Mémoire de stage | LE REFERENCEMENT NATUREL : UN LEVIER WEBMARKETING COMPLEXE




LE REFERENCEMENT NATUREL :
UN LEVIER WEBMARKETING COMPLEXE




Mémoire présenté en vue d’obtenir le
diplôme MASTER M2 Marketing des
« Technologies innovantes »




Fanny BARDEL
Soutenance le 12 Septembre 2012

Maître d’apprentissage Christelle MILAN




                                                                                   1
Mémoire de stage | LE REFERENCEMENT NATUREL : UN LEVIER WEBMARKETING COMPLEXE


TABLE DES MATIERES



REMERCIEMENTS .................................................................................................................................... 5

RESUME ................................................................................................................................................... 6

PROBLEMATIQUE .................................................................................................................................... 6

1      INTRODUCTION ............................................................................................................................... 7

    1.1       CONTEXTE DU STAGE ............................................................................................................... 8

    1.2       PRESENTATION DE L’ENTRPRISE .............................................................................................. 8

    1.3       MES MISSIONS ....................................................................................................................... 10

2      LE REFERENCEMENT NATUREL : UN LEVIER WEBMARKETING COMPLEXE ................................... 12

    2.1       LE WEBMARKETING ............................................................................................................... 12

    2.2       EVOLUTION D’INTERNET ........................................................................................................ 13

    2.3       LE REFERENCEMENT NATUREL AUJOURD’HUI....................................................................... 14

       2.3.1       Définition .......................................................................................................................... 14

              2.3.1.1        Différence entre référencement et positionnement ........................................ 14

       2.3.2       Le référencement : à mi-chemin entre le marketing et la technique............................... 15

              2.3.2.1        Quelle place pour le référencement dans une stratégie de communication ? . 16

              2.3.2.2        SEM vs SEO : Quelle stratégie de référencement choisir ? ............................... 16

              2.3.2.3        Qu’est-ce qu’un bon positionnement pour un site Internet ? .......................... 19

    2.4       LES MOTEURS DE RECHERCHE ............................................................................................... 21

       2.4.1       Définition .......................................................................................................................... 21

       2.4.2       Le fonctionnement des moteurs de recherche ................................................................ 21

              2.4.2.1        Côté utilisateurs ................................................................................................. 21

                   2.4.2.1.1          L’objectif de l’utilisateur ..................................................................... 22

                   2.4.2.1.2          La SERP ............................................................................................... 22

                   2.4.2.1.3          Les barres de recherches .................................................................... 23

              2.4.2.2        Les robots .......................................................................................................... 23


                                                                                                                                                          2
Mémoire de stage | LE REFERENCEMENT NATUREL : UN LEVIER WEBMARKETING COMPLEXE


            2.4.2.3       Les différentes étapes du référencement d’un site .......................................... 25

            2.4.2.4       Critères de pertinence et de popularité ............................................................ 26

      2.4.3     Les principaux moteurs de recherche............................................................................... 27

            2.4.3.1       Google................................................................................................................ 27

                2.4.3.1.1          L’algorithme de Google ...................................................................... 28

            2.4.3.2       Les techniques de référencement black hat : Sanction de Google ................... 29

      2.4.4     Google est-il réellement objectif ? ................................................................................... 29

      2.4.5     Sécurisation des données Google : le mauvais exemple de Street View ......................... 30

    2.5     TECHNIQUES DE REFERENCEMENT – LES CRITERES ON-PAGE .............................................. 31

      2.5.1     Optimisation des contenus ............................................................................................... 31

            2.5.1.1       Recherche de mots clés ..................................................................................... 31

                2.5.1.1.1          Objectifs .............................................................................................. 31

                2.5.1.1.2          Le principe de la longue traîne ........................................................... 32

                2.5.1.1.3          Méthodes et Outils ............................................................................. 33

            2.5.1.2       Ou placer ces mots clés ?................................................................................... 37

                2.5.1.2.1          Objectifs .............................................................................................. 37

                2.5.1.2.2          Méthode et Outils ............................................................................... 37

                2.5.1.2.3          Mesures des résultats ......................................................................... 39

    2.6     TECHNIQUES DE REFERENCEMENT – CRITERES OFF-PAGE ................................................... 41

      2.6.1     Augmenter la popularité du site ....................................................................................... 41

            2.6.1.1       Stratégie de Netlinking ou Maillage ................................................................. 41

                2.6.1.1.1          Objectifs .............................................................................................. 41

                2.6.1.1.2          Méthode et Outils ............................................................................... 43

                2.6.1.1.3          Mesure des résultats .......................................................................... 44

3     AUTRES LEVIERS WEBMARKETING ................................................................................................ 46

    3.1     SEM –SEARCH ENGINE MARKETING– LE REFERENCEMENT PAYANT .................................... 47

    3.2     FACEBOOK .............................................................................................................................. 50

    3.3     E-MAILING ET NEWSLETTER................................................................................................... 54
                                                                                                                                                      3
Mémoire de stage | LE REFERENCEMENT NATUREL : UN LEVIER WEBMARKETING COMPLEXE


4      MESURE D'EFFICACITE DES ACTIONS : LES CHIFFRES CLES DU WEBMARKETER ! ......................... 57

    4.1       ELABORATION DU RAPPORT .................................................................................................. 58

       4.1.1       Tendances globales ........................................................................................................... 58

              4.1.1.1       Évolution des visites .......................................................................................... 58

              4.1.1.2       Visites et visiteurs uniques ................................................................................ 59

              4.1.1.3       Temps passé sur le site et nombre de pages vues par visite............................. 60

              4.1.1.4       Le taux de rebond .............................................................................................. 60

       4.1.2       Synthèse géographique .................................................................................................... 60

    4.2       LES DIFFERENTES SOURCES DE TRAFIC .................................................................................. 62

       4.2.1       Provenances des visiteurs ................................................................................................. 62

       4.2.2       Référencement payant ..................................................................................................... 62

       4.2.3       Référencement naturel..................................................................................................... 63

       4.2.4       Liens entrants.................................................................................................................... 63

    4.3       COMPORTEMENT DES VISITEURS SUR LE SITE....................................................................... 65

       4.3.1       Pages d'entrée – Pages consultées – Pages de sorties ..................................................... 65

       4.3.2       Les zones de clics .............................................................................................................. 65

    4.4       CONCLUSION ET RECOMMANDATIONS ................................................................................. 68

5      CONCLUSION DU RAPPORT ........................................................................................................... 69

BIBLIOGRAPHIE ...................................................................................................................................... 71

WEBOGRAPHIE ...................................................................................................................................... 71

ANNEXES................................................................................................................................................ 73




                                                                                                                                                        4
Mémoire de stage | LE REFERENCEMENT NATUREL : UN LEVIER WEBMARKETING COMPLEXE




REMERCIEMENTS



Avant de débuter ce mémoire, je tiens à remercier Christelle Milan de m’avoir pris en stage
et de m’avoir transmis son savoir avec tant de passion. Cette expérience fut pour moi très
enrichissante et formatrice. J’ai découvert un nouvel angle de réflexion sur le webmarketing
et appris de nombreuses techniques. Je remercie également toute l’équipe d’agoranet grâce
à qui j’ai pu avancer, je les remercie d’avoir accueilli mes idées et de m’avoir si bien intégré à
l’entreprise.




                                                                                                5
Mémoire de stage | LE REFERENCEMENT NATUREL : UN LEVIER WEBMARKETING COMPLEXE



RESUME


Dans ce mémoire je propose de suivre une réflexion sur le webmarketing en général et sur le
référencement naturel en particulier. Je présenterai les aspects théoriques qui régissent la
discipline, que j'illustrerai par des points méthodologiques correspondant à mes missions
de stage. Je tenterai d’enrichir ces apports par la réflexion marketing que j’ai pu développer
dans le cadre de mes deux années de master au sein de l’IAE.

Ce mémoire se compose de 5 grandes parties : La présentation de l’entreprise et de mes
missions, une partie consacrée au référencement naturel, suivie d'une partie concernant
d'autres leviers webmarketing (référencement payant, emailing et newsletter, Facebook),
enfin dans une quatrième partie je parlerai de la mesure des actions mises en place et de
l’intérêt de ces informations dans le cadre du développement d’une stratégie marketing.
Enfin je conclurai ce rapport en tentant d’apporter des réponses à la problématique, en
développant les limites de la discipline et les enjeux dans le futur.




PROBLEMATIQUE


L'objectif de ce mémoire est de comprendre pourquoi le référencement naturel est-il le
levier le plus complexe du webmarketing ? Et quelle est sa place au sein d’une stratégie
marketing ?




                                                                                            6
Mémoire de stage | LE REFERENCEMENT NATUREL : UN LEVIER WEBMARKETING COMPLEXE



1 INTRODUCTION


Ce mémoire de stage traite du webmarketing et en particulier du référencement naturel. Un
vaste sujet, que j’aborderai sans prétention, mais pour lequel j’essaierai de retranscrire tout
le plaisir que j’ai eu à le travailler.

J'ai effectué un stage en webmarketing dans une agence de communication multimédia, au
cours duquel j'ai réalisé des missions diverses et complémentaires. Dans ce mémoire je
relaterai les objectifs, intérêts et mesures de chacune d'entre elles, en mettant l'accent sur
le référencement naturel. Si je choisis d’approfondir cette problématique, c'est parce qu'elle
est incontournable dans le métier d'un webmarketer. Probablement la plus changeante et la
plus insaisissable... En effet, face à des « référenceurs » de plus en plus ambitieux et malins,
les moteurs de recherche, et Google en particuliers, changent les règles en permanence. Or
l'un des premiers besoins qu'expriment les clients en webmarketing, c'est d'être dans les
premières positions des pages de résultats. Pour répondre à ces exigences, la veille
webmarketing est donc constante et les stratégies se renouvellent en permanence. Le
référencement impose le défi de mener de front des actions techniques et des stratégies
marketing, dans un seul objectif : satisfaire les clients et les moteurs de recherches.




Dans la première partie, je présenterai le contexte de mon stage, ce que furent mes missions
et quelle place j'ai occupé dans l'entreprise.




                                                                                              7
Mémoire de stage | LE REFERENCEMENT NATUREL : UN LEVIER WEBMARKETING COMPLEXE




1.1 CONTEXTE DU STAGE



Après une première année de master en marketing, j’ai décidé de poursuivre par une année
spécialisée dans les nouvelles technologies. En effet les nouvelles technologies et en
particulier le web, sont pour moi indispensables à maîtriser aujourd'hui dans le monde de
l’entreprise.




C’est pourquoi après un premier stage de Master 1 chez agoranet en tant qu’assistante
communication et marketing, j’ai été ravie de pouvoir en réaliser un deuxième, de 6 mois et
en webmarketing cette fois. J'ai pu approfondir au cours de ce stage, les nombreux apports
théoriques que nous avions reçu dans le cadre du master. Grâce aux différentes missions qui
m’ont été confiées, j’ai pu découvrir et réaliser un travail technique, tout en menant une
réflexion marketing. En étant encadrée à la fois par ma responsable webmarketer-
référenceur, mais aussi en collaborant avec les pôles commerciaux et web-digital, j’ai
aujourd’hui une vision globale de ce que pourra être ma mission en marketing ou
webmarketing dans le cadre d’un futur poste.




1.2 PRESENTATION DE L’ENTRPRISE



L'agence de communication agoranet a été créée en 1998 par Eric Radi. Après 14 ans
d'expérience dans la communication et la maîtrise des supports web, en tant que web
agency, agoranet se repositionne aujourd'hui comme une agence multi-canal. Jusqu'ici
spécialisée dans le web, elle recentre son activité autour de trois pôles principaux que sont
le Print, le Web et le Digital.

Elle compte aujourd'hui 21 collaborateurs répartis autour de 7 métiers : création-
conception, accompagnement, conseil, ingénierie, multimédia, hébergement, formation.

Son CA s'élève en 2011 à 1 800 000€ et est en progression depuis plusieurs années.

                                                                                           8
Mémoire de stage | LE REFERENCEMENT NATUREL : UN LEVIER WEBMARKETING COMPLEXE




                           I-   Organigramme de l’entreprise –Source agoranet




La philosophie d'agoranet est de créer des supports qui correspondent aux attentes des
clients et en parallèle, de les accompagner au travers de prestations globales, qui vont du
conseil stratégique jusqu'à la formation.

Parmi ses références clients, l’agence compte des petites structures comme des grands
comptes, dans les domaines variés que sont l’Immobilier, le Bâtiment et la Construction, l’e-
tourisme, l’aéronautique et l’e-commerce. On trouve notamment parmi eux, les Ambassades
FRAM et AIRBUS.




                                                                                           9
Mémoire de stage | LE REFERENCEMENT NATUREL : UN LEVIER WEBMARKETING COMPLEXE


1.3 MES MISSIONS



Comme on peut le voir sur l’organigramme mes missions de stage concernaient le pôle
webmarketing.

Référencement naturel SEO :

   -   Stratégie de maillage : création de liens sur des forums, annuaires…

   -   Rédaction et optimisation des Titles et méta descriptions.

   -   Rédaction et publication de communiqués de presse

   -   Rapports de webanalyse

Référencement payant SEM :

   -   Création et gestion des campagnes Google adword

   -   Rapport d'analyse des campagnes Google adword

Réseaux sociaux ->Facebook :

   -   Création et gestion de campagnes de publicité Facebook

   -   Rapport d'analyse des campagnes de publicité

   -   Community management

Emailing :

   -   Préparation et envoi des campagnes

   -   Rapport de performance des campagnes

Newsletter :

   − Rédaction, création et envoi




                                                                                    10
Mémoire de stage | LE REFERENCEMENT NATUREL : UN LEVIER WEBMARKETING COMPLEXE


Communication marketing - Rédaction web :

   -   Rédaction de divers documents et articles dans le cadre de la communication de
       l’agence.




J’ai travaillé sur des projets dès leur commencement, suivi leur développement mais
également réalisé des rapports de fin de contrat.




                                                                                    11
Mémoire de stage | LE REFERENCEMENT NATUREL : UN LEVIER WEBMARKETING COMPLEXE



2 LE REFERENCEMENT NATUREL : UN LEVIER WEBMARKETING
    COMPLEXE


Dans cette deuxième partie, je traiterai un des leviers webmarketing : le référencement
naturel. J'ai accordé une importance particulière à ce thème dans mon mémoire, car je
présente le contexte actuel du webmarketing avec l'évolution d'Internet qui fait naître de
nouveaux besoins et en parallèle l'évolution technologique des moteurs de recherches qui
imposent des règles sur le secteur. Afin d'illustrer ce que fut mon travail, j'aborderai dans
deux sous parties le travail d'un référenceur et la méthodologie à suivre.




2.1 LE WEBMARKETING


Le webmarketing est une branche du marketing qui utilise Internet comme canal de
prospection. Il s'adresse à des consommateurs « internautes » dans l'objectif de promouvoir
une marque, un bien ou un service.

La stratégie webmarketing repose sur les mêmes principes qu'en marketing, à savoir :

   -   Quelle est la demande ? Comprendre les besoins des consommateurs et prévoir leurs
       évolutions.

   -   Que font les concurrents ? Mener une veille stratégique constante (car sur Internet
       tout bouge très vite !) pour suivre l'évolution du marché (technologies, offres
       concurrentes...).

Le support principal du webmarketing est le site Internet, sur lequel il faut parvenir à créer
du trafic. Pour cela on s’appuie sur différents leviers webmarketing que sont : le
référencement, les réseaux sociaux, les e-mailings, les newsletters, les partenariats, et
affiliation, les jeux-concours et le marketing viral (buzz).

L'objectif final du webmarketing est double : être visible auprès des internautes et assurer
un retour sur investissement.


                                                                                           12
Mémoire de stage | LE REFERENCEMENT NATUREL : UN LEVIER WEBMARKETING COMPLEXE


2.2 EVOLUTION D’INTERNET


Internet est devenu le média incontournable aujourd’hui et les utilisateurs sont toujours plus
nombreux à naviguer sur le web dans le cadre de leur vie personnelle ou professionnelle. Les
entreprises s’emparent à leur tour du phénomène et sont de plus en plus nombreuses à
vouloir être présentes et visibles sur le web : un véritable défi dans ce milieu devenu très
concurrentiel !

Être visible sur le web nécessite des compétences techniques et un travail de longue durée.
C’est pourquoi, face à la complexité de la tâche, les entreprises font appel à des agences
web pour assurer ces fonctions.




                       II- Internet connaît une évolution impressionnante depuis 10 ans.

      Sources : Journal du Net, At Internet, Fevad, Infographie conçue et réalisée par CCD-DESIGN.COM




                                                                                                        13
Mémoire de stage | LE REFERENCEMENT NATUREL : UN LEVIER WEBMARKETING COMPLEXE


2.3 LE REFERENCEMENT NATUREL AUJOURD’HUI


Face à l'importance d'Internet dans la société actuelle, le référencement naturel s'est
imposé comme un levier indispensable en webmarketing.




2.3.1 Définition



Le référencement est l’art de bien positionner un site Internet dans les pages de résultats
des moteurs de recherche.

L’objectif est d’apparaître dans les premières positions, afin d’inciter les internautes à cliquer
sur son site avant celui des concurrents. Occuper les premières places offre l’avantage de
créer un trafic ciblé et qualifié sur son site.

Il existe deux types de référencement : le référencement naturel ou SEO (Search Engine
Optimization) et le référencement payant ou SEM (Search Engine Marketing ). Le premier
exige un travail technique de longue haleine pour gagner progressivement des positions et
le second repose sur un système d'enchères sur des mots clés, pour être placé sur les liens
commerciaux.




2.3.1.1 Différence entre référencement et positionnement



Le mot « référencement » désigne simplement le fait d’être enregistré dans les fichiers des
moteurs. Si on parle de référencement, il serait en fait plus juste de parler de
positionnement, puisque l’objectif est de se positionner sur les meilleures places des
résultats des moteurs de recherche. Le travail consiste alors à optimiser le référencement
pour qu'un site soit bien positionné.

Le positionnement dépend d’une requête, c'est à dire que selon les mots clés saisis dans la
barre de recherche, le site n’occupera pas la même position. Nous abordons là un des



                                                                                               14
Mémoire de stage | LE REFERENCEMENT NATUREL : UN LEVIER WEBMARKETING COMPLEXE


premiers points stratégiques qui sera développé plus tard : Sur quels mots clés faut-il se
positionner et quels sont ceux que les internautes seront susceptibles de saisir ?

L’enjeu de la réflexion marketing, sera de trouver le juste équilibre entre des mots clés
suffisamment populaires, tout en évitant les mots clés trop génériques sur lesquels la
concurrence est très forte.

Pour mieux cerner la différence entre référencement et positionnement on peut reprendre
l’analogie avec la grande distribution (Olivier Andrieu « Réussir son Référencement web »,
édition 2012, p.2).

Dans cette métaphore, les sites Internet sont comparés à des produits de supermarché. Tous
les produits présents en magasin sont « référencés », ils ont une référence qui permet de
les trouver dans les rayons de cette grande surface.

Cependant pour qu’ils aient les meilleures chances d’être achetés, on fait en sorte de les
placer sur les endroits les plus stratégiques des rayonnages. Le merchandising met en avant
certains produits en les plaçant dans ces endroits les plus vus par les consommateurs, à
savoir à hauteur des yeux, en tête de gondole ou à la caisse. Ces produits sont plus visibles
pour les consommateurs, ils sont bien « positionnés ».




Comme on commence à l’apercevoir, le référencement nécessite des interventions
techniques, mais doit être inclus dans une stratégie marketing pour être efficace.




2.3.2 Le référencement : à mi-chemin entre le marketing et la technique



L'objectif est de trouver la meilleure façon d'inclure le référencement dans la stratégie
marketing globale, puis de définir une stratégie propre aux actions de référencement, en
fonction du comportement des consommateurs.




                                                                                          15
Mémoire de stage | LE REFERENCEMENT NATUREL : UN LEVIER WEBMARKETING COMPLEXE




2.3.2.1 Quelle place pour le référencement dans une stratégie de communication ?



D’après Michael Porter, professeur de stratégie d'entreprise à Harvard, la stratégie est
«l’art de créer des avantages concurrentiels».

Lorsqu’une entreprise fait le choix de créer un site Internet pour développer son activité, son
premier objectif est de créer du trafic. Pour répondre à cette demande, l’optimisation du
référencement est l’un des premiers leviers webmarketing à activer, il fait aujourd’hui partie
de la stratégie marketing de la majorité des entreprises.

L’inconvénient du référencement naturel est que les résultats ne peuvent être garantis
avec précision, ce qui représente un point sensible lors de l’élaboration d’une stratégie. Les
décideurs sont parfois réticents à engager une partie conséquente des ressources
financières, dans des actions dont les retombées ne sont pas immédiates et dont les
résultats ne peuvent être anticipés avec précision.
En réponse à ces craintes, les webmarketers insistent sur la durabilité des résultats qui
permettent de produire un véritable avantage concurrentiel sur le long terme.



2.3.2.2 SEM vs SEO : Quelle stratégie de référencement choisir ?



Le référencement payant SEM (Search Engine Marketing) permet par l’achat de mots clés,
d’occuper immédiatement les premières places qui correspondent à des liens commerciaux.
Avec le référencement naturel on « gagne » des places sur les liens naturels
progressivement.

Prenons l’exemple de Google pour comparer les résultats du référencement naturel et ceux
du référencement payant Google Adwords.




                                                                                            16
Mémoire de stage | LE REFERENCEMENT NATUREL : UN LEVIER WEBMARKETING COMPLEXE




                       III- Liens organiques et liens commerciaux – Source Google.fr




Sur cet exemple, on peut remarquer que l’IAE de Toulouse est très bien positionné sur la
requête « formation marketing Toulouse », il occupe les trois premiers résultats naturels de
Google. Cependant, il ne fait apparemment pas de référencement payant, les trois
premières places sont donc occupées par des concurrents.

La stratégie de référencement idéale consiste à combiner ces deux actions. Travailler le SEO
permet d’obtenir des résultats durables sur le long terme en gagnant des positions
progressivement. En parallèle des actions de SEM permettent d’obtenir des résultats
immédiats qui peuvent être utiles dans le cadre du lancement d’un nouveau site ou d’une
campagne de publicité.

D’un point de vue marketing se pose la question de la réaction des consommateurs face à
ses différents types de liens : Perçoivent-ils une différence entre ces liens ? Font-ils autant
confiance aux liens naturels qu’aux liens commerciaux ?

                                                                                            17
Mémoire de stage | LE REFERENCEMENT NATUREL : UN LEVIER WEBMARKETING COMPLEXE


Selon l’agence Criteo (leader mondial du display*), la publicité payante (SEM, display...)
génère environ 70% de l'audience des sites marchands, mais 95% de ces visiteurs repartent
sans effectuer d'achat. Des résultats qui peuvent paraître faibles, mais tout de même
intéressants puisqu’ils montrent que les liens commerciaux génèrent du trafic. Concernant
les achats, l'histoire ne dit pas si ces visiteurs reviennent quelques jours plus tard pour
effectuer un achat sur ce même site....

Pour compenser ce manque à gagner, l'annonceur peut opter pour le « reciblage
publicitaire » ou retargeting. Cette technique consiste à envoyer un message publicitaire
(sous forme de bannière) à un internaute ayant déjà visité le site A, pendant qu'il est sur un
autre site B, afin de le faire revenir sur le site A. Il s'agit d'un ciblage publicitaire
personnalisé, qui s’appuie sur le ciblage comportemental -en anglais « Behavioral
Targeting ». Cette technique de publicité qui consiste à personnaliser le contenu des
annonces en fonction du comportement des internautes et de leurs centres d’intérêts. Elle
repose sur l’utilisation d’éléments comportementaux comme l’historique des recherches et
des pages visitées, les cookies**, les produits mis dans des paniers ou achetés en ligne, les
clics sur les bannières publicitaires.

