le travail pour lequel il est destiné.
Une utilisation non adaptée est souvent inefficace, onéreuse et nuisible au matériel.
Mauvais exemples courants : - chargeur utilisé comme pelle
- camion comme véhicule léger, ...
les conditions d’utilisation :
Les conditions d’utilisation du matériel sont essentielles pour leur longévité.
Leur utilisation tiendra compte de leurs limites qui doivent être connues du chef de
chantier.
Exemple : - poids utiles de camions
- capacité des bétonnières
la maintenance :
Les constructeurs donnent à l’achat les indications nécessaires à l’exécution de la tâche
tout au long de l’utilisation de l’engin.
Il y a des tâches d’entretien routinières dites systématiques, et les tâches périodiques
préétablies, ainsi que les réparations éventuelles.
40
Le chef de chantier qui n’est pas un spécialiste en la matière veillera à ce que l’équipe
puisse exercer cette fonction dans les meilleures conditions.
Pour les grands chantiers, cette section peut constituer une entité à elle seule avec une
organisation autonome.
Le chef de chantier s’informera auprès des agents responsables de cette équipe avant
d’utiliser le matériel dans les conditions particulières.
Exemple : faire rouler un engin de terrassement sur une grande distance
complémentarité des équipements
L’ensemble du matériel sur un chantier constitue souvent une chaîne et la défaillance d’un
seul élément peut rendre inutilisable l’ensemble de ce matériel pour une tâche spécifique
ou au mieux baisser considérablement leur rendement.
Exemple : défaillance d’un bull en absence de terre gerbée pendant les travaux de remblais.
L’ensemble du matériel doit donc être considéré comme une entité et le chef de chantier
comme un chef de famille veillera sur l’utilisation harmonieuse et optimale de tous les
engins.
4-2 : Les moyens de gestion
Autant le chef de chantier avait besoin de document pour la gestion du personnel, il aura
autant plus besoin de documents conçus pour lui fournir les informations nécessaires à la
gestion rationnelle du matériel.
Ces documents dont la tenue est assurée par les conducteurs, le magasinier et les agents de
maintenance sous la supervision du chef de chantier peuvent se résumer comme suit :
Le carnet de bord :
C’est un carnet individuel affecté à chaque véhicule ou engin et précisant
quotidiennement :
- la variation des compteurs ( kilométriques ou horaires ),
- la nature de la course ( voyage, travaux de chantier ),
- la quantité de carburant servi, etc.…
- Il permet entre autres buts de vérifier « l’emploi du temps » du véhicule au jour
le jour.
La fiche d’entretien ou de maintenance :
Elle précise par engin les contrôles et les opérations à effectuer sur l’engin par le service
de la maintenance.
Cette fiche est remplie par un opérateur et visée par le responsable de la section
maintenance,
Elle permet à un service de maintenance assez structuré de s’assurer que tous les engins
ont été entretenus et que toutes les opérations nécessaires ont été effectuées.
La fiche de réparation :
Elle représente la fiche médicale d’un matériel donné.
41
Elle consigne les pannes survenues sur un matériel donné en précisant :
- la nature de la panne
- les dates de pannes et de réparation
- l’identité du matériel
Cette fiche sera utilisée par les équipes de réparation lors de leurs interventions sur
l’engin.
La fiche de consommation de pièces de rechanges :
Elle consigne pour un matériel donné la situation des pièces de rechanges consommées,
Elle mentionne les dates de remplacement ainsi que les coûts,
Elle permet d’avoir le coût des opérations et la fréquence d’usure des pièces,
Elle donne des informations utiles au service de comptabilité analytique.
Le carnet ou feuille d’utilisation du matériel :
Il permet de ressortir le taux d’utilisation mensuelle de chaque engin,
Il précise pour l’ensemble du matériel motorisé ( engin, motopompe, etc.…) la situation
ou l’utilisation au jour le jour du matériel,
Il précise par jour :
- s’il a travaillé
- s’il est immobilisé
- s’il est en panne
Les informations enregistrées permettent de réaliser si le matériel est utilisé de façon
optimale pour équilibrer les aspects de rendement et amortissement.
Le cahier de suivi du petit matériel :
C’est un cahier tenu quotidiennement par le magasinier pour suivre les mouvements du
petit matériel ( pelles, pioches, brouettes, etc.…) à chaque fois que de besoin,
Il permet à la fin de chaque journée ou chaque intervention de savoir si tout le matériel
sorti est rentré.
Une fiche mensuelle listant tout le matériel permet d’avoir l’état du petit matériel du
chantier ( quantité totale, quantité usagée,…)
Ces documents dont la liste n’est pas exhaustive doivent être bien tenus et judicieusement
exploités pour permettre un bon suivi et une longue vie du matériel au sein de l’entreprise.
4-3 : Quelques conseils pratiques
Tout engin en immobilisation sur le chantier doit avoir des raisons sérieuses d’être hors
service ( prise en compte des aspects économiques ),
Tout engin en fonctionnement doit être directement ou indirectement productif, tout
mouvement et toute action sur le chantier doit être rentabilisée ;
Éviter de garder sur le chantier du matériel en location dont on pourra s’en passer ;
L’entretien et la maintenance du matériel sont essentiels et le chef de chantier veillera à
disposer d’une équipe de maintenance à la hauteur de son matériel ;
Les pannes intempestives du matériel sont l’ennemi n°1 du chef de chantier, à cause de la
désorganisation que cela peut entraîner ;
42
Lecarnetdumatériel
Enregistrertouteinterventionsurlematériel
*CARBURANTS/LUBRIFIANTS
relevéducompteuretcoût
*PNEUMATIQUES
-relevéducompteur
-coûtetmain-d’oeuvre
*ENTRETIENPERIODIQUE
-(relevéducompteur)
-entretienréalisé
-coûtpièces/autres
-mains-d’oeuvre
*REPARATIONS
-(relevéducompteur)
-pannereparée
-coûtpièces/autres
-mains-d’oeuvre
FICHE D'ENTRETIEN
Période…………………………….
Type: …………………. Immatriculation:……………...
Chauffeur:……………………….
VIDANGE
Date:…/…/…. à…………. Compteur(km):………..
Prixlubrifiant:……. CoûtM.O. :.……. Total :……...
ENTRETIEN:Type…………………………………………..
Date:…./…/... à…………Compteur(Km):…………..
Prixpièces:……….. CoûtM.O. :……. Total :………..
PNEUMATIQUE
Date:…./…/... à…………Compteur(Km):…………..
NbePneu:….. P.U. :…. CoûtM.O. :……Total :……
Le chef de chantier veillera particulièrement à ce que l’entretien systématique du matériel
soit assuré ; il précisera des horaires appropriés de manière à ce que cette tâche ne
perturbe pas le bon déroulement des travaux et ne fasse pas perdre du temps.
Exemple : A la descente pour permettre un bon démarrage matériel : le matériel est le nerf du
chantier.
43
44
FICHE ANALYTIQUE D’EXPLOITATION ANNUELLE
Type de Machine : Marque :
N° d’immatriculation :
Valeur d’acquisition : Valeur actuelle de renouvellement :
Année prévisionnelle de remplacement : Valeur d’amortissement :
Tarif de location :
Utilisation Coût Direct
Mois Activité Km ou
heures
Amortiss
ement
Consom
mation
Entretien Réparation Main
d’œuvre
Coût
direct
Frais
généraux
Coût
total
général
Janvier
Février
Mars
Avril
Mai
Juin
Juillet
Aout
Septembre
Octobre
Novembre
Décembre
Total
Observations :………………………………………………………………………………………………………
………………………………………………………………………………………………………………………
……………………………………………………………………………………………………………………….
Maintenancedumatériel
ASSURERASSURER
•L’entretienjournalier
•L’entretienpériodique
•
Maintenirenbonétatd’utilisationlematérielMaintenirenbonétatd’utilisationlematériel
GarantirsonbonfocntionnementGarantirsonbonfocntionnement
Ex:graissage,nettoyage,appoint
d’eauoud’huile
Effectuéparlechefdechantier
ouleconducteurdel’engin.
Fraisaffectéaufraisdechantier
Ex:vidange,filtreàhuile,
pneu,réparation
Engénéraleonconsidèreun
pourcentagedelavaleur
d’achat(entre6et40%paran)
Anepasnégliger
(L’entretienpréventif)
45
L’entretienpériodiqueparlapratique
n°de
semaine
Enrouge:Enrouge:
entretientousles3moisentretientousles3mois
Enorange:Enorange:
entretientouslesmoisentretientouslesmois
Enbleu:Enbleu:
entretientousles6moisentretientousles6mois
EnjauneEnjaune
entretienhebdomadaireentretienhebdomadaire
Enbleufoncé:Enbleufoncé:
entretienannuel(grosentretien)entretienannuel(grosentretien)
Find’année
Début
d’année
Chaqueficheduprésenttableaureprésenteuneopérationd’entretiensurunengin
Unenginpeutavoirplusieursfichessurcetableau
46
4-4 : LE MATERIEL DE GENIE CIVIL
Généralités sur les différents types d’engins et matériels de chantiers
Le matériel est devenu le moyen principal d’entretien et de construction des ouvrages
et des routes, non plus l’auxiliaire du travail manuel. La mécanisation des travaux a
commencé au début du 19ème
siècle avec l’apparition du moteur à vapeur, suivi de celle du
moteur diesel. Cette motorisation a permis la réalisation des grands travaux et engendré la
production de matériels de plus en plus performants. Ce fût d’abord les pelles sur chenilles,
puis vers 1904 les premiers tracteurs sur chenilles à moteur Diesel. Aujourd’hui la puissance
des engins approche et dépasse même pour quelques machines les 2 000 CV.
Tout matériel de terrassement, a pour base, un châssis articulé ou rigide sur lequel sont
montés les différents organes qui leur permettent de se déplacer ou de travailler grâce aux
équipements qui sont spécifiques à chaque type d’engins.
Quel que soit le type d’engin, la constitution de la machine est réalisée suivant des
techniques de base d’une chaîne cinématique du véhicule automobile. La seule différence
relève le plus souvent du mode de déplacement sur le sol : sur roues ou sur chenilles.
Toutefois, on retrouve la même chaîne cinématique comprenant presque les mêmes organes :
- moteur diesel,
- transmission : mécanique ou hydrodynamique,
- commandes finales,
- direction et freinage,
- équipements de travail commandés soit par câble ou hydrauliquement.
moteur diesel
Le moteur diesel s’est imposé aux autres systèmes de transformation d’énergie
thermique en énergie mécanique pour plusieurs raisons : puissance, coût du carburant utilisé
moins élevé, rendement thermique meilleur, etc.
D’autre part, le moteur diesel à cycle 4 temps refroidi par eau s’adapte mieux
au climat des zones tropicales.
transmission
La transmission de la puissance du moteur jusqu’aux roues ou aux chenilles
passe par un certain nombre d’organes qui constituent la transmission. Actuellement, trois
grands systèmes de transmission sont utilisés :
- transmission mécanique classique avec embrayage et boîte de vitesses
- transmission hydro cinétique avec convertisseur de couple et boîte power-schift
- transmission hydrostatique avec pompe et moteur hydraulique. pour une machine
sur chenilles, la puissance est transmise aux deux barbotins latéraux qui entraînent
les chenilles par un couple et deux réducteurs latéraux appelés commandes finales.
47
direction
Le système de direction qui équipe les engins est hydraulique ou assuré par débrayage.
équipements
Chaque catégorie d’engin est livrée avec des équipements standards ou en option. Les
principaux équipements de travail sont :
- godets
- lames
- rippers
- scarificateurs
- grues
- bennes
- treuils
- fourches
- potences, etc….
Tous ces équipements sont commandés soit par câbles ou hydrauliquement.
caractéristiques de base d’un engin de génie civil
Les caractéristiques de base servant à déterminer les performances d’un engin mobile
de chantier sont:
- la puissance
- le poids : à vide, charge utile, poids total à charge (P T C ), répartition sur les essieux
- capacité de l’engin en volume
- la vitesse de déplacement :
la vitesse maximum de déplacement d’un élément moteur monté sur des chaînes de
roulement est de l’ordre de 11 km par heure ;
la vitesse maximum de déplacement d’un élément moteur monté sur pneumatiques
dépend de son utilisation opérationnelle :elle est de l’ordre de 30 km/h pour un tracteur
réfouleur , et de 40 km / h pour un scraper automoteur ou un tombereau de chantier.
- les dimensions des équipements : bulldozer, godet, ripper, benne, etc...
- la relation poids / puissance. Les engins de génie civil sont définis et classés suivant
ce rapport qui permet de déterminer les performances et les possibilités
d’accélération. Il existe un rapport idéal pour chaque type de matériel.
Un rapport trop faible pour un tracteur par exemple se traduira par du gaspillage du
carburant et un patinage des chaînes; un rapport trop élevé dans le cas d’un camion par
exemple, signifie que les accélérations seront mauvaises. Il se calcule en divisant le poids en
ordre de marche par la puissance au volant.
Exemple : CAT D3 : 11304 kg : 105 CV = 107,65 / 1, ce qui signifie que la machine
dispose d’une puissance d’un cheval par 107,65kg de poids en ordre de marche.
48
4-4-1 : Fiches techniques de quelques matériels
4-4-1-a : Le Bulldozer ou Bouteur
Description et fonctionnement
Le bulldozer est un engin d’excavation et de refoulement qui se compose d’un tracteur
sur chenilles ou sur pneus, muni à l’avant d’une lame horizontale perpendiculaire à l’axe
longitudinal du tracteur ( sens de la marche ). La lame est fixée au châssis par deux forts
longerons autorisant un mouvement de montée et de descente commandé par vérins
hydrauliques :
-l’angle d’attaque de la lame est réglée par un vérin d’inclinaison;
-le levage de la lame est assuré par deux vérins fixés au châssis à l’avant du tracteur;
La lame peut avoir différentes formes selon les travaux : droite, concave, en U, ...
Le bulldozer est un engin très puissant. C’est aussi un engin de transport médiocre du fait des
pertes latérales de matériaux.
Selon les déplacements de la lame, on a un bulldozer, un angledozer, un tiltdozer ou un
tipdozer :
* Bulldozer: la lame est perpendiculaire à l’axe longitudinal de l’engin;
* Angledozer: la lame est inclinée dans le plan horizontal par rapport à l’axe
longitudinal du tracteur ( la lame est orientée obliquement à l’axe de la marche ); la terre est
alors repoussée sur un seul côté.
*Tiltdozer: la lame est inclinée dans le plan vertical par rapport à l’axe longitudinal de
l’engin; pratique pour le travail à flanc de coteau, sur les fossés en V.
* Tipdozer: la lame peut pivoter autour de son axe horizontal pour faire varier l’angle
de coupe;
On peut avoir les fonctions de bulldozer, angledozer, tiltdozer et tipdozer sur un même
engin à l’aide d’un équipement hydraulique.
Utilisation
Le bulldozer permet les travaux:
- de transport jusqu’à 50 m
- de défrichage, déboisement, dessouchage
- de refoulement de terre, de roches désagrégées
- d’exécution d’un profil
- de construction de remblai sur plaine et creusement de fossé
- d’excavation en ligne droite, d’étalement en couches et de compactage superficiel, de
remblayage;
- de mise au tas
- de remorquage de force
49
a- les services d’entretien routier utilisent les bouteurs essentiellement au débroussaillement et
au décapage des emprunts ainsi qu’au foisonnement des matériaux;
b- le modèle angledoser est recommandé pour le foisonnement des emprunts;
c- le tiltdoser facilite la découverte des emprunts.
Performances
Les performances du bulldozer dépendent de celles du tracteur.
-volume refoulé par passe: 1 à 3 mètres cubes
-largeur de la lame: 2,30 à 4,50 m
N.B. Il existe d’autres types de bulldozers ( spécialisés ):
- le clearing dozer: destiné au débroussaillement et au déboisement; sa lame est spécialement
lourde, munie de dents amovibles;
- le threecutter: prévu pour le débroussaillement léger; il enlève les broussailles et les rejette
sur les côtés;
- le stumper: genre de pic court et trapu monté comme un bulldozer à l’avant et très près du
tracteur; il sert essentiellement au déracinement des arbres et des souches;
- le bull claim shovel: utilisé pour la manipulation et l’enterrement des ordures ménagères et
des déchets. C’est un bulldozer normal, sur la lame duquel vient se rabattre un tablier dont la
commande est effectuée par vérins hydrauliques. Les matériaux refoulés par la lame sont
accumulés en quantité suffisante et sont maintenus dans cette position par le tablier abaissé.
On relève ensuite l’ensemble lame-tablier avec son contenu. Le tracteur se rend au point de
déversement et libère sa charge à la fosse.
- le pushdozer: bulldozer ou angledozer dont la lame a été remplacée par un tampon galbé.
C’est un tracteur destiné à pousser d’autres engins, des scrapers notamment.
Un bulldozer à chenilles peut opérer efficacement sur une distance n’excédant pas 100 m.
Monté sur pneus,cet engin est efficace sur 150 à 200 m.
Equipement annexe: ripper porté arrière, commandé hydrauliquement, 1 à 3 dents, embouts
interchangeables. Le ripper est utilisé pour le défonçage et le décapage des cuirasses.
Caractéristiques des bouteurs
a ) bouteur 120 H.P.; lame universelle; équipé de vérin d’inclinaison,de lame et ripper
3 dents; capacité de la lame = 3 m3; rendement horaire au gerbage sur distance de
refoulement de 60 m =100 m3
b ) bouteur 155 H.P.; lame universelle; équipé de vérin d’inclinaison,de lame et ripper
3 dents; capacité de la lame = 3 m3; rendement horaire au gerbage sur distance de
refoulement de 60 m =170 m3
c ) bouteur 165 HP;lame universelle;équipé de vérin d’inclinaison,de lame et ripper 3
dents; capacité de la lame = 4 m3; rendement horaire au gerbage sur distan-
ce de refoulement de 60 m =250 m3
50
d ) bouteur 335 HP; lame universelle; équipé de vérin d’inclinaison, de lame et
ripper 1 ou 3 dents; capacité de la lame = 13,8 m3;rendement horaire au gerbage sur
distance de refoulement de 60 m =500 m3.
quelques modèles de bulldozers
- modèle D4 :puissance de 48 CV environ
- modèle D6 :puissance de 75 CV environ
- modèle D7 :puissance de 90 CV environ
- modèle D8 :puissance de 140 CV environ
4-4-1-b : La chargeuse
Description et fonctionnement
C’est un engin qui est sur pneus ou sur chenilles. Les chargeuses à chenilles sont
utilisées sur des terrains ou les conditions du sol sont très mauvaises. Les chargeuses sur
pneus sont employées de plus en plus à cause de leur grande mobilité ( rapidité de manoeuvre,
plus grande facilité de déplacement ).
La chargeuse se compose d’un tracteur équipé d’un godet ou benne relevable au
moyen de deux bras latéraux articulés. Le godet est basculante. La commande du levage et du
basculement du godet est hydraulique.
La chargeuse est l’engin de chargement le plus couramment utilisé
Exemples de types de chargeuses:
- chargeuse sur pneus:
. chargeur de 105 H.P., godet de 1,5 m3, hauteur de déversement > 2,4 m
. chargeur de 125 H.P.; godet de 2,0 m3; hauteur de déversement > 2,6 m
- chargeuse à chaînes:
. chargeur de 110 H.P.; godet de 1,5 m3; hauteur de déversement > 2,8 m
Les chargeuses font la même fonction que les pelles mécaniques.
Utilisation
La chargeuse est utilisée pour:
- le chargement de tous matériaux
- l’excavation en plat de matériaux meubles ou désagrégés
- l’excavation en butte de matériaux tendres
- l’épandage et le nivellement de matériaux routiers
Performances
- puissance: de 60 à 800 CV
- hauteur d’élévation du godet: jusqu’à 5m
- capacité du godet: 3 à 7 m3; varie suivant la densité du matériau à charger.
51
La capacité du godet doit être adaptée à celle du camion. Si elle est trop faible, les
temps morts diminuent le rendement. Si elle est trop importante, la suspension du camion
souffre exagérément au chargement. Une règle couramment admise veut que le chargement
s’effectue avec le contenu de 3 à 5 godets.
Chaque engin peut être équipé de godets adaptés à des matériaux de différentes
natures. Les godets doivent être pourvus de dents que l’on remplace lorsqu’elles sont usées.
Remarques:
Les chargeuses-pelleteuses;
Certains constructeurs fabriquent des chargeuses munies à l’arrière de
petites pelles rétro. Ce sont des Backhoe-loaders.Engins de chargement
polyvalents, ils sont particulièrement bien adaptés aux travaux d’assainissement,
d’aménagements hydro-agricoles et d’entretien d’oZuvrages hydrauliques.
chargeuse-pelleteuse de 75 H.P.; godet chargeur de 750 litres;
godet pelle rétro de 250 litres.
4-4-1-c : La niveleuse ou grader
Description et fonctionnement
La niveleuse est un engin utilisé pour les terrassements légers. Elle est soit tractée, et on
l’appelle GRADER? soit automotrice, et on l’appelle MOTORGRADER. Cette dernière est
beaucoup plus utilisée. La niveleuse comporte un châssis sur 4 à 6 roues à pneus au centre
duquel est fixée une lame mobile. Cette lame peut prendre les positions les plus diverses:
- par pivotement dans le plan horizontal, en formant un angle de 0 à 180 °c, de chaque
côté de l’axe longitudinal du châssis.
- par pivotement dans le plan vertical,ou elle peut être fixée à n’importe quelle
inclinaison, jusqu’à la perpendiculaire au sol ( 90 ° ), sur le côté de l’engin.
- elle peut être descendue ou relevée.
- elle peut être déplacée latéralement.
- elle peut être inclinée pour faire varier l’angle d’attaque.
Pour les petits engins, la lame est généralement commandée à la main, par
l’intermédiaire de volants. Pour les modèles plus lourds, les opérations sont commandées par
des manettes ( vérins ). La niveleuse peut avoir des équipements auxiliaires:
- on peut mettre en arrière un système à dents ( Rippers ) ou un rouleau compacteur pour
damer le terrain.
- on peut également placer en avant une lame frontale ou un scarificateur.
52
Utilisation
La niveleuse est un engin souple et polyvalent. Toutefois, elle ne peut faire des travaux
aussi rudes que le bulldozer. Appelé aussi profileur, c’est l’engin de base pour les travaux
d’entretien des routes. La niveleuse convient très bien aux travaux de précision. Elle permet
d’exécuter:
- le nivellement ou profilage ( environ 4,5 km / heure ): applanissement, épandage des
matériaux, réglage final;
- le creusement de fossé en V ( environ 2,5 km / heure )
- l’entretien des routes et des pistes ( reprofilage, rechargement, ...)
- le déplacement de la terre ( environ 3,2 km / heure ): étalage, planage, ...
- le debroussaillage
- le talutage
- le creusement de canal à fond plat , à profil triangulaire : construction de petits canaux
d’irrigation secondaires en plaine;
- le nettoyage des accotements
- scarification de matériaux;
- le curage des fossés de routes
- malaxage et mise en place des matériaux:
- le remblayage;
Performances
- puissance : 50 à plus de 200 CV
- capacité du réservoir : 200 à 370 litres
- vitesse de déplacement : 0 à 35 km / heure
- longueur de la lame : 3 à 4,20 mètre;la plus courante est de l’ordre de 3,60 à 3,80 m ; la
durée de la lame est de 200 à 400 heures
- poids total : 6 à 13 tonnes
10-1-d : Le compacteur
Description et fonctionnement
Le compacteur est un engin lourd qui tasse la terre sous lui grâce à un ou plusieurs
rouleaux en fonte ou plusieurs lignes de pneumatiques. Ce tassement donne au sol une plus
grande compacité. Le compactage permet de réduire au minimum tout mouvement ultérieur
de la surface ( tassement ou gonflement ), et d’obtenir une résistance plus élevée pour les
fondations.
Le compactage peut se faire par vibration ou par roulage.
Les engins de compactage sont classés en trois catégories en fonction du mode de
transmission de l’énergie de compactage :
- les engins statiques
- les engins vibrants
- les engins à choc.
53
les engins statiques
Ce sont des engins qui agissent par leur propre poids pour compacter. Ils sont
soit tractés, soit automoteurs.
a) les rouleaux à cylindres lisses
Ils sont toujours très employés. Les bandages en acier sont disposés en tricycle, avec
recouvrement d’une voie sur l’autre d’environ 10 cm. Ces rouleaux qui sont tractés ont de la
peine à monter sur un remblai de quelque hauteur. Leur effet de tassement s’exerce de haut en
bas. Les cylindres rigides présentent le désavantage de provoquer un bourrelet mouvant
devant eux, lorsque le soubassement n’est pas rigide. Ils ont tendance à accentuer les
ondulations de la surface remblayée.
b) les rouleaux à pieds de mouton
Ces appareils dameurs sont constitués par un ou plusieurs cylindres compresseurs
montés à l’intérieur d’un cadre commun ou de plusieurs cadres attelés les uns aux autres.
L’attelage est remorqué par un tracteur à chenilles. Les rouleaux sont vides, mais peuvent être
remplis d’eau ou de sable pour augmenter le poids. La périphérie des cylindres est munie de
pilons ou fouloirs de 18 à 23 cm de longueur, disposés en quinconce . L’appellation « pieds
de mouton » provient de la similitude de l’effet des pilons avec celui du piétinement du sol
par de nombreux moutons.
Les pieds de mouton s’exercent de bas en haut, donc par compression ascendante. Les
pilons du cylindre dameur commencent par comprimer la couche qui se trouve à 20 ou 25 cm
au-dessus de la surface du sol. La compression s’opère jusqu’à ce que cette couche ait atteint
une dureté suffisante pour résister à la compression des pilons. La compression des couches
supérieures s’appuie alors sur une couche solide.
S’ils assurent un très bon compactage en profondeur, les pieds de mouton sont
inutilisables pour le compactage superficiel. On peut cependant utiliser un système de pieds
de mouton amovibles.
c) Les rouleaux à pneus
Le compactage est assuré par des rangées de pneus. Ils sont soit tractés, soit
automoteurs. La pression exercée par un compacteur à pneus sur le sol dépend de la pression
de gonflage des pneus et du poids de l’ensemble. Tous les tracteurs à pneus sont lestables, soit
avec des dalles, soit avec des coffres à lest.
Contrairement aux pieds de mouton, les derniers centimètres de la couche supérieure
sont bien compactés avec les rouleaux à pneus.
Les roues avant sont décalées par rapport aux roues arrières afin que
leurs traces réciproques soient intercalées. La vitesse d’opération est de 16 à 24 km / h.
Les rouleaux à pneus sont efficaces sur terrain sableux et argileux.
54
Les engins vibrants
Pour améliorer le compactage des remblais, on a imaginé de faire vibrer les rouleaux
(ce qui augmente la densité apparente du sol ). A côté du moteur de l’engin, il y a un petit
moteur à balourd qui provoque la vibration. La fréquence de vibration est assez grande ( 22 à
60 Hz ). Ils sont souvent automoteurs à tandem.
Ils conviennent pour les matériaux sableux et argileux. Avec les engins de vibration,
on ne doit pas trop insister sur l’opération, sinon on détruit le compactage.
Il y a aussi les petits engins vibrants manuels.
Les engins à choc
Le damage du remblais peut se faire à la grenouille. La grenouille est une sorte de
tronc de cône à l’intérieur duquel se meut un piston actionné par l’explosion commandée
d’un mélange carburé ( essence ). La machine saute à la manière d’une grenouille quand
l’opérateur appuie sur la manette. L’engin est dirigé à l’aide d’un cadre levier articulé.
- la machine standard pèse environ 500 kg
- sa hauteur est d’environ 1 m
- son diamètre à la base est d’environ 0,65 m
- elle saute à 30 cm de haut et avance de 13 cm par bond
- elle peut faire 50 sauts à la minute et damer plus de 200 m2 à l’heure
- on peut compacter des épaisseurs de 30 à 75 cm de sol
Utilisation
L’utilisation du compacteur dépendra des résultats donnés par l’essai Proctor du
terrain. Le compactage sera fait par couches et chaque couche sera avant compactage soit
humidifiée, soit exposée à l’air suivant la teneur en eau. Les terres seront régalées au
bulldozer ou à la niveleuse, sur une épaisseur variant suivant le type de compacteur dont on
dispose.
