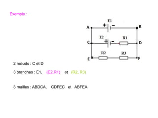
Module M312: Électricité
 Partie Électrostatique
Année Universitaire: 2021-2022 Par A. BRAHMI
 Partie Électrocinétique
 Champ et potentiel : calcul direct
 Champ et potentiel : Méthode de Gauss
 Courant et tension électriques
 Systèmes de coordonnées
 Méthodes d’analyses des circuits
 Circuits électriques
Université Sultan Moulay Slimane
Faculté des Sciences et Techniques
Beni-Mellal
2
Ch 1: Rappel sur les systèmes de coordonnées
I Définition:
Un système de coordonnées (repère ou référentiel) est un dispositif de l’espace formé
de :
1- Un origine : ou on commence nos mesures de distances (point O)
2- Des axes: dont le nombre dépend de la dimension de l’espace considéré.
Son rôle est de faire correspondre à chaque point quelconque M de l’espace à N
dimensions le même nombre N de scalaires (valeurs) afin de bien repérer la position
de ce point M dans cet espace.
Exemple : Repères cartésiens
II Systèmes cartésiens
1) Repérage sur un axe : N=1 dimension de l’espace:
Par exemple :
sur l’axe (OX), la position de M est connue par la connaissance de la seule
valeur ou du paramètre x.
Dans ce cas le vecteur position de M s’écrit alors:
x
e
x
OM

.

En plus de l’origine O et de l’axe considéré, on prend un vecteur unitaire
(norme = module = 1) d’origine O colinéaire avec cet axe pour:
• Orienter cet axe,
• Et définir les unités de mesures.
Dans ce cas le vecteur unitaire est : x
e

x est appelé l’abscisse de M
II Systèmes cartésiens
2) Repérage sur un plan : N=2: dimension de l’espace:
En plus de l’origine et de deux axes, on prend deux vecteurs unitaires
(norme=module=1) d’origine O colinéaires respectivement avec les deux axes
pris pour les orienter et définir les unités de mesures.
Par exemple, sur le plan (XOY) formé par l’axe (OX) et l’axe (OY), à tout point
M correspond un unique couple (x,y) de nombres appelés coordonnées de M.
Dans ce cas le vecteur position de M(x,y) s’écrit alors:
y
x e
y
e
x
OM


.
. 

y
e

Les deux vecteurs unitaires sont : et
x est appelé abscisse de M
y est appelé ordonnée de M
x
e

II Systèmes cartésiens
3) Repérage dans l’espace à 3 dimensions de l’espace (N=3):
En plus de l’origine O et de trois axes nécessaires, on prend trois vecteurs
unitaires (norme=module=1) d’origine O colinéaires respectivement avec les
trois axes pris pour les orienter et définir les unités de mesures.
A tout point M correspond un unique triple (x,y,z) de nombres appelés
coordonnées de M.(M’ le projeté de M sur le plan (XOY) et M’’ le projeté sur
l’axe des Z))
Dans ce cas le vecteur position de M s’écrit :
z
y
x e
z
e
y
e
x
M
M
OM
OM



.
.
.
'
'





x est appelé abscisse de M
y est appelé ordonnée de M
z est appelé cote ou hauteur de M
III Systèmes polaires
1) Repérage sur un disque ou sur un cercle:
Ce type de système est plus adéquat pour repérer un point M sur un cercle
(ou sur un disque). Dans cette situation, les coordonnées de M sont mieux
définies par deux données: un rayon r et un angle
Au niveau de M, on prend deux vecteurs unitaires :
r
r e
e
et
OM
OM
e




 


e
et
er
Dans ce cas, le vecteur position s’écrit: r
e
r
OM

.

r = OM
= (Ox,OM)
)
,
( 
e
er


Au niveau de M, on trace deux
vecteurs: ces vecteurs forment la
base polaire:
La base :
est dite locale. Elle varie avec la
position du point M.
)
,
( 
e
er


La base :
est fixe. Elle est liée à l’origine O.
)
,
( y
x e
e


III Systèmes polaires
1) Repérage sur un disque ou sur un cercle:
)
sin(
.
)
cos(
.


r
y
r
x


y
x e
r
e
r
OM


).
sin(
.
).
cos(
. 
 

y
x e
y
e
x
OM


.
. 

y
x
r e
e
e



).
sin(
).
cos( 
 


e

est un vecteur unitaire qui vérifie:  
2
,

 

e
er


y
x
y
x
e
e
e
e
e
e






).
cos(
).
sin(
).
2
sin(
).
2
cos(















On a:
III Systèmes polaires
2) Formules:
Ainsi:
Et:
IV Systèmes cylindriques
1) Repérage sur la surface d’un cylindre:
Ce type de système est plus adéquat pour repérer un point M sur la surface
d’un cylindre. Dans cette situation, les coordonnées de M sont :
Un rayon r, r = OM’
Un angle θ, θ = (Ox,OM’)
Une hauteur ou une cote h ou z, z=MM’=h
M’ projeté de M sur (XOY)
)
,
,
( 
 e
e
er



Au niveau de M, on trace trois
vecteurs: ces vecteurs forment la
base sphérique:
La base :
est dite locale. Elle varie avec la
position du point M.
)
,
,
( 
 e
e
er



La base :
est fixe. Elle est liée à l’origine O.
)
,
,
( z
y
x e
e
e



IV Systèmes cylindriques
1) Repérage sur la surface d’un cylindre:
z
r e
z
e
r
M
M
OM
OM
.
.
'
'




M
M
OM
OM '
'

z
y
x e
z
e
r
e
r
OM



.
).
sin(
.
).
cos(
. 

 

IV Systèmes cylindriques
2) Formules:
r
e

Et suivant '
OM

e

est un vecteur unitaire qui vérifie:  
2
,

 

e
er


r
e


e

z
e

: Vecteurs unitaires
]
2
,
0
[
,
)
,
(
]
,
0
[
,
)
,
(
'











OM
OX
OM
OZ
OM
r
V Systèmes sphériques
Ce type de système est plus adéquat pour repérer un point M sur la surface
d’une sphère. Dans cette situation, les coordonnées de M sont : r, θ et
telles que :

1) Repérage sur la surface d’une sphère:
θ : Colatitude suivant les méridien
: Longitude (Azimuth)
suivant les parallèles

r
e
r
OM

.

)
,
,
( 
 e
e
er



Dans ce cas, le vecteur position s’écrit:
Au niveau de M, on trace trois
vecteurs: ces vecteurs forment la
base sphérique:
V Systèmes sphériques
1) Repérage sur la surface d’une sphère:
La base :
est dite locale. Elle varie avec la
position du point M.
)
,
,
( 
 e
e
er



La base :
est fixe. Elle est liée à l’origine O.
)
,
,
( z
y
x e
e
e



Les deux triangles (OMzM) et (OMxMo)
sont des triangles rectangles, ainsi les
formules trigonométriques nous
permettent d’arriver aux expressions
suivantes:
)
cos(
.
)
sin(
'.
)
sin(
.
)
cos(
'..
)
cos(
.
)
sin(
.






r
OM
z
r
OM
y
r
OM
x
r
OM
MM
z
OM
y
OM
x
OM
z
o
o
o
z
z
y
x











V Systèmes sphériques
2) Formules:
)
cos(
.
.
)
sin(
).
sin(
.
.
)
cos(
).
sin(
.
.





r
e
OM
z
r
e
OM
y
r
e
OM
x
z
y
x









r
z
z
y
x
z
y
x
Tan
z
y
x
r








2
2
2
2
2
2
)
cos(
)
(


V Systèmes sphériques
2) Formules:
VIII Changement de coordonnées (trigonométrie)
1) Passage du polaire au cartésien:
2) Passage du cartésien au polaire :
VIII Changement de coordonnées (trigonométrie)
1) Passage du cylindrique au cartésien:
1) Passage du cartésien au cylindrique :
VIII Changement de coordonnées (trigonométrie)
2) Passage du cartésien au sphérique:
1) Passage du sphérique au cartésien :
)
sin(
. 
r
OM
M
M o
z 

)
,
,
( z
r e
e
e




Au niveau de M, on trace les vecteurs des bases :
polaire :
cylindrique :
et sphérique :
Ces bases sont dites locales. Elles
varient avec la position du point M.
)
,
( 
e
er


La base :
est fixe. Elle est liée à l’origine O, ainsi ces vecteurs ne changent pas de direction.
)
,
,
( z
y
x e
e
e



)
,
,
( 
 e
e
er



N.B:
VII Changement de bases (projection produit scalaire)
Exprimer les coordonnées d’un système de référence en fonction des
coordonnées d’un autre référentiel.
les vecteurs unitaires de la base polaire en fonction de ceux
cartésiens
)
,
( 
e
er


)
,
( y
x e
e


x
y
Tan
y
x
r



)
(
2
2

y
x
r
y
y
r
x
x
r
r
e
e
e
e
e
e
e
e
e
e










).
sin(
).
cos(
)
.
(
)
.
(

 



y
x
y
y
x
x
e
e
e
e
e
e
e
e
e
e










).
cos(
).
sin(
)
.
(
)
.
(











1) Principe
2) Exemple




d
e
d
e
et
d
e
d
e r
r







VIII Longueur , surface et volume élémentaires
1) Éléments infinitésimaux:
La longueur élémentaire due au déplacement du
point M de la position M(x) à la position M’(x+dx) sur
l’axe (OX) est :
x
e
dx
OM
d
dl .


Sur un axe (cartésien):
De même, le déplacement du point M de la position
M(y) à la position M’(y+dy) sur l’axe (OY) est :
y
e
dy
OM
d
dl .


N.B: le point M est très proche de M’:voisinage
VIII Longueur , surface et volume élémentaires
1) Éléments infinitésimaux:
Le déplacement du point M de la position M(x,y) à la
position M’(x+dx, y+dy) sur le plan(XOY) est :
y
x e
dy
e
dx
OM
d
dl .
. 


Sur un plan (cartésien):
Le déplacement dl du point M de la position M(x,z) à
la position M’(x+dx, z+dz) sur le plan(XOZ) est :
z
x e
dz
e
dx
OM
d
dl .
. 


La surface élémentaire sur ce plan est :
dy
dx
ds 

Sur le plan (XOY):
La surface élémentaire sur ce plan est :
dz
dx
ds 

Sur le plan (XOZ):
VIII Longueur, surface et volume élémentaires
1) Éléments infinitésimaux:
Le déplacement dl du point M de la position M(x,y) à
la position M’(x+dx, y+dy) sur le plan(XOY) est :

 e
rd
e
dr
e
r
d
OM
d
dl r
r .
.
)
.
( 



Sur un plan (polaire):
La surface élémentaire sur ce plan est :

rd
dr
ds 

Sur le plan (XOY):
y
x
r e
e
e



).
sin(
).
cos( 
 

y
x e
e
e



).
cos(
).
sin( 

 


r
r
e
d
e
d
et
e
d
e
d 










Càd, ona : r = cte, on aura:

 e
rd
OM
d
dlr .


N.B 1:
M se déplace sur un cercle C(O,r)
Sur un plan (polaire):
Càd, ona : θ = cte, on aura:
r
r e
dr
dl .

N.B 2:
M se déplace sur la droite de direction : r
e
VIII Longueur , surface et volume élémentaires
1) Éléments infinitésimaux:
Le déplacement dl du point M de la position M(x,y,z)
à la position M’(x+dx, y+dy, z+dz) est :
Les surfaces élémentaires sont:
Le volume infinitésimal est:
dz
dy
ds 

dz
dy
dx
dv 


dy
dx
ds 

dz
dx
ds 

Sur le plan (XOY), z=cste :
Sur le plan (XOZ), y=cste :
Sur le plan (YOZ), x=cste :
z
y
x e
dz
e
dy
e
dx
OM
d
dl .
.
. 



Les éléments: dx, dy et dz
Les éléments de surfaces ds
L’élément de volume dv
VIII Déplacement , surface et volume élémentaires
1) Éléments infinitésimaux:
Dans l’espace (cartésien):
VIII Longueur , surface et volume élémentaires
1) Éléments infinitésimaux:
Le déplacement du point M de la position M à la
position M’ est :
Les surfaces élémentaires sont:
Le volume infinitésimal est:
dz
dr
ds 

dz
d
dr
r
dz
rd
dr
dv 





 


rd
dr
ds 

dz
rd
ds 
 
Sur le plan :
Sur le plan :
Sur le plan :
z
r e
dz
e
rd
e
dr
dl .
.
. 

 

)
,
( z
e
e



)
,
( 
e
er


)
,
( z
r e
e


Dans la base (cylindrique):
Les éléments:
Les éléments de surfaces ds
L’élément de volume dv
VIII Longueur, surface et volume élémentaires
1) Éléments infinitésimaux:
Dans l’espace (cylindrique):

 sin
cos 0 r
OM
et
r
z 




 sin
sin
cos
sin r
y
et
r
x 

z
z
r
e
u
e
e
u
e
.
sin
.
cos
.
cos
.
sin




 





y
x
y
x
e
e
e
e
e
u
.
cos
.
sin
.
sin
.
cos




 





z
y
x
z
y
x
r
e
e
e
e
e
e
e
e
.
sin
.
sin
.
cos
.
cos
.
cos
.
cos
.
sin
.
sin
.
cos
.
sin










 







Dans la base (sphérique):
VIII Longueur, surface et volume élémentaires
VIII Longueur, surface et volume élémentaires
1) Éléments infinitésimaux:
Dans la base (sphérique):
y
x e
e
e .
cos
.
sin 

 



z
y
x
z
y
x
r
e
e
e
e
e
e
e
e
.
sin
.
sin
.
cos
.
cos
.
cos
.
cos
.
sin
.
sin
.
cos
.
sin










 








 






e
d
e
d
d
e
d
e
e
d
e
d
r
e
dr
e
r
d
OM
d
r
r
r
r
r
r
.
.
sin
.
)
(
.
.
)
.
(











Le déplacement du point M de la position M à la
position M’ est :

 

 e
d
r
e
rd
e
dr
e
r
d
OM
d
dl r
r .
sin
.
.
)
.
( 




Les surfaces élémentaires sont:
Le volume infinitésimal est:

d
r
dr
ds sin







 d
d
dr
r
d
r
rd
dr
dv 




 sin
sin 2

rd
dr
ds 



 d
rd
rd
ds 

Sur le plan :
Sur le plan
Sur le plan :
)
,
( 
 e
e


)
,
( 
e
er


)
,
( 
e
er


VIII Longueur, surface et volume élémentaires
1) Éléments infinitésimaux:
Dans la base (sphérique):
VIII Longueur , surface et volume élémentaires
1) Éléments infinitésimaux:
Les éléments de surfaces ds:
Les éléments:
Dans l’espace (sphérique):
L’élément de volume dv:
VX. Cas d’utilisation des systèmes de coordonnées
• Le système polaire pour une distribution sous forme de:
Cercle chargé.
Disque (chargé en surface).
• Le système cylindrique est utilisé pour une distribution de
forme:
fil chargé
cylindre chargé soit en surface ou en volume
• Le système sphérique est utilisé pour des
distributions de forme sphérique chargée soit en
surface ou en volume.
• Le système cartésien est utilisé dans le cas ou la
distribution est sous forme de:
Fil rectiligne ( fini ou infini) chargé,
Plan chargé en surface ( fini ou infini),
Cube chargé en surface ou en volume,
Parallélépipède chargé en surface ou en volume …
VI Produit scalaire
Ce produit est un nombre (ou un scalaire), il mesure l’intensité de projection
d’un vecteur sur un autre vecteur.
Pour deux vecteur , le produit scalaire est défini par:
1
. 

v
u
)
cos(
.
.
)
,
cos(
.
.

v
u
v
u
v
u
v
u
v
u


v
et
u
Remarques :
Selon la valeur de θ, on distingue les trois cas suivants (cas des vecteurs unitaires):
0
. 
v
u 1
. 
v
u
1
. 

v
u
1) Définition
1) Commutativité : u
v
v
u .
. 
2) Produit par lui-même :
2
. u
u
u 
3) Associativité : w
u
v
u
w
v
u .
.
)
(
. 


2
2
2
)
'
(
)
'
(
)
'
(
).
'
(
).
'
(
).
'
(
)
'
,
'
,
'
(
)
,
,
(
int
'
.
'
.
'
.
.
)
'
,
'
,
'
(
)
,
,
(
z
z
y
y
x
x
AB
AB
e
z
z
e
y
y
e
x
x
AB
z
y
x
B
et
z
y
x
A
s
po
deux
Pour
z
z
y
y
x
x
v
u
z
y
x
v
et
z
y
x
u
Pour
z
y
x
















Dans la base cartésienne )
,
,
( z
y
x e
e
e



VI Produit scalaire
2) propriétés
VI Produit vectoriel
2) propriétés
le produit vectoriel de deux vecteurs faisant un angle θ
entre eux , est un vecteur w défini par:
1) Définition
v
u
w 

v
et
u
Ce vecteur w est caractérisé par:
1) La direction : perpendiculaire au plan (u,v)
2) Le sens : le trièdre (u,v,w) est direct
3) Le module:
)
sin(




 v
u
v
u
w
Le produit vectoriel de deux vecteurs est nul si:
1) ces deux vecteurs ont la même direction (θ est nul)
2) l’un d’eux est nul.
VI Produit vectoriel
le produit vectoriel peut être calculé en utilisant les coordonnées
cartésiennes via la formules suivantes:
1)Produit vectoriel (avec coordonnées cartésiennes)
)
,
,
(
1
2
2
1
2
1
1
2
1
2
2
1
1
2
2
1
2
1
1
2
1
2
2
1
2
2
2
1
1
1 )
(
)
(
)
(
z
y
x e
e
e
x
y
x
z
y
x
y
x
y
x
z
x
z
x
z
y
z
y
e
y
x
y
x
e
z
x
z
x
e
z
y
z
y
z
y
x
z
y
x
e
e
e
v
u






















VI Produit mixte (ou déterminant de trois vecteurs)
le produit mixte de trois vecteurs est scalaire en faisant à la fois le produit
vectoriel et le produit scalaire. Il est appelé aussi le déterminant de trois vecteurs.
Il es défini par :
z
x
y
y
x
y
z
x
x
z
x
y
z
z
y w
v
u
v
u
w
v
u
v
u
w
v
u
v
u )
(
)
(
)
( 





1) Définition
w
v
u
z
z
z
y
y
y
x
x
x
w
v
u
w
v
u
w
v
u
v
u
w
w
v
u 


 )
.(
).
(
Généralités :
L’Electrostatique : est la discipline qui étudie les interactions (forces ) entre
des particules chargées au repos (fixes, sans mouvement = statiques = rien
ne bouge= immobiles)
La discipline qui étudie les interactions entre des particules chargées
dans le cas d’un mouvement uniforme s’appelle la magnétostatique
L’électromagnétique est la branche de la physique qui étudie les
interactions entre des particules chargées dans le cas d’un
mouvement non uniforme (quelconque)
Charge ponctuelle : particule ou corps de dimensions négligeables
devant les distances qui les séparent avec d’autre charges.
Chap 2 : Les distributions de charges
Chap 2 : Les distributions de charges
Exemples de charges électriques:
N.B: Le signe – pour les é est arbitraire
En général, la matière est neutre, mais elle peut être électrisée de deux façons
différentes:
• Ionisation: gain ou perte au niveau du nombre de charges (électrons ou trous)
• Polarisation: modification au niveau des positions des charges (répartition
modifiée, déformation du nuage électronique)
Toute charge électrique est multiple de la charge élémentaire e qui est celle de
l’électron : C
3) Types de distributions de charges :
1) Propriétés d’interaction:
Une distribution de charge est un ensemble de charges électriques réparties
soit d’une manière discrète ou continue dans l’espace. Ses charges peuvent
être positives (protons +, ou trous), négatives (électrons -) ou neutres
(neutrons).
 La charge électrique constitue une propriété fondamentale des particules
(ou de la matière). Elle est la source d’action et de réaction.
Les charges de même signe sont répulsives, celles de signes différents
sont attractives, et les neutrons n’ont aucun effet entre elles.
 Cette interaction entre deux charges est analysée par la loi de
Couloumb, qui est la base de l’électrostatique.
Chap 2 : Les distributions de charges
Chap 2 : Les distributions de charges
1) Distribution de charges électriques discrètes:
2) Distribution de charges électriques continues:
Ces types de charges sont sous forme de point dites ponctuelles,
caractérisées par:
• Distances entre les charges sont importantes devant les dimensions
des charges
• Leurs nombres est limité
Ce type de charges est continue, caractérisé par:
• Distances intercharge sont négligeables devant les dimensions des
charges
• Leurs nombres est illimité, caractérisé par leur densité soit
(linéique, surfacique ou volumique)
Les distributions de charges
2) Distribution de charges électriques continues:
Les distributions de charges continues sont caractérisées par leurs
densités (quantité de charges par unité de volume)
2.1-Densité de charge:
Exemple: Conducteur métallique: 5.1022 é/cm3 !!
a- Distribution linéaire
Dans l’élément dl, il y a une quantité dq, la densité de charge
λ est alors:
dl
dq


b- Distribution surfacique
Dans l’élément ds, il y a une quantité dq, la densité de charge
σ est alors:
ds
dq


c- Distribution volumique
Dans l’élément dv, il y a une quantité dq, la densité de charge
ρ est alors:
dv
dq


