Le canal 
radio-mobile 
Année 2005/2006 – ESME/Sudria Nicolas IBRAHIM
Système de communication : petit aperçu 
Modulation signal 
Filtrage émission 
Huffman, 
Entropique 
Récepteur multi-utilisateurs 
Démodulation souple, 
Théorie de 
L’Information 
Quantification 
le canal radio-mobile 2 
Source 
Info 
Codage 
Source 
(compression) 
Modulation 
Binaire 
Codage 
canal 
Canal de 
transmission 
Filtrage réception 
Démodulation 
Signal 
Décodage 
canal 
Démodulation 
Binaire 
Décodage 
Source 
(expansion) 
Codage en Bloc, 
Codage convolutif, 
Turbo-Code 
BPSK, QAM 
TDD(GSM), 
ES (UMTS), 
OFDM(ADSL) 
AWGN, IES 
Rayleigh, 
Multi-trajet,.. 
Récepteur optimal, 
Égalisation, 
Démodulation dure 
Viterbi, MAP, 
Décodage itératif 
A/D
Interaction entre 
Forme d’onde Environnement 
Fréquence porteuse f0, 
Bande fréquentielle W 
Paysage (urbain, rural, indoor, outdoor,etc.) 
Changement (Doppler) 
Canal de 
propagation 
Modèle du canal mesures 
Paramètres du modèle 
pour les simulations!! 
le canal radio-mobile 3
Caractéristique du canal de propagation : 
1- Long terme : Variations à grande échelle 
(atténuation de propagation) 
2- Moyen terme : Effet de masque (Shadowing) 
3- Court terme : Évanouissement 
Variations propagation (long terme) 
Variation masquage (moyen terme) 
Variation mobilité (court terme) 
le canal radio-mobile 4
Forme d’onde 
C = f . λ 
Émetteur Canal récepteur 
Transmission sur 
fréquence porteuse 
Transmission en 
Bande de base 
le canal radio-mobile 5
Forme d’onde 
Modèle pour signal à bande étroite 
Le canal est fonction de la fréquence 
W 
f 
f0 
Si W << f0 le canal est considéré constant sur W 
Si W <(mais pas beaucoup) f0 le canal n’est pas considéré constant sur W 
Application : OFDM 
le canal radio-mobile 6
Forme d’onde 
Modèle de propagation de l’onde : 
PR : puissance reçue 
PT : puissance transmise 
GR : gain de l’antenne à la réception 
GT : gain de l’antenne à l’émission 
λ : longueur de l’onde transmise 
d : distance émetteur-récepteur 
le canal radio-mobile 7
Forme d’onde 
Perte due à la distance : 
d(t) : distance 
a : exposant de perte 
= 2 distance libre 
= 4 réflecteur idéal 
= 2.7 ; 3.5 cellule urbaine 
= 3 ; 5 cellule urbaine, masquage 
= 1.6 ; 1.8 bâtiments avec trajet direct 
= 4 ; 6 bâtiments, sans trajet direct 
= 2 ; 3 usine 
= … …. 
environnement 
le canal radio-mobile 8
Modèle de propagation à grande échelle 
( ) [dB] 0 
⎞ 
⎛ 
⎞ 
⎛ 
n f 
L d 
10 , log 10 log 10 α γ + + ⎟ ⎟⎠ 
= m b f h h 
0 
10 
0 
⎜ ⎜⎝ 
+ ⎟ ⎟⎠ 
⎜ ⎜⎝ 
f 
d 
Le modèle est valable pour une gamme donnée de 
distances d , γ 
fréquences f , n 
hauteur des antennes hm, hb 
modèles théoriques Modèles empiriques : 
Okumara-Hata, Walfish-Ikegami, 
Edwards et Durkin, Carey, 
Blonquist et Label, Lee, 
Breton et Walfish, 
Alsebrook et Parsons, 
etc. et etc. 
le canal radio-mobile 9
Modèle de propagation à moyenne échelle : effet de masque 
m±σ 
L [dB] 
Atténuation en loi log-normale : 
10log10(d) 
( ) 
⎞ 
⎟ ⎟⎠ 
⎛ − 
P g g m 
⎜ ⎜⎝ 
exp 
( ) 1 
= − 2 
2 
2 2 
πσ σ 
2 
Suivant les environnements, l’écart type peut varier entre 2 et 12 dB 
le canal radio-mobile 10
Modèle de propagation à court terme : canal à évanouissement ( fading ) 
Long et moyen terme 
Variation à court terme, 
Diffraction dans le voisinage du récepteur 
Dans le voisinage du récepteur, des faisceaux « microscopique* »se forment 
le contenu d’un faisceau change les variations surgissent : 
constructives : amplification 
destructive : évanouissement 
Le changement est rapide les évanouissements sont en court terme 
* microscopique par rapport à la longueur d’onde !! 
