Qualiticiens 3ème
Milinaire Projet d’application de la qualité
ENCGT LAKHAL Kamal LAGOUIT Ayoub BENDAHMANE Bahae JABRANE Fatima
Procédure de formation
Date 01/01/2002 PR. ORG.02
Nombre de page :1/ Edition 01
Rédacteur Vérificateur Approbateur
Date
Titre
01/01/2003
R.A.Q
02/01/2003
le DRHO
03/01/2003
D.G Robert le meilleur
Visa
Procédure de formation
Date d’application
10/01/03
Qualiticiens 3ème
Milinaire Projet d’application de la qualité
ENCGT LAKHAL Kamal LAGOUIT Ayoub BENDAHMANE Bahae JABRANE Fatima
Procédure de formation
Date 01/01/2002 PR. ORG.01
Page 2/ Edition 01
Sommaire
1.OBJET
2. DOMAINE D'APPLICATION
3. REFFERENCES
4. DEFINITIONS
5. LOGIGRAMME
5.1 Logigramme d'élaboration du PFA ( besoins planifiés)
5.2 Logigramme de réalisation des actions de formation non planifiées
6. Procédure
6.1 Identification et collecte des besoins
6.2 Exploitation des FIBF
6.3 Choix des formateurs
6.4 Elaboration du PFA
6.5 Validation du PFA
6.6 Mise en application du PFA
6.7 Enregistrement
7. IMPIMES
8. DIFFUSION
9. HISTORIQUE DES VERSIONS
Annexes : 1. Modèle fiche d'identification des besoins en formation
2. Modèle fiche historique de formation
Qualiticiens 3ème
Milinaire Projet d’application de la qualité
ENCGT LAKHAL Kamal LAGOUIT Ayoub BENDAHMANE Bahae JABRANE Fatima
Procédure de formation
Date 01/01/2002 PR. ORG.01
Page 3/3 Edition 01
1.OBJET :
L'objet de la présente procédure est de définir les règles d'élaboration et de suivi
de réalisation du plan de formation du personnel de l'hôtel des meilleurs .
2.DOMAINE D’APPLICATION
Cette procédure concerne tous les services de l'hôtel des meilleurs et tous les
types de formation (interne et externe) . La réalisation de la formation est prévue
de janvier à décembre chaque année.
3.REFERENCES
Norme ISO 9002 (Edition 1994)
4.DEFINITIONS :
PFA : Plan de formation annuel
FIBF : fiche d'identification des besoins en formation
DRHO : direction ressources humaines et de l'organisation
SAFP : service administration et de formation du personnel
5. LOGIGRAMME :
Rédacteur Vérificateur Approbateur
Date
Titre
01/01/200
R.A.Q
02/01/2003
le DRHO
03/01/2003
D.G Robert le meilleur
Visa
Qualiticiens 3ème
Milinaire Projet d’application de la qualité
ENCGT LAKHAL Kamal LAGOUIT Ayoub BENDAHMANE Bahae JABRANE Fatima
Procédure de formation
Date 01/01/2002 PR. ORG.01
Page 3/3 Edition 01
5.1. Logigramme d'élaboration du PFA (besoins planifiés annuellement)
Mai DRHO
Juin
SEPT
OCT
NOV
Fin NOV
Toute
L'année
Toute
L'année
Collecte des besoins
Recensement des thèmes, harmonisation des
contenus, synchronisation des dates
Etablissement du PFA/Budget
correspondant
Validation du PFA
Dépôt du PFA auprès de l'OFPPT
Mise en application du PFA
Fin
Responsabilités Documents
DRHO FIBF
SAFP
SAFP FIBF
SAFP
DRHO SAFP
SAPF PFA
Direction générale PFA
SAFP
SAFP
SAFP
Note de la direction (DRHO)
Envoi des FIBF
Choix des formateurs internes et externes
Suivi de la réalisation du PFA
Enregistrement, compte rendu
Début
Qualiticiens 3ème
Milinaire Projet d’application de la qualité
ENCGT LAKHAL Kamal LAGOUIT Ayoub BENDAHMANE Bahae JABRANE Fatima
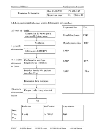
5.1. Logigramme réalisation des actions de formation non planifiées :
Au cours de l'année
4 js avant le
déroulement de l'action
48 Js avant le
déroulement
de l'action
15js après le
déroulement de
l'action
Rédacteur Vérificateur Approbateur
Date
Titre R.A.Q Le DRHO D.G
Visa
Procédure de formation
Date 01/01/2002 PR. ORG.02
Nombre de page 1/4 Edition 01
Fin
Experession du besoin par le
responsable hièrarchique
Validation
Information de l'OFPPT
Confirmation auprès de
l'organisme de formation
Insertion dans le PFA (actions
non planifiées)
Réalisation de la formation
Compte rendu , enregistrement
Responsabilités Doc
Resp.hiérarchique FIBF
Direction concernée FIBF
SAFP
SAFP PFA
SAPF PFA
Qualiticiens 3ème
Milinaire Projet d’application de la qualité
ENCGT LAKHAL Kamal LAGOUIT Ayoub BENDAHMANE Bahae JABRANE Fatima
Procédure de formation
Date 01/01/2002 PR. ORG.02
Page :2/4 Edition 01
6. PROCEDURE :
Les axes principaux de la formation sont :
- Formation liée à la qualité
- Formation technique (par domaine)
- Formation générale
6.1 Identification et collecte des besoins :
La DRHO (SAFP) adresse au cours du mois de mai de chaque année, aux
différents services de la société, les fiches d'identification des besoins en
formation accompagnées des états individuels de l'historique des actions déjà
effectuées par leurs agents. Celles ci (FIBF) sont à retourner à la DRHO dûment
renseignées au plus tard durant la dernière semaine du mois de juin .