La promesse pour les annonceurs, d’un taux de clic élevé et d’un retour sur investissement
rapide. " Chez Criteo, l'on estime encore qu'un taux de clic de 0,09 % dans le cadre d'une
campagne classique équivaut à 0,12 % lorsqu'il s'agit de reciblage non personnalisé et 0,5%
pour le reciblage personnalisé. Le taux de conversion atteint quant à lui 2 à 5 %". Une
technique aurait déjà rapportée à Google plus de 15 milliards de dollars de chiffre d’affaires
via Google Adwords et qui représenterait 35% des ventes d'Amazon.fr.

Le ciblage comportemental gagne du terrain dans les stratégies de marketing interactif, car il
permet aux annonceurs de créer un trafic de qualité sur leurs sites. C'est aussi un outil de
CRM (Customer Relationship Management) puisqu'il permet de maintenir la communication
avec les prospects et clients qui ont déjà visité le site.

Reste à savoir jusqu'à quel point le marketing osera utiliser les données personnelles dans
l'avenir...

*Display : publicité sur Internet avec achat d’espace et utilisation d’éléments graphiques ou visuels.

**Petits fichiers informatiques stockés dans le navigateur sur le disque dur de l’internaute.
                                                                                                         18
Mémoire de stage | LE REFERENCEMENT NATUREL : UN LEVIER WEBMARKETING COMPLEXE


2.3.2.3 Qu’est-ce qu’un bon positionnement pour un site Internet ?



Des études d’eye tracking* ont permis d’analyser le positionnement du regard des
internautes sur la page de résultats. Le visuel ci-dessous en est un exemple, on y voit des
zones de couleurs représentants les points sur lesquels se pose le regard des internautes. Les
zones les plus cliquées, en rouge, sont les zones chaudes, les moins cliquées sont en bleu. On
constate que la zone en haut à gauche est la plus regardée, il s’agit du triangle d’or. Cette
zone correspond aux trois premiers résultats et désigne les positions offrant la meilleure
visibilité.




                                     IV- Etude d’eyetracking –Source Google


Si le regard des internautes se concentre sur le début de la page de résultats, c’est parce
qu’ils souhaitent aujourd’hui trouver l’information qu’ils recherchent le plus rapidement
possible.




*L’eye tracking rassemble différentes techniques permettant d’enregistrer les mouvements des yeux. Une de ces
techniques consiste à filmer le mouvement de l’œil pendant une action donnée.




                                                                                                          19
Mémoire de stage | LE REFERENCEMENT NATUREL : UN LEVIER WEBMARKETING COMPLEXE


Internet a rendu accessibles des milliers d’informations. L’apparition de l’adsl et des offres
d’accès Internet Illimité et la multiplication des supports de connexion (ordinateurs, mobiles,
tablettes, TV…) ont modifié le comportement des consommateurs, les rendant plus
exigeants quant à la rapidité et à la qualité de leurs recherches.

Ce sont donc ces enjeux que les entreprises doivent relever afin de s’assurer un trafic
qualifié.

Un site doit réussir à se placer dans la première page de recherche, voire mieux, au-dessus
de la ligne de flottaison*. Une ligne qui représente la limite entre la partie basse de la page
et la partie haute, visible par l’internaute sur son écran sans utiliser l’ascenseur** sur le côté
de la page. Cette zone privilégiée correspond en moyenne aux six premiers résultats
organiques, les trois premières places étant occupées par des liens commerciaux. (La
présence des liens commerciaux, réduit les chances d’apparaître au-dessus de la ligne de
flottaison dans le cadre du référencement naturel.)

Au-delà de la troisième page, les requêtes deviennent quasiment nulles. Si les internautes ne
trouvent pas leur bonheur dans les premiers résultats, ils préféreront effectuer une nouvelle
recherche plutôt que de consulter un grand nombre de pages sur une même requête.




Mais quelles sont alors les critères qui entrent en compte dans ce positionnement ?




*Ligne de flottaison : partie de l'écran à partir de laquelle l'utilisateur doit descendre sur la page pour voir le
reste du contenu. Le contenu qui se situe au-dessus de cette ligne est visible dès le chargement de la page.

**Ascenseur : barre de navigation verticale, située à droite de l’écran. Il suffit de la faire glisser pour accéder à
l’intégralité du contenu.




                                                                                                                  20
Mémoire de stage | LE REFERENCEMENT NATUREL : UN LEVIER WEBMARKETING COMPLEXE


2.4 LES MOTEURS DE RECHERCHE



Les moteurs de recherche facilitent l'accès aux sites Internet, justement en les organisant.
Dans cette sous-partie je présenterais leur mode de fonctionnement, afin de désigner les
éléments qui comptent pour obtenir un bon positionnement.




2.4.1 Définition



Les moteurs de recherche permettent aux internautes de trouver des contenus
correspondant à une recherche, parmi les milliers d’informations présentes sur le web.

L’internaute saisi une requête dans la barre de recherche. Une requête contient des « mots
clés », dont le moteur va se servir pour trouver les contenus correspondants parmi ceux qu’il
a indexé.

Il classe alors ces contenus et les affiche sur des pages web dynamiques, que l’on nomme les
pages de résultats ou SERP (Search Engine Results Page).




2.4.2 Le fonctionnement des moteurs de recherche



2.4.2.1 Côté utilisateurs



Les moteurs ont un fonctionnement très technique, mais sont avant tout conçus pour
faciliter la navigation des internautes.




                                                                                          21
Mémoire de stage | LE REFERENCEMENT NATUREL : UN LEVIER WEBMARKETING COMPLEXE


2.4.2.1.1    L’objectif de l’utilisateur



Les utilisateurs attendent des moteurs qu’ils leur fournissent des informations précises et
fiables. Dans le cadre d’une requête, la situation idéale est la suivante :




                                             V- Schéma de la requête idéale

2.4.2.1.2    La SERP



La SERP (Search Engine Results Page), est la page sur laquelle s’affichent les résultats d’une
requête. Elle contient une liste de liens organiques qui correspondent au référencement
naturel et de liens sponsorisés, qui sont les liens commerciaux venant de Google Adwords.

Chaque site est accompagné d’une meta description* qui résume le contenu du site. La
meta description ne fait plus partie des critères pris en compte par les moteurs pour
l’optimisation du référencement d’un site. Elle joue en revanche un rôle très important pour
le marketing, puisqu’elle incite l’internaute au clic!

*Meta description : il s’agit d’un petit résumé du site affiché sur les pages de résultats, sous le nom du site. Son
objectif est d’inciter l’internaute au clic tout ayant la contrainte d’être courte.




                                                                                                                 22
Mémoire de stage | LE REFERENCEMENT NATUREL : UN LEVIER WEBMARKETING COMPLEXE


D’autres éléments peuvent être affichés au début de la SERP selon le type de requête :
cartes météo, plans, vidéos, corrections orthographiques...




                             VI-Onebox, carte météo et plan –Source Google




2.4.2.1.3   Les barres de recherches



    C’est dans la barre de recherche (horizontale) que l’internaute formule l’objet de sa
    requête. Google propose de nombreuses catégories permettant d’affiner une recherche :
    Images, Maps, Actualités… il existe aussi une barre de recherche verticale, qui permet de
    préciser la requête, en choisissant notamment une période donnée, sélectionnée par
    l’internaute.




2.4.2.2 Les robots



Les moteurs fonctionnent grâce à des robots, aussi appelés spiders, crawlers, user agent ou
bot :

    -   Googlebot pour Google

    -   Slurp pour Yahoo

    -   Msnbot pour Microsoft (live search)



                                                                                          23
Mémoire de stage | LE REFERENCEMENT NATUREL : UN LEVIER WEBMARKETING COMPLEXE


Les robots sont des programmes informatiques qui parcourent les fichiers web et indexent
leurs contenus textuels dans leurs bases de données.

Grâce aux liens hypertextes reliant les différents contenus, les robots passent d’un texte à
l’autre et indexe ainsi la majorité du web. On appelle cette étape la phase de Crawl. Lorsque
le robot arrive sur une page déjà indexée, il vérifie si le contenu a été mis à jour depuis son
dernier passage et l’actualise dans ses fichiers. Les robots crawleront plus souvent les sites
dont le contenu est mis à jour régulièrement et à l’inverse, ils passeront moins souvent sur
les sites moins dynamiques. Dans le cas des sites dont le contenu change chaque jour,
comme les sites d’actualité par exemple, les robots actualisent les contenus
quotidiennement.

La présence de liens sur un site est donc importante pour être trouvé et indexé par les
moteurs. La création de liens entre différents sites Internet est appelée maillage et est une
pratique essentielle en référencement. Les différentes techniques seront développées plus
loin dans ce mémoire.

A noter : Les webmasters peuvent connaître la date du dernier passage des robots sur leur
site en consultant les fichiers logs* ou dans le « En cache » de Google que l'on trouve dans les
SERPS à côté d'un résultat de recherche. Dans le cas d’une mise à jour sur un site, si ils
souhaitent que les modifications soient prisent en compte rapidement, ils peuvent demander
aux moteurs de « passer » sur le site pour en actualiser les contenus via le sitemap**.




*Les fichiers logs, ou journaux d’évènements, sont des fichiers textes qui enregistrent les actions effectuées par
un serveur ou une application informatique.

**Site map se traduit en français par « plan d’un site web». Il facilite le travail d’indexation des robots en
proposant une architecture du site et en listant chronologiquement les ressources proposées.




                                                                                                               24
Mémoire de stage | LE REFERENCEMENT NATUREL : UN LEVIER WEBMARKETING COMPLEXE


2.4.2.3 Les différentes étapes du référencement d’un site



   -   La phase de crawl :

Au cours de laquelle les robots parcourent les pages web en accès public afin de relever les
informations qu’elles contiennent. En suivant les liens hypertextes qui existent entre les
différents pages des sites, ils parcourent ainsi la majorité du web.

   -   La phase d’indexation :

Le contenu textuel collecté précédemment est ensuite indexé. Les robots ne sont pas en
mesure de décrypter les images, les sons ou les vidéos.

L’indexation consiste à recenser les mots et les pages dans lesquelles ils se trouvent. Cette
indexation détaillée servira ensuite de base pour trouver les contenus à afficher lors d’une
recherche.

Certains mots ne sont pas lus par les robots, on les appelle les « stop words » (ou skip
words), il s’agit des « petits mots » qui ne sont pas porteur de sens pour comprendre le
contenu d’un site web.

   -   Le traitement des requêtes :

Suite à la requête d’un internaute, un processus d’interrogation se met en place dans l’index.
Grâce à l’étape précédente, l’ensemble des contenus web enregistrés dans les moteurs
peuvent être retrouvés par un processus d’index inversé. Lors des deux premières phases,
chaque mot clé a été enregistré ainsi que la page du site dans laquelle il se trouve et sa
fréquence d’apparition.

Ce processus permet d’identifier les mots dans l’index avec leurs numéros de page et l’Url du
site qui les contient et de les afficher dans la page de résultats. Ils seront ensuite classés, en
partie, en fonction du nombre d’apparition des mots clés dans le site.

   -   L’affichage des résultats :

Les résultats sont alors classés en fonction des différents critères de pertinence du moteur.



                                                                                               25
Mémoire de stage | LE REFERENCEMENT NATUREL : UN LEVIER WEBMARKETING COMPLEXE


2.4.2.4 Critères de pertinence et de popularité



Quand on se place du point de vue de l’utilisateur, il apparaît évident que l’objectif d’une
requête est d’accéder à des contenus traitant du sujet désiré et présentant un réel intérêt
pour lui. C’est ce que l’on appelle le critère de pertinence. Pour l’évaluer le moteur relève la
présence de mots clés et leur fréquence d’apparition dans le contenu, dans les titres et dans
les URLs. (Il faut cependant faire attention à ne pas trop sur-optimiser le texte de mots clés
au risque d'être pénalisé par Google.)

Le deuxième critère est la popularité du site. Elle est évaluée par un comptage des liens
entrant sur le site. La qualité du site d’où provient le lien et sa cohérence avec le contenu
vers lequel il « pointe » lui donnent d’autant plus d’importance.

Le moteur attribue une note sur ces deux critères de pertinence et de popularité, c’est le
scoring. Ces différents scores permettent ensuite de classer les contenus, c’est le ranking.
Chaque site possède un Page Rank, score entre 1 et 10 qui indique le niveau de qualité du
site. Lorsqu’un site A fait un lien vers un site B, si A a un PageRank élevé, alors B bénéficiera
de cette notoriété et verra augmenter son PageRank. A l’inverse, si le PageRank de A est
faible, en faisant un lien vers B il fera baisser sa notoriété. Ce PageRank peut être connu de
tous les internautes et pour tous les sites, notamment sur pagerank.fr.




                                  VI- Schéma du transfert de popularité


                                                                                              26
Mémoire de stage | LE REFERENCEMENT NATUREL : UN LEVIER WEBMARKETING COMPLEXE


2.4.3 Les principaux moteurs de recherche



Google est devenu le principal moteur de recherche en France et détient aujourd’hui un
large monopole.




    VII- Les moteurs de recherches, Sources : Journal du Net, At Internet, Fevad, Infographie conçue et réalisée
                                                   par CCD-DESIGN.COM




2.4.3.1 Google



Puisqu’il est le principal moteur de recherche, il est celui qui retient le plus l’attention des
référenceurs, car il impose des critères précis et se montre très exigeants. Lorsqu’un site est
optimisé pour Google, il est en général bien classé sur les autres moteurs. C’est pourquoi
nous nous concentrons sur lui dans le cadre de ce mémoire.




                                                                                                             27
Mémoire de stage | LE REFERENCEMENT NATUREL : UN LEVIER WEBMARKETING COMPLEXE


2.4.3.1.1   L’algorithme de Google



Le classement des sites sur la SERP n’est pas aléatoire, Google impose des critères de
« qualité » auxquels les sites doivent répondre pour être bien positionnés. Il possède un
ensemble d’algorithmes complexes et spécifiques, des formules mathématiques très
protégées. Cet algorithme permet d’évaluer les sites sur de nombreux critères, de leur
donner une note (scoring) et de les classer lors d’une requête (ranking).

L’objectif de Google est d’organiser les informations contenues sur le web dans le monde
entier, afin de les rendre accessibles et pertinentes pour tous les utilisateurs. C’est pourquoi
il fait évoluer son algorithme très régulièrement, afin de combattre les techniques de
référencent frauduleuses et d’offrir aux internautes un outil le plus objectif possible.

Les dernières modifications de l’algorithme sont Google Panda et Google Pingouin.

    -   Google panda : Une des mises à jour de l’algorithme Google datant de février 2011,
        visant à lutter contre le spam. Il faudra attendre la mise à Jour 2.4 de Panda pour que
        la France soit concernée (initialement ça ne concernait que les requêtes en anglais).

        Panda a été créé pour combattre notamment les fermes de contenus (sites qui
        copient des contenus sur le web sans l’accord des propriétaires), ainsi que les
        comparateurs de prix, agrégateurs, codes de réduction et annuaires d’entreprise ou
        locaux. Suite à cette mise à jour, de nombreux sites ont vu leur classement chuter de
        plusieurs positions.

        Dernière mise à jour au 25/07/2012 Panda 3.9

    -   Google Penguin : mise à jour de l’algorithme datant du 24 avril 2012, visant à
        pénaliser les sites qui pratiquent des techniques de référencement dites « black
        hat », c’est-à-dire qui ne respectent pas les consignes de Google et qui utilisent des
        techniques de spam pour optimiser leur positionnement.




                                                                                             28
Mémoire de stage | LE REFERENCEMENT NATUREL : UN LEVIER WEBMARKETING COMPLEXE


2.4.3.2 Les techniques de référencement black hat : Sanction de Google



Certains référenceurs tentent d’exploiter les failles du moteur afin d’en tirer profit et d’être
mieux positionnés. Ce sont des techniques très risquées car si Google les repèrent, le site
risque d’être black-listé, c’est-à-dire qu’il n’apparaîtra plus dans les résultats et disparaîtra
donc aux yeux des internautes pour une période indéfinie.



2.4.4 Google est-il réellement objectif ?



Les résultats de la SERP sont-ils réellement objectifs ? On remarque que les résultats
diffèrent selon l’internaute pour une même requête. Google prendrait-il en compte des
critères personnels pour personnaliser l’affichage des résultats ? !

La réponse est « oui », en voici quelques exemples :

   -   Géolocalisation, par détection de l’adresse IP de l’internaute. (Il est cependant
       possible de changer la localisation, dans le menu de gauche de la page de résultats).

   -   Historique de recherche :

       > gardé en mémoire par le compte Google

       > sauvegardé par les cookies

   -   Retargeting/ remarketing : Publicités qui ciblent les internautes ayant déjà visité le
       site. Par exemple un affichage de bannières reprenant les produits que les
       internautes ont consultés sur un site marchand.

       Google permet de rajouter un code dans la page souhaitée, une balise de
       remarketing. Ainsi, les cookies des internautes qui consultent la page se trouveront
       enregistrés et cela permettra par la suite de créer une campagne Adwords ciblée.

A noter : Une des solutions les plus efficaces pour avoir des résultats de recherche moins ou
peu ciblés est de se déconnecter de son compte Google et de se mettre en « navigation
privée » avec la commande CTRL /Maj/P.

                                                                                              29
Mémoire de stage | LE REFERENCEMENT NATUREL : UN LEVIER WEBMARKETING COMPLEXE


2.4.5 Sécurisation des données Google : le mauvais exemple de Street View



Pour alimenter son service de localisation « Street View » mis en place en 2007, Google a
conçu des véhicules, les « Google Cars », pour sillonner les villes et prendre des photos
panoramiques des rues, immeubles et personnes. Certains de ces véhicules pouvaient capter
des informations numériques et ainsi « aspirer » et stocker des données envoyées par les
réseaux Wi-Fi : identifiants de comptes, e-mails …

Selon la CNIL (Commission nationale de l’informatique et des libertés) * «Google avait
enregistré, outre des données techniques, de nombreuses données concernant des
particuliers, identifiés ou identifiables : données de connexion à des sites Web, mots de
passe de messagerie, adresses de courrier électronique, échanges de courriels révélant
notamment des informations sensibles sur l'orientation sexuelle ou la santé des personnes».
Des enquêtes menées depuis 2009 ont amenées la Cnil a imposé sa plus grosse sanction à
Google, une amende de 100 000 euros et la destruction de ces informations.

Mais lors d’une récente enquête de routine, Google aurait découvert que ces données
n’avaient pas été supprimées. Invoquant une « erreur administrative et humaine », le
Groupe a décidé d’en informer toutes les autorités de contrôle en Europe. Des enquêtes
sont aujourd’hui toujours en cours dans plusieurs pays.

Une « erreur » qui pourrait coûter cher à Google en altérant la confiance des utilisateurs.




Maintenant que l'on comprend mieux le fonctionnement des moteurs de recherche, il
devient plus simple d'aborder la méthodologie du référencement naturel.




*La Commission nationale de l’informatique et des libertés (CNIL) est une institution indépendante chargée de
veiller au respect de l'identité humaine, de la vie privée et des libertés dans un monde numérique.




                                                                                                          30
Mémoire de stage | LE REFERENCEMENT NATUREL : UN LEVIER WEBMARKETING COMPLEXE


2.5 TECHNIQUES DE REFERENCEMENT – LES CRITERES ON-PAGE



Les critères on-page, sont tous les éléments visibles par l’internaute en « front office ». On
les oppose aux critères off-page, qui sont eux invisibles pour les internautes (ils sont dans le
code source).

Afin d’illustrer cette partie, je prendrais des exemples concrets de missions que j’ai réalisé en
stage pour différentes entreprises.




2.5.1 Optimisation des contenus



2.5.1.1 Recherche de mots clés



2.5.1.1.1   Objectifs



Les « mots clés » doivent rassembler les deux critères suivants :

    -   Tout d’abord, permettre aux moteurs de recherche de bien identifier le sujet traité
        dans le contenu du site. Il s’agit là d’un critère de pertinence essentiel pour être bien
        positionné dans les pages de résultats des moteurs.

    -   Ensuite, être employés par un maximum d’internautes lors de la formulation de leur
        recherche.

Lors de la saisie d’une requête dans le formulaire de recherche, les robots vont chercher
dans l’index les sites qui les contiennent. La récurrence de ces mots clés dans le contenu du
site était auparavant nécessaire et suffisante à un bon positionnement. Il semble aujourd’hui
que ce critère évolue, afin d’éviter les contenus « sur-optimisés » qui ne sont pas des plus
agréables à lire pour l’internaute. En effet, le critère de pertinence a pour objectif de délivrer
des contenus de qualité au lecteur, de ce fait le site doit contenir ces mots clés mais de façon
raisonnable.



                                                                                               31
Mémoire de stage | LE REFERENCEMENT NATUREL : UN LEVIER WEBMARKETING COMPLEXE


L’enjeu est donc de trouver des mots à la fois populaires auprès des internautes mais
d’éviter les mots clés trop génériques sur lesquels l’intensité concurrentielle* est forte.

Les mots clés choisis doivent être en rapport direct avec le contenu du site. Autrement les
internautes, en découvrant un contenu qui ne correspond pas à leurs attentes, quitteront le
site. Il ne faut pas oublier que l’objectif premier est de créer un trafic ciblé sur son site.

A noter : On peut mesurer le nombre de visiteurs qui quittent le site dès la première page,
avec le « taux de rebond » dans Google analytics.



2.5.1.1.2   Le principe de la longue traîne



Il faut évoquer ici le principe de la longue traîne, un concept fréquemment évoqué dans les
stratégies de SEO. Cette notion a été inventée en 2004 par Chris Anderson** pour illustrer
une théorie économique liée à l'apparition du e-commerce. En SEO on fait référence à la
longue traîne pour justifier qu'une multitude de mots clés ou d'expressions rapportent plus
de visites que les seuls mots clés phares.

Chris Anderson est parti du postulat que l'apparition du e-commerce avait entraîné une
dématérialisation des biens. Il n'y avait alors plus de limite quant à l'étendue de l'offre
proposée aux consommateurs. Et c'est cette abondance de choix, qui a permis de
démultiplier les ventes. En effet les produits phares qui se vendent très bien apportent une
grande partie du chiffre d'affaire, mais les produits complémentaires permettent de
satisfaire une plus large partie de la clientèle et donc de rapporter plus de ventes.

En SEO, la longue traîne comprend des expressions de 3 à 10 mots. Si chacune de ces
expressions ne rapportent que peu de visiteurs, regroupées elles dépassent les mots clés les
plus populaires. Bien évidemment les mots clés populaires ne doivent pas être abandonnés,
ils sont à combiner avec la longue traîne.

*On entend ici par intensité concurrentielle, le nombre de sites positionnés sur les mêmes mots clés, en tenant
compte de la taille des concurrents (moyens financiers, notoriété…).

** Chris Anderson est le rédacteur en chef du magazine américain Wired, inventeur de l’expression de la longue
traîne.
                                                                                                            32
Mémoire de stage | LE REFERENCEMENT NATUREL : UN LEVIER WEBMARKETING COMPLEXE




            VIII- La longue traîne, Source Olivier Corneloup – consultant Référencement, web marketing




2.5.1.1.3   Méthodes et Outils



Pour illustrer cette méthode, prenons l’exemple d’une entreprise de formation pour devenir
commercial sur Toulouse.