(En C/m)
(En C/m2)
(En C/m3)
Les distributions de charges
3) Plans de symétrie et paramètres d’invariance:
3.1-Plans de symétrie:
L’étude des plans de symétrie et les paramètres d’invariance simplifient
considérablement la détermination des expressions du champ et du potentiel
électrostatiques dans le cas des distributions présentant des symétries.
C’est un plan qui divise une distribution de charges électriques en deux
parties identiques (signe et quantité)
Exemple 1:
Ce plan est perpendiculaire à cette distribution
et la coupe en deux morceaux égaux
Exemple 2: Fil infini uniformément chargé +
Ce plan est perpendiculaire à ce fil chargé
et le coupe en deux morceaux égaux
Exemple 3: Plan infini uniformément chargé -
Tout plan perpendiculaire à ce plan chargé
et le coupe en deux morceaux égaux est un plan
de symétrie.
N.B: Une distribution de charges électriques peut admettre
plusieurs plans de symétries (cas de l’exemple 3)
Les distributions de charges
3) Plans de symétrie et paramètres d’invariance:
3.1-Plans de symétrie:
3.2-Paramétres d’invariance :
Si au cours d’un déplacement rectiligne selon un axe, la densité de charge
d’une distribution reste la même, on dit que le paramètre associé à cet axe
est un paramètre d’invariance de cette distribution de charges électriques.
Exemple 1: Fil infini chargé uniformément λ = cste
a - Invariance par translation suivant un axe :
Lorsqu’on se déplace sur ce fil suivant l’axe des Z, rien ne
change physiquement (même densité de charges en tout point
du fil).
Le paramètre z est un paramètre d’invariance du fil infini chargé.
3) Plans de symétrie et paramètres d’invariance:
Les distributions de charges
Exemple 2:
Cylindre infini chargé uniformément en surface σ = cste d’axe (OZ)
Lorsqu’on se déplace sur ce cylindre chargé suivant l’axe des Z,
rien ne change physiquement (même densité de charges en tout
point de la surface du cylindre).
Le paramètre z est un paramètre d’invariance du cylindre infini
chargé.
Les distributions de charges
3) Plans de symétrie et paramètres d’invariance:
a - Invariance par translation selon un axe :
Exemple 3:
Parallélépipède infini chargé uniformément en surface σ = cste d’axe (OZ)
Lorsqu’on se déplace sur cette structure chargée suivant l’axe
des Z, rien ne change physiquement (même densité de charges
en tout point de la surface du parallélépipède).
Le paramètre z est un paramètre d’invariance de cette distribution
infinie chargée.
Les distributions de charges
3) Plans de symétrie et paramètres d’invariance:
a - Invariance par translation suivant un axe :
Les distributions de charges
Si la densité de charge reste inchangée lorsqu’on effectue
un mouvement de rotation d’un angle ϴ auteur d’un axe on
dit que cet angle est un paramètre d’invariance pour cette
distribution
Exemple :
Cylindre chargé uniformément en surface σ = cste d’axe (OZ)
3) Plans de symétrie et paramètres d’invariance:
b - Invariance par rotation d’un angle :
Le paramètre ϴ est un
paramètre d’invariance de
cette distribution infinie
chargée.
c - Invariance par double rotation autour d’un point :Distribution Sphérique
Si au cours deux mouvements de rotation selon deux angles
différents auteur d’un point la densité de charge reste
inchangée on dit que ces deux angles sont deux paramètres
d’invariance pour cette distribution
Exemple :
Sphère S(O,R) chargée uniformément en surface σ = cste
La densité de charge ne varie pas par
double rotation auteur du centre O de la
sphère S(O,R)
Les distributions de charges
3) Plans de symétrie et paramètres d’invariance:
Les deux paramètres ϴ et φ sont deux paramètres
d’invariance de cette distribution infinie chargée.
Les distributions de charges
4 Plans de symétrie: direction du champ
L’intersection d’au moins deux plans de symétrie distincts
permet de déterminer la direction (ou support) du champ
électrostatique créé par une distribution continue qui
présente des symétries.
5 Paramètres d’invariance: variables du champ et/ ou du potentiel
La détermination des paramètres d’invariance d’une
distribution continue permet de connaître les variables
dont dépend l’expression du champ électrostatique
et/ou du potentiel. Le champ ne dépend pas des
paramètres d’invariances.
L’étude des plans de symétrie et des paramètres d’invariance simplifient
considérablement les calculs des champs et / ou potentiels des
distributions admettant des symétries.
Chap 2 : Les distributions de charges
6 Choix de la base de travail :
Ce choix est imposé par la forme (ou la géométrie) de la distribution étudiée
(finie ou infinie). Le tableau suivant donne les choix pour les distributions les
plus rencontrées:
Distribution Base associée
Fil rectiligne chargé Cylindrique (er ,eϴ ,ez)
Cylindre chargé Cylindrique (er ,eϴ ,ez)
Sphère chargée Sphérique (er , eϴ ,eφ)
Disque ou cercle chargés Cylindrique (er , eϴ ,ez)
Plan chargé Cylindrique (er , eϴ ,ez)
Chap 3 : Champ et potentiel électrostatique
des distributions discrètes
1 Loi de COULOUMB:
Cette loi décrit les interactions entre deux charges électriques. Elle exprime
les forces électrostatiques exercées entre deux charges électriques fixes
l’une sur l’autre.
k est la constante de Kouloumb:
Est la permittivité du vide:
: est un vecteur unitaire de sens: de A vers B.
: est un vecteur unitaire de sens: de B vers A.
)
.
.
(
10
.
9
4
1 2
2
9
0


 C
m
N
k

)
.
.
(
10
.
85
.
8 2
1
2
12
0



 m
N
C

1 Définition:
Chacune des deux charges exerce l’une sur l’autre une force de même
intensité : principe d’action et de réaction ou des actions réciproques.
Selon le signe de ces charges, on distingue deux cas:
Cas1: q1 et q2 de même signe:
Répulsion:
Cas 2: q1 et q2 de signes opposés:
Attraction:
2 Loi de COULOUMB:
Cette force est radiale: dirigé selon la droite qui joint les deux charges q1 et q2.
Elle est proportionnelle au produit des charges et au carré de l’inverse de la
distance d qui les sépare.
2 Propriétés:
2 Champ électrostatique d’une charge ponctuelle:
Soit q une charge ponctuelle (positive +) placée au point O et M un point
quelconque de l’espace (M ≠ O). Q perturbe son environnement.
Le champ électrostatique E(M) créé au point M par la charge q située
en O caractérise cette perturbation. Ce champ est donné par:
OM
u
OM
q
E


2
0 )
(
4
1


)
.
.
(
10
.
9
4
1 2
2
9
0


 C
m
N
k

)
.
.
(
10
.
85
.
8 2
1
2
12
0



 m
N
C

Constante multiplicative (de Coulomb):
Permittivité du vide:
1

OM
U

De sens de O vers M r
OM 
En Volt/ mettre (V/m)
Chap 3 : Champ et potentiel électrostatique
des distributions discrètes
2 Champ électrostatique d’une charge ponctuelle:
Selon le signe de q, on distingue 2 cas:
q > 0: ont le même sens : de O vers M
OM
U
et
M
E


)
(
q < 0: ont des sens opposés
OM
U
et
M
E


)
(
Toujours a un sens de O vers M
OM
U

0
)
(
0




 M
E
q
Spectre du champ ou lignes du champ:
Chap 3 : Champ et potentiel électrostatique
des distributions discrètes
3 Champ électrostatique d’un ensemble de charges ponctuelles:
Soient q1, q2, …..qn un ensemble de n charges ponctuelles placées
respectivement aux points O1, O2, O3…..On
M un point de l’espace (M ≠ Oi=1…N).
)
(
1 M
E

: Le champ créé en M par q1 située en O1 au point M
)
(
2 M
E

: Le champ en M par q2 située en O2 au point M
)
(M
Ei

: Le champ en M par qi située en Oi au point M
)
(M
En

: Le champ en M par qn située en On au point M
Le champ total créé par toutes ces charges est :
)
(
.....
)
(
)
(
)
( 2
1 M
E
M
E
M
E
M
E n








3.1 Principe de superposition :
Chap 3 : Champ et potentiel électrostatique
des distributions discrètes
)
(
)
(
)
(
)
(
)
( 4
3
2
1 M
E
M
E
M
E
M
E
M
E









3 Champ électrostatique d’un ensemble de charges ponctuelles:
3.2 Exemple :
Principe de superposition :
Chap 3 : Champ et potentiel électrostatique
des distributions discrètes
4 Potentiel électrostatique d’une charge ponctuelle:
Soit q une charge ponctuelle (positive +) placée au point O et M un point
quelconque de l’espace (M ≠ O).
Le potentiel électrostatique V(M) créé au point M par la charge q située
en O est donné par:
0
0
4
1
)
( V
OM
q
M
V 


V0 : potentiel de référence ou constante d’intégration. Elle
est choisie en général nulle (le potentiel est nul à l’infini)
On peut aussi caractériser la perturbation du milieu due à la présentation
des charges électriques par ce qu’on appelle : Le potentiel électrostatique.
Champ électrostatique = variation du potentiel électrostatique
L’unité du potentiel est le Volt (V).
N.B : Pour r = 0 (M=O) ; ni le champ ni le potentiel ne sont pas définis.
Chap 3 : Champ et potentiel électrostatique
des distributions discrètes
5 Potentiel électrostatique d’un ensemble de charges ponctuelles:
Soient q1, q2, …..qn un ensemble de n charges ponctuelles placées
respectivement aux points O1, O2, O3…..On
M un point de l’espace (M ≠ Oi=1…N).
)
(
1 M
V : Le potentiel créé en M par q1 située en O1 au point M
)
(
2 M
V : Le potentiel créé en M par q2 située en O2 au point M
)
(M
Vi : Le potentiel créé en M par qi située en Oi au point M
)
(M
Vn : Le potentiel créé en M par qn située en On au point M
Principe de superposition :
)
(
.....
)
(
)
(
)
( 2
1 M
V
M
V
M
V
M
V n




Chap 3 : Champ et potentiel électrostatique
des distributions discrètes
Soient :
1 Champ d’une distribution linéaire
Ce type de distributions de charges est caractérisé par sa densité
vu le nombre de charges qu’elles contiennent est illimité.
Soit F un fil rectiligne chargé uniformément avec une densité linéique λ, Q
est la charge totale de F. P un point fixe de F et M un point de l’espace
L’élément dl auteur de P contient une quantité élémentaire de charges dq
La densité de charges λ(P) au voisinage de P est :
dl
dq
P 
)
(

PM
u
PM
p
dq
M
E
d


2
0 )
(
)
(
4
1
)
(


Selon la loi de Coulomb, le champ électrostatique
élémentaire dE(M) créé en M par dq(P) auteur de P est :
P
origine
d
M
vers
P
sens
de
UPM '
:
1


1.1 Champ élémentaire dE(M)
Chap 4 : Champ et potentiel électrostatique des distributions
continues calcul direct (champ élémentaire): les integrales
Le champ total créé par tout le fil F de longueur L contenat la
charge totale Q au point M est alors:

 

L
PM
L
u
r
p
dq
M
E
d
M
E



2
0
)
(
4
1
)
(
)
(

l
d
q
d
Q
L
L 
 

 
 


L
PM
u
r
dl
M
E


2
0
4
)
(


Dans le cas d’une distribution uniforme, λ = cste, Le champ total
créé par tout le fil F de charge Q et de longueur L au point M est
alors:


L
PM
u
r
dl
M
E


2
0
4
1
)
(


D’après la densité, on a:
Ce qui permet d’écrire:
1 Champ d’une distribution linéaire
1.2 Champ total E(M)
Chap 4 : Champ et potentiel électrostatique
des distributions continues
2 Champ d’une distribution surfacique
S une surface chargée uniformément avec une densité surfacique σ, Q
est la charge totale de S. P un point fixe de S et M un point de l’espace
L’élément ds auteur de P contient une quantité élémentaire de charges dq
La densité de charges σ(P) au voisinage de P est :
ds
P
dq
P
)
(
)
( 

PM
u
PM
p
dq
M
E
d


2
0 )
(
)
(
4
1
)
(


Selon la loi de Coulomb, le champ électrostatique
élémentaire dE(M) créé en M par dq(P) auteur de P
est :
2.1 Champ élémentaire dE(M)
P
origine
d
M
vers
P
sens
de
UPM '
:
1


Chap 3 : Champ et potentiel électrostatique
des distributions continues
Le champ total créé par toute la surface S de charge totale Q au
point M est alors:

 

S
PM
S
u
r
p
dq
M
E
d
M
E



2
0
)
(
4
1
)
(
)
(

s
d
q
d
Q
S
S 
 

 
Dans le cas d’une distribution uniforme σ = cste, Le champ total E(M) créé
par toute la surface S de charge totale Q au point M est alors:



S
PM
u
r
ds
M
E


2
0
4
1
)
(


D’après la densité, on a:
Ce qui permet d’écrire:
2 Champ d’une distribution surfacique
2.2 Champ total E(M)


S
PM
u
r
ds
M
E


2
0
4
)
(


r = PM
Chap 3 : Champ et potentiel électrostatique
des distributions continues
Le volume élémentaire dv contient la quantité élémentaire dq de
charges :
3 Champs(élémentaire et total) d’une distribution volumique uniforme
dv
P
dq 
 )
(

PM
u
r
p
dq
M
E
d


2
0
)
(
4
1
)
(




V
PM
u
r
dv
M
E


2
0
4
)
(


• Le champ élémentaire dE(M) créé par dq est alors :
• Le champ total E(M) du à toutes les charges du
volume V est alors :
Chap 3 : Champ et potentiel électrostatique
des distributions continues
Pour les distributions de charges continues uniformes (linéique λ,
surfacique σ et volumique ρ), on utilise les expressions suivantes :
4 Potentiel des distributions de charges continues
 

V
V
r
dv
M
V 0
0
4
)
(


 

S
V
r
ds
M
V 0
0
4
)
(


 

L
V
r
dl
M
V 0
0
4
)
(


• Linéique de densité λ :
• Surfacique de densité σ :
• Volumique de densité ρ :
Chap 3 : Champ et potentiel électrostatique
des distributions continues
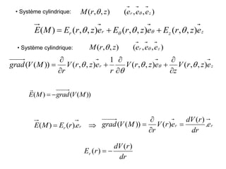
1 Expressions générales de E(M) dans les référentiels
• Système cartésien:
z
z
y
y
x
x e
z
y
x
E
e
z
y
x
E
e
z
y
x
E
M
E )
,
,
(
)
,
,
(
)
,
,
(
)
( 


• Système cylindrique:
z
z
r
r e
z
r
E
e
z
r
E
e
z
r
E
M
E )
,
,
(
)
,
,
(
)
,
,
(
)
( 

 
 


• Système sphérique:



 




 e
r
E
e
r
E
e
r
E
M
E r
r )
,
,
(
)
,
,
(
)
,
,
(
)
( 


)
,
,
(
)
,
,
( z
y
x e
e
e
z
y
x
M
)
,
,
(
)
,
,
( 


 e
e
e
r
M r
)
,
,
(
)
,
,
( z
r e
e
e
z
r
M 

Chap 3 : Champ et potentiel électrostatique
des distributions continues
)
,
,
( z
y
x E
E
E
)
,
,
( z
r E
E
E 
)
,
,
( 
 E
E
Er
: Les composantes du champ dans la base
: Les composantes du champ dans la base
: Les composantes du champ dans la base
)
,
,
( z
y
x e
e
e
)
,
,
( 
 e
e
er
)
,
,
( z
r e
e
e 
1 Expressions générales de E(M) dans les référentiels
)
,
,
(
var
)
,
,
( z
y
x e
e
e
dans
champ
du
iables
ou
M
de
s
coordonnée
z
y
x
)
,
,
(
var
)
,
,
( z
r e
e
e
dans
iables
ou
s
coordonnée
z
r 

)
,
,
(
var
)
,
,
( 


 e
e
e
dans
iables
ou
s
coordonnée
r r
Chap 3 : Champ et potentiel électrostatique
des distributions continues
• L’étude des plans de symétries et des paramètres des invariances
simplifient considérablement les expressions générales du champs avant de
se lancer dans les calculs.
• Cette étude permet d’avoir une idée (direction et paramètres de variances
ou variables) sur le résultat final avant tout calcul de ce champ.
• les bases: polaire, cylindrique ou sphérique se tracent toujours au niveau du
point M ou on désire calculer le champ et / ou le potentiel. Au niveau de O on
trace la base cartésienne:
• Généralement es plans de symétries permettent d’éliminer 2 vecteurs d’une
base de travail (formée par 3 vecteurs directeurs) et de laisser qu’un seul
vecteur directeur dans l’expression du champ et du potentiel.
• La détermination des paramètres d’invariances permet elle aussi une
simplification au niveau des variables ou les coordonnées de M.
N.B: Pour les distributions continues présentant des symétries:
Chap 3 : Champ et potentiel électrostatique
des distributions continues
)
,
,
( z
y
x e
e
e
2 Relations entre le champ et le potentiel
• Champ = variation du potentiel dans l’espace : on dit que le
champ dérive d’un potentiel selon la relation suivante:
dl
M
E
M
V ).
(
)
( 


))
(
(
)
( M
V
grad
M
E 


• Si dans l’espace règne un champ E(M), le potentiel associé V(M) s’écrit :
dl : déplacement élémentaire (longueur élémentaire)
N.B :Le calcul de V(M) nécessite une constante d’intégration (ou potentiel de
référence) notée V0
• La différence de potentiel ΔV entre deux points M1 et M2 est:
))
(
)
(
(
)
( 1
2
2
1
M
V
M
V
dl
M
E
V
M
M






 
N.B :Le calcul de ΔV(M) ne nécessite pas de constante d’intégration V0
(ou potentiel de référence)
Chap 3 : Champ et potentiel électrostatique
des distributions continues
La plupart des phénomènes physiques sont décrits par des équations
différentielles qui utilisent les opérateurs différentiels. Parmi ces opérateurs on
cite:
- Le gradient,
- La divergence,
- Le rotationnel,
- Le laplacien.
Ces opérateurs sont des combinaisons de dérivées partielles par rapport aux
coordonnées d’espace (cartésiennes, cylindrique et sphériques).
2 Relations entre le champ et le potentiel
Chap 3 : Champ et potentiel électrostatique
des distributions continues
Le Gradient:
Le gradient s’applique à une fonction scalaire U à plusieurs variables
(3 variables au plus) et donne comme résultat un vecteur tel que:
)
(
)
( U
U
grad 

Vecteur symbolique appelé Nabla qui s’exprime en fonction des
dérivées partielles selon le système de coordonnées utilisé.
Calcul du Gradient dans les systèmes de coordonnées:
Système Cartésien:
Système Cylindrique:
Système Sphérique:
)
,
,
(
)
,
,
(




u
u
u
ou
e
e
e
r
r
)
,
,
(
)
,
,
(
)
,
,
(
z
y
x
z
y
x
u
u
u
ou
k
j
i
ou
e
e
e
)
,
,
(
)
,
,
(
z
r
z
r
u
u
u
ou
e
e
e


Chap 3 : Champ et potentiel électrostatique
des distributions continues
Le Gradient dans les systèmes de coordonnées:
• Système cartésien:
z
y
x e
z
e
y
e
x 









• Système cylindrique:
z
r e
z
e
r
e
r 








 

1
• Système sphérique:





e
r
e
r
e
r
r













)
sin(
1
1
)
,
,
(
)
,
,
( z
y
x e
e
e
z
y
x
M
)
,
,
(
)
,
,
( 


 e
e
e
r
M r
)
,
,
(
)
,
,
( z
r e
e
e
z
r
M 

Chap 3 : Champ et potentiel électrostatique
des distributions continues
3 Gradient du potentiel V(M) dans les référentiels
• Système cartésien:
z
y
x e
z
y
x
V
z
e
z
y
x
V
y
e
z
y
x
V
x
M
V
grad )
,
,
(
)
,
,
(
)
,
,
(
))
(
(









• Système cylindrique:
z
r e
z
r
V
z
e
z
r
V
r
e
z
r
V
r
M
V
grad )
,
,
(
)
,
,
(
1
)
,
,
(
))
(
( 


 









• Système sphérique:

 







 e
r
V
r
e
r
V
r
e
r
V
r
M
V
grad r )
,
,
(
)
sin(
1
)
,
,
(
1
)
,
,
(
))
(
(










)
,
,
(
)
,
,
( z
y
x e
e
e
z
y
x
M
)
,
,
(
)
,
,
( 


 e
e
e
r
M r
)
,
,
(
)
,
,
( z
r e
e
e
z
r
M 

1 Flux Ø du champ E(M) à travers une surface
1) Le flux élémentaire dØ de E(M) à travers l’élément
de surface infinitesimal ds est :
ds
n
n
n
ds
ds
avec
ds
M
E
n
ds
M
E
ds
M
E
d






