Intégrer la présentation
Télécharger en tant que PDF, PPTX


















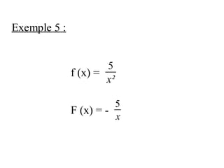
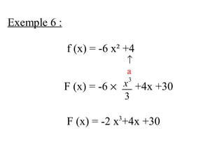
Le document présente des méthodes pour calculer les primitives de fonctions à partir de leurs dérivées. Il explique que la trouvaille de la primitive est l'opération inverse de la dérivation et fournit plusieurs exemples concrets avec les fonctions associées. Chaque exemple montre l'ajout d'une constante qui peut être n'importe quel nombre.

















