Campus des Réseaux Informatiques et Télécommunications
(https://www.facebook.com/groups/RESEAUX2INFORMATIQUES2TELECOM/)
Auteur : El Hassan EL AMRI (Campus des Réseaux Informatiques et Télécommunications)
Présentation
Il existe plusieurs méthodes pour effectuer la configuration basic d’un routeur CISCO. Deux méthodes
sont présentées ci-dessous :
- L’utilisation du mode setup
- La configuration manuelle CLI
Mais il est également possible de configurer un routeur à l’aide d’un fichier contenu sur un serveur
TFTP où à l’aide de l’outil ‘ConfigMaker’ (outil Cisco gratuit), par l’interface WEB.
La configuration des routeurs est toujours stockée sur (NVRAM) dans un fichier appelé startup-config
qui est utilisé au démarrage du routeur. Il est alors chargé en RAM où il devient le fichier running-
config.
Chaque commande saisie en mode console modifie directement la configuration stockée en RAM. En
cas d’erreur, il est encore possible de revenir en arrière pour restaurer une configuration valide (en
utilisant la commande (copy startup-config running-config), toutes les modifications sont alors
perdues. A l’inverse, il est également possible de sauvegarder les modifications (commande running-
config startup-config ou write memory).
Les fichiers de configuration sont exportables et importables sur le même routeur ou sur un autre
routeur grâce au protocole TFTP. Les fichiers exportés sont modifiables à l’aide d’un éditeur de texte.
Connexion PC-Routeur
La connexion PC-Routeur se fait avec le câble console bleu entre le port console du routeur et un port
série du PC.
Pour accèdes à la configuration d’un routeur via un câble console, on peut utiliser certains logiciels
gratuit disponible sur internet comme : Tera Term or Putty
Configuration de base des routeurs CISCO
Campus des Réseaux Informatiques et Télécommunications
(https://www.facebook.com/groups/RESEAUX2INFORMATIQUES2TELECOM/)
Auteur : El Hassan EL AMRI (Campus des Réseaux Informatiques et Télécommunications)
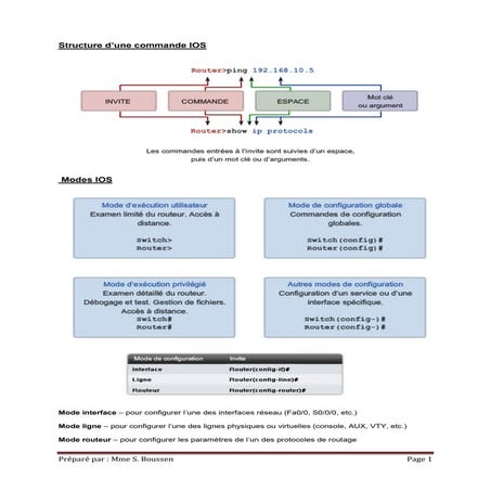
Configuration manuelle du routeur en ligne de commande CLI
Configuration du nom du routeur
Commandes Explications
Router>
Router>enable
Router#conf t (configure terminal)
Router(config)# hostname groupe
Router(config)# banner motd # /Message/#
Mode EXEC utilisateur
Passer au mode EXEC privilégié
Passer au monde configuration globale
Donner le nom groupe pour notre routeur
Configurer une bannière d’accueil
Configuration des mots de passe
Commandes Explications
Router(config)# enable secret @dm1n
Router(config)# line console 0
Router(config-line)#password @dm2n
Router(config-line)#login
Router(config-line)#exit
Router(config)# line vty 0 15
Router(config-line)#password @dm3n
Router(config-line)#login
Router(config-line)#exit
Router(config)# service password-encryption
Définir le mot de passe enable secret pour le
mode privilégié  @dm1n
Configurer un mot de passe pour la console 
@dm2n
Configurer un mot de passe telnet
 @dm3n
Crypter les mots de passe
Configuration des mots de passe
Commandes Explications
Router(config)#interface fast0/0
Router(config-if)#ip address ip_address mask
Router(config-if)#no shutdown
Router(config-if)#exit
Router(config)#interface Serial0/0/0
Router(config-if)#ip address ip_address mask
Router(config-if)#no shutdown
Router(config-if)#clockrate 64000
Router(config-if)#exit
Accès à l’interface fastEthernet 0/0 (exemple)
Donner @IP et le Mask de l’interface fa0/0
Activation de l’interface
Sortir mode configuration de l’interface
Accès à l’interface Serial 0/0/0 (exemple)
Donner @IP et le Mask de l’interface S0/0/0
Activation de l’interface
Définir l’horloge par exemple
Sortir mode configuration de l’interface
Remarque : Suivant la référence, le routeur peut avoir des interfaces différentes.