1
.
)
cos(
.
).
(
.
).
(
.
)
( 

2) Le flux total Ø de E(M) à travers la surface totale S est alors :
S
E
ds
n
E
n
ds
M
E
ds
M
E
S
S
S
.
.
.
.
).
(
).
( 


 



D’après la loi de Coulomb, la charge q > 0 placée au point
O crée en M le champ :
OM
u
OM
q
M
E


2
0 )
(
4
1
)
(


1

OM
U

r
OM 
Au point M
Chap 4 : Calcul indirect du champ et du potentiel électrostatiques des
distributions continues (utilisant le champ total): TH de GAUSS
2 Théorème de Gauss: Raisons de symétries obligatoire pour la distribution
étudiée
Soit ds une surface élémentaire de S prise auteur de M:
Soit Q une distribution de charges quelconque et S une surface fermée entourant
Q et passant par un point de l’espace M. O un point fixe de la distribution Q.
Le flux total Ø de E(M) sortant à travers la surface
fermée S orientée est égale à la somme de toutes les
charges électriques internes à cette surface S divisée
par ε0:
Soit E (M) Le champ total créé en M par la charge totale Q
Chap 4 : Calcul indirect du champ et du potentiel électrostatiques
des distributions continues
3 Précision sur le théo de Gauss
• S est appelée surface de Gauss notée SG, elle est
purement géométrique et choisie arbitrairement en
fonction des symétries de la distribution étudiée.
• Cette surface ne doit pas comporter de charges à sa
surface c’est une surface imaginaire pour les calculs.
• Elle est fermée et toujours finie et passe par le
point M ou en désire déterminer le champ et /ou le
potentiel.
• Qint(S) : la somme de toutes les charges contenues à
l’intérieur de SG
• E(M) : Le champ total créé en M par la charge totale Q délimitée par SG
Chap 4 : Calcul indirect du champ et du potentiel électrostatiques
des distributions continues
4 Choix de la surface de Gauss SG:
Ce choix est imposé par la forme (ou la géométrie) de la distribution étudiée
afin de simplifier les calculs du champ. Le tableau suivant donne les choix
pour les distributions les plus rencontrées
Distribution Surface de Gauss associée
Fil chargé infini ou fini SG est un Cylindre fini
Cylindre chargé SG est un Cylindre fini
Sphère chargée SG est une Sphère finie
Disque ou cercle chargés SG est un Cylindre (polaire)
fini
Plan chargé Cylindre (ou cartésienne) fini
Chap 4 : Calcul indirect du champ et du potentiel électrostatiques
des distributions continues
5. Direction du champ
Dans le cas d’une distribution présentant des symétries, la direction du
champ électrostatique est la droite d’intersection d’au moins deux plans de
symétries différents choisis parmi ceux de la distribution de charge.
Dans la base cartésienne les plans possibles différents sont 3 à savoir :
)
,
,
(
2 z
x e
e
M
P 
)
,
,
( z
y
x e
e
e
)
,
,
(
3 z
y e
e
M
P 
)
,
,
(
1 y
x e
e
M
P 
Dans la base cylindrique les plans possibles sont 3 à savoir :.
)
,
,
(
2 z
r e
e
M
P 
)
,
,
( z
r e
e
e 
)
,
,
(
3 z
e
e
M
P 

)
,
,
(
1 
e
e
M
P r

Dans la base sphérique les plans possibles sont 3 à savoir :.
)
,
,
(
2 
e
e
M
P r

)
,
,
( 
 e
e
er
)
,
,
(
3 
 e
e
M
P 
)
,
,
(
1 
e
e
M
P r

N.B : Ces plans sont pris infinis . On les imagine
toujours infinis et passent par M
Chap 4 : Calcul indirect du champ et du potentiel électrostatiques
des distributions continues
6. Paramètres du champ: exemple d’un cylindre infini chargé en surface
Dans le cas d’une distribution présentant des paramètres d’invariances,
l’expression du champ ne dépend pas des paramètres d’invariances de telle
distribution de charges électriques.
z et ϴ sont deux paramètres d’invariance du cylindre
chargé
La base de travail est cylindrique )
,
,
,
( z
r e
e
e
M 
z
z
r
r
z
z
r
r
e
r
E
e
r
E
e
r
E
e
z
r
E
e
z
r
E
e
z
r
E
M
E
)
(
)
(
)
(
)
,
,
(
)
,
,
(
)
,
,
(
)
(









 


Dans la base cylindrique les plans possibles sont 3 à savoir :.
)
,
,
(
2 z
r e
e
M
P 
)
,
,
( z
r e
e
e 
)
,
,
(
3 z
e
e
M
P 

)
,
,
(
1 
e
e
M
P r

Chap 4 : Calcul indirect du champ et du potentiel électrostatiques
des distributions continues
Dans la base cylindrique les plans possibles sont 3 à savoir :.
)
,
,
(
2 z
r e
e
M
P 
)
,
,
( z
r e
e
e 
)
,
,
(
3 z
e
e
M
P 

)
,
,
(
1 
e
e
M
P r

P3 n’est pas un plan de symétrie:
P1 et P2 sont deux plans de symétries leur
intersection est la droite : )
(
)
,
( OM
e
M
D r 

r
r e
r
E
M
E )
(
)
( 
Ainsi, l’expression du champ devient:
Chap 4 : Calcul indirect du champ et du potentiel électrostatiques
des distributions continues
Chap 4: Calcul indirect du champ et du potentiel
électrostatiques des distributions continues
7.1. Notion du champ électrique
Un champ est un ensemble de vecteurs E(M) définis en tout point de l’espace.
Un champ électrostatique est un ensemble de vecteurs créées par des charges
électriques immobiles en tout point M de l’espace.
Vecteurs champ électrique d’une charge q :
7. Champ et flux
7. Champ et flux
Chap 4: Calcul indirect du champ et du potentiel
électrostatiques des distributions continues
7.2. Champ électrique uniforme
Un champ est dit uniforme ssi ce champ en tout point de l’espace vérifie les 3
conditions suivantes :
• Même direction (droites supports sont parallèles)
• Même sens
• Même module (norme)
Le flux électrique Ø sortant à travers une surface S est définie comme le
produit scalaire du vecteur champ E(M) et du vecteur surface ds
n
ds
ds .

)
,
cos(
)
,
cos(
. S
E
S
E
S
E
S
E
S
E 







7.3. Flux du champ électrique
Chap 4: Calcul indirect du champ et du potentiel
électrostatiques des distributions continues
)
,
cos(
)
,
cos(
. S
E
S
E
S
E
S
E
S
E 







7.3. Flux du champ électrique
7. Champ et flux
Par analogie avec le débit d’un fluide, le flux électrique est la quantité de
champ électrique traversant une surface donnée.
8. Théorème de Gauss
Chap 4: Calcul indirect du champ et du potentiel
électrostatiques des distributions continues
Très utile: facilite les calculs du champ (module ou norme) et/ou du potentiel
pour les distributions admettant des propriétés de symétries particulières
Ces degrés de symétries facilitent aussi le calcul du flux par un choix adapté
de la surface d’intégration (de Gauss) qui est en faite possède les mêmes
symétries que la distribution étudiée.
Pour appliquer le théorème de Gauss, on suit généralement les étapes suivantes :
1) Choix du système de coordonnée adapté à la distribution étudiée
2) Recherche de deux plans de symétries différents leur
l’intersection donne la droite de direction du champ avant son calcul
3) Recherche des paramètres d’invariance pour sélectionner les
variables dont dépend l’expression du module du champ
8. Théorème de Gauss
Chap 4: Calcul indirect du champ et du potentiel
électrostatiques des distributions continues
4) Choix approprié de la surface de Gauss (voir tableau de choix)
N.B. La surface de Gauss SG est choisie de telle sorte à avoir les éléments
ds soient parallèles ou perpendiculaires à la direction du champ.
5) Calcul de l’expression du flux total Ø du champ E à travers SG en fonction
du module E du champ
6) Calcul de la quantité des charges totale Qint(SG) délimitée par SG
7) Déduction du module E du champ
8) Écriture de l’expression du champ E(M)
10) Déduction de l’expression du potentiel V(M)
10. Exemples d’application du Théorème de Gauss
Chap 4: Calcul indirect du champ et du potentiel
électrostatiques des distributions continues
I) Calcul du champ créé par une charge ponctuelle positive
Soit q une charge ponctuelle positive située en O et M un point de l’espace (M ≠ O).
1) La base de travail est la base sphérique (er, eϴ, eφ)
2) La direction du champ E(M) est la droite (OM), son sens est : O vers M pour q > 0
3) Le champ dépend uniquement de la distance OM = r.
4) La surface de Gauss SG est une sphère S(O,r)
5) Le flux Ø de E(M) à travers la sphère S(O,r) est :
 


)
,
( )
,
(
)
,
( .
).
(
).
(
r
O
S r
O
S
r
O
S n
ds
M
E
ds
M
E

Cherchons le module E supposé non connu du champ E(M) créé en M par q.

 



)
,
(
)
,
( )
,
(
)
,
(
).
(
.
.
)
(
).
(
r
O
S
r
O
S r
O
S
r
O
S
ds
M
E
n
ds
n
M
E
ds
M
E


 

)
,
(
)
,
(
)
,
( .
).
(
r
O
S
r
O
S
r
O
S ds
E
ds
M
E

Car : E(M) et ds sont colinéaires de même sens
Le champ E(M) a le même module E en tout point de
la sphère S(O,r) vu la symétrie sphérique.
Le champ est orienté vers l’extérieur (q > 0) et il est parallèle à la normale n
( n : unitaire dirigé vers l’extérieur perpendiculaire à ds au point M)
 

  




 








0
2
0
2
2
0
)
,
( 0
)
sin(
)
sin( d
d
r
d
r
rd
ds
r
O
S




 
2
2
)
sin(
0
2
0


  d
et
d )
1
(
.
4
.
.
).
(
)
,
(
2
)
,
( 
 


r
O
S
r
O
S
r
E
ds
E
ds
M
E 

)
2
(
)
int( q
Q G
S 
6) La quantité totale de charges à l’intérieur de SG est: q. Ainsi :
2
.
.
4
. r
E 
 
0
)
int(
)
,
(
)
,
( ).
(

 G
S
r
O
S
r
O
S
Q
ds
M
E
 

OM
r
OM U
r
q
k
e
r
q
n
r
q
U
r
q
M
E 2
2
0
2
0
2
0 .
.
.
4
.
.
.
4
.
.
.
4
)
( 









2
0.
.
.
4 r
q
E



7) Le théorème de Gauss s’écrit alors:
0
0
)
int(


q
Q G
S

Le flux est : La quantité des charges délimitée par SG:
Le module E du champ E(M) est alors :
8) Le champ E(M) est alors :
II) Calcul du champ créé par un fil rectiligne infini chargé uniformément
Considérons un fil F placé sur l’axe (OZ) sous forme de droite (rectiligne) de longueur
infinie chargé avec une densité linéique λ constante (uniforme) et positive.
1) La base de travail est la base cylindrique ( er, eϴ, ez)
Système cylindrique:
z
z
r
r e
z
r
E
e
z
r
E
e
z
r
E
z
r
E
M
E )
,
,
(
)
,
,
(
)
,
,
(
)
,
,
(
)
( 


 
 



)
,
,
(
)
,
,
( z
r e
e
e
z
r
M 

1


 z
r e
e
e 
)
( z
r e
e
e 
 
2) Dans cette base, l’expression générale du champ E(M) s’écrit:
Chap 4: Calcul indirect du champ et du potentiel
électrostatiques des distributions continues
3) Direction de E(M) : Intersection de deux plans de symétrie différents
Dans la base cylindrique les plans possibles sont 3 à savoir :.
)
,
,
(
2 z
r e
e
M
P 
)
,
,
( z
r e
e
e 
)
,
,
(
3 z
e
e
M
P 

)
,
,
(
1 
e
e
M
P r

)
,
,
(
2 z
r e
e
M
P 
)
,
,
(
1 
e
e
M
P r

Les deux plans :
Sont deux plans de symétrie différents: prolongés a l’infini, ils coupent
le fil en le divisant en deux parties identiques (signe et quantité).
)
,
,
(
3 z
e
e
M
P 

Le plan : prolongé à l’infini , ce plan ne coupe pas ce fil , donc
ce n’est pas un plan de symétrie du fil (il est parallèle
au fil F)
Ainsi la direction de E(M) est la droite : )
(
)
,
(
2
1 OM
e
M
P
P r 


r
r e
z
r
E
M
E ).
,
,
(
)
( 

Ainsi E(M) devient :
et
4) Étude des paramètres d’invariance )
,
,
( z
r 
Si on se déplace sur le fil suivant l’axe (OZ) rien ne change physiquement en ce
qui concerne la densité (même densité de charges λ en tout point du fil F): z est
un paramètre d’invariance par translation suivant l’axe (OZ), donc le champ ne
dépend pas de la variable z.
Si on effectue une rotation d’un angle ϴ autour du fil rien ne change
physiquement (même densité de charges λ): ϴ est un paramètre d’invariance
par rotation, donc le champ ne dépend pas de la variable ϴ.
Ainsi, le champ ne dépend ni de ϴ ni de z et par suite l’expression générale du
champ peut s’écrire alors d’une manière simplifiée:
r
r e
r
E
M
E )
(
)
( 
5) Choix de la surface de Gauss SG
SG est un cylindre fermé fini de rayon r et de hauteur h (les deux dimensions r et
h sont finis) et d’axe (OZ).
SG est composée de trois surfaces à savoir : deux surfaces de bases SB1 et SB2
et une surface latérale SL
L
B
B
G S
S
S
S 

 2
1
L
B
B
G S
S
S
S 


 

 2
1
SG peut être se décomposée comme suit:
5) Calcul du flux de E(M) à travers la surface de Gauss SG
5.1 Orientation de la surface de gauss SG
2
2
2 .n
ds
ds B
B 
1
1
1 .n
ds
ds B
B 
3
.n
ds
ds L
L 
Pour les deux bases, le champ E(M) est perpendiculaire aux vecteurs normaux
n1 et n2
Pour la surface latérale, le champ E(M) est parallèle à la normale n3
Le champ E(M) est radial et constant sur la surface latérale SL car le rayon r de la
surface de Gauss SG est fixe
La charge est positive (λ > 0) donc le champ est
orienté suivant er



 


L
B
B
G S
S
S
S
ds
M
E
ds
M
E
ds
M
E
ds
M
E ).
(
).
(
).
(
).
(
2
1
5.2 Calcul des Flux à travers les surfaces formant la surface de Gauss SG



 


L
B
B
G S
S
S
S
ds
M
E
ds
M
E
ds
M
E
ds
M
E ).
(
).
(
).
(
).
(
2
1
Sur les surfaces de base du cylindre de Gauss SG on a :
0
).
(
0
).
(
2
2
1
1






B
B
B
B
S
S
S
S
ds
M
E
ds
M
E


0
).
(
)
( 

 ds
M
E
ds
M
E
r
r
r e
ds
ds
et
e
r
E
M
E .
).
(
)
( 

Sur la surface latérale SL du cylindre de Gauss SG on a :

 

L
L
L
S
r
S
S ds
r
E
ds
M
E ).
(
).
(

Sur la surface latérale SL du cylindre de Gauss SG le champ E(M) est constant
car r est fixe sur cette surface SL :
r
r
r e
r
f
e
r
E
M
E .
)
(
.
)
(
)
( 

]
2
,
2
[
;
]
2
,
0
[
;
h
h
z
fixe
est
r
dz
rd
dsL 




 




 


L
L
L
L
S
r
S
r
S
S ds
r
E
ds
r
E
ds
M
E )
(
).
(
).
(

Sur la surface latérale SL du cylindre de Gauss SG la surface élémentaire dsL
s’écrit :
h
r
dz
d
r
dz
rd
ds
h
h
h
h
S
L
L
.
2
.
2
/
2
/
2
0
2
2
2
0



















)
(
.
.
.
2
).
( r
E
h
r
ds
M
E r
S
S
L
L

 
 
)
(
.
.
.
2
).
(
2
1
r
E
h
r
ds
M
E r
S
S
S
S
S
G
L
B
B
G




 



 
5.3 Calcul de la quantité totale de charges Qint(SG) situées à l’intérieur de la
surface de Gauss SG (cas d’u fil chargé), la densité linéique constante nous
donne:
)
2
(
.
2
/
2
/
2
/
2
/
)
int( h
dl
dl
Q
dl
dq
h
h
h
h
SG



 













Le théorème de Gauss s’écrit :
r
r
Er
.
2
)
(
0



0
)
int(
).
(

 G
G
G
S
S
S
Q
ds
M
E
 

)
1
(
)
(
.
.
.
2 r
E
h
r r
SG

 
r
e
r
M
E
.
2
)
(
0



De (1) et (2) on peut déterminer le module du champ:
Par suite comme le champ est orienté selon er :
Pour le potentiel V(M), Il y a invariance de la distribution de charges par
translation selon z et par rotation par ϴ, donc V ne dépend ni de r ni de ϴ ; il
dépend uniquement de r :
)
(
)
( r
V
M
V 
r
r e
dr
r
dV
e
r
V
r
r
V
grad .
)
(
).
(
)
( 



)
(
)
,
,
(
).
(
)
( r
V
grad
z
r
V
grad
e
r
E
M
E r
r 



 
Par intégration on obtient :
r
dr
r
dV
r
Er
.
2
)
(
)
(
0






)]
[ln(
2
)]
[ln(
2
)
(
)
(
)]
[ln(
2
)
(
)
(
0
0
0
0
0
0
0
0
0
r
r
V
r
r
r
V
r
V
r
r
r
V
r
V













0
0
0
)]
[ln(
2
2 0
0
)
(
)
(
r
r
r
r
r
V
r
V
r
r
dr
dV







 

• Système cylindrique:
z
r e
z
r
V
z
e
z
r
V
r
e
z
r
V
r
M
V
grad )
,
,
(
)
,
,
(
1
)
,
,
(
))
(
( 


 









)
,
,
(
)
,
,
( z
r e
e
e
z
r
M 

• Système cylindrique:
z
z
r
r e
z
r
E
e
z
r
E
e
z
r
E
M
E )
,
,
(
)
,
,
(
)
,
,
(
)
( 

 
 


)
,
,
(
)
,
,
( z
r e
e
e
z
r
M 


 r
r e
r
E
M
E .
)
(
)
( r
r e
dr
r
dV
e
r
V
r
M
V
grad .
)
(
)
(
))
(
( 



))
(
(
)
( M
V
grad
M
E 


dr
r
dV
r
Er
)
(
)
( 

Module M312: Electricité
 Partie Électrostatique
Année Universitaire: 2021-2022 Par A. BRAHMI
 Partie Électrocinétique
 Champ et potentiel : calcul direct
 Champ et potentiel : Méthode de Gauss
 Courant et tension électriques
 Rappels Mathématiques
 Méthodes d’analyses des circuits
 Circuits électriques
Université Sultan Moulay Slimane
Faculté des Sciences et Techniques
Beni-Mellal
1. Définition : Courant électrique : déplacement de charges électriques
dans un conducteur sous l’action d’un champ électrique
dt
t
dQ
t
i
)
(
)
( 
L’unité du courant est l’Ampère notée : A
Dans ce cours, on s’intéresse au courant constant (permanent)
2. Sens du courant
Par convention, le sens du courant électrique dans un conducteur est celui
de déplacement des charges électriques positives (trous ou protons, ions...).
Chap 1: Le courant et la tension électriques
I. Courant électrique
Dans un circuit électrique, en un point d’un conducteur, le courant
électrique est le débit de charges électriques qui passent dans ce
conducteur en ce point :
1. Potentiel électrique : Il représente la concentration des charges électriques
en un point donné d’un circuit électrique.
2. Tension électrique:
Différence de potentiel entre deux points différents d’un circuit électrique.
II. La tension électrique:
Une pile contient deux bornes : une borne positive et une borne négative
Borne négative: excès d’électrons
Borne positive défaut d’électrons et excès de trous.
Concentration des trous forte au niveau de la borne positive
Concentration des trous faible à la borne négative
Potentiel : maximal à la borne positive et minimal à la borne négative.
Exemple :
Chap 1: Le courant et la tension électriques
III. Résistance et loi d’Ohm
Soit un conducteur AB de section S, de longueur L, de conductivité µ, et de
résistivité ρ.
S
L
S
L
S
L
R 



 


1
.
La résistance R du conducteur AB donnée par:
I
R
V
V
U B
A
AB 



La résistance R se représente dans un circuit par :
1. Définitions et relations
La loi d’ohm s’écrit :
Chap 1: Le courant et la tension électriques
2. Conventions de signes :
Les conventions adoptées pour les signes des courants et des tensions
(différence de potentiel ddp) sont :
• Si VA > VB le courant I entre par A et sort de B :
UAB=VA-VB=R*I
• Si VA < VB le courant I entre par B et sort par A :
UAB = VA-VB = - R*I
Chap 1: Le courant et la tension électriques
3. Association de résistances
3.1. Association en série : exemple de 3 résistances
I
R
I
R
R
R
I
R
I
R
I
R
U eq
AB 