- pieds de mouton: e = 25 cm en 15 passes
- rouleaux à pneus 15 T : e = 10 cm en 6 passes
- rouleaux à pneus 50 T e = 30 cm en 6 passes
- rouleaux à pneus 50 T e = 50 cm en 10 passes
On a souvent intérêt à augmenter plutôt le nombre de passes que le calibre de l’engin.
Le type de compacteur sera choisi également en fonction de la granulométrie du sol :
- cylindres vibrants: sols granulaires ou rocheux
- pieds de mouton : sols plastiques un peu pauvres en eau, argile, revêtements
de chaussée
- pneus : argile, revêtements de chaussée
- cylindres lisses : tous terrains, surtout graviers et concassés, sauf sols sableux ou
terreux.
55
Performances
Les rouleaux vibrants ont une largeur de travail variant généralement de 1 m à 3m, et
le poids de 3 tonnes à 20 tonnes.
Les compacteurs à pneus ont une largeur de travail variant de 1,70 m à 3 m, et le poids
opérationnel de 15 à 35 tonnes.
4-4-1-e : La pelle hydraulique
Description et fonctionnement
La pelle est un engin de terrassement qui travaille en station. Elle est aussi appelée
pelle mécanique, ou excavateur pour chargement stationnaire.
Elle est soit:
- portée (sur camion, wagon,... )
- automotrice sur chenilles, pneus ou rail
- à poste fixe sur socle
On peut adapter plusieurs équipements sur une pelle: crochet, marteau-piqueur, grue,...
C’est pourquoi on dit qu’elle est l’engin universel de terrassement. La pelle se compose d’un
châssis ( qui peut être automoteur sur chenilles ou sur pneus ). Sur ce châssis est monté un
bras articulé, actionné par des vérins, à l’extrémité duquel peuvent être fixés différents types
d’équipements pour le terrassement. La pelle ne sert pas à transporter le matériau excavé. On
utilise, autant que possible, du matériel sur pneus, car plus rapide et plus maniable.
Les pelles sont montées en « tout hydraulique », c’est-à-dire que les mouvements de la
pelle ( articulations de bras, rotation, déplacement de l’ensemble ) sont commandés soit par
des vérins, soit par des moteurs hydrauliques. C’est pourquoi on les appelle aussi pelles
hydrauliques.
Utilisation
La pelle est prévue pour plusieurs types de travaux:
- en butte
- en rétro
- en dragline
- en benne preneuse
- avec équipements divers
la pelle en butte
La pelle est dite en butte lorsque son godet est disposé l’ouverture vers le haut. Dans
ce cas, la pelle travaille en dessus ( chargement du bas vers le haut ). La pelle en butte permet:
- l’excavation des parois verticales
- la mise au tas et le chargement sur un moyen de transport
- le nivellement et le décapage
- l’excavation de fondations
56
- l’excavation de tranchées peu profondes
- le travail en déblai
La pelle en rétro ( ou retrocaveuse, ou pelle en fouille )
La pelle est dite en rétro lorsque son godet est disposé l’ouverture vers le bas. La pelle
est retournée vers la cabine, et le chargement se fait en poussant la pelle vers le bas ( vers la
cabine ).C’est un équipement réservé aux pelles de faible et moyenne capacité.
L’équipement rétro permet:
- l’extraction de matériau au-dessous de l’aire d’assise de la pelle, le travail
pouvant s’effectuer sous l’eau,
- le creusement de tranchée étroite
- le creusement de canal ( assainissement, irrigation )
- le curage de fossé
- l’excavation de fondations
- le travail de démolition
- le chargement sur moyen de transport
Il est possible de monter différents types de godets rétro:
. godet classique pour tranchée
. godet large pour curage
. godet trapézoïdal pour creusement de canaux.
La pelle hydraulique rétro est donc très utilisée pour les travaux d’A.E.P.,
d’assainissement, de barrages ou d’aménagements hydroagricoles.
la pelle en dragline ( ou pelle excavatrice à benne traînante )
Elle est utilisée dans les zones inaccessibles. On lance le godet à l’aide d’un câble ( à
près de 8à m ). L’équipement dragline permet:
- l’extraction de matériau au-dessous de l’aire d’assise de la pelle, qu’il à sec ou sous
l’eau.
- le profilage et le nettoyage de fossés et de tranchées larges.
- l’édification de talus et de digues.
- la formation de stock au sol.
- le chargement sur matériel de transport.
La pelle en dragline convient spécialement à l’extraction dans les carrières à ballastes,
gravier, sable. Mais elle ne peut extraire que les matériaux meubles, terres, sables ou roches
désagrégées.
la pelle en benne preneuse
La benne preneuse est constituée de deux coquilles, en général cylindriques, qui
peuvent tourner autour de l’axe transversal. Des tirants, actionnés par un vérin, commandent
l’ouverture et la fermeture de la benne. L’équipement en benne preneuse permet:
- la manutention de matériaux: chargements, déchargements, stockage,...
- le creusement de puits, de fondations de pieux, de piles de ponts,...
- le creusement de tranchées, de fossés larges ou étroits.
- les fouilles et extractions à sec ou sous l’eau.
57
autres équipements des pelles en dragline et en benne preneuse:
- équipement en grue
- équipement drop-ball ou masse tombante
- équipement sonnette
Performances
- poids : 10 à 15 T
- longueur de flèche maxima : 8 m
- capacité ( c ) et largeur ( l ) maximum du godet:
. godet rétro classique: C=300 à 600 L; L=1 m
. godet curage C=300 à 800 L; L=1’70 m
La capacité de godet est comprise entre 150 et 1500 litres.
. puissance: 60 à 140 H.P.
- pelle de 70 H.P.; godet de 700 L
- pelle de 125 H.P.; godet de 1200 L
On prévoira des engins de transport du déblai créé, d’une capacité allant de 3 à 6 fois
celle de la pelle.
4-4-1-f : Le scraper
Description et fonctionnement
Le scraper est un engin remorqué ( par un tracteur ) et se compose d’une benne sur
pneus munie à sa partie inférieure d’une lame racleuse dans le sens de la marche. C’est la
profondeur à laquelle on descend la lame qui détermine l’épaisseur de la coupe. L’épaisseur
de la couche enlevée peut être maintenue constante. La lame peut donc se lever et se baisser.
Le scraper est muni d’un tablier oscillant pour l’obturation de la benne, et d’un
éjecteur mobile ou oscillant pour le vidage de la benne. Certains scrapers sont munis
d’élévateur, ce qui facilite le remplissage de la benne. C’est l’avancement de la machine qui
fait monter la terre dans la benne.
Le déversement est opéré sans qu’on arrête le tracteur, ce qui représente un gain de
temps appréciable. Le scraper peut être automoteur; il prend alors le nom de motorscraper.
Les commandes sont généralement par câbles pour les scrapers tractés. Elles sont par câbles,
par vérins hydrauliques ou par moteur électrique pour les motorscrapers.
Utilisation
Le scraper est un engin qui sert à l’extraction de la terre, à son chargement et à son
déversement. Avec cet engin, on peut faire le travail du bulldozer, du chargeur, du camion de
transporteur. Les limites d’emploi des scrapers sont les suivantes:
- scraper à chenilles: 30 à 300 m
58
- scraper à pneus: 300 à 2000 m
Performances
- puissance: peut dépasser 300 CV
.scraper de 330 H.P.: capacité de benne = 15 m3
. scraper élévateur de 250 H.P.: capacité de benne = 12 m3
- volume des bacs: 5 à 40 m3 ( 5 à 20 m3 pour scraper tracté; 5 à 40 m3 pour
motorscraper )
- vitesse maximale: environ 60 km / h
- largeur de coupe: environ 3 m
Les scrapers peuvent transporter jusqu’à 2000 m3 de terre par jour.
- pour un tracteur à chenilles: 0,5 m3 / cheval / h pour une distance de 300 m.
- pour un tracteur à pneus: 0,3 m3 / cheval / h pour une distance de 900 m.
4-4-1-g : Les engins de transport
Au titre des engins de transport, on étudiera tour à tour:
- la brouette
- le dumper
- le camion benne
La brouette
a) description et fonctionnement
C’est un engin de transport en bois ou métallique, avec pneumatiques. La brouette est
intéressante si les distances ne sont pas trop grandes et si la main-d’oeuvre n’est pas coûteuse.
b) performances
- limite d’utilisation : 30 m
- capacité d’une brouette : 50 à 85 litres
- vitesse : 2 à 3 km / h
- rendement horaire : 0,06 à 0,12 T / km
Le dumper
a) description et fonctionnement
Le dumper est un camion à benne basculante et à faible rayon de braquage. Le poste de
conduite est pivotable.
b) Utilisation
Les dumpers sont précieux dans les tranchées étroites et les souterrains. C’est un excellent
grimpeur de côtes.
c) performances
- capacité: 1 à 20 m3
- vitesse : 0 à 25 km / h
- rayon d’action: quelques km
- rendement horaire : 1OO T / km pour 5 m3
59
Le camion benne
a) description et fonctionnement
Le camion benne est à 4 ou 6 roues motrices. Le vidange de la benne se fait en général
par basculement arrière ou latéral, à l’aide de vérins hydrauliques. La benne est métallique. Le
déversement s’effectue le plus souvent par l’arrière, avec l’inconvénient de donner des tas de
matériaux difficiles à régaler. Cependant, un chauffeur adroit peut avancer lentement pendant
le vidange pour faciliter le régalage des matériaux. On peut trouver en variante le camion à
benne amovible dit « multibenne »: la benne est constituée par une caisse qui peut être
enlevée et remontée sur le châssis à l’aide de deux bras pivotant hydrauliquement. Le même
camion apporte une benne vide qui est laissée pour chargement, et remporte une benne pleine.
Ce procédé présente l’avantage de ne pas immobiliser le véhicule pendant le chargement.
La multibenne est beaucoup utilisée pour le ramassage des ordures.
b) utilisation
Les camions bennes sont utilisées pour le transport de déblais, de sable, de pierres
cassées. Le camion benne a l’avantage de la capacité et de la vitesse. Il s’accommode de
rampes atteignant 10 à 12 %.
c) performances
- capacité de la benne : 0,8 à 25 m3 ( généralement de 5 à 7 m3 )
- puissance: 25 à 400 CV ( généralement de 150 à 230 CV )
- vitesse maximale : 70 km / h
- en charge :
. 1/3 de la charge sur essieu AV
. 2/3 de la charge sur essieu AR
N.B. Des petits tombereaux peuvent être utilisés pour les travaux d’ouvrages d’art. IL s’agit
de bennes susceptibles de basculer autour d’un axe excentré, de telle sorte que le
déchargement s’effectue sans l’aide de vérins. Ils ne sont pas adaptés aux déplacements à
grande distance.
4-4-1-h : Autres matériels de chantiers de construction
Dans ce chapitre, il sera essentiellement question de la grue et de la bétonnière.
La grue
On distingue deux types de grue:
- la grue sur porteur, dérivée de la pelle
- la grue à tour, en général fixe
60
description et fonctionnement
a) la grue sur porteur
Elle se compose d’un chassais porteur, d’une plate-forme tournante reliée au châssis
par une couronne d’orientation, et d’un équipement en grue.
- le châssis porteur est en profilé soudé. Il est automoteur, monté sur chenilles ou sur pneus.
- la couronne d’orientation, roue dentée sur laquelle tourne la plate-forme, encaisse les efforts
dus à la charge, même en cours de rotation.
- la plate-forme tournante reçoit l’ensemble des organes moteurs et des commandes.
- l’équipement en grue peut être fixe ou mobile.
b) la grue à tour
Une grue à tour se compose d’un socle lesté, qui supporte une tour métallique en
treillis à tubes ou à cornières. A la partie supérieure de la tour, une flèche métallique solidaire
de la tour forme un chemin de roulement horizontal sur lequel peut se déplacer un chariot. Le
levage de la charge se fait à partir de ce chariot mobile. Un contrepoids équilibre le poids de
la flèche et de la charge. Le socle lesté de dalles de béton peut être soit fixe, soit roulant sur
galets ou sur portiques.
- la tour comprend deux parties:
. la base solidaire du socle, que l’on monte par coulissement central ou télescopage.
Les rallonges de fût sont composées de quatre panneaux démontables. Un vérin assure la
montée de l’ensemble.
. Une partie tournante solidaire de la flèche et dans laquelle sont installés les organes
de commande et d’entraînement: cabine, treuil.
Une couronne à galets assure le lien entre les deux parties de la tour. Elle est entraînée
par un moteur électrique à démarrage et arrêt très progressif.
- la flèche est constituée d’éléments standards que l’on assemble par boulons et broches.
- le chariot est tracté par un câble s’enroulant sur le tambour d’un treuil placé en pied de
flèche.
Remarques:
1- Tous les entraînements se font avec des moteurs électriques. Il faut donc prévoir en même
temps que la grue une source d’énergie électrique à proximité ( groupe, réseau ).
2-la grue est un engin assez délicat à cause de son moment de renversement. Il y a alors des
prescriptions strictes à respecter:
- vitesse de levée
- vitesse de translation
- variation de la portée
- vitesse de rotation
61
Utilisation
a) la grue sur porteur
C’est un engin de levage intéressant, compte tenu de sa mobilité, de son faible
encombrement et de sa souplesse d’utilisation. Par contre son emploi reste délicat de par son
assiette au sol assez limitée, ce qui restreint la vitesse de maneuvre et la charge admissible.
b) les grues à tour
Elles sont indispensables pour tous les chantiers de construction en élévation:
bâtiments de plus d’un étage, châteaux d’eau, ponts, .... Elles servent au hissage des bennes à
béton, des éléments préfabriqués, des fermes métalliques, à la manutention des matériaux en
vrac, .....Connaissant la hauteur maximale de l’édifice prévu, on déduit la hauteur convenable
de la tour de grue. On prévoit une longueur de flèche et un positionnement du socle de la grue
qui permettent de couvrir toute la surface du chantier. Si la grue est posée sur rails, le champ
d’action est considérablement augmenté.
Le problème posé par la grue est celui de sa stabilité. On utilise des contrepoids sur la
flèche et sur le socle. L’action du vent est très importante, et les constructeurs dénient en
général toute responsabilité dans les cas de fonctionnement sous un vent fort ( vitesse
supérieure à 70 km / h).
Les caractéristiques de travail d’une grue sont:
- la charge de levage
- la portée
- la vitesse de levage
On désigne normalement une grue par sa charge de levage à portée maximum ( par
exemple: 5T à 12 m). Le produit charge x portée s’appelle couple de renversement. IL
s’exprime en tonnes-mètres et doit rester approximativement constant.
Performances
a) la grue sur porteur
- portées: 10 à 35 m
- hauteur de flèche: peut atteindre 64 m
- charge : dépend de la portée ; ( portée x charge = constante )
- vitesse de levage: jusqu’à 60 m/ mn
- vitesse de rotation: jusqu’à 4 trs / mn
b) la grue à tour
- hauteur sous crochet : 11m à 70 m
- couple de renversement: de 350 kg à 11 m , jusqu’à 2,5 T à 45 m.
- vitesse maximum de levage: de 30 m / mn à 108 m / mn.
62
La bétonnière ( description et fonctionnement )
C’est un appareil qui sert à faire du béton, en évitant la confection à même le sol. Le
malaxage est assuré par une cuve tournante dans laquelle des palettes reprennent le mélange
au cours de la rotation. On distingue 2 types de bétonnière:
- les bétonnières à tambour basculant ( petites unités ). Le tambour n’est ouvert que
d’un côté et tourne toujours dans le même sens. ON charge les agrégats et le ciment en
penchant le tambour d’un côté (commande à main ). On redresse pour laisser s’opérer le
malaxage, puis on bascule de l’autre côté pour vidanger le béton.
- les bétonnières à tambour horizontal ( grandes unités ). Le tambour est
ouvert des deux côtés, reste dans un axe fixe horizontal, mais peut tourner dans
les deux sens. On charge le ciment et les agrégats par l’un des orifices. Des
palettes malaxent le mélange dans un sens déterminé. Si on inverse la rotation,
des palettes amènent progressivement le béton jusqu’à la gueule de vidange du
béton. Le fonctionnement des bétonnières est assuré par un moteur à essence ou
électrique.
Le chargement d’une bétonnière peut se faire à la pelle, le nombre de pelletées de
chaque constituant du mélange étant proportionnel au dosage imposé.
Pour éviter les pertes, les bétonnières sont en général munies d’un chargeur benne dont
le volume correspond à une gâchée et qui se vidange dans la cuve, de façon à ne laisser aucun
dépôt dans la benne.
Les bétonnières sont en principe sur pneus, ce qui permet un déplacement aisé et
rapide sur chantier et sur route.
Utilisation
La notion importante dans une bétonnière est la quantité de béton compacté qu’elle
peut fournir dans un temps donné. Le temps de malaxage est constant ( 1 à 2 mn ).
L’emplacement de la bétonnière doit être bien étudié: proche des réserves agrégats, près du
chantier.
Performances
a) bétonnières à tambour basculant
- capacité : 120 à 580 L de mélange
- production horaire: 20 à 30 gâchées à l’heure.
b) bétonnières à tambour horizontal
- capacité de malaxage: 500 à 1500 L
- production horaire: 30 à 35 gâchées à l’heure
Remarque:
- le béton malaxé est contracté d’environ 25 %
- le béton mis en place est tassé d’environ 7 % à cause de la vibration.
63
matériels annexes des bétonnières
Il s’agit entre autres de : la centrale à béton, la bétonnière portée, la benne à béton, la
pompe à béton, le vibreur à béton.
a) la centrale à béton: c’est une installation fixe composée d’une grosse bétonnière,
d’un silo à ciment, des compartiments destinés à recevoir les granulats. Les opérations de
dosage sont réalisées automatiquement dans une trémie. Une dragline ou un scraper
automatique assure le chargement des agrégats. La centrale à béton n’est intéressante que
pour les très gros chantiers. Capacité de production : 8 à 25 m3 / h
b) bétonnière portée ou camion toupie: quand la distance entre la centrale à béton et le
chantier est importante, on transporte le béton peu humidifié dans une bétonnière sur un
camion. Cette bétonnière tourne pendant tout le trajet, ce qui évite la prise du béton. Capacité
de ces engins: 6 à 10 m3
c) benne à béton: cette benne Sert à hisser le béton à la hauteur de la construction.
Elles sont soit basculantes, soit à fond ouvrant. La benne doit être assez grande pour recevoir
une gâchée complète. La bétonnière se déverse directement dans la benne qui est accrochée à
une grue.
d) pompe à béton: une pompe à béton est un appareil qui, soit à l’aide d’un piston, soit
en comprimant une membrane en caoutchouc, propulse le béton liquide dans une conduite.
C’est un moyen de transport du béton intéressant, si l’on a besoin de béton sous pression.
e) vibreur à béton: Une fois le béton mis en place dans les coffrages, il doit être tassé
pour bien remplir les vides. On peut pilonner à la main ou procéder par vibration. Il y a 3
types de vibration:
- vibration des coffrages: on pose des vibrateurs pneumatiques sur les coffrages qui
transmettent la vibration au béton.
- vibration de surface: ce sont des plateaux vibrants que l’on déplace sur la surface du
béton.
- pervibration: c’est le type de vibration le plus employé, car la vibration du béton est
la plus complète. Le pervibrateur se compose d’un tube à l’intérieur duquel un arbre excentré
tourne à grande vitesse. Ces appareils fonctionnent à l’air comprimé ou à l’électricité.
On distingue trois grandes familles ou groupes de matériels de génie civil :
- le matériel de terrassement y compris le transport
- le matériel d’appui ou divers.
4-4-2: le matériel de terrassement et de transport
a ) les engins de chargement
- les chargeuses
- les pelles hydrauliques
- les pelles mécaniques à câbles ( dragline )
b ) les engins de transport
- la brouette
- les camions-bennes ,citerne, à bitume, etc....
- les dumpers
- les moto-basculeurs
- les tombereaux
- les véhicules utilitaires
c ) les engins effectuant à la fois les opérations de chargement et de transport
- les scrapers
64
- les bulldozers ou bouteurs
d ) les engins de mise en place des matériaux
- les niveleuses ou graders
- les compacteurs
- les finisseurs
4-4-3 : les matériels d’appui ou divers
- les bétonnières
- les grues
- les camions-toupies
- les motopompes
- les compresseurs d’air ( marteaux piqueurs,les aiguilles vibrantes ...)
- les groupes électrogènes, les groupes de soudure,
- les dames sauteuses ou pilonneuses
- les remorques diverses
- etc. ...
4-4-4 : Production en terrassement de quelques engins
Production: c’est le taux horaire auquel on déplace le matériau. Il s’exprime à l’aide
d’unités diverses:
- mètre cube en place: mètre cube de matériau mesuré à l’état normal dans le sol avant
l’excavation.
- mètre cube foisonné: mètre cube de matériau après excavation, et par conséquent,
affecté par le foisonnement.
- mètre cube compacté: mètre cube de matériau après le compactage qui a réduit son
volume antérieur.
En général, l’unité utilisée pour le calcul des terrassements est le mètre cube en place.
100 %
Coefficient de chargement = ---------------------------------------
100 % + % de foisonnement
chargement ( volume en place ) = m3 foisonné x coef. chargement
4-4-4-a : Production en terrassement manuel
A-desherbage:
- A la faux: 800 m2 / jour / homme
- A la machette 500 m2 / jour / homme
B- debroussaillage-dessouchage
- végétation arbustive; arbre de diamètre = 25 cm: 115 m2 / jour / homme
- végétation dense; 10 à 30 arbres par are: 80 m2 / jour / homme
C- déblais en masse
- sol meuble non cohésif: 3,5 m3 / jour / homme
- sol meuble cohésif: 2,5 m3 // //
65
- sol ferme: 1,5 m3 // //
- sol compact: 0,9 m3 // //
- sol très compact: 0,6 m3 // //
D- excavation en tranchée
- profondeur = 0,60 ;
- largeur = 0,30 m 1,3 m3 / jour / homme
- soit 0,18 m3 / ml
E-compactage
- couche de 8 à 10 cm 35 m2 / jour / homme
- remblais derrière bajoyers 4 m3 / // //
- remblais contigus aux buses 3 m3 / // //
F-transport-brouettage
-couffins de 20 litres:
. distance de transport de 20 m: 2 m3 / jour / homme
. 60 m 1,5 m3 // //
.120 m 1 m3 // //
-brouette: chargement de 50 litres
. distance de transport de 20 m: 9,3 m3 / jour / homme
. 50 m 4,6 m3 // //
90 m 2,8 m3 // //
4-4-4-b : production des engins de terrassement
A- bulldozer
1) débroussaillage: pour un D6: 25 000 m2 / jour
2) foisonnement ou gerbage en carrière ( production horaire )
D4 D6 D8
-terrain meuble 85 m3 / h 180 m3 / h 320 m3 / h
-argile humide 70-------- 150------- 280--------
B- chargeur ( production horaire )
capacité du godet:
.cat. 936: 1,4 m3
.cat.966: 3,1 m3
936 966
-terrain meuble 100 m3 / h 150 m3 / h
-argile humide 90 m3 / h 115 m3 / h
C pelle hydraulique (production horaire ): caterpilar 225 et poclain 90.
capacité du godet: 960 litres
- terrain meuble 120 m3 / h
- argile humide 100 m3 / h
66
D- scrapers ( production horaire :chargement et mise en oeuvre; distance
maximale de rotation = 800 m ).
capacité de la benne
. 613 B auto chargeur 9 m3
. 621 B 16 m3
. 623 B auto chargeur 15 m3
613 B 621 B 623 B
- terrain meuble 75 m3 / h 120 m3 / h 110 m3 / h
- argile humide 65 m3 / h 110 m3 / h 100 m3 / h
4-4-4-c : production des ateliers de terrassement
( déblais mis en remblais ou emprunt mis en remblais )
Les ateliers ci-dessous désignés ne constituent que des exemples pour donner des ordres de
grandeurs de productions.
atelier type :
- 1 D6 avec ripper (bulldozer )
- 1 cat. 920 ou 966 ( chargeur )
- 3 ou 5 camions benne de 5 à 9 m3 800 m3 / jour
- 1 cat. 815 (compacteur pieds de mouton )
- 1 ou 2 citernes de 7000 à 10000 L
atelier type:
- 1 poclain 90 ou cat. 225 (pelle hydraulique )
- 3 camions bennes de 5 à 9 m3
- 1 cat. 815 (pieds de mouton ) 800 m3 / jour
- 1 citerne de 7000 L
- 1 niveleuse type 120 G
atelier type:
- 2 scrapers auto-chargeurs type cat. 623
- 1 cat. 815
- 2 citernes de 10 000 L 1500 m3 / jour
- 1 niveleuse 140 G avec rippers
atelier type:
- 2 scrapers type cat. 621
- 1 D8 pousseur 1800 M3 / jour
- 1 cat. 815
67
CHAPITRE 5 : LA GESTION DES CONSOMMABLES
Introduction :
Selon la nature et l’évolution des travaux, les consommables varient dans le temps. Leur
gestion demande une rigueur et un sens de l’organisation.
Dans le cadre de la gestion des consommables, il faut se poser quelques questions :
On aura besoin de savoir :
Qu’a-t-on reçu sur le chantier ? ( vérification de l’état des livraisons )
De quelle quantité en dispose-t-on ? ( Analyse prévisionnelle des stocks )
Quelle quantité a-t-on déjà utilisée ? ( Bilan des consommables sur les travaux réalisés )
Quel est l’état du disponible ? ( Bilan des stocks disponibles pour inventaire )
Que peut-on faire du disponible ? ( Programmation des commandes )
...
Autant de questions auxquelles il est nécessaire de répondre pour assurer sans interruption, le
bon déroulement du chantier. Les moyens suivants sont nécessaires :
- Le personnel,
- Les magasins,
- Clarté du lieu,
- Les moyens de comptage ( exemple pour gérer le carburant ).
Les stocks regroupent l’ensemble des marchandises, des matières ou fournitures, des
produits finis ou travaux encours qui sont la propriété de l’entreprise.
Les marchandises sont des objets, matières ou fournitures acquis par l’entreprise et
destinés à être revendu en l’état.
Les matières premières sont des objets, matières ou fournitures acquis par l’entreprise et
destinés à être incorporés aux produits fabriqués ou transformés.
Les matières consommables sont les produits, matières ou fournitures acquis par
l’entreprise, qui concourent par leur consommation, d’une manière directe, à la fabrication
ou à l’exploitation. Il s’agit des combustibles, produits d’entretien, fournitures d’atelier,
pièces de rechange, petit outillage, carburant et lubrifiant.
Mode et méthode de gestion des consommables :
Méthode FIFO ( first in / first out ) = premier entré / premier sorti
C’est une méthode d’épuisement des stocks par lot,
Cette méthode convient particuluèrement à la gestion des produits périssables.
Méthode LIFO ( last in / first out ) = dernier entré / premier sorti
Cette méthode n’est pas pratique,
Concentration des stocks morts par immobilisations des produits.
Méthode NIFO ( next in / first out ) = prochain entré / premier sorti
Cette méthode entraîne également des immobilisations importantes et n’est pas pratique.
68
5-1 : les objectifs de la gestion des consommables
Approche d’une étude de cas pour l’organisation de la gestion des stocks de
consommables sur un chantier :
Il faut commencer par la description de la situation actuelle :
Analyse de l’organigramme et du mode fonctionnel actuel,
Voir les attributions du service de maintenance,
- Section poids lourd ( P.L. ),
- Section véhicules légers ( V.L. ),
- Section tôlerie / peinture,
- Section pneumatique,
- Section électricité,
- Section vidanges / graissage,
- Section Magasin.
Faire le bilan des équipes spécialisées,
Faire le bilan des équipements existants ( leur état ),
Faire l’analyse des relations fonctionnelles ( gestion des interfaces ), analyse des zones
d’ombre ou goulot d’étranglement,
Vérification du niveau de formation des agents ( bilan des compétences ),
Analyse des disponibilités budgétaires fonction des besoins réels du chantier.
Analyse du mode de maintenance mis en place :
- Maintenance préventive ( dépannage ),
- Maintenance curative ( réparation ).
Analyse du mode de conservation du matériel et des archives ( tenir compte de tout ce qui
peut occasionner des pertes de temps ou des difficultés dans le suivi et contrôle des
stocks),
Comment sont gérérs les rebuts, organes reconditionnés et amortis, quelles sont les
procédures mises en place pour la réforme du matériel amorti ? ).
Analyse de la compatibilité entre les niveaux de qualification et les missions confiées aux
agents.
