Réacteurs non idéaux
Distribution des temps de séjour-
Modélisation des réacteurs
I. Introduction:
- L’objet de ce cours est de connaitre la nature de l’écoulement des phases
afin de quantifier son rôle sur les performances du réacteur sur la réaction
chimique ou biologique.
- L’approche utilisée pour la caractérisation de l’écoulement en régime
permanent consiste à marquer, dénombrer et connaitre la distribution des
temps de séjour (DTS) des particules fluides.
UMBB-FSI-DGP
Lors d'un écoulement d'un fluide à travers un récipient de volume V, le temps de
séjour de diverses molécules d'un fluide dépend directement du type d'écoulement et
de la géométrie de l’installation.
Les temps de séjour (ts) peuvent s'écarter considérablement du temps de passage
().

V
Q

IL existe donc une distribution des temps de séjour autour du temps de
séjour moyen qui dépend de l’hydrodynamique de d'écoulement et du volume et
de la géométrie du réacteur.
Les performances (conversion, sélectivité, rendement etc) du
réacteur seront souvent liées à cette distribution des temps de séjours
UMBB-FSI-DGP
Exemples
Cas des réacteurs agités
- Dans un réacteur le mélange réactionnel peut stagner dans certaines zones .
- Une partie du fluide sort directement du réacteur sans se mélanger avec le
fluide présent dans le réacteur.
Cas des réacteurs pistons
-L’existence à l’entrée et la sortie du réacteur des tourbillons qui provoque un
mélange dans la direction longitudinale.
-Le régime d’écoulement du fluide est laminaire,
UMBB-FSI-DGP
III. DISTRIBUTION DES TEMPS DE SEJOUR
III.1. Notions d’âge et d’espérances de vie,
α + λ = ts
III.2. Notion de distribution du temps de séjour:
On doit retrouver la totalité des cubes (traceur) à la sortie
    (1)
 
∞ ∞
0 0
X .dt = Y .dt
t t
UMBB-FSI-DGP
III.2.1. Définition de la distribution du temps de séjour :
La distribution des temps de séjour (DTS) est généralement définie par une
fonction E(t) telle que E(t).dt représente la fraction des molécules en sortie du réacteur
ayant séjourné entre deux instants t et t+dt (figure 2).
Figure 2. La distribution des temps de séjour DTS
UMBB-FSI-DGP
III.2.2. Propriétés de la fonction E(t) [T-1]:
0
( ). 1
E t dt


 Représente la fraction des molécules ayant séjourné tout
le temps dans le réacteur
1
0
( ).
t
E t dt
 Représente la fraction des molécules qui quitte le
réacteur avec un âge plus jeune que t1
0
( ). 1 ( ).
t
t
E t dt E t dt

 
  Représente la fraction des molécules ayant séjourné
plus longtemps que t
1
0
. ( ).
s
t t E t dt


  
Représente le moment d’ordre 1 est appelé
moyenne « temps de séjour moyen où temps de
séjour si la densité du système est constante".
 
2
2
0
. ( ).
t t E t dt


 

Représente le moment centré d'ordre 2 (la variance)
qui indique la dispersion autour de la moyenne.
UMBB-FSI-DGP
III.2.3. Détermination expérimentale de la DTS
Pour un réacteur et un débit donné, La fonction E(t) peut être
déterminée expérimentalement, par l’injectant d’un traceur à l’entrée,
sans perturber le régime d’écoulement, et à examiner la réponse de ce
signal à la sortie du réacteur par l’intermédiaire d’un détecteur qui doit
avoir un temps de réponse négligeable devant le temps de réponse du
réacteur.
Les traceurs utilisés pour déterminer la distribution des temps de
séjour, doivent être des substances quantifiables, caractérisée par une
propriété particulière telles que :
Liquides (colorants, sels, radioactifs et liquides organiques ou minérales).
Gazeux (CO2, H2, He…etc.
UMBB-FSI-DGP
Caractéristiques du traceur :
- Le traceur choisi ne doit pas modifier les propriétés physiques du
milieu (même densité, même viscosité).
- Le traceur ne doit pas modifier les conditions hydrodynamiques.
- ne doit pas réagir chimiquement pendant cette étude.
- détectable en sortie par des appareils de mesure: conductimètre, pH
mètre, chromatographie, colorimétrie etc.
-Injection du traceur à l’entrée du réacteur (en zone de turbulente) et
détection en sortie (en zone de turbulente).
- Utilisation de signaux faciles (impulsion, échelon,…) .
UMBB-FSI-DGP
III.2.4. Les différents types d’injection
En général, on utilise deux (2) fonctions d’introduction : Impulsion (pulse) et
Echelon (step).
III.2.4.1. Injection par impulsion (Dirac)
Soit un réacteur alimenté en continue par un débit Q (régime
permanent). A l’entrée du réacteur, considérons l’injection instantanée
(Δt <1% .τ) d’un nombre de moles n0 d’un traceur. Si C(t) représente l’évolution
de la concentration du traceur en fonction du temps à la sortie du réacteur alors :
  (2)
o
C t
C = = f(t)
C
est appelée courbe C. En générale la courbe C=f(t) est représentée en terme de temps
réduits sous forme C=f(θ), tel que  = t/
UMBB-FSI-DGP
Pendant l’intervalle de temps dt entre t et t + dt, le nombre de moles qui sort du
réacteur est égale à :
n = Q.C(t).dt
Le nombre total de moles (no) introduites dans le réacteur s’exprime par la relation
0
. ( ).
o
n Q C t dt

 
Q: Débit volumique
UMBB-FSI-DGP
la fonction de distribution E(t) est définie par le rapport entre la quantité de
traceur (n) sortant pendant le temps dt et la quantité totale (no) de traceur
introduit. Elle s’exprime par la relation
0
( ) . ( ).
( ).dt
. ( ).
o
o o
n
n C t Q C t dt
V
E t
n
n C
Q C t dt
V

  

si le débit est uniforme, Q=Constant
 
 
(3)

+∞
0
C
E(t )
=
C .dt
t
t
Cette fonction peut aussi s’écrire à partir de l’équation précédente :
( ).
E t dt
. ( ).
Q C t dt

0
1 (
. ( ) ( )
. .
.
)
. (4)
)
.
( . o
o o
Q
Q C t C t
n C
Q C t
C
V
t
dt
C


  

Remarque : Sous forme discrétisée
1
0
( ). .
N
i i
i
C t dt C t


 

 UMBB-FSI-DGP
t = Cte
III.2.4.1.1 Caractéristiques d’une distribution (moyenne et variance)
A/ Moyenne (temps de séjour moyen)
Elle représente le temps de séjour moyen
 
 
0
. .
) (5
( )
s t dt
E t 







0
0
C t
t. .d
t
t
C d
t
t .
=
Sous forme discrétisée
. .
i i i
s
t C t
t


 
1
.
N
i
i i
C t



 
 
 
1
1 1
.
N
i i
i
N N
i
i i
t C
C

 


 
Remarque :
La deuxième forme dite discrétisée est généralement employée quand on
dispose de n points expérimentaux (Ci mesurée à ti), Δti représente
l’intervalle entre deux mesures).
UMBB-FSI-DGP
B/ La variance (σ2)
Elle caractérise l’étalement de la distribution autour de la moyenne
 
2 2
2 2
0 0
. ( ). t . ( ).
s s
t t E t dt E t dt t

 
   
 
UMBB-FSI-DGP
 
2 2
2 2
0 0 0
0
. ( ). t . ( . ( )
2 . ( )
). s
s s t E t dt E t
t t E t dt E t
t dt d
t t

   
    
 
 
2
2 2
0
t . ( ). 2 . .1
s s
E t dt t t t


  

2
2 0
0
2
C( )
C
t . .
(6
( .
)
)
s
t
t d
dt
t
t



 


UMBB-FSI-DGP
Remarque : Sous forme discrétisée
2 2
2
2 0
0
t .C( ). . .
C( ).
i i i
t dt t C t
t
t dt




  


 
1
.
N
i
i i
C t



 
 
 
2
2 2
1
1 1
.
N
i i
i
N N
i
i i
t C
t t
C
 

 
  

 
-Une autre fonction de distribution des temps de séjour E(θ) est obtenue
par remplacement du temps t des courbes E(t) par le temps réduit:
s s
t dt
d'ou
t t
 
θ dθ
La relation entre E(t) et E(θ) est déterminé sur la base que les deux fonctions
représentent physiquement à la sortie du fluide la même fraction correspondant à
un temps de séjour t. C'est-à-dire :
E( ) .E(t) (7)
s
t
 
UMBB-FSI-DGP
E(θ).dθ = E(t).dt
UMBB-FSI-DGP
Variance réduite
   
2 2
2
0
(
(
)
( ) . ). .
s
s s
t t t E t t
E
d t t
t



   
 0
. s
t

  
2
0
.d . ( ).
s
t t E d
  

 

 
2
2
2
2
2 0 0
( )
. ( ). ( 1) . ( ).
s
s
s
t t
t
E d E d
t
t

    
 
 

  
 
 
2
2 2
2
0
( )
( 1) ( ).d 8
s
t
E
t


   