6.2 Exploitation des fiches d’identification des besoins en formation
(FIBF) :
A la reception des FIBF, le SAFP procède aux opérations suivantes :
- Recensement des thèmes identiques demandés par les différents
services ;
- Harmonisation de leurs contenus et synchronisation de leurs dates en
collaboration avec les sevices concernés ;
- Composition de groupes homogènes en collaboration avec les sevices
concernés ;
- Recensement des actions ayant un lien direct avec la qualité et
vérification des profils des agents proposés par la hièrarchie ;
- Vérification des agents ayant déjà bénéficie de la formation pour
laquelle ils sont proposés ;
- Insertuin dans le projet du plan de formation (PFA)
Qualiticiens 3ème
Milinaire Projet d’application de la qualité
ENCGT LAKHAL Kamal LAGOUIT Ayoub BENDAHMANE Bahae JABRANE Fatima
6.3 Choix des formateurs :
a) Formateirs internes
Seléction des formateurs internes suivant les compétences existantes au sien de
la société .
b) Formateurs externes :
Constitution d’un fichier de références sur les organismes de formation par
domaine d’intervention.
Les critères de sélection se basent sur les points suivants :
* Domaine d’activité, références et expériences dans le domaine du formateur
C-V de l’intervenant
Rapport qualité prix de la formation
Performances antérieures des actions dispensées à l’auberge des meilleurs
Evaluation des formateurs par les participants aux séminaires précédents
6.4 Elaboration du PFA :
Sur la base des données citées ci-dessus, le SAFP établit le plan de formation
annuel en précisant :
- les thèmes ;
- les dates et les durées ;
- le nombre de participants ;
- les services concernés ;
- les organismes de formation ;
- les coûts estimatifs.
Toutes les modifications éventuelles demandées par les services sont apportées
au PFA avant sa validation .
Qualiticiens 3ème
Milinaire Projet d’application de la qualité
ENCGT LAKHAL Kamal LAGOUIT Ayoub BENDAHMANE Bahae JABRANE Fatima
6.5 Validation du FPF :
Le FPF est examiné par une commission composée de :
- directeur des ressources humaines et de l’organisation
- chef du SAFP
- directeur et chefs des départements concernés
Il est soumis à la direction générale pour validation
6.6 Mise en application :
a) Besoins planifiés
Après validation, la DRHO diffuse le PFA aux différents services .
Deux semaines avant le début de chaque formation, le SAFP prend l’attache de
l’organisme de formation choisi. Il confirme les dates du déroulement de
l’action et avise par note les services concernés . Ces derniers prennent leurs
dispositions pour la disponibilt é des agents.
b) Besoins non planifiés
Le service demandeur exprime ses besoins sur les FIBF, les soumet avec
les documents de base pour approbation et les transmet à la DRHO.
Les actions non planifiées sont portées dans la rubruque concernée du PFA.
Le SAFP prend les dispositions nécéssaires pour la réalisation de la formation à
savoir :
- Information de l’OFPPT ;
- Inscription des agents ;
- Etablissement des ordres de missions ;
- Paiement des frais de la formattion ;
- La mise en paiement des frais de déplacement .
