©Collège des Enseignants d’Endocrinologie, Diabète et Maladies Métaboliques. Mise à jour décembre 2004


         ITEM 233 : DIABETE SUCRE DE TYPE 1 ET 2 DE L’ENFANT
                            ET DE L’ADULTE
Objectifs pédagogiques terminaux : « diagnostiquer un diabète chez l’enfant et chez l’adulte », « identifier les
situations d’urgence et planifier leur prise en charge », « argumenter l’attitude thérapeutique et planifier le suivi
du patient », « décrire les principes de la prise en charge au long cours »
Définition ; diagnostic ;
Tableau I : Caractéristiques des diabètes de type 1 et 2

    1.   Diabète de type 1
         1.a Epidémiologie
         1.b Physiopathologie
         1.c Signes cliniques
         1.d Evolution
         1.e Prise en charge thérapeutique
                   1.e.1 Principes généraux
                   1.e.2 Autosurveillance
                   1.e.3 Surveillance
                   1.e.4 Traitement insulinique
                   1.e.5 Traitements non insuliniques
         1.f Cas particuliers

    2.   Diabète de type 2
         2.a Epidémiologie
         2b Physiopathologie
         2.c Signes cliniques ; Dépistage
         2.d Evolution
         2.e Traitement
                  2.e.1 Principes généraux
                  2.e.2 Moyens de surveillance : HbA1c, glycémie
                  2.e.3. Activité physique
                  2.e.4 Diététique
                  2.e.5. Antidiabétiques oraux : biguanides, insulino-secréteurs (sulfamides, glinides), inhibiteurs
                  des α-glucosidases, glitazones
                  2.e.6. Insulinothérapie

    3.   Complications dégénératives du diabète
         3.a Microangiopathie
                  3.a.1 Rétinopathie
                  3.a.2. Neuropathie
                  3.a.3. Néphropathie
         3.b Macroangiopathie et facteurs de risque vasculaire
                  3.b.1 Artériopathie des membres inférieurs
                  3.b.2. Cœur et diabète
                  3.b.3 HTA
                  3.b.4 Dyslipidémies
         3.c Pied diabétique
         3.d Suivi des complications (ANAES)

    4.   Autres complications du diabète
         4.a Complications cutanées
         4.b Complications buccales
         4.c Complications ostéo-articulaires

    5.   Complications métaboliques du diabète
         5.a Coma céto-acidosique
         5.b Coma hyperosmolaire
         5.c Hypoglycémies


www.endocrino.net                            Page 1 sur 43
©Collège des Enseignants d’Endocrinologie, Diabète et Maladies Métaboliques. Mise à jour décembre 2004




                    DIABETE - DEFINITION ; DIAGNOSTIC

Recommandations de l’OMS:

♦   Glycémie à jeun normale < 1,10 g/l

♦   Hyperglycémie modérée à jeun si glycémie > 1,10 g/l et ≤ 1,26 g/l
       = seuil d’augmentation du risque vasculaire

♦   Diabète sucré si:
    - glycémie à jeun ≥ 1.26 g/l (à 2 reprises)
         = seuil d’apparition de la microangiopathie diabétique (rétinopathie)
    - ou glycémie aléatoire ≥ 2 g/l et signes cliniques d’hyperglycémie



Tableau I : CARACTERISTIQUES RESPECTIVES DES DIABETES DE TYPE 1 ET 2

                                                        Type 1                      Type 2

Antécédents familiaux du même type                      souvent 0                   souvent +

Age de survenue                                         avant 35 ans                après 40 ans

Début                                                   rapide ou explosif          lent et insidieux

Facteur déclenchant                                     souvent +                   souvent +

Symptomatologie                                         bruyante                    pauvre ou absente

Poids                                                   normal ou maigre            obésité ou surcharge
                                                                                    adipeuse abdominale

Hyperglycémie au diagnostic                             majeure > 3 g/l             souvent < 2 g/l

Cétose                                                  souvent ++ à ++++           le plus souvent 0

Complication dégénérative                               absente                     présente dans 50 % des cas
                                                                                    au moment du diagnostic

Cause principale de mortalité                           insuffisance rénale         maladie cardiovasculaire




www.endocrino.net                             Page 1 sur 43
©Collège des Enseignants d’Endocrinologie, Diabète et Maladies Métaboliques. Mise à jour décembre 2004




                                    1. DIABETE DE TYPE 1

1.a EPIDEMIOLOGIE ; ENQUETE DE LA CNAMTS, 1999

♦   Notion de gradient nord/sud europe
♦   Prévalence en France : 200 000 (15 % des diabétiques)
♦   Incidence 7,8 pour 100 000 et par an
♦   Survient habituellement avant 35 ans (pic à l’adolescence) mais peut survenir à tous âges
♦   Age moyen de la population suivie = 37 ans
♦   Augmentation + 4% par an surtout avant 5 ans
♦   Sex ratio = 1




1.b PHYSIOPATHOLOGIE DU DIABETE DE TYPE 1

Carence absolue en insuline par destruction des cellules β pancréatiques.
Synonyme : diabète insulinodépendant
Deux sous-types :
       - diabète de type 1 auto-immun (le plus fréquent(>90% en Europe)) incluant le type 1 lent
       - diabète de type 1 idiopathique (absence d’anticorps) :cadre nosologique mal défini
       incluant diabète du sujet noir originaire d’Afrique sub-saharienne, diabète suraigu
       japonais, MODY 3.


A) Prédisposition génétique (tableau II)
    -   présente même si dans 95 % des cas n’existent pas d’antécédents familiaux
    -   liaison avec HLA, DR3, DR4, DQ, B1 * 0302
    -   HLA protecteur : DR2, DQ, W1-2 DQB1*0602
    -   Beaucoup d’ autres gènes/maladie multigénique


                                                    Tableau II
                                   Risques de diabète de type 1 en France


                    Risque dans la population générale                               0.4 %
                    Apparenté de 1er degré                                            5%
                    Deux parents diabétiques                                         30 %
                    Apparenté de 1er degré avec HLA identique                        12 %
                    Apparenté de 1er degré avec HLA identique et                     16 %
                    DR3 ou 4
                    Jumeaux                                                          50 %
                    Jumeaux + DR3 ou 4
                                                                                     70 %




www.endocrino.net                            Page 2 sur 43
©Collège des Enseignants d’Endocrinologie, Diabète et Maladies Métaboliques. Mise à jour décembre 2004




B) Facteurs environnementaux
    -   expliqueraient au moins 50 % de la pathogénie puisque 50 % de paires de jumeaux sont
        non concordants
    -   nombreux virus et toxiques suspectés, mais aucun prouvé
    -   à ne pas confondre avec le facteur déclenchant (grippe, stress).



C) Processus auto-immun
    -   insulite puis destruction des cellules β par lymphocytes cytotoxiques ( type 1 = maladie
        du lymphocyte T) et cytokines
    -   au moins un des auto-anticorps témoins circulants détectable dans 85 % des cas :
        anticorps anti-ilôts (ICA), anti-GAD, anti-IA2, anti-insuline.
    -   Processus étalé sur plusieurs années avant et après l’apparition du diabète (cf. 1.d
        Evolution)
    -   Fréquence des autres maladies auto-immunes associées et des anticorps spécifiques
        d’organes (15 %)
    -   Notion de glucotoxicité surajoutée : aggravation du déficit insulaire par l’hyperglycémie
    -   Notions sur les modèles animaux ( souris NOD et BB)




1.c SIGNES CLINIQUES

A) Présentation clinique initiale habituelle
    -   Début rapide ou explosif (quelques semaines)
    -   Syndrome cardinal (polyuro-polydypsie, amaigrissement), polyphagie
    -   plus troubles visuels transitoires (réfraction)
    -   Examen pauvre : fonte musculaire (quadriceps) rarement hépatomégalie, rechercher
        signes d’acidose
    -   Diagnostic par mesure de la glycémie (souvent supérieure à 3 g/l)
    -   Autres    éléments :  glycosurie            massive       (notion     de      seuil    rénal),     cétonurie,
        hypertriglycéridémie.
    -   Révélation possible par une acido-cétose




B) Formes du diabète de type 1
♦   formes particulières :
    -   type 1 lent ou LADA. Début tardif et progressif comme le type 2 mais anticorps positifs
        et insulinodépendance en 5 à 10 ans. 10 % des « types 2 » sont en fait des LADA.
    -   Diabète du sujet noir d’origine africaine sub-saharienne (bush diabetes). Début cétosique
        puis évolution vers l’insulino-indépendance mais avec épuisement rapide des réserves
        pancréatiques. Anticorps négatifs.


♦   Autres cas
    - Diagnostic tardif au stade de cétose (voir plus loin)
    - Diagnostic pré-clinique à l’occasion d’une analyse de fratrie, d’une glycémie fortuite :
       dosage des anticorps ICA + GAD + IA2 . Prédiction positive 60 à 100 % de risque de
       diabète à 5 ans si les 3 sont associés, groupe HLA peu d’intérêt (car gènes prédisposants


www.endocrino.net                            Page 3 sur 43
©Collège des Enseignants d’Endocrinologie, Diabète et Maladies Métaboliques. Mise à jour décembre 2004



         présents dans 30% de la population normale), mais prédictivité négative du gène
         protecteur




C) Affirmer le type 1
     -   Clinique suffisante si non obèse + cétose + âge < 35 ans
     -   Si un des critères manque : anticorps ± groupe HLA
     -   Eliminer les autres formes de diabètes (tableau III), MODY 3, MIDD par la clinique et
         l’interrogatoire



                                                 Tableau III
                                            Autres formes de diabète

♦    Diabète gestationnel
♦    Diabète génétique monogénique
     - MODY
     - Diabète mitochondrial
♦    Atteinte anatomique du pancréas endocrine
          - pancréatite chronique (calcifiée ou non)
          - pancréatectomie totale
          - cancer du pancréas
          - hémochromatose
          - mucoviscidose
♦    Inhibition fonctionnelle de l'insulinosecrétion
          - hypokaliémies (diurétiques sulfamidés, laxatifs, hyperaldostéronismes…)
          - diabète transitoire induit par un jeûne prolongé avec dénutrition
          - phéochromocytome (rare; l'hypersécrétion de catécholamines entraîne aussi une
             insulinorésistance)
          - somatostatinome (rarissime)
♦    Diabète du glucagonome (rarissime). Il s'accompagne de lésions cutanées spécifiques
♦    Défauts génétiques de l’action de l’insuline : Insulinorésistance primitive profonde ±
     acanthosis nigricans
          - anomalie ou absence de récepteurs de l'insuline
          - diabète lipoatrophique
          - anomalies primitives postrécepteurs
♦   Insulinorésistance secondaire
          - hypercorticisme (corticoïdes, plus rarement hypercorticisme)
          - acromégalie
          - hyperthyroïdie
♦    Diabètes iatrogènes
          - corticoïdes (sous toutes les formes)
          - diurétiques hypokaliémiants, laxatifs
          - progestatifs de synthèse de type norstéroïdes
          - sympathicomimétiques (Salbutamol)
          - antiprotéases utilisés dans le traitement du SIDA
          - Vacor, pentamidine
          - interféron (discuté)



www.endocrino.net                             Page 4 sur 43
©Collège des Enseignants d’Endocrinologie, Diabète et Maladies Métaboliques. Mise à jour décembre 2004




1.d EVOLUTION (figure 1)

A) Histoire naturelle

                                          Figure 1 : Histoire naturelle du diabète sucré                       De type 1

                                          Prédisposition
                                            génétique
                                                                                       Signes d’autoimmunité


                                              Agression
                                              extérieure
  Capacité de sécrétion insulinique




                                                                                         Signes
                                          100 %                                        métaboliques
                                                                                        précoces

                                                                                                         Hyper-
                                                                                                        glycémie
                                                                                                                                     Rémission
                                                                                                                   DID



                                          10 %

                                                                                                                    0                     5      Années
                                      Prédisposition            Insulite silencieuse           Diabète              Diabète patent            Diabète
                                      génétique                                                préclinique                   ™
                                                                                                                    peptideC +                        ™
                                                                                                                                              peptideC -




                                      -       Acceptation de la maladie souvent difficile surtout chez l’adolescent. Nécessité d’un
                                              « travail de deuil » de l’état de bonne santé (les différentes phases).
                                      -       Rémission partielle ou totale dans au moins 25 % des cas, favorisée par l’insulinothérapie
                                              intensive et précoce. Rechute inéluctable après 6 à 12 mois.
                                      -       Stade de diabète de type 1 peptide C positif : faibles besoins en insuline (≤ à 0.5
                                              unité/kg) et équilibre facile pendant les 5 premières années (insulino-secrétion
                                              résiduelle).
                                      -       Stade peptide C négatif : équilibre plus difficile, obtenu dans seulement 30 % des cas
                                              (moyenne nationale Hémoglobine glyquée : 8.5 %).


B) Facteurs de déséquilibre :
                                      -       peur des hypoglycémies (surtout nocturnes)
                                      -       peur de grossir
                                      -       non acceptation (pseudo-acceptation) de la maladie
                                      -       refus des contraintes (autosurveillance, régime, injection)
                                      -       schéma d’insuline inadapté
                                      -       erreur technique (lipodystrophies)
                                      -       maladie surajoutée méconnue (infection)


C) Forme extrême : diabète « instable »
                                      -       céto-acidoses et/ou hypoglycémies sévères à répétition
                                      -       facteurs psychologiques au 1er plan (manipulation, troubles du comportement alimentaire)
                                      -       éliminer gastroparésie et insuffisances endocriniennes (thyroïde, surrénales, hypophyse).




www.endocrino.net                                                                           Page 5 sur 43
©Collège des Enseignants d’Endocrinologie, Diabète et Maladies Métaboliques. Mise à jour décembre 2004




1.e PRISE EN CHARGE THERAPEUTIQUE

A) Principes généraux
    -   importance de l’éducation thérapeutique : transfert des connaissances par enseignement
        collectif ou individualisé, vérification des comportements.

    -   Définir des objectifs thérapeutiques personnalisés et acceptés (tableau IV) y compris les
        objectifs de réduction du risque cardiovasculaire (voir diabète de type 2). S’appuyer sur
        les principaux enseignements de l’étude DCCT (N. Engl. J. Med. 1993 ; 329 : 977 - 986)
        voir fiche 1

    -    une insulinothérapie intensifiée réduit l’hémoglobine glyquée ( 9 versus 7 %), retarde (5
        ans) et réduit la gravité ( de 50 à 75 % ) des complications microangiopathiques. Mais elle
        multiplie le risque d’hypoglycémie sévère par trois en l’absence d’éducation appropiée.

    -   l’objectif idéal est une HbA1C < 7%

    Fiche 1 : Etude DCCT (N. Engl. J. Med. 1993 ; 329 : 977 - 986)

Objectifs
        Montrer la possibilité de diminuer la fréquence des complications microangiopathiques et
        neurologiques du diabète de type 1 en maintenant la glycémie à un niveau proche de la
        normale.
Plan expérimental
        Etude prospective randomisée sur 6 ans, incluant 1 441 patients.
Patients
        1 441 patients sur 29 centres aux Etats-Unis, recrutés pendant 6 ans avec un suivi moyen
        de 6,5 ans, présentant les critères classiques majeurs de diabète de type 1, diabétiques
        depuis au moins un an, ayant une moyenne d'âge de 26 ans. Deux cohortes sont définies
        parmi ces patients : une cohorte est indemne de toute complication, donc suivie en
        prévention primaire ; une cohorte avec présence de complications débutante suivie en
        prévention secondaire d'aggravation.
Intervention
        Un groupe traité par insulinothérapie dite « conventionnelle », consistant en 1 ou
        2 injections quotidiennes d'insuline sans adaptation des doses. Un groupe traité par
        insulinothérapie dite intensive, consistant en 3 à 4 injections quotidiennes ou la mise en
        place d'une pompe à insuline, avec autocontrôle glycémique quatre fois par jour et
        adaptation des doses d'insuline visant à obtenir une glycémie inférieure à 1,20 g/l à jeun
        et inférieure à 1,80 g/l en post prandial.
Critères du jugement
        Fond d'oeil tous les 6 mois avec cotation de la rétinopathie sur une échelle de 25 points.
        Microalbuminurie annuelle, recherche clinique d'une neuropathie, évaluation clinique de la
        macroangiopathie, incidence des hypoglycémies sévères.
Principaux résultats

            •       99 % des patients sont restés             jusqu'au bout dans l'étude. La différence
                    d'équilibre glycémique entre les          2 groupes est significative et stable pendant
                    toute la durée de l'étude :                2 % d'HbA1C de différence, p < 0,001.
                    L'insulinothérapie « intensive »         réduit de manière significative le risque
                    d'apparition d'une rétinopathie          (incidence diminuée de 50 % sur 6 ans), ou



www.endocrino.net                            Page 6 sur 43
©Collège des Enseignants d’Endocrinologie, Diabète et Maladies Métaboliques. Mise à jour décembre 2004



                    d'aggravation de la rétinopathie (risque de progression diminué de 50 % sur
                    6 ans). « L'insulinothérapie intensive » diminue le risque d'apparition ou
                    d'aggravation de la microalbuminurie de 30 à 40 %. De même le risque
                    d'apparition d'une neuropathie diminue de 70 % sur 5 ans. Les résultats ont
                    conduit à l'arrêt prématuré de l'étude.

            •       Le risque de complications macroangiopathiques était faible compte-tenu de l'âge
                    moyen bas des patients et l'absence de facteurs de risque cardio-vasculaire
                    associés. Celui-ci ne diffère pas significativement d'un groupe à l'autre.

            •       Le nombre d'hypoglycémies sévères est plus important dans le groupe traité de
                    manière intensive mais sans séquelles neurologiques ni coma mortel.

Conclusion
   Obtenir une moyenne glycémique proche de la normale permet de retarder l'apparition ou de
   ralentir la progression de la rétinopathie, de la néphropathie et de la neuropathie dans le
   diabète de type 1.




                                                   Tableau IV
                                             Objectifs glycémiques


                       Objectifs glycémiques idéaux chez les diabétiques de type 1
                                                non âgés
                     Le matin à jeun                                          1-1,20 g/L
                     Avant les repas                                         0,8-1,2 g/L
                     2 heures après les repas                                1,2-1, 8 g/L
                     Au coucher                                               ~ 1,2 g/L
                     À 3 heures du matin                                      > 0,8 g/L
                     HbA1c                                                      ≤7%
                     Hypoglycémies modérées                                 0-5/semaine
                     Hypoglycémies “sévères”                                       0
                     nombre d’autocontrôles                                    ≥ 4/jour
                     nombre d’injections                                    ≥ 3 ou pompe


    -   Contre-attitudes médicales habituelles : menacer le malade des complications, banaliser
        les contraintes, répondre aux problèmes par une escalade technologique, se résigner au
        déséquilibre.


B) Autosurveillance
    -   Buts : suivre son diabète, adapter ses doses, avoir une idée de l’équilibre moyen, gérer les
        situations d’urgence.
    -   Place de l’autosurveillance urinaire faible : acétonurie matinale, ou en cas d’hyperglycémie
    -   Autosurveillance glycémique : au moins 4 fois par jour (pré-prandial + coucher) et de
        temps en temps 3 h du matin et post-prandiales. Lecteur portable de plus en plus simple
        et rapide, nécessité d’une bonne technique de production de la goutte de sang.
        Exactitude : ± 15 % par rapport à la glycémie de laboratoire.



www.endocrino.net                            Page 7 sur 43
©Collège des Enseignants d’Endocrinologie, Diabète et Maladies Métaboliques. Mise à jour décembre 2004




    -   Utilité d’un carnet de surveillance du diabète bien tenu.