 )
( 3
2
1
3
2
1
)
(
)
(
)
( B
M
M
N
N
A
B
A
AB V
V
V
V
V
V
V
V
U 















n
i
i
i
eq
n
i
i
i R
R
et
V
V
1
1
N.B : Le courant est le même pour toutes les résistances Ri
On pose :
Chap 1: Le courant et la tension électriques
3. Association de résistances
3.2 . Association parallèle :
3
2
1
3
2
1
3
2
1
1
1
1
1
)
1
1
1
(
R
R
R
R
R
U
U
R
R
R
R
U
R
U
R
U
I
eq
eq
AB
AB
AB
AB
AB











3
2
1 I
I
I
I
et
V
V
U B
A
AB 




3
2
1 V
V
V
UAB 


N.B : La tension est la même pour toutes les résistances Ri
Chap 1: Le courant et la tension électriques
3.2 . Transformation étoile en triangle
4. Transformation triangle-étoile des résistances
Chap 1: Le courant et la tension électriques
3.2 . Transformation triangle en étoile:
La transformation du triangle en étoile des résistances est parfois très utile
pour la simplification des circuits comportant des dérivations afin de faciliter les
écritures des lois des mailles et des nœuds afin de calculer les courants et les
tensions inconnus de certaines branches d’un circuit assez compliqué.
4. Transformation triangle-étoile des résistances
Chap 1: Le courant et la tension électriques
1. Circuit électrique
C’est un ensemble d’éléments appelés dipôles, reliées entre eux par des fils
conducteurs et constituent ainsi une structure fermée
I(t) = f(UAB) : La caractéristique courant - tension du dipôle AB
Chap 2: Les circuits électriques
2. Dipôle électrique
C’est un dispositif électrique qui s’insère dans un circuit électrique via deux
pôles, l’un est l’entrée du courant électrique (borne +) tandis que l’autre est son
sortie (Borne -). Il est caractérisé par sa réponse en courant I(t) à une
différence de potentiel UAB appliquée à ses bornes : I(t) = f(UAB)
N.B: On s’intéresse au cas ou le courant est établi de manière permanente
dans les circuits étudiés : c-à-d : I = cste
3. Convention générateur et récepteur
Dans la convention générateur, le courant et la tension ont le même sens
tandis que dans la convention récepteur on a des sens opposés.
Chap 2: Les circuits électriques
Convention générateur Convention récepteur
NB : Un dipôle AB est dit linéaire ssi sa caractéristique I = f(UAB) est une droite.
4. Dipôle passif et dipôle actif
Dans la convention générateur, le courant et la tension ont le même sens
tandis que dans la convention récepteur on a des sens opposés
4.1. Dipôle passif
a. Résistance (Ohm Ω)
b. Bobine d’induction ou self d’induction (Henry H)
L : Inductance de la bobine (self) exprimée en Henry notée H
Chap 2: Les circuits électriques
c. Condensateur (Farad F)
Un condensateur est un réservoir de charges électriques, il est formé de
deux armatures conductrices séparées par diélectrique. Il est caractérisé
par sa capacité C à emmagasiner des charges.
Les unités :
Chap 2: Les circuits électriques
4. Dipôle passif et dipôle actif
a. Générateurs
Dans les circuits on rencontre les générateurs réels, ceux idéaux, de deux
types : ceux de courant et ceux de tension.
a.1. Générateurs idéaux
Générateur de tension continue
Générateur de tension variable
Générateur de courant continu Générateur de courant variable
Chap 2: Les circuits électriques
4.2. Dipôle actif
a.2. Générateurs réels = idéal + résistance interne
Générateur réal de tension continue
Générateur réal de courant variable
Générateur réal de tension variable
Générateur réal de courant continu
Tout appareil qui fournit de l’énergie électrique (Batterie, Pile, Plaque PV, …
Chap 2: Les circuits électriques
a. Générateurs
4.2. Dipôle actif
a.3. Représentation dans un circuit:
La tension aux bornes du générateur réal s’écrit :
b. Récepteurs
Tout appareil qui reçoit de l’énergie électrique (moteurs, batteries ….) et la
convertit en une autre énergie qui n’est pas thermique (chaleur).
La tension aux bornes du récepteur réal est :
Avec:
3.3. Loi d’Ohm généralisé
La loi d’ohm dans ce cas est :
Considérons la branche AB suivante :
D’une manière générale, la loi d’ohm généralisée s’écrit :
Par convention:
I est positif si il entre par A et sort par B
I est négatif si il entre par B et sort par A
ei et e’i ont le signe du premier pôle rencontré en allant de A vers B
3.4. Caractéristiques électriques des dipôles:
La caractéristique courant tension d’un dipôle est la représentation ou la
courbe des variations du courant I qui le traverse en fonction des variations de
la tension U appliquée à ce dipôle.
a- dipôle passif :
C’est un récepteur qui convertit toute l’énergie électrique qu’il reçoit en énergie
thermique (chaleur).
Sa caractéristique électrique U=f(I) est une droite qui passe par l’origine O des
axes X et Y.
Exemple: Résistance, Interrupteur…….
La droite : uAB = R*I est une droite de pente R = ΔUAB/ ΔI et qui passe
par l’origine O.
- Cas d’une résistance R :
3.4. Caractéristiques électriques des dipôles:
b- Dipôle actif:
Ce type de dipôle peut jouer le rôle d’un récepteur et/ou d’un générateur:
- Il est générateur lorsqu’il fournit de l’énergie électrique à une charge,
- Il est récepteur dans le cas ou il consomme de l’énergie électrique pour la
convertir en une énergie autre que l’énergie thermique.
Sa caractéristique U=f(I) est une droite ne passant pas par l’origine O des axes
X et Y.
Exemple: Batterie de voiture, moteur électrique
3.4. Caractéristiques électriques des dipôles:
3.6. Puissance électrique disponible
La puissance perdue par la résistance R sous forme de chaleur (dissipée par
l’effet de Joule) est définie par :
N.B :Pour un générateur réel (E, r) délivrant un courant I, la puissance fournie
au récepteur alimenté s’écrit:
: est La puissance perdue par la résistance interne r du générateur
sous forme de chaleur (dissipée par l’effet de Joule).
4. Étude des circuits électriques
Les circuits sont constitués par des générateurs (idéaux ou réels, de tension
ou de courant), des résistances R, des capacités C et des inductances L liés
avec des fils conducteurs de liaisons.
4.1. Définitions :
Nœud : le point d’interconnexion d’au moins 3 fils conducteurs.
A chaque nœud correspond un potentiel dit de potentiel de nœud.
Branche : une portion du circuit située entre deux nœuds consécutifs;
Elle est formée d’une ou de plusieurs dipôles en série.
Maille : un ensemble de branche et de nœuds formant une structure
fermée en passant une seule fois par un nœud.
Exemple :
2 nœuds : C et D
3 branches : E1, (E2,R1) et (R2, R3)
3 mailles : ABDCA, CDFEC et ABFEA
5. Lois de Kirchhoff (lois de conservation des charges et de l’énergie)
Les lois de Kirchhoff sont les deux lois de conservation des charges
électriques au niveau d’un nœud (loi des nœuds) et celle de conservation de
l’énergie électrique le long d’une maille fermée (loi des mailles).
5.1. Loi des nœuds :
En régime permanent, la conservation des charges électriques se traduit par
la conservation du courant électrique.
En tout point d’un circuit donné, il n y a ni gain ni perte de charges électriques;
cela signifie donc que l’ensemble des courants entrants compense
exactement les courants sortants.
Ainsi en un nœud d’un circuit donné, la somme algébrique des courants est
nulle.
a. Présentation de la loi des nœuds :
La somme algébrique (signes : +, -) des courants entrant dans un nœud et
les courants sortant de ce même nœud est nulle.
b. Énoncé de la loi des nœuds :
Cette loi nécessite d’adopter une convention de signe pour les courants
en un nœud donné.
Généralement les courants qui arrivent au nœud sont comptés positifs et
ceux qui sortent sont comptés négatifs. De ce fait, la loi des nœuds est :
La somme algébrique des tensions en parcourant une maille dans un sens de
parcours choisi arbitraire est nulle.
c. Énoncé de la loi des mailles :
1) Choisir les sens pour tous les courants a priori sur le circuit étudié en
tenant compte des conventions générateur récepteur.
2) Choisir un sens de parcours arbitraire positif pour parcourir les mailles
fermées du circuit.
3) Flécher les différentes tensions aux bornes des éléments du circuits.
Avant d’appliquer et d’écrire ces deux lois (Nœud et/ou Maille), on doit :
Exemple :
6. Étude et analyse des circuits électriques
En électrocinétique, les exercices contiennent un certain nombre de données
(E,r, R, C, L..) et des inconnus à déterminer (I,V,R…). L’objectif principal est de
connaître tous les paramètres des éléments du circuit (E, r, R, C, L..) et les
valeurs des courants (et/ou des tensions) qui traversent ces divers éléments.
Afin d’atteindre ce but, on suit les étapes suivantes:
4. Choisir un sens arbitraire positif de parcours pour le parcours des
mailles du circuit
2. Compter le nombre de branches Nb, nommer et indiquer les courants qui
traversent chaque branche en leurs donnant des sens arbitraires aux divers
courants du circuit.
3. Flécher les différentes tensions aux bornes de chaque élément du circuit
en respectant les conventions: générateur et récepteur.
1. Attribuer des lettres aux divers nœuds du circuits électrique
et compter le nombre de nœuds Nn.
• En effet, nous avons Nn – 1 équations indépendantes tirées de la loi des
nœuds, donc il nous faut: Nb – (Nn - 1) équations indépendantes aussi
issues de la loi des mailles ou tous les courants doivent intervenir au
moins une seule fois dans les équations de la loi des mailles .
6. Appliquer la loi des mailles aux divers courants du circuit.
• En fait, Il faut un nombre d’équations indépendantes (lois des Nœuds et
Mailles) égal au nombres d’inconnus pour s’assurer que notre problème
admet une solution.
5. Appliquer la loi des nœuds (écrire Nn-1 équations indépendantes des
courants)
7. Résoudre le système d’équations et en tirer les solutions cherchées:
Substitution, Cramer(déterminant Δ), ……….
8. Vérifier si les résultats trouvés sont plausibles par les deux lois de Kirchhoff :
U : la tension totale aux bornes de toute la branche formée par les 3
résistances R1, R2, et R3 en série (même courant qui les traverse)
Dans le cas ou plusieurs résistances sont associées en série (sont sur une
même branche), la portion de la tension Ui de la ième résistance Ri vaut:
Chap 3: Méthodes d’analyse des circuits électriques
1. Diviseur de tension (cas d’une association série)
N.B: la tension totale U et les tensions partielles Ui ont le même sens.
I : le courant total qui arrive au nœud commun A des 3 résistances.
Dans le cas ou plusieurs résistances mises en parallèle entre deux nœuds,
la portion du courant Ii traversant la ième résistance Ri vaut:
Chap 3: Analyse des circuits électriques
2. Diviseur de courant (cas d’une association parallèle)
N.B: Le courant total I et les courants partiels Ii ont le même sens.
On cherche à déterminer les courants I1, I2 et I3 qui cerclent dans les trois
branches AB, CD et EF.
On se donne arbitrairement les sens des courants comme indiqués sur le
circuit étudié
Chap 3: Analyse des circuits électriques
Exemple
Chap 3: Analyse des circuits électriques
La résolution de ce système de 3 équations à 3 inconnus I1, I2 et I3 donne:
A partir de ces relations, connaissant les valeurs numériques des f.e.m e1 et
e2 et de résistances R1, R2, et R3, on peut calculer les valeurs des trois
courants I1, I2 et I3
N.B: Après avoir calculer les valeurs des courants a partir de leurs
sens choisis arbitrairement au départ, on peut alors déterminer leurs
vrais sens ( sens réels ou sens véritables).
Exemple
Chap 3: Analyse des circuits électriques
3. Théorème de Thevenin
Tout réseau électrique linéaire aussi compliqué situé entre deux bornes A et B
d’une branche donnée dans laquelle circule un courant peut être remplacé par un
générateur réel de tension ( Eth,Rth).
On peut utiliser ce théorème pour déterminer le courant (ou la tension)
dans n’importe quelle branche d’un circuit linéaire sans avoir à calculer les
autres courants des autres branches.
U = Eth
Chap 3: Analyse des circuits électriques
3. Théorème de Thevenin
Étapes à suivre pour appliquer le Théorème de Thevenin :
1) Désigner la branche AB ou circule le courant cherché,
2) Enlever la branche AB désignée du circuit,
3) Calculer la tension UAB = VA-VB = Eth entre A et B,
4) Remplacer les sources de tension idéales par des fils (les court-circuiter et les
source de courant par des circuits ouverts s’ils existent dans le circuit linéaire),
5) Toujours la branche désignée est supprimée, calculer la résistance équivalente
vue entre A et B : RAB = Rth
6) Dessiner alors le générateur réal de Thevenin (Eth,Rth en série entre A et B ),
NB : A ce niveau tout le circuit sauf la branche supprimée entre A et B est
remplacé par le générateur de Thevenin,
7) Placer ainsi la branche supprimée enter A et B,
8) Appliquer les lois de Kirchhoff (loi des mailles) pour tirer l’expression et
ecalculer ensuite la valeur du courant cherché (circulant entre A et B),
Chap 3: Analyse des circuits électriques
Exemple :
En utilisant le théorème de Thevenin, Trouver le
courant I2 qui traverse R2 ???
Le courant I2 circule dans la branche (E2,R2) située
entre les deux points A et M.
On supprime (E2, R2) , le circuit initial devient alors:
Calcul de Eth = VA-VM: tension entre A et M (circuit ouvert)
Calcul de Rth : La branche (E2, R2) , est toujours absente .
La source E1 est court-circuitée, le circuit devient alors:
La résistance rth vue enter A et M est alors :
Calcul de I2 :
On remplace le circuit formé par la branche (E1,R1) et
R3 par le générateur réal (Eth,Rth) et on fait revenir la
branche (E2,R2) coupée à sa place entre A et M ainsi
on obtient le circuit suivant :
On applique ensuite la loi des mailles :
Chap 3: Analyse des circuits électriques
Exemple :
Chap 3: Analyse des circuits électriques
4. Théorème de Millman (parallèle)
Il s’agit d’une application des lois des nœuds en un nœud dont on cherche un
potentiel par rapport à la masse (la masse est un potentiel nul).
Calcul de V0
1) Lois d’Ohm au niveau de chaque branche :
2) Les courants de chaque branche :
3) La loi des nœuds au point de potentiel cherché V0 :
4) On regroupe les V0 et on factorise, puis on tire V0 :
Chap 3: Analyse des circuits électriques
Application du Théorème de Millman
Ce théorème est très utile pour calculer les courants dans le cas d’un circuit
formé de plusieurs branches en parallèle avec un nœud à la masse.
4.1. Exemple 1: le point B est la masse de potentiel nul VB=0V
En suite, on calcule facilement les courants dans chaque
branche par la loi d’ohm:
UAB= VA-VB
Calcul de UAB par le théorème de Millman:
Calcul des courants :
I1, I2 et I3 ????
UAB= R*I2 UAB= E- r*I1 UAB= E‘+ r’*I3
Chap 3: Analyse des circuits électriques
4.2. Exemple 2: le point A est la masse de potentiel nul : VA=0V
De même, on calcule facilement les courants dans chaque branche par la loi
d’ohm
UBA = VB - VA = VB
Chap 3: Analyse des circuits électriques
5. Théorème de Pouillet : Série
Dans un circuit formé d’une seule maile, constitué des générateurs de tension ei de
résistances internes ri et de résistances Ri, le courant I circulant dans ce circuit est
donné par:
Exemple :
Chap 3: Analyse des circuits électriques
6. Théorème de superposition:
Dans un circuit électrique linéaire constitué de plusieurs sources indépendantes
(>=2), le courant cherché dans une branche est la somme algébrique des courants
générés dans cette branche par chacune des sources prises individuellement, les
autres sources étant court-circuitées.
Exemple 1 : On désire calculer le courant I qui circule dans ce réseau suivant:
N.B: Les courants générés qui ont le même sens que celui du courant
cherché sont comptés positifs tandis que ceux de sens inverse sont comptés
négatif.
Pouillet:
Pouillet:
Superposition:
+
Exemple 2 : Calculer le courant I3???? dans R3 de ce circuit suivant.
Utiliser les théorèmes d’analyse suivants :
Kirchhoff
Thevenin
Superposition
Millman.
On calcule les courants : I’1, I’2 et I’3 du circuit 1
et ensuite les courants : I’’1 , I’’2’ et I’’3 du circuit 2.
Et on applique le principe de superposition :
+
Superposition:
Chap 3: Champ magnétique
Magnétostatique: Branche de la physique qui étudie les phénomènes
créés par des charges électriques en mouvement uniforme ou par des
courants constants (indépendamment du temps).
I. Introduction:
Les charges se déplaçant à vitesse constante, créent des courants
continus dont les effets magnétiques sont indépendants du temps.
Ces effets peuvent être décrits à l’aide d’une grandeur vectorielle appelée :
champ magnétostatique
Dans cette troisième partie, on va étudier le champ magnétique créé par
des charges en mouvement et par des courants filiformes qui passent
dans les fils (conducteurs de section négligeable devant leurs
longueurs).
1. Champ magnétique créé par une charge en mouvement
II. Charges électriques en mouvement:
Le champ magnétique B créé en un point M par une charge q située en un point P
et animée d’une vitesse V est donné par :
Chap 3: Champ magnétique
unitaire
Vecteur
r
r
U
r
PM
r
U
v
q
r
r
v
q
PM
PM
v
q
M
B
PM
PM








;
4
4
4
)
( 2
0
3
0
3
0






B est perpendiculaire au plan (v, PM)
L’unité de B est le Tesla (T) mesuré par un Teslamètre
(Sonde de Hall+Dispositif électronique + afficheur).
2. Champ électrique créé par un ensemble de charges :
Chap 3: Champ magnétique
Considérons un nombre n de charges qi i=1…..n situées respectivement aux
points Pi et animées de vitesses Vi.
En vertu du principe de superposition, le champ magnétique total créé par cet
ensemble de charges est la somme vectorielle des champs créés par chaque
charge, soit:
n
i
pour
r
M
P i
i ....
1


2
0
3
0
3
1
0
4
4
4
)
(
i
M
P
i
i
i
i
i
i
i
i
i
i
n
i r
U
v
q
r
r
v
q
M
P
M
P
v
q
M
B i





 
 





3. Ordres de grandeurs de quelques champs magnétiques :
Chap 3: Champ magnétique
Champs magnétiques Valeurs
Champ magnétique terrestre 4 ,710-5 T
Champ magnétique d’un aiment 2.10-2 T
Champ magnétique d’une tache solaire 0,1 T
Champ d’une étoile à neutrons 108 T
Corps humain 3.10-10 T
Région protégée par un blindage 1 ,6.10-14 T
Soleil à sa surface 10-2 T
1 Répartition linéique de courant
II. Circuit filiforme parcouru par un courant continu constant (permanent):
Les conducteurs de faible section sont assimilés à des fils.
Le courant linéique est alors simplement le courant parcouru par le fil.
Chap 3: Champ magnétique
Le courant électrique dans le fil dépend à priori du temps et du point M
2. Loi de Biot et Savart
II. Circuit filiforme parcouru par un courant continu constant (permanent):
a. Historique:
Cette loi a été découverte et énoncée en 1820 par les deux Physiciens Biot et
Savart. Ils ont déterminé les champs créés par les deux circuits infinis suivants:
Chap 3: Champ magnétique












2
2
1
2
)
( 0
1
a
I
M
B

 









4
1
2
)
( 0
2



a
I
M
B
II. Circuit filiforme parcouru par un courant continu constant (permanent):
b. Énoncé de la loi de Biot et Savart:
On considère un circuit filiforme fermé (C) parcouru par un courant d’intensité I
constante.
Soit P un point du fil et dl un élément de longueur centré auteur du point P et
orienté dans le sens du courant I.
Cet élément dl crée en M un champ élémentaire dBP en M:
Chap 3: Champ magnétique
2
0
4
)
(
PM
U
dl
I
M
dB
PM
P







