Chapitre 1
APPROCHEDE LA MAINTENANCE INDUSTRIELLE
1. INTRODUCTION A LA FONCTION MAINTENANCE
1.1. QU’EST-CE QUE LA MAINTENANCE ?
Le maintien des équipements de production est un enjeu clé pour la productivité des usines aussi bien quepour la qualité des produits.
C’est un défi industriel impliquantla remise en cause des structures figées actuelles et la promotion de méthodes adaptées à la nature
nouvelle des matériels.
a) Examinons quelques définitions de la maintenance
- D’après Larousse :
 ensemble de tout ce qui permet de maintenir ou de rétablir un système en état de fonctionnement
- D’après l’AENOR (Norme NF EN 13306) :
 Ensemble des actions permettant de maintenir ou de rétablir un bien dansun état spécifié ou en mesure d’assurer un service
déterminé.
- Commentaires
 Le verbe maintenir contient la notion de prévention sur un système en fonctionnement ;
 Le verbe rétablir contient la notion de correction consécutive à une perte de fonction ;
 état spécifié ou service déterminé implique la prédétermination d’objectif à atteindre, avec quantification des niveaux
caractéristiques.
Cette définition AENOR oublie l’aspect économique, bien maintenir c’est assurer ces opérations au coût global optimal.
b) La maintenance et la vie d’une machine
La maintenance commence bien avant le jour de la première panne d’une machine .En fait, elle commence dés
la conception.
C’est à la conception que sa maintenabilité (aptitude à être entretenue) que sa fiabilité et sa disponibilité
(aptitude à être opérationnel) et que sa durabilité (durée de vie prévisionnel) vont être prédéterminées.
Le rôle de la maintenance, au sein de la structure utilisatrice, commence par un conseil à l’achat.
Il est souhaitable que la maintenance participe ensuite à l’installation et la mise en route de la machine : ainsi, au
premier jour de production, donc de panne potentiel, le service connaît déjà la machine, en possède le dossier et
le programme de maintenance.
Sa mission est ensuite triple :
-surveillance périodique ou permanente
-dépannages et réparations
-actions préventives
La connaissance du matériel, de ses faiblesses, dégradations et dérives, complétées jour après jour, permet des
corrections, des améliorations et, sur le plan économique, des optimisations ayant pour objet de rendre minimal
le ratio :
Dépenses de maintenance+ coûts des arrêts fortuits
Service rendu
1.2. HISTORIQUE ET EVOLUTION DE LA MAINTENANCE
a) le terme maintenance a son origine dans le vocabulaire militaire, dans le sens <maintien dans des unités de combat, de l’effectifet
du matériel à un niveau constant.
L’apparition duterme « maintenance » dans l’industrie a eu lieuvers 1950 aux USA .En France, il se superpose à l’entretien.
b) Entretien ou Maintenance ?
Au-delà du vocabulaire à la mode, c’est en fait une réelle et profonde mutation que recouvrent ces deux termes.
En schématisant nous dirons :
-entretenir, c’est dépanner et réparer un parc matériel, afin d’assurer la continuité de la production :
entretenir, c’est subir le matériel
-maintenir, c’est choisir les moyens de prévenir, de corriger ou de rénover suivant l’usage de matériel, suivant sa criticité
économique, afin d’optimiser le coût global de possession
maintenir, c’est maîtriser
En fait, la plupart des services « entretien traditionnel»sont enmutation vers la maintenance.
c) Pourquoi cette évolution
Des arguments techniques et économiques expliquent cette évolution.
 Les équipements de production s’automatisent .Ils deviennent plus compacts et plus complexes, et sont utilisés de façon plus
intense.
 Intervenir sur ces machines demande donc une compétence et une polytechnicité accrue .Nous pouvons de moins en moins
nous permettre d’improviser avec le tournevis et la clé à molette….
d) Critères valorisant la maintenance
La mutation de l’entretien vers la maintenance est accéléré par un certain nombre de facteurs valorisants tels que :
-le potentiel d’investissement et de reconstruction des entreprises, qui favorise la dotation en équipements modernes et en moyens de
les gérer ;
-la nature du parc à entretenir, s’il est homogène, standardisé, si les coûts des défaillances sont élevés, alors la maintenance s’avère
indispensable ;
-les contraintes de sécurité imposées à des matériels critiques ;
-la sensibilisation des décideurs aux économies que l’on peut espérer d’une maintenance rationnelle du parc ;
Selon l’existence de ces critères, les services maintenance occupent des positions très variables suivant les types d’industrie :
-position fondamentale pour les centrales nucléaires,
-position importante pour les entreprises à process (la pétrochimie avec ses contraintes de sécurité, l’industrie agroalimentaire,
l’industrie pharmaceutique) ;
-position secondaire pour des parcs matériels de coûts d’arrêts faibles ;
-l’entretien traditionnel étant le mieux adapté aux entreprises sans production série ;
1. 3. LA FONCTION MAINTENANCE
a) La fonction « maintenance »est l’une des trois fonctions techniques de l’industrie :
-La fonction maintenance tend à se démarquer de la production (budget propre, autonomie de gestion).
-il faut savoir que la production reste l’objectif évident et prioritaire de l’entreprise : lamaintenance demeure une aide à la
production
b) Interfaces d’un service maintenance
ETUDES
(du produit)
PRODUCTION MAINTENANCE
(du parc)
Ce graphe montre que la maintenance est une fonction intégrée à la vie de l’entreprise et que le technicien de maintenance est un
homme de contact.
Il montre également l’importance de la définition des procédures de communication inter-fonctions.
1. 4. LE TECHNICIEN MAINTENANCE
a) Nécessité d’une formation polyvalente
La technologie des matériels actuels implique une compétence technique polyvalente aussi bien pour l’équipe d’intervention que pour
le technicien qui en a la responsabilité .Les frontières entre les domaines mécaniques,hydrauliques,électroniques,informatiques… ne
sont pas évidentes sur des machines compactes ,il y a certaines difficultés de diagnostic.
Une polyvalence au niveau de la gestion est également indispensable
Le technicien de maintenance aura, pour tout oupartie, à gérer :
-l’ensemble du service, le personnel, le budget, les investissements,
-le matériel de service, mais aussi les matériels de manutention, de levage, des équipements périphériques (exemple : station
d’épuration, centrale d’énergie, climatisation….)
-l’énergie, l’environnement….,
-les stocks nécessaires
-les travaux extérieurs
La maîtrise des données techniques, économiques et sociales est indispensable à la prise de décision .Il faut avoir à l’esprit qu’il
n’existe pas une bonne maintenance dans l’absolu,mais une maintenance économique et efficace, à un moment donné, sur un
équipement donné ….
b) Quelques remarques sur le métier technicien de maintenance
 Par rapport à l’entretien traditionnel, le métier a été nettement valorisé : des outils théoriques (fiabilité, maintenabilité…) et
scientifiques (Contrôle non destructif (C.N.D), Analyse de vibrations …) ont enrichi les tâches relatives à un matériel lui
aussi plus sophistiqués qu’avant.
 A court terme, les actions de maintenance coûtent cher à la direction et gênent la production d’où l’importance de pouvoir
justifier du bien-fondé à moyen et à long terme de ces actions.
 Outre sa fonction de maintien de l’outil de production, le technicien de maintenance aura éventuellement la possibilité
d’étendre ses responsabilités à des domaines tels que :
- l’organisation d’unservice après vente
- la participation aux études, pour ce qui concerne la fiabilité et la disponibilité, la maintenabilité, l’élaboration de plans de
maintenance pour certains contrats, les travaux neufs…
-la participation à la mise en place d’une Gestion de maintenance assistée par ordinateur (G.M.A.O) par la définition d’un
cahier des charges : quelles données saisir, pour quel traitement, pour quelle exploitation ?
 En conclusion,nous pouvons dégager le profil du technicien de maintenance ,comme celui d’un homme de terrain,de
contact et d’équipe ,qui s’appuie sur sa formation technique initiale ,puis surson expérience pour toujours faire
évoluer la prise en charge du matériel dont il a la responsabilité.
Politique
Budget
-Achat matériel
-Sous-traitance
-Travaux neufs
-Modifications
-Maintenabilité
-Main d’oeuvre
-Sécurité
-Environnement
-Planning
-Coordination
des interventions
-Disponibilité
-Amélioration
Maintenance
COMMERCIAL
ETUDES
PERSONNEL
Direction
PRODUCTION
2. LE SERVICE MAINTENANCE DANS L’ENTREPRISE
2.1. LES INDUSTRIES ET LA MAINTENANCE
a) Evolution technologique
L’évolution des entreprises s’est manifestée par le remplacement de N machines en parallèle (industries manufacturières) par n
unités de production en série (on line)
b) Modèles d’industries à maintenance intégrée
Nous distinguerons trois types d’industrie, possédant des services maintenance intégrés à leur structure (organigramme) :
Entreprises manufacturières : grand parc machine, produits nombreux,
Exemple : chaudronnerie
Entreprise à processus : postes en série, peu de produits,
Exemple : raffinerie, agroalimentaire, papeterie
Entreprise de service : équipements très divers,
Exemple : hôpitaux, transports
L’importance de la fonction maintenance est flagrante dans les deux derniers types, par lescritères dominants suivants :
Processus : coût de défaillance, disponibilité
Services : sécurité, disponibilité
On peut donc en déduire que :
Plus l’indisponibilité est coûteuse, plus la maintenance est économique
Plus la sécurité est en jeu, plus la maintenance s’avère obligatoire
2.2. LA MISSION DU SERVICE MAINTENANCE
De façon rapide, on peut déterminer la missiondu service maintenance par :
La gestion optimisée du parc matériel (de l’outil de production)
Cette optimisation ne peut se faire qu’en fonction d’objectifs qui doivent être clairement définis à partir de la prise de trois facteurs :
- facteur économique : moindres coûts dedéfaillances, moindres coûts directs de prestation, économie d’énergie…..
- facteur humain : conditions de travail, sécurité, nuisances …..
- facteur technique : disponibilité et durabilité des machines.
Les objectifs à atteindre étant précisés, la mission du service maintenance consiste à maîtriser le comportement du matériel et
à gérer les moyens à mettre en œuvre.
C’est l’objet de ce module
Quelques réflexions préliminaires
 Le service maintenance a la responsabilité de la santé du parc matériel de façon préventive (avant défaillance) et de façon
corrective (après défaillance).
 L’entretien n’est pas une fin en soi, mais une nécessité que le producteur subit et que le financier trouve coûteuse.
 Le service production possède une vision à court terme de l’entretien.
Le service maintenance, responsable de l’état et de laconservation du matériel, doit avoir une vision:
- à court terme (curatif)
- à moyen terme (préventif)
- à long terme (durée de vie et remplacement)
 l’application de méthodes prévisionnelles de maintenance à du matériel de haute production est moins coûteuse que la perte
de production due à un arrêt intempestif. Et d’autant plus que la production est « on line», l’arrêt d’une machine entraînait
l’arrêt de toute la ligne.
2.3. ANALYSE DE L’INTERFACE MAINTENANCE-PRODUCTION
Avant d’aborder l’étude d’un organigramme de la fonction technique, il est indispensable de réfléchir sur l’évolution desrelations de
la production avec la maintenance
 L’image traditionnelle de l’entretien est celle d’une subordination, illustrée ainsi :
Dans ces schémas, le responsable de la production impose ses critères à court terme, tolérant la lubrification, supportant les arrêts
fortuits, mais refusant toute programmation d’arrêts préventifs.
La promotion de l’entretien en maintenance passe par l’horizontalité des deux fonctions, suivant le modèle :
Dans ce contexte, la maintenance assure la maîtrise de la possession d’un équipement :
-participation au choix du matériel,
-maîtrise de la maintenance dans l’optique d’une durabilité,
-recherche d’amélioration et d’optimisation.
2.4. DOMAINE D’ACTION DU SERVICE MAINTENANCE
Voici la liste des différentes tâches dont un service maintenance, suivant le contexte, peut avoir la responsabilité .Ce qui prouve le bien
fondé d’une formation polyvalente …
-la maintenance des équipements : actions correctives et préventives
-l’amélioration du matériel, dans l’optique de la qualité, de la productivité oude la sécurité.
- les travaux neufs : participation au choix, àl’installation et au démarrage des équipements nouveaux.
-les travaux concernant l’hygiène la sécurité, l’environnement et la pollution, les conditions de travail et la gestion de l’énergie.
-des travaux de reconversion des locaux, de déménagement, de démolition.
-l’exécution et la réparation des pièces de rechange
-l’approvisionnement et la gestion des outillages, des rechanges…
-des prestations diverses, pour la production (réalisations de montages, par exemple) ou pour tout autre service.
-l’entretien général des bâtiments administratifs ou industriels, des espaces verts ….
PRODUCTION
Sous- fonction
ENTRETIEN
DIRECTION TECHNIQUE
MAINTENANCE PRODUCTION
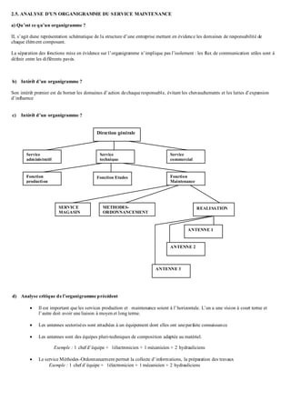
2.5. ANALYSE D’UN ORGANIGRAMME DU SERVICE MAINTENANCE
a) Qu’est ce qu’un organigramme ?
IL s’agit dune représentation schématique de la structure d’une entreprise mettant en évidence les domaines de responsabilité de
chaque élément composant.
La séparation des fonctions mise en évidence sur l’organigramme n’implique pas l’isolement : les flux de communication utiles sont à
définir entre les différents pavés.
b) Intérêt d’un organigramme ?
Son intérêt premier est de borner les domaines d’action dechaque responsable, évitant les chevauchements et les luttes d’expansion
d’influence
c) Intérêt d’un organigramme ?
d) Analyse critique de l’organigramme précédent
 Il est important que les services production et maintenance soient à l’horizontale. L’un a une vision à court terme et
l’autre doit avoir une liaison à moyen et long terme.
 Les antennes sectorisées sont attachées à un équipement dont elles ont uneparfaite connaissance
 Les antennes sont des équipes pluri-techniques de composition adaptée au matériel.
Exemple : 1 chef d’équipe + 1électronicien + 1 mécanicien + 2 hydrauliciens
 Le service Méthodes-Ordonnancement permet la collecte d’informations, la préparation des travaux
Exemple : 1 chef d’équipe + 1électronicien + 1 mécanicien + 2 hydrauliciens
Direction générale
Service
administratif
Service
technique
Service
commercial
Fonction
production
Fonction Etudes
ANTENNE 2
ANTENNE 1
REALISATIONMETHODES-
ORDONNANCEMENT
ANTENNE 3
Fonction
Maintenance
SERVICE
MAGASIN
3. LE SERVICE MAINTENANCE DANS L’ENTREPRISE
3.1. QUELQUES DEFINITIONS DE BASE
a) Les types de maintenance (d’après les normes AENOR 13 306)
b) La maintenance corrective
Elle se décompose en deux types, de définitions non normalisées :
-maintenance palliative, comprenant les interventions type dépannage ;
-maintenance curative, comprenant les interventions type réparation.
Actions de maintenance corrective
-test : comparaison des réponses d’un dispositif à une sollicitation avec celle d’un dispositif de référence ;
-détection : action de déceler par une surveillance accrue, l’apparition d’une défaillance ;
-localisation : action de localiser les éléments par lesquels la défaillance se manifeste ;
-diagnostic : identification de la cause de la défaillance à l’aide d’un raisonnement logique ;
-les révisions : ensemble des contrôles, examens, interventions effectuées en vue d’assurer le bien contre toute défaillance majeure
pendant un nombre d’unités d’usage déterminé. Elles peuvent être limitées ou générales.
-dépannage: action sur le bien en vue de le remettre provisoirement en état de fonctionnement avant réparation
-réparation : intervention définitive et limitée de maintenance corrective après défaillance
c) La maintenance préventive
Elle se décompose en deux types.
 Maintenance Systématique
Maintenance préventive exécutée à des intervalles de temps préétablis ou selon un nombre défini d’unités d’usage mais sans contrôle
préalable de l’état du bien. (Norme NF EN 13306)
Applications:
• Entités soumises à une réglementation.
MAINTENANCE
Maintenance
CORRECTIVE
Maintenance
PREVENTIVE
Ensemble des actions permettant de
maintenir ou de rétablir un bien dans
unétat spécifié ou en mesure d’assurer
unservice déterminé
Maintenance effectuée dans
i’intention de réduire la
probalité de défaillance d’un
bien ou d’un service.
Maintenance effectuée
après défaillance.
Maintenance subordonnée à
untype d’événement
prédéterminé
(Mesure, diagnostic).
Maintenance
préventive
CONDITIONNELLE
Maintenance
préventive
SYSTEMATIQUE
Maintenance effectuée
selon un échéancier
établi selon le temps ou
le nombre d’unités
d’usage
(Ponts roulants, chaudières, réservoirs sous pression…)
• Entités à coût de défaillance élevé.
(Machine en production continue, lignes de fabrication automatisée…)
• Entités pouvantentraîner des accidents graves.
 Maintenance conditionnelle
Maintenance préventive basée sur une surveillance du fonctionnement du bien et/ou des paramètres significatifs de ce fonctionnement
intégrant les actions qui en découlent.
(Norme NF EN 13306)
Applications:
• Entités soumises à une réglementation.
(Ponts roulants, matériels d’incendie, réservoirs sous pression…)
• Entités à coût de défaillance élevé.
(Machine en production continue, lignes de fabrication automatisée...
• Entités pouvantentraîner des accidents graves.
(Matériel de transport en commun, entités utilisées dans le nucléaire...
3.2. LES CINQ NIVEAUX DE MAINTENANCE
(d’après la norme AFNOR X 60 011)
1ér niveau : Réglages simples prévus par le constructeur au moyen d’organes accessibles sans aucun démontage d’équipement, ou
échange d’éléments en toute sécurité.
2éme niveau : Dépannage par échange standard d’éléments prévus à cet effet, ou d’opérations mineures de maintenance préventive
(rondes)
3 éme niveau : Identification et diagnostic de pannes, réparation par échange de composant fonctionnel, réparations mécaniques
mineures.
4éme niveau : Travaux importants de maintenance corrective ou préventive
5éme niveau : Travaux de rénovation, de reconstruction, ou réparations importantes confiées à un atelier central
Commentaire
Niveau Personnel d’intervention Moyens
1ér Exploitant sur place Outillage léger défini dans les
instructions d’utilisation.
2éme Technicien habilité, sur place Idem, plus pièces de rechange trouvées à
proximité, sans délai.
3éme
Technicien habilité, sur place ou en local de
maintenance. Outillage prévu plus appareils de mesure,
banc d’essai contrôle …
4éme
Equipe encadrée par un technicien
spécialisé, enatelier central.
Outillage général plus spécialisé, matériel
d’essais, de contrôle …
5éme
Equipe complète, polyvalente, en atelier
central
Moyens proches de la fabrication par le
constructeur
3.3. LES CINQ M DE LA MAINTENANCE
Milieu Gestion des locaux et installations
Méthodes Gestion documentaire
Matière Gestion des stocks
Main d’oeuvre Gestion des ressources humaines
Moyens Gestion des équipements et outillage
3. 4. LES TEMPS RELATIFS A LA MAINTENANCE
(d’après la norme AFNOR X 60 015)
Dans le cadre de la gestion de la maintenance, nous distinguerons les temps d’arrêt TA imputables à la maintenance notés TAM et
non imputables à la maintenance TAF (F « comme fabrication »).
Pour une question de saisie de temps, les temps d’attente seront imputés à la fabrication (TAF) .En effet, les compteurs horaires
affectés à une machine totalisent les seuls TBF.
Une codification peut alors distinguer, pour chaque arrêt, les temps d’attente des différents temps d’indisponibilité.
Nous noterons TO le temps« temps requis » de la norme, par référence au « tempsd’ouverture» terme couramment utilisé sur les
chaînes de production.
TO = TBF +  TAM +  TAF
3. 5. FIABILITE, MAINTENABILITE, DISPONIBILITE
a) Fiabilité
Aptitude d’unbien à accomplir une fonction requise dans des conditions données, durant un intervalle de temps donné. (Norme NF
EN 13306)
Indicateurs : Fonction Fiabilité R
MTBF
Fiabilité de n entités en série: Rs =  Ri
Fiabilité de n entités en parallèle ou en redondance:
Fs =  Fi
F: Fonction défaillance ; F = 1-R
TEMPS REQUIS
TO
TAF
TEMPS d’
IDISPONIBILITE
Temps effectif de
DISPONIBILITE
TAM
TEMPS PROPRE d’
IDISPONIBILITE
TAF
TEMPS
D’ATTENTE
TBF
TEMPS DE
FONCTIONNEMENT
Temps effectif d’
IDISPONIBILITE
TA
Le bien accomplit sa
fonction
le bien est apte,mais ne
peut fonctionner pour des
causes externes :main
d’œuvre,énergie…..
Le bien est inapte pour
cause de défaillance ou
d’action de maintenance
Le bien est apte, mais non
sollicité
Le bien est apte à
accomplir sa fonction
L’utilisateur exige que
bien soit en état
d’accomplir une fonction
requise.
Le bien est inapte à
accomplir la fonction
b) Maintenabilité
aptitude d’un bien à être maintenu ou rétabli dans un état où il peut accomplir une fonction requise lorsque la maintenance est
accomplie dans des conditions données en utilisant des procédures et moyens prescrits (Norme NF EN 13306)
Indicateurs : Fonction Maintenabilité
MTTR
- Facteurs influents sur la Maintenabilité
Modularité, interchangeabilité, accessibilité, aptitude à pose et dépose, démontabilité, détectabilité
c) Disponibilité
Aptitude d’unbien à être en état d’accomplir une fonction requise dans des conditions données à un instant donné ou durant un
intervalle de temps donné en supposant que la fourniture des moyens extérieurs est assurée. (Norme NF EN 13306)
MTTRMTBF
MTBF
D


Ces trois concepts sont envisagés soit de façon prévisionnelle (avant usage) soit de façon opérationnelle (pendant ou après usage).
Les trois fonctions précédentes, notées respectivement R (t), M (t) et D (t) sont des fonctions du temps .Il apparaît indispensable de
préciser la notion de temps en maintenance, par référence à la norme X60-015.
a) la vie d’une machine
Elle comprend une alternance d’arrêts et de bon fonctionnement pendant sa durée potentielle d’utilisation
Ces durées peuvent être observées ou estimées.
Une partie (variable) des TA est constituée des TTR (temps technique de réparation)
VIE D’UN MATERIEL
FIABILITE R (t)
Probabilité de bon
fonctionnement
DISPONIBILITE D (t)
Probabilité d’assurer un
service requis
MAINTENABILITE M (t)
Probabilité de durée de réparation
I (t) taux de fiabilité
MTBF
Moyenne des temps de
bon fonctionnement
MTTR
Moyenne des temps techniques de
réparation
µ (t) taux de réparation
TBF 1 TBF 2 TBF 3
TA 1 TA2
TA3 TBF4
t o
t1
a) Indicateur de disponibilité
TO
TATO
D


b) MTBF et MTTR
La MTBF, ou moyenne des temps de bon fonctionnement, est la valeur moyenne entre défaillances consécutives, pour une période
donnée de la vie d’un dispositif:
n
TBFi
MTBF 
De la même façon, la MTTR (ou moyenne des temps techniques de réparation) sera
n
TTRi
MTTR 
Ces valeurs seront calculées après observation, estimées, prédites ou extrapolées.
4. METHODOLOGIE DE LA MAINTENANCE
4.1. INTRODUCTION
Outre la fonction GESTION , qui consiste à faire des choix ,à dégager des priorités d’action ,l’étude d’organigramme du service
Maintenance a mis en évidence trois fonctions ,que nous allons brièvement caractériser.
4.2. L’OBSERVATION
a) Définition
« Etude attentive d’un événement »
L’observation participe à la connaissance (comportement du matériel, loi d’usure), préside au diagnostic, à l’expertise, et commande
le dépannage et la réparation.
b) Méthode
- Observer une seule chose à la fois (séparer les paramètres pour étudier séparément leurs effets).
- Observer sans juger (être objectifet impartial, sans à priori).
- Tout observer : ne rien éliminer à priori, même ce qui paraît indépendant du phénomène observé.
- Tout noter : notes, croquis, schémas, mesurer les côtes, paramètres physiques, aspect, couleur.
TTR
TA
Fonction
d’ORDONNANCEMENT
Rôle de coordination
Qualité de communication
Fonction
EXECUTION
Rôle d’intervention
Qualité professionnelle
(Formation, expérience)
Fonction
METHODES
Rôle de préparation
Qualité d’observation et
d’analyse
4.3. L’ANALYSE
a) Définition
Décomposition d’un ensemble plus ou moins complexe en éléments aussi simples que possible.
L’analyse permet de distinguer les éléments et de comprendre la nature des liaisons :
- entre les éléments isolés, d’une part
- entre un élément et l’ensemble, d’autre part
L’étude ultérieure de la fonction « Méthodes-Maintenance » nous conduira à développer successivement :
- l’analyse des coûts .Il s’agit d’un outil de gestion permettant au responsable de la maintenance de décider à partir des données
techniques et économiques.
- l’analyse des temps .L’analyse des temps passés permet l’évaluation des temps à venir, donc de chiffrer les tâches préparées et de les
ordonner.
- l’analyse de déroulement .Elle permet de mettre en évidence les phases successives d’un processus opérationnel afin de le critiquer et
de l’améliorer.
4.4. LA COMMUNICATION
a) Approche général
La communication dans l’entreprise est le lien indispensable entre l’information, la décision et l’action. Par analogie, elle est
l’équivalent du « Système nerveux », reliant les organes sensoriels, le cerveau et la main.
Elle peut se faire par sous forme orale, écrite, (notes manuscrites, imprimés ….)
 Il existe une tendance à négliger la « paperasserie »à l’intérieur de services opérationnels, sous prétexte
d’efficacité : « aucune action importante n’est possible que ellen’est définie, située, programmée, enregistrée sur
imprimés ».
C’est un des aspects différenciant l’entretien de la maintenance.
 L’informatisation modifie « la forme »des imprimés, mais ne remet part leur existence en cause.
Son avantage : elle permet un traitement accéléré de l’information ainsi que son stockage plus réduit que l’archivage
 Communication écrite ou orale ?
Les imprimés permettent :
-d’engager et préciser la responsabilité,
-d’éviter les altérations, oublis et interprétations propres à la communication orale,
-d’éviter des bavardages fonctionnellement inutiles,
-le stockage de l’information à toute fin utile
 Conclusion
Un bon système de communication se jugele jour ou le responsable du service maintenance part en vacances : tous les
flux d’information doivent continuer à circuler
b) La communication dans le service maintenance
Informateur Décideur Actionneur
Information Ordre
Mise en évidence Retour
Nous allons décrire brièvement le système de communication relatif à une intervention corrective, entre le moment d’apparition d’une
défaillance et la remise à niveau de l’équipement défaillant.
Abréviations utilisées
DT = demande de travail
OT = ordre de travail
BT = bon de travail
DA = demande d’approvisionnement
BSM= bon de sortie magasin
5. EXERCICES D’APPLICATION
EXERCICE N°1
1) Définir les termes suivants : maintenance - maintenance corrective - - maintenance préventive
2) Quelle est le domaine d’action du service maintenance ?
3) Quelles sont les compétences que doit avoir un technicien de maintenance ?
4) Quel est l’intérêt d’un organigramme dans une entreprise ?
5) Quels sont les 5 niveaux de la maintenance ?
EXERCICE N°2
1) Calculer le MTBF, MTTR et D
Chapitre 2
LA CONNAISSANCE DU MATERIEL
1. NATURE ET CLASSIFICATION DU MATERIEL
1.1. CLASSIFICATION
De par la variété des industries concernées par la nécessité de posséder un service Maintenance efficace,le matériel à entretenir sera lui
aussi d’une grande diversité.
Une première classification est possible :
- les biens liés à la production
« Tels que tout arrêt ou mauvais fonctionnement provoque un arrêt, un ralentissement ou une mauvaise qualité de la production ».
Les générateurs d’énergie, les engins de manutention aussi bien que les machines de production en font partie.
- les biens non liés à la production.
« Tels qu’unedéfaillance n’influe pas sur la production ».
Nous adopterons la classification suivante :
320h 280 h 300h
4h 5h
8h 240 h
t o
t1
1.2. NATURE DES DIFFERENTS MATERIELS
a) Lematériel de production
Géré par le chef de production, il contient toutes les machines, isolées ou intégrée, qui permettent la fabrication des différents produits,
ou qui permettent de rendre le service voulu :
b) Le matériel périphérique
- Les équipements :
- générateurs d’énergie : pompe d’alimentation, poste H.T, chaudières, compresseurs d’air….
- véhicules et engins de manutention, de levage,
- les outillages,
- les stations d’épuration des rejets
- équipement de stockage
- etc.
- Les aménagements :
- canalisations de fluide, lignes électriques…,
- chauffage, climatisation,
- éclairage.
- Les installations :
- les bâtiments
- les routes
- le téléphone, les réseaux informatiques…..
1.3. PRISE EN CHARGE DU MATERIEL
Cette énumération non exhaustive met en évidence quelques impératifs d’organisation :
- La nécessité d’avoir un inventaire du matériel, codifié, analysé et localisé ;
- La nécessité de répartir et de préciser les domaines de responsabilité de maintenance des biens ;
- La nécessité de déterminer des priorités et des niveaux de maintenance ;
- La nécessité de regrouper par famille les différents biens ;
1.4. CONNAISSANCE D’UNE MACHINE
a) Analyse du matériel pris en charge
Tout bien durable de la structure industrielle est à prendre en charge par la maintenance.
Un équipement complexe sera décomposé fonctionnellement en « ensembles »équivalents à une machine au niveau de l’inventaire.
Chacune de ces machines sera décomposée en sous-ensembles de fonctions différentes, puis les décompositions deviendront «
organiques », ceci au niveau du Dossier Machine.
PARC
MATERIEL
EQUIPEMENTS TECHNIQUES
EQUIPEMENTS GENERAUX - Installations
Matériel de
production
Matériel
périphérique
Équipement
Aménagements
2. L’INVENTAIRE DU PARC MATERIEL
2.1. INTRODUCTION
L’inventaire est une nomenclature codifiée du parc à maintenir, établie suivant une logique de mises en familles arborescentes.
La codification permet la gestion technique et économique du service, par la possibilité d’imputations des défaillances et des coûts à
des secteurs, à des types de machines, à des sous-ensembles fragiles, etc.
2.2. DECOUPAGE FONCTIONNEL ARBORESCENT
Les mises en familles sont évidemment à adapter au contexte. Elles se font suivant une arborescence allant des ensembles vers les
« machines », parfois allant jusqu’aux modules, suivant l’exemple ci-dessous :
 Exemple de codification : (Usine)
Usine code
A A
B B
C C
D D
E E
PARC A ENTRETENIR
Matériel de production
Matériel périphérique
installations
MACHINE
Equipement
Appareil
COMPOSANTS
Pièces
Organes
HISTORIQUE
Relevés chronologiques
de défaillances et
d’interventions
Inventaire du matériel
(des biens durables) DOSSIER MACHINE Niveau
d’analyse
INVENTAIRE DOSSIER MACHINE
ENSEMBLE NATURE LOCALISATION TYPE MACHINE GROUPE
FONCTIONNEL
MODULE
USINE A
Aménagement
s
Production
Equipement
Unité 2
Unité 3
Unité 4
Cisailles
Scies
Presses
P1
P2
P3
Moteur
électrique
Circuit
hydrauli
que
Transmission
Réducteur
Embrayage
Presses
Codification alphanumérique
 Exemple de codification : (Nature)
Nature code
Aménagement 01
Production 02
Equipement 03
 Exemple de codification : (Localisation)
Unité code
1 01
2 02
3 03
 Exemple de codification : (Type)
type code
cisailles 001
presses 002
ensileuses 003
doseuses 004
Séchoirs 005
Ponts
roulants
006
 Exemple de codification : (Machine)
machine code
Presse 1 01
Presse2 02
Presse3 03
Presse4 04
Presse5 05
 Exemple de codification : (Groupe fonctionnelle)
Groupe
fonctionnel
code
Moteur
électrique
F01
Circuit
hydraulique
F02
Transmission F03
Circuit de
refroidissement
F04
Circuit de
chauffage
F05
 Exemple de codification : (Module)
Module code
Réducteur M01
Embrayage M02
Frein M03
Accouplement M04
Guidage M05
Ainsi lemodule : Embrayagedu circuit hydraulique de la presse N°2 se trouvant à l’unité 3 affecté à la production pour
l’usine A sera codifié aisément comme suit :
A 02 03 002 02 F02 M02
3. LE DOSSIER MACHINE
Appelé aussi : Dossier technique d’équipement
Dossier de maintenance
3.1. INTRODUCTION
L’efficacité du travail du « bureau des méthodes Maintenance »s’appuie sur une connaissance exhaustive du matériel et de sa « santé
». Le dossier machine est la référence permettant la connaissance intime d’un équipement, son origine, ses technologies et ses
performances.
Le dossier machine comprend deux parties :
- Le dossier Constructeur, avec tous les documents fournis, la correspondance échangée et les documents contractuels ;
- Le fichier machine interne, standard, établi et tenu à jour par le bureau des méthodes.
3.2. CONSTITUTION DU DOSSIER MACHINE
a) logiquede conception
Le dossier machine doit être conçu pour être opérationnel .Il doit adapter les détails descriptifs et les informations aux besoins des
agents de maintenance, en préparation ou en intervention.
a) Partie « constructeur »
-Documents commerciaux relatifs à la vente
- bon de commande et documents contractuels avec les conditions de garantie ;
- procès- verbal de réception, certificat de prise en charge avec les réserves (anomalies constatées)
- références du service après vente, du réseau commercial, du représentant local….
Documents techniques fournis par le constructeur
Il appartient au service Maintenance, lors des négociations d’achat, d’exiger les documents qui lui seront utiles, à savoir :
- caractéristiques de la machine : capacité, performances, consommation, puissance installée…,
- liste des accessoires ;
- nomenclature de pièces détachées (stock minimal, références….)
- plans, schémas électriques, électroniques, hydrauliques,…
- notice de mise en action :
-élingage, manutention, nettoyage de réception
- encombrement, scellement, fondation,
- différents branchements,
- rodage, réglages et vérifications diverses ;
- notice de fonctionnement :
- mise en route,
- règles de conduite,
- consignes de sécurité ;
- notice de maintenance :
- notice de lubrification (type de lubrifiant, points à graisse, fréquences conseillées….),
- organigramme de dépannage, documents d’aide au diagnostic des défaillances les plus probables
- gamme type de réparations répétitives
- fréquences des visites préventives .check-list relative à ses visites
- liste des outillages spécifiques.
b) Partie « interne » du dossier machine
Il appartient au bureau des méthodes –maintenance :
- d’établir une forme standard de dossier, classé à partir du code inventaire relatifà la machine ;
- de définir les rubriques utiles .Dans chaque rubrique seront mis, soit les documents constructeurs correspondants, soit les documents
élaborés par les méthodes ;
- de tenir à jour toutes les rubriques choisies
Il est particulièrement important de noter toutes les modifications opérées sur le matériel : recherche de panne à partir d’un
schéma électrique non corrigé après modification !
c) Exemple de rubriques constituant un dossier machine
Nom machine :………………….. Code machine…………………. Indice de criticité …………………….
Repère Titre des rubriques
00
01
02
03
04
05
06
07
08
09
10
11
12
13
14
15
16
17
18
19
Sommaire
Contrat de commande, conditions degarantie, service après vente.
P.V de réception
Caractéristiques, fiches techniques.
Codifications arborescentes .Découpage structurel
Plans d’ensemble, de détails, de schémas
Notice d’installation, de mise en service
Notice de conduite, d’utilisation
Consignes de sécurité
Notice de lubrification
Notice d’entretien de ronde
Liste générale des constituants (nomenclature de chaque module)
Liste des rechanges de première urgence (niveau de consommation)
Plans et gammes de pièces de rechange
Planning des visites préventives
Check-list des visites préventives
Gamme types d’opérations répétitives
Liste des défaillances possibles prévisibles
Schémas logiques de diagnosticdépannage
Outillage spécifique d’intervention
d) Forme matérielle du Dossier Machine
Nous utiliserons des dossiers dont les rubriques seront séparés par des intercalaires cartonnées et imprimées ,sous une forme
standardisée.
4. LE FICHIER HISTORIQUE D’UNE MACHINE
4.1. UTILITE DE L’HISTORIQUE
L’historique est unfichier relatifà chaque machine inventoriée, décrivant chronologiquement toutes les interventions correctives
subies par la machine depuis sa mise en service.
Il représente le carnet de santé de la machine, complémentaire du dossier machine.
En amont de l’historique, l’acquisition des données :
Un agent de méthodes tient à jour l’historique, en portant périodiquement les actions correctives .Pour ce faire, il dispose des BT- OT
dûment remplis (code machine, temps passés…), et éventuellement, desrapports d’interventions, des fiches d’analyse de
défaillance….
En aval, l’exploitation de l’historique :
Comme tout fichier, c’est la définition exacte des informations et de leur exploitation qui justifie l’existence du fichier et qui
conditionne son contenu.
Il est inutile de mettre en mémoire des données inutilisées. L’importance d’un historique est fonction de la classe de « criticité »de la
machine.
4.2. CONSTITUTION D’UN HISTORIQUE MACHINE
a) Constitution
Elle est fonction de l’exploitation que l’on désire.
Exemple 1 : L’historique contiendra ou non les coûts attachés à chaque OT, suivant que l’onveuille ou non la ventilation de ces coûts.