Niveau d’amortissement du matériel existant ( en terme d’âge du parc matériel par
rapport à l’amortissement technique ) :
- Matériel sous amortissement et fonctionnel ou hors service,
- Matériel hors amortissement et fonctionnel ou hors service.
Vérifier quel est le budget prévisionnel de financement du parc de matériel :
- Frais de réparation,
- Frais d’entretien,
- Budget sectoriel pour acquisition des stocks
Eu égard à tout ce qui précède et en fonction des objectifs fixés, il est nécessaire
d’adopter :
- Une politique d’approvisionnement,
- Un méthode adéquate de gestion des stocks.
69
A) Politique d’approvisionnement :
Pour toute entreprise, la première nécessité est d’avoir à sa portée un stock disponible de
pièces de rechange afin d’éviter toute forme d’immobilisation prolongée du matériel en
panne ; cela aura pour conséquence une réduction de la production.
B)Etat des Stocks :
Il faut procéder à la valorisation des stocks en place par un inventaire qui peut se faire :
- Manuellement,
- A l’aide d’un logiciel installé pour la gestion des stocks.
Faire l’analyse des circuits d’approvisionnement ( délai de livraison )
Mettre en place un service d’assurance qualité ( vérification de la qualité et de l’originalité
des produits ).
La bonne gestion des consommables consiste en une rationalisation des biens
consommables mis à la disposition du chantier.
Pour son fonctionnement, il s’agira alors de prendre les mesures pour que :
- Le chantier dispose de ses besoins en consommables à tout moment,
- Que les produits consommables soient conservés dans les conditions indiquées,
- Que les immobilisations financières par des commandes prématurées ne soient pas
effectuées,
- Que des ruptures de stocks soient évitées,
- Que des pertes ou des vols éventuels soient décelés à temps,
- Que les approvisionnements en carburant et matériaux suivent les travaux.
5-2 : les outils de gestion
Afin de réaliser les objectifs ci-dessus, le chef de chantier aura besoin d’un service
approvisionnement dont les missions seront les suivantes :
- Assurer les commandes,
- Gérer les stocks mis en place et procéder à la distribution des pièces détachées et
des outillages,
- Procéder à la gestion du carburant et des lubrifiants,
- Elaboration du budget prévisionnel en pièces de rechange.
Le chef de chantier utilisera un certain nombre d’outils lui permettant d’avoir à tout moment
la situation de son chantier en carburant et matériau et la possibilité de pouvoir prendre les
dispositions nécessaires. Ce sont :
a) infrastructure :
Il s’agira essentiellement de magasin de stockage et des cuves à carburant.
La capacité du magasin doit être suffisante pour stocker les matériaux nécessaires à une
exécution sans interruption des travaux et garantir les manipulations sans difficulté.
Le magasin sera conçu de manière à bien protéger les matériaux et faciliter leur stockage et
leur enlèvement ( s’assurer du volume V=Lxlxh qui se traduit par la capacité de stockage. V
doit être compatible aux besoins exprimés réellement sur le chantier). Le magasin sera
organisé de façon à faciliter toutes les opérations de :
Lancement et réception des commandes,
Enregistrement sur fiche des entrées et sorties des stocks du magasin,
Tenue des fiches par engin et bilan des inventaires.
70
b) les documents :
Afin de bien suivre l’évolution de ses stocks en carburants, lubrifiants et matériaux, le chef de
chantier utilisera les documents suivants :
Bons de commande précisant ( la nature, la quantité, les références s’il y a lieu, la date de
livraison souhaitée ).
Fiches de stock.
5-3 : Les cahiers des stocks
a) Les Bons de commande fournisseurs :
Ils sont établis pour :
Renouveler les stocks,
- Suivi du stock minimal,
- Tenir compte des problèmes éventuels d’approvisionnement.
Dépannage d’urgence.
Le bon est établi à la comptabilité du magasin en 4 exemplaires :
- 1 exemplaire pour le magasin ( liquidation des factures ),
- 1 exemplaire fournisseur,
- 1 exemplaire magasin ( archive double des factures ),
- 1 exemplaire souche.
b) Bordereaux de livraison :
Les fournisseurs livrent toujours les pièces avec un bordereau de livraison.
Ce document doit être visé par la personne responsable des réceptions du matériel.
Le bordereau est établi en deux exemplaires :
- 1 exemplaire joint aux factures pour liquidation,
- 1 exemplaire pour le magasin ( archives magasin, double des factures ).
c) Fiche de magasinage :
Ces fiches doivent donner tous les renseignements concernant les pièces,
Il sera établi une fiche par article,
Un système d’index coulissant permet un contrôle facile des stocks.
d) Demande de fournitures :
C’est une demande établie pour obtenir du matériel ou des pièces de rechange ;
Ce document est établi en 4 exemplaires :
- 1 exemplaire pour le magasin,
- 1 exemplaire pour le demandeur,
- 1 exemplaire pour le classement dossier véhicule,
- 1 exemplaire en souche.
Un cahier de demandes de fournitures est tenu par la comptabilité ;
Au magasin, les demandes de fournitures sont conservées dans un classeur divisé en deux
rubriques ( servi ou en instance ).
e) Bon de sortie :
Il fait suite à la demande de fournitures, c’est le document comptable de sortie des pièces ;
Il est établi en 4 exemplaires :
- 1 exemplaire pour le magasin,
- 1 exemplaire pour le demandeur,
71
- 1 exemplaire pour classement dossier véhicule,
- 1 exemplaire souche.
La numérotation des bons de sortie est annuelle ( 1er
janvier au 31 décembre ).
f) Bons de réception
Des fiches de réception ou d’entrée au magasin précisant :
- la nature du produit réceptionné
- la date de livraison
- la référence de la commande
- le fournisseur
- le numéro de la fiche de stock sur laquelle sera enregistrée l’entrée du produit.
- des fiches de stock ( carburant et par types de matériaux ) précisant :
- la nature
- les entrées ( quantités et dates )
- les sorties ( quantités et dates )
- les stocks disponibles
- les références de commande.
Le bon de réception fait suite à la livraison des pièces par le fournisseur et c’est le document
d’entrée des pièces ;
Il est établi en 4 exemplaires :
- 1 exemplaire pour le magasin ( joint à la facturation ),
- 1 exemplaire pour le magasin ( sera joint au double des factures pour archives
magasin ),
- 1 exemplaire pour le magasin ( dossier réception ),
- 1 exemplaire souche.
g) journal des entrées et sorties :
Ce document est nécessaire à la direction du matériel, afin d’avoir une vision globale des
mouvements et des stocks de pièces. Il est nécessaire d’avoir à tout instant la valeur globale
des entrées, des sorties et des stocks. Ce document sera tenu à partir des documents ci-avant :
- Demande de fournitures,
- Bon de sortie,
- Bon de réception,
- Bon de reversement ( utilisé pour permettre un retour de pièce au magasin ).
Le chef de chantier aidera à la mise en place d’un système d’approvisionnement
rapide de son chantier.
Il devra maîtriser les délais de livraison et lancer les commandes avec une marge
confortable pour éviter des ruptures de stocks.
72
5-4 : Gestion par stock critique
Pourcentages de pertes sur matériaux courant
Pourcentages de pertes sur m atériauxPourcentages de pertes sur m atériaux
d’après statistiques d’entreprisesd’après statistiques d’entreprises
(personnel propre à l ’entreprise)(personnel propre à l ’entreprise)
Dé sig n a tio n d e s m a té ria u x U %
Conduit vide ordure (V O ) hauteur d'étage (HE ).
Conduit de fum ée ou de ventilation HE .
E s c alier droit, hélic oïdale ou à lim on c entrale
préfabriqué HE . U 1
Cales pour arm atures . G rille.
Collier. Rivet. Douille. V is .
B oulon. Croc het U 3
B rique. P avé de verre, c laus tra U 5
A c ier c oupé-faç onné-as s em blé HA 10 et HA 12 K g 1
A c ier c oupé-faç onné-as s em blé HA 8 K g 2
A c ier c oup-faç onné-as s em blé HA 6
F il de fer rec uit. Treillis s oudé. Tôle plane
ou nervurée. F euillard galvanis é. F er plat. IP N
Cornière. IP E . P rofil en U. M as tic . P ointe. P oly ane K g 3
P lâtre en s ac . P roduits butim ineux .
A djuvants . Rés ine épox y . S ac c im ent. K g 5
A grégat quartz blanc . T 0
Cim ent en V rac T 1
Cailloux . Tout venant T 3
S able 0/3 à 0/5. G ravillon 5/15 à 5/25. T 5
Huile de dém oulage. Colle tuy au P V C L 3
B éton ou m ortier indus trialis é (prêt à l'em ploi
ou enc ore livré par toupie) m 3 2
B allas t. B idim . Héris s on. S ablon m 3 3
M oellon. P ierre latéritique taillée m 3 5
P oly s ty rène ex pans é ou ex trudé m 3 10
D é si g n a ti o n d e s m a té r i a u x U %
C o n t re -p la q u é s : C T B O , C T B X,
o u b ie n B a k é lis é , s t ra t ifié . A c h a t d e
p ré d a lle .
C o u ve rt u re O n d u lin e . m 2 1
P la n c h e r P o u t re lle + e n t re vo u s .
R vê t e m e n t d e s o l P V C m 2 2
P â t e d e ve rre . C a rre la g e . m 2 2 , 5
G rilla g e à p o u le . T ô le o n d u lé e d e c o u ve rt u re
M é t a l d é p lo y é . m 2 3
A g g lo p le in o u c re u x . B T C .
B riq u e e n t e rre c u it e : c re u s e o u p le in e .
P la q u e o n d u lé e o u n o n F ib re -c im e n t . T u ile . m 2 5
L a in e d e ve rre . P a p ie r K ra ft . F e u t re -d ra in . m 2 1 0
L it e a u . P la n c h e . B a s t a in g . M a d rie r.
C h e vro n . F o u rn it u re b o is e n g é n é ra le . m l 2
T u y a u x fib re -c im e n t , b é t o n , fo n t e , P V C o u
g ré s .
D ra in p la s t iq u e . B u s e . T u b e fe r, c u ivre ,
P V C . m l 3
B a n d e b it u m e . J o in t p la s t iq u e e x t ru d é . m l 5
E v a lu a ti o n d e p e r te s s u r m a té r ia u x
L e s p e r t e s s ’ é v a lu e d if f é r a m e n t s u i v a n t l e t y p e d e m a t é r i a uL e s p e r t e s s ’ é v a lu e d if f é r a m e n t s u i v a n t le t y p e d e m a t é r ia u
P e r t e s u r q u a n t it é s m is e s e n o e u v r eL e m a t é r ia u x e s t d u r
( a c ie r , b o is b r iq u e , e c t… )
P e r t e s u r q u a n t it é s a p p r o v is io n n é e s
L e m a t é r ia u x e s t p u lv é r u le n t
o u liq u id e
( s a b le , fu e l, c im e n t, g r a v illo n , e a u ..)
L e s p e r t e s s o n t e n g é n é r a le 1 ,5 à 2 f o is p lu s im p o r t a n t e e n t r e u n e e n t r e p r is e
u t ilis a n t s o n p e r s o n n e l d e c e lle u t ilis a n t d e s t a c h e r o n s !
A n o t e r :A n o t e r :
73
Cas des terrassements par pelle mécanique
K (% )
faciles
- M atériaux : terre non com pacte, sable, gravier
- Profondeur inférieure à 40 % de la profondeur m axim ale
- Vidange sur déblais, sur cam ion en fond de fouille
avec un bon opérateur et sans obstacle
95
à
100
Moyennes
- M atériaux : terre com pacte, sols avec m oins de 25 %
de roches.
- Profondeur inférieure à 50 % de la profondeur m axim ale.
- Vidange sur une une large, avec quelques obstacles
83
moyennesàdifficiles
- M atériaux : terre très com pacte, sols avec 50 %
de roches
- Profondeur inférieure à 70 % de la profondeur m axim ale.
- Vidage dans des cam ions proches de l'excavateur,
au m êm e niveau
75
difficiles
- M atériaux : sols très com pact ou avec 75 %
de roches.
- Profondeur inférieure à 90 % de la profondeur m axim ale.
- Vidage dans une petite zone ou travail au-dessus
de canalisation, dans une tranchée.
65
trèsdifficiles
- M atériaux : terrains gelés.
- Profondeur supérieure à 90 % de la profondeur m axim ale.
- Vidage sur une très petitezone, chargem ent du godet
dans une petite "boîte", ouvriers et obstacles dans
la zone de travail
55
Conditionsdetravail
D escription type
Exemple :
Pelle mécanique ATLAS 1202D
utilisée dans de conditions moyennes
Rendement théorique 30 m3/heure
Rendement pratique de la pelle :
30 m3/h x 0,83 = 24,9 m3/h
74
Besoin en matériaux : cas particulier des terrassements
Vc > Ve
Vf >Ve
Ve
( )%
e
ec
c
V
VV
F
−
=
( )%
e
ef
f
V
VV
F
−
=
Coefficient de contre foisonnement
Coefficient de foisonnement
C l a s s e N a t u r e d u m a t é r i a u x F f ( % ) F c ( % )
A
A r g i l e s , l i m o n s , s a b l e s a r g i l e u x
( o u e n c o r e t e r r e vé g é t a l e ) 1 , 2 5 0 , 9 0
B S a b l e s e t g r a ve s s a b l e u s e s 1 , 1 0 1 , 0 0
C
S o l m e u b l e c o n s o l i d é o u a r g i l e s
e t m a r n e s e n m o t t e s ( e x . : s o l
l a t é r i t i q u e ) 1 , 3 5 1 , 1 0
D
S o l s r o c h e u x d é fo n c é s a u r i p p e u r ,
r o c h e a l t é r é e 1 , 3 0 1 , 1 5
E M a t é r i a u x r o c h e u x d e c a r r i è r e s 1 , 4 0 1 , 2 0
5-5 : Gestion par stock prévisionnel
E x : O uvrage élem entaire
-- L E B E T O N D E PR O PR E T E --
1- Le sous détail de fabrication du béton de propreté,
2- Le sous détail de m ise en œ uvre du béton de
propreté,
3- E t donc une m éthode
75
pour faire tout cela.
1 - PRIX ELEMENTAIRE
D ’UN BETON A 150 kg
Fabrication
ELEMENTS HEURES m3 m3 sacs kg barres d'acier COMPOSITION
CODE U DESIGNATION U QUANTITE PRIX U. OQ man sable gravier ciment Φ1 Φ2 Φ3 M/O tâcheron fournitures matériel TOTAL
1.001.fab M3 BETON à 150 kg
* Ciment sac
* Gravier m3
* Sable m3
* Eau l
* Manœuvre h
TOTAL
Pour 3 de béton à 150 kg (béton de propreté), il faut :
• 3 sacs de ciment à 4 900F par sac (rendu chantier),
• 800 l de gravier à 27 000F/m3 (rendu chantier par camions de 7m3),
• 450 l de sable à 6 000F/m3 (rendu chantier par charrette à âne),
• 45 l eau à 105F/m3 (eau de ville),
• Une bétonnière, dont le rendement est de 6 m3 par jour
(bétonnière 250 litres) avec une équipe de 4 manœuvres ; la bétonière est louée
à raison de 35 000 F/semaine.
fabriquer 1 m
2 - SOUS DETAIL « complet »
DU BETON DE PROPRETE
EL EM EN TS H EU R ES m 3 m 3 s a c s kg b a r r e s d 'a c ie r CO M PO S IT IO N
C O D E U D ES IG N A TIO N U Q U A N TITE PR IX U. O Q m a n s a b le g r a v ie r c im e n t Φ 1 Φ 2 Φ 3 M /O tâ c h e r o n f o u r n itu r e s m a té r ie l TO TA L
1 .1 M L B E T O N D E P R O P R E T E
* B é t o n 1 5 0 K g ,
y c o m p ris p e rt e 1 0 %
* M a ç o n
* M a n œ u vre
T O T A L
1- Données issues de
Le Prix unitaire pour la fabrication d ’un béton à 150 kg
(voir exercice précédent)
Perte estimée à la mise en oeuvre : 10 % sur le béton
Cadence prévue : 100 ml en 6 j avec une
équipe de 1 maçon et 2 manoeuvres (8h/jour) ; ou encore
30 ml en 6 j avec une équipe de 1 maçon et 2 tacherons
Sous détail à calculer pour Caniveau1 ML de
76
votre entreprise :
Béton de propreté :
H = 0,05 ; L = 1,10
CANIVEAU
2- Données issues
des plans du projet :
ELEMENTS HEURES m3 m3 sacs kg barres d'acier COMPOSITION
CODE U DESIGNA TION U QUA NTITE PRIX U. OQ man sable gravier ciment Φ 1 Φ 2 Φ 3 M/O tâcheron f ournitures matériel TOTA L
1.1 M L BETON DE PROPRETE
* Béton à 150 Kg
y com pris 10 % de perte m 3 0,061 39942 0,32 0,03 0,05 0,18 57 2 380 2 436
* M açon h 0,48 384 0,48 184 184
* M anœuvre h 0,96 176 0,96 169 169
TOTAL 0,48 1,28 0,03 0,05 0,18 410 2 360 2 789
Pour 1 ml de caniveau il faut :
0,05 x 1,10 x 1,10 = 0,061 m3 de béton
Compte tenu d'une perte estimée à 10% il faut donc fabriquer 0,061 m3.
On multiplie ainsi par 0,061 les données unitaires de fabrication
Ex : 5h33/m3 x 0,061 = 0,32h de man/ml , etc. ....
La cadence prévue est de 100 ml en 6 j avec une équipe de 1 maçon
et 2 manoeuvres ; donc pour 1 ml de caniveau :
Man : (8h/j x 6j/100ml) x 2 = 0,96 h/ml
Maçon : 8h/j x 6j/100ml = 0,48h/ml
2 - SOUS DETAIL
DU BETON DE PROPRETE
« complet »
938 x 0,061
39 005 x 0,061
CHAPITRE 6 : HYGIENE ET SECURITE
En raison de la nature particulière de activités de l’entreprise et des risques que celle-ci
comportent, l’hygiène et la sécurité revêtent une importance primordiale pour les travailleurs,
notamment sur les chantiers et dans les secteurs d’exploitation ( carrière, centrale à béton,
ateliers ).
Pour la bonne marche d’un chantier, il faut un personnel sain et afin d’éviter des pertes
de vie humaine et des pertes financières et sociales, il y a lieu pour les chefs de chantier de
prendre des mesures de prévention pour parer à toutes éventualités ( maladies, épidémies,
accidents ... )
La législation du travail impose des normes de sécurité pour la protection des
travailleurs dans l’exercice de leurs fonctions.
6-1 : prévention des accidents
En général, les accidents survenant sur le chantier sont dus aux motifs suivants :
1. désordre sur le chantier
2. mauvaise ou inexistence de signalisation des dangers
3. ignorance, mysticisme ( fatalisme ) du personnel
4. routine, paresse, inattention
5. fatigue, excès
Pour prévenir cet état de faits, le chef de chantier devra :
- Concevoir le plan d’installation du chantier en ayant à l’esprit la sécurité des
personnes et des biens et organiser les déplacements sur le chantier en fonction de
l’importance des moyens utilisés ;
- Savoir les règlements de sécurité et de prévoyance dans son domaine d’activité et
les appliquer lui-même de façon rigoureuse pour donner l’exemple ;
- Faire exécuter les tâches strictement par les personnes qualifiées et habilitées et les
faire utiliser le matériel adapté aux travaux tout en respectant les normes des
constructeurs ;
- Vérifier le bon fonctionnement du matériel avant l’usage ;
- Inculquer au personnel la notion de sécurité en le sensibilisant et en lui indiquant
les risques ;
- Mettre des panneaux de signalisation partout où peut exister un danger et les faire
respecter ;
- Isoler les zones dangereuses (dépôts de carburants, dynamite,...) ;
- L’accès au chantier doit être réglementé ;
- Une police du chantier doit être assurée ;
- Le chef doit relever toute infraction aux mesures de sécurité et sévir si nécessaire ;
- Le chantier sera signalé de jour comme de nuit par des panneaux de signalisation,
pré-signalisation, barrières réglementaires placées aux distances d’usage.
77
6-2 : Mesures d'hygiène sur les chantiers
Pour garantir la santé du personnel et avoir le meilleur d’eux-mêmes, l’hygiène du travail doit
être respectée, en particulier :
Les installations de soins d’hygiène corporelle élémentaire doivent être disponibles ;
L’accès des boissons alcoolisées et des ouvriers en état d’ivresse doit être interdit. Le chef
de chantier prendra les précautions pour mettre à la disposition du personnel de l’eau
potable sur le chantier pendant toute la durée des travaux.
Sensibiliser le personnel à la prévention contre les endémies et les pandémies ; isoler les
malades contagieux ( sans les abandonner ) ;
Tenir un cahier de visite médicale ;
Disposer d’une boîte à pharmacie pour les premiers soins éventuellement ( le contenu peut
être précisé par la médecine du travail ) ; son usage est ponctuel ;
Quand les conditions le permettent, il est bon de rechercher des loisirs sains pour le
personnel en les encourageant à faire du sport après le service ( soit au sein du chantier,
soit en s’intégrant à la population locale s’il y a lieu ) ;
Faire subir les visites médicales périodiques au personnel.
Locaux sanitaires à installer sur les chantiers d’une durée supérieure à quatre mois :
Vestiaires :
Le local doit être éclairé, aéré, nettoyé une fois par jour, pourvu d’armoires vestiaires
individuelles fermant à clé, pouvant contenir des vêtements de ville et dans lesquelles il sera
strictement interdit d’entreposer des produits et matériaux dangereux. Le local aura une
surface convenable ( en moyenne 1 m2 par personne ).
Lavabos :
Il faut prévoir un robinet pour dix travailleurs. Les locaux seront équipés de savon et moyens
de séchage.
Poste de distribution d’eau :
Prévoir de l’eau potable fraîche à raison d’au moins trois litres par jour et par travailleur
Réfectoire :
Si les travailleurs prennent leur repas sur le chantier, le local sera pourvu de :
1. Tables et chaises en nombre suffisant
2. Appareil ( chauffage – gamelles ) permettant de réchauffer ou cuir les aliments.
3. Un garde manger et un réfrigérateur
Cabinets d’aisance :
Ces locaux seront désinfectés chaque jour, prévoir un cabinet d’aisance et un urinoir pour
vingt hommes et deux cabinets pour vingt femmes
78
6-3 : Conduite à tenir en cas d’accidents
Malgré toute la bonne volonté du chef de chantier, il peut arriver que survienne sur son
chantier un sinistre. Que faire dans ce cas ?
• l’idéal serait que le chef de chantier ait des notions de secourisme pour parer au plus
urgent . sans être secouriste, il doit avoir des notions minimales.
• si l’accident est grave, il y a lieu d’alerter le centre le centre médical le plus proche ou les
sapeurs pompiers s’ils existent et commencer à s’occuper des victimes en attendant
l’arrivée des secours.
• dans le cas où sans danger la victime pourrait être transportée en toute sécurité, le faire
immédiatement vers le centre médical le plus proche.
Après s’être occupé des blessés, le chef de chantier doit immédiatement :
• prévenir ses supérieurs pour leur information et afin qu’ils saisissent les partenaires
concernés dans les délais ( caisse de sécurité, assurances ).
• prévenir les autorités locales ( police ou gendarmerie ) afin qu’un constat soit établi.
Les accidents coûtent chers à l’entreprise et tout doit être mis en œuvre pour les éviter dans la
mesure du possible.
Déclaration d’accident du travail
a ) La victime :
La victime dispose de 24 heures pour informer son employeur.
b ) L’employeur :
L’employeur dispose de 48 heures pour déclarer à la caisse de sécurité sociale par lettre
recommandée avec accusé de réception.
La déclaration doit être effectuée sur un imprimé spécial intitulé « déclaration d’accident
du travail ». Trois exemplaires sont destinés à la caisse de sécurité et un exemplaire est
conservé par l’employeur.
c) Carnet de soins
Les soins dispensés à l’occasion d’un accident du travail ( frais de consultation , frais
d’achat des médicaments, etc…), sont gratuits pour l’employé et pris en charge par
l’employeur et la caisse de sécurité sociale.
L’employeur doit établir un bilan périodique de soins des employés pour bénéficier de
la participation de la caisse de sécurité sociale.
Le carnet doit être tenu à jour pour chaque employé.
d) Trousse de pharmacie
Il est obligatoire de disposer sur le chantier d’une trousse de pharmacie pour les premiers
soins. Les produits pharmaceutiques peuvent être fournis par la caisse de sécurité sociale
selon la législation nationale en vigueur.
79
80
81

Cours pour organisation et gestion de chantier télécharger : http://goo.gl/M2UpPx

  • 1.
    ECOLE INTER-ETATS DESTECHNICIENS SUPERIEURS DE L’HYDRAULIQUE ET DE L’EQUIPEMENT RURAL Département Infrastructures-Equipements-Energie ( I.E.E.) 01 BP 594 Ouagadougou 01 Burkina Faso Tél : (226) 31 92 03 / 31 92 04 / 31 92 18 Email : etsher@etsher.org Fax : (226) 31 92 34 COURS DE GESTION DE CHANTIER Mise à jour ( avril 2005 ) Jean – Pierre ESSONE NKOGHE Ingénieur Ponts et Chaussées 1
  • 2.
    TABLE DES MATIERES Coursde gestion du chantier : Chapitre 1 : Organisation de l’entreprise 1-1 : Terminologie des acteurs d’un projet, 1-2 : Du dossier marché au dossier au dossier travaux, 1-3 : Analyse des relations entre partenaires d’une opération, 1-4 : L’organisation interne de l’entreprise, 1-5 : Rôles spécifiques du conducteur des travaux et du chef de chantier. Chapitre 2 : La gestion des interfaces 2-1 : Rapport avec la direction 2-2 : Rapport avec les techniciens 2-3 : Rapports avec le personnel administratif Chapitre 3 : La gestion du personnel 3-1 : Management du personnel par le chef d’entreprise 3-1-a : le recrutement, 3-1-b : la gestion prévisionnelle, 3-1-c : les rémunérations, 3-1-d : la formation, 3-1-e : l’évaluation 3-2 : La gestion du personnel de chantier 3-2-a : Comment gérer les hommes et prévenir les conflits ? 3-2-b : Comment éviter les conflits ? 3-2-c : quelques aspects juridiques de la gestion du personnel 3-3 : Le cahier d'appel et la fiche de pointage du personnel 3-4 : Le règlement intérieur Chapitre 4 : La gestion du matériel 4-1 : Les principes de bonne exploitation du matériel 4-2 : Les moyens de gestion 4-3 : Quelques conseils pratiques 4-4 : Généralités sur les différents types d’engins et matériels de chantier Chapitre 5 : La gestion des consommables 5-1 : Les objectifs de la gestion des consommables 5-2 : Les outils de gestion 5-3 : Le cahier des stocks 5-4 : Gestion par stock critique 5-5 : Gestion par stock prévisionnel Chapitre 6 : Hygiène et sécurité 6-1 : Prévention des accidents 6-2 : Mesures d'Hygiène sur les chantiers 6-3 : Conduite à tenir en cas d'accidents Annexe : Les premiers secours BIBLIOGRAPHIE 2
  • 3.
    INTRODUCTION Dans l’exécution desactivités du secteur du génie rural, il est exigé au technicien supérieur de l’ETSHER d’accomplir des tâches de gestion et d’organisation de chantier. C’est pourquoi nous avons prévu ce cours dont le contenu permettra à tout technicien d’avoir les éléments de base. Ce cours sera centré essentiellement sur : • L’organisation de l’entreprise, • La gestion des interfaces en entreprise, • Les éléments de base de la gestion du personnel de chantier, • La gestion du matériel et des consommables • Les notions d’hygiène et sécurité sur les chantiers. Il est en effet indispensable que les Techniciens Supérieurs de l’ETSHER aient conscience des responsabilités qu’ils auront dans leurs activités, pour cela ils doivent appréhender : • La compréhension de la vie dans l’entreprise, • La vie et la communication sur les chantiers, • Les relations humaines, • La qualité du travail et le respect des normes de sécurité. Nous espérons que ce cours sera un outil pratique pour améliorer le rendement et donner à nos Techniciens une maîtrise de la dynamique du chantier dans ses différents contours. 3
  • 4.