le canal radio-mobile 11
Modélisation temporelle de l’évanouissement 
Modèle de Rician, Rayleigh (différence par rapport à la domination du trajet direct) 
L’atténuation autour du récepteur est modélisé par : 
L(t) = α (t) exp( jφ (t)) 
φ(t) : variable aléatoire uniformément répartie dans [-π, + π] 
α(t) : variable de Rayleigh (variable de Chi centrée du deuxième ordre) 
2 2 
t x t y t 
( ) ( ) ( ) 
, circulaire si 
2 
x t N 
( ) ~ (0, σ 
) 
x 
( ) ~ (0, ) 
α 
Pr( ) exp 
σ σ 
⎛ 
2 
α 
le canal radio-mobile 12 
où 
2 y 
σ 
α 
= 
⎪⎩ 
⎪⎨ ⎧ 
= + 
x 
y 
y t N 
⎞ 
⎟ ⎟⎠ 
⎜ ⎜⎝ 
= − 2 
2 2 
σ 
σ 
α
α(t) : variable de Rice (variable de Chi non-centrée du deuxième ordre) 
( ) 
⎞ 
⎟ ⎟⎠ 
⎛ 
α s I s 
⎜ ⎜⎝ 
⎞ 
⎟⎠ 
+ ⎛ 
2 
α 
Pr( ) exp 
α 
α 
= − 2 0 2 
⎜⎝ 
2 2 
σ 
σ 
σ 
2 2 
t x t y t 
( ) ( ) ( ) 
σ 
x x , circulaire si , 
s m m 
2 
x t N m 
( ) ~ ( , ) 
( ) ~ ( , ) 
x x y 
Pr( ) 2 
m α 
m m 
Ω 
⎞ 
⎛ 
⎛ 
m 
le canal radio-mobile 13 
où 
2 2 2 
2 y 
y y 
y t N m 
= = + 
⎪⎩ 
⎪⎨ ⎧ 
= + 
σ σ 
σ 
α 
α(t) : variable de Nakagami m-distribué 
2 
[ 2 ] 2 
[( 2 )2 ] 
2 
2 1 
E 
E ; , 
exp 
( ) 
−Ω 
Ω = = = 
⎟ ⎟⎠ 
⎜ ⎜⎝ 
Ω 
− ⎟⎠⎞ 
⎜⎝ 
Γ Ω 
= 
Σ 
− 
R 
R R x m 
i 
m 
α α
Modélisation fréquentielle de l’évanouissement 
L’évanouissement est rapide par rapport aux autres changement du canal 
MAIS 
Lent par rapport au signal !! 
!!!! Sinon, aucune détection n’est possible !!!!! 
S(f), C(f) 
BD 
W 
f 
L’évanouissement est un processus aléatoire variable en temps 
modélisé 
par un signal en bande étroite (filtre passe bas) par rapport à la bande du signal 
Définition : Bande de Doppler Normalisée : BD / W 
le canal radio-mobile 14
Modélisation fréquentielle de l’évanouissement 
Spectre de Doppler 
f f 
2 
σ 
( ) ; 0 
2 2 
f f 
C f 
< < 
− 
= 
π 
Bande de Doppler B = 
2 
f 
D D 
D 
D 
f 
-fD fD 
« Fabrication » 
Processus aléatoire 
Blanc gaussien 
RIF de Doppler 
(en temps) 
Signal d’information spectre Doppler 
Signal 
d’information 
FFT (en Fréquence) IFFT 
Signal d’information 
après passage 
par un canal de 
Doppler 
le canal radio-mobile 15
Évanouissement 
rapide 
Évanouissement 
lent 
le canal radio-mobile 16
Modèle du Canal multi-trajet 
Un signal transmis en forme de Dirac; 
Le signal arrive au récepteur en forme de continuum; 
Des limites supérieures sont fixées pour indiquer la pertinence du signal détecté; 
Naissance de notion de trajet-multiples discernables 
t t 
Signal transmis 
Canal 
évanouissement 
Signal reçu 
seuillage 
τ t 0 
τ1 
τ2 
le canal radio-mobile 17
t 
Canal 
Évanouissement 
(t0 t = t0 ) τ t 0 τ1 τ2 τ3 
t 
Canal 
Évanouissement 
t = t0+α (t0+α) τ t 0 τ1 τ2τ3 τ4 
t 
Canal 
Évanouissement 
t = t0 +β (t0 +β) 
τ0 τ1 τ2τ3 τ4 
t 
t 
Canal 
Évanouissement 
t = t0+δ (t0+δ ) τ0 τ1 τ2τ3 
t 
le canal radio-mobile 18
Modèle du Canal multi-trajet 
Le canal est caractérisé par deux profiles : 
Profile des retards { τn } 
Profile de puissance moyenne associée à chaque retard { Pn } 
Pn = E[ (rn)² ] 
Autour de la fréquence porteuse, le modèle du canal s’écrit : 
L 
1 
c τ t α π c τ n 2 n t e δ t τ t P n = E[( α 
n (t))] Σ− 
i f t 
( ; ) = ( ) − 2 ( ) ( − 
( )) 
= 
0 
n 
n 
τ est relatif au répétition de l’expérience 
t est relatif au déroulement de l’expérience Canal stationnaire : c(t) 
c(τ, t) est une variable gaussienne complexe selon la variable τ 
le canal radio-mobile 19
Propriétés statistiques du modèle du canal 
c(τ ;t) 
τ t 
temps fréquence temps fréquence 
??? 