Exemple 2 : suivant l’exploitation axée sur la « disponibilité » ou sur la préparation du travail, onportera sur l’historique les « temps
d’arrêt » ou les temps passés.
b) Modèle possible
HISTORIQUE de la machine Pont Roulant
Code / A 02 03 006 01
Indice de criticité….. 3
Date de mise en service 2000
Code de découpage fonctionnel
A : Unité de translation D : Motorisation
B : Unité de levage E: Electricité
C : Unité de direction F : Transmission
Date Compteur
machine
OT N° Code
Affectation
défaillance
Description
intervention
Durée Codes imputation
Intervention Arrêt a b c
3/2/2002 8000 21.104 F Echange standard
roulement sortie
réducteur
5 H 07H 30 3 1 1
L’affectation à un groupe fonctionnel se fait à partir d’un code tiré de la décomposition structurelle du dossier machine.
Les imputations sont souvent codées, suivant les exemples ci-dessous :
Exemple a : code « cause de défaillance »
a. accident imprévisible 5 mauvaise conduite
b. cause intrinsèque détectable 6 consignes non respectées
c. cause intrinsèque non détectable 7 défaillance seconde
d. défaut d’entretien 8 autre cause
e. mauvaise intervention antérieure
Exemple b : code « nature »
1 origine mécanique
2 origine électrique
3 origine électronique
4 origine hydraulique
Exemple c : code « gravité »
0 défaillance critique
1 défaillance majeure
2 défaillance mineure
c) Remarque
 De façon classique, toutes les défaillances faisant l’objet d’unOTC (correctif) sont portées sur l’historique.
 Par contre, les interventions préventives systématiques n’y figurent pas (voir échéancier dans le dossier machine
 Un problème se pose pour les interventions préventives conditionnelles (objet d’un OT préventif)
En effet, dans le cas d’exploitation de l’historique en fiabilité, la panne prévenue d’un intervalle dt est caractéristique du
comportement de la machine.
4.3. EXPLOITATION DES HISTORIQUES
L’exploitation peut se faire à quatre niveaux :
- analyse d’un parc de machines standardisées,
- analyse globale d’une machine
- analyse des groupes fonctionnels
- étude des modules et des organes (composants) fragiles
a) Exploitation en fiabilité
On déduit de l’historique d’une machine ses lois de fiabilité (Weibull), l’évolution de ses taux de défaillance (t)
, sa MTBF, sa durée de vie nominaleL10, les périodes d’intervention correspondant à des seuils de fiabilité prédéterminés….
b) Exploitation en disponibilité
La disponibilité se détermine à partir du modèle
MTTRMTBF
MTBF
D


Elle implique donc la mise en mémoire des TTR (temps techniques de réparation), soit en durée d’intervention, soit en durée d’arrêt en
plus des données de fiabilité précédentes.
c) Exploitation en « gestion de stock »
L’historique peut fournir des éléments de consommation de pièces ou de modules.
d) Exploitation en « politique de maintenance »
Elle implique la saisie des temps et des coûts d’intervention (à chaque OT, son coût direct main d’œuvre +matières)
Elle permet la ventilation des coûts :
- par machine, par groupe fonctionnel
- par atelier, par type de machine
- par type de défaillance
- par type d’intervention.
Elle permet la tenue d’un tableau de bord de gestion, la formation de ratios, la synthèse d’informations technico-économiques
permettant de choisir une méthode de maintenance adaptée à l’équipement dont on possède l’historique.
5. EXERCICES D’APPLICATION
EXERCICE N°1
1) Qu’est ce que c’est undossier machine ? De quoi est-il constitué ?
2) Qu’est ce que c’est unfichier historique ?
3) Les opérations de maintenance systématiques sont-elles notées sur le fichier historique ? Justifier votre réponse.
EXERCICE N°2
1) Présentation
Le mécanisme présenté ci-dessous représente un vibreur de tamis
2) Travail demandé
1) Donner la désignation de tous les éléments du mécanisme, en spécifiant celles qui sont d’usure par « O» et celles qui ne le sont pas
par « N » dans le tableau suivant.
2) Faire une codification des pièces d’usure selon la logique suivante
-
- Faire des tableaux de codification pour chaque passage
- Faire des tableaux de codification spécifique pour chaque module (Exemple dans le module des roulements, on trouve plusieurs
types de roulements)
Roulements à billes à contact radial
Roulements à double rangée de
billes à contact radial
Roulements à double rangée de
billes à contact axial
Roulement à rouleaux coniques
……………………….. ……
- En déduire, la codification finale de chaque pièce d’usure
NB Utiliser le guide dudessinateur industriel pour la codification des modules
Repère Désignation Usure Repère Désignation Usure
1
2
3
4
5
6
7
8
9
INVENTAIRE DOSSIER MACHINE
ENSEMBLE NATURE LOCALISATION TYPE MACHINE GROUPE
FONCTIONNEL MODULE
USINE A
Aménagement
s
Production
Equipement
Unité 2
Unité 3
Unité 4
Cisailles
Broyeurs
T1
T2
T3
Moteur
électrique
Vibreur
Circuit
Alimentation
Joint à lèvres
Poulies
Tamis
Codification alphanumérique
Roulement
Courroies
Clavettes
Contrôle N° 1
Chapitre3
LA FONCTION ORDONNANCEMENT
1. TERMINOLOGIE ET METHODES D’ORDONNANCEMENT
1.1. QUELQUES DEFINITIONS INDISPENSABLES
L’ordonnancement utilise un vocabulaire spécifique qu’il est indispensable de définir avant d’aborder les méthodes propres à la
planification des travaux de maintenance.
a) La fonction ordonnancement
De façon générale, c’est la fonction de l’entreprise chargée de gérer les temps d’activité.
Elle occupe une position chronologique dans le déroulement d’une intervention entre les méthodes – préparation et la réalisation.
La fonction méthodes affecte une durée à un travail.
La fonction ordonnancement planifie cette tâche, c’est-à-dire fixe l’heure H du jour J ou elledoit débuter.
La fonction réalisation, au moment choisi par l’ordonnancement, suivant les prescriptions des méthodes, la met en œuvre.
Cette missiongénérale de coordination des nombreuses activités d’un service aura une influence déterminante sur l’efficacité et
l’ambiance de ce service, qu’il soit de production ou de maintenance.
14h 30 18h
3h30 (temps passé)
14h 30 17h 30
3h
3h (temps alloué)
b) Notion de charge
 Capacité de charge : c’est une notion de contenant, matérialisée par le nombre d’heures de travail qu’il est possible à
une équipe de réaliser pendant son horaire normal de travail.
Exemple : Une antenne de 12 ouvriers représente une capacité de charge de 12x48 = 576 hebdomadaires
 Charge : C’est la notion de contenu, matérialisée par la somme des temps alloués pour une période de
temps alloués pour une période de référence et pour une équipe (ou un ouvrier)
 Surcharge : elle se manifeste quand la charge est supérieure à la capacité .Elle peut être permanente ou
momentanée.
 Sous-charge : la capacité est supérieure à la charge prévue. Momentanée, elle rend le disponible du personnel.
Permanente, elle pose le problème critique des sureffectifs.
c) Notion de tâche (ou étape)
 Tâche : en maintenance,c’est une intervention caractérisée par une durée propre estimée par le préparateur ,et portée sur OT
.La situation dans le temps de cette tâche entraîne la définition des notions suivantes :
 Projet : c’est unensemble de tâches, chaque tâche étant une phase, c’est-à-dire un élément de décomposition du projet auquel
le préparateur a affecté une durée propre
 Chemin critique : c’est l’ensemble des tâches en série qui conditionnent la durée totale d’un projet.
 Délai : c’est une contrainte technique ou commerciale s’appliquant à l’achèvement d’une tâche (fin au plus tard ou d’un
projet).
d) Notion de tâche planning
 Diagramme de Gantt : c’est une forme graphique visualisant la succession des tâches, chaque durée de tâche étant
représenté par une barre dont la longueur est à l’échelle des temps.
Il est nommé également diagramme à barres.
Interprétation : la fin de A conditionne les débuts de B et C ; la marge sur B offre une liberté de programmation, utilisée pour
lisser la charge.
 Planning : au sens propre, on nomme planning divers modèles de tableaux visualisant la programmation des travaux .Ces
tableaux sont des graphes de Gantt .Par extension le« Planning » est le service chargé de la tenue du planning –tableau,
donc synonyme de programmation.
 Lissage : il consiste à rechercher une optimisation des charges (éviter les pointes qui entraîneraient des surcharges), en jouant
sur les marges. Bien entendu, le lissage ne concerne pas les tâches du chemin critique, qui n’ont pas de marge.
Durée (= temps alloué)
Etalement
Marge
Début au
plus tôt Début au plus tard
Fin au plus tôt
Fin au plus tard=
délai
 Jalonnement : c’est l’ensemble des dates situant sur un planning les tâches et leurs marges, dans la réalisation d’un projet.
e) Les actions d’ordonnancement
 Programmation : c’est l’action d’intégrer une tâche « en attente»sur un planning, donc de lui choisir des dates de début et de
fin.
 Lancement : c’est une sous-fonction de l’ordonnancement ayant pour missionde rassembler tous les moyens pour assurer leur
disponibilité au moment choisi.
 Avancement : autre sous-fonction assurant le suivi des travaux .Il contrôle l’état d’avancement des « en
 cours », leur achèvement, et enregistre les éventuelles discordances entre les prévisions et les réalisations .Ce qui permet les
corrections nécessaires à la tenue à jour des plannings.
 Déblocage : c’est l’action de libérer le lancement d’une tâche après l’enregistrement de la fin de la tâche antécédente.
 Approvisionnement : il est de la responsabilité de l’ordonnancement de veiller à la disponibilité des « consommables », donc
d’assurer les approvisionnements nécessaires.
Cette sous- fonction est économiquement importante :
- approvisionner trop tôt, en trop grand nombre conduit à stocker inutilement, ce qui revient très cher
- approvisionner trop tard entraîne des retards et du personnel inoccupé
1.2. CARACTERISTIQUES DE L’ORDONNANCEMENT
a) Mission
L’ordonnancement est la fonction chef orchestre, chargée de conduire les évènements .Pour ce faire, son rôle consiste à :
- prévoir la chronologie des tâches ;
- optimiser l’utilisation des moyens nécessaires et les rend disponibles ;
- lancer les travaux au moment choisi ;
- contrôler l’avancement et la fin des tâches, et prendre en compte les écarts entre prévisions et réalisations.
Ce qui peut s’exprimer sous la forme : prévoir un instant t et un endroit x ou un personnel p, muni de l’outillage o et desmatières m,
exécutera la tâche Y .Et ceci en harmonie avec les autres activités.
b) Caractéristiques
- optimisation des moyens : c’est un problème important, dont la solution est toujours un compromis coût / temps illustré par le
graphe ci-après.
Lancement
Jour J
heure H
Préparation
Personnel
Outillage
Pièces de
rechange
Moyens spéciaux
Mise à disposition de
L’exécution
Pour réduire la durée d’une tâche, il faut augmenter les moyens à mettre en œuvre, donc les coûts directs imputés à cette tâche.
 Méthodes et ordonnancement : les méthodes analysent et préparent un travail, alors que l’ordonnancement synthétise les
moyens.
Les méthodes répondent aux questions : Quelle tâche ?comment la réaliser ?
L’ordonnancement répond aux questions : Quand ? Qui ?
 Sans ordonnancement efficace, un service subit les événements au lieu de les maîtriser.
 En règle générale, des postes banalisés sont plus faciles à ordonnancer que des postes spécialisés .En maintenance, la
polyvalence des équipes d’intervention facilite la régulation du travail.
1.3. LES CINQ NIVEAU DE L’ORDONNANCEMENT
Ces cinq niveaux s’échelonnent dans le temps, et dans la précision, allantdu futur à long terme au passé immédiat.
1ér niveau : prévision à long terme.
Il correspond à la notion de plan de charge
- Horizon 1,2, 3,4 ,5 ans. Ces prévisions concernent la direction et sa politique .Elles permettent en fonction des commandes
attendues (espérées), de prévoir globalement une charge de travail. onc du personnel et des investissements en matériel
Ces prévisions de production impliquent la définition d’une politique de maintenance adaptée à ces investissements.
2
ème
éme niveau : prévision à moyen terme.
- Horizon 1 à 12 mois : Elles concernent le bureau d’ordonnancement.
Les commandes sont enregistrées. Un planning de charges mensuelles est possible, l’approvisionnement des stocks est lancé, ainsi que
les pièces et outillage.
3ème
éme niveau : le lancement court terme.
- Horizon 1 semaine ou 1 mois
Il concerne le bureau de lancement, charnière entre la prévision et l’exécution .Il gère le planningde lancement et déclenche la mise à
disposition du chefd’équipe des matières et outillage, ainsi que des préparations des méthodes et des procédures de sécurité
(consignation)
4
ème
niveau : la répartition du travail (futur immédiat).
- Horizon 1heure à 2 Jours.
C’est la mise en main, par le chef d’équipe, de tous les éléments permettant aux exécutants de faire le travail dans les conditions de
temps, de qualité et de sécurité prévues.
En maintenance, la répartition du travail entre les différents ouvriers est généralement l’apanage du chef d’équipe.
5
me
niveau : contrôle de l’avancement.
Le respect des délais nécessite un contrôle permanent de l’avancement des travaux, une étude des écarts aux prévisions et une
adaptation éventuelle.Ce qui implique un planning « vivant »
Durée
Coûts
directs
Mini
1.4. LES PLANNING
Les plannings sont des outils de travail très pratiques, à condition d’obéir aux règles suivantes :
- plus la prévision est lointaine, plus elle doit être globale
- plus elle est proche, plus elle peut être détaillée.
Planning annuel : prévision mois / mois
Planning du lendemain : heure /heure
a) Planning de charge (2éme niveau)
C’est un outil de gestion du chefde service maintenance .il permet de comparer, pour chaque section du service, la charge globale
prévue et la capacité de la section.
Capacité de charge réelle= charge programmée +réserve de charge + charge disponible programmable.
Capacité de charge réelle= horaire théorique de travail – heures non productives
La réserve de sécurité est le taux d’aléas possibles, déterminé empiriquement ou statistiquement (maladies, absences diverses, pannes,
grèves…..)
Elle comprend aussi une marge de capacité réservée aux travaux urgents non prévus.
b) Planning de lancement (3éme niveau)
Le planning de charge ayant ajusté la charge et la capacité, va être vidé période par période (5jours) dans le planning de lancement.
Ce planning permet aussi de visualiser le déblocage d’une opération, déclenchée par l’achèvement de la précédente.
Effectif L M M J V
Réserve
prioritaire Réserve non prioritaire
équipe A
équipe B
équipe C
OT Programmé OT versé OT en attente
c) Planning d’atelier (4éme niveau)
Tenu par le chef d’équipe, il lui permet de répartir les tâches entre ses ouvriers.
Ce planning couvre heure par heure, pour chaque ouvrier ,2 ou 3 jours detravail.
Nom Spécialité Lundi
8 - 12 13 -17
Mardi
8 - 12 13 -17
Mercredi
8 - 12 13 -17
Jeudi
8 - 12 13 -17
AA Automaticien
BB Mécanicien
CC Chaudronnier
DD Electricien
1.5. LES PROBLEMES DE SURCHARGE
Il faut analyser les causes de cette surcharge. Elle peut être permanente ou conjoncturelle. Les solutions seront différentes.
a) Surcharge permanente
- Revoir la politique de maintenance
- la mise en place de préventif diminue la charge globale ;
- le développement des améliorations diminue les taux de défaillance, donc la charge de correctif ;
- un service méthode plus performant diminue les tempsopératifs ;
- une sous-traitance bien négociée diminue la charge interne ;
-la production peut se charger de 1ér niveau de maintenance.
- Embaucher du personnel
b) Surcharges conjoncturelles
- Avoir recours aux heures supplémentaires (coûteux et fatiguant) .
- Sous-traitance (mal négociée, elle est coûteuse).
- Chercher des priorités : travaux en surcharge à reporter.
- Méthodes : remplacer une réparation par un échange standard, plus coûteux, mais plus rapide.
Il faut savoir que les services les plus souvent surchargés n’ont pas le temps de remettre en cause leurs méthodes, alors qu’ils
ont le plus besoin d’une remise en cause de leurs méthodes.
2. L’ORDONNANCEMENT DES TRAVAUX DE MAINTENANCE
2.1. CARACTERES SPECIFIQUES
Dans un service maintenance, la fonction ordonnancement est particulièrement lourde et délicate .En effet, les travaux sont variés et la
notion d’urgence plus fréquente et plus lourde de conséquence qu’en production.
Si la politique choisie et appliquée débouche sur 10% d’interventions fortuites, pas de problème majeur d’ordonnancement….
Mais si 90% desinterventions sont fortuites, donc par nature non prévues, la fonction ordonnancement est délicate et implique des
méthodes adaptées.
L’ordonnancement de maintenance a des problèmes spécifiques à résoudre :
- dépendance de la production (arrêts de fabrication) ;
- prise en compte de la sécurité (délais de consignation) ;
- suivi des travaux sous-traités ;
- approvisionnement des fournitures et pièces de rechange ;
- tri des urgences d’interventions correctives.
2.2. LES PROCEDURES RELATIVES AU TRAVAUX DE MAINTENANCE
a) Flux decommunication
b) Les imprimés relatifs aux travaux
Nous allons décrire un système de gestion des activités par imprimés, spécialement adaptés aux besoins de l’ordonnancement de
maintenance.
BPT = Bons de petits travaux
DT = Demande de travail
OT = Ordre de travail
BT = Bon de travail
2.3. DECLENCHEMENT DES DIFFERENTS TRAVAUX DE MAINTENANCE
a) Déclenchement de la maintenance préventive
Par nature, le service demandeur est le service maintenance lui-même, par son bureau de méthodes.
-Maintenance de ronde : des consignes permanentes de ronde, préparées aux méthodes, sont à la disposition des rondiers.
Elles sont lancées sans lancement et sans OT.
- Maintenance systématique : le déclenchement est fait suivant l’état présumé du matériel, suivant un échéancier qui les actions
systématiques avec un OTP. (Un ordinateur peut sortir automatiquement les OTP)
-Maintenance conditionnelle : le déclenchement est fait suivant l’état constaté du matériel.
Le seuil d’alarme mis en place doit prendre en compte le délai d’ordonnancement. La date d’intervention présente le caractère fortuit
du correctif, mais il n’y a pas de DT émise de l’extérieur.
b) Tableau de synthèse
Types de travaux Service déclencheur Document
Fonction
Ordonnancement
Enregistrement
Avancement
Programmation
Lancement
Approvisionne
ment
OTP : ordre de travail préventif
D.A (suivant l’état dustock)
OTC : ordre de travail correctif
DTE : demande des travaux
extérieures
O T : méthodes
Concertation avec la production
Etat des travaux
extérieurs
Site : retour des B. T
Production, service Extérieur :
D .T
Correctif
Préventif
Amélioration
Travaux neufs
Rechanges
Rénovations
Prestations diverses
Production
Ordonnancement de maintenance
Maintenance, études, production
Maintenance, études
Maintenance, magasin
Maintenance, production
Tout service
DT
OTP
DT
DT, dossier
DT
Dossier
DT ou BTP
2.4. LA GAMME D’ORDONNANCEMENT ET LE SCHEMA D’ENCLENCHEMENT DES PHASES
En fait, il s’agit d’une action d’ordonnancement faite par les préparateurs, qui, sous un seul n° d’ OT, vont décomposer le travail en
phases.
Il y aura 1 BT par phase, souvent appelé BP = Bon de phase.
Le dossier d’ OT contiendra donc :
- la gammed’ordonnancement, comprenant le graphe d’enclenchement des phases ;
- lesbons de phase, descriptifs de travail.
a) Le schéma d’enclenchement des phases
La phase 20 est débloqué par l’achèvement de 10. 30 et 40 peuvent débuter (simultanément ou non )dés l’achèvement de 20 .
b) Le chemin critique
C’est la succession des phases « en série » dont la durée totale détermine le délai. Aucune de ces phases n’est évidemment margée.
Exemple :
20
30 40
1010
20
c) Modèle de gamme d’ordonnancement
10
30
50
70
60
40
20
Schéma d’enclenchement Repère Durée de phase Chemin critique
10
20
30
40
50
60
70
18h
04h
07h
06h
09h
05h
10h
10 18h
20 04h
40 06h
50 09h
70 10h
Total : 47 h
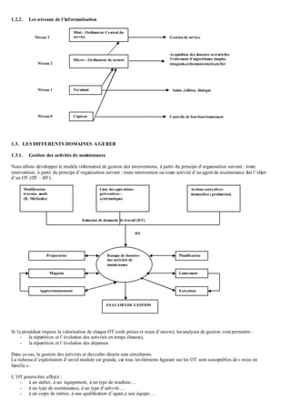
3. L’ORDONNANCEMENT DES TRAVAUX LOURDS DE MAINTENANCE : LE PERT
3.1. SITUATION DU PROBLEME
Les travaux importants, par le nombre et la durée des opérations qui les composent, mis enœuvre par le service maintenance sont le
plus souvent les arrêts annuels de process, de tranche, qui mobilisent sur une période allant de 8 jours à un mois un grand nombre de
techniciens, souvent extérieurs au service.
Certaines révisions générales, réparations lourdes ou rénovations, certains travaux neufs impliquent les interventions sur site,
simultanément ou successivement, de plusieurs équipes : face à ce problème de coordination d’activités, la gestion par OT, gamme
d’ordonnancement, graphes de Gantt ne devient plus possible.
Il faut alors faire appel à la théorie des graphes, et aux méthodes d’ordonnancement qui en découlent.
3.2. LA THEORIE DES GRAPHES ET LES DIFFERENTES METHODES
a) Ordonnancement par réseau
Un graphe est un réseau formé d’arc (ou chemins) et de nœuds (ou sommets).
Conventionnellement :
- le nœud représentera une activité (phase, tâche, ou étape)
- l’arc représentera une liaison logique entre la fin d’une tâche et le début de la suivante.
La construction d’un réseau implique donc la définition de l’antériorité des tâches.
Une représentation matricielle est souvent utilisée pour traiter les antériorités.
Remarque : dans le graphe de Gantt, la longueur du segment représente la durée d’une tâche.
Dans les réseaux, les longueurs d’arc ne sont pas représentatives de durées.
b) Le PERT
Le PERT signifie « Program Evaluation and Revue Technic ». Il a été mis au point en 1958, aux USA, pour l’ordonnancement du
programme spatial « POLARIS ». Il permet de contrôler les délais.
Efficace, facile à traiter par ordinateur, de nombreuses variantes ont été mises au point :
- CPM : « Critical Path Method » ou méthode du chemin critique ;
- PERT coût : à chaque opération est affecté un cout previsionnel, ce qui permet de gérer un échéancier des dépenses cumulées.
- PERT charge : il permet le nivellement des charges par lissage.
c) Le graphe de Gantt
Descripti f, facilement exploitable, il ne se prête pas à l’ordonnancement de trop nombreuses tâches.
Par contre, il sera édité en sous-programmes traduits du PERT général, comme planning de charge à destination d’une équipe.
d) Symbolisation des tâches et des étapes
Début de
1. pro Modèle
de gamme
d’ordonnan
cement
Fin de
programme
A = 6 Jours
A= 0, 1, 2 , 3 , 4 ou 6 jours
Un symbole le précisera
Gantt
B
e) Exemple : traduction de Gantt en PERT
2 3
B4
C
A
B D
E
Gantt :
PERT :
Toutes les étapes seront numérotées et les tâches seront codées.
Cet exemple nous montre que les graphes de Gantt, limités en nombre de tâches, sont facilement exploitables, leur structure étant celle
des plannings.
Les réseaux, moins lisibles et plus compact, seront plus facilement traités, à partir de la systématique de leur codification.
3.3. DESCRIPTION DU PERT-Temps
Le PERT-Temps adeux objectifs :
- La programmation des éléments constitutifs d’un projet, c’est-à-dire l’ordre dans lequel ils doivent être exécutés.
- Le calendrier d’exécution en fonction des contraintes de délai, ce qui revient à introduire les durées dans le réseau.
a) Recherche du réseau
Le projet (ou programme)
Tout projet se traduit par un ensemble ordonné de tâches, et se caractérise par un début (préparation, commande…) et une fin (essai,
mise en service) souvent situé dans le temps : le délai
La tâche
Elle consomme une durée, souvent évalué suivant le modèle :
6
4 tptrto
tm


tm : temps moyen ,telle que la durée réelle soit 50 fois/< tm
to : temps optimiste ,si tout va bien
tp : temps pessimiste,si tous les retards envisageables se manifestent
tr : temps réaliste ,correspondant à des circonstances normales d’exécution.
L’étape
L’étape ne consomme ni temps, ni coût, ni moyen .C’est simplement unjalon, représenté par un cercle, complété par les symboles
suivants :
1
2
3 4
5
6
C6
D2
E6
A3
B8
Les contraintes d’antériorité
Des relations de dépendance unissent les tâches, suivant lesrègles suivantes :
- Règle d’enclenchement : B ne peut commencer que si A est achevée
- Règle de convergence : C ne peut commencer que si A et B sont achevées
- Règle de divergence : B et C peuvent commencer si A est achevée, ce qui n’implique qu’elles doivent commencer simultanément.
Tâche fictive
Prenons l’exemple des contraintes suivantes :
C suit Aet B,
D suit B seulement
Nous avons ajouté la tâche fictive E, de durée nulle, dessinée en tirets.
.
0 0
1
5 7
2
A5 Date au plus tard
Date au plus tôt
Repère de l’étape
A
C
C
B
C
A
A B
C D
E
E
Ce graphe est à ne pas confondre avec la convergence- divergence, exprimant une contrainte supplémentaire
C suit A et B
D suit Aet B
Traitement des antériorités : matrice d’enclenchement
On trace une matrice carrée, portant les tâches en lignes et colonnes.
Tâche Tâches antécédentes Durée
A
B
C
D
E
F
G
A
B
A
G F
C D
B
3h
6h
2h
5h
2h
10h
3h
A B C D E F G
A
B x
C x
D x
E x x
F x x
G x
Tracé du réseau
Le dépouillement de la matrice précédente permet de tracer le réseau.
4
D5
E2
F10
C 2
C 2
A
B
C
D
Ce qui se lit :
B libère C et G
( divergence)
Ce qui se lit :
F et G libèrent E (convergence)
1 2
3
5 6
A 3
B6 G 3
b) Etablissement du calendrier d’exécution
Tableau complet d’ordonnancement
Etape
Tâche Durée Plus tôt Plus tard Marge
Chemin
critiqueDébut Fin
Début Fin Début Fin Libre Totale
1
2
3
2
5
4
3
2
3
4
4
6
5
5
A
B
C
D
E
F
G
3
6
2
5
2
10
9
0
3
9
3
21
11
9
3
9
11
8
23
21
12
0
3
9
6
21
11
18
3
9
11
11
23
21
21
0
0
0
3
0
0
9
0
0
0
3
0
0
9
x
x
x
x
x
Réseau complet
Etude des marges
Les marges expriment la flexibilité de l’ordonnancement :
Marge libre = début au plus tôt de la tâche suivante – fin au plus tôt de la tâche concernée
Marge totale = début au plus tard - début au plus tôt
Dans notre exemple étudions les marges sur D5 à partir d’ungraphe de Gantt ;
9 9
3
3 3
2
0 0
1
11 11
4
21 21
5 23 23
6
A3
B6
D5
G3
E2
F10
C2
Dans ce cas, la tâche F10 n’est pas margée, puisqu’appartenant au chemin critique.
La marge libre (11-8 =3) est égale à la marge totale (6 -3 = 3).
c) Principe du PERT - Charges
Nous constatons qu’il estpossible de lisser en jouant sur les marges pour la programmation des tâches autres que celles du chemin
critique.
En fait, deux options d’ordonnancement sont possibles, suivant que l’on s’impose pour objectif le respect du délai final ou de la
capacité de charge disponible.
Capacité de charge imposée
Dépassement de délai s’il n’est pas possible de lisser la charge entre 0 et D.
Délai imposé
3
B6
D5
D
’
5
9
11
C2
Début au plus tard =6
Début au
plus
tôt= 3
Charge
Capacité constante
t
Délai
t
Surcharge temporaire s’il n’est pas possible de lisser la charge entre 0 et D
3.4. PROBABILITE DE « TENIR LE DELAI » D’UN PROJET
Estimation des durées de tâche
Nous avons déjà vu que l’espérance mathématique d’une tâche peut être estimée par la formule suivante, caractéristique de la loi Bêta :
6
4 tptrto
tm


Sonécart type est
6
totp 

Prenons l’exemple de la tâche D5
to = 3h
t r = 4h
6
11443 

x
tm = 5h 33,1
6
311


 h
t p = 11h
Estimation de la durée d’un projet
La durée d’un projet est mise en évidence par la durée du chemin critique, formé de tâches « en série ».
Dans le cas ou n tâches en série, la durée moyenne est
 mim tt
t m i étant la durée moyenne de la i
éme
tâche .
L’écart type est 222 ....21 n  
Reprenons notre exemple t M = 29 heures et h5
Probabilité de respecter le délai D
Supposons la distribution des « fins de projet » normale.
Charge
t
Délai
t
L’usage d’une table relative à la loi normale permettra d’associer à un délai une probabilité de le respecter.
Si le délai fixé est 29h, alors Prob (t réel<29) = 0 ,5
Si le délai fixé est 34h, alors Prob (t réel<34) =Prob (T<

tmtréél 
)=Prob (T<1) =  )1( = 0,84
Si le délai fixé est 34h, alors Prob (t réel<39) =Prob (T<

tmtréél 
)=Prob (T<2) = )2( = 0,977
Remarque : Il est d’autant plus intéressant d’évaluer la probabilité de tenir un délaique celui-ci est assorti de pénalités de
retard, fonction des dépassements…
Exercices d’application
Exercice N° 1
- Définir l’ordonnancement et quelle est son utilité ?
- Quels sont les cinq niveaux de l’ordonnancement ?
- Qu’est ce que c’est un planning ?
- Qu’est ce que c’est un Gantt?
- Qu’est ce que c’est le PERT ?
Exercice N° 2
Description des tâches Désignation Tâches
antérieures
Temps en semaine
a m b
Avant projet du futur produit A - 4 5 12
Etude du marché B - 1 1,5 5
Etude de faisabilité C A 2 3 4
Réalisation D A 3 4 11
Définition de la politique
publique
E A 2 3 4
Estimation des coûts F C 1 ,5 2 2,5
Présentation des prototypes aux
clients
G D 1,5 3 4,5
Détermination du prix du
produit
H B, E 2,5 3,5 7,5
Evaluation du chiffre d’affaires I H 1,5 2 2,5
Rapport de synthèse avant
lancement de la série
J F, G, I 1 2 3
Travail demandé
1. Définir le temps moyen estimé pour chaque tâche
2. Calculer l’écart type pour chaque tâche
3. Dresser le graphe PERT
4. Donner la durée globale du projet
5. Donner le chemin critique
6. Donner l’écart type relatif à tout le projet
7. La probabilité que le projet soit fini au bout de 20 semaines
8. Conclusion
La table ci-dessous comporte les valeurs de la fonction de répartition de la loi normale, à savoir les valeurs de :
0.00 0.01 0.02 0.03 0.04 0.05 0.06 0.07 0.08 0.09
0.0 0.5000 0.5040 0.5080 0.5120 0.5160 0.5199 0.5239 0.5279 0.5319 0.5359
0.1 0.5398 0.5438 0.5478 0.5517 0.5557 0.5596 0.5636 0.5675 0.5714 0.5753
0.2 0.5793 0.5832 0.5871 0.5910 0.5948 0.5987 0.6026 0.6064 0.6103 0.6141
0.3 0.6179 0.6217 0.6255 0.6293 0.6331 0.6368 0.6406 0.6443 0.6480 0.6517
0.4 0.6554 0.6591 0.6628 0.6664 0.6700 0.6736 0.6772 0.6808 0.6844 0.6879
0.5 0.6915 0.6950 0.6985 0.7019 0.7054 0.7088 0.7123 0.7157 0.7190 0.7224
0.6 0.7257 0.7291 0.7324 0.7357 0.7389 0.7422 0.7454 0.7486 0.7517 0.7549
0.7 0.7580 0.7611 0.7642 0.7673 0.7703 0.7734 0.7764 0.7793 0.7823 0.7852
0.8 0.7881 0.7910 0.7939 0.7967 0.7995 0.8023 0.8051 0.8078 0.8106 0.8133
0.9 0.8159 0.8186 0.8212 0.8238 0.8264 0.8289 0.8315 0.8340 0.8365 0.8389
1.0 0.8413 0.8438 0.8461 0.8485 0.8508 0.8531 0.8554 0.8577 0.8599 0.8621
1.1 0.8643 0.8665 0.8686 0.8708 0.8729 0.8749 0.8770 0.8790 0.8810 0.8830
1.2 0.8849 0.8869 0.8888 0.8906 0.8925 0.8943 0.8962 0.8980 0.8997 0.9015
1.3 0.9032 0.9049 0.9066 0.9082 0.9099 0.9115 0.9131 0.9147 0.9162 0.9177
1.4 0.9192 0.9207 0.9222 0.9236 0.9251 0.9265 0.9279 0.9292 0.9306 0.9319
1.5 0.9332 0.9345 0.9357 0.9370 0.9382 0.9394 0.9406 0.9418 0.9429 0.9441
1.6 0.9452 0.9463 0.9474 0.9484 0.9495 0.9505 0.9515 0.9525 0.9535 0.9545
1.7 0.9554 0.9564 0.9573 0.9582 0.9591 0.9599 0.9608 0.9616 0.9625 0.9633
1.8 0.9641 0.9649 0.9656 0.9664 0.9671 0.9678 0.9686 0.9693 0.9699 0.9706
1.9 0.9713 0.9719 0.9726 0.9732 0.9738 0.9744 0.9750 0.9756 0.9761 0.9767
2.0 0.9772 0.9778 0.9783 0.9788 0.9793 0.9798 0.9803 0.9808 0.9812 0.9817
2.1 0.9821 0.9826 0.9830 0.9834 0.9838 0.9842 0.9846 0.9850 0.9854 0.9857
2.2 0.9861 0.9864 0.9868 0.9871 0.9875 0.9878 0.9881 0.9884 0.9887 0.9890
2.3 0.9893 0.9896 0.9898 0.9901 0.9904 0.9906 0.9909 0.9911 0.9913 0.9916
2.4 0.9918 0.9920 0.9922 0.9925 0.9927 0.9929 0.9931 0.9932 0.9934 0.9936
2.5 0.9938 0.9940 0.9941 0.9943 0.9945 0.9946 0.9948 0.9949 0.9951 0.9952
2.6 0.9953 0.9955 0.9956 0.9957 0.9959 0.9960 0.9961 0.9962 0.9963 0.9964
2.7 0.9965 0.9966 0.9967 0.9968 0.9969 0.9970 0.9971 0.9972 0.9973 0.9974
2.8 0.9974 0.9975 0.9976 0.9977 0.9977 0.9978 0.9979 0.9979 0.9980 0.9981
2.9 0.9981 0.9982 0.9982 0.9983 0.9984 0.9984 0.9985 0.9985 0.9986 0.9986
3.0 0.9986 0.9987 0.9987 0.9988 0.9988 0.9989 0.9989 0.9989 0.9990 0.9990
3.1 0.9990 0.9991 0.9991 0.9991 0.9992 0.9992 0.9992 0.9992 0.9993 0.9993
3.2 0.9993 0.9993 0.9994 0.9994 0.9994 0.9994 0.9994 0.9995 0.9995 0.9995
3.3 0.9995 0.9995 0.9995 0.9996 0.9996 0.9996 0.9996 0.9996 0.9996 0.9997
3.4 0.9997 0.9997 0.9997 0.9997 0.9997 0.9997 0.9997 0.9997 0.9997 0.9998
3.5 0.9998 0.9998 0.9998 0.9998 0.9998 0.9998 0.9998 0.9998 0.9998 0.9998
3.6 0.9998 0.9998 0.9999 0.9999 0.9999 0.9999 0.9999 0.9999 0.9999 0.9999
3.7 0.9999 0.9999 0.9999 0.9999 0.9999 0.9999 0.9999 0.9999 0.9999 0.9999
3.8 0.9999 0.9999 0.9999 0.9999 0.9999 0.9999 0.9999 0.9999 0.9999 0.9999
3.9 1.0000 1.0000 1.0000 1.0000 1.0000 1.0000 1.0000 1.0000 1.0000 1.0000
Chapitre4
LES CARACTERISTIQUES DE LA MAINTENANCE
1. DETERMINATION DES ACTIOINS PRIORITAIRES
a) Situation du problème
Dégager l’important d’une masse d’informations, faire apparaître objectivement ce qui est confusément perçu, voilà des
préoccupations importantes du gestionnaire. L’efficacité de ces actions dépendra pour une part de la manière dont il les a
sélectionnées.
Nous trouverons par suite plusieurs outils méthodologiques tels que les matrices de criticité, les graphes de PARETO …
Mais la courbe ABC est d’utilisation suffisamment générale pour être abordée maintenant.
1 .1. LA METHODE ABC
a) Principe de laméthode
- Définition
Il s’agitd’une méthode de choix qui permet de déceler, entre plusieurs problèmes, ceux qui doiventabordés en priorité. Une mise sous
forme graphique permet de distinguer de façon claire les éléments importants de ceux qui le sont moins, ce qui n’est pas toujours
évident.
- Intérêt de laméthode
Elle permet de ne pas de se laisser accaparer par des travaux certes utiles, mais de très faible importance par rapport au volume des
autres travaux (notion de rentabilité de l’action).