ETAPE 1

    -   Suivre son intuition (souvent très bonne avec l’expérience) et la volonté du client
        d’être placé sur certains mots clés en fonction du sujet de son site, de sa cible, et de
        ses objectifs. On délimite le terrain de recherche pour la suite.

    -   En se basant sur les premiers mots, on définit des catégories, et on décline dans
        chacune les autres mots clés (cf tableau de l'étape 3).




Dans notre exemple, on part sur les mots « formation commerciale » et « formation vente »,
qui correspondent au cœur d’activité du client.




                                                                                                         33
Mémoire de stage | LE REFERENCEMENT NATUREL : UN LEVIER WEBMARKETING COMPLEXE


       OUTILS : Le générateur de mots clés de Google Adwords. Cet outil propose d’autres
       mots clés sur la base de ceux que nous avons saisis. Il fournit des indicateurs de
       popularité auprès des internautes. Il permet ainsi de mesurer le niveau d’intérêt des
       internautes pour ces mots présélectionnés, en donnant le nombre de fois où ils ont
       été saisis pour une zone géographique donnée.




                          IX- Générateur de mots clé, Source Google Adwords


Grâce à cet outil Google, nous pouvons estimer le nombre de recherches en France pour nos
deux mots clés. 3 autres mots clés en rapports avec ceux que nous avons saisis nous sont
proposés. Pour « formation commerciale » et « formation vente » les recherches sont
importantes, ce sont des mots dits « génériques ». C’est un point positif car cela indique
qu’un grand nombre d’internautes seraient susceptibles de trouver notre site si nous nous
positionnons bien sur ces mots.

ETAPE 2

   -   On estime maintenant la concurrence existante sur ces mêmes mots.


                                                                                         34
Mémoire de stage | LE REFERENCEMENT NATUREL : UN LEVIER WEBMARKETING COMPLEXE


       OUTILS : saisir les mots clés un par un dans Google (ou dans le moteur sur lequel on
       travaille son positionnement). En-dessous de la barre de recherche s’affiche le
       nombre de résultats (sites) existants pour ce mot clé.

Dans le cas de l’agence, on choisit le navigateur Internet Explorer, car comme nous utilisons
Mozilla au quotidien, les résultats de recherche sur les sites pour lesquels nous travaillons et
donc sur lesquels nous allons souvent, pourraient être faussés. Il est également possible de
se mettre en navigation privée (Ctrl +Maj+u).




                          X- Nombre de résultats dans Google, Source Google.fr




Pour « formation commerciale », il existe 21 300 000 résultats dans Google, ce qui est très
important ! Car pour espérer bien se positionner, il ne faut pas dépasser 1 million de
résultats.

Il s’agit donc d’un mot clé trop générique. La solution est de choisir un mot plus précis, en
précisant la ville par exemple « formation commerciale Toulouse ».

ETAPE 3

   -   Maintenant tout est une histoire de mesure, il s’agit de sélectionner les mots pour
       lesquels les internautes ont à la fois un intérêt, mais également pour lesquels la
       concurrence n’est pas trop importante.




                                                                                             35
Mémoire de stage | LE REFERENCEMENT NATUREL : UN LEVIER WEBMARKETING COMPLEXE




                                XI- Etude de mots clés, Source agoranet




En rose, ce sont les mots clés choisis. Ils présentent une situation idéale puisque la
concurrence reste modérée et qu'ils sont utilisés par les internautes, comme par exemple
« centre de formation commerciale » ou « organisme de formation Toulouse ».

En orange ce sont les mots que l'on n'utilisera pas, car ils ne correspondent pas (ou trop peu)
à des requêtes d'internautes.

Enfin en noir ce sont les mots qu'on n'utilisera pas en priorité, car la concurrence est trop
élevée. Ils constituent cependant un champ lexical pouvant être utilisé pour une rédaction
optimisée des contenus.

ETAPE 4

La dernière étape reste la validation par le client, des mots qui nous semblent offrir les
meilleures chances d’obtenir un bon positionnement.




                                                                                            36
Mémoire de stage | LE REFERENCEMENT NATUREL : UN LEVIER WEBMARKETING COMPLEXE


2.5.1.2 Ou placer ces mots clés ?



2.5.1.2.1   Objectifs



Avec la liste de mots clés obtenue, on va pouvoir optimiser les contenus. L’objectif est de
rédiger d’une façon claire et compréhensible, tout en appliquant les bonnes pratiques du
référencement par la prise en compte des critères imposés par les moteurs.

L’algorithme de Google prend d’avantage en compte certaines zones que l’on appelle les
« zones chaudes ». Elles se situent dans le contenu (visible pour l’internaute) et dans le code
source (non visible pour l’internaute).




2.5.1.2.2   Méthode et Outils



ETAPE 1 : Rédaction du contenu

Il ne faudrait pas oublier que le premier objectif d’un site est tout de même de délivrer des
informations intéressantes pour les internautes … Le contenu est donc avant tout rédigé
dans cet objectif !

Il faut cependant garder à l'esprit que les moteurs privilégient les trois premières lignes de
texte d’une page. On fait donc en sorte de rentrer tout de suite dans le vif du sujet, en
énumérant les thématiques essentielles. Il s’agit de la technique de rédaction en « pyramide
inversée ». C'est la technique utilisée pour la rédaction web en général, car elle permet à
l'internaute de se faire une idée, d'un premier coup d’œil, de ce dont parle le site.

Afin d’améliorer l’optimisation de la page, il est important de mettre en exergue les mots
clés en les mettant en gras. On utilise dans le code source, la balise « strong » : <strong>Mot
Clé</strong>

ETAPE 2 : Optimisation des titles

Dans le code source les moteurs crawlent prioritairement certaines zones. C’est le cas des
titres de pages appelés « titles » et des titres et sous titres du contenu des pages, qui
                                                                                            37
Mémoire de stage | LE REFERENCEMENT NATUREL : UN LEVIER WEBMARKETING COMPLEXE


correspondent respectivement aux balises h1, h2… . Les titres de page doivent être
différents pour toutes les pages du site. Les titles sont déterminants pour le positionnement
d'un site, mais sont également visibles pour l’internaute sur la barre de navigation. Un bon
titre ne doit pas contenir plus de 10 mots. Il est également bon dans un titre de rappeler à
chaque fois le nom de l’entreprise, ainsi que sa localisation quand celle-ci est un atout dans
le cadre du référencement.

Dans la barre de navigation :




                                     XII- Title, barre de navigation


Dans le code source (extrait) :




                                        XIII- Title, Code source


OUTIL : simulation des titres et méta description. Ce qui facilite la rédaction en limitant
automatiquement le nombre de caractères. http://www.seolius.com/fr/outils-seo/google-serps-
snippet-optimization




ETAPE 3 : Optimisation du nom de domaine du site et des URLs des pages

Le Nom de domaine (NDD) est un identifiant unique désignant un site Internet. Il reprend en
général le nom de la société «nom-de-societe.fr » ou le sujet du site « le-dictionnaire.com».

Pour l'URL des pages on rajoute des sous-catégories au nom de domaine « nom-de-
societe.fr /reorientation-professionnelle/ ».

                                                                                            38
Mémoire de stage | LE REFERENCEMENT NATUREL : UN LEVIER WEBMARKETING COMPLEXE


2.5.1.2.3 Mesures des résultats




                         XIV- Progression du positionnement, Source Majestic SEO




Ce graphe présente l'évolution du positionnement du site, pour le mot clé « formation
commerciale ». On constate qu'entre juin 2011 et juin 2012, le site est passé de la 40ème
position à la première position. Un an de travail de référencement nous a permis d'obtenir
des résultats excellents. On mesure bien ici, l'efficacité du référencement naturel, mais
également le temps nécessaire à l'obtention de ces résultats.

De plus la courbe est régulière, ce qui montre la stabilité des résultats obtenus. La légère
chute en avril 2012 correspond à la mise à jour de l'algorithme Google Penguin.




                                                                                         39
Mémoire de stage | LE REFERENCEMENT NATUREL : UN LEVIER WEBMARKETING COMPLEXE




                              XV- Détail des positions, Source Majestic SEO


Sur ce tableau sont mentionnées les positions qu'occupe le site le 5 août 2012 pour les
différents mots clés travaillés. Ces positions sont comparées à celles de mi-juin 2012.

Il s'agit ici d'un très bon exemple puisque le site occupe les meilleures positions pour une
majorité de mots clés. Ces informations nous permettent de connaître les mots clés qui sont
à travailler d'avantage.

.




                                                                                          40
Mémoire de stage | LE REFERENCEMENT NATUREL : UN LEVIER WEBMARKETING COMPLEXE




2.6 TECHNIQUES DE REFERENCEMENT – CRITERES OFF-PAGE


Nous allons maintenant nous intéresser aux optimisations off-page, c’est-à-dire non visibles pour les
internautes.




2.6.1 Augmenter la popularité du site



La popularité d’un site est l’un des principaux critères pris en compte par Google dans le
positionnement.




2.6.1.1 Stratégie de Netlinking ou Maillage

2.6.1.1.1   Objectifs



Le netlinking (ou maillage) est le réseau de liens existants entre les sites Internet, il est une
condition essentielle de l’amélioration du positionnement d’un site. Pour gagner des
positions, il faut recevoir des liens qui pointent sur les pages du site, ce sont des backlinks ou
BL. Cependant plusieurs éléments sont à considérer pour que ces liens soient pris en compte
de façon positive par les moteurs.

    -   Dans un premier temps les sites doivent avoir un rapport, ils doivent traiter de sujets
        communs.

    -   Ensuite, le texte cliquable du lien : « l’ancre » doit contenir les mots clés essentiels.

Pour donner plus d’importance au lien, on met en exergue l’ancre de celui-ci, de la même
façon que pour les mots clés, en les mettant en gras.

Il vaut mieux préférer la qualité des liens à leur quantité, car un seul lien « à forte valeur
ajoutée » peut faire gagner plus de positions que des dizaines de mauvais liens (pire, les
dernières mises à jour de Google vont vers une sanction pour les « mauvais » liens).


                                                                                                    41
Mémoire de stage | LE REFERENCEMENT NATUREL : UN LEVIER WEBMARKETING COMPLEXE


Un bon lien provient d'un site dont l'indice de popularité est élevé. Google nomme cet indice
le PageRank (du nom de son concepteur Larry Page*) et en a fait un des points essentiels de
son algorithme.




La formule itérative de calcul du PageRank est la suivante :

                  PR(A) = (1-d) + d(PR(T1)/C(T1) + PR(T2)/C(T2) +...+ PR(Tn)/C(Tn))

Où :

         PR(A) est égal au PageRank de la page A.

         Tn (pages sources) représentent les pages faisant un lien vers la page cible A.

         C(Tn) représente le nombre de liens présents dans la page Tn.

         d est un facteur multiplicatif égal à 0,85.




Si cette formule a probablement évoluée depuis sa publication, elle constitue très
probablement le cœur du calcul actuel.

Cette formule montre la proportionnalité qui existe entre la valeur du PageRank d'une page
et le nombre et la qualité des liens qui pointent sur elle.

En revanche, plus la page qui « pointe » contient de liens, moins chaque lien a de valeur.
Cette transmission de de popularité est appelée « Link Juice* ».

Les pages internes du site sont prisent en compte pour le calcul du PageRank. Il est donc
important dans une stratégie de maillage, de relier les pages du site entre elles par des liens
internes.




*Larry Page est un des cocréateur de Google avec Sergey Brin.

* Link Juice = « Jus de lien »



                                                                                            42
Mémoire de stage | LE REFERENCEMENT NATUREL : UN LEVIER WEBMARKETING COMPLEXE


2.6.1.1.2   Méthode et Outils



Dans cette partie je prendrais l’exemple d’un site e-commerce de vente de Planchas.

Il existe plusieurs stratégies pour obtenir des liens, dont les suivantes :

    − L'échange de liens entre des sites d'un même secteur d'activité (par un accord entre
        les webmasters). ! Attention cette technique devient mal perçue par Google!.

    − S’inscrire à des annuaires permet d'obtenir des backlinks facilement. Une des
        conditions de réussite est de faire une soumission régulière et de ne pas s’inscrire à
        des centaines d’annuaires en une seule fois afin de ne pas attirer l’attention de
        Google et de ne pas risquer d’être pénalisé. D’autre part, ces annuaires doivent être
        bien indexés et avoir un bon PageRank (au moins >2).

      Face à la lourdeur de cette tâche (temps d'inscription long et nécessité de souscrire à
      beaucoup d'annuaires pour obtenir des résultats), j'ai utilisé sur la fin de mon stage un
      nouveau logiciel     Yooda Submit, qui permet de souscrire rapidement à plusieurs
      annuaires que l'on choisit parmi une liste proposée.

    − Publication de communiqués de presse sur des plate-formes dédiées. Il faut en
        revanche éviter de de fournir des contenus identiques et réécrire le texte à chaque
        fois.

      Il existe des plates-formes connues comme K press.fr, Powerpress.fr ou espace-
      voyage.com. Sur lesquelles nous publions régulièrement.

    − Laisser des commentaires sur les forums et créer un lien sur sa signature. Pour que ce
        commentaire est l’air « naturel » et ne soit pas supprimé, il est préférable de prendre
        part à une conversation en postant plusieurs messages, sans lien.

     Par exemple : se créer un profil particulier pour demander conseil dans l'objectif d'un
     achat, en faisant un lien sur l’URL de la page produit sur le site.




                                                                                            43
Mémoire de stage | LE REFERENCEMENT NATUREL : UN LEVIER WEBMARKETING COMPLEXE


    − Poster des messages sur des blogs en mettant un lien sur les noms, prénoms ou e-
          mail qui accompagnent le commentaire. Le message doit être suffisamment qualitatif
          pour être validé par le webmaster.




Comment créer facilement ces contenus et éviter le duplicate content ?

Google voit tout et sait tout… ! Et il voit d’un très mauvais œil ce que l’on appelle le
duplicate content, c’est à dire la reproduction de contenus identiques par simple copier-
coller.

Pour éviter cela sans avoir à réécrire tous les contenus, il existe un outil : Le Spin.

Pour faciliter et la reformulation de textes, on utilise un logiciel de Spin (effispin), qui va
permettre de remplacer automatiquement des mots par leurs synonymes. Le logiciel génère
ainsi différentes combinaisons et propose de nombreuses versions du texte initial.




Au moment de la publication, le choix de la page d’atterrissage du backlink, la « landing
page » a de l’importance. Il faut choisir des pages variées du site pour améliorer la qualité du
lien, (pas seulement la page d’accueil).




2.6.1.1.3 Mesure des résultats




                           XVI- Détail des positions-maillage, Source Majestic SEO




                                                                                             44
Mémoire de stage | LE REFERENCEMENT NATUREL : UN LEVIER WEBMARKETING COMPLEXE


Suite aux actions de maillage on remarque d’un côté un gain de positions et de l’autre un
déclassement. Contrairement aux mesures observées précédemment dans le cadre des
optimisations on-page, ici les résultats sont plus mitigés. En effet les actions de netlinking
comportent le risque d’être sanctionnées par Google et de faire perdre des positions.




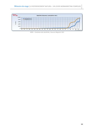
    XVII-   Mesure de la popularité, évolution des Backlinks = du nombre de pages faisant un
            lien vers le site analysé, par rapport aux principaux concurrents, Source Majestic
                                                    SEO




Les résultats précédents sont à nuancés aux vues de ceux-ci. En effet le site « plancha »
connaît une évolution significative des liens pointant sur lui. Dans un contexte concurrentiel
en perte de vitesse, ces résultats sont donc très positifs.




                                                                                            45
Mémoire de stage | LE REFERENCEMENT NATUREL : UN LEVIER WEBMARKETING COMPLEXE



3 AUTRES LEVIERS WEBMARKETING


Il existe d’autres leviers webmarketing que le référencement naturel, dont le référencement
payant, le réseau social Facebook, l’e-mailing et la newsletter. Ces leviers sont très
complémentaires et permettent d’atteindre des objectifs différents.

Je les traiterai plus sommairement que le premier, non pas qu’il y ait moins à dire (quoique
sur le référencement naturel il y a quand même beaucoup !), mais parce que le premier
thème a occupé une plus grande partie de mon stage.




                                                                                         46
Mémoire de stage | LE REFERENCEMENT NATUREL : UN LEVIER WEBMARKETING COMPLEXE




3.1 SEM –SEARCH ENGINE MARKETING– LE REFERENCEMENT PAYANT



Comme mentionné plus tôt dans le mémoire, le SEM (Search Engine Marketing) est l'outil de
référencement payant de Google. Il intervient en complément du référencement naturel.
Une stratégie de SEM est à mettre en place lors d’événements particuliers pour l'entreprise.

L'exemple que je vais prendre est celui des Soldes, pour une boutique en ligne de bijoux en
pierre de Larimar et en Ambre. La campagne a été menée sur 10 jours et avait pour objectif
d'amener du trafic sur le site et bien sûr de déclencher des achats !




         Stratégie et déroulement des actions :

   − Tout commence par le choix des mots clés sur lesquels on souhaite enchérir, par
         exemple « Soldes Bijoux en Ambre ». Google Adwords fournit une estimation du
         trafic de recherche qui nous guide dans le choix des mots clés. On fixe un Coût Par
         Clic (CPC) maximum, ici 1€ et un budget quotidien maximum de 30€ pour l'ensemble
         de la campagne.




                           XIX – Prévisions de trafic, Source Google Adwords




On peut espérer obtenir 4 à 5 clics par jour pour un coût journalier total entre 2,14€ et
2,62€.


                                                                                          47
Mémoire de stage | LE REFERENCEMENT NATUREL : UN LEVIER WEBMARKETING COMPLEXE


Les mots clés peuvent être regroupés en groupe d'annonce, par exemple : groupe d'annonce
« fêtes des mères », groupe d'annonce « soldes », groupe d'annonce « Ambre »...

   − Une fois les mots clés choisis, on peut piloter la campagne. C'est à dire qu'à tout
       moment on peut mettre des mots clés en veille ou en rajouter de nouveaux. Pour
       cela on se réfère au tableau de bord de la campagne.




                            XX- Etat des campagnes, Sources Google Adwords


On maintient « Soldes Bijoux en Ambre », car son Taux de clic (CTR) est bon et son Coût Par
Clic (CPC) assez faible. En revanche « Soldes Boucles d'oreilles » prend trop de budget
(2,92€/clic) pour un taux de clic très faible (3,82%), c'est pourquoi on le met en veille.

   − On rédige les annonces en décomposant : le titre (qui reprend dynamiquement les
       différents mots clés du groupe d'annonce), la Ligne de description 1, la Ligne de
       description 2, l'url du site à afficher. Et on choisit la page du site sur laquelle
       l'annonce redirigera.




                           XXI- création d’une annonce, Source Google Adwords




   − On pilote les groupes d'annonces de la même façon que le mots clés.




                                                                                             48
Mémoire de stage | LE REFERENCEMENT NATUREL : UN LEVIER WEBMARKETING COMPLEXE




                               XXII – Etat des Groupes d’annonces


On obtient ici une information supplémentaire : la conversion, c'est à dire les actes d'achat
que l'annonce a déclenché (ici un achat de 219,91€). Il s'agit là d'un indicateur important
pour qualifier les annonces.

La campagne a apportée plus de 50% des ventes de la période. Google Adwords est donc un
levier efficace dans le cadre d'une stratégie de e-commerce. Son avantage est d'être
rapidement « actionnable » et de pouvoir être piloté en continu.




                                                                                          49
Mémoire de stage | LE REFERENCEMENT NATUREL : UN LEVIER WEBMARKETING COMPLEXE


3.2 FACEBOOK



Les réseaux sociaux sont devenus incontournables dans les stratégies marketing des
entreprises, même des PME. Facebook en particulier s'est imposé comme un canal de
communication privilégié. Mais pourquoi aller sur Facebook ?

La première raison est que 31 millions de français, sur les 38 millions d'internautes que
compte le pays, possèdent un compte, soit autant de consommateurs potentiels, le ciblage
de prospects est énorme. Ensuite parce que Facebook est un lieu d'échanges à nul autre
pareil, dans lequel un dialogue peut facilement être instauré avec sa cible. Enfin parce qu'il
est accessible à tous : facile d'utilisation, il nécessite peu de moyens techniques et financiers.




        Création de la page Fan

C'est par là que commence l'aventure... La page fan est le nom donné à la page Facebook
d'une entreprise. Elle lui permet d'améliorer sa visibilité sur le web, de créer une
communauté rassemblant tous ses clients, de dialoguer avec eux et de communiquer sur
tous les événements de son offre et/ou de son établissement.

Les quelques paramétrages sont simples à effectuer : inscrire ses coordonnées, horaires
d'ouvertures et autres informations pratiques. Le choix des visuels est important, car c'est
l'avatar qui apparaît dans le fil d'actualité des fans et il est de ce fait, la première source de
trafic sur la page.

Depuis environ un an, Facebook propose la « Timeline », une nouvelle conception de la
page, qui permet de classer les événements dans l'ordre chronologique et ainsi de remonter
le temps ! Il s'agit d'un formidable atout pour le marketing, car cela permet de raconter
l'Histoire de la marque et donc d'asseoir sa notoriété ou d'entretenir la légende... Et ainsi de
renforcer l'image de marque.




Prenons ici l'exemple de Louis Vuitton :


                                                                                               50
Mémoire de stage | LE REFERENCEMENT NATUREL : UN LEVIER WEBMARKETING COMPLEXE




                XXIII-   Extrait de la Timeline de Louis Vuitton, Source Louis Vuitton Facebook


L'histoire de la marque sur la Timeline remonte aux origines de la création de la marque en
1854, bien au-delà de l'inscription sur Facebook. Chaque étape importante de la vie de la
marque est reportée et illustrée, comme l'ouverture de la première boutique en 1859 à
Asnières.




       Création de la communauté et recrutement de fans

Dans le cas d'une marque à forte notoriété, les fans viennent d'eux-mêmes. Pour des
marques moins populaires, les fans peuvent être recrutés de différentes façons : par
bouche-à-oreilles, par un lien sur le site Internet, ou par une campagne de publicité sur
Facebook.




       Community management

Il serait dommage de limiter les utilisations Facebook à de la publicité. Bien qu'il soit un
média publicitaire efficace, il est également le lieu où créer un dialogue privilégié avec sa
communauté. Le phénomène a pris une telle ampleur, qu'il a donné lieu à la création d'un
nouveau métier, celui de community manager (qu'on peut traduire par « gestionnaire de la
communauté »). Un travail qui consiste à animer la page fan en diffusant des informations et
en répondant aux questions ou remarques des « fans ».



                                                                                                  51
Mémoire de stage | LE REFERENCEMENT NATUREL : UN LEVIER WEBMARKETING COMPLEXE


Pour animer ce dialogue, Facebook met à notre disposition des outils intéressants que sont :
les sondages (qui permettent de recueillir l'avis des consommateurs), les commentaires (qui
permettent d'amorcer des discussions), les relais événementiel, la publication de photos (ce
qui capte plus facilement l'attention des fans) et les jeux-concours (motivation par les
récompenses, récompense de la fidélité, buzz).

       Pour plus de détail sur ces trois premiers points, voir Annexe 1 « Facebook pour les
       restaurateurs et hôteliers ».

       Campagne pub Facebook

Facebook propose de définir précisément sa cible grâce à son système de ciblage « Social
ads », qui permet de diffuser des annonces auprès de consommateurs précisément définis
par leur âge, genre, lieu de résidence, centres d’intérêts, situation professionnelle... . En
partant du principe que ces informations de profil soient fiables (puisque chaque utilisateur
est libre de compléter ses informations comme il le souhaite).