  

Exemple d’application
Exemple :
Un traceur est injecté sous forme d’impulsion dans une l’alimentation
à débit constant d’un liquide dans un réacteur. Le tableau ci-après donne
l’évolution de la concentration C (g/l) du traceur en sortie de ce réacteur en
fonction du temps t (mn).
t
t
1/ Déterminer le temps de séjour moyen du fluide dans le récipient
2/tracer les fonctions de distribution E(t) et E(θ) où θ est le temps réduit
t(mn) 0 2 4 6 8 10 12 14 16
C(g/l 0 0,6 1 1 0,8 0,4 0,15 0,05 0
UMBB-FSI-DGP
Solution :
1/ Le temps de séjour moyen (τ) dans le récipient est donné par l’équation :
UMBB-FSI-DGP
 
 
 
 
0
0
. .
. . .
2
.
.
i i t
i i
i i
t C dt
t Ci t t Ci
t t C mn
Ci t Ci
C dt



     

  
 

(0.0) (2.0,6) (4.1) (6.1) (8.0,8) (10.0,4) (12.0,15) (14.0,05) (16.0) 24,1
6,025
0 0,6 1 1 0,8 0,4 0,15 0,05 0 4
t mn
       
  
       
2/ les valeurs de E(t) sont donnée par la relation suivante
0
( ) ( ) ( ) ( ) ( )
( )
( ). ( ) 2.4 8
( ).
i i i i i
i
i i
C t C t C t C t C t
E t
C t t t C t
C t dt

    
 
 

6,025
s
i i
t
t t
  
( ) . ( ) 6,025. ( )
E E t E t
 
 
Les données de E(t) sont reportées dans le tableau suivant et la fonction E(t) et E(θ)
sont représentées dans la figure 7 (a, b),
UMBB-FSI-DGP
T(mn) 0 2 4 6 8 10 12 14 16
E(t)mn-1
0 0,075 0,125 0,125 0,1 0,05 0,018 0,006 0
θ 0 0,332 0,664 1 1,33 1,66 1,99 2,32 2,66
E(θ) 0 0,45 0,75 0,75 0,6 0,3 0,115 0,037 0
Figures 7 : courbes C(t), E(t) et E(θ)
III.2.4.2. Injection échelon
Dans une injection échelon, la concentration du traceur à l'entrée du
réacteur (Mol/l) passe brusquement de 0 à C0. La concentration du traceur en
sortie du réacteur est mesurée et peut être divisée par la concentration initiale
C0 (en général connue) pour obtenir la courbe adimensionnelle F qui est
comprise entre 0 et 1 (figure 4).
UMBB-FSI-DGP
Figure 5 (a et b)
UMBB-FSI-DGP
La fonction distribution cumulée F(t) est définie comme étant la fraction de débit qui est
restée moins de t dans le réacteur (plus jeune que t).
 
0
0
( ) ( )
( ). (9)
( ).
t
o
C t C t
F t E t dt
C
C t dt

   

 
( ) 10
dF
E t
dt

On peut donc calculer E(t) à partir de F(t)
A partir de la relation E(t) = dF(t)/dt, l’expérience d’injection échelon
donne donc accès simplement à la fonction de distribution des temps de
séjour E(t) (figure 6).
UMBB-FSI-DGP
0
( )
t
F E t dt

UMBB-FSI-DGP
Exemple 1
50% des molécules en sortie ayant séjournées moins longtemps que 40 s
Exemple 2:
Pour un réacteur réel, les courbes F sont indiquées ci-dessous, déterminer le temps
de séjour
UMBB-FSI-DGP
0
( ) ( ). , ( ).
t
F t E t dt dF E t dt
 

Puisque
 
2
0 0
1
. . . (0,5).(1) (
( 0,5).(2) 1,2
) 5
2
.
s
t t dt t dt mn
dF
E t
dt

    
 
II.3. Application aux réacteurs idéaux
II.3.1. Réacteur parfaitement Agité.
A/ Cas d'une réponse à un échelon :
Entrée = Sortie + Accumulation
Bilan de matière sur le traceur
 
. . .
o R o
R
dC Q dC
Q C Q C V C C
dt V dt
    
Après séparation et intégration
UMBB-FSI-DGP
 
 
0
0 0
. ln
t C
o
R o o
C
C C
Q dC t
dt
V C C C 


   

 
1 1
t t
o
o
C
e C C e
C
 
   
 
   
   
 
    
 
 
 
UMBB-FSI-DGP
 
( )
( ) 1 11
t
o
C t
F t e
C

 

 
 
   
Ou en fonction du temps réduit
( )
( ) 1 e
F 
 
 
Remarque:
Dans un réacteur parfaitement agité
s
t 

Transformation de F(t) en E(t)
( ) 1
t
F t e 
 

 
 
 
 
) 1
1
( . 2
t
dF
E t e
dt



 
Puisque
( )
E e 
 

En fonction du temps réduit
( ) . ( )
E E t
 

Donc:
UMBB-FSI-DGP
A/Cas d'une réponse impulsionnelle
Dans ce cas pour un t > 0, il ne rentre pas de traceur dans le réacteur, l’équation de
bilan est donc :
0 . R
dC
Q C V
dt
 
 
( )
e 13
t
o
C t
C

 

 
 

1 ( )
( ) . ( 4)
o
C t
E t Equation
C


1
(14)
( ) e
t
E t 

 

 
 

D’autre part E( ) .E(t) = e (15)

  

UMBB-FSI-DGP
puisque
R
Q dC
dt
V C
   
ln
C t t
Co 

Détermination du temps de séjour moyen
0
( )
0 0
0
0
( )
. . .
( .
( )
)
.
) .
( .
s s
t
O
t
O
t t dt
t
C
t dt
d
dt C e
C e
E t
t t
t
C dt


 





  
 

 
On a:
( )
2
0
. . . .
t
O o
t C e dt C






D’où
2
.
(16)
.
o
s
o
C
t
C



 
UMBB-FSI-DGP
) ( )
0
(
0
. . . (0 1) .
. . O
O O O
t t
C e e C
t C
d C


  



 
 
     
 
 

Intégration par partie
II.3.2. Réacteur piston
Dans le cas d’un écoulement Piston, tous les signaux (échelon,
impulsion) entrant sont donc transmis sans déformation et se retrouvent
décaler d’un temps t = τ
 
 
1 0
0 0
t pour t
t pour t


 
 
tel que :  
t Fonctionde Dirac

Exemple: cas d’une injection impulsion
UMBB-FSI-DGP
II.4.Diagnostic du mauvais fonctionnement d’un réacteur
La mesure de la DTS par la méthode des traceurs peut conduire à des
indications précieuses sur le disfonctionnement des réacteurs.
Si on injecte sous forme d’impulsion no moles d’un traceur dans un
réacteur de volume VR, parcouru en régime permanent par un débit QV d’un
fluide incompressible, le temps de passage est donc, τ=VR/QV et le temps de
séjour moyen est t
1ér Cas : L’existence d’un volume mort (Vm) s
t 

UMBB-FSI-DGP
VR = VA (accessible) + Vm(Stagnant)
1 1 (17)
S
m A
R R
V V t
V V 
   
Conséquence : Si il existe un lent échange entre VA et Vm on observe une trainée sur la
courbe de sortie C
s
t 

2ér Cas : court circuit
Qo = Q + QC
Qo : Débit d’entrée dans le réacteur
Qc : Débit de court circuit
Q : débit dans le réacteur
UMBB-FSI-DGP
1
o C C
o
o o o o
Q
Q Q Q
Q V
Q
Q Q Q Q
V
    
1 (18)
s
Qc
Qo t

 
Conséquence : Cela signifie qu’il existe un court circuit qui apparait à des
valeurs de temps de séjour très faibles. Le temps de séjour moyen correspond
à une valeur du débit volumique égale à la différence entre le débit Qo et le
débit de court circuit Qc .
UMBB-FSI-DGP
UMBB-FSI-DGP
Exemple :
Un test de traçage a été effectué sur un réacteur de volume V = 150 m3 ,
alimenté par un débit d’eau de 10 m3/mn. La réponse à une impulsion de Dirac a
donnée les résultats suivants rassemblés dans le tableau ci-dessous.
t(mn) 0 5 10 15 20 25 30 35
C(t) 0 3 5 5 4 2 1 0
Déterminez E(t), E(θ)
- temps de passage τ= V/Q = 150/10= 15 mn
Les intervalles de temps sont constants, on calcul le temps de séjour moyenne
et la variance d’après les équations suivantes
UMBB-FSI-DGP
0
0
. .
. .
.
i
s
t C dt
t Ci t
t
C dt



 


 
.
i
Ci t


 
 
 
.
5
0.0 3.5 10.5 15.5 20.4 25.2 30.1 35.0 300
15
0 3 5 5 4 2 1 20
i t
i
i
i
s
t Ci
t C mn
Ci
t mn
   
      
  
     



2
2
. .
i i i
t C t



.
i i
C t

 2
2 2
.
i i
s s
i
t C
t t
C
 
  