- Origine de la méthode
Elle est issue des travaux de Wilfredo Pareto (1848-1923) économiste italien, mais né à Paris. Etudiantla répartition de l’impôt
foncier aux USA, il constata que 15% des contribuables payaient 85% du total .Cette méthode se nomme aussi loi de Pareto
(ambiguë), loi des 15-85 ou des 20-80.
- Exemples
20% des conducteurs ont 80% des accidents ;
20% des voies ferrées assurent 75% du trafic ;
25% des articles vendues représentent 80% du chiffre d’affaire ;
15% des bons de travaux couvrent 85% des heures d’atelier ;
20% des machines ont 80% des défaillances enregistrées.
- Quoi préparer ?
Dans le cadre de la préparation du travail de maintenance, si l’analyse des interventions passés nous montre que 20% des
interventions représentent 80% des heures de travail, il devient évident que la préparation doit porter par priorité sur ces 20%
d’interventions.
- Autres applications en maintenance
- Recherche des pannes (suivant leur coût ou leur fréquence) pour décider de la méthode d’entretien à adopter.
- Définir l’implantation d’un magasin en fonction de la fréquence de sorties des pièces.
- Déterminer les méthodes de gestion de stock (quantités calculées au plus juste pour réduire les frais administratifs)
- Conclusion
La méthode ABC est un outil d’analyse polyvalent à la disposition du technicien responsable de l’organisation du travail.
b) Pratique de la courbe ABC
Exemple de courbe ABC : visualisation des résultats.
Elle permet de classer des éléments qui représentent la fraction la plus importante d’un caractère étudié en indiquant les pourcentages
pour un critère déterminé.
- Exemples de critères usuels en maintenance :
Nombre, durée ou coût d’interventions
Nombre de pannes, durée d’indisponibilité …
Interprétation de la courbe ci contre
Les na éléments de la classe A (soit 15% des éléments étudiés) représentent 60% du critère cumulé : ils sont à considérer en priorité.
Par contre les éléments de la classe C (soit 60% du total) ne représentent que 10% du critère cumulé : ils sont à négliger.
1- Déterminer le cadre et les limites de l’étude
- Quel choix veut –on faire ? (Objet de l’étude)
- Définir la nature des éléments à classer
- Choisir le critère de classement (coût ou temps le plus souvent)
- Rechercher la période représentative pour le caractère étudié
2- Faire un tableau de classement
Exemple : On donne l’historique des défaillances suivantes
n : nombre de défaillances
3- Faire un tableau ordonné
Les éléments sont classés par valeur décroissante
Machine n
M1 14
M2 1
M3 2
M4 18
M5 1
M6 2
M7 3
M8 4
N Éléments
Critères cumulés
n a n b
100%
90%
60%
40%
40%
15%15%15%
B C
A
Machine
n %n
%
cumulés
des n
%
cumulés
des Mi
M4 18
40 40 12,5
M1 14
31,11 71,11 25
M8 4
8,89 80,00 37,5
M7 3
6,67 86,67 50
M3 2
4,44 91,11 62,5
M6 2
4,44 95,56 75
M2 1
2,22 97,78 87,5
M5 1
2,22 100,00 100
total
machines=8 45
Ce graphe permet de dégager les machines de classement 1,2 et 3 qui sont respectivement M4, M1 et M 8 .Elles représentent
80% des défaillances. Par contre les autres machines ne représentent que 20%.
Les machines M4, M1 et M 8 sont prioritaires pour fiabiliser la ligne.
c) Exercice d’application
On donne l’historique des défaillances suivantes
n :nombre de défaillances
t : durée moyenne d’intervention
On demande de déterminer les priorités pour :
- fiabiliser la ligne
- réduire les temps d’intervention
- améliorer la disponibilité
1 .2. LA METHODE AMDEC
a) Définition
AMDEC : Analyse des modes de Défaillances, de leurs Effets et de leur Criticité.
Il s’agitd’une méthode inductive permettant, pour chaque composant d’unsystème, derecenser son mode de défaillance et de son
effet sur la sécurité du système.
b) Processus d’analyse
Après avoir précisé le profil de mission, il faut
- identifier tous les composants d’unsystème (inventaire) ;
- pour chaque composant, établir la liste des modes, de défaillance possibles et de leurs causes envisageables ;
- évaluer leurs effets sur le succès de la mission ;
- définir les moyens de détection, puis de prévention des modes de défaillance ;
- évaluer la criticité (codage de 1 à 4 des modes de défaillance ;
- évaluer éventuellement la probabilité d’occurrence.
c) Objectif de l’AMDEC
L’AMDEC est une méthode qualitative puis quantitative qui contribue à l’amélioration de :
Machine n t n .t
M1 14 1.3 18.2
M2 1 16 16
M3 2 8.5 17
M4 18 0.9 16.2
M5 1 17 17
M6 2 8 16
M7 3 5.5 16.5
M8 4 4 16
AMDEC Moyen ou Machine a pour but de valider la disponibilité des équipements par l’établissement d’un plan de maintenance et
pièces de rechange.
d) AMDEC Moyen (Machine)
- Méthodologie
- Analyse fonctionnelle
 C’est la 1ére étape à réaliser avant d’entamer l’AMDEC
 Identification des fonctions que doit remplir le système (schéma fonctionnel)
 Identification des composants et des liaisons entre composants qui permettent d’assurer participant à la réalisation de chaque
fonction
e) Grille d’analyse qualitative
Exemple : Perceuse
La fiabilité La
maintenabilité
La disponibilité
d’un produit d’un processus d’un moyen de
production
f) Analyse quantitative
- Indices de l’analyse quantitative
- Occurrence « O » : probabilité que la cause apparaisse et qu’elle entraîne le mode de défaillance
- Gravité « G » : gravité des effets du mode de défaillance sur la disponibilité (arrêt de la production) et sur la sécurité des personnes
et des biens
- Détection « D » : probabilité que le mode de défaillance ne soit pas détecté où que son effet atteigne l’utilisateur
- Criticité « C » : produit de l’occurrence, de la gravité et de la détection
C = O x G x D
- Exemple de notation de l’occurrence « O »
- Exemple de notation de la gravité « G »
- Criticité et seuil de criticité
- Exemple d’analyse quantitative : Perceuse
g) AMDEC MOYEN : Actions correctives
h) AMDEC MOYEN : Suivi des actions
i) AMDEC MOYEN : Plan d’action
j) AMDEC MOYEN : Plan de maintenance
01/12/0
0
01/12/0
0
28/12/0
0
k) Exemple de plan de Maintenance : Perceuse
l) Réalisation de l’AMDEC Moyen
- Groupe de travail
 Un animateur garant de la méthodologie
 Un pilote (chefde projet) responsable du dossier
 Des représentants des services
 Maintenance
 Méthodes
 Qualité
 Production
 Des experts selon les besoins de l’analyse
m) Dossier préalable
Pour démarrer l’analyse, il est souhaitable de disposer de :
- Plans, Schémas de principe, nomenclature
- Cahier des charges Fonctionnel
- Schéma fonctionnel
- Normes, réglementation en vigueur
- Historique des pannes sur des moyens similaires
- Liste des essais et vérification prévus ou en cours
- Résultats d’essai effectués sur le moyen ou sur un moyen comparable
n) Exercice d’application
1) Présentation
On dispose d’unepompe à deux débits
2) Travail demandé
1) Donner la désignation de tous les éléments
2) Etablir une étude AMDEC en faisant
- Analyse fonctionnelle
- Grille d’analyse qualitative
- Analyse quantitative
- Actions correctives
- Suivi des actions
- Plan d’action
- Plan de Maintenance
1 .3. CONCLUSION
La méthode ABC s’avère très utile dans une entreprise afin d’établir une politique de maintenance (Maintenance préventive pour les
machines responsables de 80% des arrêts).
La méthode AMDEC fait l’analyse poussée d’une machine et permet de déterminer les composants critiques et par conséquent
d’établir le plan de maintenance pour cette machine.
Chapitre5
LA PREPARATION DU TRAVAIL
1. RENTABILITE DE LA PREPARATION
1.1. DEFINITION DE LA PREPARATION
De façon générale, c’est la fonction de l’entreprise chargée de prévoir, définir et réaliser les conditions optimales d’exécution d’un
travail .En maintenance, c’est la sous-fonction des méthodes ayant vocation d’aide à l’intervention.
La préparation est une des responsabilités du bureau des méthodes.
Pour une tâche donnée, la préparation consiste à définir les besoins et à éditer les documents opérationnels, comme l’illustre le graphe
ci-dessous :
Objectif de la préparation du travail
- Faciliter le travail des techniciens d’intervention
- Réduire les coûts directs d’intervention en diminuant les temps d’attente : recherche d’outillage, de personnel disponible,
déplacements inutiles .Nous pouvons espérer un gain de 30% sur le temps productif.
- Réduire les coûts indirects en diminuant les durées d’immobilisation des équipements
- Prévoir les consommations en rechange, matières, fournitures….
1.2. RENTABILITE DE LA PREPARATION
La préparation existe toujours, mais elle peut être :
- non formalisée : réflexion personnelle de l’exécutant,
- formalisée : établie par le préparateur.
Elle ne se justifie que si les gains qu’elle procure sont supérieurs aux dépenses qu’elle occasionne.
Hors, l’évaluation des gains est difficile (différence entre le coût d’un travail non préparé et du même travail préparé). Nous pouvons
réfléchir à partir de la courbe théorique suivante :
PREPARATION
Edition des définition
document des
d’activité besoins
-Analyse, diagnostics, expertises
- Dossiers machines
-Banque de données internes (Standard de
temps)
Besoins en moyens
Outillage, testeurs,moyens
spéciaux
Besoins en personnel
Qualification,
habilitation,
quantité
Besoins en matières :
DA : Demande
d’approvisionnem ent
OTC : Correctif
OTP : Conditionnel
Gamme d’intervention
Temps alloués
Consignes de sécurité
Programme de maintenance
systématique
ab : préparation superficielle pou être utile :
bc : sous-préparation
cd : préparation optimale
de : sur-préparation
ef: préparation disproportionné aux travaux
Conclusion : la recherche du niveau optimal de la préparation est délicate à priori. L’observation de la manière dont une tâche a été
effectuée permet de rectifier le niveau et le contenu d’une préparation.
1.3. QUOI PREPARER ? TABLE DE CRITICITE DES EQUIPEMENTS
a) Principe
Le principe est d’affecter à chaque équipement un indice de criticité, moyen de déterminer des priorités dans l’ordre et dans la forme
des préparations relatives à cet équipement.
b) Exemple de critères et d’évaluation
1- Complexitétechnologique : 4- Coûts directs de maintenance :
Simple --------------- 0 Faibles--------------------- 0
Complexe------------- 1 Moyens---------------------1
Très complexe-------- 2 Elevés----------------------2
2- Importance de l’équipement dans
le processus de production : 5- Valeur du remplacement à l’identique :
Secondaire------------ 0 Peu coûteux-----------------0
Principal--------------- 1 Coûteux --------------------1
Vital----------------------2 Très coûteux ---------------2
3- Taux de marche : 6- Coûts indirects :
Episodique ------------0 Faibles------------------------0
Intermittent------------1 Moyens--------------------- 1
Continu-----------------2 Elevés----------------------- 2
c) Table de criticité
On affecte chaque critère d’un cœfficient de pondération fonction du contexte de l’entreprise.
b
c
d
e
a0
Dépenses de la préparation
Temps passés
Gains
dus à la
préparation
Zone de rentabilité
Exemple
Matériel : grignoteuse Code : 3- 104-7
Critère Valeur estimée Coefficient Points estimés Points maxi
1
2
3
4
5
6
0
1
1
0
1
1
2
3
1
1
1
2
0
3
1
0
1
2
4
6
2
2
2
4
Totaux : i=7 20
Indice de criticité 200  i
Utilisation
On retiendra en priorité les équipements d’indices compris entre 15 et 20 pours :
-établir les dossiers machines
-mettre en place des mesures préventives
- établir les préparations complètes.
d) Conclusion
L’évaluation est suggestive ; cependant, la méthode d’analyse, très simple à mettre en œuvre, permet une approche sélective du parc
matériel.
La méthode ABC reste plus significative et permet de faire la préparation des travaux pour les équipements représentant 20% et qui
sont responsables de 80% des arrêts.
2. LES TACHES DU PREPARATEUR
2.1. INTRODUCTION
La mission du service méthodes-maintenance est
- La gestion technique des équipements
- La préparation des interventions curatives et correctives
- L’analyse des coûts et l’optimisation des méthodes et des moyens.
2.2. TRAVAUX RELATIFS A LA GESTION TECHNIQUE DES EQUIPEMENTS
- Etablissement et tenue à jour de l’inventaire des matériels, de la codification.
- Etablissement et tenue à jour des dossiers –machines et des outillages.
- Etablissement et tenue à jour des historiques etsuivis d’équipements.
- Participation à la réception et mise en service d’équipements.
- Analyse des temps opératoires.
- Etablissement des spécifications de standards.
- Etudes de simplifications et d’amélioration d’interventions, de postes.
- Définition des méthodes d’entretien, des procédures d’intervention.
- Assistance technique (diagnostic, mesures, essais, réception de matériel…)
2.3. TRAVAUX PLUS SPECIFIQUEMENT DE PREPARATION
- Dépannage : tableau de diagnostic, gamme type de dépannage.
- Réparations : méthodes et exploitation de diagnostic, expertise sur place, puis préparation des interventions correctives.
- Maintenance de ronde : itinéraire, fréquences et contenu des rondes, plans de lubrification.
- Maintenances préventives : préparations des visites et inspections : comptes rendus etexploitation, rédaction et amélioration des
gammes d’intervention préventives.
- Préparation des travaux de rénovation, d’amélioration et de modernisation.
- Préparation des travaux lourds : arrêts annuels….
- Cahiers des charges, spécification des travaux sous traités.
- Définition des besoins en pièces de rechanges et en outillage.
2.4. TRAVAUX RELATIFS A LA GESTION ECONOMIQUE DES EQUIPEMENTS
Analyse des différents coûts de maintenance afin :
- d’optimiser les méthodes de maintenance ;
- d’améliorer la disponibilité des machines pénalisantes ;
- de conseiller la direction du service (gestion du budget, tableau de bord)
- de maîtriser le problème de renouvellement du matériel.
Cette énumération, à l’évidence non exhaustive, a pour but de montrer la diversité des tâches incombant au préparateur de
maintenance, sa nécessaire polyvalence et son indispensable mobilité.
2.5. SITUATION CHRONOLOGIQUE DE LA PREPARATION
Suivant le typeda maintenance choisi pour un équipement donné, lapréparation peut se situer :
- avant ou après défaillance,
- avant et après alerte préventive.
Remarques :
 Certaines tâches du préparateur ont lieu après l’intervention :
- report sur historiques,
- amélioration des préparations
- études (coûts, temps, fiabilités….)
- mise en mémoire des documents
3. LA PREPARATION DE LA MAINTENANCE CORRECTIVE
3.1. METHODOLOGIE DU DIAGNOSTIC
a) Définition du diagnostic
Identification de la cause d’une défaillance à l’aide d’un raisonnement logique
b) Réflexion de départ
 La logique de recherche des défaillances diffère de la logique de fonctionnement enseignée par les constructeurs.
 La défaillance ignore les frontières entre les domaines mécaniques, électriques, hydrauliques…..qui séparent souvent les différents
investigateurs.
 La coupure « utilisateurs-maintenance »fait baisser 50% la probabilité de découverte rapide d’une défaillance .Une collaboration
s’avère indispensable, en attendant la fusion opérée dans la TPM (l’opérateur est formé à la maintenance de 1ér et 2 éme niveau,
et aux techniques de diagnostic.
Maintenance CORRECTIVE
CERNEE
Maintenance CORRECTIVE
SUBIE
Maintenance PREVENTIVE
DEFAILLANCE ALERTE PREVENTIVEDEFAILLANCE
ACTION PREVENTIVEDEFAILLANCE REPARATION
Préparation anticipée
(gamme –type)
-préparation dusuivi d’équipement
- préparation anticipée
-préparation à « chaudsuivant
les dommages
-Préparation de l’intervention si
l’expertise larendnécessaire
 Dans l’optique de l’accroissement de la disponibilité d’un équipement, la vitesse de diagnostic est un critère de temps important.
c) Les outils usuelsd’aide au diagnostic
1. - Les schémas fonctionnels au diagnostic
Extraits du Dossier-machine, les schémas électriques, hydrauliques, mécaniques…. les dessins techniques servent de supports visuels à
un raisonnement logique.
On identifie le composant défaillant (la fonction perdue) sur la machine, puis surle schéma, et l’on remonte en amont chercher les
causes possibles.
2. - Les tableaux « effets-causes-remèdes »
Constatations ou effets visibles
Ou symptôme
Causes possibles ou causes
présumées
Remèdes ou préconisations
Exemple : la broche chauffe Mauvaise arrivée d’huile Nettoyer le filtre
Ces tableaux sont parfois très longs, à un symptôme pouvant correspondre m causes, et à chaque cause n remèdes.
3.- Les tableaux « entrées – sorties »
De lecture plus rapide que les précédents, ils excluent le remède, souvent évident une fois la cause trouvée.
Structure
Effets Causes possibles
1 2 3 4 5 6 7 8 9 10 11 12 13
A x x x
B
x x
C
x
x
x
D
x
Dans cet exemple, un arbitrage doit déterminer celle des deux causes 3 ou 8 qui est la plus probable.
4.- Les tests de diagnostic
- Définition du test : comparaison des réponses d’un dispositifsoumis à une sollicitation à des réponses de référence.
- les bancsdu test : spécifiques à un matériel, ils permettent le diagnostic, le contrôle ainsi que les réglages- mise au point.
Exemples : bancs du test en automobile
Banc hydraulique en maintenance aéronautique
- le télé –diagnostic : il est inclus à certains contrats de maintenance relatifs à des systèmes comportant des automates programmables.
Le client, muni d’un terminal, consulte par MODEM la banque de données de l’ordinateur S.A.V. Celui- ci lui indique les séquences
de tests à mettre en œuvre : c’est le diagnostic à distance.
Entrée
SORTIE
4.- Les systèmes experts de diagnostics
Les progrès de l’informatique ont permis le développement des systèmes experts, tournant sur micro-ordinateur, qui rassemblent des
connaissances et les utilisent de façon analogue à celle des spécialistes de dépannage.
Remarque : ce logigramme suppose que le remède x relatif à la cause X
- soit adapté et efficace,
- soit convenablement mis en œuvre (intégration du contrôle).
3.2. PREPARATION DES TRAVAUX DE DEPANNAGE : MAINTENANCE PALLIATIVE
Par nature, ces interventions de prêtent peu aux préparations .Cependant, des actions de préparation sont possibles.
a) Tableau de diagnostic
Il met en évidence le rapport de cause à effet à partir de données historiques.
b) Gamme –type de dépannage
Cette préparation comportera :
- les opérations de démontage et de nettoyage
- les remplacements provisoires d’éléments défaillants (ou remise en état provisoire)
- les opérations de démontage.
En outre, suivant les cas :
- une liste d’outillage,
CAUSE 2
CAUSE 3
CAUSE 1
Remède 1
Remède 2
Test
d’exis
tence
Essai
Test
d’exis
tence
Essai
Fin
Fin
OUI
OUI
Mauvais
Bon
Mauvais
Fin
Non
Non
Etc.
- les cotes de réglage ou de contrôle,
- les mesures de sécurité,
- les temps alloués par opération,
- la désignation des pièces à remplacer,
- la qualification des exécutants (et leur nombre).
c) Tâches post-dépannage de l’agent des méthodes
- Tâches de routine :
- mise à jour du fichier historique,
- améliorer les tableaux de diagnostic et lesgammes.
- Tâches de réflexion :
- analyse des causes de pannes (améliorations),
- étude des coûts de dépannage et propositions au chef de service.
d) Exemples
- Fiche d’autodépannage
- Tableau d’aide au diagnostic
3.3. PREPARATION DES TRAVAUX DE REPARATION : MAINTENANCE CURATIVE
Rappel : La réparation est une intervention définitive et limitée de maintenance corrective.
a) Processus de réparation
Quelle que soit la méthode de maintenance choisie, on aboutit toujours sur une réparation :
- en correctif, après dépannage,
- en préventif, après une visite ou une ronde ayant montré l’imminence d’une défaillance,
- en systématique, à la date choisie,
- après échange standard, sur l’élément défectueux déposé.
Le processus d’une réparation est le suivant :
1 - Analyse de défaillance 7 - Expertise définitive
2 – Diagnostic, localisation 8 - PREPARATION
3 –Expertise préalable 9 - Intervention corrective
4 – Nettoyage 10 - Remontage
5 – Procédure de dépose 11 - Essais, contrôles
6 – Démontage 12- Remise en service
Rappel : En moyenne, il faut compter 1 heure de préparation pour 25 heures de travail.
b) Travaux à préparer
1- Les travaux importants
Ils sont déterminés par la méthode ABC
2- Les travaux répétitifs
Ils ont lieu lorsque :
- le matériel est standardisé ou regroupé par famille ;
- le matériel se dégrade rapidement car fragile ou soumis à des conditions de travail très dures.
3- Les travaux en arrêt de fabrication : les révisions
- Révisions partielles
- Révisions générales
Ces travaux sont à la fois importants (en heures) et répétitifs (annuels, par exemples) : leur préparation sera donc détaillée.
4- Les travaux de hautes qualités
Il s’agitde réparations délicates et coûteuses justifiant une préparation.
5- Les travaux liés à la sécurité
Leur préparation sera axée sur les conditions de sécurité (consignation, habilitation…..)
c) Exemple
4. LA PREPARATION DE LA MAINTENANCE PREVENTIVE
4.1. PREPARATION DE LA MAINTENANCE PREVENTIVE
a) Préambule
La vocation de la maintenance préventive est évidemment de prévenir un certain nombre de défaillances, mais surtout d’apprendre à
connaître le comportement d’une machine de façon à pouvoir lui appliquer à terme du systématique et /ou du conditionnel.
Les visites préventives seront préparées dans ce double objectif.
b) Démarche de la préparation
1- Nous devons effectuer le choix des machines à visiter, en fonction de leur criticité
2- Nous décomposerons ensuite chaque machine en « modules »et nous chercherons quels sont « les points clés » (éléments
supposés fragiles, ou sensibles) de ces modules.
3- Il nous faudra ensuite fixer pour chaque point clé une fréquence de visite à priori .Le cumul des résultatsde ces visites mettra
en évidence l’éventuel besoin de les rapprocher ou de les espacer.
4- Echéancier des visites : il constitue le« plan de maintenance préventive » de lamachine, après avoir homogénéisé les
différentes fréquences.
5- Etablissement des fiches de visites, relatives à une machine donnée
6- Exploitation de ces fiches, qui, complétées par les défaillances résiduelles portées sur l’historique de la machine, permettra de
faire évoluer la maintenance préventive vers une maintenance systématique, simple à gérer, et vers une maintenance
conditionnelle pour les éléments qui s’y prêtent.
c) Echéancier des visites et interventions préventives
Exemple d’organisation :
Identification fiche de
visite
Périodicité (heures) Visites et opérations à effectuer
I II III IV
A
B
A
C
A
B
A
D
1 000
2 000
3 000
4 000
5 000
6 000
7 000
8 000
+
+ +
+
+ + +
+
+ +
+
+ + + +
Il s’agitd’une opération de standardisation regroupant quatre périodicités :
- toutes les 1 000 heures, visites et opérations I,
- toutes les 1 000 heures, visites et opérations II,
- toutes les 1 000 heures, visites et opérations III,
- toutes les 1 000 heures, visites et opérations IV.
Ce travail débouche sur la rédaction par le préparateur de 4 fiches de visites :
-A (I),
-B (I+II),
-C (I+II+III),
-D (I+II+III+IV).
d) Fiches de visites préventives
Outre les renseignements d’identification et de localisation, elles comportent le processus détaillé de la visite accompagnée de
schémas, photos, plans, paramètres à contrôler….
Une visite peut contenir des opérations telles que réglages (tension de courroie), remplacements, nettoyages, etc.
La fiche de visite comporte une partie « résultats et observations »à exploiter, puis à joindre au dossier machine du matériel visité.
e) Exploitation des fiches de visites
L’exploitation ne sera possible que si les résultats et comptes rendus des visites sont ordonnés et mémorisés .Le suivi du matériel
permettra ainsi de connaître les lois de dégradation ou les vitesses de dérive ,de façon à établir un échéancier d’interventions
systématiques .
La réussite d’une politique de maintenance préventive dépend beaucoup de la rapidité et de la qualité d’exploitations desfiches
préventives.
4.2. PREPARATION DE LA MAINTENANCE DE RONDE
Cette préparation comprend deux parties :
a) Les consignes de conduite
Elles concernent le fonctionnement du matériel périphérique à la charge de l’entretien. Etablies par un préparateur connaissant ce
matériel, elles contiennent en général :
- les consignes de mise en route et d’arrêt,
- les consignes pendant la marche,
- les consignes en cas d’incident de fonctionnement, d’accident de personne, d’incendies, etc.
b) Les fiches de ronde
Elles sont très proches des fiches de visites préventives, mais elles ont une périodicité plus courte (1heure à 1jour).Elles portent sur des
points sensibles du matériel de production.
Exemple : fiche de ronde
c) Le cas de la lubrification
La lubrification a pour tâches de
- le contrôle et l’ajustement desniveaux.
- les vidanges périodiques.
- la standardisation des huiles et des graisses.
- l’approvisionnement en lubrifiants.
Exemple : plan de lubrification
4.3. PREPARATION DE LA MAINTENANCE CONDITIONNELLE
a) Spécificité de la préparation
Dans ce type de maintenance moderne, les tâches habituelles du préparateur disparaissent .Son rôle devient celui du« maître d’œuvre
de la mise en place des outils»permettant la maintenance conditionnelle.
Il s’agitsurtout d’une analyse technologique impliquant une bonne connaissance du matériel à suivre (comportement) et des moyens
possibles à mettre en œuvre.
b) Procédure de mise en oeuvre
1. – Sélection des parties sensibles
Une analyse technico-économique sera faite, mettant en évidence les coûts de défaillance à réduire.
2. – Choix des paramètres d’état interne
Il s’agitde déterminer des paramètres physiques, mesurables, significatifs des dégradations probables, donc de l’état interne de
l’équipement.
Exemple : palier lisse
Paramètres mesurables envisageables
T Température du palier
Vdb Niveau de vibrations sur palier
Øb Diamètre de la bague d’usure
J= Øb- Øa Jeu moyen arbre/bague
Ra Etat de surface sur l’arbre
Cr Couple résistant
W Vitesse de rotation de l’arbre
3. – Choix des capteurs
Le grand développement technologique actuel permet de se procurer des capteurs peu coûteux, fiables, compacts, pour de très
nombreux paramètres physiques.
4. – Choix des seuils
- Seuil d’alarme : il doit permettre l’organisation et la réalisation de l’intervention préventive avant l’atteinte de la limite
admissible de dégradation.
- Seuil d’admissibilité : déterminé expérimentalement .Il marque la limite de performance entre le mode dégradé et la panne (perte
de mission).
5. – Organisation de l’intervention préventive
Il reste à préparer de façon usuelle la remise à niveau, la lancer et la réaliser (voir diagnostic, expertise, préparation…).
Les tâches post-opératoires consistent à mettre en mémoire l’intervention (historique, dossier- machine) et à exploiter les données
nouvelles acquises (exemple : correction des seuils, capteurs complémentaires….).
c) Conclusion
La mise en œuvre d’une politique de maintenance conditionnelle correspond à un investissement initial.
L’amortissement se fait par la réduction ultérieure des coûts directs (pas de rondes, de visites, préparations réduites, organes utilisés à
la limite deleur potentiel)
Exemple : fiche de visite préventive conditionnelle
4.4. PREPARATION DE LA MAINTENANCE SYSTEMATIQUE
a) Préambule
Le but de la maintenance systématique est d’effectuer des remplacements de pièces, d’organes ou de modules quelque soit leurétat,
dans le but de réduire les défaillances .Et donc le nombre des réparations.
b) Préparation de l’échéancier de maintenance systématique
L’établissement de l’échéancier se fera en deux phases :
1.- Recherche des périodes optimisées d’interventions pour tous les éléments concernés par une intervention systématique. ( T= k.
MTBF).
2- Standardisation et homogénéisation de ces périodes, de façon à attribuer une période d’intervention propre à chaque module
constituant de la machine.
5. PLAN DE MAINTENANCE
5.1. DEFINITION
Le plan de maintenance est un ensemble structuré de tâches qui comprennent les activités, les procédures, les ressources et la durée
nécessaire pour exécuter la Maintenance (Norme NF X60- 010)
5.2. PLAN DE MAINTENANCE
Exemple
6. TABLEAU DE BORD DE LA MAINTENANCE
Le tableau de bord est l’ensemble des indicateurs objectifs et pertinents qui donnent une image sur le déroulement de la maintenance
dans une entreprise. Il permet, par rétroaction, de corriger et d’agir sur la maintenance par les managers de l’entreprise.
6.1. INDICATEUR
Donnée objective qui peut être mesurée directement ou être obtenue à partir d’un ensemble de données relatives au système considéré
ou à quelques uns de ses composants .Un indicateur donne une vue sur l’état d’unsystème ou de ses composants à un instant donné ou
sur une période donnée.
Les indicateurs portent sur les 5M de la Maintenance et de la gestion des stocks.
6.1.1. Nature des indicateurs
 Techniques :
- durées : exemple : Tempsd’arrêt
- nombre : exemple de pannes
 Economique :
- Coûts : exemple : Coût direct de maintenance
- Gains : exemple : Gains sur un coût d’indisponibilité
6.1.2. Propriétés des indicateurs
- Pertinence
- Simplicité
- Sensibilité
- Fidélité
- Clarté
- Suffisance
- Concision
6.2. INDICATEURS TECHNIQUES DE MAINTENANCE
- Disponibilité : A = Temps de fonctionnement / Temps requis
- Taux de capacité : C= Capacité réelle /Capacité nominale
- Taux de qualité : Q= Quantité conforme/Quantité totale
- Taux de Rendement Synthétique TRS = A.C.Q
- Taux de pannes = Nombre de panne /Tempsrequis
- Temps d’indisponibilité pour Maintenance / Temps requis
- Pourcentage des travaux réalisés dans le délai prévu
- Pourcentage des travaux reportés par manque de pièces de rechange
6.3. INDICATEURS TECHNIQUES DE GESTION DES STOCKS
- Nombre d’articles de la classe A / Nombre total d’articles en stock
- Nombre des articles mouvementés / Nombre total d’articles en stock
- Taux de rotation = Consommation annuelle /Quantité en stock
Cycle de Maintenance
Définition des travaux,
Préparation, Planification
Exécution des travaux
Contrôle des interventionsRétroaction
Amélioration
Optimisation
Conception
Enregistrement des données
Retour d’expérience
Elaboration d’historiques
Tableau de bord
6.4. INDICATEURS ECONOMIQUES DE LA MAINTENANCE
- Coût de Maintenance /unité d’œuvre produite
- Coût direct de la Maintenance / Valeur à neuf du matériel
- Coût direct de Maintenance systématique/Coût direct de Maintenance
- Coût direct de Maintenance conditionnel/Coût direct de Maintenance
- Coût direct de Maintenance correctif/Coût direct de Maintenance
- Coût direct de Maintenance améliorative/Coût direct de Maintenance
- Coût direct de Maintenance/ Coût direct moyen des 3 dernières périodes
- Coût de formation Maintenance/Effectif de la Maintenance
6.5. LE REPORTING
Le reporting consiste, pour un responsable, à rendre compte aux rangs supérieurs du management de la réalisation des objectifs qui lui
ont été délégués et qu’il a négociés. Ceci se fait grâce, en particulier, à des tableaux de bord et des indicateurs agrégés judicieusement
choisis .Le reporting focalise, donc, l’attention des dirigeants sur les objectifs délégués aux responsables. Il synthétise les informations
destinées aux supérieurs hiérarchiques et permet de vérifier si les objectifs délégués sont atteints et d’évaluer la performance des
responsables .Le reporting est un outil d’information, à postériori ,dirigé vers le haut de la hiérarchie .Il permet donc la remontée des
informations vers les hauts décideurs.
6.6. LE BENCHMARKING
C’est une évaluation comparative des performances assurées par l’entreprise avec d’autres entreprises concurrentes .Cela consiste à
choisir des indicateurs pertinents de comparaison et de situer l’entreprise par rapport à ce qui se fait dans d’autres entreprises.
Si le Benchmarking est intéressant et constitue un bon outil d’aide à la définition des objectifs, il doit être utilisé avec prudence car les
conditions dans lesquelles évoluent les entreprises ne sont pas les mêmes d’unpays à l’autre ou d’une ville à l’autre d’unmême pays .
Exemples de Benchmarks :
- Coût de Maintenance / Valeur des immobilisations brutes = 4%
- Coût de Maintenance / Valeur ajoutée = 6%
Chapitre6
LA SOUS- TRAITANCE DE LA MAINTENANCE
1. LA SOUS-TRAITANCE : DEFINITIONS, CONTEXTE ET TENDANCES ACTUELLES
1.1. DEFINITION
La sous-traitance industrielle est toute opération concourant, pour un cycle de production déterminé, à l’activité de conception, de
fabrication ou de maintenance ou de maintenance dont une entreprise (le donneurs d’ordres) confie la réalisation à une entreprise (le
preneur d’ordres) tenue de se conformer aux directives arrêtés par le donneur d’ordres
NF X50-300 : Sous-traitance industrielle –vocabulaire- AFNOR
1.2. TYPE DE SOUS-TRAITANCE INDUSTRIELLE
1.2.1. LA SOUS-TRAITANCE DE SPECIALITE
La sous-traitance industrielle est dite de spécialité lorsque l’entreprise donneuse d’ordres décide de faire appel à un spécialiste
disposant des équipements et de la compétence adaptés à ses besoins, parce qu’elle ne peut pas ou ne souhaite pas, pour des raisons
relevant de sa stratégie propre, notamment des considérations d’ordre économique, se doter des moyens nécessaires au lancement et au
développement d’une fabrication ou encore parce qu’elle estime ses
Installations insuffisantes ou insuffisamment compétitives pour cette fabrication.
NF X50-300 : Sous-traitance industrielle –vocabulaire- AFNOR
1.2.2. LA SOUS-TRAITANCE DE CAPACITE
La sous-traitance industrielle est dite de capacité dés lors que l’entreprise donneuse d’ordres, a recours à une autre entreprise soit
occasionnellement, en raison d’une pointe momentanée dans sa production ou d’unincident technique (sous-traitance conjoncturelle),
soit de façon plus ou moins habituelle parce que désireuse de conserver une capacité propre dans une fabrication déterminée, elle
entend utiliser des capacités de production disponibles à l’extérieur (sous-traitance structurelle)
NF X50-300 : Sous-traitance industrielle –vocabulaire- AFNOR
1.3. DEFINITIONS JURIDIQUES DE LA SOUS-TRAITANCE
Extrait de la loi française n°75-1134 du 31 décembre 1975 relative à la sous-traitance
Article 1 : Lasous-traitance est l’opération par laquelle un entrepreneur confie, sous sa responsabilité, à une autre personne appelé
sous-traitant, tout ou une partie de l’exécution du contrat d’entreprise ou du marché public conclu avec le maître d’ouvrage.
Article 2 : Le sous-traitant est considéré comme entrepreneur à l’égard de ses propres sous-traitants
Article 723 : Le louage de services ou de travail est un contrat par lequel l’une des parties s’engage moyennant un prix que l’autre
partie s’engage à lui payer, à fournir ses services pour un certains temps ou à accomplir un fait déterminé…..
1.4. LA COTRAITANCE
C’est la participation de plusieurs entreprises à la réalisation d’un programme dans une situation de parité au niveau des
responsabilités juridiques et financières, les cotraitants peuvent être :
-Soit solidaires s’ils sont tous engagés pour la totalité du contrat vis-à-vis de l’utilisateur final du bien ou du service
- Soit conjoints si chacun n’est engagé que pour la partie du contrat qu’il exécute.
NF X50-300 : Sous-traitance industrielle –vocabulaire- AFNOR
1.5. CONTEXTE DU DEVELOPPEMENT DE LA SOUS-TRAITANCE
3 facteurs sont à l’origine du développement de la sous-traitance
 La volonté et la nécessité économique de se recentrer sur le cœur du métier,
 La complexité grandissante des technologies,
 Les exigences grandissantes en matière de qualité, de sécurité et de respect de l’environnement.
En clair, on sous-traite quand :
- On n’a pas les compétences (simples : usinage d’une pièce ou élevées : analyse vibratoire),
- La maîtrise technique ne peut être assurée que par le constructeur /fournisseur/prestataire spécialisé, (technologie médicale,
informatique, ascenseur, climatisation….),
- On est obligé (contrôles réglementaires),
- On ne souhaite pas avoir toutes les compétences en interne (coût, charge non suffisante et non uniformément répartie sur le
temps),
- La – maintenance- des compétences nécessite beaucoup de pratique et de formation continue,
- Les moyens matériels sont coûteux et ne seront pas amortis (parc limité, évolution technologique)
Exemples de contrôles réglementaires : - Appareils sous pression
- Matériel de levage
1.6. CONTEXTE DU DEVELOPPEMENT DE LA SOUS-TRAITANCE/TENDANCES ACTUELLES
Taux de sous-traitance =
1.6.1. Ce qu’on sous-traite actuellement de plus :
 La maintenance préventive planifiée (remplacements, inspections, révisions)
 Les activités non en relation avec le processus de production
- Installations de production d’énergie et de fluide
- La maintenance des équipements de manutention et de levage
- La maintenance des bâtiments (revêtements, plomberie, éclairage, chauffage, climatisation,ascenseurs,)
- La maintenance du parc roulement
 Les industries de process à cycle long nécessitant de la part des effectifs internes des interventions peu fréquentes
2. LA CONNAISSANCE DES EXIGENCES REGLEMENTAIRES
2.1. SECURITE
La directive SEVESO concerne la maîtrise des dangers liés aux accidents dans les installations industrielles .Elle concerne le secteur
de la chimie, lesraffineries, le stockage d’éléments toxiques ou explosifs.