                    XXIV-   Extrait du ciblage de publicité Facebook, Source Facebook




                                                                                          52
Mémoire de stage | LE REFERENCEMENT NATUREL : UN LEVIER WEBMARKETING COMPLEXE


       Mesures des résultats de la campagne

Facebook édite des rapports de statistiques qui relèvent les informations aidant à mieux
connaître notre audience et permettent ainsi de piloter et d'optimiser les campagnes. On
peut notamment connaître le nombre de clics qu'a déclenché l'affichage d'une pub, ainsi que
le coût de chaque clic.

       Voir Annexe 2 « extrait d'un rapport de statistiques - campagne Facebook pour un
       restaurant Toulousain ».




                                                                                        53
Mémoire de stage | LE REFERENCEMENT NATUREL : UN LEVIER WEBMARKETING COMPLEXE


3.3 E-MAILING ET NEWSLETTER



Pour augmenter la notoriété d’une marque ou d’une entreprise, l’e-mailing reste un moyen
très efficace. Bien que sa pertinence soit remise en doute aujourd’hui par les stratégies
marketing modernes, le monde de l’Internet lui trouve encore beaucoup de qualités et n’est
pas encore prêt à s’en passer !

L'e-mailing est un message électronique envoyé à une base de données d’internautes, dans
un but promotionnel ou informatif.

L’e-mailing est devenu au cours des dernières années, l’un des moyens de communication
privilégié sur Internet. Nous en recevons chaque semaine par dizaines et ne lisons que très
peu, voire aucun d’entre eux. Pourquoi les entreprises et les agences continuent-elles alors
d’exploiter ce filon ?

   − Pour améliorer la notoriété de la marque dans un premier temps. Car même si le
       message n’est pas ouvert son objet bénéficiera au moins d’un rapide coup d’œil et
       par la répétition des messages, le nom de l’entreprise sera mémorisé par l’utilisateur.
       Dans un premier temps, une notoriété assistée : « Connaissez-vous Amazone.fr ? » -
       « Oui », puis par notoriété spontanée : « Pouvez-vous me citer un site de vente en
       ligne de Livres, DVD et produits informatiques ? » - « Oui, Amazone.fr ».

   − Il permet de gagner du temps, pour un coût réduit par rapport aux actions
       marketing classiques. L’ensemble de la campagne peut être réalisé en quelques jours
       au lieu de plusieurs semaines.

   − Sur un grand nombre d'envois, on arrive toujours à capter l'attention de quelques
       contacts (environ 20%) et la dépense étant plus faible que sur les autres outils de
       communication, le coût par contact peut tomber à 0.20€ au lieu de 2 à 8€. L'e-
       mailing reste donc un outil de webmarketing rentable et intéressant.

   − De plus l’e-mailing permet la fidélisation des contacts, moins coûteuse que
       l’acquisition de nouveaux.




                                                                                           54
Mémoire de stage | LE REFERENCEMENT NATUREL : UN LEVIER WEBMARKETING COMPLEXE


   − Enfin les résultats et performances de la campagne peuvent être analysés en temps
       réel.

L’e-mailing peut être reçu dans différents cas de figure :

   -   Suite à un premier achat en ligne au cours duquel le consommateur a indiqué son e-
       mail.

   -   Suite à un achat en point de vente « physique », au cours duquel le consommateur a
       rempli un formulaire de fidélité pour recevoir des offres promotionnelles.

   -   Lorsque l’e-mail a été transmis à des partenaires d’une marque à laquelle le
       consommateur a donné son accord.

   -   Si l’adresse e-mail du consommateur se retrouve dans des bases de données
       achetées par des entreprises qu’ils ne connaissent pas.

   Dans les deux premières situations, il y plus de chances pour que l’internaute soit plus
   réceptif à l’offre.

   Pour qu’une campagne d’e-mailing soit efficace, plusieurs critères sont à prendre en
   compte :

   -   L’objet de l’e-mailing doit inciter au clic en résumant le contenu du message en
       quelques mots. Pour éviter les passages en spam, certains mots sont à proscrire
       comme « argent » ou « euros ».

   -   La rédaction de l’e-mailing doit être efficace ! Il faut dire l’essentiel le plus
       simplement possible. Le lecteur doit pouvoir saisir de quoi il s’agit en un seul coup
       d’œil. L’ensemble du message doit de préférence tenir dans la taille de l’écran, pour
       éviter au lecteur d'avoir à utiliser l’ascenseur à droite l'écran, au risque qu'il ferme le
       message.

   -   Le graphisme doit susciter l’appel au clic. En rendant cliquable les éléments
       importants pour renvoyer sur la page correspondante du site, afin de permettre au
       lecteur d’accéder à la page du produit en question, ou d’obtenir plus d’informations
       sur un sujet.

                                                                                               55
Mémoire de stage | LE REFERENCEMENT NATUREL : UN LEVIER WEBMARKETING COMPLEXE


   -   Le rythme des campagnes doit être régulier et correspondre au cycle de l’activité.

       Exemple d'un e-mailing

Nous utilisons la plate-forme professionnelle DOLIST pour l'envoie des messages.




                                 XXV – Emailing, Source agoranet


Ici un e-mailing à gauche et la représentation des zones de clics et le tracking des liens à
droite. Cela nous permet de connaître le comportement des internautes face à notre
message. On peut de plus connaître le mail des contacts qui ont cliqué sur telle ou telle
zones. En connaissant ainsi le comportement de nos cibles, on peut leur envoyer par la suite
des messages plus personnalisés ou faire des relances. (Si dans cet exemple les chiffres sont
faibles, c'est parce que ce message s'adresse à un petit segment, puisqu'il concerne
uniquement les magasins de corses).




       Mesure de la campagne

Le reporting fournit des éléments sur les performances de la campagne : pourcentage de
messages bien reçus (Taux de délivrabilité), intérêt porté au message (taux d'ouverture),
taux de clic, taux de désabonnement...

       Voir Annexe 3 « reporting e-mailing »

                                                                                            56
Mémoire de stage | LE REFERENCEMENT NATUREL : UN LEVIER WEBMARKETING COMPLEXE


4   MESURE D'EFFICACITE DES ACTIONS : LES CHIFFRES CLES DU
    WEBMARKETER !

Une fois toutes ces action mises en place, on passe à l'étape de mesure des actions, afin de
constater si l'on a atteint les objectifs et de définir les futurs plans d'action.




                                                                                         57
Mémoire de stage | LE REFERENCEMENT NATUREL : UN LEVIER WEBMARKETING COMPLEXE



4.1 ELABORATION DU RAPPORT



L'agence fournit des rapports à deux niveaux :
    − Des rapports au cours de la prestation de référencement.
    − Des rapports de fin de contrat, plus complets.
Les outils : Google analytics -l'outil gratuit de Google qui donne des statistiques complètes- et
Majestic SEO -qui permet de suivre l'évolution du maillage-.


L'objectif d'un rapport web analytics est d'identifier l'évolution du trafic sur le site : les
visites sont-elles en augmentation? Ainsi que le comportement des visiteurs au cours de la
navigation : par quoi les visiteurs sont-ils intéressés sur le site? Y a-t-il des phénomènes de
saisonnalité dans l'activité? ...


Au travers de l'analyse, on aborde trois axes :
    − Les tendances globales, pour évaluer la progression.
    − Analyse des sources de trafic afin d'évaluer la stratégie d'acquisition des visiteurs.
    − Analyse du comportement des visiteurs.
Avant toute chose il faut rappeler qu'une analyse via Google Analytics nécessite d'avoir au
préalable installé des "marqueurs", c'est à dire mis en place l'outil de tracking permettant le
stockage de ces données.
Il est préférable d'avoir une visibilité d'au moins un an, car une analyse aura d'avantage de
sens si on peut la comparer à une période antérieure équivalente. Cela permet une
observation plus objective et le repérage des phénomènes de saisonnalité.


Pour illustrer ces explications, on prendra l’exemple d’un site de vente de Plancha en ligne.



4.1.1 Tendances globales

4.1.1.1 Évolution des visites



Lorsqu’il regarde ces indicateurs, le webmarketer n’a qu’une seule idée en tête : les visites
                                                                                                58
Mémoire de stage | LE REFERENCEMENT NATUREL : UN LEVIER WEBMARKETING COMPLEXE


ont-elles augmentées? C'est à ce stade que l'on repère parfois des phénomènes de
saisonnalité. Sur le graphe ci-dessous où l'on constate une hausse importante de l'activité
pendant la période estivale – ce qui est logique puisqu'il s'agit d'un site de vente de plancha
en ligne-. En parallèle on remarque les visites augmentent d'années en années.




                  XXVI - Evolution du nombre de visites par semaine, Source Google Analytics




D'autres facteurs peuvent expliquer des variations importantes d'audience, ce sont toutes les
campagnes de communication (on et off line) : newsletter, e-mailing, nouveaux catalogue...


Ce nombre de visites s'analyse en parallèle d'autres indicateurs globaux.




4.1.1.2 Visites et visiteurs uniques




                        XXVII-   Visites et visiteurs uniques, Sources Google Analytics




On différencie dans un premier temps les visiteurs, des visiteurs uniques. Un "visiteur
unique" est une personne physique qui peut revenir plusieurs fois sur le site. Il peut donc y
avoir plusieurs visites pour un visiteur unique.



                                                                                               59
Mémoire de stage | LE REFERENCEMENT NATUREL : UN LEVIER WEBMARKETING COMPLEXE


4.1.1.3 Temps passé sur le site et nombre de pages vues par visite



Le nombre de pages vues en moyenne par visite permet de mesurer l'attractivité du site pour
les internautes et l'intérêt qu'ils portent aux informations qu'il contient
La durée moyenne de la visite doit bien évidemment être la plus longue possible !



4.1.1.4 Le taux de rebond



Le taux de rebond mesure le nombre de personnes qui quittent le site dès la première page.
Ce taux doit donc être le plus bas possible. Dans le cas d'un taux de rebond élevé, il faut
trouver des points d'amélioration de la page d'accueil. Le menu du site est-il bien visible ? Les
informations essentielles sont-elles bien affichées ? Ce contenu vari-t-il assez fréquemment ?


À titre d'information, voici les moyennes des sites selon Google en 2011 :


                               Taux de rebond                    47%


                            Pages vues par visites            4,5 pages


                            Temps passé sur le site       5 minutes 23 sec

                                XXVIII- Moyennes des sites, source Google



4.1.2 Synthèse géographique


Elle permet de connaître les régions apportant le plus de visites sur le site Internet. Lorsqu'il
s'agit d'une entreprise locale, le résultat est généralement sans surprise. En revanche pour
les entreprises dont la portée est nationale, cet indicateur permet d'orienter les futures
campagnes de communication. On pourra communiquer sur la notoriété de l'entreprise, en
optant pour des messages plus originaux ou plus techniques ou communiquer de façon plus
institutionnelle dans les régions où la société est moins connue.



                                                                                              60
Mémoire de stage | LE REFERENCEMENT NATUREL : UN LEVIER WEBMARKETING COMPLEXE




              XXIX-   Régions qui apportent le plus de visites, Sources Google Analytics




                                                                                           61
Mémoire de stage | LE REFERENCEMENT NATUREL : UN LEVIER WEBMARKETING COMPLEXE



4.2 LES DIFFERENTES SOURCES DE TRAFIC


4.2.1 Provenances des visiteurs


Pour connaître les sources de trafic par lesquelles les visiteurs arrivent sur le site :




                              XXX – Sources de trafic, Sources Google Analytics




- Trafic de recherche : provenant du référencement naturel et payant

- Sites référents : Cela nous permet de savoir par quels sites partenaires les visiteurs arrivent
sur le site de l'entreprise. Notamment les réseaux sociaux FB, linkedin, viadeo...

- Accès direct : On évalue le nombre de visiteurs qui sont venus en ayant tapé directement
l'url du site ou le nom de l'entreprise dans le navigateur, ou encore qui ont enregistré
l'adresse du site dans leurs favoris. Cet indicateur révèle la notoriété spontanée de
l'entreprise.

- Campagnes : mesure les visites provenant de campagne d'e-mailing ou de newsetters.



4.2.2 Référencement payant



Cet indicateur nous permet de mesurer l'intérêt des campagnes Google Adwords, en
comparant le trafic général au trafic apporté par le SEM.




                                                                                              62
Mémoire de stage | LE REFERENCEMENT NATUREL : UN LEVIER WEBMARKETING COMPLEXE




               XXXI – Comparaison entre le trafic du SEO et du SEM, Sources Google Analytics




Le référencement payant génère ici 82,65% de nouvelles visites, ce qui est une bonne
performance dans une stratégie d'acquisition. En revanche le taux de rebond est supérieur
au référencement naturel, cette source de trafic est donc moins qualifiée.



4.2.3 Référencement naturel


On distingue deux types de SEO :

    -    SEO marque : représente le trafic venant du référencement naturel, sur des mots clés
         tapés par l'internaute contenant le nom de l'entreprise. Ex : "entreprise A Toulouse"
    -    SEO hors-marque : représente le trafic venant du référencement naturel, sur des
         mots clés ne contenant pas le nom de l'entreprise. Ex : "traiteur Toulouse".
Dans le premier cas l'entreprise bénéficie d'une meilleure notoriété spontanée et dans le
deuxième cas, le référencement a fait ses preuves.


4.2.4 Liens entrants


Comme nous l'avons évoqué dans le chapitre 1, le maillage est un élément essentiel du
référencement. Sur le graphique suivant, on mesure l'augmentation des liens pointant sur le
site :




                                                                                               63
Mémoire de stage | LE REFERENCEMENT NATUREL : UN LEVIER WEBMARKETING COMPLEXE




                  XXXII – Evolution des backlinks, Sources Majestic SEO




                                                                                64
Mémoire de stage | LE REFERENCEMENT NATUREL : UN LEVIER WEBMARKETING COMPLEXE


4.3 COMPORTEMENT DES VISITEURS SUR LE SITE


4.3.1 Pages d'entrée – Pages consultées – Pages de sortie


Sur quelles pages les visiteurs arrivent-ils en premier ? C'est là que l'on voit l'intérêt de bien
référencer l'ensemble des pages, et non pas uniquement la page d'accueil (bien que ce soit
en général la première page de destination).
En effet selon la requête de l'internaute, la page de destination peut être une page produit
(pour du e-commerce par exemple), ou encore la page contact (dans le cas d'un restaurant
par exemple).
Les pages consultées nous dévoilent les centres d'intérêt des internautes au cours de leur
navigation sur le site.
Les pages de sorties ne signifie pas forcément que ce sont des pages inintéressantes pour
l'internaute, elles peuvent correspondre à la page sur laquelle l'internaute a trouvé
l'information qu'il cherchait.



4.3.2 Les zones de clics



Si l'on sait où cliquent les internautes, on sait ce qui les intéresse sur le site. On peut ainsi
adapter l'offre à la demande, en mettant en avant et enrichissant les rubriques les plus
consultées et au contraire en faisant évoluer les rubriques qui ne le sont pas.

On peut déceler des informations importantes sur le comportement de la cible : recherche
d'informations, recherche de promotions, recherche de nouveauté...




                                                                                                    65
Mémoire de stage | LE REFERENCEMENT NATUREL : UN LEVIER WEBMARKETING COMPLEXE




                                XXXIII- Zone de clic, source agoranet


Par exemple ici on peut remarquer que la partie la plus cliquée (dans les petits rectangles
orange) est la zone de mise en avant centrale (zone "carrousel") avec 9,4% des clics
effectués, l'internaute consulte l'ensemble via les boutons réservés à cet effet :




                                                                                              66
Mémoire de stage | LE REFERENCEMENT NATUREL : UN LEVIER WEBMARKETING COMPLEXE


La deuxième zone la plus cliquée se situe au niveau de la catégorie "Plancha" avec 5,4% des
clics. Les produits complémentaires sont moins sollicités (accessoires, cuisine extérieure...).

L'ensemble des autres clics effectués révèle que le visiteur parcourt le site à la recherche
d'informations complémentaires :

       Soit pour des éléments qui concernent la commande en elle-même (besoin de
       réassurance) : modalités de livraison, revendeurs, FAQ.

       Soit pour en découvrir plus sur la nature du produit "Plancha" et de ce que l'on peut
       en retirer (exemple : les avantages de cuisiner à la plancha).




                                                                                               67
Mémoire de stage | LE REFERENCEMENT NATUREL : UN LEVIER WEBMARKETING COMPLEXE


4.4 CONCLUSION ET RECOMMANDATIONS



Cette partie doit permettre de retenir les points essentiels abordés dans le rapport et de
présenter un plan d'action pour la suite.
On met en avant les progrès apportés grâce aux actions de webmarketing (comme
l'augmentation du nombre de visites, les zones de contenu stratégique) et on pointe les
éléments à améliorer (faire baisser le taux de rebond, optimisation du site...).


Puis on détaille les éléments à travailler dans le cadre du futur plan d'action. En reprenant
notre exemple, il s'agira de :
   -      Poursuivre les actions de référencement par la rédaction d'articles :
   -      20 textes : Les différents types de plancha (électrique, gaz, acier, fonte, Chromedur)
   -      20 textes : Les avantages d'une plancha pour cuisiner à l'extérieur l'été
   -      25 textes : Quels aliments cuisiner à la plancha ?
   -      25 textes : Conseil pour cuisiner à la plancha
   -      20 textes : Les différences entre une plancha et un barbecue
   -      25 textes : Comment choisir une plancha
   -      20 textes : Les accessoires qui accompagnent une plancha (protection, chariot,
          ustensiles...)
   -      20 textes : Comment entretenir une plancha
   -      25 textes : Présentation du site web
Mise en ligne des 200 textes : création de profils de blogs et sites de communiqués de
presse.
   -      Ajout d'un module de notation pour valoriser les produits et inciter à l'achat :
> Webdesign : 1h
> Ingénierie : 4h
> Mise en ligne et contrôle qualité : 2h
> Gestion de projet : 2 h




                                                                                               68
Mémoire de stage | LE REFERENCEMENT NATUREL : UN LEVIER WEBMARKETING COMPLEXE




5 CONCLUSION DU RAPPORT


Rappel de la problématique : L'objectif de ce mémoire était de comprendre pourquoi le
référencement naturel est-il le levier le plus complexe du webmarketing ? Et quelle est sa
place au sein d’une stratégie marketing ?




Au cours des enseignements reçus pendant le stage et de mes recherches, la conclusion que
je tire est que le marketing est en pleine mutation suite aux évolutions technologiques. Les
nouvelles technologies font naître chez le consommateur de nouveaux besoins et créent une
plus grande proximité avec eux. L'intimité et les informations personnelles sont de plus en
plus exposées par les internautes et exploitées par les annonceurs. Ces entreprises étendent
leurs actions commerciales sur des supports toujours plus variés, pour toucher les
consommateurs au plus proche. Dans ce contexte d'hyper-communication, toutes les
entreprises se trouvent confrontées à une intensité concurrentielle forte et doivent
communiquer pour exister. En effet, comme je l'ai évoqué dans ce mémoire, l'enjeu principal
aujourd'hui est d'être visible, car l'offre proposée est pléthorique. Sollicités en permanence,
les clients n'ont plus qu'à « faire leur choix » parmi ce qu'ils ont sous les yeux. C'est en ce
sens que le référencement est devenu la base du webmarketing, car quelques soient les
actions menées, il faut qu’elles soient vues par un maximum de monde, pour espérer être
rentables. Face à cette évolution relativement récente, certaines entreprises ne saisissent
pas encore bien l'importance d'amorcer une stratégie de référencement ou ne comprennent
pas qu'il nécessite autant de moyens humains, techniques et financiers.

De mon point de vue c'est là que le bât blesse pour les agences de communication. Les
actions de fond comme les optimisations SEO dont les résultats ne sont visibles que sur le
long terme, devraient systématiquement être accompagnées d'actions à court termes,
comme du SEM ou du recrutement de Fans sur Facebook pour obtenir un premier retour
sur investissement et ainsi rassurer les annonceurs les plus réticents.

S’il est impossible de savoir de quoi demain sera fait... il y a fort à parier que « demain » se
fera sur le web et que la proximité entre les annonceurs et leurs cibles ne fera que se
                                                                                             69
Mémoire de stage | LE REFERENCEMENT NATUREL : UN LEVIER WEBMARKETING COMPLEXE


renforcer. Les dirigeants de demain font partie d'une génération surexposée et ultra
sollicitée, qui ne se demande même plus si la publicité pervertie ou non leurs choix de
consommation, mais qui au contraire, sont en demande de publicités qui correspondent à
leurs besoins, car elles leurs sont plus « utiles ».

On peut penser que dans les prochaines années l'intrusion dans la vie intime soit poussée
tellement loin, que l'on connaisse un mouvement de recul. Comme on l’observe déjà au
travers des nombreuses désinscriptions de Facebook, entraînant un rajeunissement de la
cible. L'enjeu du (web)marketing aujourd'hui est de trouver le juste équilibre car en effet les
annonceurs ont besoins des consommateurs pour exister, mais à l'inverse ces derniers sont
en demande de nouvelles offres pour améliorer leur quotidien.

Les stratégies de webmarketing en agence devraient d'avantage prendre en compte le
comportement du consommateur final (le client de leur client), mais aussi celui de
l'annonceur (leur client). Concernant le référencement, bien qu'il soit à la frontière entre le
marketing et la technique, j'ai constaté que pour la plupart des référenceurs l'intérêt de
l'internaute était bafoué. C'est à dire qu'ils privilégient la création de liens quitte à mentir sur
des forums. J'ai lu par exemple un article ou un référenceur conseillait de poster des avis
négatifs (infondés) sur les concurrents, pour augmenter sa côte de popularité ! Je pense que
ce sont ces dérives qui nuisent à l'objectivité du marketing. Car le marketing dans sa nature
n'est pas fait dans l'intention de tromper pour attirer les clients à soi, au contraire il faut
revenir à ces origines qui sont de créer une rencontre entre la demande et l'offre. Une
rencontre qui faite avec respect peut s'avérer très enrichissante...




                                                                                                 70
Mémoire de stage | LE REFERENCEMENT NATUREL : UN LEVIER WEBMARKETING COMPLEXE



BIBLIOGRAPHIE


−   ANDRIEU Olivier , « Réussir son référencement web », Editions EYROLLES 2011, Bd Saint
    Germain Paris, 549 pages.

−   AMIDOU Loukouman, « Marketing des Réseaux Sociaux », M A EDITION 2012, av. Général
    Leclerc, Boulogne Billancourt, 264 pages.

−   CANIVET Isabelle, « Bien rédiger pour le web », Editions EYROLLES 2010, Bd Saint Germain
    Paris, 402 pages.

−   BOYDELL Alan, DESCOMBES Serge, MANACHES Sebastien, « Google Analytics – Prise en main,
    utilisation avancée, cas pratiques » , Editions PEARSON Education France 2010, rue des
    vinaigriers Paris, 312 pages.




