Intégrer la présentation
Télécharger en tant que PDF, PPTX





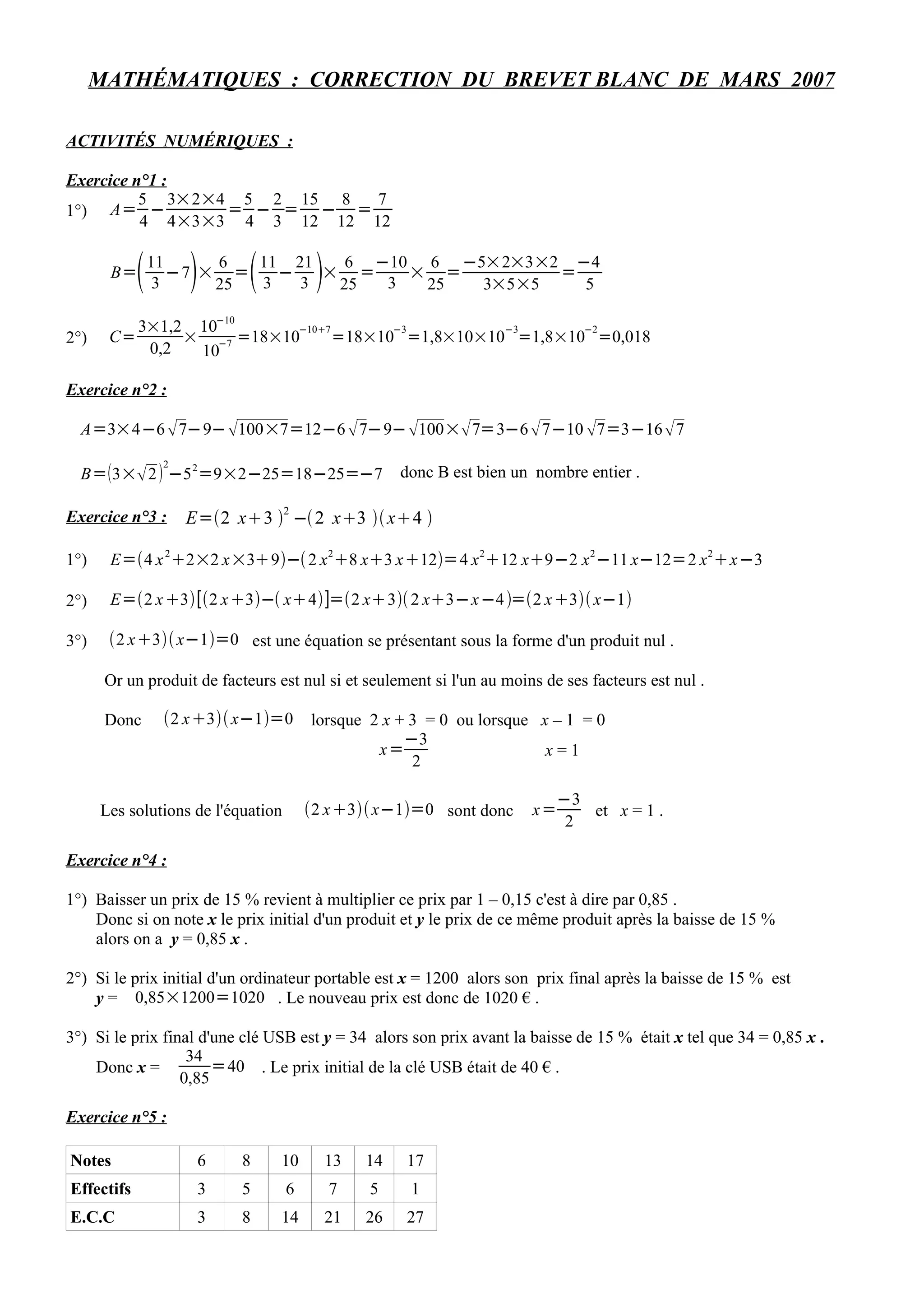
Le document porte sur la correction d'un brevet blanc de mathématiques, incluant divers exercices sur les activités numériques et géométriques. Il traite de la résolution d'équations, de l'utilisation de proportions, ainsi que des moyennes, médianes et étendues de séries de notes. De plus, il compare différentes options de location de DVD, en analysant les coûts associés et les conditions avantageuses pour l'utilisateur.