le canal radio-mobile 20
1- Temps 
Pour deux retards différents, quelle est la ressemblance des réponses ? 
( , ; ) E[ * 
( 1 ; ) ( 2 
; )] 1 2 t c t c t t c Φ τ τ Δ = τ τ + Δ 
Généralement, pour les canaux radio-mobile, 
( ) ( ) ( ) 1 2 1 1 2 Φ τ ,τ ;Δt = Φ τ ;Δt δ τ −τ c c 
Donc, indépendance entre les réponses sur les différents trajets 
(τ ) (τ ) c c Φ ;0 = Φ 
Puissance moyenne du canal 
le canal radio-mobile 21 
τ
L’auto-corrélation temporelle de la réponse du canal à un Dirac à l’entrée 
(τ ) c Φ 
τ 
m m T −T 
Définition 
Tm est appelé « l’étalement du canal » (multipath spread) 
Pratiquement, Tm ≅ retard max du canal (dernier trajet) 
le canal radio-mobile 22 
τ
2- Fréquence 
∞ 
C( f , t) = ∫c(τ , t) exp ( − 2 
iπ f τ )dτ 
−∞ 
le canal radio-mobile 23 
τ 
L’auto-corrélation fréquentielle de la réponse du canal à un Dirac à l’entrée 
( , ; ) E[ * 
( 1 ; ) ( 2 
; )] 1 2 f f t C f t C f t t C Φ Δ = + Δ 
c(τ ,t) C( f ,t) TF 
( f f t) ( f t) C C Φ , ;Δ = Φ Δ ;Δ 1 2 ( t) c Φ , ;Δ 1 2 τ τ TF 
Ne dépend que de la différence entre les fréquences !!!
( f t) C Φ Δ ;Δ L’auto-corrélation entre deux sinusoides à l’entrée 
(Δf )c 
B ≈ 1 
c T 
m 
(τ ) c Φ 
le canal radio-mobile 24 
τ 
m m T −T 
( f) C Φ Δ 
TF(τ) 
Bande de cohérence 
( Δf )c = Bc 
Temps d’étalement 
Tm 
Si BD << W canal sélectif en fréquence 
τ
t 
Doppler : variation relative au temps 
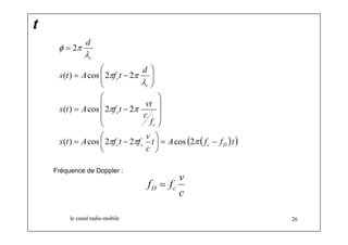
s(t) Acos(2 f t) c = π 
d 
λ 
le canal radio-mobile 25 
Émetteur 
fixe 
Observateur fixe 
émetteur 
mobile 
Observateur 
fixe 
d 
Déphasage : 
c 
φ = 2π
2 
⎛ 
φ π 
s t A f π t π 
d 
λ 
c 
( ) cos 2 2 
c 
⎛ 
⎞ 
s t A f t vt 
c 
( ) cos 2 2 
π π 
= − 
c 
s t A f t f v 
f 
c 
⎞ 
⎞ 
= ⎛ − 
f f v D c = 
le canal radio-mobile 26 
t 
t A ( ( f f )t) 
c 
d 
c c c D 
c 
( ) cos 2 2 cos 2 
− = ⎟⎠ 
⎜⎝ 
⎟ ⎟ ⎟ 
⎠ 
⎜ ⎜ ⎜ 
⎝ 
⎟ ⎟⎠ 
⎜ ⎜⎝ 
= − 
= 
π π π 
λ 