WEBOGRAPHIE


− “Abondance” (Blog) crée par Olivier ANDRIEU, suivi régulier de la rubrique “Actualité”
    http://www.abondance.com/actualites/

− Criteo (site Internet), rubrique Actualités & Evènements http://www.criteo.com/fr/

− Google                (site        Internet),          centre          d'aide       Adwords
    http://support.google.com/adwords/bin/answer.py?
    hl=fr&answer=2454000&from=170449&rd=1

− Google           (site        Internet),        supports        pour     les     webmasters
    http://www.google.com/webmasters/

− LE FIGARO.fr, rubrique économie, Article « Google admet avoir conservé les données
    de Street View », par Marc Cherki, le 22/07/2012
    http://www.lefigaro.fr/conjoncture/2012/07/27/20002-20120727ARTFIG00630-google-
    admet-avoir-conserve-des-donnees-de-street-view.php


                                                                                               71
Mémoire de stage | LE REFERENCEMENT NATUREL : UN LEVIER WEBMARKETING COMPLEXE


− “La CNIL”, article “Les moteurs de recherche” http://www.cnil.fr/vos-libertes/vos-
    traces/les-moteurs-de-recherche/

− “Le     Journal    du    net”    (site   Internet),   suivi   régulier   des    actualités
    www.journaldunet.com/

− SeoMix, WordPress & Référencement naturel (site Internet)http://www.seomix.fr/

− Sergey Brin et Laurence Page, Computer Science Departement, Stanford University
    (article formule du Page rank) http://infolab.stanford.edu/~backrub/google.html

−   WebRankInfo (site Internet), crée par Olivier DUFFEZ, http://www.webrankinfo.com/




                                                                                         72
Mémoire de stage | LE REFERENCEMENT NATUREL : UN LEVIER WEBMARKETING COMPLEXE




                                ANNEXES




                                                                                73
Mémoire de stage | LE REFERENCEMENT NATUREL : UN LEVIER WEBMARKETING COMPLEXE




Annexe 1 « Facebook pour les restaurateurs et hôteliers »




                                                                                    74
Mémoire de stage | LE REFERENCEMENT NATUREL : UN LEVIER WEBMARKETING COMPLEXE




Annexe 2 « extrait d'un rapport de statistiques - campagne Facebook pour un restaurant
Toulousain »




                                                                                         75
Mémoire de stage | LE REFERENCEMENT NATUREL : UN LEVIER WEBMARKETING COMPLEXE




Annexe 3 « reporting e-mailing »