En cas d’impératif nécessitant le report ou l’annulation de la formation, le
service concerné envoie une note motivée à la DRHO, au plus tard 48h
avant le déroulement de l’action.
6.7 Enregistremant :
Qualiticiens 3ème
Milinaire Projet d’application de la qualité
ENCGT LAKHAL Kamal LAGOUIT Ayoub BENDAHMANE Bahae JABRANE Fatima
Il est établit un dossier par action de formation qui regroupe l’ensemble
des documents élaborés à cette occasion, notamment : copie des fax
échangés avec l’organisme de formation et l’OFPPT, la liste des
participants, les fiches d’appréciation, la fiche de présence, le co^t de
l’action,…
Chaque dossier administratif de l’agent contient un sous dossier formation
où sont classés tous les enregitrements relatifs à la formation . Ces
enregistrements peuvent être des :
- Attestations de stage ;
- Fiches de présence ;
- Fiches d’appréciation faites par le formateur ;
- Fiches d’évaluation faites par les participants.
Tous les participants sont tenus d’adresser au SAFP un compte rendu dans un
délai de 15 jours après le déroulement de l’action .( planifiée ou non )
7. IMPRIMES :
ER.ORG.02.01 Fiche d’identification des besoins en formation
ER.ORG.02.02 Fiche de l’historique de formation
Rédacteur Vérificateur Approbateur
Date 01/01/2003 02/01/2003 03/01/2003
Titre R.A.Q Le DRHO D.G Robert le meilleur
Visa
Qualiticiens 3ème
Milinaire Projet d’application de la qualité
ENCGT LAKHAL Kamal LAGOUIT Ayoub BENDAHMANE Bahae JABRANE Fatima
Rédacteur Vérificateur Approbateur
Date 01/01/2003 02/01/2003 03/01/2003
Titre R.A.Q Le portier et porteurs D.G Robert le meilleur
Visa
Qualiticiens 3ème
Milinaire Projet d’application de la qualité
ENCGT LAKHAL Kamal LAGOUIT Ayoub BENDAHMANE Bahae JABRANE Fatima
Procédure réservation
Date 01/01/2002 PR. ORG.02
Page :2/4 Edition 01
OBJET
L’objectif de la présente procédure est de gérer et organiser les reservations.
DOMAINE D’APPLICATION
cette procédure s’applique à tous les clients de l’hôtel des meilleurs.
PROCEDURE
le client téléphone une semaine avant pour réserver en déterminant :
 Le nombre de chambre ou suites
 Le nombre de lits par la chambre
 Le nombre de personnes
 La date de début de séjour et la date de départ estimée
 La communication de ces coordonnées à la responsable de
réservation.
La responsable de réservation téléphone au client 2 jours avant pour
confirmer la réservation .
A la venue du client, la réceptionniste le salue et le souhaite la bien venue
et lui présente la réservation faite pour lui après avoir examiner ces pièces
justificatives.
Rédacteur Vérificateur Approbateur
Date
Titre R.A.Q La réceptionniste D.G
Visa
Qualiticiens 3ème
Milinaire Projet d’application de la qualité
ENCGT LAKHAL Kamal LAGOUIT Ayoub BENDAHMANE Bahae JABRANE Fatima
Procédure réservation
Date 01/01/2002 PR. ORG.02
page : 3/4 Edition 01
- La réceptionniste lui demande de signer la fiche de réservation comportant :
 Le prix de chambre par nuit
 Les tarifs pour la restauration
 La date de début et de fin de séjour
- La réceptionniste lui informe que s’il envisage de prolonger son séjour, il doit
le communiquer une journée à l’avance à l’administration de l’hôtel.
- une fois l’accord est établit, la réceptionniste donne les clés au client et lui
souhaite un bon séjour et lui assure sa disponibilité pour toute autre information
Rédacteur Vérificateur Approbateur
Date
Titre R.A.Q Responsable Réservation Directeur générale
Visa
Qualiticiens 3ème
Milinaire Projet d’application de la qualité
ENCGT LAKHAL Kamal LAGOUIT Ayoub BENDAHMANE Bahae JABRANE Fatima
Procédure réservation
Date PR. ORG.02
Page 4/4 Edition 01
Rédacteur Vérificateur Approbateur
Date
Titre R.A.Q Responsable Réservation Directeur générale
Visa
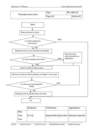
Début
Réservation par le client
Le client confirme la
reservation ?
Préparation de la ou les chambres demandées
Le client maintient son choix?