Fréquence de Doppler : 
c
∞ 
λ πλ 
( t) C Φ Δ 
(λ) C S 
Δt ≈ 1 
c B 
le canal radio-mobile 27 
t 
( f t) C Φ Δ ;Δ S ( f ; ) ( f ; t)exp( 2i t)d( t) C C Δ = ∫Φ Δ Δ − Δ Δ 
−∞ 
Transformée de Fourier selon la variable t 
TF(t) 
Δf = 0 
( )c Δt 
BD 
TF(t) 
Temps de cohérence 
( )c Δt 
Bande de Doppler 
BD 
( ) 
D
Transformée de Fourier selon la variable Δt 
∞ 
∫ 
S t i t d t 
; ; exp( 2 ) ( ) 
τ λ τ πλ 
= Φ Δ − Δ Δ 
C c 
−∞ 
Ou transformée de Fourier inverse selon la variable Δf 
∫ 
S S f i f d f 
; ; exp(2 ) ( ) 
τ λ λ πλτ 
= Δ Δ Δ 
C C 
Ou transformée de Fourier directe selon Δt et inverse selon la variable Δf 
∞ 
∫ ∫ 
= Φ Δ Δ − Δ Δ Δ Δ 
le canal radio-mobile 28 
t 
( ) ( ) 
( ) ( ) 
S ( ) ( f t) i t i f d t d f 
C C 
−∞ 
∞ 
−∞ 
∞ 
−∞ 
; ; exp( 2 ) exp(2 ) 
τ λ π λ π λτ
Récapitulation : Propriétés statistiques du modèle du canal 
( t) c Φ τ ;Δ 
Φ ( ;Δt = 0) C τ 
TF ( τ, Δt ) 
S ( f ;λ ) C Δ 
S (Δf = 0;λ ) C 
Dispersion temporelle 
Tm 
TF ( τ ) 
( f t) C Φ Δ ;Δ 
TF ( τ ) 
Φ (Δf ;Δt = 0) C 
Bande de cohérence 
Bc~1/Tm 
Bande de Doppler 
BD~1/Tc 
TF ( Δt ) 
( f t) C Φ Δ = 0;Δ 
Temps de cohérence 
Tc 
le canal radio-mobile 29
Diagramme de dispersion du canal 
( ) 
⎤ 
⎥ ⎥ ⎥ ⎥ ⎥ ⎥ ⎥ ⎥ 
0 
( ) c 
0 
(0) 
(0) 
− (0) 
⎦ 
⎡ 
⎢ ⎢ ⎢ ⎢ ⎢ ⎢ ⎢ ⎢ 
c 
. 
c 
. 
c 
⎣ 
1 
1 
k 
L 
⎤ 
⎥ ⎥ ⎥ ⎥ ⎥ ⎥ ⎥ ⎥ ⎦ 
c T 
⎡ 
⎢ ⎢ ⎢ ⎢ ⎢ ⎢ ⎢ ⎢ 
c T 
. 
c T 
. 
k 
c T 
⎣ 
0 
( ) 
( ) 
− ( ) 
1 
1 
L 
….. 
( ) ⎡ 
c 
0 
c 
c 
m 
c 
⎤ 
c T 
⎡ 
0 
c T 
c T 
m 
⎤ 
C nT 
⎡ 
0 
C nT 
C nT 
m 
le canal radio-mobile 30 
( ) 
⎤ 
⎥ ⎥ ⎥ ⎥ ⎥ ⎥ ⎥ ⎥ 
⎦ 
c nT 
⎡ 
⎢ ⎢ ⎢ ⎢ ⎢ ⎢ ⎢ ⎢ 
c nT 
c nT 
⎣ 
− ( ) 
. 
( ) 
. 
0 
( ) 
1 
1 
k 
c nT 
L 
TF 
Selon l’indice k 
( ) 
⎤ 
⎥ ⎥ ⎥ ⎥ ⎥ ⎥ ⎥ ⎥ 
⎦ 
⎢ ⎢ ⎢ ⎢ ⎢ ⎢ ⎢ ⎢ 
⎣ 
0 
− (0) 
. 
(0) 
. 
(0) 
1 
1 
M 
⎥ ⎥ ⎥ ⎥ ⎥ ⎥ ⎥ ⎥ 
⎦ 
⎢ ⎢ ⎢ ⎢ ⎢ ⎢ ⎢ ⎢ 
⎣ 
− ( ) 
. 
( ) 
. 
( ) 
1 
1 
c T 
M 
….. 
( ) 
⎥ ⎥ ⎥ ⎥ ⎥ ⎥ ⎥ ⎥ 
⎦ 
⎢ ⎢ ⎢ ⎢ ⎢ ⎢ ⎢ ⎢ 
⎣ 
− ( ) 
. 