C) Surveillance
♦   Hémoglobine glyquée
    - fixation non enzymatique, irréversible du glucose sur toutes les hémoglobines
    - fraction la plus spécifique : HbA1c
    - méthode la plus spécifique : HPLC, la plus rapide : immunologique (DCA 2000)
    -   Exiger une technique de dosage validée : normale 4 à 6 %, CV important 5 %, objectif :                   <
       7% (voir tableau IV)
    - reflète l’équilibre des deux à trois mois précédents (7 % = 1.5 g/l, 9 % = 2.1 g/l) cf. 2.e.1
    - le meilleur indicateur du risque de complications
    - cause d’erreur : anémie hémolytique, urémie, hémoglobinopathie
♦   Autres éléments de surveillance
    - consultation spécialisée au moins 3 à 4 fois par an
    - lipides, créatinine, microalbuminurie, ECBU, ECG une fois par an
    - examen ophtalmologique complet au moins une fois par an à partir de la 5ème année


D) Traitement insulinique
♦   Traitement principal du diabète de type 1, à vie, palliatif
♦   Variétés d’insuline :
    - soit porcine humanisée (hémisynthétique) soit recombinante, strictement identique à
        l’insuline humaine ou légèrement modifiée (analogue)
    - toujours concentrée à 100 U/ml
    - les insulines diffèrent par leur durée d’action : les Ultrarapides (3 à 5 heures) et Rapides
        (4 à 8 h) couvrent les besoins prandiaux ; les insulines intermédiaires (NPH, 9 à 16 h,
        Ultralente, environ 24 h) couvrent les besoins basaux.
♦   Facteurs intervenant sur la résorption sous-cutanée : profondeur, zone, dose (variation intra
    individuelle 15 à 50 %)
♦   Vecteurs :
    - stylo à insuline réutilisable ou jetable pour toutes insulines solubles, plus pratique que les
        seringues jetables
    - pompes portables (< 5 % des patients) pour administration continue modulée sous-cutanée
        d’insuline Ultrarapide. Plus efficaces, plus flexibles mais plus contraignantes et plus
        chères, pour certains à réserver aux échecs de l’insulinothérapie optimisée.




www.endocrino.net                            Page 8 sur 43
©Collège des Enseignants d’Endocrinologie, Diabète et Maladies Métaboliques. Mise à jour décembre 2004




       ♦    Schémas
    Rapide ou                                                           Rapide ou
    Ultrarapide                                                         Ultrarapide
                                      Ultralente ou
                                     analogues lents
                                                                                                                         NPH



8      13            20                  23                8h 8               13               20          23                  8h
            « Basal - bolus »                                                             « 4 injections »
                                    Rapide ou               Rapide ou
                                    Ultrarapide             Ultrarapide
                                                            + NPH
                                                                               NPH



                                8           13               20                23                  8h
                                                     « 3 injections »


            A choisir suivant l’acceptation et les objectifs. Idéalement : bolus prandial par insuline
            Ultrarapide + couverture basale par insuline lente ou intermédiaire soit 4 à 5 injections /j
       ♦    Doses
            En général, ≤ 1 U/ kg, autoadaptation en fonction des glycémies (rétrospective ±
            instantanée), de l’activité physique et de l’alimentation prévues.
       ♦    Effets secondaires
            - Hypoglycémies (voir chapitre correspondant)
            - Prise de poids (5 kg)
            - Allergie rarissime
            - Lipohypertrophies si piqûres en même endroit.


       E) Traitement non insulinique
       ♦    Accompagnement et soutien psychologique comme pour toute maladie chronique
       ♦    Alimentation variée et sans interdits mais horaires et apports glucidiques réguliers (notion
            d’équivalence, d’index glycémique, de collations), cf. 2.e. 3 Diététique
       ♦    Exercice physique : à recommander, à prendre en compte pour les doses d’insuline, risque
            d’hypoglycémie, cf 2.e.2 Exercice physique
       ♦    Utilité des Associations ( AFD, AJD)


       F) Voies d’avenir : notions générales sur
            -   pompes implantables plus ou moins rétrocontrôlées (pancréas artificiel)
            -   greffes de pancréas et d’îlots
            -   insuline inhalée
            -   prévention : immunothérapie, insuline



       www.endocrino.net                             Page 9 sur 43
©Collège des Enseignants d’Endocrinologie, Diabète et Maladies Métaboliques. Mise à jour décembre 2004



    -   analogues lents : glargine, Detemir


2.d     CAS PARTICULIERS

A) Diabète de l’enfant et de l’adolescent
♦   Fréquence des céto-acidoses révélatrices. Risque d’œdème cérébral accru en cours de
    traitement
♦   Hypoglycémie. Innocuité cérébrale des hypoglycémies sévères non prouvée chez l’enfant de
    moins de 5 ans
♦   Diabète difficile à équilibrer et mal accepté pendant l’adolescence
♦   Fréquence croissante du diabète de type 2 chez l’enfant aux USA
♦   Augmentation des besoins en insuline pendant la puberté d’au moins 50%


B) Diabète au féminin
♦   Contraception : oestroprogestatifs contre-indiqués sauf diabète récent bien équilibré sur
    une période courte. Progestatifs dérivés des norstéroïdes contre-indiqués.
♦   Grossesse : cf. chapitre correspondant
    - pronostic quasi normal si équilibre parfait de la conception (grossesse programmée) à
        l’accouchement et diabète non compliqué.
    - Diabète gestationnel : diabète dépisté pendant la grossesse. Dépistage systématique par
        glycémie à 26 semaines voire dès la 1ère consultation si facteurs de risque (obésité,
        hérédité, macrosomie, hypertension). Test de O’Sullivan. (Voir détail dans Item 17)
    - Effets de la grossesse sur le diabète : baisse physiologique de l’hémoglobine glyquée,
        augmentation des besoins en fin de grossesse, risque d’aggravation de la rétinopathie et
        de la néphropathie. Contre-indication absolue : insuffisance coronaire.
    - Effets du diabète sur la grossesse : avortement, malformation, macrosomie, retard de
        maturation, hypoglycémie néo-natale, prééclampsie, hypertension.
    -  Objectifs glycémiques très stricts (à jeun ≤ 0,9 g/l, post-prandial ≤ 1,20 g/l),
       autosurveillance répétée, insulinothérapie optimisée, suivi diabéto-obstétrical au moins
       mensuel.
♦   Ménopause : pas de contre-indication à l’hormonothérapie substitutive.


C) Diabète de type 1 et situation de jeûne.
♦   En cas d’intolérance gastrique, ne jamais arrêter l’insuline. Essayer des collations liquides
    fractionnées sinon hospitalisation pour glucose IV.
♦   Examen nécessitant d’être à jeun plus d’une heure : hospitaliser pour perfusion glucosée,
    maintenir l’insuline sous-cutanée (pour certains réduite de 25 %)
♦   Chirurgie avec réalimentation dans les 24 h : apports glucosés habituels sous forme de
    perfusion IV. Maintenir l’insulinothérapie basale. Prévoir des suppléments d’insuline
    Ultrarapide sous-cutanée à la demande.
♦   Chirurgie plus lourde et jeûne plus long : préférer l’infusion continue par voie veineuse.



D) Diabète de type 1 tardif
♦   Après 40 ans, penser aux maladies auto-immunes associées, surtout chez la femme (thyroïde)
♦   Chez le sujet âgé : penser aux diabètes secondaires (cancer du pancréas).




www.endocrino.net                            Page 10 sur 43
©Collège des Enseignants d’Endocrinologie, Diabète et Maladies Métaboliques. Mise à jour décembre 2004




www.endocrino.net                            Page 11 sur 43
©Collège des Enseignants d’Endocrinologie, Diabète et Maladies Métaboliques. Mise à jour décembre 2004




                                       2. Diabète de type 2


2.a EPIDEMIOLOGIE: ENQUETE DE LA CNAMTS, 1999:

♦   sud, sud-Est de la France > Nord
♦   Prévalence: 2,78 % de la population dépendant du régime général (traités par hypo-
    glycémiants oraux et/ou insuline)
♦   Prévalence extrapolée à la population générale : 3,06 % dont 0,41 % traités par insuline seule
♦   + 200 à 300 000 diabétiques traités par régime seul = plus de 2 millions de diabétiques en
    France
♦   âge moyen de la population de diabétiques : 63,1 ans
♦   prévalence augmentée avec l’âge : près de 10 % de la tranche 65-79 ans
♦    sex ratio H/F = 1,04




2.b PHYSIOPATHOLOGIE

♦   L'insulinorésistance : favorisée par l’obésité abdominale
        - Incapacité de l'insuline à obtenir une réponse maximale au niveau de ses organes cibles.
        - Elle prédomine au niveau du muscle lors de la charge en glucose : défaut de captation
        musculaire du glucose.
        Au niveau hépatique, on note un accroissement de la production h      épatique de glucose à
        l'origine de l'hyperglycémie à jeun.
♦   L'insulinopénie relative :
        Insuffisance de sécrétion d'insuline compte tenu du niveau de la glycémie; ce trouble est
        évolutif, inéluctable, s'aggravant avec l'âge et la durée du diabète, jusqu'à conduire au
        maximum au diabète insulino-nécessitant.




www.endocrino.net                            Page 12 sur 43
©Collège des Enseignants d’Endocrinologie, Diabète et Maladies Métaboliques. Mise à jour décembre 2004




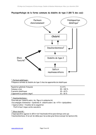
Physiopathologie de la forme commune du diabète de type 2 (80 % des cas):


                                 Facteurs                                                  Prédisposition
                             d’environnement                                                 Génétique1




                                                                 Obésité



                                                         Insulinorésistance2




        Gluco                                             Diabète de type 2
        Toxicité 3



                                                                Déficit
                                                          insulinosecrétoire


1
 . Facteurs génétiques :
Fréquence estimée du diabète de type 2 chez les apparentés de diabétiques


Population générale française                                                  2à4%
Jumeaux vrais                                                                  90 – 100 %
2 parents diabétiques                                                          30 – 60 %
1 apparenté au premier degré                                                   10 – 30 %

2
 . Insulinorésistance :
Favorisée par l’obésité androïde, l’âge et la sédentarité.
S’accompagne d’anomalies = Syndrome X : obésité androïde + HTA + dyslipidémie
+ hyperuricémie + troubles de la coagulation
⇒ Profil à haut risque cardio-vasculaire

3
  . Gluco-toxicité :
L’hyperglycémie aggrave le déficit de l’insulinosécrétion pancréatique ainsi que
l’insulinorésistance. Il en est de même pour les acides gras libres (concept de lipotoxicité).




www.endocrino.net                            Page 13 sur 43
©Collège des Enseignants d’Endocrinologie, Diabète et Maladies Métaboliques. Mise à jour décembre 2004




C) Physiopathologie du diabète de type 2 – ce que le patient doit savoir

Elément essentiel : l’insulinorésistance
Causes de l’insulinorésistance :
Non modifiable :         Génétique
Modifiables :            Sédentarité ⇒activité physique
                         Excès pondéral ⇒alimentation équilibrée et adaptée au poids

Conséquences de l’insulinorésistance:
Risque vasculaire accru du fait du diabète et des autres anomalies souvent associées : HTA,
Dyslipidémie…




2.c SIGNES CLINIQUES ; DEPISTAGE

A) Signes cliniques :
    Le plus souvent absents
    OU stade de complications
    OU dépistage



B) Dépistage : glycémie veineuse à jeun :
1. Chez tous les sujets présentant des signes cliniques évocateurs de diabète :
- polyurie
- soif
- prurit vulvaire chez la femme ; balanite chez l’homme
- infections récidivantes ou traînantes

2. Chez tous les sujets d’âge 40 ans,
ou ayant un parent diabétique au premier degré :
à répéter tous les 3 ans si aucun de facteur de risque de diabète, plus tôt si apparition d’un
facteur de risque

3. Si 1 ou plusieurs facteurs de risque :
-   IMC (indice de masse corporelle) ≥ 27 kg/m2
-   Antécédents de diabète gestationnel ou de macrosomie fœtale
-   Hypertension artérielle (> 140/80 mm Hg)
-   Hypertriglycéridémie ( > 2 g/l) et/ou HDL-cholestérol bas ( < 0,35 g/l)
-   Hyperglycémie modérée à jeun connue
-   Antécédent de diabète cortico-induit
A répéter tous les ans si normal

Aucun intérêt de l’H.G.P.O. (sauf dans le cas du diabète gestationnel), ni de l’HbA1c pour le
dépistage.




www.endocrino.net                            Page 14 sur 43
©Collège des Enseignants d’Endocrinologie, Diabète et Maladies Métaboliques. Mise à jour décembre 2004




C) Probabilité qu’un diabète soit un diabète de type 2:
-   âge > 40 ans
-   IMC > 27 kg/m2
-   Localisation androïde des graisses
-   cétonurie 0
-   antécédent familial de diabète de type 2
-   facteurs de risque cardio-vasculaires associés dans le cadre d’un syndrome
    d’insulinorésistance


D) Cas particuliers
Il n’y a jamais de certitude qu’un diabète soit primitif et de type 2, sauf pour le
Diabète de type MODY ( Maturity Onset Diabetes of the Young), monogénique où l’anomalie
génétique peut être retrouvée : 5 % des diabètes « de type 2 ».
En faveur du MODY :
         - Arguments cliniques : diabète du sujet jeune non cétosique
         - Présent sur 3 générations et touche environ 50 % de la famille.



2.d EVOLUTION

L’insulinopénie s’aggrave avec le temps et le diabète de type 2 devient insulinorequérant dans 50
% des cas.



2.e Traitement du diabète de type 2

                    2.e.1 Principes généraux :

Fiche 2 : Etude UKPDS (Lancet 1998 ; 352 : 837 – 853. - Lancet 1998 ; 352 : 854 -
865)


Objectifs
        Comparer l'effet d'un traitement hypoglycémiant intensif (ayant pour objectif une
        glycémie à jeun inférieure à 6 mmol/l) et l'effet d'un traitement conventionnel (ayant
        pour objectif une glycémie à jeun inférieure à 15 mmol/l) sur le risque de complications
        microangiopathiques et macroangiopathiques dans le diabète de type 2.
Plan expérimental
        Etude prospective randomisée incluant 3 867 patients, avec 10 ans de suivi moyen.
Patients
        3 867 patients inclus sur 23 centres en Grande Bretagne, présentant les caractéristiques
        du diabète de type 2, sans complications microangiopathiques ou macroangiopathiques
        (sévères), avec une glycémie à jeun entre 6 et 15 mmol/l après 3 mois de mesures
        diététiques, ne présentant pas un surpoids majeur. Les patients présentant un surpoids
        ont été traités dans une partie annexe de l'étude.
Intervention
        Randomisation en deux groupes : un groupe traité par insuline ou sulfamides
        hypoglycémiants avec un objectif de glycémie à jeun inférieure à 6 mmol/l ; un groupe



www.endocrino.net                            Page 15 sur 43
©Collège des Enseignants d’Endocrinologie, Diabète et Maladies Métaboliques. Mise à jour décembre 2004



        traité par diététique puis éventuellement sulfamides ou insuline, avec un objectif de
        glycémie à jeun inférieure à 15 mmol/l.
Critères de jugement
        Les critères majeurs de jugement étaient la survenue d'une complication sévère liée au
        diabète (mort, infarctus du myocarde, AVC, défaillance cardiaque, insuffisance rénale
        sévère, rétinopathie laserisée...). Les critères mineurs de jugement étaient la survenue
        de complications à un degré moins sévère.
Principaux résultats
        La durée moyenne de cette étude a été de 10 ans. Les deux groupes de patients ont
        présenté une différence significative d'équilibre glycémique tout au long de l'étude
        (0.9 % d'HbA1C moyenne de différence). Cette différence est à l'origine d'une
        diminution du risque de survenue ou d'aggravation de la rétinopathie de 25 % dans le
        groupe le mieux équilibré. La diminution du risque de survenue d'un infarctus du
        myocarde a été moindre, de 16 %.
Conclusion
        Dans le diabète de type 2, quel que soit le moyen thérapeutique utilisé, améliorer
        l'équilibre glycémique moyen permet de diminuer le fréquence ou de freiner l'évolution
        des complications microangiopathiques. Mais ne contrôler que le paramètre glycémique
        dans le diabète de type 2 ne permet pas d'obtenir un résultat aussi important dans la
        prévention du risque macroangiopathique. Il est nécessaire pour cela de contrôler aussi
        les autres facteurs de risque cardiovasculaires. Une deuxième partie de l'étude de
        l'UKPDS montre que la diminution des chiffres tensionnels dans le diabète de type 2
        associée au contrôle glycémique permet de diminuer de manière significative le risque de
        complications macroangiopathiques et microangiopathiques. La dyslipidémie, fréquemment
        présente dans le diabète de type 2, n'a pas fait l'objet d'une intervention thérapeutique
        contrôlée dans cette étude.


                    2.e.2    La surveillance glycémique

A) HbA1c : cf 1.e.3
♦   Equivalence entre glycémie et HbA1c :
       Glycémie moyenne :      1,20 g/l                →           HbA1c : 6%
                                1,50 g/l               →                   7%
                                1,80 g/l               →                   8%
                               + 0,30 g/l              →                   +1%

♦ Recommandations :
Dosage à faire tous les 3 à 4 mois

♦   Signification de l’ HbA1c :              < 6,5% :           bon contrôle
                                             6,6 – 8% :         Qualité du contrôle à interpréter selon le
                                                                contexte clinique
                                             > 8%      :        Mauvais contrôle


B) L’autosurveillance glycémique (ASG)
1. Traitement oral.
ASG non recommandée SAUF en indication “ a priori ” temporaire:
- pour sensibiliser le patient à l’intérêt de la diététique et à l’exercice physique régulier:




www.endocrino.net                            Page 16 sur 43
©Collège des Enseignants d’Endocrinologie, Diabète et Maladies Métaboliques. Mise à jour décembre 2004



     OUTIL PRECIEUX D’EDUCATION
- pour déterminer la posologie d’un sulfamide hypoglycémiant au début ou lors d’un changement
d’hypoglycémiant (risque d’hypoglycémie asymptomatique)
- lors d’une maladie intercurrente ou de la prescription d’un médicament diabétogène

2. Diabète insulino-traité.
ASG nécessaire



C) La surveillance glycémique : ce que le patient doit savoir
HbA1c : fraction de l’hémoglobine susceptible de se glyquer de façon stable, permet d’estimer la
glycémie moyenne des 2 à 3 mois précédents le prélèvement.

Dosage à faire tous les 3 à 4 mois

Objectif d’HbA1c défini pour chaque patient

Autosurveillance glycémique possible




                    2.e.3 Activité physique

A) Intérêt de l’exercice physique régulier:
-   diminue l’incidence du diabète de type 2 dans une population à risque,
-   améliore l’insulinorésistance et les paramètres métaboliques (action brève de 24 à 30
    heures),
-   améliore les chiffres tensionnels à l’effort,
-   augmente la masse maigre, diminue la masse grasse sans modification pondérale notable.


B) Type d’exercice physique :
-   privilégier les activités d’endurance : marche, cyclisme, natation, golf, jogging, ski de fond...
-   plutôt que les activités de résistance,
-   profiter des actes de la vie courante, ludiques et professionnels,
-   intensité progressive adaptée au contexte personnel de sédentarité,
-   sans dépasser 50 à 70 % de la FMT (fréquence maximale théorique) = 220 – âge.


C) Durée de l’exercice physique :
-   au moins 3 fois/semaine (IDEAL = quotidien),
-   au moins 30 minutes dont 5 à 10’ d’échauffement et récupération.


D) Contre-indications et précautions :
-   Insuffisance coronarienne
-   HTA d’effort
-   Rétinopathie proliférante
-   Macroprotéinurie
-   Attention aux traitements hypoglycémiants (insulinosecréteurs, insuline)
-   Attention aux β-bloquants
-   Attention aux pieds


www.endocrino.net                            Page 17 sur 43
©Collège des Enseignants d’Endocrinologie, Diabète et Maladies Métaboliques. Mise à jour décembre 2004




⇒ la prescription d’exercice physique est un acte médical nécessitant évaluation des risques du
patient et de ses capacités.