Signer la ficher le Réservation
Informe le client qu’il doit confirmer son départ 1 jour avant
Le client est d’accord quitter
l’hôtel
Fin
Préparation de la chambre dans une heure
Discussion des
options ajoutées ou
supprimées
non
oui
non
oui
oui
non

Procédure de formation

  • 1.
    Qualiticiens 3ème Milinaire Projetd’application de la qualité ENCGT LAKHAL Kamal LAGOUIT Ayoub BENDAHMANE Bahae JABRANE Fatima Procédure de formation Date 01/01/2002 PR. ORG.02 Nombre de page :1/ Edition 01 Rédacteur Vérificateur Approbateur Date Titre 01/01/2003 R.A.Q 02/01/2003 le DRHO 03/01/2003 D.G Robert le meilleur Visa Procédure de formation Date d’application 10/01/03
  • 2.
    Qualiticiens 3ème Milinaire Projetd’application de la qualité ENCGT LAKHAL Kamal LAGOUIT Ayoub BENDAHMANE Bahae JABRANE Fatima Procédure de formation Date 01/01/2002 PR. ORG.01 Page 2/ Edition 01 Sommaire 1.OBJET 2. DOMAINE D'APPLICATION 3. REFFERENCES 4. DEFINITIONS 5. LOGIGRAMME 5.1 Logigramme d'élaboration du PFA ( besoins planifiés) 5.2 Logigramme de réalisation des actions de formation non planifiées 6. Procédure 6.1 Identification et collecte des besoins 6.2 Exploitation des FIBF 6.3 Choix des formateurs 6.4 Elaboration du PFA 6.5 Validation du PFA 6.6 Mise en application du PFA 6.7 Enregistrement 7. IMPIMES 8. DIFFUSION 9. HISTORIQUE DES VERSIONS Annexes : 1. Modèle fiche d'identification des besoins en formation 2. Modèle fiche historique de formation
  • 3.
    Qualiticiens 3ème Milinaire Projetd’application de la qualité ENCGT LAKHAL Kamal LAGOUIT Ayoub BENDAHMANE Bahae JABRANE Fatima Procédure de formation Date 01/01/2002 PR. ORG.01 Page 3/3 Edition 01 1.OBJET : L'objet de la présente procédure est de définir les règles d'élaboration et de suivi de réalisation du plan de formation du personnel de l'hôtel des meilleurs . 2.DOMAINE D’APPLICATION Cette procédure concerne tous les services de l'hôtel des meilleurs et tous les types de formation (interne et externe) . La réalisation de la formation est prévue de janvier à décembre chaque année. 3.REFERENCES Norme ISO 9002 (Edition 1994) 4.DEFINITIONS : PFA : Plan de formation annuel FIBF : fiche d'identification des besoins en formation DRHO : direction ressources humaines et de l'organisation SAFP : service administration et de formation du personnel 5. LOGIGRAMME : Rédacteur Vérificateur Approbateur Date Titre 01/01/200 R.A.Q 02/01/2003 le DRHO 03/01/2003 D.G Robert le meilleur Visa
  • 4.
    Qualiticiens 3ème Milinaire Projetd’application de la qualité ENCGT LAKHAL Kamal LAGOUIT Ayoub BENDAHMANE Bahae JABRANE Fatima Procédure de formation Date 01/01/2002 PR. ORG.01 Page 3/3 Edition 01 5.1. Logigramme d'élaboration du PFA (besoins planifiés annuellement) Mai DRHO Juin SEPT OCT NOV Fin NOV Toute L'année Toute L'année Collecte des besoins Recensement des thèmes, harmonisation des contenus, synchronisation des dates Etablissement du PFA/Budget correspondant Validation du PFA Dépôt du PFA auprès de l'OFPPT Mise en application du PFA Fin Responsabilités Documents DRHO FIBF SAFP SAFP FIBF SAFP DRHO SAFP SAPF PFA Direction générale PFA SAFP SAFP SAFP Note de la direction (DRHO) Envoi des FIBF Choix des formateurs internes et externes Suivi de la réalisation du PFA Enregistrement, compte rendu Début
  • 5.