( ) 
. 
( ) 
1 
1 
C nT 
M
Performance sur canal à évanouissment 
Modèle du signal reçu 
r(t) =α (t)s(t) + n(t) 
Probabilité d’erreur est donnée par 
⎞ 
⎟ ⎟ 
⎠ 
⎛ 
Pr( ) 2 
⎜ ⎜ 
γ 
Q b 
⎝ 
= 
0 
N 
γ 
b 
∞ 
= 
Pr Pr( γ b ) p ( γ b ) dγ b Pr ≈ 1 = 
Es 
E [( α 
2 )] 
le canal radio-mobile 31 
avec 
( (t)s(t))2 E .( (t))2 b s γ = α = α 
Les performances instantanées sont dominées par la puissance instantanée du trajet 
∫ 
0 
0 
γ N 
b
Conséquence directe 
sur les performances 
décroissance linéaire 
avec le SNR !!! 
Pr 1 Plus précisément L : ordre du la diversité du canal 
SNR 
Pr 
L 
⎛ 
≈ 
γ 
b 
⎞ 
⎟ ⎟⎠ 
⎜ ⎜⎝ 
Perf sur canal 
Gaussien 
Perf sur canal 
Multi-trajet 
L = 1 
L = 2 
L = ∞ 
Pour une diversité infinie, le canal multi-trajet rattrape le canal gaussien !! 
le canal radio-mobile 32

Nib cours5 canalradio

  • 1.
    Le canal radio-mobile Année 2005/2006 – ESME/Sudria Nicolas IBRAHIM
  • 2.
    Système de communication: petit aperçu Modulation signal Filtrage émission Huffman, Entropique Récepteur multi-utilisateurs Démodulation souple, Théorie de L’Information Quantification le canal radio-mobile 2 Source Info Codage Source (compression) Modulation Binaire Codage canal Canal de transmission Filtrage réception Démodulation Signal Décodage canal Démodulation Binaire Décodage Source (expansion) Codage en Bloc, Codage convolutif, Turbo-Code BPSK, QAM TDD(GSM), ES (UMTS), OFDM(ADSL) AWGN, IES Rayleigh, Multi-trajet,.. Récepteur optimal, Égalisation, Démodulation dure Viterbi, MAP, Décodage itératif A/D
  • 3.
    Interaction entre Formed’onde Environnement Fréquence porteuse f0, Bande fréquentielle W Paysage (urbain, rural, indoor, outdoor,etc.) Changement (Doppler) Canal de propagation Modèle du canal mesures Paramètres du modèle pour les simulations!! le canal radio-mobile 3
  • 4.
    Caractéristique du canalde propagation : 1- Long terme : Variations à grande échelle (atténuation de propagation) 2- Moyen terme : Effet de masque (Shadowing) 3- Court terme : Évanouissement Variations propagation (long terme) Variation masquage (moyen terme) Variation mobilité (court terme) le canal radio-mobile 4
  • 5.
    Forme d’onde C= f . λ Émetteur Canal récepteur Transmission sur fréquence porteuse Transmission en Bande de base le canal radio-mobile 5
  • 6.
    Forme d’onde Modèlepour signal à bande étroite Le canal est fonction de la fréquence W f f0 Si W << f0 le canal est considéré constant sur W Si W <(mais pas beaucoup) f0 le canal n’est pas considéré constant sur W Application : OFDM le canal radio-mobile 6
  • 7.
    Forme d’onde Modèlede propagation de l’onde : PR : puissance reçue PT : puissance transmise GR : gain de l’antenne à la réception GT : gain de l’antenne à l’émission λ : longueur de l’onde transmise d : distance émetteur-récepteur le canal radio-mobile 7
  • 8.
    Forme d’onde Pertedue à la distance : d(t) : distance a : exposant de perte = 2 distance libre = 4 réflecteur idéal = 2.7 ; 3.5 cellule urbaine = 3 ; 5 cellule urbaine, masquage = 1.6 ; 1.8 bâtiments avec trajet direct = 4 ; 6 bâtiments, sans trajet direct = 2 ; 3 usine = … …. environnement le canal radio-mobile 8
  • 9.
    Modèle de propagationà grande échelle ( ) [dB] 0 ⎞ ⎛ ⎞ ⎛ n f L d 10 , log 10 log 10 α γ + + ⎟ ⎟⎠ = m b f h h 0 10 0 ⎜ ⎜⎝ + ⎟ ⎟⎠ ⎜ ⎜⎝ f d Le modèle est valable pour une gamme donnée de distances d , γ fréquences f , n hauteur des antennes hm, hb modèles théoriques Modèles empiriques : Okumara-Hata, Walfish-Ikegami, Edwards et Durkin, Carey, Blonquist et Label, Lee, Breton et Walfish, Alsebrook et Parsons, etc. et etc. le canal radio-mobile 9
  • 10.