)
(
2
0
4
)
(
C
PM
PM
U
dl
I
M
B


unitaire
Vecteur
r
r
PM
PM
UPM 

Le champ total s’écrit alors:
• Les trois vecteurs ( dl, Upm, dB) forment un trièdre direct,
• dB est perpendiculaire à (dl, r),
• Le sens de dl est donné par celui du courant I
Comme B est défini par un produit vectoriel, la détermination
de son sens peut se faire en utilisant l’une des règles
suivantes:
• La main droite du bonhomme d’Ampère,
• Bonhomme d’Ampère,
• Tournevis ou tire bouchon.
N.B:
Chap 3: Champ magnétique
c. Détermination du sens de B
Chap 3: Champ magnétique
Cas d’un fil rectiligne
1. Règle de la main droite ou du bonhomme d’Ampère:
On met la main droite sur le fil et on oriente le pouce
dans le sens du courant I, les autres doigts enroulés
représentent le sens de rotation du champ B autour
du fil et indiquent donc le sens de B.
2. Régle du bonhomme d’Ampère:
Le bonhomme d’Ampère se place sur le fil de
telle sorte que le courant I entre par ses pieds
et sort par sa tête, regarde le point M, son
bras gauche indique alors le sens du champ
magnétique B.
Chap 3: Champ magnétique
Cas d’une spire circulaire
1. Règle du tire-bouchon:
Si on tourne le tire-bouchon dans le sens du courant I
alors il avance dans le sens du champ magnétique B
2. Règle du Tournevis:
Si on fait tourner le tournevis dans le sens du
courant I alors il avance dans le sens du champ
magnétique B.
c. Détermination du sens de B
d. Lignes du champ B:
Chap 3: Champ magnétique
Comme pour le champ électrostatique E, Ce sont des lignes tangentes au
champ B en tout point et orientées suivant ce champ.
Dans le cas d’un fil parcouru par un courant I constant, les lignes du
champs B sont des cercles concentriques (même centre) ayant pour axe le
fil.
III. Symétries et Invariances du champ magnétique B:
Chap 3: Champ magnétique
Pour considérer celles-ci, on procède de la même manière que pour le champ
électrique, on place un point M qui regarde la distribution, puis on le déplace
par translation le long de la distribution ou par rotation autour d’elle. Si le point
M voit la même distribution (rien ne change physiquement); il y a invariance et
le champ magnétique au point M ne dépendra pas de la coordonnée qui
"produit" l’invariance.
Les plans de symétries permettent de déterminer la direction (droite support du
champ B ).
La règle du tire bouchon indique le sens du champ magnétique B
1. Paramètres d’Invariances :
2. Plans de symétries : courants de même sens
Direction et sens de B:
Des réflexions sur les symétries et les invariances permettent de simplifier la
recherche du champ magnétique créé par une distribution de courants.
En deux point M et M’ symétriques par rapport à un plan
de symétrie π de la distribution, le champ magnétique
en M’ est l’opposé du symétrique du champ en M.
Propriété 2 :
Le champ magnétique change de sens à la traversée
du plan de symétrie.
Propriété 3 :
Si une distribution de courants admet un plan de symétrie,
alors le champ B est forcément orthogonal à ce plan.
Ainsi, l’existence d’un seul plan de symétrie permet de
trouver la direction du champ magnétique.
Propriété 1:
On considère une distribution volumique de courants
assimilables à des fils infinis collés les uns aux autres.
Prenons une distribution de courant ayant un plan de
symétrie π : courants de même sens.
2. Plans de symétries : Propriétés:
La distribution de courant suivante admet un plan
d’antisymétrie; courants de sens opposés.
Propriété 4 :
Si une distribution de courants admet un plan
d’antisymétrie, alors le champ est contenu dans ce plan.
Propriété 5 :
On peut également montrer qu’en deux point M et M’
symétriques par rapport à un plan d’antisymétrie de la
distribution, le champ magnétique en M’ est le
symétrique du champ B en M.
Le champ B est antisymétrique par rapport à un plan si ce
plan est un plan de symétrie pour les courants.
N.B :
3. Plans d’Antisymétries : Propriétés:

M312_Electricité_BCG.ppt

  • 1.
    Module M312: Électricité Partie Électrostatique Année Universitaire: 2021-2022 Par A. BRAHMI  Partie Électrocinétique  Champ et potentiel : calcul direct  Champ et potentiel : Méthode de Gauss  Courant et tension électriques  Systèmes de coordonnées  Méthodes d’analyses des circuits  Circuits électriques Université Sultan Moulay Slimane Faculté des Sciences et Techniques Beni-Mellal
  • 2.
    2 Ch 1: Rappelsur les systèmes de coordonnées I Définition: Un système de coordonnées (repère ou référentiel) est un dispositif de l’espace formé de : 1- Un origine : ou on commence nos mesures de distances (point O) 2- Des axes: dont le nombre dépend de la dimension de l’espace considéré. Son rôle est de faire correspondre à chaque point quelconque M de l’espace à N dimensions le même nombre N de scalaires (valeurs) afin de bien repérer la position de ce point M dans cet espace. Exemple : Repères cartésiens
  • 3.
    II Systèmes cartésiens 1)Repérage sur un axe : N=1 dimension de l’espace: Par exemple : sur l’axe (OX), la position de M est connue par la connaissance de la seule valeur ou du paramètre x. Dans ce cas le vecteur position de M s’écrit alors: x e x OM  .  En plus de l’origine O et de l’axe considéré, on prend un vecteur unitaire (norme = module = 1) d’origine O colinéaire avec cet axe pour: • Orienter cet axe, • Et définir les unités de mesures. Dans ce cas le vecteur unitaire est : x e  x est appelé l’abscisse de M
  • 4.
    II Systèmes cartésiens 2)Repérage sur un plan : N=2: dimension de l’espace: En plus de l’origine et de deux axes, on prend deux vecteurs unitaires (norme=module=1) d’origine O colinéaires respectivement avec les deux axes pris pour les orienter et définir les unités de mesures. Par exemple, sur le plan (XOY) formé par l’axe (OX) et l’axe (OY), à tout point M correspond un unique couple (x,y) de nombres appelés coordonnées de M. Dans ce cas le vecteur position de M(x,y) s’écrit alors: y x e y e x OM   . .   y e  Les deux vecteurs unitaires sont : et x est appelé abscisse de M y est appelé ordonnée de M x e 
  • 5.
    II Systèmes cartésiens 3)Repérage dans l’espace à 3 dimensions de l’espace (N=3): En plus de l’origine O et de trois axes nécessaires, on prend trois vecteurs unitaires (norme=module=1) d’origine O colinéaires respectivement avec les trois axes pris pour les orienter et définir les unités de mesures. A tout point M correspond un unique triple (x,y,z) de nombres appelés coordonnées de M.(M’ le projeté de M sur le plan (XOY) et M’’ le projeté sur l’axe des Z)) Dans ce cas le vecteur position de M s’écrit : z y x e z e y e x M M OM OM    . . . ' '      x est appelé abscisse de M y est appelé ordonnée de M z est appelé cote ou hauteur de M
  • 6.
    III Systèmes polaires 1)Repérage sur un disque ou sur un cercle: Ce type de système est plus adéquat pour repérer un point M sur un cercle (ou sur un disque). Dans cette situation, les coordonnées de M sont mieux définies par deux données: un rayon r et un angle Au niveau de M, on prend deux vecteurs unitaires : r r e e et OM OM e         e et er Dans ce cas, le vecteur position s’écrit: r e r OM  .  r = OM = (Ox,OM)
  • 7.
    ) , (  e er   Au niveaude M, on trace deux vecteurs: ces vecteurs forment la base polaire: La base : est dite locale. Elle varie avec la position du point M. ) , (  e er   La base : est fixe. Elle est liée à l’origine O. ) , ( y x e e   III Systèmes polaires 1) Repérage sur un disque ou sur un cercle:
  • 8.
    ) sin( . ) cos( .   r y r x   y x e r e r OM   ). sin( . ). cos( .    y x e y e x OM   . .   y x r e e e    ). sin( ). cos(      e  est un vecteur unitaire qui vérifie:   2 ,     e er   y x y x e e e e e e       ). cos( ). sin( ). 2 sin( ). 2 cos(                On a: III Systèmes polaires 2) Formules: Ainsi: Et:
  • 9.
    IV Systèmes cylindriques 1)Repérage sur la surface d’un cylindre: Ce type de système est plus adéquat pour repérer un point M sur la surface d’un cylindre. Dans cette situation, les coordonnées de M sont : Un rayon r, r = OM’ Un angle θ, θ = (Ox,OM’) Une hauteur ou une cote h ou z, z=MM’=h M’ projeté de M sur (XOY)
  • 10.
    ) , , (   e e er    Auniveau de M, on trace trois vecteurs: ces vecteurs forment la base sphérique: La base : est dite locale. Elle varie avec la position du point M. ) , , (   e e er    La base : est fixe. Elle est liée à l’origine O. ) , , ( z y x e e e    IV Systèmes cylindriques 1) Repérage sur la surface d’un cylindre:
  • 11.
    z r e z e r M M OM OM . . ' '     M M OM OM ' '  z y xe z e r e r OM    . ). sin( . ). cos( .      IV Systèmes cylindriques 2) Formules: r e  Et suivant ' OM  e  est un vecteur unitaire qui vérifie:   2 ,     e er   r e   e  z e  : Vecteurs unitaires
  • 12.
    ] 2 , 0 [ , ) , ( ] , 0 [ , ) , ( '            OM OX OM OZ OM r V Systèmes sphériques Cetype de système est plus adéquat pour repérer un point M sur la surface d’une sphère. Dans cette situation, les coordonnées de M sont : r, θ et telles que :  1) Repérage sur la surface d’une sphère: θ : Colatitude suivant les méridien : Longitude (Azimuth) suivant les parallèles 
  • 13.
    r e r OM  .  ) , , (   e e er    Dansce cas, le vecteur position s’écrit: Au niveau de M, on trace trois vecteurs: ces vecteurs forment la base sphérique: V Systèmes sphériques 1) Repérage sur la surface d’une sphère: La base : est dite locale. Elle varie avec la position du point M. ) , , (   e e er    La base : est fixe. Elle est liée à l’origine O. ) , , ( z y x e e e   
  • 14.
    Les deux triangles(OMzM) et (OMxMo) sont des triangles rectangles, ainsi les formules trigonométriques nous permettent d’arriver aux expressions suivantes: ) cos( . ) sin( '. ) sin( . ) cos( '.. ) cos( . ) sin( .       r OM z r OM y r OM x r OM MM z OM y OM x OM z o o o z z y x            V Systèmes sphériques 2) Formules:
  • 15.
  • 16.
    VIII Changement decoordonnées (trigonométrie) 1) Passage du polaire au cartésien: 2) Passage du cartésien au polaire :
  • 17.
    VIII Changement decoordonnées (trigonométrie) 1) Passage du cylindrique au cartésien: 1) Passage du cartésien au cylindrique :
  • 18.
    VIII Changement decoordonnées (trigonométrie) 2) Passage du cartésien au sphérique: 1) Passage du sphérique au cartésien : ) sin( .  r OM M M o z  
  • 19.
    ) , , ( z r e e e     Auniveau de M, on trace les vecteurs des bases : polaire : cylindrique : et sphérique : Ces bases sont dites locales. Elles varient avec la position du point M. ) , (  e er   La base : est fixe. Elle est liée à l’origine O, ainsi ces vecteurs ne changent pas de direction. ) , , ( z y x e e e    ) , , (   e e er    N.B:
  • 20.
    VII Changement debases (projection produit scalaire) Exprimer les coordonnées d’un système de référence en fonction des coordonnées d’un autre référentiel. les vecteurs unitaires de la base polaire en fonction de ceux cartésiens ) , (  e er   ) , ( y x e e   x y Tan y x r    ) ( 2 2  y x r y y r x x r r e e e e e e e e e e           ). sin( ). cos( ) . ( ) . (       y x y y x x e e e e e e e e e e           ). cos( ). sin( ) . ( ) . (            1) Principe 2) Exemple     d e d e et d e d e r r       
  • 21.
    VIII Longueur ,surface et volume élémentaires 1) Éléments infinitésimaux: La longueur élémentaire due au déplacement du point M de la position M(x) à la position M’(x+dx) sur l’axe (OX) est : x e dx OM d dl .   Sur un axe (cartésien): De même, le déplacement du point M de la position M(y) à la position M’(y+dy) sur l’axe (OY) est : y e dy OM d dl .   N.B: le point M est très proche de M’:voisinage
  • 22.
    VIII Longueur ,surface et volume élémentaires 1) Éléments infinitésimaux: Le déplacement du point M de la position M(x,y) à la position M’(x+dx, y+dy) sur le plan(XOY) est : y x e dy e dx OM d dl . .    Sur un plan (cartésien): Le déplacement dl du point M de la position M(x,z) à la position M’(x+dx, z+dz) sur le plan(XOZ) est : z x e dz e dx OM d dl . .    La surface élémentaire sur ce plan est : dy dx ds   Sur le plan (XOY): La surface élémentaire sur ce plan est : dz dx ds   Sur le plan (XOZ):
  • 23.
    VIII Longueur, surfaceet volume élémentaires 1) Éléments infinitésimaux: Le déplacement dl du point M de la position M(x,y) à la position M’(x+dx, y+dy) sur le plan(XOY) est :   e rd e dr e r d OM d dl r r . . ) . (     Sur un plan (polaire): La surface élémentaire sur ce plan est :  rd dr ds   Sur le plan (XOY): y x r e e e    ). sin( ). cos(     y x e e e    ). cos( ). sin(       r r e d e d et e d e d           
  • 24.
    Càd, ona :r = cte, on aura:   e rd OM d dlr .   N.B 1: M se déplace sur un cercle C(O,r) Sur un plan (polaire): Càd, ona : θ = cte, on aura: r r e dr dl .  N.B 2: M se déplace sur la droite de direction : r e
  • 25.
    VIII Longueur ,surface et volume élémentaires 1) Éléments infinitésimaux: Le déplacement dl du point M de la position M(x,y,z) à la position M’(x+dx, y+dy, z+dz) est : Les surfaces élémentaires sont: Le volume infinitésimal est: dz dy ds   dz dy dx dv    dy dx ds   dz dx ds   Sur le plan (XOY), z=cste : Sur le plan (XOZ), y=cste : Sur le plan (YOZ), x=cste : z y x e dz e dy e dx OM d dl . . .    
  • 26.
    Les éléments: dx,dy et dz Les éléments de surfaces ds L’élément de volume dv VIII Déplacement , surface et volume élémentaires 1) Éléments infinitésimaux: Dans l’espace (cartésien):
  • 27.
    VIII Longueur ,surface et volume élémentaires 1) Éléments infinitésimaux: Le déplacement du point M de la position M à la position M’ est : Les surfaces élémentaires sont: Le volume infinitésimal est: dz dr ds   dz d dr r dz rd dr dv           rd dr ds   dz rd ds    Sur le plan : Sur le plan : Sur le plan : z r e dz e rd e dr dl . . .      ) , ( z e e    ) , (  e er   ) , ( z r e e   Dans la base (cylindrique):
  • 28.
    Les éléments: Les élémentsde surfaces ds L’élément de volume dv VIII Longueur, surface et volume élémentaires 1) Éléments infinitésimaux: Dans l’espace (cylindrique):
  • 29.
      sin cos 0r OM et r z       sin sin cos sin r y et r x   z z r e u e e u e . sin . cos . cos . sin            y x y x e e e e e u . cos . sin . sin . cos            z y x z y x r e e e e e e e e . sin . sin . cos . cos . cos . cos . sin . sin . cos . sin                    Dans la base (sphérique): VIII Longueur, surface et volume élémentaires
  • 30.
    VIII Longueur, surfaceet volume élémentaires 1) Éléments infinitésimaux: Dans la base (sphérique): y x e e e . cos . sin        z y x z y x r e e e e e e e e . sin . sin . cos . cos . cos . cos . sin . sin . cos . sin                             e d e d d e d e e d e d r e dr e r d OM d r r r r r r . . sin . ) ( . . ) . (            Le déplacement du point M de la position M à la position M’ est :      e d r e rd e dr e r d OM d dl r r . sin . . ) . (     
  • 31.
    Les surfaces élémentairessont: Le volume infinitésimal est:  d r dr ds sin         d d dr r d r rd dr dv       sin sin 2  rd dr ds      d rd rd ds   Sur le plan : Sur le plan Sur le plan : ) , (   e e   ) , (  e er   ) , (  e er   VIII Longueur, surface et volume élémentaires 1) Éléments infinitésimaux: Dans la base (sphérique):
  • 32.
    VIII Longueur ,surface et volume élémentaires 1) Éléments infinitésimaux: Les éléments de surfaces ds: Les éléments: Dans l’espace (sphérique): L’élément de volume dv:
  • 33.
    VX. Cas d’utilisationdes systèmes de coordonnées • Le système polaire pour une distribution sous forme de: Cercle chargé. Disque (chargé en surface). • Le système cylindrique est utilisé pour une distribution de forme: fil chargé cylindre chargé soit en surface ou en volume • Le système sphérique est utilisé pour des distributions de forme sphérique chargée soit en surface ou en volume. • Le système cartésien est utilisé dans le cas ou la distribution est sous forme de: Fil rectiligne ( fini ou infini) chargé, Plan chargé en surface ( fini ou infini), Cube chargé en surface ou en volume, Parallélépipède chargé en surface ou en volume …
  • 34.
    VI Produit scalaire Ceproduit est un nombre (ou un scalaire), il mesure l’intensité de projection d’un vecteur sur un autre vecteur. Pour deux vecteur , le produit scalaire est défini par: 1 .   v u ) cos( . . ) , cos( . .  v u v u v u v u v u   v et u Remarques : Selon la valeur de θ, on distingue les trois cas suivants (cas des vecteurs unitaires): 0 .  v u 1 .  v u 1 .   v u 1) Définition
  • 35.
    1) Commutativité :u v v u . .  2) Produit par lui-même : 2 . u u u  3) Associativité : w u v u w v u . . ) ( .    2 2 2 ) ' ( ) ' ( ) ' ( ). ' ( ). ' ( ). ' ( ) ' , ' , ' ( ) , , ( int ' . ' . ' . . ) ' , ' , ' ( ) , , ( z z y y x x AB AB e z z e y y e x x AB z y x B et z y x A s po deux Pour z z y y x x v u z y x v et z y x u Pour z y x                 Dans la base cartésienne ) , , ( z y x e e e    VI Produit scalaire 2) propriétés
  • 36.
    VI Produit vectoriel 2)propriétés le produit vectoriel de deux vecteurs faisant un angle θ entre eux , est un vecteur w défini par: 1) Définition v u w   v et u Ce vecteur w est caractérisé par: 1) La direction : perpendiculaire au plan (u,v) 2) Le sens : le trièdre (u,v,w) est direct 3) Le module: ) sin(      v u v u w Le produit vectoriel de deux vecteurs est nul si: 1) ces deux vecteurs ont la même direction (θ est nul) 2) l’un d’eux est nul.
  • 37.
    VI Produit vectoriel leproduit vectoriel peut être calculé en utilisant les coordonnées cartésiennes via la formules suivantes: 1)Produit vectoriel (avec coordonnées cartésiennes) ) , , ( 1 2 2 1 2 1 1 2 1 2 2 1 1 2 2 1 2 1 1 2 1 2 2 1 2 2 2 1 1 1 ) ( ) ( ) ( z y x e e e x y x z y x y x y x z x z x z y z y e y x y x e z x z x e z y z y z y x z y x e e e v u                      
  • 38.
    VI Produit mixte(ou déterminant de trois vecteurs) le produit mixte de trois vecteurs est scalaire en faisant à la fois le produit vectoriel et le produit scalaire. Il est appelé aussi le déterminant de trois vecteurs. Il es défini par : z x y y x y z x x z x y z z y w v u v u w v u v u w v u v u ) ( ) ( ) (       1) Définition w v u z z z y y y x x x w v u w v u w v u v u w w v u     ) .( ). (
  • 39.
    Généralités : L’Electrostatique :est la discipline qui étudie les interactions (forces ) entre des particules chargées au repos (fixes, sans mouvement = statiques = rien ne bouge= immobiles) La discipline qui étudie les interactions entre des particules chargées dans le cas d’un mouvement uniforme s’appelle la magnétostatique L’électromagnétique est la branche de la physique qui étudie les interactions entre des particules chargées dans le cas d’un mouvement non uniforme (quelconque) Charge ponctuelle : particule ou corps de dimensions négligeables devant les distances qui les séparent avec d’autre charges. Chap 2 : Les distributions de charges
  • 40.
    Chap 2 :Les distributions de charges Exemples de charges électriques: N.B: Le signe – pour les é est arbitraire En général, la matière est neutre, mais elle peut être électrisée de deux façons différentes: • Ionisation: gain ou perte au niveau du nombre de charges (électrons ou trous) • Polarisation: modification au niveau des positions des charges (répartition modifiée, déformation du nuage électronique) Toute charge électrique est multiple de la charge élémentaire e qui est celle de l’électron : C
  • 41.
    3) Types dedistributions de charges : 1) Propriétés d’interaction: Une distribution de charge est un ensemble de charges électriques réparties soit d’une manière discrète ou continue dans l’espace. Ses charges peuvent être positives (protons +, ou trous), négatives (électrons -) ou neutres (neutrons).  La charge électrique constitue une propriété fondamentale des particules (ou de la matière). Elle est la source d’action et de réaction. Les charges de même signe sont répulsives, celles de signes différents sont attractives, et les neutrons n’ont aucun effet entre elles.  Cette interaction entre deux charges est analysée par la loi de Couloumb, qui est la base de l’électrostatique. Chap 2 : Les distributions de charges
  • 42.
    Chap 2 :Les distributions de charges 1) Distribution de charges électriques discrètes: 2) Distribution de charges électriques continues: Ces types de charges sont sous forme de point dites ponctuelles, caractérisées par: • Distances entre les charges sont importantes devant les dimensions des charges • Leurs nombres est limité Ce type de charges est continue, caractérisé par: • Distances intercharge sont négligeables devant les dimensions des charges • Leurs nombres est illimité, caractérisé par leur densité soit (linéique, surfacique ou volumique)
  • 43.
    Les distributions decharges 2) Distribution de charges électriques continues: Les distributions de charges continues sont caractérisées par leurs densités (quantité de charges par unité de volume) 2.1-Densité de charge: Exemple: Conducteur métallique: 5.1022 é/cm3 !! a- Distribution linéaire Dans l’élément dl, il y a une quantité dq, la densité de charge λ est alors: dl dq   b- Distribution surfacique Dans l’élément ds, il y a une quantité dq, la densité de charge σ est alors: ds dq   c- Distribution volumique Dans l’élément dv, il y a une quantité dq, la densité de charge ρ est alors: dv dq   (En C/m) (En C/m2) (En C/m3)
  • 44.
    Les distributions decharges 3) Plans de symétrie et paramètres d’invariance: 3.1-Plans de symétrie: L’étude des plans de symétrie et les paramètres d’invariance simplifient considérablement la détermination des expressions du champ et du potentiel électrostatiques dans le cas des distributions présentant des symétries. C’est un plan qui divise une distribution de charges électriques en deux parties identiques (signe et quantité) Exemple 1: Ce plan est perpendiculaire à cette distribution et la coupe en deux morceaux égaux
  • 45.
    Exemple 2: Filinfini uniformément chargé + Ce plan est perpendiculaire à ce fil chargé et le coupe en deux morceaux égaux Exemple 3: Plan infini uniformément chargé - Tout plan perpendiculaire à ce plan chargé et le coupe en deux morceaux égaux est un plan de symétrie. N.B: Une distribution de charges électriques peut admettre plusieurs plans de symétries (cas de l’exemple 3) Les distributions de charges 3) Plans de symétrie et paramètres d’invariance: 3.1-Plans de symétrie:
  • 46.
    3.2-Paramétres d’invariance : Siau cours d’un déplacement rectiligne selon un axe, la densité de charge d’une distribution reste la même, on dit que le paramètre associé à cet axe est un paramètre d’invariance de cette distribution de charges électriques. Exemple 1: Fil infini chargé uniformément λ = cste a - Invariance par translation suivant un axe : Lorsqu’on se déplace sur ce fil suivant l’axe des Z, rien ne change physiquement (même densité de charges en tout point du fil). Le paramètre z est un paramètre d’invariance du fil infini chargé. 3) Plans de symétrie et paramètres d’invariance: Les distributions de charges
  • 47.
    Exemple 2: Cylindre infinichargé uniformément en surface σ = cste d’axe (OZ) Lorsqu’on se déplace sur ce cylindre chargé suivant l’axe des Z, rien ne change physiquement (même densité de charges en tout point de la surface du cylindre). Le paramètre z est un paramètre d’invariance du cylindre infini chargé. Les distributions de charges 3) Plans de symétrie et paramètres d’invariance: a - Invariance par translation selon un axe :
  • 48.
    Exemple 3: Parallélépipède infinichargé uniformément en surface σ = cste d’axe (OZ) Lorsqu’on se déplace sur cette structure chargée suivant l’axe des Z, rien ne change physiquement (même densité de charges en tout point de la surface du parallélépipède). Le paramètre z est un paramètre d’invariance de cette distribution infinie chargée. Les distributions de charges 3) Plans de symétrie et paramètres d’invariance: a - Invariance par translation suivant un axe :
  • 49.
    Les distributions decharges Si la densité de charge reste inchangée lorsqu’on effectue un mouvement de rotation d’un angle ϴ auteur d’un axe on dit que cet angle est un paramètre d’invariance pour cette distribution Exemple : Cylindre chargé uniformément en surface σ = cste d’axe (OZ) 3) Plans de symétrie et paramètres d’invariance: b - Invariance par rotation d’un angle : Le paramètre ϴ est un paramètre d’invariance de cette distribution infinie chargée.
  • 50.
    c - Invariancepar double rotation autour d’un point :Distribution Sphérique Si au cours deux mouvements de rotation selon deux angles différents auteur d’un point la densité de charge reste inchangée on dit que ces deux angles sont deux paramètres d’invariance pour cette distribution Exemple : Sphère S(O,R) chargée uniformément en surface σ = cste La densité de charge ne varie pas par double rotation auteur du centre O de la sphère S(O,R) Les distributions de charges 3) Plans de symétrie et paramètres d’invariance: Les deux paramètres ϴ et φ sont deux paramètres d’invariance de cette distribution infinie chargée.
  • 51.
    Les distributions decharges 4 Plans de symétrie: direction du champ L’intersection d’au moins deux plans de symétrie distincts permet de déterminer la direction (ou support) du champ électrostatique créé par une distribution continue qui présente des symétries. 5 Paramètres d’invariance: variables du champ et/ ou du potentiel La détermination des paramètres d’invariance d’une distribution continue permet de connaître les variables dont dépend l’expression du champ électrostatique et/ou du potentiel. Le champ ne dépend pas des paramètres d’invariances. L’étude des plans de symétrie et des paramètres d’invariance simplifient considérablement les calculs des champs et / ou potentiels des distributions admettant des symétries.
  • 52.
    Chap 2 :Les distributions de charges 6 Choix de la base de travail : Ce choix est imposé par la forme (ou la géométrie) de la distribution étudiée (finie ou infinie). Le tableau suivant donne les choix pour les distributions les plus rencontrées: Distribution Base associée Fil rectiligne chargé Cylindrique (er ,eϴ ,ez) Cylindre chargé Cylindrique (er ,eϴ ,ez) Sphère chargée Sphérique (er , eϴ ,eφ) Disque ou cercle chargés Cylindrique (er , eϴ ,ez) Plan chargé Cylindrique (er , eϴ ,ez)
  • 53.
    Chap 3 :Champ et potentiel électrostatique des distributions discrètes 1 Loi de COULOUMB: Cette loi décrit les interactions entre deux charges électriques. Elle exprime les forces électrostatiques exercées entre deux charges électriques fixes l’une sur l’autre. k est la constante de Kouloumb: Est la permittivité du vide: : est un vecteur unitaire de sens: de A vers B. : est un vecteur unitaire de sens: de B vers A. ) . . ( 10 . 9 4 1 2 2 9 0    C m N k  ) . . ( 10 . 85 . 8 2 1 2 12 0     m N C  1 Définition:
  • 54.
    Chacune des deuxcharges exerce l’une sur l’autre une force de même intensité : principe d’action et de réaction ou des actions réciproques. Selon le signe de ces charges, on distingue deux cas: Cas1: q1 et q2 de même signe: Répulsion: Cas 2: q1 et q2 de signes opposés: Attraction: 2 Loi de COULOUMB: Cette force est radiale: dirigé selon la droite qui joint les deux charges q1 et q2. Elle est proportionnelle au produit des charges et au carré de l’inverse de la distance d qui les sépare. 2 Propriétés:
  • 55.
    2 Champ électrostatiqued’une charge ponctuelle: Soit q une charge ponctuelle (positive +) placée au point O et M un point quelconque de l’espace (M ≠ O). Q perturbe son environnement. Le champ électrostatique E(M) créé au point M par la charge q située en O caractérise cette perturbation. Ce champ est donné par: OM u OM q E   2 0 ) ( 4 1   ) . . ( 10 . 9 4 1 2 2 9 0    C m N k  ) . . ( 10 . 85 . 8 2 1 2 12 0     m N C  Constante multiplicative (de Coulomb): Permittivité du vide: 1  OM U  De sens de O vers M r OM  En Volt/ mettre (V/m) Chap 3 : Champ et potentiel électrostatique des distributions discrètes
  • 56.
    2 Champ électrostatiqued’une charge ponctuelle: Selon le signe de q, on distingue 2 cas: q > 0: ont le même sens : de O vers M OM U et M E   ) ( q < 0: ont des sens opposés OM U et M E   ) ( Toujours a un sens de O vers M OM U  0 ) ( 0      M E q Spectre du champ ou lignes du champ: Chap 3 : Champ et potentiel électrostatique des distributions discrètes
  • 57.
    3 Champ électrostatiqued’un ensemble de charges ponctuelles: Soient q1, q2, …..qn un ensemble de n charges ponctuelles placées respectivement aux points O1, O2, O3…..On M un point de l’espace (M ≠ Oi=1…N). ) ( 1 M E  : Le champ créé en M par q1 située en O1 au point M ) ( 2 M E  : Le champ en M par q2 située en O2 au point M ) (M Ei  : Le champ en M par qi située en Oi au point M ) (M En  : Le champ en M par qn située en On au point M Le champ total créé par toutes ces charges est : ) ( ..... ) ( ) ( ) ( 2 1 M E M E M E M E n         3.1 Principe de superposition : Chap 3 : Champ et potentiel électrostatique des distributions discrètes
  • 58.
    ) ( ) ( ) ( ) ( ) ( 4 3 2 1 M E M E M E M E M E          3Champ électrostatique d’un ensemble de charges ponctuelles: 3.2 Exemple : Principe de superposition : Chap 3 : Champ et potentiel électrostatique des distributions discrètes
  • 59.