Campus des Réseaux Informatiques et Télécommunications
(https://www.facebook.com/groups/RESEAUX2INFORMATIQUES2TELECOM/)
Auteur : El Hassan EL AMRI (Campus des Réseaux Informatiques et Télécommunications)
Configuration des protocoles de routage
Configuration routage statique
Commandes Explications
Router(config)# ip route 0.0.0.0 0.0.0.0 0.0.0.0
Router(config)# ip route X.X.X.X Y.Y.Y.Y
ethernet 1/0
Configuration d’une route par défaut
Cette commande représente comment configurer
une route statique
X.X.X.X : le réseau à atteindre
Y.Y.Y.Y : Masque sous-réseau
Ethernet1/0 : interface pour joindre le réseau
On peut aussi utiliser l'adresse IP du prochain
routeur.
Configuration routage dynamique
Commandes Explications
Router(config)#router rip
Router(config-router)# version {1,2}
Router(config)#network X.X.X.X
Router(config-router)# default-information
originate
Activer le RIP
Définir la version
Déclaration des réseaux connectés aux
interfaces du routeur
propagation de la route par défaut
Configuration OSPF
Commandes Explications
Router(config)# router ospf ID
Router(config-router)# network @ de réseau
masque générique area 0
Router(config-router)# default-information
originate
Activer OSPF avec un numéro ID
Définir le réseau voisin avec le masque
générique Area 0 fait référence à la zone
OSPF
propagation de la route par défaut
Configuration EIGRP
Commandes Explications
Router(config)# router eigrp ID
Router(config-router)# network @ de réseau
masque générique
Activer EIGRP avec un numéro ID
Définir le réseau voisin avec le masque
générique
Campus des Réseaux Informatiques et Télécommunications
(https://www.facebook.com/groups/RESEAUX2INFORMATIQUES2TELECOM/)
Auteur : El Hassan EL AMRI (Campus des Réseaux Informatiques et Télécommunications)
Configuration DHCP
Commandes Explications
Router(config)# service dhcp
Router(config)#ip dhcp pool nom_pool
Router(dhcp-config)# network adrIP masque
Router(dhcp-config)#default-router Y.Y.Y.Y
Router(dhcp-config)# ip dhcp excluded-address
Démarrer le service DHCP
Commencer la configuration DHCP et
donner un nom pour le pool DHCP
Définir @ Réseau et le maque
Définir la route par défaut
Définir la plage non allouée
Les commandes de sauvegarde
Commandes Explications
Les Commandes SHOW
Commandes Explications
Router# show running-config
Router# show startup-config
Router# show interfaces
Router# show history
Router# show ip route
Router# show ip dhcp binding
Router# show ip rip database
Router# show ip ospf database
Router# show ip eigrp database
Router# show ?
Afficher la configuration en cours
Afficher la configuration enregistrée dans
NVRAM
Afficher les interfaces avec leurs
informations en brief :
Afficher toutes les commandes tapées
Afficher la table de routage
Afficher la configuration DHCP
Afficher les informations de protocole de
routage RIP
Afficher les informations de protocole de
routage OSPF
Afficher les informations de protocole de
routage EIGRP
Afficher des autres informations sur les
commandes SHOW
Pour afficher les informations sur n’importe quelle commande :
Routeur# commande ?