    Modèle de propagationà moyenne échelle : effet de masque m±σ L [dB] Atténuation en loi log-normale : 10log10(d) ( ) ⎞ ⎟ ⎟⎠ ⎛ − P g g m ⎜ ⎜⎝ exp ( ) 1 = − 2 2 2 2 πσ σ 2 Suivant les environnements, l’écart type peut varier entre 2 et 12 dB le canal radio-mobile 10
  • 11.
    Modèle de propagationà court terme : canal à évanouissement ( fading ) Long et moyen terme Variation à court terme, Diffraction dans le voisinage du récepteur Dans le voisinage du récepteur, des faisceaux « microscopique* »se forment le contenu d’un faisceau change les variations surgissent : constructives : amplification destructive : évanouissement Le changement est rapide les évanouissements sont en court terme * microscopique par rapport à la longueur d’onde !! le canal radio-mobile 11
  • 12.
    Modélisation temporelle del’évanouissement Modèle de Rician, Rayleigh (différence par rapport à la domination du trajet direct) L’atténuation autour du récepteur est modélisé par : L(t) = α (t) exp( jφ (t)) φ(t) : variable aléatoire uniformément répartie dans [-π, + π] α(t) : variable de Rayleigh (variable de Chi centrée du deuxième ordre) 2 2 t x t y t ( ) ( ) ( ) , circulaire si 2 x t N ( ) ~ (0, σ ) x ( ) ~ (0, ) α Pr( ) exp σ σ ⎛ 2 α le canal radio-mobile 12 où 2 y σ α = ⎪⎩ ⎪⎨ ⎧ = + x y y t N ⎞ ⎟ ⎟⎠ ⎜ ⎜⎝ = − 2 2 2 σ σ α
  • 13.
    α(t) : variablede Rice (variable de Chi non-centrée du deuxième ordre) ( ) ⎞ ⎟ ⎟⎠ ⎛ α s I s ⎜ ⎜⎝ ⎞ ⎟⎠ + ⎛ 2 α Pr( ) exp α α = − 2 0 2 ⎜⎝ 2 2 σ σ σ 2 2 t x t y t ( ) ( ) ( ) σ x x , circulaire si , s m m 2 x t N m ( ) ~ ( , ) ( ) ~ ( , ) x x y Pr( ) 2 m α m m Ω ⎞ ⎛ ⎛ m le canal radio-mobile 13 où 2 2 2 2 y y y y t N m = = + ⎪⎩ ⎪⎨ ⎧ = + σ σ σ α α(t) : variable de Nakagami m-distribué 2 [ 2 ] 2 [( 2 )2 ] 2 2 1 E E ; , exp ( ) −Ω Ω = = = ⎟ ⎟⎠ ⎜ ⎜⎝ Ω − ⎟⎠⎞ ⎜⎝ Γ Ω = Σ − R R R x m i m α α
  • 14.
    Modélisation fréquentielle del’évanouissement L’évanouissement est rapide par rapport aux autres changement du canal MAIS Lent par rapport au signal !! !!!! Sinon, aucune détection n’est possible !!!!! S(f), C(f) BD W f L’évanouissement est un processus aléatoire variable en temps modélisé par un signal en bande étroite (filtre passe bas) par rapport à la bande du signal Définition : Bande de Doppler Normalisée : BD / W le canal radio-mobile 14
  • 15.
    Modélisation fréquentielle del’évanouissement Spectre de Doppler f f 2 σ ( ) ; 0 2 2 f f C f < < − = π Bande de Doppler B = 2 f D D D D f -fD fD « Fabrication » Processus aléatoire Blanc gaussien RIF de Doppler (en temps) Signal d’information spectre Doppler Signal d’information FFT (en Fréquence) IFFT Signal d’information après passage par un canal de Doppler le canal radio-mobile 15
  • 16.
    Évanouissement rapide Évanouissement lent le canal radio-mobile 16
  • 17.
    Modèle du Canalmulti-trajet Un signal transmis en forme de Dirac; Le signal arrive au récepteur en forme de continuum; Des limites supérieures sont fixées pour indiquer la pertinence du signal détecté; Naissance de notion de trajet-multiples discernables t t Signal transmis Canal évanouissement Signal reçu seuillage τ t 0 τ1 τ2 le canal radio-mobile 17
  • 18.
    t Canal Évanouissement (t0 t = t0 ) τ t 0 τ1 τ2 τ3 t Canal Évanouissement t = t0+α (t0+α) τ t 0 τ1 τ2τ3 τ4 t Canal Évanouissement t = t0 +β (t0 +β) τ0 τ1 τ2τ3 τ4 t t Canal Évanouissement t = t0+δ (t0+δ ) τ0 τ1 τ2τ3 t le canal radio-mobile 18
  • 19.