    4 Potentiel électrostatiqued’une charge ponctuelle: Soit q une charge ponctuelle (positive +) placée au point O et M un point quelconque de l’espace (M ≠ O). Le potentiel électrostatique V(M) créé au point M par la charge q située en O est donné par: 0 0 4 1 ) ( V OM q M V    V0 : potentiel de référence ou constante d’intégration. Elle est choisie en général nulle (le potentiel est nul à l’infini) On peut aussi caractériser la perturbation du milieu due à la présentation des charges électriques par ce qu’on appelle : Le potentiel électrostatique. Champ électrostatique = variation du potentiel électrostatique L’unité du potentiel est le Volt (V). N.B : Pour r = 0 (M=O) ; ni le champ ni le potentiel ne sont pas définis. Chap 3 : Champ et potentiel électrostatique des distributions discrètes
  • 60.
    5 Potentiel électrostatiqued’un ensemble de charges ponctuelles: Soient q1, q2, …..qn un ensemble de n charges ponctuelles placées respectivement aux points O1, O2, O3…..On M un point de l’espace (M ≠ Oi=1…N). ) ( 1 M V : Le potentiel créé en M par q1 située en O1 au point M ) ( 2 M V : Le potentiel créé en M par q2 située en O2 au point M ) (M Vi : Le potentiel créé en M par qi située en Oi au point M ) (M Vn : Le potentiel créé en M par qn située en On au point M Principe de superposition : ) ( ..... ) ( ) ( ) ( 2 1 M V M V M V M V n     Chap 3 : Champ et potentiel électrostatique des distributions discrètes Soient :
  • 61.
    1 Champ d’unedistribution linéaire Ce type de distributions de charges est caractérisé par sa densité vu le nombre de charges qu’elles contiennent est illimité. Soit F un fil rectiligne chargé uniformément avec une densité linéique λ, Q est la charge totale de F. P un point fixe de F et M un point de l’espace L’élément dl auteur de P contient une quantité élémentaire de charges dq La densité de charges λ(P) au voisinage de P est : dl dq P  ) (  PM u PM p dq M E d   2 0 ) ( ) ( 4 1 ) (   Selon la loi de Coulomb, le champ électrostatique élémentaire dE(M) créé en M par dq(P) auteur de P est : P origine d M vers P sens de UPM ' : 1   1.1 Champ élémentaire dE(M) Chap 4 : Champ et potentiel électrostatique des distributions continues calcul direct (champ élémentaire): les integrales
  • 62.
    Le champ totalcréé par tout le fil F de longueur L contenat la charge totale Q au point M est alors:     L PM L u r p dq M E d M E    2 0 ) ( 4 1 ) ( ) (  l d q d Q L L           L PM u r dl M E   2 0 4 ) (   Dans le cas d’une distribution uniforme, λ = cste, Le champ total créé par tout le fil F de charge Q et de longueur L au point M est alors:   L PM u r dl M E   2 0 4 1 ) (   D’après la densité, on a: Ce qui permet d’écrire: 1 Champ d’une distribution linéaire 1.2 Champ total E(M) Chap 4 : Champ et potentiel électrostatique des distributions continues
  • 63.
    2 Champ d’unedistribution surfacique S une surface chargée uniformément avec une densité surfacique σ, Q est la charge totale de S. P un point fixe de S et M un point de l’espace L’élément ds auteur de P contient une quantité élémentaire de charges dq La densité de charges σ(P) au voisinage de P est : ds P dq P ) ( ) (   PM u PM p dq M E d   2 0 ) ( ) ( 4 1 ) (   Selon la loi de Coulomb, le champ électrostatique élémentaire dE(M) créé en M par dq(P) auteur de P est : 2.1 Champ élémentaire dE(M) P origine d M vers P sens de UPM ' : 1   Chap 3 : Champ et potentiel électrostatique des distributions continues
  • 64.
    Le champ totalcréé par toute la surface S de charge totale Q au point M est alors:     S PM S u r p dq M E d M E    2 0 ) ( 4 1 ) ( ) (  s d q d Q S S       Dans le cas d’une distribution uniforme σ = cste, Le champ total E(M) créé par toute la surface S de charge totale Q au point M est alors:    S PM u r ds M E   2 0 4 1 ) (   D’après la densité, on a: Ce qui permet d’écrire: 2 Champ d’une distribution surfacique 2.2 Champ total E(M)   S PM u r ds M E   2 0 4 ) (   r = PM Chap 3 : Champ et potentiel électrostatique des distributions continues
  • 65.
    Le volume élémentairedv contient la quantité élémentaire dq de charges : 3 Champs(élémentaire et total) d’une distribution volumique uniforme dv P dq   ) (  PM u r p dq M E d   2 0 ) ( 4 1 ) (     V PM u r dv M E   2 0 4 ) (   • Le champ élémentaire dE(M) créé par dq est alors : • Le champ total E(M) du à toutes les charges du volume V est alors : Chap 3 : Champ et potentiel électrostatique des distributions continues
  • 66.
    Pour les distributionsde charges continues uniformes (linéique λ, surfacique σ et volumique ρ), on utilise les expressions suivantes : 4 Potentiel des distributions de charges continues    V V r dv M V 0 0 4 ) (      S V r ds M V 0 0 4 ) (      L V r dl M V 0 0 4 ) (   • Linéique de densité λ : • Surfacique de densité σ : • Volumique de densité ρ : Chap 3 : Champ et potentiel électrostatique des distributions continues
  • 67.
    1 Expressions généralesde E(M) dans les référentiels • Système cartésien: z z y y x x e z y x E e z y x E e z y x E M E ) , , ( ) , , ( ) , , ( ) (    • Système cylindrique: z z r r e z r E e z r E e z r E M E ) , , ( ) , , ( ) , , ( ) (         • Système sphérique:           e r E e r E e r E M E r r ) , , ( ) , , ( ) , , ( ) (    ) , , ( ) , , ( z y x e e e z y x M ) , , ( ) , , (     e e e r M r ) , , ( ) , , ( z r e e e z r M   Chap 3 : Champ et potentiel électrostatique des distributions continues
  • 68.
    ) , , ( z y x E E E ) , , (z r E E E  ) , , (   E E Er : Les composantes du champ dans la base : Les composantes du champ dans la base : Les composantes du champ dans la base ) , , ( z y x e e e ) , , (   e e er ) , , ( z r e e e  1 Expressions générales de E(M) dans les référentiels ) , , ( var ) , , ( z y x e e e dans champ du iables ou M de s coordonnée z y x ) , , ( var ) , , ( z r e e e dans iables ou s coordonnée z r   ) , , ( var ) , , (     e e e dans iables ou s coordonnée r r Chap 3 : Champ et potentiel électrostatique des distributions continues
  • 69.
    • L’étude desplans de symétries et des paramètres des invariances simplifient considérablement les expressions générales du champs avant de se lancer dans les calculs. • Cette étude permet d’avoir une idée (direction et paramètres de variances ou variables) sur le résultat final avant tout calcul de ce champ. • les bases: polaire, cylindrique ou sphérique se tracent toujours au niveau du point M ou on désire calculer le champ et / ou le potentiel. Au niveau de O on trace la base cartésienne: • Généralement es plans de symétries permettent d’éliminer 2 vecteurs d’une base de travail (formée par 3 vecteurs directeurs) et de laisser qu’un seul vecteur directeur dans l’expression du champ et du potentiel. • La détermination des paramètres d’invariances permet elle aussi une simplification au niveau des variables ou les coordonnées de M. N.B: Pour les distributions continues présentant des symétries: Chap 3 : Champ et potentiel électrostatique des distributions continues ) , , ( z y x e e e
  • 70.
    2 Relations entrele champ et le potentiel • Champ = variation du potentiel dans l’espace : on dit que le champ dérive d’un potentiel selon la relation suivante: dl M E M V ). ( ) (    )) ( ( ) ( M V grad M E    • Si dans l’espace règne un champ E(M), le potentiel associé V(M) s’écrit : dl : déplacement élémentaire (longueur élémentaire) N.B :Le calcul de V(M) nécessite une constante d’intégration (ou potentiel de référence) notée V0 • La différence de potentiel ΔV entre deux points M1 et M2 est: )) ( ) ( ( ) ( 1 2 2 1 M V M V dl M E V M M         N.B :Le calcul de ΔV(M) ne nécessite pas de constante d’intégration V0 (ou potentiel de référence) Chap 3 : Champ et potentiel électrostatique des distributions continues
  • 71.
    La plupart desphénomènes physiques sont décrits par des équations différentielles qui utilisent les opérateurs différentiels. Parmi ces opérateurs on cite: - Le gradient, - La divergence, - Le rotationnel, - Le laplacien. Ces opérateurs sont des combinaisons de dérivées partielles par rapport aux coordonnées d’espace (cartésiennes, cylindrique et sphériques). 2 Relations entre le champ et le potentiel Chap 3 : Champ et potentiel électrostatique des distributions continues Le Gradient: Le gradient s’applique à une fonction scalaire U à plusieurs variables (3 variables au plus) et donne comme résultat un vecteur tel que: ) ( ) ( U U grad   Vecteur symbolique appelé Nabla qui s’exprime en fonction des dérivées partielles selon le système de coordonnées utilisé.
  • 72.
    Calcul du Gradientdans les systèmes de coordonnées: Système Cartésien: Système Cylindrique: Système Sphérique: ) , , ( ) , , (     u u u ou e e e r r ) , , ( ) , , ( ) , , ( z y x z y x u u u ou k j i ou e e e ) , , ( ) , , ( z r z r u u u ou e e e  
  • 73.
    Chap 3 :Champ et potentiel électrostatique des distributions continues Le Gradient dans les systèmes de coordonnées: • Système cartésien: z y x e z e y e x           • Système cylindrique: z r e z e r e r             1 • Système sphérique:      e r e r e r r              ) sin( 1 1 ) , , ( ) , , ( z y x e e e z y x M ) , , ( ) , , (     e e e r M r ) , , ( ) , , ( z r e e e z r M  
  • 74.
    Chap 3 :Champ et potentiel électrostatique des distributions continues 3 Gradient du potentiel V(M) dans les référentiels • Système cartésien: z y x e z y x V z e z y x V y e z y x V x M V grad ) , , ( ) , , ( ) , , ( )) ( (          • Système cylindrique: z r e z r V z e z r V r e z r V r M V grad ) , , ( ) , , ( 1 ) , , ( )) ( (               • Système sphérique:            e r V r e r V r e r V r M V grad r ) , , ( ) sin( 1 ) , , ( 1 ) , , ( )) ( (           ) , , ( ) , , ( z y x e e e z y x M ) , , ( ) , , (     e e e r M r ) , , ( ) , , ( z r e e e z r M  
  • 75.
    1 Flux Ødu champ E(M) à travers une surface 1) Le flux élémentaire dØ de E(M) à travers l’élément de surface infinitesimal ds est : ds n n n ds ds avec ds M E n ds M E ds M E d       1 . ) cos( . ). ( . ). ( . ) (   2) Le flux total Ø de E(M) à travers la surface totale S est alors : S E ds n E n ds M E ds M E S S S . . . . ). ( ). (         D’après la loi de Coulomb, la charge q > 0 placée au point O crée en M le champ : OM u OM q M E   2 0 ) ( 4 1 ) (   1  OM U  r OM  Au point M Chap 4 : Calcul indirect du champ et du potentiel électrostatiques des distributions continues (utilisant le champ total): TH de GAUSS
  • 76.
    2 Théorème deGauss: Raisons de symétries obligatoire pour la distribution étudiée Soit ds une surface élémentaire de S prise auteur de M: Soit Q une distribution de charges quelconque et S une surface fermée entourant Q et passant par un point de l’espace M. O un point fixe de la distribution Q. Le flux total Ø de E(M) sortant à travers la surface fermée S orientée est égale à la somme de toutes les charges électriques internes à cette surface S divisée par ε0: Soit E (M) Le champ total créé en M par la charge totale Q Chap 4 : Calcul indirect du champ et du potentiel électrostatiques des distributions continues
  • 77.
    3 Précision surle théo de Gauss • S est appelée surface de Gauss notée SG, elle est purement géométrique et choisie arbitrairement en fonction des symétries de la distribution étudiée. • Cette surface ne doit pas comporter de charges à sa surface c’est une surface imaginaire pour les calculs. • Elle est fermée et toujours finie et passe par le point M ou en désire déterminer le champ et /ou le potentiel. • Qint(S) : la somme de toutes les charges contenues à l’intérieur de SG • E(M) : Le champ total créé en M par la charge totale Q délimitée par SG Chap 4 : Calcul indirect du champ et du potentiel électrostatiques des distributions continues
  • 78.
    4 Choix dela surface de Gauss SG: Ce choix est imposé par la forme (ou la géométrie) de la distribution étudiée afin de simplifier les calculs du champ. Le tableau suivant donne les choix pour les distributions les plus rencontrées Distribution Surface de Gauss associée Fil chargé infini ou fini SG est un Cylindre fini Cylindre chargé SG est un Cylindre fini Sphère chargée SG est une Sphère finie Disque ou cercle chargés SG est un Cylindre (polaire) fini Plan chargé Cylindre (ou cartésienne) fini Chap 4 : Calcul indirect du champ et du potentiel électrostatiques des distributions continues
  • 79.
    5. Direction duchamp Dans le cas d’une distribution présentant des symétries, la direction du champ électrostatique est la droite d’intersection d’au moins deux plans de symétries différents choisis parmi ceux de la distribution de charge. Dans la base cartésienne les plans possibles différents sont 3 à savoir : ) , , ( 2 z x e e M P  ) , , ( z y x e e e ) , , ( 3 z y e e M P  ) , , ( 1 y x e e M P  Dans la base cylindrique les plans possibles sont 3 à savoir :. ) , , ( 2 z r e e M P  ) , , ( z r e e e  ) , , ( 3 z e e M P   ) , , ( 1  e e M P r  Dans la base sphérique les plans possibles sont 3 à savoir :. ) , , ( 2  e e M P r  ) , , (   e e er ) , , ( 3   e e M P  ) , , ( 1  e e M P r  N.B : Ces plans sont pris infinis . On les imagine toujours infinis et passent par M Chap 4 : Calcul indirect du champ et du potentiel électrostatiques des distributions continues
  • 80.
    6. Paramètres duchamp: exemple d’un cylindre infini chargé en surface Dans le cas d’une distribution présentant des paramètres d’invariances, l’expression du champ ne dépend pas des paramètres d’invariances de telle distribution de charges électriques. z et ϴ sont deux paramètres d’invariance du cylindre chargé La base de travail est cylindrique ) , , , ( z r e e e M  z z r r z z r r e r E e r E e r E e z r E e z r E e z r E M E ) ( ) ( ) ( ) , , ( ) , , ( ) , , ( ) (              Dans la base cylindrique les plans possibles sont 3 à savoir :. ) , , ( 2 z r e e M P  ) , , ( z r e e e  ) , , ( 3 z e e M P   ) , , ( 1  e e M P r  Chap 4 : Calcul indirect du champ et du potentiel électrostatiques des distributions continues
  • 81.
    Dans la basecylindrique les plans possibles sont 3 à savoir :. ) , , ( 2 z r e e M P  ) , , ( z r e e e  ) , , ( 3 z e e M P   ) , , ( 1  e e M P r  P3 n’est pas un plan de symétrie: P1 et P2 sont deux plans de symétries leur intersection est la droite : ) ( ) , ( OM e M D r   r r e r E M E ) ( ) (  Ainsi, l’expression du champ devient: Chap 4 : Calcul indirect du champ et du potentiel électrostatiques des distributions continues
  • 82.
    Chap 4: Calculindirect du champ et du potentiel électrostatiques des distributions continues 7.1. Notion du champ électrique Un champ est un ensemble de vecteurs E(M) définis en tout point de l’espace. Un champ électrostatique est un ensemble de vecteurs créées par des charges électriques immobiles en tout point M de l’espace. Vecteurs champ électrique d’une charge q : 7. Champ et flux
  • 83.
    7. Champ etflux Chap 4: Calcul indirect du champ et du potentiel électrostatiques des distributions continues 7.2. Champ électrique uniforme Un champ est dit uniforme ssi ce champ en tout point de l’espace vérifie les 3 conditions suivantes : • Même direction (droites supports sont parallèles) • Même sens • Même module (norme) Le flux électrique Ø sortant à travers une surface S est définie comme le produit scalaire du vecteur champ E(M) et du vecteur surface ds n ds ds .  ) , cos( ) , cos( . S E S E S E S E S E         7.3. Flux du champ électrique
  • 84.
    Chap 4: Calculindirect du champ et du potentiel électrostatiques des distributions continues ) , cos( ) , cos( . S E S E S E S E S E         7.3. Flux du champ électrique 7. Champ et flux Par analogie avec le débit d’un fluide, le flux électrique est la quantité de champ électrique traversant une surface donnée.
  • 85.
    8. Théorème deGauss Chap 4: Calcul indirect du champ et du potentiel électrostatiques des distributions continues Très utile: facilite les calculs du champ (module ou norme) et/ou du potentiel pour les distributions admettant des propriétés de symétries particulières Ces degrés de symétries facilitent aussi le calcul du flux par un choix adapté de la surface d’intégration (de Gauss) qui est en faite possède les mêmes symétries que la distribution étudiée. Pour appliquer le théorème de Gauss, on suit généralement les étapes suivantes : 1) Choix du système de coordonnée adapté à la distribution étudiée 2) Recherche de deux plans de symétries différents leur l’intersection donne la droite de direction du champ avant son calcul 3) Recherche des paramètres d’invariance pour sélectionner les variables dont dépend l’expression du module du champ
  • 86.
    8. Théorème deGauss Chap 4: Calcul indirect du champ et du potentiel électrostatiques des distributions continues 4) Choix approprié de la surface de Gauss (voir tableau de choix) N.B. La surface de Gauss SG est choisie de telle sorte à avoir les éléments ds soient parallèles ou perpendiculaires à la direction du champ. 5) Calcul de l’expression du flux total Ø du champ E à travers SG en fonction du module E du champ 6) Calcul de la quantité des charges totale Qint(SG) délimitée par SG 7) Déduction du module E du champ 8) Écriture de l’expression du champ E(M) 10) Déduction de l’expression du potentiel V(M)
  • 87.
    10. Exemples d’applicationdu Théorème de Gauss Chap 4: Calcul indirect du champ et du potentiel électrostatiques des distributions continues I) Calcul du champ créé par une charge ponctuelle positive Soit q une charge ponctuelle positive située en O et M un point de l’espace (M ≠ O). 1) La base de travail est la base sphérique (er, eϴ, eφ) 2) La direction du champ E(M) est la droite (OM), son sens est : O vers M pour q > 0 3) Le champ dépend uniquement de la distance OM = r. 4) La surface de Gauss SG est une sphère S(O,r) 5) Le flux Ø de E(M) à travers la sphère S(O,r) est :     ) , ( ) , ( ) , ( . ). ( ). ( r O S r O S r O S n ds M E ds M E  Cherchons le module E supposé non connu du champ E(M) créé en M par q.
  • 88.
          ) , ( ) , ( ) , ( ) , ( ). ( . . ) ( ). ( r O S r O Sr O S r O S ds M E n ds n M E ds M E      ) , ( ) , ( ) , ( . ). ( r O S r O S r O S ds E ds M E  Car : E(M) et ds sont colinéaires de même sens Le champ E(M) a le même module E en tout point de la sphère S(O,r) vu la symétrie sphérique. Le champ est orienté vers l’extérieur (q > 0) et il est parallèle à la normale n ( n : unitaire dirigé vers l’extérieur perpendiculaire à ds au point M)                     0 2 0 2 2 0 ) , ( 0 ) sin( ) sin( d d r d r rd ds r O S       2 2 ) sin( 0 2 0     d et d ) 1 ( . 4 . . ). ( ) , ( 2 ) , (      r O S r O S r E ds E ds M E   ) 2 ( ) int( q Q G S  6) La quantité totale de charges à l’intérieur de SG est: q. Ainsi :
  • 89.
    2 . . 4 . r E   0 ) int( ) , ( ) , ( ). (   G S r O S r O S Q ds M E    OM r OM U r q k e r q n r q U r q M E 2 2 0 2 0 2 0 . . . 4 . . . 4 . . . 4 ) (           2 0. . . 4 r q E    7) Le théorème de Gauss s’écrit alors: 0 0 ) int(   q Q G S  Le flux est : La quantité des charges délimitée par SG: Le module E du champ E(M) est alors : 8) Le champ E(M) est alors :
  • 90.
    II) Calcul duchamp créé par un fil rectiligne infini chargé uniformément Considérons un fil F placé sur l’axe (OZ) sous forme de droite (rectiligne) de longueur infinie chargé avec une densité linéique λ constante (uniforme) et positive. 1) La base de travail est la base cylindrique ( er, eϴ, ez) Système cylindrique: z z r r e z r E e z r E e z r E z r E M E ) , , ( ) , , ( ) , , ( ) , , ( ) (           ) , , ( ) , , ( z r e e e z r M   1    z r e e e  ) ( z r e e e    2) Dans cette base, l’expression générale du champ E(M) s’écrit: Chap 4: Calcul indirect du champ et du potentiel électrostatiques des distributions continues
  • 91.
    3) Direction deE(M) : Intersection de deux plans de symétrie différents Dans la base cylindrique les plans possibles sont 3 à savoir :. ) , , ( 2 z r e e M P  ) , , ( z r e e e  ) , , ( 3 z e e M P   ) , , ( 1  e e M P r  ) , , ( 2 z r e e M P  ) , , ( 1  e e M P r  Les deux plans : Sont deux plans de symétrie différents: prolongés a l’infini, ils coupent le fil en le divisant en deux parties identiques (signe et quantité). ) , , ( 3 z e e M P   Le plan : prolongé à l’infini , ce plan ne coupe pas ce fil , donc ce n’est pas un plan de symétrie du fil (il est parallèle au fil F) Ainsi la direction de E(M) est la droite : ) ( ) , ( 2 1 OM e M P P r    r r e z r E M E ). , , ( ) (   Ainsi E(M) devient : et
  • 92.
    4) Étude desparamètres d’invariance ) , , ( z r  Si on se déplace sur le fil suivant l’axe (OZ) rien ne change physiquement en ce qui concerne la densité (même densité de charges λ en tout point du fil F): z est un paramètre d’invariance par translation suivant l’axe (OZ), donc le champ ne dépend pas de la variable z. Si on effectue une rotation d’un angle ϴ autour du fil rien ne change physiquement (même densité de charges λ): ϴ est un paramètre d’invariance par rotation, donc le champ ne dépend pas de la variable ϴ. Ainsi, le champ ne dépend ni de ϴ ni de z et par suite l’expression générale du champ peut s’écrire alors d’une manière simplifiée: r r e r E M E ) ( ) (  5) Choix de la surface de Gauss SG SG est un cylindre fermé fini de rayon r et de hauteur h (les deux dimensions r et h sont finis) et d’axe (OZ). SG est composée de trois surfaces à savoir : deux surfaces de bases SB1 et SB2 et une surface latérale SL
  • 93.
    L B B G S S S S   2 1 L B B G S S S S        2 1 SG peut être se décomposée comme suit: 5) Calcul du flux de E(M) à travers la surface de Gauss SG 5.1 Orientation de la surface de gauss SG 2 2 2 .n ds ds B B  1 1 1 .n ds ds B B  3 .n ds ds L L 
  • 94.
    Pour les deuxbases, le champ E(M) est perpendiculaire aux vecteurs normaux n1 et n2 Pour la surface latérale, le champ E(M) est parallèle à la normale n3 Le champ E(M) est radial et constant sur la surface latérale SL car le rayon r de la surface de Gauss SG est fixe La charge est positive (λ > 0) donc le champ est orienté suivant er        L B B G S S S S ds M E ds M E ds M E ds M E ). ( ). ( ). ( ). ( 2 1 5.2 Calcul des Flux à travers les surfaces formant la surface de Gauss SG
  • 95.
           L B B G S S S S ds M E ds M E ds M E ds M E). ( ). ( ). ( ). ( 2 1 Sur les surfaces de base du cylindre de Gauss SG on a : 0 ). ( 0 ). ( 2 2 1 1       B B B B S S S S ds M E ds M E   0 ). ( ) (    ds M E ds M E r r r e ds ds et e r E M E . ). ( ) (   Sur la surface latérale SL du cylindre de Gauss SG on a :     L L L S r S S ds r E ds M E ). ( ). ( 
  • 96.
    Sur la surfacelatérale SL du cylindre de Gauss SG le champ E(M) est constant car r est fixe sur cette surface SL : r r r e r f e r E M E . ) ( . ) ( ) (   ] 2 , 2 [ ; ] 2 , 0 [ ; h h z fixe est r dz rd dsL                L L L L S r S r S S ds r E ds r E ds M E ) ( ). ( ). (  Sur la surface latérale SL du cylindre de Gauss SG la surface élémentaire dsL s’écrit : h r dz d r dz rd ds h h h h S L L . 2 . 2 / 2 / 2 0 2 2 2 0                    ) ( . . . 2 ). ( r E h r ds M E r S S L L      ) ( . . . 2 ). ( 2 1 r E h r ds M E r S S S S S G L B B G           
  • 97.
    5.3 Calcul dela quantité totale de charges Qint(SG) situées à l’intérieur de la surface de Gauss SG (cas d’u fil chargé), la densité linéique constante nous donne: ) 2 ( . 2 / 2 / 2 / 2 / ) int( h dl dl Q dl dq h h h h SG                   Le théorème de Gauss s’écrit : r r Er . 2 ) ( 0    0 ) int( ). (   G G G S S S Q ds M E    ) 1 ( ) ( . . . 2 r E h r r SG    r e r M E . 2 ) ( 0    De (1) et (2) on peut déterminer le module du champ: Par suite comme le champ est orienté selon er :
  • 98.
    Pour le potentielV(M), Il y a invariance de la distribution de charges par translation selon z et par rotation par ϴ, donc V ne dépend ni de r ni de ϴ ; il dépend uniquement de r : ) ( ) ( r V M V  r r e dr r dV e r V r r V grad . ) ( ). ( ) (     ) ( ) , , ( ). ( ) ( r V grad z r V grad e r E M E r r       Par intégration on obtient : r dr r dV r Er . 2 ) ( ) ( 0       )] [ln( 2 )] [ln( 2 ) ( ) ( )] [ln( 2 ) ( ) ( 0 0 0 0 0 0 0 0 0 r r V r r r V r V r r r V r V              0 0 0 )] [ln( 2 2 0 0 ) ( ) ( r r r r r V r V r r dr dV          
  • 99.
    • Système cylindrique: z re z r V z e z r V r e z r V r M V grad ) , , ( ) , , ( 1 ) , , ( )) ( (               ) , , ( ) , , ( z r e e e z r M   • Système cylindrique: z z r r e z r E e z r E e z r E M E ) , , ( ) , , ( ) , , ( ) (         ) , , ( ) , , ( z r e e e z r M     r r e r E M E . ) ( ) ( r r e dr r dV e r V r M V grad . ) ( ) ( )) ( (     )) ( ( ) ( M V grad M E    dr r dV r Er ) ( ) (  
  • 100.
    Module M312: Electricité Partie Électrostatique Année Universitaire: 2021-2022 Par A. BRAHMI  Partie Électrocinétique  Champ et potentiel : calcul direct  Champ et potentiel : Méthode de Gauss  Courant et tension électriques  Rappels Mathématiques  Méthodes d’analyses des circuits  Circuits électriques Université Sultan Moulay Slimane Faculté des Sciences et Techniques Beni-Mellal
  • 101.
    1. Définition :Courant électrique : déplacement de charges électriques dans un conducteur sous l’action d’un champ électrique dt t dQ t i ) ( ) (  L’unité du courant est l’Ampère notée : A Dans ce cours, on s’intéresse au courant constant (permanent) 2. Sens du courant Par convention, le sens du courant électrique dans un conducteur est celui de déplacement des charges électriques positives (trous ou protons, ions...). Chap 1: Le courant et la tension électriques I. Courant électrique Dans un circuit électrique, en un point d’un conducteur, le courant électrique est le débit de charges électriques qui passent dans ce conducteur en ce point :