Router# copy running-config startup-config
Router# copy run tftp://adrIPserveur:/_fichier
Router# copy star tftp
Router# copy tftp startup-config ou copy tftp
star
Router# copy tftp running-config ou
copy tftp run
Router# erase startup-config ou erase star
Sauvegarde la configuration courante en
NVRAM
Sauvegarde sur un serveur TFTP
Sauvegarde NVRAM vers un serveur TFTP
Charge un fichier de configuration d'un
serveur TFTP en NVRAM
Charge un fichier de configuration d'un
serveur TFTP dans la configuration
courante
Efface la configuration de la NVRAM

Les commandes CISCO (routeur)

  • 1.
    Campus des RéseauxInformatiques et Télécommunications (https://www.facebook.com/groups/RESEAUX2INFORMATIQUES2TELECOM/) Auteur : El Hassan EL AMRI (Campus des Réseaux Informatiques et Télécommunications) Présentation Il existe plusieurs méthodes pour effectuer la configuration basic d’un routeur CISCO. Deux méthodes sont présentées ci-dessous : - L’utilisation du mode setup - La configuration manuelle CLI Mais il est également possible de configurer un routeur à l’aide d’un fichier contenu sur un serveur TFTP où à l’aide de l’outil ‘ConfigMaker’ (outil Cisco gratuit), par l’interface WEB. La configuration des routeurs est toujours stockée sur (NVRAM) dans un fichier appelé startup-config qui est utilisé au démarrage du routeur. Il est alors chargé en RAM où il devient le fichier running- config. Chaque commande saisie en mode console modifie directement la configuration stockée en RAM. En cas d’erreur, il est encore possible de revenir en arrière pour restaurer une configuration valide (en utilisant la commande (copy startup-config running-config), toutes les modifications sont alors perdues. A l’inverse, il est également possible de sauvegarder les modifications (commande running- config startup-config ou write memory). Les fichiers de configuration sont exportables et importables sur le même routeur ou sur un autre routeur grâce au protocole TFTP. Les fichiers exportés sont modifiables à l’aide d’un éditeur de texte. Connexion PC-Routeur La connexion PC-Routeur se fait avec le câble console bleu entre le port console du routeur et un port série du PC. Pour accèdes à la configuration d’un routeur via un câble console, on peut utiliser certains logiciels gratuit disponible sur internet comme : Tera Term or Putty Configuration de base des routeurs CISCO
  • 2.
    Campus des RéseauxInformatiques et Télécommunications (https://www.facebook.com/groups/RESEAUX2INFORMATIQUES2TELECOM/) Auteur : El Hassan EL AMRI (Campus des Réseaux Informatiques et Télécommunications) Configuration manuelle du routeur en ligne de commande CLI Configuration du nom du routeur Commandes Explications Router> Router>enable Router#conf t (configure terminal) Router(config)# hostname groupe Router(config)# banner motd # /Message/# Mode EXEC utilisateur Passer au mode EXEC privilégié Passer au monde configuration globale Donner le nom groupe pour notre routeur Configurer une bannière d’accueil Configuration des mots de passe Commandes Explications Router(config)# enable secret @dm1n Router(config)# line console 0 Router(config-line)#password @dm2n Router(config-line)#login Router(config-line)#exit Router(config)# line vty 0 15 Router(config-line)#password @dm3n Router(config-line)#login Router(config-line)#exit Router(config)# service password-encryption Définir le mot de passe enable secret pour le mode privilégié  @dm1n Configurer un mot de passe pour la console  @dm2n Configurer un mot de passe telnet  @dm3n Crypter les mots de passe Configuration des mots de passe Commandes Explications Router(config)#interface fast0/0 Router(config-if)#ip address ip_address mask Router(config-if)#no shutdown Router(config-if)#exit Router(config)#interface Serial0/0/0 Router(config-if)#ip address ip_address mask Router(config-if)#no shutdown Router(config-if)#clockrate 64000 Router(config-if)#exit Accès à l’interface fastEthernet 0/0 (exemple) Donner @IP et le Mask de l’interface fa0/0 Activation de l’interface Sortir mode configuration de l’interface Accès à l’interface Serial 0/0/0 (exemple) Donner @IP et le Mask de l’interface S0/0/0 Activation de l’interface Définir l’horloge par exemple Sortir mode configuration de l’interface Remarque : Suivant la référence, le routeur peut avoir des interfaces différentes.