    Chapitre 1 :Organisation de l’entreprise 1-1: Terminologie des acteurs d’un projet 4 idées-clés 1. avant l’ouverture du chantier, on prépare, on organise : voir et étudier ce qui existe, savoir ce qu’il faut faire, avant de pouvoir mettre en route un chantier 2. mise en pratique des connaissances acquises : la gestion d’un chantier est pour nous l’occasion de mettre en pratique les enseignements reçus durant notre formation. 3. dans l’exécution de la commande, il faut garder en vue le caractère dynamique du chantier et s’attendre à résoudre les difficultés, il faut savoir innover. 4. dans la gestion du chantier, il faut envisager : - la mise en pratique des décisions prises au stade de la préparation et de l’organisation ; - coordonner et contrôler ; - apprendre à assumer ses responsabilités. 1-1-a ) Différentes personnes concourant à l’acte de construire ¤ le promoteur : Maître de l’ouvrage - il donne l’ordre d’exécuter les travaux, - il assure le règlement. Profane, il désigne des techniciens compétents : - pour établir et mettre au point le projet (architectes, ingénieurs), - pour exécuter les travaux (entrepreneurs). Il lui arrive d’imposer certains choix techniques. ¤ l’architecte, ou maître d’œuvre c’est le représentant du Maître d’ouvrage. a) ses fonctions : - il dresse les plans des travaux à exécuter, établit les projets; - il assure l’appel d’offres; - il dirige et surveille l’exécution des travaux qu’il coordonne et contrôle; - il donne les ordres par écrit (O.S.) ; - il s’occupe du règlement des travaux après vérification des mémoires et réception. Il est aidé d’ingénieurs, de dessinateurs et divers techniciens. b) ses responsabilités : - la responsabilité décennale relative à tout vice de construction mettant l’ouvrage en péril ; - la responsabilité de 2 ans pour vices cachés dans les menus ouvrages. ¤ les techniciens spécialisés : - les géomètres: pour les travaux topographiques - les ingénieurs spécialistes de bureaux d’études : ils étudient et établissent au détail les pointstrès particuliers du projet : (calculs et plans B.A, les problèmes 4
  • 5.
    d’acoustique, l’étude dessols, la rentabilité financière, le planning d’exécution et le pilotage du chantier ). ¤ l’entrepreneur : il est chargé, après la signature du contrat, d’exécuter les travaux, en fournissant les matériaux, le matériel et la main-d’ œuvre . a) ses responsabilités : - il est soumis, au même titre que l’architecte, aux responsabilités décennale et biennale prévues par le code civil ; - il est soumis au respect de la réglementation du code du travail ; - il est responsable de tout retard à la livraison des travaux. b) les employés de l’entrepreneur : Il y en a 3 grandes catégories : -les I.A.C.: Ingénieurs Assimilés et Cadres: les chefs de services, les conducteurs de travaux, les techniciens supérieurs, les chefs métreurs, les chefs comptables,... -les E.T.A.M.: Employés, Techniciens et Agents de Maîtrise: les chefs de chantiers, les métreurs, les techniciens moyens des services techniques, les agents de la gestion administrative. -la main-d’œuvre ouvrière : . manœuvre : personnel de simple exécution, sans responsabilité, effectuant des tâches auxiliaires, ne nécessitant pas de spécialisation ou d’adaptation préalable: rangements, manutention manuelle de terre et chargement sur camions, nettoyage ordinaire, gardiennage,... . ouvrier spécialisé: personnel effectuant des travaux simples nécessitant une spécialisation ou une adaptation préalable, sans initiative particulière ni formation professionnelle: ex. dosage selon instructions reçues, fabrication à la bétonnière usuelle des bétons et mortiers couramment utilisés,... . ouvrier qualifié: personnel effectuant des travaux pouvant appeler des initiatives et nécessitant des connaissances acquises par formation professionnelle ou pratique équivalente: ex: maçonnerie, coffrage, carrelage, ouvrages simples en B.A., assemblage et façonnage d’armatures,... . chef d’équipe: ouvrier qualifié possédant la maîtrise de son métier, et chargé de conduire une équipe suivant les directives données par les agents de maîtrise. . agents de maîtrise. ¤ les organismes spécialisés : - les laboratoires spécialisés : ex. L.N.B.T.P. - les organismes de contrôle : SOCOTEC, VERITAS, ... - les assurances 1-2 : Du dossier marché au dossier au dossier travaux a) Définition : ( qu’est-ce qu’un chantier ? ) Un chantier est à la fois le lieu où l’on construit, et la réalisation même de la construction projetée, dans un délai donné. Il est limité dans le temps et dans l’espace, et sera pratiquement toujours différent des chantiers précédents. Il faut donc chaque fois repenser le problème de son organisation. Tout chantier est donc unique ( critère d’unicité des ouvrages ). b) Comment se décide l’ouverture d’un chantier ? 5
  • 6.
    D éro ulem en t d ’u n e A ffa ireD éro u lem en t d ’u n e A ffa ire 6 In ten tio n d e co n stru ire A v is d ’ap p el p u b lic à la co n cu rren ce R em ise d es o ffres - S ig n atu re d u m arch é - M o is d e référen ce d es p rix O rd re d e serv ice R écep tio n d es trav au x - liv raiso n E la b o ra tio n d u p ro jet M a ître d ’O eu vre C o n su lta tio n d es en trep rises E la b o ra tio n d es o ffres P rép a ra tio n d e l ’ex écu tio n O rg a n isa tio n d u ch a n tier E x écu tio n - P ro d u ctio n C o n trô les T ech n iq u es B ilan d e l ’o p ératio n P h a se I : C o n cep tio nP h a se I : C o n cep tio n P h a se II : ré a lisa tio nP h a se II : réa lisa tio n S ig n atu re d u m arch é Phase conception ...Phase conception ... Description d’intention Enveloppe budgétaire Architecte •Esquise APS •Estimationrapides •Ratios prix/m2 Architecte •Plans •CCTP •CCAP •RPAO •Avant-métré •Devis quantitatif BET •Plans BA •Etudes desol •etc. Etape I : l ’élaborationduprojet Projet détaillé (APD) Projet client Dossier de consultationdes entreprises (DCE)Dossier de consultationdes entreprises (DCE)
  • 7.
    … Phase conception…Phase conception DCE Etudes des procédés et des matériaux Consultation des fournisseurs. Remise de prix Etudes et proposition de variantes Avant-métré et devis quantitatif Choix et adaptation des prix unitaire Devis estimatif. Prix global forfaitaire Etape II : Avis d ’appel à la concurrence Sous-détail de prix. Déboursés prévisionels. Coefficient de prix de vente Bordereaux d ’entreprise. Expérience des chantiers Prix de ventePrix de vente 7 En particulier l ’APS et APDEn particulier l ’APS et APD Objectifs Documents émis AVANTS PROJET SOMMAIRE (APS) Préciser la composition du projet en plan et en volume Apprécier les volumes intérieurs et l’aspect extérieur de l’ouvrage Proposer les dispositions techniques envisagées Préciser le calendrier de réalisation Etablir une estimation provisioire du coût des travaux. Analyse des besoins Plans et schémas de principes Echelle au 1 : 200 Détails au 1 : 100 Descriptif (liste des travaux à faire) Planing enveloppe Métré sommaire et estimation Objectifs Documents émis AVANTS PROJET DETAILLE (APD) Déterminer les surfaces détaillées du programme Arrêter : plans, coupes, façades en dimensions et en aspect Définir : principes constructifs, matériaux, installations techniques Etablir l’estimation définitive du coût prévisionnel des travaux par lots Documents graphiques : Echelle au 1 : 100 Détails au 1 : 50 Descriptif détaillé des ouvrages Planing enveloppe affiné Métré et estimation détaillées
  • 8.
    Chronologie évolutive duchantier (Comment se décide l’ouverture d’un chantier ?) Repliement définitif du Chantier Délai garantie Décennale Fin période Garantie décennale Délai garantie parfait achèvement Délai d’exécution des travaux Réception provisoire des travaux Ouverture officielle du chantier Date de démarrage des travaux Installation du Chantier Naissance du Projet ( Intention et fixation des objectifs ) Réalisation des Etudes ( Elaboration du Projet )Recherche des sources de financement par le Maître d’Ouvrage. Préparation du D.A.O.Consultation des Entreprises ( DCE ) Dépôt des soumissions Dépouillement des offres Notification du démarrage des travaux par ordre de service AVANT- METRE Ou Préparation de chantier METRE Ou Phase de Gestion du chantier Réception définitive des travaux Choix de l’Entreprise Etapes de la Gestion du chantier Etapes de Préparation du chantier 8
  • 9.
    1-3 : Analysedes relations entre partenaires d’une opération INTERVENANTS DEFINITIONS RÔLES Maître de l’ouvrage Personne physique ou morale pour le compte de qui les travaux, ou les ouvrages sont exécutés : particulier, promoteur, constructeur,état,collectivité, administrations Etablir précisément ses besoins de construction, Organiser toutes les opérations d’investissement, Choisir le Maître d’œuvre et les BET, Assurer le suivi et le contrôle des travaux ( où faire assurer ) Financer les travaux réalisés. Maître d’œuvre Personne physique ou morale qui, Pour sa compétence, est chargé par le maître d’ouvrage de diriger l’exécution du marché et de proposer la réception ainsi que le règlement des travaux : ( architecte, Bureau d’Etude Technique ( BET ),Entrepreneur, services techniques municipaux ,…) S’assurer de la faisabilité de l’opération, Concevoir, décrire, évaluer les ouvrages, Etablir les dispositions réglémentaires, Préparer les marchés, consulter les entreprises, Diriger les travaux, Contrôler la conformité de l’ouvrage avec le projet, Superviser les versements d’acomptes aux entreprises. Bureaux d’études technique ( BET ) • Béton armé • Aménagement hudroagricole • Etude de sols • Adduction d’eau potable • Etude d’impact. Organisme indépendant ou service interne d’une entreprise, chargé d’étudier sur le plan technique le projet du maître d’œuvre afin de garantir la résistance mécanique et la stabilité des ouvrages ainsi que le bon fonctionnement des équipements techniques. Rédiger des rapports d’études techniques ( géotechnique, béton armé, hydraulique,…), Etablir toutes les notes de calculs nécessaires au dimensionnement des ouvrages, Dessiner tous les plans d’exécution des ouvrages, accompagnés de leur nomenclature et instructions techniques éventuelles, définissant sans ambiguïté les travaux des divers corps d’état. Contrôleur technique Personne physique ou morale agréée pour remplir la mission de contrôleur technique Bureau de contrôle : ( SOCOTEC ; VERITAS) Organisme choisi et rémunéré par le maître d’ouvrage, qui prend en charge le projet pour assurer la sécurité des biens et des personnes. Garantir sur le plan technique la bonne exécution, Assurer le contrôle des travaux pendant leur réalisation, Effectuer tous les essais et les mesures de contrôle, Rédiger les procès – verbaux correspondants. Entrepreneur Personne physique ou morale qui a la charge de réaliser les travaux ou les ouvrages aux conditions définies dans les pièces du marché. Entrepreneur général Entrepreneur titulaire d’un marché unique qui a pour objet l’ensemble des travaux cocourant à la réalisation d’un même ouvrage. Etudier le projet du point de vue des coûts et prix, Vérifier l’avant – métré des quantités d’ouvrages, Déterminer les prix de vente unitaires H.T. pour réaliser chaque ouvrage élémentaire ( sous – détail de prix ) , Compléter les cadres des 9
  • 10.
    Entrepreneurs groupés Entrepreneurs groupés solidaires Entrepreneursgroupés conjoints Mandataire d’un groupement Entrepreneurs titulaires chacun d’une partie du marché, après avoir étudié en commun, chacun pour sa spécialité, des travaux cocourant à la réalisation d’un ouvrage et avoir soumissionné par l’ntermédiaire d’un mandataire commun. Les entrepreneurs groupés sont solidaires si chacun d’eux est engagé pour la totalité du marché et doit palier une éventuelle défaillance de ses partenaires. Ce système est adapté au cas où les travaux ne sont pas scindés en lots. Les entreprises groupés sont conjoints lorsque les travaux étant divisés en lots, chaque entrepreneur est engagé pour le ou les lots qui lui sont assignés. Le Mandataire est la personne physique ou morale chargée de représenter un groupement d’entrepreneurs ( solidaires ou conjoints ). Il est désigné par un acte d’engagement joint à la soumission. Le Mandataire est seul habilité à recevoir les ordres de service, présenter les projets de décomptes, ou transmettre les réclamation des autres entreprises. Il assure également les tâches de pilotage du chantier. Il est le seul interlocuteur du Maître d’ouvrage et du Maître d’œuvre. Entrepreneurs séparés Entrepreneurs ayant signé indépendamment les uns des autres des marchés étudiés séparément par chacun d’eux, relatifs à des travaux concourant à la réalisation d’un même ouvrage . bordereaux de prix, Sous-traitant : Sous – traitant déclaré Sous-traitant non déclaré Désigne la personne morale chargée par l’entrepreneur de réaliser une partie des travaux. L’entrepreneur doit obtenir l’accord préalable du Maître d’œuvre avant de formaliser un contrat de sous-traitance. Lentrepreneur ne peut sous-traiter la totalité de son marché. Les documents administratifs du marché fixent parfois le pourcentage maximum du contrat qu’il est possible de sous-traiter. L’entrepreneur demeure personnellement responsable de l’exécution du marché vis-à-vis du Maître d’ouvrage. Entreprise agissant pour le compte d’un entrepreneur et déclarée au maître d’ouvrage, Entreprise agissant pour le compte d’un entrepreneur et non déclarée au maître d’ouvrage, Réaliser une partie d’ouvrage ( achat et mise en œuvre des matériaux ) . Tâcheron Entreprise individuelle, agissant pour le compte d’un entrepreneur ou d’un sous – tratant, et en charge uniquement de la mise en œuvre des matériaux. Il est rémunéré à la tâche effectuée. Mise en œuvre seule des matériaux. Etablir les devis quantitatifs et estimatifs prévisionnels, Organiser le chantier, Choisir les méthodes d’exécution , Elaborer les plannings d’exécution des travaux, Dessiner les plans d’installation de chantier, Commander les matériaux nécessaires, Réaliser les ouvrages prévus, Gérer le déroulement du chantier, Etablir le métré des ouvrages réalisés à comparer avec l’avant – métré, Présenter au maître d’œuvre les projets de décomptes mensuels liés aux situations de travaux. 10
  • 11.
    11 E n tr e p r e n e u r g é n é r a lE n t r e p r e n e u r g é n é r a l M a î t r e d e l ’ O u v r a g e ( M O ) B u r e a u d e c o n t r ô l e M a î t r e d ’ O e u v r e E n t r e p r e n e u r g é n é r a l P i l o t a g e i n t e r n e S T 1 S T 2 S T nS o u s - t r a i t a n t s E n t r e p r e n e u r s g r o u p é s :E n t r e p r e n e u r s g r o u p é s : s o l i d a i r e ss o l i d a i r e s M a î t r e d e l ’ O u v r a g e ( M O ) B u r e a u d e c o n t r ô l e M a î t r e d ’ O e u v r e L e p i l o t e O P C E n t r e p r i s e 1 E n t r e p r i s e 2 E n t r e p r i s e n
  • 12.
    E n tr e p r e n e u r s g r o u p é sE n t r e p r e n e u r s g r o u p é s 12 M a î t r e d e l ’ O u v r a g e ( M O ) B u r e a u d e c o n t r ô l e M a î t r e d ’ O e u v r e L e p i l o t e O P C ( m a n d a t a i r e d e s e n t r e p r i s e s ) E n t r e p r i s e 1 E n t r e p r i s e 2 E n t r e p r i s e n E n t r e p r e n e u r s g r o u p é s : a v e c c e l l u l eE n t r e p r e n e u r s g r o u p é s : a v e c c e l l u l e d e s y n t h è s ed e s y n t h è s e M a î t r e d e l ’ O u v r a g e ( M O ) B u r e a u d e c o n t r ô l e M a î t r e d ’ O e u v r e L e p i l o t e O P C ( m a n d a t a i r e d e s e n t r e p r i s e s ) E n t r e p r i s e 1 E n t r e p r i s e 2 E n t r e p r i s e n L a c e l l u l e d e s y n t h è s e
  • 13.
    1-4 : L’organisationinterne de l’entreprise a) quelques fonctions essentielles on peut distinguer au moins 4 fonctions essentielles dans l’entreprise : - technique : préparer, organiser, faire exécuter l’ouvrage - financière : rechercher et gérer des capitaux - comptable : inventaire, bilan, prix de revient, prévision et contrôle des dépenses - administrative : prévoir, organiser, commander, coordonner et contrôler. b) exemple d’organigramme d’une entreprise moyenne direction technique Service Travaux Service Etudes Service Personnel Service Comptabilité Service Approvision- nement Direction administrative et financière Chef d’entreprise Chef de chantier Equipe N°1 Equipe N°2 Equipe N°3 Chef d’équipe Chef d’équipe Chef de chantier Conducteur de travaux Personnel : I.A.C. Personnel E.T.A.M. Main d’œuvre ouvrière 13
  • 14.
    Interfaces o Main d’œuvreouvrière Personnel ETAM (Employés*Techniciens*Agents de Maîtrise ) Personnel I.A.C. (Ingénieur*Assimilés* Cadres ) c) Les principaux services d’une direction technique: La direction technique peut comprendre les services suivants : - le bureau d’études, - le bureau d’estimation et de commande, - le bureau des travaux, - le bureau des méthodes, - le service matériel. 1.Le bureau d’études : ¤ il est chargé d’établir après calculs appropriés, les plans d’exécution (coffrage, ferraillage, préfabrication, montage...) à partir des plans du DAO; les calculs B.A. sont parfois réalisés par des bureaux d’études spécialisés extérieurs à l’entreprise adjudicataire; ils peuvent être imposés par le maître d’œuvre. ¤ il participe à l’établissement des soumissions pour répondre aux appels d’offres; ¤ il comprend des dessinateurs, des calculateurs,... 2.Le bureau d’estimation et de commande : ¤ il est chargé de chiffrer les commandes d’après les plans, de contacter fournisseurs et sous- traitants, d’établir les situations mensuelles de travaux et les mémoires; au stade de l’adjudication, il est chargé d’établir le prix de revient d’une offre; ¤ il comprend essentiellement des métreurs 3.Le bureau des travaux : ¤ il est chargé de mobiliser et ouvrir les chantiers, de faire exécuter les travaux selon les plans fournis et les règles de l’art, en respectant les plannings, les prix découlant du marché concerné; ¤ il assure l’approvisionnement des chantiers, surveille, contrôle le déroulement des travaux, fait appliquer les règlements d’hygiène et de sécurité; ¤ il comprend des conducteurs de travaux, des chefs de chantiers, des commis de chantiers, le personnel d’exécution. 4.Le bureau des méthodes : ¤ il fait les études de prix : chiffrer les ouvrages élémentaires, les temps élémentaires; ¤ il établit les documents de préparation de chantier : -plans d’aménagement général -fiches d’instruction détaillées sur les modes opératoires, avec introduction des dispositifs de sécurité dans le processus d’exécution (organisation des postes de travail) -plannings d’ordonnancement et d’exécution (approvisionnements, rotation d’équipes spécialisées et de matériels...) 14
  • 15.
    5.Le service matériel: il gère le parc matériel: il est chargé d’entreposer, d’acheminer, d’entretenir et de réparer le matériel et l’outillage nécessaires au fonctionnement des chantiers: -mise à jour des fiches de stocks du service magasin; -codification du matériel avec fiches d’emploi; -planning d’utilisation, de contrôle périodique; -centralisation des mouvements de matériels (il reçoit les prévisions des services intéressés et organise la rotation des camions); -travaux d’installation des engins sur les chantiers. 1-5 : Rôles spécifiques du conducteur des travaux et du chef de chantier. a) Le conducteur des travaux : Il élabore le devis matière prévisionnel faisant ressortir les besoins en personnel, matériel, matériaux avec leurs coûts nécessaires à l’exécution des travaux ; Il élabore le planning d’exécution des travaux ; Il dresse le planning d’utilisation du matériel et du personnel ( ordre d’acheminement du personnel et du matériel ) conformément au planning d’exécution ; Il identifie les problèmes techniques de terrains et les résout ou les transmet à son chef pour résolution ; Il établit les attachements en vue de l’établissement des décomptes ; Il assure le suivi budgétaire du chantier ( bonne exécution du devis ) ; Il supervise les activités des autres intervenants sur le chantier ( chef de chantier ) ; Il prépare l’exécution du travail : commande de matériel et d’outillage, demande d’études et de main-d’œuvre, approvisionnements. Il suit l’exécution du chantier et le respect du planning, fait les croquis nécessaires, participe aux réceptions ; Il prépare la facturation et peut assister aux rendez-vous. b) Le chef de chantier : C’est le technicien de l’exécution proprement dite, la charnière entre la main-d’œuvre ouvrière et les intellectuels du siège. C’est l’homme des travaux. Il répartit les tâches aux chefs d’équipes ; Il établit les rapports hebdomadaires et journaliers avec l’aide du commis pointeur ; Il contrôle et vérifie la bonne exécution des tâches confiées aux chefs d’équipes ; Il gère le personnel et le matériel sous sa responsabilité ; Il dispose des hommes, du matériel et des matériaux nécessaires à l’exercice de sa fonction ; Il met en application les règlements d’hygiène et de sécurité sur le chantier ; Il assure l’organisation, le commandement d’un ou plusieurs chantiers, l’exécution des travaux d’après les plans, en se conformant aux règles de l’art, et en respectant les règlements en vigueur et le programme établi ; Il prévoit les besoins du chantier en main-d’œuvre, matériaux, matériels et outillage dont il assure le meilleur emploi, participe aux rendez-vous de chantier ; Il assure l’implantation des ouvrages et les tracés. 15
  • 16.
    C’est le chefde famille du chantier et à ce titre, il doit avoir une bonne moralité et les qualités humaines requises pour entretenir une ambiance de famille propice au travail. Il est le garant de la discipline sur le chantier. Le chef de chantier possède des collaborateurs qui l’aident directement dans l’exécution de ses tâches. Il s’agit de : Personnel d’appui technique : topographe, mécanicien,… Personnel administratif et de gestion : magasinier, commis, gestionnaire,… Ils concourent tous à la bonne exécution des tâches du chef de chantier. Comme tous les autres techniciens du génie civil, le langage commun est le dessin graphique et la technologie de la construction. ¤ Lieu où l’on construit Définition d’un Chantier : ¤ L’ouvrage à réaliser ¤ Le temps ¤ Limite dans le temps et dans l’espace ( Caractère dynamique ) ¤ Unicité et caractère spécifique de chaque ouvrage Nature d’un chantier : ¤ Le lieu = Une Constante ¤ L’ouvrage est défini en fonction de ( le temps + budget = variables dans le temps ) ¤ Le temps+l’espace+le lieu+le budget = Contraintes de réalisation du projet Evolution d’un chantier : ¤ Du site ¤ De la méthodologie d’exécution Organisation ¤ De la gestion des ressources ¤ De la vie sur le site ¤ De la planification des activités Préparation ¤ De la planification des ressources ¤ De la gestion opérationnelle 16
  • 17.
    CHAPITRE 2 :LA GESTION DES INTERFACES La Pyramide de l’entreprise : I.A.C ETAM Main d’œuvre ouvrière FLUX REFLUX ¤ Les FLUX sont les communications descendantes du sommet de la Pyramide vers la base. La transmission est assurée par les différentes couches de la structure de l’entreprise. ¤ Les REFLUX correspondent aux communications ascendantes de la base vers le sommet. Ce sont les retours d’information ( feedback ). PERSONNEL ADMINISTRATIFTECHNICIENS DIRECTION Réseaux de communication ( Formel et informel ) Gestion des Interfaces 17
  • 18.
    Ces différents processusdynamiques ( formels et informels ), mettent en évidence les impératifs d’une gestion adéquate des interfaces 2-1 : Rapports avec la Direction Ces rapports sont les plus difficiles à établir et à maintenir pour les raisons suivantes : 2-1-a) Ambiguïté des stratégies, buts et onjectifs : En gestion des processus de communication dans l’entreprise, on met souvent l’accent sur l’importance d’objectifs clairs, précis et mesurables. En pratique, ce n’est pas souvent facile à réaliser. L’hésitation des chefs d’entreprise à formuler des buts et objectifs trop précis s’explique pour des raisons suivantes : Effet de centralisation : L’annonce de buts trop précis peut : - centraliser la firme, - fixer trop rapidement les positions, - éliminer la créativité, - réduire les choix d’options Opposition : Les chefs d’entreprise craignent de fournir trop facilement à leurs opposants des moyens de défense, Ils hésitent à rendre explicits des buts et politiques susceptibles de porter à controverse. Marge de manœuvre : Les chefs d’entreprise souhaitent généralement retarder le plus possible le moment de la prise de décision, afin de pouvoir profiter jusqu’au dernier moment des opportunités imprévues. Concurrence : Les chefs d’entreprise hésitent souvent à fournir à leurs concurrents des informations stratégiques trop précises sur les décisions prochaines : certains d’entre eux annoncent les stratégies de l’entreprise une fois leur mise en place effectuée. Les décisions pour lesquelles des objectifs clairs, précis et mesurables peuvent être établis, sont les plus faciles à identifier par tout le personnel. Cependant, un autre aspect concerne les intérêts. Il est nécessaire de faire l’équilibre entre les intérêts de tous dans une entreprise. Ainsi donc, les objectifs sont très fluides. Assurer leur cohérence à l’intérieur de l’organisation exige beaucoup d’énergie parce que chacun les interprète à sa façon, les colore de ses biais personnels et même les évalue en fonction de ses intérêts propres. Il est également très important de mentionner la relation entre les objectifs et les moyens mis en œuvre pour les atteindre. 18
  • 19.
    2-1-b) Ambiguïté d’attitudes Unautre ensemble de considérations, intangibles mais combien significatifs, concerne les attitudes que les dirigeants d’entreprises adoptent dans la gestion des interfaces. Ces attitudes sont l’expression de croyances fondamentales, et indiquent clairement l’importance que représentent les différents projets, activités ou chantiers, aux yeux de la direction. Le manque d’intérêt de la part des hauts dirigeants affecte la crédibilité du projet et mine la dynamique des énergies des équipes. Quand les attitudes du chef d’entreprise semblent inappropriées, ceci complique la gestion des flux jusqu’à rendre la communication impossible. Ce manque d’intérêt doit absolument trouver une solution. Autant la direction doit s’efforcer de comprendre les doléances des techniciens et du personnel administratif, pour autant l’ensemble du personnel doit s’efforcer de comprendre les préoccupations globales de la haute direction. 2-1-c) La nécessité de mécanismes formels Il est nécessaire d’établir des mécanismes formels pour faciliter la gestion des flux entre les équipes ( techniciens et personnel administratif ) et la haute direction. Ces mécanismes sont : L’établissement d’un comité directeur, La mise en place d’un plan directeur. Objectifs PERSONNEL ADMINISTRATIFTECHNICIENS HAUTE DIRECTION COMITE DIRECTEUR Plan Directeur Politiques Générales Stratégies Buts Priorités Budget Réseaux formels de communication pour la Gestion des Interfaces 19
  • 20.
    A) Le comitédirecteur : Ce comité est investi des pouvoirs que lui donne la haute direction. Un comité directeur doit être : Responsable, Dynamique, Exigeant. Cependant, ce comité doit éviter d’être : Un comité d’acceptation, Un comité conservateur et distant. Les buts fixés par le comité directeur sont : Veiller à la formulation d’objectfs clairs et précis, Etablir les priorités, Attribution des tâches et contrôle de mise en application, Suivre l’avancement ( quantitatif et qualitatif ) des divers projets. Pour remplir ce rôle, le comité directeur doit : Se composer de membres de la haute direction, Intégrer le processus de planification mis en place par le chef d’entreprise, Veiller à établir des standards et des procédures simples pour le lancement, l’établissement des rapports d’avancement et les analyses avantages/coûts, Maintenir son autorité et sa crédibilité par une prise de décision efficace et impartiale. B) Le plan directeur Le plan directeur constitue l’un des principaux outils dont dispose l’entreprise pour orienter les systèmes selon une planification d’ensemble. Le plan directeur doit être : Clairement établi, Compris et largement diffusé, Dynamique et avec une capacité de s’ajuster aux nouvelles situations et priorités de l’entreprise, La haute direction et le comité directeur doivent s’engager unanimement sur les principes de mise en œuvre du plan directeur et sur les orientations établies. Il faut qu’au plan directeur soient associés des mécanismes de revue, de suivi et de contrôle. C’est à ce titre que le plan directeur peut réellement représenter un moyen valable de gestion des flux de communication et de planification. Le contenu du plan directeur : Evaluation des besoins : Etat des équipements disponibles et leur utilisation, Evaluation des ressources humaines ( personnel d’exploitation, d’entretien et personnel administratif ), Les procédures de contrôle et les normes de sécurité, Les niveaux de compétence et de motivation du personnel, Evaluation des points forts/points faibles de l’entreprise, Identifier les pressions en vue d’un changement. 20
  • 21.