E) Activité physique – ce que le patient doit savoir

-   l’effet bénéfique de l’exercice physique,
-   ne pas en attendre une perte de poids mais une amélioration de la masse musculaire,
-   profiter des activités quotidiennes : ménage, bricolage, jardinage, économiser sa voiture,
    monter les escaliers à pied…
-   le temps passé et l’intensité de l’exercice doivent être progressifs et adaptés à chacun selon
    l’avis médical.



                    2.e.3 Diététique

1er temps thérapeutique du diabète
Objectifs : perte de 5 à 10 % du poids
Corriger avant tout les troubles du comportements alimentaires

La prescription diététique doit tenir compte :
- du poids du sujet,
- de son activité physique,
- de ses habitudes alimentaires,
- de ses interdits éventuels,
- de ses coutumes ethniques,
- de ses contraintes professionnelles.

Principes généraux :
- apport calorique adapté au poids ( > 1500 cal/jour, sauf rares exceptions)
- glucides : 50-55% (moins si hypertriglycéridémie et obésité morbide)
- lipides : 30-35 %
- protides : 15 %, représentant 1 g/kg poids/jour
en 3 repas ± 2 collations.

Particularités des glucides :
- limiter les sucres purs sans les « diaboliser »: sucre, bonbons, miel, confiture, boissons sucrées
- prendre les glucides au sein d’un repas mixte
- privilégier les aliments à index glycémique bas : pâtes, légumes secs, céréales

- 100 g de féculents                = 100 g de pommes de terre, pâtes, riz, semoule cuits
 soit 20 g glucides                 = 60 g légumes secs : lentilles, haricots blancs
                                    = 40 g de pain
                                    = 30 g de farine ou de céréales
- 1 fruit de 150 g                  = 1 pomme, orange, poire, pêche, brugnon,
soit 15 g glucides                  = 1 pamplemousse
                                    = 2 clémentines
                                    = 3 abricots
                                    = 4 prunes



www.endocrino.net                            Page 18 sur 43
©Collège des Enseignants d’Endocrinologie, Diabète et Maladies Métaboliques. Mise à jour décembre 2004



                                    =   ½ banane
                                    =   250 g de fraises, framboises, groseilles
                                    =   100 g de raisin
                                    =   12 cerises

Particularités des lipides :
- privilégier les graisses mono- ou poly-insaturées
- diminuer les aliments riches en graisses cachées et saturées
- 10 g de beurre                 = 10 g de margarine
                                 = 20 g de beurre allégé
                                 = 10 g d’huile
                                 = 30 g de crème fraiche

Particularités des protides :
- privilégier les protéines d’origine végétale plutôt qu’animale
- 100 g de viande                 = 100 g de poisson
soit 20 g protides                = 100 g de volaille
                                  = 100 g d’abats
                                  = 2 œufs
                                  = 100 g de jambon découenné dégraissé
                                  = 40 g de fromage

Edulcorants :
- aspartam dépourvue de calorie
- xilitol, sorbitol… apportent des calories

Produits allégés :
- souvent un « leurre »
- savoir lire les étiquettes

Alcool :
2 verres de vin/jour possibles et conseillés




www.endocrino.net                             Page 19 sur 43
Diabète de type 2


                    2.e.4 Antidiabétiques oraux



                    1. Biguanides                2. Insulinosecréteurs :   3. Insulinosecréteurs :        4. Inhibiteurs α-          5. Glitazones
                                                 Sulfamides                Glinides                       glucosidases
Mode                - réduction de l’insulino-   - stimulent l’insulino-   - stimulent le pic précoce     - empêchent l'hydrolyse    - Agonistse des
d’action            résistance surtout au        secrétion : risque        d’insulinosecrétion : risque   des glucides complexes     récepteurs nucléaires
                    niveau hépatique:            d’hypoglycémie            d’hypoglycémie                 (amidon)                   PPARγ
                    ⇓ glycémie à jeun                                                                     ⇒ retardent l'absorption   ⇒ diminuent
                    - étalement dans le                                                                   du glucose et              l’insulinorésistance
                    temps de l’absorption                                                                 ⇒ atténuent le pic post-
                    digestive du glucose                                                                  prandial ( environ 20 %)
                    ⇓ glycémie post-                                                                      ⇓ glycémie post-
                    prandiale                                                                             prandiale
Effets              - digestifs: douleurs        - risque d’hypoglycémie   - risque d’hypoglycémie;       - troubles digestifs :     - hépatique : surveillance
secondaires         abdominales, diarrhée,       surtout par interaction   moindre et plus courte         flatulences, diarrhée.     ASAT/ALAT tous les 2
                    fréquents mais souvent       médicamenteuse            qu’avec les sulfamides                                    mois, la première année
                    transitoires, ⇒ à            - allergie                                                                          - prise de poids
                    prendre au milieu ou en                                                                                          -   anémie : surveillance
                    fin de repas                                                                                                         de la NFS
                    - risque d’hypoglycémie:                                                                                         -   oedèmes des MI
                    NUL, sauf si alcool
                    - Acidose lactique:
                    risque nul si respect
                    des contre-indications




www.endocrino.net                           Page 20 sur 43
Diabète de type 2




                1. Biguanides                  2. Sulfamides                3.Glinides                   4.Inhibiteurs α-glucosidases    5. Glitazones
Contre-         - âge > 70 ans sauf si         - grossesse et allaitement    - Grossesse                 - maladies digestives          - Insuffisance rénale
indications     clairance calculée > 60        - insuffisance hépatique      - Allaitement                                              sévère
                ml/mn                          sévère                        - Insuffisance hépatique                                   - Insuffisance hépatique
                - pathologie aiguë             - insuffisance rénale                                                                    - Insuffisance cardiaque
                - insuffisance rénale          sévère                                                                                   ou antécédent
                - insuffisance hépatique       - allergie aux sulfamides                                                                - Association à l’insuline
                - arrêt avant et 48 h          - association au                                                                         - Grossesse, allaitement
                 après injection de produit    miconazole
                de contraste ou anesthésie
                générale
Prescription    Posologie progressive          Posologie progressive        Posologie progressive à      Posologie progressive          Initiale par un
                Plutôt au milieu ou en fin     Préférer les sulfamides à    augmenter toutes les         A prendre avant la première    spécialiste,endocrinologie
                de repas                       demi-vie courte chez le      semaines                     bouchée du repas               ou médecine interne ;
                                               sujet âgé                                                                                Renouvellement non
                                                                                                                                        restreint
Indications     De première intention chez     De première intention        De première intention        De première intention chez     De première intention
                le diabétique obèse ou en      chez le diabétique de        chez le diabétique de        le diabétique de poids         chez le diabétique obèse
                surpoids                       poids normal                 poids normal                 normal                         ou en surpoids si
                                                                                                                                        intolérance ou contre-
                                                                                                                                        indication à la metformine
Intérêt         Efficacité sur                 Efficacité sur               Utilisable chez le sujet     Utilisable                     Intérêt théorique certain
                l’insulinorésistance           l’insulinosecrétion          âgé jusque 75 ans            - chez le sujet âgé,           Intérêt pratique encore à
                                                                            Pas de contre-indication     -insuffisance rénale           évaluer en France
                                                                            rénale (extension d’AMM      (clairance > 25 ml/mn),
                                                                            dans l’insuffisance rénale   -insuffisance hépatique
                                                                            même sévère)
                                                                                                         Mais coût élevé                MAIS coût élevé




www.endocrino.net                        Page 21 sur 43
©Collège des Enseignants d’Endocrinologie, Diabète et Maladies Métaboliques. Mise à jour décembre 2004




Principaux antidiabétiques oraux commercialisés


1.BIGUANIDES

Molécule                                   Nom commercial                    Dose/cp                 Poso
                                                                              (mg)                 Maxi/jour
                                                                 ®
Metformine                             Glucophage 1000                         1000                  2550-
                                                                   ®            850                 3000 mg
                                      Glucophage             850
                                        Metformine 850
                                                                 ®              850
                                        Glucophage 500
                                                       ®                        500
                                        Metformine 500
                                                                 ®              500
                                                         ®
Embonate                                        Stagid                          700
de metformine




2. SULFAMIDES

Molécule                    Nom                                   Durée        puissance          Posologie
                            commercial                           D’action                         maximale

                                                ®
Gliclazide                  Diamicron 80                         12-24 h        + ou ++             3 cp
                                            ®                                   selon les
                            Diamicron LP 30
                                                                                 auteurs
                                       ®
Glibenclamide        5      Daonil 5                             12-24 h           +++             15 mg
                                       ®
                            Euglucan

                      2,5 Hémi-daonil®                                             ++
                                       ®
                            Miglucan

                    1,25 Daonil faible®                                             +

                                            ®
Glipizide                   Glibénèse 5                            6-12 h       + ou ++            15 mg
                                       ®                                        selon les
                            Minidiab
                                                                                 auteurs
                                        ®
Glimépiride                 Amarel 3                                 24 h          +++              6 mg
                                        ®
                            Amarel 2
                                        ®
                            Amarel 1




3. GLINIDES

Novonorm® 0,5 mg
Novonorm® 1 mg
Novonorm® 2 mg                                           Poso max : 2 c/repas (12 mg/jour)




www.endocrino.net                               Page 22 sur 43
©Collège des Enseignants d’Endocrinologie, Diabète et Maladies Métaboliques. Mise à jour décembre 2004




4. INHIBITEURS DES                  α -GLUCOSIDASES
Glucor® 50, 100                                        Poso max : 300 mg/jour
Diastabol® 50, 100



5. GLITAZONES:

Pioglitazone (ACTOS®)                                  cp 15, 30, 45 mg     Poso max : 45 mg/jour
Rosiglitazone (AVANDIA®)                               cp 2, 4, 8 mg Poso max : 8 mg/jour




                      Sites d’action des antidiabétiques oraux




                                                                                 Effet indirect




www.endocrino.net                            Page 23 sur 43
©Collège des Enseignants d’Endocrinologie, Diabète et Maladies Métaboliques. Mise à jour décembre 2004




                           CAT CHEZ LE DIABETE DE TYPE 2

                      Régime normocalorique + activité physique
                                   (3 à 6 mois)


HbA1c <6%                     HbA1c entre 6 et 6,5%
                                                                                                  HbAIc >6.5%

   OK                       Metformine ou acarbose




                                      BMI > 25                                                            BMI<25


                                 metformine

                                                                                              Sulfamides ou glinides


                                                  OK
HbA1c >6,5% = échec
                                                                                                                   OK
                                                                                    HbA1c >6,5% = échec


Metformine + glitazone
                                                                                      Sulfamides + metformine

                              OK


                                                                                                                       OK
     HbA1c >6,5% = échec


                                                                        ou


                                                                                      HbA1c >6,5% = échec




                                                                                           INSULINE
                                                                                               +
                                                                                              ADO
                                                                                           (sauf glitazones)
www.endocrino.net                            Page 24 sur 43
©Collège des Enseignants d’Endocrinologie, Diabète et Maladies Métaboliques. Mise à jour décembre 2004




                    2.e.5 Insulinothérapie

♦    Quand ?
-    lorsque l’HbA1c reste supérieure à 8 % malgré un traitement oral maximal, compte tenu du
     terrain, et lorsque la diététique, l’activité physique ne sont pas améliorables,
-    après avoir vérifié l’observance thérapeutique du patient,
-    ou lorsque l’HbA1c reste supérieure à 7 % chez un patient dont les objectifs ont été fixés à
     ce niveau.
-    Transitoire : en cas d’affection intercurrente

♦ Comment ?
Commencer par une injection d’insuline intermédiaire (NPH) au coucher (bed-time), à 0,2 U/kg de
poids, en adaptant progressivement la dose selon la glycémie capillaire à jeun (dose moyenne : 40
U/jour).

L’insulinothérapie peut avec le temps et l’efficacité incomplète de l’injection bed-time se faire
sous forme de 2, 3 voire 4 injections quotidiennes pour atteindre les objectifs fixés.

L’insulinothérapie est une contre-indication au renouvellement du permis lourd (C, D, E) sauf avis
spécialisé favorable.


         2.e.6 Traitement du diabète de type 2– ce que le patient doit savoir

Le   patient doit connaître ses objectifs thérapeutiques personnalisés :
-     Pondéral
-     HbA1c
-     Lipidiques
-     Tensionnels

Il doit connaître les moyens utilisés :
- sevrage tabagique
-   activité physique
-   diététique
-   médicamenteux et leurs effets secondaires (troubles digestifs, risque d’hypoglycémie selon
    les molécules)
-   la nécessité de l’observance thérapeutique




www.endocrino.net                              Page 25 sur 43
©Collège des Enseignants d’Endocrinologie, Diabète et Maladies Métaboliques. Mise à jour décembre 2004




                       3. Complications dégénératives du diabète


3.a MICROANGIOPATHIE
Physiopathologie générale :
Rôle majeur de l’hyperglycémique chronique, donc de la durée de diabète
Rôle aggravant de l’HTA

3 mécanismes principaux :                                      2 conséquences
-   voie des polyols                                           -    épaississement de la membrane basale
-   glycation des protéines                                    -    altération contenant- contenu
-   altération endothéliale, stress oxydatif                        microvasculaire : hypercoagulabilité




                    3.a.1 Rétinopathie
♦       Prévalence :
                                                      Au diagnostic                     Après 15 ans d’évolution
Diabète type 1                                 0                               95 %
Diabète type 2                               20 %                              50 %
Première cause de cécité en France entre 30 et 65 ans, par dépistage insuffisant

♦   Physiopathologie de la rétinopathie:
  L’hyperglycémie chronique induit par glycation exagérée un épaississement de la membrane
basale
⇒ réduction du nombre de cellules endothéliales
⇒ dilatation capillaire, formation de microanévrismes
⇒ microocclusions vasculaires induisant des territoires d’ischémie. Les cellules rétiniennes
ischémiques produisent des facteurs de croissance (VEGF, IGF1,…)
⇒ néovaisseaux extra-rétiniens qui peuvent induire des complications :
⇒ hémorragie du vitré, décollement de rétine.
Oedème maculaire : phénomène oedémateux par incapacité des capillaires à résorber les fluides.

♦   Recommandations : Dépistage des complications oculaires

    -      Bilan ophtalmologique dès le diagnostic puis 1 / an
               - Acuité visuelle
               - Pression intra-oculaire (glaucome plus fréquent)
               - Cristallin (cataracte plus précoce)
               -   FO après dilatation
    -     Angiographie si lésions au FO




www.endocrino.net                               Page 26 sur 43
©Collège des Enseignants d’Endocrinologie, Diabète et Maladies Métaboliques. Mise à jour décembre 2004




♦   Stades de la rétinopathie :

Stade                        Lésions                                Altération             Traitement
                                                                    de la vision

Non proliférante             Dilatation capillaire                  Non                    Normalisation
                             Microanévrismes                                               glycémique
                             Exsudats                                                      Contrôle tensionnel
                             Hémorragies
Pré-proliférante             Zones d’ichémies                       Possible               Contrôle tensionnel
Et Proliférante              Puis Néovaisseaux                                             Panphotocoagulation au
                                                                                           laser
                                                                                           Normalisation
                                                                                           glycémique prudente
Proliférante                 Hémorragie du vitré                    Oui                    Normalisation
compliquée                   Décollement de rétine                                         glycémique
                                                                                           Contrôle tensionnel
                                                                                           Panphotocoagulation au
                                                                                           laser
                                                                                           Chirurgie
Maculopathie                 Œ
                             dème maculaire                         Oui                    Normalisation
                                                                                           glycémique
                                                                                           Contrôle tensionnel
                                                                                           Photocoagulation au
                                                                                           laser (grid maculaire)




                    3.a.1 Rétinopathie – ce que le patient doit savoir

Le diabète est la 1° cause de cécité dans les pays industrialisés, avant l’âge de 65 ans.

Rôle péjoratif:
       - du mauvais équilibre glycémique,
       - de l’ancienneté du diabète,
       - de l’existence d’une HTA.

Le diabétique doit savoir que:
Un examen ophtalmologique doit être effectué tous les ans, dès le diagnostic du diabète.
Une acuité visuelle normale n'élimine pas une rétinopathie,
Et QUE :
           -    baisse de l'acuité visuelle,
           -    troubles de la vision des couleurs,
           -    déformations des images,
           -    sensation de voile, sont des signes d'ALERTE MAIS BEAUCOUP                                       TROP
                TARDIFS.




www.endocrino.net                            Page 27 sur 43
©Collège des Enseignants d’Endocrinologie, Diabète et Maladies Métaboliques. Mise à jour décembre 2004




                      3.a.2 Neuropathie

  A) Polyneuropathie symétrique des membres inférieurs
  Très fréquente : 50 % après 25 ans d’évolution

  ♦ Clinique:
  Perte des sensibilités tactile (test au monofilament), thermique et vibratoire (diapason),
  bilatérale et distale (pieds)
  ± atteinte des sensibilités profondes et abolition des réflexes ostéo-tendineux,
  ± douleurs nocturnes des membres inférieurs (paresthésies, sensations de brûlures, de piqûres,
  crampes) parfois hyperalgiques et insomniantes.
  Risque de troubles trophiques (mal perforant plantaire)
  Atteinte motrice exceptionnelle ou très modérée dans les formes anciennes.
  EMG de stimulo-détection systématique inutile.

  ♦   Traitements :
             -  normalisation glycémique (stabilise les lésions, parfois antalgique)
             -  spécifiques de la douleur : après échec des antalgiques classiques (paliers 1 et 2)
                dans la neuropathie hyperalgique



             Traitements:                              Efficacité                   Effets secondaires

Neurontin®                                                 +++                                 +

Antidépresseurs    tricycliques,         à                 +++                                 +
dose non antidépressive
(Anafranil®    25 à 50 mg,…)

Antiépileptiques (Rivotril®,                               +++                                 ++
Tégretol®)
Neuroleptiques                                             +++                                 +
(Haldol®,…)
Antalgiques majeurs (palier 3)                             +++                                 ++
(Moscontin® Skenan®)




  ♦ Dépistage de la neuropathie symétrique :
  -   examen neurologique 1 fois / an : neuropathie ?
  -   examen du pied 1 fois/an :
         - monofilament, diapason (sensibilités)
         - pouls
         - déformations du pied, points d’appui anormaux, hyperkératose


  B) Neuropathies focales et multifocales : mononévrites, multinévrites
  ♦   ischémie du nerf plutôt impliquée dans les neuropathies focales et multifocales




  www.endocrino.net                            Page 28 sur 43
©Collège des Enseignants d’Endocrinologie, Diabète et Maladies Métaboliques. Mise à jour décembre 2004



♦ Clinique :
Début brutal, évolution le plus souvent favorable, en quelques semaines ou mois.
Diagnostic d’élimination après avoir éliminer les autres étiologies
Les atteintes les plus fréquentes :
- atteintes isolées des nerfs des membres
                - cruralgie
                - fémoro-cutané (méralgie paresthésique)
                - médian (diagnostic différentiel : canal carpien)
- atteintes des nerfs crâniens
                - III : diplopie
                - VI : diplopie
                - IV : diplopie
                - VII : paralysie faciale périphérique
- atteintes des nerfs du tronc
                - douleurs et hypoesthésie du dos
                - paresthésies intercostales


C) Neuropathie végétative

Organe                    Pathologie               Clinique                 Diagnostic                   Traitement
Estomac                   Gastroparésie            Souvent absente          Transit isotopique           Anti-émétiques
                                                   Nausées                  Fibroscopie                  Cisapride
                                                   Vomissements                                          Erythromycine
                                                   alimentaires
Grêle                     Diarrhée motrice         Accélération du          Rouge carmin                 Ralentisseurs du
                                                   transit                                               transit
                                                                                                         Noroxine +
                                                                                                         Augmentin
Vessie                    Vessie neurogène         Incontinence             Cystoscopie                  Autosondage
                                                   Infections               Débitmétrie                  Chirurgie
                                                   urinaires                                             urologique
Glandes sudoripares       Anhydrose
                          Hyperhydrose
Cardiovasculaire          Neuropathie              Hypotension              Espace RR                    Bas de contention
                          autonome                 orthostatique            (Valsalva,                   (si hypotension
                          cardiaque                Caractère                orthostatisme,               orthostatique)
                                                   silencieux de            respiration
                                                   l’angor                  profonde)
                                                   Tachycardie
                                                   permanente
Organes génitaux          Impuissance              Impuissance              Souvent                      Traitements
                                                                            plurifactorielle             médicaux de la
                                                                            (psychogène)                 dysérection
                                                                            Pléthysmographie             Suivi
                                                                                                         psychologique
                                                                                                         Injections intra-
                                                                                                         caverneuses
                          Ejaculation              Infertilité              Spermatozoï des              Chirurgie
                          rétrograde                                        urinaires



www.endocrino.net                             Page 29 sur 43
©Collège des Enseignants d’Endocrinologie, Diabète et Maladies Métaboliques. Mise à jour décembre 2004




                    3.a.3 Néphropathie

Si les premiers signes de néphropathie ne sont pas apparus après 20 ans d’évolution du diabète,
le risque de cette complication diminue. 20 % des dialysés en France sont diabétiques, 30 %
d’entre eux sont de type 1 et 70 % de type 2.

♦ Histoire naturelle de la néphropathie
- Au stade initial de "néphropathie incipiens", la microalbuminurie est de 30 à 300 mg/24 h.
- 40 % des diabétiques arrivent à ce stade qui peut durer plusieurs années.
- 30 % évolueront vers le stade de macroprotéinurie, ± syndrome néphrotique.
- 10 % vers le stade d'insuffisance rénale chronique terminale.

♦ Signification d’une microalbuminurie pathologique:
Facteur prédictif de mortalité prématurée par affection cardio-vasculaire ou accident vasculaire
cérébral, car, à ce stade, 100 % ont une macroangiopathie sévère ainsi qu'une rétinopathie;
L’absence de rétinopathie à ce stade nécessite de rechercher une autre étiologie (50 % des cas).
les facteurs de risque classiques s'aggravent lorsque l'insuffisance rénale s'installe ( HTA,
lipides, anomalies de la fibrinolyse,...)

♦ Intervention de prévention:
Au stade de microalbuminurie :
       - contrôle glycémique strict
       - objectifs tensionnels stricts
       - IEC ou antagoniste angio II (Sartan)
Quand l'insuffisance rénale commence à apparaître, il faut:
       - contrôler la tension artérielle,
       - prescrire un régime hypoprotidique,
       - améliorer le contrôle glycémique,
       - gérer l’anémie (précoce chez les diabétiques)
       - prescrire un traitement vitamino-calcique,
       - préserver le capital veineux (fistule),
       - vacciner contre l'hépatite B,
       - éradiquer les foyers infectieux (urinaires +++),
       - éviter les bolus iodés,


♦ Dépistage des complications rénales :
- microalbuminurie 1 fois/an
- créatininémie à jeun 1 fois/an ± calcul de la clairance de la créatinine (Cockroft)
        = (140 – âge (ans) x poids (kg) x 1,25 pour l’homme, 1 pour la femme
                                Créatininémie (µmol/l)
- mesure de la clairance de la créatinine si :
        - albuminurie
        - hématurie
        - infection urinaire
        - créatininémie > 15 mg/l chez l’homme ( 135 µmol/l), > 12 mg/l chez la femme ( 115
            µmol/l)
        - clairance calculée < 60 ml/mn.
- bandelettes urinaires 1 fois/an




www.endocrino.net                            Page 30 sur 43
©Collège des Enseignants d’Endocrinologie, Diabète et Maladies Métaboliques. Mise à jour décembre 2004



♦ Infections urinaires
Fréquence: x 3 à 4
90 % des infections urinaires basses sont asymptomatiques

Dépistage : bandelettes urinaires 1 fois/an

Conséquences: - risque de pyélonéphrite aiguë
              - risque à moyen terme d'aggravation d'une néphropathie glomérulaire débutante
              ou avancée

Traitement: OUI, même si asymptomatiques
70 % de récidives impliquent la recherche d'une cause: examen gynécologique et explorations
uro-dynamiques.




www.endocrino.net                            Page 31 sur 43
©Collège des Enseignants d’Endocrinologie, Diabète et Maladies Métaboliques. Mise à jour décembre 2004




3.b MACROANGIOPATHIE
Première cause de mortalité, plusieurs mécanismes intriqués en cause :
- HTA
- Dyslipidémie
- Insulinorésistance (Syndrome X)
- Hyperglycémie (non prépondérant dans la macroangiopathie à l’inverse de la microangiopathie)
- Etat d’hypercoagulabilité


                    3.b.1 Artériopathie des membres inférieurs

Plus précoce, plus fréquente ( 50 % des diabétiques après 20 ans d’évolution) et plus grave que
chez les non-diabétiques
Risque de gangrène multiplié par 7 chez le diabétique.
50 % des amputations non traumatiques se font chez les diabétiques.

♦ Particularités:
- Rôle péjoratif du tabac
- Atteintes plus diffuses et plus distales, possibilités de revascularisation plus limitées par
rapport aux sujets non diabétiques. Discussion des pontages distaux.
- neuropathie associée:
        ⇒ risques de traumatismes indolores
        ⇒ extrémités parfois encore chaudes,
        ⇒ claudication intermittente parfois discrète
        ⇒ douleurs de decubitus parfois absentes
  Elle aggrave le pronostic du pied diabétique
- médiacalcose fréquente: valeur séméiologique de l'abolition du pouls tibial postérieur.

♦   Risques: LE PIED ! : risque d’amputation !

♦   Dépistage :
-   examen des pieds 1 fois/an
-   palpation des pouls 1 fois/an
-   si anomalie : bilan vasculaire : échodoppler des membres inférieurs, +/- artériographie…

♦   Prévention :
-   contrôle glycémique strict
-   antiaggrégants (efficacité non prouvée)
-   vasodilatateurs inefficaces
-   exercice musculaire
-   prise en charge des facteurs de risque vasculaire associés (tabac +++)




                    3.b.2 Cœur et diabète

 A) Coronaropathie
+ fréquente (risque x 2 à 3 chez l’homme, x 3 à 5 chez la femme)
+ grave (mortalité de l’infarctus x 2 à 8 jours et à 1 an)
Pronostic amélioré par un contrôle glycémique strict et précoce



www.endocrino.net                            Page 32 sur 43
©Collège des Enseignants d’Endocrinologie, Diabète et Maladies Métaboliques. Mise à jour décembre 2004



♦ Signes cliniques :
- Angor asymptomatique ou douleur atypique
- Infarctus silencieux
- Cardiopathie ischémique
- Mort subite

♦ Dépistage:
- ECG de repos/an
- Dépistage de l’ischémie myocardique silencieuse : légitime chez les patients à risque vasculaire
élevé et/ou ayant un diabète depuis plus de 15 ans mais les modalités sont encore discutées à
l’heure actuelle (ECG effort, scintigraphie myocardique voire coronarographie)



*B) Cardiomyopathie diabétique
- stade préclinique : HVG échocardiographique
- insuffisance cardiaque globale



                    3.b.3 Hypertension artérielle

♦ Risque d'être hypertendu
- pour un diabétique de type 2: plus de 50 % après 45 ans ; rôle péjoratif sur la tension artérielle
d’un syndrome des apnées du sommeil fréquent dans le contexte de surpoids du diabète de type 2
- pour un diabétique de type 1 : si néphropathie

♦ Risques de l'HTA:
- aggravation de la microangiopathie (néphropathie +++, rétinopathie ++, neuropathie +)
- facteur de risque majeur d’évènement cardio-vasculaire

♦ Objectifs tensionnels stricts:
140/80 mm, parfois plus stricts si rétinopathie et/ou néphropathie.

♦   Dépistage et prévention des facteurs de risque cardio-vasculaires :
-   Arrêt du tabagisme
-   Mesure de la pression artérielle à chaque consultation

♦   Traitements :
-   mesures non médicamenteuses : cf. arbre décisionnel
-   préventif à visée vasculaire : aspirine
-   anti-hypertenseur : cf. arbre décisionnel




www.endocrino.net                            Page 33 sur 43
©Collège des Enseignants d’Endocrinologie, Diabète et Maladies Métaboliques. Mise à jour décembre 2004




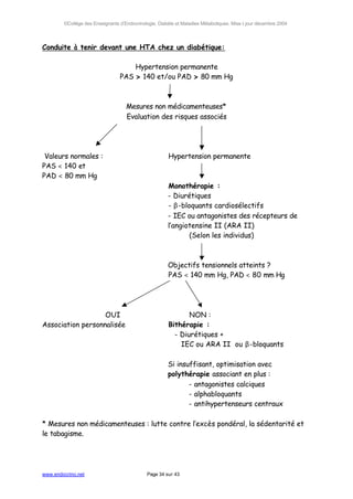
Conduite à tenir devant une HTA chez un diabétique:

                                     Hypertension permanente
                                 PAS > 140 et/ou PAD > 80 mm Hg



                                    Mesures non médicamenteuses*
                                    Evaluation des risques associés




 Valeurs normales :                                    Hypertension permanente
PAS < 140 et
PAD < 80 mm Hg
                                                       Monothérapie :
                                                       - Diurétiques
                                                       - β-bloquants cardiosélectifs
                                                       - IEC ou antagonistes des récepteurs de
                                                       l’angiotensine II (ARA II)
                                                              (Selon les individus)



                                                       Objectifs tensionnels atteints ?
                                                       PAS < 140 mm Hg, PAD < 80 mm Hg




                   OUI                                        NON :
Association personnalisée                              Bithérapie :
                                                         - Diurétiques +
                                                           IEC ou ARA II ou β-bloquants

                                                       Si insuffisant, optimisation avec
                                                       polythérapie associant en plus :
                                                              - antagonistes calciques
                                                              - alphabloquants
                                                              - antihypertenseurs centraux

* Mesures non médicamenteuses : lutte contre l’excès pondéral, la sédentarité et
le tabagisme.




www.endocrino.net                            Page 34 sur 43
©Collège des Enseignants d’Endocrinologie, Diabète et Maladies Métaboliques. Mise à jour décembre 2004




                    3.b.4 Dyslipidémies

Dyslipidémie quasi constante et athérogène dans le diabète de type 2, s’améliore avec la
normalisation glycémique,

♦ Association de :
- Hypertriglycéridémie
- HDL- cholestérol bas
- Augmentation des LDL modifiées (petites et denses) et oxydées.

♦ Objectifs lipidiques:
On tend de plus en plus à considérer qu’un diabétique de type 2 doit être en prévention
secondaire d’emblée :

        ⇒ LDL chlolestérol < 1,30 g/l , voire 1 g/l (non encore officialisé)
        ⇒ HDL cholestérol > 0,35 g/l
        ⇒ Triglycérides < 1,50 g/l

Attention au HDL-Cholestérol: < 0,35 g/l = Risque vasculaire

Pour atteindre ces objectifs, la majorité des diabétiques devront prendre un traitement
hypolipidémiant selon la formule lipidique :
- les statines ont démontré leur efficacité dans de nombreuses études
- les fibrates sont un traitement logique de la physiopathologie de la dyslipidémie.

♦ Recommandations :
Bilan lipidique complet (exploration d’une anomalie lipidique) 1 fois/an




www.endocrino.net                            Page 35 sur 43
©Collège des Enseignants d’Endocrinologie, Diabète et Maladies Métaboliques. Mise à jour décembre 2004




3.c PIED DIABETIQUE


1° cause d'amputations en France
Plaies de pied: hospitalisations prolongées,
Pronostic fonctionnel +++


Physiopathologie



                          NEUROPATHIE



AUTONOME                                                         SENSITIVE


Transpiration                       Traumatismes                          Modifications
                                                                                                          Troubles
anormale                            indolores                             osseuses, ostéolyse
                                                                                                          trophiques


                                                                          Déformations



Infection                           Ulcérations                           Points+hyperkératose
                                                                          de pression
                                                                          anormaux

                                                                       gangrène

        ATTEINTE VASCULAIRE

♦ Patients à risque podologique élevé :
- Les diabétiques artéritiques: pouls abolis ou faibles,
- Les diabétique ayant un trouble de la statique du pied,
- Les diabétiques ayant des troubles de la sensibilité algique, vibratoire, thermique et profonde
- Tout diabétique ayant des antécédents d'ulcération au niveau des pieds.

♦ Implications thérapeutiques:
- hygiène des pieds: EDUCATION, (cf fiche patient).
- consultation podologique: orthèse ?
- contrôle glycémique (neuropathie),




www.endocrino.net                            Page 36 sur 43
©Collège des Enseignants d’Endocrinologie, Diabète et Maladies Métaboliques. Mise à jour décembre 2004



Pied ulcéré (traitement):           ⇒       surinfection: Prélèvement, Antibiothérapie
                      ⇒             Mal perforant plantaire "propre": soins locaux, décharge
                      ⇒             Si ischémie menaçante: bilan vasculaire, angioplastie, pontage




3.c Pied diabétique :CONSEILS POUR LE PATIENT A RISQUE
ce que le patient doit savoir

1. Eviter les situations qui mettent le pied en danger
◊      Ne pas marcher pieds nus, par exemple à la plage.
◊      Ne pas couper les ongles, mais plutôt les limer.
◊      Ne pas enlever les cors ou les callosités avec des instruments tranchants, mais les
       poncer.
◊      Ne pas utiliser de substances corrosives telles que des coricides.
◊      Ne pas utiliser de bouillotte ou de coussin électrique pour se réchauffer les pieds.

2. Favoriser les méthodes qui protègent le pied.
◊      Inspecter les pieds chaque jour, avec l'aide d'un miroir si nécessaire.
◊      Laver les pieds chaque jour à l'eau tempérée et les sécher soigneusement, surtout entre
       les orteils.
◊      hydrater les pieds quotidiennement en cas de sécheresse de la peau
◊      Recourir régulièrement à des soins de pédicurie.
◊      Porter des chaussures adaptées: en cuir, larges, avec des semelles souples, sans brides ou
       lanières, sans coutures intérieures, fermées. Le fait que la chaussure soit confortable
       n'est pas une garantie de qualité.
◊      Changer de paire de chaussure dans la journée. Ne porter les nouvelles chaussures que
       durant une heure les premiers jours et inspecter les éventuels points de frottement.

Porter des chaussettes de coton, de laine, ou de soie, si possible. Les changer tous les jours.
Eviter les élastiques qui serrent le mollet.




www.endocrino.net                            Page 37 sur 43
©Collège des Enseignants d’Endocrinologie, Diabète et Maladies Métaboliques. Mise à jour décembre 2004




3.d LE SUIVI DU PATIENT DIABETIQUE DE TYPE 2 :
    RECOMMANDATIONS DE L’ANAES



                                                  3-4 mois           6-7 mois          9-10 mois          Tous les ans
CLINIQUE
Education                                             X                  X                  X                    X
Observance                                            X                  X                  X                    X
ASG                                                   X                  X                  X                    X
Poids                                                 X                  X                  X                    X
Tension artérielle                                    X                  X                  X                    X
Pieds (si neuropathie)                                X                  X                  X                    X
Examen cardio-vasculaire                                                                                         X
Pouls, souffles ?
Examen neurologique                                                                                              X
Monofilament ± diapason
Bouche, ORL, peau                                                                                                X
Contraception ?                                                                                                  X
Désir d’enfant ?


EX. COMPLEMENTAIRES

HbA1c                                                 X                  X                  X                    X
Lipides (E.A.L.)                                                                                                 X
Créatininémie                                                                                                    X
Calcul clairance créatinine                                                                                      X
Bandelettes urinaires                                                                                            X
Microalbuminurie                                                                                                 X
Examen ophtalmologique                                                                                           X
ECG repos                                                                                                        X




www.endocrino.net                            Page 38 sur 43
©Collège des Enseignants d’Endocrinologie, Diabète et Maladies Métaboliques. Mise à jour décembre 2004




                          4. Autres complications du diabète




4.a COMPLICATIONS CUTANEES :
- associées au diabète : nécrobiose lipoï dique, rare (traitement par corticoï des locau
                                                                                      x)
- infectieuses : dermoépidermite aiguë (érésipèle)
                 mycoses : génitales, onychomycoses.



4.b COMPLICATIONS BUCCO-DENTAIRES
- parodontolyse fréquente

Recommandations : Examen bucco-dentaire 1 fois/an


4.c COMPLICATIONS OSTEOARTICULAIRES
Certaines atteintes sont plus fréquentes chez les sujets diabétiques :
- capsulite rétractile de l’épaule : d’évolution souvent favorable
- syndrome du canal carpien
- maladie de Dupuytren
- ostéoarthropathie du pied : pied cubique de Charcot par effondrement de la voûte plantaire
   et ostéolyse des os du tarse


4.e STEATOSE HEPATIQUE
-   dépistage par transaminases dans le diabète de type 2
-   risque de fibrose et de cirrhose (NASH)




www.endocrino.net                            Page 39 sur 43
©Collège des Enseignants d’Endocrinologie, Diabète et Maladies Métaboliques. Mise à jour décembre 2004




                    5. Complications métaboliques du diabète

5.a COMA CETO-ACIDOSIQUE

♦   Définition : acétonurie ≥ 2 +, glycosurie > 2 +, glycémie ≥ à 2,5 g/l, pH veineux < 7,25,
    bicarbonate < 15 mEq/l. Coma vrai au sens nosologique du terme, rare, inférieur à 10 %.
    Incidence 2 à 4 % par an par patient.
♦   Etiologie
        - déficit absolu : inaugural de type 1 (10 % des cas) ou arrêt volontaire ou non de
            l’insulinothérapie
        - déficit relatif : association d’un diabète non obligatoirement insulinodépendant et
            d’un facteur surajouté (infarctus, infection, corticothérapie)
        - inconnue : 25 % des cas.
♦   Diagnostic
        - phase de cétose : syndrome cardinal aggravé + troubles digestifs (nausées,
            vomissements, douleurs abdominales)
        - phase de céto-acidose : dyspnée de Kussmaul + troubles de la conscience (état
            stuporeux) + déshydratation mixte à prédominance extra cellulaire. Diagnostic rapide
            par bandelettes + pH veineux (et artériel = GDS) . Utilité de ionogramme en urgence
            pour la kaliémie . Utilité en cas d’absence d’urine des nouvelles bandelettes pour
            dosage des corps cétoniques sanguins.
        - Critères de gravité imposant l’hospitalisation en réanimation: sujet âgé, pH < 7,
            kaliémie < 4 ou > 6 mmol/l, coma profond, instabilité tensionnelle, non reprise de
            diurèse après 3 heures, vomissements incoercibles.
♦   Diagnostic différentiel
        - urgence abdominale (augmentation physiologique des enzymes)
        - coma hyperosmolaire (calcul de la natrémie corrigée)
♦   Evolution
        - régression sous traitement en 24 à 48 h
        - complication iatrogène : œ ème cérébral, surcharge hydrosodée
                                      d
♦   Traitement préventif
        - règles éducatives en cas de cétose (maintien des injections même si inappétence,
            supplément en insuline rapide, acétonurie systématique si glycémie > 2,50 g/l)
♦   Premiers gestes
        - scope +surveillance sang-urine
        - non systématiques : sonde gastrique (sauf vomissement), sonde urinaire (sauf si pas
            de diurèse après 3 heures), bilan infectieux et e    nzymes (sauf orientation), cathéter
            central (sauf si désordre majeur).
♦   Traitement curatif
        - insuline rapide ou ultrarapide à la seringue électrique IV débit constant, tant que
            dure la cétose : 10 à 15 unités/heure
        - recharge volumique par sérum salé isotonique 4 à 7 l au perfuseur électrique
        - apports potassiques importants si possible à la seringue électrique, à ajuster à la
            kaliémie répétée.
        -   Apports glucosés intraveineux à la demande pour maintenir la glycémie à 2.5 g/l




www.endocrino.net                            Page 40 sur 43
©Collège des Enseignants d’Endocrinologie, Diabète et Maladies Métaboliques. Mise à jour décembre 2004




5.b COMA HYPEROSMOLAIRE

Décompensation classique du sujet âgé diabétique de type 2, ou inaugurale du diabète, lorsque la
polyurie a été compensée par des boissons sucrées ou insuffisamment compensée (rôle de
l’inaccessibilité aux boissons).