                                                                                   76

Mémoire seo-fb

  • 1.
    Mémoire de stage| LE REFERENCEMENT NATUREL : UN LEVIER WEBMARKETING COMPLEXE LE REFERENCEMENT NATUREL : UN LEVIER WEBMARKETING COMPLEXE Mémoire présenté en vue d’obtenir le diplôme MASTER M2 Marketing des « Technologies innovantes » Fanny BARDEL Soutenance le 12 Septembre 2012 Maître d’apprentissage Christelle MILAN 1
  • 2.
    Mémoire de stage| LE REFERENCEMENT NATUREL : UN LEVIER WEBMARKETING COMPLEXE TABLE DES MATIERES REMERCIEMENTS .................................................................................................................................... 5 RESUME ................................................................................................................................................... 6 PROBLEMATIQUE .................................................................................................................................... 6 1 INTRODUCTION ............................................................................................................................... 7 1.1 CONTEXTE DU STAGE ............................................................................................................... 8 1.2 PRESENTATION DE L’ENTRPRISE .............................................................................................. 8 1.3 MES MISSIONS ....................................................................................................................... 10 2 LE REFERENCEMENT NATUREL : UN LEVIER WEBMARKETING COMPLEXE ................................... 12 2.1 LE WEBMARKETING ............................................................................................................... 12 2.2 EVOLUTION D’INTERNET ........................................................................................................ 13 2.3 LE REFERENCEMENT NATUREL AUJOURD’HUI....................................................................... 14 2.3.1 Définition .......................................................................................................................... 14 2.3.1.1 Différence entre référencement et positionnement ........................................ 14 2.3.2 Le référencement : à mi-chemin entre le marketing et la technique............................... 15 2.3.2.1 Quelle place pour le référencement dans une stratégie de communication ? . 16 2.3.2.2 SEM vs SEO : Quelle stratégie de référencement choisir ? ............................... 16 2.3.2.3 Qu’est-ce qu’un bon positionnement pour un site Internet ? .......................... 19 2.4 LES MOTEURS DE RECHERCHE ............................................................................................... 21 2.4.1 Définition .......................................................................................................................... 21 2.4.2 Le fonctionnement des moteurs de recherche ................................................................ 21 2.4.2.1 Côté utilisateurs ................................................................................................. 21 2.4.2.1.1 L’objectif de l’utilisateur ..................................................................... 22 2.4.2.1.2 La SERP ............................................................................................... 22 2.4.2.1.3 Les barres de recherches .................................................................... 23 2.4.2.2 Les robots .......................................................................................................... 23 2
  • 3.
    Mémoire de stage| LE REFERENCEMENT NATUREL : UN LEVIER WEBMARKETING COMPLEXE 2.4.2.3 Les différentes étapes du référencement d’un site .......................................... 25 2.4.2.4 Critères de pertinence et de popularité ............................................................ 26 2.4.3 Les principaux moteurs de recherche............................................................................... 27 2.4.3.1 Google................................................................................................................ 27 2.4.3.1.1 L’algorithme de Google ...................................................................... 28 2.4.3.2 Les techniques de référencement black hat : Sanction de Google ................... 29 2.4.4 Google est-il réellement objectif ? ................................................................................... 29 2.4.5 Sécurisation des données Google : le mauvais exemple de Street View ......................... 30 2.5 TECHNIQUES DE REFERENCEMENT – LES CRITERES ON-PAGE .............................................. 31 2.5.1 Optimisation des contenus ............................................................................................... 31 2.5.1.1 Recherche de mots clés ..................................................................................... 31 2.5.1.1.1 Objectifs .............................................................................................. 31 2.5.1.1.2 Le principe de la longue traîne ........................................................... 32 2.5.1.1.3 Méthodes et Outils ............................................................................. 33 2.5.1.2 Ou placer ces mots clés ?................................................................................... 37 2.5.1.2.1 Objectifs .............................................................................................. 37 2.5.1.2.2 Méthode et Outils ............................................................................... 37 2.5.1.2.3 Mesures des résultats ......................................................................... 39 2.6 TECHNIQUES DE REFERENCEMENT – CRITERES OFF-PAGE ................................................... 41 2.6.1 Augmenter la popularité du site ....................................................................................... 41 2.6.1.1 Stratégie de Netlinking ou Maillage ................................................................. 41 2.6.1.1.1 Objectifs .............................................................................................. 41 2.6.1.1.2 Méthode et Outils ............................................................................... 43 2.6.1.1.3 Mesure des résultats .......................................................................... 44 3 AUTRES LEVIERS WEBMARKETING ................................................................................................ 46 3.1 SEM –SEARCH ENGINE MARKETING– LE REFERENCEMENT PAYANT .................................... 47 3.2 FACEBOOK .............................................................................................................................. 50 3.3 E-MAILING ET NEWSLETTER................................................................................................... 54 3
  • 4.
    Mémoire de stage| LE REFERENCEMENT NATUREL : UN LEVIER WEBMARKETING COMPLEXE 4 MESURE D'EFFICACITE DES ACTIONS : LES CHIFFRES CLES DU WEBMARKETER ! ......................... 57 4.1 ELABORATION DU RAPPORT .................................................................................................. 58 4.1.1 Tendances globales ........................................................................................................... 58 4.1.1.1 Évolution des visites .......................................................................................... 58 4.1.1.2 Visites et visiteurs uniques ................................................................................ 59 4.1.1.3 Temps passé sur le site et nombre de pages vues par visite............................. 60 4.1.1.4 Le taux de rebond .............................................................................................. 60 4.1.2 Synthèse géographique .................................................................................................... 60 4.2 LES DIFFERENTES SOURCES DE TRAFIC .................................................................................. 62 4.2.1 Provenances des visiteurs ................................................................................................. 62 4.2.2 Référencement payant ..................................................................................................... 62 4.2.3 Référencement naturel..................................................................................................... 63 4.2.4 Liens entrants.................................................................................................................... 63 4.3 COMPORTEMENT DES VISITEURS SUR LE SITE....................................................................... 65 4.3.1 Pages d'entrée – Pages consultées – Pages de sorties ..................................................... 65 4.3.2 Les zones de clics .............................................................................................................. 65 4.4 CONCLUSION ET RECOMMANDATIONS ................................................................................. 68 5 CONCLUSION DU RAPPORT ........................................................................................................... 69 BIBLIOGRAPHIE ...................................................................................................................................... 71 WEBOGRAPHIE ...................................................................................................................................... 71 ANNEXES................................................................................................................................................ 73 4
  • 5.
    Mémoire de stage| LE REFERENCEMENT NATUREL : UN LEVIER WEBMARKETING COMPLEXE REMERCIEMENTS Avant de débuter ce mémoire, je tiens à remercier Christelle Milan de m’avoir pris en stage et de m’avoir transmis son savoir avec tant de passion. Cette expérience fut pour moi très enrichissante et formatrice. J’ai découvert un nouvel angle de réflexion sur le webmarketing et appris de nombreuses techniques. Je remercie également toute l’équipe d’agoranet grâce à qui j’ai pu avancer, je les remercie d’avoir accueilli mes idées et de m’avoir si bien intégré à l’entreprise. 5
  • 6.
    Mémoire de stage| LE REFERENCEMENT NATUREL : UN LEVIER WEBMARKETING COMPLEXE RESUME Dans ce mémoire je propose de suivre une réflexion sur le webmarketing en général et sur le référencement naturel en particulier. Je présenterai les aspects théoriques qui régissent la discipline, que j'illustrerai par des points méthodologiques correspondant à mes missions de stage. Je tenterai d’enrichir ces apports par la réflexion marketing que j’ai pu développer dans le cadre de mes deux années de master au sein de l’IAE. Ce mémoire se compose de 5 grandes parties : La présentation de l’entreprise et de mes missions, une partie consacrée au référencement naturel, suivie d'une partie concernant d'autres leviers webmarketing (référencement payant, emailing et newsletter, Facebook), enfin dans une quatrième partie je parlerai de la mesure des actions mises en place et de l’intérêt de ces informations dans le cadre du développement d’une stratégie marketing. Enfin je conclurai ce rapport en tentant d’apporter des réponses à la problématique, en développant les limites de la discipline et les enjeux dans le futur. PROBLEMATIQUE L'objectif de ce mémoire est de comprendre pourquoi le référencement naturel est-il le levier le plus complexe du webmarketing ? Et quelle est sa place au sein d’une stratégie marketing ? 6
  • 7.
    Mémoire de stage| LE REFERENCEMENT NATUREL : UN LEVIER WEBMARKETING COMPLEXE 1 INTRODUCTION Ce mémoire de stage traite du webmarketing et en particulier du référencement naturel. Un vaste sujet, que j’aborderai sans prétention, mais pour lequel j’essaierai de retranscrire tout le plaisir que j’ai eu à le travailler. J'ai effectué un stage en webmarketing dans une agence de communication multimédia, au cours duquel j'ai réalisé des missions diverses et complémentaires. Dans ce mémoire je relaterai les objectifs, intérêts et mesures de chacune d'entre elles, en mettant l'accent sur le référencement naturel. Si je choisis d’approfondir cette problématique, c'est parce qu'elle est incontournable dans le métier d'un webmarketer. Probablement la plus changeante et la plus insaisissable... En effet, face à des « référenceurs » de plus en plus ambitieux et malins, les moteurs de recherche, et Google en particuliers, changent les règles en permanence. Or l'un des premiers besoins qu'expriment les clients en webmarketing, c'est d'être dans les premières positions des pages de résultats. Pour répondre à ces exigences, la veille webmarketing est donc constante et les stratégies se renouvellent en permanence. Le référencement impose le défi de mener de front des actions techniques et des stratégies marketing, dans un seul objectif : satisfaire les clients et les moteurs de recherches. Dans la première partie, je présenterai le contexte de mon stage, ce que furent mes missions et quelle place j'ai occupé dans l'entreprise. 7
  • 8.
    Mémoire de stage| LE REFERENCEMENT NATUREL : UN LEVIER WEBMARKETING COMPLEXE 1.1 CONTEXTE DU STAGE Après une première année de master en marketing, j’ai décidé de poursuivre par une année spécialisée dans les nouvelles technologies. En effet les nouvelles technologies et en particulier le web, sont pour moi indispensables à maîtriser aujourd'hui dans le monde de l’entreprise. C’est pourquoi après un premier stage de Master 1 chez agoranet en tant qu’assistante communication et marketing, j’ai été ravie de pouvoir en réaliser un deuxième, de 6 mois et en webmarketing cette fois. J'ai pu approfondir au cours de ce stage, les nombreux apports théoriques que nous avions reçu dans le cadre du master. Grâce aux différentes missions qui m’ont été confiées, j’ai pu découvrir et réaliser un travail technique, tout en menant une réflexion marketing. En étant encadrée à la fois par ma responsable webmarketer- référenceur, mais aussi en collaborant avec les pôles commerciaux et web-digital, j’ai aujourd’hui une vision globale de ce que pourra être ma mission en marketing ou webmarketing dans le cadre d’un futur poste. 1.2 PRESENTATION DE L’ENTRPRISE L'agence de communication agoranet a été créée en 1998 par Eric Radi. Après 14 ans d'expérience dans la communication et la maîtrise des supports web, en tant que web agency, agoranet se repositionne aujourd'hui comme une agence multi-canal. Jusqu'ici spécialisée dans le web, elle recentre son activité autour de trois pôles principaux que sont le Print, le Web et le Digital. Elle compte aujourd'hui 21 collaborateurs répartis autour de 7 métiers : création- conception, accompagnement, conseil, ingénierie, multimédia, hébergement, formation. Son CA s'élève en 2011 à 1 800 000€ et est en progression depuis plusieurs années. 8
  • 9.
    Mémoire de stage| LE REFERENCEMENT NATUREL : UN LEVIER WEBMARKETING COMPLEXE I- Organigramme de l’entreprise –Source agoranet La philosophie d'agoranet est de créer des supports qui correspondent aux attentes des clients et en parallèle, de les accompagner au travers de prestations globales, qui vont du conseil stratégique jusqu'à la formation. Parmi ses références clients, l’agence compte des petites structures comme des grands comptes, dans les domaines variés que sont l’Immobilier, le Bâtiment et la Construction, l’e- tourisme, l’aéronautique et l’e-commerce. On trouve notamment parmi eux, les Ambassades FRAM et AIRBUS. 9
  • 10.
    Mémoire de stage| LE REFERENCEMENT NATUREL : UN LEVIER WEBMARKETING COMPLEXE 1.3 MES MISSIONS Comme on peut le voir sur l’organigramme mes missions de stage concernaient le pôle webmarketing. Référencement naturel SEO : - Stratégie de maillage : création de liens sur des forums, annuaires… - Rédaction et optimisation des Titles et méta descriptions. - Rédaction et publication de communiqués de presse - Rapports de webanalyse Référencement payant SEM : - Création et gestion des campagnes Google adword - Rapport d'analyse des campagnes Google adword Réseaux sociaux ->Facebook : - Création et gestion de campagnes de publicité Facebook - Rapport d'analyse des campagnes de publicité - Community management Emailing : - Préparation et envoi des campagnes - Rapport de performance des campagnes Newsletter : − Rédaction, création et envoi 10
  • 11.
    Mémoire de stage| LE REFERENCEMENT NATUREL : UN LEVIER WEBMARKETING COMPLEXE Communication marketing - Rédaction web : - Rédaction de divers documents et articles dans le cadre de la communication de l’agence. J’ai travaillé sur des projets dès leur commencement, suivi leur développement mais également réalisé des rapports de fin de contrat. 11
  • 12.
    Mémoire de stage| LE REFERENCEMENT NATUREL : UN LEVIER WEBMARKETING COMPLEXE 2 LE REFERENCEMENT NATUREL : UN LEVIER WEBMARKETING COMPLEXE Dans cette deuxième partie, je traiterai un des leviers webmarketing : le référencement naturel. J'ai accordé une importance particulière à ce thème dans mon mémoire, car je présente le contexte actuel du webmarketing avec l'évolution d'Internet qui fait naître de nouveaux besoins et en parallèle l'évolution technologique des moteurs de recherches qui imposent des règles sur le secteur. Afin d'illustrer ce que fut mon travail, j'aborderai dans deux sous parties le travail d'un référenceur et la méthodologie à suivre. 2.1 LE WEBMARKETING Le webmarketing est une branche du marketing qui utilise Internet comme canal de prospection. Il s'adresse à des consommateurs « internautes » dans l'objectif de promouvoir une marque, un bien ou un service. La stratégie webmarketing repose sur les mêmes principes qu'en marketing, à savoir : - Quelle est la demande ? Comprendre les besoins des consommateurs et prévoir leurs évolutions. - Que font les concurrents ? Mener une veille stratégique constante (car sur Internet tout bouge très vite !) pour suivre l'évolution du marché (technologies, offres concurrentes...). Le support principal du webmarketing est le site Internet, sur lequel il faut parvenir à créer du trafic. Pour cela on s’appuie sur différents leviers webmarketing que sont : le référencement, les réseaux sociaux, les e-mailings, les newsletters, les partenariats, et affiliation, les jeux-concours et le marketing viral (buzz). L'objectif final du webmarketing est double : être visible auprès des internautes et assurer un retour sur investissement. 12
  • 13.
    Mémoire de stage| LE REFERENCEMENT NATUREL : UN LEVIER WEBMARKETING COMPLEXE 2.2 EVOLUTION D’INTERNET Internet est devenu le média incontournable aujourd’hui et les utilisateurs sont toujours plus nombreux à naviguer sur le web dans le cadre de leur vie personnelle ou professionnelle. Les entreprises s’emparent à leur tour du phénomène et sont de plus en plus nombreuses à vouloir être présentes et visibles sur le web : un véritable défi dans ce milieu devenu très concurrentiel ! Être visible sur le web nécessite des compétences techniques et un travail de longue durée. C’est pourquoi, face à la complexité de la tâche, les entreprises font appel à des agences web pour assurer ces fonctions. II- Internet connaît une évolution impressionnante depuis 10 ans. Sources : Journal du Net, At Internet, Fevad, Infographie conçue et réalisée par CCD-DESIGN.COM 13
  • 14.
    Mémoire de stage| LE REFERENCEMENT NATUREL : UN LEVIER WEBMARKETING COMPLEXE 2.3 LE REFERENCEMENT NATUREL AUJOURD’HUI Face à l'importance d'Internet dans la société actuelle, le référencement naturel s'est imposé comme un levier indispensable en webmarketing. 2.3.1 Définition Le référencement est l’art de bien positionner un site Internet dans les pages de résultats des moteurs de recherche. L’objectif est d’apparaître dans les premières positions, afin d’inciter les internautes à cliquer sur son site avant celui des concurrents. Occuper les premières places offre l’avantage de créer un trafic ciblé et qualifié sur son site. Il existe deux types de référencement : le référencement naturel ou SEO (Search Engine Optimization) et le référencement payant ou SEM (Search Engine Marketing ). Le premier exige un travail technique de longue haleine pour gagner progressivement des positions et le second repose sur un système d'enchères sur des mots clés, pour être placé sur les liens commerciaux. 2.3.1.1 Différence entre référencement et positionnement Le mot « référencement » désigne simplement le fait d’être enregistré dans les fichiers des moteurs. Si on parle de référencement, il serait en fait plus juste de parler de positionnement, puisque l’objectif est de se positionner sur les meilleures places des résultats des moteurs de recherche. Le travail consiste alors à optimiser le référencement pour qu'un site soit bien positionné. Le positionnement dépend d’une requête, c'est à dire que selon les mots clés saisis dans la barre de recherche, le site n’occupera pas la même position. Nous abordons là un des 14
  • 15.
    Mémoire de stage| LE REFERENCEMENT NATUREL : UN LEVIER WEBMARKETING COMPLEXE premiers points stratégiques qui sera développé plus tard : Sur quels mots clés faut-il se positionner et quels sont ceux que les internautes seront susceptibles de saisir ? L’enjeu de la réflexion marketing, sera de trouver le juste équilibre entre des mots clés suffisamment populaires, tout en évitant les mots clés trop génériques sur lesquels la concurrence est très forte. Pour mieux cerner la différence entre référencement et positionnement on peut reprendre l’analogie avec la grande distribution (Olivier Andrieu « Réussir son Référencement web », édition 2012, p.2). Dans cette métaphore, les sites Internet sont comparés à des produits de supermarché. Tous les produits présents en magasin sont « référencés », ils ont une référence qui permet de les trouver dans les rayons de cette grande surface. Cependant pour qu’ils aient les meilleures chances d’être achetés, on fait en sorte de les placer sur les endroits les plus stratégiques des rayonnages. Le merchandising met en avant certains produits en les plaçant dans ces endroits les plus vus par les consommateurs, à savoir à hauteur des yeux, en tête de gondole ou à la caisse. Ces produits sont plus visibles pour les consommateurs, ils sont bien « positionnés ». Comme on commence à l’apercevoir, le référencement nécessite des interventions techniques, mais doit être inclus dans une stratégie marketing pour être efficace. 2.3.2 Le référencement : à mi-chemin entre le marketing et la technique L'objectif est de trouver la meilleure façon d'inclure le référencement dans la stratégie marketing globale, puis de définir une stratégie propre aux actions de référencement, en fonction du comportement des consommateurs. 15
  • 16.
    Mémoire de stage| LE REFERENCEMENT NATUREL : UN LEVIER WEBMARKETING COMPLEXE 2.3.2.1 Quelle place pour le référencement dans une stratégie de communication ? D’après Michael Porter, professeur de stratégie d'entreprise à Harvard, la stratégie est «l’art de créer des avantages concurrentiels». Lorsqu’une entreprise fait le choix de créer un site Internet pour développer son activité, son premier objectif est de créer du trafic. Pour répondre à cette demande, l’optimisation du référencement est l’un des premiers leviers webmarketing à activer, il fait aujourd’hui partie de la stratégie marketing de la majorité des entreprises. L’inconvénient du référencement naturel est que les résultats ne peuvent être garantis avec précision, ce qui représente un point sensible lors de l’élaboration d’une stratégie. Les décideurs sont parfois réticents à engager une partie conséquente des ressources financières, dans des actions dont les retombées ne sont pas immédiates et dont les résultats ne peuvent être anticipés avec précision. En réponse à ces craintes, les webmarketers insistent sur la durabilité des résultats qui permettent de produire un véritable avantage concurrentiel sur le long terme. 2.3.2.2 SEM vs SEO : Quelle stratégie de référencement choisir ? Le référencement payant SEM (Search Engine Marketing) permet par l’achat de mots clés, d’occuper immédiatement les premières places qui correspondent à des liens commerciaux. Avec le référencement naturel on « gagne » des places sur les liens naturels progressivement. Prenons l’exemple de Google pour comparer les résultats du référencement naturel et ceux du référencement payant Google Adwords. 16
  • 17.
    Mémoire de stage| LE REFERENCEMENT NATUREL : UN LEVIER WEBMARKETING COMPLEXE III- Liens organiques et liens commerciaux – Source Google.fr Sur cet exemple, on peut remarquer que l’IAE de Toulouse est très bien positionné sur la requête « formation marketing Toulouse », il occupe les trois premiers résultats naturels de Google. Cependant, il ne fait apparemment pas de référencement payant, les trois premières places sont donc occupées par des concurrents. La stratégie de référencement idéale consiste à combiner ces deux actions. Travailler le SEO permet d’obtenir des résultats durables sur le long terme en gagnant des positions progressivement. En parallèle des actions de SEM permettent d’obtenir des résultats immédiats qui peuvent être utiles dans le cadre du lancement d’un nouveau site ou d’une campagne de publicité. D’un point de vue marketing se pose la question de la réaction des consommateurs face à ses différents types de liens : Perçoivent-ils une différence entre ces liens ? Font-ils autant confiance aux liens naturels qu’aux liens commerciaux ? 17
  • 18.
    Mémoire de stage| LE REFERENCEMENT NATUREL : UN LEVIER WEBMARKETING COMPLEXE Selon l’agence Criteo (leader mondial du display*), la publicité payante (SEM, display...) génère environ 70% de l'audience des sites marchands, mais 95% de ces visiteurs repartent sans effectuer d'achat. Des résultats qui peuvent paraître faibles, mais tout de même intéressants puisqu’ils montrent que les liens commerciaux génèrent du trafic. Concernant les achats, l'histoire ne dit pas si ces visiteurs reviennent quelques jours plus tard pour effectuer un achat sur ce même site.... Pour compenser ce manque à gagner, l'annonceur peut opter pour le « reciblage publicitaire » ou retargeting. Cette technique consiste à envoyer un message publicitaire (sous forme de bannière) à un internaute ayant déjà visité le site A, pendant qu'il est sur un autre site B, afin de le faire revenir sur le site A. Il s'agit d'un ciblage publicitaire personnalisé, qui s’appuie sur le ciblage comportemental -en anglais « Behavioral Targeting ». Cette technique de publicité qui consiste à personnaliser le contenu des annonces en fonction du comportement des internautes et de leurs centres d’intérêts. Elle repose sur l’utilisation d’éléments comportementaux comme l’historique des recherches et des pages visitées, les cookies**, les produits mis dans des paniers ou achetés en ligne, les clics sur les bannières publicitaires. La promesse pour les annonceurs, d’un taux de clic élevé et d’un retour sur investissement rapide. " Chez Criteo, l'on estime encore qu'un taux de clic de 0,09 % dans le cadre d'une campagne classique équivaut à 0,12 % lorsqu'il s'agit de reciblage non personnalisé et 0,5% pour le reciblage personnalisé. Le taux de conversion atteint quant à lui 2 à 5 %". Une technique aurait déjà rapportée à Google plus de 15 milliards de dollars de chiffre d’affaires via Google Adwords et qui représenterait 35% des ventes d'Amazon.fr. Le ciblage comportemental gagne du terrain dans les stratégies de marketing interactif, car il permet aux annonceurs de créer un trafic de qualité sur leurs sites. C'est aussi un outil de CRM (Customer Relationship Management) puisqu'il permet de maintenir la communication avec les prospects et clients qui ont déjà visité le site. Reste à savoir jusqu'à quel point le marketing osera utiliser les données personnelles dans l'avenir... *Display : publicité sur Internet avec achat d’espace et utilisation d’éléments graphiques ou visuels. **Petits fichiers informatiques stockés dans le navigateur sur le disque dur de l’internaute. 18
  • 19.
    Mémoire de stage| LE REFERENCEMENT NATUREL : UN LEVIER WEBMARKETING COMPLEXE 2.3.2.3 Qu’est-ce qu’un bon positionnement pour un site Internet ? Des études d’eye tracking* ont permis d’analyser le positionnement du regard des internautes sur la page de résultats. Le visuel ci-dessous en est un exemple, on y voit des zones de couleurs représentants les points sur lesquels se pose le regard des internautes. Les zones les plus cliquées, en rouge, sont les zones chaudes, les moins cliquées sont en bleu. On constate que la zone en haut à gauche est la plus regardée, il s’agit du triangle d’or. Cette zone correspond aux trois premiers résultats et désigne les positions offrant la meilleure visibilité. IV- Etude d’eyetracking –Source Google Si le regard des internautes se concentre sur le début de la page de résultats, c’est parce qu’ils souhaitent aujourd’hui trouver l’information qu’ils recherchent le plus rapidement possible. *L’eye tracking rassemble différentes techniques permettant d’enregistrer les mouvements des yeux. Une de ces techniques consiste à filmer le mouvement de l’œil pendant une action donnée. 19
  • 20.
    Mémoire de stage| LE REFERENCEMENT NATUREL : UN LEVIER WEBMARKETING COMPLEXE Internet a rendu accessibles des milliers d’informations. L’apparition de l’adsl et des offres d’accès Internet Illimité et la multiplication des supports de connexion (ordinateurs, mobiles, tablettes, TV…) ont modifié le comportement des consommateurs, les rendant plus exigeants quant à la rapidité et à la qualité de leurs recherches. Ce sont donc ces enjeux que les entreprises doivent relever afin de s’assurer un trafic qualifié. Un site doit réussir à se placer dans la première page de recherche, voire mieux, au-dessus de la ligne de flottaison*. Une ligne qui représente la limite entre la partie basse de la page et la partie haute, visible par l’internaute sur son écran sans utiliser l’ascenseur** sur le côté de la page. Cette zone privilégiée correspond en moyenne aux six premiers résultats organiques, les trois premières places étant occupées par des liens commerciaux. (La présence des liens commerciaux, réduit les chances d’apparaître au-dessus de la ligne de flottaison dans le cadre du référencement naturel.) Au-delà de la troisième page, les requêtes deviennent quasiment nulles. Si les internautes ne trouvent pas leur bonheur dans les premiers résultats, ils préféreront effectuer une nouvelle recherche plutôt que de consulter un grand nombre de pages sur une même requête. Mais quelles sont alors les critères qui entrent en compte dans ce positionnement ? *Ligne de flottaison : partie de l'écran à partir de laquelle l'utilisateur doit descendre sur la page pour voir le reste du contenu. Le contenu qui se situe au-dessus de cette ligne est visible dès le chargement de la page. **Ascenseur : barre de navigation verticale, située à droite de l’écran. Il suffit de la faire glisser pour accéder à l’intégralité du contenu. 20
  • 21.
    Mémoire de stage| LE REFERENCEMENT NATUREL : UN LEVIER WEBMARKETING COMPLEXE 2.4 LES MOTEURS DE RECHERCHE Les moteurs de recherche facilitent l'accès aux sites Internet, justement en les organisant. Dans cette sous-partie je présenterais leur mode de fonctionnement, afin de désigner les éléments qui comptent pour obtenir un bon positionnement. 2.4.1 Définition Les moteurs de recherche permettent aux internautes de trouver des contenus correspondant à une recherche, parmi les milliers d’informations présentes sur le web. L’internaute saisi une requête dans la barre de recherche. Une requête contient des « mots clés », dont le moteur va se servir pour trouver les contenus correspondants parmi ceux qu’il a indexé. Il classe alors ces contenus et les affiche sur des pages web dynamiques, que l’on nomme les pages de résultats ou SERP (Search Engine Results Page). 2.4.2 Le fonctionnement des moteurs de recherche 2.4.2.1 Côté utilisateurs Les moteurs ont un fonctionnement très technique, mais sont avant tout conçus pour faciliter la navigation des internautes. 21