    Modèle du Canalmulti-trajet Le canal est caractérisé par deux profiles : Profile des retards { τn } Profile de puissance moyenne associée à chaque retard { Pn } Pn = E[ (rn)² ] Autour de la fréquence porteuse, le modèle du canal s’écrit : L 1 c τ t α π c τ n 2 n t e δ t τ t P n = E[( α n (t))] Σ− i f t ( ; ) = ( ) − 2 ( ) ( − ( )) = 0 n n τ est relatif au répétition de l’expérience t est relatif au déroulement de l’expérience Canal stationnaire : c(t) c(τ, t) est une variable gaussienne complexe selon la variable τ le canal radio-mobile 19
  • 20.
    Propriétés statistiques dumodèle du canal c(τ ;t) τ t temps fréquence temps fréquence ??? le canal radio-mobile 20
  • 21.
    1- Temps Pourdeux retards différents, quelle est la ressemblance des réponses ? ( , ; ) E[ * ( 1 ; ) ( 2 ; )] 1 2 t c t c t t c Φ τ τ Δ = τ τ + Δ Généralement, pour les canaux radio-mobile, ( ) ( ) ( ) 1 2 1 1 2 Φ τ ,τ ;Δt = Φ τ ;Δt δ τ −τ c c Donc, indépendance entre les réponses sur les différents trajets (τ ) (τ ) c c Φ ;0 = Φ Puissance moyenne du canal le canal radio-mobile 21 τ
  • 22.
    L’auto-corrélation temporelle dela réponse du canal à un Dirac à l’entrée (τ ) c Φ τ m m T −T Définition Tm est appelé « l’étalement du canal » (multipath spread) Pratiquement, Tm ≅ retard max du canal (dernier trajet) le canal radio-mobile 22 τ
  • 23.
    2- Fréquence ∞ C( f , t) = ∫c(τ , t) exp ( − 2 iπ f τ )dτ −∞ le canal radio-mobile 23 τ L’auto-corrélation fréquentielle de la réponse du canal à un Dirac à l’entrée ( , ; ) E[ * ( 1 ; ) ( 2 ; )] 1 2 f f t C f t C f t t C Φ Δ = + Δ c(τ ,t) C( f ,t) TF ( f f t) ( f t) C C Φ , ;Δ = Φ Δ ;Δ 1 2 ( t) c Φ , ;Δ 1 2 τ τ TF Ne dépend que de la différence entre les fréquences !!!
  • 24.
    ( f t)C Φ Δ ;Δ L’auto-corrélation entre deux sinusoides à l’entrée (Δf )c B ≈ 1 c T m (τ ) c Φ le canal radio-mobile 24 τ m m T −T ( f) C Φ Δ TF(τ) Bande de cohérence ( Δf )c = Bc Temps d’étalement Tm Si BD << W canal sélectif en fréquence τ
  • 25.
    t Doppler :variation relative au temps s(t) Acos(2 f t) c = π d λ le canal radio-mobile 25 Émetteur fixe Observateur fixe émetteur mobile Observateur fixe d Déphasage : c φ = 2π
  • 26.
    2 ⎛ φπ s t A f π t π d λ c ( ) cos 2 2 c ⎛ ⎞ s t A f t vt c ( ) cos 2 2 π π = − c s t A f t f v f c ⎞ ⎞ = ⎛ − f f v D c = le canal radio-mobile 26 t t A ( ( f f )t) c d c c c D c ( ) cos 2 2 cos 2 − = ⎟⎠ ⎜⎝ ⎟ ⎟ ⎟ ⎠ ⎜ ⎜ ⎜ ⎝ ⎟ ⎟⎠ ⎜ ⎜⎝ = − = π π π λ Fréquence de Doppler : c
  • 27.
    ∞ λ πλ ( t) C Φ Δ (λ) C S Δt ≈ 1 c B le canal radio-mobile 27 t ( f t) C Φ Δ ;Δ S ( f ; ) ( f ; t)exp( 2i t)d( t) C C Δ = ∫Φ Δ Δ − Δ Δ −∞ Transformée de Fourier selon la variable t TF(t) Δf = 0 ( )c Δt BD TF(t) Temps de cohérence ( )c Δt Bande de Doppler BD ( ) D
  • 28.