♦   Diagnostic biologique:
       - Glycémie > 6 g/l
       - Osmolalité > 350 mmol/kg = (Na, mmol/l, +13) x 2 + (glycémie, mmol/l)
                    Ou Natrémie corrigée = Na plasm +[ (glycémie – 1 g/l) x 1,6] : > 155 mmol/l
        - Absence de cétose et d’acidose

♦   Risque:
        20 à 40 % de mortalité chez le sujet âgé.

♦   Clinique:
        - Déshydratation intense avec troubles de la vigilance.
        - Parfois révélateur d’un diabète de type 2 méconnu.

♦   Facteurs étiologiques:
       - Age > 80 ans
       - Infection aiguë
       - Diurétiques
       - Mauvaise accessibilité aux boissons : Maison de retraite, Démence
       - Corticothérapie

♦   Traitement :
       - mise en conditions : voie veineuse, éventuellement centrale, prévention des
           complications de decubitus
       - réhydratation prudente et lente, selon le terrain : 6 à 10 litres de sérum salé
           isotonique dans les premières 24 heures :
               - 0-1 h : 1 litre
               - 1-4 h : 2 à 3 litres
               - 4-24 h : 4 à 6 litres
       - insulinothérapie intraveineuse continue à la seringue électrique : 2-3 unités/heure en
           maintenant la glycémie > 2,50 g/l, selon les glycémies capillaires horaires
       - surveillance clinique : conscience, pouls, PA, température, diurèse et biologique
           (ionogramme sanguin et créatininémie)
       - héparinothérapie préventive
       - traitement de l’affection causale, si nécessaire
       - soins des yeux, de bouche, aérosols, aspiration bronchique.

A distance de cet épisode aigu, il est souvent possible de reprendre un traitement
hypoglycémiant oral.




www.endocrino.net                            Page 41 sur 43
©Collège des Enseignants d’Endocrinologie, Diabète et Maladies Métaboliques. Mise à jour décembre 2004




5.c HYPOGLYCEMIES (voir chapitre correspondant)

Pour rappel :
    - inévitable chez tout diabétique de type 1 « bien équilibré » : 3 à 5 hypoglycémies
        modérées en moyenne par semaine
    - combattre les fausses croyances : l’hypoglycémie n’est pas mortelle et ne laisse pas de
        séquelles cérébrales (sauf cas extrêmes et hypoglycémie très profonde et prolongée),
        elle ne participe pas aux complications du diabète, ne déclenche pas d’accident vasculaire
        ou cardiaque, elle ne provoque pas de rebond d’hyperglycémies, ne fait pas prendre de
        poids.
    - Connaître les vrais dangers de l’hypoglycémie : peur n° 1 du diabétique l’incitant à se
        maintenir en hyperglycémie, déstabilisation du diabète, prudence chez le sujet âgé,
        danger réel en cas d’alcoolisme concomitant, danger dans certaines situations ou sports à
        risque
    - La non perception et/ou la perception tardive des signes d’hypoglycémies accroît le risque
        d’hypoglycémie sévère. Facteurs favorisants : hypoglycémies mineures répétées plus ou
        moins ignorées (nocturne), neuropathie végétative (longue durée du diabète).
    - Causes les plus fréquentes : repas sautés insuffisants ou retardés, effort physique non
        pris en compte dans les doses d’insuline, erreur d’injection d’insuline.

Utilité de l’ éducation individuelle (sucre sur soi, etc..) et de la famille ( glucagon, etc..).




www.endocrino.net                            Page 42 sur 43

Deabete.item233c

  • 1.
    ©Collège des Enseignantsd’Endocrinologie, Diabète et Maladies Métaboliques. Mise à jour décembre 2004 ITEM 233 : DIABETE SUCRE DE TYPE 1 ET 2 DE L’ENFANT ET DE L’ADULTE Objectifs pédagogiques terminaux : « diagnostiquer un diabète chez l’enfant et chez l’adulte », « identifier les situations d’urgence et planifier leur prise en charge », « argumenter l’attitude thérapeutique et planifier le suivi du patient », « décrire les principes de la prise en charge au long cours » Définition ; diagnostic ; Tableau I : Caractéristiques des diabètes de type 1 et 2 1. Diabète de type 1 1.a Epidémiologie 1.b Physiopathologie 1.c Signes cliniques 1.d Evolution 1.e Prise en charge thérapeutique 1.e.1 Principes généraux 1.e.2 Autosurveillance 1.e.3 Surveillance 1.e.4 Traitement insulinique 1.e.5 Traitements non insuliniques 1.f Cas particuliers 2. Diabète de type 2 2.a Epidémiologie 2b Physiopathologie 2.c Signes cliniques ; Dépistage 2.d Evolution 2.e Traitement 2.e.1 Principes généraux 2.e.2 Moyens de surveillance : HbA1c, glycémie 2.e.3. Activité physique 2.e.4 Diététique 2.e.5. Antidiabétiques oraux : biguanides, insulino-secréteurs (sulfamides, glinides), inhibiteurs des α-glucosidases, glitazones 2.e.6. Insulinothérapie 3. Complications dégénératives du diabète 3.a Microangiopathie 3.a.1 Rétinopathie 3.a.2. Neuropathie 3.a.3. Néphropathie 3.b Macroangiopathie et facteurs de risque vasculaire 3.b.1 Artériopathie des membres inférieurs 3.b.2. Cœur et diabète 3.b.3 HTA 3.b.4 Dyslipidémies 3.c Pied diabétique 3.d Suivi des complications (ANAES) 4. Autres complications du diabète 4.a Complications cutanées 4.b Complications buccales 4.c Complications ostéo-articulaires 5. Complications métaboliques du diabète 5.a Coma céto-acidosique 5.b Coma hyperosmolaire 5.c Hypoglycémies www.endocrino.net Page 1 sur 43
  • 2.
    ©Collège des Enseignantsd’Endocrinologie, Diabète et Maladies Métaboliques. Mise à jour décembre 2004 DIABETE - DEFINITION ; DIAGNOSTIC Recommandations de l’OMS: ♦ Glycémie à jeun normale < 1,10 g/l ♦ Hyperglycémie modérée à jeun si glycémie > 1,10 g/l et ≤ 1,26 g/l = seuil d’augmentation du risque vasculaire ♦ Diabète sucré si: - glycémie à jeun ≥ 1.26 g/l (à 2 reprises) = seuil d’apparition de la microangiopathie diabétique (rétinopathie) - ou glycémie aléatoire ≥ 2 g/l et signes cliniques d’hyperglycémie Tableau I : CARACTERISTIQUES RESPECTIVES DES DIABETES DE TYPE 1 ET 2 Type 1 Type 2 Antécédents familiaux du même type souvent 0 souvent + Age de survenue avant 35 ans après 40 ans Début rapide ou explosif lent et insidieux Facteur déclenchant souvent + souvent + Symptomatologie bruyante pauvre ou absente Poids normal ou maigre obésité ou surcharge adipeuse abdominale Hyperglycémie au diagnostic majeure > 3 g/l souvent < 2 g/l Cétose souvent ++ à ++++ le plus souvent 0 Complication dégénérative absente présente dans 50 % des cas au moment du diagnostic Cause principale de mortalité insuffisance rénale maladie cardiovasculaire www.endocrino.net Page 1 sur 43
  • 3.
    ©Collège des Enseignantsd’Endocrinologie, Diabète et Maladies Métaboliques. Mise à jour décembre 2004 1. DIABETE DE TYPE 1 1.a EPIDEMIOLOGIE ; ENQUETE DE LA CNAMTS, 1999 ♦ Notion de gradient nord/sud europe ♦ Prévalence en France : 200 000 (15 % des diabétiques) ♦ Incidence 7,8 pour 100 000 et par an ♦ Survient habituellement avant 35 ans (pic à l’adolescence) mais peut survenir à tous âges ♦ Age moyen de la population suivie = 37 ans ♦ Augmentation + 4% par an surtout avant 5 ans ♦ Sex ratio = 1 1.b PHYSIOPATHOLOGIE DU DIABETE DE TYPE 1 Carence absolue en insuline par destruction des cellules β pancréatiques. Synonyme : diabète insulinodépendant Deux sous-types : - diabète de type 1 auto-immun (le plus fréquent(>90% en Europe)) incluant le type 1 lent - diabète de type 1 idiopathique (absence d’anticorps) :cadre nosologique mal défini incluant diabète du sujet noir originaire d’Afrique sub-saharienne, diabète suraigu japonais, MODY 3. A) Prédisposition génétique (tableau II) - présente même si dans 95 % des cas n’existent pas d’antécédents familiaux - liaison avec HLA, DR3, DR4, DQ, B1 * 0302 - HLA protecteur : DR2, DQ, W1-2 DQB1*0602 - Beaucoup d’ autres gènes/maladie multigénique Tableau II Risques de diabète de type 1 en France Risque dans la population générale 0.4 % Apparenté de 1er degré 5% Deux parents diabétiques 30 % Apparenté de 1er degré avec HLA identique 12 % Apparenté de 1er degré avec HLA identique et 16 % DR3 ou 4 Jumeaux 50 % Jumeaux + DR3 ou 4 70 % www.endocrino.net Page 2 sur 43
  • 4.
    ©Collège des Enseignantsd’Endocrinologie, Diabète et Maladies Métaboliques. Mise à jour décembre 2004 B) Facteurs environnementaux - expliqueraient au moins 50 % de la pathogénie puisque 50 % de paires de jumeaux sont non concordants - nombreux virus et toxiques suspectés, mais aucun prouvé - à ne pas confondre avec le facteur déclenchant (grippe, stress). C) Processus auto-immun - insulite puis destruction des cellules β par lymphocytes cytotoxiques ( type 1 = maladie du lymphocyte T) et cytokines - au moins un des auto-anticorps témoins circulants détectable dans 85 % des cas : anticorps anti-ilôts (ICA), anti-GAD, anti-IA2, anti-insuline. - Processus étalé sur plusieurs années avant et après l’apparition du diabète (cf. 1.d Evolution) - Fréquence des autres maladies auto-immunes associées et des anticorps spécifiques d’organes (15 %) - Notion de glucotoxicité surajoutée : aggravation du déficit insulaire par l’hyperglycémie - Notions sur les modèles animaux ( souris NOD et BB) 1.c SIGNES CLINIQUES A) Présentation clinique initiale habituelle - Début rapide ou explosif (quelques semaines) - Syndrome cardinal (polyuro-polydypsie, amaigrissement), polyphagie - plus troubles visuels transitoires (réfraction) - Examen pauvre : fonte musculaire (quadriceps) rarement hépatomégalie, rechercher signes d’acidose - Diagnostic par mesure de la glycémie (souvent supérieure à 3 g/l) - Autres éléments : glycosurie massive (notion de seuil rénal), cétonurie, hypertriglycéridémie. - Révélation possible par une acido-cétose B) Formes du diabète de type 1 ♦ formes particulières : - type 1 lent ou LADA. Début tardif et progressif comme le type 2 mais anticorps positifs et insulinodépendance en 5 à 10 ans. 10 % des « types 2 » sont en fait des LADA. - Diabète du sujet noir d’origine africaine sub-saharienne (bush diabetes). Début cétosique puis évolution vers l’insulino-indépendance mais avec épuisement rapide des réserves pancréatiques. Anticorps négatifs. ♦ Autres cas - Diagnostic tardif au stade de cétose (voir plus loin) - Diagnostic pré-clinique à l’occasion d’une analyse de fratrie, d’une glycémie fortuite : dosage des anticorps ICA + GAD + IA2 . Prédiction positive 60 à 100 % de risque de diabète à 5 ans si les 3 sont associés, groupe HLA peu d’intérêt (car gènes prédisposants www.endocrino.net Page 3 sur 43
  • 5.
    ©Collège des Enseignantsd’Endocrinologie, Diabète et Maladies Métaboliques. Mise à jour décembre 2004 présents dans 30% de la population normale), mais prédictivité négative du gène protecteur C) Affirmer le type 1 - Clinique suffisante si non obèse + cétose + âge < 35 ans - Si un des critères manque : anticorps ± groupe HLA - Eliminer les autres formes de diabètes (tableau III), MODY 3, MIDD par la clinique et l’interrogatoire Tableau III Autres formes de diabète ♦ Diabète gestationnel ♦ Diabète génétique monogénique - MODY - Diabète mitochondrial ♦ Atteinte anatomique du pancréas endocrine - pancréatite chronique (calcifiée ou non) - pancréatectomie totale - cancer du pancréas - hémochromatose - mucoviscidose ♦ Inhibition fonctionnelle de l'insulinosecrétion - hypokaliémies (diurétiques sulfamidés, laxatifs, hyperaldostéronismes…) - diabète transitoire induit par un jeûne prolongé avec dénutrition - phéochromocytome (rare; l'hypersécrétion de catécholamines entraîne aussi une insulinorésistance) - somatostatinome (rarissime) ♦ Diabète du glucagonome (rarissime). Il s'accompagne de lésions cutanées spécifiques ♦ Défauts génétiques de l’action de l’insuline : Insulinorésistance primitive profonde ± acanthosis nigricans - anomalie ou absence de récepteurs de l'insuline - diabète lipoatrophique - anomalies primitives postrécepteurs ♦ Insulinorésistance secondaire - hypercorticisme (corticoïdes, plus rarement hypercorticisme) - acromégalie - hyperthyroïdie ♦ Diabètes iatrogènes - corticoïdes (sous toutes les formes) - diurétiques hypokaliémiants, laxatifs - progestatifs de synthèse de type norstéroïdes - sympathicomimétiques (Salbutamol) - antiprotéases utilisés dans le traitement du SIDA - Vacor, pentamidine - interféron (discuté) www.endocrino.net Page 4 sur 43
  • 6.
    ©Collège des Enseignantsd’Endocrinologie, Diabète et Maladies Métaboliques. Mise à jour décembre 2004 1.d EVOLUTION (figure 1) A) Histoire naturelle Figure 1 : Histoire naturelle du diabète sucré De type 1 Prédisposition génétique Signes d’autoimmunité Agression extérieure Capacité de sécrétion insulinique Signes 100 % métaboliques précoces Hyper- glycémie Rémission DID 10 % 0 5 Années Prédisposition Insulite silencieuse Diabète Diabète patent Diabète génétique préclinique ™ peptideC + ™ peptideC - - Acceptation de la maladie souvent difficile surtout chez l’adolescent. Nécessité d’un « travail de deuil » de l’état de bonne santé (les différentes phases). - Rémission partielle ou totale dans au moins 25 % des cas, favorisée par l’insulinothérapie intensive et précoce. Rechute inéluctable après 6 à 12 mois. - Stade de diabète de type 1 peptide C positif : faibles besoins en insuline (≤ à 0.5 unité/kg) et équilibre facile pendant les 5 premières années (insulino-secrétion résiduelle). - Stade peptide C négatif : équilibre plus difficile, obtenu dans seulement 30 % des cas (moyenne nationale Hémoglobine glyquée : 8.5 %). B) Facteurs de déséquilibre : - peur des hypoglycémies (surtout nocturnes) - peur de grossir - non acceptation (pseudo-acceptation) de la maladie - refus des contraintes (autosurveillance, régime, injection) - schéma d’insuline inadapté - erreur technique (lipodystrophies) - maladie surajoutée méconnue (infection) C) Forme extrême : diabète « instable » - céto-acidoses et/ou hypoglycémies sévères à répétition - facteurs psychologiques au 1er plan (manipulation, troubles du comportement alimentaire) - éliminer gastroparésie et insuffisances endocriniennes (thyroïde, surrénales, hypophyse). www.endocrino.net Page 5 sur 43
  • 7.
    ©Collège des Enseignantsd’Endocrinologie, Diabète et Maladies Métaboliques. Mise à jour décembre 2004 1.e PRISE EN CHARGE THERAPEUTIQUE A) Principes généraux - importance de l’éducation thérapeutique : transfert des connaissances par enseignement collectif ou individualisé, vérification des comportements. - Définir des objectifs thérapeutiques personnalisés et acceptés (tableau IV) y compris les objectifs de réduction du risque cardiovasculaire (voir diabète de type 2). S’appuyer sur les principaux enseignements de l’étude DCCT (N. Engl. J. Med. 1993 ; 329 : 977 - 986) voir fiche 1 - une insulinothérapie intensifiée réduit l’hémoglobine glyquée ( 9 versus 7 %), retarde (5 ans) et réduit la gravité ( de 50 à 75 % ) des complications microangiopathiques. Mais elle multiplie le risque d’hypoglycémie sévère par trois en l’absence d’éducation appropiée. - l’objectif idéal est une HbA1C < 7% Fiche 1 : Etude DCCT (N. Engl. J. Med. 1993 ; 329 : 977 - 986) Objectifs Montrer la possibilité de diminuer la fréquence des complications microangiopathiques et neurologiques du diabète de type 1 en maintenant la glycémie à un niveau proche de la normale. Plan expérimental Etude prospective randomisée sur 6 ans, incluant 1 441 patients. Patients 1 441 patients sur 29 centres aux Etats-Unis, recrutés pendant 6 ans avec un suivi moyen de 6,5 ans, présentant les critères classiques majeurs de diabète de type 1, diabétiques depuis au moins un an, ayant une moyenne d'âge de 26 ans. Deux cohortes sont définies parmi ces patients : une cohorte est indemne de toute complication, donc suivie en prévention primaire ; une cohorte avec présence de complications débutante suivie en prévention secondaire d'aggravation. Intervention Un groupe traité par insulinothérapie dite « conventionnelle », consistant en 1 ou 2 injections quotidiennes d'insuline sans adaptation des doses. Un groupe traité par insulinothérapie dite intensive, consistant en 3 à 4 injections quotidiennes ou la mise en place d'une pompe à insuline, avec autocontrôle glycémique quatre fois par jour et adaptation des doses d'insuline visant à obtenir une glycémie inférieure à 1,20 g/l à jeun et inférieure à 1,80 g/l en post prandial. Critères du jugement Fond d'oeil tous les 6 mois avec cotation de la rétinopathie sur une échelle de 25 points. Microalbuminurie annuelle, recherche clinique d'une neuropathie, évaluation clinique de la macroangiopathie, incidence des hypoglycémies sévères. Principaux résultats • 99 % des patients sont restés jusqu'au bout dans l'étude. La différence d'équilibre glycémique entre les 2 groupes est significative et stable pendant toute la durée de l'étude : 2 % d'HbA1C de différence, p < 0,001. L'insulinothérapie « intensive » réduit de manière significative le risque d'apparition d'une rétinopathie (incidence diminuée de 50 % sur 6 ans), ou www.endocrino.net Page 6 sur 43
  • 8.
    ©Collège des Enseignantsd’Endocrinologie, Diabète et Maladies Métaboliques. Mise à jour décembre 2004 d'aggravation de la rétinopathie (risque de progression diminué de 50 % sur 6 ans). « L'insulinothérapie intensive » diminue le risque d'apparition ou d'aggravation de la microalbuminurie de 30 à 40 %. De même le risque d'apparition d'une neuropathie diminue de 70 % sur 5 ans. Les résultats ont conduit à l'arrêt prématuré de l'étude. • Le risque de complications macroangiopathiques était faible compte-tenu de l'âge moyen bas des patients et l'absence de facteurs de risque cardio-vasculaire associés. Celui-ci ne diffère pas significativement d'un groupe à l'autre. • Le nombre d'hypoglycémies sévères est plus important dans le groupe traité de manière intensive mais sans séquelles neurologiques ni coma mortel. Conclusion Obtenir une moyenne glycémique proche de la normale permet de retarder l'apparition ou de ralentir la progression de la rétinopathie, de la néphropathie et de la neuropathie dans le diabète de type 1. Tableau IV Objectifs glycémiques Objectifs glycémiques idéaux chez les diabétiques de type 1 non âgés Le matin à jeun 1-1,20 g/L Avant les repas 0,8-1,2 g/L 2 heures après les repas 1,2-1, 8 g/L Au coucher ~ 1,2 g/L À 3 heures du matin > 0,8 g/L HbA1c ≤7% Hypoglycémies modérées 0-5/semaine Hypoglycémies “sévères” 0 nombre d’autocontrôles ≥ 4/jour nombre d’injections ≥ 3 ou pompe - Contre-attitudes médicales habituelles : menacer le malade des complications, banaliser les contraintes, répondre aux problèmes par une escalade technologique, se résigner au déséquilibre. B) Autosurveillance - Buts : suivre son diabète, adapter ses doses, avoir une idée de l’équilibre moyen, gérer les situations d’urgence. - Place de l’autosurveillance urinaire faible : acétonurie matinale, ou en cas d’hyperglycémie - Autosurveillance glycémique : au moins 4 fois par jour (pré-prandial + coucher) et de temps en temps 3 h du matin et post-prandiales. Lecteur portable de plus en plus simple et rapide, nécessité d’une bonne technique de production de la goutte de sang. Exactitude : ± 15 % par rapport à la glycémie de laboratoire. www.endocrino.net Page 7 sur 43
  • 9.
    ©Collège des Enseignantsd’Endocrinologie, Diabète et Maladies Métaboliques. Mise à jour décembre 2004 - Utilité d’un carnet de surveillance du diabète bien tenu. C) Surveillance ♦ Hémoglobine glyquée - fixation non enzymatique, irréversible du glucose sur toutes les hémoglobines - fraction la plus spécifique : HbA1c - méthode la plus spécifique : HPLC, la plus rapide : immunologique (DCA 2000) - Exiger une technique de dosage validée : normale 4 à 6 %, CV important 5 %, objectif : < 7% (voir tableau IV) - reflète l’équilibre des deux à trois mois précédents (7 % = 1.5 g/l, 9 % = 2.1 g/l) cf. 2.e.1 - le meilleur indicateur du risque de complications - cause d’erreur : anémie hémolytique, urémie, hémoglobinopathie ♦ Autres éléments de surveillance - consultation spécialisée au moins 3 à 4 fois par an - lipides, créatinine, microalbuminurie, ECBU, ECG une fois par an - examen ophtalmologique complet au moins une fois par an à partir de la 5ème année D) Traitement insulinique ♦ Traitement principal du diabète de type 1, à vie, palliatif ♦ Variétés d’insuline : - soit porcine humanisée (hémisynthétique) soit recombinante, strictement identique à l’insuline humaine ou légèrement modifiée (analogue) - toujours concentrée à 100 U/ml - les insulines diffèrent par leur durée d’action : les Ultrarapides (3 à 5 heures) et Rapides (4 à 8 h) couvrent les besoins prandiaux ; les insulines intermédiaires (NPH, 9 à 16 h, Ultralente, environ 24 h) couvrent les besoins basaux. ♦ Facteurs intervenant sur la résorption sous-cutanée : profondeur, zone, dose (variation intra individuelle 15 à 50 %) ♦ Vecteurs : - stylo à insuline réutilisable ou jetable pour toutes insulines solubles, plus pratique que les seringues jetables - pompes portables (< 5 % des patients) pour administration continue modulée sous-cutanée d’insuline Ultrarapide. Plus efficaces, plus flexibles mais plus contraignantes et plus chères, pour certains à réserver aux échecs de l’insulinothérapie optimisée. www.endocrino.net Page 8 sur 43
  • 10.
    ©Collège des Enseignantsd’Endocrinologie, Diabète et Maladies Métaboliques. Mise à jour décembre 2004 ♦ Schémas Rapide ou Rapide ou Ultrarapide Ultrarapide Ultralente ou analogues lents NPH 8 13 20 23 8h 8 13 20 23 8h « Basal - bolus » « 4 injections » Rapide ou Rapide ou Ultrarapide Ultrarapide + NPH NPH 8 13 20 23 8h « 3 injections » A choisir suivant l’acceptation et les objectifs. Idéalement : bolus prandial par insuline Ultrarapide + couverture basale par insuline lente ou intermédiaire soit 4 à 5 injections /j ♦ Doses En général, ≤ 1 U/ kg, autoadaptation en fonction des glycémies (rétrospective ± instantanée), de l’activité physique et de l’alimentation prévues. ♦ Effets secondaires - Hypoglycémies (voir chapitre correspondant) - Prise de poids (5 kg) - Allergie rarissime - Lipohypertrophies si piqûres en même endroit. E) Traitement non insulinique ♦ Accompagnement et soutien psychologique comme pour toute maladie chronique ♦ Alimentation variée et sans interdits mais horaires et apports glucidiques réguliers (notion d’équivalence, d’index glycémique, de collations), cf. 2.e. 3 Diététique ♦ Exercice physique : à recommander, à prendre en compte pour les doses d’insuline, risque d’hypoglycémie, cf 2.e.2 Exercice physique ♦ Utilité des Associations ( AFD, AJD) F) Voies d’avenir : notions générales sur - pompes implantables plus ou moins rétrocontrôlées (pancréas artificiel) - greffes de pancréas et d’îlots - insuline inhalée - prévention : immunothérapie, insuline www.endocrino.net Page 9 sur 43
  • 11.
    ©Collège des Enseignantsd’Endocrinologie, Diabète et Maladies Métaboliques. Mise à jour décembre 2004 - analogues lents : glargine, Detemir 2.d CAS PARTICULIERS A) Diabète de l’enfant et de l’adolescent ♦ Fréquence des céto-acidoses révélatrices. Risque d’œdème cérébral accru en cours de traitement ♦ Hypoglycémie. Innocuité cérébrale des hypoglycémies sévères non prouvée chez l’enfant de moins de 5 ans ♦ Diabète difficile à équilibrer et mal accepté pendant l’adolescence ♦ Fréquence croissante du diabète de type 2 chez l’enfant aux USA ♦ Augmentation des besoins en insuline pendant la puberté d’au moins 50% B) Diabète au féminin ♦ Contraception : oestroprogestatifs contre-indiqués sauf diabète récent bien équilibré sur une période courte. Progestatifs dérivés des norstéroïdes contre-indiqués. ♦ Grossesse : cf. chapitre correspondant - pronostic quasi normal si équilibre parfait de la conception (grossesse programmée) à l’accouchement et diabète non compliqué. - Diabète gestationnel : diabète dépisté pendant la grossesse. Dépistage systématique par glycémie à 26 semaines voire dès la 1ère consultation si facteurs de risque (obésité, hérédité, macrosomie, hypertension). Test de O’Sullivan. (Voir détail dans Item 17) - Effets de la grossesse sur le diabète : baisse physiologique de l’hémoglobine glyquée, augmentation des besoins en fin de grossesse, risque d’aggravation de la rétinopathie et de la néphropathie. Contre-indication absolue : insuffisance coronaire. - Effets du diabète sur la grossesse : avortement, malformation, macrosomie, retard de maturation, hypoglycémie néo-natale, prééclampsie, hypertension. - Objectifs glycémiques très stricts (à jeun ≤ 0,9 g/l, post-prandial ≤ 1,20 g/l), autosurveillance répétée, insulinothérapie optimisée, suivi diabéto-obstétrical au moins mensuel. ♦ Ménopause : pas de contre-indication à l’hormonothérapie substitutive. C) Diabète de type 1 et situation de jeûne. ♦ En cas d’intolérance gastrique, ne jamais arrêter l’insuline. Essayer des collations liquides fractionnées sinon hospitalisation pour glucose IV. ♦ Examen nécessitant d’être à jeun plus d’une heure : hospitaliser pour perfusion glucosée, maintenir l’insuline sous-cutanée (pour certains réduite de 25 %) ♦ Chirurgie avec réalimentation dans les 24 h : apports glucosés habituels sous forme de perfusion IV. Maintenir l’insulinothérapie basale. Prévoir des suppléments d’insuline Ultrarapide sous-cutanée à la demande. ♦ Chirurgie plus lourde et jeûne plus long : préférer l’infusion continue par voie veineuse. D) Diabète de type 1 tardif ♦ Après 40 ans, penser aux maladies auto-immunes associées, surtout chez la femme (thyroïde) ♦ Chez le sujet âgé : penser aux diabètes secondaires (cancer du pancréas). www.endocrino.net Page 10 sur 43
  • 12.
    ©Collège des Enseignantsd’Endocrinologie, Diabète et Maladies Métaboliques. Mise à jour décembre 2004 www.endocrino.net Page 11 sur 43
  • 13.
