Intégrer la présentation
Télécharger pour lire hors ligne

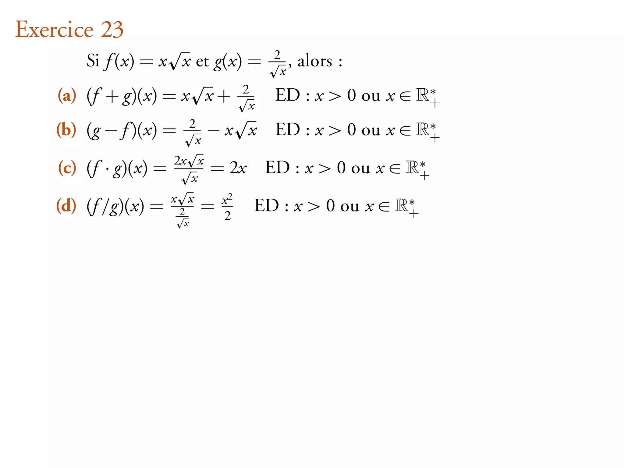
Le document présente des exercices mathématiques concernant les fonctions f(x) = x^2 et g(x) = x. Il fournit les résultats des opérations combinées sur ces fonctions, y compris l'addition, la soustraction, la multiplication et la division, sous certaines conditions. Les résultats sont valides pour x > 0.