    Ces pressions oubesoins peuvent provenir de : Changements dans les politiques de l’entreprise ( décentralisation, réorganisation administrative, diversification, acquisition, etc… ), Changements technologiques ( baisse des coûts d’équipements, etc… ), Contraintes législatives ( confidentialité des données, divulgation, etc.. ), Pression des consommateurs pour l’amélioration des services de meilleure qualité, Identifier les possibilités pour améliorer le rendement : Réaménagement des effectifs, Réduction des coûts, Formation des employés. Chaque solution sera évaluée et quantifiée pour mieux identifier les critères de rendement et de bénéfices attendus. On peut envisager l’élaboration du plan directeur selon une approche en six étapes couvrant les différents éléments décrits précédemment. ETAPES POINTS DE CONTRÔLES 1. Planification de l’étude : Activités : - Examen du contexte actuel (organisation, technologie, législatif,…), - Détermination du calendrier de l’étude, - Etablissement des mécanismes de revue de projet. Résultats : - Plan de travail et calendrier des rencontres, - Structure du rapport final. Revue du plan de travail avec la direction 2. Collecte des besoins : Activités : - Identification des fonctions actelles et désirées, - Documentations sur les différents processus actuels, - Elaboration d’un modèle conceptuel regroupant l’ensemble des principaux processus, - Identification et documentation des problèmes liés aux processus, - Identification des processus-clés (actuels et futurs ) pour réaliser les objectifs. Résultats : - Modélisation des processus actuels en mettant l’accent sur les activités en cours et futures dans l’entreprise. - Enoncé des besoins. 21
  • 22.
    3. Analyse desbesoins : Activités : - Documentation des besoins par secteur d’activités selon une typologie permettant de distinguer les besoins de gestion stratégique, de contrôle et de gestion opérationnelle, - Documentation des besoins au niveau : • fonctionnel ( fonctions requises ), • quantitatif (volume, périodicité ), • qualitatif ( seuil de conformité ), - Soumission à la direction d’une liste de priorités quant aux actions suggérées. Résultats : - Description des besoins par secteur d’activités ( aspects fonctionnels, qualitatifs et quantitatif ) - Description des actions envisagées, - Liste des priorités. Revue des priorités : - Revue et établissement des priorités par la direction. 4. Orientations générales : Activités : - Synthèse des données recueillies pour dégager les constatations d’ensemble et les faits saillants de la situation actuelle, telles que : • objectifs d’entreprise, • besoins et contraintes, - Les orientations organisationnelles et technologiques fondamentales envisagées pour les années futures : • politiques de fonctionnement ( rôles et responsabilités ), • centralisation et/ou décentralisation, Résultats : - Enoncé d’orientations générales. 5. Choix possibles Activités : - Détermination des changements à apporter aux politiques actuelles, - Détermination des ressources humaines et financières requises pour l’élaboration, la mise en œuvre et l’exploitation des différents chantiers, - Analyse avantages/coûts. Résultats : - Analyse comparative des choix possibles ( description, coûts d’élaboration ), Revue des choix possibles 22
  • 23.
    6. Choix del’orientation Activités : - Préparation des recommandations d’orientation ( relevé des bénéfices ), - Revue et discussion des recommandations avec la haute direction, - Description détaillée de l’orientation retenue, - Calendrier de réalisation : • effectifs, • équipements, • budgets, Résultats : - Recommandation du choix, - Plan de réalisation - Rapport final. Présentation du rapport final : ( contenu type du rapport final ) 1) Sommaire à la direction, 2) L’étude, 3) La situation actuelle, 4) Description des besoins, des actions et des priorités, 5) Les caractéristiques des orientations générales ( politiques de fonctionnement, orientations organisationnelles et technologiques ), 6) Les choix possibles ( politiques de gestion, équipements et ressources humaines,..), 7) Analyse avantages/coûts, 8) Recommandations, 9) Plan d’action. 2-2 : Rapport avec le personnel administratif Les rapports avec le personnel administratif représentent la pierre d’achoppement de plusieurs projets par rapport aux techniciens. Le personnel des équipes techniques trouve que le personnel administratif est inconstant, change constamment d’idées et ne parvient pas à définir clairement leurs besoins. Le personnel administratif doit aussi vérifier et approuver les différents résultats fournis par les techniciens. Certaines demandes de changement peuvent intervenir selon les demandes exprimées par le client ou bénéficiaire du projet. Il faut veiller au dépassement du budget disponible. Certains tiraillements peuvent entraîner des conflits capables de compromettre le succès du projet. Les échanges entre techniciens et personnel administratif sont extrêmement importants. Il faut s’assurer que la communication soit constante, franche et sous l’enseigne de la recherche de solutions à des coûts les plus bas possibles. Le personnel administratif est émotif, loyal à l’entreprise et orienté vers le court terme. 2-3 : Rapports avec les techniciens Les projets prennent fréquemment en compte les intérêts propres des techniciens. Il est donc souhaitable d’envisager un ensemble de relations symétriques dans l’entreprise, pour permettre une juste perspective des contributions de chacun. Le projet requiert des équipes affectées à la réalisation des travaux sur le chantier ; de plus le projet est assujetti aux politiques, normes et standards. Les réunions de chantier doivent permettre d’obtenir des feedback importants. Les techniciens sont rationnels de nature et orientés vers le long terme. 23
  • 24.
    Les résultats desystème et résultats de gestion : Tout chantier doit donner des résultats rapides et efficaces. Ainsi donc, un des facteurs de succès d’un projet réside en sa capacité de produire les résultats attendus. Les résultats doivent donc être tangibles. Ces résultats varient d’une phase à l’autre. Ces résultats peuvent se regrouper en deux grandes catégories : Les résultats de système : Ce sont les résultats du projet reliés directement à la problématique et à la solution identifiée : Il s’agit du rapport d’étude d’opportunité, Du rapport d’analyse du système actuel, Des résultats d’essais, etc…. Ces résultats sont soumis à la révision et à l’approbation par les responsables du chantier. Les résultats de gestion : Ce sont les résultats du projet reliés à la gestion proprement dite du projet. Il s’agit de : Plans de contrôle, Estimations des coûts, Partage des rôles et responsabilités. En résumé, les rapports entre les techniciens, personnel administratifs et la haute direction présentent des difficultés particulières parce que les objectifs et attitudes sont parfois difficiles à connaître. Tout projet doit fournir des résultats de système et des résultats de gestion. 24
  • 25.
    CHAPITRE 3 :LA GESTION DU PERSONNEL DE CHANTIER 3-1 : Management du personnel par le chef d’entreprise. Pour H. FAYOL ( 1916 ), les principes fondamentaux d’une bonne organisation reposent sur : L’unité de direction et de commandement, La hiérarchie, La discipline, L’autorité, La division du travail, L’ordre, L’équité, La responsabilité, L’esprit d’équipe, La tenue des dossiers du personnel : - Documents d’embauche, - Fiche individuelle de renseignements, - Fiche de poste, - Fiche de congés, - Fiches d’affectations et de mutations, - Fiches de promotion, - Documents de paie, - Documents des avantages sociaux. Ces principes, joints aux fonctions majeures qui sont : Prévoir, Organiser, Commander, Coordonner, Contrôler. Forment les composantes du rôle du chef d’entreprise. Les développements récents mettent l’accent sur les fonctions d’animation, d’encadrement des équipes et une plus grande prise en compte de la communication. La gestion du personnel a une dimension technique incontournable et dont la connaissance permet une utilisation optimum des ressources humaines de l’entreprise. Ces techniques doivent être maîtrisées par le chef d’entreprise et concernent : Le recrutement, La gestion prévisionnelle, Les rémunérations, La formation, L’évaluation. 3-1-a : Le recrutement : Le recrutement sous entend : La description de postes, Définition de la fiche de poste : - Les données du poste, - Le résumé des fonctions, 25
  • 26.
    - L’organigramme, - L’énoncédes compétences requises, - L’énoncé des aptitudes requises, - La description des conditions particulières. Les opérations de recrutement proprement dites, L’accueil. Ces trois activités ont pour but de fournir à l’entreprise un personnel qualifié. La description de postes : C’est un résumé précis, succinct et factuel du poste. Un exposé des exigences et des conditions de travail imposées à son titulaire. Les opérations de recrutement proprement dites : Ces opérations font appel à un processus qui fait appel à plusieurs méthodes visant à recueillir l’information sur le candidat : il s’agit de : L’administration d’un questionnaire d’embauche, Les examens psychotechniques, L’expérience professionnelle. Pour opérer un bon recrutement, les personnes appelées à conduire le processus doivent au préalable bien connaître la nature du poste à pourvoir, s’accorder sur les critères et les qualifications exigées. Le recrutement peut être interne ou externe. La lettre d’engagement constitue la phase finale de la sélection. Cette lettre d’engagement doit mentionner les éléments concernant : La qualification professionnelle, La catégorie, Le salaire, La nature du contrat (délai déterminé ou indéterminé ou renouvelable ), La durée de l’essai. L’accueil : Le processus de l’embauche prend fin avec l’embauche. Il s’agit de familiariser le nouveau venu avec l’entreprise. 3-1-b : La gestion prévisionnelle : C’est l’outil technique de gestion à long terme des ressources humaines. Elle consiste en la projection à long terme de l’état du personnel. Pour donner une plus grande probabilité de succès à la prévision, on considère généralement deux éléments : Une certaine fixité des hommes de l’organisation, Une certaine adaptation de ces mêmes hommes se traduisant par une adaptation des savoirs, des talents et des capacités techniques pour faire face à des tâches nouvelles. La prise en compte de ces deux facteurs permet l'établissement d'un cadre de réflexion prévisionnelle dont les principaux éléments sont : Les besoins en personnel à l’horizon choisi en fonction des projections de production et de l’état du système productif dans l’entreprise, Les projections des ressources en tenant compte des ( retraites, démissions, etc… ), L’ajustement des ressources dans le temps (augmentation ou réduction des effectifs ) suivant l’évolution des activités dans le temps. Cette gestion prévisionnelle se trouve dynamisée par la variante temps. 26
  • 27.
    Etapes de lagestion prévisionnelle du personnelle : Analyser les préalables ; - Déterminer la mission de l’entreprise, - Identifier les orientations et les politiques, - Identifier les besoins éventuels. Inventorier les postes et le personnel en place ; - Identifier le nombre de postes, - Identifier le personnel de l’organisation. Déterminer les prévisions en personnel ; - Identifier les besoins réels pour les années à venir, - Identifier les écarts, - Identifier le nombre de postes à créer ou à supprimer. Déterminer les postes et les effectifs excédentaires ou déficitaires ; - Inventorier ces postes, - Identifier les options pour la réaffectation du personnel en surnombre, - Identifier les options pour le recrutement du personnel manquant, - Donner les avis et conseils nécessaires. Analyser et corriger les besoins ; - Evaluer les écarts, - Etablir un plan d’action, - Appliquer les correctifs nécessaires, - Recruter les effectifs nécessaires, - Effectuer les promotions nécessaires. 3-1-c : Les rémunérations La rémunération est une des conditions de travail que l’organisation peut offrir dans la perspective de maintenir la participation des travailleurs aux objectifs fixés par le chef d’entreprise. Il s’agit d’un enjeu majeur ; la rémunération devient le facteur qui retient et incite le travailleur à la performance dans l’entreprise ou au contraire la source d’une insatisfaction de celui-ci entraînant diminution d’effort, absence ou démission. Au titre des facteurs qui balisent la fixation des salaires, nous citons : L’existence d’un salaire minimum, L’existence des salaires catégoriels minima ou salaire de base, L’égalité des salaires masculins et féminins à niveau égal, La capacité de trésorerie de l’entreprise à supporter la masse salariale, Le temps écoulé ou l’efficacité, La prise en compte des heures supplémentaires, primes et indemnités diverses. 3-1-d : La formation : La prise en charge de la formation se décompose en deux opérations qui sont : Le plan et le financement, L’évaluation. Après le diagnostique, il y a lieu d’établir la nature et la séquence des activités de formation à entreprendre à l’intérieur d’un plan. Ce plan comprendra : Le calendrier de formation, Le lieu de réalisation, Le contenu de la formation et les supports pédagogiques, 27
  • 28.
    Le mode definancement, L’évaluation et le suivi de la formation constituent une phase où se mesure l’efficacité de la formation. 3-1-e : L’évaluation : Il s’agit d’évaluer le personnel. La méthode habituelle est celle de la notation. Beaucoup d’entreprises font usage des méthodes inspirées du management participatif. Dans cette approche, l’évaluation des personnes et de leurs performances n’a plus pour but de juger et noter pour sanctionner ou rendre possible un avancement impersonnellement défini ; elle a pour but d’aider l’agent à faire son bilan de compétences, de l’aider à évaluer son potentiel et donc de l’aider à progresser. On distingue dans ce processus six étapes. 1. La description des fonctions et des postes de travail, 2. La définition des objectifs du poste et de son titulaire, 3. L’évaluation des performances de l’agent sur son poste, par entretien avec son supérieur, à partir d’un guide d’entretien, 4. Lors de l’entretien oral, l’agent aura à expliquer son point de vue et pourra librement s’exprimer devant son supérieur, 5. L’entretien a tout autant une fonction de conseil et de soutien. C’est dans cette perspective d’évolution qu’est orienté l’entretien. 6. Tout entretien doit aboutir à une fixation de nouveaux objectifs pour l’agent. 3-2 : La gestion du personnel de chantier Le rôle du chef de chantier est de bien réaliser ce qu’on lui demande et à moindre coût. Ceci nécessite une rationalité dans le travail, donc une bonne gestion des moyens mis à sa disposition. Le chef de chantier doit aider le chef d’entreprise dans la gestion du personnel en apportant sa contribution dans l’utilisation de la description des tâches : Gestion du personnel, - Recrutement et sélection du personnel de chantier, - Identification des objectifs de rendement, - Evaluation du rendement, - Identification des besoins du personnel de chantier, - Etablissement de la base de rémunération. Gestion des responsabilités, - Attribution des responsabilités, - Délimitation de l’autorité, - Etablissement des objectifs de rendement au niveau des responsables. Gestion de la production, - Standardisation du travail et des procédés, - Etablissement des normes de production. Résolution des situations contractuelles liées à : - La responsabilité du titulaire, - La coordination, - La mission, - La prise de décisions. Le personnel de chantier est composé essentiellement : du chef de chantier, des chefs d’équipes, des ouvriers qualifiés ou spécialisés, des manœuvres, des pointeurs, magasiniers, gardiens, ... 28
  • 29.
    3-2-a : Commentgérer les hommes et prévenir les conflits ? Le chef de chantier ayant sous sa coupe un effectif d’individus à gérer aura plus ou moins de facilité à exécuter son métier en fonction du jugement qu’aura de lui son personnel. Cette idée sera forgée autour de l’appréciation que feront les ouvriers de : • ses compétences techniques • son sens de pédagogie et de commandeur • sa moralité • son sens de l’équité et de la justice Pour ce faire, il devra en dehors des techniques acquises, connaître la psychologie, la mentalité de ses ouvriers au sens large du terme. De l’ambiance sociale régnant sur le chantier dépend fortement les rendements fournis par les animateurs, donc de leur efficacité. Il sera recommandé au chef de chantier afin d’éviter ou tout au moins limiter des conflits éventuels : De cultiver le respect mutuel entre ouvriers ou entre les ouvriers et leurs supérieurs, de manière à créer un esprit de famille. Le but de la manœuvre étant entre autres d’éviter des cloisonnements soit entre classes professionnelles, soit entre classes d’âges. Elaborer les caractéristiques d’un bon objectif de rendement qui consiste à : - Enoncer le résultat final et spécifique escompté, - Définir les normes de rendement se rapportant à la qualité, à la quantité, au délai, à la satisfaction du client et au coût, - Etre réaliste et réalisable, - Etre à la portée de l’employé et être motivant, - Etre contrôlable par celui qui doit le réaliser et par son supérieur hiérarchique, - Etre utile en ce qu’il répond à un besoin de l’entreprise. Le chef de chantier veillera à ce que ses hommes s’intègrent harmonieusement autant que possible dans la population locale. Il faudra alors sensibiliser le personnel au respect des dites populations. Un problème survenant entre la population et des éléments du chantier peut perturber énormément le cours des travaux. Le chef de chantier doit faire preuve de fermeté dans la gestion de ses hommes au chantier et envers tout le personnel sous ses ordres sans aucune exception. Si cette fermeté est appliquée avec équité, les effets sont souvent positifs. Il ne s’agit pas d’être méchant, car les effets seront contraires. Le chef de chantier devrait au préalable mettre en place un système d’évaluation du rendement, en se posant les questions suivantes : - Quels sont les objectifs du système d’évaluation du personnel ? - Qui sera responsble de la rédaction de l’évaluation ? - Quel est le rôle du supérieur immédiat dans l’évaluation ? - Quel est le rôle des collaborateurs ? - Qui doit coordonner le système ? - Quel formulaire utiliser ? - Quelle formation doit-on donner aux évaluateurs ? - Existe-t-il un processus de révision des évaluations ? Pour avoir le meilleur de ses hommes, le chef de chantier devra connaître leurs limites de production de manière à ne pas demander l’impossible ou sous employer le personnel. Il est donc nécessaire qu’il sache le rendement moyen des différents intervenants et exiger au moins cela afin de respecter les délais d’exécution établis par le planning et de ne pas occasionner des dépassements financiers en utilisant plus d’effectifs qu’il ne faut pour une tâche donnée. 29
  • 30.
    Le chef dechantier doit prouver qu’il maîtrise son métier en anticipant la succession des actions et éviter ou plutôt abolir toute improvisation. Il devra coordonner l’intervention des différentes équipes, prévoir les difficultés probables et penser aux solutions éventuelles avant même-que celles-ci ne surviennent. Par exemple : Éclairage à prévoir dans la journée dès lors que l’on prévoit des travaux pouvant se prolonger nuitamment. Il devra éviter autant que possible les interruptions intempestives d’action en cours, ainsi que les mouvements sans arrêt de personnel changeant d’occupation à tout moment. Il irritera le personnel et perdra dans l’efficacité. En confiant une tâche à un subordonné, il fera en sorte qu’il n’y ait aucune ambiguïté possible. Il doit s’assurer que l’intéressé a compris ce qu’on lui demande et donner toutes les explications nécessaires à l’exécution de la tâche. En cours d’exécution, il devra vérifier que l’orientation prise est celle souhaitée, et encourager l’exécutant si besoin en est. Les ouvriers aiment que l’on s’intéresse à leur travail et que l’on les apprécie : cela les stimule et les galvanise. 3-2-b : Comment éviter les conflits ? L’homme n’étant mobilisable que sur la base de ses intérêts, la diversité des effectifs sur un chantier pourrait confronter des intérêts contradictoires entraînant parfois des conflits dont la résolution n’est pas toujours évidente. Le meilleur moyen pour éviter ce genre de problème est d’avoir dès le départ, une base claire de gestion du personnel. Pour ce faire, le chef de chantier devra disposer d’outils simples accessibles à la compréhension du personnel et régissant les mesures d’organisation et de rémunération du personnel sur le chantier. Ces mesures tiendront compte de la législation du travail en vigueur dans le pays d’exécution des travaux et préciseront : le mode de recrutement du personnel les salaires ( évaluation et paiement ) les règles de discipline, d’hygiène et de sécurité les sanctions encourues,... Il faut définir clairement les obligations des travailleurs : - Un travailleur doit exécuter lui-même le travail, - Ne pas s’absenter sans autorisation au risque de perdre son salaire, - Exécuter le travail correspondant à ses aptitudes et à ses qualifications professionnelles, - Avoir la conscience professionnelle, - Etre ponctuel, - Etre loyal ( secret professionnel et non concurrence ), - Etre obéissant et respectueux, - Respecter les consignes d’hygiène et de sécurité. Nous pouvons citer quelques exemples de fautes lourdes : - Absence prolongée sans autorisation et sans justification, - Manque de conscience professionnelle accompagnée de graves négligences, - Violation de l’obligation de loyauté, - Refus d’obéissance et manque de respect, 30
  • 31.
    - Manquement àla discipline et à la bonne tenue sur les lieux de travail, - Vol et détournement au préjudice de l’employeur, - Non-paiement des salaires par le personnel de la comptabilité, - Non-mise en place des règles de sécurité par les chefs d’équipes. A cet effet, le chef de chantier utilisera les outils suivants : les fiches, cartes, notes ou tout autre document individuel d’embauche mettant officiellement le titulaire sous la responsabilité du chef de chantier, un cahier d’appel pour le pointage journalier du personnel, les fiches mensuelles et hebdomadaires de pointage ( tout pointage doit pouvoir être justifié ultérieurement ), un journal de chantier contenant toutes les quantités de travaux journaliers, hebdomadaires et mensuelles exécutées, les intempéries, les pannes, le quotidien du chantier. Il est aidé dans la tenue de ces documents par le commis pointeur. En dehors de ces documents d’usage courant, l’idéal serait que l’ensemble des mesures soit consigné dans un règlement intérieur régissant la vie sur le chantier. Exemple d’articles de règlement intérieur Art. 1 : objet 2 : horaires de travail 3 :discipline 4 : utilisation du matériel et engins 5 : interdictions 6 :modalité de paie 7 : fautes et sanctions 8 : hygiène et sécurité Quelques obligations de l’employeur : Fournir le travail prévu au contrat ; - Ne pas exiger un travail plus qualifié à un ouvrier, - Assurer de bonnes conditions de travail, - Assurer les conditions d’hygiène et de sécurité. Payer les salaires convenus en intégralité et dans les délais, Traiter le travailleur avec dignité, Exercer une surveillance morale s’il s’agit de jeunes travailleurs, Délivrer un certificat de travail ne comportant aucune mention susceptible de nuire au travailleur ( sauf cas flagrant de mauvais comportement ). Ceci étant, il sera le plus souvent fait appel au sens de jugement et à la sagesse du chef de chantier dans le règlement des litiges : le chef de chantier préférera la sensibilisation à la sévère sanction ; les sanctions doivent être progressives ; ne jamais sanctionner sans entendre les justificatifs du fautif si nécessaire ; prévoir aussi les mesures incitatives ( félicitations, encouragement, primes ) ; si nécessaire, porter le résultat ( bon ou mauvais ) des litiges au supérieur hiérarchique . 31
  • 32.
    Le chef dechantier fera les mêmes efforts qu’il demande à son personnel pour être le plus correct possible ; il devra donc rendre régulièrement compte de ses activités à son supérieur hiérarchique pour éviter tout conflit avec ses supérieurs. 3-2-c : Quelques aspects juridiques de la gestion du personnel : A) Le contrat de travail : Pour l’examen du contrat de travail, il est nécessaire d’analyser sa formation, son exécution et sa cession. Le contrat de travail est un ensemble de liens contractuels régis par le code du travail selon les textes en vigueur. Ce contrat est établi à durée déterminée ou à durée indéterminée. Avant qu’il ne soit définitivement scellé, le contrat de travail soumet les parties à une période d’essai. Ce contrat précise : Les obligations des parties, - Le travailleur doit exécuter lui-même le travail pour lequel il a été embauché avec conscience professionnelle, - L’employeur doit fournir le travail prévu au contrat dans de bonnes conditions et rémunérer le travail selon les bases du contrat signé. Les modifications et les suspensions éventuelles. - Modifications liées au changement dans la situation juridique de l’employeur, - Evénements suspensifs du contrat de travail ( la maladie, l’accident de travail ou la maladie professionnelle, le congé de maternité, le congé payé,…). La fin du contrat de travail intervient à l’arrivée du terme pour le contrat de travail à durée déterminée ou par la volonté de l’une des parties dans le cas de contrat à durée indéterminée. Dans ce dernier cas, qu’il s’agisse de licenciement ou de démission, le motif invoqué doit être légitime et le préavis doit être respecté. B) La réglementation du travail : Le règlement du travail a objet de fixer : La durée du travail : - Durée hebdomadaire du travail égale à 40h00 par semaine, - Tout travail au-delà des heures régulières donne lieu au paiement des heures suppléméntaires, - Il existe une réglementation particulière pour le travail de nuit et pendant les jours fériés, - Le travailleur peut bénéficier de congés payés après un an d’activités dont le pricipe et la durée sont fixés par les textes. L’hygiène et la sécurité du travail : - Il s’agit des mesures contre les incendies, - Soit de prévention contre les accidents de travail, - Soit de discipline générale. 32
  • 33.
    3-3 : LeCahier d’appel et la Fiche de pointage du personnel 33 FAIRE LE SUVI DU PERSONNEL DE CHANTIER : Pourquoi Faire ? Pour une bonne maîtrise du coût de revient global des travauxPour une bonne maîtrise du coût de revient global des travaux Pour ce faire on utilisePour ce faire on utilise une fiche de pointage journalièreune fiche de pointage journalière.. •• Une bonne composition des équipes de travailUne bonne composition des équipes de travail (qualité et efficacité du chantier)(qualité et efficacité du chantier) Mais aussi pour :Mais aussi pour : •• Eviter les retards d’exécution.Eviter les retards d’exécution. L ’e x p lo ita tio n d e s fic h e s d e p o in ta g e p e rm e t d ’é v a lu e r le e rs o n n e l. C e re n d e m e n t e s t é v a lu e r e n fo n c tio n d e : D e la q u a n tité e t d e la q u a lité d e tra v a u x ré a lis é s , D e l ’e ffe c tif p a r tâ c h e , D u te m p s d ’é x é c u tio n d e s tra v a u x . C e re n d e m e n t e s t e v a lu é e n L E S U I V I r e n d e m e n t d u P n o m b r e d ’h e u r e s / q u a n tité d e tâ c h e s
  • 34.
  • 35.
    FICHE DE POINTAGE LUNMAR MER JEU VEN SAM DIM 1 Maçonnerie agglo creux m2 5 1 6 12000 F/m2 72 000 F 2 Enduit extérieur m2 2 3 1 6 15 000 F/m2 90 000 F 3 Enduit intérieur m2 2 3 1 6 15 000 F/m2 90 000 F 4 Raccordement ml 2 2 300 F/ml 600 F Finition standard 5 6 7 8 9 10 11 12 13 14 15 16 17 18 19 20 21 252 600 F N° Remarques QUANTITES UDESIGNATION DES TRAVAUX TOTAL TOTAL TARIF MONTANT Nom/Société : NIGIBAU Qualification: Maçon Prénom/Adresse: Luc Compositionde l ’Equipe: +1 Chantier : ENEPGAOUA Lot : 13.b/ Maçonnerie Semaine : 25/2000 Le Conducteur des Travaux Le Chef dechantier Le commis pointeur 35
  • 36.
    Heures Travaillées Absences FICHEDEPOINTAGE Nom&Prénon:OUEDRAOGONathanael N°Matricule:1.02.68.051.057 Emploi-catégorie:Maçon Chantier:ENEPGAOUA Semaine&Année:25/2001Lot:13.b/Maçonnerie JOURS Jour Nuit H. Nor H. Sup Maj 50% Remarques Cong. Malad. AT … LUN 8 8 MAR 8 8 MER 8 8 JEU 8 8 VEN 8 8 SAM 10 8 2 R.A.S DIM LeConducteurdesTravaux LeChefdechantier Lecommispointeur Imputationanalytique desheurestravaillées 36
  • 37.