Détermination de la variance
2 2 2 2 2 2
2 2 2
t
5 .3 10 .5 15 .5 20 .4 25 .2 30 .1 5450
15 225 47.5mn
20 20
    
     
2
2
2
( ) 47,5
0,21
225
t
t


   
Les résultats montrent que le réacteur fonctionne correctement et ne présente ni
zone morte ni court circuit. La valeur de la variance (0.21) fait penser à un
comportement plus proche du réacteur piston que d’un réacteur continu parfaitement
agité.
UMBB-FSI-DGP
E(t) = C(t)/Co,
    3
0
. . 5 20 100 /
o i i
C C dt Ci t t Ci x Mol m

      
 

Détermination de E(t) et E()
t(mn) 0 5 10 15 20 25 30 35
C(t) 0 3 5 5 4 2 1 0
θ 0 0,33 0,66 1 1,33 1,66 2 2,33
E(t) 0 0,03 0,05 0,05 0,04 0,02 0,01 0
E(θ) 0 0,45 0,75 0,75 0,6 0,3 0,15 0
s s
E( ) = t . E(t), i = ti/t
 
UMBB-FSI-DGP
UMBB-FSI-DGP
II.5.3. Détermination de la conversion dans les réacteurs non idéaux
Pour évaluer le taux de conversion d’un réactif, quatre facteurs doivent être connus.
1-L’équation cinétique de la réaction
2- La distribution des temps de séjour du fluide dans le réacteur
3- le degré de ségrégation du fluide
4- la précocité du mélange
Dans le cas d’une réaction d’ordre 1, la vitesse est une fonction linéaire de la
concentration. Les facteurs 3 et 4 non aucun effet sur le taux de la conversion.
Pour le réactif A dans le courant de sortie, la concentration moyenne de réactif
en sortie (CAS ) est donnée par la somme des produits de CA restant dans un
élément d’âge compris entre ts et ts + dts par la fraction du courant de sortie de cet
âge. Soit :
0
lim tan '
( )
t
tousleséléments
fluideàla sortie
A
fraction du fluide
concentration concentration du réactif
àla sortieayant
moyennedu réactif res t dansl élément
séjournée
fluideentret et t t
àla sortie C
 

 
   
   
   
   
 
 
 entre
t et t t
 
 
 
 
 
 
 
UMBB-FSI-DGP
0
. ( ). . ( ).
AS A A
touslesages
Ao Ao Ao
C C
C
E t dt E t t
C C C

   


En fonction du taux de conversion
0
1 . ( ). (20)
AS A
AS
Ao Ao
C
C
X E t dt
C C

   
0
. ( ). (19)
AS A
C C E t dt

 
la concentration moyenne de réactif en sortie (CAS ) est donnée par
UMBB-FSI-DGP
Exemple cas d’un réacteur fermé nous avons
A/ Réaction d’ordre zéro :r = K
( , )
A
A
dC
r C T k
dt
  
.
1
A
Ao Ao
C k t
C C
 
Après séparation et intégration
0
.
1 1 . ( ).
AS
AS
Ao Ao
C k t
X E t dt
C C

 
   
 
 

L’équation (20) s’écrit donc:
0
0
0 0 0
.
. A A
A A
A A A
C C k t
C C k t
C C C
    
UMBB-FSI-DGP
1
( ) e
t
E t 

 

 
 

Puisque
0
1 .
1 1 . .
t
AS
AS
Ao Ao
C k t
X e dt
C C




 
   
 
 

B/- Réaction de premier ordre : r = k.CA
.
A
t
A k
A
Ao
C
dC
kC
dt
e
C

 
 
1
0
1
1 .
K t
AS
X e dt


 
  
 
 
  
1
.
0 0
1 1
1 . . .
K t
t
AS k t
AS
Ao
C
X e e dt e dt
C


 
 
   
 

  
   
 
UMBB-FSI-DGP
C/ Réaction de second ordre : r =k.CA
2
2
0
1 1
.
A
A
A A
dC
kC k t
dt C C
    
1
1 . .
A
Ao Ao
C
C k C t


0
1 1
1 .
1 . .
t
AS
AS
Ao AO
C
X e dt
C k t C




  


D/ Réaction d’ordre n
1
1 1
1 ( 1). .
n n
A
Ao
Ao
C
n C k t
C
 
 
  
 
1
1 1
0
1
1 1 ( 1). .
t
AS n n
AS Ao
Ao
C
X n C k t e dt
C




 
 
    
 

UMBB-FSI-DGP
T(mn) 0 5 10 15 20 25 30 35
C(mg/l) 0 3 5 5 4 2 1 0
L’étude expérimentale de la DTS à une injection impulsion dans un
récipient donne les résultats suivants.
1/ Calculer le temps de séjours moyen du fluide et représenter
graphiquement l’évolution de E(t).
Le même récipient a été utilisé comme un réacteur piston pour la
décomposition d’un liquide, tel que l’équation cinétique vaut : -rA = k.CA telle
que k= 0,307 mn-1
2/ Trouver la fraction de réactif non convertie dans le réacteur réel et
comparer ceci avec la fraction non convertie dans un réacteur à écoulement
piston de même taille.
UMBB-FSI-DGP
Détermination du temps de séjour
0
0
. .
. .
.
i
s
t C dt
t Ci t
t
C dt



 


 
.
i
Ci t


 
 
 
.
5
i t
i
i
i
t Ci
t C mn
Ci
   



5.3 5.10 5.15 4.20 2.25 1.30
15
3 5 5 4 4 2 1
s
t mn
    
 
     
La concentration totale injectée
   
0
. . 3 5 5 4 2 1 .5 100 . /
i
surface C dt Ci t mg mn l

         


Donc : E(t) = C(t)/Co
t (mn) 0 5 10 15 20 25 30 35
E(t) 0 0,03 0,053 0,05 0,04 0,02 0,01 0
UMBB-FSI-DGP
A A
A0 A0
C C
0 A A
R 0
C C
A A A
Q dC dC
V = = - Q
r(C ,T) k.C

 
2/ Bilan de matière pour un réacteur piston (cas d’une réaction d’ordre 1:
AS
A0
C
k.
A A A
C A Ao Ao
dC C C
= - .k ln e
k.C C C
 
      

La fraction de réactif non convertie dans un réacteur à écoulement piston est
donnée par AS 0,307.15
A
AS
Ao Ao
C
C
1 X e 0.01
C C

    
XA= 0,99
- Pour le réacteur réel, la concentration moyenne est donnée
( . )
0
. ( ). . ( ).
AS k t
As
A
Ao Ao AO
C
C
C
E t dt e E t t R
C C C


    
 

ts (min) E(t) k.t e(-k.t) e(-k.t).E(t).Δt
0 0
5 0,03 1,535 0,2154 0,0323
10 0,05 3,07 0,0464 0,0116
15 0,05 4,605 0,0100 0,0025
20 0,04 6,14 0,00215 0,00043
25 0,02 7,68 0,000462 0,001
30 0,01 9,21 0,0001 0
somme = 0,04683
R
La fraction de réactif non convertie dans un réacteur réel est :
AS
Ao
C
0,047
C

0,953
AS
X 
UMBB-FSI-DGP
II.5. Modélisation des écoulements non idéaux.
L’objectif de la modélisation de l’écoulement dans les réacteurs réels
est d’obtenir une fonction globale de la distribution des temps de séjour des
molécules; cette fonction couplée à la vitesse de la réaction nous permettra
lors des extrapolations de prévoir l’avancement de la réaction en sortie du
réacteur:
1- Le modèle à dispersion axiale proche de l’écoulement piston (modèle
mixte).
2- Le modèle des mélangeurs en, cascade, extension du réacteur
parfaitement agité.
3- Le modèle piston avec recyclage.
D’autres modèles sont aussi utilisés :
UMBB-FSI-DGP
II.5.1. Principe de la modélisation des réacteurs réels
Le principe de la modélisation des écoulements des réacteurs réels
consiste à associer des types d’écoulements, correspondant à des réacteurs
idéaux (Piston, parfaitement agité) selon un schéma de fonctionnement qui
met en œuvre différents modes d’enchainement
II.5.1.1. Fonction de transfert.
Considérons le réacteur comme une boite noire muni d’une entrée et
une sortie. Soit X(t) le signal d’entrée qui se converti en signal de sortie
après avoir traversé le réacteur. Cette transformation a été effectuée par le
type de l’écoulement dans la boite noir (réacteur).
Il est donc possible de définir la fonction de transfert G(p) du réacteur,
Y(p)
G(p)
X(p)

UMBB-FSI-DGP
Un réacteur réel peut être considéré comme un système complexe
constitué de différents éléments correspondant à différents types d’écoulement,
chacun caractérisé par une fonction de transfert.(voir exemple).
A/ Enchainement en série :
Plusieurs éléments enchainés en série
G1(p) G3(p)
G2(p)
QV QV
La fonction de transfert global G(p) est le produit de chacune des fonctions
de transfert.
G(p) = G(p1).G(p2).G(p3)
UMBB-FSI-DGP
B/ Enchainement en parallèle :
G1(p)
G2(p)
QV QV
αQV
(1-α)QV
G(p) = α.G(p1) +(1-α).G(p2)
C/ Enchainement avec recyclage :
G1(p)
G2(p)
QV
QV
(1+R)QV
R.QV
1
1 2
G(p )
G(p)
1 R R.G (p).G (p)