 Plan d’Opération Interne en cas d’accident limité à l’intérieur de l’usine : obligationde test au moins au moins 1 fois / 3 ans
(mesures d’organisation, méthodes d’intervention, moyens mis en œuvre pour la protection du site, personnels, populations,
environnement)
 Plan Particulier d’Intervention en cas d’accident étendu hors de l’usine coordonné par le préfet avec l’aide des services de
protection civile (schéma d’alerte et organisation des secours, consignes pour les services amenés à intervenir, informations
des populations,…)
2.2. ARTICLES REGLEMENTAIRES
Exemple d’articles dans la législation marocaine
Réglementation du travail (2 juillet 1947)
Taux de sous-traitance
Stratégie d’externalisation
Stratégied’intégration
maximum
Coût de la maintenance
Heures sous-traitées
Total des heures maintenance
Art 8 CHAMP D’APPLICATION « Lorsqu’un contrat de sous- entreprise porte essentiellement sur la main d’œuvre des travaux à
accomplir,…
L’entrepreneur principal est tenu d’observer toutes les prescriptions du présent dahir (….) ainsi que les prescriptions de la législation
du travail, à l’occasion de l’emploi dans ses ateliers, magasins ou chantiers, de salariés du sous-entrepreneur, comme s’il s’agissait de
ses propres ouvriers ou employés et sous les mêmes sanctions »
Art 330 « Les cahiers de charge ainsi que les marchés de travaux publics ou du bâtiment ou de fournitures …conclus par l’état ,doivent
contenir une clause astreignant les entrepreneurs à s’assurer contre l’ensemble des risques prévus auprès d’une société d’assurance »
3. LE CHOIX DE TYPE DE CONTRAT
3.1. LE CONTRAT DE MOYENS
C’est un contrat par lequel une entreprise extérieure s’engage à mettre à la disposition d’une entreprise utilisatrice les moyens jugés
nécessaires pour réaliser une prestation, sans qu’elle soit pour autant tenue de prouver l’atteinte d’un objectif quantifié.
Les moyens concernés peuvent être immatériels (logiciel), matériels (pièces, outillage, fournitures), techniques (méthodes,
procédures), humains.
3.2. LE CONTRAT DE RESULTAT
C’est un contrat par lequel une extérieure s’engage à réaliser une prestation définie par un (ou des) objectif(s) quantifié(s) et à apporter
la preuve de l’atteinte de ces objectifs dans des conditions données .
Les conditions peuvent intégrer les contraintes liées à l’exploitation, le délai de l’obtention de l’objectif,…
La preuve est apportée à partir de mesures et calculs effectués d’un commun accord selon des procédures prévues dans le contrat.
3.3. LES ENJEUX LIES AUX DEUX TYPES DE CONTRAT
 Dans le contrat à obligations de moyens : Il appartient à l’entreprise utilisatrice d’apporter la preuve de la défaillance de
l’entreprise extérieure (c’est la non réalisation des tâches ou le non emploi des moyens précisés dans le contrat).

 Dans le contrat à obligations de résultats : L’entreprise extérieure est présumée responsable de déficience de ses prestations et
ne peut s’en exonérer qu’en apportant la preuve de la déficience de l’entreprise utilisatrice ou de la survenance d’un cas de
force majeure.
4. LE CAHIER DES CHARGES (CDC)
4.1. CONTENU D’UN CAHIER DE CHARGE
Un cahier de charge englobe :
- La définition de la nature des interventions à réaliser (limites matérielles, types et niveaux de maintenance, corps et métiers
concernés),
- Un dispositif succinct du process pour faciliter la compréhension des conditions de service,
- La liste des installations et biens en catégorie et en nombre,
- La liste des plans et documents techniques existants,
- Les modalités particulières au site et horaires de fonctionnement,
- La mission duprestataire et les objectifs à atteindre,
- La définition de la répartition des fournitures incombant aux 2 parties (pièces, consommables, outillages, matériels et engins,
locaux,….),
- Le type de rémunération souhaité, modalités de règlement, pénalités éventuelles.
- La réparation des responsabilités en cas d’incidents
- Le délai de réponse à l’appel d’offres
5. LA REDACTION DU CONTRAT DE LA MAINTENANCE
5.1. STRUCTURE D’UN CONTRAT DE MAINTENANCE
Un contrat de maintenance comporte généralement 5 parties :
 Une partie préliminaire : présentation des parties et objet du contrat
 Des clauses techniques
 Des clauses financières et commerciales
 Des clauses d’organisation
 Des clauses juridiques
Norme outil : FD X 60-105 : Maintenance –Relations contractuelles –Guide de rédaction des clauses du contrat
5.2. PARTIE PRELIMINAIRE
Elle se compose d’une page de garde, d’objet du contrat et d’une terminologie
5.2.1 La page de garde
5 .2.1.1. Le titre
Le titre doit être claire : Contrat de maintenance des installations ….,contrat de prestations de mécanique,….Conforme à l’objet du
contrat et à la vocation de l’entreprise extérieure
5 .2.1.2. La désignation des parties
Elle doit préciser :
 Le nom des contractants
 La forme juridique de la société
 Le capital social
 L’identification au registre du commerce
 L’adresse du siège social
 Les noms et qualités des représentants des sociétés autorisées à les engager
5 .2.1.3. Les intentions des parties
C’est l’affirmation des compétences, des besoins et le rappel des volontés réciproques.
Exemple de page de garde :
Entre
Les soussignés
La société X ……………………………………. Forme :………………….. Capital : ……………………………………
inscrite au registre de commerce de la ville de ………………… . sous le n° ……………………………………………….
dont le siège social est situé à …………………………………………………………………………….représentée par M
…………………………………………………. En qualité de ……………………………………………………………….
Ci –après dénommé « le client » d’une part,
et
PARTIEPRELIMINAIRE
DESIGNATION DES PARTIES
INTENTION DES PARTIES
DEFINITION DE L’OBJET DU CONTRAT
DOCUMENTS CONTRACTUELS
NATURE DES PRESTATIONS ET EXCLUSIONS
DEFINITION DES TERMES EMPLOYES
TITRE DU CONTRAT
La page de garde
L’objet du contrat
La terminologie
La société Y ……………………………………. Forme :………………….. Capital : ……………………………………
inscrite au registre de commerce de la ville de ………………… . sous le n° ……………………………………………….
dont le siège social est situé à …………………………………………………………………………….représentée par M
…………………………………………………. En qualité de ……………………………………………………………….
Ci –après dénommé « le prestataire » d’une part,
Les soussignés désignés ensemble par « les parties ».
Attendu que X ………… (le client ) souhaite faire exécuter des prestations de maintenance dans les installations de ………situées à
…………………….pour une durée de …………………
Attendu que Y ……………… (Le prestataire) déclare disposer des compétences et desmoyens nécessaires pour l’exécution des services attendus par le clientet
consignés dans le contrat et ses annexes,
Il est convenuet arrêté ce qui suit : …………………………………………………………………………………………………………………………………………….
5.2.2 L’objet du contrat
5 .2.2.1. Définition de l’objet du contrat
Il doit préciser la nature des prestations à effectuer avec une référence à une liste exhaustive (ou à des exclusions) d’équipements
concernés .On pourra préciser à ce niveau l’obligation de moyens ou de résultat.
Exemple :
Le présent contrat a pour objet l’exécution par l’entrepriseextérieure (…..) de la maintenance des installations et matériel de la société (….).
Les installations et matériels à entretenir sont définis et listés en annexe technique avec indication de leur situation géographique et de l’état dechacun d’eux.
Une visite préalable de l’ensemble des installations et matériels a permis à l’entreprise extérieure (……) de constater leur état.
5 .2.2.2. Documents contractuels
C’est l’inventaire de tous les documents faisant partie ou annexés au contrat (inventaire des équipements, réglementation des
équipements, réglementation spécifique, normes, plannings d’intervention,…..)
Exemple :
Outre le présent contrat, les documents suivants ont font partie intégrante :
- l’inventaire des équipements
- le glossaire
- le plan du site
- les annexes techniques (plans, normes,….)
- la réglementation à usage des entreprises extérieures
- le plan d’assurance de la qualité spécifique
- l’organigramme du client et ses procédures administratives
- les plannings d’intervention
- les procédures d’achat et d’accès aux stocks
- les procédures de sécurité
5 .2.2. 3. Nature des prestations et exclusions
Une prestation est définie par :
 Son contenu
- nature de l’intervention (dépannage, visite, révision,….)
- niveau de maintenance
- gamme prédéterminée
- qualification et moyens de mesure /outillages nécessaires
- volume d’heures prévues
 Son résultat
- une disponibilité moyenne /an
- Un délai d’intervention
- Un nombre d’arrêts bloquants
- Une capacité de production (débit/h)
5.2.3 La terminologie
Il impose définir :
 Les types, niveaux et fonctions de la maintenance en utilisant des références normatives : exemple :NF EN 13 306,FD X
60 000 , …
 Les termes relatifs aux métiers des parties contractantes
5.3. LES CLAUSES TECHNIQUES
5.3.1. Contraintes liées au site et a la prestation
C’est :
- la localisation géographique des biens à maintenir
- l’analyse des risques professionnels (sécurité des personnes, des biens, environnement interne ou externe)
- le plan de prévention
- les procédures et les modes opératoires spécifiques
- les limitations d’accès
- les contraintes de disponibilité, le planning d’arrêt
5.3.2. La vérification
Il faudra spécifier le quoi, qui, comment, quand, où de la vérification et veiller à ce que la vérification soit documentée.
En cas de réserve sur la réception, il faudra définir les modalités pour y remédier et les pénalités éventuelles.
Exemple :
L’entreprise extérieure adressera mensuellement au donneur d’ordre un rapport détaillé au service Méthodes du client sur les actions traitées sur le mois précédent et
les actions prévues pour le mois suivant.
Pour réaliser les différentes interventions, la personne de l’entrepriseextérieure, chargée de diriger l’intervention, reçoit un document comportant 2 feuillets :
-un ordre de service (valant bon decommande), signé par une personne habilitée du donneur d’ordre
- un bon de réception (valant acceptation du travail exécuté).
5.3.3. La réception
La réception est l’acte par lequel le prestataire déclare accepter l’ouvrage avec ou sans réserves .Elle doit être prononcée
contradictoirement.
Pour réaliser les différentes prestations, la personne du prestataire, chargée de diriger l’intervention, reçoit un document comportant
deux feuillets :
- Un ordre de service (valant bon de commande), signé par une personne habilitée du donneur d’ordre
- Un bon de réception (valant acceptation du travail demandé)
Il faudra spécifier le quoi, qui, comment, quand, oû de la vérification et veiller à ce que la vérification soit documentée.
En cas de réserve sur la réception, il faudra définir les modalités pour y remédier et les pénalités éventuelles.
L’entreprise extérieure adressera mensuellement au donneur d’ordre un rapport détaillé au service Méthodes du client sur les actions
traitées sur le mois précédent et les actions prévues pour le mois suivant.
5.3.4. Les informations techniques
L’entreprise extérieure fournira les éléments nécessaires à la mise à jour du fichier technique des équipements .Elle collectera toutes
les données qualitatives et quantitatives attachées aux prestations et à leurs résultats, elle fournira tous les indicateurs et tableaux de
bord qu’exigent le contrôle des performances et la gestion des pénalités et bonifications prévues.
Sont particulièrement exigibles :
- les temps écoulés entre l’émission et la réception des BT,
- les temps de préparation entre la réception et le déclenchement des interventions,
- les temps d’exécution des BT,
- les temps d’indisponibilité des équipements pour opérations de maintenance,
- les relevées d’anomalies constatées (qualité et sécurité) et des mesures prises pour les redresser.
5.3.5. Les pièces détachées et les consommables
Les pièces de rechange défectueuses déposées restent la propriété du donneur d’ordre .Une fois le remplacement effectué, elles sont
repérées et rassemblées par l’entreprise extérieure aux points indiqués par le donneur d’ordre.
L’entreprise extérieure indiquera dans son compte-rendu d’intervention :
- Les circonstances et causes ayant entraîné la détérioration des pièces,
- Les solutions à mettre en œuvre ou les modifications à apporter pour éliminer ou retarder la dégradation des pièces.
Exemple de répartition des tâches de gestion des pièces de rechange
Typologie des
pièces et
consommables
choix
Achats
Stockage
Demande
d’achat
Réparation
Rémunérati
on
prestataire
Rémunérati
on
fournisseur
Lubrifiants DO DO P P NC NC DO
Pièces banales ou
normalisées
P P P P P PF P
Pièces spécifiques DO DO P P P PF P
d’usure
Pièces spécifiques
de sécurité
DO DO DO DO P PV DO
PR : Partie fixe
P : Prestataire
NC : Non concerné
PF : Partie fixe
PV : Partie variable
5.4. LES CLAUSES FINANCIERES ET COMMERCIALES
5.4.1. Montant de la prestation
La rémunération se fera généralement sous deux formes distinctes :
- Un forfait annuel sous réserve de la conformité des prestations au cahier des charges techniques
- Des prestations supplémentaires valorisées conformément au bordereau des prix élémentaires fourni en annexe du contrat
5.4.2. Conditions de facturation et de paiement
- La procédure de facturation (présentation des factures, fréquence, date limite, lieu d’envoi, les justificatifs à joindre)
- Mode de règlement (instrument de règlement, périodicité, délais, conséquences des retards de paiements)
Exemple : Les factures sont adressées au donneur d’ordre en fin de mois par l’entrepriseextérieure à l’attention de ……
à l’adresse ….. en trois exemplaires .Le montant de la facture est égal au 12éme du forfait annuel.
5.4.3. Pénalités et Bonifications
On définira les pénalités subies par l’entreprise extérieure en cas de non respect des délais d’exécution (pénalités de retard) ou des
objectifs de performance convenus (pénalités techniques).
Définir éventuellement les bonifications (formules incitatives) à verser au prestataire en cas d’obtention des résultats au-delà des
spécifications convenues dans le contrat.
Exemple : En cas d’interruption du bon fonctionnement de l’installation imputable à un défaut de maintenance pendant plus de 8 heures consécutives, l’entreprise
extérieure supportera une pénalité égale à 1% de la rémunération globale annuelle par jour calendaire d’interruption.
5.4.4. Garantie contractuelle
En cas de non respect d’obligations contractuelles, le client, après avoir signifié les manquements du prestataire par lettre
recommandée et après un délai de 7 jours pleins, se réserve le droit d’entreprendre ou de terminer les travaux non ou mal exécutés par
ses propres moyens, d’en répercuter les frais au prestataire et éventuellement de recourir aux garanties financières suivantes :
Garantie bancaire :
Le prestataire accepte de présenter la garantie d’une banque de son choix, irrévocable, payable par simple demande du client pour
couvrir les obligations contractuelles du prestataire.
5.4.5. Assurance
Après identification des risques, on envisagera les assurances (avec fourniture d’attestations) pour la couverture des risques.
En général, on distinguera la police responsabilité civile (dommages matériel, corporels, immatériels causés aux tiers), les polices
dommage aux biens (police incendie, police bris de machine) et les polices pertes d’exploitation (liée aux polices dommages aux
biens).
5.5. LES CLAUSES D’ORGANISATION
On désignera les responsables de l’application du contrat pour chacune des parties. On définira les procédures pour la préparation,
l’ordonnancement, le lancement, l’exécution, la réception et les comptes –rendus des travaux.
On définira l’organisation des réunions (périodicité) de coordination, le contrôle d’avancement et les modalités d’analyse des
problèmes rencontrés.
Responsabilité
Donneur d'ordre
E.E
Prod Maint
Gestion des priorités
X
Qualité fabrication
Prévention sécurité
Conduite machines
Maintenance 1ér niveau
Autorisation de travail
Performance E.E
X
Pièces de rechange
Documentation
Qualité maintenance
Sécurit é maintenance
Réception des travaux
Coordination
Gestion des moyens
X
Méthodologie d'intervention
Réalisation
Compte rendu
E.E = Entreprise extérieure
5.6. LES CLAUSES JURIDIQUES
5.6.1. Durée de contrat
On définira la date d’entée en vigueur du contrat, sa durée et son mode de reconduction (tacite ou express).
Exemple : le présent contrat est conclu pour une durée de …ans, du …. / …. /…. au …. / …. /…. . Il n’est pas renouvelable par tacite reconduction.
Les parties conviennent, d’uncommun accord, de se rencontrer un mois avant la fin du contrat afin d’envisager une éventuelle poursuite de leur collaboration.
5.6.2. Délai d’exécution des prestations
On définira le point de départ, les modalités de calcul (JO, jours fériés,…) les prolongations, le critère identifiant la fin de réalisation.
Exemple : L’entreprise extérieure s’engage à respecter les délais mentionnés dans le cahier des charges .En cas de retard, il en tiendra informer le donneur d’ordre et
proposera les solutions appropriées afin de réduire les conséquences du non respect des délais.
5.6.3. Obligation de collaboration
C’est l’obligation de remettre par les 2 parties, les informations utiles et de faciliter la mise en contact des personnels compétents des 2
parties.
Exemple : Les parties conviennent de mettre tout en œuvre pour permettre le bon déroulement du contrat et d’exercer leurs responsabilités respectives de collaboration
et de conseil avec la plus grande transparence.
5.6.4. Confidentialité
C’est l’obligation de respecter la confidentialité des informations obtenues dans le cadre du contrat.
L’entreprise extérieure est tenue de maintenir confidentielles toutes les informations qu’elle pourra recevoir à l’occasion du présent
contrat et s’interdit de les utiliser ou de les divulguer sans l’accord écrit du donneur d’ordre.
5.6.5. Propriété intellectuelle
C’est le fait d’assurer la protection des droits de propriété intellectuelle (logiciels, dessins, modèles, moules, brevets,….) pouvant être
mis en cause lors de l’exécution de contrat.
Exemple : L’entrepriseextérieure garantie le maître d’ouvrage contre toute actionrésultant de l’utilisationde to ut matériel, fourniture ou logiciel faisant l’objet du
contrat. .
5.6.6. Responsabilité des parties
On reprécisera la responsabilité contractuelle (l’obligation de moyen ou de résultat) ainsi que les responsabilités extracontractuelles (à
l’égard des tiers).Chaque partie assure la réparation aux dommages occasionnés selon le droit commun.
Exemple : le donneur d’ordre s’interdit d’engager ,ou de faire travailler d’aucune manière ,tout collaborateur présent ou futur du prestataire .La présente clause
vaudra,quelle que soit la spécialisation du collaborateur en cause ,et même dans l’hypothèse ou la sollicitation serait à l’initiative dudit collaborateur. La présente
clause développera seseffets pendant toute l’exécution du présent contrat, et pendant deux ans à compter de sa terminatioin.
5.6.7. Sous-traitance
On définira les conditions dans lesquelles le prestataire peut faire appel à la sous-traitance (acceptation et conditions de paiement)
Exemple : L’entrepriseextérieure ne pourra sous-traiter tout ou partie des prestations faisant l’objet du contrat sans acceptation préalable du maître d’ouvrage.
L’accord du maître d’œuvre n’entraîne aucune modification de la responsabilité quant à la complète et bonne exécution des prestations .L’entreprise extérieure est en
outre tenue de communiquer au maître d’ouvrage à sa demande lescontrats de sous –traitance.
5.6.8. Résiliation
On prévoira :
- Les conditions de résiliation du contrat avant son échéance (dépassement du délai en cas de suspension, manquement aux
obligations contractuelles,
- La procédure (mise en demeure, de plein droit, préavis),
- Les conséquences indemnisables.
5.6.9. Conditions de cession de contrat
On organisera les conditions dans lesquelles le contrat pourra être cédé à des tiers (cas d’une fusion /rachat,…)
Exemple : Le présentcontrat est conclu en considération de la personne de l’entrepriseextérieure ,qui ne pourra substituer de tiers dans la réalisation de la tâche ci-
dessus définie,à l’exception de sociétés mères dont l’actionnariat dépasse 50¨% .
5.6.10. Loi applicable et règlement de litige
On désignera le recours applicable (médiation d’une tierce partie, tribunaux compétents) en cas de litige.
Exemple : Les parties s’engagent à tenter de résoudre à l’amiable tout différend susceptible d’intervenir entre elles, à l’occasion de ce contrat, sur la médiation de
M …, qui, saisi à l’initiative de la partie la plus diligente, formulera une formule de conciliation, dans le mois suivant sa saisine .Les frais de médiation seront
supportés par moitié, par chacune des parties.
Tout litige susceptible de s’élever entre les parties, à propos de la formation, de l’exécution, ou de l’interprétation de ce contrat, sera de lacompétence exclusive du
tribunal de commerce de (………..) .
6. LES INDICATEURS DE PERFORMANCE
6.1. EXEMPLES D’INDICATEURS :
- Part de la sous-traitance dans la dépense maintenance,
- Répartition de la dépense sous-traitance par centre de charge et par nature d’intervention,
- Disponibilité,
- Nombre de dépannage,
- Nombre d’incidents à répercussion sur la sécurité /environnement,
- Réparation des heures correctif/préventif/amélioratif,
- MTTR, MTBF, heures de maintenance par équipement.
T
E
M
P
S
T
Correctif
Interventions
urgentes (a)
Interventions
correctives (b)
Travaux
programmés
Préventif
Préventif systématique (c)
Préventif conditionnel (d)
O
T
A
L
(t)
Améliorations
modifications
Interventions de
modifications /Améliorations
(hors installations et
travaux neufs) (e)
(P)
 % dépannage (a /t), travaux programmés (p/t), %préventif (c+d)/t
 efficacité du préventif (c+d) / (a)
6.2. EXEMPLES D’INDICATEURS :
L’évaluation de la satisfaction de l’entreprise extérieure doit être réalisée conjointement entre :
- Le responsable travaux / gestionnaire du contrat interne,
- Le responsable achats,
- Le responsable sécurité,
- Les responsables unités / zones de fabrication,
- L’entreprise extérieure représenté par un responsable administratif et le chargé d’affaires.
-
7. EXERCICES D’APPLICATION
EXERCICE N° 1
1) pourquoi les entreprises ont-il la tendance à sous-traiter ?
2) quel type de travaux sous-traite-on ?
3) qu’est ce que c’est un cahier de charge et quel est son contenu ?
4) quels sont lestypes de contrat
EXERCICE N° 2
1) Quelles sont les parties formant un contrat de maintenance ?
2) la connaissance réglementaire est –elle obligatoire ? pourquoi
3) quel est le rôle d’un indicateur de satisfaction auprès du client ?
4) définir le bonus et le malus, pourquoi ces 2 termes ?
8. DEVOIR A LA MAISON
Vous êtes recruté en tant que technicien spécialisé en agroalimentaire ou similaire et en vertu de la lecture de ce qui suit, on vous
demande d’établir un contrat de maintenance pour votre entreprise auprès d’un prestataire de service de maintenance.
AUDIT CHAUFFERIES ET CHAUDIERES
Coût zéro
1/ Votre chaudière est elle vérifiée périodiquement ?
Mettre en place une procédure de suivi afin de vérifier :
- le panneau de contrôle
- les fuites éventuelles au niveau des soupapes, des conduites, …
- les odeurs éventuelles de gaz
- les dégâts et marques de brûlures éventuelles sur la chaudière et les conduits de fumées
- les bruits inhabituels des brûleurs et pompes
- les obstructions éventuelles des ventilateurs
2/ Cahier répertoriant les opérations de maintenance effectuées
3/ Plan électrique, aérauliques et hydrauliques disponibles dans lachaufferie
4/ Documents principaux des matériels susceptibles de réglages simples prévus par les constructeurs disponibles dans la chaufferie
5/ La chaufferie est elle correctement ventilée ?
Un manque de ventilation altère la qualité de la combustion. Elle est également nécessaire pour la sécurité du personnel travaillant
dans les locaux.
6/ Si le client aplusieurs chaudières, fonctionne t’il avec le strict nécessaire durant les mi-saisons ?
Les installations comportant plusieurs chaudières sont dimensionnées pour pallier les plus grandes demandes de chaleur (généralement
hiver). Il est donc inutile de laisser fonctionner toutes les chaudières en mi-saison. Il faut isoler du réseau les chaudières arrêtées. Il
faut repérer et étiqueter les chaudières et les vannes fermées.
7/ Si le client aplusieurs chaudières, utilise t’il la plus petite enété ?
Le rendement d’une chaudière est d’autant meilleur qu’elle fonctionne à forte charge. Pour une chaudière classique, le rendement varie
de 83 à 87% à 30% de charge et en pleine charge de 86 à 90 %. Pendant l’été, il faut d’abord utiliser la chaudière de plus petite
puissance et ensuite envisager d’utiliser la chaudière de forte puissance si les besoins ne sont pas satisfaits par la petite.
8/ Arrêter les chaudières dédiées au chauffage des locaux en été
9/ Le client a t’il vérifié les chaudières si elles continuent de fonctionner même quand il n’y a pas de demande ?
Il est possibleque le thermostat ou que l’horloge soit seulement affecté aux pompes de circulation d’eau chaude et non à la chaudière.
Dans ce cas, la chaudière continue de fonctionner alors qu’il n’y a pas de demande. Il faut donc faire en sorte que le thermostat ou
l’horloge soit affecté à la fois à la chaudière et aux pompes.
Faibles coûts
1/ Le client vérifie t’il régulièrement qu’il n’apas de fuites d’eau ?
S’il yen a, les calorifuges peuvent contenir de l’humidité ce qui peut réduire ainsi leur efficacité. Il faut vérifier que le compteur d’eau
d’appoint ne tourne pas en permanence, il faut colmater les fuites et vérifier l’état du calorifuge.
2/ Le remplissage en eau de ville du circuit de chauffage se fait-il en eau brute ?
Ajouter de l’eau brute entraîne des problèmes de corrosion et d’embouage (diminution de l’efficacité énergétique et de la durée de vie
de l’installation). Il faut donc utiliser de l’eau adoucie (installation d’un adoucisseur)
3/ Les chaudières démarrent elles en même temps ?
Pour assurer les besoins, il estinutile etpeu économique de faire fonctionner plusieurs chaudières en même temps. Dans ce cas, il est
probable que les différentes chaudières fonctionnent à faibles charges. Le rendement d’une chaudière est d’autant meilleur qu’elle
fonctionne à plus grande charge. Il faut donc vérifier que les chaudières ne démarrent pas en même temps, régler les thermostats des
différentes chaudières graduellement de 60 à 85°C par exemple (cela évitera aux chaudières de se déclencher en même temps),
considérer la possibilitéd’installer une régulation en cascade si le problème persiste.
4/ Les chaudières et les brûleurs doivent êtres entretenus chaque année par un professionnel et faire inclure dans la prestation une
optimisation de la combustionet donc du rendement des chaudières. Il faut demander au professionnel de comparer le rendement
maximal des chaudières avec le rendement constructeur.
5/ Les performances des chaudières doivent être contrôlées.
Les dépôts de combustion causent une augmentation de la température des fumées et donc une perte plus importante de chaleur par les
fumées. Les dépôts côté eau peuvent également diminuer les échanges thermiques. Il faut installer un thermomètre pour vérifier la
température de sortie des fumées (disposition obligatoire pour les chaudières dont la puissance est supérieure à 400 kW)
6/ Il faut s’assurer que la chaudière est correctement dimensionnée pour les besoins notamment si ces besoins ont évolué depuis
l’installationde la chaudière (une chaudière surdimensionnée a un rendement plus mauvais)
7/ Pour éviter les appels d’air lors de l’arrêt de la chaudière, le coupe tirage peut engendrer des gains de l’ordre de 2%.
8/ Le débit d’eau chaude sanitaire est il stable ?
Si ce n’estpas le cas, cela veut dire qu’il y a un problème sur l’organe de régulation qui commande le débit d’eau chaude sanitaire. Il y
a risque d’une surconsommation d’eau chaude. Pour une régulation souple et économe, il est préférable d’utiliser un variateur
électronique de vitesse sur l’organe de régulation.
Chapitre 7
GESTION DE LA MAINTENANCE ASSISTEE PAR ORDINATEUR
1. PRINCIPES GENERAUX
1.1. DEFINITION
Dans un environnement économique concurrentiel et incertain, la compétitivité est unobjectif vital pour l’entreprise de demain .Elle
nécessite des réponses concrètes telles que la plus grande disponibilité de l’appareil productif et la bonne maîtrise de la qualité des
produits et /ou services . Chargée de cette mission, la Maintenance est aujourd’hui reconnue comme un pôle stratégique et une
fonction clé permettant aux entreprises de progresser vers plus d’efficacité, de rentabilité et de productivité.
En outre, la Gestion de la Maintenance Assistée par Ordinateur « GMAO», apparue il ya plus d’une vingtaine d’années, constitue
aussi un élément positif pour atteindre l’objectif mentionné plus haut .Elle participe à une meilleure organisation de l’entreprise, à un
gain de temps et d’efficacité considérable, à l’allégement des tâches par l’historisation des données, la planification de la Maintenance,
etc.
D’autre part, la GMAO s’ouvre aux différents systèmes informatiques de l’entreprise et en clair, elle dépasse le seul département ou
service Maintenance et englobe désormais tous les acteurs qui concourent à la production et à la qualité, si ce n’estla direction
générale.
1.2. PROGICIEL DE GMAO
1.2.1. Définition
« Unsystème informatique de management de la maintenance est un progiciel organisé autour d’une base de données permettant de
programmer et de suivre sous les trois aspects technique, budgétaire et organisationnel, toutes les activités d’un service de maintenance
et les objets de cette activité (services, lignes ateliers, machines, équipements, sous-ensembles, pièces, etc.) à partir de terminaux
installés dans les bureaux techniques, ateliers, magasins etbureaux d’approvisionnement ».
La démarche de l’entreprise dans son choix de progiciel débouche sur deux solutions envisageables : L’individualisme ou la
standardisation proposées par des logiciels modulaires, de type SIRLOG par exemple.
- Dans le premier cas, il appartient aux hommes de maintenance de définir clairement leurs besoins, afin que leur dialogue
avec les informations débouche sur un cahier de charges spécifiques.
Les raffineries de pétrole, de chimie, d’agroalimentaire …. ont ainsi mis au point des logiciels très adaptés à leurs besoins.
- La seconde voie semble mieux adaptée aux entreprises de taille moyenne .En effet, un progiciel tel que SIRLOG,
OPTIMAINT…. Présentent un caractère :
 Modulaire (l’entreprise adopte les seuls modules correspondant à leur besoin),
 Ouvert (adaptations au terrain possible),
 Interfaçable (en particulier, avec la gestion de production).
Remarque : Une évolution prévisible est l’interpénétration grandissante des programmes de maintenance et des programmes de
production sur des process fortement automatisés.
GESTION
DES NOMENCLATURES
GESTION DES STOCKS
Locale centralisé
REAPROVISIONNEMENT
AUTOMATIQ UE
GESTION
DES REPARATIONS
A L’EXTERIEUR
GESTION DES COMMANDES
ET DES FOURNISSEURS
CONTROLE DE
LA FACTURATION
SUIVI DES SECTEURS
ET LIGNES DE
PRODUCTION
SUIVI DES SOU S-
ENSEMBLES
MAINTENANCE
PREVENTIVE,
SYSTEMATIQ UE ET
CONDITIONNELLE
PLANNING MAINTENANCE
Préparation - Ordonnancement-
Lancement - Exécution
GESTION BUDG ETAIRE
VENTILEE ET CONSOLIDEE
GESTION DES DOSSIER S
D’AMELIORATION ET
TRAVAUX NEUFS
GESTION TECHNIQ UE
DU PERSONNEL
Equipes / Agents
STATISTIQ UES
TABLEAU DE BORD
RATIOS
ORDINATEUR
Magasin Bureau technique
Bureau
approvisionnement
Chef de service
Maintenance
Imprimante
USINE X
Magasin Bureau
Technique
SUIVI DES MACHINES
Caractéristiques – Incidents
Unités d’usage- Mesures
Exemple : SIRLOG GM
1.2.2. Les niveaux de l’informatisation
1.3. LES DIFFERENTS DOMAINES A GERER
1.3.1. Gestion des activités de maintenance
Nous allons développer le modèle informatisé de gestion des interventions, à partir du principe d’organisation suivant : toute
intervention, à partir du principe d’organisation suivant : toute intervention ou toute activité d’unagent de maintenance fait l’objet
d’un OT (DT – BT).
Si la procédure impose la valorisation de chaque OT (coût pièces et main d’œuvre), lesanalyses de gestion vont permettre :
- la répartition et l’évolution des activités en temps (heures),
- la répartition et l’évolution des dépenses.
Dans ce cas, la gestion des activités et descoûts directs sera simultanée.
La richesse d’exploitation d’untel module est grande, car tous leséléments figurant sur les OT sont susceptibles de « mise en
famille ».
L’OT pourra être affecté :
- à un atelier, à un équipement, à un type de machine…
- à un type de maintenance, à un type d’activité….
- à un corps de métier, à une qualification d’agent,à une équipe….
Mini – Ordinateur Central du
service
Micro – Ordinateur de secteur
Terminal
Capteur
Niveau 3
Niveau 2
Niveau 1
Niveau 0
Gestion de service
Acquisition des données sectorielles
Traitement d’algorithmes simples
(magasin,ordonnancement,atelier
Saisie ,édition, dialogue
Contrôle de bon fonctionnement
Modification
travaux neufs
(B. Méthodes)
Actions correctives
demandées (production)
Liste des opérations
préventives -
systématiques
Emission de demande de travail (DT)
Banque de données
des activités de
maintenance
DT
Préparation
Magasin
Approvisionnement
Planification
Lancement
Exécution
ANALYSES DE GESTION
1.3.2. Gestion des matériels
Informations à saisir pour assurer le suivi des machines :
- classement « suivant l’état » de la machine,
- relevé des « unités d’usage» (compteur individuel),
- mesure de la dérive des performances,
- résultats des rondes de surveillance,
- historique des défaillances,
- fiches d’analyse de défaillances,
- liste des rechanges consommés,
- consommation des lubrifiants,
- liste des rechanges consommés,
- consommation de lubrifiants, d’énergie,
- mesures de nuisances industrielles.
Pour une machine, l’élément d’information de base est l’historique.
1.3.3. Gestion des stocks et des approvisionnements
Fichiers de départs
- Fichiers des nomenclatures, contenant l’ensemble des consommables contenus dans les dossiers- machines avec la référence
constructrice et avec les interchangeabilités trouvées.
- Fichiers de fournisseur s (coordonnées, conditions financières, catalogue).
- Fichier des réapprovisionnements automatiques
- Fichiers des commandes volontaires avec saisie des factures dés réception, avec délais et frais d’approvisionnement.
- Saisie des mouvements :
BSM : Bon de Sortie Magasin,
BRM : Bon de Réception Magasin (réception d’une commande avec contrôle des défauts).
Traitements principaux
- Gestion des stocks à réapprovisionner, à partir des paramètres :
- stock minimal,
- point de commande,
- quantité à commander.
- Le gestionnaire peut disposer :
- de la liste despièces en stock,
- éventuellement, de leur valeur actualisé
- des détails de consommation par machine et par secteur.
1.3.4. Gestion économique
Très importante, dans le cadre d’un budget global impliquant le suivi des différents postes budgétaires. La ventilation des coûts sera le
plus souvent mensuelle.
-Informations de départ
- Coût horaire indirect d’arrêt /machine (estimation de la production).
- Coûts horaires de main d’œuvre (par spécialisation et par niveau de qualification).
- Coûts horaires des frais généraux (estimation de la comptabilité).
- Les BT remplis avec les temps passés certifiés exacts.
- Les BSM valorisés.
-L’archivage des coûts passés les années antérieures.
- Les factures (travaux sous-traités, contrats de maintenance, outillages…..).
-Ventilation des coûts par machine
Une codification permet l’imputation de ces coûts :
- à un type d’incident, suivant son origine,
- à un sous ensemble fonctionnel.
-Ventilation des coûts par type d’action de maintenance
- Coûts actions correctives.
- Coûts actions préventives systématiques.
- Coûts actions préventives conditionnelles.
- Coûts des rondes, visites, actions de surveillance.
- Coûts de lalubrification.
- Coûts de l’entretien général.
- Coûts dossiers d’amélioration.
- Coûts travaux neufs.
- Coûts travaux sous-traités.
- Coûts rénovation -matériel.
- Coûts travaux sécurité.
- Coûts prestations extérieures.
La comparaison et la part relative de chacun de ces coûts est un élément important du tableau de bord .
-Ventilation des coûts par service, par atelier….
Elle se fera suivant la spécificité de chaque entreprise.
1.3.5. Gestion des investissements
-Informations de départ
- Frais d’achat et d’installation.
- Durabilité estimée.
- Type de financement,
Le traitement consiste à juger de la rentabilité, de l’amortissement et des conditions économiques de financement.
-Indicateurs principaux
- Les coûts moyens de maintenance
- Les coûts moyens annuels de maintenance.
- Les graphes de LCC « cycle de vie » etles bilansd’exploitation.
1.3.6. Gestion des moyens humains
-Informations de départ
- Structure de l’effectif.Répartition
- par services,
- par qualification et spécialisation,
- par ancienneté moyenne.
- La formation : relevé des heures internes, externes.
- Les conditions de travail : relevés des accidents, des maladies professionnelles ou non, des absences ….
- Relevé des salaires et des promotions passées.
-Indicateurs principaux
- Taux d’affectation (exemple : nombre de salariés maintenance /nombre de salariés entreprise).