  • 3.
    Campus des RéseauxInformatiques et Télécommunications (https://www.facebook.com/groups/RESEAUX2INFORMATIQUES2TELECOM/) Auteur : El Hassan EL AMRI (Campus des Réseaux Informatiques et Télécommunications) Configuration des protocoles de routage Configuration routage statique Commandes Explications Router(config)# ip route 0.0.0.0 0.0.0.0 0.0.0.0 Router(config)# ip route X.X.X.X Y.Y.Y.Y ethernet 1/0 Configuration d’une route par défaut Cette commande représente comment configurer une route statique X.X.X.X : le réseau à atteindre Y.Y.Y.Y : Masque sous-réseau Ethernet1/0 : interface pour joindre le réseau On peut aussi utiliser l'adresse IP du prochain routeur. Configuration routage dynamique Commandes Explications Router(config)#router rip Router(config-router)# version {1,2} Router(config)#network X.X.X.X Router(config-router)# default-information originate Activer le RIP Définir la version Déclaration des réseaux connectés aux interfaces du routeur propagation de la route par défaut Configuration OSPF Commandes Explications Router(config)# router ospf ID Router(config-router)# network @ de réseau masque générique area 0 Router(config-router)# default-information originate Activer OSPF avec un numéro ID Définir le réseau voisin avec le masque générique Area 0 fait référence à la zone OSPF propagation de la route par défaut Configuration EIGRP Commandes Explications Router(config)# router eigrp ID Router(config-router)# network @ de réseau masque générique Activer EIGRP avec un numéro ID Définir le réseau voisin avec le masque générique
  • 4.
    Campus des RéseauxInformatiques et Télécommunications (https://www.facebook.com/groups/RESEAUX2INFORMATIQUES2TELECOM/) Auteur : El Hassan EL AMRI (Campus des Réseaux Informatiques et Télécommunications) Configuration DHCP Commandes Explications Router(config)# service dhcp Router(config)#ip dhcp pool nom_pool Router(dhcp-config)# network adrIP masque Router(dhcp-config)#default-router Y.Y.Y.Y Router(dhcp-config)# ip dhcp excluded-address Démarrer le service DHCP Commencer la configuration DHCP et donner un nom pour le pool DHCP Définir @ Réseau et le maque Définir la route par défaut Définir la plage non allouée Les commandes de sauvegarde Commandes Explications Les Commandes SHOW Commandes Explications Router# show running-config Router# show startup-config Router# show interfaces Router# show history Router# show ip route Router# show ip dhcp binding Router# show ip rip database Router# show ip ospf database Router# show ip eigrp database Router# show ? Afficher la configuration en cours Afficher la configuration enregistrée dans NVRAM Afficher les interfaces avec leurs informations en brief : Afficher toutes les commandes tapées Afficher la table de routage Afficher la configuration DHCP Afficher les informations de protocole de routage RIP Afficher les informations de protocole de routage OSPF Afficher les informations de protocole de routage EIGRP Afficher des autres informations sur les commandes SHOW Pour afficher les informations sur n’importe quelle commande : Routeur# commande ? Router# copy running-config startup-config Router# copy run tftp://adrIPserveur:/_fichier Router# copy star tftp Router# copy tftp startup-config ou copy tftp star Router# copy tftp running-config ou copy tftp run Router# erase startup-config ou erase star Sauvegarde la configuration courante en NVRAM Sauvegarde sur un serveur TFTP Sauvegarde NVRAM vers un serveur TFTP Charge un fichier de configuration d'un serveur TFTP en NVRAM Charge un fichier de configuration d'un serveur TFTP dans la configuration courante Efface la configuration de la NVRAM