Intégrer la présentation
Téléchargé 14 fois























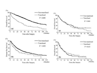
L'étude présente les conséquences des hémorragies lors des hépatectomies, mettant en évidence la médiane de perte sanguine et les scores de morbidité. Les résultats montrent que les pertes sanguines peropératoires affectent significativement les suites opératoires et que les transfusions ont des implications oncologiques. Les facteurs de risque identifiés incluent le BMI, les gestes associés, l'ischémie du foie restant et la perte sanguine, chacun ayant des implications sur la morbidité sévère.





