- Taux d’encadrement.
- Taux de fréquence et de gravité des accidents du travail.
- Taux d’absentéisme.
- Taux d’ancienneté….
L’exploitation de ces indicateurs, par comparaison avec des références extérieures (entreprises semblables, enquêtes de revues
professionnelles), peut permettre une correction de la politique sociale.
Exemples : plan de formation, d’embauche, de réaffectation interne….
1.3.7. Remarques
Ces listes d’indicateurs possibles formées à partir des informations recueillies n’ont pas l’ambition d’être exhaustives .Mais la
démarche est valable quelle que soit l’activité du service :
- Quels indicateurs sont utiles pour décider, améliorer, orienter,…. ?
- Quelles données permettant de former ces indicateurs ?
- Comment, ou, sur quoi puis –je saisir ces données ?
1.3.8. Panorama de la GMAO
Progiciel Editeur Distributeur
Access D JMA Réalisation ERM Automatismes
Alliance Entreprise E- CRM Astea European Headquarters Six-Axe Consultants
ALTAÏR DSD System DSD System
Amiparc Amitec Ingénierie Amitec Ingénierie
AQ Manager - GMAO Bureau Conseils et Services Bureau Conseils et Services
As Tech Office As Tech Solutions As Tech Solutions
Avantis Pro Wonderware EMEA Opérations Factory Systems
Axel Industrie Dimo Gestion Dimo Gestion
Epsilon Avitech Avitech
Maintenance IFS France IFS France
Mainta Apave Alsacienne Apave Sud-Est
Omère Melsens Melsens
Optimaint Apisoft International Apisoft International
Oracle E- Business Oracle France Oracle France
Qualiac Qualiac Qualiac
Rimses Real Software Cipros International
Rio Tais Ingénierie Tais Ingénierie
Sam Site Alpha Site Alpha
Visual Maint Euro View Services Atys Concept
GESTION
DES
NOMENCLAT
URES
GESTION DES
STOCKS
Locale
centralisé
REAPROVISIO
NNEMENT
AUTOMATIQ
UE
GESTION DES
COMMANDES
ET DES
FOURNISSEU
RS
GESTION
DES
REPARATION
S
A
L’EXTERIEUR
CONTROLE
DE
LA
FACTURATIO
N
SUIVI DES
SECTEURS
ET LIGNES DE
PRODUCTION
GESTION
BUDGETAIRE
VENTILEE ET
CONSOLIDEE
PLANNING
MAINTENANC
E
Préparation -
Ordonnanceme
nt-Lancement -
Exécution
MAINTENANC
E
PREVENTIVE,
SYSTEMATIQ
UE ET
CONDITIONN
ELLE
SUIVI DES
SOUS-
ENSEMBLES
Mini –
ordinateur
central du
service

Approche de la maintenance industrielle

  • 1.
    Chapitre 1 APPROCHEDE LAMAINTENANCE INDUSTRIELLE 1. INTRODUCTION A LA FONCTION MAINTENANCE 1.1. QU’EST-CE QUE LA MAINTENANCE ? Le maintien des équipements de production est un enjeu clé pour la productivité des usines aussi bien quepour la qualité des produits. C’est un défi industriel impliquantla remise en cause des structures figées actuelles et la promotion de méthodes adaptées à la nature nouvelle des matériels. a) Examinons quelques définitions de la maintenance - D’après Larousse :  ensemble de tout ce qui permet de maintenir ou de rétablir un système en état de fonctionnement - D’après l’AENOR (Norme NF EN 13306) :  Ensemble des actions permettant de maintenir ou de rétablir un bien dansun état spécifié ou en mesure d’assurer un service déterminé. - Commentaires  Le verbe maintenir contient la notion de prévention sur un système en fonctionnement ;  Le verbe rétablir contient la notion de correction consécutive à une perte de fonction ;  état spécifié ou service déterminé implique la prédétermination d’objectif à atteindre, avec quantification des niveaux caractéristiques. Cette définition AENOR oublie l’aspect économique, bien maintenir c’est assurer ces opérations au coût global optimal. b) La maintenance et la vie d’une machine La maintenance commence bien avant le jour de la première panne d’une machine .En fait, elle commence dés la conception. C’est à la conception que sa maintenabilité (aptitude à être entretenue) que sa fiabilité et sa disponibilité (aptitude à être opérationnel) et que sa durabilité (durée de vie prévisionnel) vont être prédéterminées. Le rôle de la maintenance, au sein de la structure utilisatrice, commence par un conseil à l’achat. Il est souhaitable que la maintenance participe ensuite à l’installation et la mise en route de la machine : ainsi, au premier jour de production, donc de panne potentiel, le service connaît déjà la machine, en possède le dossier et le programme de maintenance. Sa mission est ensuite triple : -surveillance périodique ou permanente -dépannages et réparations -actions préventives La connaissance du matériel, de ses faiblesses, dégradations et dérives, complétées jour après jour, permet des corrections, des améliorations et, sur le plan économique, des optimisations ayant pour objet de rendre minimal le ratio : Dépenses de maintenance+ coûts des arrêts fortuits Service rendu 1.2. HISTORIQUE ET EVOLUTION DE LA MAINTENANCE a) le terme maintenance a son origine dans le vocabulaire militaire, dans le sens <maintien dans des unités de combat, de l’effectifet du matériel à un niveau constant. L’apparition duterme « maintenance » dans l’industrie a eu lieuvers 1950 aux USA .En France, il se superpose à l’entretien. b) Entretien ou Maintenance ? Au-delà du vocabulaire à la mode, c’est en fait une réelle et profonde mutation que recouvrent ces deux termes.
  • 2.
    En schématisant nousdirons : -entretenir, c’est dépanner et réparer un parc matériel, afin d’assurer la continuité de la production : entretenir, c’est subir le matériel -maintenir, c’est choisir les moyens de prévenir, de corriger ou de rénover suivant l’usage de matériel, suivant sa criticité économique, afin d’optimiser le coût global de possession maintenir, c’est maîtriser En fait, la plupart des services « entretien traditionnel»sont enmutation vers la maintenance. c) Pourquoi cette évolution Des arguments techniques et économiques expliquent cette évolution.  Les équipements de production s’automatisent .Ils deviennent plus compacts et plus complexes, et sont utilisés de façon plus intense.  Intervenir sur ces machines demande donc une compétence et une polytechnicité accrue .Nous pouvons de moins en moins nous permettre d’improviser avec le tournevis et la clé à molette…. d) Critères valorisant la maintenance La mutation de l’entretien vers la maintenance est accéléré par un certain nombre de facteurs valorisants tels que : -le potentiel d’investissement et de reconstruction des entreprises, qui favorise la dotation en équipements modernes et en moyens de les gérer ; -la nature du parc à entretenir, s’il est homogène, standardisé, si les coûts des défaillances sont élevés, alors la maintenance s’avère indispensable ; -les contraintes de sécurité imposées à des matériels critiques ; -la sensibilisation des décideurs aux économies que l’on peut espérer d’une maintenance rationnelle du parc ; Selon l’existence de ces critères, les services maintenance occupent des positions très variables suivant les types d’industrie : -position fondamentale pour les centrales nucléaires, -position importante pour les entreprises à process (la pétrochimie avec ses contraintes de sécurité, l’industrie agroalimentaire, l’industrie pharmaceutique) ; -position secondaire pour des parcs matériels de coûts d’arrêts faibles ; -l’entretien traditionnel étant le mieux adapté aux entreprises sans production série ; 1. 3. LA FONCTION MAINTENANCE a) La fonction « maintenance »est l’une des trois fonctions techniques de l’industrie : -La fonction maintenance tend à se démarquer de la production (budget propre, autonomie de gestion). -il faut savoir que la production reste l’objectif évident et prioritaire de l’entreprise : lamaintenance demeure une aide à la production b) Interfaces d’un service maintenance ETUDES (du produit) PRODUCTION MAINTENANCE (du parc)
  • 3.
    Ce graphe montreque la maintenance est une fonction intégrée à la vie de l’entreprise et que le technicien de maintenance est un homme de contact. Il montre également l’importance de la définition des procédures de communication inter-fonctions. 1. 4. LE TECHNICIEN MAINTENANCE a) Nécessité d’une formation polyvalente La technologie des matériels actuels implique une compétence technique polyvalente aussi bien pour l’équipe d’intervention que pour le technicien qui en a la responsabilité .Les frontières entre les domaines mécaniques,hydrauliques,électroniques,informatiques… ne sont pas évidentes sur des machines compactes ,il y a certaines difficultés de diagnostic. Une polyvalence au niveau de la gestion est également indispensable Le technicien de maintenance aura, pour tout oupartie, à gérer : -l’ensemble du service, le personnel, le budget, les investissements, -le matériel de service, mais aussi les matériels de manutention, de levage, des équipements périphériques (exemple : station d’épuration, centrale d’énergie, climatisation….) -l’énergie, l’environnement…., -les stocks nécessaires -les travaux extérieurs La maîtrise des données techniques, économiques et sociales est indispensable à la prise de décision .Il faut avoir à l’esprit qu’il n’existe pas une bonne maintenance dans l’absolu,mais une maintenance économique et efficace, à un moment donné, sur un équipement donné …. b) Quelques remarques sur le métier technicien de maintenance  Par rapport à l’entretien traditionnel, le métier a été nettement valorisé : des outils théoriques (fiabilité, maintenabilité…) et scientifiques (Contrôle non destructif (C.N.D), Analyse de vibrations …) ont enrichi les tâches relatives à un matériel lui aussi plus sophistiqués qu’avant.  A court terme, les actions de maintenance coûtent cher à la direction et gênent la production d’où l’importance de pouvoir justifier du bien-fondé à moyen et à long terme de ces actions.  Outre sa fonction de maintien de l’outil de production, le technicien de maintenance aura éventuellement la possibilité d’étendre ses responsabilités à des domaines tels que : - l’organisation d’unservice après vente - la participation aux études, pour ce qui concerne la fiabilité et la disponibilité, la maintenabilité, l’élaboration de plans de maintenance pour certains contrats, les travaux neufs… -la participation à la mise en place d’une Gestion de maintenance assistée par ordinateur (G.M.A.O) par la définition d’un cahier des charges : quelles données saisir, pour quel traitement, pour quelle exploitation ?  En conclusion,nous pouvons dégager le profil du technicien de maintenance ,comme celui d’un homme de terrain,de contact et d’équipe ,qui s’appuie sur sa formation technique initiale ,puis surson expérience pour toujours faire évoluer la prise en charge du matériel dont il a la responsabilité. Politique Budget -Achat matériel -Sous-traitance -Travaux neufs -Modifications -Maintenabilité -Main d’oeuvre -Sécurité -Environnement -Planning -Coordination des interventions -Disponibilité -Amélioration Maintenance COMMERCIAL ETUDES PERSONNEL Direction PRODUCTION
  • 4.
    2. LE SERVICEMAINTENANCE DANS L’ENTREPRISE 2.1. LES INDUSTRIES ET LA MAINTENANCE a) Evolution technologique L’évolution des entreprises s’est manifestée par le remplacement de N machines en parallèle (industries manufacturières) par n unités de production en série (on line) b) Modèles d’industries à maintenance intégrée Nous distinguerons trois types d’industrie, possédant des services maintenance intégrés à leur structure (organigramme) : Entreprises manufacturières : grand parc machine, produits nombreux, Exemple : chaudronnerie Entreprise à processus : postes en série, peu de produits, Exemple : raffinerie, agroalimentaire, papeterie Entreprise de service : équipements très divers, Exemple : hôpitaux, transports L’importance de la fonction maintenance est flagrante dans les deux derniers types, par lescritères dominants suivants : Processus : coût de défaillance, disponibilité Services : sécurité, disponibilité On peut donc en déduire que : Plus l’indisponibilité est coûteuse, plus la maintenance est économique Plus la sécurité est en jeu, plus la maintenance s’avère obligatoire 2.2. LA MISSION DU SERVICE MAINTENANCE De façon rapide, on peut déterminer la missiondu service maintenance par : La gestion optimisée du parc matériel (de l’outil de production) Cette optimisation ne peut se faire qu’en fonction d’objectifs qui doivent être clairement définis à partir de la prise de trois facteurs : - facteur économique : moindres coûts dedéfaillances, moindres coûts directs de prestation, économie d’énergie….. - facteur humain : conditions de travail, sécurité, nuisances ….. - facteur technique : disponibilité et durabilité des machines. Les objectifs à atteindre étant précisés, la mission du service maintenance consiste à maîtriser le comportement du matériel et à gérer les moyens à mettre en œuvre. C’est l’objet de ce module Quelques réflexions préliminaires  Le service maintenance a la responsabilité de la santé du parc matériel de façon préventive (avant défaillance) et de façon corrective (après défaillance).  L’entretien n’est pas une fin en soi, mais une nécessité que le producteur subit et que le financier trouve coûteuse.  Le service production possède une vision à court terme de l’entretien.
  • 5.
    Le service maintenance,responsable de l’état et de laconservation du matériel, doit avoir une vision: - à court terme (curatif) - à moyen terme (préventif) - à long terme (durée de vie et remplacement)  l’application de méthodes prévisionnelles de maintenance à du matériel de haute production est moins coûteuse que la perte de production due à un arrêt intempestif. Et d’autant plus que la production est « on line», l’arrêt d’une machine entraînait l’arrêt de toute la ligne. 2.3. ANALYSE DE L’INTERFACE MAINTENANCE-PRODUCTION Avant d’aborder l’étude d’un organigramme de la fonction technique, il est indispensable de réfléchir sur l’évolution desrelations de la production avec la maintenance  L’image traditionnelle de l’entretien est celle d’une subordination, illustrée ainsi : Dans ces schémas, le responsable de la production impose ses critères à court terme, tolérant la lubrification, supportant les arrêts fortuits, mais refusant toute programmation d’arrêts préventifs. La promotion de l’entretien en maintenance passe par l’horizontalité des deux fonctions, suivant le modèle : Dans ce contexte, la maintenance assure la maîtrise de la possession d’un équipement : -participation au choix du matériel, -maîtrise de la maintenance dans l’optique d’une durabilité, -recherche d’amélioration et d’optimisation. 2.4. DOMAINE D’ACTION DU SERVICE MAINTENANCE Voici la liste des différentes tâches dont un service maintenance, suivant le contexte, peut avoir la responsabilité .Ce qui prouve le bien fondé d’une formation polyvalente … -la maintenance des équipements : actions correctives et préventives -l’amélioration du matériel, dans l’optique de la qualité, de la productivité oude la sécurité. - les travaux neufs : participation au choix, àl’installation et au démarrage des équipements nouveaux. -les travaux concernant l’hygiène la sécurité, l’environnement et la pollution, les conditions de travail et la gestion de l’énergie. -des travaux de reconversion des locaux, de déménagement, de démolition. -l’exécution et la réparation des pièces de rechange -l’approvisionnement et la gestion des outillages, des rechanges… -des prestations diverses, pour la production (réalisations de montages, par exemple) ou pour tout autre service. -l’entretien général des bâtiments administratifs ou industriels, des espaces verts …. PRODUCTION Sous- fonction ENTRETIEN DIRECTION TECHNIQUE MAINTENANCE PRODUCTION
  • 6.
    2.5. ANALYSE D’UNORGANIGRAMME DU SERVICE MAINTENANCE a) Qu’est ce qu’un organigramme ? IL s’agit dune représentation schématique de la structure d’une entreprise mettant en évidence les domaines de responsabilité de chaque élément composant. La séparation des fonctions mise en évidence sur l’organigramme n’implique pas l’isolement : les flux de communication utiles sont à définir entre les différents pavés. b) Intérêt d’un organigramme ? Son intérêt premier est de borner les domaines d’action dechaque responsable, évitant les chevauchements et les luttes d’expansion d’influence c) Intérêt d’un organigramme ? d) Analyse critique de l’organigramme précédent  Il est important que les services production et maintenance soient à l’horizontale. L’un a une vision à court terme et l’autre doit avoir une liaison à moyen et long terme.  Les antennes sectorisées sont attachées à un équipement dont elles ont uneparfaite connaissance  Les antennes sont des équipes pluri-techniques de composition adaptée au matériel. Exemple : 1 chef d’équipe + 1électronicien + 1 mécanicien + 2 hydrauliciens  Le service Méthodes-Ordonnancement permet la collecte d’informations, la préparation des travaux Exemple : 1 chef d’équipe + 1électronicien + 1 mécanicien + 2 hydrauliciens Direction générale Service administratif Service technique Service commercial Fonction production Fonction Etudes ANTENNE 2 ANTENNE 1 REALISATIONMETHODES- ORDONNANCEMENT ANTENNE 3 Fonction Maintenance SERVICE MAGASIN
  • 7.
    3. LE SERVICEMAINTENANCE DANS L’ENTREPRISE 3.1. QUELQUES DEFINITIONS DE BASE a) Les types de maintenance (d’après les normes AENOR 13 306) b) La maintenance corrective Elle se décompose en deux types, de définitions non normalisées : -maintenance palliative, comprenant les interventions type dépannage ; -maintenance curative, comprenant les interventions type réparation. Actions de maintenance corrective -test : comparaison des réponses d’un dispositif à une sollicitation avec celle d’un dispositif de référence ; -détection : action de déceler par une surveillance accrue, l’apparition d’une défaillance ; -localisation : action de localiser les éléments par lesquels la défaillance se manifeste ; -diagnostic : identification de la cause de la défaillance à l’aide d’un raisonnement logique ; -les révisions : ensemble des contrôles, examens, interventions effectuées en vue d’assurer le bien contre toute défaillance majeure pendant un nombre d’unités d’usage déterminé. Elles peuvent être limitées ou générales. -dépannage: action sur le bien en vue de le remettre provisoirement en état de fonctionnement avant réparation -réparation : intervention définitive et limitée de maintenance corrective après défaillance c) La maintenance préventive Elle se décompose en deux types.  Maintenance Systématique Maintenance préventive exécutée à des intervalles de temps préétablis ou selon un nombre défini d’unités d’usage mais sans contrôle préalable de l’état du bien. (Norme NF EN 13306) Applications: • Entités soumises à une réglementation. MAINTENANCE Maintenance CORRECTIVE Maintenance PREVENTIVE Ensemble des actions permettant de maintenir ou de rétablir un bien dans unétat spécifié ou en mesure d’assurer unservice déterminé Maintenance effectuée dans i’intention de réduire la probalité de défaillance d’un bien ou d’un service. Maintenance effectuée après défaillance. Maintenance subordonnée à untype d’événement prédéterminé (Mesure, diagnostic). Maintenance préventive CONDITIONNELLE Maintenance préventive SYSTEMATIQUE Maintenance effectuée selon un échéancier établi selon le temps ou le nombre d’unités d’usage
  • 8.
    (Ponts roulants, chaudières,réservoirs sous pression…) • Entités à coût de défaillance élevé. (Machine en production continue, lignes de fabrication automatisée…) • Entités pouvantentraîner des accidents graves.  Maintenance conditionnelle Maintenance préventive basée sur une surveillance du fonctionnement du bien et/ou des paramètres significatifs de ce fonctionnement intégrant les actions qui en découlent. (Norme NF EN 13306) Applications: • Entités soumises à une réglementation. (Ponts roulants, matériels d’incendie, réservoirs sous pression…) • Entités à coût de défaillance élevé. (Machine en production continue, lignes de fabrication automatisée... • Entités pouvantentraîner des accidents graves. (Matériel de transport en commun, entités utilisées dans le nucléaire... 3.2. LES CINQ NIVEAUX DE MAINTENANCE (d’après la norme AFNOR X 60 011) 1ér niveau : Réglages simples prévus par le constructeur au moyen d’organes accessibles sans aucun démontage d’équipement, ou échange d’éléments en toute sécurité. 2éme niveau : Dépannage par échange standard d’éléments prévus à cet effet, ou d’opérations mineures de maintenance préventive (rondes) 3 éme niveau : Identification et diagnostic de pannes, réparation par échange de composant fonctionnel, réparations mécaniques mineures. 4éme niveau : Travaux importants de maintenance corrective ou préventive 5éme niveau : Travaux de rénovation, de reconstruction, ou réparations importantes confiées à un atelier central Commentaire Niveau Personnel d’intervention Moyens 1ér Exploitant sur place Outillage léger défini dans les instructions d’utilisation. 2éme Technicien habilité, sur place Idem, plus pièces de rechange trouvées à proximité, sans délai. 3éme Technicien habilité, sur place ou en local de maintenance. Outillage prévu plus appareils de mesure, banc d’essai contrôle … 4éme Equipe encadrée par un technicien spécialisé, enatelier central. Outillage général plus spécialisé, matériel d’essais, de contrôle … 5éme Equipe complète, polyvalente, en atelier central Moyens proches de la fabrication par le constructeur 3.3. LES CINQ M DE LA MAINTENANCE Milieu Gestion des locaux et installations Méthodes Gestion documentaire Matière Gestion des stocks Main d’oeuvre Gestion des ressources humaines Moyens Gestion des équipements et outillage
  • 9.
    3. 4. LESTEMPS RELATIFS A LA MAINTENANCE (d’après la norme AFNOR X 60 015) Dans le cadre de la gestion de la maintenance, nous distinguerons les temps d’arrêt TA imputables à la maintenance notés TAM et non imputables à la maintenance TAF (F « comme fabrication »). Pour une question de saisie de temps, les temps d’attente seront imputés à la fabrication (TAF) .En effet, les compteurs horaires affectés à une machine totalisent les seuls TBF. Une codification peut alors distinguer, pour chaque arrêt, les temps d’attente des différents temps d’indisponibilité. Nous noterons TO le temps« temps requis » de la norme, par référence au « tempsd’ouverture» terme couramment utilisé sur les chaînes de production. TO = TBF +  TAM +  TAF 3. 5. FIABILITE, MAINTENABILITE, DISPONIBILITE a) Fiabilité Aptitude d’unbien à accomplir une fonction requise dans des conditions données, durant un intervalle de temps donné. (Norme NF EN 13306) Indicateurs : Fonction Fiabilité R MTBF Fiabilité de n entités en série: Rs =  Ri Fiabilité de n entités en parallèle ou en redondance: Fs =  Fi F: Fonction défaillance ; F = 1-R TEMPS REQUIS TO TAF TEMPS d’ IDISPONIBILITE Temps effectif de DISPONIBILITE TAM TEMPS PROPRE d’ IDISPONIBILITE TAF TEMPS D’ATTENTE TBF TEMPS DE FONCTIONNEMENT Temps effectif d’ IDISPONIBILITE TA Le bien accomplit sa fonction le bien est apte,mais ne peut fonctionner pour des causes externes :main d’œuvre,énergie….. Le bien est inapte pour cause de défaillance ou d’action de maintenance Le bien est apte, mais non sollicité Le bien est apte à accomplir sa fonction L’utilisateur exige que bien soit en état d’accomplir une fonction requise. Le bien est inapte à accomplir la fonction
  • 10.
    b) Maintenabilité aptitude d’unbien à être maintenu ou rétabli dans un état où il peut accomplir une fonction requise lorsque la maintenance est accomplie dans des conditions données en utilisant des procédures et moyens prescrits (Norme NF EN 13306) Indicateurs : Fonction Maintenabilité MTTR - Facteurs influents sur la Maintenabilité Modularité, interchangeabilité, accessibilité, aptitude à pose et dépose, démontabilité, détectabilité c) Disponibilité Aptitude d’unbien à être en état d’accomplir une fonction requise dans des conditions données à un instant donné ou durant un intervalle de temps donné en supposant que la fourniture des moyens extérieurs est assurée. (Norme NF EN 13306) MTTRMTBF MTBF D   Ces trois concepts sont envisagés soit de façon prévisionnelle (avant usage) soit de façon opérationnelle (pendant ou après usage). Les trois fonctions précédentes, notées respectivement R (t), M (t) et D (t) sont des fonctions du temps .Il apparaît indispensable de préciser la notion de temps en maintenance, par référence à la norme X60-015. a) la vie d’une machine Elle comprend une alternance d’arrêts et de bon fonctionnement pendant sa durée potentielle d’utilisation Ces durées peuvent être observées ou estimées. Une partie (variable) des TA est constituée des TTR (temps technique de réparation) VIE D’UN MATERIEL FIABILITE R (t) Probabilité de bon fonctionnement DISPONIBILITE D (t) Probabilité d’assurer un service requis MAINTENABILITE M (t) Probabilité de durée de réparation I (t) taux de fiabilité MTBF Moyenne des temps de bon fonctionnement MTTR Moyenne des temps techniques de réparation µ (t) taux de réparation TBF 1 TBF 2 TBF 3 TA 1 TA2 TA3 TBF4 t o t1
  • 11.
    a) Indicateur dedisponibilité TO TATO D   b) MTBF et MTTR La MTBF, ou moyenne des temps de bon fonctionnement, est la valeur moyenne entre défaillances consécutives, pour une période donnée de la vie d’un dispositif: n TBFi MTBF  De la même façon, la MTTR (ou moyenne des temps techniques de réparation) sera n TTRi MTTR  Ces valeurs seront calculées après observation, estimées, prédites ou extrapolées. 4. METHODOLOGIE DE LA MAINTENANCE 4.1. INTRODUCTION Outre la fonction GESTION , qui consiste à faire des choix ,à dégager des priorités d’action ,l’étude d’organigramme du service Maintenance a mis en évidence trois fonctions ,que nous allons brièvement caractériser. 4.2. L’OBSERVATION a) Définition « Etude attentive d’un événement » L’observation participe à la connaissance (comportement du matériel, loi d’usure), préside au diagnostic, à l’expertise, et commande le dépannage et la réparation. b) Méthode - Observer une seule chose à la fois (séparer les paramètres pour étudier séparément leurs effets). - Observer sans juger (être objectifet impartial, sans à priori). - Tout observer : ne rien éliminer à priori, même ce qui paraît indépendant du phénomène observé. - Tout noter : notes, croquis, schémas, mesurer les côtes, paramètres physiques, aspect, couleur. TTR TA Fonction d’ORDONNANCEMENT Rôle de coordination Qualité de communication Fonction EXECUTION Rôle d’intervention Qualité professionnelle (Formation, expérience) Fonction METHODES Rôle de préparation Qualité d’observation et d’analyse
  • 12.
    4.3. L’ANALYSE a) Définition Décompositiond’un ensemble plus ou moins complexe en éléments aussi simples que possible. L’analyse permet de distinguer les éléments et de comprendre la nature des liaisons : - entre les éléments isolés, d’une part - entre un élément et l’ensemble, d’autre part L’étude ultérieure de la fonction « Méthodes-Maintenance » nous conduira à développer successivement : - l’analyse des coûts .Il s’agit d’un outil de gestion permettant au responsable de la maintenance de décider à partir des données techniques et économiques. - l’analyse des temps .L’analyse des temps passés permet l’évaluation des temps à venir, donc de chiffrer les tâches préparées et de les ordonner. - l’analyse de déroulement .Elle permet de mettre en évidence les phases successives d’un processus opérationnel afin de le critiquer et de l’améliorer. 4.4. LA COMMUNICATION a) Approche général La communication dans l’entreprise est le lien indispensable entre l’information, la décision et l’action. Par analogie, elle est l’équivalent du « Système nerveux », reliant les organes sensoriels, le cerveau et la main. Elle peut se faire par sous forme orale, écrite, (notes manuscrites, imprimés ….)  Il existe une tendance à négliger la « paperasserie »à l’intérieur de services opérationnels, sous prétexte d’efficacité : « aucune action importante n’est possible que ellen’est définie, située, programmée, enregistrée sur imprimés ». C’est un des aspects différenciant l’entretien de la maintenance.  L’informatisation modifie « la forme »des imprimés, mais ne remet part leur existence en cause. Son avantage : elle permet un traitement accéléré de l’information ainsi que son stockage plus réduit que l’archivage  Communication écrite ou orale ? Les imprimés permettent : -d’engager et préciser la responsabilité, -d’éviter les altérations, oublis et interprétations propres à la communication orale, -d’éviter des bavardages fonctionnellement inutiles, -le stockage de l’information à toute fin utile  Conclusion Un bon système de communication se jugele jour ou le responsable du service maintenance part en vacances : tous les flux d’information doivent continuer à circuler b) La communication dans le service maintenance Informateur Décideur Actionneur Information Ordre Mise en évidence Retour
  • 13.
    Nous allons décrirebrièvement le système de communication relatif à une intervention corrective, entre le moment d’apparition d’une défaillance et la remise à niveau de l’équipement défaillant. Abréviations utilisées DT = demande de travail OT = ordre de travail BT = bon de travail DA = demande d’approvisionnement BSM= bon de sortie magasin 5. EXERCICES D’APPLICATION EXERCICE N°1 1) Définir les termes suivants : maintenance - maintenance corrective - - maintenance préventive 2) Quelle est le domaine d’action du service maintenance ? 3) Quelles sont les compétences que doit avoir un technicien de maintenance ? 4) Quel est l’intérêt d’un organigramme dans une entreprise ? 5) Quels sont les 5 niveaux de la maintenance ? EXERCICE N°2 1) Calculer le MTBF, MTTR et D Chapitre 2 LA CONNAISSANCE DU MATERIEL 1. NATURE ET CLASSIFICATION DU MATERIEL 1.1. CLASSIFICATION De par la variété des industries concernées par la nécessité de posséder un service Maintenance efficace,le matériel à entretenir sera lui aussi d’une grande diversité. Une première classification est possible : - les biens liés à la production « Tels que tout arrêt ou mauvais fonctionnement provoque un arrêt, un ralentissement ou une mauvaise qualité de la production ». Les générateurs d’énergie, les engins de manutention aussi bien que les machines de production en font partie. - les biens non liés à la production. « Tels qu’unedéfaillance n’influe pas sur la production ». Nous adopterons la classification suivante : 320h 280 h 300h 4h 5h 8h 240 h t o t1
  • 14.
    1.2. NATURE DESDIFFERENTS MATERIELS a) Lematériel de production Géré par le chef de production, il contient toutes les machines, isolées ou intégrée, qui permettent la fabrication des différents produits, ou qui permettent de rendre le service voulu : b) Le matériel périphérique - Les équipements : - générateurs d’énergie : pompe d’alimentation, poste H.T, chaudières, compresseurs d’air…. - véhicules et engins de manutention, de levage, - les outillages, - les stations d’épuration des rejets - équipement de stockage - etc. - Les aménagements : - canalisations de fluide, lignes électriques…, - chauffage, climatisation, - éclairage. - Les installations : - les bâtiments - les routes - le téléphone, les réseaux informatiques….. 1.3. PRISE EN CHARGE DU MATERIEL Cette énumération non exhaustive met en évidence quelques impératifs d’organisation : - La nécessité d’avoir un inventaire du matériel, codifié, analysé et localisé ; - La nécessité de répartir et de préciser les domaines de responsabilité de maintenance des biens ; - La nécessité de déterminer des priorités et des niveaux de maintenance ; - La nécessité de regrouper par famille les différents biens ; 1.4. CONNAISSANCE D’UNE MACHINE a) Analyse du matériel pris en charge Tout bien durable de la structure industrielle est à prendre en charge par la maintenance. Un équipement complexe sera décomposé fonctionnellement en « ensembles »équivalents à une machine au niveau de l’inventaire. Chacune de ces machines sera décomposée en sous-ensembles de fonctions différentes, puis les décompositions deviendront « organiques », ceci au niveau du Dossier Machine. PARC MATERIEL EQUIPEMENTS TECHNIQUES EQUIPEMENTS GENERAUX - Installations Matériel de production Matériel périphérique Équipement Aménagements
  • 15.
    2. L’INVENTAIRE DUPARC MATERIEL 2.1. INTRODUCTION L’inventaire est une nomenclature codifiée du parc à maintenir, établie suivant une logique de mises en familles arborescentes. La codification permet la gestion technique et économique du service, par la possibilité d’imputations des défaillances et des coûts à des secteurs, à des types de machines, à des sous-ensembles fragiles, etc. 2.2. DECOUPAGE FONCTIONNEL ARBORESCENT Les mises en familles sont évidemment à adapter au contexte. Elles se font suivant une arborescence allant des ensembles vers les « machines », parfois allant jusqu’aux modules, suivant l’exemple ci-dessous :  Exemple de codification : (Usine) Usine code A A B B C C D D E E PARC A ENTRETENIR Matériel de production Matériel périphérique installations MACHINE Equipement Appareil COMPOSANTS Pièces Organes HISTORIQUE Relevés chronologiques de défaillances et d’interventions Inventaire du matériel (des biens durables) DOSSIER MACHINE Niveau d’analyse INVENTAIRE DOSSIER MACHINE ENSEMBLE NATURE LOCALISATION TYPE MACHINE GROUPE FONCTIONNEL MODULE USINE A Aménagement s Production Equipement Unité 2 Unité 3 Unité 4 Cisailles Scies Presses P1 P2 P3 Moteur électrique Circuit hydrauli que Transmission Réducteur Embrayage Presses Codification alphanumérique
  • 16.
     Exemple decodification : (Nature) Nature code Aménagement 01 Production 02 Equipement 03  Exemple de codification : (Localisation) Unité code 1 01 2 02 3 03  Exemple de codification : (Type) type code cisailles 001 presses 002 ensileuses 003 doseuses 004 Séchoirs 005 Ponts roulants 006  Exemple de codification : (Machine) machine code Presse 1 01 Presse2 02 Presse3 03 Presse4 04 Presse5 05  Exemple de codification : (Groupe fonctionnelle) Groupe fonctionnel code Moteur électrique F01 Circuit hydraulique F02 Transmission F03 Circuit de refroidissement F04 Circuit de chauffage F05  Exemple de codification : (Module) Module code
  • 17.
    Réducteur M01 Embrayage M02 FreinM03 Accouplement M04 Guidage M05 Ainsi lemodule : Embrayagedu circuit hydraulique de la presse N°2 se trouvant à l’unité 3 affecté à la production pour l’usine A sera codifié aisément comme suit : A 02 03 002 02 F02 M02 3. LE DOSSIER MACHINE Appelé aussi : Dossier technique d’équipement Dossier de maintenance 3.1. INTRODUCTION L’efficacité du travail du « bureau des méthodes Maintenance »s’appuie sur une connaissance exhaustive du matériel et de sa « santé ». Le dossier machine est la référence permettant la connaissance intime d’un équipement, son origine, ses technologies et ses performances. Le dossier machine comprend deux parties : - Le dossier Constructeur, avec tous les documents fournis, la correspondance échangée et les documents contractuels ; - Le fichier machine interne, standard, établi et tenu à jour par le bureau des méthodes. 3.2. CONSTITUTION DU DOSSIER MACHINE a) logiquede conception Le dossier machine doit être conçu pour être opérationnel .Il doit adapter les détails descriptifs et les informations aux besoins des agents de maintenance, en préparation ou en intervention. a) Partie « constructeur » -Documents commerciaux relatifs à la vente - bon de commande et documents contractuels avec les conditions de garantie ; - procès- verbal de réception, certificat de prise en charge avec les réserves (anomalies constatées) - références du service après vente, du réseau commercial, du représentant local…. Documents techniques fournis par le constructeur Il appartient au service Maintenance, lors des négociations d’achat, d’exiger les documents qui lui seront utiles, à savoir : - caractéristiques de la machine : capacité, performances, consommation, puissance installée…, - liste des accessoires ; - nomenclature de pièces détachées (stock minimal, références….) - plans, schémas électriques, électroniques, hydrauliques,… - notice de mise en action : -élingage, manutention, nettoyage de réception - encombrement, scellement, fondation, - différents branchements, - rodage, réglages et vérifications diverses ; - notice de fonctionnement : - mise en route, - règles de conduite, - consignes de sécurité ;
  • 18.
    - notice demaintenance : - notice de lubrification (type de lubrifiant, points à graisse, fréquences conseillées….), - organigramme de dépannage, documents d’aide au diagnostic des défaillances les plus probables - gamme type de réparations répétitives - fréquences des visites préventives .check-list relative à ses visites - liste des outillages spécifiques. b) Partie « interne » du dossier machine Il appartient au bureau des méthodes –maintenance : - d’établir une forme standard de dossier, classé à partir du code inventaire relatifà la machine ; - de définir les rubriques utiles .Dans chaque rubrique seront mis, soit les documents constructeurs correspondants, soit les documents élaborés par les méthodes ; - de tenir à jour toutes les rubriques choisies Il est particulièrement important de noter toutes les modifications opérées sur le matériel : recherche de panne à partir d’un schéma électrique non corrigé après modification ! c) Exemple de rubriques constituant un dossier machine Nom machine :………………….. Code machine…………………. Indice de criticité ……………………. Repère Titre des rubriques 00 01 02 03 04 05 06 07 08 09 10 11 12 13 14 15 16 17 18 19 Sommaire Contrat de commande, conditions degarantie, service après vente. P.V de réception Caractéristiques, fiches techniques. Codifications arborescentes .Découpage structurel Plans d’ensemble, de détails, de schémas Notice d’installation, de mise en service Notice de conduite, d’utilisation Consignes de sécurité Notice de lubrification Notice d’entretien de ronde Liste générale des constituants (nomenclature de chaque module) Liste des rechanges de première urgence (niveau de consommation) Plans et gammes de pièces de rechange Planning des visites préventives Check-list des visites préventives Gamme types d’opérations répétitives Liste des défaillances possibles prévisibles Schémas logiques de diagnosticdépannage Outillage spécifique d’intervention d) Forme matérielle du Dossier Machine Nous utiliserons des dossiers dont les rubriques seront séparés par des intercalaires cartonnées et imprimées ,sous une forme standardisée. 4. LE FICHIER HISTORIQUE D’UNE MACHINE 4.1. UTILITE DE L’HISTORIQUE L’historique est unfichier relatifà chaque machine inventoriée, décrivant chronologiquement toutes les interventions correctives subies par la machine depuis sa mise en service. Il représente le carnet de santé de la machine, complémentaire du dossier machine. En amont de l’historique, l’acquisition des données :
  • 19.