 
UMBB-FSI-DGP
D/ Enchainement échange G1(p)
G2(p)
QV
QV
α.QV
1
1 2
G(p )
G(p)
1 .G (p)G (p)

   
Exemple :
Courbe E : Si le signal d’entrée est une impulsion de Dirac X(p)=1, donc G(p) = Y(p)
E(t) = L-1[G(p)]
Courbe F : Le signal d’entrée est un échelon, la transformé de Laplace X(p) = 1/p , donc
G(p) = p.Y(p).
Le signal de sortie Y(p) = F(p) = G(p)/p
F = L-1 (G(p)/p)
UMBB-FSI-DGP
2
2 2
t 2
p 0
d G(p)
Variance lim / G(p)
dp

 
      
 
pt
0
F(p) f (t).e .dt


 
- Moyenne et Variance
Si la fonction G(p) est connue, la moyenne et la variance de la courbe DTS peuvent être
déterminées par les expressions suivantes.
p 0
dG(p)
moyenne (t) lim / G(p)
dp

 
    
 
- Transformée de Laplace et inverse.
Si f(t) désigne une fonction dans le domaine des réels, sa transformée de Laplace
est définie par la relation
UMBB-FSI-DGP
Exemple :
  pt
1
0
1
L (t) 1.e .dt
p


  

at at pt (p a)t
1 0
0
1 1
L e (t) e .e .dt e
p a p a


    

   
  
   
 

  pt
1
0
L (t) (t).e .dt 1


   

La transformée de Laplace inverse unilatérale f(t) d’une fonction F(p) est définie par :
 
1 pt
1
L F(p) f (t) F(p).e .dp
2. .j



 
 
UMBB-FSI-DGP
Transformées de Laplace usuelles
F(p) F(t) F(p) F(t)
1 (t) 1/(p2 + a2) 1/a(sin at)
1/p Echelon 1 1/(p2 - a2) 1/a(sinh at)
1/(p-a) eat p/(p2 - a2) Cosh at
1/(p-a)(p-b)
a≠b
(eat – ebt)/(a-b) p/(p2 + a2) Cos at
1/p(p-a) (eat – 1)/a δ(t-τ) e-τp
1/(p-a)n (tn-1.eat )/(n-
1) !
1/p2 t
p/(p-a)(p-b)
a≠b
(a.eat –
b.ebt)/(a-b)
1/pn tn-1/(n-1) !
UMBB-FSI-DGP
II.5.2. Les modèles d’écoulement
II.5.2.1 Modèle d’un réacteur parfaitement agité
Bilan de matière pour une injection impulsion:
0 . R
dC
Q C V
dt
 
( )
e
t
o
C t
C

 

 
 

La solution:
1
( ) .e
t
E t 

 

 
 

Puisque :
1 ( )
( ) .
o
C t
E t
C

 
  
 
Donc
E(θ) = τ.E(t) E( ) e
 
donc
UMBB-FSI-DGP
Détermination de la fonction de transfert globale
( )
( )
( )
Y p
G p
X p

Si le signal d’entrée est une impulsion de Dirac X (p) =1, donc G (p) = Y (p).
  pt pt
0 0
G(p) L f (t) f (t).e .dt E(t).e .dt
 
 
  
 
t 1
p t
pt
0 0
1 1
G(p) e .e .dt e .dt
1 1
G(p) .
p
1
p
1 1 .
   
 
  
   

 
   
 
 
 
 
 
 
  


 
 
 
UMBB-FSI-DGP
2
t , 1
E( ) e F 1 e
 
    
   
II.5.2.2 Modèle du réacteur piston
Le réacteur réel est considéré comme un RP dont les caractéristiques sont les
suivantes.
2
t , 0
E(t) (t ) F H(t )
    
      
p
G(p) e

UMBB-FSI-DGP
II.5.2.3 Modèle des réacteurs parfaitement agité en cascade
----
V1
τ1
V2
τ2
V3
τ3
Vn
τn
V, τ
C0 CS
C0 C2
C1 C3 Cn
Cn-1
τ1 = τ2 = τ3 = ….= τN. Le temps de séjour moyen total τ est égal à N. τN.
Nous avons montré que pour un RPA la fonction de transfert G(p) est:
i
i
1
G (p)
1 .p

 
Pour N réacteur en série la fonction de transfert globale est :
G(p) = G(p1).G(p2).G(p3)……..G(pn)
UMBB-FSI-DGP
1 2 3 N
N
1 1 1 1
G(p) . . .........
1 .p 1 .p 1 .p 1 .p
1 1 1 1 1
G(p) . . .........
1 .p 1 .p 1 .p 1 .p 1 .p
N N N N N

       
 
    
 
    
 
 
Le passage dans le domaine des réels par l’opérateur inverse L-1 permet d’obtenir
l’expression de la courbe E(t) et donc E(θ) (voir table)
 
 
N N
.t
1 N 1
N 1
L G(p) E(t) . .t .e
N 1 !
 
 
  
 
 
  
 
 
En fonction du temps réduit E(θ) = τ.E(t)
 
 
N 1 N
N
E( ) . N. .e
N 1 !
  
 
  
 

 
UMBB-FSI-DGP
Le nombre (N) de réacteur RCPA peut être estimé à partir de la
courbe E(θ) en fonction de θ tirées d’expériences réalisées
avec des traceurs. Il peut être évalué à partir de la valeur de la
variance de la courbe (θ)2, de la valeur maximale de E(θ) ou de
celle de θ au maximum de la courbe.
max
1
1
N
  
2
2
2
1 t
N t


    
max
( ) 5
2. 1)
N
E pour N
N


 

UMBB-FSI-DGP
fonction E(θ) dans une série de N RCPA : influence du nombre N
UMBB-FSI-DGP
fonction E(θ) dans une série de N RCPA : influence du nombre N
UMBB-FSI-DGP
II.5.2.4 Le modèle piston à dispersion axiale
2
A A
L 2
C C
D
t x
 

 
Ce modèle, qui s’applique dans le cas d’un faible écart à l’écoulement
piston, repose sur la superposition d’un écoulement piston convectif de
vitesse « U » et d’une dispersion aléatoire dans la direction axiale
(x)(dispersion longitudinale), causant donc un mélange entre les tranches
dV du réacteur piston. Cette dispersion aléatoire obéit à la seconde
équation de diffusion de Fick
UMBB-FSI-DGP
Bilan
A
2 2
A A A
L r
2 2
A
dC dC dC
1
D . D .
dz dr r dr
dC
.U
d
d
C
d
z t
 

 
 

 
Dispersion + Convection + Production = Accumulation
DL et Dr sont respectivement les coefficients de dispersion axiale et radiale qui
caractérisent le degré de mélange dans l’écoulement [L2T-1].
Dans certains cas, particulièrement lorsque le rayon du réacteur est petit
devant la longueur, on peut négliger l’effet de la dispersion radiale devant
celui de la dispersion axiale.
L’équation devient alors :
2
A A A
L 2
dC dC dC
D . .U
dz dz dt
 
UMBB-FSI-DGP
forme adimensionnelle,
2 2
L A A A A A
2 2
D d C dC d C dC dC
dC 1
. ou .
U.L dZ dZ d Pe dZ dZ d
   
 
tels que
t t
 et Pe : nombre de Péclet
DL/U.L caractérise l’importance de la dispersion axiale dans le réacteur
-Si : DL/U.L << la dispersion axiale est négligeable et l’écoulement est de type piston.
-Si : DL/U.L >> est importante et l’écoulement es similaire à l’écoulement dans un
RCPA
UMBB-FSI-DGP
Pour cette équation de transport, les conditions aux limites sont de 2 types possibles
(ouvert ou fermé), menant à 4 configurations possibles pour le réacteur
Dans le cas de conditions aux limites ouvert-ouvert, il existe une solution analytique à
l’équation de transport et la fonction DTS pour les faibles valeurs de dispersion
DL/U.L < 0,01) pour lesquelles ce modèle s’applique s’écrit rigoureusement :
 
2
Pe. 1
1 pe
E( ) exp
2 . 4.
 

  
 
  
 
 
UMBB-FSI-DGP
UMBB-FSI-DGP
La valeur de DL/U.L peut être tirée de la variance ( θ2) de la courbe, ou de la valeur
maximum de E(θ) notée E(θ)max
2 2
L
max
3
L
D D.L 1
2 ou 2 et E( )
U.L U D
4. .
U.L

   
     
 
 
 
   
  
 
Remarque :
Relation entre le modèle piston avec dispersion axiale et modèle N Réacteurs en
série. Pour des valeurs de Pe et N élevées ces deux modèles coïncident, tel que :
Pe = 2N
UMBB-FSI-DGP
II.5.2.5. Modèle RPA avec zone morte et court-circuit
Dans ce cas le réacteur est constitué d’une zone active de volume m.V et d’une zone
morte de volume (1-m).V et d’un court circuit de débit (1-n) Qv
QV
(1-m)V
m.V
QV
n.QV
(1-n).QV
n.t n
2 2
m. m
n n
E(t) e (1 n) (t), E( ) e (1 n) (t).
.m m
  

         

2 2 2 2
t m. , (t) m . 1
n
 
       
 
 
UMBB-FSI-DGP
II.5.2.6. Modèle N réacteurs parfaitement agité en série avec zone morte.
Ce modèle à deux paramètres, permet de déterminer la fraction de zone morte du
réacteur réel.
 