    ©Collège des Enseignantsd’Endocrinologie, Diabète et Maladies Métaboliques. Mise à jour décembre 2004 2. Diabète de type 2 2.a EPIDEMIOLOGIE: ENQUETE DE LA CNAMTS, 1999: ♦ sud, sud-Est de la France > Nord ♦ Prévalence: 2,78 % de la population dépendant du régime général (traités par hypo- glycémiants oraux et/ou insuline) ♦ Prévalence extrapolée à la population générale : 3,06 % dont 0,41 % traités par insuline seule ♦ + 200 à 300 000 diabétiques traités par régime seul = plus de 2 millions de diabétiques en France ♦ âge moyen de la population de diabétiques : 63,1 ans ♦ prévalence augmentée avec l’âge : près de 10 % de la tranche 65-79 ans ♦ sex ratio H/F = 1,04 2.b PHYSIOPATHOLOGIE ♦ L'insulinorésistance : favorisée par l’obésité abdominale - Incapacité de l'insuline à obtenir une réponse maximale au niveau de ses organes cibles. - Elle prédomine au niveau du muscle lors de la charge en glucose : défaut de captation musculaire du glucose. Au niveau hépatique, on note un accroissement de la production h épatique de glucose à l'origine de l'hyperglycémie à jeun. ♦ L'insulinopénie relative : Insuffisance de sécrétion d'insuline compte tenu du niveau de la glycémie; ce trouble est évolutif, inéluctable, s'aggravant avec l'âge et la durée du diabète, jusqu'à conduire au maximum au diabète insulino-nécessitant. www.endocrino.net Page 12 sur 43
  • 14.
    ©Collège des Enseignantsd’Endocrinologie, Diabète et Maladies Métaboliques. Mise à jour décembre 2004 Physiopathologie de la forme commune du diabète de type 2 (80 % des cas): Facteurs Prédisposition d’environnement Génétique1 Obésité Insulinorésistance2 Gluco Diabète de type 2 Toxicité 3 Déficit insulinosecrétoire 1 . Facteurs génétiques : Fréquence estimée du diabète de type 2 chez les apparentés de diabétiques Population générale française 2à4% Jumeaux vrais 90 – 100 % 2 parents diabétiques 30 – 60 % 1 apparenté au premier degré 10 – 30 % 2 . Insulinorésistance : Favorisée par l’obésité androïde, l’âge et la sédentarité. S’accompagne d’anomalies = Syndrome X : obésité androïde + HTA + dyslipidémie + hyperuricémie + troubles de la coagulation ⇒ Profil à haut risque cardio-vasculaire 3 . Gluco-toxicité : L’hyperglycémie aggrave le déficit de l’insulinosécrétion pancréatique ainsi que l’insulinorésistance. Il en est de même pour les acides gras libres (concept de lipotoxicité). www.endocrino.net Page 13 sur 43
  • 15.
    ©Collège des Enseignantsd’Endocrinologie, Diabète et Maladies Métaboliques. Mise à jour décembre 2004 C) Physiopathologie du diabète de type 2 – ce que le patient doit savoir Elément essentiel : l’insulinorésistance Causes de l’insulinorésistance : Non modifiable : Génétique Modifiables : Sédentarité ⇒activité physique Excès pondéral ⇒alimentation équilibrée et adaptée au poids Conséquences de l’insulinorésistance: Risque vasculaire accru du fait du diabète et des autres anomalies souvent associées : HTA, Dyslipidémie… 2.c SIGNES CLINIQUES ; DEPISTAGE A) Signes cliniques : Le plus souvent absents OU stade de complications OU dépistage B) Dépistage : glycémie veineuse à jeun : 1. Chez tous les sujets présentant des signes cliniques évocateurs de diabète : - polyurie - soif - prurit vulvaire chez la femme ; balanite chez l’homme - infections récidivantes ou traînantes 2. Chez tous les sujets d’âge 40 ans, ou ayant un parent diabétique au premier degré : à répéter tous les 3 ans si aucun de facteur de risque de diabète, plus tôt si apparition d’un facteur de risque 3. Si 1 ou plusieurs facteurs de risque : - IMC (indice de masse corporelle) ≥ 27 kg/m2 - Antécédents de diabète gestationnel ou de macrosomie fœtale - Hypertension artérielle (> 140/80 mm Hg) - Hypertriglycéridémie ( > 2 g/l) et/ou HDL-cholestérol bas ( < 0,35 g/l) - Hyperglycémie modérée à jeun connue - Antécédent de diabète cortico-induit A répéter tous les ans si normal Aucun intérêt de l’H.G.P.O. (sauf dans le cas du diabète gestationnel), ni de l’HbA1c pour le dépistage. www.endocrino.net Page 14 sur 43
  • 16.
    ©Collège des Enseignantsd’Endocrinologie, Diabète et Maladies Métaboliques. Mise à jour décembre 2004 C) Probabilité qu’un diabète soit un diabète de type 2: - âge > 40 ans - IMC > 27 kg/m2 - Localisation androïde des graisses - cétonurie 0 - antécédent familial de diabète de type 2 - facteurs de risque cardio-vasculaires associés dans le cadre d’un syndrome d’insulinorésistance D) Cas particuliers Il n’y a jamais de certitude qu’un diabète soit primitif et de type 2, sauf pour le Diabète de type MODY ( Maturity Onset Diabetes of the Young), monogénique où l’anomalie génétique peut être retrouvée : 5 % des diabètes « de type 2 ». En faveur du MODY : - Arguments cliniques : diabète du sujet jeune non cétosique - Présent sur 3 générations et touche environ 50 % de la famille. 2.d EVOLUTION L’insulinopénie s’aggrave avec le temps et le diabète de type 2 devient insulinorequérant dans 50 % des cas. 2.e Traitement du diabète de type 2 2.e.1 Principes généraux : Fiche 2 : Etude UKPDS (Lancet 1998 ; 352 : 837 – 853. - Lancet 1998 ; 352 : 854 - 865) Objectifs Comparer l'effet d'un traitement hypoglycémiant intensif (ayant pour objectif une glycémie à jeun inférieure à 6 mmol/l) et l'effet d'un traitement conventionnel (ayant pour objectif une glycémie à jeun inférieure à 15 mmol/l) sur le risque de complications microangiopathiques et macroangiopathiques dans le diabète de type 2. Plan expérimental Etude prospective randomisée incluant 3 867 patients, avec 10 ans de suivi moyen. Patients 3 867 patients inclus sur 23 centres en Grande Bretagne, présentant les caractéristiques du diabète de type 2, sans complications microangiopathiques ou macroangiopathiques (sévères), avec une glycémie à jeun entre 6 et 15 mmol/l après 3 mois de mesures diététiques, ne présentant pas un surpoids majeur. Les patients présentant un surpoids ont été traités dans une partie annexe de l'étude. Intervention Randomisation en deux groupes : un groupe traité par insuline ou sulfamides hypoglycémiants avec un objectif de glycémie à jeun inférieure à 6 mmol/l ; un groupe www.endocrino.net Page 15 sur 43
  • 17.
    ©Collège des Enseignantsd’Endocrinologie, Diabète et Maladies Métaboliques. Mise à jour décembre 2004 traité par diététique puis éventuellement sulfamides ou insuline, avec un objectif de glycémie à jeun inférieure à 15 mmol/l. Critères de jugement Les critères majeurs de jugement étaient la survenue d'une complication sévère liée au diabète (mort, infarctus du myocarde, AVC, défaillance cardiaque, insuffisance rénale sévère, rétinopathie laserisée...). Les critères mineurs de jugement étaient la survenue de complications à un degré moins sévère. Principaux résultats La durée moyenne de cette étude a été de 10 ans. Les deux groupes de patients ont présenté une différence significative d'équilibre glycémique tout au long de l'étude (0.9 % d'HbA1C moyenne de différence). Cette différence est à l'origine d'une diminution du risque de survenue ou d'aggravation de la rétinopathie de 25 % dans le groupe le mieux équilibré. La diminution du risque de survenue d'un infarctus du myocarde a été moindre, de 16 %. Conclusion Dans le diabète de type 2, quel que soit le moyen thérapeutique utilisé, améliorer l'équilibre glycémique moyen permet de diminuer le fréquence ou de freiner l'évolution des complications microangiopathiques. Mais ne contrôler que le paramètre glycémique dans le diabète de type 2 ne permet pas d'obtenir un résultat aussi important dans la prévention du risque macroangiopathique. Il est nécessaire pour cela de contrôler aussi les autres facteurs de risque cardiovasculaires. Une deuxième partie de l'étude de l'UKPDS montre que la diminution des chiffres tensionnels dans le diabète de type 2 associée au contrôle glycémique permet de diminuer de manière significative le risque de complications macroangiopathiques et microangiopathiques. La dyslipidémie, fréquemment présente dans le diabète de type 2, n'a pas fait l'objet d'une intervention thérapeutique contrôlée dans cette étude. 2.e.2 La surveillance glycémique A) HbA1c : cf 1.e.3 ♦ Equivalence entre glycémie et HbA1c : Glycémie moyenne : 1,20 g/l → HbA1c : 6% 1,50 g/l → 7% 1,80 g/l → 8% + 0,30 g/l → +1% ♦ Recommandations : Dosage à faire tous les 3 à 4 mois ♦ Signification de l’ HbA1c : < 6,5% : bon contrôle 6,6 – 8% : Qualité du contrôle à interpréter selon le contexte clinique > 8% : Mauvais contrôle B) L’autosurveillance glycémique (ASG) 1. Traitement oral. ASG non recommandée SAUF en indication “ a priori ” temporaire: - pour sensibiliser le patient à l’intérêt de la diététique et à l’exercice physique régulier: www.endocrino.net Page 16 sur 43
  • 18.
    ©Collège des Enseignantsd’Endocrinologie, Diabète et Maladies Métaboliques. Mise à jour décembre 2004 OUTIL PRECIEUX D’EDUCATION - pour déterminer la posologie d’un sulfamide hypoglycémiant au début ou lors d’un changement d’hypoglycémiant (risque d’hypoglycémie asymptomatique) - lors d’une maladie intercurrente ou de la prescription d’un médicament diabétogène 2. Diabète insulino-traité. ASG nécessaire C) La surveillance glycémique : ce que le patient doit savoir HbA1c : fraction de l’hémoglobine susceptible de se glyquer de façon stable, permet d’estimer la glycémie moyenne des 2 à 3 mois précédents le prélèvement. Dosage à faire tous les 3 à 4 mois Objectif d’HbA1c défini pour chaque patient Autosurveillance glycémique possible 2.e.3 Activité physique A) Intérêt de l’exercice physique régulier: - diminue l’incidence du diabète de type 2 dans une population à risque, - améliore l’insulinorésistance et les paramètres métaboliques (action brève de 24 à 30 heures), - améliore les chiffres tensionnels à l’effort, - augmente la masse maigre, diminue la masse grasse sans modification pondérale notable. B) Type d’exercice physique : - privilégier les activités d’endurance : marche, cyclisme, natation, golf, jogging, ski de fond... - plutôt que les activités de résistance, - profiter des actes de la vie courante, ludiques et professionnels, - intensité progressive adaptée au contexte personnel de sédentarité, - sans dépasser 50 à 70 % de la FMT (fréquence maximale théorique) = 220 – âge. C) Durée de l’exercice physique : - au moins 3 fois/semaine (IDEAL = quotidien), - au moins 30 minutes dont 5 à 10’ d’échauffement et récupération. D) Contre-indications et précautions : - Insuffisance coronarienne - HTA d’effort - Rétinopathie proliférante - Macroprotéinurie - Attention aux traitements hypoglycémiants (insulinosecréteurs, insuline) - Attention aux β-bloquants - Attention aux pieds www.endocrino.net Page 17 sur 43
  • 19.
    ©Collège des Enseignantsd’Endocrinologie, Diabète et Maladies Métaboliques. Mise à jour décembre 2004 ⇒ la prescription d’exercice physique est un acte médical nécessitant évaluation des risques du patient et de ses capacités. E) Activité physique – ce que le patient doit savoir - l’effet bénéfique de l’exercice physique, - ne pas en attendre une perte de poids mais une amélioration de la masse musculaire, - profiter des activités quotidiennes : ménage, bricolage, jardinage, économiser sa voiture, monter les escaliers à pied… - le temps passé et l’intensité de l’exercice doivent être progressifs et adaptés à chacun selon l’avis médical. 2.e.3 Diététique 1er temps thérapeutique du diabète Objectifs : perte de 5 à 10 % du poids Corriger avant tout les troubles du comportements alimentaires La prescription diététique doit tenir compte : - du poids du sujet, - de son activité physique, - de ses habitudes alimentaires, - de ses interdits éventuels, - de ses coutumes ethniques, - de ses contraintes professionnelles. Principes généraux : - apport calorique adapté au poids ( > 1500 cal/jour, sauf rares exceptions) - glucides : 50-55% (moins si hypertriglycéridémie et obésité morbide) - lipides : 30-35 % - protides : 15 %, représentant 1 g/kg poids/jour en 3 repas ± 2 collations. Particularités des glucides : - limiter les sucres purs sans les « diaboliser »: sucre, bonbons, miel, confiture, boissons sucrées - prendre les glucides au sein d’un repas mixte - privilégier les aliments à index glycémique bas : pâtes, légumes secs, céréales - 100 g de féculents = 100 g de pommes de terre, pâtes, riz, semoule cuits soit 20 g glucides = 60 g légumes secs : lentilles, haricots blancs = 40 g de pain = 30 g de farine ou de céréales - 1 fruit de 150 g = 1 pomme, orange, poire, pêche, brugnon, soit 15 g glucides = 1 pamplemousse = 2 clémentines = 3 abricots = 4 prunes www.endocrino.net Page 18 sur 43
  • 20.
    ©Collège des Enseignantsd’Endocrinologie, Diabète et Maladies Métaboliques. Mise à jour décembre 2004 = ½ banane = 250 g de fraises, framboises, groseilles = 100 g de raisin = 12 cerises Particularités des lipides : - privilégier les graisses mono- ou poly-insaturées - diminuer les aliments riches en graisses cachées et saturées - 10 g de beurre = 10 g de margarine = 20 g de beurre allégé = 10 g d’huile = 30 g de crème fraiche Particularités des protides : - privilégier les protéines d’origine végétale plutôt qu’animale - 100 g de viande = 100 g de poisson soit 20 g protides = 100 g de volaille = 100 g d’abats = 2 œufs = 100 g de jambon découenné dégraissé = 40 g de fromage Edulcorants : - aspartam dépourvue de calorie - xilitol, sorbitol… apportent des calories Produits allégés : - souvent un « leurre » - savoir lire les étiquettes Alcool : 2 verres de vin/jour possibles et conseillés www.endocrino.net Page 19 sur 43
  • 21.
    Diabète de type2 2.e.4 Antidiabétiques oraux 1. Biguanides 2. Insulinosecréteurs : 3. Insulinosecréteurs : 4. Inhibiteurs α- 5. Glitazones Sulfamides Glinides glucosidases Mode - réduction de l’insulino- - stimulent l’insulino- - stimulent le pic précoce - empêchent l'hydrolyse - Agonistse des d’action résistance surtout au secrétion : risque d’insulinosecrétion : risque des glucides complexes récepteurs nucléaires niveau hépatique: d’hypoglycémie d’hypoglycémie (amidon) PPARγ ⇓ glycémie à jeun ⇒ retardent l'absorption ⇒ diminuent - étalement dans le du glucose et l’insulinorésistance temps de l’absorption ⇒ atténuent le pic post- digestive du glucose prandial ( environ 20 %) ⇓ glycémie post- ⇓ glycémie post- prandiale prandiale Effets - digestifs: douleurs - risque d’hypoglycémie - risque d’hypoglycémie; - troubles digestifs : - hépatique : surveillance secondaires abdominales, diarrhée, surtout par interaction moindre et plus courte flatulences, diarrhée. ASAT/ALAT tous les 2 fréquents mais souvent médicamenteuse qu’avec les sulfamides mois, la première année transitoires, ⇒ à - allergie - prise de poids prendre au milieu ou en - anémie : surveillance fin de repas de la NFS - risque d’hypoglycémie: - oedèmes des MI NUL, sauf si alcool - Acidose lactique: risque nul si respect des contre-indications www.endocrino.net Page 20 sur 43
  • 22.
    Diabète de type2 1. Biguanides 2. Sulfamides 3.Glinides 4.Inhibiteurs α-glucosidases 5. Glitazones Contre- - âge > 70 ans sauf si - grossesse et allaitement - Grossesse - maladies digestives - Insuffisance rénale indications clairance calculée > 60 - insuffisance hépatique - Allaitement sévère ml/mn sévère - Insuffisance hépatique - Insuffisance hépatique - pathologie aiguë - insuffisance rénale - Insuffisance cardiaque - insuffisance rénale sévère ou antécédent - insuffisance hépatique - allergie aux sulfamides - Association à l’insuline - arrêt avant et 48 h - association au - Grossesse, allaitement après injection de produit miconazole de contraste ou anesthésie générale Prescription Posologie progressive Posologie progressive Posologie progressive à Posologie progressive Initiale par un Plutôt au milieu ou en fin Préférer les sulfamides à augmenter toutes les A prendre avant la première spécialiste,endocrinologie de repas demi-vie courte chez le semaines bouchée du repas ou médecine interne ; sujet âgé Renouvellement non restreint Indications De première intention chez De première intention De première intention De première intention chez De première intention le diabétique obèse ou en chez le diabétique de chez le diabétique de le diabétique de poids chez le diabétique obèse surpoids poids normal poids normal normal ou en surpoids si intolérance ou contre- indication à la metformine Intérêt Efficacité sur Efficacité sur Utilisable chez le sujet Utilisable Intérêt théorique certain l’insulinorésistance l’insulinosecrétion âgé jusque 75 ans - chez le sujet âgé, Intérêt pratique encore à Pas de contre-indication -insuffisance rénale évaluer en France rénale (extension d’AMM (clairance > 25 ml/mn), dans l’insuffisance rénale -insuffisance hépatique même sévère) Mais coût élevé MAIS coût élevé www.endocrino.net Page 21 sur 43
  • 23.
    ©Collège des Enseignantsd’Endocrinologie, Diabète et Maladies Métaboliques. Mise à jour décembre 2004 Principaux antidiabétiques oraux commercialisés 1.BIGUANIDES Molécule Nom commercial Dose/cp Poso (mg) Maxi/jour ® Metformine Glucophage 1000 1000 2550- ® 850 3000 mg Glucophage 850 Metformine 850 ® 850 Glucophage 500 ® 500 Metformine 500 ® 500 ® Embonate Stagid 700 de metformine 2. SULFAMIDES Molécule Nom Durée puissance Posologie commercial D’action maximale ® Gliclazide Diamicron 80 12-24 h + ou ++ 3 cp ® selon les Diamicron LP 30 auteurs ® Glibenclamide 5 Daonil 5 12-24 h +++ 15 mg ® Euglucan 2,5 Hémi-daonil® ++ ® Miglucan 1,25 Daonil faible® + ® Glipizide Glibénèse 5 6-12 h + ou ++ 15 mg ® selon les Minidiab auteurs ® Glimépiride Amarel 3 24 h +++ 6 mg ® Amarel 2 ® Amarel 1 3. GLINIDES Novonorm® 0,5 mg Novonorm® 1 mg Novonorm® 2 mg Poso max : 2 c/repas (12 mg/jour) www.endocrino.net Page 22 sur 43
  • 24.
    ©Collège des Enseignantsd’Endocrinologie, Diabète et Maladies Métaboliques. Mise à jour décembre 2004 4. INHIBITEURS DES α -GLUCOSIDASES Glucor® 50, 100 Poso max : 300 mg/jour Diastabol® 50, 100 5. GLITAZONES: Pioglitazone (ACTOS®) cp 15, 30, 45 mg Poso max : 45 mg/jour Rosiglitazone (AVANDIA®) cp 2, 4, 8 mg Poso max : 8 mg/jour Sites d’action des antidiabétiques oraux Effet indirect www.endocrino.net Page 23 sur 43
  • 25.
    ©Collège des Enseignantsd’Endocrinologie, Diabète et Maladies Métaboliques. Mise à jour décembre 2004 CAT CHEZ LE DIABETE DE TYPE 2 Régime normocalorique + activité physique (3 à 6 mois) HbA1c <6% HbA1c entre 6 et 6,5% HbAIc >6.5% OK Metformine ou acarbose BMI > 25 BMI<25 metformine Sulfamides ou glinides OK HbA1c >6,5% = échec OK HbA1c >6,5% = échec Metformine + glitazone Sulfamides + metformine OK OK HbA1c >6,5% = échec ou HbA1c >6,5% = échec INSULINE + ADO (sauf glitazones) www.endocrino.net Page 24 sur 43
  • 26.
    ©Collège des Enseignantsd’Endocrinologie, Diabète et Maladies Métaboliques. Mise à jour décembre 2004 2.e.5 Insulinothérapie ♦ Quand ? - lorsque l’HbA1c reste supérieure à 8 % malgré un traitement oral maximal, compte tenu du terrain, et lorsque la diététique, l’activité physique ne sont pas améliorables, - après avoir vérifié l’observance thérapeutique du patient, - ou lorsque l’HbA1c reste supérieure à 7 % chez un patient dont les objectifs ont été fixés à ce niveau. - Transitoire : en cas d’affection intercurrente ♦ Comment ? Commencer par une injection d’insuline intermédiaire (NPH) au coucher (bed-time), à 0,2 U/kg de poids, en adaptant progressivement la dose selon la glycémie capillaire à jeun (dose moyenne : 40 U/jour). L’insulinothérapie peut avec le temps et l’efficacité incomplète de l’injection bed-time se faire sous forme de 2, 3 voire 4 injections quotidiennes pour atteindre les objectifs fixés. L’insulinothérapie est une contre-indication au renouvellement du permis lourd (C, D, E) sauf avis spécialisé favorable. 2.e.6 Traitement du diabète de type 2– ce que le patient doit savoir Le patient doit connaître ses objectifs thérapeutiques personnalisés : - Pondéral - HbA1c - Lipidiques - Tensionnels Il doit connaître les moyens utilisés : - sevrage tabagique - activité physique - diététique - médicamenteux et leurs effets secondaires (troubles digestifs, risque d’hypoglycémie selon les molécules) - la nécessité de l’observance thérapeutique www.endocrino.net Page 25 sur 43
  • 27.
    ©Collège des Enseignantsd’Endocrinologie, Diabète et Maladies Métaboliques. Mise à jour décembre 2004 3. Complications dégénératives du diabète 3.a MICROANGIOPATHIE Physiopathologie générale : Rôle majeur de l’hyperglycémique chronique, donc de la durée de diabète Rôle aggravant de l’HTA 3 mécanismes principaux : 2 conséquences - voie des polyols - épaississement de la membrane basale - glycation des protéines - altération contenant- contenu - altération endothéliale, stress oxydatif microvasculaire : hypercoagulabilité 3.a.1 Rétinopathie ♦ Prévalence : Au diagnostic Après 15 ans d’évolution Diabète type 1 0 95 % Diabète type 2 20 % 50 % Première cause de cécité en France entre 30 et 65 ans, par dépistage insuffisant ♦ Physiopathologie de la rétinopathie: L’hyperglycémie chronique induit par glycation exagérée un épaississement de la membrane basale ⇒ réduction du nombre de cellules endothéliales ⇒ dilatation capillaire, formation de microanévrismes ⇒ microocclusions vasculaires induisant des territoires d’ischémie. Les cellules rétiniennes ischémiques produisent des facteurs de croissance (VEGF, IGF1,…) ⇒ néovaisseaux extra-rétiniens qui peuvent induire des complications : ⇒ hémorragie du vitré, décollement de rétine. Oedème maculaire : phénomène oedémateux par incapacité des capillaires à résorber les fluides. ♦ Recommandations : Dépistage des complications oculaires - Bilan ophtalmologique dès le diagnostic puis 1 / an - Acuité visuelle - Pression intra-oculaire (glaucome plus fréquent) - Cristallin (cataracte plus précoce) - FO après dilatation - Angiographie si lésions au FO www.endocrino.net Page 26 sur 43
  • 28.
    ©Collège des Enseignantsd’Endocrinologie, Diabète et Maladies Métaboliques. Mise à jour décembre 2004 ♦ Stades de la rétinopathie : Stade Lésions Altération Traitement de la vision Non proliférante Dilatation capillaire Non Normalisation Microanévrismes glycémique Exsudats Contrôle tensionnel Hémorragies Pré-proliférante Zones d’ichémies Possible Contrôle tensionnel Et Proliférante Puis Néovaisseaux Panphotocoagulation au laser Normalisation glycémique prudente Proliférante Hémorragie du vitré Oui Normalisation compliquée Décollement de rétine glycémique Contrôle tensionnel Panphotocoagulation au laser Chirurgie Maculopathie Œ dème maculaire Oui Normalisation glycémique Contrôle tensionnel Photocoagulation au laser (grid maculaire) 3.a.1 Rétinopathie – ce que le patient doit savoir Le diabète est la 1° cause de cécité dans les pays industrialisés, avant l’âge de 65 ans. Rôle péjoratif: - du mauvais équilibre glycémique, - de l’ancienneté du diabète, - de l’existence d’une HTA. Le diabétique doit savoir que: Un examen ophtalmologique doit être effectué tous les ans, dès le diagnostic du diabète. Une acuité visuelle normale n'élimine pas une rétinopathie, Et QUE : - baisse de l'acuité visuelle, - troubles de la vision des couleurs, - déformations des images, - sensation de voile, sont des signes d'ALERTE MAIS BEAUCOUP TROP TARDIFS. www.endocrino.net Page 27 sur 43