    Un agent deméthodes tient à jour l’historique, en portant périodiquement les actions correctives .Pour ce faire, il dispose des BT- OT dûment remplis (code machine, temps passés…), et éventuellement, desrapports d’interventions, des fiches d’analyse de défaillance…. En aval, l’exploitation de l’historique : Comme tout fichier, c’est la définition exacte des informations et de leur exploitation qui justifie l’existence du fichier et qui conditionne son contenu. Il est inutile de mettre en mémoire des données inutilisées. L’importance d’un historique est fonction de la classe de « criticité »de la machine. 4.2. CONSTITUTION D’UN HISTORIQUE MACHINE a) Constitution Elle est fonction de l’exploitation que l’on désire. Exemple 1 : L’historique contiendra ou non les coûts attachés à chaque OT, suivant que l’onveuille ou non la ventilation de ces coûts. Exemple 2 : suivant l’exploitation axée sur la « disponibilité » ou sur la préparation du travail, onportera sur l’historique les « temps d’arrêt » ou les temps passés. b) Modèle possible
  • 20.
    HISTORIQUE de lamachine Pont Roulant Code / A 02 03 006 01 Indice de criticité….. 3 Date de mise en service 2000 Code de découpage fonctionnel A : Unité de translation D : Motorisation B : Unité de levage E: Electricité C : Unité de direction F : Transmission Date Compteur machine OT N° Code Affectation défaillance Description intervention Durée Codes imputation Intervention Arrêt a b c 3/2/2002 8000 21.104 F Echange standard roulement sortie réducteur 5 H 07H 30 3 1 1 L’affectation à un groupe fonctionnel se fait à partir d’un code tiré de la décomposition structurelle du dossier machine.
  • 21.
    Les imputations sontsouvent codées, suivant les exemples ci-dessous : Exemple a : code « cause de défaillance » a. accident imprévisible 5 mauvaise conduite b. cause intrinsèque détectable 6 consignes non respectées c. cause intrinsèque non détectable 7 défaillance seconde d. défaut d’entretien 8 autre cause e. mauvaise intervention antérieure Exemple b : code « nature » 1 origine mécanique 2 origine électrique 3 origine électronique 4 origine hydraulique Exemple c : code « gravité » 0 défaillance critique 1 défaillance majeure 2 défaillance mineure c) Remarque  De façon classique, toutes les défaillances faisant l’objet d’unOTC (correctif) sont portées sur l’historique.  Par contre, les interventions préventives systématiques n’y figurent pas (voir échéancier dans le dossier machine  Un problème se pose pour les interventions préventives conditionnelles (objet d’un OT préventif) En effet, dans le cas d’exploitation de l’historique en fiabilité, la panne prévenue d’un intervalle dt est caractéristique du comportement de la machine. 4.3. EXPLOITATION DES HISTORIQUES L’exploitation peut se faire à quatre niveaux : - analyse d’un parc de machines standardisées, - analyse globale d’une machine - analyse des groupes fonctionnels - étude des modules et des organes (composants) fragiles a) Exploitation en fiabilité On déduit de l’historique d’une machine ses lois de fiabilité (Weibull), l’évolution de ses taux de défaillance (t) , sa MTBF, sa durée de vie nominaleL10, les périodes d’intervention correspondant à des seuils de fiabilité prédéterminés…. b) Exploitation en disponibilité La disponibilité se détermine à partir du modèle MTTRMTBF MTBF D   Elle implique donc la mise en mémoire des TTR (temps techniques de réparation), soit en durée d’intervention, soit en durée d’arrêt en plus des données de fiabilité précédentes. c) Exploitation en « gestion de stock »
  • 22.
    L’historique peut fournirdes éléments de consommation de pièces ou de modules. d) Exploitation en « politique de maintenance » Elle implique la saisie des temps et des coûts d’intervention (à chaque OT, son coût direct main d’œuvre +matières) Elle permet la ventilation des coûts : - par machine, par groupe fonctionnel - par atelier, par type de machine - par type de défaillance - par type d’intervention. Elle permet la tenue d’un tableau de bord de gestion, la formation de ratios, la synthèse d’informations technico-économiques permettant de choisir une méthode de maintenance adaptée à l’équipement dont on possède l’historique. 5. EXERCICES D’APPLICATION EXERCICE N°1 1) Qu’est ce que c’est undossier machine ? De quoi est-il constitué ? 2) Qu’est ce que c’est unfichier historique ? 3) Les opérations de maintenance systématiques sont-elles notées sur le fichier historique ? Justifier votre réponse. EXERCICE N°2 1) Présentation Le mécanisme présenté ci-dessous représente un vibreur de tamis 2) Travail demandé
  • 23.
    1) Donner ladésignation de tous les éléments du mécanisme, en spécifiant celles qui sont d’usure par « O» et celles qui ne le sont pas par « N » dans le tableau suivant. 2) Faire une codification des pièces d’usure selon la logique suivante - - Faire des tableaux de codification pour chaque passage - Faire des tableaux de codification spécifique pour chaque module (Exemple dans le module des roulements, on trouve plusieurs types de roulements) Roulements à billes à contact radial Roulements à double rangée de billes à contact radial Roulements à double rangée de billes à contact axial Roulement à rouleaux coniques ……………………….. …… - En déduire, la codification finale de chaque pièce d’usure NB Utiliser le guide dudessinateur industriel pour la codification des modules Repère Désignation Usure Repère Désignation Usure 1 2 3 4 5 6 7 8 9 INVENTAIRE DOSSIER MACHINE ENSEMBLE NATURE LOCALISATION TYPE MACHINE GROUPE FONCTIONNEL MODULE USINE A Aménagement s Production Equipement Unité 2 Unité 3 Unité 4 Cisailles Broyeurs T1 T2 T3 Moteur électrique Vibreur Circuit Alimentation Joint à lèvres Poulies Tamis Codification alphanumérique Roulement Courroies Clavettes
  • 24.
  • 25.
    Chapitre3 LA FONCTION ORDONNANCEMENT 1.TERMINOLOGIE ET METHODES D’ORDONNANCEMENT 1.1. QUELQUES DEFINITIONS INDISPENSABLES L’ordonnancement utilise un vocabulaire spécifique qu’il est indispensable de définir avant d’aborder les méthodes propres à la planification des travaux de maintenance. a) La fonction ordonnancement De façon générale, c’est la fonction de l’entreprise chargée de gérer les temps d’activité. Elle occupe une position chronologique dans le déroulement d’une intervention entre les méthodes – préparation et la réalisation. La fonction méthodes affecte une durée à un travail. La fonction ordonnancement planifie cette tâche, c’est-à-dire fixe l’heure H du jour J ou elledoit débuter. La fonction réalisation, au moment choisi par l’ordonnancement, suivant les prescriptions des méthodes, la met en œuvre. Cette missiongénérale de coordination des nombreuses activités d’un service aura une influence déterminante sur l’efficacité et l’ambiance de ce service, qu’il soit de production ou de maintenance. 14h 30 18h 3h30 (temps passé) 14h 30 17h 30 3h 3h (temps alloué)
  • 26.
    b) Notion decharge  Capacité de charge : c’est une notion de contenant, matérialisée par le nombre d’heures de travail qu’il est possible à une équipe de réaliser pendant son horaire normal de travail. Exemple : Une antenne de 12 ouvriers représente une capacité de charge de 12x48 = 576 hebdomadaires  Charge : C’est la notion de contenu, matérialisée par la somme des temps alloués pour une période de temps alloués pour une période de référence et pour une équipe (ou un ouvrier)  Surcharge : elle se manifeste quand la charge est supérieure à la capacité .Elle peut être permanente ou momentanée.  Sous-charge : la capacité est supérieure à la charge prévue. Momentanée, elle rend le disponible du personnel. Permanente, elle pose le problème critique des sureffectifs. c) Notion de tâche (ou étape)  Tâche : en maintenance,c’est une intervention caractérisée par une durée propre estimée par le préparateur ,et portée sur OT .La situation dans le temps de cette tâche entraîne la définition des notions suivantes :  Projet : c’est unensemble de tâches, chaque tâche étant une phase, c’est-à-dire un élément de décomposition du projet auquel le préparateur a affecté une durée propre  Chemin critique : c’est l’ensemble des tâches en série qui conditionnent la durée totale d’un projet.  Délai : c’est une contrainte technique ou commerciale s’appliquant à l’achèvement d’une tâche (fin au plus tard ou d’un projet). d) Notion de tâche planning  Diagramme de Gantt : c’est une forme graphique visualisant la succession des tâches, chaque durée de tâche étant représenté par une barre dont la longueur est à l’échelle des temps. Il est nommé également diagramme à barres. Interprétation : la fin de A conditionne les débuts de B et C ; la marge sur B offre une liberté de programmation, utilisée pour lisser la charge.  Planning : au sens propre, on nomme planning divers modèles de tableaux visualisant la programmation des travaux .Ces tableaux sont des graphes de Gantt .Par extension le« Planning » est le service chargé de la tenue du planning –tableau, donc synonyme de programmation.  Lissage : il consiste à rechercher une optimisation des charges (éviter les pointes qui entraîneraient des surcharges), en jouant sur les marges. Bien entendu, le lissage ne concerne pas les tâches du chemin critique, qui n’ont pas de marge. Durée (= temps alloué) Etalement Marge Début au plus tôt Début au plus tard Fin au plus tôt Fin au plus tard= délai
  • 27.
     Jalonnement :c’est l’ensemble des dates situant sur un planning les tâches et leurs marges, dans la réalisation d’un projet. e) Les actions d’ordonnancement  Programmation : c’est l’action d’intégrer une tâche « en attente»sur un planning, donc de lui choisir des dates de début et de fin.  Lancement : c’est une sous-fonction de l’ordonnancement ayant pour missionde rassembler tous les moyens pour assurer leur disponibilité au moment choisi.  Avancement : autre sous-fonction assurant le suivi des travaux .Il contrôle l’état d’avancement des « en  cours », leur achèvement, et enregistre les éventuelles discordances entre les prévisions et les réalisations .Ce qui permet les corrections nécessaires à la tenue à jour des plannings.  Déblocage : c’est l’action de libérer le lancement d’une tâche après l’enregistrement de la fin de la tâche antécédente.  Approvisionnement : il est de la responsabilité de l’ordonnancement de veiller à la disponibilité des « consommables », donc d’assurer les approvisionnements nécessaires. Cette sous- fonction est économiquement importante : - approvisionner trop tôt, en trop grand nombre conduit à stocker inutilement, ce qui revient très cher - approvisionner trop tard entraîne des retards et du personnel inoccupé 1.2. CARACTERISTIQUES DE L’ORDONNANCEMENT a) Mission L’ordonnancement est la fonction chef orchestre, chargée de conduire les évènements .Pour ce faire, son rôle consiste à : - prévoir la chronologie des tâches ; - optimiser l’utilisation des moyens nécessaires et les rend disponibles ; - lancer les travaux au moment choisi ; - contrôler l’avancement et la fin des tâches, et prendre en compte les écarts entre prévisions et réalisations. Ce qui peut s’exprimer sous la forme : prévoir un instant t et un endroit x ou un personnel p, muni de l’outillage o et desmatières m, exécutera la tâche Y .Et ceci en harmonie avec les autres activités. b) Caractéristiques - optimisation des moyens : c’est un problème important, dont la solution est toujours un compromis coût / temps illustré par le graphe ci-après. Lancement Jour J heure H Préparation Personnel Outillage Pièces de rechange Moyens spéciaux Mise à disposition de L’exécution
  • 28.
    Pour réduire ladurée d’une tâche, il faut augmenter les moyens à mettre en œuvre, donc les coûts directs imputés à cette tâche.  Méthodes et ordonnancement : les méthodes analysent et préparent un travail, alors que l’ordonnancement synthétise les moyens. Les méthodes répondent aux questions : Quelle tâche ?comment la réaliser ? L’ordonnancement répond aux questions : Quand ? Qui ?  Sans ordonnancement efficace, un service subit les événements au lieu de les maîtriser.  En règle générale, des postes banalisés sont plus faciles à ordonnancer que des postes spécialisés .En maintenance, la polyvalence des équipes d’intervention facilite la régulation du travail. 1.3. LES CINQ NIVEAU DE L’ORDONNANCEMENT Ces cinq niveaux s’échelonnent dans le temps, et dans la précision, allantdu futur à long terme au passé immédiat. 1ér niveau : prévision à long terme. Il correspond à la notion de plan de charge - Horizon 1,2, 3,4 ,5 ans. Ces prévisions concernent la direction et sa politique .Elles permettent en fonction des commandes attendues (espérées), de prévoir globalement une charge de travail. onc du personnel et des investissements en matériel Ces prévisions de production impliquent la définition d’une politique de maintenance adaptée à ces investissements. 2 ème éme niveau : prévision à moyen terme. - Horizon 1 à 12 mois : Elles concernent le bureau d’ordonnancement. Les commandes sont enregistrées. Un planning de charges mensuelles est possible, l’approvisionnement des stocks est lancé, ainsi que les pièces et outillage. 3ème éme niveau : le lancement court terme. - Horizon 1 semaine ou 1 mois Il concerne le bureau de lancement, charnière entre la prévision et l’exécution .Il gère le planningde lancement et déclenche la mise à disposition du chefd’équipe des matières et outillage, ainsi que des préparations des méthodes et des procédures de sécurité (consignation) 4 ème niveau : la répartition du travail (futur immédiat). - Horizon 1heure à 2 Jours. C’est la mise en main, par le chef d’équipe, de tous les éléments permettant aux exécutants de faire le travail dans les conditions de temps, de qualité et de sécurité prévues. En maintenance, la répartition du travail entre les différents ouvriers est généralement l’apanage du chef d’équipe. 5 me niveau : contrôle de l’avancement. Le respect des délais nécessite un contrôle permanent de l’avancement des travaux, une étude des écarts aux prévisions et une adaptation éventuelle.Ce qui implique un planning « vivant » Durée Coûts directs Mini
  • 29.
    1.4. LES PLANNING Lesplannings sont des outils de travail très pratiques, à condition d’obéir aux règles suivantes : - plus la prévision est lointaine, plus elle doit être globale - plus elle est proche, plus elle peut être détaillée. Planning annuel : prévision mois / mois Planning du lendemain : heure /heure a) Planning de charge (2éme niveau) C’est un outil de gestion du chefde service maintenance .il permet de comparer, pour chaque section du service, la charge globale prévue et la capacité de la section. Capacité de charge réelle= charge programmée +réserve de charge + charge disponible programmable. Capacité de charge réelle= horaire théorique de travail – heures non productives La réserve de sécurité est le taux d’aléas possibles, déterminé empiriquement ou statistiquement (maladies, absences diverses, pannes, grèves…..) Elle comprend aussi une marge de capacité réservée aux travaux urgents non prévus. b) Planning de lancement (3éme niveau) Le planning de charge ayant ajusté la charge et la capacité, va être vidé période par période (5jours) dans le planning de lancement. Ce planning permet aussi de visualiser le déblocage d’une opération, déclenchée par l’achèvement de la précédente. Effectif L M M J V Réserve prioritaire Réserve non prioritaire équipe A équipe B équipe C OT Programmé OT versé OT en attente c) Planning d’atelier (4éme niveau) Tenu par le chef d’équipe, il lui permet de répartir les tâches entre ses ouvriers. Ce planning couvre heure par heure, pour chaque ouvrier ,2 ou 3 jours detravail. Nom Spécialité Lundi 8 - 12 13 -17 Mardi 8 - 12 13 -17 Mercredi 8 - 12 13 -17 Jeudi 8 - 12 13 -17 AA Automaticien BB Mécanicien CC Chaudronnier DD Electricien 1.5. LES PROBLEMES DE SURCHARGE Il faut analyser les causes de cette surcharge. Elle peut être permanente ou conjoncturelle. Les solutions seront différentes. a) Surcharge permanente
  • 30.
    - Revoir lapolitique de maintenance - la mise en place de préventif diminue la charge globale ; - le développement des améliorations diminue les taux de défaillance, donc la charge de correctif ; - un service méthode plus performant diminue les tempsopératifs ; - une sous-traitance bien négociée diminue la charge interne ; -la production peut se charger de 1ér niveau de maintenance. - Embaucher du personnel b) Surcharges conjoncturelles - Avoir recours aux heures supplémentaires (coûteux et fatiguant) . - Sous-traitance (mal négociée, elle est coûteuse). - Chercher des priorités : travaux en surcharge à reporter. - Méthodes : remplacer une réparation par un échange standard, plus coûteux, mais plus rapide. Il faut savoir que les services les plus souvent surchargés n’ont pas le temps de remettre en cause leurs méthodes, alors qu’ils ont le plus besoin d’une remise en cause de leurs méthodes. 2. L’ORDONNANCEMENT DES TRAVAUX DE MAINTENANCE 2.1. CARACTERES SPECIFIQUES Dans un service maintenance, la fonction ordonnancement est particulièrement lourde et délicate .En effet, les travaux sont variés et la notion d’urgence plus fréquente et plus lourde de conséquence qu’en production. Si la politique choisie et appliquée débouche sur 10% d’interventions fortuites, pas de problème majeur d’ordonnancement…. Mais si 90% desinterventions sont fortuites, donc par nature non prévues, la fonction ordonnancement est délicate et implique des méthodes adaptées. L’ordonnancement de maintenance a des problèmes spécifiques à résoudre : - dépendance de la production (arrêts de fabrication) ; - prise en compte de la sécurité (délais de consignation) ; - suivi des travaux sous-traités ; - approvisionnement des fournitures et pièces de rechange ; - tri des urgences d’interventions correctives. 2.2. LES PROCEDURES RELATIVES AU TRAVAUX DE MAINTENANCE a) Flux decommunication
  • 31.
    b) Les imprimésrelatifs aux travaux Nous allons décrire un système de gestion des activités par imprimés, spécialement adaptés aux besoins de l’ordonnancement de maintenance. BPT = Bons de petits travaux DT = Demande de travail OT = Ordre de travail BT = Bon de travail 2.3. DECLENCHEMENT DES DIFFERENTS TRAVAUX DE MAINTENANCE a) Déclenchement de la maintenance préventive Par nature, le service demandeur est le service maintenance lui-même, par son bureau de méthodes. -Maintenance de ronde : des consignes permanentes de ronde, préparées aux méthodes, sont à la disposition des rondiers. Elles sont lancées sans lancement et sans OT. - Maintenance systématique : le déclenchement est fait suivant l’état présumé du matériel, suivant un échéancier qui les actions systématiques avec un OTP. (Un ordinateur peut sortir automatiquement les OTP) -Maintenance conditionnelle : le déclenchement est fait suivant l’état constaté du matériel. Le seuil d’alarme mis en place doit prendre en compte le délai d’ordonnancement. La date d’intervention présente le caractère fortuit du correctif, mais il n’y a pas de DT émise de l’extérieur. b) Tableau de synthèse Types de travaux Service déclencheur Document Fonction Ordonnancement Enregistrement Avancement Programmation Lancement Approvisionne ment OTP : ordre de travail préventif D.A (suivant l’état dustock) OTC : ordre de travail correctif DTE : demande des travaux extérieures O T : méthodes Concertation avec la production Etat des travaux extérieurs Site : retour des B. T Production, service Extérieur : D .T
  • 32.
    Correctif Préventif Amélioration Travaux neufs Rechanges Rénovations Prestations diverses Production Ordonnancementde maintenance Maintenance, études, production Maintenance, études Maintenance, magasin Maintenance, production Tout service DT OTP DT DT, dossier DT Dossier DT ou BTP 2.4. LA GAMME D’ORDONNANCEMENT ET LE SCHEMA D’ENCLENCHEMENT DES PHASES En fait, il s’agit d’une action d’ordonnancement faite par les préparateurs, qui, sous un seul n° d’ OT, vont décomposer le travail en phases. Il y aura 1 BT par phase, souvent appelé BP = Bon de phase. Le dossier d’ OT contiendra donc : - la gammed’ordonnancement, comprenant le graphe d’enclenchement des phases ; - lesbons de phase, descriptifs de travail. a) Le schéma d’enclenchement des phases La phase 20 est débloqué par l’achèvement de 10. 30 et 40 peuvent débuter (simultanément ou non )dés l’achèvement de 20 . b) Le chemin critique C’est la succession des phases « en série » dont la durée totale détermine le délai. Aucune de ces phases n’est évidemment margée. Exemple : 20 30 40 1010 20
  • 33.
    c) Modèle degamme d’ordonnancement 10 30 50 70 60 40 20 Schéma d’enclenchement Repère Durée de phase Chemin critique 10 20 30 40 50 60 70 18h 04h 07h 06h 09h 05h 10h 10 18h 20 04h 40 06h 50 09h 70 10h Total : 47 h
  • 34.
    3. L’ORDONNANCEMENT DESTRAVAUX LOURDS DE MAINTENANCE : LE PERT 3.1. SITUATION DU PROBLEME Les travaux importants, par le nombre et la durée des opérations qui les composent, mis enœuvre par le service maintenance sont le plus souvent les arrêts annuels de process, de tranche, qui mobilisent sur une période allant de 8 jours à un mois un grand nombre de techniciens, souvent extérieurs au service. Certaines révisions générales, réparations lourdes ou rénovations, certains travaux neufs impliquent les interventions sur site, simultanément ou successivement, de plusieurs équipes : face à ce problème de coordination d’activités, la gestion par OT, gamme d’ordonnancement, graphes de Gantt ne devient plus possible. Il faut alors faire appel à la théorie des graphes, et aux méthodes d’ordonnancement qui en découlent. 3.2. LA THEORIE DES GRAPHES ET LES DIFFERENTES METHODES
  • 35.
    a) Ordonnancement parréseau Un graphe est un réseau formé d’arc (ou chemins) et de nœuds (ou sommets). Conventionnellement : - le nœud représentera une activité (phase, tâche, ou étape) - l’arc représentera une liaison logique entre la fin d’une tâche et le début de la suivante. La construction d’un réseau implique donc la définition de l’antériorité des tâches. Une représentation matricielle est souvent utilisée pour traiter les antériorités. Remarque : dans le graphe de Gantt, la longueur du segment représente la durée d’une tâche. Dans les réseaux, les longueurs d’arc ne sont pas représentatives de durées. b) Le PERT Le PERT signifie « Program Evaluation and Revue Technic ». Il a été mis au point en 1958, aux USA, pour l’ordonnancement du programme spatial « POLARIS ». Il permet de contrôler les délais. Efficace, facile à traiter par ordinateur, de nombreuses variantes ont été mises au point : - CPM : « Critical Path Method » ou méthode du chemin critique ; - PERT coût : à chaque opération est affecté un cout previsionnel, ce qui permet de gérer un échéancier des dépenses cumulées. - PERT charge : il permet le nivellement des charges par lissage. c) Le graphe de Gantt Descripti f, facilement exploitable, il ne se prête pas à l’ordonnancement de trop nombreuses tâches. Par contre, il sera édité en sous-programmes traduits du PERT général, comme planning de charge à destination d’une équipe. d) Symbolisation des tâches et des étapes Début de 1. pro Modèle de gamme d’ordonnan cement Fin de programme A = 6 Jours A= 0, 1, 2 , 3 , 4 ou 6 jours Un symbole le précisera Gantt B
  • 36.
    e) Exemple :traduction de Gantt en PERT 2 3 B4 C A B D E Gantt :
  • 37.
    PERT : Toutes lesétapes seront numérotées et les tâches seront codées. Cet exemple nous montre que les graphes de Gantt, limités en nombre de tâches, sont facilement exploitables, leur structure étant celle des plannings. Les réseaux, moins lisibles et plus compact, seront plus facilement traités, à partir de la systématique de leur codification. 3.3. DESCRIPTION DU PERT-Temps Le PERT-Temps adeux objectifs : - La programmation des éléments constitutifs d’un projet, c’est-à-dire l’ordre dans lequel ils doivent être exécutés. - Le calendrier d’exécution en fonction des contraintes de délai, ce qui revient à introduire les durées dans le réseau. a) Recherche du réseau Le projet (ou programme) Tout projet se traduit par un ensemble ordonné de tâches, et se caractérise par un début (préparation, commande…) et une fin (essai, mise en service) souvent situé dans le temps : le délai La tâche Elle consomme une durée, souvent évalué suivant le modèle : 6 4 tptrto tm   tm : temps moyen ,telle que la durée réelle soit 50 fois/< tm to : temps optimiste ,si tout va bien tp : temps pessimiste,si tous les retards envisageables se manifestent tr : temps réaliste ,correspondant à des circonstances normales d’exécution. L’étape L’étape ne consomme ni temps, ni coût, ni moyen .C’est simplement unjalon, représenté par un cercle, complété par les symboles suivants : 1 2 3 4 5 6 C6 D2 E6 A3 B8
  • 38.
    Les contraintes d’antériorité Desrelations de dépendance unissent les tâches, suivant lesrègles suivantes : - Règle d’enclenchement : B ne peut commencer que si A est achevée - Règle de convergence : C ne peut commencer que si A et B sont achevées - Règle de divergence : B et C peuvent commencer si A est achevée, ce qui n’implique qu’elles doivent commencer simultanément. Tâche fictive Prenons l’exemple des contraintes suivantes : C suit Aet B, D suit B seulement Nous avons ajouté la tâche fictive E, de durée nulle, dessinée en tirets. . 0 0 1 5 7 2 A5 Date au plus tard Date au plus tôt Repère de l’étape A C C B C A A B C D E E
  • 39.
    Ce graphe està ne pas confondre avec la convergence- divergence, exprimant une contrainte supplémentaire C suit A et B D suit Aet B Traitement des antériorités : matrice d’enclenchement On trace une matrice carrée, portant les tâches en lignes et colonnes. Tâche Tâches antécédentes Durée A B C D E F G A B A G F C D B 3h 6h 2h 5h 2h 10h 3h A B C D E F G A B x C x D x E x x F x x G x Tracé du réseau Le dépouillement de la matrice précédente permet de tracer le réseau. 4 D5 E2 F10 C 2 C 2 A B C D Ce qui se lit : B libère C et G ( divergence) Ce qui se lit : F et G libèrent E (convergence) 1 2 3 5 6 A 3 B6 G 3
  • 40.
    b) Etablissement ducalendrier d’exécution Tableau complet d’ordonnancement Etape Tâche Durée Plus tôt Plus tard Marge Chemin critiqueDébut Fin Début Fin Début Fin Libre Totale 1 2 3 2 5 4 3 2 3 4 4 6 5 5 A B C D E F G 3 6 2 5 2 10 9 0 3 9 3 21 11 9 3 9 11 8 23 21 12 0 3 9 6 21 11 18 3 9 11 11 23 21 21 0 0 0 3 0 0 9 0 0 0 3 0 0 9 x x x x x Réseau complet Etude des marges Les marges expriment la flexibilité de l’ordonnancement : Marge libre = début au plus tôt de la tâche suivante – fin au plus tôt de la tâche concernée Marge totale = début au plus tard - début au plus tôt Dans notre exemple étudions les marges sur D5 à partir d’ungraphe de Gantt ; 9 9 3 3 3 2 0 0 1 11 11 4 21 21 5 23 23 6 A3 B6 D5 G3 E2 F10 C2
  • 41.
    Dans ce cas,la tâche F10 n’est pas margée, puisqu’appartenant au chemin critique. La marge libre (11-8 =3) est égale à la marge totale (6 -3 = 3). c) Principe du PERT - Charges Nous constatons qu’il estpossible de lisser en jouant sur les marges pour la programmation des tâches autres que celles du chemin critique. En fait, deux options d’ordonnancement sont possibles, suivant que l’on s’impose pour objectif le respect du délai final ou de la capacité de charge disponible. Capacité de charge imposée Dépassement de délai s’il n’est pas possible de lisser la charge entre 0 et D. Délai imposé 3 B6 D5 D ’ 5 9 11 C2 Début au plus tard =6 Début au plus tôt= 3 Charge Capacité constante t Délai t
  • 42.
    Surcharge temporaire s’iln’est pas possible de lisser la charge entre 0 et D 3.4. PROBABILITE DE « TENIR LE DELAI » D’UN PROJET Estimation des durées de tâche Nous avons déjà vu que l’espérance mathématique d’une tâche peut être estimée par la formule suivante, caractéristique de la loi Bêta : 6 4 tptrto tm   Sonécart type est 6 totp   Prenons l’exemple de la tâche D5 to = 3h t r = 4h 6 11443   x tm = 5h 33,1 6 311    h t p = 11h Estimation de la durée d’un projet La durée d’un projet est mise en évidence par la durée du chemin critique, formé de tâches « en série ». Dans le cas ou n tâches en série, la durée moyenne est  mim tt t m i étant la durée moyenne de la i éme tâche . L’écart type est 222 ....21 n   Reprenons notre exemple t M = 29 heures et h5 Probabilité de respecter le délai D Supposons la distribution des « fins de projet » normale. Charge t Délai t
  • 43.
    L’usage d’une tablerelative à la loi normale permettra d’associer à un délai une probabilité de le respecter. Si le délai fixé est 29h, alors Prob (t réel<29) = 0 ,5 Si le délai fixé est 34h, alors Prob (t réel<34) =Prob (T<  tmtréél  )=Prob (T<1) =  )1( = 0,84 Si le délai fixé est 34h, alors Prob (t réel<39) =Prob (T<  tmtréél  )=Prob (T<2) = )2( = 0,977 Remarque : Il est d’autant plus intéressant d’évaluer la probabilité de tenir un délaique celui-ci est assorti de pénalités de retard, fonction des dépassements… Exercices d’application Exercice N° 1 - Définir l’ordonnancement et quelle est son utilité ? - Quels sont les cinq niveaux de l’ordonnancement ? - Qu’est ce que c’est un planning ? - Qu’est ce que c’est un Gantt? - Qu’est ce que c’est le PERT ? Exercice N° 2 Description des tâches Désignation Tâches antérieures Temps en semaine a m b Avant projet du futur produit A - 4 5 12 Etude du marché B - 1 1,5 5 Etude de faisabilité C A 2 3 4 Réalisation D A 3 4 11 Définition de la politique publique E A 2 3 4 Estimation des coûts F C 1 ,5 2 2,5 Présentation des prototypes aux clients G D 1,5 3 4,5 Détermination du prix du produit H B, E 2,5 3,5 7,5 Evaluation du chiffre d’affaires I H 1,5 2 2,5 Rapport de synthèse avant lancement de la série J F, G, I 1 2 3
  • 44.
    Travail demandé 1. Définirle temps moyen estimé pour chaque tâche 2. Calculer l’écart type pour chaque tâche 3. Dresser le graphe PERT 4. Donner la durée globale du projet 5. Donner le chemin critique 6. Donner l’écart type relatif à tout le projet 7. La probabilité que le projet soit fini au bout de 20 semaines 8. Conclusion La table ci-dessous comporte les valeurs de la fonction de répartition de la loi normale, à savoir les valeurs de :
  • 45.
    0.00 0.01 0.020.03 0.04 0.05 0.06 0.07 0.08 0.09 0.0 0.5000 0.5040 0.5080 0.5120 0.5160 0.5199 0.5239 0.5279 0.5319 0.5359 0.1 0.5398 0.5438 0.5478 0.5517 0.5557 0.5596 0.5636 0.5675 0.5714 0.5753 0.2 0.5793 0.5832 0.5871 0.5910 0.5948 0.5987 0.6026 0.6064 0.6103 0.6141 0.3 0.6179 0.6217 0.6255 0.6293 0.6331 0.6368 0.6406 0.6443 0.6480 0.6517 0.4 0.6554 0.6591 0.6628 0.6664 0.6700 0.6736 0.6772 0.6808 0.6844 0.6879 0.5 0.6915 0.6950 0.6985 0.7019 0.7054 0.7088 0.7123 0.7157 0.7190 0.7224 0.6 0.7257 0.7291 0.7324 0.7357 0.7389 0.7422 0.7454 0.7486 0.7517 0.7549 0.7 0.7580 0.7611 0.7642 0.7673 0.7703 0.7734 0.7764 0.7793 0.7823 0.7852 0.8 0.7881 0.7910 0.7939 0.7967 0.7995 0.8023 0.8051 0.8078 0.8106 0.8133 0.9 0.8159 0.8186 0.8212 0.8238 0.8264 0.8289 0.8315 0.8340 0.8365 0.8389 1.0 0.8413 0.8438 0.8461 0.8485 0.8508 0.8531 0.8554 0.8577 0.8599 0.8621 1.1 0.8643 0.8665 0.8686 0.8708 0.8729 0.8749 0.8770 0.8790 0.8810 0.8830 1.2 0.8849 0.8869 0.8888 0.8906 0.8925 0.8943 0.8962 0.8980 0.8997 0.9015 1.3 0.9032 0.9049 0.9066 0.9082 0.9099 0.9115 0.9131 0.9147 0.9162 0.9177 1.4 0.9192 0.9207 0.9222 0.9236 0.9251 0.9265 0.9279 0.9292 0.9306 0.9319 1.5 0.9332 0.9345 0.9357 0.9370 0.9382 0.9394 0.9406 0.9418 0.9429 0.9441 1.6 0.9452 0.9463 0.9474 0.9484 0.9495 0.9505 0.9515 0.9525 0.9535 0.9545 1.7 0.9554 0.9564 0.9573 0.9582 0.9591 0.9599 0.9608 0.9616 0.9625 0.9633 1.8 0.9641 0.9649 0.9656 0.9664 0.9671 0.9678 0.9686 0.9693 0.9699 0.9706 1.9 0.9713 0.9719 0.9726 0.9732 0.9738 0.9744 0.9750 0.9756 0.9761 0.9767 2.0 0.9772 0.9778 0.9783 0.9788 0.9793 0.9798 0.9803 0.9808 0.9812 0.9817 2.1 0.9821 0.9826 0.9830 0.9834 0.9838 0.9842 0.9846 0.9850 0.9854 0.9857 2.2 0.9861 0.9864 0.9868 0.9871 0.9875 0.9878 0.9881 0.9884 0.9887 0.9890 2.3 0.9893 0.9896 0.9898 0.9901 0.9904 0.9906 0.9909 0.9911 0.9913 0.9916 2.4 0.9918 0.9920 0.9922 0.9925 0.9927 0.9929 0.9931 0.9932 0.9934 0.9936 2.5 0.9938 0.9940 0.9941 0.9943 0.9945 0.9946 0.9948 0.9949 0.9951 0.9952 2.6 0.9953 0.9955 0.9956 0.9957 0.9959 0.9960 0.9961 0.9962 0.9963 0.9964 2.7 0.9965 0.9966 0.9967 0.9968 0.9969 0.9970 0.9971 0.9972 0.9973 0.9974 2.8 0.9974 0.9975 0.9976 0.9977 0.9977 0.9978 0.9979 0.9979 0.9980 0.9981 2.9 0.9981 0.9982 0.9982 0.9983 0.9984 0.9984 0.9985 0.9985 0.9986 0.9986 3.0 0.9986 0.9987 0.9987 0.9988 0.9988 0.9989 0.9989 0.9989 0.9990 0.9990 3.1 0.9990 0.9991 0.9991 0.9991 0.9992 0.9992 0.9992 0.9992 0.9993 0.9993 3.2 0.9993 0.9993 0.9994 0.9994 0.9994 0.9994 0.9994 0.9995 0.9995 0.9995 3.3 0.9995 0.9995 0.9995 0.9996 0.9996 0.9996 0.9996 0.9996 0.9996 0.9997 3.4 0.9997 0.9997 0.9997 0.9997 0.9997 0.9997 0.9997 0.9997 0.9997 0.9998 3.5 0.9998 0.9998 0.9998 0.9998 0.9998 0.9998 0.9998 0.9998 0.9998 0.9998 3.6 0.9998 0.9998 0.9999 0.9999 0.9999 0.9999 0.9999 0.9999 0.9999 0.9999 3.7 0.9999 0.9999 0.9999 0.9999 0.9999 0.9999 0.9999 0.9999 0.9999 0.9999 3.8 0.9999 0.9999 0.9999 0.9999 0.9999 0.9999 0.9999 0.9999 0.9999 0.9999 3.9 1.0000 1.0000 1.0000 1.0000 1.0000 1.0000 1.0000 1.0000 1.0000 1.0000
  • 46.
    Chapitre4 LES CARACTERISTIQUES DELA MAINTENANCE 1. DETERMINATION DES ACTIOINS PRIORITAIRES a) Situation du problème Dégager l’important d’une masse d’informations, faire apparaître objectivement ce qui est confusément perçu, voilà des préoccupations importantes du gestionnaire. L’efficacité de ces actions dépendra pour une part de la manière dont il les a sélectionnées. Nous trouverons par suite plusieurs outils méthodologiques tels que les matrices de criticité, les graphes de PARETO … Mais la courbe ABC est d’utilisation suffisamment générale pour être abordée maintenant. 1 .1. LA METHODE ABC a) Principe de laméthode - Définition Il s’agitd’une méthode de choix qui permet de déceler, entre plusieurs problèmes, ceux qui doiventabordés en priorité. Une mise sous forme graphique permet de distinguer de façon claire les éléments importants de ceux qui le sont moins, ce qui n’est pas toujours évident. - Intérêt de laméthode Elle permet de ne pas de se laisser accaparer par des travaux certes utiles, mais de très faible importance par rapport au volume des autres travaux (notion de rentabilité de l’action). - Origine de la méthode Elle est issue des travaux de Wilfredo Pareto (1848-1923) économiste italien, mais né à Paris. Etudiantla répartition de l’impôt foncier aux USA, il constata que 15% des contribuables payaient 85% du total .Cette méthode se nomme aussi loi de Pareto (ambiguë), loi des 15-85 ou des 20-80. - Exemples 20% des conducteurs ont 80% des accidents ; 20% des voies ferrées assurent 75% du trafic ; 25% des articles vendues représentent 80% du chiffre d’affaire ; 15% des bons de travaux couvrent 85% des heures d’atelier ; 20% des machines ont 80% des défaillances enregistrées. - Quoi préparer ? Dans le cadre de la préparation du travail de maintenance, si l’analyse des interventions passés nous montre que 20% des interventions représentent 80% des heures de travail, il devient évident que la préparation doit porter par priorité sur ces 20% d’interventions. - Autres applications en maintenance - Recherche des pannes (suivant leur coût ou leur fréquence) pour décider de la méthode d’entretien à adopter. - Définir l’implantation d’un magasin en fonction de la fréquence de sorties des pièces. - Déterminer les méthodes de gestion de stock (quantités calculées au plus juste pour réduire les frais administratifs) - Conclusion La méthode ABC est un outil d’analyse polyvalent à la disposition du technicien responsable de l’organisation du travail.