N
N
N 1 m
N
1 N
E( ) . .e
m N 1 !



  

2 2
2
max
m . 1
t m. , (t) , m(1 )
N N

        
UMBB-FSI-DGP
II.5.2.7. Modèle de deux réacteurs parfaitement agités en série de volumes différents
Le Modèle représenté considère que le réacteur réel est équivalent à deux RPA en
série, mais de volume différents V1 et V2
V2
V1
Q Q
 
1
1
1
1
E( ) e e
1
 
 
 
 
  
 
 
 
  
 
  
 
 
2
2 1
max max
2 2
1 .ln
, , E( ) 1 ,
1 1


   
           
   

Réacteurs réels

  • 1.
    Réacteurs non idéaux Distributiondes temps de séjour- Modélisation des réacteurs I. Introduction: - L’objet de ce cours est de connaitre la nature de l’écoulement des phases afin de quantifier son rôle sur les performances du réacteur sur la réaction chimique ou biologique. - L’approche utilisée pour la caractérisation de l’écoulement en régime permanent consiste à marquer, dénombrer et connaitre la distribution des temps de séjour (DTS) des particules fluides. UMBB-FSI-DGP
  • 2.
    Lors d'un écoulementd'un fluide à travers un récipient de volume V, le temps de séjour de diverses molécules d'un fluide dépend directement du type d'écoulement et de la géométrie de l’installation. Les temps de séjour (ts) peuvent s'écarter considérablement du temps de passage ().  V Q  IL existe donc une distribution des temps de séjour autour du temps de séjour moyen qui dépend de l’hydrodynamique de d'écoulement et du volume et de la géométrie du réacteur. Les performances (conversion, sélectivité, rendement etc) du réacteur seront souvent liées à cette distribution des temps de séjours UMBB-FSI-DGP
  • 3.
    Exemples Cas des réacteursagités - Dans un réacteur le mélange réactionnel peut stagner dans certaines zones . - Une partie du fluide sort directement du réacteur sans se mélanger avec le fluide présent dans le réacteur. Cas des réacteurs pistons -L’existence à l’entrée et la sortie du réacteur des tourbillons qui provoque un mélange dans la direction longitudinale. -Le régime d’écoulement du fluide est laminaire, UMBB-FSI-DGP
  • 4.
    III. DISTRIBUTION DESTEMPS DE SEJOUR III.1. Notions d’âge et d’espérances de vie, α + λ = ts III.2. Notion de distribution du temps de séjour: On doit retrouver la totalité des cubes (traceur) à la sortie     (1)   ∞ ∞ 0 0 X .dt = Y .dt t t UMBB-FSI-DGP
  • 5.
    III.2.1. Définition dela distribution du temps de séjour : La distribution des temps de séjour (DTS) est généralement définie par une fonction E(t) telle que E(t).dt représente la fraction des molécules en sortie du réacteur ayant séjourné entre deux instants t et t+dt (figure 2). Figure 2. La distribution des temps de séjour DTS UMBB-FSI-DGP
  • 6.
    III.2.2. Propriétés dela fonction E(t) [T-1]: 0 ( ). 1 E t dt    Représente la fraction des molécules ayant séjourné tout le temps dans le réacteur 1 0 ( ). t E t dt  Représente la fraction des molécules qui quitte le réacteur avec un âge plus jeune que t1 0 ( ). 1 ( ). t t E t dt E t dt      Représente la fraction des molécules ayant séjourné plus longtemps que t 1 0 . ( ). s t t E t dt      Représente le moment d’ordre 1 est appelé moyenne « temps de séjour moyen où temps de séjour si la densité du système est constante".   2 2 0 . ( ). t t E t dt      Représente le moment centré d'ordre 2 (la variance) qui indique la dispersion autour de la moyenne. UMBB-FSI-DGP
  • 7.
    III.2.3. Détermination expérimentalede la DTS Pour un réacteur et un débit donné, La fonction E(t) peut être déterminée expérimentalement, par l’injectant d’un traceur à l’entrée, sans perturber le régime d’écoulement, et à examiner la réponse de ce signal à la sortie du réacteur par l’intermédiaire d’un détecteur qui doit avoir un temps de réponse négligeable devant le temps de réponse du réacteur. Les traceurs utilisés pour déterminer la distribution des temps de séjour, doivent être des substances quantifiables, caractérisée par une propriété particulière telles que : Liquides (colorants, sels, radioactifs et liquides organiques ou minérales). Gazeux (CO2, H2, He…etc. UMBB-FSI-DGP
  • 8.
    Caractéristiques du traceur: - Le traceur choisi ne doit pas modifier les propriétés physiques du milieu (même densité, même viscosité). - Le traceur ne doit pas modifier les conditions hydrodynamiques. - ne doit pas réagir chimiquement pendant cette étude. - détectable en sortie par des appareils de mesure: conductimètre, pH mètre, chromatographie, colorimétrie etc. -Injection du traceur à l’entrée du réacteur (en zone de turbulente) et détection en sortie (en zone de turbulente). - Utilisation de signaux faciles (impulsion, échelon,…) . UMBB-FSI-DGP
  • 9.
    III.2.4. Les différentstypes d’injection En général, on utilise deux (2) fonctions d’introduction : Impulsion (pulse) et Echelon (step). III.2.4.1. Injection par impulsion (Dirac) Soit un réacteur alimenté en continue par un débit Q (régime permanent). A l’entrée du réacteur, considérons l’injection instantanée (Δt <1% .τ) d’un nombre de moles n0 d’un traceur. Si C(t) représente l’évolution de la concentration du traceur en fonction du temps à la sortie du réacteur alors :   (2) o C t C = = f(t) C est appelée courbe C. En générale la courbe C=f(t) est représentée en terme de temps réduits sous forme C=f(θ), tel que  = t/ UMBB-FSI-DGP
  • 10.
    Pendant l’intervalle detemps dt entre t et t + dt, le nombre de moles qui sort du réacteur est égale à : n = Q.C(t).dt Le nombre total de moles (no) introduites dans le réacteur s’exprime par la relation 0 . ( ). o n Q C t dt    Q: Débit volumique UMBB-FSI-DGP
  • 11.
    la fonction dedistribution E(t) est définie par le rapport entre la quantité de traceur (n) sortant pendant le temps dt et la quantité totale (no) de traceur introduit. Elle s’exprime par la relation 0 ( ) . ( ). ( ).dt . ( ). o o o n n C t Q C t dt V E t n n C Q C t dt V      si le débit est uniforme, Q=Constant     (3)  +∞ 0 C E(t ) = C .dt t t Cette fonction peut aussi s’écrire à partir de l’équation précédente : ( ). E t dt . ( ). Q C t dt  0 1 ( . ( ) ( ) . . . ) . (4) ) . ( . o o o Q Q C t C t n C Q C t C V t dt C       Remarque : Sous forme discrétisée 1 0 ( ). . N i i i C t dt C t       UMBB-FSI-DGP t = Cte
  • 12.
    III.2.4.1.1 Caractéristiques d’unedistribution (moyenne et variance) A/ Moyenne (temps de séjour moyen) Elle représente le temps de séjour moyen     0 . . ) (5 ( ) s t dt E t         0 0 C t t. .d t t C d t t . = Sous forme discrétisée . . i i i s t C t t     1 . N i i i C t          1 1 1 . N i i i N N i i i t C C        Remarque : La deuxième forme dite discrétisée est généralement employée quand on dispose de n points expérimentaux (Ci mesurée à ti), Δti représente l’intervalle entre deux mesures). UMBB-FSI-DGP
  • 13.
    B/ La variance(σ2) Elle caractérise l’étalement de la distribution autour de la moyenne   2 2 2 2 0 0 . ( ). t . ( ). s s t t E t dt E t dt t          UMBB-FSI-DGP   2 2 2 2 0 0 0 0 . ( ). t . ( . ( ) 2 . ( ) ). s s s t E t dt E t t t E t dt E t t dt d t t               2 2 2 0 t . ( ). 2 . .1 s s E t dt t t t       2 2 0 0 2 C( ) C t . . (6 ( . ) ) s t t d dt t t       
  • 14.