  • 29.
    ©Collège des Enseignantsd’Endocrinologie, Diabète et Maladies Métaboliques. Mise à jour décembre 2004 3.a.2 Neuropathie A) Polyneuropathie symétrique des membres inférieurs Très fréquente : 50 % après 25 ans d’évolution ♦ Clinique: Perte des sensibilités tactile (test au monofilament), thermique et vibratoire (diapason), bilatérale et distale (pieds) ± atteinte des sensibilités profondes et abolition des réflexes ostéo-tendineux, ± douleurs nocturnes des membres inférieurs (paresthésies, sensations de brûlures, de piqûres, crampes) parfois hyperalgiques et insomniantes. Risque de troubles trophiques (mal perforant plantaire) Atteinte motrice exceptionnelle ou très modérée dans les formes anciennes. EMG de stimulo-détection systématique inutile. ♦ Traitements : - normalisation glycémique (stabilise les lésions, parfois antalgique) - spécifiques de la douleur : après échec des antalgiques classiques (paliers 1 et 2) dans la neuropathie hyperalgique Traitements: Efficacité Effets secondaires Neurontin® +++ + Antidépresseurs tricycliques, à +++ + dose non antidépressive (Anafranil® 25 à 50 mg,…) Antiépileptiques (Rivotril®, +++ ++ Tégretol®) Neuroleptiques +++ + (Haldol®,…) Antalgiques majeurs (palier 3) +++ ++ (Moscontin® Skenan®) ♦ Dépistage de la neuropathie symétrique : - examen neurologique 1 fois / an : neuropathie ? - examen du pied 1 fois/an : - monofilament, diapason (sensibilités) - pouls - déformations du pied, points d’appui anormaux, hyperkératose B) Neuropathies focales et multifocales : mononévrites, multinévrites ♦ ischémie du nerf plutôt impliquée dans les neuropathies focales et multifocales www.endocrino.net Page 28 sur 43
  • 30.
    ©Collège des Enseignantsd’Endocrinologie, Diabète et Maladies Métaboliques. Mise à jour décembre 2004 ♦ Clinique : Début brutal, évolution le plus souvent favorable, en quelques semaines ou mois. Diagnostic d’élimination après avoir éliminer les autres étiologies Les atteintes les plus fréquentes : - atteintes isolées des nerfs des membres - cruralgie - fémoro-cutané (méralgie paresthésique) - médian (diagnostic différentiel : canal carpien) - atteintes des nerfs crâniens - III : diplopie - VI : diplopie - IV : diplopie - VII : paralysie faciale périphérique - atteintes des nerfs du tronc - douleurs et hypoesthésie du dos - paresthésies intercostales C) Neuropathie végétative Organe Pathologie Clinique Diagnostic Traitement Estomac Gastroparésie Souvent absente Transit isotopique Anti-émétiques Nausées Fibroscopie Cisapride Vomissements Erythromycine alimentaires Grêle Diarrhée motrice Accélération du Rouge carmin Ralentisseurs du transit transit Noroxine + Augmentin Vessie Vessie neurogène Incontinence Cystoscopie Autosondage Infections Débitmétrie Chirurgie urinaires urologique Glandes sudoripares Anhydrose Hyperhydrose Cardiovasculaire Neuropathie Hypotension Espace RR Bas de contention autonome orthostatique (Valsalva, (si hypotension cardiaque Caractère orthostatisme, orthostatique) silencieux de respiration l’angor profonde) Tachycardie permanente Organes génitaux Impuissance Impuissance Souvent Traitements plurifactorielle médicaux de la (psychogène) dysérection Pléthysmographie Suivi psychologique Injections intra- caverneuses Ejaculation Infertilité Spermatozoï des Chirurgie rétrograde urinaires www.endocrino.net Page 29 sur 43
  • 31.
    ©Collège des Enseignantsd’Endocrinologie, Diabète et Maladies Métaboliques. Mise à jour décembre 2004 3.a.3 Néphropathie Si les premiers signes de néphropathie ne sont pas apparus après 20 ans d’évolution du diabète, le risque de cette complication diminue. 20 % des dialysés en France sont diabétiques, 30 % d’entre eux sont de type 1 et 70 % de type 2. ♦ Histoire naturelle de la néphropathie - Au stade initial de "néphropathie incipiens", la microalbuminurie est de 30 à 300 mg/24 h. - 40 % des diabétiques arrivent à ce stade qui peut durer plusieurs années. - 30 % évolueront vers le stade de macroprotéinurie, ± syndrome néphrotique. - 10 % vers le stade d'insuffisance rénale chronique terminale. ♦ Signification d’une microalbuminurie pathologique: Facteur prédictif de mortalité prématurée par affection cardio-vasculaire ou accident vasculaire cérébral, car, à ce stade, 100 % ont une macroangiopathie sévère ainsi qu'une rétinopathie; L’absence de rétinopathie à ce stade nécessite de rechercher une autre étiologie (50 % des cas). les facteurs de risque classiques s'aggravent lorsque l'insuffisance rénale s'installe ( HTA, lipides, anomalies de la fibrinolyse,...) ♦ Intervention de prévention: Au stade de microalbuminurie : - contrôle glycémique strict - objectifs tensionnels stricts - IEC ou antagoniste angio II (Sartan) Quand l'insuffisance rénale commence à apparaître, il faut: - contrôler la tension artérielle, - prescrire un régime hypoprotidique, - améliorer le contrôle glycémique, - gérer l’anémie (précoce chez les diabétiques) - prescrire un traitement vitamino-calcique, - préserver le capital veineux (fistule), - vacciner contre l'hépatite B, - éradiquer les foyers infectieux (urinaires +++), - éviter les bolus iodés, ♦ Dépistage des complications rénales : - microalbuminurie 1 fois/an - créatininémie à jeun 1 fois/an ± calcul de la clairance de la créatinine (Cockroft) = (140 – âge (ans) x poids (kg) x 1,25 pour l’homme, 1 pour la femme Créatininémie (µmol/l) - mesure de la clairance de la créatinine si : - albuminurie - hématurie - infection urinaire - créatininémie > 15 mg/l chez l’homme ( 135 µmol/l), > 12 mg/l chez la femme ( 115 µmol/l) - clairance calculée < 60 ml/mn. - bandelettes urinaires 1 fois/an www.endocrino.net Page 30 sur 43
  • 32.
    ©Collège des Enseignantsd’Endocrinologie, Diabète et Maladies Métaboliques. Mise à jour décembre 2004 ♦ Infections urinaires Fréquence: x 3 à 4 90 % des infections urinaires basses sont asymptomatiques Dépistage : bandelettes urinaires 1 fois/an Conséquences: - risque de pyélonéphrite aiguë - risque à moyen terme d'aggravation d'une néphropathie glomérulaire débutante ou avancée Traitement: OUI, même si asymptomatiques 70 % de récidives impliquent la recherche d'une cause: examen gynécologique et explorations uro-dynamiques. www.endocrino.net Page 31 sur 43
  • 33.
    ©Collège des Enseignantsd’Endocrinologie, Diabète et Maladies Métaboliques. Mise à jour décembre 2004 3.b MACROANGIOPATHIE Première cause de mortalité, plusieurs mécanismes intriqués en cause : - HTA - Dyslipidémie - Insulinorésistance (Syndrome X) - Hyperglycémie (non prépondérant dans la macroangiopathie à l’inverse de la microangiopathie) - Etat d’hypercoagulabilité 3.b.1 Artériopathie des membres inférieurs Plus précoce, plus fréquente ( 50 % des diabétiques après 20 ans d’évolution) et plus grave que chez les non-diabétiques Risque de gangrène multiplié par 7 chez le diabétique. 50 % des amputations non traumatiques se font chez les diabétiques. ♦ Particularités: - Rôle péjoratif du tabac - Atteintes plus diffuses et plus distales, possibilités de revascularisation plus limitées par rapport aux sujets non diabétiques. Discussion des pontages distaux. - neuropathie associée: ⇒ risques de traumatismes indolores ⇒ extrémités parfois encore chaudes, ⇒ claudication intermittente parfois discrète ⇒ douleurs de decubitus parfois absentes Elle aggrave le pronostic du pied diabétique - médiacalcose fréquente: valeur séméiologique de l'abolition du pouls tibial postérieur. ♦ Risques: LE PIED ! : risque d’amputation ! ♦ Dépistage : - examen des pieds 1 fois/an - palpation des pouls 1 fois/an - si anomalie : bilan vasculaire : échodoppler des membres inférieurs, +/- artériographie… ♦ Prévention : - contrôle glycémique strict - antiaggrégants (efficacité non prouvée) - vasodilatateurs inefficaces - exercice musculaire - prise en charge des facteurs de risque vasculaire associés (tabac +++) 3.b.2 Cœur et diabète A) Coronaropathie + fréquente (risque x 2 à 3 chez l’homme, x 3 à 5 chez la femme) + grave (mortalité de l’infarctus x 2 à 8 jours et à 1 an) Pronostic amélioré par un contrôle glycémique strict et précoce www.endocrino.net Page 32 sur 43
  • 34.
    ©Collège des Enseignantsd’Endocrinologie, Diabète et Maladies Métaboliques. Mise à jour décembre 2004 ♦ Signes cliniques : - Angor asymptomatique ou douleur atypique - Infarctus silencieux - Cardiopathie ischémique - Mort subite ♦ Dépistage: - ECG de repos/an - Dépistage de l’ischémie myocardique silencieuse : légitime chez les patients à risque vasculaire élevé et/ou ayant un diabète depuis plus de 15 ans mais les modalités sont encore discutées à l’heure actuelle (ECG effort, scintigraphie myocardique voire coronarographie) *B) Cardiomyopathie diabétique - stade préclinique : HVG échocardiographique - insuffisance cardiaque globale 3.b.3 Hypertension artérielle ♦ Risque d'être hypertendu - pour un diabétique de type 2: plus de 50 % après 45 ans ; rôle péjoratif sur la tension artérielle d’un syndrome des apnées du sommeil fréquent dans le contexte de surpoids du diabète de type 2 - pour un diabétique de type 1 : si néphropathie ♦ Risques de l'HTA: - aggravation de la microangiopathie (néphropathie +++, rétinopathie ++, neuropathie +) - facteur de risque majeur d’évènement cardio-vasculaire ♦ Objectifs tensionnels stricts: 140/80 mm, parfois plus stricts si rétinopathie et/ou néphropathie. ♦ Dépistage et prévention des facteurs de risque cardio-vasculaires : - Arrêt du tabagisme - Mesure de la pression artérielle à chaque consultation ♦ Traitements : - mesures non médicamenteuses : cf. arbre décisionnel - préventif à visée vasculaire : aspirine - anti-hypertenseur : cf. arbre décisionnel www.endocrino.net Page 33 sur 43
  • 35.
    ©Collège des Enseignantsd’Endocrinologie, Diabète et Maladies Métaboliques. Mise à jour décembre 2004 Conduite à tenir devant une HTA chez un diabétique: Hypertension permanente PAS > 140 et/ou PAD > 80 mm Hg Mesures non médicamenteuses* Evaluation des risques associés Valeurs normales : Hypertension permanente PAS < 140 et PAD < 80 mm Hg Monothérapie : - Diurétiques - β-bloquants cardiosélectifs - IEC ou antagonistes des récepteurs de l’angiotensine II (ARA II) (Selon les individus) Objectifs tensionnels atteints ? PAS < 140 mm Hg, PAD < 80 mm Hg OUI NON : Association personnalisée Bithérapie : - Diurétiques + IEC ou ARA II ou β-bloquants Si insuffisant, optimisation avec polythérapie associant en plus : - antagonistes calciques - alphabloquants - antihypertenseurs centraux * Mesures non médicamenteuses : lutte contre l’excès pondéral, la sédentarité et le tabagisme. www.endocrino.net Page 34 sur 43
  • 36.
    ©Collège des Enseignantsd’Endocrinologie, Diabète et Maladies Métaboliques. Mise à jour décembre 2004 3.b.4 Dyslipidémies Dyslipidémie quasi constante et athérogène dans le diabète de type 2, s’améliore avec la normalisation glycémique, ♦ Association de : - Hypertriglycéridémie - HDL- cholestérol bas - Augmentation des LDL modifiées (petites et denses) et oxydées. ♦ Objectifs lipidiques: On tend de plus en plus à considérer qu’un diabétique de type 2 doit être en prévention secondaire d’emblée : ⇒ LDL chlolestérol < 1,30 g/l , voire 1 g/l (non encore officialisé) ⇒ HDL cholestérol > 0,35 g/l ⇒ Triglycérides < 1,50 g/l Attention au HDL-Cholestérol: < 0,35 g/l = Risque vasculaire Pour atteindre ces objectifs, la majorité des diabétiques devront prendre un traitement hypolipidémiant selon la formule lipidique : - les statines ont démontré leur efficacité dans de nombreuses études - les fibrates sont un traitement logique de la physiopathologie de la dyslipidémie. ♦ Recommandations : Bilan lipidique complet (exploration d’une anomalie lipidique) 1 fois/an www.endocrino.net Page 35 sur 43
  • 37.
    ©Collège des Enseignantsd’Endocrinologie, Diabète et Maladies Métaboliques. Mise à jour décembre 2004 3.c PIED DIABETIQUE 1° cause d'amputations en France Plaies de pied: hospitalisations prolongées, Pronostic fonctionnel +++ Physiopathologie NEUROPATHIE AUTONOME SENSITIVE Transpiration Traumatismes Modifications Troubles anormale indolores osseuses, ostéolyse trophiques Déformations Infection Ulcérations Points+hyperkératose de pression anormaux gangrène ATTEINTE VASCULAIRE ♦ Patients à risque podologique élevé : - Les diabétiques artéritiques: pouls abolis ou faibles, - Les diabétique ayant un trouble de la statique du pied, - Les diabétiques ayant des troubles de la sensibilité algique, vibratoire, thermique et profonde - Tout diabétique ayant des antécédents d'ulcération au niveau des pieds. ♦ Implications thérapeutiques: - hygiène des pieds: EDUCATION, (cf fiche patient). - consultation podologique: orthèse ? - contrôle glycémique (neuropathie), www.endocrino.net Page 36 sur 43
  • 38.
    ©Collège des Enseignantsd’Endocrinologie, Diabète et Maladies Métaboliques. Mise à jour décembre 2004 Pied ulcéré (traitement): ⇒ surinfection: Prélèvement, Antibiothérapie ⇒ Mal perforant plantaire "propre": soins locaux, décharge ⇒ Si ischémie menaçante: bilan vasculaire, angioplastie, pontage 3.c Pied diabétique :CONSEILS POUR LE PATIENT A RISQUE ce que le patient doit savoir 1. Eviter les situations qui mettent le pied en danger ◊ Ne pas marcher pieds nus, par exemple à la plage. ◊ Ne pas couper les ongles, mais plutôt les limer. ◊ Ne pas enlever les cors ou les callosités avec des instruments tranchants, mais les poncer. ◊ Ne pas utiliser de substances corrosives telles que des coricides. ◊ Ne pas utiliser de bouillotte ou de coussin électrique pour se réchauffer les pieds. 2. Favoriser les méthodes qui protègent le pied. ◊ Inspecter les pieds chaque jour, avec l'aide d'un miroir si nécessaire. ◊ Laver les pieds chaque jour à l'eau tempérée et les sécher soigneusement, surtout entre les orteils. ◊ hydrater les pieds quotidiennement en cas de sécheresse de la peau ◊ Recourir régulièrement à des soins de pédicurie. ◊ Porter des chaussures adaptées: en cuir, larges, avec des semelles souples, sans brides ou lanières, sans coutures intérieures, fermées. Le fait que la chaussure soit confortable n'est pas une garantie de qualité. ◊ Changer de paire de chaussure dans la journée. Ne porter les nouvelles chaussures que durant une heure les premiers jours et inspecter les éventuels points de frottement. Porter des chaussettes de coton, de laine, ou de soie, si possible. Les changer tous les jours. Eviter les élastiques qui serrent le mollet. www.endocrino.net Page 37 sur 43
  • 39.
    ©Collège des Enseignantsd’Endocrinologie, Diabète et Maladies Métaboliques. Mise à jour décembre 2004 3.d LE SUIVI DU PATIENT DIABETIQUE DE TYPE 2 : RECOMMANDATIONS DE L’ANAES 3-4 mois 6-7 mois 9-10 mois Tous les ans CLINIQUE Education X X X X Observance X X X X ASG X X X X Poids X X X X Tension artérielle X X X X Pieds (si neuropathie) X X X X Examen cardio-vasculaire X Pouls, souffles ? Examen neurologique X Monofilament ± diapason Bouche, ORL, peau X Contraception ? X Désir d’enfant ? EX. COMPLEMENTAIRES HbA1c X X X X Lipides (E.A.L.) X Créatininémie X Calcul clairance créatinine X Bandelettes urinaires X Microalbuminurie X Examen ophtalmologique X ECG repos X www.endocrino.net Page 38 sur 43
  • 40.
    ©Collège des Enseignantsd’Endocrinologie, Diabète et Maladies Métaboliques. Mise à jour décembre 2004 4. Autres complications du diabète 4.a COMPLICATIONS CUTANEES : - associées au diabète : nécrobiose lipoï dique, rare (traitement par corticoï des locau x) - infectieuses : dermoépidermite aiguë (érésipèle) mycoses : génitales, onychomycoses. 4.b COMPLICATIONS BUCCO-DENTAIRES - parodontolyse fréquente Recommandations : Examen bucco-dentaire 1 fois/an 4.c COMPLICATIONS OSTEOARTICULAIRES Certaines atteintes sont plus fréquentes chez les sujets diabétiques : - capsulite rétractile de l’épaule : d’évolution souvent favorable - syndrome du canal carpien - maladie de Dupuytren - ostéoarthropathie du pied : pied cubique de Charcot par effondrement de la voûte plantaire et ostéolyse des os du tarse 4.e STEATOSE HEPATIQUE - dépistage par transaminases dans le diabète de type 2 - risque de fibrose et de cirrhose (NASH) www.endocrino.net Page 39 sur 43
  • 41.
    ©Collège des Enseignantsd’Endocrinologie, Diabète et Maladies Métaboliques. Mise à jour décembre 2004 5. Complications métaboliques du diabète 5.a COMA CETO-ACIDOSIQUE ♦ Définition : acétonurie ≥ 2 +, glycosurie > 2 +, glycémie ≥ à 2,5 g/l, pH veineux < 7,25, bicarbonate < 15 mEq/l. Coma vrai au sens nosologique du terme, rare, inférieur à 10 %. Incidence 2 à 4 % par an par patient. ♦ Etiologie - déficit absolu : inaugural de type 1 (10 % des cas) ou arrêt volontaire ou non de l’insulinothérapie - déficit relatif : association d’un diabète non obligatoirement insulinodépendant et d’un facteur surajouté (infarctus, infection, corticothérapie) - inconnue : 25 % des cas. ♦ Diagnostic - phase de cétose : syndrome cardinal aggravé + troubles digestifs (nausées, vomissements, douleurs abdominales) - phase de céto-acidose : dyspnée de Kussmaul + troubles de la conscience (état stuporeux) + déshydratation mixte à prédominance extra cellulaire. Diagnostic rapide par bandelettes + pH veineux (et artériel = GDS) . Utilité de ionogramme en urgence pour la kaliémie . Utilité en cas d’absence d’urine des nouvelles bandelettes pour dosage des corps cétoniques sanguins. - Critères de gravité imposant l’hospitalisation en réanimation: sujet âgé, pH < 7, kaliémie < 4 ou > 6 mmol/l, coma profond, instabilité tensionnelle, non reprise de diurèse après 3 heures, vomissements incoercibles. ♦ Diagnostic différentiel - urgence abdominale (augmentation physiologique des enzymes) - coma hyperosmolaire (calcul de la natrémie corrigée) ♦ Evolution - régression sous traitement en 24 à 48 h - complication iatrogène : œ ème cérébral, surcharge hydrosodée d ♦ Traitement préventif - règles éducatives en cas de cétose (maintien des injections même si inappétence, supplément en insuline rapide, acétonurie systématique si glycémie > 2,50 g/l) ♦ Premiers gestes - scope +surveillance sang-urine - non systématiques : sonde gastrique (sauf vomissement), sonde urinaire (sauf si pas de diurèse après 3 heures), bilan infectieux et e nzymes (sauf orientation), cathéter central (sauf si désordre majeur). ♦ Traitement curatif - insuline rapide ou ultrarapide à la seringue électrique IV débit constant, tant que dure la cétose : 10 à 15 unités/heure - recharge volumique par sérum salé isotonique 4 à 7 l au perfuseur électrique - apports potassiques importants si possible à la seringue électrique, à ajuster à la kaliémie répétée. - Apports glucosés intraveineux à la demande pour maintenir la glycémie à 2.5 g/l www.endocrino.net Page 40 sur 43
  • 42.
    ©Collège des Enseignantsd’Endocrinologie, Diabète et Maladies Métaboliques. Mise à jour décembre 2004 5.b COMA HYPEROSMOLAIRE Décompensation classique du sujet âgé diabétique de type 2, ou inaugurale du diabète, lorsque la polyurie a été compensée par des boissons sucrées ou insuffisamment compensée (rôle de l’inaccessibilité aux boissons). ♦ Diagnostic biologique: - Glycémie > 6 g/l - Osmolalité > 350 mmol/kg = (Na, mmol/l, +13) x 2 + (glycémie, mmol/l) Ou Natrémie corrigée = Na plasm +[ (glycémie – 1 g/l) x 1,6] : > 155 mmol/l - Absence de cétose et d’acidose ♦ Risque: 20 à 40 % de mortalité chez le sujet âgé. ♦ Clinique: - Déshydratation intense avec troubles de la vigilance. - Parfois révélateur d’un diabète de type 2 méconnu. ♦ Facteurs étiologiques: - Age > 80 ans - Infection aiguë - Diurétiques - Mauvaise accessibilité aux boissons : Maison de retraite, Démence - Corticothérapie ♦ Traitement : - mise en conditions : voie veineuse, éventuellement centrale, prévention des complications de decubitus - réhydratation prudente et lente, selon le terrain : 6 à 10 litres de sérum salé isotonique dans les premières 24 heures : - 0-1 h : 1 litre - 1-4 h : 2 à 3 litres - 4-24 h : 4 à 6 litres - insulinothérapie intraveineuse continue à la seringue électrique : 2-3 unités/heure en maintenant la glycémie > 2,50 g/l, selon les glycémies capillaires horaires - surveillance clinique : conscience, pouls, PA, température, diurèse et biologique (ionogramme sanguin et créatininémie) - héparinothérapie préventive - traitement de l’affection causale, si nécessaire - soins des yeux, de bouche, aérosols, aspiration bronchique. A distance de cet épisode aigu, il est souvent possible de reprendre un traitement hypoglycémiant oral. www.endocrino.net Page 41 sur 43
  • 43.
    ©Collège des Enseignantsd’Endocrinologie, Diabète et Maladies Métaboliques. Mise à jour décembre 2004 5.c HYPOGLYCEMIES (voir chapitre correspondant) Pour rappel : - inévitable chez tout diabétique de type 1 « bien équilibré » : 3 à 5 hypoglycémies modérées en moyenne par semaine - combattre les fausses croyances : l’hypoglycémie n’est pas mortelle et ne laisse pas de séquelles cérébrales (sauf cas extrêmes et hypoglycémie très profonde et prolongée), elle ne participe pas aux complications du diabète, ne déclenche pas d’accident vasculaire ou cardiaque, elle ne provoque pas de rebond d’hyperglycémies, ne fait pas prendre de poids. - Connaître les vrais dangers de l’hypoglycémie : peur n° 1 du diabétique l’incitant à se maintenir en hyperglycémie, déstabilisation du diabète, prudence chez le sujet âgé, danger réel en cas d’alcoolisme concomitant, danger dans certaines situations ou sports à risque - La non perception et/ou la perception tardive des signes d’hypoglycémies accroît le risque d’hypoglycémie sévère. Facteurs favorisants : hypoglycémies mineures répétées plus ou moins ignorées (nocturne), neuropathie végétative (longue durée du diabète). - Causes les plus fréquentes : repas sautés insuffisants ou retardés, effort physique non pris en compte dans les doses d’insuline, erreur d’injection d’insuline. Utilité de l’ éducation individuelle (sucre sur soi, etc..) et de la famille ( glucagon, etc..). www.endocrino.net Page 42 sur 43