  • 22.
    Mémoire de stage| LE REFERENCEMENT NATUREL : UN LEVIER WEBMARKETING COMPLEXE 2.4.2.1.1 L’objectif de l’utilisateur Les utilisateurs attendent des moteurs qu’ils leur fournissent des informations précises et fiables. Dans le cadre d’une requête, la situation idéale est la suivante : V- Schéma de la requête idéale 2.4.2.1.2 La SERP La SERP (Search Engine Results Page), est la page sur laquelle s’affichent les résultats d’une requête. Elle contient une liste de liens organiques qui correspondent au référencement naturel et de liens sponsorisés, qui sont les liens commerciaux venant de Google Adwords. Chaque site est accompagné d’une meta description* qui résume le contenu du site. La meta description ne fait plus partie des critères pris en compte par les moteurs pour l’optimisation du référencement d’un site. Elle joue en revanche un rôle très important pour le marketing, puisqu’elle incite l’internaute au clic! *Meta description : il s’agit d’un petit résumé du site affiché sur les pages de résultats, sous le nom du site. Son objectif est d’inciter l’internaute au clic tout ayant la contrainte d’être courte. 22
  • 23.
    Mémoire de stage| LE REFERENCEMENT NATUREL : UN LEVIER WEBMARKETING COMPLEXE D’autres éléments peuvent être affichés au début de la SERP selon le type de requête : cartes météo, plans, vidéos, corrections orthographiques... VI-Onebox, carte météo et plan –Source Google 2.4.2.1.3 Les barres de recherches C’est dans la barre de recherche (horizontale) que l’internaute formule l’objet de sa requête. Google propose de nombreuses catégories permettant d’affiner une recherche : Images, Maps, Actualités… il existe aussi une barre de recherche verticale, qui permet de préciser la requête, en choisissant notamment une période donnée, sélectionnée par l’internaute. 2.4.2.2 Les robots Les moteurs fonctionnent grâce à des robots, aussi appelés spiders, crawlers, user agent ou bot : - Googlebot pour Google - Slurp pour Yahoo - Msnbot pour Microsoft (live search) 23
  • 24.
    Mémoire de stage| LE REFERENCEMENT NATUREL : UN LEVIER WEBMARKETING COMPLEXE Les robots sont des programmes informatiques qui parcourent les fichiers web et indexent leurs contenus textuels dans leurs bases de données. Grâce aux liens hypertextes reliant les différents contenus, les robots passent d’un texte à l’autre et indexe ainsi la majorité du web. On appelle cette étape la phase de Crawl. Lorsque le robot arrive sur une page déjà indexée, il vérifie si le contenu a été mis à jour depuis son dernier passage et l’actualise dans ses fichiers. Les robots crawleront plus souvent les sites dont le contenu est mis à jour régulièrement et à l’inverse, ils passeront moins souvent sur les sites moins dynamiques. Dans le cas des sites dont le contenu change chaque jour, comme les sites d’actualité par exemple, les robots actualisent les contenus quotidiennement. La présence de liens sur un site est donc importante pour être trouvé et indexé par les moteurs. La création de liens entre différents sites Internet est appelée maillage et est une pratique essentielle en référencement. Les différentes techniques seront développées plus loin dans ce mémoire. A noter : Les webmasters peuvent connaître la date du dernier passage des robots sur leur site en consultant les fichiers logs* ou dans le « En cache » de Google que l'on trouve dans les SERPS à côté d'un résultat de recherche. Dans le cas d’une mise à jour sur un site, si ils souhaitent que les modifications soient prisent en compte rapidement, ils peuvent demander aux moteurs de « passer » sur le site pour en actualiser les contenus via le sitemap**. *Les fichiers logs, ou journaux d’évènements, sont des fichiers textes qui enregistrent les actions effectuées par un serveur ou une application informatique. **Site map se traduit en français par « plan d’un site web». Il facilite le travail d’indexation des robots en proposant une architecture du site et en listant chronologiquement les ressources proposées. 24
  • 25.
    Mémoire de stage| LE REFERENCEMENT NATUREL : UN LEVIER WEBMARKETING COMPLEXE 2.4.2.3 Les différentes étapes du référencement d’un site - La phase de crawl : Au cours de laquelle les robots parcourent les pages web en accès public afin de relever les informations qu’elles contiennent. En suivant les liens hypertextes qui existent entre les différents pages des sites, ils parcourent ainsi la majorité du web. - La phase d’indexation : Le contenu textuel collecté précédemment est ensuite indexé. Les robots ne sont pas en mesure de décrypter les images, les sons ou les vidéos. L’indexation consiste à recenser les mots et les pages dans lesquelles ils se trouvent. Cette indexation détaillée servira ensuite de base pour trouver les contenus à afficher lors d’une recherche. Certains mots ne sont pas lus par les robots, on les appelle les « stop words » (ou skip words), il s’agit des « petits mots » qui ne sont pas porteur de sens pour comprendre le contenu d’un site web. - Le traitement des requêtes : Suite à la requête d’un internaute, un processus d’interrogation se met en place dans l’index. Grâce à l’étape précédente, l’ensemble des contenus web enregistrés dans les moteurs peuvent être retrouvés par un processus d’index inversé. Lors des deux premières phases, chaque mot clé a été enregistré ainsi que la page du site dans laquelle il se trouve et sa fréquence d’apparition. Ce processus permet d’identifier les mots dans l’index avec leurs numéros de page et l’Url du site qui les contient et de les afficher dans la page de résultats. Ils seront ensuite classés, en partie, en fonction du nombre d’apparition des mots clés dans le site. - L’affichage des résultats : Les résultats sont alors classés en fonction des différents critères de pertinence du moteur. 25
  • 26.
    Mémoire de stage| LE REFERENCEMENT NATUREL : UN LEVIER WEBMARKETING COMPLEXE 2.4.2.4 Critères de pertinence et de popularité Quand on se place du point de vue de l’utilisateur, il apparaît évident que l’objectif d’une requête est d’accéder à des contenus traitant du sujet désiré et présentant un réel intérêt pour lui. C’est ce que l’on appelle le critère de pertinence. Pour l’évaluer le moteur relève la présence de mots clés et leur fréquence d’apparition dans le contenu, dans les titres et dans les URLs. (Il faut cependant faire attention à ne pas trop sur-optimiser le texte de mots clés au risque d'être pénalisé par Google.) Le deuxième critère est la popularité du site. Elle est évaluée par un comptage des liens entrant sur le site. La qualité du site d’où provient le lien et sa cohérence avec le contenu vers lequel il « pointe » lui donnent d’autant plus d’importance. Le moteur attribue une note sur ces deux critères de pertinence et de popularité, c’est le scoring. Ces différents scores permettent ensuite de classer les contenus, c’est le ranking. Chaque site possède un Page Rank, score entre 1 et 10 qui indique le niveau de qualité du site. Lorsqu’un site A fait un lien vers un site B, si A a un PageRank élevé, alors B bénéficiera de cette notoriété et verra augmenter son PageRank. A l’inverse, si le PageRank de A est faible, en faisant un lien vers B il fera baisser sa notoriété. Ce PageRank peut être connu de tous les internautes et pour tous les sites, notamment sur pagerank.fr. VI- Schéma du transfert de popularité 26
  • 27.
    Mémoire de stage| LE REFERENCEMENT NATUREL : UN LEVIER WEBMARKETING COMPLEXE 2.4.3 Les principaux moteurs de recherche Google est devenu le principal moteur de recherche en France et détient aujourd’hui un large monopole. VII- Les moteurs de recherches, Sources : Journal du Net, At Internet, Fevad, Infographie conçue et réalisée par CCD-DESIGN.COM 2.4.3.1 Google Puisqu’il est le principal moteur de recherche, il est celui qui retient le plus l’attention des référenceurs, car il impose des critères précis et se montre très exigeants. Lorsqu’un site est optimisé pour Google, il est en général bien classé sur les autres moteurs. C’est pourquoi nous nous concentrons sur lui dans le cadre de ce mémoire. 27
  • 28.
    Mémoire de stage| LE REFERENCEMENT NATUREL : UN LEVIER WEBMARKETING COMPLEXE 2.4.3.1.1 L’algorithme de Google Le classement des sites sur la SERP n’est pas aléatoire, Google impose des critères de « qualité » auxquels les sites doivent répondre pour être bien positionnés. Il possède un ensemble d’algorithmes complexes et spécifiques, des formules mathématiques très protégées. Cet algorithme permet d’évaluer les sites sur de nombreux critères, de leur donner une note (scoring) et de les classer lors d’une requête (ranking). L’objectif de Google est d’organiser les informations contenues sur le web dans le monde entier, afin de les rendre accessibles et pertinentes pour tous les utilisateurs. C’est pourquoi il fait évoluer son algorithme très régulièrement, afin de combattre les techniques de référencent frauduleuses et d’offrir aux internautes un outil le plus objectif possible. Les dernières modifications de l’algorithme sont Google Panda et Google Pingouin. - Google panda : Une des mises à jour de l’algorithme Google datant de février 2011, visant à lutter contre le spam. Il faudra attendre la mise à Jour 2.4 de Panda pour que la France soit concernée (initialement ça ne concernait que les requêtes en anglais). Panda a été créé pour combattre notamment les fermes de contenus (sites qui copient des contenus sur le web sans l’accord des propriétaires), ainsi que les comparateurs de prix, agrégateurs, codes de réduction et annuaires d’entreprise ou locaux. Suite à cette mise à jour, de nombreux sites ont vu leur classement chuter de plusieurs positions. Dernière mise à jour au 25/07/2012 Panda 3.9 - Google Penguin : mise à jour de l’algorithme datant du 24 avril 2012, visant à pénaliser les sites qui pratiquent des techniques de référencement dites « black hat », c’est-à-dire qui ne respectent pas les consignes de Google et qui utilisent des techniques de spam pour optimiser leur positionnement. 28
  • 29.
    Mémoire de stage| LE REFERENCEMENT NATUREL : UN LEVIER WEBMARKETING COMPLEXE 2.4.3.2 Les techniques de référencement black hat : Sanction de Google Certains référenceurs tentent d’exploiter les failles du moteur afin d’en tirer profit et d’être mieux positionnés. Ce sont des techniques très risquées car si Google les repèrent, le site risque d’être black-listé, c’est-à-dire qu’il n’apparaîtra plus dans les résultats et disparaîtra donc aux yeux des internautes pour une période indéfinie. 2.4.4 Google est-il réellement objectif ? Les résultats de la SERP sont-ils réellement objectifs ? On remarque que les résultats diffèrent selon l’internaute pour une même requête. Google prendrait-il en compte des critères personnels pour personnaliser l’affichage des résultats ? ! La réponse est « oui », en voici quelques exemples : - Géolocalisation, par détection de l’adresse IP de l’internaute. (Il est cependant possible de changer la localisation, dans le menu de gauche de la page de résultats). - Historique de recherche : > gardé en mémoire par le compte Google > sauvegardé par les cookies - Retargeting/ remarketing : Publicités qui ciblent les internautes ayant déjà visité le site. Par exemple un affichage de bannières reprenant les produits que les internautes ont consultés sur un site marchand. Google permet de rajouter un code dans la page souhaitée, une balise de remarketing. Ainsi, les cookies des internautes qui consultent la page se trouveront enregistrés et cela permettra par la suite de créer une campagne Adwords ciblée. A noter : Une des solutions les plus efficaces pour avoir des résultats de recherche moins ou peu ciblés est de se déconnecter de son compte Google et de se mettre en « navigation privée » avec la commande CTRL /Maj/P. 29
  • 30.
    Mémoire de stage| LE REFERENCEMENT NATUREL : UN LEVIER WEBMARKETING COMPLEXE 2.4.5 Sécurisation des données Google : le mauvais exemple de Street View Pour alimenter son service de localisation « Street View » mis en place en 2007, Google a conçu des véhicules, les « Google Cars », pour sillonner les villes et prendre des photos panoramiques des rues, immeubles et personnes. Certains de ces véhicules pouvaient capter des informations numériques et ainsi « aspirer » et stocker des données envoyées par les réseaux Wi-Fi : identifiants de comptes, e-mails … Selon la CNIL (Commission nationale de l’informatique et des libertés) * «Google avait enregistré, outre des données techniques, de nombreuses données concernant des particuliers, identifiés ou identifiables : données de connexion à des sites Web, mots de passe de messagerie, adresses de courrier électronique, échanges de courriels révélant notamment des informations sensibles sur l'orientation sexuelle ou la santé des personnes». Des enquêtes menées depuis 2009 ont amenées la Cnil a imposé sa plus grosse sanction à Google, une amende de 100 000 euros et la destruction de ces informations. Mais lors d’une récente enquête de routine, Google aurait découvert que ces données n’avaient pas été supprimées. Invoquant une « erreur administrative et humaine », le Groupe a décidé d’en informer toutes les autorités de contrôle en Europe. Des enquêtes sont aujourd’hui toujours en cours dans plusieurs pays. Une « erreur » qui pourrait coûter cher à Google en altérant la confiance des utilisateurs. Maintenant que l'on comprend mieux le fonctionnement des moteurs de recherche, il devient plus simple d'aborder la méthodologie du référencement naturel. *La Commission nationale de l’informatique et des libertés (CNIL) est une institution indépendante chargée de veiller au respect de l'identité humaine, de la vie privée et des libertés dans un monde numérique. 30
  • 31.
    Mémoire de stage| LE REFERENCEMENT NATUREL : UN LEVIER WEBMARKETING COMPLEXE 2.5 TECHNIQUES DE REFERENCEMENT – LES CRITERES ON-PAGE Les critères on-page, sont tous les éléments visibles par l’internaute en « front office ». On les oppose aux critères off-page, qui sont eux invisibles pour les internautes (ils sont dans le code source). Afin d’illustrer cette partie, je prendrais des exemples concrets de missions que j’ai réalisé en stage pour différentes entreprises. 2.5.1 Optimisation des contenus 2.5.1.1 Recherche de mots clés 2.5.1.1.1 Objectifs Les « mots clés » doivent rassembler les deux critères suivants : - Tout d’abord, permettre aux moteurs de recherche de bien identifier le sujet traité dans le contenu du site. Il s’agit là d’un critère de pertinence essentiel pour être bien positionné dans les pages de résultats des moteurs. - Ensuite, être employés par un maximum d’internautes lors de la formulation de leur recherche. Lors de la saisie d’une requête dans le formulaire de recherche, les robots vont chercher dans l’index les sites qui les contiennent. La récurrence de ces mots clés dans le contenu du site était auparavant nécessaire et suffisante à un bon positionnement. Il semble aujourd’hui que ce critère évolue, afin d’éviter les contenus « sur-optimisés » qui ne sont pas des plus agréables à lire pour l’internaute. En effet, le critère de pertinence a pour objectif de délivrer des contenus de qualité au lecteur, de ce fait le site doit contenir ces mots clés mais de façon raisonnable. 31
  • 32.
    Mémoire de stage| LE REFERENCEMENT NATUREL : UN LEVIER WEBMARKETING COMPLEXE L’enjeu est donc de trouver des mots à la fois populaires auprès des internautes mais d’éviter les mots clés trop génériques sur lesquels l’intensité concurrentielle* est forte. Les mots clés choisis doivent être en rapport direct avec le contenu du site. Autrement les internautes, en découvrant un contenu qui ne correspond pas à leurs attentes, quitteront le site. Il ne faut pas oublier que l’objectif premier est de créer un trafic ciblé sur son site. A noter : On peut mesurer le nombre de visiteurs qui quittent le site dès la première page, avec le « taux de rebond » dans Google analytics. 2.5.1.1.2 Le principe de la longue traîne Il faut évoquer ici le principe de la longue traîne, un concept fréquemment évoqué dans les stratégies de SEO. Cette notion a été inventée en 2004 par Chris Anderson** pour illustrer une théorie économique liée à l'apparition du e-commerce. En SEO on fait référence à la longue traîne pour justifier qu'une multitude de mots clés ou d'expressions rapportent plus de visites que les seuls mots clés phares. Chris Anderson est parti du postulat que l'apparition du e-commerce avait entraîné une dématérialisation des biens. Il n'y avait alors plus de limite quant à l'étendue de l'offre proposée aux consommateurs. Et c'est cette abondance de choix, qui a permis de démultiplier les ventes. En effet les produits phares qui se vendent très bien apportent une grande partie du chiffre d'affaire, mais les produits complémentaires permettent de satisfaire une plus large partie de la clientèle et donc de rapporter plus de ventes. En SEO, la longue traîne comprend des expressions de 3 à 10 mots. Si chacune de ces expressions ne rapportent que peu de visiteurs, regroupées elles dépassent les mots clés les plus populaires. Bien évidemment les mots clés populaires ne doivent pas être abandonnés, ils sont à combiner avec la longue traîne. *On entend ici par intensité concurrentielle, le nombre de sites positionnés sur les mêmes mots clés, en tenant compte de la taille des concurrents (moyens financiers, notoriété…). ** Chris Anderson est le rédacteur en chef du magazine américain Wired, inventeur de l’expression de la longue traîne. 32
  • 33.
    Mémoire de stage| LE REFERENCEMENT NATUREL : UN LEVIER WEBMARKETING COMPLEXE VIII- La longue traîne, Source Olivier Corneloup – consultant Référencement, web marketing 2.5.1.1.3 Méthodes et Outils Pour illustrer cette méthode, prenons l’exemple d’une entreprise de formation pour devenir commercial sur Toulouse. ETAPE 1 - Suivre son intuition (souvent très bonne avec l’expérience) et la volonté du client d’être placé sur certains mots clés en fonction du sujet de son site, de sa cible, et de ses objectifs. On délimite le terrain de recherche pour la suite. - En se basant sur les premiers mots, on définit des catégories, et on décline dans chacune les autres mots clés (cf tableau de l'étape 3). Dans notre exemple, on part sur les mots « formation commerciale » et « formation vente », qui correspondent au cœur d’activité du client. 33
  • 34.
    Mémoire de stage| LE REFERENCEMENT NATUREL : UN LEVIER WEBMARKETING COMPLEXE OUTILS : Le générateur de mots clés de Google Adwords. Cet outil propose d’autres mots clés sur la base de ceux que nous avons saisis. Il fournit des indicateurs de popularité auprès des internautes. Il permet ainsi de mesurer le niveau d’intérêt des internautes pour ces mots présélectionnés, en donnant le nombre de fois où ils ont été saisis pour une zone géographique donnée. IX- Générateur de mots clé, Source Google Adwords Grâce à cet outil Google, nous pouvons estimer le nombre de recherches en France pour nos deux mots clés. 3 autres mots clés en rapports avec ceux que nous avons saisis nous sont proposés. Pour « formation commerciale » et « formation vente » les recherches sont importantes, ce sont des mots dits « génériques ». C’est un point positif car cela indique qu’un grand nombre d’internautes seraient susceptibles de trouver notre site si nous nous positionnons bien sur ces mots. ETAPE 2 - On estime maintenant la concurrence existante sur ces mêmes mots. 34
  • 35.
    Mémoire de stage| LE REFERENCEMENT NATUREL : UN LEVIER WEBMARKETING COMPLEXE OUTILS : saisir les mots clés un par un dans Google (ou dans le moteur sur lequel on travaille son positionnement). En-dessous de la barre de recherche s’affiche le nombre de résultats (sites) existants pour ce mot clé. Dans le cas de l’agence, on choisit le navigateur Internet Explorer, car comme nous utilisons Mozilla au quotidien, les résultats de recherche sur les sites pour lesquels nous travaillons et donc sur lesquels nous allons souvent, pourraient être faussés. Il est également possible de se mettre en navigation privée (Ctrl +Maj+u). X- Nombre de résultats dans Google, Source Google.fr Pour « formation commerciale », il existe 21 300 000 résultats dans Google, ce qui est très important ! Car pour espérer bien se positionner, il ne faut pas dépasser 1 million de résultats. Il s’agit donc d’un mot clé trop générique. La solution est de choisir un mot plus précis, en précisant la ville par exemple « formation commerciale Toulouse ». ETAPE 3 - Maintenant tout est une histoire de mesure, il s’agit de sélectionner les mots pour lesquels les internautes ont à la fois un intérêt, mais également pour lesquels la concurrence n’est pas trop importante. 35
  • 36.
    Mémoire de stage| LE REFERENCEMENT NATUREL : UN LEVIER WEBMARKETING COMPLEXE XI- Etude de mots clés, Source agoranet En rose, ce sont les mots clés choisis. Ils présentent une situation idéale puisque la concurrence reste modérée et qu'ils sont utilisés par les internautes, comme par exemple « centre de formation commerciale » ou « organisme de formation Toulouse ». En orange ce sont les mots que l'on n'utilisera pas, car ils ne correspondent pas (ou trop peu) à des requêtes d'internautes. Enfin en noir ce sont les mots qu'on n'utilisera pas en priorité, car la concurrence est trop élevée. Ils constituent cependant un champ lexical pouvant être utilisé pour une rédaction optimisée des contenus. ETAPE 4 La dernière étape reste la validation par le client, des mots qui nous semblent offrir les meilleures chances d’obtenir un bon positionnement. 36
  • 37.
    Mémoire de stage| LE REFERENCEMENT NATUREL : UN LEVIER WEBMARKETING COMPLEXE 2.5.1.2 Ou placer ces mots clés ? 2.5.1.2.1 Objectifs Avec la liste de mots clés obtenue, on va pouvoir optimiser les contenus. L’objectif est de rédiger d’une façon claire et compréhensible, tout en appliquant les bonnes pratiques du référencement par la prise en compte des critères imposés par les moteurs. L’algorithme de Google prend d’avantage en compte certaines zones que l’on appelle les « zones chaudes ». Elles se situent dans le contenu (visible pour l’internaute) et dans le code source (non visible pour l’internaute). 2.5.1.2.2 Méthode et Outils ETAPE 1 : Rédaction du contenu Il ne faudrait pas oublier que le premier objectif d’un site est tout de même de délivrer des informations intéressantes pour les internautes … Le contenu est donc avant tout rédigé dans cet objectif ! Il faut cependant garder à l'esprit que les moteurs privilégient les trois premières lignes de texte d’une page. On fait donc en sorte de rentrer tout de suite dans le vif du sujet, en énumérant les thématiques essentielles. Il s’agit de la technique de rédaction en « pyramide inversée ». C'est la technique utilisée pour la rédaction web en général, car elle permet à l'internaute de se faire une idée, d'un premier coup d’œil, de ce dont parle le site. Afin d’améliorer l’optimisation de la page, il est important de mettre en exergue les mots clés en les mettant en gras. On utilise dans le code source, la balise « strong » : <strong>Mot Clé</strong> ETAPE 2 : Optimisation des titles Dans le code source les moteurs crawlent prioritairement certaines zones. C’est le cas des titres de pages appelés « titles » et des titres et sous titres du contenu des pages, qui 37
  • 38.
    Mémoire de stage| LE REFERENCEMENT NATUREL : UN LEVIER WEBMARKETING COMPLEXE correspondent respectivement aux balises h1, h2… . Les titres de page doivent être différents pour toutes les pages du site. Les titles sont déterminants pour le positionnement d'un site, mais sont également visibles pour l’internaute sur la barre de navigation. Un bon titre ne doit pas contenir plus de 10 mots. Il est également bon dans un titre de rappeler à chaque fois le nom de l’entreprise, ainsi que sa localisation quand celle-ci est un atout dans le cadre du référencement. Dans la barre de navigation : XII- Title, barre de navigation Dans le code source (extrait) : XIII- Title, Code source OUTIL : simulation des titres et méta description. Ce qui facilite la rédaction en limitant automatiquement le nombre de caractères. http://www.seolius.com/fr/outils-seo/google-serps- snippet-optimization ETAPE 3 : Optimisation du nom de domaine du site et des URLs des pages Le Nom de domaine (NDD) est un identifiant unique désignant un site Internet. Il reprend en général le nom de la société «nom-de-societe.fr » ou le sujet du site « le-dictionnaire.com». Pour l'URL des pages on rajoute des sous-catégories au nom de domaine « nom-de- societe.fr /reorientation-professionnelle/ ». 38
  • 39.
    Mémoire de stage| LE REFERENCEMENT NATUREL : UN LEVIER WEBMARKETING COMPLEXE 2.5.1.2.3 Mesures des résultats XIV- Progression du positionnement, Source Majestic SEO Ce graphe présente l'évolution du positionnement du site, pour le mot clé « formation commerciale ». On constate qu'entre juin 2011 et juin 2012, le site est passé de la 40ème position à la première position. Un an de travail de référencement nous a permis d'obtenir des résultats excellents. On mesure bien ici, l'efficacité du référencement naturel, mais également le temps nécessaire à l'obtention de ces résultats. De plus la courbe est régulière, ce qui montre la stabilité des résultats obtenus. La légère chute en avril 2012 correspond à la mise à jour de l'algorithme Google Penguin. 39
  • 40.
    Mémoire de stage| LE REFERENCEMENT NATUREL : UN LEVIER WEBMARKETING COMPLEXE XV- Détail des positions, Source Majestic SEO Sur ce tableau sont mentionnées les positions qu'occupe le site le 5 août 2012 pour les différents mots clés travaillés. Ces positions sont comparées à celles de mi-juin 2012. Il s'agit ici d'un très bon exemple puisque le site occupe les meilleures positions pour une majorité de mots clés. Ces informations nous permettent de connaître les mots clés qui sont à travailler d'avantage. . 40
  • 41.
    Mémoire de stage| LE REFERENCEMENT NATUREL : UN LEVIER WEBMARKETING COMPLEXE 2.6 TECHNIQUES DE REFERENCEMENT – CRITERES OFF-PAGE Nous allons maintenant nous intéresser aux optimisations off-page, c’est-à-dire non visibles pour les internautes. 2.6.1 Augmenter la popularité du site La popularité d’un site est l’un des principaux critères pris en compte par Google dans le positionnement. 2.6.1.1 Stratégie de Netlinking ou Maillage 2.6.1.1.1 Objectifs Le netlinking (ou maillage) est le réseau de liens existants entre les sites Internet, il est une condition essentielle de l’amélioration du positionnement d’un site. Pour gagner des positions, il faut recevoir des liens qui pointent sur les pages du site, ce sont des backlinks ou BL. Cependant plusieurs éléments sont à considérer pour que ces liens soient pris en compte de façon positive par les moteurs. - Dans un premier temps les sites doivent avoir un rapport, ils doivent traiter de sujets communs. - Ensuite, le texte cliquable du lien : « l’ancre » doit contenir les mots clés essentiels. Pour donner plus d’importance au lien, on met en exergue l’ancre de celui-ci, de la même façon que pour les mots clés, en les mettant en gras. Il vaut mieux préférer la qualité des liens à leur quantité, car un seul lien « à forte valeur ajoutée » peut faire gagner plus de positions que des dizaines de mauvais liens (pire, les dernières mises à jour de Google vont vers une sanction pour les « mauvais » liens). 41
  • 42.
    Mémoire de stage| LE REFERENCEMENT NATUREL : UN LEVIER WEBMARKETING COMPLEXE Un bon lien provient d'un site dont l'indice de popularité est élevé. Google nomme cet indice le PageRank (du nom de son concepteur Larry Page*) et en a fait un des points essentiels de son algorithme. La formule itérative de calcul du PageRank est la suivante : PR(A) = (1-d) + d(PR(T1)/C(T1) + PR(T2)/C(T2) +...+ PR(Tn)/C(Tn)) Où : PR(A) est égal au PageRank de la page A. Tn (pages sources) représentent les pages faisant un lien vers la page cible A. C(Tn) représente le nombre de liens présents dans la page Tn. d est un facteur multiplicatif égal à 0,85. Si cette formule a probablement évoluée depuis sa publication, elle constitue très probablement le cœur du calcul actuel. Cette formule montre la proportionnalité qui existe entre la valeur du PageRank d'une page et le nombre et la qualité des liens qui pointent sur elle. En revanche, plus la page qui « pointe » contient de liens, moins chaque lien a de valeur. Cette transmission de de popularité est appelée « Link Juice* ». Les pages internes du site sont prisent en compte pour le calcul du PageRank. Il est donc important dans une stratégie de maillage, de relier les pages du site entre elles par des liens internes. *Larry Page est un des cocréateur de Google avec Sergey Brin. * Link Juice = « Jus de lien » 42
  • 43.
    Mémoire de stage| LE REFERENCEMENT NATUREL : UN LEVIER WEBMARKETING COMPLEXE 2.6.1.1.2 Méthode et Outils Dans cette partie je prendrais l’exemple d’un site e-commerce de vente de Planchas. Il existe plusieurs stratégies pour obtenir des liens, dont les suivantes : − L'échange de liens entre des sites d'un même secteur d'activité (par un accord entre les webmasters). ! Attention cette technique devient mal perçue par Google!. − S’inscrire à des annuaires permet d'obtenir des backlinks facilement. Une des conditions de réussite est de faire une soumission régulière et de ne pas s’inscrire à des centaines d’annuaires en une seule fois afin de ne pas attirer l’attention de Google et de ne pas risquer d’être pénalisé. D’autre part, ces annuaires doivent être bien indexés et avoir un bon PageRank (au moins >2). Face à la lourdeur de cette tâche (temps d'inscription long et nécessité de souscrire à beaucoup d'annuaires pour obtenir des résultats), j'ai utilisé sur la fin de mon stage un nouveau logiciel Yooda Submit, qui permet de souscrire rapidement à plusieurs annuaires que l'on choisit parmi une liste proposée. − Publication de communiqués de presse sur des plate-formes dédiées. Il faut en revanche éviter de de fournir des contenus identiques et réécrire le texte à chaque fois. Il existe des plates-formes connues comme K press.fr, Powerpress.fr ou espace- voyage.com. Sur lesquelles nous publions régulièrement. − Laisser des commentaires sur les forums et créer un lien sur sa signature. Pour que ce commentaire est l’air « naturel » et ne soit pas supprimé, il est préférable de prendre part à une conversation en postant plusieurs messages, sans lien. Par exemple : se créer un profil particulier pour demander conseil dans l'objectif d'un achat, en faisant un lien sur l’URL de la page produit sur le site. 43
  • 44.
    Mémoire de stage| LE REFERENCEMENT NATUREL : UN LEVIER WEBMARKETING COMPLEXE − Poster des messages sur des blogs en mettant un lien sur les noms, prénoms ou e- mail qui accompagnent le commentaire. Le message doit être suffisamment qualitatif pour être validé par le webmaster. Comment créer facilement ces contenus et éviter le duplicate content ? Google voit tout et sait tout… ! Et il voit d’un très mauvais œil ce que l’on appelle le duplicate content, c’est à dire la reproduction de contenus identiques par simple copier- coller. Pour éviter cela sans avoir à réécrire tous les contenus, il existe un outil : Le Spin. Pour faciliter et la reformulation de textes, on utilise un logiciel de Spin (effispin), qui va permettre de remplacer automatiquement des mots par leurs synonymes. Le logiciel génère ainsi différentes combinaisons et propose de nombreuses versions du texte initial. Au moment de la publication, le choix de la page d’atterrissage du backlink, la « landing page » a de l’importance. Il faut choisir des pages variées du site pour améliorer la qualité du lien, (pas seulement la page d’accueil). 2.6.1.1.3 Mesure des résultats XVI- Détail des positions-maillage, Source Majestic SEO 44
  • 45.