    3-4 : LeRèglement intérieur Il a pour objet : • De favoriser les conditions de travail appropriées et efficaces, • D’assurer l’harmonie entre le personnel de la direction et le reste du personnel. Le Règlement intérieur contient : 3-4-a : Préambule – Dispositions générales • Fixation des prescriptions et les règles de vie qui régissent la discipline générale, la bonne exécution des travaux ainsi que l’hygiène et la sécurité applicables sur tous les lieux de travail de l’entreprise. • Ce règlement s’applique sans aucune restriction ni réserve à tous les travailleurs de l’entreprise à quelque catégorie professionnelle qu’ils appartiennent. • Toute personne par le fait de son embauche accepte le présent règlement et déclare s’y soumettre ultérieurement. C’est ainsi que ce règlement devient un document juridique régissant les relations de travail au sein de l’entreprise. 3-4-b : Organisation technique du travail, pointage et contrôle - Fixation de la durée de travail ; la direction se réserve d’instaurer tous modes de contrôles des heures d’entrée et sortie du personnel. - Le personnel ne peut refuser d’accomplir des heures supplémentaires demandées par le chef de chantier, si les conditions réglementaires en vigueur sont réunies. - Le non-respect de l’horaire caractérise l’indiscipline et l’irrégularité dans le travail, les sanctions disciplinaires peuvent s’en suivre. - Toute absence doit, sauf cas de force majeure, faire l’objet d’une autorisation préalable du chef de chantier. Un certificat médical indiquant la durée prévisible d’indisponibilité peut être exigé. 3-4-c : L’embauche - L’embauche du travailleur est effectuée après présentation d’un certificat de son précédent employeur attestant que l’ouvrier a quitté ce dernier libre de tout engagement. - Toute embauche de personnel est au préalable soumise à la signature par l’employeur d’une fiche pré embauche, suivie d’un contrat de travail. • Période d’essai : - Tout engagement définitif sera précédé d’une période d’essai. C’est la période pendant laquelle l’employeur appréciera les aptitudes physiques, morales et professionnelles du travailleur. - Cette période varie selon le type de contrat et pendant celle-ci, les parties ont la faculté réciproque de rompre le contrat, sans indemnité ni préavis. Durée du travail : - La durée légale de travail est de 40h00 par semaine, - De la 41ème à la 48ème heure, majoration de 15% pour heure supplémentaire, - De la 48ème heure, majoration de 35% pour heure supplémentaire, - 50% de majoration pour les heures effectuées de nuit, - 60% de majoration pour les heures effectuées de jour les dimanches et les jours fériés, - 120% de majoration pour les heures effectuées de nuit les dimanches et les jours fériés 37
  • 38.
    - En casde nécessité ou d’urgence, le travailleur peut être appelé à travailler le dimanche ou un jour férié et sera rémunéré en conséquence. 3-4-d : Permission exceptionnelle Les permissions exceptionnelles en raison d’événements familiaux sur présentation des pièces justificatives pourront être accordées dans la limite de vingt ( 20 ) jours par an selon le code du travail. - Mariage du travailleur : 3 jours - Décès du conjoint, d’un enfant ou d’un parent proche : 3 jours - Naissance d’un enfant : 3 jours Ces congés exceptionnels ne seront pas déduits du congé réglementaire et n’entraînent aucune retenue de salaire pour les travailleurs. A titre exceptionnel, la possibilité peut être accordée au travailleur de suivre un stage de perfectionnement ou d’assister à un séminaire. 3-4-e : Modalités de paiement du salaire et des congés payés Toute année de travail donne droit à un (1) mois de congé à jouissance obligatoire à la charge de l’employeur, La rémunération comprend toutes les indemnités légales, réglementaires ou conventionnelles. Les augmentations de salaire restent à la discrétion de la Direction et auront lieu une fois l’an sur la base d’une évaluation individuelle. Les salaires seront payés chaque fin de mois sur les lieux de travail ou par virement. Au cours de chaque paye, il est remis au travailleur un bulletin de paye. 3-4-f : Discipline et sanctions Il est interdit de : - Quitter son poste de travail de façon prolongé sans en avoir informé le responsable ( chef d’équipe, chef de chantier, chef d’entreprise ), - Diffuser des tracts ou de procéder à des affichages non autorisés, - Introduire des personnes étrangères dans le chantier, - Se livrer à des travaux personnels sur les lieux de travail, Fautes lourdes du travailleur : - Manque de conscience professionnelle surtout accompagnée de négligence grave ( préjudice important ), - Refus d’obéissance et manque de respect ( refus d’exécuter le travail entrant dans ses attributions et injures, coups et blessures, insolence à l’égard de l’employeur ), - Manquement à la discipline ( état d’ébriété répété, scandale sur les lieux du travail, transport clandestin de passager à bord de véhicule de service ), - Violation des règles de sécurité ( refus d’éteindre une cigarette dans un lieu inflammable, non-respect de l’équipement ou du matériel de sécurité mis à la disposition de l’employé ), - Malhonnêteté flagrante ( vol commis au préjudice de l’employeur, détournement de fond ). Fautes lourdes de l’employeur : - Non-paiementt de salaire dans le délai légal, - Non-respect des clauses contractuelles, - Violation des règles de sécurité et d’hygiène, - Injures, coups et blessures à l’adresse du travailleur. L’employeur peut être poursuivi par la juridiction compétente ( inspection du travail ). 38
  • 39.
    Procédures et sanctionsdisciplinaires En cas d’infraction au règlement intérieur, la direction peut, en considération de la gravité des fautes et de leur répétition, appliquer les sanctions suivantes : - Avertissement écrit ou réprimande, - Mise à pied d’un à trois jours, - Mise à pied de quatre à huit jours, - La sanction est signifiée par écrit au travailleur. Une demande d’explication écrite peut être demandée à l’employé. 3-4-g : Entretien des outillages et véhicules Lorsqu’une caisse à outil est confiée à un travailleur, il doit dresser un inventaire avec le magasinier avant de l’emporter sur son lieu de travail, Pour les conducteurs des véhicules et engins, toute mauvaise manipulation intentionnelle sera considéree comme faute grave. A la fin de la journée de travail, tout le matériel sera nettoyé et rangé soigneusement. 3-4-h : Disposition diverse Le règlement intérieur sera soumis au visa de l’inspection du travail et entre en vigueur après son affichage dans l’enceinte de l’entreprise et sur les chantiers à un endroit accessible à tout le personnel de l’entreprise. 39
  • 40.
    CHAPITRE 4 :LA GESTION DU MATERIEL La bonne organisation d’un chantier, donc sa rentabilité, réside pour l’essentiel dans l’état du matériel. Sans matériel sûr, il est impossible d’élaborer une bonne programmation, on fait place à l’improvisation. L’exploitation physique d’un parc matériel est soumise à un facteur essentiel : l’Aspect financier. Ce facteur est lié à l’Aspect comptable par la prise en compte des valeurs d’immobilisation sur le matériel. L’aspect financier trouve par ailleurs son importance sur la prise en compte des investissements ou acquisitions d’actifs (industriels ou financiers). Les immobilisations subissent chaque année d’exploitation ou d’exercice, une dépréciation appelée Amortissement. Cette dépréciation a pour cause, l’usure, la désuétude, le progrès technique. Certains matériels peuvent être dépréciés bien que n’ayant jamais servi, du seul fait que le progrès technique les ait rendus vétustes et inaptes à remplir rentablement leur rôle dans la production. Cette dépréciation fonctionnelle des biens a été appelée l’Obsolescence ou déclassement technologique du matériel industriel. Ces éléments interviennent dans l’élaboration des éléments comptables du Bilan et du compte de résultat ou d’exploitation. Le Bilan est l’image comptable de l’entreprise à un moment donné, généralement à la fin de chaque exercice. Le Bilan fait le rapprochement entre l’Actif = ce que l’on possède et le Passif = ce que l’on doit. Le Compte de résultat est l’image de la vie de l’entreprise ( recettes dépenses ) sur une période donnée, généralement à la fin de l’exercice. 4-1 : Les principes de bonne exploitation du matériel Le Rendement et les performances du matériel de chantier dépendent non seulement de la puissance de la force motrice, mais aussi d’autres critères qui sont : la fonction du matériel : Le chef de chantier veillera à ce que tout engin fasse le travail pour lequel il est destiné. Une utilisation non adaptée est souvent inefficace, onéreuse et nuisible au matériel. Mauvais exemples courants : - chargeur utilisé comme pelle - camion comme véhicule léger, ... les conditions d’utilisation : Les conditions d’utilisation du matériel sont essentielles pour leur longévité. Leur utilisation tiendra compte de leurs limites qui doivent être connues du chef de chantier. Exemple : - poids utiles de camions - capacité des bétonnières la maintenance : Les constructeurs donnent à l’achat les indications nécessaires à l’exécution de la tâche tout au long de l’utilisation de l’engin. Il y a des tâches d’entretien routinières dites systématiques, et les tâches périodiques préétablies, ainsi que les réparations éventuelles. 40
  • 41.
    Le chef dechantier qui n’est pas un spécialiste en la matière veillera à ce que l’équipe puisse exercer cette fonction dans les meilleures conditions. Pour les grands chantiers, cette section peut constituer une entité à elle seule avec une organisation autonome. Le chef de chantier s’informera auprès des agents responsables de cette équipe avant d’utiliser le matériel dans les conditions particulières. Exemple : faire rouler un engin de terrassement sur une grande distance complémentarité des équipements L’ensemble du matériel sur un chantier constitue souvent une chaîne et la défaillance d’un seul élément peut rendre inutilisable l’ensemble de ce matériel pour une tâche spécifique ou au mieux baisser considérablement leur rendement. Exemple : défaillance d’un bull en absence de terre gerbée pendant les travaux de remblais. L’ensemble du matériel doit donc être considéré comme une entité et le chef de chantier comme un chef de famille veillera sur l’utilisation harmonieuse et optimale de tous les engins. 4-2 : Les moyens de gestion Autant le chef de chantier avait besoin de document pour la gestion du personnel, il aura autant plus besoin de documents conçus pour lui fournir les informations nécessaires à la gestion rationnelle du matériel. Ces documents dont la tenue est assurée par les conducteurs, le magasinier et les agents de maintenance sous la supervision du chef de chantier peuvent se résumer comme suit : Le carnet de bord : C’est un carnet individuel affecté à chaque véhicule ou engin et précisant quotidiennement : - la variation des compteurs ( kilométriques ou horaires ), - la nature de la course ( voyage, travaux de chantier ), - la quantité de carburant servi, etc.… - Il permet entre autres buts de vérifier « l’emploi du temps » du véhicule au jour le jour. La fiche d’entretien ou de maintenance : Elle précise par engin les contrôles et les opérations à effectuer sur l’engin par le service de la maintenance. Cette fiche est remplie par un opérateur et visée par le responsable de la section maintenance, Elle permet à un service de maintenance assez structuré de s’assurer que tous les engins ont été entretenus et que toutes les opérations nécessaires ont été effectuées. La fiche de réparation : Elle représente la fiche médicale d’un matériel donné. 41
  • 42.
    Elle consigne lespannes survenues sur un matériel donné en précisant : - la nature de la panne - les dates de pannes et de réparation - l’identité du matériel Cette fiche sera utilisée par les équipes de réparation lors de leurs interventions sur l’engin. La fiche de consommation de pièces de rechanges : Elle consigne pour un matériel donné la situation des pièces de rechanges consommées, Elle mentionne les dates de remplacement ainsi que les coûts, Elle permet d’avoir le coût des opérations et la fréquence d’usure des pièces, Elle donne des informations utiles au service de comptabilité analytique. Le carnet ou feuille d’utilisation du matériel : Il permet de ressortir le taux d’utilisation mensuelle de chaque engin, Il précise pour l’ensemble du matériel motorisé ( engin, motopompe, etc.…) la situation ou l’utilisation au jour le jour du matériel, Il précise par jour : - s’il a travaillé - s’il est immobilisé - s’il est en panne Les informations enregistrées permettent de réaliser si le matériel est utilisé de façon optimale pour équilibrer les aspects de rendement et amortissement. Le cahier de suivi du petit matériel : C’est un cahier tenu quotidiennement par le magasinier pour suivre les mouvements du petit matériel ( pelles, pioches, brouettes, etc.…) à chaque fois que de besoin, Il permet à la fin de chaque journée ou chaque intervention de savoir si tout le matériel sorti est rentré. Une fiche mensuelle listant tout le matériel permet d’avoir l’état du petit matériel du chantier ( quantité totale, quantité usagée,…) Ces documents dont la liste n’est pas exhaustive doivent être bien tenus et judicieusement exploités pour permettre un bon suivi et une longue vie du matériel au sein de l’entreprise. 4-3 : Quelques conseils pratiques Tout engin en immobilisation sur le chantier doit avoir des raisons sérieuses d’être hors service ( prise en compte des aspects économiques ), Tout engin en fonctionnement doit être directement ou indirectement productif, tout mouvement et toute action sur le chantier doit être rentabilisée ; Éviter de garder sur le chantier du matériel en location dont on pourra s’en passer ; L’entretien et la maintenance du matériel sont essentiels et le chef de chantier veillera à disposer d’une équipe de maintenance à la hauteur de son matériel ; Les pannes intempestives du matériel sont l’ennemi n°1 du chef de chantier, à cause de la désorganisation que cela peut entraîner ; 42
  • 43.
    Lecarnetdumatériel Enregistrertouteinterventionsurlematériel *CARBURANTS/LUBRIFIANTS relevéducompteuretcoût *PNEUMATIQUES -relevéducompteur -coûtetmain-d’oeuvre *ENTRETIENPERIODIQUE -(relevéducompteur) -entretienréalisé -coûtpièces/autres -mains-d’oeuvre *REPARATIONS -(relevéducompteur) -pannereparée -coûtpièces/autres -mains-d’oeuvre FICHE D'ENTRETIEN Période……………………………. Type: ………………….Immatriculation:……………... Chauffeur:………………………. VIDANGE Date:…/…/…. à…………. Compteur(km):……….. Prixlubrifiant:……. CoûtM.O. :.……. Total :……... ENTRETIEN:Type………………………………………….. Date:…./…/... à…………Compteur(Km):………….. Prixpièces:……….. CoûtM.O. :……. Total :……….. PNEUMATIQUE Date:…./…/... à…………Compteur(Km):………….. NbePneu:….. P.U. :…. CoûtM.O. :……Total :…… Le chef de chantier veillera particulièrement à ce que l’entretien systématique du matériel soit assuré ; il précisera des horaires appropriés de manière à ce que cette tâche ne perturbe pas le bon déroulement des travaux et ne fasse pas perdre du temps. Exemple : A la descente pour permettre un bon démarrage matériel : le matériel est le nerf du chantier. 43
  • 44.
    44 FICHE ANALYTIQUE D’EXPLOITATIONANNUELLE Type de Machine : Marque : N° d’immatriculation : Valeur d’acquisition : Valeur actuelle de renouvellement : Année prévisionnelle de remplacement : Valeur d’amortissement : Tarif de location : Utilisation Coût Direct Mois Activité Km ou heures Amortiss ement Consom mation Entretien Réparation Main d’œuvre Coût direct Frais généraux Coût total général Janvier Février Mars Avril Mai Juin Juillet Aout Septembre Octobre Novembre Décembre Total Observations :……………………………………………………………………………………………………… ……………………………………………………………………………………………………………………… ……………………………………………………………………………………………………………………….
  • 45.
  • 46.
  • 47.
    4-4 : LEMATERIEL DE GENIE CIVIL Généralités sur les différents types d’engins et matériels de chantiers Le matériel est devenu le moyen principal d’entretien et de construction des ouvrages et des routes, non plus l’auxiliaire du travail manuel. La mécanisation des travaux a commencé au début du 19ème siècle avec l’apparition du moteur à vapeur, suivi de celle du moteur diesel. Cette motorisation a permis la réalisation des grands travaux et engendré la production de matériels de plus en plus performants. Ce fût d’abord les pelles sur chenilles, puis vers 1904 les premiers tracteurs sur chenilles à moteur Diesel. Aujourd’hui la puissance des engins approche et dépasse même pour quelques machines les 2 000 CV. Tout matériel de terrassement, a pour base, un châssis articulé ou rigide sur lequel sont montés les différents organes qui leur permettent de se déplacer ou de travailler grâce aux équipements qui sont spécifiques à chaque type d’engins. Quel que soit le type d’engin, la constitution de la machine est réalisée suivant des techniques de base d’une chaîne cinématique du véhicule automobile. La seule différence relève le plus souvent du mode de déplacement sur le sol : sur roues ou sur chenilles. Toutefois, on retrouve la même chaîne cinématique comprenant presque les mêmes organes : - moteur diesel, - transmission : mécanique ou hydrodynamique, - commandes finales, - direction et freinage, - équipements de travail commandés soit par câble ou hydrauliquement. moteur diesel Le moteur diesel s’est imposé aux autres systèmes de transformation d’énergie thermique en énergie mécanique pour plusieurs raisons : puissance, coût du carburant utilisé moins élevé, rendement thermique meilleur, etc. D’autre part, le moteur diesel à cycle 4 temps refroidi par eau s’adapte mieux au climat des zones tropicales. transmission La transmission de la puissance du moteur jusqu’aux roues ou aux chenilles passe par un certain nombre d’organes qui constituent la transmission. Actuellement, trois grands systèmes de transmission sont utilisés : - transmission mécanique classique avec embrayage et boîte de vitesses - transmission hydro cinétique avec convertisseur de couple et boîte power-schift - transmission hydrostatique avec pompe et moteur hydraulique. pour une machine sur chenilles, la puissance est transmise aux deux barbotins latéraux qui entraînent les chenilles par un couple et deux réducteurs latéraux appelés commandes finales. 47
  • 48.
    direction Le système dedirection qui équipe les engins est hydraulique ou assuré par débrayage. équipements Chaque catégorie d’engin est livrée avec des équipements standards ou en option. Les principaux équipements de travail sont : - godets - lames - rippers - scarificateurs - grues - bennes - treuils - fourches - potences, etc…. Tous ces équipements sont commandés soit par câbles ou hydrauliquement. caractéristiques de base d’un engin de génie civil Les caractéristiques de base servant à déterminer les performances d’un engin mobile de chantier sont: - la puissance - le poids : à vide, charge utile, poids total à charge (P T C ), répartition sur les essieux - capacité de l’engin en volume - la vitesse de déplacement : la vitesse maximum de déplacement d’un élément moteur monté sur des chaînes de roulement est de l’ordre de 11 km par heure ; la vitesse maximum de déplacement d’un élément moteur monté sur pneumatiques dépend de son utilisation opérationnelle :elle est de l’ordre de 30 km/h pour un tracteur réfouleur , et de 40 km / h pour un scraper automoteur ou un tombereau de chantier. - les dimensions des équipements : bulldozer, godet, ripper, benne, etc... - la relation poids / puissance. Les engins de génie civil sont définis et classés suivant ce rapport qui permet de déterminer les performances et les possibilités d’accélération. Il existe un rapport idéal pour chaque type de matériel. Un rapport trop faible pour un tracteur par exemple se traduira par du gaspillage du carburant et un patinage des chaînes; un rapport trop élevé dans le cas d’un camion par exemple, signifie que les accélérations seront mauvaises. Il se calcule en divisant le poids en ordre de marche par la puissance au volant. Exemple : CAT D3 : 11304 kg : 105 CV = 107,65 / 1, ce qui signifie que la machine dispose d’une puissance d’un cheval par 107,65kg de poids en ordre de marche. 48
  • 49.
    4-4-1 : Fichestechniques de quelques matériels 4-4-1-a : Le Bulldozer ou Bouteur Description et fonctionnement Le bulldozer est un engin d’excavation et de refoulement qui se compose d’un tracteur sur chenilles ou sur pneus, muni à l’avant d’une lame horizontale perpendiculaire à l’axe longitudinal du tracteur ( sens de la marche ). La lame est fixée au châssis par deux forts longerons autorisant un mouvement de montée et de descente commandé par vérins hydrauliques : -l’angle d’attaque de la lame est réglée par un vérin d’inclinaison; -le levage de la lame est assuré par deux vérins fixés au châssis à l’avant du tracteur; La lame peut avoir différentes formes selon les travaux : droite, concave, en U, ... Le bulldozer est un engin très puissant. C’est aussi un engin de transport médiocre du fait des pertes latérales de matériaux. Selon les déplacements de la lame, on a un bulldozer, un angledozer, un tiltdozer ou un tipdozer : * Bulldozer: la lame est perpendiculaire à l’axe longitudinal de l’engin; * Angledozer: la lame est inclinée dans le plan horizontal par rapport à l’axe longitudinal du tracteur ( la lame est orientée obliquement à l’axe de la marche ); la terre est alors repoussée sur un seul côté. *Tiltdozer: la lame est inclinée dans le plan vertical par rapport à l’axe longitudinal de l’engin; pratique pour le travail à flanc de coteau, sur les fossés en V. * Tipdozer: la lame peut pivoter autour de son axe horizontal pour faire varier l’angle de coupe; On peut avoir les fonctions de bulldozer, angledozer, tiltdozer et tipdozer sur un même engin à l’aide d’un équipement hydraulique. Utilisation Le bulldozer permet les travaux: - de transport jusqu’à 50 m - de défrichage, déboisement, dessouchage - de refoulement de terre, de roches désagrégées - d’exécution d’un profil - de construction de remblai sur plaine et creusement de fossé - d’excavation en ligne droite, d’étalement en couches et de compactage superficiel, de remblayage; - de mise au tas - de remorquage de force 49
  • 50.
    a- les servicesd’entretien routier utilisent les bouteurs essentiellement au débroussaillement et au décapage des emprunts ainsi qu’au foisonnement des matériaux; b- le modèle angledoser est recommandé pour le foisonnement des emprunts; c- le tiltdoser facilite la découverte des emprunts. Performances Les performances du bulldozer dépendent de celles du tracteur. -volume refoulé par passe: 1 à 3 mètres cubes -largeur de la lame: 2,30 à 4,50 m N.B. Il existe d’autres types de bulldozers ( spécialisés ): - le clearing dozer: destiné au débroussaillement et au déboisement; sa lame est spécialement lourde, munie de dents amovibles; - le threecutter: prévu pour le débroussaillement léger; il enlève les broussailles et les rejette sur les côtés; - le stumper: genre de pic court et trapu monté comme un bulldozer à l’avant et très près du tracteur; il sert essentiellement au déracinement des arbres et des souches; - le bull claim shovel: utilisé pour la manipulation et l’enterrement des ordures ménagères et des déchets. C’est un bulldozer normal, sur la lame duquel vient se rabattre un tablier dont la commande est effectuée par vérins hydrauliques. Les matériaux refoulés par la lame sont accumulés en quantité suffisante et sont maintenus dans cette position par le tablier abaissé. On relève ensuite l’ensemble lame-tablier avec son contenu. Le tracteur se rend au point de déversement et libère sa charge à la fosse. - le pushdozer: bulldozer ou angledozer dont la lame a été remplacée par un tampon galbé. C’est un tracteur destiné à pousser d’autres engins, des scrapers notamment. Un bulldozer à chenilles peut opérer efficacement sur une distance n’excédant pas 100 m. Monté sur pneus,cet engin est efficace sur 150 à 200 m. Equipement annexe: ripper porté arrière, commandé hydrauliquement, 1 à 3 dents, embouts interchangeables. Le ripper est utilisé pour le défonçage et le décapage des cuirasses. Caractéristiques des bouteurs a ) bouteur 120 H.P.; lame universelle; équipé de vérin d’inclinaison,de lame et ripper 3 dents; capacité de la lame = 3 m3; rendement horaire au gerbage sur distance de refoulement de 60 m =100 m3 b ) bouteur 155 H.P.; lame universelle; équipé de vérin d’inclinaison,de lame et ripper 3 dents; capacité de la lame = 3 m3; rendement horaire au gerbage sur distance de refoulement de 60 m =170 m3 c ) bouteur 165 HP;lame universelle;équipé de vérin d’inclinaison,de lame et ripper 3 dents; capacité de la lame = 4 m3; rendement horaire au gerbage sur distan- ce de refoulement de 60 m =250 m3 50
  • 51.
    d ) bouteur335 HP; lame universelle; équipé de vérin d’inclinaison, de lame et ripper 1 ou 3 dents; capacité de la lame = 13,8 m3;rendement horaire au gerbage sur distance de refoulement de 60 m =500 m3. quelques modèles de bulldozers - modèle D4 :puissance de 48 CV environ - modèle D6 :puissance de 75 CV environ - modèle D7 :puissance de 90 CV environ - modèle D8 :puissance de 140 CV environ 4-4-1-b : La chargeuse Description et fonctionnement C’est un engin qui est sur pneus ou sur chenilles. Les chargeuses à chenilles sont utilisées sur des terrains ou les conditions du sol sont très mauvaises. Les chargeuses sur pneus sont employées de plus en plus à cause de leur grande mobilité ( rapidité de manoeuvre, plus grande facilité de déplacement ). La chargeuse se compose d’un tracteur équipé d’un godet ou benne relevable au moyen de deux bras latéraux articulés. Le godet est basculante. La commande du levage et du basculement du godet est hydraulique. La chargeuse est l’engin de chargement le plus couramment utilisé Exemples de types de chargeuses: - chargeuse sur pneus: . chargeur de 105 H.P., godet de 1,5 m3, hauteur de déversement > 2,4 m . chargeur de 125 H.P.; godet de 2,0 m3; hauteur de déversement > 2,6 m - chargeuse à chaînes: . chargeur de 110 H.P.; godet de 1,5 m3; hauteur de déversement > 2,8 m Les chargeuses font la même fonction que les pelles mécaniques. Utilisation La chargeuse est utilisée pour: - le chargement de tous matériaux - l’excavation en plat de matériaux meubles ou désagrégés - l’excavation en butte de matériaux tendres - l’épandage et le nivellement de matériaux routiers Performances - puissance: de 60 à 800 CV - hauteur d’élévation du godet: jusqu’à 5m - capacité du godet: 3 à 7 m3; varie suivant la densité du matériau à charger. 51
  • 52.
    La capacité dugodet doit être adaptée à celle du camion. Si elle est trop faible, les temps morts diminuent le rendement. Si elle est trop importante, la suspension du camion souffre exagérément au chargement. Une règle couramment admise veut que le chargement s’effectue avec le contenu de 3 à 5 godets. Chaque engin peut être équipé de godets adaptés à des matériaux de différentes natures. Les godets doivent être pourvus de dents que l’on remplace lorsqu’elles sont usées. Remarques: Les chargeuses-pelleteuses; Certains constructeurs fabriquent des chargeuses munies à l’arrière de petites pelles rétro. Ce sont des Backhoe-loaders.Engins de chargement polyvalents, ils sont particulièrement bien adaptés aux travaux d’assainissement, d’aménagements hydro-agricoles et d’entretien d’oZuvrages hydrauliques. chargeuse-pelleteuse de 75 H.P.; godet chargeur de 750 litres; godet pelle rétro de 250 litres. 4-4-1-c : La niveleuse ou grader Description et fonctionnement La niveleuse est un engin utilisé pour les terrassements légers. Elle est soit tractée, et on l’appelle GRADER? soit automotrice, et on l’appelle MOTORGRADER. Cette dernière est beaucoup plus utilisée. La niveleuse comporte un châssis sur 4 à 6 roues à pneus au centre duquel est fixée une lame mobile. Cette lame peut prendre les positions les plus diverses: - par pivotement dans le plan horizontal, en formant un angle de 0 à 180 °c, de chaque côté de l’axe longitudinal du châssis. - par pivotement dans le plan vertical,ou elle peut être fixée à n’importe quelle inclinaison, jusqu’à la perpendiculaire au sol ( 90 ° ), sur le côté de l’engin. - elle peut être descendue ou relevée. - elle peut être déplacée latéralement. - elle peut être inclinée pour faire varier l’angle d’attaque. Pour les petits engins, la lame est généralement commandée à la main, par l’intermédiaire de volants. Pour les modèles plus lourds, les opérations sont commandées par des manettes ( vérins ). La niveleuse peut avoir des équipements auxiliaires: - on peut mettre en arrière un système à dents ( Rippers ) ou un rouleau compacteur pour damer le terrain. - on peut également placer en avant une lame frontale ou un scarificateur. 52
  • 53.