    Transformée de Fourierselon la variable Δt ∞ ∫ S t i t d t ; ; exp( 2 ) ( ) τ λ τ πλ = Φ Δ − Δ Δ C c −∞ Ou transformée de Fourier inverse selon la variable Δf ∫ S S f i f d f ; ; exp(2 ) ( ) τ λ λ πλτ = Δ Δ Δ C C Ou transformée de Fourier directe selon Δt et inverse selon la variable Δf ∞ ∫ ∫ = Φ Δ Δ − Δ Δ Δ Δ le canal radio-mobile 28 t ( ) ( ) ( ) ( ) S ( ) ( f t) i t i f d t d f C C −∞ ∞ −∞ ∞ −∞ ; ; exp( 2 ) exp(2 ) τ λ π λ π λτ
  • 29.
    Récapitulation : Propriétésstatistiques du modèle du canal ( t) c Φ τ ;Δ Φ ( ;Δt = 0) C τ TF ( τ, Δt ) S ( f ;λ ) C Δ S (Δf = 0;λ ) C Dispersion temporelle Tm TF ( τ ) ( f t) C Φ Δ ;Δ TF ( τ ) Φ (Δf ;Δt = 0) C Bande de cohérence Bc~1/Tm Bande de Doppler BD~1/Tc TF ( Δt ) ( f t) C Φ Δ = 0;Δ Temps de cohérence Tc le canal radio-mobile 29
  • 30.
    Diagramme de dispersiondu canal ( ) ⎤ ⎥ ⎥ ⎥ ⎥ ⎥ ⎥ ⎥ ⎥ 0 ( ) c 0 (0) (0) − (0) ⎦ ⎡ ⎢ ⎢ ⎢ ⎢ ⎢ ⎢ ⎢ ⎢ c . c . c ⎣ 1 1 k L ⎤ ⎥ ⎥ ⎥ ⎥ ⎥ ⎥ ⎥ ⎥ ⎦ c T ⎡ ⎢ ⎢ ⎢ ⎢ ⎢ ⎢ ⎢ ⎢ c T . c T . k c T ⎣ 0 ( ) ( ) − ( ) 1 1 L ….. ( ) ⎡ c 0 c c m c ⎤ c T ⎡ 0 c T c T m ⎤ C nT ⎡ 0 C nT C nT m le canal radio-mobile 30 ( ) ⎤ ⎥ ⎥ ⎥ ⎥ ⎥ ⎥ ⎥ ⎥ ⎦ c nT ⎡ ⎢ ⎢ ⎢ ⎢ ⎢ ⎢ ⎢ ⎢ c nT c nT ⎣ − ( ) . ( ) . 0 ( ) 1 1 k c nT L TF Selon l’indice k ( ) ⎤ ⎥ ⎥ ⎥ ⎥ ⎥ ⎥ ⎥ ⎥ ⎦ ⎢ ⎢ ⎢ ⎢ ⎢ ⎢ ⎢ ⎢ ⎣ 0 − (0) . (0) . (0) 1 1 M ⎥ ⎥ ⎥ ⎥ ⎥ ⎥ ⎥ ⎥ ⎦ ⎢ ⎢ ⎢ ⎢ ⎢ ⎢ ⎢ ⎢ ⎣ − ( ) . ( ) . ( ) 1 1 c T M ….. ( ) ⎥ ⎥ ⎥ ⎥ ⎥ ⎥ ⎥ ⎥ ⎦ ⎢ ⎢ ⎢ ⎢ ⎢ ⎢ ⎢ ⎢ ⎣ − ( ) . ( ) . ( ) 1 1 C nT M
  • 31.
    Performance sur canalà évanouissment Modèle du signal reçu r(t) =α (t)s(t) + n(t) Probabilité d’erreur est donnée par ⎞ ⎟ ⎟ ⎠ ⎛ Pr( ) 2 ⎜ ⎜ γ Q b ⎝ = 0 N γ b ∞ = Pr Pr( γ b ) p ( γ b ) dγ b Pr ≈ 1 = Es E [( α 2 )] le canal radio-mobile 31 avec ( (t)s(t))2 E .( (t))2 b s γ = α = α Les performances instantanées sont dominées par la puissance instantanée du trajet ∫ 0 0 γ N b
  • 32.
    Conséquence directe surles performances décroissance linéaire avec le SNR !!! Pr 1 Plus précisément L : ordre du la diversité du canal SNR Pr L ⎛ ≈ γ b ⎞ ⎟ ⎟⎠ ⎜ ⎜⎝ Perf sur canal Gaussien Perf sur canal Multi-trajet L = 1 L = 2 L = ∞ Pour une diversité infinie, le canal multi-trajet rattrape le canal gaussien !! le canal radio-mobile 32