    UMBB-FSI-DGP Remarque : Sousforme discrétisée 2 2 2 2 0 0 t .C( ). . . C( ). i i i t dt t C t t t dt            1 . N i i i C t          2 2 2 1 1 1 . N i i i N N i i i t C t t C           
  • 15.
    -Une autre fonctionde distribution des temps de séjour E(θ) est obtenue par remplacement du temps t des courbes E(t) par le temps réduit: s s t dt d'ou t t   θ dθ La relation entre E(t) et E(θ) est déterminé sur la base que les deux fonctions représentent physiquement à la sortie du fluide la même fraction correspondant à un temps de séjour t. C'est-à-dire : E( ) .E(t) (7) s t   UMBB-FSI-DGP E(θ).dθ = E(t).dt
  • 16.
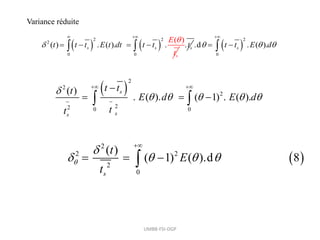
    UMBB-FSI-DGP Variance réduite    2 2 2 0 ( ( ) ( ) . ). . s s s t t t E t t E d t t t         0 . s t     2 0 .d . ( ). s t t E d          2 2 2 2 2 0 0 ( ) . ( ). ( 1) . ( ). s s s t t t E d E d t t                   2 2 2 2 0 ( ) ( 1) ( ).d 8 s t E t           
  • 17.
    Exemple d’application Exemple : Untraceur est injecté sous forme d’impulsion dans une l’alimentation à débit constant d’un liquide dans un réacteur. Le tableau ci-après donne l’évolution de la concentration C (g/l) du traceur en sortie de ce réacteur en fonction du temps t (mn). t t 1/ Déterminer le temps de séjour moyen du fluide dans le récipient 2/tracer les fonctions de distribution E(t) et E(θ) où θ est le temps réduit t(mn) 0 2 4 6 8 10 12 14 16 C(g/l 0 0,6 1 1 0,8 0,4 0,15 0,05 0 UMBB-FSI-DGP Solution : 1/ Le temps de séjour moyen (τ) dans le récipient est donné par l’équation :
  • 18.
    UMBB-FSI-DGP        0 0 . . . . . 2 . . i i t i i i i t C dt t Ci t t Ci t t C mn Ci t Ci C dt                 (0.0) (2.0,6) (4.1) (6.1) (8.0,8) (10.0,4) (12.0,15) (14.0,05) (16.0) 24,1 6,025 0 0,6 1 1 0,8 0,4 0,15 0,05 0 4 t mn                    2/ les valeurs de E(t) sont donnée par la relation suivante 0 ( ) ( ) ( ) ( ) ( ) ( ) ( ). ( ) 2.4 8 ( ). i i i i i i i i C t C t C t C t C t E t C t t t C t C t dt            6,025 s i i t t t    ( ) . ( ) 6,025. ( ) E E t E t     Les données de E(t) sont reportées dans le tableau suivant et la fonction E(t) et E(θ) sont représentées dans la figure 7 (a, b),
  • 19.
    UMBB-FSI-DGP T(mn) 0 24 6 8 10 12 14 16 E(t)mn-1 0 0,075 0,125 0,125 0,1 0,05 0,018 0,006 0 θ 0 0,332 0,664 1 1,33 1,66 1,99 2,32 2,66 E(θ) 0 0,45 0,75 0,75 0,6 0,3 0,115 0,037 0 Figures 7 : courbes C(t), E(t) et E(θ)
  • 20.
    III.2.4.2. Injection échelon Dansune injection échelon, la concentration du traceur à l'entrée du réacteur (Mol/l) passe brusquement de 0 à C0. La concentration du traceur en sortie du réacteur est mesurée et peut être divisée par la concentration initiale C0 (en général connue) pour obtenir la courbe adimensionnelle F qui est comprise entre 0 et 1 (figure 4). UMBB-FSI-DGP
  • 21.
    Figure 5 (aet b) UMBB-FSI-DGP
  • 22.
    La fonction distributioncumulée F(t) est définie comme étant la fraction de débit qui est restée moins de t dans le réacteur (plus jeune que t).   0 0 ( ) ( ) ( ). (9) ( ). t o C t C t F t E t dt C C t dt         ( ) 10 dF E t dt  On peut donc calculer E(t) à partir de F(t) A partir de la relation E(t) = dF(t)/dt, l’expérience d’injection échelon donne donc accès simplement à la fonction de distribution des temps de séjour E(t) (figure 6). UMBB-FSI-DGP 0 ( ) t F E t dt 
  • 23.
  • 24.
    Exemple 1 50% desmolécules en sortie ayant séjournées moins longtemps que 40 s Exemple 2: Pour un réacteur réel, les courbes F sont indiquées ci-dessous, déterminer le temps de séjour UMBB-FSI-DGP 0 ( ) ( ). , ( ). t F t E t dt dF E t dt    Puisque   2 0 0 1 . . . (0,5).(1) ( ( 0,5).(2) 1,2 ) 5 2 . s t t dt t dt mn dF E t dt        
  • 25.
    II.3. Application auxréacteurs idéaux II.3.1. Réacteur parfaitement Agité. A/ Cas d'une réponse à un échelon : Entrée = Sortie + Accumulation Bilan de matière sur le traceur   . . . o R o R dC Q dC Q C Q C V C C dt V dt      Après séparation et intégration UMBB-FSI-DGP     0 0 0 . ln t C o R o o C C C Q dC t dt V C C C           1 1 t t o o C e C C e C                             
  • 26.
    UMBB-FSI-DGP   ( ) () 1 11 t o C t F t e C             Ou en fonction du temps réduit ( ) ( ) 1 e F      Remarque: Dans un réacteur parfaitement agité s t  
  • 27.
    Transformation de F(t)en E(t) ( ) 1 t F t e             ) 1 1 ( . 2 t dF E t e dt      Puisque ( ) E e     En fonction du temps réduit ( ) . ( ) E E t    Donc: UMBB-FSI-DGP
  • 28.
    A/Cas d'une réponseimpulsionnelle Dans ce cas pour un t > 0, il ne rentre pas de traceur dans le réacteur, l’équation de bilan est donc : 0 . R dC Q C V dt     ( ) e 13 t o C t C          1 ( ) ( ) . ( 4) o C t E t Equation C   1 (14) ( ) e t E t           D’autre part E( ) .E(t) = e (15)      UMBB-FSI-DGP puisque R Q dC dt V C     ln C t t Co  
  • 29.
    Détermination du tempsde séjour moyen 0 ( ) 0 0 0 0 ( ) . . . ( . ( ) ) . ) . ( . s s t O t O t t dt t C t dt d dt C e C e E t t t t C dt                  On a: ( ) 2 0 . . . . t O o t C e dt C       D’où 2 . (16) . o s o C t C      UMBB-FSI-DGP ) ( ) 0 ( 0 . . . (0 1) . . . O O O O t t C e e C t C d C                        Intégration par partie
  • 30.
    II.3.2. Réacteur piston Dansle cas d’un écoulement Piston, tous les signaux (échelon, impulsion) entrant sont donc transmis sans déformation et se retrouvent décaler d’un temps t = τ     1 0 0 0 t pour t t pour t       tel que :   t Fonctionde Dirac  Exemple: cas d’une injection impulsion UMBB-FSI-DGP
  • 31.
    II.4.Diagnostic du mauvaisfonctionnement d’un réacteur La mesure de la DTS par la méthode des traceurs peut conduire à des indications précieuses sur le disfonctionnement des réacteurs. Si on injecte sous forme d’impulsion no moles d’un traceur dans un réacteur de volume VR, parcouru en régime permanent par un débit QV d’un fluide incompressible, le temps de passage est donc, τ=VR/QV et le temps de séjour moyen est t 1ér Cas : L’existence d’un volume mort (Vm) s t   UMBB-FSI-DGP
  • 32.
    VR = VA(accessible) + Vm(Stagnant) 1 1 (17) S m A R R V V t V V      Conséquence : Si il existe un lent échange entre VA et Vm on observe une trainée sur la courbe de sortie C s t   2ér Cas : court circuit Qo = Q + QC Qo : Débit d’entrée dans le réacteur Qc : Débit de court circuit Q : débit dans le réacteur UMBB-FSI-DGP
  • 33.
    1 o C C o oo o o Q Q Q Q Q V Q Q Q Q Q V      1 (18) s Qc Qo t    Conséquence : Cela signifie qu’il existe un court circuit qui apparait à des valeurs de temps de séjour très faibles. Le temps de séjour moyen correspond à une valeur du débit volumique égale à la différence entre le débit Qo et le débit de court circuit Qc . UMBB-FSI-DGP
  • 34.
    UMBB-FSI-DGP Exemple : Un testde traçage a été effectué sur un réacteur de volume V = 150 m3 , alimenté par un débit d’eau de 10 m3/mn. La réponse à une impulsion de Dirac a donnée les résultats suivants rassemblés dans le tableau ci-dessous. t(mn) 0 5 10 15 20 25 30 35 C(t) 0 3 5 5 4 2 1 0 Déterminez E(t), E(θ) - temps de passage τ= V/Q = 150/10= 15 mn Les intervalles de temps sont constants, on calcul le temps de séjour moyenne et la variance d’après les équations suivantes
  • 35.