    Utilisation La niveleuse estun engin souple et polyvalent. Toutefois, elle ne peut faire des travaux aussi rudes que le bulldozer. Appelé aussi profileur, c’est l’engin de base pour les travaux d’entretien des routes. La niveleuse convient très bien aux travaux de précision. Elle permet d’exécuter: - le nivellement ou profilage ( environ 4,5 km / heure ): applanissement, épandage des matériaux, réglage final; - le creusement de fossé en V ( environ 2,5 km / heure ) - l’entretien des routes et des pistes ( reprofilage, rechargement, ...) - le déplacement de la terre ( environ 3,2 km / heure ): étalage, planage, ... - le debroussaillage - le talutage - le creusement de canal à fond plat , à profil triangulaire : construction de petits canaux d’irrigation secondaires en plaine; - le nettoyage des accotements - scarification de matériaux; - le curage des fossés de routes - malaxage et mise en place des matériaux: - le remblayage; Performances - puissance : 50 à plus de 200 CV - capacité du réservoir : 200 à 370 litres - vitesse de déplacement : 0 à 35 km / heure - longueur de la lame : 3 à 4,20 mètre;la plus courante est de l’ordre de 3,60 à 3,80 m ; la durée de la lame est de 200 à 400 heures - poids total : 6 à 13 tonnes 10-1-d : Le compacteur Description et fonctionnement Le compacteur est un engin lourd qui tasse la terre sous lui grâce à un ou plusieurs rouleaux en fonte ou plusieurs lignes de pneumatiques. Ce tassement donne au sol une plus grande compacité. Le compactage permet de réduire au minimum tout mouvement ultérieur de la surface ( tassement ou gonflement ), et d’obtenir une résistance plus élevée pour les fondations. Le compactage peut se faire par vibration ou par roulage. Les engins de compactage sont classés en trois catégories en fonction du mode de transmission de l’énergie de compactage : - les engins statiques - les engins vibrants - les engins à choc. 53
  • 54.
    les engins statiques Cesont des engins qui agissent par leur propre poids pour compacter. Ils sont soit tractés, soit automoteurs. a) les rouleaux à cylindres lisses Ils sont toujours très employés. Les bandages en acier sont disposés en tricycle, avec recouvrement d’une voie sur l’autre d’environ 10 cm. Ces rouleaux qui sont tractés ont de la peine à monter sur un remblai de quelque hauteur. Leur effet de tassement s’exerce de haut en bas. Les cylindres rigides présentent le désavantage de provoquer un bourrelet mouvant devant eux, lorsque le soubassement n’est pas rigide. Ils ont tendance à accentuer les ondulations de la surface remblayée. b) les rouleaux à pieds de mouton Ces appareils dameurs sont constitués par un ou plusieurs cylindres compresseurs montés à l’intérieur d’un cadre commun ou de plusieurs cadres attelés les uns aux autres. L’attelage est remorqué par un tracteur à chenilles. Les rouleaux sont vides, mais peuvent être remplis d’eau ou de sable pour augmenter le poids. La périphérie des cylindres est munie de pilons ou fouloirs de 18 à 23 cm de longueur, disposés en quinconce . L’appellation « pieds de mouton » provient de la similitude de l’effet des pilons avec celui du piétinement du sol par de nombreux moutons. Les pieds de mouton s’exercent de bas en haut, donc par compression ascendante. Les pilons du cylindre dameur commencent par comprimer la couche qui se trouve à 20 ou 25 cm au-dessus de la surface du sol. La compression s’opère jusqu’à ce que cette couche ait atteint une dureté suffisante pour résister à la compression des pilons. La compression des couches supérieures s’appuie alors sur une couche solide. S’ils assurent un très bon compactage en profondeur, les pieds de mouton sont inutilisables pour le compactage superficiel. On peut cependant utiliser un système de pieds de mouton amovibles. c) Les rouleaux à pneus Le compactage est assuré par des rangées de pneus. Ils sont soit tractés, soit automoteurs. La pression exercée par un compacteur à pneus sur le sol dépend de la pression de gonflage des pneus et du poids de l’ensemble. Tous les tracteurs à pneus sont lestables, soit avec des dalles, soit avec des coffres à lest. Contrairement aux pieds de mouton, les derniers centimètres de la couche supérieure sont bien compactés avec les rouleaux à pneus. Les roues avant sont décalées par rapport aux roues arrières afin que leurs traces réciproques soient intercalées. La vitesse d’opération est de 16 à 24 km / h. Les rouleaux à pneus sont efficaces sur terrain sableux et argileux. 54
  • 55.
    Les engins vibrants Pouraméliorer le compactage des remblais, on a imaginé de faire vibrer les rouleaux (ce qui augmente la densité apparente du sol ). A côté du moteur de l’engin, il y a un petit moteur à balourd qui provoque la vibration. La fréquence de vibration est assez grande ( 22 à 60 Hz ). Ils sont souvent automoteurs à tandem. Ils conviennent pour les matériaux sableux et argileux. Avec les engins de vibration, on ne doit pas trop insister sur l’opération, sinon on détruit le compactage. Il y a aussi les petits engins vibrants manuels. Les engins à choc Le damage du remblais peut se faire à la grenouille. La grenouille est une sorte de tronc de cône à l’intérieur duquel se meut un piston actionné par l’explosion commandée d’un mélange carburé ( essence ). La machine saute à la manière d’une grenouille quand l’opérateur appuie sur la manette. L’engin est dirigé à l’aide d’un cadre levier articulé. - la machine standard pèse environ 500 kg - sa hauteur est d’environ 1 m - son diamètre à la base est d’environ 0,65 m - elle saute à 30 cm de haut et avance de 13 cm par bond - elle peut faire 50 sauts à la minute et damer plus de 200 m2 à l’heure - on peut compacter des épaisseurs de 30 à 75 cm de sol Utilisation L’utilisation du compacteur dépendra des résultats donnés par l’essai Proctor du terrain. Le compactage sera fait par couches et chaque couche sera avant compactage soit humidifiée, soit exposée à l’air suivant la teneur en eau. Les terres seront régalées au bulldozer ou à la niveleuse, sur une épaisseur variant suivant le type de compacteur dont on dispose. - pieds de mouton: e = 25 cm en 15 passes - rouleaux à pneus 15 T : e = 10 cm en 6 passes - rouleaux à pneus 50 T e = 30 cm en 6 passes - rouleaux à pneus 50 T e = 50 cm en 10 passes On a souvent intérêt à augmenter plutôt le nombre de passes que le calibre de l’engin. Le type de compacteur sera choisi également en fonction de la granulométrie du sol : - cylindres vibrants: sols granulaires ou rocheux - pieds de mouton : sols plastiques un peu pauvres en eau, argile, revêtements de chaussée - pneus : argile, revêtements de chaussée - cylindres lisses : tous terrains, surtout graviers et concassés, sauf sols sableux ou terreux. 55
  • 56.
    Performances Les rouleaux vibrantsont une largeur de travail variant généralement de 1 m à 3m, et le poids de 3 tonnes à 20 tonnes. Les compacteurs à pneus ont une largeur de travail variant de 1,70 m à 3 m, et le poids opérationnel de 15 à 35 tonnes. 4-4-1-e : La pelle hydraulique Description et fonctionnement La pelle est un engin de terrassement qui travaille en station. Elle est aussi appelée pelle mécanique, ou excavateur pour chargement stationnaire. Elle est soit: - portée (sur camion, wagon,... ) - automotrice sur chenilles, pneus ou rail - à poste fixe sur socle On peut adapter plusieurs équipements sur une pelle: crochet, marteau-piqueur, grue,... C’est pourquoi on dit qu’elle est l’engin universel de terrassement. La pelle se compose d’un châssis ( qui peut être automoteur sur chenilles ou sur pneus ). Sur ce châssis est monté un bras articulé, actionné par des vérins, à l’extrémité duquel peuvent être fixés différents types d’équipements pour le terrassement. La pelle ne sert pas à transporter le matériau excavé. On utilise, autant que possible, du matériel sur pneus, car plus rapide et plus maniable. Les pelles sont montées en « tout hydraulique », c’est-à-dire que les mouvements de la pelle ( articulations de bras, rotation, déplacement de l’ensemble ) sont commandés soit par des vérins, soit par des moteurs hydrauliques. C’est pourquoi on les appelle aussi pelles hydrauliques. Utilisation La pelle est prévue pour plusieurs types de travaux: - en butte - en rétro - en dragline - en benne preneuse - avec équipements divers la pelle en butte La pelle est dite en butte lorsque son godet est disposé l’ouverture vers le haut. Dans ce cas, la pelle travaille en dessus ( chargement du bas vers le haut ). La pelle en butte permet: - l’excavation des parois verticales - la mise au tas et le chargement sur un moyen de transport - le nivellement et le décapage - l’excavation de fondations 56
  • 57.
    - l’excavation detranchées peu profondes - le travail en déblai La pelle en rétro ( ou retrocaveuse, ou pelle en fouille ) La pelle est dite en rétro lorsque son godet est disposé l’ouverture vers le bas. La pelle est retournée vers la cabine, et le chargement se fait en poussant la pelle vers le bas ( vers la cabine ).C’est un équipement réservé aux pelles de faible et moyenne capacité. L’équipement rétro permet: - l’extraction de matériau au-dessous de l’aire d’assise de la pelle, le travail pouvant s’effectuer sous l’eau, - le creusement de tranchée étroite - le creusement de canal ( assainissement, irrigation ) - le curage de fossé - l’excavation de fondations - le travail de démolition - le chargement sur moyen de transport Il est possible de monter différents types de godets rétro: . godet classique pour tranchée . godet large pour curage . godet trapézoïdal pour creusement de canaux. La pelle hydraulique rétro est donc très utilisée pour les travaux d’A.E.P., d’assainissement, de barrages ou d’aménagements hydroagricoles. la pelle en dragline ( ou pelle excavatrice à benne traînante ) Elle est utilisée dans les zones inaccessibles. On lance le godet à l’aide d’un câble ( à près de 8à m ). L’équipement dragline permet: - l’extraction de matériau au-dessous de l’aire d’assise de la pelle, qu’il à sec ou sous l’eau. - le profilage et le nettoyage de fossés et de tranchées larges. - l’édification de talus et de digues. - la formation de stock au sol. - le chargement sur matériel de transport. La pelle en dragline convient spécialement à l’extraction dans les carrières à ballastes, gravier, sable. Mais elle ne peut extraire que les matériaux meubles, terres, sables ou roches désagrégées. la pelle en benne preneuse La benne preneuse est constituée de deux coquilles, en général cylindriques, qui peuvent tourner autour de l’axe transversal. Des tirants, actionnés par un vérin, commandent l’ouverture et la fermeture de la benne. L’équipement en benne preneuse permet: - la manutention de matériaux: chargements, déchargements, stockage,... - le creusement de puits, de fondations de pieux, de piles de ponts,... - le creusement de tranchées, de fossés larges ou étroits. - les fouilles et extractions à sec ou sous l’eau. 57
  • 58.
    autres équipements despelles en dragline et en benne preneuse: - équipement en grue - équipement drop-ball ou masse tombante - équipement sonnette Performances - poids : 10 à 15 T - longueur de flèche maxima : 8 m - capacité ( c ) et largeur ( l ) maximum du godet: . godet rétro classique: C=300 à 600 L; L=1 m . godet curage C=300 à 800 L; L=1’70 m La capacité de godet est comprise entre 150 et 1500 litres. . puissance: 60 à 140 H.P. - pelle de 70 H.P.; godet de 700 L - pelle de 125 H.P.; godet de 1200 L On prévoira des engins de transport du déblai créé, d’une capacité allant de 3 à 6 fois celle de la pelle. 4-4-1-f : Le scraper Description et fonctionnement Le scraper est un engin remorqué ( par un tracteur ) et se compose d’une benne sur pneus munie à sa partie inférieure d’une lame racleuse dans le sens de la marche. C’est la profondeur à laquelle on descend la lame qui détermine l’épaisseur de la coupe. L’épaisseur de la couche enlevée peut être maintenue constante. La lame peut donc se lever et se baisser. Le scraper est muni d’un tablier oscillant pour l’obturation de la benne, et d’un éjecteur mobile ou oscillant pour le vidage de la benne. Certains scrapers sont munis d’élévateur, ce qui facilite le remplissage de la benne. C’est l’avancement de la machine qui fait monter la terre dans la benne. Le déversement est opéré sans qu’on arrête le tracteur, ce qui représente un gain de temps appréciable. Le scraper peut être automoteur; il prend alors le nom de motorscraper. Les commandes sont généralement par câbles pour les scrapers tractés. Elles sont par câbles, par vérins hydrauliques ou par moteur électrique pour les motorscrapers. Utilisation Le scraper est un engin qui sert à l’extraction de la terre, à son chargement et à son déversement. Avec cet engin, on peut faire le travail du bulldozer, du chargeur, du camion de transporteur. Les limites d’emploi des scrapers sont les suivantes: - scraper à chenilles: 30 à 300 m 58
  • 59.
    - scraper àpneus: 300 à 2000 m Performances - puissance: peut dépasser 300 CV .scraper de 330 H.P.: capacité de benne = 15 m3 . scraper élévateur de 250 H.P.: capacité de benne = 12 m3 - volume des bacs: 5 à 40 m3 ( 5 à 20 m3 pour scraper tracté; 5 à 40 m3 pour motorscraper ) - vitesse maximale: environ 60 km / h - largeur de coupe: environ 3 m Les scrapers peuvent transporter jusqu’à 2000 m3 de terre par jour. - pour un tracteur à chenilles: 0,5 m3 / cheval / h pour une distance de 300 m. - pour un tracteur à pneus: 0,3 m3 / cheval / h pour une distance de 900 m. 4-4-1-g : Les engins de transport Au titre des engins de transport, on étudiera tour à tour: - la brouette - le dumper - le camion benne La brouette a) description et fonctionnement C’est un engin de transport en bois ou métallique, avec pneumatiques. La brouette est intéressante si les distances ne sont pas trop grandes et si la main-d’oeuvre n’est pas coûteuse. b) performances - limite d’utilisation : 30 m - capacité d’une brouette : 50 à 85 litres - vitesse : 2 à 3 km / h - rendement horaire : 0,06 à 0,12 T / km Le dumper a) description et fonctionnement Le dumper est un camion à benne basculante et à faible rayon de braquage. Le poste de conduite est pivotable. b) Utilisation Les dumpers sont précieux dans les tranchées étroites et les souterrains. C’est un excellent grimpeur de côtes. c) performances - capacité: 1 à 20 m3 - vitesse : 0 à 25 km / h - rayon d’action: quelques km - rendement horaire : 1OO T / km pour 5 m3 59
  • 60.
    Le camion benne a)description et fonctionnement Le camion benne est à 4 ou 6 roues motrices. Le vidange de la benne se fait en général par basculement arrière ou latéral, à l’aide de vérins hydrauliques. La benne est métallique. Le déversement s’effectue le plus souvent par l’arrière, avec l’inconvénient de donner des tas de matériaux difficiles à régaler. Cependant, un chauffeur adroit peut avancer lentement pendant le vidange pour faciliter le régalage des matériaux. On peut trouver en variante le camion à benne amovible dit « multibenne »: la benne est constituée par une caisse qui peut être enlevée et remontée sur le châssis à l’aide de deux bras pivotant hydrauliquement. Le même camion apporte une benne vide qui est laissée pour chargement, et remporte une benne pleine. Ce procédé présente l’avantage de ne pas immobiliser le véhicule pendant le chargement. La multibenne est beaucoup utilisée pour le ramassage des ordures. b) utilisation Les camions bennes sont utilisées pour le transport de déblais, de sable, de pierres cassées. Le camion benne a l’avantage de la capacité et de la vitesse. Il s’accommode de rampes atteignant 10 à 12 %. c) performances - capacité de la benne : 0,8 à 25 m3 ( généralement de 5 à 7 m3 ) - puissance: 25 à 400 CV ( généralement de 150 à 230 CV ) - vitesse maximale : 70 km / h - en charge : . 1/3 de la charge sur essieu AV . 2/3 de la charge sur essieu AR N.B. Des petits tombereaux peuvent être utilisés pour les travaux d’ouvrages d’art. IL s’agit de bennes susceptibles de basculer autour d’un axe excentré, de telle sorte que le déchargement s’effectue sans l’aide de vérins. Ils ne sont pas adaptés aux déplacements à grande distance. 4-4-1-h : Autres matériels de chantiers de construction Dans ce chapitre, il sera essentiellement question de la grue et de la bétonnière. La grue On distingue deux types de grue: - la grue sur porteur, dérivée de la pelle - la grue à tour, en général fixe 60
  • 61.
    description et fonctionnement a)la grue sur porteur Elle se compose d’un chassais porteur, d’une plate-forme tournante reliée au châssis par une couronne d’orientation, et d’un équipement en grue. - le châssis porteur est en profilé soudé. Il est automoteur, monté sur chenilles ou sur pneus. - la couronne d’orientation, roue dentée sur laquelle tourne la plate-forme, encaisse les efforts dus à la charge, même en cours de rotation. - la plate-forme tournante reçoit l’ensemble des organes moteurs et des commandes. - l’équipement en grue peut être fixe ou mobile. b) la grue à tour Une grue à tour se compose d’un socle lesté, qui supporte une tour métallique en treillis à tubes ou à cornières. A la partie supérieure de la tour, une flèche métallique solidaire de la tour forme un chemin de roulement horizontal sur lequel peut se déplacer un chariot. Le levage de la charge se fait à partir de ce chariot mobile. Un contrepoids équilibre le poids de la flèche et de la charge. Le socle lesté de dalles de béton peut être soit fixe, soit roulant sur galets ou sur portiques. - la tour comprend deux parties: . la base solidaire du socle, que l’on monte par coulissement central ou télescopage. Les rallonges de fût sont composées de quatre panneaux démontables. Un vérin assure la montée de l’ensemble. . Une partie tournante solidaire de la flèche et dans laquelle sont installés les organes de commande et d’entraînement: cabine, treuil. Une couronne à galets assure le lien entre les deux parties de la tour. Elle est entraînée par un moteur électrique à démarrage et arrêt très progressif. - la flèche est constituée d’éléments standards que l’on assemble par boulons et broches. - le chariot est tracté par un câble s’enroulant sur le tambour d’un treuil placé en pied de flèche. Remarques: 1- Tous les entraînements se font avec des moteurs électriques. Il faut donc prévoir en même temps que la grue une source d’énergie électrique à proximité ( groupe, réseau ). 2-la grue est un engin assez délicat à cause de son moment de renversement. Il y a alors des prescriptions strictes à respecter: - vitesse de levée - vitesse de translation - variation de la portée - vitesse de rotation 61
  • 62.
    Utilisation a) la gruesur porteur C’est un engin de levage intéressant, compte tenu de sa mobilité, de son faible encombrement et de sa souplesse d’utilisation. Par contre son emploi reste délicat de par son assiette au sol assez limitée, ce qui restreint la vitesse de maneuvre et la charge admissible. b) les grues à tour Elles sont indispensables pour tous les chantiers de construction en élévation: bâtiments de plus d’un étage, châteaux d’eau, ponts, .... Elles servent au hissage des bennes à béton, des éléments préfabriqués, des fermes métalliques, à la manutention des matériaux en vrac, .....Connaissant la hauteur maximale de l’édifice prévu, on déduit la hauteur convenable de la tour de grue. On prévoit une longueur de flèche et un positionnement du socle de la grue qui permettent de couvrir toute la surface du chantier. Si la grue est posée sur rails, le champ d’action est considérablement augmenté. Le problème posé par la grue est celui de sa stabilité. On utilise des contrepoids sur la flèche et sur le socle. L’action du vent est très importante, et les constructeurs dénient en général toute responsabilité dans les cas de fonctionnement sous un vent fort ( vitesse supérieure à 70 km / h). Les caractéristiques de travail d’une grue sont: - la charge de levage - la portée - la vitesse de levage On désigne normalement une grue par sa charge de levage à portée maximum ( par exemple: 5T à 12 m). Le produit charge x portée s’appelle couple de renversement. IL s’exprime en tonnes-mètres et doit rester approximativement constant. Performances a) la grue sur porteur - portées: 10 à 35 m - hauteur de flèche: peut atteindre 64 m - charge : dépend de la portée ; ( portée x charge = constante ) - vitesse de levage: jusqu’à 60 m/ mn - vitesse de rotation: jusqu’à 4 trs / mn b) la grue à tour - hauteur sous crochet : 11m à 70 m - couple de renversement: de 350 kg à 11 m , jusqu’à 2,5 T à 45 m. - vitesse maximum de levage: de 30 m / mn à 108 m / mn. 62
  • 63.
    La bétonnière (description et fonctionnement ) C’est un appareil qui sert à faire du béton, en évitant la confection à même le sol. Le malaxage est assuré par une cuve tournante dans laquelle des palettes reprennent le mélange au cours de la rotation. On distingue 2 types de bétonnière: - les bétonnières à tambour basculant ( petites unités ). Le tambour n’est ouvert que d’un côté et tourne toujours dans le même sens. ON charge les agrégats et le ciment en penchant le tambour d’un côté (commande à main ). On redresse pour laisser s’opérer le malaxage, puis on bascule de l’autre côté pour vidanger le béton. - les bétonnières à tambour horizontal ( grandes unités ). Le tambour est ouvert des deux côtés, reste dans un axe fixe horizontal, mais peut tourner dans les deux sens. On charge le ciment et les agrégats par l’un des orifices. Des palettes malaxent le mélange dans un sens déterminé. Si on inverse la rotation, des palettes amènent progressivement le béton jusqu’à la gueule de vidange du béton. Le fonctionnement des bétonnières est assuré par un moteur à essence ou électrique. Le chargement d’une bétonnière peut se faire à la pelle, le nombre de pelletées de chaque constituant du mélange étant proportionnel au dosage imposé. Pour éviter les pertes, les bétonnières sont en général munies d’un chargeur benne dont le volume correspond à une gâchée et qui se vidange dans la cuve, de façon à ne laisser aucun dépôt dans la benne. Les bétonnières sont en principe sur pneus, ce qui permet un déplacement aisé et rapide sur chantier et sur route. Utilisation La notion importante dans une bétonnière est la quantité de béton compacté qu’elle peut fournir dans un temps donné. Le temps de malaxage est constant ( 1 à 2 mn ). L’emplacement de la bétonnière doit être bien étudié: proche des réserves agrégats, près du chantier. Performances a) bétonnières à tambour basculant - capacité : 120 à 580 L de mélange - production horaire: 20 à 30 gâchées à l’heure. b) bétonnières à tambour horizontal - capacité de malaxage: 500 à 1500 L - production horaire: 30 à 35 gâchées à l’heure Remarque: - le béton malaxé est contracté d’environ 25 % - le béton mis en place est tassé d’environ 7 % à cause de la vibration. 63
  • 64.
    matériels annexes desbétonnières Il s’agit entre autres de : la centrale à béton, la bétonnière portée, la benne à béton, la pompe à béton, le vibreur à béton. a) la centrale à béton: c’est une installation fixe composée d’une grosse bétonnière, d’un silo à ciment, des compartiments destinés à recevoir les granulats. Les opérations de dosage sont réalisées automatiquement dans une trémie. Une dragline ou un scraper automatique assure le chargement des agrégats. La centrale à béton n’est intéressante que pour les très gros chantiers. Capacité de production : 8 à 25 m3 / h b) bétonnière portée ou camion toupie: quand la distance entre la centrale à béton et le chantier est importante, on transporte le béton peu humidifié dans une bétonnière sur un camion. Cette bétonnière tourne pendant tout le trajet, ce qui évite la prise du béton. Capacité de ces engins: 6 à 10 m3 c) benne à béton: cette benne Sert à hisser le béton à la hauteur de la construction. Elles sont soit basculantes, soit à fond ouvrant. La benne doit être assez grande pour recevoir une gâchée complète. La bétonnière se déverse directement dans la benne qui est accrochée à une grue. d) pompe à béton: une pompe à béton est un appareil qui, soit à l’aide d’un piston, soit en comprimant une membrane en caoutchouc, propulse le béton liquide dans une conduite. C’est un moyen de transport du béton intéressant, si l’on a besoin de béton sous pression. e) vibreur à béton: Une fois le béton mis en place dans les coffrages, il doit être tassé pour bien remplir les vides. On peut pilonner à la main ou procéder par vibration. Il y a 3 types de vibration: - vibration des coffrages: on pose des vibrateurs pneumatiques sur les coffrages qui transmettent la vibration au béton. - vibration de surface: ce sont des plateaux vibrants que l’on déplace sur la surface du béton. - pervibration: c’est le type de vibration le plus employé, car la vibration du béton est la plus complète. Le pervibrateur se compose d’un tube à l’intérieur duquel un arbre excentré tourne à grande vitesse. Ces appareils fonctionnent à l’air comprimé ou à l’électricité. On distingue trois grandes familles ou groupes de matériels de génie civil : - le matériel de terrassement y compris le transport - le matériel d’appui ou divers. 4-4-2: le matériel de terrassement et de transport a ) les engins de chargement - les chargeuses - les pelles hydrauliques - les pelles mécaniques à câbles ( dragline ) b ) les engins de transport - la brouette - les camions-bennes ,citerne, à bitume, etc.... - les dumpers - les moto-basculeurs - les tombereaux - les véhicules utilitaires c ) les engins effectuant à la fois les opérations de chargement et de transport - les scrapers 64
  • 65.
    - les bulldozersou bouteurs d ) les engins de mise en place des matériaux - les niveleuses ou graders - les compacteurs - les finisseurs 4-4-3 : les matériels d’appui ou divers - les bétonnières - les grues - les camions-toupies - les motopompes - les compresseurs d’air ( marteaux piqueurs,les aiguilles vibrantes ...) - les groupes électrogènes, les groupes de soudure, - les dames sauteuses ou pilonneuses - les remorques diverses - etc. ... 4-4-4 : Production en terrassement de quelques engins Production: c’est le taux horaire auquel on déplace le matériau. Il s’exprime à l’aide d’unités diverses: - mètre cube en place: mètre cube de matériau mesuré à l’état normal dans le sol avant l’excavation. - mètre cube foisonné: mètre cube de matériau après excavation, et par conséquent, affecté par le foisonnement. - mètre cube compacté: mètre cube de matériau après le compactage qui a réduit son volume antérieur. En général, l’unité utilisée pour le calcul des terrassements est le mètre cube en place. 100 % Coefficient de chargement = --------------------------------------- 100 % + % de foisonnement chargement ( volume en place ) = m3 foisonné x coef. chargement 4-4-4-a : Production en terrassement manuel A-desherbage: - A la faux: 800 m2 / jour / homme - A la machette 500 m2 / jour / homme B- debroussaillage-dessouchage - végétation arbustive; arbre de diamètre = 25 cm: 115 m2 / jour / homme - végétation dense; 10 à 30 arbres par are: 80 m2 / jour / homme C- déblais en masse - sol meuble non cohésif: 3,5 m3 / jour / homme - sol meuble cohésif: 2,5 m3 // // 65
  • 66.
    - sol ferme:1,5 m3 // // - sol compact: 0,9 m3 // // - sol très compact: 0,6 m3 // // D- excavation en tranchée - profondeur = 0,60 ; - largeur = 0,30 m 1,3 m3 / jour / homme - soit 0,18 m3 / ml E-compactage - couche de 8 à 10 cm 35 m2 / jour / homme - remblais derrière bajoyers 4 m3 / // // - remblais contigus aux buses 3 m3 / // // F-transport-brouettage -couffins de 20 litres: . distance de transport de 20 m: 2 m3 / jour / homme . 60 m 1,5 m3 // // .120 m 1 m3 // // -brouette: chargement de 50 litres . distance de transport de 20 m: 9,3 m3 / jour / homme . 50 m 4,6 m3 // // 90 m 2,8 m3 // // 4-4-4-b : production des engins de terrassement A- bulldozer 1) débroussaillage: pour un D6: 25 000 m2 / jour 2) foisonnement ou gerbage en carrière ( production horaire ) D4 D6 D8 -terrain meuble 85 m3 / h 180 m3 / h 320 m3 / h -argile humide 70-------- 150------- 280-------- B- chargeur ( production horaire ) capacité du godet: .cat. 936: 1,4 m3 .cat.966: 3,1 m3 936 966 -terrain meuble 100 m3 / h 150 m3 / h -argile humide 90 m3 / h 115 m3 / h C pelle hydraulique (production horaire ): caterpilar 225 et poclain 90. capacité du godet: 960 litres - terrain meuble 120 m3 / h - argile humide 100 m3 / h 66
  • 67.