    Qualiticiens 3ème Milinaire Projetd’application de la qualité ENCGT LAKHAL Kamal LAGOUIT Ayoub BENDAHMANE Bahae JABRANE Fatima 5.1. Logigramme réalisation des actions de formation non planifiées : Au cours de l'année 4 js avant le déroulement de l'action 48 Js avant le déroulement de l'action 15js après le déroulement de l'action Rédacteur Vérificateur Approbateur Date Titre R.A.Q Le DRHO D.G Visa Procédure de formation Date 01/01/2002 PR. ORG.02 Nombre de page 1/4 Edition 01 Fin Experession du besoin par le responsable hièrarchique Validation Information de l'OFPPT Confirmation auprès de l'organisme de formation Insertion dans le PFA (actions non planifiées) Réalisation de la formation Compte rendu , enregistrement Responsabilités Doc Resp.hiérarchique FIBF Direction concernée FIBF SAFP SAFP PFA SAPF PFA
  • 6.
    Qualiticiens 3ème Milinaire Projetd’application de la qualité ENCGT LAKHAL Kamal LAGOUIT Ayoub BENDAHMANE Bahae JABRANE Fatima Procédure de formation Date 01/01/2002 PR. ORG.02 Page :2/4 Edition 01 6. PROCEDURE : Les axes principaux de la formation sont : - Formation liée à la qualité - Formation technique (par domaine) - Formation générale 6.1 Identification et collecte des besoins : La DRHO (SAFP) adresse au cours du mois de mai de chaque année, aux différents services de la société, les fiches d'identification des besoins en formation accompagnées des états individuels de l'historique des actions déjà effectuées par leurs agents. Celles ci (FIBF) sont à retourner à la DRHO dûment renseignées au plus tard durant la dernière semaine du mois de juin . 6.2 Exploitation des fiches d’identification des besoins en formation (FIBF) : A la reception des FIBF, le SAFP procède aux opérations suivantes : - Recensement des thèmes identiques demandés par les différents services ; - Harmonisation de leurs contenus et synchronisation de leurs dates en collaboration avec les sevices concernés ; - Composition de groupes homogènes en collaboration avec les sevices concernés ; - Recensement des actions ayant un lien direct avec la qualité et vérification des profils des agents proposés par la hièrarchie ; - Vérification des agents ayant déjà bénéficie de la formation pour laquelle ils sont proposés ; - Insertuin dans le projet du plan de formation (PFA)
  • 7.
    Qualiticiens 3ème Milinaire Projetd’application de la qualité ENCGT LAKHAL Kamal LAGOUIT Ayoub BENDAHMANE Bahae JABRANE Fatima 6.3 Choix des formateurs : a) Formateirs internes Seléction des formateurs internes suivant les compétences existantes au sien de la société . b) Formateurs externes : Constitution d’un fichier de références sur les organismes de formation par domaine d’intervention. Les critères de sélection se basent sur les points suivants : * Domaine d’activité, références et expériences dans le domaine du formateur C-V de l’intervenant Rapport qualité prix de la formation Performances antérieures des actions dispensées à l’auberge des meilleurs Evaluation des formateurs par les participants aux séminaires précédents 6.4 Elaboration du PFA : Sur la base des données citées ci-dessus, le SAFP établit le plan de formation annuel en précisant : - les thèmes ; - les dates et les durées ; - le nombre de participants ; - les services concernés ; - les organismes de formation ; - les coûts estimatifs. Toutes les modifications éventuelles demandées par les services sont apportées au PFA avant sa validation .
  • 8.
    Qualiticiens 3ème Milinaire Projetd’application de la qualité ENCGT LAKHAL Kamal LAGOUIT Ayoub BENDAHMANE Bahae JABRANE Fatima 6.5 Validation du FPF : Le FPF est examiné par une commission composée de : - directeur des ressources humaines et de l’organisation - chef du SAFP - directeur et chefs des départements concernés Il est soumis à la direction générale pour validation 6.6 Mise en application : a) Besoins planifiés Après validation, la DRHO diffuse le PFA aux différents services . Deux semaines avant le début de chaque formation, le SAFP prend l’attache de l’organisme de formation choisi. Il confirme les dates du déroulement de l’action et avise par note les services concernés . Ces derniers prennent leurs dispositions pour la disponibilt é des agents. b) Besoins non planifiés Le service demandeur exprime ses besoins sur les FIBF, les soumet avec les documents de base pour approbation et les transmet à la DRHO. Les actions non planifiées sont portées dans la rubruque concernée du PFA. Le SAFP prend les dispositions nécéssaires pour la réalisation de la formation à savoir : - Information de l’OFPPT ; - Inscription des agents ; - Etablissement des ordres de missions ; - Paiement des frais de la formattion ; - La mise en paiement des frais de déplacement . En cas d’impératif nécessitant le report ou l’annulation de la formation, le service concerné envoie une note motivée à la DRHO, au plus tard 48h avant le déroulement de l’action. 6.7 Enregistremant :
  • 9.