  • 47.
    b) Pratique dela courbe ABC Exemple de courbe ABC : visualisation des résultats. Elle permet de classer des éléments qui représentent la fraction la plus importante d’un caractère étudié en indiquant les pourcentages pour un critère déterminé. - Exemples de critères usuels en maintenance : Nombre, durée ou coût d’interventions Nombre de pannes, durée d’indisponibilité … Interprétation de la courbe ci contre Les na éléments de la classe A (soit 15% des éléments étudiés) représentent 60% du critère cumulé : ils sont à considérer en priorité. Par contre les éléments de la classe C (soit 60% du total) ne représentent que 10% du critère cumulé : ils sont à négliger. 1- Déterminer le cadre et les limites de l’étude - Quel choix veut –on faire ? (Objet de l’étude) - Définir la nature des éléments à classer - Choisir le critère de classement (coût ou temps le plus souvent) - Rechercher la période représentative pour le caractère étudié 2- Faire un tableau de classement Exemple : On donne l’historique des défaillances suivantes n : nombre de défaillances 3- Faire un tableau ordonné Les éléments sont classés par valeur décroissante Machine n M1 14 M2 1 M3 2 M4 18 M5 1 M6 2 M7 3 M8 4 N Éléments Critères cumulés n a n b 100% 90% 60% 40% 40% 15%15%15% B C A
  • 48.
    Machine n %n % cumulés des n % cumulés desMi M4 18 40 40 12,5 M1 14 31,11 71,11 25 M8 4 8,89 80,00 37,5 M7 3 6,67 86,67 50 M3 2 4,44 91,11 62,5 M6 2 4,44 95,56 75 M2 1 2,22 97,78 87,5 M5 1 2,22 100,00 100 total machines=8 45 Ce graphe permet de dégager les machines de classement 1,2 et 3 qui sont respectivement M4, M1 et M 8 .Elles représentent 80% des défaillances. Par contre les autres machines ne représentent que 20%. Les machines M4, M1 et M 8 sont prioritaires pour fiabiliser la ligne. c) Exercice d’application On donne l’historique des défaillances suivantes n :nombre de défaillances t : durée moyenne d’intervention On demande de déterminer les priorités pour : - fiabiliser la ligne - réduire les temps d’intervention - améliorer la disponibilité 1 .2. LA METHODE AMDEC a) Définition AMDEC : Analyse des modes de Défaillances, de leurs Effets et de leur Criticité. Il s’agitd’une méthode inductive permettant, pour chaque composant d’unsystème, derecenser son mode de défaillance et de son effet sur la sécurité du système. b) Processus d’analyse Après avoir précisé le profil de mission, il faut - identifier tous les composants d’unsystème (inventaire) ; - pour chaque composant, établir la liste des modes, de défaillance possibles et de leurs causes envisageables ; - évaluer leurs effets sur le succès de la mission ; - définir les moyens de détection, puis de prévention des modes de défaillance ; - évaluer la criticité (codage de 1 à 4 des modes de défaillance ; - évaluer éventuellement la probabilité d’occurrence. c) Objectif de l’AMDEC L’AMDEC est une méthode qualitative puis quantitative qui contribue à l’amélioration de : Machine n t n .t M1 14 1.3 18.2 M2 1 16 16 M3 2 8.5 17 M4 18 0.9 16.2 M5 1 17 17 M6 2 8 16 M7 3 5.5 16.5 M8 4 4 16
  • 49.
    AMDEC Moyen ouMachine a pour but de valider la disponibilité des équipements par l’établissement d’un plan de maintenance et pièces de rechange. d) AMDEC Moyen (Machine) - Méthodologie - Analyse fonctionnelle  C’est la 1ére étape à réaliser avant d’entamer l’AMDEC  Identification des fonctions que doit remplir le système (schéma fonctionnel)  Identification des composants et des liaisons entre composants qui permettent d’assurer participant à la réalisation de chaque fonction e) Grille d’analyse qualitative Exemple : Perceuse La fiabilité La maintenabilité La disponibilité d’un produit d’un processus d’un moyen de production
  • 50.
    f) Analyse quantitative -Indices de l’analyse quantitative - Occurrence « O » : probabilité que la cause apparaisse et qu’elle entraîne le mode de défaillance - Gravité « G » : gravité des effets du mode de défaillance sur la disponibilité (arrêt de la production) et sur la sécurité des personnes et des biens - Détection « D » : probabilité que le mode de défaillance ne soit pas détecté où que son effet atteigne l’utilisateur - Criticité « C » : produit de l’occurrence, de la gravité et de la détection C = O x G x D - Exemple de notation de l’occurrence « O » - Exemple de notation de la gravité « G »
  • 51.
    - Criticité etseuil de criticité - Exemple d’analyse quantitative : Perceuse g) AMDEC MOYEN : Actions correctives
  • 52.
    h) AMDEC MOYEN: Suivi des actions
  • 53.
    i) AMDEC MOYEN: Plan d’action j) AMDEC MOYEN : Plan de maintenance 01/12/0 0 01/12/0 0 28/12/0 0
  • 54.
    k) Exemple deplan de Maintenance : Perceuse l) Réalisation de l’AMDEC Moyen - Groupe de travail  Un animateur garant de la méthodologie  Un pilote (chefde projet) responsable du dossier  Des représentants des services  Maintenance  Méthodes  Qualité  Production  Des experts selon les besoins de l’analyse m) Dossier préalable Pour démarrer l’analyse, il est souhaitable de disposer de : - Plans, Schémas de principe, nomenclature - Cahier des charges Fonctionnel - Schéma fonctionnel - Normes, réglementation en vigueur - Historique des pannes sur des moyens similaires - Liste des essais et vérification prévus ou en cours - Résultats d’essai effectués sur le moyen ou sur un moyen comparable n) Exercice d’application 1) Présentation On dispose d’unepompe à deux débits 2) Travail demandé 1) Donner la désignation de tous les éléments 2) Etablir une étude AMDEC en faisant - Analyse fonctionnelle - Grille d’analyse qualitative - Analyse quantitative - Actions correctives - Suivi des actions - Plan d’action - Plan de Maintenance
  • 55.
    1 .3. CONCLUSION Laméthode ABC s’avère très utile dans une entreprise afin d’établir une politique de maintenance (Maintenance préventive pour les machines responsables de 80% des arrêts). La méthode AMDEC fait l’analyse poussée d’une machine et permet de déterminer les composants critiques et par conséquent d’établir le plan de maintenance pour cette machine.
  • 56.
    Chapitre5 LA PREPARATION DUTRAVAIL 1. RENTABILITE DE LA PREPARATION 1.1. DEFINITION DE LA PREPARATION De façon générale, c’est la fonction de l’entreprise chargée de prévoir, définir et réaliser les conditions optimales d’exécution d’un travail .En maintenance, c’est la sous-fonction des méthodes ayant vocation d’aide à l’intervention. La préparation est une des responsabilités du bureau des méthodes. Pour une tâche donnée, la préparation consiste à définir les besoins et à éditer les documents opérationnels, comme l’illustre le graphe ci-dessous : Objectif de la préparation du travail - Faciliter le travail des techniciens d’intervention - Réduire les coûts directs d’intervention en diminuant les temps d’attente : recherche d’outillage, de personnel disponible, déplacements inutiles .Nous pouvons espérer un gain de 30% sur le temps productif. - Réduire les coûts indirects en diminuant les durées d’immobilisation des équipements - Prévoir les consommations en rechange, matières, fournitures…. 1.2. RENTABILITE DE LA PREPARATION La préparation existe toujours, mais elle peut être : - non formalisée : réflexion personnelle de l’exécutant, - formalisée : établie par le préparateur. Elle ne se justifie que si les gains qu’elle procure sont supérieurs aux dépenses qu’elle occasionne. Hors, l’évaluation des gains est difficile (différence entre le coût d’un travail non préparé et du même travail préparé). Nous pouvons réfléchir à partir de la courbe théorique suivante : PREPARATION Edition des définition document des d’activité besoins -Analyse, diagnostics, expertises - Dossiers machines -Banque de données internes (Standard de temps) Besoins en moyens Outillage, testeurs,moyens spéciaux Besoins en personnel Qualification, habilitation, quantité Besoins en matières : DA : Demande d’approvisionnem ent OTC : Correctif OTP : Conditionnel Gamme d’intervention Temps alloués Consignes de sécurité Programme de maintenance systématique
  • 57.
    ab : préparationsuperficielle pou être utile : bc : sous-préparation cd : préparation optimale de : sur-préparation ef: préparation disproportionné aux travaux Conclusion : la recherche du niveau optimal de la préparation est délicate à priori. L’observation de la manière dont une tâche a été effectuée permet de rectifier le niveau et le contenu d’une préparation. 1.3. QUOI PREPARER ? TABLE DE CRITICITE DES EQUIPEMENTS a) Principe Le principe est d’affecter à chaque équipement un indice de criticité, moyen de déterminer des priorités dans l’ordre et dans la forme des préparations relatives à cet équipement. b) Exemple de critères et d’évaluation 1- Complexitétechnologique : 4- Coûts directs de maintenance : Simple --------------- 0 Faibles--------------------- 0 Complexe------------- 1 Moyens---------------------1 Très complexe-------- 2 Elevés----------------------2 2- Importance de l’équipement dans le processus de production : 5- Valeur du remplacement à l’identique : Secondaire------------ 0 Peu coûteux-----------------0 Principal--------------- 1 Coûteux --------------------1 Vital----------------------2 Très coûteux ---------------2 3- Taux de marche : 6- Coûts indirects : Episodique ------------0 Faibles------------------------0 Intermittent------------1 Moyens--------------------- 1 Continu-----------------2 Elevés----------------------- 2 c) Table de criticité On affecte chaque critère d’un cœfficient de pondération fonction du contexte de l’entreprise. b c d e a0 Dépenses de la préparation Temps passés Gains dus à la préparation Zone de rentabilité
  • 58.
    Exemple Matériel : grignoteuseCode : 3- 104-7 Critère Valeur estimée Coefficient Points estimés Points maxi 1 2 3 4 5 6 0 1 1 0 1 1 2 3 1 1 1 2 0 3 1 0 1 2 4 6 2 2 2 4 Totaux : i=7 20 Indice de criticité 200  i Utilisation On retiendra en priorité les équipements d’indices compris entre 15 et 20 pours : -établir les dossiers machines -mettre en place des mesures préventives - établir les préparations complètes. d) Conclusion L’évaluation est suggestive ; cependant, la méthode d’analyse, très simple à mettre en œuvre, permet une approche sélective du parc matériel. La méthode ABC reste plus significative et permet de faire la préparation des travaux pour les équipements représentant 20% et qui sont responsables de 80% des arrêts. 2. LES TACHES DU PREPARATEUR 2.1. INTRODUCTION La mission du service méthodes-maintenance est - La gestion technique des équipements - La préparation des interventions curatives et correctives - L’analyse des coûts et l’optimisation des méthodes et des moyens. 2.2. TRAVAUX RELATIFS A LA GESTION TECHNIQUE DES EQUIPEMENTS - Etablissement et tenue à jour de l’inventaire des matériels, de la codification. - Etablissement et tenue à jour des dossiers –machines et des outillages. - Etablissement et tenue à jour des historiques etsuivis d’équipements. - Participation à la réception et mise en service d’équipements. - Analyse des temps opératoires. - Etablissement des spécifications de standards. - Etudes de simplifications et d’amélioration d’interventions, de postes. - Définition des méthodes d’entretien, des procédures d’intervention. - Assistance technique (diagnostic, mesures, essais, réception de matériel…) 2.3. TRAVAUX PLUS SPECIFIQUEMENT DE PREPARATION - Dépannage : tableau de diagnostic, gamme type de dépannage. - Réparations : méthodes et exploitation de diagnostic, expertise sur place, puis préparation des interventions correctives. - Maintenance de ronde : itinéraire, fréquences et contenu des rondes, plans de lubrification. - Maintenances préventives : préparations des visites et inspections : comptes rendus etexploitation, rédaction et amélioration des gammes d’intervention préventives. - Préparation des travaux de rénovation, d’amélioration et de modernisation. - Préparation des travaux lourds : arrêts annuels…. - Cahiers des charges, spécification des travaux sous traités. - Définition des besoins en pièces de rechanges et en outillage. 2.4. TRAVAUX RELATIFS A LA GESTION ECONOMIQUE DES EQUIPEMENTS
  • 59.
    Analyse des différentscoûts de maintenance afin : - d’optimiser les méthodes de maintenance ; - d’améliorer la disponibilité des machines pénalisantes ; - de conseiller la direction du service (gestion du budget, tableau de bord) - de maîtriser le problème de renouvellement du matériel. Cette énumération, à l’évidence non exhaustive, a pour but de montrer la diversité des tâches incombant au préparateur de maintenance, sa nécessaire polyvalence et son indispensable mobilité. 2.5. SITUATION CHRONOLOGIQUE DE LA PREPARATION Suivant le typeda maintenance choisi pour un équipement donné, lapréparation peut se situer : - avant ou après défaillance, - avant et après alerte préventive. Remarques :  Certaines tâches du préparateur ont lieu après l’intervention : - report sur historiques, - amélioration des préparations - études (coûts, temps, fiabilités….) - mise en mémoire des documents 3. LA PREPARATION DE LA MAINTENANCE CORRECTIVE 3.1. METHODOLOGIE DU DIAGNOSTIC a) Définition du diagnostic Identification de la cause d’une défaillance à l’aide d’un raisonnement logique b) Réflexion de départ  La logique de recherche des défaillances diffère de la logique de fonctionnement enseignée par les constructeurs.  La défaillance ignore les frontières entre les domaines mécaniques, électriques, hydrauliques…..qui séparent souvent les différents investigateurs.  La coupure « utilisateurs-maintenance »fait baisser 50% la probabilité de découverte rapide d’une défaillance .Une collaboration s’avère indispensable, en attendant la fusion opérée dans la TPM (l’opérateur est formé à la maintenance de 1ér et 2 éme niveau, et aux techniques de diagnostic. Maintenance CORRECTIVE CERNEE Maintenance CORRECTIVE SUBIE Maintenance PREVENTIVE DEFAILLANCE ALERTE PREVENTIVEDEFAILLANCE ACTION PREVENTIVEDEFAILLANCE REPARATION Préparation anticipée (gamme –type) -préparation dusuivi d’équipement - préparation anticipée -préparation à « chaudsuivant les dommages -Préparation de l’intervention si l’expertise larendnécessaire
  • 60.
     Dans l’optiquede l’accroissement de la disponibilité d’un équipement, la vitesse de diagnostic est un critère de temps important. c) Les outils usuelsd’aide au diagnostic 1. - Les schémas fonctionnels au diagnostic Extraits du Dossier-machine, les schémas électriques, hydrauliques, mécaniques…. les dessins techniques servent de supports visuels à un raisonnement logique. On identifie le composant défaillant (la fonction perdue) sur la machine, puis surle schéma, et l’on remonte en amont chercher les causes possibles. 2. - Les tableaux « effets-causes-remèdes » Constatations ou effets visibles Ou symptôme Causes possibles ou causes présumées Remèdes ou préconisations Exemple : la broche chauffe Mauvaise arrivée d’huile Nettoyer le filtre Ces tableaux sont parfois très longs, à un symptôme pouvant correspondre m causes, et à chaque cause n remèdes. 3.- Les tableaux « entrées – sorties » De lecture plus rapide que les précédents, ils excluent le remède, souvent évident une fois la cause trouvée. Structure Effets Causes possibles 1 2 3 4 5 6 7 8 9 10 11 12 13 A x x x B x x C x x x D x Dans cet exemple, un arbitrage doit déterminer celle des deux causes 3 ou 8 qui est la plus probable. 4.- Les tests de diagnostic - Définition du test : comparaison des réponses d’un dispositifsoumis à une sollicitation à des réponses de référence. - les bancsdu test : spécifiques à un matériel, ils permettent le diagnostic, le contrôle ainsi que les réglages- mise au point. Exemples : bancs du test en automobile Banc hydraulique en maintenance aéronautique - le télé –diagnostic : il est inclus à certains contrats de maintenance relatifs à des systèmes comportant des automates programmables. Le client, muni d’un terminal, consulte par MODEM la banque de données de l’ordinateur S.A.V. Celui- ci lui indique les séquences de tests à mettre en œuvre : c’est le diagnostic à distance. Entrée SORTIE
  • 61.
    4.- Les systèmesexperts de diagnostics Les progrès de l’informatique ont permis le développement des systèmes experts, tournant sur micro-ordinateur, qui rassemblent des connaissances et les utilisent de façon analogue à celle des spécialistes de dépannage. Remarque : ce logigramme suppose que le remède x relatif à la cause X - soit adapté et efficace, - soit convenablement mis en œuvre (intégration du contrôle). 3.2. PREPARATION DES TRAVAUX DE DEPANNAGE : MAINTENANCE PALLIATIVE Par nature, ces interventions de prêtent peu aux préparations .Cependant, des actions de préparation sont possibles. a) Tableau de diagnostic Il met en évidence le rapport de cause à effet à partir de données historiques. b) Gamme –type de dépannage Cette préparation comportera : - les opérations de démontage et de nettoyage - les remplacements provisoires d’éléments défaillants (ou remise en état provisoire) - les opérations de démontage. En outre, suivant les cas : - une liste d’outillage, CAUSE 2 CAUSE 3 CAUSE 1 Remède 1 Remède 2 Test d’exis tence Essai Test d’exis tence Essai Fin Fin OUI OUI Mauvais Bon Mauvais Fin Non Non Etc.
  • 62.
    - les cotesde réglage ou de contrôle, - les mesures de sécurité, - les temps alloués par opération, - la désignation des pièces à remplacer, - la qualification des exécutants (et leur nombre). c) Tâches post-dépannage de l’agent des méthodes - Tâches de routine : - mise à jour du fichier historique, - améliorer les tableaux de diagnostic et lesgammes. - Tâches de réflexion : - analyse des causes de pannes (améliorations), - étude des coûts de dépannage et propositions au chef de service. d) Exemples - Fiche d’autodépannage
  • 64.
    - Tableau d’aideau diagnostic 3.3. PREPARATION DES TRAVAUX DE REPARATION : MAINTENANCE CURATIVE
  • 65.
    Rappel : Laréparation est une intervention définitive et limitée de maintenance corrective. a) Processus de réparation Quelle que soit la méthode de maintenance choisie, on aboutit toujours sur une réparation : - en correctif, après dépannage, - en préventif, après une visite ou une ronde ayant montré l’imminence d’une défaillance, - en systématique, à la date choisie, - après échange standard, sur l’élément défectueux déposé. Le processus d’une réparation est le suivant : 1 - Analyse de défaillance 7 - Expertise définitive 2 – Diagnostic, localisation 8 - PREPARATION 3 –Expertise préalable 9 - Intervention corrective 4 – Nettoyage 10 - Remontage 5 – Procédure de dépose 11 - Essais, contrôles 6 – Démontage 12- Remise en service Rappel : En moyenne, il faut compter 1 heure de préparation pour 25 heures de travail. b) Travaux à préparer 1- Les travaux importants Ils sont déterminés par la méthode ABC 2- Les travaux répétitifs Ils ont lieu lorsque : - le matériel est standardisé ou regroupé par famille ; - le matériel se dégrade rapidement car fragile ou soumis à des conditions de travail très dures. 3- Les travaux en arrêt de fabrication : les révisions - Révisions partielles - Révisions générales Ces travaux sont à la fois importants (en heures) et répétitifs (annuels, par exemples) : leur préparation sera donc détaillée. 4- Les travaux de hautes qualités Il s’agitde réparations délicates et coûteuses justifiant une préparation. 5- Les travaux liés à la sécurité Leur préparation sera axée sur les conditions de sécurité (consignation, habilitation…..) c) Exemple
  • 69.
    4. LA PREPARATIONDE LA MAINTENANCE PREVENTIVE 4.1. PREPARATION DE LA MAINTENANCE PREVENTIVE a) Préambule La vocation de la maintenance préventive est évidemment de prévenir un certain nombre de défaillances, mais surtout d’apprendre à connaître le comportement d’une machine de façon à pouvoir lui appliquer à terme du systématique et /ou du conditionnel. Les visites préventives seront préparées dans ce double objectif. b) Démarche de la préparation 1- Nous devons effectuer le choix des machines à visiter, en fonction de leur criticité 2- Nous décomposerons ensuite chaque machine en « modules »et nous chercherons quels sont « les points clés » (éléments supposés fragiles, ou sensibles) de ces modules. 3- Il nous faudra ensuite fixer pour chaque point clé une fréquence de visite à priori .Le cumul des résultatsde ces visites mettra en évidence l’éventuel besoin de les rapprocher ou de les espacer. 4- Echéancier des visites : il constitue le« plan de maintenance préventive » de lamachine, après avoir homogénéisé les différentes fréquences. 5- Etablissement des fiches de visites, relatives à une machine donnée 6- Exploitation de ces fiches, qui, complétées par les défaillances résiduelles portées sur l’historique de la machine, permettra de faire évoluer la maintenance préventive vers une maintenance systématique, simple à gérer, et vers une maintenance conditionnelle pour les éléments qui s’y prêtent. c) Echéancier des visites et interventions préventives Exemple d’organisation : Identification fiche de visite Périodicité (heures) Visites et opérations à effectuer I II III IV A B A C A B A D 1 000 2 000 3 000 4 000 5 000 6 000 7 000 8 000 + + + + + + + + + + + + + + + Il s’agitd’une opération de standardisation regroupant quatre périodicités : - toutes les 1 000 heures, visites et opérations I, - toutes les 1 000 heures, visites et opérations II, - toutes les 1 000 heures, visites et opérations III, - toutes les 1 000 heures, visites et opérations IV. Ce travail débouche sur la rédaction par le préparateur de 4 fiches de visites : -A (I), -B (I+II), -C (I+II+III), -D (I+II+III+IV). d) Fiches de visites préventives Outre les renseignements d’identification et de localisation, elles comportent le processus détaillé de la visite accompagnée de schémas, photos, plans, paramètres à contrôler…. Une visite peut contenir des opérations telles que réglages (tension de courroie), remplacements, nettoyages, etc. La fiche de visite comporte une partie « résultats et observations »à exploiter, puis à joindre au dossier machine du matériel visité.
  • 70.
    e) Exploitation desfiches de visites L’exploitation ne sera possible que si les résultats et comptes rendus des visites sont ordonnés et mémorisés .Le suivi du matériel permettra ainsi de connaître les lois de dégradation ou les vitesses de dérive ,de façon à établir un échéancier d’interventions systématiques . La réussite d’une politique de maintenance préventive dépend beaucoup de la rapidité et de la qualité d’exploitations desfiches préventives. 4.2. PREPARATION DE LA MAINTENANCE DE RONDE Cette préparation comprend deux parties : a) Les consignes de conduite Elles concernent le fonctionnement du matériel périphérique à la charge de l’entretien. Etablies par un préparateur connaissant ce matériel, elles contiennent en général : - les consignes de mise en route et d’arrêt, - les consignes pendant la marche, - les consignes en cas d’incident de fonctionnement, d’accident de personne, d’incendies, etc. b) Les fiches de ronde Elles sont très proches des fiches de visites préventives, mais elles ont une périodicité plus courte (1heure à 1jour).Elles portent sur des points sensibles du matériel de production. Exemple : fiche de ronde
  • 71.
    c) Le casde la lubrification La lubrification a pour tâches de - le contrôle et l’ajustement desniveaux. - les vidanges périodiques. - la standardisation des huiles et des graisses. - l’approvisionnement en lubrifiants. Exemple : plan de lubrification 4.3. PREPARATION DE LA MAINTENANCE CONDITIONNELLE a) Spécificité de la préparation Dans ce type de maintenance moderne, les tâches habituelles du préparateur disparaissent .Son rôle devient celui du« maître d’œuvre de la mise en place des outils»permettant la maintenance conditionnelle.
  • 72.
    Il s’agitsurtout d’uneanalyse technologique impliquant une bonne connaissance du matériel à suivre (comportement) et des moyens possibles à mettre en œuvre. b) Procédure de mise en oeuvre 1. – Sélection des parties sensibles Une analyse technico-économique sera faite, mettant en évidence les coûts de défaillance à réduire. 2. – Choix des paramètres d’état interne Il s’agitde déterminer des paramètres physiques, mesurables, significatifs des dégradations probables, donc de l’état interne de l’équipement. Exemple : palier lisse Paramètres mesurables envisageables T Température du palier Vdb Niveau de vibrations sur palier Øb Diamètre de la bague d’usure J= Øb- Øa Jeu moyen arbre/bague Ra Etat de surface sur l’arbre Cr Couple résistant W Vitesse de rotation de l’arbre 3. – Choix des capteurs Le grand développement technologique actuel permet de se procurer des capteurs peu coûteux, fiables, compacts, pour de très nombreux paramètres physiques. 4. – Choix des seuils - Seuil d’alarme : il doit permettre l’organisation et la réalisation de l’intervention préventive avant l’atteinte de la limite admissible de dégradation. - Seuil d’admissibilité : déterminé expérimentalement .Il marque la limite de performance entre le mode dégradé et la panne (perte de mission). 5. – Organisation de l’intervention préventive Il reste à préparer de façon usuelle la remise à niveau, la lancer et la réaliser (voir diagnostic, expertise, préparation…). Les tâches post-opératoires consistent à mettre en mémoire l’intervention (historique, dossier- machine) et à exploiter les données nouvelles acquises (exemple : correction des seuils, capteurs complémentaires….). c) Conclusion La mise en œuvre d’une politique de maintenance conditionnelle correspond à un investissement initial. L’amortissement se fait par la réduction ultérieure des coûts directs (pas de rondes, de visites, préparations réduites, organes utilisés à la limite deleur potentiel) Exemple : fiche de visite préventive conditionnelle
  • 74.
    4.4. PREPARATION DELA MAINTENANCE SYSTEMATIQUE a) Préambule Le but de la maintenance systématique est d’effectuer des remplacements de pièces, d’organes ou de modules quelque soit leurétat, dans le but de réduire les défaillances .Et donc le nombre des réparations. b) Préparation de l’échéancier de maintenance systématique L’établissement de l’échéancier se fera en deux phases : 1.- Recherche des périodes optimisées d’interventions pour tous les éléments concernés par une intervention systématique. ( T= k. MTBF). 2- Standardisation et homogénéisation de ces périodes, de façon à attribuer une période d’intervention propre à chaque module constituant de la machine. 5. PLAN DE MAINTENANCE 5.1. DEFINITION Le plan de maintenance est un ensemble structuré de tâches qui comprennent les activités, les procédures, les ressources et la durée nécessaire pour exécuter la Maintenance (Norme NF X60- 010) 5.2. PLAN DE MAINTENANCE Exemple
  • 75.
    6. TABLEAU DEBORD DE LA MAINTENANCE Le tableau de bord est l’ensemble des indicateurs objectifs et pertinents qui donnent une image sur le déroulement de la maintenance dans une entreprise. Il permet, par rétroaction, de corriger et d’agir sur la maintenance par les managers de l’entreprise. 6.1. INDICATEUR Donnée objective qui peut être mesurée directement ou être obtenue à partir d’un ensemble de données relatives au système considéré ou à quelques uns de ses composants .Un indicateur donne une vue sur l’état d’unsystème ou de ses composants à un instant donné ou sur une période donnée. Les indicateurs portent sur les 5M de la Maintenance et de la gestion des stocks. 6.1.1. Nature des indicateurs  Techniques : - durées : exemple : Tempsd’arrêt - nombre : exemple de pannes  Economique : - Coûts : exemple : Coût direct de maintenance - Gains : exemple : Gains sur un coût d’indisponibilité 6.1.2. Propriétés des indicateurs - Pertinence - Simplicité - Sensibilité - Fidélité - Clarté - Suffisance - Concision 6.2. INDICATEURS TECHNIQUES DE MAINTENANCE - Disponibilité : A = Temps de fonctionnement / Temps requis - Taux de capacité : C= Capacité réelle /Capacité nominale - Taux de qualité : Q= Quantité conforme/Quantité totale - Taux de Rendement Synthétique TRS = A.C.Q - Taux de pannes = Nombre de panne /Tempsrequis - Temps d’indisponibilité pour Maintenance / Temps requis - Pourcentage des travaux réalisés dans le délai prévu - Pourcentage des travaux reportés par manque de pièces de rechange 6.3. INDICATEURS TECHNIQUES DE GESTION DES STOCKS - Nombre d’articles de la classe A / Nombre total d’articles en stock - Nombre des articles mouvementés / Nombre total d’articles en stock - Taux de rotation = Consommation annuelle /Quantité en stock Cycle de Maintenance Définition des travaux, Préparation, Planification Exécution des travaux Contrôle des interventionsRétroaction Amélioration Optimisation Conception Enregistrement des données Retour d’expérience Elaboration d’historiques Tableau de bord
  • 76.
    6.4. INDICATEURS ECONOMIQUESDE LA MAINTENANCE - Coût de Maintenance /unité d’œuvre produite - Coût direct de la Maintenance / Valeur à neuf du matériel - Coût direct de Maintenance systématique/Coût direct de Maintenance - Coût direct de Maintenance conditionnel/Coût direct de Maintenance - Coût direct de Maintenance correctif/Coût direct de Maintenance - Coût direct de Maintenance améliorative/Coût direct de Maintenance - Coût direct de Maintenance/ Coût direct moyen des 3 dernières périodes - Coût de formation Maintenance/Effectif de la Maintenance 6.5. LE REPORTING Le reporting consiste, pour un responsable, à rendre compte aux rangs supérieurs du management de la réalisation des objectifs qui lui ont été délégués et qu’il a négociés. Ceci se fait grâce, en particulier, à des tableaux de bord et des indicateurs agrégés judicieusement choisis .Le reporting focalise, donc, l’attention des dirigeants sur les objectifs délégués aux responsables. Il synthétise les informations destinées aux supérieurs hiérarchiques et permet de vérifier si les objectifs délégués sont atteints et d’évaluer la performance des responsables .Le reporting est un outil d’information, à postériori ,dirigé vers le haut de la hiérarchie .Il permet donc la remontée des informations vers les hauts décideurs. 6.6. LE BENCHMARKING C’est une évaluation comparative des performances assurées par l’entreprise avec d’autres entreprises concurrentes .Cela consiste à choisir des indicateurs pertinents de comparaison et de situer l’entreprise par rapport à ce qui se fait dans d’autres entreprises. Si le Benchmarking est intéressant et constitue un bon outil d’aide à la définition des objectifs, il doit être utilisé avec prudence car les conditions dans lesquelles évoluent les entreprises ne sont pas les mêmes d’unpays à l’autre ou d’une ville à l’autre d’unmême pays . Exemples de Benchmarks : - Coût de Maintenance / Valeur des immobilisations brutes = 4% - Coût de Maintenance / Valeur ajoutée = 6%
  • 77.
    Chapitre6 LA SOUS- TRAITANCEDE LA MAINTENANCE 1. LA SOUS-TRAITANCE : DEFINITIONS, CONTEXTE ET TENDANCES ACTUELLES 1.1. DEFINITION La sous-traitance industrielle est toute opération concourant, pour un cycle de production déterminé, à l’activité de conception, de fabrication ou de maintenance ou de maintenance dont une entreprise (le donneurs d’ordres) confie la réalisation à une entreprise (le preneur d’ordres) tenue de se conformer aux directives arrêtés par le donneur d’ordres NF X50-300 : Sous-traitance industrielle –vocabulaire- AFNOR 1.2. TYPE DE SOUS-TRAITANCE INDUSTRIELLE 1.2.1. LA SOUS-TRAITANCE DE SPECIALITE La sous-traitance industrielle est dite de spécialité lorsque l’entreprise donneuse d’ordres décide de faire appel à un spécialiste disposant des équipements et de la compétence adaptés à ses besoins, parce qu’elle ne peut pas ou ne souhaite pas, pour des raisons relevant de sa stratégie propre, notamment des considérations d’ordre économique, se doter des moyens nécessaires au lancement et au développement d’une fabrication ou encore parce qu’elle estime ses Installations insuffisantes ou insuffisamment compétitives pour cette fabrication. NF X50-300 : Sous-traitance industrielle –vocabulaire- AFNOR 1.2.2. LA SOUS-TRAITANCE DE CAPACITE La sous-traitance industrielle est dite de capacité dés lors que l’entreprise donneuse d’ordres, a recours à une autre entreprise soit occasionnellement, en raison d’une pointe momentanée dans sa production ou d’unincident technique (sous-traitance conjoncturelle), soit de façon plus ou moins habituelle parce que désireuse de conserver une capacité propre dans une fabrication déterminée, elle entend utiliser des capacités de production disponibles à l’extérieur (sous-traitance structurelle) NF X50-300 : Sous-traitance industrielle –vocabulaire- AFNOR 1.3. DEFINITIONS JURIDIQUES DE LA SOUS-TRAITANCE Extrait de la loi française n°75-1134 du 31 décembre 1975 relative à la sous-traitance Article 1 : Lasous-traitance est l’opération par laquelle un entrepreneur confie, sous sa responsabilité, à une autre personne appelé sous-traitant, tout ou une partie de l’exécution du contrat d’entreprise ou du marché public conclu avec le maître d’ouvrage. Article 2 : Le sous-traitant est considéré comme entrepreneur à l’égard de ses propres sous-traitants Article 723 : Le louage de services ou de travail est un contrat par lequel l’une des parties s’engage moyennant un prix que l’autre partie s’engage à lui payer, à fournir ses services pour un certains temps ou à accomplir un fait déterminé….. 1.4. LA COTRAITANCE C’est la participation de plusieurs entreprises à la réalisation d’un programme dans une situation de parité au niveau des responsabilités juridiques et financières, les cotraitants peuvent être : -Soit solidaires s’ils sont tous engagés pour la totalité du contrat vis-à-vis de l’utilisateur final du bien ou du service - Soit conjoints si chacun n’est engagé que pour la partie du contrat qu’il exécute. NF X50-300 : Sous-traitance industrielle –vocabulaire- AFNOR 1.5. CONTEXTE DU DEVELOPPEMENT DE LA SOUS-TRAITANCE 3 facteurs sont à l’origine du développement de la sous-traitance  La volonté et la nécessité économique de se recentrer sur le cœur du métier,  La complexité grandissante des technologies,  Les exigences grandissantes en matière de qualité, de sécurité et de respect de l’environnement. En clair, on sous-traite quand : - On n’a pas les compétences (simples : usinage d’une pièce ou élevées : analyse vibratoire), - La maîtrise technique ne peut être assurée que par le constructeur /fournisseur/prestataire spécialisé, (technologie médicale, informatique, ascenseur, climatisation….), - On est obligé (contrôles réglementaires),
  • 78.
    - On nesouhaite pas avoir toutes les compétences en interne (coût, charge non suffisante et non uniformément répartie sur le temps), - La – maintenance- des compétences nécessite beaucoup de pratique et de formation continue, - Les moyens matériels sont coûteux et ne seront pas amortis (parc limité, évolution technologique) Exemples de contrôles réglementaires : - Appareils sous pression - Matériel de levage 1.6. CONTEXTE DU DEVELOPPEMENT DE LA SOUS-TRAITANCE/TENDANCES ACTUELLES Taux de sous-traitance = 1.6.1. Ce qu’on sous-traite actuellement de plus :  La maintenance préventive planifiée (remplacements, inspections, révisions)  Les activités non en relation avec le processus de production - Installations de production d’énergie et de fluide - La maintenance des équipements de manutention et de levage - La maintenance des bâtiments (revêtements, plomberie, éclairage, chauffage, climatisation,ascenseurs,) - La maintenance du parc roulement  Les industries de process à cycle long nécessitant de la part des effectifs internes des interventions peu fréquentes 2. LA CONNAISSANCE DES EXIGENCES REGLEMENTAIRES 2.1. SECURITE La directive SEVESO concerne la maîtrise des dangers liés aux accidents dans les installations industrielles .Elle concerne le secteur de la chimie, lesraffineries, le stockage d’éléments toxiques ou explosifs.  Plan d’Opération Interne en cas d’accident limité à l’intérieur de l’usine : obligationde test au moins au moins 1 fois / 3 ans (mesures d’organisation, méthodes d’intervention, moyens mis en œuvre pour la protection du site, personnels, populations, environnement)  Plan Particulier d’Intervention en cas d’accident étendu hors de l’usine coordonné par le préfet avec l’aide des services de protection civile (schéma d’alerte et organisation des secours, consignes pour les services amenés à intervenir, informations des populations,…) 2.2. ARTICLES REGLEMENTAIRES Exemple d’articles dans la législation marocaine Réglementation du travail (2 juillet 1947) Taux de sous-traitance Stratégie d’externalisation Stratégied’intégration maximum Coût de la maintenance Heures sous-traitées Total des heures maintenance
  • 79.