    UMBB-FSI-DGP 0 0 . . . . . i s tC dt t Ci t t C dt          . i Ci t         . 5 0.0 3.5 10.5 15.5 20.4 25.2 30.1 35.0 300 15 0 3 5 5 4 2 1 20 i t i i i s t Ci t C mn Ci t mn                        2 2 . . i i i t C t    . i i C t   2 2 2 . i i s s i t C t t C         Détermination de la variance 2 2 2 2 2 2 2 2 2 t 5 .3 10 .5 15 .5 20 .4 25 .2 30 .1 5450 15 225 47.5mn 20 20            2 2 2 ( ) 47,5 0,21 225 t t       Les résultats montrent que le réacteur fonctionne correctement et ne présente ni zone morte ni court circuit. La valeur de la variance (0.21) fait penser à un comportement plus proche du réacteur piston que d’un réacteur continu parfaitement agité.
  • 36.
    UMBB-FSI-DGP E(t) = C(t)/Co,    3 0 . . 5 20 100 / o i i C C dt Ci t t Ci x Mol m            Détermination de E(t) et E() t(mn) 0 5 10 15 20 25 30 35 C(t) 0 3 5 5 4 2 1 0 θ 0 0,33 0,66 1 1,33 1,66 2 2,33 E(t) 0 0,03 0,05 0,05 0,04 0,02 0,01 0 E(θ) 0 0,45 0,75 0,75 0,6 0,3 0,15 0 s s E( ) = t . E(t), i = ti/t  
  • 37.
  • 38.
    UMBB-FSI-DGP II.5.3. Détermination dela conversion dans les réacteurs non idéaux Pour évaluer le taux de conversion d’un réactif, quatre facteurs doivent être connus. 1-L’équation cinétique de la réaction 2- La distribution des temps de séjour du fluide dans le réacteur 3- le degré de ségrégation du fluide 4- la précocité du mélange Dans le cas d’une réaction d’ordre 1, la vitesse est une fonction linéaire de la concentration. Les facteurs 3 et 4 non aucun effet sur le taux de la conversion. Pour le réactif A dans le courant de sortie, la concentration moyenne de réactif en sortie (CAS ) est donnée par la somme des produits de CA restant dans un élément d’âge compris entre ts et ts + dts par la fraction du courant de sortie de cet âge. Soit : 0 lim tan ' ( ) t tousleséléments fluideàla sortie A fraction du fluide concentration concentration du réactif àla sortieayant moyennedu réactif res t dansl élément séjournée fluideentret et t t àla sortie C                           entre t et t t              
  • 39.
    UMBB-FSI-DGP 0 . ( ).. ( ). AS A A touslesages Ao Ao Ao C C C E t dt E t t C C C        En fonction du taux de conversion 0 1 . ( ). (20) AS A AS Ao Ao C C X E t dt C C      0 . ( ). (19) AS A C C E t dt    la concentration moyenne de réactif en sortie (CAS ) est donnée par
  • 40.
    UMBB-FSI-DGP Exemple cas d’unréacteur fermé nous avons A/ Réaction d’ordre zéro :r = K ( , ) A A dC r C T k dt    . 1 A Ao Ao C k t C C   Après séparation et intégration 0 . 1 1 . ( ). AS AS Ao Ao C k t X E t dt C C             L’équation (20) s’écrit donc: 0 0 0 0 0 . . A A A A A A A C C k t C C k t C C C     
  • 41.
    UMBB-FSI-DGP 1 ( ) e t Et           Puisque 0 1 . 1 1 . . t AS AS Ao Ao C k t X e dt C C                B/- Réaction de premier ordre : r = k.CA . A t A k A Ao C dC kC dt e C      1 0 1 1 . K t AS X e dt               1 . 0 0 1 1 1 . . . K t t AS k t AS Ao C X e e dt e dt C                      
  • 42.
    UMBB-FSI-DGP C/ Réaction desecond ordre : r =k.CA 2 2 0 1 1 . A A A A dC kC k t dt C C      1 1 . . A Ao Ao C C k C t   0 1 1 1 . 1 . . t AS AS Ao AO C X e dt C k t C          D/ Réaction d’ordre n 1 1 1 1 ( 1). . n n A Ao Ao C n C k t C          1 1 1 0 1 1 1 ( 1). . t AS n n AS Ao Ao C X n C k t e dt C                
  • 43.
    UMBB-FSI-DGP T(mn) 0 510 15 20 25 30 35 C(mg/l) 0 3 5 5 4 2 1 0 L’étude expérimentale de la DTS à une injection impulsion dans un récipient donne les résultats suivants. 1/ Calculer le temps de séjours moyen du fluide et représenter graphiquement l’évolution de E(t). Le même récipient a été utilisé comme un réacteur piston pour la décomposition d’un liquide, tel que l’équation cinétique vaut : -rA = k.CA telle que k= 0,307 mn-1 2/ Trouver la fraction de réactif non convertie dans le réacteur réel et comparer ceci avec la fraction non convertie dans un réacteur à écoulement piston de même taille.
  • 44.
    UMBB-FSI-DGP Détermination du tempsde séjour 0 0 . . . . . i s t C dt t Ci t t C dt          . i Ci t         . 5 i t i i i t Ci t C mn Ci        5.3 5.10 5.15 4.20 2.25 1.30 15 3 5 5 4 4 2 1 s t mn              La concentration totale injectée     0 . . 3 5 5 4 2 1 .5 100 . / i surface C dt Ci t mg mn l              Donc : E(t) = C(t)/Co t (mn) 0 5 10 15 20 25 30 35 E(t) 0 0,03 0,053 0,05 0,04 0,02 0,01 0
  • 45.
    UMBB-FSI-DGP A A A0 A0 CC 0 A A R 0 C C A A A Q dC dC V = = - Q r(C ,T) k.C    2/ Bilan de matière pour un réacteur piston (cas d’une réaction d’ordre 1: AS A0 C k. A A A C A Ao Ao dC C C = - .k ln e k.C C C           La fraction de réactif non convertie dans un réacteur à écoulement piston est donnée par AS 0,307.15 A AS Ao Ao C C 1 X e 0.01 C C       XA= 0,99
  • 46.
    - Pour leréacteur réel, la concentration moyenne est donnée ( . ) 0 . ( ). . ( ). AS k t As A Ao Ao AO C C C E t dt e E t t R C C C           ts (min) E(t) k.t e(-k.t) e(-k.t).E(t).Δt 0 0 5 0,03 1,535 0,2154 0,0323 10 0,05 3,07 0,0464 0,0116 15 0,05 4,605 0,0100 0,0025 20 0,04 6,14 0,00215 0,00043 25 0,02 7,68 0,000462 0,001 30 0,01 9,21 0,0001 0 somme = 0,04683 R La fraction de réactif non convertie dans un réacteur réel est : AS Ao C 0,047 C  0,953 AS X 
  • 47.
    UMBB-FSI-DGP II.5. Modélisation desécoulements non idéaux. L’objectif de la modélisation de l’écoulement dans les réacteurs réels est d’obtenir une fonction globale de la distribution des temps de séjour des molécules; cette fonction couplée à la vitesse de la réaction nous permettra lors des extrapolations de prévoir l’avancement de la réaction en sortie du réacteur: 1- Le modèle à dispersion axiale proche de l’écoulement piston (modèle mixte). 2- Le modèle des mélangeurs en, cascade, extension du réacteur parfaitement agité. 3- Le modèle piston avec recyclage. D’autres modèles sont aussi utilisés :
  • 48.
    UMBB-FSI-DGP II.5.1. Principe dela modélisation des réacteurs réels Le principe de la modélisation des écoulements des réacteurs réels consiste à associer des types d’écoulements, correspondant à des réacteurs idéaux (Piston, parfaitement agité) selon un schéma de fonctionnement qui met en œuvre différents modes d’enchainement II.5.1.1. Fonction de transfert. Considérons le réacteur comme une boite noire muni d’une entrée et une sortie. Soit X(t) le signal d’entrée qui se converti en signal de sortie après avoir traversé le réacteur. Cette transformation a été effectuée par le type de l’écoulement dans la boite noir (réacteur). Il est donc possible de définir la fonction de transfert G(p) du réacteur, Y(p) G(p) X(p) 
  • 49.
    UMBB-FSI-DGP Un réacteur réelpeut être considéré comme un système complexe constitué de différents éléments correspondant à différents types d’écoulement, chacun caractérisé par une fonction de transfert.(voir exemple). A/ Enchainement en série : Plusieurs éléments enchainés en série G1(p) G3(p) G2(p) QV QV La fonction de transfert global G(p) est le produit de chacune des fonctions de transfert. G(p) = G(p1).G(p2).G(p3)
  • 50.
    UMBB-FSI-DGP B/ Enchainement enparallèle : G1(p) G2(p) QV QV αQV (1-α)QV G(p) = α.G(p1) +(1-α).G(p2) C/ Enchainement avec recyclage : G1(p) G2(p) QV QV (1+R)QV R.QV 1 1 2 G(p ) G(p) 1 R R.G (p).G (p)   
  • 51.