    Qualiticiens 3ème Milinaire Projetd’application de la qualité ENCGT LAKHAL Kamal LAGOUIT Ayoub BENDAHMANE Bahae JABRANE Fatima Il est établit un dossier par action de formation qui regroupe l’ensemble des documents élaborés à cette occasion, notamment : copie des fax échangés avec l’organisme de formation et l’OFPPT, la liste des participants, les fiches d’appréciation, la fiche de présence, le co^t de l’action,… Chaque dossier administratif de l’agent contient un sous dossier formation où sont classés tous les enregitrements relatifs à la formation . Ces enregistrements peuvent être des : - Attestations de stage ; - Fiches de présence ; - Fiches d’appréciation faites par le formateur ; - Fiches d’évaluation faites par les participants. Tous les participants sont tenus d’adresser au SAFP un compte rendu dans un délai de 15 jours après le déroulement de l’action .( planifiée ou non ) 7. IMPRIMES : ER.ORG.02.01 Fiche d’identification des besoins en formation ER.ORG.02.02 Fiche de l’historique de formation Rédacteur Vérificateur Approbateur Date 01/01/2003 02/01/2003 03/01/2003 Titre R.A.Q Le DRHO D.G Robert le meilleur Visa
  • 10.
    Qualiticiens 3ème Milinaire Projetd’application de la qualité ENCGT LAKHAL Kamal LAGOUIT Ayoub BENDAHMANE Bahae JABRANE Fatima Rédacteur Vérificateur Approbateur Date 01/01/2003 02/01/2003 03/01/2003 Titre R.A.Q Le portier et porteurs D.G Robert le meilleur Visa
  • 11.
    Qualiticiens 3ème Milinaire Projetd’application de la qualité ENCGT LAKHAL Kamal LAGOUIT Ayoub BENDAHMANE Bahae JABRANE Fatima Procédure réservation Date 01/01/2002 PR. ORG.02 Page :2/4 Edition 01 OBJET L’objectif de la présente procédure est de gérer et organiser les reservations. DOMAINE D’APPLICATION cette procédure s’applique à tous les clients de l’hôtel des meilleurs. PROCEDURE le client téléphone une semaine avant pour réserver en déterminant :  Le nombre de chambre ou suites  Le nombre de lits par la chambre  Le nombre de personnes  La date de début de séjour et la date de départ estimée  La communication de ces coordonnées à la responsable de réservation. La responsable de réservation téléphone au client 2 jours avant pour confirmer la réservation . A la venue du client, la réceptionniste le salue et le souhaite la bien venue et lui présente la réservation faite pour lui après avoir examiner ces pièces justificatives. Rédacteur Vérificateur Approbateur Date Titre R.A.Q La réceptionniste D.G Visa
  • 12.
    Qualiticiens 3ème Milinaire Projetd’application de la qualité ENCGT LAKHAL Kamal LAGOUIT Ayoub BENDAHMANE Bahae JABRANE Fatima Procédure réservation Date 01/01/2002 PR. ORG.02 page : 3/4 Edition 01 - La réceptionniste lui demande de signer la fiche de réservation comportant :  Le prix de chambre par nuit  Les tarifs pour la restauration  La date de début et de fin de séjour - La réceptionniste lui informe que s’il envisage de prolonger son séjour, il doit le communiquer une journée à l’avance à l’administration de l’hôtel. - une fois l’accord est établit, la réceptionniste donne les clés au client et lui souhaite un bon séjour et lui assure sa disponibilité pour toute autre information Rédacteur Vérificateur Approbateur Date Titre R.A.Q Responsable Réservation Directeur générale Visa
  • 13.
    Qualiticiens 3ème Milinaire Projetd’application de la qualité ENCGT LAKHAL Kamal LAGOUIT Ayoub BENDAHMANE Bahae JABRANE Fatima Procédure réservation Date PR. ORG.02 Page 4/4 Edition 01 Rédacteur Vérificateur Approbateur Date Titre R.A.Q Responsable Réservation Directeur générale Visa Début Réservation par le client Le client confirme la reservation ? Préparation de la ou les chambres demandées Le client maintient son choix? Signer la ficher le Réservation Informe le client qu’il doit confirmer son départ 1 jour avant Le client est d’accord quitter l’hôtel Fin Préparation de la chambre dans une heure Discussion des options ajoutées ou supprimées non oui non oui oui non