    Art 8 CHAMPD’APPLICATION « Lorsqu’un contrat de sous- entreprise porte essentiellement sur la main d’œuvre des travaux à accomplir,… L’entrepreneur principal est tenu d’observer toutes les prescriptions du présent dahir (….) ainsi que les prescriptions de la législation du travail, à l’occasion de l’emploi dans ses ateliers, magasins ou chantiers, de salariés du sous-entrepreneur, comme s’il s’agissait de ses propres ouvriers ou employés et sous les mêmes sanctions » Art 330 « Les cahiers de charge ainsi que les marchés de travaux publics ou du bâtiment ou de fournitures …conclus par l’état ,doivent contenir une clause astreignant les entrepreneurs à s’assurer contre l’ensemble des risques prévus auprès d’une société d’assurance » 3. LE CHOIX DE TYPE DE CONTRAT 3.1. LE CONTRAT DE MOYENS C’est un contrat par lequel une entreprise extérieure s’engage à mettre à la disposition d’une entreprise utilisatrice les moyens jugés nécessaires pour réaliser une prestation, sans qu’elle soit pour autant tenue de prouver l’atteinte d’un objectif quantifié. Les moyens concernés peuvent être immatériels (logiciel), matériels (pièces, outillage, fournitures), techniques (méthodes, procédures), humains. 3.2. LE CONTRAT DE RESULTAT C’est un contrat par lequel une extérieure s’engage à réaliser une prestation définie par un (ou des) objectif(s) quantifié(s) et à apporter la preuve de l’atteinte de ces objectifs dans des conditions données . Les conditions peuvent intégrer les contraintes liées à l’exploitation, le délai de l’obtention de l’objectif,… La preuve est apportée à partir de mesures et calculs effectués d’un commun accord selon des procédures prévues dans le contrat. 3.3. LES ENJEUX LIES AUX DEUX TYPES DE CONTRAT  Dans le contrat à obligations de moyens : Il appartient à l’entreprise utilisatrice d’apporter la preuve de la défaillance de l’entreprise extérieure (c’est la non réalisation des tâches ou le non emploi des moyens précisés dans le contrat).   Dans le contrat à obligations de résultats : L’entreprise extérieure est présumée responsable de déficience de ses prestations et ne peut s’en exonérer qu’en apportant la preuve de la déficience de l’entreprise utilisatrice ou de la survenance d’un cas de force majeure. 4. LE CAHIER DES CHARGES (CDC) 4.1. CONTENU D’UN CAHIER DE CHARGE Un cahier de charge englobe : - La définition de la nature des interventions à réaliser (limites matérielles, types et niveaux de maintenance, corps et métiers concernés), - Un dispositif succinct du process pour faciliter la compréhension des conditions de service, - La liste des installations et biens en catégorie et en nombre, - La liste des plans et documents techniques existants, - Les modalités particulières au site et horaires de fonctionnement, - La mission duprestataire et les objectifs à atteindre, - La définition de la répartition des fournitures incombant aux 2 parties (pièces, consommables, outillages, matériels et engins, locaux,….), - Le type de rémunération souhaité, modalités de règlement, pénalités éventuelles. - La réparation des responsabilités en cas d’incidents - Le délai de réponse à l’appel d’offres 5. LA REDACTION DU CONTRAT DE LA MAINTENANCE 5.1. STRUCTURE D’UN CONTRAT DE MAINTENANCE Un contrat de maintenance comporte généralement 5 parties :  Une partie préliminaire : présentation des parties et objet du contrat  Des clauses techniques  Des clauses financières et commerciales  Des clauses d’organisation
  • 80.
     Des clausesjuridiques Norme outil : FD X 60-105 : Maintenance –Relations contractuelles –Guide de rédaction des clauses du contrat 5.2. PARTIE PRELIMINAIRE Elle se compose d’une page de garde, d’objet du contrat et d’une terminologie 5.2.1 La page de garde 5 .2.1.1. Le titre Le titre doit être claire : Contrat de maintenance des installations ….,contrat de prestations de mécanique,….Conforme à l’objet du contrat et à la vocation de l’entreprise extérieure 5 .2.1.2. La désignation des parties Elle doit préciser :  Le nom des contractants  La forme juridique de la société  Le capital social  L’identification au registre du commerce  L’adresse du siège social  Les noms et qualités des représentants des sociétés autorisées à les engager 5 .2.1.3. Les intentions des parties C’est l’affirmation des compétences, des besoins et le rappel des volontés réciproques. Exemple de page de garde : Entre Les soussignés La société X ……………………………………. Forme :………………….. Capital : …………………………………… inscrite au registre de commerce de la ville de ………………… . sous le n° ………………………………………………. dont le siège social est situé à …………………………………………………………………………….représentée par M …………………………………………………. En qualité de ………………………………………………………………. Ci –après dénommé « le client » d’une part, et PARTIEPRELIMINAIRE DESIGNATION DES PARTIES INTENTION DES PARTIES DEFINITION DE L’OBJET DU CONTRAT DOCUMENTS CONTRACTUELS NATURE DES PRESTATIONS ET EXCLUSIONS DEFINITION DES TERMES EMPLOYES TITRE DU CONTRAT La page de garde L’objet du contrat La terminologie
  • 81.
    La société Y……………………………………. Forme :………………….. Capital : …………………………………… inscrite au registre de commerce de la ville de ………………… . sous le n° ………………………………………………. dont le siège social est situé à …………………………………………………………………………….représentée par M …………………………………………………. En qualité de ………………………………………………………………. Ci –après dénommé « le prestataire » d’une part, Les soussignés désignés ensemble par « les parties ». Attendu que X ………… (le client ) souhaite faire exécuter des prestations de maintenance dans les installations de ………situées à …………………….pour une durée de ………………… Attendu que Y ……………… (Le prestataire) déclare disposer des compétences et desmoyens nécessaires pour l’exécution des services attendus par le clientet consignés dans le contrat et ses annexes, Il est convenuet arrêté ce qui suit : ……………………………………………………………………………………………………………………………………………. 5.2.2 L’objet du contrat 5 .2.2.1. Définition de l’objet du contrat Il doit préciser la nature des prestations à effectuer avec une référence à une liste exhaustive (ou à des exclusions) d’équipements concernés .On pourra préciser à ce niveau l’obligation de moyens ou de résultat. Exemple : Le présent contrat a pour objet l’exécution par l’entrepriseextérieure (…..) de la maintenance des installations et matériel de la société (….). Les installations et matériels à entretenir sont définis et listés en annexe technique avec indication de leur situation géographique et de l’état dechacun d’eux. Une visite préalable de l’ensemble des installations et matériels a permis à l’entreprise extérieure (……) de constater leur état. 5 .2.2.2. Documents contractuels C’est l’inventaire de tous les documents faisant partie ou annexés au contrat (inventaire des équipements, réglementation des équipements, réglementation spécifique, normes, plannings d’intervention,…..) Exemple : Outre le présent contrat, les documents suivants ont font partie intégrante : - l’inventaire des équipements - le glossaire - le plan du site - les annexes techniques (plans, normes,….) - la réglementation à usage des entreprises extérieures - le plan d’assurance de la qualité spécifique - l’organigramme du client et ses procédures administratives - les plannings d’intervention - les procédures d’achat et d’accès aux stocks - les procédures de sécurité 5 .2.2. 3. Nature des prestations et exclusions Une prestation est définie par :  Son contenu - nature de l’intervention (dépannage, visite, révision,….) - niveau de maintenance - gamme prédéterminée - qualification et moyens de mesure /outillages nécessaires - volume d’heures prévues  Son résultat - une disponibilité moyenne /an - Un délai d’intervention - Un nombre d’arrêts bloquants - Une capacité de production (débit/h) 5.2.3 La terminologie Il impose définir :  Les types, niveaux et fonctions de la maintenance en utilisant des références normatives : exemple :NF EN 13 306,FD X 60 000 , …  Les termes relatifs aux métiers des parties contractantes 5.3. LES CLAUSES TECHNIQUES 5.3.1. Contraintes liées au site et a la prestation
  • 82.
    C’est : - lalocalisation géographique des biens à maintenir - l’analyse des risques professionnels (sécurité des personnes, des biens, environnement interne ou externe) - le plan de prévention - les procédures et les modes opératoires spécifiques - les limitations d’accès - les contraintes de disponibilité, le planning d’arrêt 5.3.2. La vérification Il faudra spécifier le quoi, qui, comment, quand, où de la vérification et veiller à ce que la vérification soit documentée. En cas de réserve sur la réception, il faudra définir les modalités pour y remédier et les pénalités éventuelles. Exemple : L’entreprise extérieure adressera mensuellement au donneur d’ordre un rapport détaillé au service Méthodes du client sur les actions traitées sur le mois précédent et les actions prévues pour le mois suivant. Pour réaliser les différentes interventions, la personne de l’entrepriseextérieure, chargée de diriger l’intervention, reçoit un document comportant 2 feuillets : -un ordre de service (valant bon decommande), signé par une personne habilitée du donneur d’ordre - un bon de réception (valant acceptation du travail exécuté). 5.3.3. La réception La réception est l’acte par lequel le prestataire déclare accepter l’ouvrage avec ou sans réserves .Elle doit être prononcée contradictoirement. Pour réaliser les différentes prestations, la personne du prestataire, chargée de diriger l’intervention, reçoit un document comportant deux feuillets : - Un ordre de service (valant bon de commande), signé par une personne habilitée du donneur d’ordre - Un bon de réception (valant acceptation du travail demandé) Il faudra spécifier le quoi, qui, comment, quand, oû de la vérification et veiller à ce que la vérification soit documentée. En cas de réserve sur la réception, il faudra définir les modalités pour y remédier et les pénalités éventuelles. L’entreprise extérieure adressera mensuellement au donneur d’ordre un rapport détaillé au service Méthodes du client sur les actions traitées sur le mois précédent et les actions prévues pour le mois suivant. 5.3.4. Les informations techniques L’entreprise extérieure fournira les éléments nécessaires à la mise à jour du fichier technique des équipements .Elle collectera toutes les données qualitatives et quantitatives attachées aux prestations et à leurs résultats, elle fournira tous les indicateurs et tableaux de bord qu’exigent le contrôle des performances et la gestion des pénalités et bonifications prévues. Sont particulièrement exigibles : - les temps écoulés entre l’émission et la réception des BT, - les temps de préparation entre la réception et le déclenchement des interventions, - les temps d’exécution des BT, - les temps d’indisponibilité des équipements pour opérations de maintenance, - les relevées d’anomalies constatées (qualité et sécurité) et des mesures prises pour les redresser. 5.3.5. Les pièces détachées et les consommables Les pièces de rechange défectueuses déposées restent la propriété du donneur d’ordre .Une fois le remplacement effectué, elles sont repérées et rassemblées par l’entreprise extérieure aux points indiqués par le donneur d’ordre. L’entreprise extérieure indiquera dans son compte-rendu d’intervention : - Les circonstances et causes ayant entraîné la détérioration des pièces, - Les solutions à mettre en œuvre ou les modifications à apporter pour éliminer ou retarder la dégradation des pièces. Exemple de répartition des tâches de gestion des pièces de rechange Typologie des pièces et consommables choix Achats Stockage Demande d’achat Réparation Rémunérati on prestataire Rémunérati on fournisseur Lubrifiants DO DO P P NC NC DO Pièces banales ou normalisées P P P P P PF P Pièces spécifiques DO DO P P P PF P
  • 83.
    d’usure Pièces spécifiques de sécurité DODO DO DO P PV DO PR : Partie fixe P : Prestataire NC : Non concerné PF : Partie fixe PV : Partie variable 5.4. LES CLAUSES FINANCIERES ET COMMERCIALES 5.4.1. Montant de la prestation La rémunération se fera généralement sous deux formes distinctes : - Un forfait annuel sous réserve de la conformité des prestations au cahier des charges techniques - Des prestations supplémentaires valorisées conformément au bordereau des prix élémentaires fourni en annexe du contrat 5.4.2. Conditions de facturation et de paiement - La procédure de facturation (présentation des factures, fréquence, date limite, lieu d’envoi, les justificatifs à joindre) - Mode de règlement (instrument de règlement, périodicité, délais, conséquences des retards de paiements) Exemple : Les factures sont adressées au donneur d’ordre en fin de mois par l’entrepriseextérieure à l’attention de …… à l’adresse ….. en trois exemplaires .Le montant de la facture est égal au 12éme du forfait annuel. 5.4.3. Pénalités et Bonifications On définira les pénalités subies par l’entreprise extérieure en cas de non respect des délais d’exécution (pénalités de retard) ou des objectifs de performance convenus (pénalités techniques). Définir éventuellement les bonifications (formules incitatives) à verser au prestataire en cas d’obtention des résultats au-delà des spécifications convenues dans le contrat. Exemple : En cas d’interruption du bon fonctionnement de l’installation imputable à un défaut de maintenance pendant plus de 8 heures consécutives, l’entreprise extérieure supportera une pénalité égale à 1% de la rémunération globale annuelle par jour calendaire d’interruption. 5.4.4. Garantie contractuelle En cas de non respect d’obligations contractuelles, le client, après avoir signifié les manquements du prestataire par lettre recommandée et après un délai de 7 jours pleins, se réserve le droit d’entreprendre ou de terminer les travaux non ou mal exécutés par ses propres moyens, d’en répercuter les frais au prestataire et éventuellement de recourir aux garanties financières suivantes : Garantie bancaire : Le prestataire accepte de présenter la garantie d’une banque de son choix, irrévocable, payable par simple demande du client pour couvrir les obligations contractuelles du prestataire. 5.4.5. Assurance Après identification des risques, on envisagera les assurances (avec fourniture d’attestations) pour la couverture des risques. En général, on distinguera la police responsabilité civile (dommages matériel, corporels, immatériels causés aux tiers), les polices dommage aux biens (police incendie, police bris de machine) et les polices pertes d’exploitation (liée aux polices dommages aux biens). 5.5. LES CLAUSES D’ORGANISATION On désignera les responsables de l’application du contrat pour chacune des parties. On définira les procédures pour la préparation, l’ordonnancement, le lancement, l’exécution, la réception et les comptes –rendus des travaux.
  • 84.
    On définira l’organisationdes réunions (périodicité) de coordination, le contrôle d’avancement et les modalités d’analyse des problèmes rencontrés. Responsabilité Donneur d'ordre E.E Prod Maint Gestion des priorités X Qualité fabrication Prévention sécurité Conduite machines Maintenance 1ér niveau Autorisation de travail Performance E.E X Pièces de rechange Documentation Qualité maintenance Sécurit é maintenance Réception des travaux Coordination Gestion des moyens X Méthodologie d'intervention Réalisation Compte rendu E.E = Entreprise extérieure 5.6. LES CLAUSES JURIDIQUES 5.6.1. Durée de contrat On définira la date d’entée en vigueur du contrat, sa durée et son mode de reconduction (tacite ou express). Exemple : le présent contrat est conclu pour une durée de …ans, du …. / …. /…. au …. / …. /…. . Il n’est pas renouvelable par tacite reconduction. Les parties conviennent, d’uncommun accord, de se rencontrer un mois avant la fin du contrat afin d’envisager une éventuelle poursuite de leur collaboration. 5.6.2. Délai d’exécution des prestations On définira le point de départ, les modalités de calcul (JO, jours fériés,…) les prolongations, le critère identifiant la fin de réalisation. Exemple : L’entreprise extérieure s’engage à respecter les délais mentionnés dans le cahier des charges .En cas de retard, il en tiendra informer le donneur d’ordre et proposera les solutions appropriées afin de réduire les conséquences du non respect des délais. 5.6.3. Obligation de collaboration C’est l’obligation de remettre par les 2 parties, les informations utiles et de faciliter la mise en contact des personnels compétents des 2 parties. Exemple : Les parties conviennent de mettre tout en œuvre pour permettre le bon déroulement du contrat et d’exercer leurs responsabilités respectives de collaboration et de conseil avec la plus grande transparence. 5.6.4. Confidentialité C’est l’obligation de respecter la confidentialité des informations obtenues dans le cadre du contrat. L’entreprise extérieure est tenue de maintenir confidentielles toutes les informations qu’elle pourra recevoir à l’occasion du présent contrat et s’interdit de les utiliser ou de les divulguer sans l’accord écrit du donneur d’ordre. 5.6.5. Propriété intellectuelle C’est le fait d’assurer la protection des droits de propriété intellectuelle (logiciels, dessins, modèles, moules, brevets,….) pouvant être mis en cause lors de l’exécution de contrat. Exemple : L’entrepriseextérieure garantie le maître d’ouvrage contre toute actionrésultant de l’utilisationde to ut matériel, fourniture ou logiciel faisant l’objet du contrat. .
  • 85.
    5.6.6. Responsabilité desparties On reprécisera la responsabilité contractuelle (l’obligation de moyen ou de résultat) ainsi que les responsabilités extracontractuelles (à l’égard des tiers).Chaque partie assure la réparation aux dommages occasionnés selon le droit commun. Exemple : le donneur d’ordre s’interdit d’engager ,ou de faire travailler d’aucune manière ,tout collaborateur présent ou futur du prestataire .La présente clause vaudra,quelle que soit la spécialisation du collaborateur en cause ,et même dans l’hypothèse ou la sollicitation serait à l’initiative dudit collaborateur. La présente clause développera seseffets pendant toute l’exécution du présent contrat, et pendant deux ans à compter de sa terminatioin. 5.6.7. Sous-traitance On définira les conditions dans lesquelles le prestataire peut faire appel à la sous-traitance (acceptation et conditions de paiement) Exemple : L’entrepriseextérieure ne pourra sous-traiter tout ou partie des prestations faisant l’objet du contrat sans acceptation préalable du maître d’ouvrage. L’accord du maître d’œuvre n’entraîne aucune modification de la responsabilité quant à la complète et bonne exécution des prestations .L’entreprise extérieure est en outre tenue de communiquer au maître d’ouvrage à sa demande lescontrats de sous –traitance. 5.6.8. Résiliation On prévoira : - Les conditions de résiliation du contrat avant son échéance (dépassement du délai en cas de suspension, manquement aux obligations contractuelles, - La procédure (mise en demeure, de plein droit, préavis), - Les conséquences indemnisables. 5.6.9. Conditions de cession de contrat On organisera les conditions dans lesquelles le contrat pourra être cédé à des tiers (cas d’une fusion /rachat,…) Exemple : Le présentcontrat est conclu en considération de la personne de l’entrepriseextérieure ,qui ne pourra substituer de tiers dans la réalisation de la tâche ci- dessus définie,à l’exception de sociétés mères dont l’actionnariat dépasse 50¨% . 5.6.10. Loi applicable et règlement de litige On désignera le recours applicable (médiation d’une tierce partie, tribunaux compétents) en cas de litige. Exemple : Les parties s’engagent à tenter de résoudre à l’amiable tout différend susceptible d’intervenir entre elles, à l’occasion de ce contrat, sur la médiation de M …, qui, saisi à l’initiative de la partie la plus diligente, formulera une formule de conciliation, dans le mois suivant sa saisine .Les frais de médiation seront supportés par moitié, par chacune des parties. Tout litige susceptible de s’élever entre les parties, à propos de la formation, de l’exécution, ou de l’interprétation de ce contrat, sera de lacompétence exclusive du tribunal de commerce de (………..) . 6. LES INDICATEURS DE PERFORMANCE 6.1. EXEMPLES D’INDICATEURS : - Part de la sous-traitance dans la dépense maintenance, - Répartition de la dépense sous-traitance par centre de charge et par nature d’intervention, - Disponibilité, - Nombre de dépannage, - Nombre d’incidents à répercussion sur la sécurité /environnement, - Réparation des heures correctif/préventif/amélioratif, - MTTR, MTBF, heures de maintenance par équipement. T E M P S T Correctif Interventions urgentes (a) Interventions correctives (b) Travaux programmés Préventif Préventif systématique (c) Préventif conditionnel (d)
  • 86.
    O T A L (t) Améliorations modifications Interventions de modifications /Améliorations (horsinstallations et travaux neufs) (e) (P)  % dépannage (a /t), travaux programmés (p/t), %préventif (c+d)/t  efficacité du préventif (c+d) / (a) 6.2. EXEMPLES D’INDICATEURS : L’évaluation de la satisfaction de l’entreprise extérieure doit être réalisée conjointement entre : - Le responsable travaux / gestionnaire du contrat interne, - Le responsable achats, - Le responsable sécurité, - Les responsables unités / zones de fabrication, - L’entreprise extérieure représenté par un responsable administratif et le chargé d’affaires. - 7. EXERCICES D’APPLICATION EXERCICE N° 1 1) pourquoi les entreprises ont-il la tendance à sous-traiter ? 2) quel type de travaux sous-traite-on ? 3) qu’est ce que c’est un cahier de charge et quel est son contenu ? 4) quels sont lestypes de contrat EXERCICE N° 2 1) Quelles sont les parties formant un contrat de maintenance ? 2) la connaissance réglementaire est –elle obligatoire ? pourquoi 3) quel est le rôle d’un indicateur de satisfaction auprès du client ? 4) définir le bonus et le malus, pourquoi ces 2 termes ? 8. DEVOIR A LA MAISON Vous êtes recruté en tant que technicien spécialisé en agroalimentaire ou similaire et en vertu de la lecture de ce qui suit, on vous demande d’établir un contrat de maintenance pour votre entreprise auprès d’un prestataire de service de maintenance. AUDIT CHAUFFERIES ET CHAUDIERES Coût zéro 1/ Votre chaudière est elle vérifiée périodiquement ? Mettre en place une procédure de suivi afin de vérifier : - le panneau de contrôle - les fuites éventuelles au niveau des soupapes, des conduites, … - les odeurs éventuelles de gaz - les dégâts et marques de brûlures éventuelles sur la chaudière et les conduits de fumées - les bruits inhabituels des brûleurs et pompes - les obstructions éventuelles des ventilateurs 2/ Cahier répertoriant les opérations de maintenance effectuées 3/ Plan électrique, aérauliques et hydrauliques disponibles dans lachaufferie 4/ Documents principaux des matériels susceptibles de réglages simples prévus par les constructeurs disponibles dans la chaufferie 5/ La chaufferie est elle correctement ventilée ? Un manque de ventilation altère la qualité de la combustion. Elle est également nécessaire pour la sécurité du personnel travaillant dans les locaux.
  • 87.
    6/ Si leclient aplusieurs chaudières, fonctionne t’il avec le strict nécessaire durant les mi-saisons ? Les installations comportant plusieurs chaudières sont dimensionnées pour pallier les plus grandes demandes de chaleur (généralement hiver). Il est donc inutile de laisser fonctionner toutes les chaudières en mi-saison. Il faut isoler du réseau les chaudières arrêtées. Il faut repérer et étiqueter les chaudières et les vannes fermées. 7/ Si le client aplusieurs chaudières, utilise t’il la plus petite enété ? Le rendement d’une chaudière est d’autant meilleur qu’elle fonctionne à forte charge. Pour une chaudière classique, le rendement varie de 83 à 87% à 30% de charge et en pleine charge de 86 à 90 %. Pendant l’été, il faut d’abord utiliser la chaudière de plus petite puissance et ensuite envisager d’utiliser la chaudière de forte puissance si les besoins ne sont pas satisfaits par la petite. 8/ Arrêter les chaudières dédiées au chauffage des locaux en été 9/ Le client a t’il vérifié les chaudières si elles continuent de fonctionner même quand il n’y a pas de demande ? Il est possibleque le thermostat ou que l’horloge soit seulement affecté aux pompes de circulation d’eau chaude et non à la chaudière. Dans ce cas, la chaudière continue de fonctionner alors qu’il n’y a pas de demande. Il faut donc faire en sorte que le thermostat ou l’horloge soit affecté à la fois à la chaudière et aux pompes. Faibles coûts 1/ Le client vérifie t’il régulièrement qu’il n’apas de fuites d’eau ? S’il yen a, les calorifuges peuvent contenir de l’humidité ce qui peut réduire ainsi leur efficacité. Il faut vérifier que le compteur d’eau d’appoint ne tourne pas en permanence, il faut colmater les fuites et vérifier l’état du calorifuge. 2/ Le remplissage en eau de ville du circuit de chauffage se fait-il en eau brute ? Ajouter de l’eau brute entraîne des problèmes de corrosion et d’embouage (diminution de l’efficacité énergétique et de la durée de vie de l’installation). Il faut donc utiliser de l’eau adoucie (installation d’un adoucisseur) 3/ Les chaudières démarrent elles en même temps ? Pour assurer les besoins, il estinutile etpeu économique de faire fonctionner plusieurs chaudières en même temps. Dans ce cas, il est probable que les différentes chaudières fonctionnent à faibles charges. Le rendement d’une chaudière est d’autant meilleur qu’elle fonctionne à plus grande charge. Il faut donc vérifier que les chaudières ne démarrent pas en même temps, régler les thermostats des différentes chaudières graduellement de 60 à 85°C par exemple (cela évitera aux chaudières de se déclencher en même temps), considérer la possibilitéd’installer une régulation en cascade si le problème persiste. 4/ Les chaudières et les brûleurs doivent êtres entretenus chaque année par un professionnel et faire inclure dans la prestation une optimisation de la combustionet donc du rendement des chaudières. Il faut demander au professionnel de comparer le rendement maximal des chaudières avec le rendement constructeur. 5/ Les performances des chaudières doivent être contrôlées. Les dépôts de combustion causent une augmentation de la température des fumées et donc une perte plus importante de chaleur par les fumées. Les dépôts côté eau peuvent également diminuer les échanges thermiques. Il faut installer un thermomètre pour vérifier la température de sortie des fumées (disposition obligatoire pour les chaudières dont la puissance est supérieure à 400 kW) 6/ Il faut s’assurer que la chaudière est correctement dimensionnée pour les besoins notamment si ces besoins ont évolué depuis l’installationde la chaudière (une chaudière surdimensionnée a un rendement plus mauvais) 7/ Pour éviter les appels d’air lors de l’arrêt de la chaudière, le coupe tirage peut engendrer des gains de l’ordre de 2%. 8/ Le débit d’eau chaude sanitaire est il stable ? Si ce n’estpas le cas, cela veut dire qu’il y a un problème sur l’organe de régulation qui commande le débit d’eau chaude sanitaire. Il y a risque d’une surconsommation d’eau chaude. Pour une régulation souple et économe, il est préférable d’utiliser un variateur électronique de vitesse sur l’organe de régulation.
  • 88.
    Chapitre 7 GESTION DELA MAINTENANCE ASSISTEE PAR ORDINATEUR 1. PRINCIPES GENERAUX 1.1. DEFINITION Dans un environnement économique concurrentiel et incertain, la compétitivité est unobjectif vital pour l’entreprise de demain .Elle nécessite des réponses concrètes telles que la plus grande disponibilité de l’appareil productif et la bonne maîtrise de la qualité des produits et /ou services . Chargée de cette mission, la Maintenance est aujourd’hui reconnue comme un pôle stratégique et une fonction clé permettant aux entreprises de progresser vers plus d’efficacité, de rentabilité et de productivité. En outre, la Gestion de la Maintenance Assistée par Ordinateur « GMAO», apparue il ya plus d’une vingtaine d’années, constitue aussi un élément positif pour atteindre l’objectif mentionné plus haut .Elle participe à une meilleure organisation de l’entreprise, à un gain de temps et d’efficacité considérable, à l’allégement des tâches par l’historisation des données, la planification de la Maintenance, etc. D’autre part, la GMAO s’ouvre aux différents systèmes informatiques de l’entreprise et en clair, elle dépasse le seul département ou service Maintenance et englobe désormais tous les acteurs qui concourent à la production et à la qualité, si ce n’estla direction générale. 1.2. PROGICIEL DE GMAO 1.2.1. Définition « Unsystème informatique de management de la maintenance est un progiciel organisé autour d’une base de données permettant de programmer et de suivre sous les trois aspects technique, budgétaire et organisationnel, toutes les activités d’un service de maintenance et les objets de cette activité (services, lignes ateliers, machines, équipements, sous-ensembles, pièces, etc.) à partir de terminaux installés dans les bureaux techniques, ateliers, magasins etbureaux d’approvisionnement ». La démarche de l’entreprise dans son choix de progiciel débouche sur deux solutions envisageables : L’individualisme ou la standardisation proposées par des logiciels modulaires, de type SIRLOG par exemple. - Dans le premier cas, il appartient aux hommes de maintenance de définir clairement leurs besoins, afin que leur dialogue avec les informations débouche sur un cahier de charges spécifiques. Les raffineries de pétrole, de chimie, d’agroalimentaire …. ont ainsi mis au point des logiciels très adaptés à leurs besoins. - La seconde voie semble mieux adaptée aux entreprises de taille moyenne .En effet, un progiciel tel que SIRLOG, OPTIMAINT…. Présentent un caractère :  Modulaire (l’entreprise adopte les seuls modules correspondant à leur besoin),  Ouvert (adaptations au terrain possible),  Interfaçable (en particulier, avec la gestion de production). Remarque : Une évolution prévisible est l’interpénétration grandissante des programmes de maintenance et des programmes de production sur des process fortement automatisés.
  • 89.
    GESTION DES NOMENCLATURES GESTION DESSTOCKS Locale centralisé REAPROVISIONNEMENT AUTOMATIQ UE GESTION DES REPARATIONS A L’EXTERIEUR GESTION DES COMMANDES ET DES FOURNISSEURS CONTROLE DE LA FACTURATION SUIVI DES SECTEURS ET LIGNES DE PRODUCTION SUIVI DES SOU S- ENSEMBLES MAINTENANCE PREVENTIVE, SYSTEMATIQ UE ET CONDITIONNELLE PLANNING MAINTENANCE Préparation - Ordonnancement- Lancement - Exécution GESTION BUDG ETAIRE VENTILEE ET CONSOLIDEE GESTION DES DOSSIER S D’AMELIORATION ET TRAVAUX NEUFS GESTION TECHNIQ UE DU PERSONNEL Equipes / Agents STATISTIQ UES TABLEAU DE BORD RATIOS ORDINATEUR Magasin Bureau technique Bureau approvisionnement Chef de service Maintenance Imprimante USINE X Magasin Bureau Technique SUIVI DES MACHINES Caractéristiques – Incidents Unités d’usage- Mesures Exemple : SIRLOG GM
  • 90.
    1.2.2. Les niveauxde l’informatisation 1.3. LES DIFFERENTS DOMAINES A GERER 1.3.1. Gestion des activités de maintenance Nous allons développer le modèle informatisé de gestion des interventions, à partir du principe d’organisation suivant : toute intervention, à partir du principe d’organisation suivant : toute intervention ou toute activité d’unagent de maintenance fait l’objet d’un OT (DT – BT). Si la procédure impose la valorisation de chaque OT (coût pièces et main d’œuvre), lesanalyses de gestion vont permettre : - la répartition et l’évolution des activités en temps (heures), - la répartition et l’évolution des dépenses. Dans ce cas, la gestion des activités et descoûts directs sera simultanée. La richesse d’exploitation d’untel module est grande, car tous leséléments figurant sur les OT sont susceptibles de « mise en famille ». L’OT pourra être affecté : - à un atelier, à un équipement, à un type de machine… - à un type de maintenance, à un type d’activité…. - à un corps de métier, à une qualification d’agent,à une équipe…. Mini – Ordinateur Central du service Micro – Ordinateur de secteur Terminal Capteur Niveau 3 Niveau 2 Niveau 1 Niveau 0 Gestion de service Acquisition des données sectorielles Traitement d’algorithmes simples (magasin,ordonnancement,atelier Saisie ,édition, dialogue Contrôle de bon fonctionnement Modification travaux neufs (B. Méthodes) Actions correctives demandées (production) Liste des opérations préventives - systématiques Emission de demande de travail (DT) Banque de données des activités de maintenance DT Préparation Magasin Approvisionnement Planification Lancement Exécution ANALYSES DE GESTION
  • 91.
    1.3.2. Gestion desmatériels Informations à saisir pour assurer le suivi des machines : - classement « suivant l’état » de la machine, - relevé des « unités d’usage» (compteur individuel), - mesure de la dérive des performances, - résultats des rondes de surveillance, - historique des défaillances, - fiches d’analyse de défaillances, - liste des rechanges consommés, - consommation des lubrifiants, - liste des rechanges consommés, - consommation de lubrifiants, d’énergie, - mesures de nuisances industrielles. Pour une machine, l’élément d’information de base est l’historique. 1.3.3. Gestion des stocks et des approvisionnements Fichiers de départs - Fichiers des nomenclatures, contenant l’ensemble des consommables contenus dans les dossiers- machines avec la référence constructrice et avec les interchangeabilités trouvées. - Fichiers de fournisseur s (coordonnées, conditions financières, catalogue). - Fichier des réapprovisionnements automatiques - Fichiers des commandes volontaires avec saisie des factures dés réception, avec délais et frais d’approvisionnement. - Saisie des mouvements : BSM : Bon de Sortie Magasin, BRM : Bon de Réception Magasin (réception d’une commande avec contrôle des défauts). Traitements principaux - Gestion des stocks à réapprovisionner, à partir des paramètres : - stock minimal, - point de commande, - quantité à commander. - Le gestionnaire peut disposer : - de la liste despièces en stock, - éventuellement, de leur valeur actualisé - des détails de consommation par machine et par secteur. 1.3.4. Gestion économique Très importante, dans le cadre d’un budget global impliquant le suivi des différents postes budgétaires. La ventilation des coûts sera le plus souvent mensuelle. -Informations de départ - Coût horaire indirect d’arrêt /machine (estimation de la production). - Coûts horaires de main d’œuvre (par spécialisation et par niveau de qualification). - Coûts horaires des frais généraux (estimation de la comptabilité). - Les BT remplis avec les temps passés certifiés exacts. - Les BSM valorisés. -L’archivage des coûts passés les années antérieures. - Les factures (travaux sous-traités, contrats de maintenance, outillages…..). -Ventilation des coûts par machine Une codification permet l’imputation de ces coûts : - à un type d’incident, suivant son origine, - à un sous ensemble fonctionnel.
  • 92.
    -Ventilation des coûtspar type d’action de maintenance - Coûts actions correctives. - Coûts actions préventives systématiques. - Coûts actions préventives conditionnelles. - Coûts des rondes, visites, actions de surveillance. - Coûts de lalubrification. - Coûts de l’entretien général. - Coûts dossiers d’amélioration. - Coûts travaux neufs. - Coûts travaux sous-traités. - Coûts rénovation -matériel. - Coûts travaux sécurité. - Coûts prestations extérieures. La comparaison et la part relative de chacun de ces coûts est un élément important du tableau de bord . -Ventilation des coûts par service, par atelier…. Elle se fera suivant la spécificité de chaque entreprise. 1.3.5. Gestion des investissements -Informations de départ - Frais d’achat et d’installation. - Durabilité estimée. - Type de financement, Le traitement consiste à juger de la rentabilité, de l’amortissement et des conditions économiques de financement. -Indicateurs principaux - Les coûts moyens de maintenance - Les coûts moyens annuels de maintenance. - Les graphes de LCC « cycle de vie » etles bilansd’exploitation. 1.3.6. Gestion des moyens humains -Informations de départ - Structure de l’effectif.Répartition - par services, - par qualification et spécialisation, - par ancienneté moyenne. - La formation : relevé des heures internes, externes. - Les conditions de travail : relevés des accidents, des maladies professionnelles ou non, des absences …. - Relevé des salaires et des promotions passées. -Indicateurs principaux - Taux d’affectation (exemple : nombre de salariés maintenance /nombre de salariés entreprise). - Taux d’encadrement. - Taux de fréquence et de gravité des accidents du travail. - Taux d’absentéisme. - Taux d’ancienneté…. L’exploitation de ces indicateurs, par comparaison avec des références extérieures (entreprises semblables, enquêtes de revues professionnelles), peut permettre une correction de la politique sociale. Exemples : plan de formation, d’embauche, de réaffectation interne…. 1.3.7. Remarques Ces listes d’indicateurs possibles formées à partir des informations recueillies n’ont pas l’ambition d’être exhaustives .Mais la démarche est valable quelle que soit l’activité du service : - Quels indicateurs sont utiles pour décider, améliorer, orienter,…. ? - Quelles données permettant de former ces indicateurs ? - Comment, ou, sur quoi puis –je saisir ces données ?
  • 93.
    1.3.8. Panorama dela GMAO Progiciel Editeur Distributeur Access D JMA Réalisation ERM Automatismes Alliance Entreprise E- CRM Astea European Headquarters Six-Axe Consultants ALTAÏR DSD System DSD System Amiparc Amitec Ingénierie Amitec Ingénierie AQ Manager - GMAO Bureau Conseils et Services Bureau Conseils et Services As Tech Office As Tech Solutions As Tech Solutions Avantis Pro Wonderware EMEA Opérations Factory Systems Axel Industrie Dimo Gestion Dimo Gestion Epsilon Avitech Avitech Maintenance IFS France IFS France Mainta Apave Alsacienne Apave Sud-Est Omère Melsens Melsens Optimaint Apisoft International Apisoft International Oracle E- Business Oracle France Oracle France Qualiac Qualiac Qualiac Rimses Real Software Cipros International Rio Tais Ingénierie Tais Ingénierie Sam Site Alpha Site Alpha Visual Maint Euro View Services Atys Concept GESTION DES NOMENCLAT URES GESTION DES STOCKS Locale centralisé REAPROVISIO NNEMENT AUTOMATIQ UE GESTION DES COMMANDES ET DES FOURNISSEU RS GESTION DES REPARATION S A L’EXTERIEUR CONTROLE DE LA FACTURATIO N SUIVI DES SECTEURS ET LIGNES DE PRODUCTION GESTION BUDGETAIRE VENTILEE ET CONSOLIDEE PLANNING MAINTENANC E Préparation - Ordonnanceme nt-Lancement - Exécution MAINTENANC E PREVENTIVE, SYSTEMATIQ UE ET CONDITIONN ELLE SUIVI DES SOUS- ENSEMBLES Mini – ordinateur central du service