    Mémoire de stage| LE REFERENCEMENT NATUREL : UN LEVIER WEBMARKETING COMPLEXE Suite aux actions de maillage on remarque d’un côté un gain de positions et de l’autre un déclassement. Contrairement aux mesures observées précédemment dans le cadre des optimisations on-page, ici les résultats sont plus mitigés. En effet les actions de netlinking comportent le risque d’être sanctionnées par Google et de faire perdre des positions. XVII- Mesure de la popularité, évolution des Backlinks = du nombre de pages faisant un lien vers le site analysé, par rapport aux principaux concurrents, Source Majestic SEO Les résultats précédents sont à nuancés aux vues de ceux-ci. En effet le site « plancha » connaît une évolution significative des liens pointant sur lui. Dans un contexte concurrentiel en perte de vitesse, ces résultats sont donc très positifs. 45
  • 46.
    Mémoire de stage| LE REFERENCEMENT NATUREL : UN LEVIER WEBMARKETING COMPLEXE 3 AUTRES LEVIERS WEBMARKETING Il existe d’autres leviers webmarketing que le référencement naturel, dont le référencement payant, le réseau social Facebook, l’e-mailing et la newsletter. Ces leviers sont très complémentaires et permettent d’atteindre des objectifs différents. Je les traiterai plus sommairement que le premier, non pas qu’il y ait moins à dire (quoique sur le référencement naturel il y a quand même beaucoup !), mais parce que le premier thème a occupé une plus grande partie de mon stage. 46
  • 47.
    Mémoire de stage| LE REFERENCEMENT NATUREL : UN LEVIER WEBMARKETING COMPLEXE 3.1 SEM –SEARCH ENGINE MARKETING– LE REFERENCEMENT PAYANT Comme mentionné plus tôt dans le mémoire, le SEM (Search Engine Marketing) est l'outil de référencement payant de Google. Il intervient en complément du référencement naturel. Une stratégie de SEM est à mettre en place lors d’événements particuliers pour l'entreprise. L'exemple que je vais prendre est celui des Soldes, pour une boutique en ligne de bijoux en pierre de Larimar et en Ambre. La campagne a été menée sur 10 jours et avait pour objectif d'amener du trafic sur le site et bien sûr de déclencher des achats ! Stratégie et déroulement des actions : − Tout commence par le choix des mots clés sur lesquels on souhaite enchérir, par exemple « Soldes Bijoux en Ambre ». Google Adwords fournit une estimation du trafic de recherche qui nous guide dans le choix des mots clés. On fixe un Coût Par Clic (CPC) maximum, ici 1€ et un budget quotidien maximum de 30€ pour l'ensemble de la campagne. XIX – Prévisions de trafic, Source Google Adwords On peut espérer obtenir 4 à 5 clics par jour pour un coût journalier total entre 2,14€ et 2,62€. 47
  • 48.
    Mémoire de stage| LE REFERENCEMENT NATUREL : UN LEVIER WEBMARKETING COMPLEXE Les mots clés peuvent être regroupés en groupe d'annonce, par exemple : groupe d'annonce « fêtes des mères », groupe d'annonce « soldes », groupe d'annonce « Ambre »... − Une fois les mots clés choisis, on peut piloter la campagne. C'est à dire qu'à tout moment on peut mettre des mots clés en veille ou en rajouter de nouveaux. Pour cela on se réfère au tableau de bord de la campagne. XX- Etat des campagnes, Sources Google Adwords On maintient « Soldes Bijoux en Ambre », car son Taux de clic (CTR) est bon et son Coût Par Clic (CPC) assez faible. En revanche « Soldes Boucles d'oreilles » prend trop de budget (2,92€/clic) pour un taux de clic très faible (3,82%), c'est pourquoi on le met en veille. − On rédige les annonces en décomposant : le titre (qui reprend dynamiquement les différents mots clés du groupe d'annonce), la Ligne de description 1, la Ligne de description 2, l'url du site à afficher. Et on choisit la page du site sur laquelle l'annonce redirigera. XXI- création d’une annonce, Source Google Adwords − On pilote les groupes d'annonces de la même façon que le mots clés. 48
  • 49.
    Mémoire de stage| LE REFERENCEMENT NATUREL : UN LEVIER WEBMARKETING COMPLEXE XXII – Etat des Groupes d’annonces On obtient ici une information supplémentaire : la conversion, c'est à dire les actes d'achat que l'annonce a déclenché (ici un achat de 219,91€). Il s'agit là d'un indicateur important pour qualifier les annonces. La campagne a apportée plus de 50% des ventes de la période. Google Adwords est donc un levier efficace dans le cadre d'une stratégie de e-commerce. Son avantage est d'être rapidement « actionnable » et de pouvoir être piloté en continu. 49
  • 50.
    Mémoire de stage| LE REFERENCEMENT NATUREL : UN LEVIER WEBMARKETING COMPLEXE 3.2 FACEBOOK Les réseaux sociaux sont devenus incontournables dans les stratégies marketing des entreprises, même des PME. Facebook en particulier s'est imposé comme un canal de communication privilégié. Mais pourquoi aller sur Facebook ? La première raison est que 31 millions de français, sur les 38 millions d'internautes que compte le pays, possèdent un compte, soit autant de consommateurs potentiels, le ciblage de prospects est énorme. Ensuite parce que Facebook est un lieu d'échanges à nul autre pareil, dans lequel un dialogue peut facilement être instauré avec sa cible. Enfin parce qu'il est accessible à tous : facile d'utilisation, il nécessite peu de moyens techniques et financiers. Création de la page Fan C'est par là que commence l'aventure... La page fan est le nom donné à la page Facebook d'une entreprise. Elle lui permet d'améliorer sa visibilité sur le web, de créer une communauté rassemblant tous ses clients, de dialoguer avec eux et de communiquer sur tous les événements de son offre et/ou de son établissement. Les quelques paramétrages sont simples à effectuer : inscrire ses coordonnées, horaires d'ouvertures et autres informations pratiques. Le choix des visuels est important, car c'est l'avatar qui apparaît dans le fil d'actualité des fans et il est de ce fait, la première source de trafic sur la page. Depuis environ un an, Facebook propose la « Timeline », une nouvelle conception de la page, qui permet de classer les événements dans l'ordre chronologique et ainsi de remonter le temps ! Il s'agit d'un formidable atout pour le marketing, car cela permet de raconter l'Histoire de la marque et donc d'asseoir sa notoriété ou d'entretenir la légende... Et ainsi de renforcer l'image de marque. Prenons ici l'exemple de Louis Vuitton : 50
  • 51.
    Mémoire de stage| LE REFERENCEMENT NATUREL : UN LEVIER WEBMARKETING COMPLEXE XXIII- Extrait de la Timeline de Louis Vuitton, Source Louis Vuitton Facebook L'histoire de la marque sur la Timeline remonte aux origines de la création de la marque en 1854, bien au-delà de l'inscription sur Facebook. Chaque étape importante de la vie de la marque est reportée et illustrée, comme l'ouverture de la première boutique en 1859 à Asnières. Création de la communauté et recrutement de fans Dans le cas d'une marque à forte notoriété, les fans viennent d'eux-mêmes. Pour des marques moins populaires, les fans peuvent être recrutés de différentes façons : par bouche-à-oreilles, par un lien sur le site Internet, ou par une campagne de publicité sur Facebook. Community management Il serait dommage de limiter les utilisations Facebook à de la publicité. Bien qu'il soit un média publicitaire efficace, il est également le lieu où créer un dialogue privilégié avec sa communauté. Le phénomène a pris une telle ampleur, qu'il a donné lieu à la création d'un nouveau métier, celui de community manager (qu'on peut traduire par « gestionnaire de la communauté »). Un travail qui consiste à animer la page fan en diffusant des informations et en répondant aux questions ou remarques des « fans ». 51
  • 52.
    Mémoire de stage| LE REFERENCEMENT NATUREL : UN LEVIER WEBMARKETING COMPLEXE Pour animer ce dialogue, Facebook met à notre disposition des outils intéressants que sont : les sondages (qui permettent de recueillir l'avis des consommateurs), les commentaires (qui permettent d'amorcer des discussions), les relais événementiel, la publication de photos (ce qui capte plus facilement l'attention des fans) et les jeux-concours (motivation par les récompenses, récompense de la fidélité, buzz). Pour plus de détail sur ces trois premiers points, voir Annexe 1 « Facebook pour les restaurateurs et hôteliers ». Campagne pub Facebook Facebook propose de définir précisément sa cible grâce à son système de ciblage « Social ads », qui permet de diffuser des annonces auprès de consommateurs précisément définis par leur âge, genre, lieu de résidence, centres d’intérêts, situation professionnelle... . En partant du principe que ces informations de profil soient fiables (puisque chaque utilisateur est libre de compléter ses informations comme il le souhaite). XXIV- Extrait du ciblage de publicité Facebook, Source Facebook 52
  • 53.
    Mémoire de stage| LE REFERENCEMENT NATUREL : UN LEVIER WEBMARKETING COMPLEXE Mesures des résultats de la campagne Facebook édite des rapports de statistiques qui relèvent les informations aidant à mieux connaître notre audience et permettent ainsi de piloter et d'optimiser les campagnes. On peut notamment connaître le nombre de clics qu'a déclenché l'affichage d'une pub, ainsi que le coût de chaque clic. Voir Annexe 2 « extrait d'un rapport de statistiques - campagne Facebook pour un restaurant Toulousain ». 53
  • 54.
    Mémoire de stage| LE REFERENCEMENT NATUREL : UN LEVIER WEBMARKETING COMPLEXE 3.3 E-MAILING ET NEWSLETTER Pour augmenter la notoriété d’une marque ou d’une entreprise, l’e-mailing reste un moyen très efficace. Bien que sa pertinence soit remise en doute aujourd’hui par les stratégies marketing modernes, le monde de l’Internet lui trouve encore beaucoup de qualités et n’est pas encore prêt à s’en passer ! L'e-mailing est un message électronique envoyé à une base de données d’internautes, dans un but promotionnel ou informatif. L’e-mailing est devenu au cours des dernières années, l’un des moyens de communication privilégié sur Internet. Nous en recevons chaque semaine par dizaines et ne lisons que très peu, voire aucun d’entre eux. Pourquoi les entreprises et les agences continuent-elles alors d’exploiter ce filon ? − Pour améliorer la notoriété de la marque dans un premier temps. Car même si le message n’est pas ouvert son objet bénéficiera au moins d’un rapide coup d’œil et par la répétition des messages, le nom de l’entreprise sera mémorisé par l’utilisateur. Dans un premier temps, une notoriété assistée : « Connaissez-vous Amazone.fr ? » - « Oui », puis par notoriété spontanée : « Pouvez-vous me citer un site de vente en ligne de Livres, DVD et produits informatiques ? » - « Oui, Amazone.fr ». − Il permet de gagner du temps, pour un coût réduit par rapport aux actions marketing classiques. L’ensemble de la campagne peut être réalisé en quelques jours au lieu de plusieurs semaines. − Sur un grand nombre d'envois, on arrive toujours à capter l'attention de quelques contacts (environ 20%) et la dépense étant plus faible que sur les autres outils de communication, le coût par contact peut tomber à 0.20€ au lieu de 2 à 8€. L'e- mailing reste donc un outil de webmarketing rentable et intéressant. − De plus l’e-mailing permet la fidélisation des contacts, moins coûteuse que l’acquisition de nouveaux. 54
  • 55.
    Mémoire de stage| LE REFERENCEMENT NATUREL : UN LEVIER WEBMARKETING COMPLEXE − Enfin les résultats et performances de la campagne peuvent être analysés en temps réel. L’e-mailing peut être reçu dans différents cas de figure : - Suite à un premier achat en ligne au cours duquel le consommateur a indiqué son e- mail. - Suite à un achat en point de vente « physique », au cours duquel le consommateur a rempli un formulaire de fidélité pour recevoir des offres promotionnelles. - Lorsque l’e-mail a été transmis à des partenaires d’une marque à laquelle le consommateur a donné son accord. - Si l’adresse e-mail du consommateur se retrouve dans des bases de données achetées par des entreprises qu’ils ne connaissent pas. Dans les deux premières situations, il y plus de chances pour que l’internaute soit plus réceptif à l’offre. Pour qu’une campagne d’e-mailing soit efficace, plusieurs critères sont à prendre en compte : - L’objet de l’e-mailing doit inciter au clic en résumant le contenu du message en quelques mots. Pour éviter les passages en spam, certains mots sont à proscrire comme « argent » ou « euros ». - La rédaction de l’e-mailing doit être efficace ! Il faut dire l’essentiel le plus simplement possible. Le lecteur doit pouvoir saisir de quoi il s’agit en un seul coup d’œil. L’ensemble du message doit de préférence tenir dans la taille de l’écran, pour éviter au lecteur d'avoir à utiliser l’ascenseur à droite l'écran, au risque qu'il ferme le message. - Le graphisme doit susciter l’appel au clic. En rendant cliquable les éléments importants pour renvoyer sur la page correspondante du site, afin de permettre au lecteur d’accéder à la page du produit en question, ou d’obtenir plus d’informations sur un sujet. 55
  • 56.
    Mémoire de stage| LE REFERENCEMENT NATUREL : UN LEVIER WEBMARKETING COMPLEXE - Le rythme des campagnes doit être régulier et correspondre au cycle de l’activité. Exemple d'un e-mailing Nous utilisons la plate-forme professionnelle DOLIST pour l'envoie des messages. XXV – Emailing, Source agoranet Ici un e-mailing à gauche et la représentation des zones de clics et le tracking des liens à droite. Cela nous permet de connaître le comportement des internautes face à notre message. On peut de plus connaître le mail des contacts qui ont cliqué sur telle ou telle zones. En connaissant ainsi le comportement de nos cibles, on peut leur envoyer par la suite des messages plus personnalisés ou faire des relances. (Si dans cet exemple les chiffres sont faibles, c'est parce que ce message s'adresse à un petit segment, puisqu'il concerne uniquement les magasins de corses). Mesure de la campagne Le reporting fournit des éléments sur les performances de la campagne : pourcentage de messages bien reçus (Taux de délivrabilité), intérêt porté au message (taux d'ouverture), taux de clic, taux de désabonnement... Voir Annexe 3 « reporting e-mailing » 56
  • 57.
    Mémoire de stage| LE REFERENCEMENT NATUREL : UN LEVIER WEBMARKETING COMPLEXE 4 MESURE D'EFFICACITE DES ACTIONS : LES CHIFFRES CLES DU WEBMARKETER ! Une fois toutes ces action mises en place, on passe à l'étape de mesure des actions, afin de constater si l'on a atteint les objectifs et de définir les futurs plans d'action. 57
  • 58.
    Mémoire de stage| LE REFERENCEMENT NATUREL : UN LEVIER WEBMARKETING COMPLEXE 4.1 ELABORATION DU RAPPORT L'agence fournit des rapports à deux niveaux : − Des rapports au cours de la prestation de référencement. − Des rapports de fin de contrat, plus complets. Les outils : Google analytics -l'outil gratuit de Google qui donne des statistiques complètes- et Majestic SEO -qui permet de suivre l'évolution du maillage-. L'objectif d'un rapport web analytics est d'identifier l'évolution du trafic sur le site : les visites sont-elles en augmentation? Ainsi que le comportement des visiteurs au cours de la navigation : par quoi les visiteurs sont-ils intéressés sur le site? Y a-t-il des phénomènes de saisonnalité dans l'activité? ... Au travers de l'analyse, on aborde trois axes : − Les tendances globales, pour évaluer la progression. − Analyse des sources de trafic afin d'évaluer la stratégie d'acquisition des visiteurs. − Analyse du comportement des visiteurs. Avant toute chose il faut rappeler qu'une analyse via Google Analytics nécessite d'avoir au préalable installé des "marqueurs", c'est à dire mis en place l'outil de tracking permettant le stockage de ces données. Il est préférable d'avoir une visibilité d'au moins un an, car une analyse aura d'avantage de sens si on peut la comparer à une période antérieure équivalente. Cela permet une observation plus objective et le repérage des phénomènes de saisonnalité. Pour illustrer ces explications, on prendra l’exemple d’un site de vente de Plancha en ligne. 4.1.1 Tendances globales 4.1.1.1 Évolution des visites Lorsqu’il regarde ces indicateurs, le webmarketer n’a qu’une seule idée en tête : les visites 58
  • 59.
    Mémoire de stage| LE REFERENCEMENT NATUREL : UN LEVIER WEBMARKETING COMPLEXE ont-elles augmentées? C'est à ce stade que l'on repère parfois des phénomènes de saisonnalité. Sur le graphe ci-dessous où l'on constate une hausse importante de l'activité pendant la période estivale – ce qui est logique puisqu'il s'agit d'un site de vente de plancha en ligne-. En parallèle on remarque les visites augmentent d'années en années. XXVI - Evolution du nombre de visites par semaine, Source Google Analytics D'autres facteurs peuvent expliquer des variations importantes d'audience, ce sont toutes les campagnes de communication (on et off line) : newsletter, e-mailing, nouveaux catalogue... Ce nombre de visites s'analyse en parallèle d'autres indicateurs globaux. 4.1.1.2 Visites et visiteurs uniques XXVII- Visites et visiteurs uniques, Sources Google Analytics On différencie dans un premier temps les visiteurs, des visiteurs uniques. Un "visiteur unique" est une personne physique qui peut revenir plusieurs fois sur le site. Il peut donc y avoir plusieurs visites pour un visiteur unique. 59
  • 60.
    Mémoire de stage| LE REFERENCEMENT NATUREL : UN LEVIER WEBMARKETING COMPLEXE 4.1.1.3 Temps passé sur le site et nombre de pages vues par visite Le nombre de pages vues en moyenne par visite permet de mesurer l'attractivité du site pour les internautes et l'intérêt qu'ils portent aux informations qu'il contient La durée moyenne de la visite doit bien évidemment être la plus longue possible ! 4.1.1.4 Le taux de rebond Le taux de rebond mesure le nombre de personnes qui quittent le site dès la première page. Ce taux doit donc être le plus bas possible. Dans le cas d'un taux de rebond élevé, il faut trouver des points d'amélioration de la page d'accueil. Le menu du site est-il bien visible ? Les informations essentielles sont-elles bien affichées ? Ce contenu vari-t-il assez fréquemment ? À titre d'information, voici les moyennes des sites selon Google en 2011 : Taux de rebond 47% Pages vues par visites 4,5 pages Temps passé sur le site 5 minutes 23 sec XXVIII- Moyennes des sites, source Google 4.1.2 Synthèse géographique Elle permet de connaître les régions apportant le plus de visites sur le site Internet. Lorsqu'il s'agit d'une entreprise locale, le résultat est généralement sans surprise. En revanche pour les entreprises dont la portée est nationale, cet indicateur permet d'orienter les futures campagnes de communication. On pourra communiquer sur la notoriété de l'entreprise, en optant pour des messages plus originaux ou plus techniques ou communiquer de façon plus institutionnelle dans les régions où la société est moins connue. 60
  • 61.
    Mémoire de stage| LE REFERENCEMENT NATUREL : UN LEVIER WEBMARKETING COMPLEXE XXIX- Régions qui apportent le plus de visites, Sources Google Analytics 61
  • 62.
    Mémoire de stage| LE REFERENCEMENT NATUREL : UN LEVIER WEBMARKETING COMPLEXE 4.2 LES DIFFERENTES SOURCES DE TRAFIC 4.2.1 Provenances des visiteurs Pour connaître les sources de trafic par lesquelles les visiteurs arrivent sur le site : XXX – Sources de trafic, Sources Google Analytics - Trafic de recherche : provenant du référencement naturel et payant - Sites référents : Cela nous permet de savoir par quels sites partenaires les visiteurs arrivent sur le site de l'entreprise. Notamment les réseaux sociaux FB, linkedin, viadeo... - Accès direct : On évalue le nombre de visiteurs qui sont venus en ayant tapé directement l'url du site ou le nom de l'entreprise dans le navigateur, ou encore qui ont enregistré l'adresse du site dans leurs favoris. Cet indicateur révèle la notoriété spontanée de l'entreprise. - Campagnes : mesure les visites provenant de campagne d'e-mailing ou de newsetters. 4.2.2 Référencement payant Cet indicateur nous permet de mesurer l'intérêt des campagnes Google Adwords, en comparant le trafic général au trafic apporté par le SEM. 62
  • 63.
    Mémoire de stage| LE REFERENCEMENT NATUREL : UN LEVIER WEBMARKETING COMPLEXE XXXI – Comparaison entre le trafic du SEO et du SEM, Sources Google Analytics Le référencement payant génère ici 82,65% de nouvelles visites, ce qui est une bonne performance dans une stratégie d'acquisition. En revanche le taux de rebond est supérieur au référencement naturel, cette source de trafic est donc moins qualifiée. 4.2.3 Référencement naturel On distingue deux types de SEO : - SEO marque : représente le trafic venant du référencement naturel, sur des mots clés tapés par l'internaute contenant le nom de l'entreprise. Ex : "entreprise A Toulouse" - SEO hors-marque : représente le trafic venant du référencement naturel, sur des mots clés ne contenant pas le nom de l'entreprise. Ex : "traiteur Toulouse". Dans le premier cas l'entreprise bénéficie d'une meilleure notoriété spontanée et dans le deuxième cas, le référencement a fait ses preuves. 4.2.4 Liens entrants Comme nous l'avons évoqué dans le chapitre 1, le maillage est un élément essentiel du référencement. Sur le graphique suivant, on mesure l'augmentation des liens pointant sur le site : 63
  • 64.
    Mémoire de stage| LE REFERENCEMENT NATUREL : UN LEVIER WEBMARKETING COMPLEXE XXXII – Evolution des backlinks, Sources Majestic SEO 64
  • 65.
    Mémoire de stage| LE REFERENCEMENT NATUREL : UN LEVIER WEBMARKETING COMPLEXE 4.3 COMPORTEMENT DES VISITEURS SUR LE SITE 4.3.1 Pages d'entrée – Pages consultées – Pages de sortie Sur quelles pages les visiteurs arrivent-ils en premier ? C'est là que l'on voit l'intérêt de bien référencer l'ensemble des pages, et non pas uniquement la page d'accueil (bien que ce soit en général la première page de destination). En effet selon la requête de l'internaute, la page de destination peut être une page produit (pour du e-commerce par exemple), ou encore la page contact (dans le cas d'un restaurant par exemple). Les pages consultées nous dévoilent les centres d'intérêt des internautes au cours de leur navigation sur le site. Les pages de sorties ne signifie pas forcément que ce sont des pages inintéressantes pour l'internaute, elles peuvent correspondre à la page sur laquelle l'internaute a trouvé l'information qu'il cherchait. 4.3.2 Les zones de clics Si l'on sait où cliquent les internautes, on sait ce qui les intéresse sur le site. On peut ainsi adapter l'offre à la demande, en mettant en avant et enrichissant les rubriques les plus consultées et au contraire en faisant évoluer les rubriques qui ne le sont pas. On peut déceler des informations importantes sur le comportement de la cible : recherche d'informations, recherche de promotions, recherche de nouveauté... 65
  • 66.
    Mémoire de stage| LE REFERENCEMENT NATUREL : UN LEVIER WEBMARKETING COMPLEXE XXXIII- Zone de clic, source agoranet Par exemple ici on peut remarquer que la partie la plus cliquée (dans les petits rectangles orange) est la zone de mise en avant centrale (zone "carrousel") avec 9,4% des clics effectués, l'internaute consulte l'ensemble via les boutons réservés à cet effet : 66
  • 67.
    Mémoire de stage| LE REFERENCEMENT NATUREL : UN LEVIER WEBMARKETING COMPLEXE La deuxième zone la plus cliquée se situe au niveau de la catégorie "Plancha" avec 5,4% des clics. Les produits complémentaires sont moins sollicités (accessoires, cuisine extérieure...). L'ensemble des autres clics effectués révèle que le visiteur parcourt le site à la recherche d'informations complémentaires : Soit pour des éléments qui concernent la commande en elle-même (besoin de réassurance) : modalités de livraison, revendeurs, FAQ. Soit pour en découvrir plus sur la nature du produit "Plancha" et de ce que l'on peut en retirer (exemple : les avantages de cuisiner à la plancha). 67
  • 68.
    Mémoire de stage| LE REFERENCEMENT NATUREL : UN LEVIER WEBMARKETING COMPLEXE 4.4 CONCLUSION ET RECOMMANDATIONS Cette partie doit permettre de retenir les points essentiels abordés dans le rapport et de présenter un plan d'action pour la suite. On met en avant les progrès apportés grâce aux actions de webmarketing (comme l'augmentation du nombre de visites, les zones de contenu stratégique) et on pointe les éléments à améliorer (faire baisser le taux de rebond, optimisation du site...). Puis on détaille les éléments à travailler dans le cadre du futur plan d'action. En reprenant notre exemple, il s'agira de : - Poursuivre les actions de référencement par la rédaction d'articles : - 20 textes : Les différents types de plancha (électrique, gaz, acier, fonte, Chromedur) - 20 textes : Les avantages d'une plancha pour cuisiner à l'extérieur l'été - 25 textes : Quels aliments cuisiner à la plancha ? - 25 textes : Conseil pour cuisiner à la plancha - 20 textes : Les différences entre une plancha et un barbecue - 25 textes : Comment choisir une plancha - 20 textes : Les accessoires qui accompagnent une plancha (protection, chariot, ustensiles...) - 20 textes : Comment entretenir une plancha - 25 textes : Présentation du site web Mise en ligne des 200 textes : création de profils de blogs et sites de communiqués de presse. - Ajout d'un module de notation pour valoriser les produits et inciter à l'achat : > Webdesign : 1h > Ingénierie : 4h > Mise en ligne et contrôle qualité : 2h > Gestion de projet : 2 h 68
  • 69.
    Mémoire de stage| LE REFERENCEMENT NATUREL : UN LEVIER WEBMARKETING COMPLEXE 5 CONCLUSION DU RAPPORT Rappel de la problématique : L'objectif de ce mémoire était de comprendre pourquoi le référencement naturel est-il le levier le plus complexe du webmarketing ? Et quelle est sa place au sein d’une stratégie marketing ? Au cours des enseignements reçus pendant le stage et de mes recherches, la conclusion que je tire est que le marketing est en pleine mutation suite aux évolutions technologiques. Les nouvelles technologies font naître chez le consommateur de nouveaux besoins et créent une plus grande proximité avec eux. L'intimité et les informations personnelles sont de plus en plus exposées par les internautes et exploitées par les annonceurs. Ces entreprises étendent leurs actions commerciales sur des supports toujours plus variés, pour toucher les consommateurs au plus proche. Dans ce contexte d'hyper-communication, toutes les entreprises se trouvent confrontées à une intensité concurrentielle forte et doivent communiquer pour exister. En effet, comme je l'ai évoqué dans ce mémoire, l'enjeu principal aujourd'hui est d'être visible, car l'offre proposée est pléthorique. Sollicités en permanence, les clients n'ont plus qu'à « faire leur choix » parmi ce qu'ils ont sous les yeux. C'est en ce sens que le référencement est devenu la base du webmarketing, car quelques soient les actions menées, il faut qu’elles soient vues par un maximum de monde, pour espérer être rentables. Face à cette évolution relativement récente, certaines entreprises ne saisissent pas encore bien l'importance d'amorcer une stratégie de référencement ou ne comprennent pas qu'il nécessite autant de moyens humains, techniques et financiers. De mon point de vue c'est là que le bât blesse pour les agences de communication. Les actions de fond comme les optimisations SEO dont les résultats ne sont visibles que sur le long terme, devraient systématiquement être accompagnées d'actions à court termes, comme du SEM ou du recrutement de Fans sur Facebook pour obtenir un premier retour sur investissement et ainsi rassurer les annonceurs les plus réticents. S’il est impossible de savoir de quoi demain sera fait... il y a fort à parier que « demain » se fera sur le web et que la proximité entre les annonceurs et leurs cibles ne fera que se 69
  • 70.
    Mémoire de stage| LE REFERENCEMENT NATUREL : UN LEVIER WEBMARKETING COMPLEXE renforcer. Les dirigeants de demain font partie d'une génération surexposée et ultra sollicitée, qui ne se demande même plus si la publicité pervertie ou non leurs choix de consommation, mais qui au contraire, sont en demande de publicités qui correspondent à leurs besoins, car elles leurs sont plus « utiles ». On peut penser que dans les prochaines années l'intrusion dans la vie intime soit poussée tellement loin, que l'on connaisse un mouvement de recul. Comme on l’observe déjà au travers des nombreuses désinscriptions de Facebook, entraînant un rajeunissement de la cible. L'enjeu du (web)marketing aujourd'hui est de trouver le juste équilibre car en effet les annonceurs ont besoins des consommateurs pour exister, mais à l'inverse ces derniers sont en demande de nouvelles offres pour améliorer leur quotidien. Les stratégies de webmarketing en agence devraient d'avantage prendre en compte le comportement du consommateur final (le client de leur client), mais aussi celui de l'annonceur (leur client). Concernant le référencement, bien qu'il soit à la frontière entre le marketing et la technique, j'ai constaté que pour la plupart des référenceurs l'intérêt de l'internaute était bafoué. C'est à dire qu'ils privilégient la création de liens quitte à mentir sur des forums. J'ai lu par exemple un article ou un référenceur conseillait de poster des avis négatifs (infondés) sur les concurrents, pour augmenter sa côte de popularité ! Je pense que ce sont ces dérives qui nuisent à l'objectivité du marketing. Car le marketing dans sa nature n'est pas fait dans l'intention de tromper pour attirer les clients à soi, au contraire il faut revenir à ces origines qui sont de créer une rencontre entre la demande et l'offre. Une rencontre qui faite avec respect peut s'avérer très enrichissante... 70
  • 71.
    Mémoire de stage| LE REFERENCEMENT NATUREL : UN LEVIER WEBMARKETING COMPLEXE BIBLIOGRAPHIE − ANDRIEU Olivier , « Réussir son référencement web », Editions EYROLLES 2011, Bd Saint Germain Paris, 549 pages. − AMIDOU Loukouman, « Marketing des Réseaux Sociaux », M A EDITION 2012, av. Général Leclerc, Boulogne Billancourt, 264 pages. − CANIVET Isabelle, « Bien rédiger pour le web », Editions EYROLLES 2010, Bd Saint Germain Paris, 402 pages. − BOYDELL Alan, DESCOMBES Serge, MANACHES Sebastien, « Google Analytics – Prise en main, utilisation avancée, cas pratiques » , Editions PEARSON Education France 2010, rue des vinaigriers Paris, 312 pages. WEBOGRAPHIE − “Abondance” (Blog) crée par Olivier ANDRIEU, suivi régulier de la rubrique “Actualité” http://www.abondance.com/actualites/ − Criteo (site Internet), rubrique Actualités & Evènements http://www.criteo.com/fr/ − Google (site Internet), centre d'aide Adwords http://support.google.com/adwords/bin/answer.py? hl=fr&answer=2454000&from=170449&rd=1 − Google (site Internet), supports pour les webmasters http://www.google.com/webmasters/ − LE FIGARO.fr, rubrique économie, Article « Google admet avoir conservé les données de Street View », par Marc Cherki, le 22/07/2012 http://www.lefigaro.fr/conjoncture/2012/07/27/20002-20120727ARTFIG00630-google- admet-avoir-conserve-des-donnees-de-street-view.php 71
  • 72.
    Mémoire de stage| LE REFERENCEMENT NATUREL : UN LEVIER WEBMARKETING COMPLEXE − “La CNIL”, article “Les moteurs de recherche” http://www.cnil.fr/vos-libertes/vos- traces/les-moteurs-de-recherche/ − “Le Journal du net” (site Internet), suivi régulier des actualités www.journaldunet.com/ − SeoMix, WordPress & Référencement naturel (site Internet)http://www.seomix.fr/ − Sergey Brin et Laurence Page, Computer Science Departement, Stanford University (article formule du Page rank) http://infolab.stanford.edu/~backrub/google.html − WebRankInfo (site Internet), crée par Olivier DUFFEZ, http://www.webrankinfo.com/ 72
  • 73.
    Mémoire de stage| LE REFERENCEMENT NATUREL : UN LEVIER WEBMARKETING COMPLEXE ANNEXES 73
  • 74.
    Mémoire de stage| LE REFERENCEMENT NATUREL : UN LEVIER WEBMARKETING COMPLEXE Annexe 1 « Facebook pour les restaurateurs et hôteliers » 74
  • 75.
    Mémoire de stage| LE REFERENCEMENT NATUREL : UN LEVIER WEBMARKETING COMPLEXE Annexe 2 « extrait d'un rapport de statistiques - campagne Facebook pour un restaurant Toulousain » 75
  • 76.
    Mémoire de stage| LE REFERENCEMENT NATUREL : UN LEVIER WEBMARKETING COMPLEXE Annexe 3 « reporting e-mailing » 76