    UMBB-FSI-DGP D/ Enchainement échangeG1(p) G2(p) QV QV α.QV 1 1 2 G(p ) G(p) 1 .G (p)G (p)      Exemple : Courbe E : Si le signal d’entrée est une impulsion de Dirac X(p)=1, donc G(p) = Y(p) E(t) = L-1[G(p)] Courbe F : Le signal d’entrée est un échelon, la transformé de Laplace X(p) = 1/p , donc G(p) = p.Y(p). Le signal de sortie Y(p) = F(p) = G(p)/p F = L-1 (G(p)/p)
  • 52.
    UMBB-FSI-DGP 2 2 2 t 2 p0 d G(p) Variance lim / G(p) dp             pt 0 F(p) f (t).e .dt     - Moyenne et Variance Si la fonction G(p) est connue, la moyenne et la variance de la courbe DTS peuvent être déterminées par les expressions suivantes. p 0 dG(p) moyenne (t) lim / G(p) dp           - Transformée de Laplace et inverse. Si f(t) désigne une fonction dans le domaine des réels, sa transformée de Laplace est définie par la relation
  • 53.
    UMBB-FSI-DGP Exemple :  pt 1 0 1 L (t) 1.e .dt p       at at pt (p a)t 1 0 0 1 1 L e (t) e .e .dt e p a p a                         pt 1 0 L (t) (t).e .dt 1        La transformée de Laplace inverse unilatérale f(t) d’une fonction F(p) est définie par :   1 pt 1 L F(p) f (t) F(p).e .dp 2. .j       
  • 54.
    UMBB-FSI-DGP Transformées de Laplaceusuelles F(p) F(t) F(p) F(t) 1 (t) 1/(p2 + a2) 1/a(sin at) 1/p Echelon 1 1/(p2 - a2) 1/a(sinh at) 1/(p-a) eat p/(p2 - a2) Cosh at 1/(p-a)(p-b) a≠b (eat – ebt)/(a-b) p/(p2 + a2) Cos at 1/p(p-a) (eat – 1)/a δ(t-τ) e-τp 1/(p-a)n (tn-1.eat )/(n- 1) ! 1/p2 t p/(p-a)(p-b) a≠b (a.eat – b.ebt)/(a-b) 1/pn tn-1/(n-1) !
  • 55.
    UMBB-FSI-DGP II.5.2. Les modèlesd’écoulement II.5.2.1 Modèle d’un réacteur parfaitement agité Bilan de matière pour une injection impulsion: 0 . R dC Q C V dt   ( ) e t o C t C          La solution: 1 ( ) .e t E t           Puisque : 1 ( ) ( ) . o C t E t C         Donc E(θ) = τ.E(t) E( ) e   donc
  • 56.
    UMBB-FSI-DGP Détermination de lafonction de transfert globale ( ) ( ) ( ) Y p G p X p  Si le signal d’entrée est une impulsion de Dirac X (p) =1, donc G (p) = Y (p).   pt pt 0 0 G(p) L f (t) f (t).e .dt E(t).e .dt          t 1 p t pt 0 0 1 1 G(p) e .e .dt e .dt 1 1 G(p) . p 1 p 1 1 .                                           
  • 57.
    UMBB-FSI-DGP 2 t , 1 E() e F 1 e            II.5.2.2 Modèle du réacteur piston Le réacteur réel est considéré comme un RP dont les caractéristiques sont les suivantes. 2 t , 0 E(t) (t ) F H(t )             p G(p) e 
  • 58.
    UMBB-FSI-DGP II.5.2.3 Modèle desréacteurs parfaitement agité en cascade ---- V1 τ1 V2 τ2 V3 τ3 Vn τn V, τ C0 CS C0 C2 C1 C3 Cn Cn-1 τ1 = τ2 = τ3 = ….= τN. Le temps de séjour moyen total τ est égal à N. τN. Nous avons montré que pour un RPA la fonction de transfert G(p) est: i i 1 G (p) 1 .p    Pour N réacteur en série la fonction de transfert globale est : G(p) = G(p1).G(p2).G(p3)……..G(pn)
  • 59.
    UMBB-FSI-DGP 1 2 3N N 1 1 1 1 G(p) . . ......... 1 .p 1 .p 1 .p 1 .p 1 1 1 1 1 G(p) . . ......... 1 .p 1 .p 1 .p 1 .p 1 .p N N N N N                            Le passage dans le domaine des réels par l’opérateur inverse L-1 permet d’obtenir l’expression de la courbe E(t) et donc E(θ) (voir table)     N N .t 1 N 1 N 1 L G(p) E(t) . .t .e N 1 !                   En fonction du temps réduit E(θ) = τ.E(t)     N 1 N N E( ) . N. .e N 1 !             
  • 60.
    UMBB-FSI-DGP Le nombre (N)de réacteur RCPA peut être estimé à partir de la courbe E(θ) en fonction de θ tirées d’expériences réalisées avec des traceurs. Il peut être évalué à partir de la valeur de la variance de la courbe (θ)2, de la valeur maximale de E(θ) ou de celle de θ au maximum de la courbe. max 1 1 N    2 2 2 1 t N t        max ( ) 5 2. 1) N E pour N N     
  • 61.
    UMBB-FSI-DGP fonction E(θ) dansune série de N RCPA : influence du nombre N
  • 62.
    UMBB-FSI-DGP fonction E(θ) dansune série de N RCPA : influence du nombre N
  • 63.
    UMBB-FSI-DGP II.5.2.4 Le modèlepiston à dispersion axiale 2 A A L 2 C C D t x      Ce modèle, qui s’applique dans le cas d’un faible écart à l’écoulement piston, repose sur la superposition d’un écoulement piston convectif de vitesse « U » et d’une dispersion aléatoire dans la direction axiale (x)(dispersion longitudinale), causant donc un mélange entre les tranches dV du réacteur piston. Cette dispersion aléatoire obéit à la seconde équation de diffusion de Fick
  • 64.
    UMBB-FSI-DGP Bilan A 2 2 A AA L r 2 2 A dC dC dC 1 D . D . dz dr r dr dC .U d d C d z t           Dispersion + Convection + Production = Accumulation DL et Dr sont respectivement les coefficients de dispersion axiale et radiale qui caractérisent le degré de mélange dans l’écoulement [L2T-1]. Dans certains cas, particulièrement lorsque le rayon du réacteur est petit devant la longueur, on peut négliger l’effet de la dispersion radiale devant celui de la dispersion axiale. L’équation devient alors : 2 A A A L 2 dC dC dC D . .U dz dz dt  
  • 65.
    UMBB-FSI-DGP forme adimensionnelle, 2 2 LA A A A A 2 2 D d C dC d C dC dC dC 1 . ou . U.L dZ dZ d Pe dZ dZ d       tels que t t  et Pe : nombre de Péclet DL/U.L caractérise l’importance de la dispersion axiale dans le réacteur -Si : DL/U.L << la dispersion axiale est négligeable et l’écoulement est de type piston. -Si : DL/U.L >> est importante et l’écoulement es similaire à l’écoulement dans un RCPA
  • 66.
    UMBB-FSI-DGP Pour cette équationde transport, les conditions aux limites sont de 2 types possibles (ouvert ou fermé), menant à 4 configurations possibles pour le réacteur Dans le cas de conditions aux limites ouvert-ouvert, il existe une solution analytique à l’équation de transport et la fonction DTS pour les faibles valeurs de dispersion DL/U.L < 0,01) pour lesquelles ce modèle s’applique s’écrit rigoureusement :   2 Pe. 1 1 pe E( ) exp 2 . 4.               
  • 67.
  • 68.
    UMBB-FSI-DGP La valeur deDL/U.L peut être tirée de la variance ( θ2) de la courbe, ou de la valeur maximum de E(θ) notée E(θ)max 2 2 L max 3 L D D.L 1 2 ou 2 et E( ) U.L U D 4. . U.L                           Remarque : Relation entre le modèle piston avec dispersion axiale et modèle N Réacteurs en série. Pour des valeurs de Pe et N élevées ces deux modèles coïncident, tel que : Pe = 2N
  • 69.
    UMBB-FSI-DGP II.5.2.5. Modèle RPAavec zone morte et court-circuit Dans ce cas le réacteur est constitué d’une zone active de volume m.V et d’une zone morte de volume (1-m).V et d’un court circuit de débit (1-n) Qv QV (1-m)V m.V QV n.QV (1-n).QV n.t n 2 2 m. m n n E(t) e (1 n) (t), E( ) e (1 n) (t). .m m                2 2 2 2 t m. , (t) m . 1 n              
  • 70.
    UMBB-FSI-DGP II.5.2.6. Modèle Nréacteurs parfaitement agité en série avec zone morte. Ce modèle à deux paramètres, permet de déterminer la fraction de zone morte du réacteur réel.   N N N 1 m N 1 N E( ) . .e m N 1 !        2 2 2 max m . 1 t m. , (t) , m(1 ) N N          
  • 71.
    UMBB-FSI-DGP II.5.2.7. Modèle dedeux réacteurs parfaitement agités en série de volumes différents Le Modèle représenté considère que le réacteur réel est équivalent à deux RPA en série, mais de volume différents V1 et V2 V2 V1 Q Q   1 1 1 1 E( ) e e 1                              2 2 1 max max 2 2 1 .ln , , E( ) 1 , 1 1                      