  • 102.
    1. Potentiel électrique: Il représente la concentration des charges électriques en un point donné d’un circuit électrique. 2. Tension électrique: Différence de potentiel entre deux points différents d’un circuit électrique. II. La tension électrique: Une pile contient deux bornes : une borne positive et une borne négative Borne négative: excès d’électrons Borne positive défaut d’électrons et excès de trous. Concentration des trous forte au niveau de la borne positive Concentration des trous faible à la borne négative Potentiel : maximal à la borne positive et minimal à la borne négative. Exemple : Chap 1: Le courant et la tension électriques
  • 103.
    III. Résistance etloi d’Ohm Soit un conducteur AB de section S, de longueur L, de conductivité µ, et de résistivité ρ. S L S L S L R         1 . La résistance R du conducteur AB donnée par: I R V V U B A AB     La résistance R se représente dans un circuit par : 1. Définitions et relations La loi d’ohm s’écrit : Chap 1: Le courant et la tension électriques
  • 104.
    2. Conventions designes : Les conventions adoptées pour les signes des courants et des tensions (différence de potentiel ddp) sont : • Si VA > VB le courant I entre par A et sort de B : UAB=VA-VB=R*I • Si VA < VB le courant I entre par B et sort par A : UAB = VA-VB = - R*I Chap 1: Le courant et la tension électriques
  • 105.
    3. Association derésistances 3.1. Association en série : exemple de 3 résistances I R I R R R I R I R I R U eq AB             ) ( 3 2 1 3 2 1 ) ( ) ( ) ( B M M N N A B A AB V V V V V V V V U                 n i i i eq n i i i R R et V V 1 1 N.B : Le courant est le même pour toutes les résistances Ri On pose : Chap 1: Le courant et la tension électriques
  • 106.
    3. Association derésistances 3.2 . Association parallèle : 3 2 1 3 2 1 3 2 1 1 1 1 1 ) 1 1 1 ( R R R R R U U R R R R U R U R U I eq eq AB AB AB AB AB            3 2 1 I I I I et V V U B A AB      3 2 1 V V V UAB    N.B : La tension est la même pour toutes les résistances Ri Chap 1: Le courant et la tension électriques
  • 107.
    3.2 . Transformationétoile en triangle 4. Transformation triangle-étoile des résistances Chap 1: Le courant et la tension électriques
  • 108.
    3.2 . Transformationtriangle en étoile: La transformation du triangle en étoile des résistances est parfois très utile pour la simplification des circuits comportant des dérivations afin de faciliter les écritures des lois des mailles et des nœuds afin de calculer les courants et les tensions inconnus de certaines branches d’un circuit assez compliqué. 4. Transformation triangle-étoile des résistances Chap 1: Le courant et la tension électriques
  • 109.
    1. Circuit électrique C’estun ensemble d’éléments appelés dipôles, reliées entre eux par des fils conducteurs et constituent ainsi une structure fermée I(t) = f(UAB) : La caractéristique courant - tension du dipôle AB Chap 2: Les circuits électriques 2. Dipôle électrique C’est un dispositif électrique qui s’insère dans un circuit électrique via deux pôles, l’un est l’entrée du courant électrique (borne +) tandis que l’autre est son sortie (Borne -). Il est caractérisé par sa réponse en courant I(t) à une différence de potentiel UAB appliquée à ses bornes : I(t) = f(UAB) N.B: On s’intéresse au cas ou le courant est établi de manière permanente dans les circuits étudiés : c-à-d : I = cste
  • 110.
    3. Convention générateuret récepteur Dans la convention générateur, le courant et la tension ont le même sens tandis que dans la convention récepteur on a des sens opposés. Chap 2: Les circuits électriques Convention générateur Convention récepteur NB : Un dipôle AB est dit linéaire ssi sa caractéristique I = f(UAB) est une droite.
  • 111.
    4. Dipôle passifet dipôle actif Dans la convention générateur, le courant et la tension ont le même sens tandis que dans la convention récepteur on a des sens opposés 4.1. Dipôle passif a. Résistance (Ohm Ω) b. Bobine d’induction ou self d’induction (Henry H) L : Inductance de la bobine (self) exprimée en Henry notée H Chap 2: Les circuits électriques
  • 112.
    c. Condensateur (FaradF) Un condensateur est un réservoir de charges électriques, il est formé de deux armatures conductrices séparées par diélectrique. Il est caractérisé par sa capacité C à emmagasiner des charges. Les unités : Chap 2: Les circuits électriques 4. Dipôle passif et dipôle actif
  • 113.
    a. Générateurs Dans lescircuits on rencontre les générateurs réels, ceux idéaux, de deux types : ceux de courant et ceux de tension. a.1. Générateurs idéaux Générateur de tension continue Générateur de tension variable Générateur de courant continu Générateur de courant variable Chap 2: Les circuits électriques 4.2. Dipôle actif
  • 114.
    a.2. Générateurs réels= idéal + résistance interne Générateur réal de tension continue Générateur réal de courant variable Générateur réal de tension variable Générateur réal de courant continu Tout appareil qui fournit de l’énergie électrique (Batterie, Pile, Plaque PV, … Chap 2: Les circuits électriques a. Générateurs 4.2. Dipôle actif
  • 115.
    a.3. Représentation dansun circuit: La tension aux bornes du générateur réal s’écrit :
  • 116.
    b. Récepteurs Tout appareilqui reçoit de l’énergie électrique (moteurs, batteries ….) et la convertit en une autre énergie qui n’est pas thermique (chaleur). La tension aux bornes du récepteur réal est : Avec:
  • 117.
    3.3. Loi d’Ohmgénéralisé La loi d’ohm dans ce cas est : Considérons la branche AB suivante : D’une manière générale, la loi d’ohm généralisée s’écrit : Par convention: I est positif si il entre par A et sort par B I est négatif si il entre par B et sort par A ei et e’i ont le signe du premier pôle rencontré en allant de A vers B
  • 118.
    3.4. Caractéristiques électriquesdes dipôles: La caractéristique courant tension d’un dipôle est la représentation ou la courbe des variations du courant I qui le traverse en fonction des variations de la tension U appliquée à ce dipôle. a- dipôle passif : C’est un récepteur qui convertit toute l’énergie électrique qu’il reçoit en énergie thermique (chaleur). Sa caractéristique électrique U=f(I) est une droite qui passe par l’origine O des axes X et Y. Exemple: Résistance, Interrupteur…….
  • 119.
    La droite :uAB = R*I est une droite de pente R = ΔUAB/ ΔI et qui passe par l’origine O. - Cas d’une résistance R : 3.4. Caractéristiques électriques des dipôles:
  • 120.
    b- Dipôle actif: Cetype de dipôle peut jouer le rôle d’un récepteur et/ou d’un générateur: - Il est générateur lorsqu’il fournit de l’énergie électrique à une charge, - Il est récepteur dans le cas ou il consomme de l’énergie électrique pour la convertir en une énergie autre que l’énergie thermique. Sa caractéristique U=f(I) est une droite ne passant pas par l’origine O des axes X et Y. Exemple: Batterie de voiture, moteur électrique 3.4. Caractéristiques électriques des dipôles:
  • 121.
    3.6. Puissance électriquedisponible La puissance perdue par la résistance R sous forme de chaleur (dissipée par l’effet de Joule) est définie par : N.B :Pour un générateur réel (E, r) délivrant un courant I, la puissance fournie au récepteur alimenté s’écrit: : est La puissance perdue par la résistance interne r du générateur sous forme de chaleur (dissipée par l’effet de Joule).
  • 122.
    4. Étude descircuits électriques Les circuits sont constitués par des générateurs (idéaux ou réels, de tension ou de courant), des résistances R, des capacités C et des inductances L liés avec des fils conducteurs de liaisons. 4.1. Définitions : Nœud : le point d’interconnexion d’au moins 3 fils conducteurs. A chaque nœud correspond un potentiel dit de potentiel de nœud. Branche : une portion du circuit située entre deux nœuds consécutifs; Elle est formée d’une ou de plusieurs dipôles en série. Maille : un ensemble de branche et de nœuds formant une structure fermée en passant une seule fois par un nœud.
  • 123.
    Exemple : 2 nœuds: C et D 3 branches : E1, (E2,R1) et (R2, R3) 3 mailles : ABDCA, CDFEC et ABFEA
  • 124.
    5. Lois deKirchhoff (lois de conservation des charges et de l’énergie) Les lois de Kirchhoff sont les deux lois de conservation des charges électriques au niveau d’un nœud (loi des nœuds) et celle de conservation de l’énergie électrique le long d’une maille fermée (loi des mailles). 5.1. Loi des nœuds : En régime permanent, la conservation des charges électriques se traduit par la conservation du courant électrique. En tout point d’un circuit donné, il n y a ni gain ni perte de charges électriques; cela signifie donc que l’ensemble des courants entrants compense exactement les courants sortants. Ainsi en un nœud d’un circuit donné, la somme algébrique des courants est nulle. a. Présentation de la loi des nœuds :
  • 125.
    La somme algébrique(signes : +, -) des courants entrant dans un nœud et les courants sortant de ce même nœud est nulle. b. Énoncé de la loi des nœuds : Cette loi nécessite d’adopter une convention de signe pour les courants en un nœud donné. Généralement les courants qui arrivent au nœud sont comptés positifs et ceux qui sortent sont comptés négatifs. De ce fait, la loi des nœuds est :
  • 126.
    La somme algébriquedes tensions en parcourant une maille dans un sens de parcours choisi arbitraire est nulle. c. Énoncé de la loi des mailles : 1) Choisir les sens pour tous les courants a priori sur le circuit étudié en tenant compte des conventions générateur récepteur. 2) Choisir un sens de parcours arbitraire positif pour parcourir les mailles fermées du circuit. 3) Flécher les différentes tensions aux bornes des éléments du circuits. Avant d’appliquer et d’écrire ces deux lois (Nœud et/ou Maille), on doit : Exemple :
  • 127.
    6. Étude etanalyse des circuits électriques En électrocinétique, les exercices contiennent un certain nombre de données (E,r, R, C, L..) et des inconnus à déterminer (I,V,R…). L’objectif principal est de connaître tous les paramètres des éléments du circuit (E, r, R, C, L..) et les valeurs des courants (et/ou des tensions) qui traversent ces divers éléments. Afin d’atteindre ce but, on suit les étapes suivantes: 4. Choisir un sens arbitraire positif de parcours pour le parcours des mailles du circuit 2. Compter le nombre de branches Nb, nommer et indiquer les courants qui traversent chaque branche en leurs donnant des sens arbitraires aux divers courants du circuit. 3. Flécher les différentes tensions aux bornes de chaque élément du circuit en respectant les conventions: générateur et récepteur. 1. Attribuer des lettres aux divers nœuds du circuits électrique et compter le nombre de nœuds Nn.
  • 128.
    • En effet,nous avons Nn – 1 équations indépendantes tirées de la loi des nœuds, donc il nous faut: Nb – (Nn - 1) équations indépendantes aussi issues de la loi des mailles ou tous les courants doivent intervenir au moins une seule fois dans les équations de la loi des mailles . 6. Appliquer la loi des mailles aux divers courants du circuit. • En fait, Il faut un nombre d’équations indépendantes (lois des Nœuds et Mailles) égal au nombres d’inconnus pour s’assurer que notre problème admet une solution. 5. Appliquer la loi des nœuds (écrire Nn-1 équations indépendantes des courants) 7. Résoudre le système d’équations et en tirer les solutions cherchées: Substitution, Cramer(déterminant Δ), ………. 8. Vérifier si les résultats trouvés sont plausibles par les deux lois de Kirchhoff :
  • 129.
    U : latension totale aux bornes de toute la branche formée par les 3 résistances R1, R2, et R3 en série (même courant qui les traverse) Dans le cas ou plusieurs résistances sont associées en série (sont sur une même branche), la portion de la tension Ui de la ième résistance Ri vaut: Chap 3: Méthodes d’analyse des circuits électriques 1. Diviseur de tension (cas d’une association série) N.B: la tension totale U et les tensions partielles Ui ont le même sens.
  • 130.
    I : lecourant total qui arrive au nœud commun A des 3 résistances. Dans le cas ou plusieurs résistances mises en parallèle entre deux nœuds, la portion du courant Ii traversant la ième résistance Ri vaut: Chap 3: Analyse des circuits électriques 2. Diviseur de courant (cas d’une association parallèle) N.B: Le courant total I et les courants partiels Ii ont le même sens.
  • 131.
    On cherche àdéterminer les courants I1, I2 et I3 qui cerclent dans les trois branches AB, CD et EF. On se donne arbitrairement les sens des courants comme indiqués sur le circuit étudié Chap 3: Analyse des circuits électriques Exemple
  • 132.
    Chap 3: Analysedes circuits électriques La résolution de ce système de 3 équations à 3 inconnus I1, I2 et I3 donne: A partir de ces relations, connaissant les valeurs numériques des f.e.m e1 et e2 et de résistances R1, R2, et R3, on peut calculer les valeurs des trois courants I1, I2 et I3 N.B: Après avoir calculer les valeurs des courants a partir de leurs sens choisis arbitrairement au départ, on peut alors déterminer leurs vrais sens ( sens réels ou sens véritables). Exemple
  • 133.
    Chap 3: Analysedes circuits électriques 3. Théorème de Thevenin Tout réseau électrique linéaire aussi compliqué situé entre deux bornes A et B d’une branche donnée dans laquelle circule un courant peut être remplacé par un générateur réel de tension ( Eth,Rth). On peut utiliser ce théorème pour déterminer le courant (ou la tension) dans n’importe quelle branche d’un circuit linéaire sans avoir à calculer les autres courants des autres branches. U = Eth
  • 134.
    Chap 3: Analysedes circuits électriques 3. Théorème de Thevenin Étapes à suivre pour appliquer le Théorème de Thevenin : 1) Désigner la branche AB ou circule le courant cherché, 2) Enlever la branche AB désignée du circuit, 3) Calculer la tension UAB = VA-VB = Eth entre A et B, 4) Remplacer les sources de tension idéales par des fils (les court-circuiter et les source de courant par des circuits ouverts s’ils existent dans le circuit linéaire), 5) Toujours la branche désignée est supprimée, calculer la résistance équivalente vue entre A et B : RAB = Rth 6) Dessiner alors le générateur réal de Thevenin (Eth,Rth en série entre A et B ), NB : A ce niveau tout le circuit sauf la branche supprimée entre A et B est remplacé par le générateur de Thevenin, 7) Placer ainsi la branche supprimée enter A et B, 8) Appliquer les lois de Kirchhoff (loi des mailles) pour tirer l’expression et ecalculer ensuite la valeur du courant cherché (circulant entre A et B),
  • 135.
    Chap 3: Analysedes circuits électriques Exemple : En utilisant le théorème de Thevenin, Trouver le courant I2 qui traverse R2 ??? Le courant I2 circule dans la branche (E2,R2) située entre les deux points A et M. On supprime (E2, R2) , le circuit initial devient alors: Calcul de Eth = VA-VM: tension entre A et M (circuit ouvert) Calcul de Rth : La branche (E2, R2) , est toujours absente . La source E1 est court-circuitée, le circuit devient alors: La résistance rth vue enter A et M est alors :
  • 136.
    Calcul de I2: On remplace le circuit formé par la branche (E1,R1) et R3 par le générateur réal (Eth,Rth) et on fait revenir la branche (E2,R2) coupée à sa place entre A et M ainsi on obtient le circuit suivant : On applique ensuite la loi des mailles : Chap 3: Analyse des circuits électriques Exemple :
  • 137.
    Chap 3: Analysedes circuits électriques 4. Théorème de Millman (parallèle) Il s’agit d’une application des lois des nœuds en un nœud dont on cherche un potentiel par rapport à la masse (la masse est un potentiel nul). Calcul de V0 1) Lois d’Ohm au niveau de chaque branche : 2) Les courants de chaque branche : 3) La loi des nœuds au point de potentiel cherché V0 : 4) On regroupe les V0 et on factorise, puis on tire V0 :
  • 138.
    Chap 3: Analysedes circuits électriques Application du Théorème de Millman Ce théorème est très utile pour calculer les courants dans le cas d’un circuit formé de plusieurs branches en parallèle avec un nœud à la masse. 4.1. Exemple 1: le point B est la masse de potentiel nul VB=0V En suite, on calcule facilement les courants dans chaque branche par la loi d’ohm: UAB= VA-VB Calcul de UAB par le théorème de Millman: Calcul des courants : I1, I2 et I3 ???? UAB= R*I2 UAB= E- r*I1 UAB= E‘+ r’*I3
  • 139.
    Chap 3: Analysedes circuits électriques 4.2. Exemple 2: le point A est la masse de potentiel nul : VA=0V De même, on calcule facilement les courants dans chaque branche par la loi d’ohm UBA = VB - VA = VB
  • 140.
    Chap 3: Analysedes circuits électriques 5. Théorème de Pouillet : Série Dans un circuit formé d’une seule maile, constitué des générateurs de tension ei de résistances internes ri et de résistances Ri, le courant I circulant dans ce circuit est donné par: Exemple :
  • 141.
    Chap 3: Analysedes circuits électriques 6. Théorème de superposition: Dans un circuit électrique linéaire constitué de plusieurs sources indépendantes (>=2), le courant cherché dans une branche est la somme algébrique des courants générés dans cette branche par chacune des sources prises individuellement, les autres sources étant court-circuitées. Exemple 1 : On désire calculer le courant I qui circule dans ce réseau suivant: N.B: Les courants générés qui ont le même sens que celui du courant cherché sont comptés positifs tandis que ceux de sens inverse sont comptés négatif.
  • 142.
  • 143.
    Exemple 2 :Calculer le courant I3???? dans R3 de ce circuit suivant. Utiliser les théorèmes d’analyse suivants : Kirchhoff Thevenin Superposition Millman.
  • 144.
    On calcule lescourants : I’1, I’2 et I’3 du circuit 1 et ensuite les courants : I’’1 , I’’2’ et I’’3 du circuit 2. Et on applique le principe de superposition : + Superposition:
  • 145.
    Chap 3: Champmagnétique Magnétostatique: Branche de la physique qui étudie les phénomènes créés par des charges électriques en mouvement uniforme ou par des courants constants (indépendamment du temps). I. Introduction: Les charges se déplaçant à vitesse constante, créent des courants continus dont les effets magnétiques sont indépendants du temps. Ces effets peuvent être décrits à l’aide d’une grandeur vectorielle appelée : champ magnétostatique Dans cette troisième partie, on va étudier le champ magnétique créé par des charges en mouvement et par des courants filiformes qui passent dans les fils (conducteurs de section négligeable devant leurs longueurs).
  • 146.
    1. Champ magnétiquecréé par une charge en mouvement II. Charges électriques en mouvement: Le champ magnétique B créé en un point M par une charge q située en un point P et animée d’une vitesse V est donné par : Chap 3: Champ magnétique unitaire Vecteur r r U r PM r U v q r r v q PM PM v q M B PM PM         ; 4 4 4 ) ( 2 0 3 0 3 0       B est perpendiculaire au plan (v, PM) L’unité de B est le Tesla (T) mesuré par un Teslamètre (Sonde de Hall+Dispositif électronique + afficheur).
  • 147.
    2. Champ électriquecréé par un ensemble de charges : Chap 3: Champ magnétique Considérons un nombre n de charges qi i=1…..n situées respectivement aux points Pi et animées de vitesses Vi. En vertu du principe de superposition, le champ magnétique total créé par cet ensemble de charges est la somme vectorielle des champs créés par chaque charge, soit: n i pour r M P i i .... 1   2 0 3 0 3 1 0 4 4 4 ) ( i M P i i i i i i i i i i n i r U v q r r v q M P M P v q M B i              
  • 148.
    3. Ordres degrandeurs de quelques champs magnétiques : Chap 3: Champ magnétique Champs magnétiques Valeurs Champ magnétique terrestre 4 ,710-5 T Champ magnétique d’un aiment 2.10-2 T Champ magnétique d’une tache solaire 0,1 T Champ d’une étoile à neutrons 108 T Corps humain 3.10-10 T Région protégée par un blindage 1 ,6.10-14 T Soleil à sa surface 10-2 T
  • 149.
    1 Répartition linéiquede courant II. Circuit filiforme parcouru par un courant continu constant (permanent): Les conducteurs de faible section sont assimilés à des fils. Le courant linéique est alors simplement le courant parcouru par le fil. Chap 3: Champ magnétique Le courant électrique dans le fil dépend à priori du temps et du point M
  • 150.
    2. Loi deBiot et Savart II. Circuit filiforme parcouru par un courant continu constant (permanent): a. Historique: Cette loi a été découverte et énoncée en 1820 par les deux Physiciens Biot et Savart. Ils ont déterminé les champs créés par les deux circuits infinis suivants: Chap 3: Champ magnétique             2 2 1 2 ) ( 0 1 a I M B             4 1 2 ) ( 0 2    a I M B
  • 151.
    II. Circuit filiformeparcouru par un courant continu constant (permanent): b. Énoncé de la loi de Biot et Savart: On considère un circuit filiforme fermé (C) parcouru par un courant d’intensité I constante. Soit P un point du fil et dl un élément de longueur centré auteur du point P et orienté dans le sens du courant I. Cet élément dl crée en M un champ élémentaire dBP en M: Chap 3: Champ magnétique 2 0 4 ) ( PM U dl I M dB PM P        ) ( 2 0 4 ) ( C PM PM U dl I M B   unitaire Vecteur r r PM PM UPM   Le champ total s’écrit alors:
  • 152.
    • Les troisvecteurs ( dl, Upm, dB) forment un trièdre direct, • dB est perpendiculaire à (dl, r), • Le sens de dl est donné par celui du courant I Comme B est défini par un produit vectoriel, la détermination de son sens peut se faire en utilisant l’une des règles suivantes: • La main droite du bonhomme d’Ampère, • Bonhomme d’Ampère, • Tournevis ou tire bouchon. N.B: Chap 3: Champ magnétique
  • 153.
    c. Détermination dusens de B Chap 3: Champ magnétique Cas d’un fil rectiligne 1. Règle de la main droite ou du bonhomme d’Ampère: On met la main droite sur le fil et on oriente le pouce dans le sens du courant I, les autres doigts enroulés représentent le sens de rotation du champ B autour du fil et indiquent donc le sens de B. 2. Régle du bonhomme d’Ampère: Le bonhomme d’Ampère se place sur le fil de telle sorte que le courant I entre par ses pieds et sort par sa tête, regarde le point M, son bras gauche indique alors le sens du champ magnétique B.
  • 154.
    Chap 3: Champmagnétique Cas d’une spire circulaire 1. Règle du tire-bouchon: Si on tourne le tire-bouchon dans le sens du courant I alors il avance dans le sens du champ magnétique B 2. Règle du Tournevis: Si on fait tourner le tournevis dans le sens du courant I alors il avance dans le sens du champ magnétique B. c. Détermination du sens de B
  • 155.
    d. Lignes duchamp B: Chap 3: Champ magnétique Comme pour le champ électrostatique E, Ce sont des lignes tangentes au champ B en tout point et orientées suivant ce champ. Dans le cas d’un fil parcouru par un courant I constant, les lignes du champs B sont des cercles concentriques (même centre) ayant pour axe le fil.
  • 156.
    III. Symétries etInvariances du champ magnétique B: Chap 3: Champ magnétique Pour considérer celles-ci, on procède de la même manière que pour le champ électrique, on place un point M qui regarde la distribution, puis on le déplace par translation le long de la distribution ou par rotation autour d’elle. Si le point M voit la même distribution (rien ne change physiquement); il y a invariance et le champ magnétique au point M ne dépendra pas de la coordonnée qui "produit" l’invariance. Les plans de symétries permettent de déterminer la direction (droite support du champ B ). La règle du tire bouchon indique le sens du champ magnétique B 1. Paramètres d’Invariances : 2. Plans de symétries : courants de même sens Direction et sens de B: Des réflexions sur les symétries et les invariances permettent de simplifier la recherche du champ magnétique créé par une distribution de courants.
  • 157.
    En deux pointM et M’ symétriques par rapport à un plan de symétrie π de la distribution, le champ magnétique en M’ est l’opposé du symétrique du champ en M. Propriété 2 : Le champ magnétique change de sens à la traversée du plan de symétrie. Propriété 3 : Si une distribution de courants admet un plan de symétrie, alors le champ B est forcément orthogonal à ce plan. Ainsi, l’existence d’un seul plan de symétrie permet de trouver la direction du champ magnétique. Propriété 1: On considère une distribution volumique de courants assimilables à des fils infinis collés les uns aux autres. Prenons une distribution de courant ayant un plan de symétrie π : courants de même sens. 2. Plans de symétries : Propriétés:
  • 158.
    La distribution decourant suivante admet un plan d’antisymétrie; courants de sens opposés. Propriété 4 : Si une distribution de courants admet un plan d’antisymétrie, alors le champ est contenu dans ce plan. Propriété 5 : On peut également montrer qu’en deux point M et M’ symétriques par rapport à un plan d’antisymétrie de la distribution, le champ magnétique en M’ est le symétrique du champ B en M. Le champ B est antisymétrique par rapport à un plan si ce plan est un plan de symétrie pour les courants. N.B : 3. Plans d’Antisymétries : Propriétés: