Machine asynchroneMachine asynchrone
diagramme du cerclediagramme du cercle
La machine asynchrone est un transformateur à
champ tournant.
Soit I1 le courant d ’une phase statorique,
soit I2 le courant d ’une phase rotorique.
Ces courants engendrent des
forces magnétomotrices tournantes de
vitesse Ns : n’1I1 et n’2I2, n’1et n’2 étant les
nombres de spires de chaque enroulement
corrigés par les coefficients de Kapp.
R1
I1F I10
n’1
I1
l1
stator = primaire
R2
n’2
l2
rotor = secondaire
0 = j n ’2ω φ - j ω l2 I2 - R2 I2
g
V1 = j n ’1ω φ + j ω l1 I1 + R1 I1
Pour une phase du stator :
V2 = 0 = j n ’2(gω) φ - j (gω) l2 I2 - R2 I2
Pour une phase du rotor :
R1
I1F I10
n’1
I1
l1
stator = primaire
R2
n’2
l2
rotor = secondaire
ω gω
R1
I1F I10
n’1
I1
l1
stator = primaire
R2/g
n’2
l2
rotor = secondaire
ω ω
I2
R1(n ’2/n ’1)2
I1F I10
n’1
I1
stator = primaire
R2/g
n’2
ls
rotor = secondaire
ω ω
I2
Pertes fer
Pertes Joule stator
Pe
R1(n ’2/n ’1)2
I1F I10
n’1
I1
stator = primaire
R2/g
n’2
lsω
rotor = secondaire
ω ω
I2
V1
'
2
1'
1
n
V
n
Équation de maille rotorique :
'
2
2 1 2' '
1 2 2
1 s'
1
n 1
I V
n n R
R jωl
n g
=
 
+ + 
 
2
' '
2 2 2
1 1 2 2 s 2' '
1 1
n n R
V R I I jωl I
n n g
 
= + + 
 
2
' '
2 2 2
1 1 2 s 2' '
1 1
n n R
V R I jωl I
n n g
  
= + + ÷ ÷ ÷  
AB AM MB= +
uuur uuur uuur
avec AB = cte
AB AM MB= +
uuur uuur uuur
A B
M
AB AM MB= +
uuur uuur uuur
A B
M
AB AM MB= +
uuur uuur uuur
A B
M
AB AM MB= +
uuur uuur uuur
A B
M
AB AM MB= +
uuur uuur uuur
A B
M
Hypothèse simplificatrice :
On néglige
2
'
2
1 '
1
n
R
n
 
 ÷
 
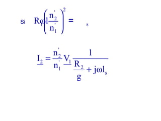
Si
2
'
2
1 s'
1
n
Rωl
n
 
 
 
=
'
2
2 1'
21
s
n 1
I V
Rn jωl
g
=
+
Courant absorbé :
'
2
1 1V 2 '
1
n
I I I
n
 
= +  
 
2
'
2
1 1V 1'
21
s
n 1
I I V
Rn jωl
g
 
= +  
  +
'
1 1V 1I I I= +
2
'
' 2
1 1'
21
s
n 1
I V
Rn jωl
g
 
=  
  +
Lorsque la vitesse varie, seule la composante
'
1I varie
Soit
'
1I ∞ , la valeur de
'
1I Lorsque g=∞
2
'
' 2
1 1'
1 s
n 1
I V
n jωl
∞
 
=  
 
' '
1 1
2
s
1
I I
R
1
jωl g
∞=
+
2
'
' 2
1 1'
21
s
n 1
I V
Rn jωl
g
 
=  
  +
' ' '
1 1 1
2 2
s s
1 1
I I I
R R
1 1 j
jωl g ωl g
∞ ∞= =
+ −
' '
1 1
2
s
1
I I
R
1 j
ωl g
∞=
−
' '
1 1
2
s
1
I I
R
1 j
ωl g
∞=
−
' ' ' '2 2
1 1 1 1
s s
R R
I I 1 j I j I
ωl g ωl g
∞
 
= − = − 
 
2
'
' 2
1 1'
21
s
n 1
I V
Rn jωl
g
 
=  
  +
Pour dessiner les vecteurs, il est nécessaire de faire
apparaître le déphasage de I ’1 par rapport à V1
V1
I ’1
'2
1
s
R
j I
ωl g
−
'
1I ∞
A
B
M
α
s
2
ωl
tg =
R
gα
Si g=0, M est en A
Si g=∞, M est en B
Tenant compte du courant I1V absorbé à vide :
V1
I 1
'
1I ∞
α
I1v
ϕ1
O
M
A
B
Intérêt du diagramme : ne nécessite que 2 essais
Essai à vide pour N = Ns (g = 0)
Ns
A
N
W
I1V
1V 1 1V 1V
1V
1V 1 1F
P 3VI cos
I
P 3VI
ϕ= 
⇒
= 
uur
Essai rotor bloqué pour N = 0 (g = 1)
N=0
A
N
W
mI1D
V
mV1
1D
1D
1
mI
I
mV

⇒

P=3mVmIcosϕ ϕ⇒
V1
I ’1V
A
B
D
I1D
V1
A
B
M
I1
O
Q
ϕ1
α
o
D
1
0,5
glissement
V1
A
B
M
I1
O
Q
ϕ1
α
o
D
0,5
puissance
A ’ H
V1
A
M
I1
O
Q
ϕ1
o
A ’ HPf
puissance
V1
A
M
I1
O
Q
ϕ1
o
A ’ HPe
puissance
V1
A
M
I1
O
Q
ϕ1
o
A ’ H
Q
K
puissance
V1
A
B
M
I1
O
Q
ϕ1
α
o
D
1
0,5
pertes Joule 
puissance mécanique
αD
ααD
V1
A
B
M
I1
O
Q
ϕ1
α
o
D
1
0,5
pertes Joule 
puissance mécanique
αD
ααD
xm
mx
mM 1D
tg g
g
tg
α
α
= = =
mx mM g= ×
Or mM = Pe
Donc mx = gxPe=pertes Joules
V1
A
B
M
I1
O
Q
ϕ1
α
o
D
1
0,5
pertes Joule 
puissance mécanique
αD
ααD x
m
pertes Joules rotor
V1
A
B
M
I1
O
Q
ϕ1
α
o
D
1
0,5
αD
ααD x
m
puissance mécanique
pertes Joule 
puissance mécanique
V1
A
B
M
O
Q
o
D
1
0,5
x
m
moteur
V1
A
B
M
O
Q
o
D
1
0,5
x
m
frein
V1
A
B
M
O
Q
o
D
1
0,5
x
m
génératrice
- 0,5
That’s all Folks

Machine asynchrone diagramme du cercle