    D- scrapers (production horaire :chargement et mise en oeuvre; distance maximale de rotation = 800 m ). capacité de la benne . 613 B auto chargeur 9 m3 . 621 B 16 m3 . 623 B auto chargeur 15 m3 613 B 621 B 623 B - terrain meuble 75 m3 / h 120 m3 / h 110 m3 / h - argile humide 65 m3 / h 110 m3 / h 100 m3 / h 4-4-4-c : production des ateliers de terrassement ( déblais mis en remblais ou emprunt mis en remblais ) Les ateliers ci-dessous désignés ne constituent que des exemples pour donner des ordres de grandeurs de productions. atelier type : - 1 D6 avec ripper (bulldozer ) - 1 cat. 920 ou 966 ( chargeur ) - 3 ou 5 camions benne de 5 à 9 m3 800 m3 / jour - 1 cat. 815 (compacteur pieds de mouton ) - 1 ou 2 citernes de 7000 à 10000 L atelier type: - 1 poclain 90 ou cat. 225 (pelle hydraulique ) - 3 camions bennes de 5 à 9 m3 - 1 cat. 815 (pieds de mouton ) 800 m3 / jour - 1 citerne de 7000 L - 1 niveleuse type 120 G atelier type: - 2 scrapers auto-chargeurs type cat. 623 - 1 cat. 815 - 2 citernes de 10 000 L 1500 m3 / jour - 1 niveleuse 140 G avec rippers atelier type: - 2 scrapers type cat. 621 - 1 D8 pousseur 1800 M3 / jour - 1 cat. 815 67
  • 68.
    CHAPITRE 5 :LA GESTION DES CONSOMMABLES Introduction : Selon la nature et l’évolution des travaux, les consommables varient dans le temps. Leur gestion demande une rigueur et un sens de l’organisation. Dans le cadre de la gestion des consommables, il faut se poser quelques questions : On aura besoin de savoir : Qu’a-t-on reçu sur le chantier ? ( vérification de l’état des livraisons ) De quelle quantité en dispose-t-on ? ( Analyse prévisionnelle des stocks ) Quelle quantité a-t-on déjà utilisée ? ( Bilan des consommables sur les travaux réalisés ) Quel est l’état du disponible ? ( Bilan des stocks disponibles pour inventaire ) Que peut-on faire du disponible ? ( Programmation des commandes ) ... Autant de questions auxquelles il est nécessaire de répondre pour assurer sans interruption, le bon déroulement du chantier. Les moyens suivants sont nécessaires : - Le personnel, - Les magasins, - Clarté du lieu, - Les moyens de comptage ( exemple pour gérer le carburant ). Les stocks regroupent l’ensemble des marchandises, des matières ou fournitures, des produits finis ou travaux encours qui sont la propriété de l’entreprise. Les marchandises sont des objets, matières ou fournitures acquis par l’entreprise et destinés à être revendu en l’état. Les matières premières sont des objets, matières ou fournitures acquis par l’entreprise et destinés à être incorporés aux produits fabriqués ou transformés. Les matières consommables sont les produits, matières ou fournitures acquis par l’entreprise, qui concourent par leur consommation, d’une manière directe, à la fabrication ou à l’exploitation. Il s’agit des combustibles, produits d’entretien, fournitures d’atelier, pièces de rechange, petit outillage, carburant et lubrifiant. Mode et méthode de gestion des consommables : Méthode FIFO ( first in / first out ) = premier entré / premier sorti C’est une méthode d’épuisement des stocks par lot, Cette méthode convient particuluèrement à la gestion des produits périssables. Méthode LIFO ( last in / first out ) = dernier entré / premier sorti Cette méthode n’est pas pratique, Concentration des stocks morts par immobilisations des produits. Méthode NIFO ( next in / first out ) = prochain entré / premier sorti Cette méthode entraîne également des immobilisations importantes et n’est pas pratique. 68
  • 69.
    5-1 : lesobjectifs de la gestion des consommables Approche d’une étude de cas pour l’organisation de la gestion des stocks de consommables sur un chantier : Il faut commencer par la description de la situation actuelle : Analyse de l’organigramme et du mode fonctionnel actuel, Voir les attributions du service de maintenance, - Section poids lourd ( P.L. ), - Section véhicules légers ( V.L. ), - Section tôlerie / peinture, - Section pneumatique, - Section électricité, - Section vidanges / graissage, - Section Magasin. Faire le bilan des équipes spécialisées, Faire le bilan des équipements existants ( leur état ), Faire l’analyse des relations fonctionnelles ( gestion des interfaces ), analyse des zones d’ombre ou goulot d’étranglement, Vérification du niveau de formation des agents ( bilan des compétences ), Analyse des disponibilités budgétaires fonction des besoins réels du chantier. Analyse du mode de maintenance mis en place : - Maintenance préventive ( dépannage ), - Maintenance curative ( réparation ). Analyse du mode de conservation du matériel et des archives ( tenir compte de tout ce qui peut occasionner des pertes de temps ou des difficultés dans le suivi et contrôle des stocks), Comment sont gérérs les rebuts, organes reconditionnés et amortis, quelles sont les procédures mises en place pour la réforme du matériel amorti ? ). Analyse de la compatibilité entre les niveaux de qualification et les missions confiées aux agents. Niveau d’amortissement du matériel existant ( en terme d’âge du parc matériel par rapport à l’amortissement technique ) : - Matériel sous amortissement et fonctionnel ou hors service, - Matériel hors amortissement et fonctionnel ou hors service. Vérifier quel est le budget prévisionnel de financement du parc de matériel : - Frais de réparation, - Frais d’entretien, - Budget sectoriel pour acquisition des stocks Eu égard à tout ce qui précède et en fonction des objectifs fixés, il est nécessaire d’adopter : - Une politique d’approvisionnement, - Un méthode adéquate de gestion des stocks. 69
  • 70.
    A) Politique d’approvisionnement: Pour toute entreprise, la première nécessité est d’avoir à sa portée un stock disponible de pièces de rechange afin d’éviter toute forme d’immobilisation prolongée du matériel en panne ; cela aura pour conséquence une réduction de la production. B)Etat des Stocks : Il faut procéder à la valorisation des stocks en place par un inventaire qui peut se faire : - Manuellement, - A l’aide d’un logiciel installé pour la gestion des stocks. Faire l’analyse des circuits d’approvisionnement ( délai de livraison ) Mettre en place un service d’assurance qualité ( vérification de la qualité et de l’originalité des produits ). La bonne gestion des consommables consiste en une rationalisation des biens consommables mis à la disposition du chantier. Pour son fonctionnement, il s’agira alors de prendre les mesures pour que : - Le chantier dispose de ses besoins en consommables à tout moment, - Que les produits consommables soient conservés dans les conditions indiquées, - Que les immobilisations financières par des commandes prématurées ne soient pas effectuées, - Que des ruptures de stocks soient évitées, - Que des pertes ou des vols éventuels soient décelés à temps, - Que les approvisionnements en carburant et matériaux suivent les travaux. 5-2 : les outils de gestion Afin de réaliser les objectifs ci-dessus, le chef de chantier aura besoin d’un service approvisionnement dont les missions seront les suivantes : - Assurer les commandes, - Gérer les stocks mis en place et procéder à la distribution des pièces détachées et des outillages, - Procéder à la gestion du carburant et des lubrifiants, - Elaboration du budget prévisionnel en pièces de rechange. Le chef de chantier utilisera un certain nombre d’outils lui permettant d’avoir à tout moment la situation de son chantier en carburant et matériau et la possibilité de pouvoir prendre les dispositions nécessaires. Ce sont : a) infrastructure : Il s’agira essentiellement de magasin de stockage et des cuves à carburant. La capacité du magasin doit être suffisante pour stocker les matériaux nécessaires à une exécution sans interruption des travaux et garantir les manipulations sans difficulté. Le magasin sera conçu de manière à bien protéger les matériaux et faciliter leur stockage et leur enlèvement ( s’assurer du volume V=Lxlxh qui se traduit par la capacité de stockage. V doit être compatible aux besoins exprimés réellement sur le chantier). Le magasin sera organisé de façon à faciliter toutes les opérations de : Lancement et réception des commandes, Enregistrement sur fiche des entrées et sorties des stocks du magasin, Tenue des fiches par engin et bilan des inventaires. 70
  • 71.
    b) les documents: Afin de bien suivre l’évolution de ses stocks en carburants, lubrifiants et matériaux, le chef de chantier utilisera les documents suivants : Bons de commande précisant ( la nature, la quantité, les références s’il y a lieu, la date de livraison souhaitée ). Fiches de stock. 5-3 : Les cahiers des stocks a) Les Bons de commande fournisseurs : Ils sont établis pour : Renouveler les stocks, - Suivi du stock minimal, - Tenir compte des problèmes éventuels d’approvisionnement. Dépannage d’urgence. Le bon est établi à la comptabilité du magasin en 4 exemplaires : - 1 exemplaire pour le magasin ( liquidation des factures ), - 1 exemplaire fournisseur, - 1 exemplaire magasin ( archive double des factures ), - 1 exemplaire souche. b) Bordereaux de livraison : Les fournisseurs livrent toujours les pièces avec un bordereau de livraison. Ce document doit être visé par la personne responsable des réceptions du matériel. Le bordereau est établi en deux exemplaires : - 1 exemplaire joint aux factures pour liquidation, - 1 exemplaire pour le magasin ( archives magasin, double des factures ). c) Fiche de magasinage : Ces fiches doivent donner tous les renseignements concernant les pièces, Il sera établi une fiche par article, Un système d’index coulissant permet un contrôle facile des stocks. d) Demande de fournitures : C’est une demande établie pour obtenir du matériel ou des pièces de rechange ; Ce document est établi en 4 exemplaires : - 1 exemplaire pour le magasin, - 1 exemplaire pour le demandeur, - 1 exemplaire pour le classement dossier véhicule, - 1 exemplaire en souche. Un cahier de demandes de fournitures est tenu par la comptabilité ; Au magasin, les demandes de fournitures sont conservées dans un classeur divisé en deux rubriques ( servi ou en instance ). e) Bon de sortie : Il fait suite à la demande de fournitures, c’est le document comptable de sortie des pièces ; Il est établi en 4 exemplaires : - 1 exemplaire pour le magasin, - 1 exemplaire pour le demandeur, 71
  • 72.
    - 1 exemplairepour classement dossier véhicule, - 1 exemplaire souche. La numérotation des bons de sortie est annuelle ( 1er janvier au 31 décembre ). f) Bons de réception Des fiches de réception ou d’entrée au magasin précisant : - la nature du produit réceptionné - la date de livraison - la référence de la commande - le fournisseur - le numéro de la fiche de stock sur laquelle sera enregistrée l’entrée du produit. - des fiches de stock ( carburant et par types de matériaux ) précisant : - la nature - les entrées ( quantités et dates ) - les sorties ( quantités et dates ) - les stocks disponibles - les références de commande. Le bon de réception fait suite à la livraison des pièces par le fournisseur et c’est le document d’entrée des pièces ; Il est établi en 4 exemplaires : - 1 exemplaire pour le magasin ( joint à la facturation ), - 1 exemplaire pour le magasin ( sera joint au double des factures pour archives magasin ), - 1 exemplaire pour le magasin ( dossier réception ), - 1 exemplaire souche. g) journal des entrées et sorties : Ce document est nécessaire à la direction du matériel, afin d’avoir une vision globale des mouvements et des stocks de pièces. Il est nécessaire d’avoir à tout instant la valeur globale des entrées, des sorties et des stocks. Ce document sera tenu à partir des documents ci-avant : - Demande de fournitures, - Bon de sortie, - Bon de réception, - Bon de reversement ( utilisé pour permettre un retour de pièce au magasin ). Le chef de chantier aidera à la mise en place d’un système d’approvisionnement rapide de son chantier. Il devra maîtriser les délais de livraison et lancer les commandes avec une marge confortable pour éviter des ruptures de stocks. 72
  • 73.
    5-4 : Gestionpar stock critique Pourcentages de pertes sur matériaux courant Pourcentages de pertes sur m atériauxPourcentages de pertes sur m atériaux d’après statistiques d’entreprisesd’après statistiques d’entreprises (personnel propre à l ’entreprise)(personnel propre à l ’entreprise) Dé sig n a tio n d e s m a té ria u x U % Conduit vide ordure (V O ) hauteur d'étage (HE ). Conduit de fum ée ou de ventilation HE . E s c alier droit, hélic oïdale ou à lim on c entrale préfabriqué HE . U 1 Cales pour arm atures . G rille. Collier. Rivet. Douille. V is . B oulon. Croc het U 3 B rique. P avé de verre, c laus tra U 5 A c ier c oupé-faç onné-as s em blé HA 10 et HA 12 K g 1 A c ier c oupé-faç onné-as s em blé HA 8 K g 2 A c ier c oup-faç onné-as s em blé HA 6 F il de fer rec uit. Treillis s oudé. Tôle plane ou nervurée. F euillard galvanis é. F er plat. IP N Cornière. IP E . P rofil en U. M as tic . P ointe. P oly ane K g 3 P lâtre en s ac . P roduits butim ineux . A djuvants . Rés ine épox y . S ac c im ent. K g 5 A grégat quartz blanc . T 0 Cim ent en V rac T 1 Cailloux . Tout venant T 3 S able 0/3 à 0/5. G ravillon 5/15 à 5/25. T 5 Huile de dém oulage. Colle tuy au P V C L 3 B éton ou m ortier indus trialis é (prêt à l'em ploi ou enc ore livré par toupie) m 3 2 B allas t. B idim . Héris s on. S ablon m 3 3 M oellon. P ierre latéritique taillée m 3 5 P oly s ty rène ex pans é ou ex trudé m 3 10 D é si g n a ti o n d e s m a té r i a u x U % C o n t re -p la q u é s : C T B O , C T B X, o u b ie n B a k é lis é , s t ra t ifié . A c h a t d e p ré d a lle . C o u ve rt u re O n d u lin e . m 2 1 P la n c h e r P o u t re lle + e n t re vo u s . R vê t e m e n t d e s o l P V C m 2 2 P â t e d e ve rre . C a rre la g e . m 2 2 , 5 G rilla g e à p o u le . T ô le o n d u lé e d e c o u ve rt u re M é t a l d é p lo y é . m 2 3 A g g lo p le in o u c re u x . B T C . B riq u e e n t e rre c u it e : c re u s e o u p le in e . P la q u e o n d u lé e o u n o n F ib re -c im e n t . T u ile . m 2 5 L a in e d e ve rre . P a p ie r K ra ft . F e u t re -d ra in . m 2 1 0 L it e a u . P la n c h e . B a s t a in g . M a d rie r. C h e vro n . F o u rn it u re b o is e n g é n é ra le . m l 2 T u y a u x fib re -c im e n t , b é t o n , fo n t e , P V C o u g ré s . D ra in p la s t iq u e . B u s e . T u b e fe r, c u ivre , P V C . m l 3 B a n d e b it u m e . J o in t p la s t iq u e e x t ru d é . m l 5 E v a lu a ti o n d e p e r te s s u r m a té r ia u x L e s p e r t e s s ’ é v a lu e d if f é r a m e n t s u i v a n t l e t y p e d e m a t é r i a uL e s p e r t e s s ’ é v a lu e d if f é r a m e n t s u i v a n t le t y p e d e m a t é r ia u P e r t e s u r q u a n t it é s m is e s e n o e u v r eL e m a t é r ia u x e s t d u r ( a c ie r , b o is b r iq u e , e c t… ) P e r t e s u r q u a n t it é s a p p r o v is io n n é e s L e m a t é r ia u x e s t p u lv é r u le n t o u liq u id e ( s a b le , fu e l, c im e n t, g r a v illo n , e a u ..) L e s p e r t e s s o n t e n g é n é r a le 1 ,5 à 2 f o is p lu s im p o r t a n t e e n t r e u n e e n t r e p r is e u t ilis a n t s o n p e r s o n n e l d e c e lle u t ilis a n t d e s t a c h e r o n s ! A n o t e r :A n o t e r : 73
  • 74.
    Cas des terrassementspar pelle mécanique K (% ) faciles - M atériaux : terre non com pacte, sable, gravier - Profondeur inférieure à 40 % de la profondeur m axim ale - Vidange sur déblais, sur cam ion en fond de fouille avec un bon opérateur et sans obstacle 95 à 100 Moyennes - M atériaux : terre com pacte, sols avec m oins de 25 % de roches. - Profondeur inférieure à 50 % de la profondeur m axim ale. - Vidange sur une une large, avec quelques obstacles 83 moyennesàdifficiles - M atériaux : terre très com pacte, sols avec 50 % de roches - Profondeur inférieure à 70 % de la profondeur m axim ale. - Vidage dans des cam ions proches de l'excavateur, au m êm e niveau 75 difficiles - M atériaux : sols très com pact ou avec 75 % de roches. - Profondeur inférieure à 90 % de la profondeur m axim ale. - Vidage dans une petite zone ou travail au-dessus de canalisation, dans une tranchée. 65 trèsdifficiles - M atériaux : terrains gelés. - Profondeur supérieure à 90 % de la profondeur m axim ale. - Vidage sur une très petitezone, chargem ent du godet dans une petite "boîte", ouvriers et obstacles dans la zone de travail 55 Conditionsdetravail D escription type Exemple : Pelle mécanique ATLAS 1202D utilisée dans de conditions moyennes Rendement théorique 30 m3/heure Rendement pratique de la pelle : 30 m3/h x 0,83 = 24,9 m3/h 74 Besoin en matériaux : cas particulier des terrassements Vc > Ve Vf >Ve Ve ( )% e ec c V VV F − = ( )% e ef f V VV F − = Coefficient de contre foisonnement Coefficient de foisonnement C l a s s e N a t u r e d u m a t é r i a u x F f ( % ) F c ( % ) A A r g i l e s , l i m o n s , s a b l e s a r g i l e u x ( o u e n c o r e t e r r e vé g é t a l e ) 1 , 2 5 0 , 9 0 B S a b l e s e t g r a ve s s a b l e u s e s 1 , 1 0 1 , 0 0 C S o l m e u b l e c o n s o l i d é o u a r g i l e s e t m a r n e s e n m o t t e s ( e x . : s o l l a t é r i t i q u e ) 1 , 3 5 1 , 1 0 D S o l s r o c h e u x d é fo n c é s a u r i p p e u r , r o c h e a l t é r é e 1 , 3 0 1 , 1 5 E M a t é r i a u x r o c h e u x d e c a r r i è r e s 1 , 4 0 1 , 2 0
  • 75.
    5-5 : Gestionpar stock prévisionnel E x : O uvrage élem entaire -- L E B E T O N D E PR O PR E T E -- 1- Le sous détail de fabrication du béton de propreté, 2- Le sous détail de m ise en œ uvre du béton de propreté, 3- E t donc une m éthode 75 pour faire tout cela. 1 - PRIX ELEMENTAIRE D ’UN BETON A 150 kg Fabrication ELEMENTS HEURES m3 m3 sacs kg barres d'acier COMPOSITION CODE U DESIGNATION U QUANTITE PRIX U. OQ man sable gravier ciment Φ1 Φ2 Φ3 M/O tâcheron fournitures matériel TOTAL 1.001.fab M3 BETON à 150 kg * Ciment sac * Gravier m3 * Sable m3 * Eau l * Manœuvre h TOTAL Pour 3 de béton à 150 kg (béton de propreté), il faut : • 3 sacs de ciment à 4 900F par sac (rendu chantier), • 800 l de gravier à 27 000F/m3 (rendu chantier par camions de 7m3), • 450 l de sable à 6 000F/m3 (rendu chantier par charrette à âne), • 45 l eau à 105F/m3 (eau de ville), • Une bétonnière, dont le rendement est de 6 m3 par jour (bétonnière 250 litres) avec une équipe de 4 manœuvres ; la bétonière est louée à raison de 35 000 F/semaine. fabriquer 1 m
  • 76.
    2 - SOUSDETAIL « complet » DU BETON DE PROPRETE EL EM EN TS H EU R ES m 3 m 3 s a c s kg b a r r e s d 'a c ie r CO M PO S IT IO N C O D E U D ES IG N A TIO N U Q U A N TITE PR IX U. O Q m a n s a b le g r a v ie r c im e n t Φ 1 Φ 2 Φ 3 M /O tâ c h e r o n f o u r n itu r e s m a té r ie l TO TA L 1 .1 M L B E T O N D E P R O P R E T E * B é t o n 1 5 0 K g , y c o m p ris p e rt e 1 0 % * M a ç o n * M a n œ u vre T O T A L 1- Données issues de Le Prix unitaire pour la fabrication d ’un béton à 150 kg (voir exercice précédent) Perte estimée à la mise en oeuvre : 10 % sur le béton Cadence prévue : 100 ml en 6 j avec une équipe de 1 maçon et 2 manoeuvres (8h/jour) ; ou encore 30 ml en 6 j avec une équipe de 1 maçon et 2 tacherons Sous détail à calculer pour Caniveau1 ML de 76 votre entreprise : Béton de propreté : H = 0,05 ; L = 1,10 CANIVEAU 2- Données issues des plans du projet : ELEMENTS HEURES m3 m3 sacs kg barres d'acier COMPOSITION CODE U DESIGNA TION U QUA NTITE PRIX U. OQ man sable gravier ciment Φ 1 Φ 2 Φ 3 M/O tâcheron f ournitures matériel TOTA L 1.1 M L BETON DE PROPRETE * Béton à 150 Kg y com pris 10 % de perte m 3 0,061 39942 0,32 0,03 0,05 0,18 57 2 380 2 436 * M açon h 0,48 384 0,48 184 184 * M anœuvre h 0,96 176 0,96 169 169 TOTAL 0,48 1,28 0,03 0,05 0,18 410 2 360 2 789 Pour 1 ml de caniveau il faut : 0,05 x 1,10 x 1,10 = 0,061 m3 de béton Compte tenu d'une perte estimée à 10% il faut donc fabriquer 0,061 m3. On multiplie ainsi par 0,061 les données unitaires de fabrication Ex : 5h33/m3 x 0,061 = 0,32h de man/ml , etc. .... La cadence prévue est de 100 ml en 6 j avec une équipe de 1 maçon et 2 manoeuvres ; donc pour 1 ml de caniveau : Man : (8h/j x 6j/100ml) x 2 = 0,96 h/ml Maçon : 8h/j x 6j/100ml = 0,48h/ml 2 - SOUS DETAIL DU BETON DE PROPRETE « complet » 938 x 0,061 39 005 x 0,061
  • 77.
    CHAPITRE 6 :HYGIENE ET SECURITE En raison de la nature particulière de activités de l’entreprise et des risques que celle-ci comportent, l’hygiène et la sécurité revêtent une importance primordiale pour les travailleurs, notamment sur les chantiers et dans les secteurs d’exploitation ( carrière, centrale à béton, ateliers ). Pour la bonne marche d’un chantier, il faut un personnel sain et afin d’éviter des pertes de vie humaine et des pertes financières et sociales, il y a lieu pour les chefs de chantier de prendre des mesures de prévention pour parer à toutes éventualités ( maladies, épidémies, accidents ... ) La législation du travail impose des normes de sécurité pour la protection des travailleurs dans l’exercice de leurs fonctions. 6-1 : prévention des accidents En général, les accidents survenant sur le chantier sont dus aux motifs suivants : 1. désordre sur le chantier 2. mauvaise ou inexistence de signalisation des dangers 3. ignorance, mysticisme ( fatalisme ) du personnel 4. routine, paresse, inattention 5. fatigue, excès Pour prévenir cet état de faits, le chef de chantier devra : - Concevoir le plan d’installation du chantier en ayant à l’esprit la sécurité des personnes et des biens et organiser les déplacements sur le chantier en fonction de l’importance des moyens utilisés ; - Savoir les règlements de sécurité et de prévoyance dans son domaine d’activité et les appliquer lui-même de façon rigoureuse pour donner l’exemple ; - Faire exécuter les tâches strictement par les personnes qualifiées et habilitées et les faire utiliser le matériel adapté aux travaux tout en respectant les normes des constructeurs ; - Vérifier le bon fonctionnement du matériel avant l’usage ; - Inculquer au personnel la notion de sécurité en le sensibilisant et en lui indiquant les risques ; - Mettre des panneaux de signalisation partout où peut exister un danger et les faire respecter ; - Isoler les zones dangereuses (dépôts de carburants, dynamite,...) ; - L’accès au chantier doit être réglementé ; - Une police du chantier doit être assurée ; - Le chef doit relever toute infraction aux mesures de sécurité et sévir si nécessaire ; - Le chantier sera signalé de jour comme de nuit par des panneaux de signalisation, pré-signalisation, barrières réglementaires placées aux distances d’usage. 77
  • 78.
    6-2 : Mesuresd'hygiène sur les chantiers Pour garantir la santé du personnel et avoir le meilleur d’eux-mêmes, l’hygiène du travail doit être respectée, en particulier : Les installations de soins d’hygiène corporelle élémentaire doivent être disponibles ; L’accès des boissons alcoolisées et des ouvriers en état d’ivresse doit être interdit. Le chef de chantier prendra les précautions pour mettre à la disposition du personnel de l’eau potable sur le chantier pendant toute la durée des travaux. Sensibiliser le personnel à la prévention contre les endémies et les pandémies ; isoler les malades contagieux ( sans les abandonner ) ; Tenir un cahier de visite médicale ; Disposer d’une boîte à pharmacie pour les premiers soins éventuellement ( le contenu peut être précisé par la médecine du travail ) ; son usage est ponctuel ; Quand les conditions le permettent, il est bon de rechercher des loisirs sains pour le personnel en les encourageant à faire du sport après le service ( soit au sein du chantier, soit en s’intégrant à la population locale s’il y a lieu ) ; Faire subir les visites médicales périodiques au personnel. Locaux sanitaires à installer sur les chantiers d’une durée supérieure à quatre mois : Vestiaires : Le local doit être éclairé, aéré, nettoyé une fois par jour, pourvu d’armoires vestiaires individuelles fermant à clé, pouvant contenir des vêtements de ville et dans lesquelles il sera strictement interdit d’entreposer des produits et matériaux dangereux. Le local aura une surface convenable ( en moyenne 1 m2 par personne ). Lavabos : Il faut prévoir un robinet pour dix travailleurs. Les locaux seront équipés de savon et moyens de séchage. Poste de distribution d’eau : Prévoir de l’eau potable fraîche à raison d’au moins trois litres par jour et par travailleur Réfectoire : Si les travailleurs prennent leur repas sur le chantier, le local sera pourvu de : 1. Tables et chaises en nombre suffisant 2. Appareil ( chauffage – gamelles ) permettant de réchauffer ou cuir les aliments. 3. Un garde manger et un réfrigérateur Cabinets d’aisance : Ces locaux seront désinfectés chaque jour, prévoir un cabinet d’aisance et un urinoir pour vingt hommes et deux cabinets pour vingt femmes 78
  • 79.
    6-3 : Conduiteà tenir en cas d’accidents Malgré toute la bonne volonté du chef de chantier, il peut arriver que survienne sur son chantier un sinistre. Que faire dans ce cas ? • l’idéal serait que le chef de chantier ait des notions de secourisme pour parer au plus urgent . sans être secouriste, il doit avoir des notions minimales. • si l’accident est grave, il y a lieu d’alerter le centre le centre médical le plus proche ou les sapeurs pompiers s’ils existent et commencer à s’occuper des victimes en attendant l’arrivée des secours. • dans le cas où sans danger la victime pourrait être transportée en toute sécurité, le faire immédiatement vers le centre médical le plus proche. Après s’être occupé des blessés, le chef de chantier doit immédiatement : • prévenir ses supérieurs pour leur information et afin qu’ils saisissent les partenaires concernés dans les délais ( caisse de sécurité, assurances ). • prévenir les autorités locales ( police ou gendarmerie ) afin qu’un constat soit établi. Les accidents coûtent chers à l’entreprise et tout doit être mis en œuvre pour les éviter dans la mesure du possible. Déclaration d’accident du travail a ) La victime : La victime dispose de 24 heures pour informer son employeur. b ) L’employeur : L’employeur dispose de 48 heures pour déclarer à la caisse de sécurité sociale par lettre recommandée avec accusé de réception. La déclaration doit être effectuée sur un imprimé spécial intitulé « déclaration d’accident du travail ». Trois exemplaires sont destinés à la caisse de sécurité et un exemplaire est conservé par l’employeur. c) Carnet de soins Les soins dispensés à l’occasion d’un accident du travail ( frais de consultation , frais d’achat des médicaments, etc…), sont gratuits pour l’employé et pris en charge par l’employeur et la caisse de sécurité sociale. L’employeur doit établir un bilan périodique de soins des employés pour bénéficier de la participation de la caisse de sécurité sociale. Le carnet doit être tenu à jour pour chaque employé. d) Trousse de pharmacie Il est obligatoire de disposer sur le chantier d’une trousse de pharmacie pour les premiers soins. Les produits pharmaceutiques peuvent être fournis par la caisse de sécurité sociale selon la législation nationale en vigueur. 79
  • 80.
  • 81.